- Tổng quan
- Nội dung
- Quy chuẩn liên quan
- Lược đồ
- Tải về
Quy chuẩn kỹ thuật quốc gia QCVN 03:2025/BGTVT Kiểm tra và đóng tàu biển cỡ nhỏ
| Số hiệu: | QCVN 03:2025/BGTVT | Loại văn bản: | Quy chuẩn Việt Nam |
| Cơ quan ban hành: | Bộ Giao thông Vận tải | Lĩnh vực: | Giao thông , Công nghiệp |
| Trích yếu: | Kiểm tra và đóng tàu biển cỡ nhỏ | ||
|
Ngày ban hành:
Ngày ban hành là ngày, tháng, năm văn bản được thông qua hoặc ký ban hành.
|
11/02/2025 |
Hiệu lực:
|
Đã biết
|
| Người ký: | Đang cập nhật |
Tình trạng hiệu lực:
Cho biết trạng thái hiệu lực của văn bản đang tra cứu: Chưa áp dụng, Còn hiệu lực, Hết hiệu lực, Hết hiệu lực 1 phần; Đã sửa đổi, Đính chính hay Không còn phù hợp,...
|
Đã biết
|
TÓM TẮT QUY CHUẨN VIỆT NAM QCVN 03:2025/BGTVT
Quy chuẩn kỹ thuật quốc gia QCVN 03:2025/BGTVT: Các quy định trọng điểm về kiểm tra và đóng tàu biển cỡ nhỏ
Quy chuẩn kỹ thuật quốc gia QCVN 03:2025/BGTVT về kiểm tra và đóng tàu biển cỡ nhỏ được Bộ Giao thông vận tải ban hành ngày 11 tháng 02 năm 2025, có hiệu lực từ ngày ban hành và thay thế cho QCVN 03:2016/BGTVT. Quy chuẩn này áp dụng cho các tổ chức và cá nhân liên quan đến thiết kế, đóng mới, hoán cải, sửa chữa và khai thác các tàu biển có chiều dài mạn khô nhỏ hơn 24 m và không chở quá 12 hành khách.
Đối tượng áp dụng và phạm vi điều chỉnh
Đối tượng áp dụng bao gồm Cục Đăng kiểm Việt Nam, chủ tàu, cơ sở thiết kế và các tổ chức, cá nhân tham gia đóng mới, sửa chữa tàu. Quy chuẩn này không áp dụng cho các loại tàu vận chuyển hàng hóa nguy hiểm, tàu quân sự, du thuyền và các phương tiện thể thao.
Các quy định kỹ thuật
Quy chuẩn chia thành nhiều phần quy định cụ thể phục vụ kiểm tra và cấp giấy chứng nhận cho tàu:
- Kiểm tra lần đầu và duy trì trạng thái kỹ thuật của tàu: Các tàu cần được kiểm tra định kỳ và tay nghề đăng kiểm viên phải đảm bảo tuân thủ các tiêu chuẩn kỹ thuật nghiêm ngặt.
- Quy định về kết cấu thân tàu và trang thiết bị: Tàu phải được thiết kế và chế tạo đảm bảo về cấu trúc và có độ bền chịu lực tốt.
- Hệ thống máy tàu: Các quy định nghiêm ngặt về động cơ, hệ trục và các thiết bị liên quan để đảm bảo an toàn trong quá trình hoạt động.
- Trang thiết bị an toàn: Tàu cần được trang bị đầy đủ các thiết bị cứu sinh, thiết bị chữa cháy và trang bị điện cần thiết theo tiêu chuẩn quy định.
Kiểm tra và chứng nhận
Trong quy trình kiểm tra, Đăng kiểm có quyền thẩm định thiết kế và tiến hành kiểm tra đối với tất cả các hạng mục liên quan đến tàu: từ vật liệu, thiết bị cho đến quy trình đóng mới. Chủ tàu và cơ sở đóng tàu phải tạo điều kiện thuận lợi cho việc kiểm tra, bao gồm thông báo kịp thời và chuẩn bị đầy đủ các tài liệu cần thiết.
Trách nhiệm của các bên liên quan
Quy chuẩn quy định rõ trách nhiệm của các tổ chức, cá nhân trong việc thực hiện các tiêu chuẩn, bảo trì tàu và phát hiện những khuyết tật trong quy trình chế tạo và bảo trì. Đăng kiểm có quyền yêu cầu khắc phục hoặc thu hồi giấy chứng nhận trong trường hợp phát hiện khuyết tật nghiêm trọng.
Ngày ban hành và hiệu lực
Quy chuẩn QCVN 03:2025/BGTVT đã chính thức có hiệu lực từ ngày 11 tháng 02 năm 2025 và sẽ thay thế cho các quy định cũ tại QCVN 03:2016/BGTVT.
Những quy định này không chỉ ảnh hưởng đến các cơ sở và tổ chức mà còn đóng góp vào việc nâng cao chất lượng an toàn hàng hải cho các tàu biển cỡ nhỏ hoạt động tại Việt Nam.
Tải quy chuẩn Việt Nam QCVN 03:2025/BGTVT

CỘNG HÒA XÃ HỘI CHỦ NGHĨA VIỆT NAM
QCVN 03:2025/BGTVT
QUY CHUẨN KỸ THUẬT QUỐC GIA
VỀ KIỂM TRA VÀ ĐÓNG TÀU BIỂN CỠ NHỎ
National Technical Regulation
on the Surveys and Construction of Small Sea-going Ships
HÀ NỘI 2025
Lời nói đầu
Quy chuẩn kỹ thuật quốc gia về kiểm tra và đóng tàu biển cỡ nhỏ (số hiệu: QCVN 03:2025/BGTVT) do Cục Đăng kiểm Việt Nam biên soạn, Vụ Khoa học - Công nghệ và Môi trường trình duyệt, Bộ Khoa học và Công nghệ thẩm định, Bộ trưởng Bộ Giao thông vận tải ban hành theo Thông tư số 08/2025/TT-BGTVT ngày 11 tháng 02 năm 2025.
QCVN 03:2025/BGTVT thay thế QCVN 03:2016/BGTVT (Quy chuẩn kỹ thuật quốc gia về giám sát và đóng tàu biển cỡ nhỏ).
QUY CHUẨN KỸ THUẬT QUỐC GIA
VỀ KIỂM TRA VÀ ĐÓNG TÀU BIỂN CỠ NHỎ
National Technical Regulation on the Surveys
and Construction of Small Sea-going Ships
MỤC LỤC
I QUY ĐỊNH CHUNG
1.1 Phạm vi điều chỉnh và đối tượng áp dụng
1.2 Tài liệu viện dẫn và giải thích từ ngữ
1.3 Phân vùng hoạt động của tàu
II QUY ĐỊNH KỸ THUẬT
PHẦN 1 KIỂM TRA
CHƯƠNG 1 QUY ĐỊNH CHUNG
1.1 Quy định chung
CHƯƠNG 2 KIỂM TRA LẦN ĐẦU
2.1 Kiểm tra lần đầu trong đóng mới
2.2 Kiểm tra lần đầu tàu không có kiểm tra của Đăng kiểm trong đóng mới
2.3 Hoán cải
CHƯƠNG 3 KIỂM TRA DUY TRÌ TÌNH TRẠNG KỸ THUẬT CỦA TÀU
3.1 Quy định chung
3.2 Kiểm tra chu kỳ
3.3 Kiểm tra bất thường
3.4 Nội dung kiểm tra
PHẦN 2 KẾT CẤU THÂN TÀU VÀ TRANG THIẾT BỊ
CHƯƠNG 1 KẾT CẤU VÀ ĐỘ BỀN CỦA KẾT CẤU
1.1 Quy định chung
1.2 Độ bền kết cấu
1.3 Boong
1.4 Vách kín nước
1.5 Tàu bơm hơi
CHƯƠNG 2 KÍCH THƯỚC CÁC CƠ CẤU
2.1 Quy định chung
2.2 Hệ số điều chỉnh áp lực
2.3 Áp lực thiết kế
2.4 Quy cách của tấm
2.5 Yêu cầu đối với nẹp
2.6 Bố trí kết cấu
CHƯƠNG 3 TRANG THIẾT BỊ
3.1 Máy lái, bánh lái và hệ thống chân vịt
3.2 Neo và cáp neo
3.3 Khu vực sinh hoạt
3.4 Thiết bị chằng buộc
PHẦN 3 HỆ THỐNG MÁY TÀU
CHƯƠNG 1 MÁY TÀU
1.1 Quy định chung
1.2 Động cơ điêzen
1.3 Động cơ xăng
1.4 Lắp đặt
1.5 Khởi động và dừng động cơ
1.6 Các thiết bị xách tay
1.7 Cất giữ xăng
1.8 Phụ tùng dự trữ
CHƯƠNG 2 HỆ TRỤC
2.1 Vật liệu
2.2 Hệ trục chân vịt
CHƯƠNG 3 CHÂN VỊT
3.1 Vật liệu
3.2 Thử nghiệm
CHƯƠNG 4 HỆ THỐNG HÚT KHÔ
4.1 Quy định chung
4.2 Tàu có tổng số người trên tàu không nhỏ hơn 16 người; tàu hoạt động trong Vùng 0 hoặc 1
4.3 Tàu có tổng số người trên tàu nhỏ hơn 16 người và hoạt động ở Vùng 2 đến 6
4.4 Tàu hở, tàu bơm hơi và tàu có gắn phao nổi
4.5 Báo động nước đáy tàu
PHẦN 4 TRANG BỊ ĐIỆN
CHƯƠNG 1 QUY ĐỊNH KỸ THUẬT
1.1 Quy định chung
1.2 Hệ thống phân phối
1.3 Chiếu sáng
1.4 Ắc quy
1.5 Cáp điện
1.6 Không gian nguy hiểm
1.7 Bảo vệ chống sét
PHẦN 5 PHÒNG, PHÁT HIỆN VÀ CHỮA CHÁY
CHƯƠNG 1 AN TOÀN CHỐNG CHÁY
1.1 Quy định chung
1.2 Tàu hoạt động ở Vùng 0 và Vùng 1 và ở các vùng khác khi tổng công suất máy lớn hơn 750 kW; tàu hoạt động ở bất kỳ vùng nào mà có tổng số người trên tàu không nhỏ hơn 16 người
1.3 Kết cấu bọc
1.4 Giữ vệ sinh buồng máy
1.5 Thiết bị đốt khí có ngọn lửa hở
1.6 Vật liệu trang trí nội thất
1.7 Bảo vệ chống cháy
1.8 Phương tiện thoát nạn
CHƯƠNG 2 THIẾT BỊ CHỮA CHÁY
2.1 Quy định chung
2.2 Tàu có chiều dài nhỏ hơn 6 m hoạt động ở Vùng 6
2.3 Tàu hở, tàu bơm hơi và tàu có gắn phao nổi có chiều dài tới 8 m và không có mái che đáng kể
2.4 Tàu có chiều dài dưới 15 m và chở từ 15 người trở xuống mà không phải là tàu nêu ở 2.2 hoặc 2.3 của Phần này
2.5 Tàu có chiều dài từ 15 m trở lên hoặc có tổng số người trên tàu không nhỏ hơn 16 người
2.6 Quy định đối với chữa cháy trong buồng máy
PHẦN 6 ỔN ĐỊNH
CHƯƠNG 1 ỔN ĐỊNH NGUYÊN VẸN
1.1 Quy định chung
1.2 Các quy định về ổn định nguyên vẹn
CHƯƠNG 2 ỔN ĐỊNH TAI NẠN
2.1 Quy định chung
2.2 Tàu nhiều thân
PHẦN 7 MẠN KHÔ
CHƯƠNG 1 TÍNH NGUYÊN VẸN KÍN THỜI TIẾT
1.1 Miệng khoang và nắp miệng khoang
1.2 Cửa ra vào và chòi boong
1.3 Cửa lấy ánh sáng
1.4 Cửa sổ lấy sáng và cửa sổ
1.5 Ống thông gió và ống xả
1.6 Ống thông hơi
1.7 Cửa lấy và xả nước biển
1.8 Vật liệu của van và đường ống liên quan
CHƯƠNG 2 BỐ TRÍ THOÁT NƯỚC
2.1 Quy định chung
2.2 Tàu có động cơ
2.3 Tàu buồm
CHƯƠNG 3 BẢO VỆ CON NGƯỜI
3.1 Lầu
3.2 Mạn giả, lan can và tay bám
3.3 Tàu buồm
3.4 Dây đai an toàn
3.5 Viền boong
3.6 Vị trí an toàn
3.7 Bề mặt của boong làm việc
3.8 Vớt người dưới nước
3.9 Trang bị cá nhân
CHƯƠNG 4 QUY ĐỊNH VỀ MẠN KHÔ
4.1 Tàu buồm
4.2 Tàu có động cơ
PHẦN 8 TRANG THIẾT BỊ AN TOÀN
CHƯƠNG 1 QUY ĐỊNH CHUNG
1.1 Quy định chung
CHƯƠNG 2 THIẾT BỊ CỨU SINH
2.1 Quy định chung
2.2 Phao bè
2.3 Phao tròn
2.4 Phao áo
2.5 Dụng cụ chống mất nhiệt
2.6 EPIRB loại 406MHz hoặc Inmarsat E
2.7 Thiết bị phát báo ra đa (SART)
2.8 Báo động chung và báo cháy
2.9 Pháo hiệu
2.10 Hướng dẫn thực tập
2.11 Sổ tay bảo dưỡng
CHƯƠNG 3 THIẾT BỊ TÍN HIỆU
3.1 Quy định chung
3.2 Đèn tín hiệu hành trình, vật hiệu, thiết bị tín hiệu âm thanh
CHƯƠNG 4 THIẾT BỊ VÔ TUYẾN ĐIỆN
4.1 Quy định chung
4.2 Định mức trang bị
4.3 Lắp đặt và nguồn cung cấp điện cho các thiết bị vô tuyến điện
CHƯƠNG 5 THIẾT BỊ HÀNG HẢI
5.1 Quy định chung
5.2 Định mức trang bị thiết bị hàng hải
PHẦN 9 YÊU CẦU RIÊNG ĐỐI VỚI CÁC LOẠI TÀU
CHƯƠNG 1 TÀU BUỒM
1.1 Các yêu cầu
CHƯƠNG 2 TÀU CHỞ HÀNG
2.1 Các yêu cầu
CHƯƠNG 3 TÀU CÓ CẨU TRÊN BOONG HOẶC CÓ CÁC THIẾT BỊ NÂNG KHÁC
3.1 Các yêu cầu
CHƯƠNG 4 TÀU KHÔNG TỰ HÀNH
4.1 Quy định chung
4.2 Ổn định
4.3 Mạn khô
CHƯƠNG 5 TÀU HOA TIÊU
5.1 Quy định chung
5.2 Các yêu cầu
III QUY ĐỊNH VỀ QUẢN LÝ
1.1 Chứng nhận
1.2 Đề nghị kiểm tra
1.3 Thu hồi, cấp lại và mất hiệu lực của giấy chứng nhận
1.4 Quản lý hồ sơ
1.5 Quy định chuyển tiếp
IV TRÁCH NHIỆM CỦA CÁC TỔ CHỨC, CÁ NHÂN
1.1 Trách nhiệm của các chủ tàu, công ty khai thác tàu, cơ sở thiết kế, chế tạo mới, hoán cải
1.2 Trách nhiệm của Cục Đăng kiểm Việt Nam
V TỔ CHỨC THỰC HIỆN
PHỤ LỤC A - THỬ KÍN THÂN TÀU
PHỤ LỤC B - THIẾT BỊ CHỐNG SÉT
PHỤ LỤC C - THỬ LỬA ĐỐI VỚI VẬT LIỆU FRP
PHỤ LỤC D - THỬ TÍNH BẮT CHÁY ĐỐI VỚI VẬT LIỆU CÓ THỂ CHÁY
PHỤ LỤC E - SỬ DỤNG ĐƯỜNG CONG MÔ MEN HỒI PHỤC “KIỂU ĐẦU TIÊN” CỦA TIÊU CHUẨN ISO KHI ĐÁNH GIÁ ỔN ĐỊNH
| MỤC I | QCVN 03:2025/BGTVT |
QUY CHUẨN KỸ THUẬT QUỐC GIA
VỀ KIỂM TRA VÀ ĐÓNG TÀU BIỂN CỠ NHỎ
I QUY ĐỊNH CHUNG
1.1 Phạm vi điều chỉnh và đối tượng áp dụng
1.1.1 Phạm vi điều chỉnh
1 Quy chuẩn kỹ thuật quốc gia này (sau đây gọi tắt là “Quy chuẩn”) quy định về kiểm tra và các hoạt động liên quan đến thiết kế, đóng mới, hoán cải, sửa chữa và khai thác các tàu biển (tự chạy hoặc không tự chạy) có chiều dài mạn khô nhỏ hơn 24 m và không chở quá 12 khách (sau đây gọi tắt là “tàu”).
2 Mặc dù được quy định ở -1 trên, Quy chuẩn này không áp dụng đối với tàu chở dầu, tàu chở xô khí hóa lỏng, tàu chở xô hóa chất nguy hiểm, tàu kéo, tàu đẩy, tàu cá, tàu quân sự, du thuyền hoặc các tàu phục vụ thể thao, giải trí khác không tham gia hoạt động thương mại.
3 Tàu thuộc phạm vi điều chỉnh của Quy chuẩn này, nếu được kiểm tra và chứng nhận phù hợp với các quy định của Quy chuẩn này, thì không cần phải áp dụng các quy định của Quy chuẩn kỹ thuật quốc gia về phân cấp và đóng tàu biển vỏ thép và Quy chuẩn kỹ thuật quốc gia về phân cấp và đóng tàu biển cao tốc.
1.1.2 Đối tượng áp dụng
Quy chuẩn này áp dụng đối với tổ chức và cá nhân có hoạt động liên quan đến các tàu thuộc phạm vi điều chỉnh nêu tại 1.1.1 là Cục Đăng kiểm Việt Nam (sau đây viết tắt là "Đăng kiểm"); các chủ tàu; cơ sở thiết kế, đóng mới, hoán cải, sửa chữa và khai thác tàu.
1.2 Tài liệu viện dẫn và giải thích từ ngữ
1.2.1 Các tài liệu viện dẫn sử dụng trong quy chuẩn
1 Quy chuẩn kỹ thuật quốc gia về phân cấp và đóng tàu biển vỏ thép.
2 Quy chuẩn kỹ thuật quốc gia về phân cấp và đóng tàu biển cao tốc.
3 Quy chuẩn kỹ thuật quốc gia về trang bị an toàn tàu biển.
4 Quy chuẩn kỹ thuật quốc gia về đo dung tích tàu biển.
5 Bộ luật quốc tế về áp dụng các quy trình thử lửa của IMO (gọi là Bộ luật FTP).
6 Thông tư số 20/2022/TT-BGTVT ngày 29 tháng 7 năm 2022 của Bộ trưởng Bộ Giao thông vận tải quy định về các biểu mẫu giấy chứng nhận, sổ an toàn kỹ thuật và bảo vệ môi trường cấp cho tàu biển, ụ nổi, kho chứa nổi, giàn di động, phương tiện thủy nội địa và sản phẩm công nghiệp sử dụng cho phương tiện thủy nội địa và Thông tư số 26/2024/TT-BGTVT ngày 02 tháng 7 năm 2024 của Bộ trưởng Bộ Giao thông vận tải sửa đổi, bổ sung một số điều của Thông tư số 20/2022/TT-BGTVT ngày 29 tháng 7 năm 2022 của Bộ trưởng Bộ Giao thông vận tải quy định về các biểu mẫu giấy chứng nhận, sổ an toàn kỹ thuật và bảo vệ môi trường cấp cho tàu biển, ụ nổi, kho chứa nổi, giàn di động, phương tiện thủy nội địa và sản phẩm công nghiệp sử dụng cho phương tiện thủy nội địa.
7 Thông tư số 40/2016/TT-BGTVT ngày 07 tháng 12 năm 2016 của Bộ trưởng Bộ Giao thông vận tải quy định về đăng kiểm tàu biển Việt Nam và Thông tư số 17/2023/TT-BGTVT ngày 30 tháng 6 năm 2023 của Bộ trưởng Bộ Giao thông vận tải sửa đổi, bổ sung một số điều của Thông tư số 40/2016/TT-BGTVT ngày 7 tháng 12 năm 2016 của Bộ trưởng Bộ Giao thông vận tải quy định về đăng kiểm tàu biển Việt Nam và Thông tư số 51/2017/TT-BGTVT ngày 29 tháng 12 năm 2017 của Bộ trưởng Bộ Giao thông vận tải quy định về đăng kiểm viên và nhân viên nghiệp vụ đăng kiểm tàu biển.
8 Tiêu chuẩn ISO 10088: Tàu nhỏ - Hệ thống nhiên liệu được lắp cố định và két nhiên liệu cố định (Small craft - Permanently installed fuel systems and fixed fuel tanks).
9 Tiêu chuẩn ISO 10133: Tàu nhỏ - Hệ thống điện. Trang bị điện một chiều có điện áp cực thấp (Small Craft - Electrical systems. Extra-low voltage d.c. installations).
10 Tiêu chuẩn ISO 10134: Tàu nhỏ - Thiết bị điện - Bảo vệ chống sét (Small Vessels - Electrical Devices - Lightning Protection).
11 Tiêu chuẩn ISO 10239: Tàu nhỏ - Hệ thống khí hoá lỏng (LPG) (Small Craft - Liquefied Petroleum Gas (LPG) system).
12 Tiêu chuẩn ISO 10592: Tàu nhỏ - Hệ thống lái thuỷ lực (Small craft - Hydraulic steering systems).
13 Tiêu chuẩn ISO 11812: Tiêu chuẩn quốc tế về khu vực điều khiển kín nước và khu vực điều khiển thoát nước nhanh của tàu nhỏ (Small craft - Watertight cockpits and quick-draining cockpits).
14 Tiêu chuẩn ISO 12215: Tàu nhỏ - Kết cấu thân tàu và kích thước cơ cấu (Small craft — Hull construction and scantlings).
15 Tiêu chuẩn ISO 12217: Tàu nhỏ - Đánh giá và phân loại ổn định và tính nổi (Small craft - Stability and buoyancy assessment and categorization).
16 Tiêu chuẩn ISO 12402: Dụng cụ nổi cá nhân (Personal flotation devices).
17 Tiêu chuẩn ISO 13297: Tàu nhỏ - Hệ thống điện. Trang bị điện xoay chiều (Small Craft - Electrical systems. Alternating current installations).
18 Tiêu chuẩn ISO 13591: Tàu nhỏ - Hệ thống nhiên liệu xách tay cho động cơ ngoài tàu (Small craft - Portable fuel systems for outboard motors).
19 Tiêu chuẩn ISO 13929: Tàu nhỏ - Máy lái - Hệ thống được kết nối bằng bánh răng (Small craft - Steering gear - Geared link systems).
20 Tiêu chuẩn ISO 6185: Tàu bơm hơi (Inflatable boats).
21 Tiêu chuẩn ISO 7840: Tàu nhỏ - Ống nhiên liệu chống cháy (Small Craft - Fire resistant fuel hoses).
22 Tiêu chuẩn ISO 9094: Tàu nhỏ - Bảo vệ chống cháy (Small craft — Fire protection).
1.2.2 Giải thích từ ngữ
Trừ khi được định nghĩa riêng ở các phần khác của Quy chuẩn, các thuật ngữ sử dụng trong Quy chuẩn này được giải thích như dưới đây. Những thuật ngữ không được giải thích ở Quy chuẩn này thì sử dụng các thuật ngữ được giải thích ở 1.2 Phần 1A Mục II của Quy chuẩn kỹ thuật quốc gia về phân cấp và đóng tàu biển vỏ thép.
(1) “Khu vực sinh hoạt” là các không gian, kín ở cả sáu mặt bởi các kết cấu đặc, dành cho việc sử dụng của người trên tàu.
(2) “Tàu có gắn phao nổi” là tàu bơm hơi cứng hoặc tàu có hình dạng vỏ tương tự, trên đó, các ống bơm hơi được thay bằng các cấu trúc tạo lực nổi đặc hoặc rỗng.
(3) “Hàng” là các hạng mục được vận chuyển trên tàu, ngoại trừ nhiên liệu của tàu, nước dằn (hoặc dằn rắn), các thành phần tiêu hao ở trên tàu, trang thiết bị cố định của tàu, dự trữ và phụ tùng dành cho tàu, thuyền viên và khách cùng với hành lý cá nhân và các thiết bị liên quan đến hoạt động của tàu.
(4) “Buồng” là tất cả các không gian sống và làm việc nằm trong các vách biên kín nước hoặc chống cháy trên bất kỳ một tầng nào mà có sự tiếp cận liên thông.
(5) “Vị trí điều khiển” là vị trí quan sát, chỉ huy, điều động tàu mà có người trực liên tục khi tàu đang hành trình.
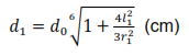
(6) “Góc ngập nước tới hạn” là góc mà tại đó tổng diện tích được tính bằng mét vuông của các lỗ hở bị ngập nước lớn hơn giá trị tính theo công thức sau:
![]()
Ngoài ra, nó là góc mà tại đó mép dưới của lỗ hở thực tế mà gây ra việc ngập nước tới hạn bị ngập. Mọi lỗ hở được thuyền viên sử dụng một cách thông thường để tiếp cận và thông gió cần được xem xét khi xác định góc ngập nước. Ống thông hơi của các két có thể không cần xét đến. Trong trường hợp sử dụng tiêu chuẩn ISO phù hợp để tính toán thì góc này có thể được lấy theo định nghĩa của tiêu chuẩn ISO.
(7) “Ban ngày” là khoảng thời gian kéo dài từ một giờ trước khi mặt trời mọc đến một giờ sau khi mặt trời lặn.
(8) “Tàu có boong” là tàu có boong thời tiết kín nước liên tục, kéo dài từ sống mũi đến đuôi và có mạn khô dương trên toàn bộ boong, ở bất kỳ trạng thái hoạt động nào của tàu. Trong trường hợp áp dụng các tiêu chuẩn ISO được tham chiếu trong Quy chuẩn này, thuật ngữ này phải được lấy theo định nghĩa của tiêu chuẩn ISO, nếu có.
(9) “Hữu hiệu” hoặc “Hiệu quả” khi được đề cập đến trong các quy định liên quan đến phụ tùng, thiết bị cụ thể hoặc vật liệu có nghĩa là khi đó tất cả các biện pháp thích hợp và thực hiện được trong thực tế phải được áp dụng để đảm bảo chúng phù hợp với mục đích dự định.
(10) "Thời tiết thuận lợi" là điều kiện gió, biển và tầm nhìn được thuyền trưởng cho là an toàn cho tàu hoạt động trong giới hạn áp dụng cho tàu đó; hoặc trong bất kỳ trường hợp nào khác, các điều kiện tồn tại trong suốt hành trình hoặc chuyến đi mà trong đó ảnh hưởng đơn lẻ hoặc kết hợp của sóng cồn, chiều cao sóng, sức mạnh của gió và tầm nhìn không gây nguy hiểm cho an toàn tàu, bao gồm cả khả năng điều động tàu.
Khi quyết định xem thời tiết có thuận lợi hay không, thuyền trưởng phải quan tâm tới dự báo thời tiết chính thức cho vùng hoạt động của tàu.
(11) “Mạn khô” là khoảng cách đo theo phương thẳng đứng từ điểm thấp nhất của mép trên boong thời tiết xuống đến đường nước tĩnh. Đối với tàu hở, mạn khô là khoảng cách đo theo phương thẳng đứng từ điểm thấp nhất của be chắn sóng xuống đến đường nước.
(12) “Neo có độ bám cao” là neo mà có thể chứng minh được là có sức bám bằng ít nhất hai lần sức bám của neo không có ngáng tiêu chuẩn với khối lượng bằng nhau.
(13) “Tàu bơm hơi” là tàu mà đạt được đúng hình dáng của tàu chỉ thông qua các ống được bơm hơi, các ống này không được gắn với thân cứng.
(14) “Chiều dài tàu” là chiều dài toàn bộ từ mặt trước của kết cấu cố định của thân tàu xa nhất phía mũi tới mặt sau của kết cấu cố định của thân tàu xa nhất phía đuôi tàu. Đối với tàu bơm hơi, tàu bơm hơi cứng hoặc tàu có gắn phao nổi, chiều dài này phải được đo từ phần xa nhất phía mũi của ống bơm hơi hoặc phao nổi tới phần xa nhất phía đuôi của ống bơm hơi hoặc phao nổi (xem Hình I.1).

Hình I.1 - Cách đo chiều dài tàu
(15) “Chiều dài mạn khô” được tính bằng 96% chiều dài toàn bộ của đường nước tại 85% chiều cao mạn lý thuyết nhỏ nhất, đo từ mặt trên của ky đáy, hoặc chiều dài từ mặt trước của sống mũi tới tâm trục lái ở đường nước vừa nêu, lấy giá trị nào lớn hơn. Trên các tàu được thiết kế có ky đáy nghiêng, đường nước mà chiều dài mạn khô được đo phải song song với đường nước thiết kế.
(16) “Chiều rộng tàu” là khoảng cách lớn nhất nằm ngang, tính bằng m, giữa mép ngoài của các kết cấu cố định của thân tàu ở hai bên mạn của tàu.
(17) “Chiều cao mạn” là chiều cao mạn lý thuyết nhỏ nhất, tính bằng m, dùng để xác định chiều dài mạn khô nêu ở (16) trên.
(18) “Chiều chìm” là khoảng cách thẳng đứng, tính bằng m, đo từ mút dưới của chiều cao mạn đến đường nước chở hàng thiết kế lớn nhất.
(19) “Tổng dung tích” là tổng dung tích của tàu được xác định theo Quy chuẩn kỹ thuật quốc gia về đo dung tích tàu biển.
(20) “Khối lượng lớn nhất cho phép” là tổng khối lượng lớn nhất được phép chở, bao gồm người và hành lý, hàng và các thiết bị liên quan đến hoạt động của tàu (như thiết bị lặn...).
(21) “Hải lý” là đơn vị đo chiều dài trên biển, bằng 1852 m.
(22) “Tàu có động cơ” là tàu có lắp động cơ để đẩy tàu và không phải là tàu buồm.
(23) “Tàu nhiều thân” là tàu mà ở các góc nghiêng hoặc chúi khi hoạt động bình thường thì kết cấu thân cứng của tàu chìm dưới mặt biển gồm nhiều hơn một phần riêng biệt hoặc rời rạc.
(24) “Điểm xuất phát được chỉ định” là điểm được lấy làm nơi xuất phát của tàu.
(25) “Tàu hở” là tàu mà trong phạm vi chiều dài mạn khô:
(a) Không có boong thời tiết kín nước; hoặc
(b) Có boong thời tiết kín nước ở một phần của chiều dài; hoặc
(c) Có boong thời tiết trên toàn bộ chiều dài nhưng mạn khô tính tới boong đó không tuân thủ yêu cầu tối thiểu về mạn khô.
(26) “Khách” là bất kỳ người nào được chở trên tàu, ngoại trừ:
(a) Người được thuê hoặc tham gia vào công dụng thương mại của tàu;
(b) Người trên tàu mà thuyền trưởng có nghĩa vụ phải chở: người bị đắm tàu, người bị nạn hoặc người được chở trên tàu vì bất kỳ hoàn cảnh nào mà thuyền trưởng, chủ tàu, người thuê tàu (nếu có) đều không thể từ chối;
(c) Trẻ em dưới một tuổi.
(27) “Tàu hoa tiêu” là tàu chủ yếu được sử dụng để làm dịch vụ hoa tiêu và thực hiện các công việc không thường xuyên khác như là chở chuyên gia, thư, lượng nhỏ đồ dự trữ đến hoặc từ các tàu trong khu vực hoa tiêu.
(28) “Hõm” là phần lõm xuống hoặc tụt xuống ở trên boong và phần đó được bao quanh bởi boong và không có chung đường biên với vỏ tàu.
(29) “Tàu bơm hơi cứng” là tàu có các ống có thể được bơm hơi, gắn với thân cứng của tàu. Các ống này được bơm hơi trong quá trình vận hành bình thường của tàu.
(30) “Nơi trú ẩn an toàn” là bến tàu hoặc một điểm trên bờ được bảo vệ dưới mọi hình thức để tàu có thể tiếp cận an toàn và được bảo vệ khỏi tác động của thời tiết. Nơi trú ẩn an toàn phải đảm bảo tàu có thể neo, đậu hoặc buộc và người trên tàu có thể rời tàu đến nơi an toàn mà không cần sự hỗ trợ.
(31) “Tàu buồm” là tàu được thiết kế để hành trình chỉ với sức gió và trên tàu này thì các động cơ nếu được trang bị chỉ là phương tiện đẩy phụ hoặc tàu có tỷ số không thứ nguyên giữa diện tích buồm chia cho (Thể tích chiếm nước)2/3 lớn hơn 7.
(32) “Khoang trống” là bất kỳ không gian nào trên tàu mà không có chức năng thực tế và không có khả năng sẵn sàng thu gom được nước trong trạng thái hoạt động bình thường.
(33) “Kín nước” là khả năng có thể ngăn nước đi qua theo cả hai hướng.
(34) “Boong thời tiết” là boong chính mà tiếp xúc với các yếu tố thời tiết.
(35) “Kín thời tiết” là khả năng có thể ngăn lượng nước đáng kể đi vào tàu khi được thử vòi rồng.
(36) “Tàu công tác” là tàu sử dụng trong thương mại cho các mục đích không phải là thể thao hoặc giải trí.
(37) “Chiều cao sóng đáng kể”, ký hiệu là H1/3 hoặc Hs, là chiều cao trung bình của nhóm 1/3 các chiều cao sóng lớn nhất trong phạm vi phổ sóng.
(38) “Tàu mẹ” là các tàu, kho chứa nổi, giàn di động và giàn cố định được Đăng kiểm kiểm tra và cấp giấy chứng nhận. Tàu mẹ được coi là điểm xuất phát được chỉ định và nơi trú ẩn an toàn với điều kiện phải có bố trí và thiết bị để:
(a) Liên lạc hữu hiệu với tàu;
(b) Nâng hạ tàu xuống biển, cất giữ và chằng buộc tàu vào tàu mẹ; và
(c) Cứu được người từ tàu.
(39) “Hoán cải lớn” là hoán cải đối với tàu hiện có mà:
(a) Thay đổi đáng kể kích thước hoặc khả năng chở của tàu; hoặc
(b) Thay đổi loại tàu (như trường hợp tàu có động cơ sang tàu buồm...); hoặc
(c) Thay đổi phương tiện đẩy tàu hoặc có thay đổi đáng kể đối với máy chính của tàu.
(40) Tàu có giai đoạn bắt đầu đóng mới là tàu có sống nằm (ky) được đặt hoặc tàu đang ở trong giai đoạn đóng mới mà kết cấu được hình thành đã có thể bắt đầu nhận dạng được con tàu.
(41) Ngày ấn định kiểm tra hàng năm là ngày tương ứng với ngày hết hạn của Giấy chứng nhận phân cấp (đối với tàu được cấp Giấy chứng nhận phân cấp như quy định ở 1.1.1 Mục III của Quy chuẩn này), hoặc ngày tương ứng với ngày hết hạn của Giấy chứng nhận an toàn kỹ thuật và bảo vệ môi trường tàu biển cỡ nhỏ (đối với tàu được cấp Giấy chứng nhận an toàn kỹ thuật và bảo vệ môi trường tàu biển cỡ nhỏ (quy định ở 1.1.2 Mục III của Quy chuẩn này) nhưng không bao gồm ngày hết hạn của giấy chứng nhận.
1.3 Phân vùng hoạt động của tàu
1 Tuỳ thuộc vào thiết kế và trang bị, tàu có thể được xem xét để hoạt động ở một trong các vùng như dưới đây:
(1) Vùng 6: Trong phạm vi 3 hải lý tính từ điểm xuất phát được chỉ định và không bao giờ cách bờ quá 3 hải lý, trong điều kiện thời tiết thuận lợi, chiều cao sóng đáng kể không quá 2 m và vào ban ngày;
(2) Vùng 5: Trong phạm vi 20 hải lý tính từ điểm xuất phát được chỉ định, với điều kiện thời tiết thuận lợi, chiều cao sóng đáng kể không quá 2 m và vào ban ngày;
(3) Vùng 4: Cách nơi trú ẩn an toàn đến 20 hải lý, trong điều kiện thời tiết thuận lợi, chiều cao sóng đáng kể không quá 2 m và vào ban ngày;
(4) Vùng 3: Cách nơi trú ẩn an toàn đến 20 hải lý và chiều cao sóng đáng kể không quá 4 m;
(5) Vùng 2: Cách nơi trú ẩn an toàn đến 60 hải lý và chiều cao sóng đáng kể không quá 4 m;
(6) Vùng 1: Cách nơi trú ẩn an toàn đến 150 hải lý;
(7) Vùng 0: Không hạn chế.
2 Vùng hoạt động của tàu và điểm xuất phát được chỉ định (nếu có) như nêu ở -1 trên phải được ghi vào Giấy chứng nhận an toàn kỹ thuật và bảo vệ môi trường tàu biển cỡ nhỏ hoặc Giấy chứng nhận phân cấp quy định ở 1.1 Mục III của Quy chuẩn này (sau đây trong Quy chuẩn này gọi là Giấy chứng nhận).
3 Phụ thuộc vào bản chất của tàu và việc sử dụng, tàu có thể bị hạn chế thấp hơn so với các giới hạn nêu ở -1 trên. Trong trường hợp này, các hạn chế đó phải được ghi vào giấy chứng nhận nêu ở -2 trên.
4 Các tàu có thể hoạt động kèm với tàu mẹ. Trong trường hợp này, tên tàu mẹ cùng với số nhận dạng phải được ghi vào giấy chứng nhận nêu ở -2 trên.
5 Các tàu nêu ở -4 trên có thể hoạt động ở điều kiện chiều cao sóng đáng kể lớn hơn chiều cao sóng giới hạn theo vùng hoạt động của tàu và phải tuân thủ các yêu cầu dưới đây:
(1) Kết cấu thân tàu phải tuân thủ các yêu cầu liên quan nêu ở Phần 2 Mục II của Quy chuẩn này ứng với chiều cao sóng mà tàu dự định hoạt động;
(2) Ổn định nguyên vẹn của tàu phải tuân thủ các yêu cầu liên quan ở Phần 6 Mục II của Quy chuẩn này ứng với vùng hoạt động có chiều cao sóng tương ứng với chiều cao sóng mà tàu dự định hoạt động; và
(3) Chiều cao sóng giới hạn của tàu phải được ghi vào giấy chứng nhận nêu ở -2 trên.
| QCVN 03:2025/BGTVT | MỤC II – PHẦN 1 |
II QUY ĐỊNH KỸ THUẬT
PHẦN 1 KIỂM TRA
CHƯƠNG 1 QUY ĐỊNH CHUNG
1.1 Quy định chung
1.1.1 Kiểm tra của Đăng kiểm
1 Hoạt động kiểm tra của Đăng kiểm dựa trên cơ sở các quy định của Quy chuẩn này và các quy định liên quan, bao gồm:
(1) Thẩm định thiết kế với khối lượng hồ sơ kỹ thuật được quy định ở 2.1.2 của Phần này;
(2) Kiểm tra việc chế tạo vật liệu và các sản phẩm, trang thiết bị được sử dụng để đóng mới, hoán cải, sửa chữa và lắp đặt lên tàu;
(3) Kiểm tra trong đóng mới, hoán cải, sửa chữa tàu;
(4) Kiểm tra các tàu đang khai thác;
(5) Cấp các giấy chứng nhận theo các quy định liên quan và cập nhật, bổ sung tàu vào Sổ đăng ký kỹ thuật tàu biển Việt Nam (nếu có).
1.1.2 Nguyên tắc kiểm tra
1 Đăng kiểm thực hiện việc kiểm tra theo những trình tự được quy định trong các quy định liên quan, đồng thời Đăng kiểm cũng có thể tiến hành kiểm tra đột xuất bất cứ hạng mục nào phù hợp với Quy chuẩn này.
2 Để thực hiện công tác kiểm tra, chủ tàu, các cơ sở đóng tàu phải tạo mọi điều kiện thuận lợi cho đăng kiểm viên tiến hành kiểm tra tàu, thử nghiệm vật liệu và các sản phẩm chịu sự kiểm tra của Đăng kiểm. Đăng kiểm viên được phép đến tàu, các cơ sở đóng tàu, cơ sở chế tạo, thử nghiệm vật liệu để tiến hành kiểm tra theo các nội dung kiểm tra được quy định trong Quy chuẩn này.
3 Các cơ sở thiết kế, chủ tàu, cơ sở đóng tàu và các cơ sở chế tạo các máy, sản phẩm, thiết bị lắp đặt lên tàu phải thực hiện các yêu cầu liên quan trong quá trình Đăng kiểm thực hiện công tác kiểm tra.
4 Nếu dự định có những sửa đổi trong quá trình chế tạo liên quan đến vật liệu, kết cấu, máy, thiết bị lắp đặt lên tàu khác với các bản vẽ và tài liệu đã được thẩm định thì các bản vẽ hoặc tài liệu sửa đổi phải được trình cho Đăng kiểm xem xét và thẩm định thiết kế sửa đổi trước khi thi công.
5 Đăng kiểm có thể từ chối không thực hiện công tác kiểm tra, nếu nhà máy đóng tàu hoặc xưởng chế tạo vi phạm một cách có hệ thống những yêu cầu của Quy chuẩn này hoặc vi phạm hợp đồng về kiểm tra với Đăng kiểm.
6 Trong trường hợp phát hiện thấy vật liệu hoặc sản phẩm có khuyết tật, tuy đã được cấp giấy chứng nhận hợp lệ, Đăng kiểm vẫn có quyền yêu cầu tiến hành thử nghiệm lại hoặc khắc phục những khuyết tật đó. Trong trường hợp không thể khắc phục được những khuyết tật đó, Đăng kiểm có thể thu hồi và hủy bỏ các giấy chứng nhận đã cấp.
7 Hoạt động kiểm tra của Đăng kiểm không làm thay đổi công việc cũng như không thay cho trách nhiệm của các tổ chức kiểm tra kỹ thuật, chất lượng của chủ tàu, nhà máy, cơ sở đóng, sửa chữa tàu, chế tạo vật liệu, máy và trang thiết bị lắp đặt lên tàu.
1.1.3 Chuẩn bị kiểm tra và các vấn đề khác
1 Thông báo kiểm tra
Khi cần đưa tàu vào kiểm tra theo yêu cầu của Quy chuẩn này, chủ tàu có trách nhiệm thông báo trước cho Đăng kiểm biết nơi đưa tàu vào kiểm tra và thời gian kiểm tra để đăng kiểm viên có thể thực hiện công việc kiểm tra vào thời điểm thích hợp.
2 Chuẩn bị kiểm tra
(1) Chủ tàu (hoặc đại diện của chủ tàu) phải chịu trách nhiệm thực hiện tất cả công việc chuẩn bị cho đợt kiểm tra lần đầu, kiểm tra chu kỳ, các kiểm tra khác và việc đo chiều dày được quy định trong Phần này cũng như những công việc cần thiết phục vụ cho công việc kiểm tra do đăng kiểm viên yêu cầu. Công việc chuẩn bị phải bao gồm việc bố trí lối đi thuận tiện và an toàn, phương tiện và các hồ sơ cần thiết phục vụ cho công việc kiểm tra, các giấy chứng nhận và báo cáo kiểm tra và đo chiều dày, mở kiểm tra thiết bị, gỡ bỏ các chất bẩn, vật cản và làm sạch. Thiết bị kiểm tra, đo và thử mà đăng kiểm viên dựa vào đó để ra các quyết định ảnh hưởng đến cấp tàu phải được nhận dạng riêng biệt và hiệu chuẩn theo tiêu chuẩn phù hợp để áp dụng. Tuy nhiên, đăng kiểm viên có thể chấp nhận các dụng cụ đo đơn giản (như trường hợp sử dụng thước lá, thước dây, dưỡng đo kích thước mối hàn, vi kế...) mà không cần nhận dạng hoặc hiệu chuẩn với điều kiện chúng được thiết kế phù hợp với hàng thương mại, bảo dưỡng tốt và định kỳ được so sánh với các mẫu thử hoặc dụng cụ tương tự. Đăng kiểm viên cũng có thể chấp nhận thiết bị được lắp trên tàu và sử dụng chúng để kiểm tra các trang thiết bị trên tàu (như sử dụng nhiệt kế hoặc đồng hồ đo vòng quay) được dựa vào hồ sơ hiệu chuẩn hoặc so với các số đo của các dụng cụ đa năng.
(2) Chủ tàu phải bố trí một người hỗ trợ nắm vững các hạng mục kiểm tra để chuẩn bị tốt công việc phục vụ kiểm tra và giúp đỡ đăng kiểm viên khi có yêu cầu trong suốt quá trình kiểm tra.
(3) Trước khi bắt đầu kiểm tra và đo đạc, đăng kiểm viên, đại diện của chủ tàu, đại diện công ty đo chiều dày (nếu có quy định về đo chiều dày) và thuyền trưởng của tàu hoặc sỹ quan có chuyên môn phù hợp của tàu được thuyền trưởng chỉ định, chủ tàu hoặc công ty phải họp để thông qua kế hoạch kiểm tra sao cho đảm bảo thực hiện công việc kiểm tra và đo đạc được an toàn và hiệu quả.
3 Hoãn kiểm tra
Việc kiểm tra có thể bị hoãn lại nếu như công việc chuẩn bị kiểm tra theo quy định ở -1 và - 2 trên đây chưa hoàn tất hoặc vắng mặt những người có trách nhiệm tham gia vào đợt kiểm tra hoặc đăng kiểm viên nhận thấy không đảm bảo an toàn để tiến hành việc kiểm tra.
4 Khuyến nghị
Qua kết quả kiểm tra, trong trường hợp cần thiết phải sửa chữa, đăng kiểm viên phải thông báo kết quả kiểm tra của mình cho chủ tàu (hoặc đại diện của chủ tàu). Sau khi nhận được thông báo này, chủ tàu phải tiến hành công việc sửa chữa cần thiết và kết quả sửa chữa phải được đăng kiểm viên kiểm tra xác nhận.
1.1.4 Thay thế tương đương
1 Các quy định kỹ thuật khác với những quy định ở Quy chuẩn này có thể được chấp nhận với điều kiện chúng tương đương với những yêu cầu ở Quy chuẩn này.
2 Trong trường hợp Quy chuẩn này không quy định chi tiết về các tiêu chuẩn kỹ thuật, phương pháp tính, kiểm tra thì chủ tàu (hoặc đại diện của chủ tàu) có thể đề nghị Đăng kiểm áp dụng các quy định có liên quan trong các hướng dẫn, bộ luật của IMO; hoặc hướng dẫn, quy định của các quốc gia có quy định về chất lượng, an toàn kỹ thuật và ngăn ngừa ô nhiễm môi trường đối với tàu không thấp hơn các yêu cầu tương ứng của Quy chuẩn này; hoặc hướng dẫn, quy phạm của các tổ chức phân cấp tàu là thành viên thuộc Hiệp hội các tổ chức phân cấp quốc tế (IACS).
3 Các tàu đã tuân thủ Quy chuẩn kỹ thuật quốc gia về phân cấp và đóng tàu biển vỏ thép hoặc Quy chuẩn kỹ thuật quốc gia về phân cấp và đóng tàu biển cao tốc và thuộc phạm vi điều chỉnh của Quy chuẩn này thì được chấp nhận là tuân thủ các yêu cầu của Quy chuẩn này.
CHƯƠNG 2 KIỂM TRA LẦN ĐẦU
2.1 Kiểm tra lần đầu trong đóng mới
2.1.1 Quy định chung
Khi kiểm tra lần đầu trong đóng mới, phải kiểm tra chi tiết thân tàu và trang thiết bị, ổn định, mạn khô, hệ thống máy tàu, trang bị điện, trang bị phòng, phát hiện và chữa cháy, phương tiện thoát nạn để đảm bảo rằng tất cả các mục nêu trên đều phù hợp với các yêu cầu tương ứng quy định trong Quy chuẩn này.
2.1.2 Hồ sơ kỹ thuật
1 Trước khi tiến hành thi công, phải trình các bản vẽ và tài liệu sau cho Đăng kiểm thẩm định.
2 Các hồ sơ trình để thẩm định
(1) Phần chung và thân tàu
(a) Bố trí chung;
(b) Bản vẽ mặt cắt ngang với các mặt cắt đại diện và lắp ráp khung sườn (thể hiện kích thước, khoảng cách, vật liệu và cấp vật liệu của tất cả các phần tử kết cấu bao gồm cả thượng tầng và lầu boong, các kích thước chính của tàu);
(c) Bản vẽ kết cấu cơ bản (thể hiện kích thước cơ bản của tàu, các vách, các két liền vỏ, các két dự trữ lực nổi, thượng tầng, lầu boong, khu điều khiển và khoảng cách các kết cấu chính);
(d) Bản vẽ các boong và sàn;
(e) Bản vẽ đáy đơn và đáy đôi (nếu có);
(f) Bản vẽ khai triển tôn vỏ;
(g) Bản vẽ các vách dọc, ngang và vách đuôi;
(h) Bản vẽ sống mũi, sống đuôi và ky đáy cân bằng (nếu có) và các liên kết của chúng với thân tàu;
(i) Bản vẽ nút liên kết các phần tử kết cấu, liên kết của các phần tử đàn hồi và cố định chúng với thân tàu;
(j) Bản vẽ kết cấu cầu dẫn (đối với tàu nhiều thân);
(k) Bản vẽ bệ máy chính, bản vẽ bệ động cơ đặt ngoài tàu và các liên kết của chúng với thân tàu;
(l) Bảng hàn thân tàu bao gồm các thông tin: tên và chiều dày các thành phần kết cấu liên kết với nhau, hình dạng và ký hiệu chuẩn bị mép hàn, ký hiệu và cấp của vật liệu cơ bản, phương pháp hàn và tư thế hàn. Trong trường hợp các thông tin về hàn ở trên đã có trong các bản vẽ phần thân tàu thì không cần trình thẩm định bảng hàn.
(2) Phần thiết bị
(a) Bố trí lỗ khoét trên thân tàu, thượng tầng, lầu boong (cửa ra vào, miệng hầm, cửa sổ mạn, cửa thông biển, lỗ xả đáy, mạn...) có thể hiện chiều cao ngưỡng cửa và kiểu của thiết bị đóng;
(b) Bố trí chung cho hệ bánh lái và máy lái (có thể hiện bánh lái và trục lái), neo, chằng buộc, bố trí ky cân bằng, cột buồm và bố trí dây buồm và các thông số cơ bản (nếu có);
(c) Bố trí thiết bị cứu sinh;
(d) Bố trí hệ thống tín hiệu;
(e) Bản vẽ lan can bảo vệ;
(f) Bản vẽ cấu tạo và bố trí các thiết bị khác liên quan đến công dụng riêng của tàu (hệ buồm, thiết bị nâng...).
(3) Phần phòng cháy
(a) Mô tả chi tiết các thiết bị phòng cháy với việc thể hiện các vật liệu cách nhiệt, vật liệu trang trí bề mặt, vật liệu đóng tàu, nơi chúng được lắp đặt;
(b) Sơ đồ và bố trí hệ thống cung cấp khí đốt cho mục đích sinh hoạt trên tàu, nếu có;
(c) Sơ đồ hệ thống chữa cháy.
(4) Phần máy
(a) Bố trí buồng máy;
(b) Bố trí hệ trục thể hiện kết cấu và kích thước của chân vịt, trục trung gian, trục lực đẩy và các bạc đỡ và bích nối trục, ống bao trục phía lái bao gồm gioăng làm kín; các thông tin về tham số căn chỉnh hệ trục;
(c) Bản vẽ chân vịt (bao gồm cả tính toán sức bền), chân vịt truyền động hoặc thiết bị đẩy khác (không yêu cầu phải trình thẩm định riêng nếu đã có cùng với động cơ chính hoặc hệ trục), quạt thổi của tàu đệm khí, bản vẽ chân vịt biến bước cùng với cơ cấu thay đổi bước chân vịt, các thành phần của chân vịt, tính toán sức bền cánh chân vịt, dữ liệu về tuổi thọ của chúng;
(d) Sơ đồ hệ thống điều khiển lái phía sau (đối với động cơ đặt ngoài);
(e) Sơ đồ các hệ thống của động cơ chính: nhiên liệu, dầu bôi trơn, làm mát, khí xả (bao gồm tính toán và các đặc trưng của thiết bị, đường ống, vật liệu và phụ tùng);
(f) Sơ đồ hệ thống: hút khô, thông gió.
(5) Phần điện
(a) Sơ đồ cung cấp và phân phối điện năng từ nguồn điện chính và dự phòng;
(b) Sơ đồ các đèn hành hải;
(c) Sơ đồ nguyên lý bảng điện chính, bảng điều khiển và các bảng điện khác nếu chúng không được thiết kế theo tiêu chuẩn;
(d) Sơ đồ truyền động điện được bố trí trên tàu và các máy;
(e) Tính chọn tiết diện cáp điện (phải chỉ rõ kiểu, dòng điện và bảo vệ cáp);
(f) Sơ đồ nối đất bảo vệ.
(6) Phần thiết bị vô tuyến điện và nghi khí hàng hải
(a) Danh mục các thiết bị vô tuyến điện và nghi khí hàng hải lắp đặt trên tàu (bao gồm các thông tin về nhà sản xuất, kiểu và giấy chứng nhận của thiết bị);
(b) Sơ đồ khối của các thiết bị vô tuyến điện và nghi khí hàng hải (bao gồm cả kết nối giữa các khối chức năng, bộ nguồn và ăng ten);
(c) Bản vẽ bố trí thiết bị vô tuyến điện, nghi khí hàng hải và ăng ten.
3 Các hồ sơ trình để tham khảo
(1) Phần chung và thân tàu:
(a) Bản tính kích thước kết cấu thân tàu cũng như phân tích sức bền chung và cục bộ nếu yêu cầu;
(b) Bản vẽ tuyến hình;
(c) Đường cong thủy lực;
(d) Đường cong cánh tay đòn ổn định hình dáng, bao gồm các phần được tính vào lực nổi;
(e) Bản tính ổn định;
(f) Bản tính mạn khô;
(g) Tính toán ổn định tai nạn (nếu phải áp dụng).
(2) Phần thiết bị, hệ thống thiết bị, phụ tùng và phương tiện tín hiệu
(a) Tính toán sức bền cho các thiết bị đóng khi mà đặc tính kỹ thuật của thiết bị không được chỉ rõ;
(b) Tính toán cho hệ bánh lái và máy lái, neo, chằng buộc, bố trí tấm sống chính, cột buồm và bố trí dây buồm, các vật dằn bên trong và bên ngoài (nếu có);
(3) Phần phòng cháy
Danh mục các thiết bị chữa cháy kèm theo đặc tính kỹ thuật.
(4) Phần máy
Tính toán sức bền trục và hệ truyền động chân vịt.
(5) Phần điện
Bản tính nguồn điện, bản tính dung lượng các tổ ắc quy.
(6) Phần thiết bị vô tuyến điện và nghi khí hàng hải
Bản tính nguồn dự phòng cho các thiết bị vô tuyến điện.
2.1.3 Hạng mục kiểm tra
1 Đăng kiểm viên phải kiểm tra tại các giai đoạn công nghệ sau đây liên quan đến thân tàu và trang thiết bị:
(1) Khi kiểm tra vật liệu và trang thiết bị theo quy định;
(2) Khi vật liệu hoặc các chi tiết được chế tạo ở nhà máy khác sẽ được đưa xuống sử dụng trên tàu liên quan;
(3) Khi tiến hành thử mối hàn theo quy định;
(4) Khi được Đăng kiểm chỉ định kiểm tra trong xưởng;
(5) Khi tiến hành thử thủy lực hoặc thử kín nước và thử theo phương pháp không phá hủy;
(6) Khi hoàn thiện phần thân tàu;
(7) Khi tiến hành thử khả năng hoạt động của thiết bị đóng lỗ khoét, thiết bị điều khiển từ xa, thiết bị lái, thiết bị neo, thiết bị chằng buộc, các hệ thống dập cháy và đường ống...;
(8) Khi lắp đặt bánh lái, tạo hình đường ky, đo các kích thước chính…;
(9) Khi kẻ dấu mạn khô;
(10) Khi tiến hành thử nghiêng hoặc thử tính ổn định;
(11) Khi tiến hành thử tàu đường dài;
(12) Khi lắp đặt hệ thống phòng, phát hiện và chữa cháy và khi tiến hành thử khả năng hoạt động của hệ thống;
(13) Khi Đăng kiểm thấy cần thiết sau khi thống nhất với chủ tàu.
2 Đăng kiểm viên phải kiểm tra tại các giai đoạn công nghệ sau đây liên quan đến hệ thống máy tàu và trang bị điện:
(1) Đối với các chi tiết chính của hệ thống máy tàu và trang bị điện:
(a) Khi tiến hành thử theo quy định hoặc ở Phần 3 hoặc ở Phần 4 của Quy chuẩn này cho loại thiết bị tương ứng;
(b) Khi kết thúc giai đoạn gia công các chi tiết chính, nếu cần thiết có thể kiểm tra vào thời gian thích hợp lúc đang gia công;
(c) Khi tiến hành thử máy ở phân xưởng, lắp đặt các thiết bị động lực quan trọng lên tàu (máy chính, máy phụ, hệ trục, chân vịt...).
(2) Khi tiến hành thử hoạt động các thiết bị điều khiển từ xa của các thiết bị đóng cửa kín nước, thiết bị điều khiển từ xa đối với hệ thống máy tàu và hệ truyền động, thiết bị điều khiển tự động, thiết bị lái, thiết bị chằng buộc, đường ống…;
(3) Khi tiến hành thử tàu đường dài;
(4) Khi Đăng kiểm thấy cần thiết sau khi thống nhất với chủ tàu.
3 Đăng kiểm viên phải kiểm tra lắp đặt liên quan đến trang thiết bị an toàn và phương tiện tín hiệu.
4 Đăng kiểm có thể thay đổi những yêu cầu quy định ở từ -1 đến -3 trên, có lưu ý đến điều kiện thực tế, khả năng kỹ thuật và quản lý chất lượng của nhà máy, trừ trường hợp thử đường dài.
5 Đối với các cuộc thử quy định ở từ -1 đến -3 trên, người đề nghị phải chuẩn bị kế hoạch thử để Đăng kiểm xem xét trước khi thử. Các biên bản thử hoặc biên bản đo phải trình cho Đăng kiểm xem xét, khi có yêu cầu.
2.1.4 Thử nghiêng hoặc thử tính ổn định
1 Khi kiểm tra lần đầu, phải tiến hành thử nghiêng hoặc thử tính ổn định (đối với những tàu được yêu cầu) sau khi hoàn thiện tàu.
2 Khi kiểm tra lần đầu các tàu không có kiểm tra của Đăng kiểm trong đóng mới, Đăng kiểm có thể miễn thử nghiêng nếu như có đầy đủ thông tin dựa vào kết quả thử nghiêng lần trước và tàu không bị hoán cải hoặc sửa chữa làm thay đổi tính ổn định của tàu.
3 Đăng kiểm có thể miễn giảm việc thử nghiêng cho từng tàu riêng lẻ nếu có đầy đủ số liệu thử nghiêng của các tàu đóng cùng phiên bản hoặc có biện pháp tương ứng khác được Đăng kiểm xem xét, thống nhất.
2.1.5 Thử đường dài
1 Khi kiểm tra lần đầu, phải tiến hành thử đường dài theo quy định từ (1) đến (3) dưới đây trong điều kiện tàu toàn tải, thời tiết tốt và biển lặng, ở vùng biển có độ sâu thích hợp đối với mớn nước của tàu. Nếu việc thử đường dài không thể thực hiện được trong điều kiện toàn tải thì có thể thử với điều kiện tải thích hợp.
(1) Phải thử hoạt động đối với tời neo (nếu có) và tất cả các hệ thống cơ khí bao gồm cả máy lái;
(2) Động cơ đẩy tàu phải được hoạt động trong thời gian ít nhất là một giờ ở chế độ toàn tốc và các trạng thái hoạt động của động cơ khi khởi động, dừng và lùi… phải tuân thủ yêu cầu của Đăng kiểm;
(3) Nếu động cơ của tàu được điều khiển từ trên boong thì phải thực hiện thử hoạt động của hệ thống điều khiển.
2 Kết quả thử quy định ở -1 trên phải được trình cho Đăng kiểm để làm hồ sơ thử tàu đường dài.
3 Trong trường hợp kiểm tra lần đầu các tàu không có kiểm tra của Đăng kiểm trong đóng mới, Đăng kiểm có thể miễn giảm các yêu cầu thử nêu trên với điều kiện có đủ số liệu trong lần thử trước và kể từ lần thử đó tàu không có thay đổi làm ảnh hưởng đến kết quả thử quy định ở -1 trên.
2.2 Kiểm tra lần đầu tàu không có kiểm tra của Đăng kiểm trong đóng mới
2.2.1 Quy định chung
1 Khi kiểm tra lần đầu những tàu không có kiểm tra của Đăng kiểm trong đóng mới, phải tiến hành đo kích thước cơ cấu thực tế thuộc các phần chính của tàu để bổ sung vào nội dung kiểm tra thân tàu và trang thiết bị, hệ thống máy tàu, trang bị phòng, phát hiện và chữa cháy, phương tiện thoát nạn, trang bị điện và ổn định như yêu cầu đối với đợt kiểm tra định kỳ để xác nhận rằng chúng tuân thủ những yêu cầu có liên quan của Quy chuẩn này.
2 Nếu tàu dự định thực hiện kiểm tra phù hợp với quy định ở -1 trên thì phải trình các bản vẽ và tài liệu như quy định ở 2.1.2-1 của Phần này cho Đăng kiểm để thẩm định.
3 Mặc dù quy định ở -2 trên, đối với các tàu đã được kiểm tra chứng nhận bởi các tổ chức phân cấp tàu là thành viên thuộc Hiệp hội các tổ chức phân cấp quốc tế (IACS) hoặc các tổ chức phân cấp tàu khác được Đăng kiểm công nhận hoặc các quốc gia có quy định về chất lượng, an toàn kỹ thuật và ngăn ngừa ô nhiễm môi trường đối với tàu không thấp hơn các yêu cầu tương ứng của Quy chuẩn này, thì các hồ sơ và bản vẽ phải trình cho Đăng kiểm như sau:
(1) Thân tàu:
(a) Bố trí chung;
(b) Hồ sơ thể hiện bố trí và quy cách của kết cấu thân tàu.
(2) Hệ thống máy tàu và các trang thiết bị khác:
(a) Hồ sơ thể hiện bố trí và các đặc tính kỹ thuật của hệ thống máy;
(b) Hồ sơ thể hiện các thông tin về hệ thống điện của tàu;
(c) Hồ sơ về bố trí và định mức trang bị của thiết bị chữa cháy, thiết bị cứu sinh, tín hiệu, vô tuyến điện, hàng hải;
(3) Các báo cáo kiểm tra tàu hoặc bản sao của chúng;
(4) Bản sao các giấy chứng nhận đã được cấp cho tàu;
(5) Các hồ sơ, tài liệu khác về các đặc trưng và lịch sử của tàu (nếu có).
4 Mặc dù quy định ở -1 trên, đối với các tàu đã được kiểm tra chứng nhận bởi các tổ chức phân cấp tàu là thành viên thuộc Hiệp hội các tổ chức phân cấp quốc tế (IACS) hoặc các tổ chức phân cấp tàu khác được Đăng kiểm công nhận hoặc các quốc gia có quy định về chất lượng, an toàn kỹ thuật và ngăn ngừa ô nhiễm môi trường đối với tàu không thấp hơn các yêu cầu tương ứng của Quy chuẩn này và các chứng nhận đó hiện vẫn còn hiệu lực thì việc kiểm tra của Đăng kiểm chỉ cần thực hiện nội dung như kiểm tra hàng năm. Đối với các tàu đã quá hạn kiểm tra chu kỳ theo hệ thống chứng nhận trước đây của tàu thì nội dung kiểm tra phải bao gồm nội dung kiểm tra đã quá hạn đó và nếu cần thì phải thực hiện nội dung của kiểm tra định kỳ.
5 Mặc dù quy định ở -1 đến -4 trên, phụ thuộc vào các quy định ở 1.1.4 của Phần này, đối với các tàu được chứng nhận và chấp nhận để hoạt động ở các nước thuộc Liên minh Châu Âu (EU), căn cứ vào nội dung kiểm tra, vùng hoạt động, tiêu chuẩn áp dụng và kiểu được chứng nhận của tàu, các bản vẽ, tài liệu để thẩm định và nội dung kiểm tra lần đầu sẽ được sửa đổi một cách phù hợp, trên cơ sở chấp nhận các nội dung kiểm tra, tiêu chuẩn áp dụng đã được chứng nhận của tàu.
2.3 Hoán cải
2.3.1 Yêu cầu kiểm tra
Nếu bất kỳ hoán cải đối với thân tàu, máy tàu hoặc trang thiết bị có ảnh hưởng đến các nội dung được quy định trong Quy chuẩn này thì phải trình hồ sơ thiết kế hoán cải cho Đăng kiểm thẩm định. Việc hoán cải này phải được Đăng kiểm kiểm tra phù hợp với thiết kế hoán cải được thẩm định và các yêu cầu về kiểm tra được quy định trong Quy chuẩn.
CHƯƠNG 3 KIỂM TRA DUY TRÌ TÌNH TRẠNG KỸ THUẬT CỦA TÀU
3.1 Quy định chung
3.1.1 Quy định chung
1 Tàu phải thực hiện kiểm tra duy trì tình trạng kỹ thuật của tàu, bao gồm các đợt kiểm tra chu kỳ nêu dưới đây và kiểm tra bất thường:
(1) Kiểm tra hàng năm;
(2) Kiểm tra trên đà;
(3) Kiểm tra định kỳ.
3.2 Kiểm tra chu kỳ
3.2.1 Kiểm tra hàng năm
1 Các đợt kiểm tra hàng năm phải được thực hiện trong phạm vi 3 tháng trước ngày ấn định kiểm tra hàng năm của đợt kiểm tra lần đầu hoặc kiểm tra hàng năm, định kỳ trước đó.
2 Trong đợt kiểm tra hàng năm, phải tiến hành kiểm tra bên ngoài và thử hoạt động để đánh giá trạng thái kỹ thuật của thân tàu, thiết bị động lực, thiết bị điện, các trang thiết bị khác của tàu và đặc biệt lưu ý đến sự thay đổi thành phần thiết bị, việc bố trí và lắp đặt chúng.
3 Nội dung kiểm tra hàng năm nêu ở Bảng 1/3.1.
4 Nếu cả hai đợt kiểm tra hàng năm và định kỳ trùng vào một lần thì chỉ cần tiến hành đợt kiểm tra định kỳ.
3.2.2 Kiểm tra trên đà
1 Kiểm tra trên đà phải được thực hiện hai lần trong vòng 5 năm, trong đó có một lần trùng với đợt kiểm tra định kỳ. Trong mọi trường hợp, thời gian giữa 2 lần kiểm tra trên đà không được vượt quá 36 tháng.
2 Khi kiểm tra trên đà, phải tiến hành kiểm tra phần chìm của vỏ tàu, bánh lái, chân vịt, đệm làm kín của trục chân vịt và van thông biển, lỗ hút, lỗ xả và phụ tùng khác, cũng như các chi tiết liên kết chúng với thân tàu nằm ở phần chìm của tàu.
3 Nên bố trí kiểm tra trên đà trùng vào đợt kiểm tra hàng năm, khi đó ngoài những yêu cầu nêu trên, tàu phải tuân thủ nội dung thực hiện vào đợt kiểm tra hàng năm nêu ở Bảng 1/3.1.
3.2.3 Kiểm tra định kỳ
1 Kiểm tra định kỳ phải được thực hiện 5 năm 1 lần tính từ ngày hoàn thành kiểm tra lần đầu và phải được hoàn thành trong phạm vi 3 tháng trước ngày ấn định kiểm tra hàng năm của đợt kiểm tra hàng năm trước đó. Khi kiểm tra định kỳ, phải tiến hành kiểm tra và thử hoạt động để đánh giá trạng thái kỹ thuật của thân tàu, thiết bị động lực, thiết bị điện và các trang thiết bị của tàu xem còn tuân thủ các yêu cầu của Quy chuẩn này hay không. Kiểm tra định kỳ bắt buộc bao gồm cả kiểm tra trên đà.
2 Nội dung kiểm tra định kỳ nêu ở Bảng 1/3.1.
3.3 Kiểm tra bất thường
1 Đăng kiểm tiến hành kiểm tra bất thường trong trường hợp tàu bị tai nạn, sau khi sửa chữa tai nạn, sau khi có thay thế hoặc trang bị lại, sau khi khắc phục các khiếm khuyết, khi đổi tên tàu, đổi chủ tàu hoặc trong những trường hợp khác theo đề nghị của chủ tàu. Nội dung kiểm tra bất thường và trình tự tiến hành phụ thuộc vào mục đích kiểm tra và tình trạng kỹ thuật của tàu.
2 Khi tiến hành kiểm tra tàu, phải tuân thủ các quy định có liên quan đối với tàu.
3 Để thực hiện kiểm tra, thay cho cách kiểm tra thông thường mà cần có mặt của đăng kiểm viên thì Đăng kiểm có thể chấp nhận các phương pháp kiểm tra khác với điều kiện việc kiểm tra đó mang lại các thông tin tương đương.
3.4 Nội dung kiểm tra
3.4.1 Quy định chung
Nội dung kiểm tra chung phải thực hiện trong đợt kiểm tra định kỳ và hàng năm được nêu ở Bảng 1/3.1.
3.4.2 Nội dung kiểm tra cụ thể
1 Nội dung kiểm tra nêu ở Bảng 1/3.1 là nội dung kiểm tra cho một con tàu thông thường. Khối lượng này được Đăng kiểm tăng lên hoặc giảm bớt, phụ thuộc vào kiểu, công dụng và mức độ phức tạp hoặc đơn giản của tàu, tuổi tàu và trạng thái kỹ thuật thực tế của tàu.
2 Đối với tàu bơm hơi, ngoài các nội dung kiểm tra nêu ở Bảng 1/3.1 thì cần thực hiện các thử nghiệm quy định ở 1.5.3 Phần 2 Mục II của Quy chuẩn này.
Bảng 1/3.1 - Nội dung kiểm tra
| Đối tượng kiểm tra | Dạng kiểm tra | |
| Định kỳ | Hàng năm | |
| 1. Vỏ tàu và trang thiết bị | ||
| Kết cấu thân tàu | K, Đ | N |
| Thượng tầng, lầu lái | K, Đ | N |
| Thành miệng hầm hàng, nắp hầm hàng, cửa ra vào, cửa húp lô | K, Đ | N |
| Mạn chắn sóng, lan can bảo vệ | K, Đ | N |
| Các buồng ở | K, Đ | N |
| Bệ máy và các trang thiết bị | K, Đ | N |
| Két nước, két dầu | K, Đ, A | N |
| Hệ thống lái (bánh lái, trục lái, bản lề, ổ đỡ, hệ truyền động) | K,Đ,T, A | N,T |
| Thiết bị neo (neo, lỗ neo, xích neo, tời neo) | K,Đ,T | N,T |
| Cột bít chằng buộc, cột bít lai, hệ cột buồm, dây buồm, thiết bị nâng (nếu có) | K | N |
| Trang bị phòng và chống cháy | K, T, H | N, H |
| Phương tiện tín hiệu | K,T | N,T |
| Phương tiện cứu sinh | K,H | N |
| Trang bị vô tuyến điện và thông tin liên lạc | K,Đ,T | N,T |
| Trang bị hàng hải | H,K,Đ,T | N,T |
| 2. Thiết bị động lực | ||
| Động cơ chính, phụ | H,K,Đ,T | N,T |
| Hộp số | H,K,Đ,T | N,T |
| Hệ trục, ổ đỡ, ống bao trục | K,Đ,T | N,T |
| Chân vịt | K,Đ | N,T |
| Các khớp nối | K,Đ,T | N,T |
| Phụ tùng đáy và mạn tàu | K,Đ,A | N,T |
| Các hệ thống đường ống và bơm | K,Đ,A | N,T |
| 3. Thiết bị điện | ||
| Các nguồn điện (ắc quy, máy phát) | K,Đ,T | N,Đ,T |
| Các bảng điện | K,Đ,T | N,T |
| Lưới cáp điện | K,Đ,T | N,Đ,T |
| Các phụ tải tiêu thụ điện quan trọng | K,Đ,T | N,T |
| Hệ thống đèn tín hiệu, chiếu sáng | K,Đ,T | N,T |
| Các dụng cụ kiểm tra, khởi động, điều chỉnh | N,Đ | N |
| Thiết bị thu lôi và nối đất bảo vệ | N,Đ | N,Đ |
| Các dụng cụ đo lường, kiểm tra bằng điện | H,N,T | N,T |
Chú thích:
K: Mở hoặc tháo rời để kiểm tra nếu đăng kiểm viên thấy cần thiết, có xem xét về thời gian sử dụng có thể chứng minh được do nhà sản xuất động cơ khuyến nghị giữa các lần đại tu và bảo dưỡng đã thực hiện;
N: Xem xét bên ngoài;
Đ: Đo và xác định độ hao mòn, khe hở, điện trở...;
A: Thử áp lực (thủy lực, không khí nén); thử kín nước;
T: Thử hoạt động;
H: Kiểm tra hồ sơ (tính hiệu lực, dấu...).
| QCVN 03:2025/BGTVT | MỤC II – PHẦN 2 |
PHẦN 2 KẾT CẤU THÂN TÀU VÀ TRANG THIẾT BỊ
CHƯƠNG 1 KẾT CẤU VÀ ĐỘ BỀN CỦA KẾT CẤU
1.1 Quy định chung
1.1.1 Quy định chung
1 Các tàu hoạt động ở Vùng 0, 1 hoặc 2 thì phải có boong thời tiết kín nước trên toàn bộ chiều dài tàu, tuân thủ các quy định ở 1.3.1 dưới đây và phải có kết cấu đủ bền để chịu được điều kiện biển và thời tiết mà tàu có thể phải gặp trong vùng hoạt động dự kiến của tàu.
2 Tàu mà không có boong thời tiết tuân thủ quy định ở -1 trên thì thông thường phải bị giới hạn hoạt động ở Vùng 3, 4, 5 hoặc 6 và phải có đủ dự trữ lực nổi và ổn định để tàu có thể an toàn khi chở toàn bộ người và bị ngập. Tàu hở thường bị hạn chế hoạt động ở Vùng 4, 5 hoặc 6. Tàu buồm mà không có boong thời tiết kín nước thì chỉ được hoạt động ở Vùng 6.
3 Các tàu nêu ở -2 trên phải tuân thủ các quy định dưới đây:
(1) Tàu hở không được chở hàng hoặc chở kết hợp cả hàng và khách mà trong đó thành phần hàng vượt quá 1000 kg. Tàu không được phép lắp thiết bị nâng.
(2) Tàu có động cơ và có boong thời tiết kín nước mà không tuân thủ các yêu cầu về mạn khô nêu ở 4.2 Phần 7 Mục II của Quy chuẩn này nhưng lại có đủ dữ trữ lực nổi bên trên boong thời tiết thì có thể được xem xét để thực hiện các hoạt động nêu ở (1) trên, với điều kiện tuân thủ các yêu cầu sau:
(a) Mạn khô tới mép be chắn sóng phải tuân thủ quy định ở 4.2.2-1(3) Phần 7 Mục II của Quy chuẩn này. Mạn khô tới boong thời tiết phải dương trong mọi trạng thái có tải.
(b) Hõm mà được bao quanh bởi lực nổi dự trữ và be chắn sóng phải tuân thủ các tiêu chuẩn đối với khu vực lái thoát nước nhanh cho tàu nhóm A quy định trong Tiêu chuẩn ISO 118212 hoặc tiêu chuẩn tương đương khác phù hợp để áp dụng.
(c) Tàu phải tuân thủ các tiêu chuẩn ổn định tĩnh có liên quan đối với ổn định ngang và phải có ổn định dọc tốt trong quá trình thoát nước.
Kiểu bố trí thích hợp với quy định ở (2) trên được chỉ ra trong Hình 2/1.1. Vùng được tô đậm là lực nổi nằm trên boong kín nước, trong trường hợp này được bố trí ở mạn tàu, nhưng cũng có thể bố trí đều ở mũi và lái.

Hình 2/1.1 - Bố trí phần lực nổi trên boong kín nước
1.2 Độ bền kết cấu
1.2.1 Quy định chung
Thiết kế kết cấu thân tàu phải đủ bền để đảm bảo hoạt động an toàn trong toàn bộ đời tàu, ứng với chiều chìm thiết kế và tốc độ thiết kế lớn nhất, để chịu được các điều kiện biển và thời tiết mà tàu có thể gặp trong vùng hoạt động dự định của tàu.
1.2.2 Vật liệu
1 Tàu có thể được kết cấu bằng gỗ, chất dẻo cốt sợi thuỷ tinh, hợp kim nhôm, thép hoặc kết hợp giữa các vật liệu đó. Yêu cầu đối với vật liệu được sử dụng cho tàu bơm hơi và bơm hơi cứng được nêu ở mục 1.5.2 của Phần này.
2 Đối với các vật liệu thép và hợp kim nhôm, yêu cầu về vật liệu, kiểm tra, chứng nhận vật liệu, hàn được thực hiện phù hợp với các yêu cầu tương ứng của Phần 6 và Phần 7A của Quy chuẩn kỹ thuật quốc gia về phân cấp và đóng tàu biển vỏ thép, đến mức độ thực tế áp dụng được và được Đăng kiểm xem xét, thống nhất.
1.3 Boong
1.3.1 Boong thời tiết
1 Boong thời tiết kín nước nêu ở 1.1.1-1 của Phần này phải kéo dài từ sống mũi đến đuôi và phải có mạn khô dương trên toàn bộ chiều dài, ở mọi trạng thái tải của tàu.
2 Boong thời tiết có thể được nhảy bậc, có hõm hoặc nâng lên với điều kiện các phần nhảy bậc, hõm hoặc nâng lên đó được kết cấu kín nước.
1.3.2 Hõm boong
Việc bố trí thoát nước được quy định ở Chương 2 Phần 7 và mạn khô được quy định ở Chương 4 Phần 7 Mục II của Quy chuẩn này.
1 Đối với tàu có động cơ, hõm ở boong thời tiết quy định ở 1.3.1-1 của Phần này phải được kết cấu kín nước và có phương tiện thoát nước có thể hoạt động hiệu quả khi tàu bị nghiêng tới 10 độ. Cửa thoát nước đó phải có diện tích hiệu dụng, sau khi trừ đi lưới và vách ngăn, bằng ít nhất 20 cm2 cho mỗi mét khối thể tích của hõm nằm bên dưới boong thời tiết.
2 Đối với tàu buồm, hõm trên boong thời tiết phải có kết cấu kín nước và có:
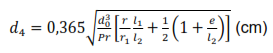
(1) Tổng thể tích (Vc) không lớn hơn giá trị tính theo công thức sau:
![]()
Trong đó:
L là chiều dài tàu (tính bằng m);
B là chiều rộng tàu (tính bằng m);
V là thể tích của hõm (tính bằng m3);
F là mạn khô của tàu tại vị trí có hõm (tính bằng m);
n là số lượng hõm được xem xét.
(2) Phương tiện thoát nước có thể hoạt động hiệu quả khi tàu nghiêng tới 30 độ. Cửa thoát nước đó phải có diện tích hiệu dụng, sau khi trừ đi lưới và vách ngăn, bằng ít nhất 10 cm2 cho tàu hoạt động ở Vùng 2, 3 hoặc 4 và bằng ít nhất 20 cm2 cho tàu hoạt động ở vùng 0 và 1.
3 Có thể chấp nhận cách bố trí thay thế đối với kích thước và phương tiện thoát nước của hõm, với điều kiện chứng minh được là khi tàu ở tư thế thẳng đứng có chiều chìm lớn nhất thì hõm có thể thoát nước ở trạng thái hõm bị ngập nước trong vòng 3 phút; hoặc là khu vực điều khiển hoặc hõm tuân thủ Tiêu chuẩn ISO 11812.
4 Nếu hõm có một ô mà từ đó dẫn trực tiếp tới bên trong tàu thì ô đó phải có cửa kín thời tiết. Ngoài ra, cửa của ô này phải được gắn cố định với kết cấu của tàu và có thiết bị khoá hữu hiệu để giữ cho cửa ở vị trí đóng.
1.4 Vách kín nước
1 Độ bền của vách kín nước và mức độ hữu hiệu của các phương tiện thay thế khác phải đảm bảo phù hợp với mục đích được dự định và phải tuân thủ yêu cầu của Đăng kiểm.
2 Khi ống, cáp điện… xuyên qua vách kín nước, chúng phải có van, ốc siết cáp được áp dụng phù hợp.
3 Lối ra vào trên vách kín nước phải được kết cấu kiểu kín nước từ cả hai phía và phải duy trì đóng khi đi biển, trừ trường hợp mở ra để đi qua sau khi có sự cân nhắc của Thuyền trưởng. Phải có biển báo ở cả hai mặt của cửa với nội dung “Phải luôn đóng khi đi biển, chỉ mở khi đi qua”. Cửa kín nước kiểu trượt, nếu được trang bị, phải có biện pháp an toàn thích hợp để tránh gây thương tích cho người khi đóng cửa.
1.5 Tàu bơm hơi
1.5.1 Quy định chung
1 Tàu bơm hơi hoặc tàu bơm hơi cứng mà dự định hoạt động độc lập ở Vùng 2 hoặc 3 (và không phải là tàu con hoạt động cùng tàu mẹ) thì phải được thiết kế, kết cấu và thử nghiệm theo các yêu cầu liên quan ở Quy chuẩn kỹ thuật quốc gia về trang bị an toàn tàu biển, sao cho phù hợp với kiểu tàu và phù hợp với các yêu cầu bổ sung nêu ở Quy chuẩn này.
2 Ngoài ra, tàu bơm hơi hoặc tàu bơm hơi cứng chỉ được xem xét để hoạt động ở Vùng 2 hoặc 3 khi tàu được trang bị thêm phương tiện trùm kín một cách chắc chắn và cố định để bảo vệ người trên tàu và phù hợp với mục đích được thiết kế. Chỉ đối với tàu hoạt động ở Vùng 3, phương tiện trùm kín thay thế có thể được Đăng kiểm xem xét cùng với các hạn chế về hoạt động và mùa hoạt động.
Tàu bơm hơi hoặc tàu bơm hơi cứng có chiều dài nhỏ hơn 8 m mà dự định hoạt động độc lập ở Vùng 4, 5 hoặc 6 phải có thiết kế và kết cấu tuân thủ các quy định của Tiêu chuẩn ISO 6185 Phần 2 hoặc 3. Tàu có chiều dài lớn hơn 8 m phải được đánh giá theo các quy định ở mục -1 trên.
3 Kết cấu của thân cứng trên tàu bơm hơi cứng có thể được đánh giá theo mục 1.5.2 của Phần này.
4 Tàu tuân thủ các quy định này được chấp nhận nếu có đủ dự trữ lực nổi và ổn định để an toàn khi bị ngập nước, ở trạng thái tải mà có toàn bộ thiết bị, nhiên liệu, hàng, các thiết bị liên quan đến hoạt động của tàu (như thiết bị lặn…) và số người mà tàu được chứng nhận để chở. (Xem Phần 6 và 7 Mục II của Quy chuẩn này đối với các yêu cầu có thể áp dụng).
1.5.2 Vật liệu của kết cấu
1 Đối với các tàu tuân thủ 1.5.1-1 của Phần này, vật liệu phải phù hợp với các yêu cầu liên quan ở Quy chuẩn kỹ thuật quốc gia về trang bị an toàn tàu biển, ngoại trừ quy định vật liệu thân tàu phải tuân thủ các tính chất chống cháy.
Đối với các tàu tuân thủ 1.5.1-2 của Phần này, vật liệu phải phù hợp với Tiêu chuẩn ISO 6185 - Phần 2 hoặc Phần 3, áp dụng phù hợp với công suất máy.
2 Phương tiện che chắn cố định để bảo vệ người trên tàu phải có kết cấu phù hợp với mục đích và vùng hoạt động dự kiến.
1.5.3 Thử nghiệm
1 Ngoài các nội dung kiểm tra theo Phần 1 của Quy chuẩn này, tàu phải thực hiện các thử nghiệm như dưới đây:
(1) Tại đợt kiểm tra hàng năm phải thử kín khí như sau:
(a) Bơm hơi mỗi khoang riêng lẻ của tàu tới 120% áp suất làm việc an toàn;
(b) Kiểm tra sự nguyên vẹn của phao và đường hàn đối với từng khoang bằng nước xà phòng và trong trường hợp tàu bơm hơi cứng, kiểm tra tính nguyên vẹn của vị trí nối giữa phao nổi và thân tàu;
(c) Kiểm tra sau 30 phút xem áp suất vẫn ở mức 120%;
(d) Bơm hơi toàn bộ các khoang tới áp suất làm việc an toàn và ghi lại nhiệt độ của môi trường. Sau 24 giờ ở trạng thái này, phải kiểm tra lại áp suất và đo lại nhiệt độ môi trường và sau đó kiểm tra xem áp suất không được nhỏ hơn 100% áp suất làm việc an toàn.
(2) Tại đợt kiểm tra định kỳ, phải thực hiện các thử nghiệm như trên cùng với các thử nghiệm khác theo khuyến cáo của nhà sản xuất.
CHƯƠNG 2 KÍCH THƯỚC CÁC CƠ CẤU
2.1 Quy định chung
2.1.1 Phạm vi áp dụng
1 Chương này áp dụng cho việc xác định áp lực và ứng suất thiết kế và xác định quy cách kết cấu, bao gồm các thành phần kết cấu bên trong của tàu một thân được chế tạo từ chất dẻo cốt sợi thủy tinh, nhôm hoặc thép, gỗ dán hoặc bằng các vật liệu khác thích hợp cho đóng tàu, có chiều dài thân tàu, LH, từ 2,5 m đến 24,0 m. Các quy định trong Chương này chỉ áp dụng cho tàu ở trạng thái tĩnh và có tốc độ lớn nhất nhỏ hơn hoặc bằng 50 hải lý/giờ ở trạng thái toàn tải.
2 Các tàu khác với tàu nêu ở -1 trên hoặc không phù hợp khi áp dụng các quy định của Chương này thì có thể tính toán kích thước cơ cấu theo Tiêu chuẩn ISO 12215 hoặc tiêu chuẩn khác tương đương phù hợp để áp dụng. Khi áp dụng Tiêu chuẩn ISO 12215, nhóm thiết kế được xác định tương đương với vùng hoạt động của Quy chuẩn này theo Bảng 2/2.1 sau:
Bảng 2/2.1 Xác định nhóm thiết kế trong Tiêu chuẩn ISO 12215
| Vùng hoạt động theo quy định của Quy chuẩn này | Nhóm thiết kế theo Tiêu chuẩn ISO 12215 |
| 0 | A |
| 1 | A |
| 2 | B |
| 3 | B |
| 4 | C |
| 5 | C |
| 6 | C |
2.1.2 Các ký hiệu và định nghĩa
1 Chương này sử dụng các ký hiệu sau đây:
(1) LH: Chiều dài thân tàu là chiều dài tàu, tính bằng m, được định nghĩa ở 1.2.2 Mục I của Quy chuẩn này.
(2) LWL: Chiều dài đường nước là chiều dài, tính bằng m, của đường nước tại chiều chìm thiết kế.
(3) BH: Chiều rộng thân tàu là chiều rộng toàn bộ, tính bằng m, tại phần lớn nhất của thân tàu.
(4) BWL: Chiều rộng đường nước là chiều rộng, tính bằng m, tại phần rộng nhất của đường nước tại chiều chìm thiết kế.
(5) FM: Mạn khô giữa tàu là mạn khô được định nghĩa ở 1.2.2 Mục I của Quy chuẩn này, tính bằng m, nhưng đo ở vị trí giữa của LH.
2 Chương này sử dụng các định nghĩa sau đây:
(1) Tàu có lượng chiếm nước là tàu có tốc độ lớn nhất (hải lý/giờ) trong nước lặng và ở trạng thái toàn tải tuân thủ điều kiện
.
(2) Chế độ lượng chiếm nước là chế độ chạy tàu trên biển mà khối lượng của tàu chủ yếu được cân bằng bởi lực nổi.
(3) Tàu lướt là tàu có tốc độ lớn nhất (hải lý/giờ) trong nước lặng và ở trạng thái toàn tải tuân thủ điều kiện
.
(4) Chế độ lướt là chế độ chạy tàu trên biển mà phần lớn khối lượng của tàu được cân bằng bởi lực nâng thủy động có được do tốc độ di chuyển của tàu trong nước.
(5) Các vùng kết cấu.
Thân tàu, boong và thượng tầng được phân chia thành các vùng kết cấu khác nhau: đáy, mạn, boong và thượng tầng như sau (xem Hình 2/2.1).
(a) Vùng đáy: Đối với tất cả các tàu, áp lực đáy tác dụng lên thân tàu cho tới đường nước. Phần vách đuôi mà phù hợp với định nghĩa vừa nêu cũng được coi là đáy.
(b) Vùng mạn: Phạm vi của vùng áp lực mạn, bao gồm vách đuôi, là phần của thân tàu mà không thuộc vùng đáy.
(c) Boong và thượng tầng: Vùng boong là các khu vực của boong hở đối với thời tiết và ở đó thì có thể có người qua lại. Vùng này cũng bao gồm đáy khu vực điều khiển và mặt trên của băng ghế và khu vực chỗ ngồi.
Vùng thượng tầng bao gồm tất cả các khu vực bên trên boong. Bảng 2/2.4 nêu ra các kiểu thượng tầng khác nhau.
(d) Ô tấm nằm hoàn toàn ở một vùng hoặc nằm trên hai vùng khác nhau thì phải được xem xét như dưới đây:
(i) Nếu ô tấm hoặc nẹp nằm hoàn toàn ở một vùng thiết kế cụ thể (như trường hợp đáy, mạn, boong, thượng tầng...) thì áp lực thiết kế phải được xác định ở giữa ô tấm hoặc là ở giữa chiều dài của nẹp.
(ii) Nếu ô tấm hoặc nẹp nằm ở cả vùng đáy và mạn thì áp lực thiết kế phải được xác định là áp lực không đổi trên toàn bộ vùng thiết kế, được lấy bằng trung bình trọng số giữa hai giá trị áp lực.

Ghi chú: 1. Đáy (phần gạch mặt cắt); 2. Mạn; 3. Boong; 4. Thượng tầng; 5. Nóc thượng tầng; 6. Bẻ góc của thân.
Hình 2/2.1 - Định nghĩa các vùng và chiều cao ô tấm bên trên đường nước
2.1.3 Kiểm tra, thử kín nước
Quy định kiểm tra, thử kín nước thân tàu phải tuân thủ các yêu cầu của Phụ lục A.
2.2 Hệ số điều chỉnh áp lực
2.2.1 Quy định chung
Áp lực thiết kế cuối cùng phải được điều chỉnh bằng một tập hợp các hệ số, tùy thuộc vào thiết kế, kiểu tàu và vị trí...
2.2.2 Hệ số vùng hoạt động, kDC
Hệ số nhóm thiết kế, kDC, được quy định ở Bảng 2/2.2, trong đó có tính đến biến đổi của tải trọng áp lực do tác động của điều kiện biển ứng với các vùng hoạt động.
Bảng 2/2.2 - Giá trị của kDC theo vùng hoạt động
| Vùng hoạt động | 0 & 1 | 2 & 3 | 4, 5 & 6 |
| kDC | 1 | 0,8 | 0,6 |
2.2.3 Hệ số tải trọng động, nCG
1 Quy định chung
Hệ số tải trọng động, nCG, được coi là gần bằng gia tốc biên độ đơn được đo ở trọng tâm của tàu trong tần số liên quan trong một khoảng thời gian nhất định. Hệ số này là gia tốc âm được đỡ bởi tàu, khi va đập đáy vào sóng tới ở tốc độ nào đó hoặc khi rơi từ đỉnh sóng xuống đáy sóng. nCG được biểu thị bằng công thức gs, trong đó g là gia tốc trọng trường (9,81 m/s2).
2 Hệ số tải trọng động nCG cho tàu không có buồm ở chế độ lướt
Hệ số tải trọng động nCG cho tàu không có buồm ở chế độ lướt phải được xác định bằng các công thức (1) và (2) dưới đây.
![]()
Trong đó:
V là tốc độ lớn nhất trong nước lặng của tàu (hải lý/giờ) ở trạng thái toàn tải. Tốc độ này phải không lấy nhỏ hơn ![]()
BC là chiều rộng của bẻ góc hông, được đo tại vị trí
phía trước của mút sau bẻ góc hông, tính bằng m.
β0,4 là góc vát đáy tại vị trí vị trí
phía trước của mút sau bẻ góc hông, tính bằng độ. Góc này không được lấy nhỏ hơn 10º nhưng cũng không được lấy lớn hơn 30º.
Nếu nCG trong công thức (1) trên ≤ 3,0 thì phải sử dụng giá trị này. Ngược lại, nếu giá trị nCG > 3,0 thì phải sử dụng giá trị tính theo công thức (2) dưới đây.
![]()
Trong mọi trường hợp thì nCG không cần lấy lớn hơn 7.
3 Hệ số tải trọng động nCG cho tàu buồm và tàu không phải tàu buồm có lượng chiếm nước
Đối với tàu buồm, nCG không được sử dụng để xác định áp lực. Nó chỉ được sử dụng để tính toán giá trị kL mà trong đó nCG được lấy bằng 3. Đối với tàu không phải là tàu buồm, nếu hệ số nCG được xác định bằng công thức (1) nhỏ hơn 3 thì vẫn phải được lấy bằng 3 để tính toán kL.
4 Hệ số phân bố áp lực dọc tàu, kL
Hệ số phân bố áp lực dọc tàu, kL, tính đến sự biến đổi của tải trọng áp lực theo vị trí trên tàu. Hệ số này phải được xác định từ Hình 2/2.2 hoặc được tính toán theo công thức (3).
kL là hàm của hệ số tải trọng động như dưới đây đối với tàu không phải là tàu buồm.

Trong đó:
nCG được xác định theo quy định ở từ -1 đến -3 trên nhưng để xác định kL thì nCG không được lấy nhỏ hơn 3 hoặc lớn hơn 6.
là vị trí tâm của ô tấm hoặc vị trí trung điểm của nẹp theo tỷ lệ với chiều dài LWL, trong đó
hoặc bằng 1 tương ứng là các đầu mút phía lái và phía mũi của LWL.
x là vị trí theo chiều dọc của tâm ô tấm hoặc trung điểm của nẹp lấy về phía trước của mút đuôi của chiều dài LWL ở trạng thái toàn tải, tính bằng m.
Phần thân tàu nhô ra khỏi mút đuôi và mũi của LWL phải được lấy kL bằng giá trị đã tính toán cho mút đuôi và mũi.

Hình 2/2.2 - Hệ số phân bố áp lực dọc tàu, kL
2.2.4 Hệ số giảm áp lực theo diện tích kAR
1 Quy định chung
Hệ số giảm áp lực kAR tính đến sự biến đổi tải trọng áp lực do kích thước của ô tấm hoặc nẹp.

Trong đó:
kR là hệ số kiểu phần tử kết cấu và kiểu tàu:
kR = 1,0 đối với các ô tấm và nẹp của đáy, mạn và boong của tàu lướt không có buồm hoạt động ở chế độ lướt;
kR = 1,5 - 3 × 10-4 × b đối với các ô tấm của đáy, mạn và boong của tàu buồm, tàu có lượng chiếm nước không phải tàu buồm và tàu lướt không có buồm hoạt động ở chế độ có lượng chiếm nước;
kR = 1 − 2 × 10-4 × lu đối với các nẹp của đáy, mạn và boong của tàu buồm, tàu có lượng chiếm nước không phải tàu buồm và tàu lướt không có buồm hoạt động ở chế độ có lượng chiếm nước;
AD là diện tích thiết kế, tính bằng m2;
AD = (l × b) × 10-6 đối với tấm, nhưng không được lấy lớn hơn 2,5 × b2 × 10-6;
AD = (lu × s) × 10-6 đối với nẹp, nhưng không được lấy nhỏ hơn ![]()
b là chiều dài cạnh ngắn hơn của tấm, tính bằng mm;
l là chiều dài cạnh dài hơn của tấm, tính bằng mm;
s là khoảng cách cách nẹp, tính bằng mm;
lu là nhịp không được đỡ của nẹp, tính bằng mm.
2 Giá trị lớn nhất và nhỏ nhất của kAR.
kAR không được lấy lớn hơn 1 và nhỏ hơn giá trị quy định ở Bảng 2/2.3.
Bảng 2/2.3 - Giá trị tối thiểu của kAR
| Vùng hoạt động | Ô tấm một lớp và nẹp của mạn và đáy Ô tấm nhiều lớp và một lớp và nẹp của boong và thượng tầng | Ô tấm nhiều lớp của mạn và đáy a | |||
|
|
|
| |||
| 0 & 1 | 0,25 đối với thân tàu và boong của bất kỳ tàu nào | 0,4 | Nội suy giữa các giá trị ở | 0,5 đối với đáy và đỉnh mạn của tàu buồm 0,5 đối với đáy của tàu không phải tàu buồm 0,4 đối với đỉnh mạn của tàu không có buồm | |
| 2 & 3 | 0,4 | ||||
| 4, 5 & 6 | 0,4 | ||||
| Chú thích: a Giá trị tối thiểu của kAR áp dụng đối với các yêu cầu về sức bền và độ võng do uốn hoặc cắt. | |||||
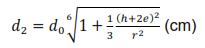
2.2.5 Hệ số giảm áp lực mạn tàu kz
Hệ số giảm áp lực mạn tàu kz nội suy áp lực của mạn tàu giữa áp lực đáy tại đường nước và áp lực boong tại mép trên của mạn (xem Hình 2/2.1).
![]()
Trong đó:
Z là chiều cao của mặt trên thân tàu hoặc chiều cao của giới hạn thân tàu/boong so với đường nước toàn tải, tính bằng m.
h là chiều cao của tâm của ô tấm hoặc trung điểm của nẹp so với đường nước toàn tải, tính bằng m.
2.2.6 Hệ số giảm áp lực thượng tầng và lầu kSUP
Hệ số giảm áp lực thượng tầng và lầu kSUP được xác định dựa trên vị trí và kiểu tàu, như nêu ở Bảng 2/2.4.
Bảng 2/2.4 - Giá trị của kSUP đối với thượng tầng và lầu
| Vị trí của ô tấm | kSUP đối với tàu buồm và không phải tàu buồm | Phạm vi áp dụng |
| Phía trước | 1 | Mọi khu vực |
| Mạn | 0,67 | Khu vực có người đi lại |
| Mạn | 0,5 | Khu vực không có người đi lại |
| Mút đuôi | 0,5 | Mọi khu vực |
| Nóc, ≤ 800 mm bên trên boong | 0,5 | Khu vực có người đi lại |
| Nóc, > 800 mm bên trên boong và các tầng phía trên | 0,35 | Khu vực có người đi lại |
| Các tầng phía trên a | Tải trọng boong tối thiểu 5 kN/m2 | Khu vực không có người đi lại |
| Chú thích: a Các cơ cấu không tiếp xúc với thời tiết phải được coi giống như các tầng phía trên. | ||
2.2.7 Hệ số hiệu chỉnh áp lực đối với va đập đáy tàu trên các tàu buồm nhẹ và ổn định kSLS
Hệ số hiệu chỉnh áp lực đối với va đập đáy tàu trên các tàu buồm nhẹ và ổn định kSLS xem xét đối với áp lực va đập đáy tàu lớn hơn mà tàu buồm nhẹ và ổn định sẽ gặp phải khi đi buồm ngược gió (như trường hợp di chuyển với góc lên tới 90º so với hướng gió thực). Nó được xác định như dưới đây.
- Đối với Vùng 4, 5 & 6: kSLS = 1
- Đối với các Vùng còn lại:

Trong đó:
GZMAX<60 là cánh tay đòn hồi phục lớn nhất tại góc nghiêng không lớn hơn 60º ở trạng thái toàn tải, với tất cả các thiết bị tăng tính ổn định như là khối dằn động ở đáy (canting keel) hoặc nước dằn ở tại vị trí đạt hiệu quả cao nhất, tính bằng m.
Nếu cánh tay đòn hồi phục lớn nhất xảy ra ở góc nghiêng lớn hơn 60º thì phải lấy giá trị ở 60º. Thuyền viên phải được coi là đang leo lên vị trí ở hướng ngược gió khi tính toán giá trị GZMAX<60 nêu trên.
2.3 Áp lực thiết kế
2.3.1 Áp lực thiết kế của tàu không phải tàu buồm
1 Quy định chung
Áp lực đáy của tàu không phải tàu buồm phải được lấy bằng giá trị lớn hơn của các giá trị sau.
- Áp lực đáy ở chế độ có lượng chiếm nước PBMD xác định ở -2 dưới đây; hoặc
- Áp lực đáy ở chế độ lướt PBMP xác định ở -3 dưới đây.
Đối với tàu không phải tàu buồm hoạt động ở Vùng 0, 1, 2 và 3 thì áp lực mạn phải được lấy bằng giá trị lớn hơn trong các giá trị sau:
- Áp lực mạn ở chế độ có lượng chiếm nước PSMD xác định ở -4 dưới đây; hoặc
- Áp lực mạn ở chế độ lướt PSMP xác định ở -5 dưới đây.
Đối với tàu không phải tàu buồm hoạt động ở Vùng 4, 5 và 6 thì áp lực mạn phải là áp lực tương ứng với chế độ lướt hoặc có lượng chiếm nước: chế độ được xem xét là chế độ mà có áp lực đáy lớn hơn.
2 Áp lực đáy của tàu không phải tàu buồm hoạt động ở chế độ có lượng chiếm nước PBMD
Áp lực đáy của tàu không phải tàu buồm hoạt động ở chế độ có lượng chiếm nước PBMD được lấy bằng giá trị lớn hơn trong các giá trị sau:

Trong đó:
![]()
3 Áp lực đáy của tàu không phải tàu buồm ở chế độ lướt PBMP
PBMP được lấy bằng giá trị lớn hơn trong các giá trị sau:

Trong đó:
![]()
4 Áp lực mạn của tàu không phải tàu buồm hoạt động ở chế độ có lượng chiếm nước PSMD
PSMD được lấy bằng giá trị lớn hơn trong các giá trị sau:

Đối với tàu có boong, các phần của mạn mà nằm trên đường giao tuyến giới hạn thân tàu và boong (như trường hợp mạn giả…) phải được tính toán theo PSMMIN.
5 Áp lực mạn của tàu không phải là tàu buồm hoạt động ở chế độ lướt PSMP.
Đối với vùng mạn phía trên đường nước, áp lực thiết kế của mạn PSMP phải được lấy bằng giá trị lớn hơn trong các giá trị sau:

Đối với tàu có boong, các phần của mạn mà nằm trên đường giao tuyến giới hạn thân tàu và boong (như trường hợp mạn giả…) phải được tính toán theo PSMMIN.
6 Áp lực boong của tàu không phải tàu buồm PDM.
PDM của boong thời tiết phải được lấy bằng giá trị lớn hơn trong các giá trị sau:

Trong đó:
![]()
7 Áp lực của thượng tầng và lầu trên tàu không phải là tàu buồm, PSUPM.
PSUPM đối với thượng tầng và lầu có tiếp xúc với thời tiết trên các tàu không phải tàu buồm được lấy tỷ lệ với áp lực boong, nhưng không được lấy nhỏ hơn PDMMIN ở khu vực có người qua lại:
![]()
2.3.2 Áp lực thiết kế của tàu buồm
1 Áp lực đáy của tàu buồm, PBS.
PBS được lấy bằng giá trị lớn hơn trong các giá trị sau:

Trong đó:
![]()
2 Áp lực mạn của tàu buồm, PSS.
PSS phải được lấy bằng giá trị lớn hơn trong các giá trị sau:

Trong đó:
PBSBASE là áp lực đáy cơ bản của tàu buồm nêu ở -3 dưới đây.
PDSBASE là áp lực boong cơ bản của tàu buồm.
3 Áp lực boong của tàu buồm, PDS.
PDS của boong thời tiết phải được lấy bằng giá trị lớn hơn trong các giá trị sau:

Trong đó:
![]()
4 Áp lực thượng tầng của tàu buồm, PSUPS.
PSUPS đối với thượng tầng và lầu có tiếp xúc với thời tiết trên tàu buồm được lấy tỷ lệ với áp lực boong, nhưng không được lấy nhỏ hơn PDSMIN ở khu vực có người qua lại:
![]()
2.3.3 Áp lực thiết kế của vách kín nước và biên của két liền vỏ
1 Áp lực của vách kín nước, PWB.
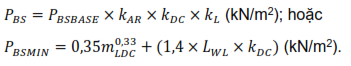
PWB = 7hB (kN/m2).
Trong đó:
hB là cột áp nước, tính bằng m, được đo như sau (xem Hình 2/2.3):
- Đối với tấm, khoảng cách từ điểm ở vị trí bằng 2/3 chiều cao của ô tấm nằm bên dưới đỉnh của vách;
- Đối với nẹp đứng, khoảng cách từ điểm ở vị trí bằng 2/3 chiều cao của nẹp nằm bên dưới đỉnh của vách;
- Đối với nẹp nằm, chiều cao đo từ nẹp tới đỉnh của vách.

Hình 2/2.3 - Vách kín nước
2 Áp lực của vách và biên của két liền vỏ, PTB
PTB = 10hB (kN/m2)
Trong đó:
hB là cột áp nước, tính bằng m, được đo như sau (xem Hình 2/2.4):
- Đối với tấm, khoảng cách từ điểm ở vị trí bằng 2/3 chiều cao của ô tấm nằm bên dưới đỉnh của két hoặc đỉnh của ống tràn, lấy giá trị nào lớn hơn;
- Đối với nẹp đứng, khoảng cách từ điểm ở vị trí bằng 2/3 chiều cao của nẹp nằm bên dưới đỉnh của két hoặc đỉnh của ống tràn, lấy giá trị nào lớn hơn;
- Đối với nẹp nằm, chiều cao đo từ nẹp tới đỉnh của két hoặc đỉnh của ống tràn, lấy giá trị nào lớn hơn.
Nếu có các tấm có chiều dày khác nhau hoặc quy cách khác nhau thì hB tính cho mỗi ô tấm phải được đo từ điểm thấp nhất của ô tấm.
Để xác định áp lực thiết kế, đỉnh của ống tràn phải không được lấy nhỏ hơn 2 m so với đỉnh của két.
Nếu két là một phần của boong thì két này phải được kiểm tra theo các yêu cầu của mục này.

Hình 2/2.4 - Các kích thước dùng để tính toán quy cách két liền vỏ
3 Tấm giảm chòng chành
(1) Các két phải được chia nhỏ một cách phù hợp bằng các vách ngăn bên trong hoặc tấm giảm chòng chành. Vách ngăn bên trong hoặc tấm giảm chòng chành mà thực hiện đỡ khung kết cấu thân tàu thì phải có quy cách tương đương với nẹp đặt ở cùng vị trí.
(2) Tấm giảm chòng chành và vách giảm chòng chành phải có diện tích của các lỗ khoét không nhỏ hơn 50% tổng diện tích của vách. Các lỗ khoét phải được bố trí sao cho hiệu quả chịu lực của vách không bị ảnh hưởng.
(3) Yêu cầu chung đối với mô đun chống uốn tối thiểu và mô men thứ hai của diện tích của nẹp có thể được lấy bằng 50% giá trị yêu cầu đối với nẹp của két liền vỏ.
4 Vách chống va
Quy cách của vách chống va, nếu có, phải không nhỏ hơn quy cách yêu cầu đối với vách của két liền vỏ.
5 Vách không kín nước hoặc vách lửng
Nếu vách có kết cấu nhưng không kín nước thì quy cách của kết cấu phải được tính toán như quy định ở 2.5.7 của Phần này.
6 Truyền lực của cột chống
Các vách mà có tác dụng như là cột chống ở khu vực sống dưới boong, chịu tải trọng tập trung và các kết cấu khác mà chịu tải nặng thì phải có kích thước phù hợp với các tải trọng này.
2.3.4 Áp lực thiết kế đối với các thành phần kết cấu mà có kAR ≤ 0,25
1 Ảnh hưởng động của tải trọng giảm đi khi kích cỡ của thành phần kết cấu tăng lên. Đối với phần tử kết cấu rất lớn, áp lực thiết kế phải được tính toán dựa trên áp suất thủy tĩnh vì áp suất thủy tĩnh này có thể được lấy một cách hợp lý khi phân bố trên toàn bộ diện tích của thành phần kết cấu.
2 Phần tử kết cấu “rất lớn” là các ô tấm hoặc nẹp mà có tích của chiều dài các cạnh (đối với ô tấm) hoặc tích của nhịp và khoảng cách nẹp (đối với nẹp) lớn hơn các giá trị tính toán dưới đây:
- Đối với kết cấu đáy: 30% của LWL × BWL;
- Đối với kết cấu mạn: 30% của LWL × D, trong đó D là chiều cao toàn bộ của thân tàu;
- Đối với kết cấu boong: 30% của LWL × BWL.
Trong các trường hợp đó, không phụ thuộc vào tải trọng áp lực tính toán ở 2.3.1 và 2.3.2 của Phần này, áp lực thiết kế không cần lấy lớn hơn:

- Đối với kết cấu boong: 5 kN/m2.
2.4 Quy cách của tấm
2.4.1 Công thức tính quy cách tấm
1 Hệ số điều chỉnh chiều dày của tấm
(1) Hệ số võng do uốn k1 đối với tấm nhiều lớp: k1 = 0,017.
(2) Hệ số tỷ số kích thước ô tấm đối với sức bền k2 và đối với nẹp k3 được quy định ở Bảng 2/2.5.
Bảng 2/2.5 - Giá trị của k2 và k3 là hàm của tỷ số kích thước l/b đối với ô tấm đẳng hướng
| Tỷ số kích thước của ô tấm l/b | Hệ số k2 k2 phải được lấy bằng 0,5 đối với tấm gỗ nhiều lớp | k3 |
| > 2,0 | 0,500 | 0,028 |
| 2,0 | 0,497 | 0,028 |
| 1,9 | 0,493 | 0,027 |
| 1,8 | 0,487 | 0,027 |
| 1,7 | 0,479 | 0,026 |
| 1,6 | 0,468 | 0,025 |
| 1,5 | 0,454 | 0,024 |
| 1,4 | 0,436 | 0,023 |
| 1,3 | 0,412 | 0,021 |
| 1,2 | 0,383 | 0,019 |
| 1,1 | 0,349 | 0,016 |
| 1,0 | 0,308 | 0,014 |
|
| k2 được tính theo công thức dưới đây, trong đó 0,308 < k2 < 0,5 | k3 được tính theo công thức dưới đây, trong đó 0,014 < k3 < 0,028 |
|
|
|
|
(3) Hệ số hiệu chỉnh độ cong, kc, đối với các tấm cong
kc được quy định ở Bảng 2/2.6, trong đó c là độ cong của ô tấm như chỉ ra trong Hình 2/2.5. kc không được lấy nhỏ hơn 0,5 hoặc lớn hơn 1.
Bảng 2/2.6 - Hệ số hiệu chỉnh độ cong, kc


Hình 2/2.5 - Đo độ cong
(4) Lực cắt và mô men uốn của ô tấm
Trong trường hợp vật liệu ô tấm là không đồng nhất hoặc không đẳng hướng, lực cắt và mô men uốn của ô tấm được tính bằng các công thức sau:
Lực cắt tại trung điểm cạnh có chiều dài b: ![]()
Mô men uốn theo hướng b: ![]()
Nếu độ cứng của ô tấm không giống nhau theo hai hướng cơ bản của ô tấm thì phải tính toán theo Phụ lục H của Tiêu chuẩn ISO 12215-5.
2.4.2 Tấm một lớp FRP
1 Ứng suất thiết kế cho tấm một lớp FRP.
Bảng 2/2.7 - Ứng suất thiết kế cho tấm một lớp FRP
| Vật liệu | Cơ cấu | Ứng suất thiết kế σd, tính bằng N/mm2 |
| Một lớp FRP | Tất cả | 0,5σuf |
Trong đó: σuf là độ bền uốn dẻo tới hạn nhỏ nhất, tính bằng N/mm2.
2 Chiều dài yêu cầu của tấm một lớp FRP.
Các công thức tính toán sau đây chỉ đúng nếu tính chất cơ khí theo cả hai hướng của vật liệu khác nhau không quá 25%, nếu không, ô tấm phải được phân tích theo Phụ lục H của Tiêu chuẩn ISO 12215-5.
Chiều dày tối thiểu của tấm một lớp:
![]()
Trong đó:
b là chiều dài cạnh ngắn hơn của ô tấm, tính bằng mm;
kc là hệ số hiệu chỉnh độ cong cho các ô tấm cong quy định ở Bảng 2/2.6;
P là áp lực thiết kế (đáy, mạn, boong và thượng tầng...) của ô tấm, được tính toán theo mục 2.3, tính bằng kN/m2;
k2 là hệ số tỷ số kích thước của ô tấm khi tính toán độ bền uốn được quy định ở Bảng 2/2.5;
σd là ứng suất thiết kế của tấm FRP quy định ở Bảng 2/2.7, tính bằng N/mm2.
Đối với vật liệu FRP, phải quy đổi thành khối lượng của cốt sợi khô wf (tính bằng kg/m2) sử dụng thành phần khối lượng của sợi ψ theo phương pháp ở Phụ lục C của Tiêu chuẩn ISO 12215-5.
3 Sử dụng vật liệu tạo khối
(1) Quy định chung
Vật liệu tạo khối là vật liệu lõi (vải dày, vải có nhiều nhựa, bọt tổng hợp...) dự định để làm tăng chiều dày của tấm. Vật liệu tạo khối hoạt động giống như một thành phần chỉ để chịu lực cắt (giống như ở kết cấu nhiều lớp) hoặc giống như một phần của tấm dùng để truyền lực cắt và uốn dẻo.
(2) Bọt hoặc vải bão hòa nhựa
Vật liệu tạo khối có độ bền lớn hơn 3 N/mm2 có thể được thay thế cho lớp nằm ở trung tâm của tấm FRP một lớp với điều kiện tổng chiều dày t của tấm một lớp xác định theo công thức ở 2. trên tuân thủ các yêu cầu sau:
(a) Nếu chiều dày tổng cộng là 1,15t thì chiều dày vật liệu tạo khối phải bằng 0,33 lần tổng chiều dày tấm, như trường hợp chiều dày vật liệu tạo khối là 0,383t và chiều dày mỗi lớp ngoài là 0,383t.
(b) Nếu chiều dày tổng cộng là 1,30t thì chiều dày vật liệu tạo khối phải bằng 0,50 lần tổng chiều dày tấm, như trường hợp chiều dày vật liệu tạo khối là 0,65t và chiều dày mỗi lớp ngoài là 0,325t.
Nếu tổng chiều dày nằm giữa 1,15t và 1,30t thì chiều dày của vật liệu tạo khối có thể được nội suy.
2.4.3 Tấm kim loại - Thép và hợp kim nhôm
1 Ứng suất thiết kế đối với tấm kim loại được quy định ở Bảng 2/2.8.
Bảng 2/2.8 - Ứng suất thiết kế đối với tấm kim loại
| Vật liệu | Cơ cấu | a Ứng suất thiết kế σd, tính bằng N/mm2 |
| Hợp kim nhôm | Tất cả | 0,6σuw hoặc 0,9σyw |
| Thép | 0,6σu hoặc 0,9σy | |
| Ghi chú: a Lấy giá trị nào nhỏ hơn. | ||
Trong đó:
Đối với thép:
σy là độ bền chảy tối thiểu khi kéo, tính bằng N/mm2.
σut là độ bền kéo tới hạn tối thiểu, tính bằng N/mm2.
Đối với nhôm được hàn:
σyw là độ bền chảy tối thiểu khi kéo ở trạng thái được hàn, tính bằng N/mm2.
σutw là độ bền kéo tới hạn tối thiểu ở trạng thái được hàn, tính bằng N/mm2.
Đối với nhôm được dán keo dính hoặc được liên kết bằng cơ khí thì σy và σut được lấy ở trạng thái không hàn.
2 Chiều dày yêu cầu đối với tấm kim loại
Chiều dày tấm kim loại như tính toán dưới đây không xét đến lượng dư ăn mòn hoặc ảnh hưởng của kỹ thuật gia công. Cần xem xét sử dụng sơn lót nếu cần thiết.
Chiều dày tối thiểu của tấm:
![]()
Trong đó:
b là chiều dài cạnh ngắn hơn của ô tấm, tính bằng mm;
kc là hệ số hiệu chỉnh độ cong cho các ô tấm cong quy định ở Bảng 2/2.6;
P là áp lực thiết kế (đáy, mạn, boong và thượng tầng...) của ô tấm, được tính toán theo mục 2.3, tính bằng kN/m2;
k2 là hệ số tỷ số kích thước của ô tấm khi tính toán độ bền uốn được quy định ở Bảng 2/2.5;
σd là ứng suất thiết kế của tấm kim loại quy định ở Bảng 2/2.8.
2.4.4 Gỗ nhiều lớp hoặc gỗ ván ép có một lớp vỏ
Xem Phụ lục E của Tiêu chuẩn ISO 12215-5 đối với gỗ nhiều lớp hoặc gỗ ván ép có một lớp vỏ.
2.4.5 Tấm FRP nhiều lớp
1 Quy định chung
Mục này áp dụng cho các ô tấm kết cấu nhiều lớp, trong đó lớp vỏ bên ngoài và bên trong là tương tự về mặt bố trí, độ bền và tính đàn hồi. Lớp vỏ được chấp nhận là tương tự khi tỷ số của các tính chất cơ khí khác nhau không quá 25%.
Nếu tính chất của ô tấm không như nêu ở trên thì kết cấu nhiều lớp đó phải được phân tích theo Phụ lục H của Tiêu chuẩn ISO 12215-5. Trong mọi trường hợp, phải tuân thủ yêu cầu về chiều dày chịu cắt quy định ở -4 dưới đây.
2 Ứng suất thiết kế đối với tấm nhiều lớp
Bảng 2/2.9 - Ứng suất thiết kế đối với tấm nhiều lớp

Trong đó:
σut là độ bền kéo tới hạn tối thiểu của lớp vỏ, tính bằng N/mm2.
σuc là độ bền nén tới hạn tối thiểu của lớp vỏ, tính bằng N/mm2.
3 Mô đun chống uốn tối thiểu và mô men thứ hai
Mô đun chống uốn tối thiểu của mặt cắt đối với trục trung hòa của một dải ô tấm kết cấu nhiều lớp phải không nhỏ hơn giá trị tính theo các công thức sau đây:
Mô đun chống uốn tối thiểu của mặt cắt lớp vỏ ngoài của kết cấu nhiều lớp có chiều rộng 1 cm:
![]()
Mô đun chống uốn tối thiểu của mặt cắt lớp vỏ trong của kết cấu nhiều lớp có chiều rộng 1 cm:
![]()
Mô men quán tính tối thiểu yêu cầu đối với dải kết cấu nhiều lớp có chiều rộng 1 cm:
![]()
Trong đó:
b là chiều dài cạnh ngắn hơn của ô tấm, tính bằng mm, nhưng không được lấy lớn hơn 330LH;
kC là hệ số hiệu chỉnh độ cong cho các ô tấm cong quy định ở Bảng 2/2.6;
P là áp lực thiết kế (đáy, mạn, boong...) của ô tấm, tính bằng kN/m2;
k2 là hệ số tỷ số kích thước của ô tấm khi tính toán độ bền uốn được quy định ở Bảng 2/2.5;
k3 là hệ số tỷ số kích thước của ô tấm khi tính toán độ cứng chống uốn được quy định ở Bảng 2/2.5;
k1 = 0,017 là hệ số võng khi uốn kết cấu nhiều lớp;
Eio là giá trị trung bình của mô đun chống uốn mặt trong và mặt ngoài, tính bằng N/mm2 (xem Phụ lục C của Tiêu chuẩn ISO 12215-5); phương pháp tiếp cận này là phù hợp khi mặt trong và mặt ngoài tương tự nhau (khác nhau không quá 25%).
Ứng suất kéo thiết kế ở lớp vỏ ngoài:
σdto là ứng suất kéo thiết kế của lớp vỏ ngoài quy định ở Bảng 2/2.9, tính bằng N/mm2.
Ứng suất nén thiết kế ở lớp vỏ trong:
σdci là ứng suất nén thiết kế của lớp vỏ trong, lấy giá trị nhỏ hơn trong các giá trị sau:
![]()
Trong đó:
EC là mô đun chống uốn chịu nén E của lớp vỏ trong ở trục 0/90 trên mặt phẳng của tấm (xem Phụ lục C của Tiêu chuẩn ISO 12215-5), tính bằng N/mm2.
ECO là mô đun chống uốn chịu nén E của lõi, ở mặt phẳng vuông góc với lớp vỏ (xem Phụ lục D của Tiêu chuẩn ISO 12215-5), tính bằng N/mm2.
GC là mô đun chống cắt của lõi theo hướng song song với tải trọng (xem Phụ lục D của Tiêu chuẩn ISO 12215-5), tính bằng N/mm2.
Công thức (33) có thể được viết lại thành:
![]()
4 Chiều dày yêu cầu đối với khả năng chịu cắt
Để có thể truyền tải trọng cắt, chiều dày hữu hiệu của tấm nhiều lớp ts phải không nhỏ hơn giá trị tính theo công thức sau:
![]()
Trong đó:
ts = tc + 0,5(ti + to) là khoảng cách giữa tâm chiều dày của lớp vỏ của kết cấu nhiều lớp, tính bằng mm.
kC là hệ số hiệu chỉnh độ cong quy định ở Bảng 2/2.6.
to là chiều dày của lớp vỏ ngoài của kết cấu nhiều lớp, không bao gồm lớp keo phủ, tính bằng mm.
ti là chiều dày của lớp vỏ trong của kết cấu nhiều lớp, tính bằng mm.
tc là chiều dày của lõi, tính bằng mm.
kSHC là hệ số tỷ lệ đối với độ bền chịu cắt quy định ở Bảng 2/2.11. Nếu tính chất đàn hồi của lớp vỏ chênh nhau quá 25% theo các trục cơ bản thì kSHC không được lấy nhỏ hơn 0,465.
P là áp lực (đáy, mạn, boong...) của ô tấm, tính theo quy định ở mục 2.3 của Phần này, tính bằng kN/m2.
b là chiều dài cạnh ngắn hơn của ô tấm, tính bằng mm.
là ứng suất cắt thiết kế của lõi, lấy theo Bảng 2/2.10, tính bằng N/mm2.
Bảng 2/2.10 - Độ bền chịu cắt theo thiết kế của lõi kết cấu nhiều lớp
| Vật liệu | Ứng suất cắt thiết kế của lõi |
| Gỗ balsa thớ lật |
|
| Lõi có độ giãn dài khi phá hủy cắt nhỏ hơn 35% (nhựa PVC liên kết chéo...) |
|
| Lõi có độ giãn dài khi phá hủy cắt lớn hơn 35% (nhựa PVC tuyến tính, nhựa Styrene Acrylonitrile...) |
|
| Lõi tổ ong (là loại thích hợp với việc sử dụng trong môi trường biển) |
|
|
| |
Bảng 2/2.11 - Hệ số tỷ lệ đối với độ bền chịu cắt kSHC

5 Độ bền cắt tối thiểu của lõi
Đối với tấm đáy, giá trị độ bền cắt thiết kế của lõi được sử dụng ở -4 phải ít nhất bằng giá trị quy định ở Bảng 2/2.12.
Bảng 2/2.12 - Độ bền cắt thiết kế tối thiểu của lõi theo chiều dài tàu
| LH (m) | < 10 | 10 tới 15 | > 15 |
|
| 0,25 | 0,25 + 0,03(LH − 10) | 0,40 |
6 Yêu cầu tối thiểu đối với khối lượng sợi của vỏ nhiều lớp
Để giảm nguy cơ lớp vỏ bị đâm thủng hoặc hư hỏng, khối lượng sợi yêu cầu tối thiểu, tính bằng kg, trên mỗi mét vuông được tính bằng công thức sau:

Trong đó:
wos là khối lượng sợi trên mỗi mét vuông của lớp vỏ bên ngoài.
wis là khối lượng sợi trên mỗi mét vuông của lớp vỏ bên trong.
k4 là hệ số theo vị trí của kết cấu nhiều lớp (1 đối với đáy, 0,9 đối với vỏ mạn, 0,7 đối với boong).
k5 là hệ số kiểu sợi sử dụng để làm vỏ cho kết cấu nhiều lớp:
k5 = 1,0 nếu là sợi thủy tinh E có chứa tới 50% khối lượng của tấm sợi thủy tinh băm.
k5 = 0,9 đối với cốt sợi thủy tinh liên tục (như trường hợp theo 2 hướng trục, vải dệt, theo một hướng, vải sợi xếp chéo hoặc theo nhiều hướng trục)
k5 = 0,7 đối với cốt liên tục mà sử dụng sợi aramid hoặc sợi các bon hoặc kết hợp cả hai.
k6 là hệ số chất lượng của lớp vỏ của kết cấu nhiều lớp:
k6 = 0,9 đối với tàu có lớp vỏ ngoài của kết cấu nhiều lớp được dự tính sẽ bị thủng sau khi đâm vào vật sắc;
k6 = 1 đối với các tàu còn lại.
Nếu k6 = 0,9 thì trong Hướng dẫn vận hành phải có nội dung cảnh báo là tàu có thể bị thủng nếu đâm phải vật sắc nhọn và phải nhanh chóng sửa chữa hư hỏng đó.
2.4.6 Chiều dày tối thiểu của tấm có một lớp vỏ
1 Chiều dày hoặc khối lượng tối thiểu của lớp gia cường cho thân tàu
Đối với kim loại hoặc gỗ ván ép
![]()
Đối với FRP, khối lượng sợi khô tối thiểu bằng:
![]()
Trong đó:
A, k5, k7 và k8 được định nghĩa ở Bảng 2/2.13. Đối với tàu buồm, V phải được lấy bằng ![]()
Bảng 2/2.13 - Hệ số chiều dày tối thiểu
| Vật liệu | Vị trí | A | k5 | k7 | k8 |
| FRP | Đáy | 1,5 | Như quy định ở 2.4.5-6 của Phần này | 0,03 | 0,15 |
| Mạn, Vách đuôi | 1,5 | 0 | 0,15 | ||
| Nhôm | Đáy | 1,0 |
| 0,02 | 0,1 |
| Mạn, Vách đuôi | 1,0 | 0 | 0,1 | ||
| Thép | Đáy | 1,0 |
| 0,015 | 0,08 |
| Mạn, Vách đuôi | 1,0 | 0 | 0,08 | ||
| Gỗ ván ép | Đáy | 3,0 |
| 0,05 | 0,3 |
| Mạn, Vách đuôi | 3,0 | 0 | 0,3 |
2 Chiều dày boong tối thiểu
Chiều dày boong tối thiểu phải được tính toán theo Bảng 2/2.14.
Bảng 2/2.14 - Chiều dày boong tối thiểu
| Vị trí | Chiều dày boong yêu cầu tối thiểu tmin, tính bằng mm | |||
| FRP | Nhôm | Thép | Gỗ, gỗ ván ép | |
| Boong | k5(1,45 + 0,14LWL) | 1,35 + 0,06LWL | 1,5 + 0,07LWL | 3,8 + 0,17LWL |
2.5 Yêu cầu đối với nẹp
2.5. Yêu cầu đối với cơ cấu nẹp
1 Quy định chung
Tấm phải được làm cứng bằng cách bố trí nẹp. Độ cứng tương đối của cơ cấu đỡ chính và phụ phải sao cho tải trọng được truyền một cách hữu hiệu từ cơ cấu phụ tới cơ cấu chính và sau đó truyền tới tấm vỏ và vách.
2.5.2 Các hệ số hiệu chỉnh liên quan đến đặc tính của nẹp
1 Hệ số độ cong của nẹp kCS
Hệ số độ cong của nẹp kCS phải được lấy theo Bảng 2/2.15.
Bảng 2/2.15 - Hệ số độ cong của nẹp kCS

2 Hệ số diện tích cắt của nẹp kSA
Hệ số diện tích cắt của nẹp kSA phải được lấy theo Bảng 2/2.16.
Bảng 2/2.16 - Hệ số diện tích cắt của nẹp kSA
| Bố trí của nẹp | kSA |
| Được liên kết với tấm | 5 |
| Cách bố trí khác (như trường hợp sử dụng nẹp nổi…) | 7,5 |
2.5.3 Ứng suất thiết kế của nẹp
Bảng 2/2.17 - Ứng suất thiết kế của nẹp

2.5.4 Yêu cầu đối với nẹp được làm bằng các vật liệu tương tự
1 Đối với vật liệu bất kỳ: mô đun chống uốn tối thiểu của mặt cắt và diện tích cắt
Diện tích bản thành Aw và mô đun chống uốn tối thiểu của mặt cắt SM của nẹp, bao gồm cả mép kèm, phải không nhỏ hơn giá trị tính bằng các công thức sau.

Trong đó:
kCS là hệ số độ cong của nẹp, xem Bảng 2/2.15.
kSA là hệ số diện tích cắt của nẹp, xem Bảng 2/2.16.
P là áp lực (đáy, mạn, boong và thượng tầng...) đối với ô tấm, tính bằng kN/m2.
s là khoảng cách các nẹp, tính bằng mm.
lu là chiều dài của nẹp, tính bằng mm.
σd là ứng suất thiết kế của nẹp cho trong Bảng 2/2.17, tính bằng N/mm2.
Aw là diện tích chịu cắt (diện tích mặt cắt ngang của bản thành chịu cắt của nẹp), tính bằng cm2.
là diện tích chịu cắt thiết kế của bản thành chịu cắt như quy định ở Bảng 2/2.17, tính bằng N/mm2.
2 Yêu cầu bổ sung đối với độ cứng của nẹp bằng FRP
Đối với nẹp bằng FRP, mô men thứ hai của diện tích, bao gồm cả tấm mép kèm, phải không nhỏ hơn giá trị tính bằng công thức dưới đây:
![]()
Trong đó:
Etc là trung bình của mô đun chống uốn nén và kéo của vật liệu (xem Phụ lục C của Tiêu chuẩn ISO 12215-5), tính bằng N/mm2.
k1S = 0,05 là hệ số võng của nẹp (độ võng tương đối cho phép y/lu).
2.5.5 Yêu cầu đối với nẹp làm bằng vật liệu không tương tự
Nếu sử dụng vật liệu là không tương tự, trong đó cơ tính sai khác quá 25% so với nhau thì áp dụng mục 11.5 của Tiêu chuẩn ISO 12215-5.
2.5.6 Mép kèm
Trường hợp minh họa về tấm mép kèm được chỉ ra trong Hình 2/2.6. Phạm vi hữu hiệu của tấm phải được tính toán theo Bảng 2/2.18, nhưng không được lấy lớn hơn khoảng cách nẹp thực tế.

Hình 2/2.6 - Các phạm vi hữu hiệu của tấm xung quanh nẹp (nẹp kiểu mũ, mặt cắt chữ L và bẻ góc)
Bảng 2/2.18 - Giá trị của be
| Vật liệu | Thép | Nhôm | FRP một lớp | FRP nhiều lớp | Gỗ, gỗ ván ép |
| be | 80t | 60t | 20t | 20 × (t0 + ti) a | 15t |
| Ghi chú: a Mép kèm lấy bằng 20 lần chiều dày của cả lớp ngoài và lớp trong, được phân tách bởi lõi mà lõi thì không được coi là hữu hiệu, như trường hợp Ecore = 0. | |||||
Nếu nẹp có chiều rộng đáng kể thì mép kèm có thể được tăng thêm tương ứng (xem Hình 2/2.6a).
Các công thức trên áp dụng được cho các kiểu nẹp: nẹp dọc, sườn, vách...
Đối với nẹp chạy dọc lỗ khoét, phạm vi hữu hiệu của mép kèm phải được lấy bằng 50% phạm vi quy định ở trên.
2.5.7 Vách kết cấu
1 Vách bằng gỗ ván ép
Chiều dày của vách bằng gỗ ván ép đặc khi không được đặt nẹp phải không nhỏ hơn:
tb = 7,0Db (mm)
Trong đó:
Db là chiều cao của vách tính từ đáy đến boong tại mạn, tính bằng m.
2 Vách bằng kết cấu FRP nhiều lớp
(1) Lõi
Ngoài các yêu cầu ở (2) và (3) dưới đây thì:
- Độ bền cắt của lõi phải tuân thủ 2.4.5-5 của Phần này và Bảng 2/2.12.
- Chiều dày của lõi phải bằng ít nhất 5 lần chiều dày của lớp vỏ mỏng nhất.
(2) Vách kết cấu nhiều lớp có lớp vỏ đồng nhất bằng gỗ ván ép
Chiều dày của lớp vỏ ts và của lõi tc phải sao cho:
![]()
Trong đó:
tb là chiều dày của vách bằng gỗ ván ép đặc xác định theo Công thức (54)
ts và tc được quy định ở 2.4.5-4 của Phần này.
(3) Vách kết cấu nhiều lớp với lớp vỏ đồng nhất FRP
Chiều dày của lớp vỏ ts và của lõi tc phải sao cho:
![]()
Trong đó:
tb là chiều dày của vách bằng gỗ ván ép đặc.
3 Vách bằng kim loại
Vách bằng kim loại phải được tính toán như đối với vách kín nước.
2.6 Bố trí kết cấu
2.6.1 Nẹp
1 Quy định chung
(1) Tấm vỏ thân tàu, boong và lầu phải được bố trí nẹp phù hợp, bằng sự kết hợp giữa các nẹp dọc và ngang theo truyền thống, bằng các vách kết cấu, bằng nội thất bên trong như là giường và giá để đồ và bằng khuôn đúc bên trong với điều kiện các bố trí này được coi là chịu được tải. Bố trí kết cấu thường được thực hiện bằng các nẹp được đỡ bởi các nẹp có kích thước lớn hơn và khỏe hơn đặt vuông góc với nẹp thường.
(2) Các Hình 2/2.7, 2/2.8 và 2/2.9 mô tả các bố trí kết cấu điển hình mà được xem như là rất tốt. Các cách bố trí này được áp dụng cho cả tàu buồm và tàu không phải tàu buồm và việc kết hợp giữa các cách bố trí này có thể được chấp nhận đối với một tàu riêng lẻ. Các tàu có kích cỡ nhỏ hơn (thường là tàu có chiều dài thân tàu nhỏ hơn 9 m) sử dụng các kết cấu làm cứng tự nhiên như là mép boong, hông tròn, bẻ góc hông, ky đáy… để cấu thành các ô tấm và khi đó thì không cần phải bố trí nẹp bổ sung.
(3) Các cách bố trí thay thế khác
Các cách bố trí thay thế khác có thể được chấp nhận nhưng phải dựa trên các nguyên tắc được công nhận (như mô tả ở các Hình 2/2.7, 2/2.8 và 2/2.9) về mặt truyền ứng suất liên tục và hiệu quả dưới tác dụng của tải áp lực và tải tập trung (cột, ky đáy, bánh lái…) từ điểm tác dụng của tải tới các kết cấu đỡ (xem mục 2.6.3 và 2.6.4).
(4) Tàu có kết cấu dọc
Ở trường hợp như nêu trong Hình 2/2.7, tấm vỏ thân tàu phải được làm cứng bằng các nẹp thường đặt theo hướng dọc được đỡ bằng nẹp khỏe nằm ngang, như sử dụng sườn khỏe, vách và đà ngang khỏe… Trường hợp này được đưa ra là điển hình đối với tàu bằng vật liệu FRP.
(5) Tàu có kết cấu ngang
Ở trường hợp như nêu trong Hình 2/2.8, tấm vỏ thân tàu được làm cứng bằng các khung sườn ngang (nẹp thường) được đỡ điển hình ở tâm tàu, ở bẻ góc hông hoặc vị trí lượn hông và ở vị trí chiều cao của boong. Trên các tàu có kích thước lớn hơn, có thể bố trí thêm các sống (nẹp khỏe) để đỡ các khung sườn này và cũng nhằm để chịu tải trọng chung của dầm thân tàu.
(6) Tàu có kích thước nhỏ, chạy chậm được làm cứng bằng ky đáy, mép be chắn sóng, kết cấu tựa chân và kết cấu chỗ ngồi.
Các tàu có kích thước nhỏ hơn (tàu có chiều dài thân nhỏ hơn 6 m) thường không có nẹp cụ thể. Tuy nhiên, các thành phần thân tàu mà không thực hiện mục đích chính để làm cứng (như các vách phân chia không gian thân tàu…) có thể được coi là làm nhiệm vụ của việc tăng cứng thân tàu. Các thành phần này có thể phải được gia cường để thực hiện nhiệm vụ làm cứng thân tàu. Trong Hình 2/2.9, các thành phần như là kết cấu chỗ ngồi, tủ đựng đồ phía mũi và đuôi, kê chân của khu vực điều khiển và mạn giả được sử dụng để làm nhiệm vụ tăng cứng cho thân tàu.
(7) Các phần tử kết cấu chịu tải
Để được coi là chịu tải thì các cơ cấu đỡ phải được liên kết hữu hiệu với tấm bằng sự kết hợp giữa hàn (liên tục hoặc gián đoạn), dán bằng các chất kết dính đạt chất lượng phù hợp đối với kết cấu (như trường hợp sử dụng các đường keo epoxy để gắn…) hoặc liên kết ở các góc bằng cốt sợi hoặc bằng các phương pháp khác phù hợp với vật liệu. Ngoài ra, các cơ cấu đó phải được kết cấu bằng vật liệu phù hợp với kết cấu thân tàu được quy định trong Chương 4 và phải có thể chịu được các lực và mô men uốn liên quan tới mục đích chịu tải hữu hiệu được nêu ra.

Chú thích: 1. Vách đuôi; 2. Mép gia cường của be chắn sóng; 3. Vách; 4. Nẹp (sống) dọc mạn; 5. Sườn khỏe; 6. Đà ngang khỏe; 7. Nẹp dọc đáy (sống chính hoặc sống phụ).
(Các cơ cấu 1, 3, 5 và 6 coi là nẹp khỏe; các cơ cấu 2, 4 và 7 được coi là nẹp thường)
Hình 2/2.7 - Tàu có kết cấu dọc

Chú thích: 1. Vách đuôi; 2. Vách; 3. Sườn; 4. Vách kín nước; 5. Sống dọc đáy; 6. Đà ngang khỏe; 7. Đà ngang khỏe.
Hình 2/2.8 - Tàu có kết cấu ngang

Chú thích: 1. Nẹp mép mạn giả; 2. Ky đáy; 3. Kết cấu đặt chân; 4. Kết cấu chỗ ngồi; 5. Đà ngang khỏe.
Hình 2/2.9 - Tàu có kích thước nhỏ, chạy chậm được làm cứng bằng ky đáy,
nẹp mép mạn giả, kết cấu đặt chân và kết cấu chỗ ngồi
2.6.2 Độ bền dầm thân tàu
Quy định của mục này dựa trên giả thiết quy chuẩn kết cấu thân tàu và boong được tính toán theo tải trọng cục bộ mà thường được áp dụng cho các tàu có tỷ lệ kích thước thông thường và đặc biệt là áp dụng cho các tàu có kết cấu hệ thống dọc.
Đối với các tàu sau đây, cần đánh giá rõ ràng độ bền dọc và mất ổn định của kết cấu dọc.
- Tàu không phải tàu buồm được kết cấu hệ thống ngang, trong đó: ![]()
- Tàu buồm kết cấu hệ thống ngang mà chịu tải lớn của hệ buồm.
- Tàu có lỗ khoét trên boong rộng hoặc tàu có ![]()
2.6.3 Truyền tải trọng
1 Quy định chung
Đặc điểm hình học và các chi tiết của kết cấu phải được bố trí sao cho đảm bảo việc truyền tải trọng liên tục thông qua các kết cấu. Tải trọng tập trung (như trường hợp chân cột đối với các cột được dựng lên từ sống đáy, thanh chống của cột đối với các cột được dựng lên từ boong…) phải được truyền vào các kết cấu xung quanh thông qua một loạt các cơ cấu đỡ cứng. Trong mọi trường hợp, điểm tập trung của tải trọng không được đặt lên các tấm không được đỡ. Về nguyên tắc, tải trọng tập trung phải được truyền vào các cơ cấu liền kề bằng các mã chịu cắt, bản mặt hoặc sàn. Cần tránh các tải trọng phân bố dạng đường. (Xem mục -5 dưới đây).
Mục -2 dưới đây đưa ra trường hợp điển hình được coi là phù hợp về mặt bố trí truyền tải trọng. Các cách bố trí khác cần phải được xem xét sâu về mặt kỹ thuật.
2 Các trường hợp điển hình được coi là phù hợp về mặt bố trí truyền tải trọng
(1) Các nẹp (thường có mặt cắt chữ L, chữ T, có bản mặt hoặc thanh phẳng…) và sống (bao gồm cả bệ máy) không được kết thúc đột ngột mà phải được kết thúc một cách thích hợp để mở rộng khả năng chịu uốn và chịu cắt tới các cơ cấu đỡ, có mã hoặc không có mã, nhưng phải có liên kết hữu hiệu về mặt kết cấu của bản thành hoặc bản mặt tới các cơ cấu đỡ (xem Hình 2/2.10). Nếu nẹp chỉ chịu tải nhẹ, chúng có thể chỉ cần được vát mép ở hai đầu với điều kiện độ vát của mép phải bằng ít nhất 30% và tấm nằm giữa mút của nẹp và kết cấu đỡ được thiết kế để có thể truyền lực cắt và mô men uốn của nẹp được vát mép. (Xem Hình 2/2.10c).
(2) Đà ngang được giảm dần chiều cao tới chiều cao liên kết với sườn ngang. Nếu không có sườn ngang thì đà ngang được liên kết với tấm mạn trong một khoảng có độ lớn đủ để đảm bảo lực cắt (do mô men uốn của ky đáy hoặc áp lực đáy gây ra) có thể được truyền hoàn toàn vào tấm mạn (xem Hình 2/2.11).
(3) Cần tránh các lỗ khoét và cạnh sắc trên các kết cấu chịu tải (như tấm vỏ, boong, nẹp chính và phụ...). Nếu không tránh được việc phải khoét lỗ thì chiều cao của lỗ khoét không được lớn hơn 50% chiều cao bản thành của cơ cấu và chiều dài của lỗ khoét không lớn hơn 75% chiều cao bản thành của cơ cấu, trừ khi được bù lại một cách hữu hiệu. Lỗ khoét phải có bán kính lượn không nhỏ hơn 12% chiều cao của lỗ khoét hoặc 30 mm, lấy giá trị nào lớn hơn. Cần tránh khoét lỗ ở vị trí 20% của nhịp tính từ gối đỡ và tại vị trí mà tải trọng tập trung tác dụng lên cơ cấu.
3 Các lỗ khoét được chấp nhận trên boong và trên vỏ tàu
Các lỗ khoét trên boong và trên vỏ tàu phải có bán kính lượn không nhỏ hơn 12% chiều rộng của lỗ khoét, nhưng không cần lớn hơn 300 mm và không được nhỏ hơn 50 mm. Quy định này không áp dụng trong trường hợp mép của lỗ khoét được gia cường bằng các thanh kết cấu phẳng hoặc tương đương (xem Hình 2/2.12).
Nên hạn chế các lỗ khoét có cạnh sắc trên các ô tấm và nẹp chịu tải trừ khi được gia cường một cách thích đáng.

Hình 2/2.10 - Chi tiết của nẹp và mã
4 Hệ thống sườn nổi
Hệ thống sườn nổi (xem Hình 2/2.13) là hệ thống mà các nẹp (nẹp nổi) được tỳ hữu hiệu trên các nẹp khác mà không được liên kết trực tiếp vào tấm vỏ tàu. Chỉ có các nẹp được tỳ (gọi là nẹp được liên kết) là gắn trực tiếp vào tấm. Khi phân tích hệ nẹp nổi, mép kèm của nẹp nổi được lấy bằng không.
Đối với tất cả các loại vật liệu, cụ thể là trên tàu bằng kim loại hoặc bằng gỗ mà sử dụng sườn bằng gỗ ván ép, các sườn nổi này thường có mặt cắt chữ liên kết với nẹp dọc có mặt cắt T, L hoặc U. Cần chú ý tới độ bền của khu vực được hàn hoặc gắn keo giữa sườn nổi và nẹp dọc, sự mất ổn định của nẹp dọc do xoắn (vặn) hoặc cắt và bản thành ngang của sườn và tải trọng cắt ngang dạng đường (xem mục -5 dưới đây) mà cần tính toán một cách cụ thể. Diện tích được hàn và dán keo thường không được nhỏ hơn diện tích bản thành của nẹp, Aw, trong Công thức (41).

a) Kết thúc của nẹp trên tấm vỏ, phương pháp không tốt và tốt

b) Đà ngang khỏe, vách lửng
Chú thích:
1. Điểm kết thúc cứng, có nguy cơ nứt, không tốt.
2. Tấm được gia cường, phương pháp được chấp nhận.
3. Đà ngang hoặc vách, phương pháp tốt.
4. Không có kết cấu dọc ở mép trên của đà ngang tấm, phương pháp được chấp nhận.
5. Đế tỳ chân của khu vực ca bin, boong hoặc nẹp dọc bên trên đà ngang, cách làm tốt.
Hình 2/2.11 - Chi tiết kết thúc của nẹp trên tấm

Chú thích:
R: Bán kính lượn (mm).
W: Chiều rộng của lỗ khoét (mm).
Các kích thước trên Hình được tính bằng mm.
Hình 2/2.12 - Bán kính lượn của lỗ khoét trên boong và vỏ tàu

Hình 2/2.13 - Mặt cắt của tàu bằng gỗ có sườn nổi
5 Tải trọng cắt ngang dạng đường
Tải trọng cắt ngang dạng đường xảy ra khi hai cơ cấu chịu lực liên kết vuông góc với nhau. Cần phải tránh cách bố trí như này vì có sự tập trung ứng suất lớn tại điểm liên kết của hai cơ cấu. Trong trường hợp có sự xuất hiện của tải trọng cắt ngang dạng đường thì ít nhất một trong các cơ cấu đó phải được gia cường như trong Hình 2/2.14.

Chú thích:
1. Nơi tập trung ứng suất, các bố trí không tốt.
2. Mã để truyền tải trọng từ tấm nằm ngang tới tấm thẳng đứng, cách làm tốt.
3. Gia cường bằng nẹp có mặt cắt chữ L hoặc được chêm (chỉ sử dụng ở vị trí chịu tải nhẹ), cách làm tốt.
Hình 2/2.14 - Tải trọng cắt ngang dạng đường
6 Các cách bố trí thay thế khác
Các cách bố trí kết cấu khác có thể được chấp nhận với điều kiện phải tuân theo nguyên tắc (như chỉ ra trong các Hình 2/2.10 đến 2/2.14) về mặt truyền ứng suất một cách hữu hiệu và liên tục, bán kính lượn lớn, sử dụng mã liên kết, vát mép đều của vật liệu, tránh tập trung ứng suất và bố trí cẩn thận các lỗ khoét giảm trọng lượng.
2.6.4 Xác định nhịp của nẹp
1 Quy định chung
Để xác định là nẹp có tuân thủ các yêu cầu của mục 2.6 này hay không thì phải xác định được nhịp và khoảng cách cách nẹp.
Khoảng cách nẹp là khoảng cách giữa các nẹp kế tiếp nhau, được đo theo hướng vuông góc với trục của nẹp. Nhịp của nẹp là khoảng cách giữa các gối đỡ. Chiều dài nhịp của nẹp ảnh hưởng lớn đến độ bền chống uốn và độ võng của nẹp.
Để đơn giản hóa việc tính toán, Chương này coi nẹp là một dầm độc lập chịu tác dụng của tải trọng áp lực phân bố đều.
Trong thực tế, kết cấu của tàu cỡ nhỏ thường bao gồm một tập hợp gồm nhiều nẹp ngang giao cắt với một tập hợp gồm nhiều nẹp dọc. Bố trí này có thể được gọi là lưới kết cấu. Mỗi điểm giao cắt của nẹp ngang và nẹp dọc được gọi là giao điểm.
Trong một số trường hợp, có thể chấp nhận lấy nhịp của nẹp bằng khoảng cách giữa các giao điểm kề nhau nhưng trong một số trường hợp thì việc này là không an toàn. Tác dụng đỡ của tập hợp các nẹp này đối với tập hợp các nẹp cắt ngang là một hàm phức hợp của độ cứng uốn tương đối (EI) và kích thước của lưới kết cấu giữa các gối đỡ chắc chắn như là vách, tấm mạn, các kết cấu phân chia và các thành phần kết cấu có kích thước lớn khác. Các quy định sau đây được sử dụng để xác định nhịp của nẹp.
2 Nẹp có kích thước lớn giao cắt với nẹp nhỏ hơn
Nếu một tập hợp các cơ cấu có chiều cao bằng ít nhất hai lần chiều cao của cơ cấu của tập hợp giao cắt kia thì các nẹp có chiều cao lớn hơn này được gọi là cơ cấu chính và các nẹp thấp hơn được gọi là cơ cấu phụ.
Nhịp của cơ cấu chính, lu, là kích thước của lưới kết cấu đo theo chiều dài của cơ cấu chính.
Nhịp của cơ cấu phụ, lu, là khoảng cách giữa các cơ cấu chính.
3 Các nẹp giao cắt với các nẹp khác có kích thước tương đương
(1) Quy định chung
Cách bố trí này thường được thấy ở các tàu có kích cỡ nhỏ được đúc bằng khuôn bên trong (xem Hình 2/2.15). Không có tập hợp cơ cấu nào được coi là chính hoặc phụ vì mức độ đỡ của chúng đối với nhau là không thể xác định được bằng phương pháp đánh giá đơn giản.

Hình 2/2.15 - Tạo hình bằng khuôn đúc bên trong
Trong trường hợp này, phải áp dụng các quy định nêu ở (2) và (3) dưới đây.
(2) Các nẹp được bố trí theo chiều có kích thước nhỏ hơn của lưới kết cấu
Nhịp được sử dụng để xác định mô men uốn và lực cắt thiết kế phải được lấy bằng 60% của kích thước lưới kết cấu.
Áp lực thiết kế phải được xác định theo diện tích thiết kế, AD, dựa trên khoảng cách nẹp và 60% của kích thước lưới kết cấu.
(3) Các nẹp được bố trí theo chiều có kích thước lớn hơn của lưới kết cấu
Nhịp được sử dụng để xác định mô men uốn và lực cắt thiết kế phải được lấy bằng 150% của khoảng cách giữa các giao điểm.
Áp lực thiết kế phải được xác định theo diện tích thiết kế, AD, dựa trên khoảng cách nẹp và 150% của khoảng cách giữa các giao điểm.
2.6.5 Chi tiết kết cấu
Các chi tiết không được quy định trong Chương này thì phải tuân thủ các quy định của Tiêu chuẩn ISO 12215-6.
CHƯƠNG 3 TRANG THIẾT BỊ
3.1 Máy lái, bánh lái và hệ thống chân vịt
3.1.1 Phương tiện lái
1 Tàu phải có phương tiện lái hữu hiệu.
2 Vị trí điều khiển phải được bố trí sao cho người quan sát điều khiển tàu có tầm nhìn rõ ràng đối với việc di chuyển an toàn của tàu.
3 Khi máy lái được điều khiển từ xa, phải có phương tiện lái sự cố trong trường hợp không điều khiển được máy lái. Phương tiện lái sự cố có thể được thực hiện theo các cách dưới đây với sự đồng ý của Đăng kiểm:
(1) Cần lái được lắp vào đầu của trục lái; hoặc
(2) Cần điều khiển được lắp vào khung của hệ thống đẩy chữ Z; hoặc
(3) Mái chèo để lái; hoặc
(4) Trong trường hợp tàu có hai chân vịt, có thể thực hiện phân phối nguồn cấp giữa các động cơ lai. Trong trường hợp tàu được trang bị hệ thống máy đẩy kép (chuyển hướng tàu bằng cách xoay cả động cơ đẩy) thì phải có phương tiện để khoá máy đẩy ở vị trí thẳng; hoặc
(5) Nếu tàu được lắp động cơ ngoài tàu, phải có phương tiện để điều khiển hướng của lực đẩy.
4 Nếu thực tế không thể bố trí lái sự cố, Đăng kiểm có thể xem xét chấp nhận biện pháp, quy trình an toàn thay thế để ứng phó với tình huống hỏng hệ thống lái, có xét đến giới hạn vùng hoạt động của tàu.
5 Hệ thống lái của tàu cỡ nhỏ phải tuân thủ các yêu cầu cụ thể quy định ở mục 3.1.3 dưới đây. Trong trường hợp các quy định ở 3.1.3 dưới đây không phù hợp để áp dụng cho tàu thì có thể áp dụng các quy định của Tiêu chuẩn ISO 13929 hoặc Tiêu chuẩn ISO 10592.
3.1.2 Hệ thống bánh lái
1 Theo cách phù hợp với tàu, vật liệu của bánh lái và trục lái, thiết kế tổng thể (bao gồm bố trí cần lái gắn ở đầu, ổ đỡ và chốt đỡ) và các kết cấu đỡ phải phù hợp với điều kiện hoạt động của tàu và phải tuân thủ các tiêu chuẩn thiết kế phù hợp để áp dụng.
2 Cấu tạo và các phụ tùng phải tuân thủ các tiêu chuẩn phù hợp để áp dụng.
3.1.3 Tiêu chuẩn thiết kế hệ thống lái của tàu cỡ nhỏ
1 Quy định chung
(1) Những yêu cầu của mục 3.1.3 này được áp dụng cho những thiết bị lái có sơ đồ như Hình 2/3.1.
(2) Trừ những trường hợp có sự thống nhất trước với Đăng kiểm, những quy định của mục 3.1.3 này chỉ áp dụng cho các chi tiết bằng thép của thiết bị lái được chế tạo từ vật liệu có giới hạn chảy không nhỏ hơn 235 MPa.
(3) Thiết bị lái phải có bộ phận hạn chế góc quay bánh lái, cho phép bánh lái quay sang mỗi mạn chỉ đến góc β.
![]()
Trong đó:
α - Góc quay bánh lái lớn nhất (độ) theo sự điều khiển của thiết bị lái. Thông thường α ≤ 35°.
Toàn bộ những chi tiết của bộ hạn chế kể cả những chi tiết đồng thời là các chi tiết của thiết bị lái phải được tính toán với mô men xoắn giới hạn trên trục lái, xác định theo công thức:
![]()
Khi đó ứng suất trong các chi tiết này không được quá 0,95σc của vật liệu.
(4) Trên tàu không tự hành, việc lắp đặt thiết bị lái là do yêu cầu của chủ tàu và người thiết kế tùy thuộc vào vùng hoạt động và điều kiện khai thác của tàu. Nếu có lắp đặt thì phải tuân thủ những yêu cầu của mục 3.1.3 này.
2 Trục lái
(1) Những yêu cầu từ (2) đến (5) dưới đây được áp dụng với trục lái làm bằng thép có giới hạn chảy bằng 235 MPa.
(2) Đường kính do ở đầu trục lái không được nhỏ hơn trị số xác định theo công thức sau:
![]()
Trong đó:
A: Diện tích bánh lái, tính bằng m2;
v: Tốc độ tiến lớn nhất của tàu ở chiều chìm thiết kế (tính bằng hải lý/giờ), nhưng không được nhỏ hơn 8 hải lý/giờ; (đối với tàu không tự hành, lấy tốc độ lai dắt lớn nhất);
r: Khoảng cách từ tâm áp lực thủy động đến trục quay bánh lái, xác định theo công thức sau:
![]()
A1: Phần diện tích bánh lái nằm ở phía trước đường tâm trục lái, tính bằng m2;
htb: Chiều cao trung bình phần bánh lái nằm ở phía sau trục quay của bánh lái, tính bằng m;
k: Hệ số lấy bằng:
2,54: Với bánh lái đặt trực tiếp sau chân vịt;
2,25: Với bánh lái không đặt trực tiếp sau chân vịt.

Hình 2/3.1 - Sơ đồ thiết bị lái
(3) Đường kính d1 của trục lái ở tiết diện 1 trên Hình 2/3.1 (ổ đỡ trên) không được nhỏ hơn trị số xác định theo công thức sau:

Trong đó:
l1: Khoảng cách trên đường tâm trục lái, tính từ giữa ổ đỡ trên đến giữa séc tơ lái hoặc cần lái, tính bằng m;
r1: Khoảng cách nhỏ nhất từ đường tâm trục lái đến đường tác dụng của lực tính từ bộ dẫn động lái tại séc tơ lái hoặc cần lái, tính bằng m. Khi bố trí séc tơ lái hoặc cần lái về phía đuôi của đường tâm trục lái thì trị số r1 là dương, phía mũi là âm.
(4) Với những đường kính trục lái kiểu I, đường kính trục lái d2 tại tiết diện 2 (ổ đỡ dưới) trên Hình 2/3.1 không được nhỏ hơn trị số xác định theo công thức sau:
![]()
Trong đó:
h, e: Xem Hình 2/3.1, tính bằng m;
r: Theo (2) trên.
Đường kính trục lái kiểu I tại tiết diện 3 lấy bằng d2.
(5) Với trục lái kiểu II, đường kính trục lái d2 tại tiết diện 2 trên Hình 2/3.1 (chỗ nối bánh lái với trục lái) không được nhỏ hơn trị số xác định theo công thức sau:
![]()
Trong đó:
l2: Khoảng cách trên đường tâm trục lái tính từ giữa ổ đỡ dưới đến giữa ổ đỡ trên, tính bằng m (xem Hình 2/3.1).
(6) Trong trường hợp dùng trục lái rỗng thì mô đun chống uốn của các tiết diện tương ứng không được nhỏ hơn mô đun chống uốn đối với trục đặc xác định theo (2) đến (5) trên đây.
(7) Sự thay đổi đường kính trục lái giữa các tiết diện gần nhau phải được chuyển tiếp dần dần theo quy luật tuyến tính, chỗ thay đổi đột ngột phải được lượn tròn với bán kính lớn đến mức có thể được. Bán kính lượn ở mối nối trục với bích phải không nhỏ hơn 0,12 đường kính trục lái tại bích.
(8) Đối với trục lái làm bằng vật liệu có giới hạn chảy lớn hơn 235 MPa nhưng không quá 400 MPa, cho phép giảm bớt các đường kính trục lái do, d1 và d2 (tính ở (2) đến (5) trên) tỉ lệ thuận với hệ số bằng ![]()
Trong đó:
σc : Giới hạn chảy của vật liệu trục lái, tính bằng MPa, được lấy không lớn hơn 400 MPa. Tuy nhiên, khi giảm đường kính trục lái như vậy, khi tính toán theo các điều -3 đến -7 dưới đây, d1 và d2 được lấy là các giá trị của chúng trước khi giảm theo mục này.
3 Bánh lái
(1) Chiều dày tôn bao bánh lái lưu tuyến (s) phải không được nhỏ hơn trị số sau:
![]()
(2) Tôn bao bánh lái lưu tuyến phải được gia cường bằng các nẹp ngang và nẹp đứng phía trong. Chiều dày nẹp không được nhỏ hơn chiều dày tôn bao bánh lái. Các nẹp này phải có đủ số lỗ khoét để nước dễ thoát ra khi lọt vào các ngăn của bánh lái.
(3) Chiều dày tôn mặt trên và mặt dưới của bánh lái lưu tuyến không được nhỏ hơn 1,2 lần chiều dày tôn bao bánh lái (s) tính theo (1) trên. Trên hai tấm này phải đặt các lỗ có nút vặn bằng thép không gỉ.
(4) Chiều dày s1 của tôn bao bánh lái tấm không được nhỏ hơn trị số xác định theo công thức:
s1 = 0,8d0 + 4 (mm)
(5) Tại vùng trục quay của bánh lái lưu tuyến phải đặt một hoặc vài nẹp đứng gia cường, còn bánh lái tấm phải đặt các nẹp ngang (sống tấm lái), để đảm bảo độ bền chung của bánh lái. Mô đun chống uốn tiết diện ngang của các nẹp gia cường đứng nêu trên, bao gồm cả dải tôn mặt mút, nẹp ngang (sống tấm lái), phải không nhỏ hơn:
(a) Đối với bánh lái kiểu I:
Tại mép trên ![]()
Từ mép trên, mô đun chống uốn này có thể giảm dần xuống còn 50% tại mép dưới của bánh lái.
(b) Đối với bánh lái kiểu II:
![]()
(c) Đối với bánh lái kiểu III:
![]()
Trong đó:
m = 0,012 với bánh lái có 2 bản lề;
m = 0,003 với bánh lái có 3 bản lề.
4 Liên kết của trục lái với bánh lái
(1) Đường kính d3 của bu lông ghép trục lái với bánh lái bằng bích nối phải không nhỏ hơn trị số:
![]()
Trong đó:
di: Đường kính trục lái ở mặt bích nối, tính bằng cm.
Đối với bánh lái kiểu I, II (Hình 2/3.1), lấy di = d2 theo -2(4) và -2(5) trên đây;
Với bánh lái kiểu III, lấy di = d0 theo -2(2) trên đây.
z : Số bu lông nối;
r2: Khoảng cách trung bình từ tâm bu lông đến tâm của mặt bích, tính bằng cm.
(2) Tất cả các bu lông phải được lắp chặt. Bu lông và đai ốc phải được hãm chặt.
(3) Chiều dày bích nối không được nhỏ hơn đường kính bu lông nối. Tâm lỗ bu lông phải cách mép ngoài mặt bích một khoảng không nhỏ hơn 1,15 lần đường kính d3 của bu lông ghép trục lái với bánh lái bằng bích nối.
(4) Nếu mối nối trục lái với bánh lái là kiểu hình côn thì chiều dài đoạn côn của trục lái không được nhỏ hơn 1,5 lần đường kính trục lái tại vùng nối, độ côn không quá 1/10.
(5) Trên đường sinh của đoạn côn phải đặt then. Diện tích làm việc của tiết diện then (tích của chiều dài và chiều rộng nêm) phải không được nhỏ hơn trị số xác định theo công thức sau:
![]()
Trong đó:
σc: Giới hạn chảy của vật liệu làm then, tính bằng MPa.
Chiều cao của then không được nhỏ hơn 1/2 chiều rộng của then.
(6) Đường kính ngoài trục lái tại rãnh nêm không được nhỏ hơn 0,9 đường kính nhỏ nhất của hình côn. Chiều cao đai ốc hãm không được nhỏ hơn 0,8 đường kính ngoài trục lái tại rãnh nêm. Đai ốc phải được hãm tin cậy.
(7) Những kiểu nối khác phải được Đăng kiểm xem xét, thống nhất chấp nhận.
5 Chốt lái
(1) Đường kính chốt lái bao gồm cả phần áo bọc của nó (nếu có), đối với bánh lái kiểu II (xem Hình 2/3.1) không được nhỏ hơn trị số:

Trong đó:
P : Áp lực, theo Bảng 2/3.1, tính bằng MPa.
Bảng 2/3.1 - Áp lực P
| Nhóm vật liệu kết hợp với nhau | P (MPa) |
| Thép không gỉ hoặc đồng thanh với gỗ gai ắc | 2,4 |
| Thép không gỉ với sợi nhân tạo | 5,0 |
| Thép không gỉ với đồng thanh hoặc ngược lại | 6,9 |
(2) Đường kính chốt lái bao gồm cả phần áo bọc của nó (nếu có), đối với bánh lái kiểu III (xem Hình 2/3.1) không nhỏ hơn trị số:
![]()
(3) Chiều dài đoạn hình trụ của chốt phải không nhỏ hơn đường kính chốt lái d4 và không lớn hơn 1,3 lần đường kính chốt lái d4.
(4) Chiều dài đoạn hình côn chốt dưới bắt chặt vào gót lái hoặc khung sống lái không được nhỏ hơn d4, độ côn không quá 1/10. Đường kính ngoài phần có ren của chốt không được nhỏ hơn 0,8 đường kính nhỏ nhất của đoạn hình côn. Chiều cao đai ốc hãm không nhỏ hơn 0,6 đường kính ngoài phần có ren của chốt. Chốt và đai ốc hãm phải được hãm tin cậy.
6 Ổ đỡ trục lái
(1) Phải lắp các ổ đỡ chặn để đỡ bánh lái và trục lái. Phải có biện pháp chống dịch chuyển chiều trục của bánh lái và trục lái lên phía trên quá độ dịch chuyển cho phép của kết cấu hệ thống truyền động lái.
(2) Ở chỗ trục lái chui qua phần trên của ống bao trục lái phải lắp các ổ nén tết để ngăn ngừa nước lọt vào thân tàu. Các ổ nén tết phải bố trí ở chỗ dễ tiếp cận để kiểm tra và bảo quản.
(3) Phải kiểm tra kích thước ổ đỡ đã chọn theo áp lực quy định. Chiều cao làm việc của bạc lót ổ đỡ (hbl), không được nhỏ hơn trị số:
![]()
Trong đó:
di: Đường kính trục lái kể cả áo bọc (nếu có) tại ổ đỡ có bạc lót, tính bằng cm.
Ri: Trị số phản lực tính toán tại ổ đỡ, tính bằng N.
(a) Phản lực của ổ đỡ trên (bánh lái kiểu I)
![]()
(b) Phản lực của ổ đỡ dưới (bánh lái kiểu I)
![]()
(c) Phản lực của ổ đỡ trên (bánh lái kiểu II)
![]()
(d) Phản lực của ổ đỡ trên (bánh lái kiểu III) lấy bằng 0.
7 Thiết bị dẫn động lái
(1) Nếu không có lưu ý gì khác, mỗi tàu phải có 2 thiết bị dẫn động lái bao gồm thiết bị dẫn động lái chính và thiết bị dẫn động lái dự phòng.
(2) Thiết bị dẫn động lái chính phải có khả năng quay bánh lái ở trạng thái ngập hoàn toàn trong nước từ 35° mạn này sang 35° mạn kia ở tốc độ tiến lớn nhất của tàu và thời gian quay bánh lái từ 35° mạn này sang 30° mạn kia không quá 28 giây ở tốc độ tiến lớn nhất của tàu.
(3) Thiết bị dẫn động lái dự phòng phải độc lập với thiết bị dẫn động lái chính và phải đảm bảo quay bánh lái từ 20° mạn này sang 20° mạn kia trong thời gian không quá 60 giây với tốc độ tiến của tàu bằng nửa tốc độ lớn nhất nhưng không dưới 5 hải lý/giờ.
(4) Thiết bị dẫn động lái chính có thể dùng tay quay nếu tuân thủ quy định ở (2) trên với lực tác động vào tay quay lái không quá 120 N và số vòng quay của tay quay lái không quá 25 vòng cho một lần quay lái hoàn toàn. Nếu yêu cầu này không thực hiện được thì thiết bị dẫn động lái chính phải được truyền động bằng nguồn năng lượng khác. Cũng có thể dùng cần lái nếu tuân thủ quy định ở (2) trên với điều kiện lực tác động lên cần lái không vượt quá 160 N khi một người lái. Trường hợp này không cần trang bị thiết bị dẫn động lái dự phòng.
(5) Nếu thiết bị dẫn động lái chính bao gồm 2 bộ truyền động độc lập giống nhau thì không phải trang bị thiết bị dẫn động lái dự phòng.
(6) Thiết bị dẫn động lái dự phòng có thể bằng vô lăng nếu tuân thủ quy định ở (3) trên với lực tác động vào tay quay vô lăng lái không quá 160 N khi một người lái và số vòng quay của vô lăng lái không quá 25 vòng cho một lần quay lái hoàn toàn.
Có thể dùng cần lái - ròng rọc - pa lăng hoặc cần lái làm thiết bị dẫn động lái dự phòng nếu tuân thủ quy định ở (3) trên với lực tác động vào dây tời không quá 160 N khi một người làm việc. Các trường hợp còn lại, thiết bị dẫn động lái dự phòng phải được truyền động từ nguồn năng lượng khác.
(7) Các dạng thiết bị lái khác phải tuân thủ các yêu cầu liên quan ở Phần 3 và Phần 4 của Quy chuẩn này.
3.1.4 Hệ trục chân vịt
1 Theo cách phù hợp với tàu, vật liệu chế tạo trục chân vịt và thiết kế tổng thể (bao gồm giá đỡ trục, cố định chân vịt, ổ đỡ, ống bao trục và kết cấu đỡ lực đẩy) và các kết cấu đỡ phải thích hợp với điều kiện hoạt động của tàu và phải tuân thủ các tiêu chuẩn thiết kế phù hợp để áp dụng.
2 Cấu tạo và các phụ tùng phải tuân thủ các tiêu chuẩn phù hợp để áp dụng.
3.2 Neo và cáp neo
3.2.1 Quy định chung
1 Các yêu cầu nêu ở Bảng 2/3.2 được áp dụng đối với tàu có hình dáng bình thường mà có thể tránh được bão khi thả neo. Neo và cáp neo không được thiết kế để giữ tàu không bị trôi dạt ở bờ biển hở trong điều kiện thời tiết khắc nghiệt cũng như là dừng tàu khi đang di chuyển.
2 Tàu phải có trang bị để chứa neo và cáp neo.
3.2.2 Neo
1 Các giá trị được cho trong Bảng 2/3.2 đối với khối lượng là áp dụng cho neo có độ bám cao. Các neo có thiết kế khác có thể được chấp nhận dựa trên kết quả thử độ bám.
2 Khi tàu được trang bị neo kiểu ngư dân (xem Hình 2/3.2) thì khối lượng nêu trong Bảng 2/3.2 phải được tăng lên 75% nhưng đường kính của cáp neo thì không cần phải tăng lên.

Hình 2/3.2 - Neo kiểu ngư dân
3 Đối với các tàu có mặt hứng gió lớn bất thường, do có mạn khô cao, hệ dây buồm và cột buồm lớn, thượng tầng và lầu lớn thì khối lượng của neo và đường kính của cáp neo phải được tăng hơn so với giá trị yêu cầu ở Bảng 2/3.2 để phù hợp với tải trọng gió được tăng lên. Lượng tăng của khối lượng neo và độ bền tương ứng của cáp neo phải tuân thủ yêu cầu của Đăng kiểm.
4 Đối với các tàu có hình dáng bất thường hoặc không thông dụng (bao gồm cả sà lan pông tông) thì kích thước của neo và cáp neo phải tuân thủ yêu cầu của Đăng kiểm.
5 Neo phải được đặt ở vị trí sẵn sàng cho sử dụng. Chỉ trong các trường hợp mà do đặc thù vận hành của tàu thì mới cho phép neo ở vị trí không sẵn sàng để sử dụng (như trường hợp tàu làm nhiệm vụ hoa tiêu).
6 Thiết kế của neo phải tuân thủ các quy định liên quan phù hợp để áp dụng.
7 Neo làm bằng thép không gỉ hoặc nhôm phải được xem xét một cách riêng biệt dựa trên việc thử tải mà neo được thiết kế để chịu.
3.2.3 Cáp neo
1 Chiều dài cáp neo gắn vào neo phải phù hợp với vùng hoạt động của tàu, thông thường được lấy lớn hơn hoặc bằng 4 lần chiều dài trung bình của tàu hoặc 30 m, lấy giá trị nào lớn hơn, đối với mỗi neo chính và neo phụ.
2 Cáp của neo chính và neo phụ có thể là dạng xích hoặc dạng dây.
3 Khi cáp neo được làm bằng cáp sợi hoặc cáp thép thì phải có dây xích ở giữa cáp và neo với chiều dài không nhỏ hơn 10 m hoặc 20% chiều dài cáp tối thiểu theo yêu cầu, lấy giá trị nào lớn hơn. Nếu cáp neo là cáp thép thì việc thay thế đoạn xích vừa nêu bằng neo, xích có khối lượng tăng cường sẽ được Đăng kiểm xem xét, trong đó đặc biệt chú ý đến đặc tính hoạt động của hệ neo, như độ võng của cáp...
4 Độ bền, hình dáng và vật liệu của cáp neo và liên kết của cáp với neo và với tàu phải được Đăng kiểm thẩm định.
5 Hệ thống neo mà có tời neo thì mút cuối của cáp neo phải được liên kết chặt với kết cấu của tàu và có thể nhả ra được trong tình huống khẩn cấp.
6 Dây cáp neo bằng thép phải có mắt khuyên ở cả hai đầu.
3.2.4 Dây kéo tàu
1 Tàu phải được trang bị một dây kéo có chiều dài và đường kính không nhỏ hơn chiều dài và đường kính của cáp neo phụ. Dây kéo tàu có thể là dây của neo thứ hai và trong trường hợp tàu hoa tiêu thì dây kéo này có thể là cáp của neo phụ.
3.2.5 Vận hành
1 Khi khối lượng neo lớn hơn 30 kg thì phải có phương tiện cơ giới hữu hiệu để kéo, thả neo.
2 Phải có một điểm buộc chắc chắn trên boong mũi hoặc kết cấu tương đương và nếu thích hợp thì phải có thiết bị chuyển hướng dây hoặc con lăn ở đầu của sống mũi.
3 Đối với Vùng hoạt động 0, 1, 2 hoặc 3:
(1) Tàu phải có ít nhất hai neo (một chính và một phụ hoặc cả hai đều là neo chính) và cáp neo tuân thủ các yêu cầu ở 2.2.1 của Phần này và được chọn theo Bảng 2/3.2.
(2) Neo có độ bám tương đương có thể được trang bị cho tàu.
4 Đối với Vùng hoạt động 4 và 5:
Tàu phải có ít nhất hai neo (một chính và một phụ hoặc cả hai đều là neo chính), khối lượng của neo không được nhỏ hơn 90% giá trị quy định ở Bảng 2/3.2, cùng với cáp neo tương ứng được Đăng kiểm thẩm định.
5 Vùng hoạt động là Vùng 6:
Phải trang bị một neo có khối lượng phù hợp với kích cỡ và kiểu tàu và neo ít nhất phải có khối lượng tương ứng với khối lượng của neo phụ như quy định ở Bảng 2/3.2.
Bảng 2/3.2 - Neo và cáp neo
| Chiều dài tàu trung bình (xem chú thích 3) | Khối lượng neo | Đường kính cáp neo | ||||
| Neo chính | Neo phụ | Cáp neo chính | Cáp sợi neo chính | Cáp neo phụ | Cáp sợi neo phụ | |
| (m) | (kg) | (kg) | (mm) | (mm) | (mm) | (mm) |
| 6 | 8 | 4 | 6 | 12 | 6 | 10 |
| 7 | 9 | 4 | 8 | 12 | 6 | 10 |
| 8 | 10 | 5 | 8 | 12 | 6 | 10 |
| 9 | 11 | 5 | 8 | 12 | 6 | 10 |
| 10 | 13 | 6 | 8 | 12 | 6 | 10 |
| 11 | 15 | 7 | 8 | 12 | 6 | 10 |
| 12 | 18 | 9 | 8 | 14 | 8 | 12 |
| 13 | 21 | 10 | 10 | 14 | 8 | 12 |
| 14 | 24 | 12 | 10 | 14 | 8 | 12 |
| 15 | 27 | 13 | 10 | 14 | 8 | 12 |
| 16 | 30 | 15 | 10 | 14 | 8 | 12 |
| 17 | 34 | 17 | 10 | 14 | 8 | 14 |
| 18 | 38 | 19 | 10 | 16 | 8 | 14 |
| 19 | 42 | 21 | 12 | 16 | 10 | 14 |
| 20 | 47 | 23 | 12 | 16 | 10 | 14 |
| 21 | 52 | 26 | 12 | 16 | 10 | 14 |
| 22 | 57 | 28 | 12 | 19 | 10 | 16 |
| 23 | 62 | 31 | 12 | 19 | 10 | 16 |
| 24 | 68 | 34 | 12 | 19 | 10 | 16 |
Chú thích:
1. Đường kính cáp xích được quy định cho đoạn xích nối ngắn. Cáp xích phải có kích thước tuân thủ tiêu chuẩn phù hợp để áp dụng.
2. Đường kính của cáp sợi là quy định cho cáp sợi có cấu tạo bằng dây ni lông. Khi sử dụng cáp sợi bằng vật liệu khác thì tải kéo đứt phải không nhỏ hơn tải kéo đứt của cáp sợi ni lông quy định trong Bảng.
3. Chiều dài tàu trung bình = (Chiều dài tàu + Chiều dài đường nước) / 2.
3.3 Khu vực sinh hoạt
3.3.1 Quy định chung
1 Tay bám và thanh bám
Phải trang bị đủ tay bám và thanh bám trong khu vực sinh hoạt để đảm bảo người có thể di chuyển an toàn khi tàu trên biển.
2 Cố định các thiết bị nặng
(1) Các thiết bị nặng như là ắc quy, thiết bị nấu ăn… phải được cố định chắc chắn tại một chỗ để đảm bảo không bị xê dịch do các chuyển động quá mức của tàu. Trong trường hợp tàu buồm thì chuyển động quá mức của tàu phải bao gồm các chuyển động mà dẫn tới lật tàu.
(2) Tủ chứa mà có vật nặng bên trong thì phải có nắp đậy hoặc cửa được giữ chắc chắn.
3 Bố trí tiếp cận và thoát nạn
Phương tiện thoát nạn từ khu vực sinh hoạt phải tuân thủ các yêu cầu ở 1.3-1, 1.3-3 Phần 7 và 1.8 Phần 5 Mục II của Quy chuẩn này.
4 Thông gió
Các buồng sinh hoạt phải được thông gió đầy đủ.
3.3.2 Tàu hoạt động trên biển lâu hơn 24 giờ
1 Thông gió
Đối với các tàu có từ 9 người trở lên có giường nằm dưới boong, nếu không có hệ thống điều hoà thì phải trang bị thông gió cơ giới cho các khu vực sinh hoạt mà nằm hoàn toàn bên dưới chiều cao của boong thời tiết. Hệ thống thông gió đó phải được thiết kế đến mức có thể để cung cấp 6 lần trao đổi khí một giờ khi cửa tiếp cận khu vực đó bị đóng.
2 Chiếu sáng
Buồng sinh hoạt và buồng làm việc kín phải được chiếu sáng đầy đủ bằng hệ thống chiếu sáng sử dụng điện.
3 Nước uống
(1) Hệ thống nước ngọt để uống phải được cung cấp đầy đủ và có ống dẫn tới các vị trí tiện lợi trong khu vực sinh hoạt.
(2) Ngoài ra, tàu phải có nguồn nước uống khẩn cấp (dự trữ riêng) với tỷ lệ 2 lít cho một người trên tàu.
4 Phương tiện để ngủ
Mỗi người trên tàu phải được trang bị giường tầng hoặc giường gấp và ít nhất 50% số giường đó phải có tấm chắn hoặc bạt chắn.
5 Bếp
(1) Bếp phải có phương tiện để nấu ăn và chậu rửa và phải có bề mặt làm việc đủ để chuẩn bị đồ ăn.
(2) Khi thiết bị nấu ăn được lắp thiết bị chống rung lắc thì phải được bảo vệ bằng thanh chống va đập hoặc các phương tiện khác để ngăn thiết bị bị nghiêng khi xoay tự do và phải có dây đeo, thanh di động hoặc các phương tiện khác để cho phép người nấu được cố định ở một vị trí, với cả hai tay rảnh để làm việc, khi tàu bị lắc ngang. Cần phải có phương tiện để khóa cơ chế chống rung lắc để ngăn chuyển động.
(3) Phải có kho dự trữ đồ ăn gần với bếp.
6 Phương tiện vệ sinh
(1) Tàu phải trang bị phương tiện vệ sinh tách biệt với khu sinh hoạt dành cho mọi người trên tàu.
(2) Phải có ít nhất một bồn cầu xả nước kiểu dùng trên tàu biển và một chậu rửa tay cho mỗi 12 người trên tàu.
7 Phương tiện cất giữ hành lý
Phải có đủ phương tiện cất giữ quần áo và hành lý cho mỗi người trên tàu.
3.4 Thiết bị chằng buộc
1 Các cột bích, sô ma và các chi tiết khác của thiết bị chằng buộc phải được thiết kế sao cho ứng suất sinh ra ở các chi tiết đó không vượt quá 0,95 lần giới hạn chảy của vật liệu tạo nên chúng trong trường hợp cáp chằng buộc chịu sức kéo bằng tải trọng thử kéo đứt của các cáp chằng buộc này.
2 Tàu có chiều dài L từ 8 m trở lên phải trang bị 4 cột bích đôi, đường kính ngoài của cột bích không nhỏ hơn 75 mm. Vùng đặt cột bích phải được gia cường thích đáng.
3 Mỗi tàu phải trang bị 2 sợi cáp thép chằng buộc có đường kính không nhỏ hơn 11 mm hoặc các loại cáp khác có lực kéo đứt tương đương. Mỗi sợi dài 50 m.
4 Tàu có chiều dài dưới 8 m phải trang bị 4 cột bích đôi có đường kính ngoài không nhỏ hơn 50 mm. Mỗi tàu phải trang bị 2 sợi cáp nilon có đường kính không nhỏ hơn 10 mm, mỗi sợi dài 50 m.
5 Cho phép sử dụng cáp chằng buộc làm cáp kéo khi cần thiết.
| QCVN 03:2025/BGTVT | MỤC II – PHẦN 3 |
PHẦN 3 HỆ THỐNG MÁY TÀU
CHƯƠNG 1 MÁY TÀU
1.1 Quy định chung
1 Hệ thống máy phải tuân thủ các yêu cầu trong Chương này. Các hệ thống mà không phù hợp thì có thể được chấp nhận với điều kiện phải đưa ra được toàn bộ thông tin liên quan đến hệ thống và được Đăng kiểm thẩm định.
2 Đối với tàu có động cơ, máy của hệ thống đẩy chính và các máy phụ cần thiết cho hệ thống đẩy và an toàn của tàu phải được thiết kế để có thể hoạt động khi tàu không bị nghiêng và khi bị nghiêng, bị chúi ở bất kỳ góc nào tương ứng cho đến 15° và 7,5° ở trạng thái tĩnh.
3 Đối với tàu buồm, máy của hệ thống đẩy chính và các máy phụ cần thiết cho hệ thống đẩy và an toàn của tàu phải được thiết kế để có thể hoạt động khi tàu không bị nghiêng và khi bị nghiêng ở bất kỳ góc nào cho đến 15° ở trạng thái tĩnh và 22,5° ở điều kiện lắc ngang động và đồng thời chúi 7,5° về phía mũi hoặc đuôi trong điều kiện lắc dọc động.
1.2 Động cơ điêzen
Tàu có động cơ điêzen lắp bên ngoài hoặc bên trong thì phải được trang bị động cơ phù hợp với điều kiện hàng hải và có hệ thống két chứa nhiên liệu đủ cho vùng hoạt động của tàu.
1.3 Động cơ xăng
1 Động cơ xăng có thể được chấp nhận với điều kiện động cơ đó có kiểu phù hợp để lắp bên ngoài tàu.
(1) Tàu thuộc bất kỳ kiểu nào đều có thể được phép lắp động cơ nhỏ (thường có công suất dưới 3,8 kW) được chế tạo có két nhiên liệu gắn liền, với điều kiện dán biển cảnh báo an toàn một cách chi tiết về các biện pháp phòng ngừa thích hợp khi đổ nhiên liệu vào bình.
(2) Tàu mà không phải là tàu bơm hơi thì phải cấp nhiên liệu cho động cơ từ:
(a) Két nhiên liệu được lắp cố định có cấu tạo phù hợp với Tiêu chuẩn ISO 10088 hoặc các tiêu chuẩn tương đương khác và trong trường hợp tàu có boong thời tiết kín nước thì phải có bố trí sao cho khi thực hiện các thao tác liên quan đến nhiên liệu thì phần rò rỉ sẽ chảy trực tiếp ra ngoài mạn; hoặc
(b) Két rời có dung tích từ 27 lít trở xuống tuân thủ Tiêu chuẩn ISO 13591 hoặc các tiêu chuẩn tương đương khác.
(3) Tàu bơm hơi phải cấp nhiên liệu cho động cơ từ một két rời có dung tích từ 27 lít trở xuống tuân thủ Tiêu chuẩn ISO 13591 hoặc các tiêu chuẩn tương đương phù hợp để áp dụng.
2 Ở các vị trí mà hơi hydro các bon có thể tích tụ thì phải bố trí một cảm biến khí hydro các bon thích hợp bên dưới hoặc liền kề với két nhiên liệu (được đặt ở khu vực an toàn). Bộ phận cảm biến và các thiết bị điện khác đặt ở khu vực có hơi thì phải là loại không tạo ra tia lửa điện.
3 Tàu phải có bố trí két nhiên liệu phù hợp với vùng hoạt động, không được chở bình đựng xăng dự trữ xách tay ở trên tàu trừ khi xem xét thấy cần thiết để đảm bảo hoàn thành an toàn chuyến hành trình hoặc chuyến đi (xem mục 1.7 dưới đây).
4 Cần phải chú ý đến các yêu cầu đối với bố trí thiết bị điện (mục 1.6 Phần 4 Mục II của Quy chuẩn này).
1.4 Lắp đặt
1 Máy, két nhiên liệu và hệ thống ống và phụ tùng liên quan phải được thiết kế và cấu tạo phù hợp với các công việc mà chúng dự định phải thực hiện. Các thành phần này phải được lắp đặt và bảo vệ sao cho giảm tối đa nguy hiểm cho con người khi di chuyển bình thường quanh tàu, trong đó đặc biệt quan tâm tới các phần chuyển động, bề mặt nóng và các mối nguy hiểm khác.
2 Phải có biện pháp để cách ly nguồn nhiên liệu mà có thể gây cháy trong khoang động cơ. Phải lắp một van hoặc vòi trên đường ống cấp nhiên liệu, càng gần két nhiên liệu càng tốt, mà có thể đóng được từ bên ngoài khoang động cơ.
3 Các đường ống nạp và thông hơi nhiên liệu phải được làm bằng loại vật liệu chịu được xoắn gập, tương thích với nhiên liệu, được nâng đỡ thích hợp và có đủ kích thước để tránh bị tràn trong quá trình nạp.
4 Ống thông hơi phải được dẫn đến không gian khí hở, kết thúc ở một vị trí ngang bằng hoặc cao hơn so với miệng nạp nhiên liệu và đầu hở của ống thông hơi được bảo vệ chống:
(1) Nước xâm nhập - bằng cổ ngỗng hoặc các phương tiện thích hợp khác; và
(2) Đối với động cơ xăng hoặc nếu có nguy cơ lửa xâm nhập: lưới chắn phù hợp (mà có thể tháo ra để làm sạch).
5 Trong một phần của hệ thống cung cấp nhiên liệu, nếu sử dụng một đoạn ống mềm thì đoạn ống mềm đó phải có khả năng chống cháy, gia cố bằng kim loại hoặc nếu không thì phải được bảo vệ chống lửa tuân thủ Tiêu chuẩn ISO 7840 hoặc các tiêu chuẩn tương đương khác. Đoạn ống mềm phải được giữ chặt bằng kẹp ống bằng kim loại hoặc bằng các phụ kiện đầu cuối được gắn cố định (như trường hợp sử dụng ống lồng được dập hoặc ống lồng và đoạn chèn có ren…). Khi sử dụng kẹp ống thì phụ kiện mà đoạn ống mềm gắn vào phải có các mấu hạt, loe, rãnh tròn hoặc các phương tiện chống tụt khác, phương tiện chống tụt đó phải không tạo ra đường dẫn cho nhiên liệu rò rỉ.
6 Khi hệ thống dầu nhiên liệu của máy chính được trang bị thiết bị lọc phân ly nước với kiểu mà có các bát bằng nhựa hoặc thủy tinh thì chúng phải được bố trí sao cho có thể nhìn thấy rõ ràng và được bảo vệ chống lại nhiệt độ và hư hỏng do vô ý.
1.5 Khởi động và dừng động cơ
1 Động cơ phải có phương tiện khởi động bằng cơ khí hoặc bằng tay hoặc bằng điện sử dụng các ắc quy độc lập hoặc bằng các phương tiện tương đương khác.
2 Khi biện pháp khởi động duy nhất là dùng ắc quy thì ắc quy đó phải được trang bị kép và được kết nối với mô tơ khởi động thông qua ‘công tắc chuyển đổi’ sao cho từng ắc quy có thể được sử dụng để khởi động động cơ. Phải có phương tiện nạp ắc quy. Trong trường hợp bình thường, không nên xả song song cả hai ắc quy.
3 Động cơ đốt trong phải có phương tiện tin cậy để dừng từ xa ở bên ngoài buồng máy.
4 Các tàu bơm hơi, tàu có gắn phao nổi và tàu hở mà có thể đạt được tốc độ lướt, khi được trang bị bộ điều khiển bướm ga từ xa, thì phải có dây hãm (kill-cord), mà sử dụng được trong quá trình vận hành.
1.6 Các thiết bị xách tay
1 Nếu trên tàu có thiết bị xách tay chạy bằng động cơ xăng thì thiết bị đó phải được đặt trên boong thời tiết, trừ khi nhiên liệu được tháo ra hoàn toàn.
(1) Thay vào đó, thiết bị này có thể được cất giữ trong kho boong hoặc trong các buồng kín được bảo vệ và phải tuân thủ các yêu cầu sau:
(a) Kín hơi so với bên trong tàu;
(b) Không thể mở được từ bên trong tàu; và
(c) Được thoát nước qua mạn một cách thỏa đáng và được thông hơi ra môi trường khí quyển.
(2) Phải treo biển cảnh báo an toàn một cách chi tiết về các biện pháp phòng ngừa thích hợp khi đổ nhiên liệu vào bình.
2 Các chai của thiết bị hàn cắt bằng khí, nếu được mang lên tàu, thì phải được cất giữ một cách chắc chắn trên boong hở, tạo khoảng cách an toàn đối với các nguồn lửa có thể xảy ra và phải có khả năng sẵn sàng vứt ra ngoài tàu nếu cần thiết.
1.7 Cất giữ xăng
1 Khi xăng dự trữ được chở trên tàu trong cách bình đựng xách tay, dù là chở vì bất kỳ mục đích gì thì số lượng phải được khống chế ở mức tối thiểu, bình đựng xăng phải được đánh dấu rõ ràng và bình thường phải được cất giữ trên boong thời tiết để sẵn sàng vứt bỏ và sao cho xăng rò rỉ có thể chảy trực tiếp ra bên ngoài mạn.
2 Trên tàu cỡ nhỏ, nếu quy định -1 trên là không thực tế thì bình đựng xăng 5 lít có thể được cất giữ trong kho boong mà tuân thủ các yêu cầu ở mục 1.6-1(1) trên đây.
1.8 Phụ tùng dự trữ
1 Phải trang bị các phụ tùng dự trữ cho các chi tiết quan trọng, các dụng cụ và các khí cụ cần thiết để tháo lắp, sửa chữa và điều chỉnh cho các máy, thiết bị, theo yêu cầu của nhà sản xuất hoặc phù hợp với hồ sơ kèm theo máy. Phải có các dụng cụ để đo mô men xiết chỉnh các bu lông và đai ốc quan trọng (như sử dụng các bu lông biên, bu lông liên kết…).
CHƯƠNG 2 HỆ TRỤC
2.1 Vật liệu
1 Trục trung gian và trục chân vịt phải được chế tạo bằng thép có giới hạn bền kéo danh nghĩa từ 400 MPa đến 800 MPa. Khi dùng thép có giới hạn bền khác phải được Đăng kiểm xem xét riêng.
2 Trục chân vịt phải được bảo vệ chống lại sự ăn mòn của nước biển một cách hữu hiệu bằng lớp áo bọc trục hoặc phải được chế tạo bằng vật liệu chống ăn mòn được Đăng kiểm xem xét, thống nhất. Áo bọc trục chân vịt phải làm bằng đồng thanh hoặc vật liệu tương đương và không được có vết rỗ hoặc những khuyết tật khác.
3 Không yêu cầu phương tiện bảo vệ trục chân vịt nếu các trục này được chế tạo từ các vật liệu chịu ăn mòn như là thép không gỉ…
2.2 Hệ trục chân vịt
1 Đường kính của trục không được nhỏ hơn trị số xác định theo công thức sau:
![]()
Trong đó:
N: Công suất của động cơ dẫn động trục, tính bằng kW;
n: Tốc độ quay của trục, tính bằng vòng/phút.
2 Chiều dày lớp áo đồng bọc trục chân vịt phải không nhỏ hơn 5 mm. Nên dùng lớp áo bọc trục liên tục. Khi dùng lớp áo bọc trục không liên tục thì đoạn trục nằm giữa các áo bọc trục phải được bảo vệ không cho nước lọt vào.
Phần côn của trục chân vịt lắp với chân vịt cũng phải được bảo vệ không cho nước lọt vào.
3 Các bu lông nối trục phải làm bằng thép có độ bền không nhỏ hơn độ bền của vật liệu làm trục. Kích thước các chi tiết nối phải phù hợp với các tiêu chuẩn hiện hành. Các bu lông sử dụng trong các khớp nối trục phải là các bu lông tinh. Trong mọi trường hợp, số lượng bu lông tinh không được nhỏ hơn 3. Đăng kiểm sẽ xem xét riêng đối với trường hợp sử dụng khớp nối trục không dùng bu lông tinh.
4 Chiều dày của bích nối trục không được nhỏ hơn đường kính của bu lông.
5 Mép chân của bích nối phải được lượn tròn với bán kính không nhỏ hơn 0,08 đường kính của trục tại bích nối. Việc lượn tròn phải được gia công nhẵn. Không được khoét lõm bích nối để lắp đầu bu lông và đai ốc.
6 Vật liệu ổ đỡ trục có thể là kim loại trắng, gỗ gai ắc, cao su hoặc các loại vật liệu tổng hợp khác mà phù hợp để áp dụng.
7 Chiều dài ổ đỡ trục chân vịt ở gần chân vịt nhất không được nhỏ hơn 2,5 lần đường kính trục chân vịt. Chiều dài của gối đỡ trung gian và hộp làm kín không được nhỏ hơn 0,8 lần đường kính trục.
8 Các ổ đỡ có thể được bôi trơn trực tiếp bằng nước biển hoặc bằng nước trích từ hệ thống nước làm mát hoặc bằng dầu.
9 Áo bọc trục chân vịt và ống bao trục sau khi gia công phải được thử bằng áp lực nước với áp suất thử bằng 0,2 MPa trước khi lắp vào hệ trục.
10 Trên tàu có từ 2 chân vịt trở lên phải có thiết bị giữ không cho trục rời khỏi cụm kín nước ở ống bao trục khi trục bị gãy hoặc có thiết bị khác tránh cho buồng máy bị ngập nước trong trường hợp gãy trục chân vịt.
CHƯƠNG 3 CHÂN VỊT
3.1 Vật liệu
1 Chân vịt phải được làm bằng thép hoặc hợp kim đồng có giới hạn bền kéo danh nghĩa không nhỏ hơn 450 MPa và độ dãn dài tương đối không dưới 15%. Chân vịt làm bằng vật liệu khác phải được Đăng kiểm xem xét riêng trên cơ sở được chứng minh bằng tính toán hoặc tuân thủ các tiêu chuẩn phù hợp để áp dụng.
2 Chân vịt kiểu phụt nước và các kiểu đặc biệt khác phải được Đăng kiểm xem xét riêng trên cơ sở được chứng minh bằng tính toán hoặc tuân thủ các tiêu chuẩn phù hợp để áp dụng.
3.2 Thử nghiệm
Sau khi gia công xong, chân vịt phải được cân bằng tĩnh.
CHƯƠNG 4 HỆ THỐNG HÚT KHÔ
4.1 Quy định chung
1 Tàu phải có hệ thống bơm hút khô hiệu quả với ống hút được bố trí sao cho bất kỳ khoang nào cũng có thể xả được hết nước (trừ các két được sử dụng cố định để chứa chất lỏng mà đã có phương tiện hữu hiệu để bơm hoặc xả).
2 Đăng kiểm có thể cho phép miễn giảm phương tiện để bơm hoặc xả của các khoang cụ thể với điều kiện không ảnh hưởng đến an toàn của tàu.
3 Bơm hút khô (trừ loại bơm xách tay) phải có thể vận hành được khi tất cả các miệng hầm và cửa chòi đóng.
4 Để bảo vệ ống hút khô khỏi bị tắc nghẽn, tàu phải được trang bị hộp lưới lọc hiệu quả.
5 Khi thấy cần thiết phải ngăn dòng chất lỏng quay trở lại gây ngập thì van của đường ống hút phải là loại một chiều.
6 Các phương tiện được sử dụng để hút khô mà không phải là loại được quy định trong Phần này có thể được xem xét chấp nhận với điều kiện phải trình Đăng kiểm thẩm định đầy đủ các thông tin liên quan đến phương tiện đó.
7 Trừ khi có quy định ở các phần khác của Quy chuẩn này, công suất bơm phải tuân thủ các yêu cầu tối thiểu như sau:
(1) 10 lít một phút đối với tàu có chiều dài từ 6 m trở xuống;
(2) 15 lít một phút đối với tàu có chiều dài giữa 6 m và 12 m;
(3) 30 lít một phút đối với tàu có chiều dài từ 12 m trở lên.
4.2 Tàu có tổng số người trên tàu không nhỏ hơn 16 người; tàu hoạt động trong Vùng 0 hoặc 1
1 Tàu phải có ít nhất một bơm tay hút khô và một bơm hút khô có động cơ lai hoặc dùng điện độc lập được bố trí ở không nhỏ hơn hai không gian tách biệt. Các không gian được bơm phục vụ phải có thể được hút khô sau khi một bơm bị hỏng.
2 Đối với tàu có động cơ, mọi khoang đều phải có thể hút khô được khi tàu nghiêng tới ±10°.
3 Đối với tàu chở nhiều hơn 1000 kg hàng hoặc tàu có lắp thiết bị nâng (trừ khi nâng neo của chính tàu đó) thì ngoài yêu cầu nêu trên, các bơm hút khô phải có công suất kết hợp không nhỏ hơn 210 lít một phút. Một bơm phải là bơm cơ giới với công suất không nhỏ hơn 140 lít một phút và các bơm khác có thể là bơm tay phù hợp với cột áp hút và có công suất không nhỏ hơn 70 lít một phút.
4.3 Tàu có tổng số người trên tàu nhỏ hơn 16 người và hoạt động ở Vùng 2 đến 6
1 Trừ khi được quy định ở 4.4 dưới đây, tàu phải được trang bị ít nhất hai bơm hút khô, một trong số đó có thể là loại cơ giới và được bố trí ở hai không gian tách biệt. Các không gian được bơm phục vụ phải có thể được hút khô sau khi một bơm bị hỏng.
2 Đối với tàu chở nhiều hơn 1000 kg hàng hoặc tàu có lắp thiết bị nâng (trừ khi nâng neo của chính tàu đó) thì ngoài các bơm hút khô quy định ở trên, các bơm hút khô phải có công suất kết hợp không nhỏ hơn 140 lít một phút. Một bơm có thể là bơm cơ giới và (các) bơm khác phải là bơm tay phù hợp với cột áp hút và có công suất không nhỏ hơn 70 lít một phút.
4.4 Tàu hở, tàu bơm hơi và tàu có gắn phao nổi
1 Ngoài các yêu cầu về bơm hút khô quy định ở 4.2 và 4.3 của Phần này thì các tàu hở có chiều dài từ 6 m trở lên phải được trang bị một thiết bị tát nước hoặc xô.
2 Đối với tàu có chiều dài nhỏ hơn 6 m hoạt động ở Vùng 6 thì phải trang bị ít nhất một bơm hút khô tay hoặc một thiết bị tát nước hoặc một xô múc nước.
3 Xô múc nước quy định ở Phần này có thể được tính vào các yêu cầu liên quan đến xô múc quy định ở Chương 2 Phần 5 Mục II của Quy chuẩn này.
4.5 Báo động nước đáy tàu
1 Phải lắp thiết bị báo động nước đáy tàu ở:
(1) Các khoang kín nước có chứa máy chính đẩy tàu; hoặc
(2) Trong các khoang khác (ngoại trừ các khoang trống) mà nước có thể tích tụ ở đáy và không thể dễ dàng nhìn thấy được, như trường hợp tại vị trí có thiết bị liền vỏ…
2 Nhằm mục đích ngăn ngừa ô nhiễm, các khoang có chứa chất gây ô nhiễm không được lắp bơm hút khô loại tự hoạt động.
3 Các bơm loại tự hoạt động mà phục vụ cho các khoang sạch mà ở đó có thể tích tụ một lượng nước đáng kể khi không chú ý thì phải có một thiết bị báo động bằng âm thanh tại vị trí điều khiển. Nếu có nhiều các vị trí/thiết bị báo động như vậy thì phải lắp thiết bị chỉ báo báo động bằng ánh sáng để có thể xác định được vị trí bị báo động.
4 Thiết bị báo động phải có cảnh báo bằng âm thanh và cũng nên có cảnh báo bằng ánh sáng tại vị trí điều khiển.
| QCVN 03:2025/BGTVT | MỤC II – PHẦN 4 |
PHẦN 4 TRANG BỊ ĐIỆN
CHƯƠNG 1 QUY ĐỊNH KỸ THUẬT
1.1 Quy định chung
1 Trang bị điện phải sao cho giảm thiểu được nguy cơ cháy và điện giật. Các két, máy móc hoặc các đồ vật bằng kim loại khác mà không có tính liên tục về điện tốt với môi trường nước bên ngoài tàu thì phải bố trí nối đất để hạn chế các nguy cơ đó.
2 Hệ thống điện quy định trong Phần này là kiểu phổ biến nhất phù hợp với các tàu cỡ nhỏ, như sử dụng điện một chiều 12 V tới 24 V... Tuy nhiên, tàu có thể có thiết bị điện xoay chiều với điện áp cao hơn. Trong trường hợp đó thì tàu phải tuân thủ các tiêu chuẩn phù hợp để áp dụng.
3 Các bộ phận của hệ thống điện trên tàu cỡ nhỏ có thể áp dụng các yêu cầu tương ứng trong Tiêu chuẩn ISO 10133 hoặc Tiêu chuẩn ISO 13297 hoặc các tiêu chuẩn tương đương khác mà phù hợp để áp dụng.
1.2 Hệ thống phân phối
1 Hệ thống phân phối phải là loại hai dây dẫn, trừ trường hợp hệ thống dây dẫn đơn được chấp nhận cho mạch điện của động cơ bao gồm các thiết bị lắp trên động cơ mà có kết nối trở về nguồn được thực hiện tại chính động cơ.
2 Hệ thống phân phối mà dự định không tiếp đất cho mạch điện (hệ thống cách ly) thì phải trang bị công tắc hai cực, trừ trường hợp công tắc một cực được phép sử dụng cho các mạch nhánh cuối.
3 Công tắc một cực chỉ được chấp nhận khi sử dụng trên dây dẫn điện dương trong hệ thống điện mà có một cực được nối đất. Không được phép lắp cầu chì cho dây dẫn nối đất.
4 Tất cả các mạch điện, trừ mạch cấp điện chính từ ắc quy đến động cơ khởi động và động cơ máy lái dẫn động bằng điện, phải được trang bị bảo vệ chống quá tải và ngắn mạch (như lắp cầu chì hoặc bộ ngắt mạch…). Giá trị cài đặt của thiết bị bảo vệ quá dòng không được phép vượt quá dòng định mức của dây dẫn cần bảo vệ. Bảo vệ ngắn mạch phải phù hợp với dòng định mức tổng của các thiết bị tiêu thụ điện trong mạch điện được bảo vệ. Nếu lắp động cơ riêng lẻ ngoài tàu và có cầu chì đi liền dây dẫn (in-line fuses) thì phải có biện pháp phù hợp để cho phép động cơ khởi động được ngay cả khi cầu chì bị hỏng.
5 Mạch điện của hệ thống lái, nếu hư hỏng mạch đó sẽ dẫn đến mất lái, thì phải có báo động quá tải thay cho thiết bị bảo vệ quá tải (quy định này không áp dụng đối với động cơ của hệ thống lái tự động). Tuy nhiên, tất cả các mạch điện phải được bảo vệ ngắn mạch.
1.3 Chiếu sáng
1 Nếu chiếu sáng chung của tàu được cấp điện từ nguồn điện chính thì phải bố trí nguồn điện dự phòng cho chiếu sáng (có thể là đèn pin xách tay phù hợp nếu có thể áp dụng, trong đó có xét đến kích cỡ và độ phức tạp của tàu). Nguồn điện chiếu sáng dự phòng này phải đủ để:
(1) Cho phép người tìm được lối đi đến boong hở;
(2) Chiếu sáng trạm hạ và lên phương tiện cứu sinh;
(3) Chiếu sáng thiết bị cứu người rơi xuống nước và khu vực thực hiện cứu người;
(4) Cho phép thực hiện công việc trên các máy thiết yếu.
1.4 Ắc quy
1.4.1 Yêu cầu đối với hệ thống ắc quy
1 Các ắc quy và hệ thống ắc quy phải được trang bị như quy định ở các mục 1.5-1 và -2 của Phần 3 Mục II của Quy chuẩn này.
2 Đầu cực của ắc quy phải được bảo vệ để tránh vô ý chạm vào các đối tượng bằng kim loại.
3 Hệ thống nạp ắc quy phải được trang bị mạch kiểm tra để ngăn ngừa nạp quá mức.
4 Phải trang bị công tắc ngắt ắc quy cho mọi hệ thống. Tốt nhất là bằng cách cho công tắc này hoạt động như một thiết bị cách ly (như sử dụng công tắc hai cực), tuy nhiên, công tắc một cực cũng được chấp nhận trên dây dẫn dương. Nếu có lắp công tắc chuyển đổi ắc quy và công tắc đó có vị trí “ngắt” thì nó có thể được coi là công tắc ngắt.
5 Ắc quy cấp điện cho các thiết bị thiết yếu (chiếu sáng sự cố, hệ thống lái, thiết bị hàng hải và liên lạc) thì phải đặt ở vị trí mà khó bị ngập nước trong các hoạt động bình thường của tàu và trong trường hợp xảy ra hư hỏng nhẹ.
6 Đối với tàu buồm, ắc quy phải là loại kín để tránh thất thoát chất điện phân khi tàu bị lật nghiêng hoặc ngập nước.
1.4.2 Bố trí ắc quy
1 Tất cả các ắc quy phải được cố định chắc chắn để tránh dịch chuyển khi tàu tăng tốc hoặc giảm tốc đột ngột, nghiêng và chúi góc lớn và trong trường hợp tàu buồm bị lật ngang hoặc lật ngược.
2 Trong trường hợp công suất đầu ra lớn nhất nhỏ hơn 0,2 kW, ắc quy có thể được đặt ở bất kỳ không gian thích hợp nào mà không cần bất kỳ yêu cầu đặc biệt nào về hòm chứa.
3 Trong trường hợp công suất đầu ra lớn nhất từ 0,2 đến 2,0 kW, ắc quy phải được đặt trong buồng máy hoặc không gian khác được thông gió tốt, trong hòm chứa hoặc trong kho.
4 Trong trường hợp công suất đầu ra lớn nhất vượt quá 2,0 kW, ắc quy phải được đặt trong một buồng chuyên dụng được thông gió thích hợp bên trong tàu hoặc trong kho chứa trên boong hở. Trong cả hai trường hợp này thì không gian chứa ắc quy chỉ dành riêng cho ắc quy.
1.4.3 Thông gió
1 Để đảm bảo khí Hydrô tạo ra bị đẩy ra ngoài, các buồng, kho và thùng chứa ắc quy phải được thông gió ra ở điểm cao nhất của không gian và cấp khí vào ở độ cao bên dưới đỉnh của ắc quy.
2 Nếu sử dụng phương tiện cơ giới để thông gió trực tiếp buồng chứa ắc quy thì các bộ phận của nó không phải là loại phát sinh tia lửa điện.
1.5 Cáp điện
1 Cáp điện phải được kết cấu tuân thủ các tiêu chuẩn phù hợp để sử dụng trên tàu cỡ nhỏ trong môi trường hàng hải.
2 Cáp điện mà không có thiết bị bảo vệ về điện phải càng ngắn càng tốt và phải được bảo vệ chống ngắn mạch, như trường hợp từng lõi đơn được bổ sung ống bọc cách điện cho toàn bộ lớp cách điện của mỗi lõi. Cáp dùng cho tàu biển thông thường, mà là loại một lõi, được coi là đáp ứng yêu cầu này mà không cần thêm ống bọc ngoài vì nó có cả cách điện ruột dẫn và vỏ bọc bảo vệ.
3 Khi lựa chọn cáp, cần đặc biệt chú ý đến các yếu tố môi trường như nhiệt độ và sự tiếp xúc với các chất gây hư hỏng (như trường hợp polystyrene làm hỏng chất cách điện PVC...).
4 Phải có các biện pháp để đảm bảo các kết nối điện, như sử dụng vòng đệm hãm (locking washers).
1.6 Không gian nguy hiểm
1 Nếu thực tế cho phép, không được lắp đặt thiết bị điện trong không gian có khả năng tích tụ hơi dầu mỏ hoặc khí hydrocacbon khác. Khi thiết bị được lắp đặt trong không gian như vậy thì thiết bị đó phải tuân theo tiêu chuẩn phù hợp để ngăn ngừa đánh lửa vào môi trường khí dễ cháy.
2 Mọi khoang có thiết bị tiêu thụ khí hoặc khoang mà khí dễ cháy có thể bị rò rỉ vào hoặc tích tụ trong đó thì phải được trang bị thiết bị báo động và phát hiện khí hydrocacbon. Thiết bị phát hiện và báo động đó phải được thiết kế theo tiêu chuẩn phù hợp như nêu ở -1 trên. (Xem quy định 1.5 Chương 1 Phần 5 Mục II của Quy chuẩn này).
1.7 Bảo vệ chống sét
Khi nhận thấy nguy cơ có sét đánh là đáng kể thì cần chú ý đến việc bảo vệ chống sét. Phương tiện bảo vệ chống sét phải tuân thủ Phụ lục B hoặc Tiêu chuẩn ISO 10134 hoặc tiêu chuẩn tương đương khác.
| QCVN 03:2025/BGTVT | MỤC II – PHẦN 5 |
PHẦN 5 PHÒNG, PHÁT HIỆN VÀ CHỮA CHÁY
CHƯƠNG 1 AN TOÀN CHỐNG CHÁY
1.1 Quy định chung
1 Vách quây của buồng máy, có xem xét đến các bướm chặn lửa, phải được bố trí để lưu giữ môi chất dập cháy (như trong trường hợp buồng máy phải có khả năng được đóng kín sao cho môi chất dập cháy không thoát được ra ngoài). Các quạt được lắp bên trong buồng máy hoặc cấp khí cho buồng máy phải có khả năng tắt từ bên ngoài không gian buồng máy khi có cháy. Các hệ thống mà làm ảnh hưởng đến chức năng tắt quạt tự động khi có cháy thì phải được bổ sung khả năng chiếm quyền điều khiển bằng tay.
2 Nếu thực tế không thể bố trí được buồng máy thì máy phải được để trong hộp. Hộp đó phải có tính năng giống như vách quây của buồng máy như quy định ở -1 trên.
3 Vật liệu và chất lỏng dễ cháy không được phép bố trí trong buồng máy. Nếu vật liệu không cháy được đặt trong buồng máy thì chúng phải được cố định chắc chắn để không rơi vào hệ thống máy và không gây cản trở lối ra vào buồng máy.
4 Cửa sổ lấy sáng hoặc cửa sổ không được lắp ở vách quây của buồng máy trừ trường hợp cửa quan sát có đường kính lớn nhất 150 mm có thể được lắp ở vách quây nằm trong buồng máy với điều kiện cửa quan sát đó phải là kiểu không mở được, khung cửa phải được cấu tạo bằng thép hoặc vật liệu tương đương và có nắp che gắn cố định cùng với phương tiện giữ chặt. Cửa quan sát chỉ được sử dụng kính có cấp chống cháy “A0”.
1.2 Tàu hoạt động ở Vùng 0 và Vùng 1 và ở các vùng khác khi tổng công suất máy lớn hơn 750 kW; tàu hoạt động ở bất kỳ vùng nào mà có tổng số người trên tàu không nhỏ hơn 16 người
1 Kết cấu bằng thép: Tàu có buồng máy bao quanh bằng vách thép thì không cần biện pháp bảo vệ chống cháy bổ sung. Tuy nhiên, bề mặt vách ở phía ngoài buồng máy chỉ được phép phủ bề mặt có đặc tính lan truyền lửa chậm khi được thử theo các quy định của Bộ luật FTP.
2 Kết cấu bằng chất dẻo cốt sợi thuỷ tinh: Vách quây của buồng máy phải ngăn được sự lan truyền của khói và lửa trong 15 phút, khi được thử phù hợp với quy trình nêu ở Phụ lục C của Quy chuẩn này. Tính chống cháy của chất dẻo cốt sợi thuỷ tinh có thể được thực hiện bằng cách sử dụng các lớp sợi thuỷ tinh được dệt hoặc sử dụng phụ gia (được bổ sung vào một cách nghiêm ngặt theo các yêu cầu của nhà sản xuất) cùng với keo nhựa. Cũng có thể sử dụng các chất phủ bề mặt bằng polyester, epoxy, vinylester hoặc nhựa phenolic hấp thụ; tuy nhiên, không chấp nhận lớp sơn phủ hoà tan trong dung môi. Đăng kiểm có thể miễn các yêu cầu về thử nghiệm quy định ở Phụ lục C của Quy chuẩn này nếu kết cấu đã phù hợp với các tiêu chuẩn ISO hoặc các tiêu chuẩn khác mà có thể đảm bảo mức độ bảo vệ chống cháy tương đương.
3 Kết cấu bằng hợp kim nhôm và gỗ: Vách quây buồng máy phải có mức độ bảo vệ chống cháy tương đương với kết cấu bằng chất dẻo cốt sợi thuỷ tinh.
4 Khi sử dụng lớp bọc để tạo ra mức độ chống cháy như quy định ở -2 hoặc -3 trên thì lớp bọc đó không cần phải bố trí thấp hơn chiều cao ứng với 300 mm bên dưới đường nước.
1.3 Kết cấu bọc
1 Lớp bọc cách nhiệt hoặc cách âm bên trong buồng máy phải làm bằng vật liệu không cháy khi được thử theo quy định ở Phụ lục D của Quy chuẩn này.
2 Lớp bọc phải được bảo vệ chống lại sự thẩm thấu của hơi hoặc chất lỏng dễ cháy. Khi lớp bọc được cắt ra thì mép cắt phải được bảo vệ chống lại sự thẩm thấu vừa nêu, như sử dụng băng keo loại không cháy. Khi lớp bọc ở vị trí dễ bị hư hỏng thì nó phải được bảo vệ thích hợp.
1.4 Giữ vệ sinh buồng máy
1 Cần phải có biện pháp để giữ lại dầu bị rò rỉ trong không gian buồng máy.
2 Các tàu được kết cấu bằng gỗ phải có biện pháp để không cho dầu bị hấp thụ vào kết cấu.
3 Trong thực tế, nếu không thể bố trí khay hứng bằng kim loại ở khu vực động cơ thì có thể sử dụng bệ máy để làm phương tiện chứa dầu với điều kiện chúng có đủ chiều cao và không có các lỗ thông thuỷ. Phải có biện pháp để làm sạch dầu rò rỉ và dầu tràn được thu gom trong buồng máy.
4 Phải có phương tiện hữu hiệu để đảm bảo các cặn bám của dầu được thu gom và lưu giữ trên tàu để đưa vào phương tiện tiếp nhận trên bờ.
5 Buồng máy phải được giữ sạch sẽ và không có chất thải dầu và vật liệu dễ cháy.
6 Nếu sử dụng động cơ xăng thì phải tuân thủ quy định ở 1.3-2 Chương 1 Phần 3 Mục II của Quy chuẩn này.
1.5 Thiết bị đốt khí có ngọn lửa hở
1 Thiết bị đốt khí có ngọn lửa hở sử dụng để nấu ăn, sưởi hoặc các mục đích khác phải là loại phù hợp để sử dụng trên tàu và được chế tạo theo các tiêu chuẩn phù hợp để áp dụng.
2 Việc lắp đặt thiết bị đốt khí phải tuân thủ Tiêu chuẩn ISO 10239 hoặc các tiêu chuẩn tương đương khác.
3 Vật liệu xung quanh thiết bị nấu ăn hoặc sưởi có ngọn lửa hở phải là loại không cháy, trừ trường hợp các vật liệu này được chắn bởi các bề mặt có đặc tính lan truyền lửa chậm theo quy định ở Bộ luật FTP.
4 Vật liệu dễ cháy hoặc các bề mặt khác mà không có mức độ ngăn chặn lan truyền lửa phải được bảo vệ trong phạm vi khoảng cách tính đến bếp tiêu chuẩn như sau:
(1) 400 mm theo phương thẳng đứng bên trên bếp, đối với bề mặt nằm ngang, khi tàu ở tư thế thẳng đứng;
(2) 125 mm theo phương nằm ngang tính từ bếp, đối với các bề mặt thẳng đứng.
5 Rèm hoặc các vật liệu kiểu được dệt không được treo trong phạm vi 600 mm tính từ thiết bị nấu ăn, sưởi có ngọn lửa hở hoặc các thiết bị tương tự khác.
6 Đối với các quy định ở mục -4 và -5 trên, Đăng kiểm có thể chấp nhận việc áp dụng Tiêu chuẩn ISO 9094.
1.6 Vật liệu trang trí nội thất
1 Nên sử dụng mút chống cháy tuân thủ các tiêu chuẩn thích hợp cho các loại nội thất được bọc hoặc nệm.
2 Vải bọc đồ nội thất phải đạt được thử nghiệm đối với thuốc lá và thử ngọn lửa khí bu tan theo yêu cầu của Phụ lục D.
1.7 Bảo vệ chống cháy
1 Trên các tàu có tổng công suất động cơ (động cơ đẩy tàu và phát điện) lớn hơn 750 kW thì buồng máy phải được lắp các cảm biến báo cháy hoạt động hiệu quả.
2 Các tàu có tổng số người trên tàu không nhỏ hơn 16 người hoặc các tàu hoạt động ở Vùng 0 hoặc 1 thì phải lắp các cảm biến báo cháy hoạt động hiệu quả trong buồng máy và các không gian có chứa thiết bị có ngọn lửa hở.
3 Đối với tất cả các tàu, cảm biến báo cháy phải được bố trí ở các khu vực mà Đăng kiểm thấy có thể có nguy cơ cháy gây ảnh hưởng đến hành khách hoặc thuyền viên (như trường hợp đối với bếp, khu vực buồng ngủ…).
4 Cảm biến báo cháy phải phù hợp với nguy cơ cháy được xem xét và phải có cảnh báo bằng âm thanh mà có thể nghe thấy trong buồng có lắp cảm biến và ở vị trí điều khiển khi tàu hoạt động.
5 Có thể phải sử dụng cảm biến báo cháy để tuân thủ yêu cầu ở 1.8-2 dưới đây.
1.8 Phương tiện thoát nạn
1 Phải bố trí hai phương tiện thoát nạn ở:
(1) Buồng sinh hoạt sử dụng để ngủ hoặc nghỉ ngơi; và
(2) Các buồng sinh hoạt khác bị ảnh hưởng bởi nguy cơ cháy; và
(3) Buồng máy bị ảnh hưởng bởi nguy cơ cháy, trừ trường hợp:
(a) Các buồng đó hiếm khi được vào hoặc không có người trực trong quá trình hoạt động bình thường của tàu và nếu việc tiếp cận đơn lẻ đã có lối thoát sẵn sàng tại mọi thời điểm khi có cháy; hoặc
(b) Các không gian mà khi có người vào và di chuyển xung quanh không gian chỉ trong phạm vi 5 m tính từ lối vào duy nhất tại mọi thời điểm.
Phương tiện thoát nạn phải sao cho tình huống sự cố đơn lẻ không làm ảnh hưởng đến cả hai đường thoát. Chỉ trong các trường hợp ngoại lệ mà không làm giảm an toàn chung của tàu thì các phương tiện không tuân thủ yêu cầu ở -1(1), (2) hoặc (3) trên mới được chấp nhận.
2 Trong trường hợp ngoại lệ mà chấp nhận một phương tiện thoát nạn từ khu vực sinh hoạt, phải bố trí cảm biến báo cháy hoạt động hiệu quả để cảnh báo sớm về tình huống cháy khẩn cấp mà có thể làm mất đi lối thoát nạn duy nhất đó.
3 Phương tiện thoát nạn cần phải được đánh dấu rõ ràng liên quan đến mục đích của chúng ở cả hai mặt và chức năng của mỗi đường thoát nạn được thử nghiệm thực tế tuân thủ yêu cầu của Đăng kiểm.
4 Tàu buồm nhiều thân có chiều dài trên 12 m phải có nắp hầm thoát nạn khẩn cấp cho mỗi khoang kín nước chính có người ở để người có thể thoát ra trong tình huống tàu bị lật ngược. Các nắp hầm thoát nạn đó phải được bố trí bên trên cả hai đường nước, khi tàu ở tư thế thẳng đứng và khi bị lật ngược.
CHƯƠNG 2 THIẾT BỊ CHỮA CHÁY
2.1 Quy định chung
1 Tàu phải được trang bị thiết bị chữa cháy hiệu quả phù hợp với các yêu cầu trong Chương này. Tất cả các thiết bị chữa cháy phải được bảo dưỡng theo chu kỳ thích hợp, phù hợp với các yêu cầu do nhà chế tạo thiết bị quy định.
2.2 Tàu có chiều dài nhỏ hơn 6 m hoạt động ở Vùng 6
1 Trên tàu có chiều dài nhỏ hơn 6 m không có boong thời tiết kín nước toàn bộ hoặc là chỉ có một phần và không có thiết bị nấu ăn thì chỉ cần trang bị một bình chữa cháy CO2 có khả năng xả được vào trong buồng máy. Bình chữa cháy đó phải có kích cỡ phù hợp cho buồng máy, nhưng tối thiểu phải là bình CO2 loại 2 kg hoặc bình chữa cháy sử dụng công chất khác tương đương phù hợp với đám cháy cấp B.
2 Trên các tàu buồm không có boong (hoặc có một phần) và không có động cơ, không có thiết bị nấu ăn thì không cần trang bị bình chữa cháy.
2.3 Tàu hở, tàu bơm hơi và tàu có gắn phao nổi có chiều dài tới 8 m và không có mái che đáng kể
1 Tàu hở, tàu bơm hơi hoặc tàu có gắn phao nổi có chiều dài tới 8 m, không có mái che đáng kể, không có thiết bị nấu ăn thì phải trang bị ít nhất 2 bình chữa cháy sử dụng bọt loại 2 lít hoặc các bình chữa cháy sử dụng công chất khác tương đương phù hợp với đám cháy cấp A và cấp B.
2.4 Tàu có chiều dài dưới 15 m và chở từ 15 người trở xuống mà không phải là tàu nêu ở 2.2 hoặc 2.3 của Phần này
1 Ngoài các yêu cầu ở -2 đến -4 dưới đây, tàu phải được trang bị:
(1) Một bơm chữa cháy bằng tay (bên ngoài buồng máy) hoặc một bơm chữa cháy cơ giới (bên ngoài buồng máy) bơm nước biển tới vòi rồng chữa cháy, có khả năng đưa tia nước tới bất kỳ khu vực nào của tàu bằng vòi rồng và đầu phun. Một vòi rồng cứu hoả có chiều dài thích hợp cùng với đầu phun 10 mm và đầu phun sương thích hợp; hoặc
(2) Một bình chữa cháy bằng bọt, sử dụng chung, có dung tích tối thiểu 6 lít hoặc bình chữa cháy tương đương phù hợp với đám cháy cấp A và cấp B. Có thể sử dụng nhiều bình chữa cháy nhỏ hơn nhưng có khả năng chữa cháy tương đương.
(3) Bơm nêu ở (1) trên có thể là một trong các bơm được yêu cầu ở Chương 4 Phần 3 Mục II của Quy chuẩn này khi được lắp cơ cấu chuyển đổi thích hợp có thể sẵn sàng tiếp cận được.
2 Tối thiểu 1 bình chữa cháy bằng bọt, sử dụng chung, có dung tích tối thiểu 2 lít hoặc bình chữa cháy tương đương phù hợp với đám cháy cấp A và cấp B, được bố trí ở mỗi lối ra boong hở từ khu vực sinh hoạt. Trong mọi trường hợp, tổng số bình chữa cháy phải không nhỏ hơn 2.
3 Ít nhất hai xô chữa cháy có dây buộc. Xô có thể làm bằng kim loại, nhựa hoặc vải thô và phải thích hợp với chức năng của chúng.
4 Một chăn chữa cháy trong bếp hoặc khu vực nấu ăn nếu thấy rằng có nguy cơ cháy ở các khu vực đó.
2.5 Tàu có chiều dài từ 15 m trở lên hoặc có tổng số người trên tàu không nhỏ hơn 16 người
1 Ngoài các yêu cầu ở -2 đến -4 dưới đây, tàu phải được trang bị:
(1) Một bơm chữa cháy bằng tay (bên ngoài buồng máy) hoặc một bơm chữa cháy cơ giới (bên ngoài buồng máy) bơm nước biển tới vòi rồng chữa cháy, có khả năng đưa tia nước tới bất kỳ khu vực nào của tàu bằng vòi rồng và đầu phun. Một vòi rồng cứu hoả có chiều dài thích hợp cùng với đầu phun 10 mm và đầu phun sương thích hợp; hoặc
(2) Tối thiểu 2 bình chữa cháy bằng bọt, sử dụng chung, có dung tích tối thiểu 6 lít hoặc bình chữa cháy tương đương phù hợp với đám cháy cấp A và cấp B. Có thể sử dụng nhiều bình chữa cháy có dung tích nhỏ hơn nhưng có khả năng chữa cháy tương đương.
(3) Bơm nêu ở (1) trên có thể là một trong các bơm được yêu cầu ở Chương 4 Phần 3 Mục II của Quy chuẩn này khi được lắp cơ cấu chuyển đổi thích hợp có thể sẵn sàng tiếp cận được.
2 Tối thiểu 2 bình chữa cháy bằng bọt, sử dụng chung, có dung tích tối thiểu 6 lít hoặc bình chữa cháy tương đương phù hợp với đám cháy cấp A và cấp B.
3 Ít nhất hai xô chữa cháy có dây buộc. Xô có thể làm bằng kim loại, nhựa hoặc vải thô và phải thích hợp với chức năng của chúng.
4 Một chăn chữa cháy trong bếp hoặc khu vực nấu ăn nếu thấy rằng có nguy cơ cháy ở các khu vực đó.
2.6 Quy định đối với chữa cháy trong buồng máy
1 Tàu mà có lắp máy bên trong thì phải được trang bị phương tiện chữa cháy cố định trong buồng máy, nó có thể bao gồm một bình chữa cháy xách tay có kích cỡ phù hợp với không gian được bảo vệ và được bố trí để xả được vào không gian đó. Một bình chữa cháy bổ sung hoặc một trong các bình chữa sử dụng chung quy định ở 2.4 hoặc 2.5 của Phần này cũng có thể được sử dụng làm bình chữa cháy được yêu cầu để xả vào buồng máy, với điều kiện nó có kiểu phù hợp với đám cháy cấp B và có kích cỡ phù hợp và được cất giữ ở vị trí thích hợp với việc sử dụng để chữa cháy cho hai vị trí.
2 Nếu hệ thống chữa cháy cố định (không phải là bình chữa cháy xách tay quy định ở -1 trên) được trang bị ở trong buồng máy thì nó phải là kiểu được Đăng kiểm duyệt phù hợp với không gian được bảo vệ và phải được lắp đặt và bảo dưỡng phù hợp với các yêu cầu của nhà sản xuất.
Các hệ thống chữa cháy cố định trong buồng máy có thể là:
(1) Bọt có độ nở thấp;
(2) Bọt có độ nở trung bình;
(3) Bọt có độ nở cao;
(4) Các bon đi-ô-xít;
(5) Phun sương nước áp lực;
(6) Chất lỏng hoá hơi (HFC's hydrofluorocarbons);
(7) Chữa cháy bằng khí Aerosol.
| QCVN 03:2025/BGTVT | MỤC II – PHẦN 6 |
PHẦN 6 ỔN ĐỊNH
CHƯƠNG 1 ỔN ĐỊNH NGUYÊN VẸN
1.1 Quy định chung
1.1.1 Quy định chung
1 Tiêu chuẩn ổn định của tàu phải được xem xét phụ thuộc vào số người lớn nhất được phép chở trên tàu và vùng hoạt động dự kiến của tàu.
2 Các tàu dưới đây phải có Thông báo ổn định được Đăng kiểm thẩm định. Tàu có động cơ nêu ở (1) và (2) dưới đây không cần phải có Thông báo ổn định nếu ổn định của tàu được đánh giá phù hợp với mục 1.2.1-8 của Phần này, áp dụng Phần 1 của Tiêu chuẩn ISO 12217.
(1) Tàu hoạt động trong ở Vùng 0 hoặc 1; hoặc
(2) Tàu có tổng số người không nhỏ hơn 16; hoặc
(3) Tàu chở hàng có khối lượng lớn hơn 1000 kg; hoặc
(4) Tàu được lắp thiết bị nâng như định nghĩa ở 1.2.4; hoặc
(5) Tàu hoa tiêu.
3 Tàu có tổng số người trên tàu dưới 16 người, tàu chở từ 1000 kg hàng hóa trở xuống và tàu hoạt động trong vùng không phải là vùng 0 và 1 thì phải tuân thủ quy định ở -2 trên hoặc là được đánh giá ổn định theo phương pháp đơn giản hơn và không phải lập Thông báo ổn định.
4 Ổn định của tàu buồm có buồm không phải là buồm dọc hoặc có dằn có thể dịch chuyển, thay đổi phải được Đăng kiểm xem xét, thống nhất.
5 Ổn định của tàu bơm hơi hoặc tàu có lắp phao nổi phải tuân thủ 1.2.3 của Phần này. Ổn định của tàu có boong lắp thiết bị nâng phải tuân thủ 1.2.4 của Phần này.
6 Tàu buồm nhiều thân có chiều dài trên 6 m phải có Thông báo ổn định được thẩm định.
7 Nếu tàu một thân không thể tuân thủ các tiêu chuẩn ổn định với lý do hình dạng của tàu gây ra các đặc tính ổn định tương tự với tàu nhiều thân thì có thể áp dụng tiêu chuẩn ổn định của tàu nhiều thân một cách phù hợp cho tàu buồm hoặc tàu có động cơ.
8 Tàu nhiều thân có động cơ mà không tuân thủ tiêu chuẩn ổn định ở 1.2.1-6 hoặc 1.2.1-7 của Phần này thì có thể được Đăng kiểm xem xét riêng. Trong trường hợp này, các bản tính phải được trình Đăng kiểm xem xét.
9 Tất cả các tàu, mà không phải tàu được xét thấy là không thể mang theo Thông báo ổn định (như trường hợp tàu không có buồng kín hoặc khu vực được che chắn…) thì phải cất giữ Thông báo ổn định ở trên bờ để thuyền viên có thể sử dụng.
1.2 Các quy định về ổn định nguyên vẹn
1.2.1 Các tàu có động cơ áp dụng quy định 1.1.1-2 trên đây
1 Khối lượng tàu không, cao độ và hoành độ trọng tâm tàu không của tàu một thân phải được xác định bằng thử nghiêng.
2 Hoành độ trọng tâm của tàu nhiều thân phải được xác định bằng việc kiểm tra lượng chiếm nước hoặc bằng việc cân. Cao độ trọng tâm nên được xác định bằng tính toán hoặc phương pháp thực nghiệm. Tuy nhiên, cần chú ý là việc thử nghiêng thông thường có thể không đem lại kết quả hợp lý.
3 Khối lượng tàu không có thể bao gồm lượng dư tăng, lên đến 5% khối lượng tàu không, tùy thuộc vào sự xem xét của Đăng kiểm, lượng dư này được đặt tại vị trí hoành độ trọng tâm và có cao độ tại boong thời tiết ở giữa tàu hoặc vị trí cao độ trọng tâm tàu không, lấy giá trị nào lớn hơn.
4 Đường cong ổn định tĩnh phải được lập cho:
(1) Trạng thái có tải, rời bến với 100% dự trữ;
(2) Trạng thái có tải, về bến với 10% dự trữ;
(3) Trạng thái hoạt động dự kiến; và
(4) Các trạng thái liên quan đến thiết bị nâng.
Ngoài ra, thông tin về ổn định được đơn giản hóa dưới dạng đường cong cao độ trọng tâm lớn nhất cho phép phải được lập, bao gồm cả ví dụ để hướng dẫn cách sử dụng.
Mô men mặt thoáng lớn nhất phải được đưa vào trạng thái có tải khi rời bến và tối thiểu phải được nhân với hệ số tương ứng với tỷ lệ điền đầy két ở các trạng thái khác.
5 Về nguyên tắc, các kết cấu tạo lực nổi dùng để tăng phạm vi ổn định tĩnh phải không được tính đến các phần gắn cố định với thượng tầng, lầu, cột hoặc dây buồm.
6 Đường cong cánh tay đòn ổn định tĩnh trong các trạng thái có tải phải tuân thủ các yêu cầu sau:
(1) Diện tích đồ thị ổn định tĩnh không được nhỏ hơn 0,055 m.rad khi góc nghiêng đến 30 độ và không được nhỏ hơn 0,09 m.rad khi nghiêng đến 40 độ hoặc góc vào nước, lấy giá trị nhỏ hơn.
(2) Diện tích của cánh tay đòn ổn định tĩnh trong phạm vi góc nghiêng 30 độ và 40 độ hoặc góc vào nước, lấy giá trị nhỏ hơn không được nhỏ hơn 0,03 m.rad.
(3) Cánh tay đòn ổn định không được nhỏ 0,2 m tại góc nghiêng lớn hơn hoặc bằng 30 độ.
(4) Cánh tay đòn ổn định đạt giá trị lớn nhất tại góc nghiêng không nhỏ hơn 25 độ.
(5) Chiều cao tâm nghiêng ban đầu sau khi hiệu chỉnh mặt thoáng không được nhỏ hơn 0,35 m.
7 Nếu tàu có kiểu hai thân hoặc nhiều thân mà không tuân thủ các tiêu chuẩn ổn định ở mục -6 trên thì tàu đó phải tuân thủ các tiêu chuẩn sau:
(1) Diện tích dưới đường cong cánh tay đòn ổn định tĩnh phải không nhỏ hơn 0,085 m.rad tính đến góc cánh tay đòn ổn định đạt giá trị lớn nhất nếu góc này bằng 15 độ và phải không nhỏ hơn 0,055 m.rad nếu góc này bằng 30 độ.
Khi góc mà cánh tay đòn ổn định tĩnh đạt giá trị lớn nhất nằm giữa 15 độ và 30 độ thì diện tích dưới đường cong cánh tay đòn ổn định tĩnh nói trên phải không nhỏ hơn:
A = 0,055 + 0,002(30 − θGZmax) (m.rad)
Trong đó: θGZmax là góc (tính bằng độ) mà cánh tay đòn ổn định tĩnh đạt giá trị lớn nhất.
(2) Diện tích của cánh tay đòn ổn định tĩnh trong phạm vi góc nghiêng 30 độ và 40 độ hoặc góc vào nước, lấy giá trị nhỏ hơn không được nhỏ hơn 0,03 m.rad.
(3) Cánh tay đòn ổn định không được nhỏ 0,2 m tại góc nghiêng lớn hơn hoặc bằng 30 độ.
(4) Cánh tay đòn ổn định đạt giá trị lớn nhất tại góc nghiêng không nhỏ hơn 15 độ.
(5) Chiều cao tâm nghiêng ban đầu sau khi hiệu chỉnh mặt thoáng không được nhỏ hơn 0,35 m.
8 Tàu mà được kiểm tra tuân thủ theo Lựa chọn 1 hoặc 2 ở mục 5.3 Phần 1 của Tiêu chuẩn ISO 12217 có thể được coi là thay thế cho quy định về ổn định ở mục 1.2.1 này và được ấn định vùng hoạt động phù hợp với quy định ở -9 dưới đây.
9 Vùng được phép hoạt động khi tàu kiểm tra ổn định phù hợp với -8 trên phải được lấy theo Bảng 6/1.1 dưới đây.
Bảng 6/1.1 - Vùng hoạt động được phép của tàu
| Vùng hoạt động của tàu | Nhóm thiết kế theo Tiêu chuẩn ISO 12217 |
| 0 | A |
| 1 | A |
| 2 | B |
| 3 | B |
| 4 | C |
| 5 | C |
| 6 | C |
1.2.2 Các tàu có động cơ áp dụng quy định 1.1.1-3 trên đây
1 Tàu phải được thử ở trạng thái đầy tải (ứng với mạn khô được ấn định) để đảm bảo góc nghiêng và vị trí của đường nước sau khi tất cả số người mà tàu được chứng nhận để chở tập trung dọc theo một mạn của tàu. Người lái có thể coi như đang ở vị trí lái tàu. Để thử thì mỗi người nói trên có thể được thay thế bằng một khối lượng 75 kg.
Tàu sẽ được đánh giá là tuân thủ tiêu chuẩn ổn định nếu việc thử nói trên chỉ ra rằng:
(1) Góc nghiêng không lớn hơn 7º; và
(2) Nếu tàu có boong thời tiết kín nước kéo dài từ mũi đến lái, như nêu ở 1.1.1-1 Phần 2 Mục II của Quy chuẩn này thì mạn khô tính đến boong phải không nhỏ hơn 75 mm tại mọi điểm.
(3) Góc nghiêng có thể lớn hơn 7º nhưng không được vượt quá 10º nếu mạn khô trong trạng thái nghiêng tuân thủ các yêu cầu nêu ở Chương 4 Phần 7 Mục II của Quy chuẩn này như đối với trạng thái không nghiêng.
2 Ngoài ra, đối với tàu có chiều dài lớn hơn 15 m, mô men nghiêng sử dụng khi thử nêu ở -1 trên phải được tính toán. Sử dụng công thức dưới đây, tàu phải đạt giá trị chiều cao ổn định ban đầu không nhỏ hơn 0,5 m nếu sử dụng giá trị lượng chiếm nước theo tính toán hoặc 0,35 m nếu lượng chiếm nước của tàu được biết rõ và có thể được kiểm tra đánh giá bởi Đăng kiểm.
![]()
Trong đó:
HM là mô men nghiêng tính bằng kg.m;
θ là góc nghiêng, tính bằng độ, khi thực hiện thử theo -1 trên.
∆ là lượng chiếm nước, tính bằng kg, dựa trên tính toán hoặc được đo và được Đăng kiểm kiểm tra xác nhận.
3 Đối với các tàu chở kết hợp cả người và hàng hóa, trong đó khối lượng hàng hóa không vượt quá 1000 kg (xem định nghĩa), việc thử nêu ở -1 trên cần được thực hiện với toàn bộ số lượng khách và hàng hóa và ngoài ra, thử với riêng hành khách. Để phục vụ cho việc thử này, hàng hóa có thể được giả định được giữ nguyên tại vị trí cất giữ.
Trong mọi trường hợp, khối lượng cho phép lớn nhất của người, hàng hóa có được từ việc thử phải được ghi vào Giấy chứng nhận. Việc xếp tải lên tàu sẽ bị khống chế bởi vị trí dấu mạn khô và khối lượng lớn nhất cho phép. Do đó, phục vụ cho việc thử này, cần phải chú ý tới các thiết bị liên quan nếu chúng đáng kể (như thiết bị lặn…).
4 Cần phải thử hoặc tính toán để chứng minh rằng đối với tàu hở, khi bị ngập hoàn toàn thì vẫn có khả năng duy trì nổi cho toàn bộ các thiết bị của tàu, tổng số người được chứng nhận để chở và khối lượng tương đương với máy của tàu và két nhiên liệu chứa đầy.
5 Tàu mà được kiểm tra phù hợp với bất kỳ lựa chọn nào ở mục 5.3 Phần 1 của Tiêu chuẩn ISO 12217 có thể được coi là thay thế cho quy định về ổn định ở mục 1.2.2 này và được ấn định vùng hoạt động phù hợp với quy định ở 1.2.1-9 của Phần này.
1.2.3 Tàu bơm hơi hoặc tàu có lắp phao nổi
1 Quy định chung
Các yêu cầu trong mục này áp dụng đối với tàu bơm hơi, tàu bơm hơi cứng hoặc các tàu có lắp phao nổi. Tàu phải thực hiện thử trên nước tĩnh như dưới đây, trừ trường hợp tàu có kiểu được sản xuất tiêu chuẩn và cung cấp các giấy chứng nhận thẩm định đối với các thử nghiệm được nêu dưới đây cho Đăng kiểm. Trong mọi trường hợp, khối lượng cho phép lớn nhất của người, hàng hóa có được từ việc thử phải được ghi vào Giấy chứng nhận. Việc xếp tải lên tàu sẽ bị khống chế bởi vị trí dấu mạn khô và khối lượng lớn nhất cho phép. Do đó, phục vụ cho việc thử này, cần phải chú ý tới các thiết bị liên quan nếu chúng đáng kể (như thiết bị lặn…).
2 Thử tính ổn định
(1) Phải thực hiện thử với tất cả thiết bị, nhiên liệu, hàng hóa, các thiết bị liên quan đến hoạt động của tàu (như thiết bị lặn…) và với số người mà tàu được chứng nhận. Máy, thiết bị và hàng hóa có thể được thay thế bằng khối lượng tương đương. Mỗi người có thể được thay thế bằng khối lượng 75 kg để thử.
(2) Số lượng người lớn nhất mà tàu được chứng nhận để chở phải tập trung ở một bên mạn, nửa số người này ngồi trên ống nổi. Quy trình này phải được lặp lại với số người đó ngồi ở bên mạn kia và ở mỗi đầu của tàu bơm hơi, tàu bơm hơi cứng hoặc tàu có lắp phao nổi. Để phục vụ cho việc thử này, hàng hóa hoặc khối lượng thay thế tương đương phải được giữ ở vị trí cất giữ bình thường. Trong mỗi trường hợp, mạn khô tính đến mặt trên của ống nổi phải được ghi lại. Trong các điều kiện thử này, mạn khô phải có giá trị dương xung quanh toàn bộ chu vi của tàu.
3 Thử hư hỏng đối với tàu bơm hơi
(1) Phải thực hiện thử với tất cả thiết bị, nhiên liệu, hàng hóa, các thiết bị liên quan đến hoạt động của tàu (như thiết bị lặn…) và với số người mà tàu được chứng nhận. Máy, thiết bị và hàng hóa có thể được thay thế bằng khối lượng tương đương. Mỗi người có thể được thay thế bằng khối lượng 75 kg để thử.
Thử nghiệm được coi là đạt nếu, đối với mỗi trạng thái hư hỏng được mô phỏng, số người mà tàu bơm hơi hoặc tàu bơm hơi cứng được chứng nhận để chở vẫn được đỡ bên trong tàu bơm hơi hoặc bơm hơi cứng. Các trạng thái này gồm:
(a) Ngăn nổi phía mũi bị xì hơi (ở cả hai mạn nếu có thể thực hiện);
(b) Toàn bộ lực nổi bị xì hơi, từ đường tâm tại sống mũi đến vách đuôi, ở một bên mạn của tàu bơm hơi hoặc tàu bơm hơi cứng.
(2) Các tàu bơm hơi mà chỉ không tuân thủ tiêu chuẩn nêu ở (1) trên thì có thể được Đăng kiểm xem xét riêng, trong đó có tính đến các hạn chế trong hoạt động của tàu.
4 Thử ngập
(1) Tàu phải chứng minh rằng, khi bị ngập hoàn toàn, thì tàu vẫn có khả năng duy trì nổi cho toàn bộ các thiết bị của tàu, tổng số người và khối lượng hàng hóa tương đương mà tàu được chứng nhận để chở và khối lượng tương đương với máy của tàu và két nhiên liệu chứa đầy.
(2) Ở trạng thái ngập thì tàu bơm hơi, tàu bơm hơi cứng hoặc tàu có lắp phao nổi phải không bị biến dạng nghiêm trọng.
(3) Phương tiện phù hợp để xả nước khỏi tàu phải được chứng minh khi kết thúc quá trình thử này.
5 Thử tính ổn định khi vớt người
Hai người phải vớt một người thứ ba từ dưới nước lên tàu. Người thứ ba kia phải giả vờ bị bất tỉnh và quay lưng lại với tàu bơm hơi hoặc tàu bơm hơi cứng sao cho không hỗ trợ được gì cho người cứu. Mỗi người tham gia phải mặc một áo phao có kiểu được duyệt. Tàu phải duy trì được ổn định trong suốt quá trình này và không bị lật.
1.2.4 Tàu có cẩu trên boong hoặc có các thiết bị nâng khác
1 Chỉ đối với các quy định trong Phần 6 này, thiết bị nâng không bao gồm hệ thống thu hồi người, thiết bị nâng hạ neo của bản thân tàu hoặc cẩu nhỏ dùng để nâng hạ xuồng con nếu Đăng kiểm thấy rằng chúng không có ảnh hưởng bất lợi đến ổn định của tàu.
2 Tàu cũng cần phải tuân thủ các quy định ở Chương 3 Phần 9 Mục II của Quy chuẩn này liên quan đến các tiêu chuẩn an toàn khác đối với tàu có lắp cẩu trên boong hoặc lắp các thiết bị nâng khác.
3 Tàu có cẩu trên boong hoặc có các thiết bị nâng khác phải là tàu có boong (hoặc được đánh giá theo 1.1.1-3(2) Phần 2 Mục II của Quy chuẩn này) và phải tuân thủ các quy định chung ở Phần 6 này, nếu thấy có thể áp dụng.
Ngoài ra, khi tàu ở điều kiện thực hiện hoạt động nâng dự kiến xấu nhất thì cần phải chứng minh việc tuân thủ các tiêu chuẩn sau thông qua thử nghiệm thực tế hoặc tính toán:
(1) Khi cẩu hoặc các thiết bị nâng khác hoạt động ứng với mô men tải lớn nhất, góc nghiêng của tàu không được lớn hơn 7º hoặc góc nghiêng mà đường nước cách mép boong tại vị trí bất kỳ trên chu vi của boong một khoảng bằng 250 mm, lấy góc nào nhỏ hơn. Cần phải chú ý đến đặc tính hoạt động của cẩu hoặc các thiết bị nâng khác mà có giá trị tải- tầm với biến đổi và mô men tải biến đổi đối với các tàu có thiết bị nâng đặt lệch khỏi tâm tàu.
(2) Đăng kiểm có thể chấp nhận trường hợp góc nghiêng ở (1) trên lớn hơn 7º nhưng không quá 10º với điều kiện tuân thủ các yêu cầu dưới đây khi cẩu hoặc các thiết bị nâng khác hoạt động ở trạng thái có mô men của tải lớn nhất:
(a) Phạm vi ổn định tính từ góc cân bằng tĩnh tới góc vào nước hoặc góc lặn của đồ thị ổn định, lấy góc nào nhỏ hơn, không nhỏ hơn 20º;
(b) Diện tích của đường cong ổn định tĩnh tính từ góc cân bằng tĩnh tới góc 40º hoặc tới góc vào nước, nếu góc này nhỏ hơn 40º, phải không nhỏ hơn 0,1 m.rad;
(c) Mạn khô tới mép boong phía mũi và lái trong suốt quá trình thực hiện hoạt động nâng phải không nhỏ hơn một nửa mạn khô được ấn định tại giữa tàu. Đối với tàu có mạn khô được ấn định ở giữa tàu nhỏ hơn 1000 mm thì giá trị mạn khô vừa nêu khi nâng phải không nhỏ hơn 500 mm;
(d) Mạn khô tính tới mép boong tại mọi vị trí trên chu vi của tàu phải tối thiểu bằng 250 mm.
4 Thông báo ổn định cho thuyền trưởng phải bao gồm các thông tin và hướng dẫn về an toàn của tàu khi sử dụng cẩu hoặc các thiết bị nâng khác như dưới đây:
(1) Tải và tầm với lớn nhất cho phép mà tuân thủ các yêu cầu nêu ở -2 trên hoặc tải làm việc an toàn (SWL), ghi giá trị nào nhỏ hơn (cũng cần phải đưa thêm các số liệu về đặc tính vận hành của cẩu hoặc các thiết bị nâng khác mà có kiểu biến đổi về tải-tầm với sao cho phù hợp);
(2) Chi tiết về các lỗ hở dẫn đến không gian dưới boong mà cần phải đóng kín thời tiết; và
(3) Việc cần thiết mà tất cả người trên tàu phải ở trên boong trước khi bắt đầu hoạt động nâng.
5 Các yêu cầu đối với hệ thống nâng mà có đối trọng hoặc đối với các tàu không thể tuân thủ mục -2 trên nhưng lại xét thấy tuân thủ các yêu cầu về ổn định thì phải được Đăng kiểm xem xét riêng.
1.2.5 Tàu buồm một thân áp dụng quy định 1.1.1-2 trên đây
1 Trọng tâm của tàu cần được xác định bằng thử nghiêng và cần phải lập đường cong ổn định tĩnh (đường cong GZ) đối với trạng thái có tải rời bến với 100% dự trữ và có tải về bến với 10% dự trữ. Phải xem xét đến các lưu ý như dưới đây:
(1) Nếu được Đăng kiểm xem xét, các trạng thái này có thể bao gồm lượng dư lên tới 5% đối với khối lượng tàu không, với cao độ trọng tâm đặt tại boong chính giữa tàu.
(2) Các kết cấu nổi mà dự định dùng để làm tăng phạm vi ổn định dương thì không được xét đến các thành phần gắn vào cột buồm, hệ buồm hoặc thượng tầng.
(3) Đối với các tàu được đóng hàng loạt theo tiêu chuẩn thì giá trị đường cong ổn định tĩnh có thể được lấy từ thử nghiêng của tàu cùng loạt sau khi hiệu chỉnh do sự khác biệt về trang bị và được Đăng kiểm xem xét.
(4) Mô men mặt thoáng lớn nhất phải được đưa vào tính toán đối với trạng thái có tải rời bến và đối với trạng thái về bến thì ít nhất phải được nhân với hệ số tương ứng với tỷ lệ điền đầy két.
2 Đường cong ổn định tĩnh yêu cầu ở -1 trên phải có phạm vi ổn định dương không nhỏ hơn góc xác định theo công thức ở Bảng 6/1.2 hoặc 90°, lấy góc nào lớn hơn.
3 Ngoài yêu cầu ở -2 trên, góc nghiêng ổn định xác định từ giao điểm của đường cong cánh tay đòn gây nghiêng do gió với đường cong ổn định tĩnh nêu ở -1 trên phải lớn hơn 15° (xem Hình 6/1.1).

Ghi chú: ‘dwhl’ là cánh tay đòn nghiêng do gió tính toán tại mọi góc nghiêng
![]()
Trong đó:
![]()
Hình 6/1.1 - Góc nghiêng do gió
Khi sử dụng phương pháp này, cần chú ý:
WL0 là độ lớn của cánh tay đòn gây nghiêng do gió thực tế ở 0° mà sẽ làm cho tàu nghiêng tới góc vào nước (θf) hoặc 60°, lấy góc nào nhỏ hơn.
GZf là cánh tay đòn ổn định tĩnh tại góc vào nước (θf) hoặc 60°, lấy góc nào nhỏ hơn.
θd là góc tại đó đường cong cánh tay đòn gây nghiêng do gió tính toán giao với đường cong cánh tay đòn ổn định tĩnh. Nếu θd < 15° thì tàu được coi là không tuân thủ tiêu chuẩn ổn định.
θf là góc ngập nước tới hạn và được xem là xảy ra khi ngập các lỗ hở mà tổng diện tích (tính bằng m2) các lỗ hở đó lớn hơn giá trị tính theo công thức dưới đây:
![]()
Ngoài ra, θf cũng là góc mà tại đó mép dưới của các lỗ khoét thực tế khi bị ngập sẽ dẫn đến việc ngập tới hạn. Tất cả các lỗ khoét mà thông thường sử dụng cho thuyền viên tiếp cận và sử dụng cho thông gió phải được xem xét khi xác định góc vào nước. Không có lỗ khoét nào, bất kể kích cỡ, mà có thể dẫn đến ngập lan truyền được phép ngập ở góc nghiêng nhỏ hơn 40°. Tuy nhiên, ống thông hơi cho các két có thể không cần xem xét đến.
Nếu việc ngập lỗ khoét ở lầu làm cho tàu không thể tuân thủ được yêu cầu về ổn định thì có thể bỏ qua các lỗ khoét ở lầu đó và thay vào đó thì sử dụng lỗ khoét trên boong thời tiết để xác định θf. Trong trường hợp này, đường cong GZ phải được tính toán mà không xét đến sức nổi của lầu.
Cần phải chú ý là mặc dù tàu tuân thủ các yêu cầu nêu ở -1, -2 trên và ở -3 này và tàu di chuyển bằng buồm với góc nghiêng không lớn hơn góc nghiêng tính toán nhưng tàu vẫn phải có khả năng chịu được gió giật bằng 1,4 lần tốc độ gió thực tế (như trường hợp tàu chịu hai lần áp suất gió thực tế) mà không dẫn đến ngập lỗ khoét vào nước hoặc bị nghiêng tới góc lớn hơn 60°.
4 Tàu mà được kiểm tra phù hợp với Lựa chọn 1 và 2 ở mục 6.1 Phần 2 của Tiêu chuẩn ISO 12217 có thể được coi là thay thế cho quy định ở -2 trên và được ấn định vùng hoạt động phù hợp với quy định ở 1.2.6-5 của Phần này, với điều kiện đường cong cánh tay đòn ổn định tính toán theo Tiêu chuẩn vừa nêu được kiểm tra và hiệu chỉnh theo Phụ lục E của Quy chuẩn này trước khi đưa vào tính toán. Trong trường hợp này, góc nghiêng ổn định tính toán ở -3 trên phải được giảm 10%.
5 Trên tàu phải có Thông báo ổn định được Đăng kiểm thẩm định. Thông báo ổn định này phải bao gồm các thông tin chi tiết về góc nghiêng ổn định lớn nhất đối với trạng thái di chuyển bằng buồm kém an toàn nhất. Góc nghiêng ổn định phải được tính toán theo -3 hoặc -4 trên. Thông báo ổn định cũng phải có các đường cong về góc nghiêng ổn định lớn nhất được khuyến nghị để ngăn ngập nước trong trường hợp có gió giật.
1.2.6 Tàu buồm một thân áp dụng quy định 1.1.1-3 trên đây
1 Quy định chung
Ổn định của tàu phải được xác định bằng một trong các phương pháp dưới đây và vùng được phép hoạt động của tàu phải phụ thuộc vào tiêu chuẩn mà tàu được chứng minh là phù hợp.
2 Tàu không có ky đáy cân bằng ngoài tàu
(1) Phương pháp 1
(a) Chiều cao trọng tâm (KG) của tàu phải được xác định bằng thử nghiêng, cánh tay đòn ổn định tĩnh (GZ) đối với trạng thái có tải rời bến với 100% dự trữ và trạng thái có tải về bến với 10% dự trữ phải được tính toán. Cần phải xem xét các lưu ý dưới đây:
(i) Nếu được Đăng kiểm xem xét, các trạng thái này có thể bao gồm lượng dư lên tới 5% đối với khối lượng tàu không, với cao độ trọng tâm đặt tại boong chính giữa tàu.
(ii) Các kết cấu nổi mà dự định dùng để làm tăng phạm vi ổn định dương thì không được xét đến các thành phần gắn vào cột buồm, hệ buồm hoặc thượng tầng.
(iii) Đối với các tàu được đóng hàng loạt theo tiêu chuẩn thì giá trị đường cong ổn định tĩnh có thể được lấy từ thử nghiêng của tàu cùng loạt sau khi hiệu chỉnh do sự khác biệt về trang bị và được Đăng kiểm xem xét.
(b) Vùng được phép hoạt động
Vùng được phép hoạt động phụ thuộc vào phạm vi cánh tay đòn ổn định của tàu như nêu ở -5 dưới đây. Phạm vi cánh tay đòn ổn định phải ít nhất bằng 90° trong mọi trường hợp.
(c) Đối với các tàu hoạt động ở Vùng 6, được phép chứng minh ổn định bằng cách thử hoặc tính toán, sao cho tàu buồm hở khi bị ngập hoàn toàn vẫn có khả năng nâng được toàn bộ trang thiết bị và tổng số người mà tàu được chứng nhận chở. Tàu buồm cỡ nhỏ (không có boong, thông thường có chiều dài từ 2,5 đến 6 m và không có thiết bị đẩy cơ khí) và tàu buồm cỡ nhỏ hoạt động ban ngày không có dằn cân bằng thì phải có khả năng hồi phục bởi thuyền viên trên tàu sau khi bị lật.
(2) Phương pháp 2
(a) Áp dụng hoàn toàn Phần 2 của Tiêu chuẩn ISO 12217, phù hợp với các quy định ở -5 dưới đây. Tàu có chiều dài nhỏ hơn 6 m thì không được phép áp dụng phương pháp này.
(b) Vùng được phép hoạt động phụ thuộc vào nhóm thiết kế của tàu như nêu trong Bảng 6/1.2 ở mục -5 dưới đây.
3 Tàu có ky đáy cân bằng bên trong tàu
(1) Tàu có thể được đánh giá ổn định bằng một trong các phương pháp sau:
(a) Phương pháp 1: Như đối với tàu không có ky đáy cân bằng bên ngoài tàu, xem -2 trên.
(b) Phương pháp 2: Áp dụng hoàn toàn Phần 2 của Tiêu chuẩn ISO 12217, phù hợp với các quy định ở -5 dưới đây. Tàu có chiều dài nhỏ hơn 6 m thì không được phép áp dụng phương pháp này.
(c) Phương pháp 3: Đánh giá ổn định bằng phương pháp số ‘STOPS’ được quy định trong mục -4 dưới đây.
Chú ý: Đối với tàu có một hoặc nhiều khối lượng trên cao (xem các trường hợp minh họa dưới đây), tỷ số dằn phải được hiệu chỉnh như sau:
Mô men phải được lấy với vị trí chiều cao trọng tâm của tàu, được giả định ở tại đường nước. Mô men nghiêng do khối lượng trên cao được tính toán và khối lượng dằn được giảm xuống, sử dụng công thức như dưới đây:

Trong đó:
CBW là hệ số hiệu chỉnh cho khối lượng dằn;
TW là khối lượng trên cao được xem xét;
H là chiều cao của cao độ trọng tâm bên trên đường nước;
DCB là chiều chìm của phần thân tàu, được lấy bằng chiều chìm lớn nhất tại 1/8 chiều rộng toàn bộ tính từ tâm tàu trên mặt cắt ngang ở phần thân tàu có chiều rộng lớn nhất.
DK là chiều cao của ky đáy, lấy bằng khoảng cách giữa chiều chìm của phần thân tàu và đáy của ky.
Các kích thước trên được mô tả trong Hình 6/1.2 dưới đây.
Các trường hợp đối với khối lượng trên cao bao gồm nhưng không giới hạn:
- Con lăn để cuốn buồm mũi;
- Con lăn nằm ở trên cột hoặc phía sau cột để cuốn buồm chính;
- Ăng ten của ra đa được lắp cao hơn đường nước một khoảng bằng 30% chiều dài tàu.
Mức giảm khối lượng dằn phải được thực hiện tuân thủ yêu cầu của Đăng kiểm.

Hình 6/1.2 - Các kích thước để tính toán hiệu chỉnh khối lượng dằn
(2) Vùng được phép hoạt động
Vùng được phép hoạt động phụ thuộc vào phạm vi đường cong ổn định của tàu, số STOPS hoặc nhóm thiết kế như được chỉ ra trong -5 dưới đây.
4 Đánh giá ổn định bằng phương pháp số ‘STOPS’
Tàu có thể được ấn định vùng hoạt động dựa trên số STOPS.
Thông tin về số STOPS có thể được Đăng kiểm cung cấp. Khi đã xác định được số STOPS, cần phải tra Bảng ở mục -5 dưới để biết vùng được phép hoạt động của tàu.
5 Bảng vùng được phép hoạt động, số ‘STOPS’ và các nhóm thiết kế
Bảng 6/1.2 - Bảng vùng được phép hoạt động, số ‘STOPS’ và các nhóm thiết kế
| Vùng hoạt động | Tiêu chuẩn yêu cầu tối thiểu | Lựa chọn được phép sử dụng khi đánh giá ổn định theo ISO | ||
| Phạm vi ổn định | Số STOPS | Nhóm thiết kế theo Tiêu chuẩn ISO 12217 | ||
| 0 | 90+60×(24-LOA)/17 | - | A | 1 |
| 1 | 90+60×(24-LOA)/17 | - | A | 1 |
| 2 | 90+60×(24-LOA)/20 | 30 | B | 1 |
| 3 | 90+60×(24-LOA)/25 | 20 | B | 1 |
| 4 | 90+60×(24-LOA)/25 | 20 | C | 1 và 2 |
| 5 | 90+60×(24-LOA)/25 | 20 | C | 1 và 2 |
| 6 | 90+60×(24-LOA)/25 | 14 | C | 1, 2, 5 và 6 |
1.2.7 Tàu buồm nhiều thân
Ổn định của tàu buồm nhiều thân có chiều dài lớn hơn 6 m phải được đánh giá theo Phần 2 của Tiêu chuẩn ISO 12217, trong đó có bao gồm yêu cầu tàu phải nổi được sau khi bị lật úp mà không cần phải tính đến tác dụng của các túi khí bị mắc lại khi tàu lật ngoài các két chứa khí hoặc khoang kín nước. Tàu có chiều dài dưới 6 m phải được Đăng kiểm xem xét riêng.
1 Tàu nhiều thân phải có Thông báo ổn định được Đăng kiểm thẩm định, trong đó có các chi tiết về tốc độ gió biểu kiến trung bình tối đa được khuyến cáo cho mỗi tổ hợp buồm dự kiến được thiết lập, theo quy định ở Phần 2 của Tiêu chuẩn ISO 12217. Các tốc độ gió này phải được ghi bằng hải lý/giờ và phải được kèm theo lưu ý “Khi ở trạng thái xuôi gió, tốc độ gió an toàn theo bảng đối với mỗi tổ hợp buồm phải được giảm đi một lượng bằng tốc độ của tàu”.
2 Đối với việc áp dụng Tiêu chuẩn ISO 12217 cho các tàu thuộc phạm vi áp dụng của Quy chuẩn này, tốc độ gió an toàn lớn nhất phải được lấy bằng giá trị nhỏ hơn trong các giá trị được tính toán theo các công thức dưới đây, thay cho các công thức đưa ra trong mục G.1 của Tiêu chuẩn ISO 12217. Mô men lắc dọc và lắc ngang phải được tính toán cho tất cả các tàu.

Trong đó:
vw là tốc độ gió biểu kiến an toàn lớn nhất (tính bằng hải lý/giờ);
LMR là mô men phục hồi giới hạn khi lắc ngang (tính bằng N.m);
LMP là mô men phục hồi giới hạn khi lắc dọc (tính bằng N.m);
A’s là diện tích buồm được thiết lập bao gồm cả cột buồm và thanh lèo (tính bằng m2);
h là chiều cao giữa tâm hình học của diện tích A’s và tâm hình học của diện tích chiếu đứng phần thân tàu bên dưới đường nước, với vây giữa tàu, vây cân bằng được hạ xuống và tàu ở tư thế thẳng đứng (tính bằng m);
ØR là góc nghiêng ứng với mô men hồi phục lắc ngang lớn nhất (liên quan tới LMR);
ØP là góc lắc dọc giới hạn được sử dụng khi tính toán LMP (liên quan tới LMP);
AD là diện tích chiếu bằng của thân tàu và boong (tính bằng m2);
b là khoảng cách từ tâm của AD tới đường dọc tâm của phần thân tàu khuất gió (tính bằng m).
Cách tính toán tốc độ gió biểu kiến lớn nhất được khuyến cáo phải trình Đăng kiểm thẩm định. Cần phải cung cấp các bằng chứng về nguồn gốc của các số liệu ổn định.
Vùng được phép hoạt động phải được xác định theo Bảng 6/1.3, bao gồm tốc độ gió biểu kiến an toàn lớn nhất khi không sử dụng buồm (trạng thái chỉ có các cột không).
Bảng 6/1.3 - Xác định vùng hoạt động của tàu
| Vùng hoạt động của tàu | Nhóm thiết kế theo Tiêu chuẩn ISO 12217 | Tốc độ gió an toàn đối với trạng thái tàu không buồm |
| 0 | A | 36 hải lý/giờ |
| 1 | A | 36 hải lý/giờ |
| 2 | B | 32 hải lý/giờ |
| 3 | B | 28 hải lý/giờ |
| 4 | C | 25 hải lý/giờ |
| 5 | C | 25 hải lý/giờ |
| 6 | C | 25 hải lý/giờ |
3 Tàu ba thân hoạt động ở Vùng 0 hoặc 1 phải có thân ngoài với tổng thể tích nổi của mỗi thân bằng ít nhất 200% thể tích chiếm nước ở trạng thái toàn tải. Tàu ba thân hoạt động ở Vùng 2 phải có thân ngoài với tổng thể tích nổi của mỗi thân bằng ít nhất 150% thể tích chiếm nước ở trạng thái toàn tải.
CHƯƠNG 2 ỔN ĐỊNH TAI NẠN
2.1 Quy định chung
1 Chương này áp dụng cho tàu một thân có tổng số người trên tàu không nhỏ hơn 16 và các tàu hoạt động ở vùng 0 hoặc 1 có tổng số người trên tàu không nhỏ hơn 7.
2 Tàu phải được bố trí sao khi tàu bị hư hỏng nhỏ trên thân tàu hoặc thiết bị gắn trên thân tàu bị hỏng dẫn đến ngập một khoang kín nước bất kỳ thì tàu vẫn tuân thủ tiêu chuẩn ổn định dưới đây. Việc này có thể đạt được bằng cách lắp các vách ngăn kín nước hoặc các phương pháp thay thế khác mà Đăng kiểm thấy phù hợp. Hư hỏng nhỏ nói trên phải được giả định xảy ra ở bất kỳ vị trí nào trên toàn bộ chiều dài nhưng không cần ở vị trí vách ngăn kín nước.
3 Khi tính toán ổn định tai nạn, phải sử dụng hệ số ngập như sau. Các phương pháp khác để xác định hệ số ngập khoang có thể được chấp nhận trên cơ sở có tính toán chi tiết để chứng minh.
| Không gian | Hệ số ngập (%) |
| Dùng để làm kho | 60 |
| Dùng để làm kho nhưng lượng đồ trong đó không đáng kể | 95 |
| Khu sinh hoạt | 95 |
| Buồng chứa máy | 85 |
| Dùng để chứa chất lỏng | 0 hoặc 95, lấy giá trị nào thiên về an toàn |
4 Khi bị ngập, ổn định của tàu phải sao cho:
(1) Góc nghiêng khi tàu cân bằng không lớn hơn 7 độ tính từ góc thẳng đứng;
(2) Đường cong cánh tay đòn ổn định có phạm vi đến góc vào nước lớn hơn hoặc bằng 15 độ, tính từ góc cân bằng;
(3) Cánh tay đòn lớn nhất trong phạm vi nói trên không được nhỏ hơn 0.1 m và diện tích dưới đường cong ổn định không nhỏ hơn 0,015 m.rad;
(4) Đường nước cân bằng phải cách mép boong thời tiết tại mọi điểm lớn hơn 75 mm. Giá trị này có thể được xem xét miễn giảm trong trường hợp bên trên boong thời tiết có các cấu trúc nổi đảm bảo dự trữ nổi sau khi tàu bị ngập là tương đương.
2.2 Tàu nhiều thân
Các yêu cầu ở mục 2.1 trên đối với tàu một thân phải được áp dụng cho tàu nhiều thân gắn động cơ có tổng số người trên tàu không nhỏ hơn 16 người hoặc hoạt động ở Vùng 0 hoặc 1 và có tổng số người trên tàu không nhỏ hơn 7 người. Các yêu cầu về ổn định khi tai nạn và khi bị lật ngược đối với tàu buồm nhiều thân được nêu ở 1.2.7 của Phần này. Nếu tàu nhiều thân có thiết kế không thông thường hoặc không thể tuân thủ các tiêu chuẩn ổn định tai nạn nêu ở 2.1-2 và 2.1-3 trên thì các kết quả tính toán phải được trình Đăng kiểm xem xét đánh giá.
| QCVN 03:2025/BGTVT | MỤC II – PHẦN 7 |
PHẦN 7 MẠN KHÔ
CHƯƠNG 1 TÍNH NGUYÊN VẸN KÍN THỜI TIẾT
1.1 Miệng khoang và nắp miệng khoang
1.1.1 Quy định chung
1 Miệng khoang dẫn xuống không gian dưới boong thời tiết thì phải được kết cấu một cách hữu hiệu và phải được trang bị phương tiện đóng kín thời tiết hiệu quả. Miệng khoang hàng phải tuân thủ các yêu cầu ở Chương 3 Phần 9 Mục II của Quy chuẩn này.
2 Nắp miệng khoang phải là kiểu bản lề, trượt hoặc được giữ cố định với các kết cấu của tàu bằng các phương tiện tương đương và phải có thiết bị khoá hiệu quả để có thể giữ chặt được nắp một cách chắc chắn ở vị trí đóng.
3 Miệng khoang có nắp bản lề nằm ở phần mũi tàu thì thông thường phải có bản lề lắp ở phía cạnh trước của nắp nhằm bảo vệ miệng khoét khi bị sóng đánh lên. Miệng khoang mà có bản lề nằm ở cạnh sau của nắp thì phải được đóng chặt khi đi biển và phải có tấm bịt thích hợp. Quy định này không áp dụng cho các không gian phục vụ kỹ thuật có kích thước nhỏ mà thoát nước trực tiếp ra ngoài mạn (như trường hợp thùng xích neo…).
4 Miệng khoang mà dùng để thoát hiểm thì phải có khả năng mở được từ hai phía.
5 Miệng khoang ở hõm của boong hoặc phần nhảy bậc của boong nêu ở 1.3.1-2 Phần 2 Mục II của Quy chuẩn này mà dùng để tiếp cận van của cửa thông biển thì phải có lỗ khoét để tiếp cận nằm bên trên mạn khô nhỏ nhất tới boong một khoảng bằng 300 mm (xem 4.2.2 Phần 7) hoặc van của cửa lấy nước biển được lắp thiết bị đóng từ xa.
1.1.2 Miệng khoang hở
1 Các nắp miệng khoang phải được đóng chắc chắn khi đi biển. Tuy nhiên, các nắp (mà không phải là nắp quy định ở 1.2.2 của Phần này) được mở khi đi biển trong một khoảng thời gian dài thì phải:
(1) Càng nhỏ càng tốt nhưng trong mọi trường hợp không lớn hơn 1 m2 trên mặt phẳng của mặt trên thành quây miệng khoang;
(2) Được bố trí ở tâm tàu hoặc gần tâm tàu đến mức có thể;
(3) Được lắp sao cho lỗ khoét tiếp cận phải nằm trên ít nhất 300 mm so với đỉnh của boong thời tiết liền kề tại mạn.
1.2 Cửa ra vào và chòi boong
1.2.1 Cửa ra vào bên trên boong thời tiết
1 Lối ra vào bên trên boong thời tiết mà từ đó có lối dẫn đến không gian bên dưới thì phải có cửa kín thời tiết. Cửa này phải có kết cấu hữu hiệu, gắn cố định với vách, không mở vào phía trong và có kích thước sao cho cửa chồng lên lỗ khoét ở tất cả các cạnh và có phương tiện đóng kín hữu hiệu mà có thể thao tác được từ cả hai phía.
2 Lối ra vào phải được bố trí gần tâm tàu đến mức có thể được. Tuy nhiên, nếu cửa có bản lề và được bố trí trên vách mạn của lầu thì cửa đó phải có bản lề ở mép trước. Cửa mà sử dụng hệ thống các khớp nối phải được xem xét riêng nhằm đảm bảo cách bố trí tương đương.
3 Lối ra vào mà hướng về phía trước hoặc phía mạn thì phải có ngưỡng cao ít nhất 300 mm bên trên boong thời tiết. Ngưỡng có thể là loại di động với điều kiện nó thể được lắp cố định và kết cấu của tàu và có thể được chốt ở đúng vị trí khi đi biển.
1.2.2 Lỗ khoét của miệng chòi boong
1 Lỗ khoét chòi boong mà đi từ khu vực điều khiển hoặc đi từ hõm trên boong dẫn tới không gian bên dưới boong thời tiết thì phải có thành quây hoặc tấm di động, mép trên của chúng phải cao hơn sàn đứng khu điều khiển hoặc hõm boong một khoảng ít nhất bằng 300 mm.
2 Khi tấm di động được sử dụng để đóng lõ khoét thẳng đứng thì chúng phải được bố trí và lắp đặt sao cho không bị xô lệch.
3 Chiều rộng lớn nhất của lỗ khoét miệng chòi boong không được vượt quá 1 m.
1.3 Cửa lấy ánh sáng
1 Cửa lấy sáng phải có kết cấu kín thời tiết hữu hiệu và phải được bố trí ở dọc tâm tàu hoặc gần đó đến mức có thể, trừ trường hợp phải bố trí phương tiện thoát nạn từ một khoang nằm dưới boong.
2 Nếu cửa lấy sáng là kiểu mở được thì nó phải được trang bị phương tiện hữu hiệu để giữ cửa ở vị trí đóng.
3 Cửa lấy sáng đồng thời là cửa thoát nạn thì phải có thể mở được từ hai phía.
4 Trừ khi vật liệu kính và phương pháp lắp vào khung là tương đương về độ bền được yêu cầu đối với các kết cấu mà nó được lắp vào thì phải trang bị tấm bịt di động mà có thể được giữ hữu hiệu tại một vị trí khi kính bị vỡ.
1.4 Cửa sổ lấy sáng và cửa sổ
1 Cửa sổ lấy sáng và cửa sổ của không gian bên dưới boong thời tiết hoặc nằm ở kết cấu nhảy bậc, hõm hoặc kết cấu boong nâng, lầu hoặc thượng tầng mà bảo vệ cho lỗ khoét dẫn tới bên dưới boong thời tiết thì phải có kết cấu hữu hiệu để tạo nên tính nguyên vẹn kín thời tiết (và có độ bên tương thích với kích thước) đối với vùng hoạt động dự kiến của tàu.
2 Cửa sổ lấy sáng hoặc cửa sổ phải không được lắp ở thân chính của tàu bên dưới boong thời tiết, trừ khi vật liệu kính và phương pháp lắp kính vào khung là tương đương về độ bền, xét đến áp suất thiết kế, so với yêu cầu về độ bền của kết cấu mà cửa được lắp vào.
3 Cửa sổ lấy sáng lắp trên thân tàu bên dưới chiều cao của boong thời tiết phải là loại không mở được hoặc là loại không dễ dàng mở được, có đường kính của kính không lớn hơn 250 mm hoặc diện tích tương đương và phải tuân thủ các tiêu chuẩn phù hợp để áp dụng. Cửa sổ lấy sáng có kiểu không dễ dàng mở được phải được đảm bảo đóng khi tàu hành trình. Đăng kiểm có thể xem xét chấp nhận cửa sổ lấy sáng có đường kính lớn hơn 250 mm, lên đến 400 mm hoặc có diện tích tương đương dựa trên vị trí của cửa ở mũi hay đuôi và vị trí theo phương thẳng đứng, tuân thủ một tiêu chuẩn phù hợp để áp dụng.
4 Cửa sổ lấy sáng, cửa sổ và khung của chúng phải tuân thủ tiêu chuẩn thích hợp dùng trong hàng hải.
5 Cửa sổ lấy sáng lắp bên dưới boong mạn khô và không có nắp đậy thì phải có tấm chắn (số lượng tấm chắn phải đủ cho ít nhất một nửa số cửa sổ lấy sáng ứng với từng kiểu kích thước của cửa), tấm chắn này phải có thể được cố định một cách hiệu quả tại một vị trí trong trường hợp cửa sổ lấy sáng bị vỡ. Tấm chặn phải được làm bằng vật liệu phù hợp và có độ bền được Đăng kiểm xem xét, thống nhất.
Các tấm chặn đó không cần phải trang bị cho cửa sổ lấy sáng loại không mở được phù hợp với quy định ở -2 trên.
6 Các cửa sổ lắp ở thân chính bên dưới boong thời tiết thì phải tuân thủ yêu cầu ở -2 trên hoặc phải được trang bị tấm chặn tuân thủ yêu cầu ở -7 dưới đây.
7 Đối với tàu hoạt động các nơi trú ẩn an toàn quá 60 hải lý, cửa sổ phải có tấm chắn di động (số lượng tấm chắn phải đủ cho ít nhất một nửa số cửa sổ ứng với từng kiểu kích thước của cửa), tấm chắn này phải có thể được cố định một cách hiệu quả tại một vị trí trong trường hợp cửa sổ bị vỡ.
Các tấm chắn đó không cần phải trang bị cho cửa sổ phù hợp với quy định ở -2 trên.
8 Đối với lầu lái
(1) Cửa sổ và khung phải tuân thủ các yêu cầu ở -4 trên, có xem xét thích đáng đến việc tăng chiều dày của cửa sổ mà có một hoặc nhiều lớp để có thể đạt độ bền tương đương.
(2) Không được sử dụng kính phân cực hoặc kính màu cho các cửa sổ phục vụ cho tầm nhìn khi điều khiển (mặc dù vậy, có thể xem xét trang bị màn chắn màu di động cho một số lượng cửa sổ nhất định).
1.5 Ống thông gió và ống xả
1 Ống thông gió phải có kết cấu hiệu quả và, trong trường hợp được bố trí trên boong thời tiết và không tuân thủ yêu cầu ở -3 dưới đây thì phải được trang bị phương tiện sẵn sàng đóng kín thời tiết, ngoài ra cũng phải xem xét đến các yêu cầu về chống cháy (Chương 1 Phần 5 Mục II của Quy chuẩn này).
2 Ống thông gió phải được bố trí xa mạn tàu đến mức có thể và phải có đủ chiều cao so với boong để ngăn nước vào khi tàu bị nghiêng (xem các mục 1.2.1, 1.2.2, 1.2.4 và 1.2.5 Phần 6 Mục II của Quy chuẩn này).
3 Các ống thông gió mà phải duy trì ở vị trí mở (như trường hợp ống cấp khí cho máy…) hoặc để thông ra ngoài các khí độc hại hoặc dễ cháy, thì phải được xem xét riêng liên quan đến vị trí của nó và chiều cao so với boong liên quan đến yêu cầu ở -2 trên và góc vào nước (xem các mục 1.2.1, 1.2.2, 1.2.4 và 1.2.5 Phần 6 Mục II của Quy chuẩn này).
4 Tàu có động cơ mà được lắp đầu lấy khí cho động cơ nằm ở bên trong thân tàu, mà không tuân thủ yêu cầu của Quy chuẩn này thì có thể được Đăng kiểm xem xét chấp nhận, nhưng trong trường hợp này, vùng hoạt động của tàu có thể bị hạn chế.
5 Đầu ra của ống xả động cơ mà xuyên qua thân tàu bên dưới boong thời tiết thì phải có phương tiện ngăn nước đi ngược lại vào thân tàu thông qua hệ thống ống khí xả. Phương tiện này có thể được thực hiện bằng thiết kế của hệ thống, cách bố trí, van được tích hợp hoặc phụ kiện xách tay mà có thể sẵn sàng sử dụng trong tình huống khẩn cấp.
1.6 Ống thông hơi
1 Khi được bố trí trên boong thời tiết, ống thông hơi phải được đặt càng xa mạn càng tốt và có đủ chiều cao so với boong để ngăn nước vào khi tàu bị nghiêng (xem 1.2.1, 1.2.2, 1.2.4 và 1.2.5 Phần 6 Mục II của Quy chuẩn này).
2 Ống thông hơi mà có đường kính trong lớn hơn 10 mm dùng để thông hơi nhiên liệu hoặc các két khác thì phải có phương tiện đóng kín thời tiết gắn cố định. Có thể cho phép bỏ qua phương tiện đóng kín nếu có thể chứng minh rằng đầu hở của ống thông hơi có đủ khả năng được bảo vệ thích hợp bằng các biện pháp khác để ngăn chặn sự xâm nhập của nước.
3 Ống thông hơi dùng cho két nhiên liệu (xem thêm quy định ở 1.4-4 Phần 3 Mục II của Quy chuẩn này) hoặc các két khác, trong trường hợp có thiết bị đóng thì phải là loại mà có thể ngăn được áp bị vượt quá ở vách biên của két. Cần phải có biện pháp để xả chân không khi két được rút chất lỏng hoặc hút cạn.
1.7 Cửa lấy và xả nước biển
1 Lỗ khoét bên dưới boong thời tiết phải có biện pháp đóng hữu hiệu.
2 Khi lỗ khoét được sử dụng để lấy hoặc xả nước biển bên dưới đường nước thì nó phải được lắp van thông biển, van hoặc các phương tiện đóng hữu hiệu khác mà có thể tiếp cận được dễ dàng.
3 Khi lỗ khoét được sử dụng cho máy đo tốc độ hoặc các loại cảm biến khác mà có khả năng rút ra được thì lỗ khoét đó phải có phương pháp đóng kín nước hữu hiệu và được trang bị phương tiện đóng hữu hiệu khi bỏ các phụ tùng nói trên ra.
4 Ống lấy và xả nước của bồn cầu (loại chuyên dùng trên tàu) phải được trang bị phụ tùng gắn với vỏ như quy định ở -2 trên. Khi miệng của bồn cầu đó nằm trên đường nước cao nhất của tàu một khoảng nhỏ hơn 300 mm, trừ khi nhà chế tạo có các khuyến cáo riêng thì phải sử dụng các phương tiện để tránh hiện tượng xi phông.
5 Đối với tàu buồm, ống lấy và xả nước ra ngoài mạn từ bồn cầu (loại dùng trên tàu) hoặc là két chứa nước thải phải được làm xoắn trong thân tàu đi tới mặt dưới của boong.
1.8 Vật liệu của van và đường ống liên quan
1 Van hoặc các thiết bị tương tự gắn với mạn tàu bên dưới đường nước, nằm trong buồng máy hoặc các khu vực có nguy cơ cháy cao khác thì thông thường phải được làm bằng thép, hợp kim đồng, đồng hoặc các vật liệu không giòn chịu lửa hoặc tương đương.
2 Khi sử dụng ống bằng nhựa, thì nó phải có chất lượng tốt và phải có kiểu phù hợp với mục đích sử dụng.
3 Đường ống mềm hoặc phi kim loại, mà tạo ra nguy cơ gây ngập, được lắp trong buồng máy hoặc khu vực có nguy cơ cháy thì phải được bọc chống lửa một cách hữu hiệu hoặc là phải được làm bằng vật liệu chịu lửa (như đạt Tiêu chuẩn ISO 7840 hoặc tiêu chuẩn tương đương) hoặc ống bằng cao su có chất lượng phù hợp để làm ống khí xả hoặc có phương tiện để ngăn nước xâm nhập khi đường ống bị hỏng, phương tiện này phải có thể thao tác được từ bên ngoài không gian đó (xem quy định đối với van ở mục -1 trên).
CHƯƠNG 2 BỐ TRÍ THOÁT NƯỚC
2.1 Quy định chung
1 Khi trên boong có mạn giả làm cho nước trên tàu bị mắc lại thì mạn giả đó phải có cửa thoát nước hữu hiệu để đảm bảo boong được thoát nước một cách hiệu quả. Quy định của Chương này không áp dụng cho tàu bơm hơi hoặc tàu có gắn phao nổi, các loại tàu này được quy định ở các phần khác của Quy chuẩn này.
2 Tuy nhiên, cửa thoát nước nhỏ hơn có thể được chấp nhận trên các tàu chỉ có diện tích boong bên mạn nhỏ mà nước có thể bị mắc ở đó, diện tích giảm của cửa thoát nước được tính dựa trên thể tích nước có thể bị mắc lại ở đó. Có thể áp dụng hiệu chỉnh sau đây đối với diện tích cửa thoát nước:
FPreq = FPmax(Aact/Amax)
Trong đó:
FPreq là diện tích cửa thoát nước theo yêu cầu;
FPmax là diện tích cửa thoát nước lớn nhất theo yêu cầu;
Aact là diện tích thực của boong mà có lắp mạn giả quây kín, ngoại trừ diện tích của thượng tầng hoặc lầu boong;
Amax là diện tích của giếng boong có kích thước lớn nhất (0.7L x B), trong đó, L và B là các kích thước của tàu.
3 Khi cửa sập hoặc nắp một chiều được lắp cho cửa thoát nước thì nó phải có đủ khe hở để chống tắc nghẽn và các bản lề phải có chốt hoặc ổ đỡ làm bằng vật liệu không bị ăn mòn.
4 Tàu có boong mà không tuân thủ yêu cầu về mạn khô quy định ở Chương 4 Phần 7 Mục II của Quy chuẩn này và không có lực nổi dự trữ ở bên trên boong thời tiết, như quy định ở 1.1.1-3(2) Phần 2 Mục II của Quy chuẩn này, thì phải được xem như là tàu hở và phải được trang bị bơm hút khô như quy định ở 2.4 Phần 3 Mục II của Quy chuẩn này.
5 Trên các tàu mà không thể lắp được cửa thoát nước thì phải có các phương tiện hữu hiệu khác để làm sạch nước bị mắc lại được Đăng kiểm xem xét chấp nhận.
6 Các kết cấu và không gian mà được coi là không kín thời tiết thì phải được bố trí thoát nước hữu hiệu.
7 Nếu hàng được chở trên boong thì việc bố trí xếp hàng phải sao cho không cản trở dòng chảy tự do của nước trên boong.
2.2 Tàu có động cơ
1 Trên tàu có động cơ thì diện tích của cửa thoát nước phải ít nhất bằng 4% diện tích của mạn giả và được bố trí ở một phần ba bên dưới của chiều cao mạn giả, gần mặt boong đến mức có thể.
2 Tàu có chiều dài nhỏ hơn 12 m, có giếng trên boong ở đuôi tàu mà xung quanh có mạn giả và tàu đó dự kiến hoạt động cách nơi trú ẩn an toàn không quá 60 hải lý (Vùng 2 đến 6) thì phải có cửa thoát nước như quy định ở -1 trên hoặc có thể có ít nhất hai cửa thoát nước (một ở bên trái và một ở bên phải), cửa thoát này có thể ở trên vách đuôi, mỗi cửa có diện tích thông thủy ít nhất bằng 225 cm2. Cửa thoát chỉ có thể được lắp trên vách đuôi của tàu nếu nước đọng lại trên tàu không gây ra chúi mũi và dẫn đến nước không thể thoát.
2.3 Tàu buồm
1 Trên tàu buồm, diện tích của các cửa thoát nước phải ít nhất bằng 10% diện tích của mạn giả mà có phạm vi trên 2/3 chiều dài ở giữa tàu. Cửa thoát nước phải được bố trí ở 1/3 bên dưới chiều cao của mạn giả, gần mặt boong đến mức có thể. Cửa thoát nước phải được lắp lưới có khoảng cách không quá 50 mm theo bất kỳ hướng nào.
2 Nếu chiều cao trung bình của mạn giả tính theo chiều dài của mạn giả không lớn hơn 150 mm thì không cần phải có cửa thoát nước, tuy nhiên, cần chú ý tới các bố trí thoát nước thích hợp khác.
CHƯƠNG 3 BẢO VỆ CON NGƯỜI
3.1 Lầu
Lầu được người trên tàu sử dụng để sinh hoạt phải được kết cấu đủ bền để chịu được điều kiện thời tiết và biển mà lầu đó bị tác động khi hành trình trên biển.
3.2 Mạn giả, lan can và tay bám
1 Mạn giả, lan can và tay bám phải được đỡ một cách hữu hiệu bằng các mã hoặc thanh chống. Nếu quy định này làm ảnh hưởng đến hoạt động riêng của tàu thì các biện pháp an toàn thay thế có thể được Đăng kiểm xem xét chấp nhận.
2 Để bảo vệ người không bị rơi khỏi tàu, khi hoạt động riêng của tàu không bị ảnh hưởng và khi thường xuyên có người trên boong thì tàu phải có mạn giả hoặc ba hàng lan can hoặc dây căng và mép trên của mạn giả hoặc hàng lan can hoặc dây căng trên cùng phải cách boong được bảo vệ một khoảng không nhỏ hơn 1000 mm. Khoảng cách giữa hàng lan can hoặc dây căng dưới cùng so với boong phải không lớn hơn 230 mm và khoảng cách giữa các hàng lan can hoặc dây căng không được lớn hơn 380 mm.
3 Trên các tàu có khu vực điều khiển hở về phía sau thì phải có lan can bổ sung sao cho không có các lỗ hở thẳng đứng mà không được bảo vệ (như lỗ hở giữa các thanh lan can đứng…) có chiều rộng lớn hơn 500 mm.
4 Đối với các tàu hoạt động ở Vùng 6, nếu thực tế không thể bố trí và không cần thiết phải bố trí lan can thì có thể áp dụng các biện pháp thay thế sao cho phương tiện đó đủ để bảo vệ người trên tàu (như trường hợp trên tàu cỡ nhỏ gắn động cơ có mép boong hẹp dọc theo lầu thì có thể chấp nhận tay bám ở mạn của lầu…). Trên boong phía mũi, tay bám ở giữa tàu có thể được coi là hiệu quả.
5 Phải có tay bám ở các bậc thang để tiếp cận, ở cầu thang, lối đi lại và cho các boong mà không có mạn giả hoặc lan can. Quy định này không được áp dụng thay cho quy định đối với lan can và mạn giả.
6 Tàu bơm hơi hoặc tàu bơm hơi cứng phải có chỗ nắm tay, tì chân và tay bám để đảm bảo an toàn cho tất cả người trên tàu khi di chuyển và khi tàu gặp điều kiện thời tiết xấu nhất trong vùng hoạt động dự kiến.
3.3 Tàu buồm
1 Khi hoạt động riêng của tàu có thể bị ảnh hưởng thì tàu phải có mạn giả hoặc hai hàng lan can hoặc dây căng xung quanh boong làm việc với chiều cao không nhỏ hơn 600 mm bên trên boong. Lan can hoặc dây cáp phải được đỡ tại các khoảng cách không lớn hơn 2,2 m.
2 Khi hoạt động riêng của tàu có chiều dài nhỏ hơn 9 m bị ảnh hưởng hoặc đối với các tàu mà thuyền viên không rời khỏi vị trí điều khiển thì tàu có thể được chấp nhận trang bị mạn giả hoặc một hàng lan can, dây căng xung quanh boong làm việc với chiều cao không nhỏ hơn 450 mm trên boong nhưng phải không có lỗ hở thẳng đứng có chiều rộng lớn hơn 560 mm.
3 Trên các tàu có dây buộc buồm mũi thì phải có lan can mũi loại cố định hoặc loại hở ở giữa, được bố trí phía trước của dây buộc buồm mũi với chiều cao ít nhất bằng với chiều cao của lan can, trừ khu vực của dầm lớn dùng để buộc dây buồm mũi. Lan can mũi loại hở ở giữa mà lỗ hở rộng hơn 250 mm thì phải có phương tiện đóng ở mức chiều cao bằng với chiều cao của lan can, để sử dụng khi đi biển.
4 Khi cần thiết phải di chuyển về phía trước của lan can mũi để tiếp cận dầm buộc dây buồm mũi hoặc để thực hiện hỗ trợ hoạt động cập cảng của tàu thì có thể cho phép bố trí lan can mũi có khe hở ở phần xa nhất của lan can mũi. Trong trường hợp này, cần phải có phương tiện hữu hiệu để đóng khe hở đó và phải trang bị dây bám an toàn phù hợp với quy định ở mục 3.4-8 của Phần này.
3.4 Dây đai an toàn
1 Tàu phải được trang bị dây đai an toàn cần thiết cho tất cả người trên tàu mà có thể phải làm việc trên boong, với số lượng tối thiểu bằng 2.
2 Tàu buồm phải được trang bị dây đai an toàn cho mỗi người trên tàu.
3 Boong hở của tàu phải có phương tiện hữu hiệu để giữ dây chằng cho dây đai an toàn và ở các đầu mút và mạn của lầu thì phải có thanh bám tay.
4 Cần phải quan tâm đến các thao tác mà có thể cần thiết khi làm việc bên trên boong trong việc bố trí điểm buộc cho dây chằng của đai an toàn. Các điểm buộc phải được bố trí ở các vị trí sau phù hợp với bố trí của tàu:
(1) Gần với chòi boong; và
(2) Ở hai bên mạn của khu vực điều khiển.
5 Khi không có lan can hoặc dây cáp bảo vệ hoặc tàu không tuân thủ quy định ở 3.2 hoặc 3.3 của Phần này thì phải có dây bám an toàn (loại cố định hoặc di động) nối với các điểm chắc chắn ở mỗi mạn của tàu để thuyền viên có thể đi dọc chiều dài của boong trong điều kiện thời tiết xấu.
6 Các tàu buồm hoạt động ở Vùng 0, 1, 2 hoặc 3 thì phải có dây bám an toàn.
7 Đối với tàu có động cơ, có thể chấp nhận lan can có chiều cao nhỏ hơn yêu cầu ở 3.2 trên các khu vực mà bình thường hành khách không được phép đến. Các khu vực này phải được hạn chế chỉ dùng cho thuyền viên hoặc phải có bố trí thay thế để bảo vệ thuyền viên.
8 Khi tàu buồm được trang bị lan can hở phía mũi, dây bám an toàn phải được trang bị đủ xa về phía mũi để bảo vệ người làm việc ở khu vực gần với lan can mũi.
3.5 Viền boong
Phù hợp với hoạt động trên các tàu có hệ buồm, viền boong có chiều cao không nhỏ hơn 25 mm phải được lắp xung quanh boong làm việc.
3.6 Vị trí an toàn
Trên các tàu không có boong hoặc tàu bơm hơi cứng, cần phải đảm bảo có một vị trí an toàn đủ cho tất cả mọi người trên tàu.
3.7 Bề mặt của boong làm việc
1 Bề mặt của boong làm việc phải được làm chống trượt.
2 Các bề mặt được chấp nhận gồm: tấm có các ô, gỗ chưa sơn; mặt chống trượt tạo hình vào vật liệu FRP; sơn chống trượt; hoặc lớp phủ chống trượt hữu hiệu.
3 Cần phải đặc biệt chú ý đến độ nhám bề mặt của nắp hầm khi nó được lắp trên boong làm việc và, đối với tàu buồm, thì phải chú ý đến mặt nghiêng của nóc ca bin khi các mặt này tạo thành một phần hữu hiệu của boong làm việc khi tàu bị nghiêng.
4 Trên tàu bơm hơi hoặc tàu bơm hơi cứng, mặt trên của ống bơm hơi tạo lực nổi phải có bề mặt chống trượt.
3.8 Vớt người dưới nước
Tàu phải có thang hoặc lưới để trèo lên mạn, kéo dài từ boong thời tiết tới ít nhất 600 mm bên dưới đường nước hoạt động của tàu hoặc phải có các phương tiện khác để hỗ trợ việc vớt một người bị bất tỉnh từ dưới nước.
3.9 Trang bị cá nhân
1 Mỗi người trên tàu phải mặc đủ ấm phù hợp với điều kiện biển dự kiến khi tàu hoạt động.
2 Mỗi người trên tàu phải được trang bị giày có đế chống trượt và phải đeo trong quá trình tàu hoạt động.
CHƯƠNG 4 QUY ĐỊNH VỀ MẠN KHÔ
4.1 Tàu buồm
4.1.1 Quy định chung
1 Tàu buồm mà cần phải có Thông báo ổn định được thẩm định, không phải các tàu được đánh giá liên quan tới mục 1.2.5-4 Phần 6 Mục II của Quy chuẩn này, thì phải có dấu mạn khô đặt ở mỗi mạn của thân tàu, tại vị trí theo chiều dài trùng với hoành độ tâm nổi ở chiều chìm lớn nhất mà ổn định của tàu đã được tính toán. Trong mọi trường hợp, chiều chìm này không được lớn hơn chiều chìm ứng với lượng chiếm nước lớn nhất mà dùng để tính toán kết cấu thân tàu.
4.1.2 Dấu mạn khô và xếp tải
1 Tàu phải có dấu mạn khô cố định và được sơn đen trên nền sáng hoặc sơn trắng trên nền tối. Quy cách của dấu mạn khô phải tuân thủ các quy định ở Chương 7 Phần 11 của Quy chuẩn kỹ thuật quốc gia về phân cấp và đóng tàu biển vỏ thép. Tâm của vòng tròn Đăng kiểm phải đi qua đường nước nêu ở mục 4.1.1 của Phần này và nằm tại vị trí tâm nổi của tàu, tính theo chiều dọc tàu.
2 Tàu không được phép hoạt động ở mọi trạng thái mà ngập quá dấu mạn khô khi tàu ở trạng thái dừng và ở tư thế thẳng đứng trong nước tĩnh.
3 Tàu buồm mà có dằn thay đổi thì phải được Đăng kiểm xem xét riêng liên quan đến thiết kế của tàu.
4.2 Tàu có động cơ
4.2.1 Quy định chung
1 Mục 4.2.2 của Phần này đưa ra các yêu cầu đối với mạn khô tối thiểu của tàu có động cơ. Mục 4.2.3 của Phần này quy định về dấu mạn khô và đường boong. Các yêu cầu đối với tàu bơm hơi hoặc tàu có gắn phao nổi, mà không cần phải lập Thông báo ổn định, được nêu ở mục 4.2.4 của Phần này.
2 Đối với các tàu mà mạn khô không được xác định theo mục 4.2.2-2 của Phần này và không có Thông báo ổn định được duyệt mặc dù có quy định về mạn khô tối thiểu thì các tàu đó không cần phải có dấu mạn khô. Trong trường hợp này, tải xếp lên tàu được khống chế bằng tải lớn nhất cho phép phù hợp với các quy định ở Chương 1 Phần 6 Mục II của Quy chuẩn này và được ghi trên giấy chứng nhận của tàu.
4.2.2 Mạn khô tối thiểu
Mạn khô của tàu có động cơ mà ổn định của tàu không được đánh giá theo quy định ở 1.2.1-8 và 1.2.2-5 Phần 6 Mục II của Quy chuẩn này phải không nhỏ hơn giá trị xác định theo các yêu cầu sau:
1 Tàu chở hàng hoặc chở kết hợp hành khách và hàng, trong đó thành phần hàng không lớn hơn 1000 kg.
Tàu mà không phải là tàu bơm hơi hoặc bơm hơi cứng quy định ở mục 4.2.4 của Phần này, khi được xếp toàn bộ các thành phần trọng tải là hàng và không phải là hàng mà tàu được chứng nhận để chở (mỗi người được tính bằng 75 kg) thì phải không bị nghiêng và:
(1) Nếu tàu có boong thời tiết kín nước liên tục tuân thủ mục 1.3.1-1 Phần 2 Mục II của Quy chuẩn này mà không nhảy bậc hoặc không bị tụt xuống hoặc không nâng lên, có mạn khô đo từ trên xuống từ điểm thấp nhất của boong thời tiết một khoảng không nhỏ hơn 300 mm đối với tàu có chiều dài 7 m hoặc nhỏ hơn và không nhỏ hơn 750 mm đối với tàu có chiều dài từ 18 m trở lên. Đối với các tàu có chiều dài trung gian thì mạn khô phải được xác định bằng nội suy tuyến tính;
(2) Nếu tàu có boong thời tiết kín nước liên tục tuân thủ mục 1.3.1-2 Phần 2 Mục II của Quy chuẩn này mà có thể nhảy bậc hoặc bị tụt xuống hoặc được nâng lên, có mạn khô đo từ trên xuống từ điểm thấp nhất của boong thời tiết một khoảng không nhỏ hơn 200 mm đối với tàu có chiều dài 7 m hoặc nhỏ hơn và không nhỏ hơn 400 mm đối với tàu có chiều dài từ 18 m trở lên. Đối với các tàu có chiều dài trung gian thì mạn khô phải được xác định bằng nội suy tuyến tính. Phần được nâng lên của boong thời tiết kín nước phải kéo dài trên toàn bộ chiều rộng của tàu và mạn khô trung bình trên toàn bộ chiều dài của tàu phải tuân thủ yêu cầu ở (1) trên đối với tàu có boong thời tiết kín nước liên tục;
(3) Trong trường hợp tàu hở, có chiều cao rõ ràng bên mạn (như khoảng cách giữa đường nước và điểm thấp nhất của be chắn sóng) không nhỏ hơn 400 mm đối với tàu có chiều dài 7 m hoặc nhỏ hơn và không nhỏ hơn 800 mm đối với tàu có chiều dài từ 18 m trở lên. Đối với các tàu có chiều dài trung gian thì mạn khô phải được xác định bằng nội suy tuyến tính. Chiều cao rõ ràng bên mạn trong quy định này phải được đo tới đỉnh của be chắn sóng, viền chắn hoặc đo tới đỉnh của tấm chắn nếu tấm này được lắp bên trên viền chắn.
2 Tàu chở hàng hoặc kết hợp giữa hành khách và hàng mà trong đó thành phần hàng lớn hơn 1000 kg hoặc các tàu không thể tuân thủ yêu cầu ở -1 trên.
Mạn khô phải được ấn định phù hợp với Phần 11 của Quy chuẩn kỹ thuật quốc gia về phân cấp và đóng tàu biển vỏ thép.
Các tàu đó phải có dấu thước nước được gắn rõ ràng ở mũi và đuôi.
3 Tàu mà yêu cầu phải có Thông báo ổn định được thẩm định thì phải được ấn định mạn khô tương ứng với chiều chìm của tàu trong nước biển khi xếp đầy tải (mỗi người được lấy bằng 75 kg), nhưng trong mọi trường hợp mạn khô đó không được nhỏ hơn mạn khô quy định ở -1 hoặc -2 trên hoặc mạn khô ứng với chiều chìm tính toán kết cấu.
4.2.3 Dấu mạn khô
1 Các tàu được ấn định mạn khô theo 4.2.2-2 của Phần này thì phải có dấu mạn khô tuân thủ yêu cầu ở Phần 11 của Quy chuẩn kỹ thuật quốc gia về phân cấp và đóng tàu biển vỏ thép và có thước nước rõ ràng ở mũi và lái, ở cả hai mạn của tàu.
Nếu thấy rằng việc gắn thước nước là không thực tế hoặc không có ý nghĩa (như trường hợp tàu có sự hạn chế trong việc thay đổi tải trọng) thì Đăng kiểm có thể xem xét riêng.
Tàu phải có đường boong ở vị trí cố định và được sơn tương phản với nền.
Tàu không cần thiết phải gắn các đường chở hàng kèm theo dấu mạn khô (như đường chở hàng nước ngọt, nhiệt đới…).
4.2.4 Tàu bơm hơi và tàu có gắn phao nổi
1 Mạn khô của tàu bơm hơi hoặc tàu có gắn phao nổi phải không nhỏ hơn 300 mm tính từ mặt trên của ống tạo lực nổi và không nhỏ hơn 250 mm tại phần thấp nhất của vách đuôi ở trạng thái có đầy đủ toàn bộ thiết bị, nhiên liệu, hàng, các thiết bị liên quan đến hoạt động của tàu (như thiết bị lặn…) và đầy đủ số người mà tàu được chứng nhận để chở, khi đó tàu được điều chỉnh chúi thích hợp để đại diện cho trạng thái hoạt động bình thường và bịt các túi lưới thoát nước mặt boong (nếu có).
2 Tàu không cần gắn dấu mạn khô. Mạn khô tối thiểu được ghi lại khi thực hiện thử nghiệm ở -1 trên và khối lượng tối đa cho phép mà tàu có thể chở phải được ghi vào giấy chứng nhận của tàu.
3 Đối với các tàu chỉ hoạt động ở Vùng 6 mà không tuân thủ yêu cầu về mạn khô nêu ở -1 trên đối với mạn khô tại vách đuôi thì vẫn có thể được chấp nhận với điều kiện phải chứng minh là tàu có thể tự thoát nước khi tàu tiến về phía trước và có dự trữ lực nổi đáng kể.
| MỤC II – PHẦN 8 | QCVN 03:2025/BGTVT |
PHẦN 8 TRANG THIẾT BỊ AN TOÀN
CHƯƠNG 1 QUY ĐỊNH CHUNG
1.1 Quy định chung
Trừ khi có các quy định khác được chỉ ra trong Phần này thì yêu cầu về trang bị thiết bị cứu sinh, thiết bị tín hiệu, thiết bị hàng hải, thiết bị vô tuyến điện cho tàu được lấy theo các quy định tương ứng của Quy chuẩn kỹ thuật quốc gia về trang bị an toàn tàu biển.
CHƯƠNG 2 THIẾT BỊ CỨU SINH
2.1 Quy định chung
1 Trừ khi có quy định khác đi trong Chương này, các yêu cầu đối với thiết bị cứu sinh phải phù hợp với Quy chuẩn kỹ thuật quốc gia về trang bị an toàn tàu biển.
2 Tàu phải được trang bị cứu sinh tối thiểu như yêu cầu ở Bảng 8/2.1. Yêu cầu cụ thể đối với từng loại thiết bị cứu sinh được quy định ở mục 2.2 đến 2.11 của Phần này.
Bảng 8/2.1 Định mức trang bị thiết bị cứu sinh cho tàu cỡ nhỏ
| Vùng hoạt động | 6 | 5 | 4 | 3 | 2 | 1 | 0 | |
| Phao bè | Có | Có | Có | Có | Có | Có | Có | |
| Tổng số lượng phao tròn | < 16 người | 2 | 2 | 2 | 2 | 2 | 2 | 2 |
| ≥ 16 người | 4 | 4 | 4 | 4 | 4 | 4 | 4 | |
| Phao tròn có phao định vị (*) | < 16 người | Tàu buồm: 1 Có động cơ: 0 | Tàu buồm: 1 Có động cơ: 0 | Tàu buồm: 1 Có động cơ: 0 | - | - | - | - |
| ≥ 16 người | Tàu buồm: 1 Có động cơ: 0 | Tàu buồm: 1 Có động cơ: 0 | Tàu buồm: 1 Có động cơ: 0 | - | - | - | - | |
| Phao tròn có phao định vị và đèn | < 16 người | - | - | - | Tàu buồm: 1 Có động cơ: 0 | Tàu buồm: 1 Có động cơ: 0 | Tàu buồm: 1 Có động cơ: 0 | Tàu buồm: 1 Có động cơ: 0 |
| ≥ 16 người | - | - | - | Tàu buồm: 1 Có động cơ: 0 | Tàu buồm: 1 Có động cơ: 0 | Tàu buồm: 1 Có động cơ: 0 | Tàu buồm: 1 Có động cơ: 0 | |
| Phao tròn có đèn | < 16 người | - | - | - | Tàu buồm: 0 Có động cơ: 1 | Tàu buồm: 0 Có động cơ: 1 | Tàu buồm: 0 Có động cơ: 1 | Tàu buồm: 0 Có động cơ: 1 |
| ≥ 16 người | - | - | - | Tàu buồm: 1 Có động cơ: 2 | Tàu buồm: 1 Có động cơ: 2 | Tàu buồm: 1 Có động cơ: 2 | Tàu buồm: 1 Có động cơ: 2 | |
| Phao tròn có dây nổi | < 16 người | 1 | 1 | 1 | 1 | 1 | 1 | 1 |
| ≥ 16 người | 1 | 1 | 1 | 1 | 1 | 1 | 1 | |
| Vùng hoạt động | 6 | 5 | 4 | 3 | 2 | 1 | 0 | |
| Phao tròn | < 16 người | Tàu buồm: 0 Có động cơ: 1 | Tàu buồm: 0 Có động cơ: 1 | Tàu buồm: 0 Có động cơ: 1 | 0 | 0 | 0 | 0 |
| ≥ 16 người | Tàu buồm: 2 Có động cơ: 3 | Tàu buồm: 2 Có động cơ: 3 | Tàu buồm: 2 Có động cơ: 3 | 1 | 1 | 1 | 1 | |
| Dây nổi bổ sung | < 16 người | 0 | 0 | 0 | 0 | 0 | 0 | 0 |
| ≥ 16 người | 1 | 1 | 1 | 1 | 1 | 1 | 1 | |
| Áo phao | 100% | 100% | 100% | 100% | 100% | 100% | 100% | |
| Pháo dù | 0 | 0 | 0 | 4 | 4 | 6 | 12 | |
| Đuốc cầm tay | 2 | 2 | 2 | 6 | 6 | 6 | 6 | |
| Tín hiệu khói | 2 (loại nổi hoặc cầm tay) | 2 (loại nổi hoặc cầm tay) | 2 (loại nổi hoặc cầm tay) | 2 (loại nổi hoặc cầm tay) | 2 (loại nổi hoặc cầm tay) | 2 (loại nổi) | 2 (loại nổi) | |
| Dụng cụ chống mất nhiệt | 100% nếu phải trang bị (xem 2.5) | |||||||
| VHF cầm tay | Phải được trang bị (xem chi tiết ở Chương 4) | |||||||
| EPIRB | 0 | 0 | 0 | 0 | 0 | 1 | 1 | |
| SART | 0 | 0 | 0 | 0 | 0 | 1 | 1 | |
| Báo động sự cố chung (tàu có tổng số người trên tàu không nhỏ hơn 16 người) | Không | Không | Không | Không | Có | Có | Có | |
| Báo động sự cố chung (tàu có công suất máy > 750 kW) | Có | Có | Có | Có | Có | Có | Có | |
| Bảng tín hiệu cứu sinh (2 cái SOLAS loại 2 hoặc 1 cái SOLAS loại 1) | Có | Có | Có | Có | Có | Có | Có | |
| Hướng dẫn thực tập | Có | Có | Có | Có | Có | Có | Có | |
| Sổ tay bảo dưỡng | Có | Có | Có | Có | Có | Có | Có | |
Chú thích:
(*) Phao định vị (Dan-buoy) là trang bị an toàn được thiết kế nhằm mục đích đánh dấu vị trí xảy ra tai nạn khi người trên tàu rơi xuống biển. Phao định vị phải được chế tạo và thử đạt các yếu tố có thể áp dụng nêu ở Tiêu chuẩn ISO 12402.
2.2 Phao bè
1 Tàu hoạt động ở Vùng 0
(1) Phải được trang bị phao bè có số lượng và sức chứa sao cho nếu bất kỳ một phao bè bị mất hoặc hỏng thì sứa chứa còn lại vẫn đủ cho toàn bộ người trên tàu;
(2) Phao bè phải có sàn và mui che được bọc cách nhiệt và phải được trang bị phù hợp với phao bè “SOLAS A PACK”;
(3) Phao bè phải được cất giữ ở trên boong thời tiết hoặc ở một không gian hở và phải có cơ cấu nhả thuỷ tĩnh để sao cho phao bè có thể nổi tự do và tự động bơm hơi;
(4) Cơ cấu chằng giữ và nhả mà không tuân thủ (3) trên thì có thể được xem xét khi chứng minh được là chúng có mức độ an toàn tương đương.
2 Tàu hoạt động ở Vùng 1
(1) Yêu cầu đối với phao bè được quy định như ở -1 trên.
(2) Các tàu hoạt động trong vùng được miễn giảm trang bị dụng cụ chống mất nhiệt nêu ở Chương 2 Mục II của Quy chuẩn kỹ thuật quốc gia về trang bị an toàn tàu biển có thể trang bị phao bè loại không có sàn và mui che được bọc cách nhiệt. Trong trường hợp này, giấy chứng nhận của tàu phải ghi rõ hạn chế về vùng hoạt động.
(3) Nếu tàu được chứng nhận chở tổng số dưới 16 người thì có thể chấp nhận trang bị duy nhất một phao bè với điều kiện sức chở của phao bè đó phải đủ cho ít nhất toàn bộ số người trên tàu.
3 Tàu hoạt động ở Vùng 2, 3, 4, 5 và 6
(1) Phải được trang bị phao bè có sức chứa toàn bộ số người trên tàu;
(2) Mặc dù quy định ở (1) trên, tàu hoạt động ở Vùng 3 có thể trang bị dụng cụ nổi cứu sinh có sức chứa 100% số người trên tàu hoặc sử dụng phao tròn (bổ sung thêm cho số lượng quy định ở Bảng 8/2.1) với định mức cứ 2 người có một phao tròn với điều kiện tàu chỉ được hoạt động trong điều kiện chiều cao sóng đáng kể không quá 2 m;
(3) Mặc dù quy định ở (1) trên, tàu hoạt động ở Vùng 4, 5 và 6 có thể trang bị dụng cụ nổi cứu sinh có sức chứa 100% số người trên tàu hoặc sử dụng phao tròn (bổ sung thêm cho số lượng quy định ở Bảng 8/2.1) với định mức cứ 2 người có một phao tròn;
(4) Phao bè có thể là loại không có sàn và mui che được bọc cách nhiệt và được trang bị phù hợp với phao bè “SOLAS B PACK”;
(5) Phao bè phải được cất giữ:
(a) Trong vỏ làm bằng FRP, loại được duyệt, đặt trên boong thời tiết hoặc ở một không gian hở và phải có cơ cấu nhả thuỷ tĩnh để sao cho phao bè có thể nổi tự do và tự động bơm hơi; hoặc
(b) Trong vỏ làm bằng FRP hoặc trong túi (hoặc hộp) được đặt trong ngăn chứa dành riêng, kín thời tiết, có thể sẵn sàng tiếp cận được và được mở trực tiếp lên boong thời tiết.
(6) Các tàu hoạt động ở Vùng 6 được phép sử dụng phao bè loại hở có thể lật được.
4 Các phao bè và dụng cụ nổi cứu sinh và cơ cấu nhả thủy tĩnh phải được bảo dưỡng phù hợp với các quy định tương ứng trong Quy chuẩn kỹ thuật quốc gia về trang bị an toàn tàu biển.
5 Phao bè hoặc dụng cụ nổi cứu sinh trên tàu buồm nhiều thân phải được bố trí sao cho chúng có thể tiếp cận được khi tàu đang ở tư thế thẳng đứng và sau khi bị lật ngược.
2.3 Phao tròn
1 Phao tròn phải được đánh dấu phù hợp với các quy định tương ứng trong Quy chuẩn kỹ thuật quốc gia về trang bị an toàn tàu biển.
2 Tàu hoạt động ở Vùng 4, 5 và 6 không cần phải trang bị phao tròn có đèn.
3 Nếu phao tròn được yêu cầu trang bị dây nổi thì phải có chiều dài không nhỏ hơn 18 m.
4 Trên tàu buồm, phao định vị phải được gắn vào một trong các phao tròn và gắn thêm đèn nếu được quy định.
2.4 Phao áo
1 Phao áo phải được chế tạo và bảo dưỡng theo các tiêu chuẩn quy định ở Quy chuẩn kỹ thuật quốc gia về trang bị an toàn tàu biển.
2 Phao áo phải có còi, vật liệu phản quang và nếu tàu hoạt động ở Vùng 0, 1, 2 hoặc 3 thì phải có đèn.
3 Nếu phao áo là kiểu bơm hơi thì phải trang bị bổ sung 10% hoặc là 2 chiếc, lấy giá trị nào lớn hơn.
4 Phao áo kiểu bơm hơi phải được bơm hơi bằng khí nén, bơm hơi tự động hoặc không tự động và phải có van để thổi bằng miệng.
5 Người có khối lượng dưới 32 kg phải được trang bị một phao áo thích hợp.
6 Cần tránh trang bị quá hai loại áo phao khác nhau trên một tàu để hạn chế việc nhầm lẫn khi sử dụng.
2.5 Dụng cụ chống mất nhiệt
1 Các tàu hoạt động ngoài vùng được miễn giảm trang bị dụng cụ chống mất nhiệt nêu ở Chương 2 Mục II của Quy chuẩn kỹ thuật quốc gia về trang bị an toàn tàu biển phải trang bị dụng cụ chống mất nhiệt cho mỗi người trên tàu. Trong trường hợp tàu không trang bị, giấy chứng nhận của tàu phải ghi rõ hạn chế về vùng hoạt động.
2 Ngoài số lượng dụng cụ chống mất nhiệt được trang bị như nêu ở -1 trên, tàu cần trang bị bổ sung thêm hai dụng cụ chống mất nhiệt để người bị thương sử dụng.
2.6 EPIRB loại 406MHz hoặc Inmarsat E
1 EPIRB loại 406MHz hoặc Inmarsat E phải được bố trí ở khu vực dễ tiếp cận, sẵn sàng nhả bằng tay, có thể mang lên trên phao bè và có thể nổi tự do và tự động kích hoạt khi tàu bị chìm.
2 Nếu thực tế không thể tuân thủ được quy định ở -1 trên và tàu chỉ chở tổng số dưới 16 người thì EPIRB được phép cất giữ ở khu vực có thể tiếp cận và phải có thể sẵn sàng mang lên phao bè mà không yêu cầu phải có khả năng nổi tự do.
3 EPIRB phải được bảo dưỡng như quy định ở Quy chuẩn kỹ thuật quốc gia về trang bị an toàn tàu biển.
2.7 Thiết bị phát báo ra đa (SART)
Không cần trang bị thiết bị phát báo ra đa (SART) (loại 0 và 1) nếu EPIRB của tàu có khả năng phát tần số 121.5 MHz và là loại không nổi tự do dùng để mang lên trên phao bè.
2.8 Báo động chung và báo cháy
Báo động chung và báo cháy có thể được thực hiện bằng chuông hoặc còi hoặc bao gồm còi tàu hoặc còi hú với điều kiện âm thanh có thể nghe thấy trong mọi khu vực của tàu.
2.9 Pháo hiệu
Pháo dù, đuốc cầm tay, tín hiệu khói hoặc các loại pháo hiệu khác phải tuân thủ các tiêu chuẩn tương ứng ở Quy chuẩn kỹ thuật quốc gia về trang bị an toàn tàu biển.
2.10 Hướng dẫn thực tập
1 Sổ tay thực tập và hướng dẫn phải bao gồm các chỉ dẫn và thông tin về các thiết bị cứu sinh được trang bị trên tàu và cũng phải có các thông tin liên quan đến phương pháp tốt nhất để tồn tại.
2 Tối thiểu Sổ tay thực tập phải có hướng dẫn của nhà sản xuất thiết bị cứu sinh và có giải thích chi tiết về các hành động dưới đây:
(1) Mặc áo phao;
(2) Lên, hạ và di chuyển phương tiện cứu sinh khỏi tàu;
(3) Chiếu sáng khu vực hạ phương tiện cứu sinh;
(4) Sử dụng các thiết bị trợ sinh;
(5) Sử dụng các công cụ hỗ trợ;
(6) Sử dụng neo nổi;
(7) Vớt người dưới nước;
(8) Các mối nguy hiểm khi tồn tại ở không gian hở và việc cần thiết phải mặc ấm;
(9) Cách sử dụng tốt nhất các phương tiện cứu sinh để tồn tại;
(10) Các phương pháp thu hồi, bao gồm cả việc sử dụng thiết bị cứu hộ của trực thăng (cáp treo, rọ, cáng), phao cấp cứu và thiết bị cứu sinh trên bờ;
(11) Chỉ dẫn để sửa chữa khẩn cấp các thiết bị cứu sinh.
2.11 Sổ tay bảo dưỡng
1 Sổ tay bảo dưỡng phải bao gồm các chỉ dẫn việc bảo dưỡng trên tàu của các thiết bị cứu sinh và tối thiểu phải bao gồm các mục dưới đây, nếu có thể áp dụng:
(1) Danh mục kiểm tra để sử dụng khi thực hiện các việc kiểm tra cần thiết;
(2) Hướng dẫn bảo dưỡng và sửa chữa;
(3) Lập kế hoạch bảo dưỡng định kỳ;
(4) Danh mục các phụ tùng thay thế;
(5) Danh mục các nguồn cấp phụ tùng;
(6) Lập nhật ký kiểm tra.
2 Đối với tàu hở thì Sổ tay bảo dưỡng có thể được cất trên bờ.
3 Tàu hoạt động trên cơ sở cho thuê tàu trần phải có Sổ tay bảo dưỡng trên tàu bất kể tàu đó là tàu hở hay không.
CHƯƠNG 3 THIẾT BỊ TÍN HIỆU
3.1 Quy định chung
Nếu không được quy định cụ thể trong Chương này thì các thiết bị tín hiệu phải tuân thủ các quy định tương ứng ở Chương 3 của Quy chuẩn kỹ thuật quốc gia về trang bị an toàn tàu biển.
3.2 Đèn tín hiệu hành trình, vật hiệu, thiết bị tín hiệu âm thanh
1 Nếu tàu chỉ hoạt động vào ban ngày, trong điều kiện thời tiết thuận lợi thì không cần trang bị đèn tín hiệu hành trình.
2 Tàu có chiều dài nhỏ hơn 12 m thì không cần trang bị tín hiệu âm thanh với điều kiện được trang bị các phương tiện khác mà có thể tạo ra tín hiệu âm thanh một cách hữu hiệu.
CHƯƠNG 4 THIẾT BỊ VÔ TUYẾN ĐIỆN
4.1 Quy định chung
1 Kết cấu và đặc tính kỹ thuật của các thiết bị vô tuyến điện phải tuân thủ các yêu cầu tương ứng nêu ở Chương 4 của Quy chuẩn kỹ thuật quốc gia về trang bị an toàn tàu biển.
2 Định mức, sự đồng bộ, bố trí và lắp đặt, điều kiện phục vụ và khai thác của thiết bị vô tuyến điện trên tàu phải đảm bảo thông tin hai chiều giữa tàu và bờ, trong đó phải lưu ý đến hệ thống tổ chức liên lạc vô tuyến tại cảng của vùng tàu được phép hoạt động.
4.2 Định mức trang bị
1 Trang bị vô tuyến điện của tàu phải phù hợp với định mức được quy định ở Bảng 8/4.1, phụ thuộc vào vùng hoạt động dự kiến của tàu.
Bảng 8/4.1 Định mức trang bị vô tuyến điện cho tàu cỡ nhỏ
| Vùng hoạt động | 6 | 5, 4 & 3 | 2 | 1 | 0 |
| Thiết bị VHF cố định | - | 1 | 1 | 1 | 1 |
| Thiết bị VHF cầm tay (1) | 1 | 1 | 1 | 1 | 1 |
| Thiết bị MF SSB với DSC | - | - | 1 | 1 | 1 |
| Trạm Inmarsat (hoặc thiết bị thu nhận MF/HF với DSC) | - | - | - | 1 | 1 |
| Thiết bị thu NAVTEX | - | - | 1 | 1 | 1 |
| Ghi chú: (1) Nếu tàu được trang bị nhiều hơn 01 phao bè (hoặc dụng cụ nổi cứu sinh) thì phải có 01 thiết bị VHF cầm tay cho mỗi phao bè (hoặc dụng cụ nổi cứu sinh). | |||||
4.3 Lắp đặt và nguồn cung cấp điện cho các thiết bị vô tuyến điện
4.3.1 Lắp đặt
1 Thiết bị vô tuyến điện phải được lắp đặt cố định chắc chắn trên tàu, tại những vị trí càng cao càng tốt, tiện lợi cho việc sử dụng, sửa chữa, tránh được tác động của thời tiết (như mưa, nắng, gió...), tránh được tác động của môi trường (như nhiệt độ, độ ẩm cao...) và tránh được nguy cơ va chạm cơ khí.
4.3.2 Ăng ten
1 Phải có thiết bị ăng ten chắc chắn để đảm bảo sự làm việc bình thường của thiết bị vô tuyến điện. Phần ăng ten xuyên qua boong, vách phải đảm bảo tính nguyên vẹn của boong, vách. Điện trở cách điện của ăng ten với đất trong mọi trường hợp không được nhỏ hơn 1 MΩ.
2 Nếu ăng ten chính được lắp trên cột dùng để căng buồm thì phải được trang bị bổ sung ăng ten sự cố.
4.3.3 Nguồn điện
1 Nguồn cấp điện cho thiết bị vô tuyến điện phải là tổ ắc quy độc lập được nối với mạch nạp thường xuyên hoặc nguồn điện một chiều liên tục trên tàu. Dây dẫn, cáp điện phải là dây liền được cố định chắc chắn và có thiết bị khống chế việc cấp điện.
2 Dung lượng của tổ ắc quy cấp nguồn điện cho thiết bị vô tuyến điện phải đủ để cấp cho thiết bị vô tuyến điện hoạt động liên tục trong 4 giờ mà không cần nạp thêm.
CHƯƠNG 5 THIẾT BỊ HÀNG HẢI
5.1 Quy định chung
1 Kết cấu và đặc tính kỹ thuật của những dụng cụ và thiết bị hàng hải phải tuân thủ các yêu cầu tương ứng nêu trong Chương 5 của Quy chuẩn kỹ thuật quốc gia về trang bị an toàn tàu biển.
2 Việc cấp nguồn cho thiết bị hàng hải phải đảm bảo liên tục.
5.2 Định mức trang bị thiết bị hàng hải
5.2.1 La bàn từ
1 Tàu phải được trang bị la bàn từ hoặc các phương tiện khác dùng để xác định hướng và phải được trang bị phương tiện để hiệu chỉnh hướng và phương vị về giá trị thực tại mọi thời điểm (như sử dụng vòng phương vị của la bàn từ…) như dưới đây:
(1) Một la bàn từ chuẩn được hiệu chỉnh đúng hoặc các phương tiện khác, độc lập với nguồn điện chính của tàu, được sử dụng để xác định hướng của tàu và hiển thị kết quả đọc ở vị trí lái chính.
(2) Trên các tàu bằng thép, phải có thể hiệu chỉnh la bàn đối với các sai lệch hệ số B, C và D và sai lệch do nghiêng.
(3) La bàn từ hoặc thiết bị lặp phải được đặt ở vị trí mà người lái có thể đọc được rõ ràng khi ở vị trí lái chính. Trên các tàu hoạt động ở Vùng 0, 1, 2 hoặc 3 thì phải trang bị đèn cho la bàn.
(4) Phải có phương tiện để lấy phương vị càng gần càng tốt trên một vòng cung của đường chân trời một góc 360º. Quy định này có thể được coi là đạt khi tàu có thiết bị ngắm pelorus hoặc nếu tàu không phải tàu thép thì là la bàn cầm tay.
5.2.2 La bàn dùng điện (Fluxgate Compass)
1 La bàn dùng điện có thể được chấp nhận để sử dụng thay thế cho la bàn từ quy định ở 5.2.1 của Phần này với điều kiện có nguồn điện dự phòng phù hợp để cấp điện cho la bàn khi nguồn điện chính bị sự cố.
2 Nếu la bàn dùng điện có thể đo được độ lệch từ bằng cách thực hiện các chuỗi hiệu chỉnh và nếu giá trị độ lệch được ghi lại bên trong thiết bị thì không cần trang bị vòng phương vị.
5.2.3 Các thiết bị hàng hải khác
1 Ấn phẩm hàng hải
Tàu phải có hải đồ và ấn phẩm hàng hải để lập kế hoạch và vẽ tuyến hành trình của tàu phù hợp với chuyến đi dự kiến và để vẽ và theo dõi vị trí tàu trong suốt hành trình của tàu. Tàu hoạt động ở Vùng 6 có thể không cần trang bị ấn phẩm hàng hải.
2 Đèn tín hiệu ban ngày
Tàu phải được trang bị đèn tín hiệu ban ngày được bảo vệ chống nước hiệu quả.
3 Phản xạ ra đa
Tàu phải được trang bị phản xạ ra đa hoặc các phương tiện phù hợp khác để các tàu hành hải bằng ra đa có thể phát hiện. Đối với các tàu chỉ hoạt động ở Vùng 6, nếu thực tế không thể bố trí phản xạ ra đa hữu hiệu thì tàu đó không được hành hải khi có sương mù và khi tầm nhìn bắt đầu suy giảm thì tàu đó phải quay trở lại bờ.
4 Các dụng cụ đo
(1) Tàu buồm một thân hoạt động ở Vùng 0 hoặc 1 hoặc tàu có tổng số người trên tàu không nhỏ hơn 16 người thì phải có thiết bị đo độ nghiêng.
(2) Tàu buồm một thân hoạt động ở Vùng 0, 1, 2 hoặc 3 phải có máy đo gió.
(3) Tàu buồm nhiều thân phải được trang bị máy đo gió mà có thể chỉ báo liên tục tốc độ gió biểu kiến với giá trị đo được hiển thị rõ ràng tại mỗi vị trí điều khiển.
5 Đèn pha
Tàu hoạt động ở Vùng 0, 1, 2 hoặc 3 phải được trang bị một đèn pha hữu hiệu loại cố định hoặc xách tay phù hợp để sử dụng khi tìm kiếm và vớt người rơi khỏi tàu.
6 Dụng cụ cắt dây cho tàu buồm
Tàu buồm phải có dụng cụ cắt dây phù hợp hoặc có phương tiện tương đương để cắt dây buồm trong trường hợp hệ thống buồm gặp sự cố.
7 Các thiết bị khác
(1) Tất cả các tàu phải được trang bị máy đo sâu hoặc các phương tiện hữu hiệu khác để đo độ sâu của nước.
(2) Tàu hoạt động ở Vùng 0, 1 hoặc 2 thì phải được trang bị:
(a) Máy thu dùng cho hệ thống vệ tinh hàng hải toàn cầu hoặc hệ thống hàng hải vô tuyến mặt đất hoặc các phương tiện thích hợp khác để sử dụng tại mọi thời điểm trong suốt hành trình của tàu nhằm thiết lập và cập nhật vị trí của tàu tại mọi thời điểm.
(b) Thiết bị đo khoảng cách, trừ trường hợp thiết bị nêu ở (a) trên có thể đo khoảng cách một cách tin cậy trong vùng hoạt động của tàu.
| MỤC II – PHẦN 9 | QCVN 03:2025/BGTVT |
PHẦN 9 YÊU CẦU RIÊNG ĐỐI VỚI CÁC LOẠI TÀU
CHƯƠNG 1 TÀU BUỒM
1.1 Các yêu cầu
1 Tàu phải có buồm đi bão hiệu quả với khả năng đưa tàu đi theo hướng gió trong điều kiện thời tiết xấu. Khi một trong các buồm đi bão là buồm mũi và có lắp thiết bị cuốn buồm cùng với các buồm liên quan thì phải có phương tiện để thiết lập buồm đi bão riêng biệt có mép đầu buồm được kéo căng. Mỗi buồm đi bão phải có phương tiện để gắn mép đầu buồm với dây, thanh căng buồm và độc lập với các thiết bị có khác mà có rãnh để gắn mép buồm, phương tiện này phải được gắn cố định với buồm. Các buồm đó có thể sử dụng mép căng của buồm đã được cuộn lại.
2 Tàu hoạt động ở Vùng 4, 5 hoặc 6 không cần trang bị buồm đi bão như quy định ở -1 trên.
3 Tình trạng của cột và dây chằng phải được kiểm tra theo định kỳ bởi người có chuyên môn. Tần suất kiểm tra phụ thuộc vào bản chất của dây chằng và quá trình sử dụng. Mức độ kiểm tra tối thiểu phải là kiểm tra chi tiết bằng mắt đối với cột và dây chằng ít nhất một lần trong một năm và ghi báo cáo trình cho Đăng kiểm. Đăng kiểm có thể yêu cầu kiểm tra thường xuyên hơn nếu thấy cần thiết. Tấm xích và các cơ cấu để gắn vào kết cấu thân tàu phải được kiểm tra bằng mắt ít nhất một lần trong 5 năm hoặc thường xuyên hơn nếu thấy cần thiết dựa trên quá trình sử dụng.
CHƯƠNG 2 TÀU CHỞ HÀNG
2.1 Các yêu cầu
1 Khi tàu thực hiện chở hàng, tất cả các hàng đó phải được xếp và chằng buộc sao cho không ảnh hưởng xấu đến việc vận hành an toàn tàu.
2 Cần đặc biệt chú ý đến các phương tiện chằng buộc hàng và độ bền của các điểm chằng buộc, sự thoát nước tự do từ hàng được xếp trên boong hở, lối tiếp cận an toàn ở khu vực xếp hàng và tầm nhìn từ lầu lái không bị cản trở.
3 Miệng của khoang hàng khô hoặc không gian chứa hàng khô phải có kết cấu kín thời tiết hữu hiệu.
(1) Thành quây miệng khoang hàng phải có chiều cao không nhỏ hơn 760 mm. Nắp miệng khoang và thành quây phải được thiết kế để chịu được tải trọng thuỷ tĩnh không nhỏ hơn 1,5 tấn/m2 (mà không bị biến dạng cố định) trên toàn bộ và chịu được các ứng suất nén có liên quan gây mất ổn định tấm và phải có phương tiện hữu hiệu để đóng và duy trì kín thời tiết. Trong mọi trường hợp, thành quây và nắp miệng khoang phải đủ khoẻ để chịu được tải trọng thuỷ tĩnh hoặc tải do xếp hàng trên nắp miệng khoang, lấy tải nào lớn hơn.
(2) Đăng kiểm có thể xem xét cho phép chiều cao thành quây được giảm hơn so với quy định hoặc có miệng phẳng nếu tàu được đánh giá là có an toàn ít nhất tương đương với quy định ở (1) trên.
CHƯƠNG 3 TÀU CÓ CẨU TRÊN BOONG HOẶC CÓ CÁC THIẾT BỊ NÂNG KHÁC
3.1 Các yêu cầu
1 Ổn định của tàu phải tuân thủ yêu cầu ở 1.2.4 Phần 6 Mục II của Quy chuẩn này.
2 Tàu có cẩu trên boong hoặc có các thiết bị nâng khác mà sẽ được sử dụng trên biển thì phải là loại tàu có boong với boong thời tiết tuân thủ yêu cầu ở 1.1.1-1 và 1.3.1-1 Phần 2 Mục II của Quy chuẩn này hoặc được xem xét theo quy định ở 1.1.1-3(2) Phần 2 Mục II của Quy chuẩn này.
3 Kết cấu của tàu, cẩu hoặc các thiết bị nâng khác và các kết cấu đỡ phải đủ bền để chịu được tải trọng phát sinh khi vận hành ở trạng thái có mô men lật lớn nhất và phản lực lớn nhất theo phương đứng.
4 Tàu phải được thử và kiểm tra tải để xác nhận hoạt động an toàn của cẩu hoặc các thiết bị nâng khác, của bệ và các kết cấu đỡ dưới sự chứng kiến của Đăng kiểm. Thử tải phải tiến hành theo quy trình được Đăng kiểm chấp thuận. Việc thử tải phải được lặp lại sau khi tàu thực hiện các sửa đổi, bao gồm cả việc sửa đổi kết cấu. Việc kiểm tra bằng mắt cẩu hoặc các thiết bị nâng phải được tiến hành hàng năm.
Cẩu hoặc các thiết bị nâng khác phải được thử quá tải 25%. Trong trường hợp đặc biệt, mức quá tải có thể giảm xuống nhưng không nhỏ hơn 10%. Trong quá trình thử quá tải, đặc tính kéo cáp, xoay, nâng cần phải được thử ở tốc độ chậm, sao cho phù hợp. Việc thử cẩu hoặc thiết bị nâng mà có kiểu biến đổi về “tải - tầm với” phải tương ứng với đặc tính định mức của thiết bị (như được nêu trong biểu đồ “tải - tầm với” hoặc tài liệu liên quan khác).
5 Trên tàu phải có thiết bị đo độ nghiêng phù hợp để hướng dẫn cho người vận hành cẩu hoặc thiết bị nâng khi nâng các đối tượng không rõ về khối lượng.
6 Cần phải có thông báo rõ ràng và nổi bật ở trên hoặc gần với cẩu hoặc thiết bị nâng với các thông tin và hướng dẫn sau:
(1) Tải và tầm với lớn nhất cho phép mà tuân thủ yêu cầu ở 1.2.4-3 của Phần này hoặc là tải trọng làm việc an toàn (SWL), ghi giá trị nào nhỏ hơn. Cũng cần phải có các số liệu về đặc tính vận hành, như đồ thị về đặc tính “tải - tầm với” của các cẩu hoặc thiết bị nâng có kiểu biến đổi về “tải - tầm với”;
(2) Các cẩu mà có tải trọng làm việc an toàn biến đổi liên quan tới tầm với thì phải có phương tiện xác định chính xác tầm với tại mọi thời điểm và có thể nhìn thấy rõ ràng hoặc là tiếp cận được đối với người vận hành cẩu, phương tiện này phải chỉ ra bán kính của tải được nâng tại mọi thời điểm. Cũng cần có phương tiện để người vận hành cẩu có thể biết chắc chắn về tải trọng làm việc an toàn tương ứng với tầm với đó;
(3) Chi tiết về các lỗ hở dẫn tới dưới boong mà cần phải duy trì kín thời tiết; và
(4) Hướng dẫn cho mọi người phải ở trên boong trước khi bắt đầu hoạt động nâng.
7 Hệ thống nâng mà có đối trọng phải được Đăng kiểm xem xét riêng dựa trên đặc tính của hệ thống.
8 An toàn chung của tàu phải không bị ảnh hưởng bởi hoạt động nâng. Phải có phương tiện để chằng buộc hữu hiệu hàng và các thiết bị rời ở trên tàu trong quá trình nâng.
CHƯƠNG 4 TÀU KHÔNG TỰ HÀNH
4.1 Quy định chung
1 Đăng kiểm có thể kiểm tra và cấp giấy chứng nhận cho các tàu không tự hành có thân cứng cụ thể mà:
(1) Được kéo một chuyến. Trong trường hợp này, thời hạn hiệu lực của giấy chứng nhận do Đăng kiểm quyết định nhưng không quá 1 năm.
(2) Là sàn làm việc dành cho các thiết bị, máy phát điện hoặc có các công dụng cụ thể khác.
2 Tàu có thân cứng cụ thể như nêu ở -1 trên bao gồm tàu được tạo thành từ các thành phần riêng biệt, được lắp ráp với nhau bằng hệ thống kết nối kỹ thuật hữu hiệu phù hợp với chế độ hoạt động của tàu.
4.2 Ổn định
1 Khi các tiêu chuẩn ổn định nêu ở Chương 1 Phần 6 Mục II của Quy chuẩn này là không phù hợp để đánh giá ổn định của một tàu không tự hành cụ thể thì Đăng kiểm có thể xem xét, thống nhất để áp dụng các tiêu chuẩn tương đương.
4.3 Mạn khô
1 Mạn khô của tàu phải được ấn định phù hợp với Phần 11 của Quy chuẩn kỹ thuật quốc gia về phân cấp và đóng tàu biển vỏ thép.
Dấu mạn khô của tàu phải phù hợp với quy định ở 4.2.2-2 và 4.2.3 Phần 7 Mục II của Quy chuẩn này và ở -3 dưới đây.
2 Sà lan pông tông không có người và trên boong mạn khô chỉ có các lỗ tiếp cận nhỏ được đóng bằng nắp kín nước có gioăng thì có thể được xác định mạn khô theo Phần 11 của Quy chuẩn kỹ thuật quốc gia về phân cấp và đóng tàu biển vỏ thép như đối với tàu kiểu “A” và không quy định chiều cao mũi tối thiểu. Nếu dựa trên việc đánh giá an toàn của sà lan không có người trong điều kiện hoạt động được ghi rõ ràng trên Giấy chứng nhận thì mạn khô có thể được xác định với lượng giảm tới 25%.
3 Tàu không cần phải có thước nước. Để người chỉ huy kéo có thể nhận biết dễ dàng các thay đổi về trạng thái kéo thì tàu được kéo phải có đánh dấu ở phía mút mũi bằng một hoặc nhiều vạch màu trắng (hoặc màu tương phản với màu sơn của tàu) song song với mặt phẳng đáy tàu có chiều dài 2000 mm và cao 150 mm (hoặc đánh dấu bằng các phương tiện thay thế khác mà có thể nhìn thấy được rõ ràng từ tàu kéo).
CHƯƠNG 5 TÀU HOA TIÊU
5.1 Quy định chung
1 Nếu không được quy định cụ thể trong Chương này, tàu thực hiện nhiệm vụ hoa tiêu phải tuân thủ các yêu cầu liên quan ở các phần khác của Quy chuẩn này.
5.2 Các yêu cầu
1 Phương tiện tiếp cận bình thường từ boong hở tới khu vực sinh hoạt để hoa tiêu sử dụng không được là kiểu cửa kín thời tiết hướng về phía trước.
2 Các hoạt động lên tàu của hoa tiêu phải được nhìn thấy từ vị trí lái tàu hoa tiêu. Tầm nhìn phải đủ theo cả chiều ngang và chiều thẳng đứng.
3 Nếu tàu bắt buộc phải có nắp chống bão hữu hiệu cho tất cả cửa lầu lái phía trước và phía mạn thì yêu cầu này có thể được giảm nhẹ trên cơ sở xem xét hoạt động của tàu ở một khu vực cụ thể.
4 Tàu hoa tiêu không được lắp động cơ xăng.
5 Trên tàu hoa tiêu phải có Thông báo ổn định được thẩm định phù hợp với các yêu cầu ở 1.2.1 Phần 6 Mục II của Quy chuẩn này.
6 Thay cho các thiết bị cứu sinh liên quan ở Chương 2 Phần 8 Mục II của Quy chuẩn này, tàu phải trang bị như sau:
(1) 4 pháo dù có ánh sáng trắng để sử dụng khi cứu hộ khẩn cấp vào ban đêm (việc sử dụng pháo hiệu phải được xem xét liên quan đến môi trường mà ở đó tàu hoa tiêu hoạt động (như trường hợp có thể có môi trường khí dễ cháy…));
(2) 6 pháo dù màu đỏ; và
(3) 2 thiết bị phóng dây.
7 Đèn pha trang bị cho tàu phải được lắp cố định sao cho có thể chiếu sáng mạn tàu ở khu vực có thang hoa tiêu hoặc là vùng biển xung quanh tàu hoa tiêu.
8 Tàu phải trang bị chỗ ngồi giảm sốc cá nhân có tựa đầu, chỗ tì chân và chỗ tựa tay có thể dịch chuyển cho tất cả thuyền viên và hoa tiêu. Phải có dây an toàn ở chỗ ngồi để đảm bảo an toàn cho khách và thuyền viên khi ngồi.
9 Để người tiếp cận an toàn, chiều rộng của boong tại mạn ở phía trong của mạn giả hoặc lan can hoặc viền boong tối thiểu phải bằng 400 mm nhưng cũng phải quan tâm đến chiều cao và hình dạng của thượng tầng hoặc lầu liền kề. Khu vực boong bên mạn phải được chiếu sáng đầy đủ.
10 Tàu phải có hệ thống thanh ray hữu hiệu, không gián đoạn và liên tục để ngoặc dây đai an toàn. Hệ thống này phải cho phép người sử dụng dây đai di chuyển tự do và không cần điều chỉnh trên toàn bộ chiều dài của thanh ray an toàn. Hệ thống thanh ray, liên kết của nó với kết cấu thân tàu và dây đai an toàn để ngoặc vào phải được thiết kế, kết cấu, lắp đặt, thử và bảo dưỡng theo các tiêu chuẩn thích hợp đối với thiết bị bảo hộ cá nhân mà phù hợp để áp dụng.
11 Hệ thống vớt cứu người phải được trang bị như sau:
(1) Bậc ở vách đuôi hoặc thang hoặc thang mạn tương đương hoặc lưới để trèo;
(2) Ít nhất 2 dây nổi có chiều dài không nhỏ hơn 18 m. Mỗi dây phải có một vòng cấp cứu ở một đầu hoặc thiết bị ném hữu hiệu tương tự với khối lượng phù hợp;
(3) Phương tiện cơ giới hiệu quả để thu hồi người bị rơi khỏi tàu và phương tiện để đưa người dưới nước tới điểm thu hồi. Nếu thực tế cho phép, phương tiện này phải sao cho có thể thu hồi được người lên tàu trong tư thế nằm ngang để giảm nguy cơ suy tim do hạ thân nhiệt;
Chất lượng của vật liệu, thiết kế và tay nghề chế tạo phương tiện cơ giới để thu hồi người nói trên phải đảm bảo phương tiện có thể triển khai được nhanh chóng và hoạt động hiệu quả trong tình huống khẩn cấp. Hiệu quả của thiết bị phải được đảm bảo bằng việc bảo dưỡng và thử thường xuyên;
(4) Tất cả các thang và trang bị bên ngoài như là các bậc để bước ra ngoài mạn hoặc cần… phải được làm bằng vật liệu thích hợp với thiết kế và tay nghề công nhân phù hợp. Các thiết bị đó phải được đặt sẵn sàng trên boong và được kiểm tra theo định kỳ;
(5) Phải có bố trí để bảo vệ người dưới nước không bị thương bởi chân vịt. Khi thực tế không thể lắp thiết bị bảo vệ chân vịt thì phải xem xét thực hiện các biện pháp thay thế như là lắp dàn chắn, thang chắn có thể thả xuống được để chắn chân vịt hoặc thực hiện các quy trình vận hành trong đó có các phương tiện để dừng chân vịt ngay lập tức;
(6) Thiết bị thu hồi người bị nạn phải được chứng minh khả năng thông qua thử chức năng, thực hiện trong điều kiện an toàn được kiểm soát, phù hợp với yêu cầu của Đăng kiểm. Việc thử chức năng này phải bao gồm việc mô phỏng tàu hoa tiêu ở trạng thái có ít người điều khiển nhất gồm người lái và người hỗ trợ và sau đó xảy ra tình huống người hỗ trợ rơi khỏi tàu và được vớt lên. Trong tình huống mô phỏng này thì người hỗ trợ phải được giả định là bất tỉnh.
12 Tàu hoa tiêu phải có một cáng cứu thương loại gọn nhẹ.
| QCVN 03:2025/BGTVT | MỤC III |
III QUY ĐỊNH VỀ QUẢN LÝ
1.1 Chứng nhận
1.1.1 Giấy chứng nhận phân cấp
1 Các tàu như nêu dưới đây, nếu tuân thủ các yêu cầu của Quy chuẩn này thì được cấp Giấy chứng nhận phân cấp theo mẫu quy định ở Thông tư số 20/2022/TT-BGTVT ngày 29 tháng 7 năm 2022 của Bộ trưởng Bộ Giao thông vận tải (được sửa đổi bổ sung bởi Thông tư số 26/2024/TT-BGTVT ngày 02 tháng 7 năm 2024 của Bộ trưởng Bộ Giao thông vận tải).
(1) Tàu có động cơ với tổng công suất máy chính từ 75 kilôwatt (kW) trở lên;
(2) Tàu không có động cơ, nhưng có tổng dung tích (GT) từ 50 trở lên hoặc có trọng tải toàn phần từ 100 tấn trở lên hoặc có chiều dài đường nước thiết kế từ 20 m trở lên.
2 Phạm vi hoạt động của tàu (cách bờ, cách nơi trú ẩn an toàn, cách điểm xuất phát được chỉ định) và điểm xuất phát được chỉ định (nếu có) như quy định ở 1.3 Mục I của Quy chuẩn này cùng với các hạn chế khác (nếu được quy định) phải được ghi vào mục “Các hạn chế thường xuyên”.
3 Giấy chứng nhận phân cấp được cấp như nêu ở -1 trên có hiệu lực trong thời hạn không quá 5 năm tính từ ngày hoàn thành kiểm tra lần đầu hoặc kiểm tra định kỳ, với điều kiện tàu được kiểm tra chu kỳ phù hợp với các quy định của Quy chuẩn này và được Đăng kiểm xác nhận vào giấy chứng nhận.
1.1.2 Giấy chứng nhận an toàn kỹ thuật và bảo vệ môi trường tàu biển cỡ nhỏ
1 Các tàu không thuộc phạm vi nêu ở 1.1.1-1 trên, nếu tuân thủ các yêu cầu của Quy chuẩn này thì được cấp Giấy chứng nhận an toàn kỹ thuật và bảo vệ môi trường tàu biển cỡ nhỏ theo mẫu quy định ở Thông tư số 20/2022/TT-BGTVT ngày 29 tháng 7 năm 2022 của Bộ trưởng Bộ Giao thông vận tải (được sửa đổi bổ sung bởi Thông tư số 26/2024/TT-BGTVT ngày 02 tháng 7 năm 2024 của Bộ trưởng Bộ Giao thông vận tải).
2 Giấy chứng nhận nêu ở -1 trên có thời hạn là 12 tháng tính từ ngày hoàn thành kiểm tra lần đầu hoặc ngày hết hạn của Giấy chứng nhận an toàn kỹ thuật và bảo vệ môi trường tàu biển cỡ nhỏ và không được vượt quá ngày ấn định kiểm tra hàng năm của đợt kiểm tra chu kỳ tiếp theo.
1.1.3 Thủ tục cấp giấy chứng nhận
Thủ tục cấp Giấy chứng nhận phân cấp và Giấy chứng nhận an toàn kỹ thuật và bảo vệ môi trường tàu biển cỡ nhỏ được thực hiện theo quy định tại Thông tư số 40/2016/TT-BGTVT ngày 07 tháng 12 năm 2016 của Bộ trưởng Bộ Giao thông vận tải (được sửa đổi bổ sung bởi Thông tư số 17/2023/TT-BGTVT ngày 30 tháng 6 năm 2023 của Bộ trưởng Bộ Giao thông vận tải).
1.2 Đề nghị kiểm tra
1.2.1 Đề nghị kiểm tra
1 Kiểm tra lần đầu
Việc kiểm tra sẽ được Đăng kiểm thực hiện sau khi nhận được đề nghị của chủ tàu hoặc nhà máy đóng tàu.
2 Kiểm tra duy trì tình trạng kỹ thuật của tàu
Việc kiểm tra duy trì tình trạng kỹ thuật của tàu sẽ được Đăng kiểm thực hiện sau khi nhận được đề nghị kiểm tra của chủ tàu, thuyền trưởng, nhà máy hoặc đại diện của chủ tàu.
1.3 Thu hồi, cấp lại và mất hiệu lực của giấy chứng nhận
1.3.1 Thu hồi giấy chứng nhận
1 Đăng kiểm sẽ thu hồi giấy chứng nhận và thông báo cho chủ tàu khi:
(1) Chủ tàu yêu cầu và thông báo cho Đăng kiểm;
(2) Tàu không còn sử dụng được nữa (tàu đã bị thải loại để phá dỡ, bị tuyên bố tổn thất toàn bộ về kết cấu hoặc bị chìm...);
(3) Tàu không tuân thủ các yêu cầu kiểm tra như quy định ở Chương 3 Phần 1 Mục II của Quy chuẩn này.
1.3.2 Cấp lại giấy chứng nhận đã bị thu hồi
Chủ tàu có thể yêu cầu cấp lại giấy chứng nhận đã bị thu hồi theo quy định nêu ở 1.1.3 trên. Trong trường hợp này, Đăng kiểm sẽ xem xét nội dung kiểm tra cho tàu tùy thuộc vào nguyên nhân thu hồi giấy chứng nhận và lịch sử kiểm tra tàu trước đây để thực hiện quy trình cấp giấy chứng nhận.
1.3.3 Mất hiệu lực của giấy chứng nhận
1 Giấy chứng nhận sẽ tự mất hiệu lực khi:
(1) Tàu bị thu hồi giấy chứng nhận như nêu ở 1.3.1-1 trên;
(2) Sau khi tàu bị tai nạn mà Đăng kiểm không được thông báo để tiến hành kiểm tra bất thường tại cảng xảy ra tai nạn hoặc tại cảng đầu tiên mà tàu tới (trong trường hợp tàu bị tai nạn trên biển);
(3) Tàu được hoán cải về kết cấu hoặc có thay đổi về máy, thiết bị làm cho tàu không tuân thủ các quy định của Quy chuẩn này nhưng không được Đăng kiểm đồng ý hoặc không thông báo cho Đăng kiểm;
(4) Sửa chữa các hạng mục nằm trong các hạng mục thuộc phạm vi kiểm tra của Đăng kiểm nhưng không khắc phục được khiếm khuyết hoặc không có Đăng kiểm kiểm tra;
(5) Chủ tàu không thực hiện các quy định về kiểm tra duy trì tình trạng kỹ thuật của tàu như quy định tại Chương 3 Phần 1 Mục II của Quy chuẩn này.
1.4 Quản lý hồ sơ
1.4.1 Các hồ sơ do Đăng kiểm cấp
1 Hồ sơ thiết kế
(1) Hồ sơ thiết kế được thẩm định, bao gồm các bản vẽ và các tài liệu như quy định ở Chương 2 Phần 1 Mục II của Quy chuẩn này và các phần liên quan (nếu có yêu cầu), kể cả giấy chứng nhận thẩm định thiết kế, bản ấn định mạn khô, bản số liệu dung tích;
(2) Các tài liệu, hướng dẫn kỹ thuật được duyệt.
2 Hồ sơ kiểm tra tàu
(1) Đăng kiểm sẽ cấp hồ sơ kiểm tra cho tàu sau khi kết thúc các nội dung kiểm tra nêu ở Phần 1 Mục II của Quy chuẩn này, bao gồm cả các báo cáo kiểm tra, thử nghiệm (làm cơ sở cho việc cấp các giấy chứng nhận liên quan) và các giấy chứng nhận.
(2) Các quy định ở 1.4.2-1 (trừ quy định ở 1.4.2-1(2)(b) và 1.4.2-1(3)) dưới đây phải được áp dụng đối với hồ sơ kiểm tra tàu.
1.4.2 Quản lý hồ sơ
1 Lưu giữ, cấp lại và trả lại giấy chứng nhận
(1) Thuyền trưởng có trách nhiệm lưu giữ các giấy chứng nhận được cấp theo quy định của Quy chuẩn này trên tàu và phải trình cho Đăng kiểm khi có yêu cầu.
(2) Chủ tàu hoặc thuyền trưởng phải yêu cầu Đăng kiểm cấp lại các giấy chứng nhận khi:
(a) Các giấy chứng nhận này bị mất hoặc bị rách nát;
(b) Nội dung ghi trong các giấy chứng nhận này có thay đổi.
(3) Chủ tàu hoặc thuyền trưởng phải trả lại cho Đăng kiểm giấy chứng nhận cũ nếu giấy chứng nhận đã được cấp lại, làm lại theo (2) nêu trên, trừ trường hợp giấy chứng nhận đó bị mất.
(4) Chủ tàu hoặc thuyền trưởng phải trả lại cho Đăng kiểm các giấy chứng nhận khi đã bị mất mà tìm lại được, sau khi nhận giấy chứng nhận được cấp lại theo (2) ở trên.
2 Lưu giữ hồ sơ kiểm tra
Tất cả hồ sơ do Đăng kiểm cấp cho tàu phải được lưu giữ và bảo quản bởi Chủ tàu. Các hồ sơ này phải được trình cho Đăng kiểm xem xét khi có yêu cầu.
3 Bảo mật
Tất cả các hồ sơ do Đăng kiểm cấp cho tàu (bộ lưu giữ tại Đăng kiểm) sẽ được Đăng kiểm bảo mật và không cung cấp bất kỳ bản tính, bản vẽ, thuyết minh, nội dung chi tiết nào (kể cả bản sao) cho bất kỳ ai khi chưa có sự đồng ý trước của Chủ tàu, trừ trường hợp đặc biệt do yêu cầu của cơ quan có thẩm quyền.
1.5 Quy định chuyển tiếp
1 Các quy định ở từ Phần 2 đến Phần 9 của Mục II của Quy chuẩn này được áp dụng đối với các tàu có giai đoạn bắt đầu đóng mới hoặc các tàu thực hiện hoán cải lớn có hợp đồng hoán cải vào hoặc sau ngày thông tư ban hành Quy chuẩn này có hiệu lực.
2 Đối với các tàu có giai đoạn bắt đầu đóng mới hoặc các tàu thực hiện hoán cải lớn có hợp đồng hoán cải trước ngày thông tư ban hành Quy chuẩn này có hiệu lực thì các nội dung được quy định ở từ Phần 2 đến Phần 9 của Mục II của Quy chuẩn này vẫn được áp dụng theo các quy chuẩn đã áp dụng để đóng mới hoặc hoán cải lớn tàu.
3 Trừ khi có quy định chi tiết về thời điểm áp dụng cho các tàu hiện có, các quy định ở Mục I, Phần 1 của Mục II, Mục III và Mục IV của Quy chuẩn này được áp dụng cho tất cả các tàu kể từ ngày thông tư ban hành Quy chuẩn này có hiệu lực.
4 Giấy chứng nhận an toàn kỹ thuật và bảo vệ môi trường tàu biển cỡ nhỏ của các tàu hiện có vẫn có hiệu lực đến thời hạn được ghi trên Giấy chứng nhận và phải được cấp mới theo mẫu quy định ở Thông tư số 20/2022/TT-BGTVT ngày 29 tháng 7 năm 2022 của Bộ trưởng Bộ Giao thông vận tải (được sửa đổi bổ sung bởi Thông tư số 26/2024/TT-BGTVT ngày 02 tháng 7 năm 2024 của Bộ trưởng Bộ Giao thông vận tải) tại đợt kiểm tra chu kỳ đầu tiên sau ngày Thông tư ban hành Quy chuẩn này có hiệu lực. Trong đó, tàu sẽ được ấn định vùng hoạt động là Vùng 3 cùng với các hạn chế về phạm vi hoạt động cách bờ, chiều cao sóng và các hạn chế khác (nếu có) như được nêu trong giấy chứng nhận cũ.
5 Trong trường hợp chủ tàu (hoặc đại diện chủ tàu) đề nghị, các tàu đã áp dụng Quy chuẩn kỹ thuật quốc gia về phân cấp và đóng tàu biển vỏ thép hoặc Quy chuẩn kỹ thuật quốc gia về phân cấp và đóng tàu biển cao tốc mà thuộc phạm vi điều chỉnh của Quy chuẩn này thì có thể được xem xét áp dụng Quy chuẩn này. Khi đó, Đăng kiểm sẽ xem xét để áp dụng các yêu cầu tương đương và phân vùng hoạt động cho tàu.
| QCVN 03:2025/BGTVT | MỤC IV |
IV TRÁCH NHIỆM CỦA CÁC TỔ CHỨC, CÁ NHÂN
1.1 Trách nhiệm của các chủ tàu, công ty khai thác tàu, cơ sở thiết kế, chế tạo mới, hoán cải
1.1.1 Các chủ tàu, công ty khai thác tàu
Thực hiện đầy đủ các quy định nêu trong Quy chuẩn này khi tàu được đóng mới, hoán cải, sửa chữa, khai thác nhằm đảm bảo và duy trì tình trạng kỹ thuật của tàu.
1.1.2 Các cơ sở thiết kế
1 Thiết kế phải tuân thủ các quy định của Quy chuẩn này.
2 Cung cấp đầy đủ khối lượng hồ sơ thiết kế theo yêu cầu và trình thẩm định hồ sơ thiết kế theo quy định của Quy chuẩn này.
1.1.3 Các cơ sở chế tạo mới, hoán cải
1 Tuân thủ đúng thiết kế được thẩm định trong quá trình chế tạo, hoán cải tàu.
2 Tuân thủ các quy định về kiểm tra của Đăng kiểm được quy định trong Quy chuẩn này trong quá trình chế tạo, hoán cải tàu.
1.2 Trách nhiệm của Cục Đăng kiểm Việt Nam
1.2.1 Thẩm định thiết kế và duyệt tài liệu hướng dẫn
1 Thẩm định thiết kế đóng mới, hoán cải, sửa chữa tàu theo các quy định của Quy chuẩn này và các quy định hiện hành liên quan khác của Việt Nam.
2 Duyệt các tài liệu hướng dẫn kỹ thuật theo quy định của Quy chuẩn này.
1.2.2 Kiểm tra
Bố trí đăng kiểm viên thực hiện việc kiểm tra tàu khi được đề nghị, phù hợp với các yêu cầu kỹ thuật nêu trong Quy chuẩn này.
1.2.3 Cấp giấy chứng nhận
Đăng kiểm sẽ cấp giấy chứng nhận cho tàu như được quy định ở 1.1 Mục III của Quy chuẩn này.
1.2.4 Kiểm soát các miễn giảm và thay thế tương đương
Các trường hợp mà trong Quy chuẩn này giao cho đăng kiểm viên xem xét quyết định thì khi áp dụng, đăng kiểm viên phải báo cáo và được kiểm soát bởi Cục Đăng kiểm Việt Nam.
1.2.5 Lập, cập nhật, bổ sung Sổ đăng ký kỹ thuật tàu biển Việt Nam
Lập, cập nhật, bổ sung Sổ đăng ký kỹ thuật tàu biển Việt Nam các tàu đã được kiểm tra (nếu có quy định).
| MỤC V | QCVN 03:2025/BGTVT |
V TỔ CHỨC THỰC HIỆN
1 Cục Đăng kiểm Việt Nam tổ chức kiểm tra và đăng ký kỹ thuật tàu biển phù hợp với các quy định của Quy chuẩn này.
2 Trong trường hợp các tài liệu được viện dẫn trong Quy chuẩn này được sửa đổi, bổ sung hoặc thay thế thì thực hiện theo nội dung đã được sửa đổi, bổ sung hoặc thay thế có hiệu lực của tài liệu đó.
| QCVN 03:2025/BGTVT | PHỤ LỤC |
PHỤ LỤC A - THỬ KÍN THÂN TÀU
1 Các hướng dẫn trước khi thử
(1) Trước khi tiến hành thử kín không được sơn, tráng xi măng, nhựa đường lên bề mặt tôn, mối nối của bộ phận cần được thử. Cho phép sơn một lớp sơn nền lên bề mặt bộ phận tôn vỏ phải để lâu ở ngoài trời và chịu ảnh hưởng của môi trường.
(2) Trước khi tiến hành thử kín phải đảm bảo rằng các kết cấu là đủ bền và an toàn trong khi thử.
(3) Trước khi hạ thủy, cần phải thử kín tất cả các bộ phận mà khi tàu đã xuống nước không thể quan sát và sửa chữa được. Tất cả các bộ phận còn lại có thể thử sau khi hạ thủy.
2 Phương pháp thử
(1) Có thể thử bằng nước hoặc dầu hỏa hoặc thử kín bằng khí.
(2) Căn cứ vào điều kiện làm việc, các bộ phận cần thử kín của thân tàu được chia làm 2 nhóm:
(a) Nhóm 1: Các bộ phận thường xuyên tiếp xúc với chất lỏng hoặc ở dưới mặt nước (két dằn, két nhiên liệu, két nước sinh hoạt, bánh lái hộp, ống đạo lưu...);
(b) Nhóm 2: Các bộ phận không thường xuyên tiếp xúc với nước (thành miệng khoang hàng, nắp khoang hàng, hầm xích, ống luồn xích...).
(3) Phương pháp thử kín phải được Đăng kiểm viên chấp thuận và được áp dụng như sau:
(a) Nhóm 1:
Bơm nước đến áp suất có trị số quy định hoặc thử kín với áp lực nước bằng chiều cao tính từ đáy két đến miệng ống thông hơi.
(b) Nhóm 2:
(i) Phun tia nước có áp suất quy định; hoặc
(ii) Thử kín bằng dầu hỏa.
(4) Phương pháp thử kín bằng nước
(a) Thử kín bằng phương pháp bơm nước
(i) Để thử kín bằng phương pháp bơm nước vào khoang thì ở khoang được thử phải gắn ống đo áp suất thủy tĩnh. Đường kính của ống đo không được nhỏ hơn 50 mm, chiều cao của ống phải đủ để đạt được áp suất thử quy định.
(ii) Thời gian giữ nước có áp suất quy định trong két không được ít hơn 1 giờ.
(iii) Việc bơm nước vào các két phải được thực hiện sao cho đảm bảo không dẫn đến hư hỏng thân tàu và triền đà, dễ quan sát các vị trí cần kiểm tra. Quy cách và trị số áp suất thử đối với từng bộ phận được quy định ở Bảng A/2 của Phụ lục này.
(b) Thử kín bằng phương pháp phun nước
(i) Khi thử kín bằng cách phun nước thì đường kính vòi phun không được nhỏ hơn 12 mm, áp suất nước ở đầu vòi phun 2,0 kg/cm2 (0,2 MPa), phun ở khoảng cách 1,5 m vào đối tượng thử.
(ii) Để kiểm tra đường hàn, tia nước phải đặt nằm ngang, vuông góc với đường hàn, khoảng cách từ đầu vòi đến đường hàn không được lớn hơn 3 m.
(iii) Đối với mối nối tán đinh phải phun tia nước vào đầu đinh tán. Chiều di chuyển của vòi phun phải từ thấp đến cao.
(iv) Khi thử bằng cách phun nước, nếu mặt đối diện không xuất hiện những giọt nước hoặc rò rỉ thì được coi là kín nước.
(5) Phương pháp thử kín bằng dầu hỏa
(a) Quy trình thử
(i) Khi dùng dầu hỏa để thử kín các đường hàn, hai mặt của đường hàn phải được đánh sạch và lau khô. Bôi một lớp dầu hỏa lên một mặt của đường hàn, mặt bên kia của đường hàn bôi dung dịch vôi hoặc phấn trắng.
(ii) Trong suốt thời gian thử phải luôn duy trì một lớp dầu hỏa ở trên mặt được bôi của đường hàn.
(iii) Việc thử kín đường hàn bằng dầu hỏa phải được thực hiện 2 lần với quy trình giống nhau. Đối với đường hàn một phía, thời gian thử lần 1 và lần 2 lấy theo Bảng A/1 của Phụ lục này. Đối với thử kín đường hàn 2 phía thì thời gian thử 1 lần lấy bằng 2 lần trị số ghi trong Bảng A/1 của Phụ lục này.
Bảng A/1 - Thời gian thử
| Chiều dày tấm tôn được hàn (mm) | Thời gian thử (phút) | |
| Đường hàn ngang | Đường hàn đứng | |
| δ < 3 | 25 | 40 |
| δ ≥ 3 | 40 | 60 |
(iv) Nếu trong suốt thời gian thử kín trên mặt đường hàn bôi dung dịch vôi hoặc phấn trắng không thấy xuất hiện vết dầu thì đường hàn được coi là kín.
(b) Các yêu cầu khác
Không dùng phương pháp thử kín bằng dầu hỏa để thử các chi tiết, bộ phận có đệm cao su, những mối đinh tán và mối hàn chồng mép.
Bảng A/2 - Yêu cầu thử
| Số TT | Khoang được thử | Yêu cầu |
| 1 | 1.1 Khoang mũi, khoang đuôi dùng làm két chứa nước. | Đổ nước tính từ đáy két đến miệng ống thông hơi. |
| 1.2 Khoang mũi, khoang đuôi không dùng làm két chứa nước. | Đổ nước tính đến độ cao của đường nước thiết kế, phần phía trên được thử bằng phun tia nước. | |
| 2 | Hầm hàng, buồng máy. | Đổ nước đến độ cao đường nước thiết kế, phần phía trên được thử bằng phun tia nước. |
| 3 | Két nước, két nhiên liệu, két dầu nhờn. | Đổ nước đến miệng ống thông hơi. |
| 4 | Hầm xích ở phía trước vách mũi. | Thử bằng phun tia nước. |
| 5 | Thượng tầng và lầu. | |
| 6 | Phần lộ thiên của boong. | |
| 7 | Thành miệng khoang hàng và ống thông gió ở phần boong hở, boong thượng tầng và boong lầu. | |
| 8 | Các cửa, nắp đậy kín nước. |
PHỤ LỤC B - THIẾT BỊ CHỐNG SÉT
1 Trên mỗi cột tàu phải đặt thiết bị chống sét. Ở những tàu không tự chạy, không có thuyền viên có thể không cần đặt thiết bị chống sét nếu tàu này dùng để chở khoáng sản không nguy hiểm (như đá, sỏi...). Thiết bị chống sét phải gồm kim thu sét, dây dẫn và thiết bị nối đất.
2 Phải thực hiện chống sét bằng một trong những cách sau đây:
(1) Nếu thân tàu và cột tàu là kim loại có nối điện tin cậy, còn ở đỉnh cột không có thiết bị điện nào thì có thể coi cột là thiết bị chống sét;
(2) Nếu thân tàu và cột tàu là kim loại có nối điện tin cậy, còn ở đỉnh cột có thiết bị điện thì phải đặt kim thu sét cao hơn thiết bị điện đặt ở đỉnh cột một khoảng không nhỏ hơn 300 mm;
(3) Nếu cột tàu làm bằng vật liệu không dẫn điện thì phải đặt kim thu sét cao hơn thiết bị điện đặt ở đỉnh cột một khoảng không nhỏ hơn 300 mm. Đầu nối của dây dẫn phải được nối chắc chắn với phần kim loại gần nhất thuộc bộ phận thân tàu.
3 Đường kính kim thu sét không được nhỏ hơn 12 mm. Kim thu sét phải được làm bằng đồng đỏ, hợp kim đồng hoặc bằng thép có mạ lớp chống gỉ.
4 Nếu dây dẫn bằng đồng hoặc hợp kim đồng thì tiết diện không được nhỏ hơn 70 mm2, nếu dây dẫn làm bằng thép thì tiết diện không được nhỏ hơn 100 mm2 và nó phải được bảo vệ chống gỉ.
5 Phải đặt dây dẫn phía ngoài cột, đường dây phải có ít chỗ uốn, nếu có chỗ uốn thì bán kính chỗ uốn phải càng lớn càng tốt.
6 Không được đi dây dẫn qua những chỗ có nguy cơ nổ.
7 Khi tàu nằm trên ụ nổi hoặc triền đà thì nhất thiết phải nối đất cột thu sét chung với ụ nổi hoặc phải được nối đất ở nơi nối đất quy định chung với triền đà.
8 Liên kết giữa cột thu sét với dây dẫn và với đất phải là liên kết bu lông. Bu lông phải làm bằng đồng hoặc hợp kim đồng. Nếu bu lông bằng thép thì phải mạ lớp chống gỉ.
9 Mặt tiếp xúc chỗ nối bulông giữa dây dẫn với kim thu sét và với "đất" phải có diện tích không nhỏ hơn 100 mm2 nếu bu lông bằng đồng hoặc hợp kim đồng và không nhỏ hơn 1000 mm2 nếu bu lông bằng thép.
10 Các bộ phận kim loại gần dây dẫn phải được nối đất nếu như các bộ phận này không có liên kết với thân tàu theo kiểu nối đất.
11 Điện trở của hệ thống chống sét từ đầu kim thu sét đến điểm tiếp "đất" hoặc vỏ tàu không được vượt quá 0,02 Ω.
PHỤ LỤC C - THỬ LỬA ĐỐI VỚI VẬT LIỆU FRP
1 Nguồn nhiệt
Nguồn nhiệt để thử lửa phải được lấy từ đèn đốt kiểu Bunsen hoặc Tirril sử dụng nhiên liệu Butane hoặc Propane với ống có đường kính trong danh định bằng 9,525 mm được điều chỉnh để tạo ra ngọn lửa từ hỗn hợp khí cháy và không khí được hoà trộn sẵn với chiều dài ngọn lửa bằng 38,1 mm. Nhiệt độ tối thiểu đo được ở tâm của ngọn lửa bằng nhiệt kế nhiệt điện đã được hiệu chuẩn phải bằng 843,33 ºC.
2 Mẫu thử
Mẫu thử phải có kích thước bằng 500 x 500 mm. Các cạnh của mẫu thử phải được đặt trong khung thép đủ để không cho chúng bắt lửa trong quá trình thử nghiệm. Mẫu thử phải được phơi ít nhất 7 ngày ở nhiệt độ môi trường hoặc 1 ngày ở nhiệt độ môi trường và cộng thêm 16 giờ ở nhiệt độ 40 ºC trước khi thử. Việc tạo các tấm FRP phải đại diện cho kết cấu đang được xem xét.
3 Quy trình thử
Mẫu thử phải có hướng thẳng đứng, đặt ở vị trí không có gió lùa. Ngọn lửa phải bén vào tâm của mẫu thử theo hướng vuông góc với bề mặt của mẫu thử. Bề mặt nào của mẫu thử mà thực tế được xác định bị ảnh hưởng bởi nguy cơ cháy thì phải được tiếp xúc với ngọn lửa ở khoảng cách bằng 19,1 mm tính từ đầu ống của đèn đốt. Ngọn lửa không được đốt qua mẫu trong vòng 15 phút.
PHỤ LỤC D - THỬ TÍNH BẮT CHÁY ĐỐI VỚI VẬT LIỆU CÓ THỂ CHÁY
1 Mẫu thử
(1) Cần chuẩn bị một mẫu thử.
(2) Mẫu thử phải có kích thước tối thiểu bằng 150 x 150 mm và có chiều dày bằng chiều dày được sử dụng trên tàu, cùng với lớp phủ bề mặt mà thường được phủ.
2 Trạng thái của mẫu thử
(1) Không khí phải có nhiệt độ là 20 ± 20 ºC và độ ẩm tương đối bằng 65 ± 2%.
(2) Mẫu thử phải được duỗi phẳng ở trạng thái không khí như ở (1) trên trong thời gian 24 giờ hoặc trong một thời gian lâu hơn đủ để đảm bảo khối lượng của mẫu thử không có thay đổi lớn hơn 0,25% khi được xác định ở các khoảng thời gian cách nhau 2 giờ.
3 Điều kiện không khí khi thử
(1) Thử nghiệm phải được thực hiện trong điều kiện không khí như nêu ở -2 trên hoặc là thực hiện trong 2 phút sau khi đưa ra khỏi điều kiện không khí đó.
(2) Phải thực hiện các biện pháp thích hợp để chống gió lùa ở quanh thiết bị thử khi đang thực hiện thử.
4 Quy trình thử
(1) Nguồn gây cháy
Nguồn gây cháy phải có được bằng cách sử dụng thiết bị đốt gồm một ống đồng dài 150 mm và có đường kính trong và ngoài tương ứng bằng 5 mm và 6 mm, được nối bằng ống bằng nhựa hoặc cao su tới vòi cung cấp khí đốt tự nhiên. Ống đồng phải không có lỗ hở để cấp không khí.
(2) Chiều cao ngọn lửa
Trước khi thực hiện thử, ngọn lửa của thiết bị đốt phải được điều chỉnh để có chiều cao bằng 32 mm.
(3) Quy trình thử
(a) Đặt mẫu thử nằm ngang trên giá đỡ ba chân bằng kim loại, mặt trên của mẫu thử hướng xuống dưới (cụ thể, mặt mà thực tế hở thì nằm ở bên dưới) sao cho chiều cao mặt này của mẫu thử thấp hơn khoảng 8 mm so với đỉnh của ngọn lửa thử. Ngọn lửa thử phải vuông góc với mặt phẳng của mẫu thử và nằm ở tâm của mẫu thử. Sau một phút, ngọn lửa thử phải được đưa ra khỏi hoàn toàn mẫu thử và phải ghi lại thời gian, tính bằng giây, đến khi mọi ngọn lửa đều bị tắt.
(b) Thử nghiệm nêu ở (a) trên phải được lặp lại sau khi mọi ngọn lửa đã hết và không còn cháy âm ỉ và nhiệt độ của mẫu thử đã trở lại bình thường ngoại trừ việc ngọn lửa thử phải được đặt tại trung điểm của một cạnh bất kỳ của mẫu thử. Cần phải ghi lại một lần nữa thời gian, tính bằng giây, để mọi ngọn lửa trên mẫu thử tắt hết tính từ lúc bỏ thiết bị đốt ra ngoài mẫu thử.
5 Tiêu chuẩn đạt
Lớp bọc được coi là “không dễ bắt cháy” khi mọi ngọn lửa trên mẫu thử tắt trong thời gian 20 giây sau khi đưa thiết bị đốt ra khỏi mẫu thử.
PHỤ LỤC E - SỬ DỤNG ĐƯỜNG CONG MÔ MEN HỒI PHỤC “KIỂU ĐẦU
TIÊN” CỦA TIÊU CHUẨN ISO KHI ĐÁNH GIÁ ỔN ĐỊNH
1 Quy định chung
(1) Khi ổn định của tàu được đánh giá bằng đường cong mô men hồi phục để chứng minh sự phù hợp với Tiêu chuẩn ISO 12217 thì đường cong này phải được Đăng kiểm kiểm tra và nếu cần thì phải được hiệu chỉnh như dưới đây.
(2) Tiêu chuẩn ISO 12217 thường yêu cầu ổn định phải được đánh giá ở trạng thái vận hành tối thiểu. Tuy nhiên, nếu khối lượng xếp lên tàu lớn hơn 15% so với trạng thái vừa nêu thì ổn định phải được đánh giá ở trạng thái nặng tải hơn.
(3) Nếu có số liệu về cả hai trạng thái thì trạng thái nặng tải hơn phải được sử dụng để tính toán theo quy định của Quy chuẩn này.
2 Thử xác nhận ổn định
(1) Tàu phải được thử xác nhận ổn định khi ở trạng thái càng gần với trạng thái được sử dụng để tính toán đường cong mô men hồi phục, như nêu ở Tiêu chuẩn ISO 12217. Thử nhằm mục đích xác nhận ổn định của tàu là thích hợp với đường cong mô men hồi phục “kiểu đầu tiên” được sử dụng để đánh giá theo Tiêu chuẩn ISO 12217. Nếu không chứng minh được điều này thì đường cong ổn định phải được hiệu chỉnh như nêu dưới đây trước khi tiến hành đánh giá lại ổn định của tàu.
(2) Thử nghiệm phải được tiến hành ở điều kiện nước tĩnh. Tàu phải được làm nghiêng về cả hai mạn, trái và phải, càng nhiều càng tốt bằng cách sử dụng mô men nghiêng đủ để gây ra góc nghiêng: đầu tiên là ít nhất 3° về cả hai mạn và thứ hai là ít nhất 5° (như trường hợp sử dụng tất cả là 2 mô men nghiêng và đo được 4 góc nghiêng). Mô men nghiêng và góc nghiêng phải được ghi lại chính xác đến mức có thể.
(3) Mô men nghiêng phải được tạo ra bằng các trọng vật mà là một phần của trạng thái có tải của tàu và được di chuyển một khoảng xác định trước. Cánh tay đòn hồi phục được tính toán theo góc nghiêng như ở công thức sau:
![]()
Trong đó:
GZ là cánh tay đòn hồi phục (tính bằng m);
w là khối lượng được dịch chuyển để gây nghiêng (tính bằng kg);
h là khoảng cách song song với đường nước thiết kế mà trọng vật được dịch chuyển để tạo ra mô men nghiêng (tính bằng m);
Ø là góc nghiêng được tạo ra (tính bằng độ);
∆ là lượng chiếm nước của tàu dùng để tính toán đường cong GZ đang xét (tính bằng kg).
(4) Nếu trọng vật được sử dụng để tạo ra mô men nghiêng phải được dịch chuyển theo phương thẳng đứng từ vị trí bình thường của chúng để tạo ra mô men nghiêng cần thiết thì mô men hồi phục đo được phải được hiệu chỉnh đối với sự thay đổi cao độ trọng tâm của tàu. Lượng hiệu chỉnh GG1sinØ, được bổ sung vào giá trị GZ đo được khi trọng vật được nâng lên trong quá trình thử nghiêng, với GG1 là khoảng dịch chuyển của cao độ trọng tâm tàu do trọng vật được dịch chuyển.
(5) Đường cong mô men hồi phục “kiểu đầu tiên” phải được coi là có thể chấp nhận để đánh giá ổn định nếu độ lệch trung bình của 4 giá trị có được ở (3) trên, sau khi hiệu chỉnh theo (4) trên, bằng hoặc nhỏ hơn 5%. Nếu độ lệch nằm trên đường cong thì không cần áp dụng giới hạn nào cả.
(6) Nếu độ lệch trung bình của 4 giá trị tính được ở (3) trên so với đường cong mô men hồi phục là lớn hơn 5% thì đường cong mô men hồi phục “kiểu đầu tiên” phải được hiệu chỉnh ở toàn bộ phạm vi góc nghiêng một lượng bằng GG1sinØ, trong đó, Ø là góc nghiêng bất kỳ. Giá trị GG1 sử dụng để hiệu chỉnh phải được tính theo công thức sau:

Trong đó:
δn là độ lệch của giá trị GZ đo được so với đường cong GZ “kiểu đầu tiên” tại góc nghiêng Øn, đối với 4 giá trị có được ở (2) trên và được tính toán theo (3) và (4) trên.
(7) Nếu đường cong mô men hồi phục được điều chỉnh theo cách này thì ổn định phải được đánh giá lại, áp dụng các yêu cầu liên quan ở Chương 1 Phần 6 Mục II của Quy chuẩn này.
3 Góc nghiêng ổn định lớn nhất đối với tàu buồm
(1) Góc nghiêng ổn định lớn nhất để chống vào nước khi gió giật thường được tính toán cho trạng thái có tải rời bến và có thể được tăng lên nếu được tính toán cho trạng thái ít tải hơn (như trạng thái vận hành tối thiểu được sử dụng trong các tính toán ổn định theo Tiêu chuẩn ISO 12217).
(2) Nếu ổn định của tàu buồm được kiểm tra theo Tiêu chuẩn ISO 12217 đối với trạng thái vận hành tối thiểu thì góc nghiêng ổn định lớn nhất được tính toán theo trạng thái ít tải hơn này phải được giảm 10% do ảnh hưởng của sự sai khác trước khi đưa vào Thông báo ổn định.
Bạn chưa Đăng nhập thành viên.
Đây là tiện ích dành cho tài khoản thành viên. Vui lòng Đăng nhập để xem chi tiết. Nếu chưa có tài khoản, vui lòng Đăng ký tại đây!

