- Tổng quan
- Nội dung
- VB gốc
- Tiếng Anh
- Hiệu lực
- VB liên quan
- Lược đồ
-
Nội dung hợp nhất
Tính năng này chỉ có tại LuatVietnam.vn. Nội dung hợp nhất tổng hợp lại tất cả các quy định còn hiệu lực của văn bản gốc và các văn bản sửa đổi, bổ sung, đính chính... trên một trang. Việc hợp nhất văn bản gốc và những văn bản, Thông tư, Nghị định hướng dẫn khác không làm thay đổi thứ tự điều khoản, nội dung.
Khách hàng chỉ cần xem Nội dung hợp nhất là có thể nắm bắt toàn bộ quy định hiện hành đang áp dụng, cho dù văn bản gốc đã qua nhiều lần chỉnh sửa, bổ sung.
- Tải về
Thông tư 45/2025/TT-BXD hướng dẫn xác định chi phí bảo trì kết cấu hạ tầng đường thủy
| Cơ quan ban hành: | Bộ Xây dựng |
Số công báo:
Số công báo là mã số ấn phẩm được đăng chính thức trên ấn phẩm thông tin của Nhà nước. Mã số này do Chính phủ thống nhất quản lý.
|
Đã biết
|
| Số hiệu: | 45/2025/TT-BXD | Ngày đăng công báo: |
Đã biết
|
| Loại văn bản: | Thông tư | Người ký: | Nguyễn Xuân Sang |
| Trích yếu: | Hướng dẫn phương pháp xác định chi phí bảo trì kết cấu hạ tầng đường thủy nội địa | ||
|
Ngày ban hành:
Ngày ban hành là ngày, tháng, năm văn bản được thông qua hoặc ký ban hành.
|
11/12/2025 |
Ngày hết hiệu lực:
Ngày hết hiệu lực là ngày, tháng, năm văn bản chính thức không còn hiệu lực (áp dụng).
|
Đang cập nhật |
|
Áp dụng:
Ngày áp dụng là ngày, tháng, năm văn bản chính thức có hiệu lực (áp dụng).
|
Đã biết
|
Tình trạng hiệu lực:
Cho biết trạng thái hiệu lực của văn bản đang tra cứu: Chưa áp dụng, Còn hiệu lực, Hết hiệu lực, Hết hiệu lực 1 phần; Đã sửa đổi, Đính chính hay Không còn phù hợp,...
|
Đã biết
|
| Lĩnh vực: | Xây dựng Giao thông | ||
TÓM TẮT THÔNG TƯ 45/2025/TT-BXD
Hướng dẫn xác định chi phí bảo trì kết cấu hạ tầng đường thủy nội địa
Ngày 11/12/2025, Bộ Xây dựng đã ban hành Thông tư 45/2025/TT-BXD hướng dẫn phương pháp xác định chi phí bảo trì kết cấu hạ tầng đường thủy nội địa, có hiệu lực từ ngày 01/02/2025.
Thông tư này áp dụng cho các cơ quan, tổ chức và cá nhân liên quan đến công tác bảo trì kết cấu hạ tầng đường thủy nội địa, sử dụng nguồn vốn từ ngân sách nhà nước.
- Chi phí bảo dưỡng thường xuyên
Chi phí bảo dưỡng thường xuyên bao gồm chi phí thực hiện công việc bảo dưỡng, chi phí quản lý của chủ đầu tư, chi phí tư vấn và các chi phí khác. Các chi phí này được xác định theo các phụ lục kèm theo Thông tư, với các khoản chi phí cụ thể như kiểm tra công trình, bảo trì báo hiệu, đèn báo hiệu, thiết bị, hệ thống thông tin, và các công trình phục vụ trên tuyến đường thủy nội địa.
- Chi phí sửa chữa kết cấu hạ tầng
Chi phí sửa chữa bao gồm chi phí sửa chữa định kỳ và chi phí sửa chữa đột xuất. Sửa chữa định kỳ bao gồm các công việc như nạo vét duy tu luồng, sửa chữa âu tàu, kè, nhà trạm, và các công trình phụ trợ khác. Sửa chữa đột xuất là chi phí cho các sự cố hư hỏng do thiên tai hoặc sự cố bất thường khác.
- Chi phí công tác khác
Chi phí công tác khác bao gồm các chi phí khảo sát định kỳ, điều tiết khống chế đảm bảo an toàn giao thông, thường trực chống va trôi, và các công việc liên quan đến quản lý, khai thác, bảo trì kết cấu hạ tầng. Dự toán cho các công việc này được xác định theo các quy định hướng dẫn lập và quản lý chi phí đầu tư xây dựng.
- Quản lý dự toán chi phí bảo trì
Dự toán chi phí bảo trì do chủ đầu tư tổ chức lập, bao gồm toàn bộ hoặc một số công việc quy định trong Thông tư. Cơ quan quản lý tài sản kết cấu hạ tầng đường thủy nội địa ở Trung ương và Ủy ban nhân dân cấp tỉnh có trách nhiệm tổ chức lập, thẩm định, và phê duyệt dự toán chi phí bảo trì.
- Định mức kinh tế - kỹ thuật và đơn giá
Định mức kinh tế - kỹ thuật và đơn giá bảo trì do Bộ Xây dựng và Ủy ban nhân dân cấp tỉnh ban hành. Đơn giá được xác định dựa trên định mức kinh tế - kỹ thuật, báo giá thị trường, hoặc đơn giá công tác tương tự đã thực hiện. Giá vật tư, nhân công, và thiết bị được xác định theo công bố của Ủy ban nhân dân cấp tỉnh hoặc khảo sát thực tế.
Xem chi tiết Thông tư 45/2025/TT-BXD có hiệu lực kể từ ngày 01/02/2026
Tải Thông tư 45/2025/TT-BXD
| BỘ XÂY DỰNG Số: 45/2025/TT-BXD | CỘNG HÒA XÃ HỘI CHỦ NGHĨA VIỆT NAM Hà Nội, ngày 11 tháng 12 năm 2025 |
THÔNG TƯ
Hướng dẫn phương pháp xác định chi phí bảo trì kết cấu hạ tầng
đường thủy nội địa
_______________
Căn cứ Luật Giao thông đường thủy nội địa số 23/2004/QH11 được sửa đổi bổ sung bởi Luật Giao thông đường thủy nội địa số 48/2014/QH13;
Căn cứ Nghị định số 06/2021/NĐ-CP ngày 26 tháng 01 năm 2021 của Chính phủ quy định chi tiết một số nội dung về quản lý chất lượng thi công xây dựng và bảo trì công trình xây dựng;
Căn cứ Nghị định số 33/2025/NĐ-CP ngày 25 tháng 02 năm 2025 của Chính phủ quy định chức năng, nhiệm vụ, quyền hạn và cơ cấu tổ chức của Bộ Xây dựng;
Theo đề nghị của Cục trưởng Cục Kinh tế - Quản lý đầu tư xây dựng và Cục trưởng Cục Hàng hải và Đường thủy Việt Nam;
Bộ trưởng Bộ Xây dựng ban hành Thông tư hướng dẫn phương pháp xác định chi phí bảo trì kết cấu hạ tầng đường thủy nội địa.
Điều 1. Phạm vi điều chỉnh
Thông tư này hướng dẫn phương pháp xác định chi phí bảo trì kết cấu hạ tầng đường thủy nội địa sử dụng nguồn vốn từ ngân sách nhà nước gồm: chi phí bảo dưỡng thường xuyên kết cấu hạ tầng đường thủy nội địa; chi phí sửa chữa kết cấu hạ tầng đường thủy nội địa và chi phí công tác khác trong kế hoạch bảo trì kết cấu hạ tầng đường thủy nội địa.
Điều 2. Đối tượng áp dụng
Thông tư này áp dụng đối với các cơ quan, tổ chức và cá nhân liên quan đến công tác bảo trì kết cấu hạ tầng đường thủy nội địa nêu tại Điều 1 Thông tư này.
Điều 3. Xác định chi phí bảo dưỡng thường xuyên kết cấu hạ tầng đường thủy nội địa
Chi phí bảo dưỡng thường xuyên kết cấu hạ tầng đường thủy nội địa được chủ đầu tư tổng hợp dự toán theo hướng dẫn tại Phụ lục I Thông tư này, gồm các khoản chi phí sau:
1. Chi phí thực hiện công việc bảo dưỡng thường xuyên kết cấu hạ tầng đường thủy nội địa là chi phí được xác định để thực hiện các công tác kiểm tra công trình đường thủy nội địa; bảo trì báo hiệu; bảo trì đèn báo hiệu, thiết bị, hệ thống thông tin, các công trình phục vụ trên tuyến đường thủy nội địa; đo dò bãi cạn; công tác đặc thù trong bảo trì đường thủy nội địa. Việc xác định chi phí thực hiện công việc bảo dưỡng thường xuyên theo Phụ lục II Thông tư này.
2. Chi phí quản lý của các cơ quan quản lý đường thủy nội địa hoặc cơ quan được giao quản lý tài sản kết cấu hạ tầng đường thủy nội địa (sau đây gọi tắt là chủ đầu tư) là chi phí để thực hiện các nhiệm vụ tổng hợp dự toán trình cấp có thẩm quyền phê duyệt; tổ chức lựa chọn, ký hợp đồng với đơn vị bảo trì; nghiệm thu, thanh toán; tổ chức quản lý việc thực hiện của các đơn vị đối với các nhiệm vụ bảo trì kết cấu hạ tầng đường thủy nội địa. Chi phí quản lý của chủ đầu tư được xác định bằng định mức tỷ lệ phần trăm (%) theo quy định tại mục I Phụ lục III Thông tư này. Việc quản lý, sử dụng chi phí quản lý của chủ đầu tư thực hiện theo quy định của pháp luật.
3. Chi phí tư vấn là chi phí thực hiện các công tác tư vấn có liên quan để bảo dưỡng thường xuyên kết cấu hạ tầng đường thủy nội địa, được xác định theo quy định tại mục II Phụ lục III Thông tư này.
4. Chi phí khác là chi phí cho các công việc cần thiết khác có liên quan trong quá trình thực hiện công việc bảo dưỡng thường xuyên kết cấu hạ tầng đường thủy nội địa. Chi phí cho các công việc cần thiết khác được xác định bằng định mức tỷ lệ phần trăm (%) hoặc lập dự toán theo quy định của pháp luật.
Điều 4. Xác định chi phí sửa chữa kết cấu hạ tầng đường thủy nội địa
1. Chi phí sửa chữa kết cấu hạ tầng đường thủy nội địa gồm:
a) Chi phí sửa chữa định kỳ gồm các chi phí nạo vét duy tu luồng đường thủy nội địa theo cấp kỹ thuật đã công bố; sửa chữa âu tàu, kè, nhà trạm, thủy chí; thanh thải vật chướng ngại trong luồng và hành lang bảo vệ luồng; sửa chữa, bổ sung, thay thế báo hiệu, đèn báo hiệu; sửa chữa, thay thế, bổ sung hạng mục, công trình phụ trợ, thiết bị, phụ kiện phục vụ trực tiếp công tác quản lý, bảo trì và khai thác giao thông đường thủy nội địa.
b) Chi phí sửa chữa đột xuất là chi phí sửa chữa sự cố hư hỏng do thiên tai hoặc sự cố bất thường khác gây ra.
2. Chi phí sửa chữa kết cấu hạ tầng đường thủy nội địa được xác định theo hướng dẫn xác định chi phí bảo trì công trình xây dựng của Bộ Xây dựng.
Điều 5. Xác định chi phí công tác khác trong kế hoạch bảo trì kết cấu hạ tầng đường thủy nội địa
1. Chi phí công tác khác gồm các chi phí khảo sát định kỳ luồng đường thủy nội địa; điều tiết khống chế bảo đảm an toàn giao thông đường thủy nội địa, thường trực chống va trôi; lập, điều chỉnh quy trình và định mức quản lý, khai thác, bảo trì kết cấu hạ tầng được đầu tư bằng ngân sách nhà nước; kiểm định, quan trắc, đánh giá an toàn kết cấu hạ tầng đường thủy nội địa; xây dựng định mức kinh tế - kỹ thuật; ứng dụng công nghệ phục vụ trực tiếp công tác quản lý, bảo trì và khai thác giao thông đường thủy nội địa.
2. Dự toán cho các công việc khảo sát, kiểm định, quan trắc được xác định theo các quy định hướng dẫn lập và quản lý chi phí đầu tư xây dựng của Bộ Xây dựng.
3. Dự toán cho các công việc điều tiết khống chế đảm bảo an toàn giao thông đường thủy nội địa; thường trực chống va trôi được xác định như đối với dự toán chi phí thực hiện công việc bảo dưỡng thường xuyên kết cấu hạ tầng đường thủy nội địa quy định tại Phụ lục II Thông tư này.
4. Dự toán cho các công việc lập, điều chỉnh quy trình và định mức quản lý, khai thác, bảo trì đối với kết cấu hạ tầng được đầu tư bằng ngân sách nhà nước; đánh giá an toàn kết cấu hạ tầng đường thủy nội địa; xây dựng định mức kinh tế - kỹ thuật; ứng dụng công nghệ phục vụ trực tiếp công tác quản lý, bảo trì và khai thác kết cấu hạ tầng đường thủy nội địa được xác định trên cơ sở phạm vi khối lượng công việc thực hiện, định mức, đơn giá, xây dựng dự toán chi tiết hoặc báo giá của các đơn vị tư vấn, đơn vị cung ứng dịch vụ trong trường hợp không có định mức, đơn giá.
Điều 6. Quản lý dự toán chi phí bảo trì kết cấu hạ tầng đường thủy nội địa
1. Dự toán chi phí bảo trì kết cấu hạ tầng đường thủy nội địa do chủ đầu tư tổ chức lập gồm toàn bộ hoặc một số công việc quy định tại Điều 3, Điều 4, Điều 5 Thông tư này theo kế hoạch bảo trì kết cấu hạ tầng đường thủy nội địa thuộc phạm vi quản lý của từng chủ đầu tư. Chủ đầu tư tổng hợp dự toán chi phí bảo trì kết cấu hạ tầng đường thủy nội địa hằng năm theo hướng dẫn tại Phụ lục IV Thông tư này.
2. Cơ quan được giao quản lý tài sản kết cấu hạ tầng đường thủy nội địa ở Trung ương tổ chức lập, thẩm định, phê duyệt dự toán chi phí bảo trì kết cấu hạ tầng đường thủy nội địa thuộc phạm vi được giao quản lý làm cơ sở báo cáo Bộ Xây dựng giao dự toán chi ngân sách nhà nước hằng năm.
3. Ủy ban nhân dân cấp tỉnh theo thẩm quyền tổ chức lập, thẩm định, phê duyệt dự toán chi phí bảo trì kết cấu hạ tầng đường thủy nội địa thuộc phạm vi quản lý của địa phương.
Điều 7. Định mức kinh tế - kỹ thuật và đơn giá bảo trì kết cấu hạ tầng đường thủy nội địa
1. Định mức kinh tế - kỹ thuật bảo trì kết cấu hạ tầng đường thủy nội địa do Bộ Xây dựng, Ủy ban nhân dân cấp tỉnh ban hành theo thẩm quyền.
2. Đơn giá để lập dự toán các công việc bảo trì kết cấu hạ tầng đường thủy nội địa được xác định trên cơ sở định mức kinh tế - kỹ thuật do cơ quan quản lý nhà nước ban hành hoặc được xác định trên cơ sở báo giá thị trường hoặc đơn giá công tác tương tự đã thực hiện.
3. Giá vật tư, vật liệu, đơn giá nhân công, giá ca máy và thiết bị được sử dụng để xác định đơn giá các công tác bảo dưỡng, sửa chữa được xác định trên cơ sở:
a) Giá vật tư, vật liệu, đơn giá nhân công, giá ca máy và thiết bị phục vụ công tác bảo trì do Ủy ban nhân dân cấp tỉnh công bố theo quy định.
b) Trường hợp giá vật tư, vật liệu, đơn giá nhân công, giá ca máy và thiết bị phục vụ công tác bảo trì chưa có trong công bố thông tin giá xây dựng hoặc có nhưng chưa phù hợp với đặc thù, đặc điểm của công tác bảo trì kết cấu hạ tầng đường thủy, chủ đầu tư tổ chức khảo sát, thu thập thông tin từ báo giá của nhà sản xuất hoặc thông tin giá của nhà cung cấp hoặc giá tương tự đã thực hiện để quyết định việc áp dụng lập đơn giá dự toán chi phí bảo trì định kỳ kết cấu hạ tầng đường thủy nội địa, đảm bảo hiệu quả trong quản lý.
c) Trường hợp kết cấu hạ tầng đường thủy nội địa nằm trên địa giới nhiều tỉnh, thành phố thì tùy theo phạm vi, khối lượng công tác bảo trì, chủ đầu tư quyết định việc áp dụng thông tin giá xây dựng công bố của một địa phương, hoặc tính theo giá bình quân trên cơ sở giá công bố của các địa phương liên quan để làm cơ sở lập đơn giá dự toán chi phí bảo trì kết cấu hạ tầng đường thủy nội địa.
Điều 8. Hiệu lực thi hành
1. Thông tư này có hiệu lực thi hành kể từ ngày 01 tháng 02 năm 2025.
2. Bãi bỏ Thông tư số 38/2020/TT-BGTVT ngày 31/12/2020 của Bộ trưởng Bộ Giao thông vận tải hướng dẫn phương pháp định giá và quản lý giá dịch vụ sự nghiệp công trong lĩnh vực quản lý, bảo trì đường thủy nội địa thực hiện theo phương thức đặt hàng sử dụng ngân sách trung ương từ nguồn kinh phí chi thường xuyên, được sửa đổi bổ sung tại Thông tư số 23/2022/TT-BGTVT ngày 03/10/2022.
Điều 9. Điều khoản chuyển tiếp
Đối với các nhiệm vụ bảo trì kết cấu hạ tầng đường thủy nội địa đã được phát hành hồ sơ mời thầu trước ngày Thông tư này có hiệu lực thi hành thì tiếp tục thực hiện theo Thông tư số 38/2020/TT-BGTVT ngày 31/12/2020 của Bộ trưởng Bộ Giao thông vận tải hướng dẫn phương pháp định giá và quản lý giá dịch vụ sự nghiệp công trong lĩnh vực quản lý, bảo trì đường thủy nội địa thực hiện theo phương thức đặt hàng sử dụng ngân sách trung ương từ nguồn kinh phí chi thường xuyên, được sửa đổi bổ sung tại Thông tư số 23/2022/TT-BGTVT ngày 03/10/2022 đến khi hoàn thành./.
| Nơi nhận: | KT. BỘ TRƯỞNG THỨ TRƯỞNG
Nguyễn Xuân Sang |
PHỤ LỤC I
TỔNG HỢP DỰ TOÁN CHI PHÍ BẢO DƯỠNG THƯỜNG XUYÊN KẾT CẤU
HẠ TẦNG ĐƯỜNG THỦY NỘI ĐỊA
(Ban hành kèm theo Thông tư số 45/2025/TT-BXD ngày 11/12/2025
của Bộ trưởng Bộ Xây dựng)
Đơn vị tính: đồng
| STT | NỘI DUNG CHI PHÍ | GIÁ TRỊ TRƯỚC THUẾ | THUẾ GTGT | GIÁ TRỊ SAU THUẾ | KÝ HIỆU |
| 1 | Chi phí thực hiện công việc bảo dưỡng thường xuyên kết cấu hạ tầng đường thủy nội địa |
|
|
| GTH |
| 1.1 | Tuyến sông, tuyến kênh 1 |
|
|
|
|
| - | Chi phí trực tiếp |
|
|
|
|
| - | Chi phí gián tiếp |
|
|
|
|
| - | Thu nhập chịu thuế tính trước |
|
|
|
|
| - | Thuế giá trị gia tăng |
|
|
|
|
| 1.2 | Tuyến sông, tuyến kênh 2 |
|
|
|
|
| - | Chi phí trực tiếp |
|
|
|
|
| - | Chi phí gián tiếp |
|
|
|
|
| - | Thu nhập chịu thuế tính trước |
|
|
|
|
| - | Thuế giá trị gia tăng |
|
|
|
|
| … | …… |
|
|
|
|
| 1.n | Tuyến sông, tuyến kênh n |
|
|
|
|
| 2 | Chi phí quản lý của chủ đầu tư |
|
|
| GQL |
| 3 | Chi phí tư vấn |
|
|
| GTV |
| 3.1 | Lập hồ sơ báo cáo KTKT hoặc phương án, dự toán |
|
|
|
|
| 3.2 | Lập hồ sơ mời thầu và đánh giá hồ sơ dự thầu |
|
|
|
|
| … | …… |
|
|
|
|
| 4 | Chi phí khác |
|
|
| Gk |
| 4.1 | Thẩm định dự toán |
|
|
|
|
| 4.2 | Thẩm định hồ sơ mời thầu, kết quả lựa chọn nhà thầu. |
|
|
|
|
| … | …… |
|
|
|
|
|
| TỔNG CỘNG (1+2+3+4) |
|
|
|
|
PHỤ LỤC II
DỰ TOÁN CHI PHÍ THỰC HIỆN CÔNG VIỆC BẢO DƯỠNG THƯỜNG
XUYÊN KẾT CẤU HẠ TẦNG ĐƯỜNG THỦY NỘI ĐỊA
(Ban hành kèm theo Thông tư số 45/2025/TT-BXD ngày 11/12/2025
của Bộ trưởng Bộ Xây dựng)
I. DỰ TOÁN CHI PHÍ THỰC HIỆN CÔNG VIỆC BẢO DƯỠNG THƯỜNG XUYÊN KẾT CẤU HẠ TẦNG ĐƯỜNG THỦY NỘI ĐỊA
Đơn vị tính: đồng
| STT | Nội dung chi phí | Ký hiệu | Cách tính | Giá trị |
| 1 | Chi phí trực tiếp | TT | TT = VL + NC + M |
|
| 1.1 | Chi phí vật liệu | VL |
|
|
| 1.2 | Chi phí nhân công | NC |
|
|
| 1.3 | Chi phí máy | M |
|
|
| 2 | Chi phí gián tiếp | GT |
|
|
| 2.1 | Chi phí chung | C | NC x tỷ lệ % |
|
| 2.2 | Chi phí nhà tạm | LT | TT x tỷ lệ % |
|
| 3 | Thu nhập chịu thuế tính trước | TL | TL = (TT + GT) x 6% |
|
|
| Dự toán chi phí thực hiện công việc bảo dưỡng thường xuyên kết cấu hạ tầng đường thủy nội địa trước thuế | G | TT + GT + TL |
|
| 4 | Thuế giá trị gia tăng | T | G x TGTGT |
|
|
| Dự toán chi phí thực hiện công việc bảo dưỡng thường xuyên kết cấu hạ tầng đường thủy nội địa sau thuế | GT | G + T |
|
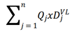
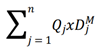
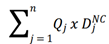
- Trong đó:
+ Qj là khối lượng công tác bảo dưỡng thường xuyên thứ j (j = 1 + n);
+ DjVL , DjNC , DjM là đơn giá vật liệu; đơn giá nhân công; đơn giá xe, máy, thiết bị thi công thứ j;
+ LT: Chi phí nhà tạm để ở và điều hành thi công
+ G: Chi phí thực hiện trước thuế;
+ TGTGT : mức thuế suất thuế GTGT quy định cho công tác quản lý, bảo trì đường thủy nội địa;
+ GT : Chi phí xây dựng sau thuế.
II. XÁC ĐỊNH CÁC KHOẢN MỤC CHI PHÍ
1. Chi phí trực tiếp
1.1 Chi phí trực tiếp gồm: chi phí vật liệu (kể cả vật liệu do Chủ đầu tư cấp), chi phí nhân công, chi phí máy và thiết bị thi công;
1.2. Phương pháp xác định:
Chi phí trực tiếp được xác định trên cơ sở khối lượng và đơn giá các công tác bảo dưỡng thường xuyên, trong đó:
a) Khối lượng các công tác bảo dưỡng thường xuyên xác định trên cơ sở quy trình bảo trì, kế hoạch và định mức kinh tế - kỹ thuật bảo trì kết cấu hạ tầng đường thủy nội địa theo phạm vi quản lý của chủ đầu tư;
b) Đơn giá công tác bảo dưỡng thường xuyên xác định theo quy định tại khoản 3 Điều 7 Thông tư này.
c) Các thành phần chi phí trong đơn giá gồm chi phí vật liệu, chi phí nhân công, chi phí máy thi công, được xác định theo hướng dẫn tại mục 1.3 dưới đây.
1.3. Xác định các thành phần chi phí trong đơn giá khi xác định theo định mức kinh tế - kỹ thuật:
a) Chi phí vật liệu (bao gồm: nguyên liệu, vật liệu, năng lượng)
Chi phí vật liệu được xác định theo công thức:

Trong đó:
- Vi: Lượng hao phí vật liệu thứ i (i = 1 ÷ n) tính cho một đơn vị khối lượng công việc quy định trong định mức kinh tế - kỹ thuật do Bộ Xây dựng hoặc Ủy ban nhân dân cấp tỉnh ban hành;
- GVLi: Giá tại hiện trường của một đơn vị vật liệu thứ i (i = 1 ÷ n), được xác định phù hợp với tiêu chuẩn, chủng loại và chất lượng vật liệu sử dụng và theo quy định tại khoản 3 Điều 7 Thông tư này. Giá vật liệu sử dụng để tính toán là giá vật liệu chưa bao gồm thuế giá trị gia tăng;
+ KVL là hệ số điều chỉnh vật liệu (nếu có).
b) Chi phí nhân công:
![]()
- Ni : Lượng hao phí lao động tính bằng ngày công trực tiếp theo cấp bậc của loại nhân công thứ i (i = 1 ÷ n) cho một đơn vị khối lượng công việc quy định trong định mức kinh tế - kỹ thuật do Bộ Xây dựng hoặc Ủy ban nhân dân cấp tỉnh ban hành;
- GiNC : Đơn giá ngày công theo cấp bậc của nhân công trực tiếp được xác định theo quy định tại khoản 3 Điều 7 Thông tư này;
- KNC : Hệ số điều chỉnh chi phí nhân công (nếu có).
c) Chi phí máy, thiết bị, phương tiện (sau đây gọi chung là máy):
Chi phí máy được xác định bằng công thức sau:

Trong đó:
- Mi: Lượng hao phí ca máy của loại máy, thiết bị thi công chính thứ i (i = 1 ÷ n) tính cho một khối lượng công việc quy định trong định mức kinh tế - kỹ thuật;
- GiMTC : Giá ca máy của loại máy, thiết bị thi công thứ i (i = 1 ÷ n) theo quy định tại khoản 3 Điều 7 Thông tư này;
- KMTC : là hệ số điều chỉnh chi phí máy (nếu có);
- Giá ca máy sử dụng để tính toán là giá chưa bao gồm thuế giá trị gia tăng.
2. Chi phí gián tiếp
2.1 Chi phí chung:
a) Chi phí chung gồm các chi phí chi cho bộ máy quản lý, điều hành doanh nghiệp; chi phí phục vụ công nhân (chi phí bảo hộ lao động, chi phí công cụ lao động); các khoản chi phí xã hội mà người sử dụng lao động phải nộp cho nhà nước (bảo hiểm xã hội, bảo hiểm y tế, kinh phí công đoàn, bảo hiểm thất nghiệp); chi phí khấu hao, sửa chữa tài sản cố định phục vụ cho bộ máy quản lý điều hành doanh nghiệp, chi phí thuê kiểm toán của doanh nghiệp và các khoản chi khác có liên quan đến hoạt động chung của doanh nghiệp.
b) Chi phí chung được xác định bằng định mức tỷ lệ phần trăm (%) theo bảng dưới đây nhân với chi phí nhân công thuộc chi phí trực tiếp trong dự toán chi phí thực hiện công việc bảo dưỡng thường xuyên kết cấu hạ tầng đường thủy nội địa được xác định cho các tuyến sông, tuyến kênh thuộc phạm vi quản lý của từng chủ đầu tư.
c) Định mức tỷ lệ phần trăm (%) xác định theo tổng chi phí nhân công thuộc chi phí trực tiếp trong dự toán chi phí thực hiện công việc bảo dưỡng thường xuyên kết cấu hạ tầng đường thủy nội địa theo phạm vi quản lý của từng chủ đầu tư.
| STT | Nội dung | Tổng chi phí nhân công trong chi phí trực tiếp - NC (tỷ đồng) | |||
| ≤ 15 | ≤ 50 | ≤ 100 | > 100 | ||
| 1 | Định mức tỷ lệ (%) chi phí chung - Kc | 66 | 63 | 60 | 56 |
2.2 Chi phí nhà tạm:
a) Chi phí nhà tạm để ở và điều hành thi công, phục vụ công việc bảo dưỡng thường xuyên kết cấu hạ tầng đường thủy nội địa được xác định bằng định mức tỷ lệ phần trăm (%) theo bảng dưới đây nhân với chi phí trực tiếp trong dự toán chi phí thực hiện công việc bảo dưỡng thường xuyên kết cấu hạ tầng đường thủy nội địa, được xác định cho các tuyến sông, tuyến kênh thuộc phạm vi quản lý của từng chủ đầu tư.
b) Định mức tỷ lệ phần trăm (%) chi phí nhà tạm được xác định theo tổng chi phí trực tiếp trước thuế trong dự toán chi phí công việc bảo dưỡng thường xuyên kết cấu hạ tầng đường thủy nội địa theo phạm vi quản lý của từng chủ đầu tư.
| STT | Nội dung | Tổng chi phí trực tiếp trước thuế trong dự toán chi phí công việc bảo dưỡng thường xuyên kết cấu hạ tầng đường thủy nội địa (tỷ đồng) | |||
| ≤ 15 | ≤ 100 | ≤ 500 | ≤ 1000 | ||
| 1 | Định mức tỷ lệ phần trăm (%) chi phí nhà tạm để ở và điều hành thi công | 2,2 | 2,0 | 1,9 | 1,8 |
3. Thu nhập chịu thuế tính trước:
Thu nhập chịu thuế tính trước được xây dựng bảo đảm phù hợp với mặt bằng thị trường, được tính bằng 6% tổng chi phí trực tiếp và chi phí chung trong dự toán chi phí công việc bảo dưỡng thường xuyên kết cấu hạ tầng đường thủy nội địa.
4. Thuế giá trị gia tăng: Áp dụng theo quy định hiện hành.
PHỤ LỤC III
CHI PHÍ QUẢN LÝ CỦA CHỦ ĐẦU TƯ VÀ CHI PHÍ TƯ VẤN
(Ban hành kèm theo Thông tư số 45/2025/TT-BXD ngày 11/12/2025
của Bộ trưởng Bộ Xây dựng)
I. Chi phí quản lý của Chủ đầu tư
1. Chi phí quản lý của chủ đầu tư được xác định bằng định mức tỷ lệ phần trăm (%) quy định tại bảng dưới đây nhân với giá trị dự toán chi phí thực hiện công việc bảo dưỡng thường xuyên kết cấu hạ tầng đường thủy nội địa (chưa bao gồm thuế GTGT) thuộc phạm vi quản lý của từng chủ đầu tư.
2. Định mức tỷ lệ phần trăm (%) chi phí quản lý công tác bảo trì được xác định theo chi phí thực hiện công việc bảo dưỡng thường xuyên kết cấu hạ tầng đường thủy nội địa của từng chủ đầu tư.
3. Trường hợp chủ đầu tư sử dụng tư cách pháp nhân của mình và bộ máy chuyên môn trực thuộc có đủ điều kiện năng lực để trực tiếp quản lý, chi phí của chủ đầu tư xác định theo bảng định mức chi phí quản lý và điều chỉnh với hệ số k = 0,8.
Bảng định mức chi phí quản lý
Đơn vị tính: tỷ lệ %
| STT | Nội dung | Giá trị dự toán trước thuế chi phí thực hiện công việc bảo dưỡng thường xuyên kết cấu hạ tầng đường thủy nội địa (tỷ đồng) | ||||||
| ≤ 10 | 20 | 50 | 100 | 200 | 500 | ≤ 1000 | ||
| 1 | Định mức tỷ lệ phần trăm (%) chi phí quản lý của cơ quan quản lý đường thủy nội địa | 3,024 | 2,566 | 2,292 | 1,771 | 1,655 | 1,329 | 1,088 |
II. Chi phí tư vấn
1. Chi phí tư vấn được tính riêng cho từng nhiệm vụ cụ thể trên cơ sở định mức tỷ lệ % nhân với chi phí thực hiện công việc bảo dưỡng thường xuyên trước thuế. Định mức tỷ lệ % được xác định trên cơ sở quy mô chi phí thực hiện công việc bảo dưỡng thường xuyên kết cấu hạ tầng đường thủy nội địa trước thuế tương ứng với quy mô chi phí ban hành tại Thông tư ban hành định mức xây dựng.
2. Trường hợp chi phí tư vấn chưa được quy định định mức hoặc đã quy định định mức nhưng không phù hợp thì được xác định bằng lập dự toán; việc lập dự toán chi phí tư vấn thực hiện theo quy định của pháp luật về xác định chi phí quản lý đầu tư xây dựng.
PHỤ LỤC IV
TỔNG HỢP DỰ TOÁN CHI PHÍ BẢO TRÌ KẾT CẤU HẠ TẦNG
ĐƯỜNG THỦY NỘI ĐỊA
(Ban hành kèm theo Thông tư số 45/2025/TT-BXD ngày 11/12/2025
của Bộ trưởng Bộ Xây dựng)
Đơn vị tính: đồng
| STT | NỘI DUNG CHI PHÍ | GIÁ TRỊ TRƯỚC THUẾ | THUẾ GTGT | GIÁ TRỊ SAU THUẾ | KÝ HIỆU |
| 1 | Chi phí bảo dưỡng thường xuyên kết cấu hạ tầng đường thủy nội địa |
|
|
|
|
| 1.1 | Tuyến sông, tuyến kênh 1 |
|
|
|
|
| - | Chi phí thực hiện |
|
|
|
|
| - | Chi phí quản lý của chủ đầu tư |
|
|
|
|
| - | Chi phí tư vấn |
|
|
|
|
| - | Chi phí khác |
|
|
|
|
| 1.2 | Tuyến sông, tuyến kênh 2 |
|
|
|
|
| - | Chi phí thực hiện |
|
|
|
|
| - | Chi phí quản lý của chủ đầu tư |
|
|
|
|
| - | Chi phí tư vấn |
|
|
|
|
| - | Chi phí khác |
|
|
|
|
| 1.3 | …. |
|
|
|
|
| 2 | Chi phí sửa chữa kết cấu hạ tầng đường thủy nội địa |
|
|
| GQL |
| 2.1 | Tuyến sông, kênh 1 |
|
|
|
|
| 2.2 | Tuyến sông, kênh 2 |
|
|
|
|
| 2.3 | …. |
|
|
|
|
| 3 | Chi phí các công việc khác trong kế hoạch bảo trì kết cấu hạ tầng đường thủy nội địa |
|
|
| GTV |
| 3.1 | Chi phí điều tiết khống chế đảm bảo an toàn giao thông đường thủy nội địa |
|
|
|
|
| 3.2 | Chi phí thường trực chống va trôi |
|
|
|
|
| 3.3 | Chi phí khảo sát định kỳ luồng đường thủy nội địa |
|
|
|
|
| 3.4 | Chi phí kiểm định |
|
|
|
|
| 3.5 | Chi phí quan trắc |
|
|
|
|
| 3.6 | Chi phí xây dựng định mức kinh tế - kỹ thuật |
|
|
|
|
| .... | ……. |
|
|
|
|
|
| TỔNG CỘNG (1+2+3)... |
|
|
|
|
Bạn chưa Đăng nhập thành viên.
Đây là tiện ích dành cho tài khoản thành viên. Vui lòng Đăng nhập để xem chi tiết. Nếu chưa có tài khoản, vui lòng Đăng ký tại đây!
Bạn chưa Đăng nhập thành viên.
Đây là tiện ích dành cho tài khoản thành viên. Vui lòng Đăng nhập để xem chi tiết. Nếu chưa có tài khoản, vui lòng Đăng ký tại đây!