Danh mục
|
Tổng đài trực tuyến 19006192
|
|
  • Tổng quan
  • Nội dung
  • Tiêu chuẩn liên quan
  • Lược đồ
  • Tải về
Lưu
Đây là tiện ích dành cho tài khoản Tiêu chuẩn hoặc Nâng cao . Vui lòng Đăng nhập tài khoản để xem chi tiết.
Theo dõi VB
Đây là tiện ích dành cho tài khoản Tiêu chuẩn hoặc Nâng cao . Vui lòng Đăng nhập tài khoản để xem chi tiết.
Ghi chú
Báo lỗi
In

Tiêu chuẩn TCVN 12636-18:2025 Quan trắc khí tượng thủy văn - Điều tra lũ vùng sông không ảnh hưởng thủy triều

Số hiệu: TCVN 12636-18:2025 Loại văn bản: Tiêu chuẩn Việt Nam
Cơ quan ban hành: Bộ Khoa học và Công nghệ Lĩnh vực: Tài nguyên-Môi trường
Ngày ban hành:
Ngày ban hành là ngày, tháng, năm văn bản được thông qua hoặc ký ban hành.
22/05/2025
Hiệu lực:
Đã biết
Tiện ích dành cho tài khoản Tiêu chuẩn hoặc Nâng cao. Vui lòng Đăng nhập tài khoản để xem chi tiết.
Người ký: Đang cập nhật
Tình trạng hiệu lực:
Cho biết trạng thái hiệu lực của văn bản đang tra cứu: Chưa áp dụng, Còn hiệu lực, Hết hiệu lực, Hết hiệu lực 1 phần; Đã sửa đổi, Đính chính hay Không còn phù hợp,...
Đã biết
Tiện ích dành cho tài khoản Tiêu chuẩn hoặc Nâng cao. Vui lòng Đăng nhập tài khoản để xem chi tiết.

TÓM TẮT TIÊU CHUẨN VIỆT NAM TCVN 12636-18:2025

Nội dung tóm tắt đang được cập nhật, Quý khách vui lòng quay lại sau!

Tải tiêu chuẩn Việt Nam TCVN 12636-18:2025

Tải văn bản tiếng Việt (.pdf) Tiêu chuẩn Việt Nam TCVN 12636-18:2025 PDF (Bản có dấu đỏ)

Đây là tiện ích dành cho tài khoản thành viên. Vui lòng Đăng nhập để xem chi tiết. Nếu chưa có tài khoản, Đăng ký tại đây!

Tải văn bản tiếng Việt (.doc) Tiêu chuẩn Việt Nam TCVN 12636-18:2025 DOC (Bản Word)

Đây là tiện ích dành cho tài khoản thành viên. Vui lòng Đăng nhập để xem chi tiết. Nếu chưa có tài khoản, Đăng ký tại đây!

Tình trạng hiệu lực: Đã biết
bgdocquyen
Hiệu lực: Đã biết
Tình trạng hiệu lực: Đã biết

TIÊU CHUẨN QUỐC GIA

TCVN 12636-18:2025

QUAN TRẮC KHÍ TƯỢNG THỦY VĂN - PHẦN 18: ĐIỀU TRA LŨ VÙNG SÔNG KHÔNG ẢNH HƯỞNG THỦY TRIỀU

Hydro - Meteorological observations - Part 18: Survey the flood in river on non-tidal affected zones

Lời nói đầu

TCVN 12636-18:2025 do Cục Khí tượng Thủy văn biên soạn, Bộ Nông nghiệp và Môi trường đề nghị, Ủy ban Tiêu chuẩn Đo lường Chất lượng quốc gia thẩm định, Bộ Khoa học và Công nghệ công bố.

Bộ TCVN 12636 Quan trắc khí tượng thủy văn bao gồm các tiêu chuẩn sau:

- TCVN 12636-1:2019, Phần 1: Quan trắc khí tượng bề mặt;

- TCVN 12636-2:2019, Phần 2: Quan trắc mực nước và nhiệt độ nước sông;

- TCVN 12636-3:2019, Phần 3: Quan trắc hải văn;

- TCVN 12636-4:2020, Phần 4: Quan trắc bức xạ mặt trời;

- TCVN 12636-5:2020, Phần 5: Quan trắc tổng lượng ô zôn khí quyển và bức xạ cực tím;

- TCVN 12636-6:2020, Phần 6: Quan trắc thám không vô tuyến;

- TCVN 12636-7:2020, Phần 7: Quan trắc gió trên cao;

- TCVN 12636-8:2020, Phần 8: Quan trắc lưu lượng nước sông vùng không ảnh hưởng thủy triều;

- TCVN 12636-9:2020, Phần 9: Quan trắc lưu lượng nước sông vùng ảnh hưởng thủy triều;

- TCVN 12636-10:2021, Phần 10: Quan trắc lưu lượng chất lơ lửng vùng sông không ảnh hưởng thủy triều;

- TCVN 12636-11:2021, Phần 11: Quan trắc lưu lượng chất lơ lửng vùng sông ảnh hưởng thủy triều;

- TCVN 12636-12:2021, Phần 12: Quan trắc ra đa thời tiết;

- TCVN 12636-13:2021, Phần 13: Quan trắc khí tượng nông nghiệp;

- TCVN 12636-14:2022, Phần 14: Chỉnh biên mực nước và nhiệt độ nước sông;

- TCVN 12636-15:2023, Phần 15: Chỉnh biên tài liệu lưu lượng nước sông vùng không ảnh hưởng thủy triều;

- TCVN 12636-16:2024, Phần 16: Chỉnh biên tài liệu lưu lượng nước sông vùng ảnh hưởng thủy triều;

- TCVN 12636-17:2024, Phần 17: Chỉnh biên tài liệu lưu lượng chất lơ lửng nước sông;

- TCVN 12636-18:2025, Phần 18: Điều tra lũ vùng sông không ảnh hưởng thủy triều.

 

QUAN TRẮC KHÍ TƯỢNG THỦY VĂN - PHẦN 18: ĐIỀU TRA LŨ VÙNG SÔNG KHÔNG ẢNH HƯỞNG THỦY TRIỀU

Hydro - Meteorological observations - Part 18: Survey the flood in river on non-tidal affected zones

1 Phạm vi áp dụng

Tiêu chuẩn này được áp dụng để điều tra lũ vùng sông không ảnh hưởng thủy triều.

2 Tài liệu viện dẫn

Các tài liệu viện dẫn sau rất cần thiết cho việc áp dụng tiêu chuẩn này. Đối với các tài liệu viện dẫn ghi năm công bố thì áp dụng phiên bản được nêu. Đối với các tài liệu viện dẫn không ghi năm công bố thì áp dụng phiên bản mới nhất, bao gồm cả các sửa đổi, bổ sung (nếu có).

TCVN 12635-2:2019, Công trình quan trắc khí tượng thủy văn - Phần 2: Vị trí, công trình quan trắc đối với trạm thủy văn.

TCVN 12636-2:2019, Quan trắc khí tượng thủy văn - Phần 2: Quan trắc mực nước và nhiệt độ nước sông.

TCVN 12636-8:2020, Quan trắc khí tượng thủy văn - Phần 8: Quan trắc lưu lượng nước sông vùng không ảnh hưởng thủy triều.

TCVN 12636-15:2021, Quan trắc khí tượng thủy văn - Phần 15: Chỉnh biên lưu lượng nước sông vùng không ảnh hưởng thủy triều.

TCVN 12904-2020, Yếu tố khí tượng thủy văn - Thuật ngữ và định nghĩa.

TCVN 8224:2009 Công trình thủy lợi - Các quy định chủ yếu về lưới khống chế mặt bằng, địa hình.

TCVN 8225:2009 Công trình thủy lợi - Các quy định chủ yếu về lưới khống chế cao độ địa hình.

TCVN 8226:2009 Công trình thủy lợi - Khảo sát mặt cắt bình đồ, khảo sát mặt cắt, bình đồ địa chỉ công trình thủy lợi.

3 Thuật ngữ, định nghĩa, ký hiệu, đơn vị đo và lấy số có nghĩa

3.1 Thuật ngữ, định nghĩa

Tiêu chuẩn này sử dụng các thuật ngữ và định nghĩa nêu trong TCVN 12904: 2020; TCVN 12636-8:2022; TCVN 12636-15:2023; và các thuật ngữ, định nghĩa sau:

3.1.1

Vết lũ (flood footprint)

Dấu vết do lũ gây ra còn để lại (hoặc điều tra được) trên các vật thể tương ứng với độ cao mực nước đỉnh lũ.

3.1.2

Thời gian xuất hiện đỉnh lũ (time of peak flood)

Là thời điểm mực nước lũ đạt giá trị cao nhất.

3.1.3

Xác nhận vết lũ (confirm flood footprint)

Công nhận độ cao của vết lũ trên vật thể bằng mực nước đỉnh lũ điều tra.

3.2 Ký hiệu, đơn vị đo và lấy số có nghĩa

Bảng 1 - Ký hiệu, đơn vị đo và lấy số có nghĩa

Tên các yếu tố

Ký hiệu

Đơn vị

Ký hiệu đơn vị

Mức độ chính xác

Ví dụ về quy tròn

Ghi chú

(1)

(2)

(3)

(4)

(5)

(6)

(7)

Giờ quan trắc yếu tố thủy văn

t

Giờ,

h

Ghi đến 1 phút

0h30

Giờ tính từ 0 đến 23h. Nếu quan trắc đến phút thì ghi đến phút. Nếu phút từ 0 đến 9 thì ghi số 0 vào trước.

 

 

 

 

6h15

 

 

Phút

ph

 

20h08

Thời gian đo tốc độ

T

Giây

s

1 giây

20

57

 

Lượng mưa

X

Milimét

mm

Lấy đến 0,1 mm

4,7

120,5

 

Độ cao

 

 

 

 

 

Khi dẫn thăng bằng, cuối sổ ghi mực nước

1- Mốc

R

Mét

m

Lấy đến 0.001 m

12,425

107,320

2- Cọc,

C

Centimét

cm

 

357

Độ cao sử dụng

Thủy chí,

P

Centimét

cm

Lấy đến 1 cm

1234

 

Thước nước cơ bản

 

Centimét

cm

 

240

 

Thước nước độ dốc

 

Milimét

mm

Lấy đến 1 mm

4000

12703

Độ cao sử dụng

Độ sâu

h

Mét

m

Nhỏ hơn 5 m lấy đến 0,01 m.

Bằng hoặc lớn hơn 5 m lấy đến 0,1 m

0,30

0,67

3,45

5,1

13,2

Dùng khi đo sâu tại thủy trực đo sâu, thủy trực đo tốc độ, độ sâu trung bình giữa hai thủy trục đo sâu khi đo trắc đồ ngang

Độ rộng mặt nước

B

Mét

m

Lấy ba số có nghĩa nhưng không quá 0,1 m

25,6

576

1360

 

Khoảng cách khởi điểm

D

Mét

m

Lấy đến 0,1 m

13,5

87,0

140,5

 

Diện tích mặt cắt ướt

ω

Mét vuông

m 2

Lấy ba số có nghĩa

747

3570

1240

Diện tích: bộ phận, nước tù, giữa hai thủy trực đo tốc độ, mặt cắt (kể cả phần tổng kết và tính toán trong sổ đo lưu lượng)

Tốc độ dòng nước

V

Mét/giây

m/s

Lấy ba số có nghĩa nhưng không quá 0,01 m/s

0,86

3,45

5,02

Tốc độ: điểm đo, trung bình thủy trực, trung bình mặt ngang lấy theo quy định này.

Lưu lượng nước

Q

Mét khối/giây

m 3 /s

Lấy ba số có nghĩa, nhưng không quá 0,001 m 3 /s

0,365

7,06

93,5

843

1150

12400

Lưu lượng nước bộ phận, lưu lượng nước toàn mặt ngang (cả phần tính toán và tổng kết). Lưu lượng nước giờ, lưu lượng nước trung bình ngày lấy theo quy định này.

Độ dốc

I

Phần vạn

10 -4

Lấy hai số có nghĩa, nhưng không quá 0,01

0,96

8,6

 

Hệ số nhám dòng chảy

n

 

 

Lấy đến 0,001

0,082

0,221

 

Tổng lượng dòng chảy

W Q

Nghìn, triệu hoặc tỷ mét khối

10 3 m 3

10 6 m 6

10 9 m 9

Lấy ba số có nghĩa

1,97x10 3 m 3

 

 

89,7x10 9 m 3

Diện tích lưu vực

F

Kilômét vuông

km 2

Lấy ba số có nghĩa, nhưng không quá 0,1 km 2

6,7

86,4

137

7680

37800

 

Mô đun

M

 

l/s.km 2

Lấy ba số có nghĩa, nhưng không quá 0,1 l/s.km 2

9,4

65,7

 

Độ sâu dòng chảy

Y

Milimét

mm

Lấy ba số có nghĩa

475

1270

 

Khoảng cách đến cửa sông

L

Kilômét

km

Lấy đến km

8

32

157

 

4 Quy định chung

4.1 Mục đính, yêu cầu điều tra lũ

4.1.1 Mục đích

- Điều tra, thu thập, xác định các đặc trưng của trận lũ đã xảy ra trong một thời gian nào đó, tại một lưu vực hoặc một đoạn sông nhằm phục vụ cho công tác điều tra cơ bản; dự báo, cảnh báo, phòng chống thiên tai; quy hoạch, tính toán thiết kế công trình; nghiên cứu khoa học, ...;

- Phục vụ quy hoạch và phân vùng kinh tế nông, lâm nghiệp...;

- Phục vụ tính toán, thiết kế công trình.

4.1.2 Yêu cầu

- Xác định đúng khu vực điều tra;

- Xác định đúng các yếu tố cần phải điều tra;

- Lựa chọn hợp lý khoảng thời gian thực hiện điều tra (có thời gian bắt đầu và kết thúc nhiệm vụ điều tra);

- Tổ điều tra lũ phải thảo luận, bàn bạc kỹ các yêu cầu đã đặt ra xây dựng kế hoạch thực hiện một cách chi tiết;

- Điều tra lũ ở những nơi có nhiều khó khăn, nguy hiểm, còn duy trì những phong tục tập quán đặc biệt, người phụ trách Tổ điều tra phải xây dựng một số quy định (nội quy), trình lãnh đạo phê duyệt và phải được phổ biến cho tất cả các thành viên của tổ trước khi đi thực địa.

4.2 Các yếu tố điều tra và tinh toán sau điều tra lũ

4.2.1 Các yếu tố điều tra

- Mực nước đỉnh lũ.

- Thời gian xuất hiện mực nước đỉnh lũ.

- Thiệt hại về người và tài sản do lũ gây ra.

4.2.2 Các yếu tố tính toán sau điều tra

- Lưu lượng nước đỉnh lũ.

- Vùng ngập lụt đoạn sông điều tra ứng với mực nước đỉnh lũ.

4.3 Đánh giá kết quả điều tra lũ

Kết quả điều tra lũ phải được kiểm tra và đánh giá chất lượng.

5 Công tác chuẩn bị trước khi đi thực địa

5.1 Thu thập tài liệu có liên quan

- Các loại bản đồ địa hình quốc gia, thổ nhưỡng, lâm nghiệp, giao thông, hành chính, dân tộc,... có liên quan đến khu vực điều tra, trong đó bản đồ địa hình quốc gia tỷ lệ lớn (1:2.000, 1:5.000 và 1:10.000) của khu vực điều tra là quan trọng và cần thiết nhất;

- Tài liệu về vị trí và độ cao của các mốc độ cao (quốc gia và chuyên ngành) hiện có ở khu vực điều tra. Chọn tài liệu của mốc gần khu vực điều tra, mốc có vật chuẩn dễ phát hiện ở ngoài thực địa;

- Tài liệu về mưa, bão có liên quan đến trận lũ cần điều tra;

- Tài liệu về các trận lũ đã xảy ra tại khu vực điều tra;

- Ảnh vệ tinh khu vực điều tra (trước và sau trận lũ đã xảy ra nếu có);

- Tài liệu có liên quan như: chỉnh biên tài liệu thủy văn; thủy lực; tính toán lưu lượng đỉnh lũ và tổng lượng lũ; các văn bản pháp quy có liên quan và sách báo viết về các trận lũ của khu vực điều tra;

- Tài liệu về tình hình kinh tế, văn hóa, giao thông, thông tin liên lạc, y tế, …, của khu vực điều tra.

5.2 Xây dựng phương án điều tra lũ

5.2.1 Yêu cầu của phương án:

- Có tính khả thi và hiệu quả;

- Bảo đảm kết quả điều tra có độ tin cậy cao nhất;

- Phù hợp với khả năng về phương tiện, thiết bị, máy móc hiện có.

5.2.2 Nội dung phương án

5.2.3.1 Xác định các địa điểm cần điều tra

- Nếu Tổ điều tra lũ có thành viên đã thông thạo địa hình, địa vật khu vực sẽ điều tra lũ thì dự kiến trước các địa điểm cần tập trung điều tra lũ. Những nơi thường lưu giữ được vết lũ lâu dài là:

+ Các vật thể kiến trúc bền vững: tường đình, chùa, lăng, miếu, nhà xây, công sở;

+ Các vách đá trong các hang động, cây cổ thụ ở hai bên bờ sông.

- Trường hợp không có thành viên nào hiểu biết rõ khu vực điều tra thì dùng bản đồ địa hình có tỷ lệ lớn hơn hay bằng 1/25.000 để dự kiến, đánh dấu các địa điểm cần tập trung điều tra vết lũ.

5.2.3.2 Phương tiện, thiết bị và vật dụng cần cho đợt điều tra

- Căn cứ vào vị trí điều tra lũ đã được lựa chọn, Tổ điều tra chuẩn bị máy, thiết bị, vật tư và các vật dụng cần thiết khác để đảm bảo công tác điều tra.

- Phải kiểm kê, kiểm tra tính năng kỹ thuật của từng loại phương tiện, thiết bị trước khi mang đi thực địa.

5.2.3.3 Dự kiến khối lượng công việc điều tra ngoài thực địa

Công việc điều tra ngoài thực địa gồm:

- Điều tra và xác nhận vết lũ;

- Điều tra thời gian xuất hiện đỉnh lũ;

- Điều tra khái quát địa mạo của đoạn sông đã được chọn;

- Xây dựng mốc khống chế, đo tọa độ, độ cao;

- Xác định tọa độ, độ cao vết lũ; đo vẽ mặt cắt ngang, mặt cắt dọc, bản đồ địa hình đoạn sông điều tra;

- Quan trắc lưu lượng nước; độ dốc mặt nước (nếu thấy cần thiết).

5.2.3.4 Dự kiến khối lượng công việc nội nghiệp

Công việc nội nghiệp gồm:

- Hoàn thiện tài liệu địa hình;

- Chỉnh lý số liệu điều tra, đo đạc thủy văn (số liệu điều tra xác nhận vết lũ, các loại biểu đồ, sơ đồ, số liệu quan trắc mực nước, lưu lượng nước; độ dốc mặt nước);

- Tính lưu lượng nước lũ điều tra;

- Lập báo cáo kết quả điều tra lũ.

5.2.3.5 Dự kiến thời gian hoàn thành công việc

Dự kiến thời gian hoàn thành công việc thực địa và thời gian hoàn thành công việc nội nghiệp, viết báo cáo.

6 Điều tra ngoài thực địa

6.1 Điều tra và xác nhận vết lũ

6.1.1 Lựa chọn đoạn sông điều tra lũ

6.1.1.1 Liên hệ, làm việc với chính quyền địa phương để thu thập các thông tin sau

- Tình hình kinh tế, an ninh xã hội của địa phương;

- Phong tục, tập quán của dân cư địa phương;

- Các công trình kiến trúc như: đình, chùa, lăng, miếu, đền, bia và các hang, động ở khu vực điều tra;

- Tên và địa chỉ của các già làng, người cao tuổi làm các nghề có liên quan đến sông nước, hiểu biết về tình hình lũ lụt đã xảy ra trong lịch sử của địa phương;

- Đặc điểm tình hình lũ lụt ở địa phương.

6.1.1.2 Tiến hành khảo sát sơ bộ đoạn sông

- Tìm các mốc độ cao đã lựa chọn trước (nếu có).

- Tìm các công trình kiến trúc, các hang động đã lựa chọn hoặc được chính quyền địa phương giới thiệu.

- Xem xét sự thay đổi lòng sông trong khu vực điều tra, bao gồm:

+ Sự biến đổi độ rộng (B) theo độ dài (L);

+ Bãi bồi, bãi tràn, ghềnh thác;

+ Tình hình nhập lưu, phân lưu.

- Phán đoán những địa điểm vết tích nước lũ còn lưu lại.

- Lựa chọn đoạn sông để tiến hành điều tra chi tiết.

6.1.1.3 Đoạn sông điều tra chi tiết cần thoả mãn các tiêu chuẩn kỹ thuật như sau

- Lòng sông ổn định hoặc tương đối ổn định, so với thời kỳ xảy ra lũ cần điều tra về cơ bản vẫn còn giữ được hình dạng và kích thước cũ.

- Đoạn sông thẳng, cỏ độ dài phải lớn hơn hoặc bằng:

+ Ba lần độ rộng mặt nước trung bình đối với sông ở miền núi;

+ Khoảng cách giữa hai tuyến thước nước độ dốc ( L i 1- i 2 ) đối với sông ở trung du và đồng bằng.

- Đoạn sông khống chế, độ dốc đáy sông không có sự thay đổi đột biến.

- Đoạn sông không có hiện tượng nước tù, nước vật, xuất, nhập lưu lớn hoặc nằm ngoài phạm vi ảnh hưởng của xuất, nhập lưu lớn ở thượng hạ lưu.

- Tùy theo nhiệm vụ điều tra được giao, dựa vào các tiêu chuẩn kỹ thuật nêu trên để phân tích, lựa chọn đoạn sông bảo đảm nhất cho công tác điều tra.

- Trường hợp đoạn sông điều tra đã được xác định cụ thể ngay từ khi giao nhiệm vụ thì những tiêu chuẩn nêu ở trên chỉ có ý nghĩa để phân tích, đánh giá kết quả điều tra.

6.1.2. Điều tra chi tiết vết lũ ở khu vực có dân cư

Điều tra chi tiết vết lũ ở khu vực có dân cư cần có sự phối hợp với chính quyền và nhân dân tại khu vực điều tra. Các biện pháp điều tra chi tiết như sau:

- Gợi ý để những người được hỏi hồi tưởng về các trận lũ xẩy ra trong quá khứ đã gây ấn tượng mạnh đối với họ như: thiệt hại về người và của, quang cảnh ngập lụt khác thường ở hai bên bờ sông, liên tưởng quang cảnh này với các công trình kiến trúc, vật thể do thiên nhiên tạo ra ở hai bên bờ sông hiện vẫn tồn tại, thời gian xẩy ra lũ với thời gian xẩy ra một sự kiện đáng ghi nhớ nào đó;

- Thuyết phục để những người được dò hỏi đưa đến tận nơi, chỉ dẫn tường tận từng vết lũ tại từng vật thể;

- Đối với một vết lũ cần tìm được nhiều người khác nhau chỉ dẫn;

- Khi được người dân chỉ dẫn vết lũ, người điều tra chưa nên khẳng định đúng, sai ngay, trường hợp thấy có những chỗ mâu thuẫn, cần gợi ý thêm thông tin hoặc chuyển sang dò tìm thêm vết lũ tại các vị trí khác;

- Sơ bộ phân tích, tổng hợp, xem xét tính chất hợp lý của thông tin thu thập được trong từng buổi, từng ngày nhằm kịp thời có quyết định: chấm dứt điều tra; tiến hành điều tra thêm hoặc tiến hành điều tra lại;

- Tất cả các thông tin điều tra được ngoài thực địa và những kết luận rút ra trong quá trình điều tra phải được ghi chép kịp thời, đầy đủ, rõ ràng và được lưu giữ.

6.1.3 Điều tra chi tiết vết lũ ở khu vực không khai thác được thông tin (khu vực không có cư dân hoặc có nhưng thưa thớt, không có người rõ về trận lũ đã xảy ra ở địa phương cần điều tra)

6.1.3.1 Các dạng tồn tại của vết lũ

Vết lũ thường tồn tại dưới các dạng sau:

- Dạng 1: Thể hiện sự khác nhau về màu sắc của cùng một vật thể giữa phần bị ngập và phần không bị ngập trong nước lũ;

- Dạng 2: Thể hiện sự khác nhau có hoặc không có chất lơ lửng, vật trôi nổi bám trên bề mặt của vật thể giữa phần bị ngập và phần không bị ngập trong nước lũ;

- Dạng 3: Thể hiện sự khác nhau về thành phần cấu tạo của chất lơ lửng do lũ bồi lắng (trầm tích) với thành phần cấu tạo địa chất, thổ nhưỡng của khu vực điều tra (có thể nhận biết được trực tiếp hoặc phải qua phân tích).

6.1.3.2 Các vật thể, vị trí có thể lưu giữ được vết lũ lâu dài

- Các công trình, vật thể bền vững, ít bị phong hoá.

- Các vách đá, vòm đá trong các hang động ở hai bên bờ sông.

- Các khu vực nước chảy quẩn, tù.

6.1.3.3 Các bước tìm kiếm vết lũ ở thực địa

- Tùy theo đoạn sông điều tra cụ thể mà xác định giới hạn khu vực tìm kiếm phù hợp.

- Tìm những vật có khả năng còn lưu giữ được vết lũ ở hai bên bờ sông trong khu vực đã được giới hạn.

- Tìm vết lũ tồn tại trên các vật thể đã lựa chọn:

+ Tìm vết lũ trên vật thể đã lựa chọn, hoặc quan sát từ một vị trí thích hợp sự khác biệt về màu sắc giữa phần bị ngập và phần không bị ngập trong nước lũ; thông thường màu sắc của phần bị ngập giống màu sắc đặc trưng cho chất lơ lửng của trận lũ đó (hình 1); độ cao đường ranh giới của sự khác biệt bằng độ cao của mực nước lũ cần tìm;

+ Trường hợp không tìm thấy vết lũ tồn tại dưới dạng (1), (2) phải tìm vết lũ tồn tại dưới dạng (3) bằng cách: Định vị một mặt cắt ngang vuông góc với hướng nước chảy, trên cơ sở mặt cắt đó sẽ điều tra phần từ mực nước hiện tại, lấy mẫu phân tích so sánh từ đó tìm ra mực nước đỉnh lũ; nếu tồn tại vết lũ dạng (3) thì mặt cắt có các dạng cơ bản (hình 2a, 2b, 2c).

6.1.3.4 Những điểm cần lưu ý khi điều tra vết lũ

- Những vị trí được che mưa, nắng là những chỗ vết lũ được bảo tồn lâu dài và dễ phát hiện. Vì vậy khi điều tra cần tập trung vào bên trong của các hang động, hõm đá, đền, miếu...

- Khi phải mở lát cắt để tìm vết lũ (dạng 3) cần phán đoán chọn khu vực nước chảy quẩn hoặc nước tù là những khu vực tạo điều kiện để chất lơ lửng trong nước lũ lắng đọng (trầm tích).

- Khi điều tra lũ ở khu vực có người dân để hỏi, nếu khu vực có một số vật thể có nhiều khả năng còn lưu giữ vết lũ, nhưng không có người dân nào còn nhớ, thì vẫn phải tìm vết lũ tồn tại trên các vật thể đó ở dạng 1 hoặc 2 nói trên để có thêm cơ sở lựa chọn, đánh giá độ tin cậy của vết lũ.

Hình 1 - Vết lũ tồn tại trên vật thể (bức tường)

a) Vết lũ được bảo tồn đầy đủ

b) Vết lũ được bảo tồn phần mực nước cao nhất

c) Vết lũ được bảo tồn phần thấp hơn hoặc bằng mực nước cao nhất

Hình 2 - Vết lũ được bảo tồn

6.1.4 Số lượng vết lũ phải điều tra

6.1.4.1 Số lượng vết lũ ít nhất cần được điều tra phụ thuộc vào việc lựa chọn phương pháp tính lưu lượng nước lũ điều tra, trong đó:

- Phương pháp mặt cắt phân giới cần ít nhất một vết lũ;

- Phương pháp độ dốc cần ít nhất hai vết lũ;

- Phương pháp đường cong mặt nước cần ít nhất ba vết lũ.

6.1.4.2 Số lượng vết lũ nhiều nhất cần được điều tra không hạn chế; nhưng để cân đối giữa độ chính xác của kết quả với khối lượng công việc tính toán và xác nhận, không chọn quá mười vết lũ để đưa vào biểu xác nhận vết lũ.

6.1.5 Độ dài đoạn sông phải điều tra vết lũ

6.1.5.1 Độ dài đoạn sông ngắn nhất phải điều tra vết lũ để tính lưu lượng nước lũ điều tra:

L = L i 1- i2 , (đối với sống ở trung du và đồng bằng);

L= 3B (đối với sông ở miền núi).

Trong đó:

L - Độ dài đoạn sông phải điều tra được vết lũ (m);

L i 1- i 2 , - Khoảng cách giữa hai tuyến thước nước độ dốc trên, dưới, hoặc khoảng cách quan trắc được độ dốc mặt nước (m);

B - Độ rộng mặt nước trung bình (m).

6.1.5.2 Độ dài đoạn sông dài nhất phải điều tra vết lũ để tính lưu lượng nước lũ là không giới hạn, nhưng phải đảm bảo các yếu tố thủy lực cơ bản của mặt cắt trên và dưới có quan hệ với nhau, thỏa mãn điều kiện áp dụng của phương pháp tính lưu lượng nước lũ điều tra.

6.1.6 Đánh dấu xác nhận vết lũ

6.1.6.1 Sử dụng các công trình kiến trúc hoặc các vật bền vững để đánh dấu xác nhận vết lũ, trường hợp không sử dụng được phải chôn cọc bê tông để đánh dấu xác nhận vết lũ. Quy định đánh dấu xác nhận vết lũ như sau:

- Sơn một vạch sơn đỏ nằm ngang có độ cao bằng mực nước lũ điều tra.

- Phía trên vạch sơn:

+ Bên trái ghi số hiệu vết lũ (gồm: phần chữ viết tắt của tên sông và phần số là số thứ tự của vết lũ trong đoạn sông điều tra);

+ Bên phải ghi thời gian lũ xuất hiện: Tháng ... năm...

- Phía dưới vạch sơn:

+ Bên trái ghi tên cơ quan thực hiện điều tra;

+ Bên phải ghi thời gian xác nhận vết lũ ngày.. tháng.. năm...(hình 3).

Hình 3 - Mẫu đánh dấu vết lũ

6.1.6.2 Đối với những vết lũ xét thấy có ý nghĩa quan trọng có thể khắc hình lên vật thể trước khi sơn vạch ngang đánh dấu vết lũ và tăng cường thêm các biện pháp để bảo vệ.

6.2 Điều tra thời gian xuất hiện đỉnh lũ

6.2.1 Điều tra thời gian xuất hiện lũ bằng cách tìm liên hệ giữa thời gian xuất hiện đỉnh lũ với thời gian xảy ra sự kiện gây ấn tượng sâu sắc trong ký ức của người được hỏi như: các sự kiện chính trị, kinh tế, văn hóa lớn; các sự kiện tôn giáo, phong tục ...

6.2.2 Điều tra thời gian xuất hiện đỉnh lũ bằng cách dựa vào sự nghiên cứu, khai thác các tài liệu, các văn kiện có liên quan đến thời gian lũ xuất hiện đỉnh lũ còn lưu giữ ở các cơ quan, từ đó xác định được thời gian xuất hiện đỉnh lũ.

6.2.3 Đối với trường hợp điều tra lũ mới xảy ra cần xác định chính xác thời gian xuất hiện đỉnh lũ. Còn đối với trường hợp lũ đã xảy ra quá lâu thì có thể hoặc không thể điều tra được chính xác thời gian xuất hiện đỉnh lũ.

6.3 Điều tra khái quát địa mạo đoạn sông

6.3.1 Điều tra diễn biến thay đổi của lòng sông theo thời gian từ khi xuất hiện lũ điều tra ở các nội dung sau:

- Độ rộng, độ cao đáy sông của đoạn sông điều tra;

- Thành phần cấu tạo địa chất đáy sông (bùn, đất, cát, sỏi cuội) của đoạn sông điều tra;

- Bãi nổi, bãi tràn;

- Thực vật ở hai bên bờ sông và đáy sông;

- Hướng chảy hiện tại so với thời kỳ xuất hiện lũ điều tra.

6.3.2 Những đoạn sông khống chế, tương đối thẳng, đáy và hai bên bờ có kết cấu địa chất vững chắc, có thể coi địa mạo của đoạn sông đó thay đổi không đáng kể theo thời gian.

6.4 Điều tra thiệt hại về người và của do lũ gây ra

6.4.1 Khai thác thông tin từ người dân ở hai bên sông về thiệt hại (người và của) do lũ gây ra.

6.4.2 Thu thập thông tin tài liệu về thiệt hại (người và của) do lũ gây ra từ các cấp chính quyền và từ các cơ quan thông tin đại chúng.

7 Đo đạc ngoài thực địa

7.1 Khu vực đo đạc địa hình

7.1.1 Khu vực đo đạc địa hình là khu vực đoạn sông điều tra được lựa chọn để xác nhận vết lũ.

7.1.2 Độ dài của khu vực đo đạc địa hình được lựa chọn:

- Phía thượng lưu đo lên tới phía trên vị trí vết lũ trên cùng từ 50 ÷ 100 mét (tùy thuộc địa hình).

- Phía hạ lưu đo xuống tới phía dưới vị trí vết lũ dưới cùng (hoặc mặt cắt phân giới) từ 50 ÷ 100 mét (tùy thuộc địa hình).

7.1.3 Độ rộng của khu vực đo đạc địa hình được đo tới giới hạn:

- Cao hơn mực nước lũ điều tra từ một mét trở lên cho cả hai bên bờ sông đối với sông ở miền núi.

- Cao bằng mực nước lũ điều tra trở lên cho cả hai bên bờ sông đối với sông ở trung du và đồng bằng.

7.2 Đo dẫn tọa độ, độ cao

7.2.1 Mốc tọa độ, độ cao

7.2.1.1 Trường hợp sử dụng được mốc độ cao (quốc gia và chuyên ngành) đã có sẵn ở khu vực điều tra phải ghi rõ vị trí, ký hiệu, trị số độ cao, hệ độ cao, đơn vị quản lý và sử dụng mốc này làm mốc xuất phát.

7.2.1.2 Trường hợp không sử dụng được mốc độ cao (quốc gia và chuyên ngành) có sẵn ở khu vực điều tra để làm mốc xuất phát phải xây dựng mốc độ cao:

- Mốc phải được xây dựng ở nơi có nền địa chất chắc chắn, ổn định. Trong trường hợp đặc biệt, khó khăn có thể dùng mốc gắn trên các vật thể, công trình chắc chắn, ổn định.

- Có thể giả định độ cao của mốc hoặc đo dẫn tọa độ và độ cao cho mốc:

+ Tọa độ: Hệ tọa độ VN2000, kinh tuyến trục địa phương, múi chiếu 3 độ;

+ Độ cao: Hệ độ cao quốc gia.

- Quy cách mốc và chữ số trên mặt mốc:

+ Mốc chôn bằng bê tông, có tâm là núm sứ hoặc tâm thép;

+ Kích thước mốc: 30 cm x 30 cm x 30 cm (dài, rộng, cao);

+ Chữ trên mặt mốc được khắc như sau: cao 3 cm, rộng 2 cm, sâu 0,5 cm, lực nét 0,5 cm;

+ Khi chôn mốc, phần chữ tên sông quay ra hướng sông, suối, kênh, rạch...;

+ Tên sông.

VÍ DỤ: Sông Thái Bình viết là “S.THÁI BÌNH”. Sông Cầu viết tắt là “S.CẦU”; Sông Cả viết tắt là "S.CẢ"…;

+ Ký hiệu điểm: Bờ trái (Bờ phải) ký hiệu là T (P), dấu gạch (-), tên tuyến đo (Q,l...), số thứ tự mốc chôn (1,2...).

VÍ DỤ: Ký hiệu “T-Q1” được hiểu là Bờ trái, tuyến đo lưu lượng (Q), mốc thứ 1.

Hình 4 - Quy cách xây và cách viết chữ trên mốc

7.2.2 Xác định các điểm khống chế

Từ khu vực đoạn sông đã được lựa chọn để đo đạc, xác định các điểm khống chế. Các điểm khống chế phải phân bố đều trong khu vực điều tra, khảo sát.

7.2.3 Đo tọa độ, độ cao

Từ mốc xuất phát truyền dẫn tọa độ, độ cao tới các điểm khống chế, các vết lũ đã được xác nhận theo yêu cầu kỹ thuật sau:

7.2.4.1 Đo nối tọa độ

Đo tọa độ các điểm khống chế, vết lũ trong khu vực điều tra: Áp dụng theo TCVN 8224:2009 Công trình thủy lợi - Các quy định chủ yếu về lưới khống chế mặt bằng địa hình.

7.2.4.2 Đo nối độ cao

- Đối với khu vực đồng bằng, trung du các điểm khống chế, mặt cắt được đo dẫn thủy chuẩn hạng IV: Áp dụng theo TCVN 8225:2009 Công trình thủy lợi - Các quy định chủ yếu về lưới khống chế cao độ địa hình.

- Đối với khu vực địa hình miền núi, địa hình khó khăn, khoảng cách từ khu vực điều tra đến điểm độ cao Nhà nước hạng I, II, III > 20km thì làm như sau:

+ Đo dẫn thủy chuẩn kỹ thuật vào một mốc khống chế bất kỳ;

+ Các mốc khống chế còn lại trong khu vực điều tra được đo dẫn độ cao bằng phương pháp thủy chuẩn hạng IV (Áp dụng theo TCVN 8225:2009 Công trình thủy lợi - Các quy định chủ yếu về lưới khống chế cao độ địa hình);

+ Sử dụng độ cao điểm được đo nối độ cao Nhà nước bằng thủy chuẩn kỹ thuật làm điểm khởi tính để tính toán bình sai cho lưới độ cao trong khu vực điều tra.

7.3 Đo mặt cắt ngang

7.3.1 Lựa chọn mặt cắt ngang và tỷ lệ đo, vẽ

7.3.1.1 Lựa chọn mặt cắt ngang

Mặt cắt ngang phải vuông góc với hướng của dòng chủ lưu. Lựa chọn trên bản đồ, kết hợp quan sát thế địa hình hai bên bờ sông, phán đoán hướng của chủ lưu, trên cơ sở đó xác định vị trí, hướng của mặt cắt ngang.

7.3.1.2 Tỉ lệ đo, vẽ

Mặt cắt ngang trong khu vực điều tra được áp dụng chung một tỷ lệ đo, vẽ. Căn cứ mặt cắt ngang nhỏ nhất trong khu vực điều tra làm cơ sở để chọn tỷ lệ đo, vẽ cho tất cả các mặt cắt ngang trong khu vực điều tra. Mặt cắt ngang phải được vẽ từ bờ trái sang bờ phải.

Bảng 2 - Tỷ lệ đo vẽ mặt cắt ngang

Độ rộng B (m)

B< 150

150 ≤ B < 300

300≤ B < 500

B≥ 500

Tỷ lệ

Đứng 1/200

Đứng 1/200

Đứng 1/200

Đứng 1/200

Ngang 1/500

Ngang 1/1000

Ngang 1/2000

Ngang 1/5000

7.3.2 Giới hạn phạm vi ở hai bên bờ sông khi đo mặt cắt ngang

- Đối với sông ở miền núi đo tới độ cao cao hơn mực nước lũ điều tra từ một mét trở lên.

- Đối với sông ở trung du và đồng bằng đo tới độ cao bằng hoặc cao hơn mực nước lũ điều tra.

7.3.3 Xác định độ cao của các điểm trên mặt cắt ngang

- Các điểm khống chế (khởi điểm) được xác định độ cao theo yêu cầu kỹ thuật đo chênh lệch độ cao hạng IV Nhà nước.

- Độ cao các điểm khác của mặt cắt ngang trên cạn được xác định bằng máy toàn đạc điện tử hoặc hệ thống định vị vệ tinh GNSS có độ chính xác đảm bảo yêu cầu công tác đo vẽ theo quy định hiện hành.

- Độ cao các điểm dưới nước được đo bằng sào đo sâu hoặc tời đo sâu hoặc máy hồi âm đo sâu. Những vị trí mực nước thấp không đo được bằng máy thì đo trực tiếp bằng mía; xác định vị trí điểm đo hồi âm bằng máy toàn đạc điện tử với hệ thống gương chùm hoặc bằng các thiết bị định vị vệ tinh tự động; Đo hồi âm phải đo hai lượt đi và về, số liệu đo sâu của máy hồi âm được ghi liên tục.

7.3.4 Số lượng mặt cắt ngang

Lựa chọn ít nhất 3 mặt cắt ngang chính khu vực điều tra. Khoảng cách giữa hai mặt cắt ngang chính liên tiếp từ 50 mét đến 300 mét tùy thuộc địa hình, bố trí mặt cắt ngang đi qua vết lũ hoặc càng gần vết lũ càng tốt.

7.3.5 Mật độ điểm đo mặt cắt ngang phần trên cạn và phần dưới nước

7.3.5.1 Khoảng cách giữa hai điểm đo liên tiếp bất kỳ tùy thuộc vào tỷ lệ đo vẽ, sự biến đổi của địa hình. Tại những vị trí địa hình biến đổi đột ngột phải bố trí điểm đo, khu vực địa hình biến đổi nhiều phải bố trí nhiều điểm đo. Khu vực tương đối bằng phẳng thì đo theo tỷ lệ ngang bản vẽ, đảm bảo không quá 1,5 cm trên bản vẽ phải có một điểm đo trở lên.

7.3.5.2 Giới hạn sai số điểm đo chi tiết:

- Sai số vị trí điểm là ≤ 0,2 mm x M (M : là mẫu số tỷ lệ đo vẽ mặt cắt);

- Sai số độ cao là ≤ 1/4 x h (h: Khoảng cao đều của đường bình độ).

7.3.6 Một số lưu ý khi đo mặt cắt ngang

7.3.6.1 Khi đo mặt cắt ngang phải điều tra sự phân bố tốc độ, chất tạo lòng, sự phân bố thực vật,... để làm cơ sở xác định các tham số tính toán khi tính lưu lượng nước lũ điều tra.

7.3.6.2 Giữa hai mặt cắt ngang chính, khi các yếu tố độ rộng (B) hoặc độ sâu (h) biến đổi không theo quy luật chung thì phải đo bổ sung thêm một hoặc hai mặt cắt ngang phụ tại khu vực có độ rộng hoặc độ sâu thay đổi nhiều nhất. Đo mặt cắt ngang phụ như sau:

- Cách đo đạc, xác định hướng giống như đo mặt cắt ngang chính;

- Giới hạn độ cao khi đo mặt cắt ngang phụ: Cao hơn mép nước tại thời điểm đo từ 0,50 mét trở lên (tùy thuộc địa hình);

- Khoảng cách giữa hai mặt cắt ngang phụ: Tùy thuộc sự biến đổi của độ rộng và độ sâu.

7.3.7 Xác định đường mép nước

Cách đánh dấu mép nước trong thời gian đo đạc như sau:

- Chọn thời gian mực nước ít biến đổi;

- Xác định thời điểm đánh dấu;

- Dùng cọc gỗ đóng đúng vị trí mép nước ở mặt cắt ngang, sao cho độ cao đầu cọc ngang bằng mực nước;

- Vào thời điểm đánh dấu đã xác định, đồng loạt đánh dấu mép nước hai bên bờ của tất cả các mặt cắt ngang chính, phụ;

- Xác định vị trí, độ cao của các điểm đã đánh dấu ở các mặt cắt ngang trên bình đồ khu vực điều tra.

7.4 Đo đạc địa hình khu vực đoạn sông điều tra

7.4.1 Giới hạn phạm vi đo vẽ

Giới hạn phạm vi đo đạc khu vực điều tra được thực hiện theo các quy định tại Điều 7.1 Tiêu chuẩn này.

7.4.2 Đo đạc địa hình phần cạn

- Điểm đo là điểm đặc trưng của dáng địa hình trên cạn, khu vực tương đối bằng phẳng thì đo theo tỷ lệ bản vẽ, đảm bảo không quá 2 cm trên bản vẽ phải có một điểm đo trở lên.

- Bản đồ phải thể hiện đầy đủ yếu tố địa vật, địa mạo theo đúng quy định cho từng loại tỷ lệ đo, vẽ.

- Giới hạn phạm vi đo vẽ hai bên bờ:

+ Đối với sông ở miền núi đo tới độ cao cao hơn mực nước lũ điều tra từ 1 m trở lên;

+ Đối với sông ở trung du, đồng bằng đo tới độ cao bằng hoặc cao hơn mực nước lũ điều tra.

7.4.3 Đo đạc địa hình phần dưới nước

Điểm đo là điểm đặc trưng của hình dáng địa hình đáy sông, khu vực tương đối bằng phẳng thì đo theo tỷ lệ ngang bản vẽ, đảm bảo không quá 2 cm trên bản vẽ phải có 1 điểm đo trở lên.

7.4.4 Tỉ lệ đo, vẽ bản đồ địa hình trong khu vực điều tra phần cạn và nước được sử dụng chung một tỷ lệ đo, vẽ và khoảng cao đều

Bảng 3 - Tỷ lệ đo vẽ và khoảng cao đều

Chiều dài đoạn sông điều tra L (m)

L< 100

100 ≤ L< 500

500≤ L< 1000m

L ≥ 1000m

Tỷ lệ đo, vẽ

1/500

1/1000

1/2000

1/5000

Khoảng cao đều (m)

0,5

0,5

1

1

7.4.5 Giới hạn sai số điểm đo chi tiết

- Sai số vị trí điểm là ≤ 0,2 mm x M (M: Mẫu số tỷ lệ đo vẽ bản đồ);

- Sai số độ cao là ≤ 1/4 x h (h: Khoảng cao đều của đường bình độ).

7.5 Quan trắc lưu lượng nước, độ dốc mặt nước

7.5.1 Việc quan trắc lưu lượng nước và độ dốc mặt nước chỉ tiến hành khi

- Cần xác định hệ số nhám từ tài liệu thực đo lưu lượng nước và độ dốc mặt nước;

- Cần có thêm tài liệu thực đo để đánh giá kết quả tính lưu lượng nước điều tra.

7.5.2 Lựa chọn tuyến quan trắc lưu lượng nước, tuyến quan trắc độ dốc mặt nước

Thực hiện theo Quy định tại Điều 7 TCVN 12635-2:2019.

7.5.3 Quan trắc lưu lượng nước, độ dốc mặt nước

- Quan trắc lưu lượng nước thực hiện theo Quy định tại Điều 6 và Điều 7 TCVN 12636-8:2020.

- Quan trắc độ dốc mặt nước thực hiện theo Quy định tại Điều 4 TCVN 12636-2:2019.

- Căn cứ vào mục đích quan trắc, cơ quan tổ chức điều tra lũ quy định số lần quan trắc và bố trí quan trắc lưu lượng nước, biên độ mực nước cần phải quan trắc lưu lượng nước.

8 Chỉnh lý tài liệu điều tra, đo đạc

8.1 Chỉnh lý số liệu điều tra và xác nhận vết lũ

8.1.1 Cách phân tích, so sánh, kiểm tra tính chất hợp lý giữa các vết lũ với nhau như sau

- Mực nước ở thượng lưu phải cao hơn mực nước ở hạ lưu, nếu ngược lại phải xem xét điều kiện thủy lực của đoạn sông và kiểm tra lại kết quả điều tra vết lũ;

- Ở đoạn sông thẳng, mực nước ở hai bờ sông đối diện phải bằng nhau, ở đoạn sông cong mực nước bên bờ lõm cao hơn bờ lồi;

- Ở một địa điểm nếu có sự khác nhau giữa mực nước lũ điều tra bằng cách hỏi người dân (nhưng không có bằng chứng) và bằng dò tìm thì mực nước lũ điều tra được bằng dò tìm đáng tin cậy hơn;

- Tại một địa điểm nếu có sự khác nhau giữa mực nước lũ điều tra được trên vật thể bền vững và trên vật thể ít bền vững hơn thì mực nước lũ điều tra được trên vật thể bền vững đáng tin cậy hơn;

- Trong những vết lũ thu thập được, đa số vết lũ có quan hệ với nhau một cách hợp lý, số còn lại không có quan hệ hợp lý, thì những vết lũ có quan hệ hợp lý đáng tin cậy hơn (luật số đông).

8.1.2 Đánh giá độ tin cậy của từng vết lũ theo ba cấp độ

8.1.2.1 Tin cậy

- Có vết lũ rõ rệt;

- Vết lũ ở cùng một vị trí do nhiều người được hỏi độc lập đã chỉ dẫn như nhau hoặc sai khác nhau không quá 20 cm;

- Có quan hệ hợp lý với các vết lũ tin cậy khác cùng khu vực điều tra.

8.1.2.2 Tương đối tin cậy

- Có tồn tại vết lũ nhưng không rõ rệt;

- Vết lũ ở cùng một vị trí do nhiều người được hỏi đã chỉ dẫn có sự khác nhau, sự khác nhau (ΔH) trong khoảng: 20 cm < ΔH ≤ 50 cm.

8.1.2.3 Tham khảo

- Chỉ có một hoặc hai người chỉ dẫn nhưng không tìm được dấu vết lũ;

- Vết lũ ở cùng một vị trí do nhiều người được hỏi đã chỉ dẫn có sự sai khác nhau, sự khác nhau (ΔH) trong khoảng: 50 cm < ΔH ≤ 100 cm.

8.1.3 Lập biểu xác nhận vết lũ (Biểu 1 Phụ lục A Tiêu chuẩn này)

Nguyên tắc lập biểu xác nhận vết lũ như sau:

- Cùng một địa điểm điều tra được nhiều vết lũ khác nhau ở các vật thể khác nhau, theo các phương pháp khác nhau, có độ tin cậy khác nhau thì:

+ Đưa vết lũ có cấp độ tin cậy cao nhất vào biểu xác nhận vết lũ;

+ Hai vết lũ có cấp độ tin cậy như nhau, thì đưa vết lũ ở vật thể có độ bền vững cao hơn vào biểu xác nhận vết lũ.

- Khoảng cách tốt nhất giữa hai vết lũ được xác nhận liền kề nhau là từ 100 - 500 mét.

- Số lượng vết lũ đưa vào biểu thống kê xác nhận vết lũ thực hiện theo các quy định tại Điều 6.1.4 Tiêu chuẩn nảy.

- Tất cả các vết lũ thu thập được trong quá trình điều tra, dù không được đưa vào biểu thống kê xác nhận vết lũ, cũng phải lưu giữ tới khi báo cáo kết quả điều tra lũ được chấp nhận.

8.2 Kiểm tra số liệu đo dẫn độ cao

- Kiểm tra tính hợp lý, hợp pháp của mốc tọa độ, độ cao Nhà nước được đưa vào tính toán.

- Kiểm tra tính hợp lý của số liệu đo đạc.

- Kiểm tra kết quả tính toán, bình sai.

- Kiểm tra ghi chú điểm.

8.3 Chỉnh lý số liệu đo mặt cắt ngang, mặt cắt dọc

8.3.1 Kiểm tra số liệu đo mặt cắt ngang, dọc

- Kiểm tra số đo, file đo, tọa độ, độ cao mốc mặt cắt;

- Kiểm tra tính đầy đủ, hợp lý của số liệu đo đạc;

- Kiểm tra số liệu đo phần ướt.

8.3.2 Vẽ mặt cắt ngang

Thực hiện theo Quy định tại Điều 5.2 TCVN 12636-15:2021 và Quy định tại Điều 7.4 Tiêu chuẩn này.

8.3.3 Nội suy mực nước lũ điều tra tại mặt cắt ngang không có vết lũ

Khi vị trí vết lũ không trùng với vị trí mặt cắt ngang, phải nội suy tuyến tính mực nước lũ điều tra tại mặt cắt ngang, cách nội suy như sau:

- Xác định vị trí các mặt cắt ngang có chứa vết lũ phía trên và phía dưới mặt cắt ngang cần nội suy mực nước lũ điều tra lên cùng một bản vẽ mặt cắt dọc;

- Xác định mực nước lũ điều tra tại hai vị trí mặt cắt ngang có vết lũ tương ứng;

- Đường thẳng nối hai điểm mực nước nói trên cắt mặt cắt ngang phải nội suy mực nước, độ cao của giao điểm chính là mực nước cần phải nội suy (hình 5).

Hình 5 - Nội suy mực nước lũ điều tra tại mặt cắt ngang không có vết lũ.

8.3.4 Vẽ mặt cắt dọc đoạn sông

- Trục tung biểu thị:

+ Mực nước lũ điều tra;

+ Mực nước lũ tính toán;

+ Mực nước lúc đo mặt cắt ngang;

+ Độ cao đáy sông.

- Trục hoành biểu thị:

+ Khoảng cách giữa hai mặt cắt liên tiếp;

+ Khoảng cách cộng dồn tính từ mặt cắt trên cùng (ứng với “0” mét) đến các mặt cắt tiếp theo; mặt cắt kết thúc là mặt cắt dưới cùng;

+ Cấu tạo địa chất đáy tại mỗi đoạn sông.

- Các đường mặt nước cần thể hiện bằng các ký hiệu hoặc các màu khác nhau để dễ nhận biết (hình 6).

Hình 6 - Mặt cắt dọc đoạn sông

8.4 Chỉnh lý số liệu đo địa hình

8.4.1 Tính toán, xử lý số liệu địa hình

8.4.2 Trên bản đồ địa hình ngoài đường đẳng cao còn phải biểu thị các nội dung sau:

- Đường mép nước trong thời gian đo đạc và thời gian xuất hiện mực nước đỉnh lũ điều tra (dùng các màu khác nhau để biểu thị);

- Vị trí các vết lũ tin cậy đã được xác nhận;

- Vị trí nhập lưu của các suối (nếu có);

- Khu vực dân cư, địa vật, thực vật và vật kiến trúc;

- Vị trí các mặt cắt ngang chính, phụ;

- Vị trí mốc xuất phát.

8.4.3 Khi vẽ bản đồ địa hình khu vực điều tra lũ, tùy theo độ rộng của khu vực đo vẽ mà lựa chọn tỷ lệ 1/1000 hoặc 1/2000 cho phù hợp.

8.4.4 Căn cứ vào độ dốc địa hình và tỷ lệ bản đồ địa hình mà chọn một trong các khoảng chênh cao đều như sau: 0,5 mét; 1,0 mét.

8.5 Xác định vùng ngập lụt

8.5.1 Trên bản đồ địa hình, vùng ngập lụt của đoạn sông điều tra là miền liên thông được giới hạn bởi

- Mặt cắt ngang trên cùng;

- Mặt cắt ngang dưới cùng;

- Đường mép nước lũ phía phải;

- Đường mép nước lũ phía trái.

8.5.2 Xác định diện tích vùng ngập lụt của đoạn sông điều tra bằng cách đo diện tích của miền liên thông.

Có cách đo diện tích như sau:

- Dùng máy đo diện tích;

- Dùng phương pháp quy về ô vuông;

- Dùng các phần mềm chuyên dụng để xác định diện tích vùng ngập lụt.

8.6 Chỉnh lý số liệu quan trắc lưu lượng nước, độ dốc mặt nước

8.6.1 Chỉnh lý số liệu quan trắc lưu lượng nước

Thực hiện theo các quy định tại TCVN 12636-15:2023, Phần 15: Chỉnh biên tài liệu lưu lượng nước sông vùng không ảnh hưởng thủy triều.

8.6.2 Chỉnh lý số liệu độ dốc mặt nước

Thực hiện theo các quy định tại TCVN 12636-14:2023, Phần 14: Chỉnh biên tài liệu mực nước và nhiệt độ nước sông.

9 Các phương pháp tính lưu lượng lũ điều tra và điều kiện áp dụng

9.1 Phương pháp kéo dài đường quan hệ mực nước và lưu lượng nước

9.1.1 Điều kiện áp dụng

Phương pháp này chỉ áp dụng cho trường hợp:

- Vị trí điều tra không đo được lưu lượng nước ở phần mực nước cao;

- Quan hệ mực nước lưu lượng nước của vị trí điều tra ở phần mực nước cao là đơn nhất;

- Vị trí điều tra có quan trắc độ dốc mặt nước (I);

- Mực nước của vị trí điều tra có thể là trị số đo đạc hoặc điều tra hoặc có thể kéo dài đường mặt nước từ khu vực điều tra đến mặt cắt đo mực nước trong điều kiện cho phép.

9.1.2 Tính toán lưu lượng lũ sau điều tra

9.1.2.1 Sử dụng công thức thủy lực Sedi - Manning để kéo dài quan hệ mực nước lưu lượng nước:

Trong đó:

Q - Lưu lượng nước (m 3 /s);

ω - Diện tích mặt cắt ướt (m 2 );

n - Hệ số nhám (s/m 1/3 );

R - Bán kính thủy lực trong tính toán lấy R = h bq = ω/ B (m);

B - Độ rộng mặt nước (m);

h bq - Độ sâu trung bình của mặt cắt ướt (m);

I - Độ dốc mặt nước (°/ ooo ).

9.1.2.2 Trường hợp tại vị trí điều tra có đủ tài liệu độ dốc mặt nước (I) và hệ số nhám (n) ở phần mực nước cao

a) Xây dựng quan hệ mực nước với các yếu tố lưu lượng nước; diện tích mặt cắt ướt; bán kính thủy lực; độ dốc mặt nước; hệ số nhám (H~Q; H~ω; H~R; H~l; H~n).

b) Chia đoạn mực nước cần phải kéo dài của đường quan hệ mực nước với lưu lượng nước thành nhiều cấp, mỗi cấp cách nhau 5 hoặc 10 cm. Từ trị số mực nước của mỗi cấp, xác định các trị số ω, R, n, I tương ứng, thay các trị số vừa xác định được vào (1) tính được các trị số Q tương ứng;

c) Chấm các điểm quan hệ (H, Q) lên biểu đồ quan hệ H~Q. Dựa vào các điểm vừa chấm để định đường quan hệ H~Q kéo dài. Từ H điều tra xác định được Q điều tra .

CHÚ THÍCH: Nếu mặt cắt ngang có diện tích nước tù, thì diện tích mặt cắt ngang tính toán phải trừ đi diện tích phần nước tù; độ rộng mặt cắt ngang tính toán phải trừ đi độ rộng phần nước tù.

9.1.2.3 Trường hợp có tài liệu độ dốc (I) nhưng không có tài liệu hệ số nhám (n) ở phần mực nước cao

a) Kéo dài theo xu thế đường quan hệ mực nước hệ số nhám (H~n) tới trị số H đ i ều tra .

b) Xác định Q điều tra như Điều 9.1.2.2.

9.1.2.4 Trường hợp không có tài liệu hệ số nhám (n) và độ dốc (I) ở phần mực nước cao

a) Kéo dài theo xu thế đường quan hệ mực nước độ dốc mặt nước (H~l) và đường quan hệ mực nước hệ số nhám (H~n) tới trị số H điều tra .

b) Xác định Q điều tra như Điều 9.1.2.2.

Hình 7 - Quan hệ mực nước hệ số nhám (H~n)

Hình 8 - Quan hệ mực nước độ dốc mặt nước (H~I)

CHÚ THÍCH:

- Thông thường quan hệ mực nước với hệ số nhám (H~n) là nghịch biến; phần nước cao hệ số nhám thay đổi rất ít (hình 7).

- Thông thường quan hệ mực nước với độ dốc mặt nước (H~l) là đồng biến; phần nước cao độ dốc thay đổi rất ít (hình 8).

- Hệ số nhám (n) có thể dùng tài liệu thực đo để tính hoặc dựa vào địa mạo của đoạn sông tra ở các bảng 1,2,3 Phụ lục B.

9.2 Phương pháp độ dốc

9.2.1 Điều kiện áp dụng

- Đoạn sông tính toán thẳng hoặc tương đối thẳng (tương đối thẳng là hướng chảy của chủ lưu ở mặt cắt trên và ở mặt cắt dưới không chênh nhau quá 15°);

- Phải có từ 2 vết lũ trở lên được xác nhận;

- Khoảng cách từ vết lũ trên cùng đến vết lũ dưới cùng không ngắn hơn khoảng cách giữa hai tuyến độ dốc (I 1 và I 2 );

- Trong đoạn sông không có xuất, nhập lưu lớn;

- Quan hệ giữa các yếu tố thủy lực cơ bản của hai mặt cắt trên cùng và dưới cùng thoả mãn bất đẳng thức:

Trong công thức (2):

C - Hệ số Sedi;

Q; ω; R; I xem Điều 9.1.2 Tiêu chuẩn này.

CHÚ THÍCH: Công thức (2) là lấy vi phân toàn phần của công thức Sedi- Manning, sau đó chuyển qua dạng sai phân tương đối của hai mặt cắt trên cùng, dưới cùng.

9.2.2 Tính toán lưu lượng lũ sau điều tra

9.2.2.1 Từ phương trình vi phân cơ bản của dòng chảy ổn định trong sông thiên nhiên, chuyển về dạng sai phân viết cho hai mặt cắt trên và dưới:

Biến đổi (3) thành:

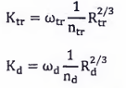
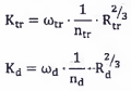
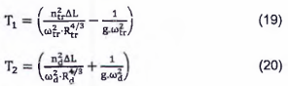
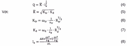
Trong các công thức (3), (4), (5), (6), (7), (8):

H t r - Mực nước ở mặt cắt trên (m);

H d - Mực nước ở mặt cắt dưới (m);

ΔH - Chênh lệch mực nước giữa mặt cắt trên và mặt cắt dưới (m);

Q - Lưu lượng nước trung bình ở đoạn sông (m 3 /s);

ΔL - Khoảng cách giữa hai mặt cắt trên và dưới (m);

α - Hệ số biến đổi của động năng do sự biến đổi của tốc độ (trong tính toán thường lấy α = 1);

V tr , V d - Tốc độ nước trung bình tại mặt cắt trên, dưới (m/s);

ξ - Hệ số tổn thất cục bộ biến đổi từ (-1 ÷ 0). Khi V d > V tr thì ξ=0. Khi V d ≤ V tr thì đo đạc để xác định ξ, trong tính toán khi V d <V tr thường lấy ξ = - 0,50;

g - Gia tốc trọng trường, g = 9,81 (m/s 2 );

K - Hệ số xuất nước của mặt cắt hay modul lưu lượng mặt cắt (m 3 /s);

K tr - Mô đun lưu lượng mặt cắt trên (m 3 /s);

K d - Mô đun lưu lượng mặt cắt dưới (m 3 /s);

- Mô đun lưu lượng trung bình của hai mặt cắt trên và dưới (m 3 /s);

I e - Hệ số năng lượng hay độ dốc năng lượng (độ dốc thủy lực);

n - Hệ số nhám;

R tr , R d - Bán kính thủy lực tại mặt cắt trên, dưới. Trong tính toán lấy R = h bq = ω/B (m);

ΔV 2 = V 2 tr - V 2 d .

9.2.2.2 Tính hệ số

a) Dựa vào mực nước lũ điều tra, kết quả đo mặt cắt ngang, tính các đặc trưng mặt ngang (ω, R) tương ứng với mực nước lũ điều tra tại mỗi mặt cắt.

b) Xác định hệ số nhám của từng mặt cắt bằng cách:

- Dựa vào kết quả điều tra địa mạo đoạn sông, tra bảng tra hệ số nhám tại Phụ lục B Tiêu chuẩn này;

- Từ tài liệu thực đo tính ra hệ số nhám hoặc tra ra hệ số nhám từ quan hệ H~n.

c) Tính K tr theo (6); K d theo (7); theo (5).

9.2.2.3 Tính độ dốc mặt nước theo công thức:

9.2.2.4 Tính gần đúng lưu lượng nước lần thứ nhất theo công thức:

9.2.2.5 Từ Q 1 vừa tính và ω tr , ω d đã biết. Tính tốc độ nước trung bình tại các mặt cắt, từ đó tính độ dốc năng lượng I e theo công thức (8).

9.2.2.6 Từ trị số độ dốc năng lượng I e vừa tính được. Tính lưu lượng nước theo công thức (4) được lưu lượng nước Q 2 .

9.2.2.7 Kiểm tra kết quả theo bất đẳng thức

nếu (11) thoả mãn thì Q 2 là lưu lượng nước cần tìm, nếu không thì tính lặp lại từ Điều 9.2.2.5 ở trên, cho đến khi kiểm tra thoả mãn bất đẳng thức (11) thì dừng.

Hình 9 - Đường quan hệ Q 1 ~Q 2

9.2.2.8 Nếu đã tính được 3 vòng lặp, tức là đã có 3 cặp (Q 1 Q 2 ), kiểm tra kết quả vẫn chưa thoả mãn bất đẳng thức (11). Để không phải tính lặp nhiều lần ta làm như sau:

- Vẽ đường quan hệ Q 1 ~Q 2 trên hệ tọa độ vuông góc có các trục là Q 1 , Q 2 từ 3 cặp số liệu nói trên;

- Kẻ đường phân giác, cắt đường quan hệ Q 1 ~Q 2 tại một điểm nào đó;

- Từ điểm cắt nhau hạ đường vuông góc xuống trục Q 2 được trị số lưu lượng nước cần tìm (hình 9).

9.2.2.9 Khi sử dụng máy vi tính (PC) để tính lưu lượng nước lũ điều tra thì:

- Đặt lại ngưỡng kiểm tra trong bất đẳng thức (11);

- Thay ngưỡng 5% bằng các ngưỡng thấp hơn để tăng độ chính xác của kết quả tính.

9.3 Phương pháp đường cong mặt nước

9.3.1 Điều kiện áp dụng

- Đoạn sông không có hiện tượng diện tích mặt cắt thu hẹp hoặc mở rộng đột ngột;

- Đoạn sông có độ dốc mặt nước tương đối lớn;

- Phải có từ 3 vết lũ được xác nhận trở lên và phân bố tương đối đều dọc theo đoạn sông điều tra;

- Nếu độ dài đoạn sông từ vết lũ trên cùng đến vết lũ dưới cùng lớn (L > 3B), tính lưu lượng lũ điều tra theo phương pháp đường cong mặt nước cho kết quả chính xác hơn các phương pháp khác.

9.3.2 Tính toán lưu lượng lũ sau điều tra

9.3.2.1 Từ phương trình vi phân cơ bản của dòng chảy ổn định trong sông thiên nhiên viết dưới dạng sai phân cho mặt cắt trên và dưới (3) biến đổi thành:

Đặt

Công thức (12) trở thành

H tr = H d + h f + h c (15)

Trong các công thức trên:

h f - Tổn thất dọc đường;

h c - Tổn thất cục bộ.

Các ký hiệu khác xem Điều 9.2.2 Tiêu chuẩn này.

Trường hợp đoạn sông có mặt cắt tương đối đồng đều (ω tr = ω d ) có thể bỏ qua h c , công thức (15) trở thành:

H tr = H d + h f (16)

Giải phương trình (15) hoặc (16) bằng phương pháp tính thử dần khi biết H d và giả định Q, tính được H tr .

9.3.2.2 Giải phương trình (15), tìm lưu lượng lũ điều tra theo phương pháp phân tích

a) Từ tài liệu điều tra và đo đạc, lập biểu tính và vẽ quan hệ H~ω, H~K của các mặt cắt trong đoạn sông tính toán theo biểu 3 Phụ lục A tiêu chuẩn này.

Hình 10 - Đường quan hệ H ~ ω , H~ K

Hình 11 - Đường quan hệ H ~ ω, H~ K

b) Lưu lượng nước giả định lần thứ nhất được tính theo công thức:

- modul lưu lượng nước trung bình của hai mặt cắt tính theo (5);

I - độ dốc mặt nước trung bình của hai mặt cắt tính bằng tỷ số:

I = (H tr - H d )/ΔL.

c) Lập biểu tính H tr 1 theo công thức (15) khi biết trị số H d 1 điều tra và Q giả định theo công thức (17) (xem biểu 4 Phụ lục A Tiêu chuẩn này).

d) Gán kết quả H tr 1 vừa tính được là H d2 của đoạn sông liền kề tiếp theo phía trên.

đ) Lập biểu tính H tr2 của đoạn sông liền kề phía trên theo công thức (15) khi biết trị số H d2 nhận giá trị H tr 1 và Q giả định theo công thức (17), … .

e) Lập biểu tính H trên cùng của đoạn sông trên cùng theo công thức (15) khi biết trị số H dưới nhận giá trị H trên của đoạn sông liền kề phía dưới và Q giả định theo công thức (17).

g) Kiểm tra kết quả đường mặt nước tính toán

- Chấm các trị số mực nước tính toán được lên mặt cắt dọc của đoạn sông tại vị trí các mặt cắt ngang tương ứng, trừ mặt cắt cuối cùng;

- Chấm các trị số mực nước điều tra lên mặt cắt dọc của đoạn sông tại các vị trí mặt cắt ngang tương ứng;

- Nối các điểm H d 1 , H tr1 , H tr2 , …, H tr trên cùng, hình thành đường mặt nước tính toán (hình 12);

Hình 12 - Mặt cắt dọc đoạn sông điều tra có 6 vết nước lũ được xác nhận

- Nếu các trị số mực nước điều tra phân bố tương đối đều hai bên đường mặt nước tính toán thì lưu lượng nước giả định ban đầu chính là lưu lượng nước cần tìm (hình 12);

- Nếu kết quả kiểm tra không thoả mãn điều kiện trên thì phải giả định lại trị số Q và tính lại từ khoản b ở trên,..., đến khi kết quả tính toán đạt yêu cầu.

9.3.2.3 Giải phương trình (16), tìm lưu lượng lũ điều tra theo phương pháp đồ giải

Từ (12) thay:

V tr = Q/ω tr , V d = Q/ω d

Sau khi biến đổi ta được:

Đặt:

Công thức (18) trở thành:

Nếu T 1 < 0 công thức (21) trở thành:

a) Từ tài liệu điều tra và đo đạc, lập biểu tính trị số T 1 và T 2 của các mặt cắt ứng với các cấp mực nước H cách nhau từ 0,2 ÷ 0,5 mét xem biểu 5 Phụ lục A Tiêu chuẩn này.

b) Vẽ quan hệ H~T 1 , H~T 2 của các mặt cắt trong đoạn sông tính toán lên trên cùng hệ toạ độ.

Trong đó quy định:

- Trục H hướng lên trên;

- Trục T 2 hướng sang phải;

- Trục T 1 hướng sang trái (hình 13 và 14);

c) Giả định Q lần thứ nhất theo công thức (17).

d) Từ trị số mực nước điều tra H 1 của mặt cắt dưới cùng (mặt cắt số 1) trên trục H, kẻ đường thẳng song song với trục T cắt đường quan hệ H~T 2 số 1 tại điểm a, từ a hạ đường vuông góc xuống trục T được T 2 .

đ) Tính giá trị biểu thức: H 1 + (Q 2 .T 2 )/2 được b, xác định giá trị b trên trục H.

Hình 13 - Đường quan hệ H~T của đoạn sông có 6 mặt cắt (T 1 > 0)

e) Nối hai điểm a, b và kéo dài cho đến khi cắt đường quan hệ H~T 1 số 2’ tại điểm c, từ c kẻ đường thẳng song song với trục T cắt trục H tại trị số H 2 , H 2 chính là mực nước H tr cần tính của đoạn sông số 1.

Hình 14 - Đường quan hệ H~T của đoạn sông có 4 mặt cắt (T1 < 0)

g) Từ mực nước H 2 trên trục H, lại thực hiện từ các bước từ khoản d đến khoản e ở trên tìm được H 3 , ..., cho đến khi tìm được mực nước ở mặt cắt trên cùng.

h) Kiểm tra kết quả theo khoản g Điều 9.3.2.2 ở trên; nếu kết quả tính toán chưa đạt yêu cầu phải giả định lại Q và tính lại các bước từ khoản c Điều 9.3.2.3 ở trên đến khi đạt yêu cầu.

9.4 Phương pháp mặt cắt phân giới

9.4.1 Điều kiện áp dụng

- Trong đoạn sông điều tra phải có mặt cắt phân giới ở phía hạ lưu;

- Phải có ít nhất một vết lũ được xác nhận;

- Vị trí của vết lũ phải ở tại mặt cắt phân giới hoặc thượng lưu mặt cắt phân giới.

CHÚ THÍCH: Mặt cắt phân giới là mặt cắt khi nước chảy qua đó xuất hiện năng lượng đơn vị mặt cắt nhỏ nhất (trạng thái nước chảy xiết). Trong thực tế thường lấy mặt cắt tại vị trí chuyển tiếp của độ dốc đáy sông, hoặc mặt cắt ướt bị thu hẹp đột ngột làm mặt cắt phân giới.

9.4.2 Tính toán lưu lượng lũ sau điều tra

9.4.2.1 Tại mặt cắt phân giới các yếu tố thủy lực quan hệ với nhau theo công thức:

Trong công thức (23), (24):

K c - Mô đun lưu lượng tại mặt cắt phân giới (m 3 /s).

h c - Độ sâu phân giới và h c = ω c /B c (m).

I c - Độ dốc phân giới.

g - Gia tốc trọng trường, trong tính toán thường lấy g = 9,81 (m/s 2 ).

9.4.2.2 Chia đoạn sông từ mặt cắt có vết lũ được xác nhận trên cùng đến mặt cắt phân giới bằng các mặt cắt ngang; khoảng giữa hai mặt cắt liền nhau xấp xỉ bằng khoảng cách giữa hai tuyến thước nước độ dốc.

9.4.2.3 Vẽ đường quan hệ mực nước và diện tích mặt cắt ướt (H~ω) của các mặt cắt. Xác định hệ số nhám n bằng cách tra bảng hoặc đo đạc, xem Phụ lục B, C Tiêu chuẩn này.

9.4.2.4 Vẽ đường quan hệ mực nước và lưu lượng nước ở mặt cắt phân giới (H c ~Q c ) bằng cách:

a) Dựa vào tài liệu đo đạc mặt cắt ngang tại mặt cắt phân giới (H c ~ ω c ), (H c ~B c ).

b) Giả định các trị số mực nước khác nhau, tính ra các trị số lưu lượng nước tương ứng theo công thức (23).

9.4.2.5 Từ công thức (12), lấy α = 1, ξ= 0 và biến đổi thành:

9.4.2.6 Giả định Q c lần thứ nhất, gán Q d = Q c . Lấy vị trí mặt cắt dưới cùng là mặt cắt phân giới (H c = H d ).

9.4.2.7 Từ Q c giả định tra trên đường quan hệ H c ~Q c được trị số H c (gán H d = H c , I d = l c ), tính l c theo công thức (24), tính V d = Q c / ω c .

9.4.2.8 Tính vế phải của phương trình (25) khi biết các trị số Q d , H d , ΔL, n d , tra trên đường H~ω được trị số ω d , B d , tính:

h d = ω d / B d

V d = Q d / ω

9.4.2.9 Tìm nghiệm H tr 1 của phương trình (25) bằng cách tính thử dần khi biết giá trị vế phải đã tính được và trị số H tr g i ả định .

- Giả định H tr ban đầu có giá trị bằng:

H tr giả định = H d + ΔL.I d (26).

- Theo phương pháp tính thử dần để cân bằng phương trình (25), tính được H tr 1 , suy ra I tr 1 , V tr 1 , h tr 1 .

9.4.2.10 Gán các giá trị của H tr 1 , I tr 1 , V tr 1 , h tr 1 và ω tr1 vừa tính được cho H d2 , l d2 , V d2 , h d2 và ω d2 của đoạn sông liền kề phía trên, với cùng trị số Q d giả định, thực hiện tương tự theo các bước từ Điều 9.4.2.7 đến Điều 9.4.2.9, tính được các giá trị của H tr 2 , I tr2 , V tr2 , h tr2 và ω tr2 tiếp theo, ... cho đến khi tính được giá trị của mực nước ở mặt cắt trên cùng (H tr cùng ) có vết lũ được xác nhận.

9.4.2.11 Kiểm tra kết quả mực nước tính toán

a) Chấm các trị số mực nước tính toán được lên biểu đồ mặt cắt dọc của đoạn sông tại vị trí các mặt cắt ngang tương ứng.

b) Chấm các trị số mực nước điều tra được lên biểu đồ mặt cắt dọc của đoạn sông điều tra tại vị trí các mặt cắt ngang tương ứng.

c) Nếu các trị số mực nước tính toán phù hợp với các trị số mực nước điều tra thì lưu lượng nước giả định ban đầu Q c chính là lưu lượng nước lũ điều tra cần tìm (hình 15).

Hình 15 - Kiểm tra kết tính lưu lượng nước theo phương pháp mặt cắt phân giới

d) Nếu mực nước lũ tính toán không phù hợp với mực nước lũ điều tra thì phải giả định lại Q c , và tính lại các bước ghi từ Điều 9.4.2.6 đến Điều 9.4.2.9 ở trên cho đến khi tìm được mực nước lũ tính toán phù hợp với mực nước lũ điều tra, từ đó xác định được lưu lượng nước lũ điều tra.

9.4.2.12 Trường hợp chỉ có một vết lũ được xác nhận nằm ở ngay mặt cắt phân giới, tính lưu lượng lũ điều tra chỉ còn các bước:

a) Vẽ đường quan hệ giữa mực nước với diện tích mặt cắt ướt và độ rộng mặt nước (H c - ω c , H c ~ B c );

b) Từ H điều tra tra trên đường H c ~ ω c và H c ~ B c được các giá trị ω c và B c tương ứng, tính lưu lượng nước lũ điều tra bằng công thức (23) được ngay giá trị lưu lượng nước lũ điều tra cần tìm.

c) Cần kiểm tra sơ bộ tính hợp lý giữa đường mặt nước lúc đo đạc, đường mặt nước tính bằng phương pháp đường cong mặt nước, đường mặt nước tính bằng phương pháp độ dốc, hoặc đường mặt nước tính bằng phương pháp mặt cắt phân giới với đường độ dốc trung bình đáy sông. Thông thường độ dốc của đường mặt nước tính theo phương pháp đường cong mặt nước lớn hơn độ dốc của đường mặt nước lúc đo đạc và độ dốc trung bình đáy sông; còn độ dốc của đường mặt nước tính theo phương pháp mặt cắt phân giới thì ngược lại.

10 Tổng hợp, hoàn chỉnh báo cáo điều tra lũ

10.1 Kiểm tra tính hợp lý của mực nước và đánh giá lưu lượng nước lũ điều tra

10.1.1 Kiểm tra tính hợp lý của kết quả mực nước lũ điều tra thực hiện theo các quy định tại Điều 8.1.1, khoản g Điều 9.3.2.2 và Điều 9.4.2.11 Tiêu chuẩn này.

10.1.2 Kiểm tra tính hợp lý của lưu lượng nước lũ điều tra bằng cách xem xét tương quan giữa lưu lượng nước lũ điều tra với lưu lượng nước lũ của một lưu vực có điều kiện địa lý thủy văn tương tự, có số liệu đo đạc ở thời gian tương ứng (quy về mô đun dòng chảy lũ).

10.1.3 Kiểm tra tính hợp lý của lưu lượng nước lũ điều tra bằng cách xem xét tương quan giữa lưu lượng nước lũ điều tra với lưu lượng nước lũ tương ứng của trạm trên hoặc trạm dưới.

10.1.4 Độ tin cậy của lưu lượng nước lũ điều tra phụ thuộc: độ tin cậy của mực nước lũ điều tra, độ chính xác của việc xác định các tham số tham gia tính toán (n, R, ω,...) và độ chính xác khi tính toán lưu lượng nước lũ điều tra.

a) Độ tin cậy của mực nước lũ điều tra được đánh giá theo các quy định tại mục 8.1.2 Tiêu chuẩn này.

b) Độ chính xác của các tham số tham gia tính toán lưu lượng nước lũ điều tra, đặc biệt ba tham số n, R và ω, ảnh hưởng rất lớn tới kết quả tính toán. Độ chính xác của ba tham số n, R và ω, được đánh giá theo hai chỉ tiêu:

- Xác định chính xác tại thời điểm tiến hành điều tra;

- So với thời điểm lũ xẩy ra đến nay các trị số này thay đổi không nhiều.

c) Độ chính xác khi tính toán lưu lượng nước lũ điều tra được đánh giá bằng kết quả tính toán đã thoả mãn các công thức kiểm tra của phương pháp.

10.1.5 Trường hợp sử dụng mực nước lũ điều tra có cấp độ tin cậy khác nhau để tính lưu lượng nước lũ điều tra thì đánh giá độ tin cậy của kết quả lưu lượng nước lũ điều tra như sau (coi các điều kiện b và c tại Điều 10.1.4 ở trên đã thỏa mãn):

a) Xếp bằng cấp độ tin cậy cao nhất của mực nước tham gia tính toán nếu cấp đó có từ hai trị số trở lên (trừ trường hợp tính lưu lượng lũ điều tra theo phương pháp mặt cắt phân giới).

b) Xếp kém cấp độ tin cậy cao nhất của mực nước tham gia tính toán một cấp nếu cấp đó có một trị số.

VÍ DỤ:

- Có 6 trị số mực nước lũ tham gia tính toán lưu lượng nước lũ, trong số đó có 2 trị số ở cấp “tin cậy”, 4 trị số ở cấp “tương đối tin cậy” thì độ tin cậy của kết quả lưu lượng nước lũ điều tra được xếp ở cấp “tin cậy”;

- Có 6 trị số mực nước lũ tham gia tính toán lưu lượng nước lũ, trong số đó có 1 trị số ở cấp "tin cậy", 1 trị số ở cấp “tương đối tin cậy” và 4 trị số ở cấp "tham khảo" thì độ tin cậy của kết quả lưu lượng nước lũ điều tra được xếp ở cấp “tương đối tin cậy”.

10.2 Nội dung và các hạng mục của thuyết minh trong báo cáo điều tra lũ

10.2.1 Phần mở đầu (giới thiệu) gồm các nội dung sau:

a) Mục đích, ý nghĩa và nhiệm vụ của đợt điều tra lũ:

- Nêu tóm tắt về tình hình lũ lụt tại lưu vực hoặc đoạn sông tiến hành điều tra;

- Nêu vắn tắt mục đích, ý nghĩa và sự cần thiết phải điều tra lũ để thu thập tài liệu;

- Nêu các nhiệm vụ được giao của Tổ điều tra lũ.

b) Biên chế của Tổ điều tra lũ

Nêu đầy đủ thành viên của Tổ gồm:

- Họ và tên;

- Trình độ chuyên môn;

- Chức vụ;

- Nhiệm vụ được giao.

c) Trang bị của Tổ điều tra lũ

Chỉ nêu các loại thiết bị quan trọng phục vụ trực tiếp điều tra lũ:

- Loại máy (thiết bị);

- Ký hiệu, mã hiệu;

- Độ chính xác chế tạo;

- Độ chính xác thực tế.

10.2.2 Phần điều tra - tính toán

a) Mô tả khu vực đoạn sông điều tra

- Mô tả khái quát lưu vực với các nội dung: hình dáng, diện tích, chiều dài, độ dốc trung bình lưu vực, độ dốc trung bình đáy sông, độ che phủ, ....;

- Mô tả chi tiết khu vực đoạn sông điều tra: nêu các đặc điểm kỹ thuật của đoạn sông (sự biến đổi của chiều rộng, diện tích mặt cắt ướt theo chiều dài, địa mạo, nước tù, nước vật, nhập lưu, xuất lưu, độ dốc đáy sông,...) ảnh hưởng tới chế độ dòng chảy và việc xác định các tham số để tính lưu lượng nước lũ điều tra.

b) Mô tả tình hình điều tra và kết quả điều tra mực nước lũ

Mô tả cụ thể từng vết lũ được xác nhận với các nội dung:

- Ký hiệu vết lũ;

- Vị trí vết lũ tồn tại;

- Người điều tra;

- Người chỉ dẫn;

- Độ cao;

- Cấp độ tin cậy;

- Thời gian xuất hiện (theo Âm lịch và Dương lịch).

c) Mô tả công việc đo đạc ngoài thực địa với các nội dung:

- Lựa chọn khu vực đo đạc;

- Đo dẫn độ cao;

- Đo mặt cắt ngang;

- Đo địa hình.

d) Các phương pháp tính lưu lượng nước lũ điều tra

Thuyết minh tính toán lưu lượng nước lũ điều tra với các nội dung:

- Cơ sở để áp dụng phương pháp tính;

- Xác định các tham số tính toán;

- Các bước tính toán;

- Kết quả tính toán.

CHÚ THÍCH: Nếu kết quả điều tra và đo đạc thoả mãn điều kiện áp dụng của nhiều phương pháp tính lưu lượng nước lũ điều tra thì nên tính lưu lượng nước lũ điều tra bằng nhiều phương pháp khác nhau, sau đó so sánh và phân tích các kết quả tính toán để chọn giá trị tin cậy nhất.

10.2.3 Phần kết luận

a) Những vấn đề giải quyết còn chưa được thoả đáng khi:

- Áp dụng phương pháp tính lưu lượng nước;

- Xác định các tham số tính toán;

- Xác định mực nước lũ điều tra.

b) Nhận xét đánh giá độ tin cậy của kết quả. Nếu tính lưu lượng nước lũ điều tra bằng nhiều phương pháp khác nhau thì phân tích, đánh giá độ tin cậy của kết quả từng phương pháp và kiến nghị sử dụng kết quả.

10.2.4 Phần cuối của thuyết minh trong báo cáo điều tra lũ

- Thời gian viết thuyết minh: Ngày .... tháng .... năm ……

- Người viết thuyết minh: Trình độ, họ và tên, chữ ký.

10.3 Các loại biểu, biểu đồ, bình đồ trong báo cáo điều tra lũ

10.3.1 Các loại biểu:

- Các loại biểu ghi số liệu;

- Các loại biểu tính toán.

10.3.2 Các loại sơ đồ, bình đồ, biểu đồ:

a) Sơ đồ vị trí đoạn sông điều tra (trích từ bản đồ có tỷ lệ 1/50.000 hoặc 1/100.000; cách vẽ giống như vẽ sơ đồ vị trí trạm thủy văn).

b) Bình đồ đoạn sông điều tra.

c) Các loại biểu đồ mặt cắt:

- Các mặt cắt ngang;

- Mặt cắt dọc.

d Bản đồ số có các tọa độ vết lũ.

đ) Các loại biểu đồ quan hệ phục vụ tính toán.

Tùy theo việc lựa chọn phương pháp tính lưu lượng nước lũ điều tra mà xây dựng các loại biểu đồ tương ứng.

10.4 Quy cách báo cáo

a) Báo cáo điều tra lũ phải đóng thành quyển khổ cao: 29,7 cm, rộng: 21,0 cm (A4).

b) Chọn tỷ lệ của các trục khi vẽ biểu đồ theo quy định trong TCVN 12636-15:2023 Chỉnh biên tài liệu lưu lượng nước vùng sông không ảnh hưởng thủy triều.

c) Nếu có các biểu đồ, bình đồ lớn hơn khuôn khổ của báo cáo thì gấp các bản vẽ đó cho vừa khổ giấy của báo cáo, nếu các biểu đồ, bình đồ nhiều có thể đóng một tập riêng gọi là tập phụ lục báo cáo.

d) Sắp xếp tài liệu trong báo cáo điều tra lũ theo thứ tự sau:

- Trang bìa: Biểu 6 Phụ lục A;

- Mục lục;

- Quyết định điều tra lũ (có thể dùng bản phôtô copy);

- Đánh giá kết quả điều tra lũ của Thủ trưởng cơ quan tổ chức điều tra lũ;

- Sơ đồ vị trí đoạn sông điều tra hoặc lưu vực điều tra;

- Thuyết minh điều tra lũ;

- Các loại biểu ghi, biểu tính;

- Bình đồ địa hình đoạn sông điều tra;

- Các loại biểu đồ quan hệ;

- Các biểu đồ mặt cắt ngang;

- Biểu đồ mặt cắt dọc.

 

Phụ lục A

(Quy định)

Một số biểu mẫu trong điều tra lũ

A.1 Biểu thống kê xác nhận vết tích nước lũ

Biểu 1 - BIỂU THỐNG KÊ XÁC NHẬN VẾT TÍCH NƯỚC LŨ

Số TT

Ký hiệu vết lũ

Thời gian xuất hiện

Địa điểm (vị trí)

Mực nước (cm)

Cấp độ tin cậy

Âm lịch

Dương lịch

(1)

(2)

(3)

(4)

(5)

(6)

(7)

 

 

 

 

 

 

 

 

 

 

 

 

 

 

 

 

 

 

 

 

 

 

 

 

 

 

 

 

 

 

 

 

 

 

 

 

 

 

 

 

 

 

 

 

 

 

 

 

 

 

 

 

 

 

 

 

 

 

 

 

 

 

 

 

 

 

 

 

 

 

 

 

 

 

 

 

 

 

 

 

 

 

 

 

 

 

 

 

 

 

 

 

 

 

 

 

 

 

 

 

 

 

 

 

 

 

 

 

 

 

 

 

 

Ngày....tháng .... năm ....
Người lập biểu

Ngày....tháng .... năm ....
Người kiểm tra

 

A.2 Biểu tính trị số Q để kéo dài quan hệ H~Q

Biểu 2 - BIỂU TÍNH TRỊ SỐ Q ĐỂ KÉO DÀI QUAN HỆ H~Q

H

(cm)

ω

(m 2 )

R

(m)

R 2/3

n

1/n

I

( o / ooo )

I 1/2

Q

(m 3 /s)

Ghi chú

(1)

(2)

(3)

(4)

(5)

(6)

(7)

(8)

(9)

(10)

 

 

 

 

 

 

 

 

 

 

 

 

 

 

 

 

 

 

 

 

 

 

 

 

 

 

 

 

 

 

 

 

 

 

 

 

 

 

 

 

 

 

 

 

 

 

 

 

 

 

 

 

 

 

 

 

 

 

 

 

 

 

 

 

 

 

 

 

 

 

 

 

 

 

 

 

 

 

 

 

 

 

 

 

 

 

 

 

 

 

 

 

 

 

 

 

 

 

 

 

 

 

 

 

 

 

 

 

 

 

 

 

 

 

 

 

 

 

 

 

 

 

 

 

 

 

 

 

 

 

 

 

 

 

 

 

 

 

 

 

 

 

 

 

 

 

 

 

 

 

 

 

 

 

 

 

 

 

 

 

 

 

 

 

 

 

 

 

 

 

 

 

 

 

 

 

 

 

 

 

 

 

 

 

 

 

 

 

 

 

 

 

 

 

 

 

 

 

 

 

 

 

 

 

 

 

 

 

 

 

 

 

 

 

 

 

 

 

 

 

 

 

 

 

 

 

 

 

 

 

 

 

 

 

 

 

 

 

 

 

 

 

 

 

 

 

 

 

 

 

Ngày....tháng .... năm ....
Người lập biểu

Ngày....tháng .... năm ....
Người kiểm tra

 

A.3 Biểu tính để vẽ quan hệ H-ω, H~K

Biểu 3 - BIỂU TÍNH ĐỂ VẼ QUAN HỆ H~ω, H~K

Mặt cắt số 1

n =………

Mặt cắt số 2

n =………

H

(cm)

ω

(m 2 )

R 2/3

K= (ω.R 2/3 )/n

H

(cm)

ω

(m 2 )

R 2/3

K= (ω.R 2/3 )/n

(1)

(2)

(3)

(4)

(5)

(6)

(7)

(8)

 

 

 

 

 

 

 

 

 

 

 

 

 

 

 

 

 

 

 

 

 

 

 

 

 

 

 

 

 

 

 

 

 

 

 

 

 

 

 

 

 

 

 

 

 

 

 

 

 

 

 

 

 

 

 

 

 

 

 

 

 

 

 

 

 

 

 

 

 

 

 

 

 

 

 

 

 

 

 

 

 

 

 

 

 

 

 

 

 

 

 

 

 

 

 

 

 

 

 

 

 

 

 

 

 

 

 

 

 

 

 

 

 

 

 

 

 

 

 

 

 

Ngày....tháng .... năm ....
Người lập biểu

Ngày....tháng .... năm ....
Người kiểm tra

 

A.3.1 Biểu tính để vẽ quan hệ H~ω, H~K

Biểu tính để vẽ quan hệ H~ω, H~K như mẫu quy định tại (Biểu 3)

A.3.2 Cách lập biểu tính để vẽ quan hệ H~ω, H~K

a) Các cách xác định trị số n:

- Dựa vào đặc điểm của địa mạo tại mặt cắt tra bảng 1 Phụ lục B;

- Tính từ tài liệu thực đo ở trạm thủy văn;

- Đo Q, I ngoài thực địa để tính trực tiếp n theo hướng dẫn tại Phụ lục G của Tiêu chuẩn quốc gia này.

b) Cột 1: Ghi giá trị mực nước lũ điều tra tại mặt cắt. Trường hợp vết lũ không nằm trên mặt cắt ngang phải nội suy xem Điều 8.3.3 Tiêu chuẩn này.

c) Cột 2: Ghi diện tích mặt cắt ướt tương ứng với giá trị mực nước lũ điều tra tại mỗi mặt cắt.

d) Cột 3: Trong tính toán lấy giá trị của bán kính thủy lực bằng độ sâu trung bình mặt cắt (h) tương ứng với mực nước lũ điều tra tại mỗi mặt cắt: R = h = ω/B.

Trong đó:

ω: diện tích mặt cắt ướt;

B: Độ rộng của mặt cắt.

e) Cột 4: Lấy giá trị ở cột 2 nhân với giá trị ở cột 3, sau đó chia cho giá trị của n tương ứng.

A.4 Biểu tính trị số H Tr

Biểu 4 - BIỂU TÍNH TRỊ SỐ H Tr

Số hiệu mặt cắt

Khoảng cách ΔL
(m)

Mực nước H
(cm)

Diện tích mặt cắt ướt ω (m 2 )

K (m 3 /s)

I = (Q/K) 2 (% 00 )

(% 00 )

H tr = H d + h f + h c (cm)

(1)

(2)

(3)

(4)

(5)

(6)

(7)

(8)

(9)

(10)

 

 

 

 

 

 

 

 

 

 

 

 

 

 

 

 

 

 

 

 

 

 

 

 

 

 

 

 

 

 

 

 

 

 

 

 

 

 

 

 

 

 

 

 

 

 

 

 

 

 

 

 

 

 

 

 

 

 

 

 

 

 

 

 

 

 

 

 

 

 

 

 

 

 

 

 

 

 

 

 

 

 

 

 

 

 

 

 

 

 

 

Ngày....tháng .... năm ....
Người lập biểu

Ngày....tháng .... năm ....
Người kiểm tra

 

A.4.1 Biểu tính trị số H Tr

Biểu tính trị số H Tr như mẫu quy định tại (Biểu 4).

A.4.2 Cách lập biểu tính trị số H Tr

a) Cột 1: Ghi số hiệu của mặt cắt;

b) Cột 2: Ghi khoảng cách giữa 2 mặt cắt ngang liền nhau. Trường hợp tại mặt cắt dưới cùng bỏ trống;

c) Cột 3: Ghi giá trị của mực nước lũ điều tra tại mặt cắt. Trường hợp vết lũ không nằm trên mặt cắt ngang phải nội suy, cách nội suy xem Điều 8.3.3 của Tiêu chuẩn này;

d) Cột 4: Ghi diện tích mặt cắt ướt tại mỗi mặt cắt ngang tương ứng với mực nước lũ điều tra;

đ) Cột 5: Modul lưu lượng mặt cắt ngang tính theo công thức:

Trong đó:

- R là bán kính thủy lực. Trong tính toán lấy giá trị của bán kính thủy lực bằng độ sâu trung bình mặt cắt (h) tương ứng với mực nước lũ điều tra tại mỗi mặt cắt: R = h = ω/B;

- n là hộ số nhám tương ứng với các mặt cắt được xác định theo hướng dẫn tại Phụ lục B;

- ω là diện tích mặt cắt ướt.

e) Cột 6: Tính độ dốc mặt nước ở mỗi mặt cắt điền vào;

g) Cột 7: Độ dốc mặt nước hay độ dốc mặt nước trung bình của đoạn sông;

h) Cột 8: (8) = (2) x (7);

i) Cột 9: Tính tổn thất cục bộ h c giữa 2 mặt cắt:

- Xác định ξ (hệ số tổn thất cục bộ biến đổi từ -1÷0). Có thể đo đạc thực nghiệm ở hai mặt cắt, sau đó tính ra ξ nhờ phương trình Bec-nu-ly (3). Thông thường trong tính toán để đơn giản hóa ta chọn ξ = - 0,50.

- Chọn g = 9,81 m/s 2 .

- V tr = Q/ω tr .

Thay các giá trị tính được và thực hiện phép tính, tính được h c .

k) Cột 10: (10) = (3) + (8) + (9).

A.5 Biểu tính trị số T 1 và T 2

Biểu 5 - BIỂU TÍNH TRỊ SỐ T 1 VÀ T 2

Số hiệu mặt cắt

H (cm)

Diện tích mặt cắt ướt ω (m 2 )

Chu vi ướt B (m)

Bán kính thủy lực R = h (m)

R 4/3

ω 2 .R 4/3

Hệ số nhám n (%)

ΔL 2 -1 (m)

T 1
(10 -6 )

T 2
(10 -6 )

(1)

(2)

(3)

(4)

(5)

(6)

(7)

(8)

(9)

(10)

(11)

(12)

(13)

 

 

 

 

 

 

 

 

 

 

 

 

 

 

 

 

 

 

 

 

 

 

 

 

 

 

 

 

 

 

 

 

 

 

 

 

 

 

 

 

 

 

 

 

 

 

 

 

 

 

 

 

 

 

 

 

 

 

 

 

 

 

 

 

 

 

 

 

 

 

 

 

 

 

 

 

 

 

 

 

 

 

 

 

 

 

 

 

 

 

 

 

 

 

 

 

 

 

 

 

 

 

 

 

 

 

 

 

 

 

 

 

 

 

 

 

 

 

 

 

 

 

 

 

 

 

 

 

 

 

 

Ngày....tháng .... năm ….
Người lập biểu

Ngày....tháng.... năm
Người kiểm tra

 

A.5.1 Biểu tính trị số T 1 và T 2

Biểu tính trị số T 1 và T 2 như mẫu quy định tại (Biểu 5).

A.5.2 Cách lập biểu tính trị số T 1 và T 2

a) Cột 1: Ghi số hiệu của mặt cắt;

b) Cột 2: Ghi giá trị của mực nước lũ điều tra tại mặt cắt. Trường hợp vết lũ không nằm trên mặt cắt ngang phải nội suy, cách nội suy xem Điều 8.3.3 của Tiêu chuẩn này;

c) Cột 3: Ghi diện tích mặt cắt ướt tại mỗi mặt cắt ngang tương ứng với mực nước lũ điều tra;

d) Cột 4: Trong tính toán lấy chu vi ướt bằng độ rộng của mặt cắt ướt B;

e) Cột 5: Bán kính thủy lực R = ω/B = h; (5) = (3) : (4);

g) Cột 8: Hệ số nhám (n) xác định theo hướng dẫn ở Phụ lục B tiêu chuẩn này;

h) Cột 9: Ghi khoảng cách giữa 2 mặt cắt ngang liền nhau. Trường hợp tại mặt cắt dưới cùng bỏ trống;

i) Cột 10: (10) = [(8) 2 x (9)] : (7);

k) Cột 12: (12) = (10) - (11);

l) Cột 13: (13) = (10) + (11);

CHÚ THÍCH: g = 9,81 m/s 2

A.6 Bìa báo cáo điều tra lũ

Biểu 6 - BÌA BÁO CÁO ĐIỀU TRA LŨ

CƠ QUAN ĐIỀU TRA LŨ
…………………………

 

 

 

 

BÁO CÁO ĐIỀU TRA LŨ

(Đỉnh lũ xuất hiện ngày… tháng…. năm……)

 

 

 

Sông:………………………………

Vị trí điều tra: …………………….

Thời gian điều tra:Từ ngày…. tháng……..năm........

Đến ngày….. tháng….. năm…..

 

 

 

NĂM 20...

 

 

A.7 Giấy Lôga một chiều để vẽ quan hệ H ~ n

Biểu 7 - GIẤY LÔGA MỘT CHIỀU ĐỂ VẼ QUAN HỆ H ~ n

 

Ngày....tháng .... năm ….
Người lập biểu

Ngày....tháng.... năm
Người kiểm tra

 

Phụ lục B

(Quy định)

Bảng tra hệ số nhám

B.1 Bảng tra hệ số nhám sông miền núi

Bảng B.1 - Bảng tra hệ số nhám sông miền núi

STT

Đặc trưng đoạn sông

Phạm vi độ dốc (°/ ooo )

Chất tạo lỏng

Tỉ lệ B/htb

Phạm vi p (kg/m 3 )

Trị số 1/n Thay đổi theo độ sâu trung bình (h tb ) (m)

1,0

2,0

3,0

4,0

6,0

8,0

10,0

15,0

20,0

25,0

(1)

(2)

(3)

(4)

(5)

(6)

(7)

(8)

(9)

(10)

(11)

(12)

(13)

(14)

(15)

(16)

 

Đoạn sông có đặc tính: 1/n tỉ lệ thuận theo trị số h bq

 

 

 

 

 

 

 

 

 

 

 

 

 

 

1

Đoạn sông thẳng, phía trên 1 km có bãi, lòng sông chữ U, bùn của lòng sông có độ dày lớn, một bờ nham thạch, một bờ là đất.

Từ 1,00 đến 1,40

 

11,5

Từ 0,00 đến 0,03

32

48

 

 

 

 

 

 

 

 

2

Đoạn sông thẳng, nước chảy dễ dàng, phía trên 1-2 km trong sông có bãi hoặc có các sông nhánh nhập lưu, mặt cắt lòng sông rộng sâu, hình chữ U, chất tạo lỏng là đá nhỏ hoặc đá lớn, hai bên bờ cỏ mọc dày.

0,50-1,20

 

Từ 12,7 đến 16,7

26

29

35

41

 

 

 

 

 

 

 

3

Đoạn sông thẳng, nước chảy dễ dàng, đáy sông phẳng, lòng sông rộng và nông nước thấp có thể nhô lên trên mặt nước, hai bên bờ là thổ nhưỡng dễ bị xói lở, nước cao có hiện tượng bị tràn

0,30 - 0,80

 

45,0-70,0

0,44-1,00

25

28

38

45

 

 

 

 

 

 

4

Đoạn sông thẳng, phía trên có nhánh nhỏ nhập vào hoặc có cầu bắc qua, lòng sông ổn định, mặt cắt hình chữ nhật, đáy sông được tổ hợp bởi nham thạch hoặc đá hòn to xen lẫn đất cát, mực nước thấp xuất hiện đá và bãi cạn, một bên bờ là đá dốc vừa phải, một bên là đất, mực nước cao mới chảy dễ dàng

0,80-4,80

 

14,0-52,0

2,3-26,8

24

29

34

48

 

 

 

 

 

 

5

Đoạn sông tương đối thẳng, mở rộng về phía hạ lưu, lòng sông ổn định, hình chữ nhật, đáy sông lồi lõm hoặc vũng sâu, chất tạo lòng là đá lớn, giữa có đá nhỏ, một bờ là đá dốc đứng hoặc đất dốc đứng sinh trưởng cây cối linh tinh dốc đứng hoặc đất dốc đứng sinh trưởng cây cối linh tinh như sim, mua, một bên bờ là đá sỏi độ dốc vừa phải, khi mực nước cao mới chảy dễ dàng.

0,90-1,20

 

19,0-50,0

1,95-6,87

 

26

28

31

36

42

 

 

 

 

6

Đoạn sông thẳng, nước chảy dễ dàng, phía trên có bãi đá, lòng sông ổn định, khi mực nước cao có hiện tượng tràn ngập, chất tạo lỏng là đá lớn, xói bồi nhỏ, giữa sông có ngập, chất tạo lòng là đá lớn, xói bồi nhỏ, giữa sông có bãi, hai bờ là chất sỏi đá, phía trên mặt nước lũ bình thường cây cối mọc rậm rạp, bờ lở tương đối ít.

0,20-0,70

 

30,0-60,0

0,30-0,60

27

32

34

35

36

37

 

 

 

 

7

Đoạn sông thẳng, nước chảy dễ dàng, sông ổn định, mặt cắt hình chữ U, khi nước lên cao có hiện tượng tràn, nước thấp bên bờ có hiện tượng nước quẩn, mặt cắt dọc có hiện tượng dốc ngược, dòng sông nhiều đá tròn, xen kẽ có những phiến đá, hai bờ là đất cát, trên mặt cỏ mọc, giữa cỏ đá lớn hoặc phiến đá.

0,30-0,50

 

22,0-48,0

0,20-0,70

 

20

25

27

28

29

30

 

 

 

8

Dòng sông ổn định, một bờ thẳng, một bờ hơi mở rộng, chủ lưu về phía bờ thẳng, bờ mở rộng có hiện lượng nước quẩn, độ dốc dọc lớn nước chảy xiết, lòng sông là đá, mặt cắt hình chữ nhật.

2,10

125

 

2,44-6,79

 

 

21

25

26

 

 

 

 

 

9

Đoạn sông thẳng hoặc hơi cong, nước chảy dễ dàng, phía dưới 1 km có bãi, tình hình Castơ phát triển, lòng sông ổn định, hình chữ V, chất tạo lỏng là đá tròn, đá lớn hoặc phiến đá, hai bờ là lớp đá phong hoá.

0,30-0,90

 

4,00-11,0

0,90-2,90

 

 

 

9

14

16

16

17

18

 

10

Mực nước cao đoạn sông thẳng, mực nước thấp tương đối cong, mặt cắt hình chữ V, biên độ mực nước rất lớn, cường suất mực nước lớn, chất tạo lòng là đá, trên mặt nước cao là cát sỏi đồng thời cỏ mọc dày.

0,30-0,60

 

4,20-8,00

 

 

 

 

 

 

 

 

 

10

12

 

Dòng sông có đặc tính: 1/n giảm theo trị số h bq

 

 

 

 

 

 

 

 

 

 

 

 

 

 

11

Đoạn sông tương đối thẳng, phía trên và phía dưới cong gấp khúc, thượng du cong gấp khúc hoặc có bãi cát lớn, hạ du có thác và dòng bị cong, chủ lưu tương đối ổn định, xói bồi tương đối ít, mặt cắt hình thang, lòng sông là đá cát, hai bên bờ là đá và sỏi lớn

0,28-0,31

"39,0" 70,0

20,0-40,0

4,12-50,2

 

 

 

 

46

42

32

29

 

 

12

Đoạn sông thẳng, lòng sông ổn định lòng sông hẹp và sâu, hạ lưu 2 km có đoạn sông thu hẹp đột xuất, khống chế thiên nhiên tương đối tốt, chất tạo lòng là cát xen kẽ đá lớn và đá nhỏ, 30 đến 40 % chiều dài của bờ sông có cây cối, tình hình Gastơ trong đoạn sông tương đối phát triển.

1,40-1,70

"5,00" 25,0

15,0-18,0

3,64-4,13

 

 

48

43

38

38

37

 

 

 

13

Đoạn sông thẳng, thượng hạ lưu cong gấp khúc hoặc chỉ có hạ lưu cong gấp khúc hoặc không bị cong, nhưng đáy sông có bãi đá lớn (độ sâu bình quân dưới 4 m) hoặc hạ lưu không cong nhưng mực nước cao có hiện tượng phân dòng, lòng sông ổn định, nhấp nhô của đáy sông không lớn, giữa sông có đầm vũng, mặt cắt sâu hẹp, đơn dạng, chất tạo lòng là đá lớn mang cát, xói bồi không lớn, hai bờ phần nhiều là đất đá hoặc là đá, hiện tượng xói và sụt lở tương đối ít.

0,22-1,80

"55,0" 410

20,0-60,0

1,00-113

46

38

35

34

33

32

31

21

24

 

14

Đoạn sông thẳng, phía thượng lưu cong vừa, hạ lưu có thác mặt cắt dọc tương đối thẳng và phẳng, lòng sông ổn định, mặt cắt chữ nhật rộng nông, chủ lưu đối dòng, lòng sông là đá vừa tổ hợp thánh, một bờ là tảng đá, phiến đá; một bờ tương đối phẳng và bằng đất cát, cây canh tác.

1,20-3,40

"35,0" 130

23,0-46,0

2,03-116

 

 

32

29

28

 

 

 

 

 

15

Đoạn sông thác ghềnh liên tiếp, có dòng sông nhánh gia nhập, nước nhấp nhô, nước chảy tương đối gầm thót, hạ lưu có những bãi thềm lớn, một bên có đá lớn làm cho nước chảy có hiện tượng quẩn, mặt cắt dọc nhấp nhô, độ dốc tương đối lớn, khi mực nước thấp và cao thay đổi lớn, mặt cắt đơn, hình chữ U, lòng sông không được phẳng, có bồi xói, khi mực nước cao bờ có hiện tượng sạt lở.

22,0-35,0

 

28,0-30,0

 

43

18

 

 

 

 

 

 

 

 

16

Đoạn sông đại khái thẳng, hai bên bờ sườn núi thượng lưu lòng sông gãy khúc, hạ lưu lòng sông hẹp cong gấp khúc, đồng thời có bãi cạn, khống chế mực nước thấp, vừa và hai bờ là đất thịt đỏ có xen kẽ đá, một bờ tương đối dốc, một bờ tương đối thoải cục bộ dễ bị sạt lở, hai bờ là rừng tre, ở mực nước trung bình nước chảy có hiện tượng xoáy và quẩn.

0,40-0,50

 

13,0-79,0

0,02-16,0

37

30

27

26

 

 

 

 

 

 

17

Đoạn sông tương đối thẳng, hai bờ hạ lưu núi cao dốc đứng có tác dụng thu hẹp nước chảy, lòng sông ổn định hình chữ V, đáy sông gồm hai bờ đều là đá lớn, khi mực nước thấp bờ dưới mực nước bình thường là đá lớn, phía trên là đất cát hoặc đất vàng, bề mặt cỏ mọc cây cao khoảng 0,5 đến 2 mét.

0,60-1,00

 

6,0-8,0

0,30-1,20

 

 

 

 

23

19

15

 

 

 

18

Đoạn sông tương đối thẳng và thông suốt, thượng lưu thu hẹp và gấp khúc, hạ lưu có ảnh hưởng nước dâng, mặt cắt đơn, chữ nhật, mặt cắt dọc nhấp nhô, đoạn đo độ dốc nhỏ, hoặc dốc ngược, lòng sông là đá to tròn lẫn cát, một bên bờ đá lớn, một bên là nhỏ, hoặc dốc ngược, lòng sông là đá to tròn lẫn cát, một bên bờ đá lớn, một bên là đá vừa, đối với độ nhám ảnh tương đối lớn.

2,00-4,70

18,0-37,0

1,10-2,77

52

31

29

28

 

 

 

 

 

 

 

19

Đoạn sông thẳng, hạ lưu 1,5 km có thu hẹp và cong gấp khúc, hoặc mặt cắt dọc nhấp nhô lớn, lòng sông ổn định, hẹp và sâu; chất tạo lòng là sỏi và đá vừa, đá lớn hoặc phiến đá, hai bờ là đá phong hoá, hoặc dồn đống đá lớn hoặc là đốt cát, bề mặt thực vật mọc nhiều.

0,20-3,2

"30,0" 100

11,0-30,0

3,90-6,40

33

30

28

26

24

24

23

32

20

 

20

Đoạn sông thẳng, thượng lưu trong 1 km có sông nhánh nhập lưu hoặc có cầu ảnh hưởng, đoạn sông có tác dụng mở rộng, hạ lựu trong 500 mét cong gấp khúc thắt nhỏ, dòng chảy mặt khi có lũ bị thu hẹp, lòng sông ổn định hình chữ U, chất tạo lòng là đá lớn, đá vừa, hai bờ là đá phong hoá, cỏ dại; hiện tượng Castơ phát triển tương đối mạnh.

0,62-1,50

"35,0" 60,0

4,00-7,00

3,70-5,00

 

 

30

21

18

18

18

17

16

 

21

Đoạn sông tương đối cong, lòng sông ổn định, mực nước thấp có nhiều luồng lạch, hạ lưu cong gấp khúc; ghềng hình thành thu hẹp dòng nước, lòng sông phía thượng hạ lưu có đá độc lập và vũng sâu, mặt cắt dọc nhấp nhô, đáy sông là phiến đá xen đá lớn, hai bờ là núi cao đều là đá hoặc đất sỏi có cây cối rậm rạp; khi có nước lũ có hiện tượng xói lở.

0,40-1,30

 

9,00-25,0

0,25-30,0

70

51

40

33

22

16

16

14

 

 

22

Đoạn sông tương đối cong, thượng hạ lưu gấp khúc, hạ lưu có thác và co thắt, độ dốc lòng sông rất dốc, nhấp nhô hình thành làn sóng, có vũng sâu và rãnh sâu, nhiều đá ghềnh thác; thời kỳ nước lũ sóng cao, chảy xiết, độ dốc lớn mặt cắt đơn hình chữ U, lòng chính thường xuyên thay đổi, chất tạo lòng là sỏi đá lớn, đá nhỏ; hai bờ là phiến đá lẫn đá sỏi.

8,20-11,2

"110" 180

20,0-60,0

4,16-10,8

30

22

21

 

 

 

 

 

 

 

23

Đoạn sông thẳng, thượng lưu có ghềnh nước chảy tương đối xiết, hạ lưu sông cong và xuất hiện phiến đá, mặt cắt khống chế tương đối tốt, lòng sông hình chữ U; khi mực nước thấp có hiện tượng phân dòng, chất tạo lòng là sỏi, có hiện tượng xói bồi, hai bờ là đất sỏi dễ lở, vốn có đặc tính chung của dòng sông đồng bằng

0,82-16,0

 

22,0-60,0

1,11

29

26

24

24

 

 

 

 

 

 

 

B.2 Bảng tra hệ số nhám dùng cho sông vùng trung du và đồng bằng

Bảng B.2 - Bảng tra hệ số nhám dùng cho vùng trung du và đồng bằng của Sripnui

Loại

Đặc trưng dòng sông

Hệ số nhám n

1

Đoạn sông đào thẳng, có lớp bùn mỏng và lớp đất rắn chắc

0,020

2

Đoạn sông đào cong, có lớp bùn mỏng và lớp đất rắn chắc.

0,022

3

Đoạn sông thiên nhiên sạch, thẳng nước chảy phẳng lặng.

0,025

4

Đoạn sông vách đá, đáy có lớp đá nhỏ giống nhau.

0,030

5

Dòng chảy thường xuyên, chủ yếu chỉ lòng sông và nước chảy ở những dòng sông vừa lũ và tương đối lớn ở điều kiện tốt

0,035

6

Lòng sông nước chảy thường xuyên dưới điều kiện chung tương đối sạch, chùm nước chảy có độ cong không qui tắc, hoặc phương hướng của chùm nước chảy thẳng nhưng đáy sông không qui tắc như (bãi cạn, vũng sâu, đá nhấp nhô, bãi sông cỏ mọc thưa thớt).

0,040

7

Lòng sông của sông vừa và tương đối lớn bị ngăn chặn, cong bộ phân nào đó có cỏ mọc dày, lòng sông đá nước chảy không phẳng lặng có thực vật (như lau sậy, rong rêu) lòng sông vừa và ương đối lớn mà đã được chỉnh trị.

0,050

8

Lòng sông nước chảy chu kỳ, bị ngăn chặn nhiều, bãi sông cũng bị ngăn chặn, không được phẳng, chưa chỉnh trị, đoạn cong gấp khúc của đoạn sông vùng đồng bằng.

0,065

9

Lòng sông hoặc bãi sông có vũng sâu, cỏ nước mọc với mật độ dày (nước chảy rất chậm).

0,080

10

Giống như trên (9) nhưng có hiện tượng nước chảy xiên vật lại một cách rất không có qui tắc.

0,100

11

Dòng sông dạng đầm lầy, cỏ nước mọc dầy từng bãi ở rất nhiều chỗ bình thường nước không chảy, bãi sông có nhiều vũng sâu, bãi sông của hồ.

0,140

12

Giống loại (11) bãi sông cỏ dầy đặc cây cối um tùm.

0,200

 

B.3 Bảng tra hệ số nhám dùng cho sông thiên nhiên

Bảng 3 - Bảng tra hệ số nhám sông thiên nhiên của Vente Chow đại học ILLINIOS Hoa Kỳ

Loại

Đặc trưng đoạn sông

Hệ số nhám (10 -2 )

Nhỏ nhất

Trung Bình

Lớn nhất

(1)

(2)

(3)

(4)

(5)

I

Dòng chảy nhỏ (B < 100 ft = 30,5 m)

 

 

 

1

Dòng chảy ở đồng bằng thời kỳ lũ

 

 

 

a- Lòng dẫn phong quang (clean), thẳng, không có ghềnh, vực.

2,5

3,0

3,3

b- Giống như (a) nhưng có nhiều đá và rong hơn

3,0

3,5

4,0

c- Lòng dẫn phong quang, có uốn khúc, có một số vực và bãi cạn

3,3

4,0

4,5

d- Giống như (c) nhưng có thêm ít rong và đá

3,5

4,5

5,0

e- Giống như (d) nhưng mực nước ở giai đoạn thấp hơn

4,0

4,8

5,5

f- Giống như (d) nhưng nhiều đá hơn

4,5

5,0

6,0

g- Dòng chảy lờ đờ, lòng sông đầy cỏ dại, có vực sâu

5,0

7,0

8,0

h- Khúc sông rất nhiều cỏ dại, vực sâu hoặc cây và bụi rậm

7,5

10,0

15,0

2

Dòng chảy ở miền núi, lòng sông không có thực vật, bờ sông thường dốc, có cây cối và bụi rậm dọc theo hai bên bờ và bị ngập ở thời kỳ lũ lớn

 

 

 

a - Đáy: có sỏi đá, cuội sỏi và đá cuội

3,0

4,0

5,0

b - Đáy: sỏi cuội cùng với đá cuội lớn

4,0

5,0

7,0

II

Dòng chảy lớn (B ≥ 100ft = 30,5 m)

Giá trị của hệ số nhám n bé hơn dòng chảy nhỏ được mô tả tương tự ở (I) vì khả năng cản trở của bờ ít hơn

 

 

 

1

Mặt cắt theo quy luật, không có đá cuội hoặc cây bụi

2,5

6,0

2

Mặt cắt không theo quy luật và lởm chởm

3,5

...

10,0

 

Phụ lục C

(Quy định)

Hướng dẫn xác định hệ số nhám bằng phương pháp đo lưu lượng nước và độ dốc mặt nước

C.1 Lựa chọn tuyến quan trắc lưu lượng nước, tuyến quan trắc độ dốc mặt nước

Thực hiện theo TCVN 12635-2:2019, Phần 2: Vị trí công trình quan trắc đối với trạm thủy văn.

C.2 Quan trắc lưu lượng nước, độ dốc mặt nước

- Quan trắc lưu lượng nước thực hiện theo TCVN 12636-8:2020, Phần 8: Quan trắc lưu lượng nước sông vùng không ảnh hưởng thủy triều;

- Quan trắc độ dốc mặt nước thực hiện theo TCVN 12636-2:2019, Phần 2: Quan trắc mực nước và nhiệt độ nước sông.

C.3 Xác định hệ số nhám

Hệ số nhám được tính theo công thức:

Trong đó:

ω là diện tích mặt cắt ướt lúc đo Q;

R là bán kính thủy lực; R = ω /X o ;

X o là chu vi ướt, nếu sông lớn và vừa X o ≈ B thì R = ω/B = h;

I là độ dốc mặt nước trung bình trong thời gian đo lưu lượng nước;

Q là giá trị lưu lượng nước vừa đo được.

C.4 Thông thường hệ số nhám là đại lượng biến đổi nghịch với mực nước và ít ổn định, cho nên đối với mỗi cấp mực nước tốt nhất là xác định được hai giá trị hệ số nhám. Hệ số nhám của cấp mực nước là trung bình cộng của hai giá trị nói trên.

 

Phụ lục D

(Tham khảo)

Sử dụng giấy Lôga để kéo dài đường quan hệ mực nước với hệ số nhám H ~ n

D.1 Cơ sở khoa học

- Trường hợp đường quan hệ H~n được xác định trên cơ sở có nhiều điểm quan hệ (H, n) và biên độ cần kéo dài không lớn so với biên độ mực nước có tài liệu, thì ta có thể kéo dài theo xu thế.

- Trường hợp đường quan hệ H~n được xác định trên cơ sở có ít điểm quan hệ (H, n) và biên độ mực nước cần kéo dài lớn (trường hợp trong điều tra lũ phải quan trắc lưu lượng nước và độ dốc mặt nước để xác định hệ số nhám). Nếu kéo dài theo xu thế tới phần nước cao của đường cong quan hệ H~n thì sẽ mắc phải sai số rất lớn. Để khắc phục trường hợp nói trên bằng cách vẽ các điểm quan hệ (H, n) trên giấy lôga (biểu 7 Phụ lục A) và xác định đường thẳng qua trung tâm bằng điểm quan hệ (H, n). Kéo dài đường thẳng quan hệ H ~ n tới giá trị mực nước cần xác định giá trị n.

D.2 Điều kiện áp dụng

- Về lý luận chỉ cần hai điểm quan hệ (H, n) không trùng nhau, dùng giấy lôga là xác định được chính xác đường thẳng quan hệ H~n. Trong quan trắc lưu lượng nước và độ dốc mặt nước để xác định hệ số nhám khi điều tra lũ có độ chính xác thấp. Vì thế cần phải có nhiều điểm quan hệ (H, n) phân bố ở nhiều cấp mực nước khác nhau mới hạn chế được sai số.

- Trong điều tra lũ: nếu sử dụng giấy lôga để kéo dài đường quan hệ mực nước với hệ số nhám H ~ n cần quan trắc lưu lượng nước và độ dốc mặt nước ít nhất là bốn lần để xác định bốn điểm quan hệ (H, n). Biên độ mực nước có tài liệu quan trắc được nhỏ nhất là một mét.

D.3 Cách xác định đường quan hệ H ~ n

D.3.1 Trên giấy lôga chuyên dụng (biểu 7 Phụ lục A) chấm các điểm quan hệ có tọa độ (H, n).

a) Trục tung là trục mực nước, tỷ lệ tùy chọn cho thích hợp với mực nước có tài liệu. Nếu cần có thể can hai tờ thành một tờ bằng cách cắt bỏ một phần dưới của tờ trên và phần trên của tờ dưới, sau đó can hai tờ với nhau thành một sao cho:

- Tất cả các đường thẳng đứng của hai tờ trùng, khớp;

- Có ít nhất một đường nằm ngang của tờ trên trùng một đường nằm ngang của tờ dưới.

b) Trục hoành là trục hệ số nhám, các giá trị hệ số nhám được xác định sẵn, khống chế toàn bộ các giá trị hệ số nhám trong thực tế đã đo đạc được.

D.3.2 Định đường thẳng qua trung tâm băng điểm và kéo dài tới giá trị mực nước cần xác định hệ số nhám.

 

Phụ lục E

(Tham khảo)

Sử dụng quan hệ M max ~ F để kiểm tra lưu lượng nước lũ điều tra

 

Phụ lục F

(Tham khảo)

Mẫu phiếu điều tra vết lũ

CƠ QUAN QUẢN LÝ
ĐƠN VỊ THỰC HIỆN ĐIỀU TRA
-------
(Đóng dấu treo của đơn vị)

CỘNG HÒA XÃ HỘI CHỦ NGHĨA VIỆT NAM
Độc lập - Tự do - Hạnh phúc
---------------

 

PHIẾU ĐIỀU TRA VẾT LŨ, NGẬP LỤT

(Số phiếu điều tra: ……………..)

 

Sơ họa vị trí vết lũ/vết nước ngập

1. Vị trí vết lũ điều tra:

- Tên/số hiệu vết lũ: ……………………..

- Kinh độ: ………………………………….

- Vĩ độ: …………………………………….

- Độ cao ngập so với mặt nền: ………….

- Thôn/Xóm: ……………………………….

- Xã/Phường: ……………………………..

- Tỉnh/Thành phố: …………………………

 

- Công trình kiến trúc, vật thể lưu giữ vết lũ: ………………………………………………………….

2. Thông tin người được phỏng vấn/điều tra vết lũ, ngập lụt:

- Họ và tên: ………………………….…………..……….. Nghề nghiệp:……………………………….

- Địa chỉ (Thôn/Xóm, Xã/Phường, Tỉnh/Thành phố): ………………………………………………….

………………………………………………………………………………………………………………..

3. Thời gian xảy ra ngập lụt Ông/Bà có mặt ở khu vực này không?: ……………………………….

- Thời gian khi lũ đạt đỉnh:………………… giờ…. ngày….. tháng…… năm 20 …….

- Thời gian ngập lụt kéo dài trong bao lâu: ……………………………………………………………..

4. Mực nước lũ này tương đương hoặc cao hơn các trận lũ nào đã xảy ra trong quá khứ, mô tả thêm về trận lũ:

……………………………………………………………………………………………………………….

……………………………………………………………………………………………………………….

5. Ông bà cho biết nguyên nhân ngập lụt trong khu vực, thiệt hại do lũ gây ra,...:

……………………………………………………………………………………………………………….

 

 

Ngày tháng năm 20

Người cung cấp thông tin

(Ký tên)

Người điều tra

 

Thư mục tài liệu tham khảo

[1] 94 TCN 16-00, Quy phạm điều tra lũ vùng sông không ảnh hưởng thủy triều;

[2] Hướng dẫn khảo sát trạm thủy văn do Cục Kỹ Thuật Điều Tra Cơ Bản ban hành năm 1985.

 

MỤC LỤC

Lời nói đầu

1 Phạm vi áp dụng

2 Tài liệu viện dẫn

3 Thuật ngữ, định nghĩa, ký hiệu, đơn vị đo và lấy số có nghĩa

3.1 Thuật ngữ, định nghĩa

3.2 Ký hiệu, đơn vị đo và lấy số có nghĩa

4 Quy định chung

4.1 Mục đích, yêu cầu điều tra lũ

4.2 Các yếu tố điều tra và tính toán sau điều tra lũ

4.3 Đánh giá kết quả điều tra lũ

5 Công tác chuẩn bị trước khi đi thực địa

5.1 Thu thập tài liệu có liên quan

5.2 Xây dựng phương án điều tra lũ

6 Điều tra ngoài thực địa

6.1 Điều tra và xác nhận vết lũ

6.2 Điều tra thời gian xuất hiện đỉnh lũ

7 Đo đạc ngoài thực địa

7.1 Khu vực đo đạc địa hình

7.2 Đo dẫn tọa độ, độ cao

7.3 Đo mặt cắt ngang

7.4 Đo đạc địa hình khu vực đoạn sông điều tra

8 Chỉnh lý tài liệu điều tra, đo đạc

8.1 Chỉnh lý số liệu điều tra và xác nhận vết lũ

8.2 Kiểm tra số liệu đo dẫn độ cao

8.3 Chỉnh lý số liệu đo mặt cắt ngang; mặt cắt dọc

8.4 Chỉnh lý số liệu đo địa hình

8.5 Xác định vùng ngập lụt

9 Các phương pháp tính lưu lượng lũ điều tra và điều kiện áp dụng

9.1 Phương pháp kéo dài đường quan hệ mực nước và lưu lượng nước

9.2 Phương pháp độ dốc

9.3 Phương pháp đường cong mặt nước

9.4 Phương pháp mặt cắt phân giới

10 Tổng hợp, hoàn chỉnh báo cáo điều tra lũ

10.1 Kiểm tra tính hợp lý của mực nước và đánh giá lưu lượng nước lũ điều tra

10.2 Nội dung và các hạng mục của thuyết minh trong báo cáo điều tra lũ

10.3 Các loại biểu, biểu đồ, bình đồ trong báo cáo điều tra lũ

10.4 Quy cách báo cáo

Phụ lục A (Quy định) Một số biểu mẫu trong điều tra lũ

Phụ lục B (Quy định) Bảng tra hệ số nhám

Phụ lục C (Quy định) Hướng dẫn xác định hệ số nhám bằng phương pháp đo lưu lượng nước và độ dốc mặt nước

Phụ lục D (Tham khảo) Sử dụng giấy Lôga để kéo dài đường quan hệ mực nước với hệ số nhám H ~ n.

Phụ lục E (Tham khảo) Sử dụng quan hệ M max ~ F để kiểm tra lưu lượng nước lũ điều tra

Thư mục tài liệu tham khảo

Bạn chưa Đăng nhập thành viên.

Đây là tiện ích dành cho tài khoản thành viên. Vui lòng Đăng nhập để xem chi tiết. Nếu chưa có tài khoản, vui lòng Đăng ký tại đây!

* Lưu ý: Để đọc được văn bản tải trên Luatvietnam.vn, bạn cần cài phần mềm đọc file DOC, DOCX và phần mềm đọc file PDF.

Văn bản liên quan Tiêu chuẩn Việt Nam TCVN 12636-18:2025

01

Tiêu chuẩn Quốc gia TCVN 8226:2009 Công trình thủy lợi-Các quy định chủ yếu về khảo sát mặt cắt và bình đồ địa hình các tỷ lệ từ 1/200 đến 1/5000

02

Tiêu chuẩn Việt Nam TCVN 8224:2009 Công trình thủy lợi-Các quy định chủ yếu về lưới khống chế mặt bằng địa hình

03

Tiêu chuẩn Quốc gia TCVN 8225:2009 Công trình thuỷ lợi-Các quy định chủ yếu về lưới khống chế cao độ địa hình

04

Tiêu chuẩn Quốc gia TCVN 12635-2:2019 Công trình quan trắc khí tượng thủy văn - Phần 2: Vị trí, công trình quan trắc đối với trạm thủy văn

05

Tiêu chuẩn Quốc gia TCVN 12636-3:2019 Quan trắc khí tượng thủy văn - Phần 3: Quan trắc hải văn

văn bản cùng lĩnh vực

văn bản mới nhất

Chú thích màu chỉ dẫn
Chú thích màu chỉ dẫn:
Các nội dung của VB này được VB khác thay đổi, hướng dẫn sẽ được làm nổi bật bằng các màu sắc:
Sửa đổi, bổ sung, đính chính
Thay thế
Hướng dẫn
Bãi bỏ
Bãi bỏ cụm từ
Bình luận
Click vào nội dung được bôi màu để xem chi tiết.
×