- Tổng quan
- Nội dung
- Tiêu chuẩn liên quan
- Lược đồ
- Tải về
Tiêu chuẩn TCVN 10778:2024 Hồ chứa nước - Xác định các mực nước đặc trưng
| Số hiệu: | TCVN 10778:2024 | Loại văn bản: | Tiêu chuẩn Việt Nam |
| Cơ quan ban hành: | Bộ Khoa học và Công nghệ | Lĩnh vực: | Tài nguyên-Môi trường , Nông nghiệp-Lâm nghiệp |
| Trích yếu: | Hồ chứa nước - Xác định các mực nước đặc trưng | ||
|
Ngày ban hành:
Ngày ban hành là ngày, tháng, năm văn bản được thông qua hoặc ký ban hành.
|
31/12/2024 |
Hiệu lực:
|
Đã biết
|
| Người ký: | Đang cập nhật |
Tình trạng hiệu lực:
Cho biết trạng thái hiệu lực của văn bản đang tra cứu: Chưa áp dụng, Còn hiệu lực, Hết hiệu lực, Hết hiệu lực 1 phần; Đã sửa đổi, Đính chính hay Không còn phù hợp,...
|
Đã biết
|
TÓM TẮT TIÊU CHUẨN VIỆT NAM TCVN 10778:2024
Tiêu chuẩn quốc gia TCVN 10778:2024 - Hồ chứa nước và phương pháp xác định mực nước đặc trưng
Ngày 31/12/2024, Bộ Nông nghiệp và Phát triển Nông thôn đã ban hành Tiêu chuẩn quốc gia TCVN 10778:2024 về Hồ chứa nước - Xác định các mực nước đặc trưng. Bản tiêu chuẩn này có hiệu lực từ ngày ban hành và thay thế cho TCVN 10778:2015.
Tiêu chuẩn điều chỉnh các phương pháp tính toán và xác định các mực nước đặc trưng của hồ chứa nước, phục vụ cho việc thiết kế và khai thác hồ nước.
Đối tượng điều chỉnh và phạm vi áp dụng
Tiêu chuẩn này áp dụng cho các hồ chứa nước được sử dụng trong thủy lợi và thủy điện, gồm cả các công trình liên quan đến việc kiểm soát lũ và cung cấp nước cho nông nghiệp, công nghiệp và sinh hoạt.
Các mực nước đặc trưng của hồ chứa
Các mực nước đặc trưng trong hồ chứa nước bao gồm:
- Mực nước chết (Zc): Mực nước thấp nhất mà vẫn đảm bảo hoạt động bình thường (thường dùng cho tưới, xả lũ).
- Mực nước dâng bình thường (Zbt): Mực nước cần đạt vào cuối thời kỳ tích nước để đảm bảo cung cấp đủ nước theo thiết kế.
- Mực nước đón lũ (Zđl): Mực nước tối đa mà hồ có thể duy trì trước khi có lũ, nhằm cắt giảm lưu lượng lũ hạ nguồn.
- Mực nước lớn nhất thiết kế (Zlu tk) và mực nước lớn nhất kiểm tra (Zlu kt): Các mực nước cao nhất tương ứng với tình huống lũ thiết kế và lũ kiểm tra.
Phân cấp và phân loại hồ chứa
Hồ chứa nước được phân thành năm cấp (đặc biệt, I, II, III, IV) và có thể được phân loại thành hồ chứa đơn mục tiêu (mục đích duy nhất) hoặc đa mục tiêu (cung cấp cho nhiều đối tượng khác nhau). Hồ cũng được phân loại theo chu kỳ điều tiết như điều tiết ngắn hạn (ngày đêm, tuần) và dài hạn (năm, nhiều năm).
Yêu cầu về tính toán và tài liệu
Các yêu cầu đối với mực nước và dung tích của hồ phải bảo đảm cấp đủ nước, an toàn cho công trình hồ chứa trong tình huống lũ, và đảm bảo duy trì dòng chảy tối thiểu để bảo vệ hệ sinh thái. Tài liệu cần thiết bao gồm số liệu khí tượng, thủy văn, địa hình và địa chất để xác định chính xác các tham số thiết kế.
Tóm lại, TCVN 10778:2024 quy định các tiêu chuẩn cần thiết cho việc thiết kế, xây dựng và quản lý hồ chứa nước, giúp đảm bảo hiệu quả trong việc sử dụng nguồn nước cho đa dạng mục đích, đồng thời đảm bảo an toàn và bảo vệ môi trường.
Tải tiêu chuẩn Việt Nam TCVN 10778:2024
TIÊU CHUẨN QUỐC GIA
TCVN 10778:2024
HỒ CHỨA NƯỚC - XÁC ĐỊNH CÁC MỰC NƯỚC ĐẶC TRƯNG
Reservoir - Determination of specific water levels
LỜI NÓI ĐẦU
TCVN 10778:2024 thay thế TCVN 10778:2015.
TCVN 10778:2024 do Trường Đại học Thủy lợi biên soạn, Bộ Nông nghiệp và Phát triển Nông thôn đề nghị, Bộ Khoa học và Công nghệ thẩm định và công bố.
HỒ CHỨA NƯỚC - XÁC ĐỊNH CÁC MỰC NƯỚC ĐẶC TRƯNG
Reservoir - Determination of specific water levels
1. Phạm vi áp dụng
Tiêu chuẩn này quy định phương pháp tính toán, xác định các mực nước đặc trưng của hồ chứa nước.
2. Tài liệu viện dẫn
Các tài liệu viện dẫn sau rất cần thiết cho việc áp dụng tiêu chuẩn này. Đối với các tài liệu viện dẫn ghi năm công bố thì áp dụng phiên bản được nêu. Đối với các tài liệu viện dẫn không ghi năm công bố thì áp dụng phiên bản mới nhất, bao gồm cả các sửa đổi, bổ sung (nếu có):
TCVN 8477 Công trình thủy lợi - Thành phần, khối lượng khảo sát địa chất trong các giai đoạn lập dự án và thiết kế;
TCVN 8478 Công trình thủy lợi - Thành phần, khối lượng khảo sát địa hình trong các giai đoạn lập dự án và thiết kế;
TCVN 9147 Công trình thủy lợi - Qui trình tính toán thủy lực đập tràn;
TCVN 9151 Công trình thủy lợi - Qui trình tính toán thủy lực cống dưới sâu;
TCVN 12571 Công trình thủy lợi - Thành phần nội dung công tác khảo sát, tính toán thủy văn trong giai đoạn lập dự án và thiết kế;
TCVN 12910 Luồng đường thủy nội địa - Yêu cầu thiết kế;
TCVN 13615 Tính toán các đặc trưng thủy văn thiết kế.
3. Thuật ngữ và định nghĩa
Tiêu chuẩn này sử dụng các thuật ngữ được định nghĩa như sau:
3.1
Hồ chứa nước (Reservoir)
Công trình được hình thành bởi đập dâng nước và các công trình có liên quan để tích trữ nước, có nhiệm vụ chính là điều tiết dòng chảy, cắt, giảm lũ, cung cấp nước cho sản xuất nông nghiệp, công nghiệp, sinh hoạt, phát điện và cải thiện môi trường; bao gồm hồ chứa thủy lợi và hồ chứa thủy điện.
3.2
Các mực nước đặc trưng của hồ chứa nước (Specific reservoir water levels)
Các mực nước dùng để thiết kế công trình dâng nước tạo thành hồ chứa nước, bao gồm:
3.2.1 Mực nước chết (Minimum water level): Mực nước khai thác thấp nhất của hồ chứa nước mà ở mực nước này công trình vẫn đảm bảo khai thác vận hành bình thường, ký hiệu Zc (m);
3.2.1 Mực nước dâng bình thường (Normal water level): Mực nước hồ cần phải đạt được ở cuối thời kỳ tích nước để đảm bảo cung cấp đủ nước theo mức đảm bảo thiết kế, ký hiệu Zbt (m);
3.2.3 Mực nước đón lũ (còn gọi là mực nước phòng lũ hoặc mực nước trước lũ) (Pre-flood water level): Mực nước hồ cao nhất được phép duy trì trước khi có lũ để hồ chứa nước thực hiện nhiệm vụ cắt, giảm lũ cho hạ lưu, ký hiệu Zđl (m);
3.2.4 Mực nước lớn nhất thiết kế (Top of design-flood control storage): Mực nước cao nhất xuất hiện trong hồ chứa nước khi trên lưu vực xảy ra lũ thiết kế, ký hiệu Zlu tk (m);
3.2.5 Mực nước lớn nhất kiểm tra (Top of check-flood control storage): Mực nước cao nhất xuất hiện trong hồ chứa nước khi trên lưu vực xảy ra lũ kiểm tra, ký hiệu Zlu kt (m);
Sơ họa các mực nước đặc trưng của hồ chứa nước được trình bày trong Hình 1.
3.3
Các dung tích đặc trưng của hồ chứa nước (Specific reservoir storage zones)
Bao gồm các loại dung tích sau:
3.3.1 Dung tích chết (Inactive storage): Phần dung tích của hồ chứa nước nằm dưới mực nước chết, ký hiệu là Vc (m3);
3.3.2 Dung tích hữu ích (Active storage): Phần dung tích của hồ chứa nước nằm trong phạm vi từ mực nước chết đến mực nước dâng bình thường, ký hiệu là Vh (m3);
3.3.3 Dung tích phòng lũ (Flood control storage): Phần dung tích của hồ chứa nước nằm trong phạm vi từ mực nước đón lũ đến mực nước lớn nhất kiểm tra làm nhiệm vụ điều tiết lũ, ký hiệu là Vpl (m3). Tùy thuộc vào điều kiện cụ thể của từng hồ chứa nước, dung tích phòng lũ có thể bố trí nằm dưới mực nước dâng bình thường hoặc nằm từ mực nước dâng bình thường trở lên.
Sơ họa các dung tích đặc trưng của hồ chứa nước được trình bày trong Hình 1.

CHÚ DẪN: Vc, Vh, Vpl: dung tích chết, dung tích hữu ích và dung tích phòng lũ;
Zc, Zđl, Zbt, Zlu tk, Zlu kt: tương ứng là mực nước chết, mực nước đón lũ, mực nước dâng bình thường, mực nước lũ lớn nhát thiết kế và mực nước lũ lớn nhất kiểm tra.
Hình 1. Các đặc trưng mực nước và dung tích của hồ chứa nước
3.4
Đường đặc tính hồ chứa nước (reservoir area - capacity curves)
Gồm hai đường cơ bản sau:
3.4.1 Đường đặc tính diện tích mặt nước hồ: Đường biểu diễn quan hệ giữa mực nước hồ với diện tích mặt hồ;
3.4.2 Đường đặc tính dung tích hồ: Đường biểu diễn quan hệ giữa mực nước hồ với dung tích chứa của hồ.
3.5
Điều tiết hồ chứa nước (reservoir regulation)
Biện pháp phân phối lại dòng chảy sông ngòi theo thời gian và không gian nhằm đáp ứng các yêu cầu khai thác, sử dụng nước và giảm nhẹ lũ cho hạ du.
3.6
Vùng ngập lụt hạ du đập (downstream flooded area)
Vùng bị ngập lụt khi hồ xả nước theo quy trình; xả lũ trong tình huống khẩn cấp hoặc vỡ đập.
3.7
Tình huống khẩn cấp (emergency situation)
Trường hợp mưa, lũ vượt tần suất thiết kế; động đất vượt tiêu chuẩn thiết kế trên lưu vực hồ chứa nước hoặc tác động khác gây mất an toàn cho đập.
3.8
Độ sâu công tác (operating depth)
Khoảng cách thẳng đứng tính từ mực nước dâng bình thường đến mực nước làm việc nhỏ nhất, ký hiệu là hct, đơn vị là m. Trị số hct được gọi là độ sâu công tác có lợi khi nhà máy thủy điện vận hành với độ sâu công tác này có công suất đảm bảo phát điện trong mùa kiệt là lớn nhất và điện lượng phát ra trong mùa kiệt cũng lớn nhất.
3.9
Dòng chảy tối thiểu (minimum flow)
Dòng chảy ở mức thấp nhất cần thiết để duy trì dòng sông, suối hoặc đoạn sông, suối nhằm bảo đảm sự phát triển bình thường của hệ sinh thái thủy sinh và bảo đảm mức tối thiểu cho hoạt động khai thác, sử dụng nước.
3.10
Mức bảo đảm phục vụ của công trình (percentage of years that fully supplies water demand)
Số năm công trình đảm bảo làm việc theo đúng nhiệm vụ thiết kế trong chuỗi 100 năm khai thác liên tục, được tính bằng tỷ lệ phần trăm.
3.11
Thời gian khai thác (service life)
Thời gian khai thác tính từ năm đầu tích nước đến khi cao trình bề mặt bùn cát lắng đọng trước tuyến chịu áp đạt bằng cao trình ngưỡng cửa nhận nước chính trong điều kiện khai thác bình thường, ký hiệu T (năm).
3.12
Bốc hơi phụ thêm (additional evaporation)
(còn gọi là bốc hơi gia tăng) Chênh lệch giữa bốc hơi mặt nước và bốc hơi lưu vực khi xây dựng hồ chứa nước, ký hiệu là ΔZ, đơn vị là mm.
3.13
Nước dềnh (upstream water level rising)
Hiện tượng mực nước ở thượng lưu hồ bị dâng lên so với mực nước hồ tại tuyến đập khi xảy ra lũ và/hoặc khi thay đổi mặt cắt lòng hồ do bồi lắng, xói lở.
3.14
Lũ thiết kế (design flood)
Trận lũ theo tính toán có thể sẽ xuất hiện tại tuyến xây dựng công trình tương ứng với tần suất thiết kế.
3.15
Lũ kiểm tra (check flood)
Trận lũ theo tính toán có thể sẽ xuất hiện tại tuyến xây dựng công trình tương ứng với tần suất kiểm tra.
4. Phân cấp và phân loại hồ chứa nước
4.1 Phân cấp
Hồ chứa nước được phân thành 5 cấp gồm: cấp đặc biệt, cấp I, cấp II, cấp III và cấp IV theo quy định hiện hành.
4.2 Phân loại
Trong tiêu chuẩn này hồ chứa nước được phân loại như sau:
4.2.1 Phân loại theo nhiệm vụ khai thác
4.2.1.1. Hồ chứa thủy lợi: Hồ chứa nước được xây dựng với mục đích chính là cung cấp nước cho sản xuất nông nghiệp, công nghiệp, sinh hoạt, kết hợp cắt, giảm lũ.
4.2.2.2. Hồ chứa thủy điện: Hồ chứa nước được xây dựng với mục đích chính là phát điện.
4.2.2 Phân loại theo số lượng nhiệm vụ khai thác
4.2.2.1 Hồ chứa nước đơn mục tiêu (Single-purpose reservoir)
Hồ chứa nước có nhiệm vụ chính là điều tiết dòng chảy cung cấp nước cho một trong các đối tượng khai thác, sử dụng nước: nông nghiệp, công nghiệp, sinh hoạt, phát điện và cải thiện môi trường.
4.2.2.2 Hồ chứa nước đa mục tiêu (Multiple-purpose reservoir)
Hồ chứa nước có nhiệm vụ chính là điều tiết dòng chảy cung cấp nước cho từ hai đối tượng khai thác, sử dụng nước trở lên.
4.2.3 Phân loại theo chu kỳ điều tiết
4.2.3.1. Hồ chứa nước điều tiết ngày đêm: Điều tiết phân phối lại dòng chảy của sông cho phù hợp với yêu cầu khai thác, sử dụng nước trong phạm vi một ngày. Loại này thường phục vụ cấp nước cho sinh hoạt, phát điện khi mà yêu cầu nước cho một ngày không đồng đều;
4.2.3.2. Hồ chứa nước điều tiết tuần: Điều tiết phân phối lại dòng chảy của sông cho phù hợp với yêu cầu khai thác, sử dụng nước trong phạm vi một tuần, nhằm giải quyết tình trạng yêu cầu nước không đồng đều giữa ngày bình thường và ngày nghỉ;
4.2.3.3. Hồ chứa nước điều tiết năm (còn gọi là điều tiết mùa): Điều tiết phân phối lại dòng chảy của sông trong phạm vi một năm bằng cách tích trữ một phần lượng dòng chảy mùa lũ để cung cấp thêm nước trong mùa kiệt;
4.2.3.4. Hồ chứa nước điều tiết nhiều năm: Điều tiết trữ một phần lượng dòng chảy ở những năm nhiều nước để cấp thêm nước trong những năm ít nước.
Điều tiết ngày đêm và điều tiết tuần còn được gọi chung là điều tiết ngắn hạn, điều tiết năm và điều tiết nhiều năm còn được gọi chung là điều tiết dài hạn.
5. Yêu cầu về tài liệu
5.1 Tài liệu về khí tượng - thủy văn
Thành phần, khối lượng và yêu cầu kỹ thuật đối với từng loại tài liệu cụ thể phụ thuộc vào yêu cầu của từng giai đoạn thiết kế thực hiện theo quy định tại TCVN 12571 và TCVN 13615 bao gồm;
a) Đặc điểm địa lý tự nhiên, khí hậu khí tượng, thủy văn lưu vực; các đặc trưng hình thái sông ngòi và lưu vực;
b) Các đặc trưng khí hậu, khí tượng;
c) Các đặc trưng thủy văn thiết kế.
5.2 Tài liệu địa hình, địa chất
Thành phần, khối lượng và yêu cầu kỹ thuật đối với từng loại tài liệu cụ thể phụ thuộc vào yêu cầu của từng giai đoạn thiết kế thực hiện theo quy định tại TCVN 8477 và TCVN 8478 bao gồm:
a) Bình đồ địa hình lòng hồ;
b) Mặt cắt ngang sông ở phía hạ lưu đập ngăn sông và công trình tháo nước;
c) Đặc điểm địa chất lòng hồ, bờ hồ, các sườn dốc và trên lưu vực;
d) Đặc điểm động đất và kiến tạo trong khu vực.
5.3 Các loại tài liệu khác
Gồm các tài liệu chính sau đây:
a) Tài liệu về thiên tai đã xảy ra trên lưu vực hồ;
b) Đặc tính đất, hiện trạng rừng và chất lượng thảm phủ trên lưu vực hồ (rừng tự nhiên, rừng trồng, đồi hoang, đất canh tác, mật độ che phủ và tỷ lệ che phủ, phân bố các loại thảm phủ trên lưu vực);
c) Yêu cầu khai thác, sử dụng nước từ hồ chứa nước và cao trình mực nước ở hạ lưu cần đáp ứng cho từng đối tượng hưởng lợi như cấp nước cho sinh hoạt, sản xuất nông nghiệp, phát điện, công nghiệp, du lịch, dịch vụ, bảo vệ môi trường, các đối tượng khai thác, sử dụng nước đang hoạt động ở thời điểm hiện tại và dự báo phát triển trong tương lai;
d) Yêu cầu về phòng lũ và an toàn cho dân cư, sản xuất, giao thông, quốc phòng và các công trình ở vùng thượng lưu và hạ lưu hồ chứa nước;
e) Yêu cầu về phát triển kinh tế - xã hội và an ninh - quốc phòng trên lưu vực cần đáp ứng khi hình thành hồ chứa nước;
f) Đặc điểm sản xuất nông nghiệp và các ngành kinh tế khác trên lưu vực hồ như tỷ lệ diện tích và phân bố các loại đất đang được sử dụng, cơ cấu cây trồng và biện pháp canh tác trên đất dốc, tình trạng khai thác lâm sàng và khoáng sản.
6. Quy định chung
Các loại mực nước đặc trưng của hồ chứa nước được xác định từ các yêu cầu cơ bản sau đây:
6.1 Cấp đủ nước theo đúng biểu đồ khai thác, sử dụng nước và mức bảo đảm cấp nước không thấp hơn quy định.
6.2 Đảm bảo an toàn cho bản thân công trình khi xảy ra lũ thiết kế và lũ kiểm tra.
6.3 Đảm bảo dòng chảy tối thiểu theo quy định hiện hành.
6.4 Đối với hồ chứa nước có thêm nhiệm vụ phòng lũ hạ du, phải đảm bảo đủ dung tích để cắt, giảm lũ cho hạ du theo nhiệm vụ phòng lũ.
7. Dung tích chết và mực nước chết
7.1 Yêu cầu chung
Dung tích chết và mực nước chết của hồ chứa nước phải đồng thời thỏa mãn các yêu cầu sau:
7.1.1 Trữ được dung tích bùn cát bồi lắng trong thời gian khai thác[2].
7.1.2 Đảm bảo điều kiện hoạt động bình thường cho công trình xả dòng chảy tối thiểu, công trình lấy nước tưới hoặc tuốc bin phát điện.
7.1.3 Cấp đủ nước theo nhiệm vụ thiết kế cho các yêu cầu sử dụng nước: nuôi trồng thủy sản, du lịch, nghỉ dưỡng, vận tải thủy.
7.2 Theo điều kiện bồi lắng
Mực nước chết Zc cao hơn cao trình bề mặt bùn cát bồi lắng (ký hiệu là Zbc) sau thời gian khai thác hồ chứa nước[2].
Có thể tham khảo Phụ lục A hướng dẫn phương pháp tính toán xác định thể tích bùn cát, cao trình bùn cát lắng đọng trong lòng hồ sau thời gian vận hành khai thác và xác định mực nước chết theo điều kiện bồi lắng.
7.3 Theo yêu cầu tưới
Để lấy được nước tưới tự chảy, mực nước chết Zc của hồ phải cao hơn hoặc bằng cao trình cấp nước tưới tự chảy (Ztc) tại vị trí cửa ra của cống cộng với tổn thất cột nước qua cống:
| Zc ≥ Ztc + ΔZ | (1) |
trong đó:
Ztc là mực nước yêu cầu tưới tự chảy tại vị trí cửa ra ở phía sau cống, được xác định thông qua kết quả tính toán thủy nông hoặc tính toán thủy lực mạng dẫn nước tưới (m);
ΔZ là tổng tổn thất cột nước trên đường dẫn nước từ hồ đến điểm cấp nước (m). ΔZ được xác định theo kết quả tính toán thủy lực tương ứng với trường hợp mực nước hồ ở mực nước chết lấy được lưu lượng theo thiết kế.
7.4 Theo yêu cầu phát điện
7.4.1 Đối với hồ có nhiệm vụ phát điện là chính thì ngoài các yêu cầu quy định tại 7.1, 7.2, mực nước chết còn phải thoả mãn điều kiện kỹ thuật của thiết bị thủy điện: khi làm việc ở mực nước này tuốc bin vẫn hoạt động bình thường và nằm trong vùng hiệu suất cho phép. Mực nước chết có thể cao hơn thông qua tính toán tối ưu kinh tế năng lượng (xem 8.3.5).
7.4.2 Đối với hồ chứa nước có nhiệm vụ cấp nước và phát điện: thực hiện theo các yêu cầu quy định tại các khoản 7.1, 7.2, 7.3 và 7.4.1.
7.5 Theo yêu cầu nuôi trồng thủy sản
7.5.1 Đối với hồ chứa nước có thêm nhiệm vụ nuôi trồng thủy sản: ngoài yêu cầu quy định tại 7.1, 7.2, mực nước chết còn phải thoả mãn điều kiện sinh trưởng và phát triển bình thường của các loài nuôi.
7.5.2 Mực nước chết theo yêu cầu nuôi trồng thủy sản xác định theo công thức sau:
| Zc = Zbc + Δh | (2) |
trong đó:
Zbc là cao trình của mặt trên của lớp bùn cát bồi lắng trong hồ sau thời gian khai thác (m);
Δh là độ sâu lớp nước tối thiểu cần phải duy trì trong hồ thoả mãn điều kiện sinh trưởng và phát triển bình thường của các loài nuôi (m).
7.6 Theo yêu cầu du lịch, nghỉ dưỡng
Đối với hồ chứa nước có thêm nhiệm vụ du lịch, nghỉ dưỡng: ngoài yêu cầu quy định tại 7.1 và 7.2, mực nước chết còn phải duy trì ở cao trình cần thiết để đảm bảo cảnh quan du lịch.
7.7 Theo yêu cầu vận tải thủy
Đối với hồ chứa nước có thêm nhiệm vụ vận tải thủy: ngoài yêu cầu quy định tại 7.1 và 7.2, mực nước chết còn phải thoả mãn điều kiện có đủ độ sâu đảm bảo các phương tiện vận tải thủy có tải trọng cho phép lưu thông trên hồ trong mùa kiệt hoạt động bình thường.
Mực nước chết được xác định theo công thức sau:
| Zc = Zbc + [H]GT | (3) |
trong đó:
Zbc là cao trình mặt trên của lớp bùn cát bồi lắng trong hồ sau thời gian khai thác (m). Zbc lấy tại vị trí cao nhất trên luồng dẫn cho phép phương tiện vận tải thủy qua lại (m);
[H]GT là độ sâu nước tối thiểu cho phép các phương tiện vận tải thủy có tải trọng lớn nhất lưu thông bình thường (m), xác định theo TCVN 12910.
7.8 Xác định mực nước chết và dung tích chết tổng hợp theo các yêu cầu dùng nước
Đối với hồ nước đa mục tiêu, ngoài các yêu cầu quy định tại 7.1, 7.2, còn phải xác định mực nước chết tương ứng theo từng nhiệm vụ riêng biệt. Căn cứ vào thứ tự ưu tiên và mức độ ưu tiên cấp nước của từng nhiệm vụ và khả năng cấp nước của hồ, thông qua phân tích hiệu quả kinh tế và kỹ thuật để lựa chọn mực nước chết phù hợp.
8. Dung tích hữu ích và mực nước dâng bình thường
8.1 Yêu cầu chung
8.1.1 Tài liệu cơ bản
Căn cứ quá trình dòng chảy đến hồ chứa, các loại tổn thất và yêu cầu khai thác, sử dụng nước để tính toán cân bằng nước, xác định dung tích hữu ích của hồ chứa nước. Căn cứ vào tổng dung tích chết (Vc) và dung tích hữu ích (Vh), đường đặc tính dung tích hồ chứa nước để xác định mực nước dâng bình thường. Khi lựa chọn dung tích hữu ích và mực nước dâng bình thường cần xem xét các ràng buộc về ngập lụt thượng lưu, điều kiện địa chất, môi trường, các vấn đề xã hội, chính trị hoặc các điều kiện kinh tế, kỹ thuật khác.
8.1.2 Lựa chọn phương pháp
Việc tính toán dung tích hữu ích và mực nước dâng bình thường có thể lựa chọn một trong các phương pháp sau: phương pháp lập bảng, phương pháp tính lặp, phương pháp điều tiết toàn chuỗi, phương pháp mô hình toán.
8.1.3 Cơ sở tính toán điều tiết cấp nước
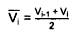
Áp dụng nguyên lý cân bằng giữa quá trình dòng chảy đến hồ và quá trình cấp nước của hồ tương ứng với từng thời đoạn tính toán để tính toán điều tiết hồ chứa cấp nước (gọi chung là nguyên lý cân bằng nước). Kết quả tính toán điều tiết cấp nước là xác định được dung tích hữu ích của hồ. Nguyên lý cân bằng nước xác định bằng phương trình sau:
| (Qvi-Qri) x Δti = ΔVi | (4) |
trong đó:
| ΔVi = Vi - Vi-1 | (5) |
Vi-1 là dung tích hồ chứa nước tại đầu thời đoạn tính toán (thời điểm ti-1), là trị số đã biết (m3);
Vi là dung tích hồ chứa nước tại cuối thời đoạn tính toán (thời điểm ti), là trị số cần tìm (m3);
Δti là thời đoạn tính toán cân bằng thứ i, tính bằng giây (s): Δti = ti - ti-1;
Qvi là lưu lượng dòng chảy vào hồ trung bình trong thời đoạn tính toán Δti (m3/s);
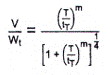
Qri là lưu lượng nước ra khỏi hồ bình quân trong thời đoạn tính toán Δti (m3/s), được xác định theo công thức sau:
| Qri = Qyi + Qtti + Qbi + Qti + Qxi | (6) |
Qyi là lưu lượng nước cấp theo nhiệm vụ công trình cho các đối tượng có yêu cầu khai thác, sử dụng nước hồ (đại lượng đã biết theo kế hoạch khai thác, sử dụng nước) (m3/s);
Qtti là lưu lượng dòng chảy tối thiểu (m3/s);
Qbi là lưu lượng nước tổn thất do bốc hơi, m3/s, phụ thuộc vào lớp nước bốc hơi phụ thêm ΔZi và diện tích mặt hồ (Fhi) tương ứng với dung tích hồ bình quân
ở thời đoạn tính toán thứ i. Do Vi là trị số cần tìm nên việc xác định Qbi phải qua tính toán thử dần. Xác định ΔZi xác định theo 8.1.4.2 còn
xác định theo công thức sau:
|
| (7) |
Qxi là lưu lượng nước thừa cần phải xả ra khỏi hồ (còn gọi là nước xả thừa) (m3/s), phụ thuộc vào quá trình nước đến, quá trình cấp nước và phương thức vận hành hồ chứa nước (trữ nước sớm, trữ nước muộn, hoặc theo các ràng buộc về yêu cầu phòng chống lũ);
Qti là lưu lượng nước tổn thất do thấm, rò rỉ qua công trình (m3/s), xác định theo 8.1.4.1.
8.1.4 Tính toán các loại tổn thất
8.1.4.1 Tổn thất do thấm, rò rỉ
Tổn thất do thấm rất khó xác định do phụ thuộc vào đặc điểm địa chất lòng hồ, hình dạng hồ, loại công trình ngăn nước và lượng nước trữ ở trong hồ. Có thể sử dụng Bảng 1 để xác định gần đúng trị số Qti theo tỷ lệ phần trăm lượng nước chứa bình quân trong hồ hoặc theo diện tích mặt nước hồ trung bình trong thời đoạn tính toán:
Bảng 1 - Mức thấm trong hồ chứa nước
| Đặc điểm địa chất lòng hồ | Lượng thấm tính theo dung tích hồ trung bình trong thời đoạn tính toán % | Lớp nước thấm tính theo diện tích mặt hồ trung bình trong thời đoạn tính toán mm | ||
| Năm | Tháng | Năm | Ngày đêm | |
| Tốt | Từ 5 đến 10 | Từ 0,5 đến 1,0 | < 0,5 | Từ 1 đến 2 |
| Trung bình | Từ 10 đến 20 | Từ 1,0 đến 1,5 | Từ 0,5 đến 1,0 | Từ 2 đến 3 |
| Xấu | Từ 20 đến 30 | Từ 1,5 đến 3,0 | Từ 1,0 đến 2,0 | Từ 3 đến 4 |
| CHÚ THÍCH: Căn cứ vào lượng hút nước đơn vị (ký hiệu là q, đơn vị là L/min) của đất đá lòng hồ để phân loại địa chất lòng hồ như sau: a) Loại tốt (thấm nước ít): q < 0,1 L/min; b) Loại trung bình (thấm nước vừa): 0,1 L/min ≤ q < 1,0 L/min; c) Loại xấu (thấm nước nhiều): q ≥ 1,0 L/min. | ||||
8.1.4.2 Tổn thất do bốc hơi phụ thêm
Lượng tổn thất bốc hơi phụ thêm trong thời đoạn Δti sau khi hình thành hồ chứa nước, ký hiệu là Wbi, đơn vị là m3, được xác định theo công thức sau:
| Wbi = 103 x Fhi x ΔZi | (8) |
trong đó:
Fhi là diện tích mặt hồ trung bình trong thời đoạn Δti (km2), được xác dựa vào đường đặc tính diện tích mặt nước hồ chứa nước thời đoạn tương ứng;
ΔZi là lớp bốc hơi phụ thêm thiết kế trong thời đoạn Δti (mm) xác định theo TCVN 13615.
8.2 Tính toán cho hồ chứa thủy lợi
8.2.1 Hồ chứa nước đơn mục tiêu
8.2.1.1 Nếu chuỗi số liệu dòng chảy đến hồ ít hơn 15 năm, hoặc cần so sánh nhiều phương án khi thiết kế, hoặc khi tính toán điều tiết cho các hồ chứa nước có hình thức điều tiết năm, có thể áp dụng phương pháp lập bảng cho một năm điển hình đã được thu phóng về tần suất thiết kế (còn gọi là năm thiết kế). Trình tự các bước tính theo phương pháp lập bảng tham khảo Phụ lục B.
8.2.1.2 Nếu chuỗi số liệu dòng chảy đến hồ lớn hơn hoặc bằng 15 năm, hoặc khi tính toán điều tiết cho các hồ chứa nước có hình thức điều tiết năm và nhiều năm, có thể áp dụng phương pháp điều tiết toàn chuỗi. Giả thiết một trị số dung tích hữu ích Vh. Căn cứ vào tài liệu nước đến và tài liệu nước cấp cho từng thời đoạn, tính toán điều tiết hồ chứa nước theo trình tự thời gian cho tất cả các năm trong chuỗi số liệu thống kê. Nếu kết quả tính toán điều tiết cho số năm đảm bảo cấp nước lớn hơn hoặc bằng trị số m xác định theo công thức (9) thì đó là dung tích cần tìm, nếu không đáp ứng được thì phải giả thiết một trị số dung tích khác và tính toán lại:
|
| (9) |
trong đó:
n là số năm tính toán;
m là số năm bảo đảm cấp nước (còn gọi là số năm không bị phá hoại);
PCN là mức bảo đảm cấp nước, %;
CHÚ THÍCH: Số năm bị phá hoại là n - m.
Trình tự các bước tính theo phương pháp điều tiết toàn chuỗi tham khảo Phụ lục B.
8.2.2 Hồ chứa nước đa mục tiêu
8.2.2.1 Nếu các mục tiêu của hồ chứa nước là độc lập với nhau và có cùng mức bảo đảm cấp nước thì tính toán tổng yêu cầu cấp nước, sau đó thực hiện giống như trường hợp hồ đơn mục tiêu.
8.2.2.2 Nếu các mục tiêu của hồ chứa nước là độc lập với nhau và không có cùng mức bảo đảm cấp nước thì có thể tiếp cận theo 2 cách như sau:
1) Cách 1: Có thể tính mức bảo đảm chung của các mục tiêu cấp nước theo công thức gần đúng sau:
|
| (10) |
trong đó n là số mục tiêu cấp nước; Wqi là tổng lượng nước yêu cầu của mục tiêu thứ j (m3); Pj là mức bảo đảm cấp nước của mục tiêu thứ j;
Sau đó thực hiện như trường hợp hồ đơn mục tiêu.
2) Cách 2: Coi hồ chứa nước giống như một hệ thống bậc thang các hồ chứa nước ảo, trong đó mỗi hồ chứa ảo có nhiệm vụ đảm bảo cấp nước cho một mục tiêu. Dung tích hữu ích của hồ được tính bằng tổng dung tích hữu ích các hồ ảo thành phần (xem Hình 2).

CHÚ DẪN: Sơ đồ phân chia dung tích hữu ích chỉ mang tính minh họa
Hình 2. Phân chia dung tích hữu ích[4]
Có thể sử dụng phương pháp điều tiết toàn chuỗi với nội dung tính toán như sau:
Giả thiết hồ thực bao gồm n hồ ảo tương ứng với n mục tiêu sử dụng nước. Dung tích hữu ích hồ thực là tổng của dung tích hữu ích các hồ ảo như sau:
| Vh = Vh1 + Vh2 + Vh3 + ...+ Vhn | (11) |
trong đó Vh1, Vh2, .... Vhn là dung tích hữu ích hồ ảo (m3); Vh là dung tích hữu ích tổng cộng (m3); n là số mục tiêu sử dụng nước.
Trình tự tính toán như sau:
Bước 1: Từ chuỗi dòng chảy đến hồ thực, phân tách ra các chuỗi dòng chảy đến hồ ảo thành phần theo tỷ lệ.
| Qji = Kj × Qji | (12) |
trong đó Qji là lưu lượng dòng chảy đến hồ ảo j tại thời đoạn i (m3/s); Qi là lưu lượng dòng chảy đến hồ thực tại thời đoạn i; Kj là hệ số thu phóng với điều kiện
|
| (13) |
Ban đầu có thể lựa chọn Kj theo tỷ lệ lưu lượng nước dùng;
Bước 2: Giả định dung tích hữu ích các hồ ảo khi chưa xét đến tổn thất;
Bước 3: Tính điều tiết toàn chuỗi cho các hồ ảo theo thứ tự ưu tiên trong trường hợp bỏ qua tổn thất.
Lưu ý, lượng nước đến hồ ảo bậc ưu tiên dưới ngoài thành phần dòng chảy trong bước 1 còn có lượng xả thừa hồ ảo bậc ưu tiên trên;
Bước 4: Xác định dung tích hữu ích tổng cộng và tính toán quá trình dung tích hồ chứa nước thực;
Bước 5: Tính toán tổn thất bốc hơi phụ thêm và thấm cho hồ chứa nước thực;
Bước 6: Phân tách tổng tổn thất hồ thực ra các lượng tổn thất hồ ảo (lấy theo tỷ lệ dung tích hữu ích của các hồ ảo);
Bước 7: Tính nhu cầu nước hồ ảo sau khi đã xét thêm tổn thất;
Bước 8: Giả định dung tích hữu ích các hồ ảo sau khi đã xét đến tổn thất;
Bước 9: Tính điều tiết toàn chuỗi cho các hồ ảo theo thứ tự ưu tiên trong trường hợp đã xét thêm tổn thất;
Bước 10: Đánh giá mức bảo đảm của tất cả mục tiêu cấp nước.
Xác định số năm đảm bảo cấp nước mj trong chuỗi n năm điều tiết cho từng mục tiêu cấp nước và tính toán xác định tần suất số năm đảm bảo cấp nước Pj theo công thức (14). Lặp lại các bước từ 8 đến 10 cho đến khi mức bảo đảm cấp nước Pj tính được xấp xỉ bằng tần suất thiết kế (PjCN, %).
|
| (14) |
Lặp lại các bước tính toán từ 2 đến 10 cho đến khi chênh lệch dung tích hữu ích giai đoạn trước và sau khi xét đến tổn thất là nhỏ, thông thường không vượt quá 1 %.
Có thể thực hiện trình tự tính toán trên cho nhiều phương án phân bổ nước đến hồ ảo khác nhau (bước 1). Phương án được lựa chọn nên là phương án có giá trị dung tích hữu ích tổng cộng là nhỏ nhất.
Trình tự các bước tính toán theo phương pháp điều tiết toàn chuỗi tham khảo Phụ lục B.
8.2.2.3 Nếu các mục tiêu của hồ chứa nước không độc lập với nhau thì chỉ xét mức bảo đảm cấp nước theo mục tiêu cấp nước chính. Sau đó, tính toán theo 8.2.2.1 và 8.2.2.2.
VÍ DỤ
Nếu hồ chứa nước có mục tiêu chính là cung cấp nước tưới kết hợp phát điện thì chỉ xem xét mức bảo đảm cấp nước cho tưới.
Nếu nước tưới được sử dụng để duy trì dòng chảy tối thiểu thì xác định lượng nước yêu cầu duy trì dòng chảy tối thiểu trong thời gian không tưới và coi như một mục tiêu độc lập.
8.2.2.4 Nếu lựa chọn được công cụ mô hình toán có đủ độ tin cậy thì có thể giải bài toán tối ưu đa mục tiêu để tìm dung tích hữu ích đáp ứng cung cấp nước cho tất cả các đối tượng khai thác, sử dụng nước theo mức đảm bảo thiết kế.
8.3 Tính toán cho hồ chứa thủy điện
8.3.1 Xem xét các điều kiện ảnh hưởng
Mực nước dâng bình thường có ảnh hưởng quyết định đến dung tích hồ chứa nước, cột nước, lưu lượng điều tiết, công suất đảm bảo và điện lượng hàng năm của nhà máy thủy điện. Khi xem xét lựa chọn mực nước dâng bình thường cần chú ý ảnh hưởng tới điều kiện vận hành an toàn, ổn định của các công trình ở phía thượng lưu và mức độ ảnh hưởng về ngập lụt vùng lòng hồ đến dân sinh kinh tế và an ninh quốc phòng.
8.3.2 Lựa chọn phương án
Căn cứ vào điều kiện cụ thể của công trình mà đề xuất một số phương án cao trình mực nước dâng bình thường chênh lệch nhau một trị số ΔZ nào đó, sau đó thông qua tính toán điều tiết phát điện và phân tích các chỉ tiêu kinh tế - kỹ thuật của từng phương án để lựa chọn trị số mực nước dâng bình thường phù hợp.
8.3.3 Cơ sở tính toán điều tiết phát điện
Nguyên lý tính toán điều tiết phát điện cho hồ chứa nước là việc hợp giải hệ hai phương trình cơ bản bao gồm phương trình cân bằng nước như công thức (4) và phương trình năng lượng có dạng như sau:
| N = 9,81 × η × QPĐ × H | (15) |
trong đó:
N là công suất phát điện, đơn vị là kW;
QPĐ là lưu lượng nước điều tiết qua tuốc bin (m3/s);
H là cột nước phát điện (m):
| H = Zt - Zh - ΔH | (16) |
Zt là mực nước thượng lưu tại cửa lấy nước, m;
Zh là mực nước hạ lưu tuốc bin tương ứng với lưu lượng nước điều tiết QPĐ (m);
ΔH là tổn thất cột nước (m);
η là hiệu suất của nhà máy thủy điện, xác định theo công thức sau:
| η = ηmp × ηtb × ηtđ | (17) |
ηmp là hiệu suất của máy phát điện. Thông thường ηmp từ 0,95 đến 0,98;
ηtđ là hiệu suất truyền động. Nếu tuốc bin và máy phát nối trực tiếp thì ηtđ = 1,0;
ηtb là hiệu suất của tuốc bin, phụ thuộc vào dạng tuốc bin, cột nước công tác, dung lượng tổ máy và công suất phát điện. Có thể dựa vào công suất và cột nước bình quân tháng tra trên đường đặc tính tuốc bin để xác định trị số ηtb;
Khi đường đặc tính tuốc bin chưa xác định do chưa chọn được thiết bị, có thể sơ bộ chọn η từ 0,70 đến 0,87 tùy theo quy mô tổ máy của công trình thủy điện.
8.3.4 Ngoài các phương pháp tính toán nêu trong tiêu chuẩn này, có thể áp dụng phương pháp mô hình toán hoặc các phương pháp khác đã được kiểm nghiệm trong thực tế, hoặc các tài liệu kỹ thuật chuyên ngành về tính toán thủy năng để xác định cao trình mực nước dâng bình thường và các thông số cơ bản khác của hồ chứa nước và nhà máy thủy điện.
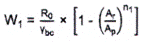
8.3.5 Xác định độ sâu công tác có lợi nhất
8.3.5.1 Đối với hồ có nhiệm vụ chủ yếu là phát điện, tương ứng với một phương án về mực nước dâng bình thường cần xác định được độ sâu công tác có lợi nhất để lựa chọn mực nước làm việc nhỏ nhất. Phương pháp xác định như sau:
a) Giả thiết một số độ sâu công tác (hctj) nhưng phải đảm bảo mực nước làm việc nhỏ nhất không thấp hơn mực nước chết xác định theo điều kiện bồi lắng;
b) Tính toán điều tiết phát điện theo phương pháp năm đại biểu hoặc phương pháp điều tiết toàn chuỗi (tham khảo ví dụ phụ lục D), xác định công suất phát điện trong mùa kiệt (ký hiệu là Nk, đơn vị là kW) và sản lượng điện có thể phát được trong mùa kiệt (ký hiệu là Ekiet, đơn vị là kW.h) tương ứng với độ sâu công tác hctj;

CHÚ DẪN: hct là độ sâu công tác; Ekiet và Enam là điện lượng mùa kiệt và điện lượng cả năm.
Hình 3 - Quan hệ giữa độ sâu công tác với điện lượng năm và điện lượng mùa kiệt
c) Vẽ đường quan hệ giữa độ sâu công tác với điện lượng mùa kiệt có thể phát được (đường quan hệ E = f(hct)) như Hình 3 và từ Hình 3 có thể tìm được trị số độ sâu công tác có lợi nhất của một phương án về cao trình mực nước dâng bình thường (tương ứng với trị số hctj có Ekiet đạt trị số lớn nhất);
d) Trường hợp đường quan hệ E = f(hct) không có điểm cực trị (trường hợp độ sâu công tác càng tăng thì điện lượng phát ra càng lớn) thì việc lựa chọn hct phải dựa trên các yêu cầu sau đây:
- Đảm bảo cho hồ có dung tích chết đủ chứa hết bùn cát lắng đọng trong suốt thời kỳ vận hành, khai thác phù hợp với thời gian khai thác của hồ chứa nước;
- Đảm bảo cột nước công tác cho phép của tuốc bin vận hành an toàn, ổn định và nằm trong vùng có hiệu suất cao;
- Trong quá trình vận hành phát điện không kéo theo bùn cát lắng đọng trong hồ vào tuốc bin.
8.3.5.2 Nếu hồ chứa nước của nhà máy thủy điện là hồ chứa nước đa mục tiêu thì việc xác định độ sâu công tác có lợi phải thông qua tính toán cân bằng lưu lượng cấp nước cũng như cân đối mực nước tối thiểu ở thượng lưu và hạ lưu công trình. Khi gặp trường hợp này cần lưu ý các yêu cầu sau đây:
a) Đối với cấp nước cho sản xuất nông nghiệp và các ngành khai thác, sử dụng nước khác, một mặt phải đảm bảo cấp lưu lượng cần thiết theo quy trình sản xuất, mặt khác lưu lượng xả xuống hạ lưu phải đảm bảo mực nước ở hạ lưu có cao trình phù hợp với yêu cầu lấy nước của các công trình đã có, hoặc phải đảm bảo lưu lượng tối thiểu để hạn chế nước mặn xâm nhập;
b) Đối với giao thông vận tải thủy ở hạ lưu phải đảm bảo đủ mực nước để các loại phương tiện vận tải thủy hoạt động được theo quy định;
c) Khi tính toán điều tiết cân bằng nước cho các ngành, nếu có những yêu cầu mà khả năng nguồn nước cũng như dung tích hồ không thể đảm bảo thì phải giảm bớt yêu cầu của một vài ngành (kể cả giảm bớt sản lượng điện) trên cơ sở tính toán hiệu ích kinh tế, đảm bảo các yêu cầu chính trị - xã hội và môi trường.
9. Mực nước đón lũ và dung tích phòng lũ hạ du
9.1 Yêu cầu chung
9.1.1 Mực nước đón lũ của hồ chứa nước được xác định thông qua tính toán điều tiết lũ. Trong quá trình xả lũ phải đảm bảo mực nước lớn nhất và biên độ dao động mực nước ở sông phía hạ lưu không vượt quá giới hạn phòng chống lũ cho phép. Phương pháp tính điều tiết lũ theo hướng dẫn tại điều 10.
9.1.2 Lựa chọn mực nước đón lũ là phải đảm bảo khi xảy ra lũ, hồ có khả năng chứa được dung tích cắt lũ theo yêu cầu và mực nước hồ lớn nhất không vượt quá cao trình cho phép, đồng thời khi hết thời kỳ lũ căng thẳng, hồ có khả năng tích nước về mực nước dâng bình thường. Việc lựa chọn mực nước đón lũ cần gắn liền với quy mô, khả năng của công trình với tầm quan trọng của vùng hạ du. Tùy thuộc vào điều kiện cụ thể có thể lựa chọn mực nước đón lũ cố định hoặc thay đổi theo thời gian, nhưng không được thấp hơn mực nước chết.
9.2 Xác định thông số hợp lý của dung tích phòng lũ hạ du và công trình tháo lũ
Nội dung của phương pháp như sau:
a) Giả thiết một số phương án về dung tích phòng lũ hạ du, mực nước đón lũ, loại công trình tháo lũ, kích thước công trình tháo lũ và tổ hợp các phương án với nhau;
b) Tính toán điều tiết cho từng phương án đề xuất theo hướng dẫn tại điều 9.2;
c) Căn cứ vào điều kiện cụ thể của từng công trình, yêu cầu về phòng chống lũ ở hạ lưu, yêu cầu đảm bảo an toàn cấp nước mùa kiệt để luận chứng về mặt kinh tế và kỹ thuật lựa chọn phương án điều tiết lũ và xác định các thông số hợp lý về dung tích cắt lũ, mực nước đón lũ, mực nước lớn nhất của hồ (tương ứng với tần suất thiết kế và tần suất kiểm tra) loại công trình tháo lũ và kích thước công trình tháo lũ phù hợp.
9.3 Tính toán khi cho trước lưu lượng xả an toàn cho phép ở tuyến phòng lũ hạ du
9.3.1 Trường hợp không quy định dung tích dành để cắt lũ, áp dụng phương pháp tính toán và trình tự các bước tính toán đã nêu tại 9.3 nhưng phải lấy thêm điều kiện là lưu lượng cho phép xả xuống hạ lưu. Tương ứng với mỗi tổ hợp phương án loại công trình tháo lũ và kích thước công trình tháo lũ vẽ các đường quan hệ sau:
a) Đường quan hệ giữa dung tích cắt lũ với lưu lượng xả, từ đó xác định được dung tích cắt lũ tương ứng với lưu lượng xả cho phép;
b) Đường quan hệ giữa dung tích cắt lũ với kích thước công trình tháo lũ. Từ đường quan hệ này tìm được kích thước công trình tháo lũ phù hợp với dung tích cắt lũ đã tính được. Từ kích thước công trình tháo lũ và lưu lượng xả đã biết, xác định được mực nước lớn nhất của hồ;
c) Căn cứ vào điều kiện cụ thể của công trình và kết quả tính toán điều tiết cho từng phương án loại công trình tháo lũ, tiến hành phân tích, lựa chọn loại công trình tháo lũ, kích thước công trình tháo lũ, dung tích phòng lũ và mực nước lớn nhất phù hợp với lưu lượng tháo lũ cho phép xả xuống hạ lưu.
9.3.2 Trường hợp quy định dung tích dành để cắt lũ, áp dụng phương pháp tính toán đã nêu tại 9.3 nhưng phải lấy thêm điều kiện là lưu lượng cho phép xả xuống hạ lưu.
10 Mực nước lớn nhất thiết kế và dung tích điều tiết lũ thiết kế
10.1 Yêu cầu chung
10.1.1 Mực nước lớn nhất thiết kế của hồ chứa nước được xác định thông qua tính toán điều tiết lũ. Khi lựa chọn mực nước lớn nhất thiết kế cần xem xét điều kiện cho phép về ngập lụt ở thượng lưu, chi phí xây dựng công trình tháo lũ và các điều kiện về an toàn đập, hồ chứa nước.
10.1.2 Cơ sở để tính toán điều tiết lũ là giải hệ phương trình cơ bản sau đây:
a) Phương trình cân bằng nước:
Phương trình cân bằng nước có dạng tương tự như công thức (4) điều 8.1.3, với bước thời gian Δti thường được lựa chọn theo thời đoạn giờ hoặc phút. Khi tính toán điều tiết lũ, lưu lượng ra khỏi hồ có thể bỏ qua thành phần tổn thất bốc hơi và thấm, đôi khi có thể bỏ qua cả thành phần lưu lượng cấp nước nếu quá nhỏ so với lưu lượng xả lũ. Khi đó, phương trình cân bằng nước được viết lại dưới dạng:
| (Qvi - Qxi) x Δti = Vi - Vi-1 | (18) |
trong đó:
Δti là khoảng thời gian tính toán (s);
Qvi là lưu lượng lũ đến hồ chứa nước tính bình quân trong khoảng thời gian tính toán Δti (m3/s);
Qxi là lưu lượng xả lũ ra khỏi hồ chứa nước tính bình quân trong khoảng thời gian tính toán Δt (m3/s);
Vi-1 là dung tích hồ chứa nước tại đầu thời đoạn tính toán (thời điểm ti-1), là trị số đã biết (m3);
Vi là dung tích hồ chứa nước tại cuối thời đoạn tính toán (thời điểm ti), là trị số cần tìm (m3);
b) Phương trình thủy lực tính lưu lượng qua công trình xả lũ. Đối với công trình đập tràn lấy theo quy định tại TCVN 9147; Đối với công trình cống dưới sâu lấy theo quy định tại TCVN 9151.
10.1.3 Đối với những công trình đặc biệt có quan hệ lưu lượng xả lũ xác định từ thí nghiệm mô hình vật lý thủy lực đã được cơ quan có thẩm quyền phê duyệt thì sử dụng quan hệ này thay cho phương trình thủy lực ở mục 10.1.2 b).
10.1.4 Có nhiều phương pháp giải hệ phương trình trong 10.1.2. Ngoài các phương pháp giải quy định trong tiêu chuẩn này, cho phép áp dụng các phần mềm chuyên dụng và phương pháp tính toán thông dụng khác để tính toán điều tiết lũ của hồ chứa nước.
10.1.5 Các tài liệu cơ bản và điều kiện sau đây phục vụ tính toán điều tiết lũ:
a) Mô hình trận lũ thiết kế hay quá trình lũ thiết kế. Phương pháp xác định mô hình trận lũ thiết kế thực hiện theo quy định hiện hành về tính toán các đặc trưng thủy văn thiết kế;
b) Thông số thiết kế của các công trình tham gia tháo lũ như công trình xả mặt (cao trình ngưỡng tràn, chiều rộng đường tràn, hình thức tràn), kích thước và cao trình của các công trình xả sâu. Dựa vào các thông số này để tính toán thiết lập đường cong biểu diễn quan hệ giữa khả năng xả lũ (lưu lượng xả lũ) của các công trình tháo lũ có mặt trong công trình hồ chứa nước với mực nước hồ chứa nước. Với nhà máy thủy điện khi lũ đến vẫn hoạt động thì phải tính thêm lưu lượng qua tuốc bin như một thành phần của lưu lượng xả lũ. Trong thành phần của lưu lượng xả lũ không xét đến lượng nước qua âu thuyền và lượng nước dùng cho tưới ruộng và các mục đích khác;
c) Lựa chọn phương thức xả lũ phù hợp với điều kiện của đối tượng cần bảo vệ ở hạ du;
d) Đường đặc tính dung tích hồ chứa nước (đường quan hệ Z ~ V);
e) Căn cứ vào yêu cầu phòng lũ cho các khu vực xung quanh bờ hồ và thượng lưu hồ để xác định mực nước lớn nhất cho phép xuất hiện trong lòng hồ, đề xuất biện pháp phù hợp nhằm hạn chế ảnh hưởng bất lợi của ngập lụt do hồ vận hành xả lũ gây ra;
f) Dự báo về lưu lượng lớn nhất, mực nước lớn nhất, thời gian xuất hiện đỉnh lũ và biên độ dao động mực nước lũ tại các khu vực cần bảo vệ ở phía sông khi hồ chứa nước xả lũ thiết kế và xả lũ kiểm tra.
10.2 Phương pháp tính lặp trực tiếp
10.2.1 Phương pháp lặp trực tiếp có thể áp dụng tính điều tiết lũ cho các trường hợp có trong tiêu chuẩn này.
10.2.2 Tại thời đoạn đầu tiên, mực nước hoặc dung tích ban đầu của hồ chứa nước đã xác định. Các thời đoạn tiếp theo dung tích ban đầu hoặc mực nước ban đầu là giá trị tương ứng của nó tại cuối thời đoạn trước. Quá trình tính lặp cho mỗi thời đoạn có thể thực hiện theo nhiều cách, dưới đây trình bày cách tính lặp dựa vào giá trị mực nước hồ chứa nước.
Bước 1: Giả định giá trị mực nước hồ ở cuối thời đoạn tính toán
, tính giá trị
theo phương trình thủy lực;
VÍ DỤ: Đối với loại cửa ra là đập tràn đỉnh rộng, không có cửa van điều tiết, chế độ chảy tự do, phương trình thủy lực được viết như sau:
|
| (19-1) |
trong đó:
B =
bi;
B là tổng chiều rộng nước tràn (m);
bi là chiều rộng của từng khoang tràn (m);
n là số khoang tràn;
σn là hệ số ngập (trường hợp không ngập thì σn = 1,0);
ε là hệ số co hẹp bên;
m là hệ số lưu lượng;
H0 là cột nước trên đỉnh đập tràn có kể tới lưu tốc đến gần (m);
g là gia tốc trọng trường (lấy
= 4,43);
Các hệ số σn, ε, m và H0 xác định theo TCVN 9147.
Bước 2: Thay
vào phương trình (18) xác định V2;
Bước 3: Tra quan hệ Z~V xác định
;
Bước 4: Kiểm tra điều kiện:
|
| (19-2) |
Với: e là sai số cho phép, thông thường nhỏ hơn hoặc bằng 5 cm.
+ Nếu sai số thỏa mãn thì chuyển sang thời đoạn tiếp theo;
+ Nếu sai số không thỏa mãn thì quay lại Bước 1.
Tiến hành tính toán cho tất cả các thời đoạn sẽ xác định được quá trình xả lũ, quá trình mực nước và dung tích hồ chứa nước. Nội dung tính toán ở trên có thể lập bảng tính thử dần (tham khảo ví dụ tại Phụ lục C).
11 Mực nước lớn nhất kiểm tra và dung tích điều tiết lũ kiểm tra
11.1 Mục đích chính của tính toán điều tiết khi xuất hiện trận lũ kiểm tra trong trường hợp khi đã biết loại và kích thước công trình tháo lũ từ đó xác định được đường quá trình lưu lượng xả xuống hạ lưu, đường quá trình dung tích cắt lũ và đường quá trình mực nước thượng lưu hồ (mực nước hồ).
11.2 Mực nước lớn nhất kiểm tra của hồ chứa nước được xác định thông qua tính toán điều tiết lũ. Nội dung và phương pháp tính toán tương tự theo hướng dẫn tại điều 10, ngoại trừ yêu cầu tài liệu đầu vào là mô hình trận lũ kiểm tra.
Phụ lục A
(Tham khảo)
Tính toán bùn cát bồi lắng trong hồ chứa nước và xác định mực nước chết theo điều kiện bồi lắng
A.1 Quy định chung
A.1.1 Theo hình dạng trắc dọc tầng bùn cát bồi lắng trong lòng hồ chứa nước, có thể phân loại hồ thành bốn loại cơ bản được nêu trong sơ đồ Hình A.1:
|
|
|
| a) Hồ bồi lắng dạng tam giác châu | b) Hồ bồi lắng dạng thon nhọn |
|
|
|
| c) Hồ bồi lắng dạng nêm | d) Hồ bồi lắng đều |
Hình A.1 - Trắc dọc các dạng bồi lắng bùn cát trong lòng hồ chứa nước
1) Hồ bồi lắng dạng tam giác châu (Hình A.1a): dạng bồi lắng này xuất hiện trong các hồ chứa nước xây dựng trên sông có thành phần bùn cát chủ yếu là hạt thô (d > 0,062 mm) còn hạt mịn rất ít. Bùn cát hạt thô hoặc bùn cát di đẩy trong sông suối khi di chuyển đến hồ phần lớn bị bồi ngay tại khu vực cửa vào nơi tiếp giáp giữa sông suối nhập vào hồ và lòng hồ hình thành các bãi bồi;
2) Hồ bồi lắng dạng thon nhọn (hình A.1b): dạng bồi lắng này xảy ra khi khối bùn cát bồi lắng tập trung nhiều ở khu vực cửa vào nơi tiếp giáp giữa hồ với sông suối nhập vào hồ, phần còn lại tiếp tục di chuyển sâu vào trong lòng hồ. Trong quá trình di chuyển về phía đập, các hạt phù sa tiếp tục lắng đọng và lớp bùn cát bồi lắng cũng mỏng dần. Đây là dạng bồi lắng phổ biến trong các hồ chứa nước dài với mực nước thường xuyên được duy trì ở mức cao;
3) Hồ bồi lắng dạng nêm (hình A.1c): dạng bồi lắng này xảy ra khi bùn cát bồi lắng dày nhất ở khu vực chân đập và mỏng dần về phía thượng lưu. Bồi lắng dạng nêm thường xảy ra trong các hồ chứa nước nhỏ xây dựng trên các sông suối có nhiều cát với lượng bùn cát đến hồ chủ yếu là các hạt mịn, hoặc xảy ra trong các hồ chứa nước lớn được vận hành ở mực nước thấp trong mùa lũ. Hầu hết trong các hồ nhỏ, bùn cát bồi lắng tập trung dồn vào khu vực công trình đầu mối hình thành nêm bồi lắng sát chân đập;
4) Hồ bồi lắng đều (hình A.1d): dạng bồi lắng này ít xảy ra nhưng cũng có thể gặp ở những hồ chứa nước hẹp với mực nước dao động thường xuyên và các hạt mịn chiếm không nhiều trong thành phần bùn cát đến.
CHÚ THÍCH: Bồi lắng có dạng tam giác châu hoặc dạng thon nhọn thường xuất hiện trong các hồ chứa nước lớn. Bồi lắng có dạng hình nêm thường xảy ra trong các hồ chứa nước loại nhỏ hoặc loại trung bình xây dựng ở vùng trung du miền núi.
A.1.2 Dung tích bùn cát bồi lắng trong hồ chứa nước sau thời gian khai thác, ký hiệu là Vbc, đơn vị là m3, được xác định theo công thức tổng quát sau:
| Vbc = V1 + V2 + V3 + V4 | (A.1) |
trong đó:
V1 là dung tích bùn cát lơ lửng lắng đọng trong hồ (m3);
V2 là dung tích bùn cát di đẩy theo dòng nước chảy vào hồ (m3);
V3 là dung tích bồi lấp do thảo mộc có trong lòng hồ và do sạt lở, tái tạo bờ hồ khi hồ tích nước (m3);
V4 là dung tích bồi lắng do lũ quét mang theo bùn đất sạt lở trên lưu vực chảy vào hồ (m3).
A.1.3 Các phương pháp tính toán xác định dung tích bồi lắng cũng như các thành phần bùn cát bồi lắng trong công thức (A.1) được giới thiệu trong các điều tiếp theo. Tùy thuộc vào trường hợp cụ thể của từng hồ như vị trí địa lý khu vực dự án, quy mô hồ dự kiến xây dựng, các đặc điểm về khí hậu (chủ yếu là đặc điểm mưa và bốc hơi), dòng chảy đến, địa hình, địa mạo, địa chất, thổ nhưỡng, chất lượng thảm phủ trên lưu vực, cơ quan tư vấn cần phân tích, lựa chọn phương pháp tính toán và các chỉ tiêu tính toán cho phù hợp.
A.1.4 Đối với các hồ chứa nước loại vừa và nhỏ cho phép áp dụng sơ đồ c của Hình A.1 (hồ bồi lắng dạng nêm) và các giả thiết sau đây để tính toán bùn cát bồi lắng:
a) Toàn bộ lượng bùn cát do các sông suối trên lưu vực chuyển đến bị lắng đọng đều tập trung vào khu vực sâu nhất của hồ;
b) Bề mặt của lớp bùn cát bồi lắng nằm ngang;
c) Tốc độ bồi lắng ổn định theo thời gian.
Dung tích bùn cát bồi lắng của hồ Vbc sau thời gian khai thác T năm được xác định theo công thức sau:
| Vbc = V0 × T | (A.2) |
trong đó V0 là tổng lượng bùn cát bồi lắng bình quân trong một năm. V0 cũng bao gồm các thành phần bùn cát bồi lắng như trong công thức (A.1). Có Vbc, tra quan hệ Z ~ V (đường đặc tính dung tích hồ) xác định được cao trình bùn cát bồi lắng Zbc của hồ sau thời gian khai thác T năm.
A.1.5 Đối với các hồ chứa nước loại lớn và đặc biệt, tùy thuộc vào hình dạng lòng hồ và đặc điểm dòng chảy bùn cát đến hồ, có thể áp dụng sơ đồ a hoặc sơ đồ b của Hình A.1 và sử dụng phương pháp mô hình toán thích hợp (mô hình toán một chiều, hai chiều hoặc ba chiều) để tính toán khối lượng bùn cát bồi lắng. Đối với hồ chứa nước dạng sông có thể sử dụng mô hình toán một chiều để tính toán.
CHÚ THÍCH: Hồ chứa nước dạng sông là hồ có chiều ngang (chiều rộng) của lòng hồ rất hẹp so với chiều dài.
A.2 Tính toán theo phương pháp cân bằng lượng bùn cát qua hồ
A.2.1 Công thức tổng quát
A.2.1.1 Dung tích bùn cát bồi lắng trong hồ chứa nước sau thời gian vận hành T năm được xác định theo công thức tổng quát sau:
| Vbc = Vv + V3 + V4 - Vr | (A.3) |
trong đó:
Vbc là dung tích bùn cát bồi lắng trong hồ sau T năm vận hành (m3);
Vv là dung tích bùn cát có trong nước chảy vào hồ (m3), gồm hai thành phần chính là bùn cát lơ lửng và bùn cát di đẩy;
Vr là dung tích bùn cát ra khỏi hồ (m3);
V3 và V4 đã giải thích trong công thức (A.1).
A.2.1.2 Phương pháp xác định các thành phần bùn cát trong công thức (A.3) quy định từ A.2.2 đến B.2.4.
A.2.2 Tính toán dung tích bùn cát chảy vào hồ
A.2.2.1 Thành phần dung tích bùn cát có trong dòng nước chảy vào hồ trung bình trong một năm (ký hiệu là Vv) được xác định theo công thức sau:
| Vv = Vll + Vdđ | (A.4) |
trong đó:
Vll là dung tích bùn cát lơ lửng chảy đến hồ:
| Vll = (31536 x ρ x Q0)/γbc | (A.5) |
ρ là hàm lượng bùn cát lơ lửng (phù sa) có trong nước chảy vào hồ, được xác định từ tài liệu thực đo hoặc từ bản đồ phân vùng mô duyn dòng chảy bùn cát (kg/m3);
Q0 là chuẩn dòng chảy năm (m3/s);
γbc là khối lượng riêng của bùn cát lơ lửng (t/m3), phụ thuộc vào đặc tính dòng chảy bùn cát, được xác định theo thực nghiệm; γbc thường dao động từ 0,80 t/m3 đến 1,25 t/m3;
Vdđ là dung tích bùn cát di đẩy (bùn cát đáy) chảy vào hồ, lấy theo tỷ lệ phần trăm lượng bùn cát lơ lửng:
| Vdđ = K2 × Vll | (A.6) |
K2 là hệ số bùn cát đi đẩy, phụ thuộc vào đặc tính của dòng chảy bùn cát và đặc tính xói mòn đất trên lưu vực. Trong tính toán thiết kế, K2 lấy từ 20 % đến 40 %.
A.2.2.2 Thành phần dung tích bùn cát do thảo mộc có trong lòng hồ trước khi hồ tích nước và do sạt lở, tái tạo bờ hồ khi hồ tích nước (ký hiệu là V3) phụ thuộc vào đặc điểm địa hình, cấu tạo địa chất khu vực bờ hồ và sông suối phía thượng lưu, độ sâu tích nước và diện tích mặt thoáng của hồ, đặc điểm làm việc và cách thức vận hành, lấy theo tỷ lệ phần trăm tổng lượng bùn cát lơ lửng và lượng bùn cát di đẩy:
| V3 = K3 × (Vll + Vdđ) | (A.7) |
trong đó K3 là hệ số bồi lắng tương ứng với thành phần bùn cát bồi lắng V3: K3 ≤ 10 %.
A.2.2.3 Thành phần dung tích bùn cát do lũ quét mang theo bùn đất sạt lở trên lưu vực chảy vào hồ (ký hiệu là V4) phụ thuộc vào vị trí địa lý khu vực xây dựng, dung tích trữ nước cũng như các đặc điểm về địa hình, địa chất, chất lượng thảm phủ, đặc điểm sản xuất và khai thác tài nguyên, khoáng sản trên lưu vực hứng nước của hồ, lấy theo tỷ lệ phần trăm dung tích hữu ích của hồ:
| V4 = K4 × Vh | (A.8) |
trong đó:
Vh là dung tích hữu ích của hồ (m3);
K4 là hệ số bồi lắng tương ứng với thành phần bùn cát bồi lắng V4. Hệ số K4 nằm trong khoảng từ 0 % đến 20 % tùy thuộc vào vị trí địa lý khu vực xây dựng, dung tích trữ nước cũng như các đặc điểm về địa hình, địa chất, sản xuất nông nghiệp, khai thác tài nguyên trên lưu vực hứng nước của hồ. Những hồ chứa nước xây dựng ở vùng núi thường xuyên xảy ra lũ quét và sạt lở đất trên lưu vực, hệ số K4 có thể lấy như sau:
- Hồ chứa nước loại lớn: K4 lấy từ 1 % đến 5 %;
- Hồ chứa nước loại vừa: K4 lấy từ 5 % đến 10 %;
- Hồ chứa nước loại nhỏ: K4 lấy từ 10 % đến 25 %;
CHÚ THÍCH: Căn cứ vào vị trí địa lý khu vực xây dựng và đặc điểm của từng hồ chứa nước cụ thể như đã nêu tại A.1.3 cùng với các kết quả điều tra, khảo sát và nghiên cứu, thực nghiệm..., tư vấn thiết kế cần phân tích, lựa chọn γbc và các hệ số bồi lắng K2, K3 và K4 cho phù hợp.
A.2.3 Tính toán dung tích bùn cát ra khỏi hồ
A.2.3.1 Tính toán theo phương pháp Churchill
Lượng bùn cát (phù sa) tháo ra khỏi hồ (ký hiệu là Vr) tính theo tỷ lệ phần trăm lượng dòng chảy bùn cát đến hồ, là hàm số phụ thuộc vào chỉ số bồi lắng SI, xem biểu đồ Hình A.2. Phương pháp Churchill áp dụng cho các hồ chứa nước loại vừa và nhỏ.
Chỉ số bồi lắng SI là tỷ số giữa thời gian lưu giữ nước trong hồ và tốc độ trung bình của nước chảy qua hồ, được xác định theo công thức sau:
|
| (A.9) |
|
| (A.10) |
trong đó:
TR là thời gian lưu giữ nước trong hồ (s);
LR là chiều dài hồ (m);
là tốc độ trung bình của nước chảy qua hồ (m/s);
Q0 là lưu lượng nước đến hồ trung bình năm (m3/s);
Vmax là dung tích hồ ở mức nước dâng cao nhất (m3);
g là gia tốc trọng trường: g = 9,81 m/s2.

Chỉ số bồi lắng SI
Hình A.2 - Đường cong Churchill cải tiến để xác định lượng bùn cát ra khỏi hồ
A.2.3.2 Tính toán theo phương pháp Brune
Phương pháp Brune dựa vào hệ số bồi lắng K1 để xác định lượng bùn cát lơ lửng ra khỏi hồ (Vr). Cách tính toán như sau:
| Vr = Vll - V1 | (A.11) |
| V1 = K1 × Vll | (A.12) |
trong đó:
Vr là dung tích bùn cát lơ lửng ra khỏi hồ (m3);
Vll là dung tích bùn cát lơ lửng chảy đến hồ (m3), được xác định theo công thức (A.5);
V1 là dung tích bùn cát lơ lửng lắng đọng trong hồ (m3):
| V1 = K1 × Vll | (A.13) |
K1 là hệ số bồi lắng, được xác định theo công thức (A.14), xem Hình A.3;
|
| (A.14) |
V là dung tích hồ ở mực nước dâng cao nhất (m3);
W0 là tổng lượng nước đến trung bình trong một năm (m3).
CHÚ THÍCH: Phương pháp Brune áp dụng thích hợp với những hồ chứa nước dạng sông.

CHÚ DẪN: Đường cong phía dưới biểu thị cho các hạt bùn cát mịn có đường kính nhỏ, đường cong phía trên biểu thị cho các hạt bùn cát thô có đường kính lớn
Hình A.3 - Đường cong Brune để xác định hệ số bồi lắng K1
A.3 Tính toán dung tích bùn cát lơ lửng bồi lắng trong hồ
A.3.1 Tính toán theo tài liệu đo đạc dòng chảy bùn cát
Khi có tài liệu đo đạc dòng chảy bùn cát từ lưu vực đến hồ đủ độ tin cậy, dung tích bùn cát lơ lửng được lắng đọng xuống lòng hồ có thể tính theo công thức (A.13), trong đó:
Vll là dung tính bùn cát lơ lửng chảy đến hồ được tính toán theo công thức (A.5);
K1 là hệ số bồi lắng phù sa lơ lửng, phụ thuộc vào phụ thuộc vào đặc điểm bùn cát lơ lửng (thành phần và tính chất hạt phù sa) của dòng chảy, đặc điểm làm việc và dạng hình học của hồ. Tùy điều kiện cụ thể của từng hồ chứa nước nêu tại A.1.3, hệ số bồi lắng K1 có thể tính theo công thức (A.14) hoặc lấy theo kinh nghiệm. Thông thường trong tính toán thiết kế, K1 lấy từ 0,7 đến 0,8. Đối với hồ chứa nước nhỏ ở miền núi có thể lấy K1 bằng 1.
A.3.2 Tính toán theo công thức kinh nghiệm
A.3.2.1 Tùy thuộc vào điều kiện cụ thể của từng dự án, có thể sử dụng một trong các công thức quy định từ A.3.2.2 đến A.3.2.5 để tính toán dung tích bùn cát bồi lắng trong hồ chứa nước. Các công thức này chưa xét đến thành phần bùn cát do lũ quét và lở đất trên lưu vực theo nước lũ chảy vào hồ (V4) và thành phần bùn cát bồi lắng do sạt lở và tái tạo bờ hồ khi tích nước bờ (V3). Các thành phần bùn cát V3 và V4 tính theo phương pháp quy định tại A.2.2.2 và A.2.2.3.
A.3.2.2 Tính theo công thức Shamov:
|
| (A.15) |
trong đó:
T là thời gian khai thác của hồ theo quy định, tính từ khi hồ bắt đầu vận hành (năm);
WT là tổng lượng bùn cát bồi lắng sau T năm vận hành hồ (m3);
W∞ là thể tích giới hạn của bùn cát bồi lắng trong hồ, m3, xác định theo công thức sau:
|
| (A.16) |
Ap là diện tích mặt cắt ướt của hồ tại vị trí sát đập (m2);
Ar là diện tích mặt cắt ướt của lòng sông vị trí sát đập (m2). Mực nước sông tính với trường hợp lưu lượng nước bằng 3/4 lưu lượng nước lớn nhất thiết kế;
Vhc là dung tích hồ ứng với mực nước dâng bình thường (m3);
a0 là hệ số tỷ lệ, xác định theo công thức sau:
|
| (A.17) |
W1 là thể tích bùn cát bồi lắng trong năm vận hành đầu tiên (m3):
|
| (A.18) |
R0 là tổng khối lượng bùn cát chảy vào hồ (bao gồm cả bùn cát lơ lửng và bùn cát di đẩy) trung bình nhiều năm (kg);
n1 là hệ số phụ thuộc vào độ dốc của sông (ký hiệu là s), lấy như sau:
- Nếu s < 0,0001: n1 lấy từ 1,00 đến 0,80;
- Nếu s từ 0,0001 đến 0,001: n1 lấy từ 0,80 đến 0,50;
- Nếu s từ 0,001 đến 0,010: n1 lấy từ 0,50 đến 0,33;
γbc là khối lượng riêng của bùn cát bồi lắng, kg/m3, được lấy như sau:
| - Đối với các hạt bùn sét: | γbc lấy từ 800 kg/m3 đến 900 kg/m3; |
| - Đối với các hạt cát mịn: | γbc lấy từ 1 500 kg/m3 đến 1 600 kg/m3; |
| - Đối với các hạt cát trung bình và thô: | γbc lấy từ 1 600 kg/m3 đến 1 800 kg/m3; |
| - Đối với các hạt sỏi và cát cuội: | γbc lấy từ 2 000 kg/m3 đến 2 200 kg/m3. |
A.3.2.3 Tính theo công thức Garde:
|
| (A.19) |
trong đó:
V là dung tích hồ ban đầu (khi chưa tích nước) (m3);
Wt là dung tích bùn cát bồi lắng trong hồ tính đến thời điểm năm tích nước thứ t (m3);
T là thời gian khai thác của hồ theo quy định (năm);
t là thời gian tính từ khi hồ bắt đầu vận hành đến thời điểm tính toán (năm);
m là hằng số lấy từ 0,8 đến 1,4.
A.3.2.4 Tính theo công thức Lavshenkov:
|
| (A.20) |
trong đó:
T là thời gian khai thác của hồ tính từ khi hồ bắt đầu vận hành (năm);
Wt là tổng dung tích bùn cát bồi lắng sau T năm vận hành hồ (m3);
W∞ là dung tích giới hạn của bùn cát bồi lắng trong hồ, m3, được xác định theo công thức sau:
| W∞ = Vn - Vcr | (A.21) |
| Vcr = Dcr × Bcr × Lcr | (A.22) |
Vhc là dung tích hồ tương ứng với mực nước dâng bình thường (m3);
Dcr là chiều sâu của lòng dẫn ở điều kiện cân bằng ổn định vào lúc kết thúc thời kỳ bồi lắng (m);
Bcr là độ rộng của lòng dẫn ở điều kiện cân bằng ổn định vào lúc kết thúc thời kỳ bồi lắng (m);
Lcr là chiều dài hồ tính từ đập chắn nước đến vị trí nước dềnh ở thượng lưu vào lúc kết thúc thời kỳ bồi lắng, m;
EL là tham số được tính bởi công thức sau:
|
| (A.23) |
ε' là hệ số bồi lắng cát bùn trong thời kỳ đầu tích nước được tính theo công thức sau:
|
| (A.24) |
csi là hàm lượng bùn cát tại mặt cắt cửa vào hồ (g/m3);
cse là hàm lượng bùn cát tại mặt cắt cửa ra hồ (g/m3);
γbc là khối lượng riêng của bùn cát bồi lắng (kg/m3), lấy theo công thức (A.18);
R0 là tổng khối lượng bùn cát chảy vào hồ (bao gồm cả bùn cát lơ lửng và bùn cát di đẩy) trung bình nhiều năm (kg).
CHÚ THÍCH: Hàm lượng bùn cát có thể xác định trên cơ sở số liệu đo đạc trong năm đầu tiên hồ vận hành hoặc tính thông qua các công thức tính vận tải bùn cát.
A.3.2.5 Tính theo công thức Lavshenkov sửa đổi:
Khi tỷ số T/EL nằm trong khoảng từ 0,02 đến 0,10, thể tích bùn cát bồi lắng sau T năm vận hành (ký hiệu WT), m3, có thể tính theo công thức Lavshenkov sửa đổi như sau:
|
| (A.25) |
trong đó:
EL tính theo công thức (A.23);
ε' là hệ số bồi lắng cát bùn trong thời kỳ đầu tích nước, tính theo (A.24);
RT là tổng khối lượng bùn cát đến hồ sau T năm vận hành (kg);
ρ là hàm lượng bùn cát lơ lửng có trong nước chảy vào hồ, được xác định từ tài liệu thực đo hoặc từ bản đồ phân vùng mô duyn dòng chảy bùn cát (kg/m3).
A.4 Phân bố bùn cát bồi lắng trong lòng hồ

Hình A.4 - Dạng phân bố cát bồi lắng điển hình trong hồ chứa nước
A.4.1 Quy định chung
A.4.1.1 Có thể chia thể tích bùn cát bồi lắng theo chiều dọc lòng hồ thành ba vùng chính như ở Hình A.4. Mặt trên của tam giác châu là phần bùn cát bồi lắng nhanh, có giới hạn dưới tương ứng với giới hạn vận chuyển bùn cát đáy. Mặt trước của tam giác châu phát triển về phía hạ lưu hồ với độ dốc lớn hơn mặt trên và kích thước hạt bùn cát bồi lắng nhỏ hơn nhiều so với mặt trên. Mặt dưới của tam giác châu thường gồm các hạt bùn cát mịn do dòng chảy rối mang từ thượng lưu xuống hoặc vật chất hữu cơ sinh ra từ tảo và thủy sinh vật. Do tác động của các nhập lưu và quá trình tháo xả nước hồ trong quá trình vận hành, các trận lũ đặc biệt lớn, mà bùn cát vùng này có thể bao gồm cả các hạt mịn và thô.
CHÚ THÍCH:
1) Sơ đồ mô tả hình dạng phân bố bùn cát bồi lắng nêu trong Hình A.4 áp dụng cho các hồ chứa nước lớn, dạng sông;
2) Các hồ chứa nước loại vừa và nhỏ có thể áp dụng sơ đồ c của Hình A.1 (phân bố bồi lắng dạng nêm) và các giả thiết quy định tại A.1.4 để tính toán.
A.4.1.2 Tùy điều kiện (yêu cầu) cụ thể của từng hồ, khả năng đáp ứng về tài liệu và công nghệ tính toán, có thể lựa chọn phương pháp kinh nghiệm hoặc phương pháp mô hình toán để tính toán bồi lắng và xác định quy luật phân bố bùn cát bồi lắng trong lòng hồ chứa nước theo không gian:
- Phương pháp kinh nghiệm: dùng để xác định các độ dốc bồi lắng trong Hình A.4, được quy định tại A.4.2, A.4.3 và A.4.4;
- Phương pháp mô hình toán: bao gồm các mô hình toán một chiều, hai chiều hoặc ba chiều. Mô hình một chiều áp dụng hiệu quả cho các hồ chứa nước loại vừa, loại nhỏ nhỏ và hồ chứa nước dạng sông. Các mô hình hai chiều hoặc ba chiều thường được sử dụng để tính toán bồi lắng cho các hồ chứa nước loại lớn và cấp đặc biệt. Có thể sử dụng các phần mềm tiên tiến trên thế giới đã được kiểm định để tính toán bồi lắng bùn cát trong hồ chứa nước.
A.4.2 Phương pháp Borland - Miller
A.4.2.1 Tính toán trị số M theo công thức sau:
| M = cotg(α) | (A.26) |
trong đó M là trị số nghịch đảo của độ dốc đường quan hệ giữa dung tích hồ với độ sâu của hồ và α là góc dốc của đường quan hệ dung tích với mực nước hồ, xem Hình A.5.

Hình A.5 - Ví dụ minh họa đường quan hệ dung tích - độ sâu nước của hồ
A.4.2.2 Dựa vào trị số M để xác định loại hồ theo Bảng A.1. Nếu đường quan hệ có hai độ dốc khác nhau thì dựa vào phần chiếm tỷ lệ lớn hơn để chọn loại hồ.
Bảng A.1 - Phân loại hồ theo Borland - Miller để tính toán bồi lắng
| Loại hồ | Tên loại hồ | M | C | m | n |
| I | Hồ tự nhiên | Từ 3,5 đến 4,5 | 3,417 | 1,50 | 0,20 |
| II | Hồ chứa nước vùng đồng bằng - bán sơn địa | Từ 2,5 đến 3,5 | 2,324 | 0,50 | 0,40 |
| III | Hồ chứa nước vùng đồi | Từ 1,5 đến 2,5 | 15,880 | 1,10 | 2,30 |
| IV | Hồ chứa nước vùng núi cao | Từ 1,0 đến 1,5 | 4,232 | 0,10 | 2,50 |
A.4.2.3 Thể tích bùn cát bồi lắng tính toán được xác định theo công thức sau:
|
| (A.27) |
trong đó:
Vbc là thể tích bồi lắng tính toán (m3);
Δh là gia số độ sâu trong bước tính (m);
ho là độ sâu bùn cát tích đọng trước đập (m);
Ao là diện tích mặt hồ ban đầu ở độ sâu ho (trước khi bị bùn cát tích đọng) (m2);
Vo là thể tích bùn cát lắng đọng ở độ sâu ho (m3);
Ap(i) là diện tích mặt hồ tương đối tại độ sâu tương đối P (m2):
|
| (A.28) |
| P = h / H | (A.29) |
h là chiều sâu nước tính từ cao độ tính toán đến đáy hồ trước đập (m);
H là chiều sâu nước tính từ mực nước lớn nhất đến đáy hồ (m);
C, m, n là các hệ số không thứ nguyên tương ứng với từng loại hồ xác định theo Bảng A.1;
d) Phân bố bồi lắng trong hồ được tính thử dần (tính lặp) cho đến khi tổng dung tích phù sa bồi lắng tính toán theo công thức (A.27) xấp xỉ với tổng dung tích bùn cát bồi lắng đã biết.
A.4.3 Phương pháp Borland
Tính toán các độ dốc bồi lắng bùn cát trong sơ đồ Hình A.4 theo hai bước sau đây:
a) Tính độ dốc mặt trên của tam giác châu điển hình bằng cách sử dụng quan hệ thực nghiệm giữa độ dốc đáy sông ban đầu và độ dốc đáy hồ sau khi đã bị bùn cát bồi lắng (Hình A.6). Khi tính toán lấy giá trị tỷ số giữa độ dốc bồi lắng và độ dốc đáy sông ban đầu bằng 0,5;
b) Tính độ dốc mặt trước của tam giác châu bằng cách nhân độ dốc mặt trên với 6,5.

Hình A.6 - Quan hệ giữa độ dốc đáy sông ban đầu và độ dốc mặt trên của tam giác châu
A.4.4 Phương pháp Chien
A.4.4.1 Tính toán độ dốc mặt trên của tam giác châu theo công thức sau:
|
| (A.30) |
trong đó:
s là độ dốc mặt trên của tam giác châu;
A là hệ số nằm trong khoảng từ 1,21 × 104 đến 1,68 × 104;
cf là hàm lượng bùn cát trung bình trong mùa lũ (kg/m3);
db là đường kính trung bình của mẫu vật liệu đáy (m);
ds là đường kính trung bình của mẫu bùn cát lơ lửng (m);
Qfa là lưu lượng nước trung bình trong suốt mùa lũ (m3/s);
B là độ rộng của dòng chảy trong hồ ứng với lưu lượng Qfa (m).
A.4.4.2 Tính toán độ dốc mặt trước của tam giác châu bằng cách nhân độ dốc mặt trên với hệ số 1,6.
A.5 Xác định cao trình bùn cát bồi lắng
A.5.1 Cao trình bùn cát bồi lắng trong hồ chứa nước sau thời gian vận hành T năm dùng để tính toán mực nước chết của hồ chứa nước là cao trình bề mặt lớp bùn cát bồi lắng tại khu vực trước cửa công trình lấy nước ở phía chân thượng lưu đập.
A.5.2 Xác định cao trình bùn cát bồi lắng theo trình tự sau:
a) Xác định dung tích bùn cát bồi lắng trong lòng hồ;
b) Xác định hình dạng phân bố bùn cát bồi lắng trong lòng hồ: nếu không có đủ tài liệu để xác định theo phương pháp mô hình toán thì lấy theo theo sơ đồ c của Hình A.1;
c) Xác định cao trình bùn cát bồi lắng thiết kế:
- Trường hợp tính toán xác định được hình dạng và cao trình bề mặt lớp bùn cát bồi lắng trong lòng hồ: cao trình bùn cát bồi lắng thiết kế lấy tại vị trí trước cửa vào cống lấy nước;
- Trường hợp chỉ tính được dung tích bùn cát bồi lắng nhưng không xác định được hình dạng và cao trình bề mặt lớp bùn cát bồi lắng trong lòng hồ: dựa vào đường đặc tính dung tích hồ (quan hệ V ~ Z) để xác định cao trình bùn cát bồi lắng.
A.6 Xác định mực nước chết của hồ chứa nước theo điều kiện bồi lắng
Mực nước chết của hồ theo điều kiện bồi lắng xác định theo công thức sau:
| Zc = Zbc + a + Δh | (A.31) |
trong đó:
a là chiều cao an toàn tính từ cao trình bề mặt lớp bùn cát bồi lắng thiết kế đến cao trình ngưỡng cống lấy nước, a ≥ 0. Thông thường a lấy từ 0,1 m đến 0,5 m. Căn cứ vào hình dạng phân bố bùn cát bồi lắng trong lòng hồ (xem Hình A.1) để lựa chọn trị số a phù hợp. Có thể tham khảo cách chọn a như sau:
- Hồ bồi lắng dạng a và b: a = 0,50 m;
- Hồ bồi lắng dạng d: a = 0,30 m;
- Hồ bồi lắng dạng c: a = 0,10 m;
Δh là độ sâu an toàn cần thiết cho lấy nước, phụ thuộc vào yêu cầu lấy nước qua cống, chế độ lấy nước qua cống là có áp hay không áp khi làm việc với mực nước chết, loại đối tượng khai thác, sử dụng nước... và được xác định thông qua tính toán thủy lực cống. Đối với hồ chứa nước loại vừa và nhỏ, khi thiết kế thường chọn sơ bộ Δh từ 1,0 m đến 1,5 m.
Phụ lục B
(Tham khảo)
Ví dụ tính toán xác định mực nước dâng bình thường hồ chứa cấp nước
B.1 Xác định hình thức điều tiết của hồ chứa nước
Có thể lựa chọn áp dụng một trong hai phương pháp thông dụng sau đây để đánh giá khả năng điều tiết của hồ chứa nước:
a) Phương pháp hệ số dung tích:
|
| (B.1) |
Trong đó
Vh là dung tích hữu ích của hồ (m3);
W0 là tổng lượng dòng chảy trung bình nhiều năm (chuẩn dòng chảy năm) (m3);
β là hệ số dung tích của hồ.
- Hồ điều tiết ngày: β < 0,02;
- Hồ điều tiết năm: 0,02 ≤ β ≤ 0,25;
- Hồ điều tiết nhiều năm: β > 0,25.
b) Phương pháp cân bằng nước (phương pháp so sánh giữa tổng lượng nước yêu cầu cần lấy qua công trình đầu mối với tổng lượng nước đến hồ trong một năm tương ứng với tần suất thiết kế):
- Nếu Wyc < Wp: tiến hành điều tiết năm;
- Nếu Wp ≤ Wyc ≤ W0: tiến hành điều tiết nhiều năm.
trong đó:
Wyc là tổng lượng nước yêu cầu cần lấy qua công trình đầu mối (kể cả lượng nước tổn thất) để cấp cho các ngành khai thác, sử dụng nước trong một năm tương ứng với mức đảm bảo thiết kế (m3);
Wp là tổng lượng nước đến trong một năm tương ứng với tần suất thiết kế (m3).
CHÚ THÍCH: Nếu tài liệu về lượng nước đến hồ có dao động lớn hoặc có trường hợp khác với các con số nêu trên phải dựa vào kết quả tính toán điều tiết để xác định loại hồ điều tiết.
B.2 Xác định dung tích hữu ích của hồ chứa cấp nước theo phương pháp năm điển hình
B.2.1 Cơ sở của phương pháp tính toán
Phương pháp tính toán điều tiết theo năm điển hình hay phương pháp lập bảng. Cơ sở của phương pháp này là dựa vào phương trình cân bằng nước (6) để tính toán cho từng thời đoạn trong chu kỳ điều tiết (năm). Kết quả tính toán được đưa vào bảng:
a) Nếu Qvi > Qri là thừa nước (ΔVi > 0), được ký hiệu là ΔVi+;
b) Nếu Qvi < Qri là thiếu nước (ΔVi < 0), được ký hiệu là ΔVi-.
B.2.2 Tính toán điều tiết cho trường hợp chưa kể tổn thất
B.2.2.1 Khi tính toán điều tiết sơ bộ để xác định quy mô công trình hoặc để so sánh lựa chọn phương án có thể bỏ qua các loại tổn thất. Sau khi đã chọn xong phương án mới tính toán thêm tổn thất để xác định chính xác dung tích hữu ích của hồ chứa nước.
B.2.2.2 Bảng B.1 giới thiệu một mẫu bảng dùng để tính toán điều tiết hồ chứa nước khi chưa kể đến tổn thất theo phương trình cân bằng nước (6), thời đoạn tính toán Δti là tháng. Số liệu đưa vào bảng là chu kỳ một năm thủy văn, lần lượt từ tháng đầu tiên của mùa lũ năm trước đến tháng cuối cùng của mùa kiệt năm sau.
B.2.2.3 Nếu trong chu kỳ điều tiết có một thời kỳ thừa nước và một thời kỳ thiếu nước (gọi là hồ chứa nước điều tiết một lần), xét tổng cột (4) và tổng cột (5) của Bảng B.1 được trị số V+ và V-:
a) Nếu V+ ≥ V- thì dung tích hữu ích của hồ chứa nước Vh lấy bằng V-. Trong trường hợp này phải tháo xuống hạ lưu hồ lượng nước là Vtháo được xác định như sau:
| Vtháo = V+ - V- | (B.2) |
b) Nếu V+ < V- thì cần xem lại hình thức điều tiết của hồ chứa nước hoặc phải tìm biện pháp khác để bổ sung nguồn nước hoặc giảm bớt yêu cầu khai thác, sử dụng nước.
B.2.2.4 Nếu trong chu kỳ điều tiết có hai thời kỳ thừa nước và hai thời kỳ thiếu nước xuất hiện liên tiếp nhau (gọi là hồ chứa nước điều tiết hai lần, xem sơ đồ Hình B.1), dung tích hữu ích của hồ chứa nước xác định như sau:
a) Nếu V1+ ≥ V1- và V2+ ≥ V2- gọi là hồ chứa nước điều tiết hai lần độc lập. Khi đó dung tích hữu ích của hồ chứa nước lấy bằng lượng thiếu nước lớn nhất:
| Vh = max(V1-, V2-) | (B.3) |
b) Nếu V1+ > V1- và V2+ < V2- tức là lần điều tiết nước thứ hai của hồ chứa nước (từ t2 đến t4) có lượng nước thừa V2+ không đủ cung cấp cho thời kỳ thiếu nước tiếp sau đó bắt buộc phải lấy thêm một phần lượng nước thừa V1+, gọi là hồ chứa nước điều tiết hai lần không độc lập. Khi đó dung tích hữu ích của hồ chứa nước xác định như sau:
|
| (B.4) |

Hình B.1 - Sơ đồ biểu thị hồ chứa nước điều tiết hai lần
B.2.3 Tính toán điều tiết cho trường hợp có xét đến tổn thất
B.2.3.1 Khi tính toán điều tiết cho trường hợp có xét đến tổn thất phải dùng phương pháp tính gần đúng hoặc thử dần để xác định dung tích điều tiết hồ đáp ứng yêu cầu cấp nước. Trình tự nội dung các bước tính toán như sau:
a) Bước 1: Tính toán xác định sơ bộ dung tích điều tiết hồ chứa nước khi chưa kể đến tổn thất;
b) Bước 2: Giả thiết dung tích hồ chứa nước bằng dung tích hồ khi chưa kể đến tổn thất. Trên cơ sở đó tính được dung tích hồ trung bình và lượng nước tổn thất trong các khoảng thời gian tính toán, sau đó tìm được dung tích hữu ích và quá trình vận hành điều tiết hồ chứa nước đã sơ bộ xét đến tổn thất;
b) Bước 3: Giả thiết dung tích hồ chứa nước bằng dung tích hữu ích đã xác định được ở bước 2 và lặp lại các tính toán như ở bước 2. Nếu dung tích hữu ích tính toán được ở bước này không sai khác nhiều so với bước 2 thì kết thúc quá trình tính toán. Nếu có sai khác lớn thì tiếp tục lặp lại quá trình tính toán nêu trên. Thông thường mức độ sai khác giữa hai lần tính toán dung tích hữu ích không quá 1,0 % là có thể chấp nhận được.
B.2.4 Một số ví dụ minh hoạ phương pháp tính toán
B.2.4.1 Trường hợp chưa xét đến tổn thất
a) Đối với hồ chứa nước điều tiết một lần
Bảng B.1 giới thiệu một ví dụ về phương pháp tính toán dung tích điều tiết năm chưa kể đến tổn thất theo phương pháp lập bảng cho một hồ chứa nước điều tiết một lần khi đã biết đường quá trình nước đến và đường quá trình nước cần cấp cho các đối tượng khai thác, sử dụng nước hồ. Kết quả tính toán cho thấy thời kỳ thừa nước liên tục từ tháng 6 đến tháng 10 với tổng lượng nước thừa là V+ = 243,69 × 106 m3. Thời kỳ thiếu nước liên tục từ tháng 11 năm trước đến tháng 5 năm sau với tổng lượng nước thiếu là V- =153,78 × 106 m3. Dung tích hữu ích của hồ xác định như sau: do V- < V+ nên dụng tích hữu ích Vh của hồ chứa nước lấy bằng V-: Vh = V- = 153,78 × 106 m3. Lượng nước thừa tháo xuống hạ lưu hồ là Vtháo:
Vtháo = V+ - V-
Vtháo = (243,69 - 153,78) × 106 m3
Vtháo = 89,91 × 106 m3.
Bảng B.1 - Tính toán dung tích điều tiết năm theo phương pháp lập bảng trong trường hợp chưa kể tổn thất, điều tiết một lần
| Tháng | Lưu lượng bình quân tháng (m3/s) | Lượng nước thừa, thiếu (106 m3) | ||
| Nước đến Qvi | Nước cấp Qri | ΔVi+ | ΔVi- | |
| (1) | (2) | (3) | (4) | (5) |
| 6 | 30,10 | 12,50 | 45,62 | - |
| 7 | 48,00 | 12,50 | 95.08 | - |
| 8 | 42,70 | 12,50 | 80,89 | - |
| 9 | 20,20 | 12,50 | 19,96 | - |
| 10 | 13,30 | 12,50 | 2,14 | - |
| 11 | 9,30 | 14,20 | - | 12,70 |
| 12 | 6,70 | 14,20 | - | 20,09 |
| 1 | 5,20 | 14,20 | - | 24,11 |
| 2 | 5,70 | 15,10 | - | 22,74 |
| 3 | 5,60 | 15,10 | - | 25,44 |
| 4 | 5,30 | 15,10 | - | 25,40 |
| 5 | 6,40 | 15,10 | - | 23,30 |
| Cộng: |
| V+ = 243,69 | V- = 153,78 | |
| CHÚ THÍCH: Cột số (2) và cột số (3) trong bảng có thể thay bằng tổng lượng nước đến (Vv) và tổng lượng nước cấp (Vr) trung bình của từng tháng, m3. Lúc đó ΔVi = Vvi - Vri. | ||||
b) Đối với hồ chứa nước điều tiết hai lần
Bảng B.2 giới thiệu một ví dụ về phương pháp tính toán dung tích điều tiết năm chưa kể đến tổn thất theo phương pháp lập bảng cho một hồ chứa nước điều tiết hai lần khi đã biết đường quá trình nước đến và đường quá trình nước cần cung cấp cho các đối tượng khai thác, sử dụng nước từ hồ chứa nước. Cách sử dụng Bảng B.2 để tính toán điều tiết như sau:
1) Trong Bảng B.2, cột (2) ghi lưu lượng nước đến trung bình tháng của năm thiết kế, cột (3) ghi lưu lượng nước dùng trung bình tháng (lưu lượng nước cấp), hai cột (4) và (5) ghi lượng nước thừa và lượng nước thiếu trong từng tháng là hiệu số tương ứng của cột (2) với cột (3) nhân với số giây của từng tháng (Δt), từ đó biết được các thời kỳ thừa nước và thiếu nước liên tục. Cột (6) và cột (8) ghi lượng nước chứa lại trong hồ theo các phương án điều tiết. Cột (7) và cột (9) ghi lượng nước cần phải xả cho từng phương án điều tiết;
2) Cộng lượng nước thừa, lượng nước thiếu của từng thời kỳ thừa nước, thời kỳ thiếu nước liên tục cho kết quả như sau:
V1+ = 162,48 × 106 m3
V1- = 109,97 × 106 m3
V2+ = 30,71 × 106 m3
V2- = 61,42 × 106 m3;
3) So sánh các trị số V1+ với V1- và V2+ với V2- cho thấy V1+ > V1- và V2+ < V2-, đây là hồ chứa nước điều tiết hai lần không độc lập. Mặt khác do V1- > V2+ nên dung tích hồ chứa nước được xác định như sau:
Vh = V1- + V2- - V2+
Vh = (109,97 + 61,42 - 30,71) × 106 m3
Vh = 140,68 x 106 m3;
4) Bảng B.2 cũng giới thiệu hai phương án vận hành hồ chứa nước. Nội dung của từng phương án vận hành điều tiết hồ chứa nước như sau:
i) Phương án chứa nước sớm:
- Tháng 9 thừa nước (Qv > Qr) bắt đầu chứa nước vào hồ. Tháng 9 chứa toàn bộ lượng nước thừa 47,17 × 106 m3. Dung tích chứa của hồ ở thời điểm cuối tháng 9 là 47,17 × 106 m3;
- Tháng 10 chứa toàn bộ lượng nước thừa 83,83 × 106 m3, đưa dung tích trữ đạt 131,01 × 106 m3;
- Tháng 11 chỉ cần chứa 9,67 × 106 m3 là đầy hồ với dung tích 140,68 × 106 m3, còn 18,32 × 106 m3 nước thừa phải xả về hạ lưu. Cột (6) ghi lượng nước chứa vào hồ, cột (7) ghi lượng nước phải xả ra khỏi hồ;
- Tháng 12 hồ vẫn còn đầy nước không cần chứa thêm nên lượng nước xả ghi ở cột (7) bằng lượng nước thừa ở cột (4) là 3,48 × 106 m3;
- Tháng 1 thiếu nước (Qv < Qr) phải lấy nước từ hồ chứa nước để cấp đủ lượng nước cần theo yêu cầu. Lượng nước cần lấy ra từ hồ là 30,53 × 106 m3 và lượng nước chứa trong hồ chỉ còn 110,15 × 106 m3, được ghi vào cột (6);
- Từ tháng 2 đến tháng 4 liên tục thiếu nước nên phải lấy nước từ hồ để cấp cho đủ. Lượng nước chứa trong hồ cạn dần, đến cuối tháng 4 chỉ còn 30,71 × 106 m3. Lượng nước còn lại trong hồ trung bình từng tháng được ghi ở cột (6);
- Tháng 5 và tháng 6 thừa nước. Toàn bộ lượng nước thừa đều được trữ lại trong hồ, dung tích hồ tăng dần và được ghi vào cột (6);
- Các tháng 7 và 8 đều thiếu nước. Nước hồ được lấy ra để cấp đủ lượng nước còn thiếu. Nước hồ cạn dần và đến cuối tháng 8 thì toàn bộ lượng nước trữ trong hồ đều được dùng hết, chuẩn bị cho chu kỳ điều tiết tiếp theo;
ii) Phương án chứa nước muộn:
- Tháng đầu của thời kỳ thừa nước thứ nhất hồ chỉ trữ lại một phần lượng nước thừa, phần nước thừa còn lại được xả hết xuống hạ lưu. Các tháng tiếp theo hồ vẫn tiếp tục điều tiết trữ lại lượng nước thừa sao cho đến cuối thời kỳ thừa nước thứ nhất hồ đảm bảo chứa đầy nước. Các tháng thiếu nước (kể cả các tháng của thời kỳ thừa nước tiếp theo trong chu kỳ một năm điều tiết) hồ liên tục cấp nước theo yêu cầu đảm bảo trước khi kết thúc chu kỳ một năm điều tiết, toàn bộ lượng nước trữ trong hồ đều được sử dụng hết;
- Cách tính toán và ghi số liệu vào cột (8), cột (9) cho từng tháng của Bảng B.2 tương tự như đã nêu ở phương án chứa nước sớm.
CHÚ THÍCH:
1) Phương án trữ nước sớm có ưu điểm là việc chứa nước đầy hồ đảm bảo chắc chắn hơn phương án trữ nước muộn. Nếu hồ có kết hợp phát điện thì trữ nước sớm có thể lợi dụng được cột nước cao trong thời gian dài để phát điện, góp phần làm tăng công suất và tăng sản lượng điện phát ra. Tuy nhiên so với phương án trữ nước muộn thì phương án trữ nước sớm không có lợi cho việc đảm bảo an toàn thân đập và đất đai ven hồ chứa nước sớm bị ngập;
2) Nếu công tác dự báo đường quá trình nước đến không tốt thì phương án trữ nước muộn thường khó đảm bảo chứa được đầy hồ. Tuy nhiên so với phương án trữ nước sớm, phương án trữ nước muộn góp phần làm tăng mức độ an toàn cho thân đập, tăng khả năng phòng lũ cho hồ và hiện tượng bùn cát bồi lắng trong lòng hồ sẽ ít hơn;
3) Tùy thuộc vào điều kiện cụ thể của từng hồ, tư vấn thiết kế hoặc cơ quan quản lý hồ chứa nước chủ động đề xuất phương án trữ nước phù hợp nhưng được cơ quan có thẩm quyền chấp thuận.
Bảng B.2 - Tính toán dung tích điều tiết năm theo phương pháp lập bảng trong trường hợp chưa kể tổn thất, điều tiết hai lần
| Tháng | Lưu lượng trung bình tháng | Lượng nước thừa, thiếu | Phương án chứa nước sớm | Phương án chứa nước muộn | ||||
| Qv | Qr | ΔV+ | ΔV- | Wch | Wx | Wch | Wx | |
|
| m3/s | m3/s | 106 m3 | 106 m3 | 106 m3 | 106 m3 | 106 m3 | 106 m3 |
| (1) | (2) | (3) | (4) | (5) | (6) | (7) | (8) | (9) |
| 9 | 41,20 | 23,00 | 47,17 | - | 47,17 | 0,00 | 25,37 | 21,80 |
| 10 | 49,30 | 18,00 | 83,83 | - | 131,01 | 0,00 | 109,21 | 0,00 |
| 11 | 28,80 | 18,00 | 27,99 | - | 140,68 | 18,32 | 137,20 | 0,00 |
| 12 | 19,30 | 18,00 | 3,48 | - | 140,68 | 3,48 | 140,68 | 0,00 |
|
|
| V1+ = | 162,48 |
|
|
|
|
|
| 1 | 11,60 | 23,00 | - | 30,53 | 110,15 | 0,00 | 110,15 | 0,00 |
| 2 | 7,36 | 18,00 | - | 25,74 | 84,41 | 0,00 | 84,41 | 0,00 |
| 3 | 9,40 | 18,00 | - | 23,03 | 61,37 | 0,00 | 61,37 | 0,00 |
| 4 | 6 17 | 18,00 | - | 30,66 | 30,71 | 0,00 | 30,71 | 0,00 |
|
|
|
| V1- = | 109,97 |
|
|
|
|
| 5 | 15,40 | 11,00 | 11,79 | - | 42,49 | 0,00 | 42,49 | 0,00 |
| 6 | 18,30 | 11,00 | 18,92 | - | 61,42 | 0,00 | 61,42 | 0,00 |
|
|
| V2+ = | 30,71 |
|
|
|
|
|
| 7 | 9,37 | 23,00 | - | 36,51 | 24,91 | 0,00 | 24,91 | 0,00 |
| 8 | 13,70 | 23,00 | - | 24,91 | 0,00 | 0,00 | 0,00 | 0,00 |
|
|
|
| V2- = | 61,42 |
|
|
|
|
| Cộng |
|
| 193,19 | 171,39 |
| 21,80 |
| 21,80 |
B.2.4.2 Trường hợp có xét đến tổn thất
a) Bảng B.3 giới thiệu một ví dụ về phương pháp tính toán xác định dung tích điều tiết năm có kể đến tổn thất theo phương pháp lập bảng cho một hồ chứa nước điều tiết hai lần khi đã biết đường quá trình nước đến, đường quá trình nước cần cấp cho các đối tượng khai thác, sử dụng nước hồ và các đường đặc tính của hồ chứa nước. Dung tích chết của hồ là 44,32 × 106 m3. Sử dụng kết quả tính toán sơ bộ dung tích hữu ích của hồ chứa nước khi chưa kể tổn thất đã nêu ở Bảng B.2 với phương án chứa nước sớm làm số liệu đầu vào để tính toán. Điều kiện địa chất lòng hồ là tốt.
Bảng B.3 - Tính toán dung tích điều tiết năm theo phương pháp lập bảng trong trường hợp có xét đến tổn thất
| Tháng | Chưa kể tổn thất | Tổn thất | |||||||||
| Lượng nước thừa, thiếu | V | F | Vtb | Ftb | Bốc hơi | Thấm | Cộng | ||||
| ΔV+ | ΔV- | 106 m3 | km2 | 106 m3 | km2 | ΔZ | Wbh | Tiêu chuẩn | Wth | 106 m3 | |
| 106 m3 | 106 m3 |
|
|
|
| mm | 106 m3 | 106 m3 |
| ||
| (1) | (2) | (3) | (4) | (5) | (6) | (7) | (8) | (9) | (10) | (11) | (12) |
|
| - | - | 44,32 | 1,64 | - | - | - | - | Lấy 1,0 % dung tích kho nước trung bình của từng tháng | - | - |
| 9 | 47,17 | - | 91,49 | 2,46 | 67,91 | 2,05 | 36 | 0,07 | 0,68 | 0,75 | |
| 10 | 83,83 | - | 175,33 | 3,70 | 133,41 | 3,08 | 36 | 0,11 | 1,33 | 1,44 | |
| 11 | 27,99 | - | 185,00 | 4,00 | 180,16 | 3,85 | 31 | 0,12 | 1,80 | 1,92 | |
| 12 | 3,48 | - | 185,00 | 4,00 | 185,00 | 4,00 | 26 | 0,10 | 1,85 | 1,95 | |
|
|
|
|
|
|
|
|
|
|
|
| |
| 1 | - | 30,53 | 154,47 | 3,38 | 169,73 | 3,69 | 21 | 0,08 | 1,70 | 1,78 | |
| 2 | - | 25,74 | 128,73 | 2,94 | 141,60 | 3,16 | 16 | 0,05 | 1,42 | 1,47 | |
| 3 | - | 23,03 | 105,69 | 2,61 | 117,21 | 2,78 | 21 | 0,06 | 1,17 | 1,23 | |
| 4 | - | 30,66 | 75,03 | 2,20 | 90,36 | 2,41 | 36 | 0,09 | 0,90 | 0,99 | |
|
|
|
|
|
|
|
|
|
|
|
| |
| 5 | 11,79 | - | 86,81 | 2,40 | 80,92 | 2,30 | 46 | 0,11 | 0,81 | 0,92 | |
| 6 | 18,92 | - | 105,74 | 2,61 | 96,27 | 2,51 | 88 | 0,22 | 0,96 | 1,18 | |
|
|
|
|
|
|
|
|
|
|
|
| |
| 7 | - | 36,51 | 69,23 | 2,04 | 87,48 | 2,33 | 93 | 0,22 | 0,87 | 1,09 | |
| 8 | - | 24,91 | 44,32 | 1,64 | 56,77 | 1,84 | 67 | 0,12 | 0,57 | 0,69 | |
|
|
|
|
|
|
|
|
|
|
|
|
|
|
| 193,19 | 171,39 |
|
|
|
|
| 1,35 |
| 14,07 | 15,42 |
Bảng B.3 - Tính toán dung tích điều tiết năm theo phương pháp lập bảng trong trường hợp có xét đến tổn thất (kết thúc)
| Tháng | Đã kể tổn thất | |||
| Lượng nước thừa, thiếu | Dung tích V 106 m3 | Wxả | ||
| ΔV+ | ΔV- | 106 m3 | ||
| 106 m3 | 106 m3 |
| ||
| (1) | (13) | (14) | (15) | (16) |
|
| - | - | 44,32 | - |
| 9 | 46,42 | - | 90,74 | - |
| 10 | 82,39 | - | 173,13 | - |
| 11 | 26,07 | - | 194,34 | 4,86 |
| 12 | 1,53 | - | 194,34 | 1,53 |
|
| 156,41 |
|
|
|
| 1 | - | 32,31 | 162,03 | - |
| 2 | - | 27,21 | 134,82 | - |
| 3 | - | 24,26 | 110,56 | - |
| 4 | - | 31,65 | 78,91 | - |
|
|
| 115,43 |
|
|
| 5 | 10,87 | - | 89,78 | - |
| 6 | 17,74 | - | 107,51 | - |
| - | 28,61 |
|
|
|
| 7 | - | 37,60 | 69,92 | - |
| 8 | - | 25,60 | 44,32 | - |
|
|
| 63,20 |
| 6,39 |
|
| 185,02 | 178,63 |
|
|
b) Cách ghi chép và tính toán trong bảng B.3 như sau:
1) Cột (1) ghi các tháng của một chu kỳ năm thủy văn: từ tháng đầu của mùa lũ năm trước đến tháng cuối cùng của mùa kiệt năm sau;
2) Cột (2) và cột (3) lần lượt là lượng nước thừa, thiếu từng tháng chưa kể đến tổn thất (lấy số liệu trong cột (4) và cột (5) của Bảng B.2);
3) Cột (4) là dung tích hồ chứa nước chưa kể đến tổn thất theo phương án chứa nước sớm (lấy số liệu trong cột (6) của Bảng B.2 cộng với dung tích chết Vc = 44,32 × 106 m3). Ví dụ dung tích hồ chứa nước khi chưa kể đến tổn thất của tháng 9 là V9:
V9 = (44,32 + 47,17) × 106 m3
V9 = 91,49 x 106 m3
V9 là dung tích hồ vào thời điểm cuối tháng 9. Dung tích hồ tại thời điểm đầu tháng 9 bằng dung tích chết vì lúc đó là cuối mùa thiếu nước (mùa kiệt) và hồ chứa nước đã cạn đến mực nước chết;
4) Cột (5) ghi diện tích mặt nước của hồ (ký hiệu là F) tương ứng với các số liệu ghi trong cột (4). Các số liệu về diện tích mặt nước được suy ra từ các đường đặc tính hồ chứa nước (đường đặc tính diện tích mặt nước hồ và đường đặc tính dung tích hồ);
5) Cột (6) và cột (7) lần lượt là dung tích hồ chứa nước trung bình và diện tích mặt nước hồ trung bình của tháng (giá trị trung bình của đầu tháng và cuối tháng);
6) Cột (8) ghi lớp nước tổn thất do bốc hơi trong từng tháng (lấy từ kết quả tính toán các đặc trưng khí tượng - thủy văn);
7) Cột (9) ghi lượng nước tổn thất của hồ do bốc hơi trong từng tháng, là kết quả của phép nhân số liệu ghi trong cột (7) với số liệu ghi trong cột (8) tương ứng;
8) Cột (10) ghi định mức (tiêu chuẩn) lượng nước tổn thất do thấm và rò rỉ qua công trình. Do điều kiện địa chất lòng hồ thuộc loại tốt nên tổn thất nước do thấm lấy bằng 1,0 % lượng nước chứa trong hồ;
9) Cột (11) ghi lượng nước tổn thất do thấm và rò rỉ qua lòng hồ trong từng tháng, lấy bằng 1,0 % giá trị ghi trong cột (6) tương ứng;
10) Cột (12) ghi tổng lượng nước tổn thất của hồ chứa nước trong từng tháng. Số liệu trong cột (12) là tổng số liệu ghi trong cột (9) và số liệu ghi trong cột (11) tương ứng;
11) Cột (13) và cột (14) lần lượt là lượng nước thừa, lượng nước thiếu từng tháng đã kể đến tổn thất. Số liệu trong cột (13) bằng số liệu trong cột (2) trừ đi số liệu trong cột (12) tương ứng. Số liệu trong cột (14) bằng bằng số liệu trong cột (3) cộng với số liệu trong cột (12) tương ứng;
12) Dựa vào số liệu cột (13) hoặc (14), tính toán lượng nước thừa, lượng nước thiếu của thời kỳ thừa nước và thời kỳ thiếu nước liên tục cho kết quả như sau:
V1+ = 156,41 × 106 m3
V1- = 115,43 × 106 m3
V2+ = 28,61 × 106 m3
V2- = 63,20 × 106 m3;
13) Theo công thức (B.4) xác định được dung tích hữu ích của kho nước như sau:
Vh = V1- + V2- - V2+
Vh = (115,43 + 63,20 - 28,61) × 106 m3
Vh = 150,02 × 106 m3.
Như vậy so với trường hợp chưa kể tổn thất, dung tích hữu ích của hồ chứa nước sau khi đã kể đến tổn thất tăng khoảng 1,0 x 107 m3;
14) Dung tích hồ chứa nước tương ứng với mực nước dâng bình thường xác định theo công thức:
Vbt = Vc + Vh
Vbt = (44,32 + 150,02) x 106 m3
Vbt = 194,34 × 106 m3;
15) Dựa vào cột (13) hoặc cột (14) có thể tính phương án vận hành hồ chứa nước sớm tương tự như trường hợp chưa kể tổn thất. Cột (15) ghi đường quá trình dung tích hồ chứa nước theo phương án chứa nước sớm. Trình tự và phương pháp tính toán như sau:
- Hàng đầu tiên của cột thứ (15), đầu tháng 9, là dung tích chết (44,32 × 106 m3). Cộng dung tích chết với trị số ΔV+ tháng 9 trong cột (13) được dung tích hồ chứa nước cuối tháng 9 là V9:
V9 = (44,32 + 46,42) × 106 m3
V9 = 90,74 × 106 m3;
- Số liệu vừa tính được ghi vào hàng thứ hai của cột (15);
- Các tháng khác cũng tính tương tự. Tới tháng 11 hồ đã chứa đầy nước và có lượng nước xả tính được Wxả = 4,86 × 106 m3. Cuối tháng 12 và đầu tháng 1 hồ vẫn còn đầy nước. Lượng nước phải xả trong tháng 12 là 1,53 × 106 m3;
- Tháng 1 bắt đầu thiếu nước (nước đến ít hơn nước dùng). Đến cuối tháng 1 hồ phải cấp 32,31 × 106 m3 nên dung tích hồ chỉ còn 162,03 × 106 m3 nước. Số liệu này ghi vào cột (15) tương ứng với tháng 1;
- Tính toán tương tự như vậy cho tới cuối tháng 8 thì hồ cạn hết nước ở phần dung tích hữu ích, lượng nước trữ trong hồ đến thời điểm này bằng lượng nước chết, kết thúc một chu kỳ tính toán xác định dung tích hữu ích của hồ chứa nước.
c) Kết quả tính toán đã nêu tại B.2.2.2 là kết quả gần đúng. Để xác định chính xác dung tích hữu ích của hồ chứa điều tiết cấp nước có thể tính toán lại lần thứ hai bằng cách lấy số liệu và kết quả ở các cột (13), cột (14) và cột (15) của Bảng B.3 lần lượt ghi vào cột (2), cột (3) và cột (4) của bảng tính toán mới sau đó tính toán lại theo trình tự và phương pháp đã nêu tại B.2.2.2. Thông thường chỉ cần tính toán lại lần thứ hai là đạt yêu cầu.
B.3 Xác định dung tích hữu ích hồ chứa cấp nước theo phương pháp điều tiết toàn chuỗi
B.3.1 Cơ sở của phương pháp tính toán
Phương pháp tính toán điều tiết toàn chuỗi (còn gọi là toàn liệt) cũng được tiến hành trên cơ sở giải phương trình cân bằng nước (6) tương tự như phương pháp năm đại biểu. Tuy nhiên, quá trình dòng chảy đến hồ không phải là năm thiết kế mà là một chuỗi dòng chảy thực đo hoặc mô phỏng từ các công cụ mô hình toán. Nếu chuỗi dòng chảy không quá dài (thông thường vài chục năm) có thể sử dụng phương pháp lập bảng để tính. Nếu chuỗi dòng chảy dài vô hạn (ví dụ hàng nghìn năm) có thể sử dụng các phần mềm mô phỏng chuyên dụng.
B.3.2 Trình tự tính toán
B.3.2.1 Trình tự tính toán tương tự như mục B.2 được chia thành hai giai đoạn chưa kể đến tổn thất và đã kể đến tổn thất. Tuy nhiên, có một số điều chỉnh cụ thể như sau:
- Quá trình dòng chảy đến hồ là toàn bộ chuỗi số liệu sắp xếp theo trình tự thời gian;
- Lượng nước yêu cầu được giả thiết không đổi trong tất cả các năm tính toán;
- Ban đầu giả thiết giá trị Vh cho hồ chứa nước;
- Xác định quá trình dung tích hồ chứa nước theo phương án chứa nước sớm;
- Quá trình tích và tháo nước đảm bảo tính liên tục theo trình tự thời gian. Dung tích hồ đầu năm (thủy văn) sẽ bằng dung tích hồ cuối năm trước đó liền kề;
- Đảm bảo trong quá trình tích và tháo nước, dung tích hồ không được vượt quá Vbt và không được nhỏ hơn Vc. Khi dung tích hồ trong thời đoạn tính toán bất kỳ vượt Vbt thì tiến hành xả thừa, khi dung tích hồ về đến Vc thì xác định lượng nước thiếu.
- Đánh giá mức bảo đảm cấp nước của hồ chứa nước. Nếu chưa đạt thì giả thiết lại Vh và tính điều tiết toàn chuỗi theo Vh mới, cho đến khi nào mức bảo đảm cấp nước tính toán lớn hơn hoặc bằng với mức bảo đảm yêu cầu.
B.3.2.2 Nội dung tính điều tiết toàn chuỗi trong trường hợp bỏ qua tổn thất được trình bày trong Bảng B.4, trong đó:
- Cột (1) là năm thủy văn;
- Cột (2) là các tháng theo trình tự thời gian;
- Cột (3) tổng lượng nước đến hồ từng tháng;
- Cột (4) tổng lượng nước yêu cầu từng tháng (giả thiết không đổi giữa các năm);
- Cột (5) và (6) là chênh lệch lượng nước đến và lượng nước dùng có kể đến tổn thất;
- Cột (7) là quá trình dung tích hồ, lựa chọn phương án trữ nước sớm;
- Cột (8) là lượng nước xả thừa;
- Cột (9) là lượng nước thiếu;
Bảng B.4 - Tính toán điều tiết theo phương pháp toàn chuỗi bỏ qua tổn thất
| Năm | Tháng | Wv 106 m3 | Wyc 106 m3 | ΔV | V 106 m3 | Wxả 106 m3 | Wthiếu 106 m3 | |
| + | - | |||||||
| (1) | (2) | (3) | (4) | (5) | (6) | (7) | (8) | (9) |
B.3.2.2 Nội dung tính điều tiết toàn chuỗi trong trường hợp có kể đến tổn thất được trình bày trong Bảng B.5. Trong đó:
Cột (1): năm thủy văn; cột (2) đến cột (17) tương tự cột (1) đến cột (16) trong Bảng B.3; cột (18): lượng nước thiếu;
B.3.2.3 Đánh giá mức bảo đảm cấp nước theo công thức (14).
Bảng B.5 - Tính toán điều tiết theo phương pháp toàn chuỗi có kể đến tổn thất
| Năm | Tháng | Chưa kể tổn thất | Tổn thất | |||||||||
| Lượng nước thừa, thiếu | V 106 m3 | F km2 | Vtb 106 m3 | Ftb km2 | Bốc hơi | Thấm | Cộng | |||||
|
|
| ΔV+ 106 m3 | ΔV- 106 m3 |
|
|
|
| ΔZ mm | Wz 106 m3 | Tiêu chuẩn | Wth 106 m3 | Wtt 106 m3 |
| (1) | (2) | (3) | (4) | (5) | (6) | (7) | (8) | (9) | (10) | (11) | (12) | (13) |
| Năm | Tháng | Đã kể tổn thất |
| |||
| Lượng nước thừa, thiếu | Dung tích V 106 m3 | Wxả 106 m3 | Wthiếu 106 m3 | |||
| ΔV+ 106 m3 | ΔV- 106 m3 |
|
|
| ||
| (1) | (2) | (14) | (15) | (16) | (17) | (18) |
B.3.3 Ví dụ minh họa phương pháp tính điều tiết toàn chuỗi
B.3.3.1 Một hồ chứa nước có các tài liệu cơ bản sau đây:
a) Các đường đặc tính hồ chứa nước (đường quan hệ giữa cao trình mực nước hồ với diện tích mặt hồ và đường quan hệ giữa mực nước hồ với dung tích hồ);
b) Tài liệu quá trình lưu lượng nước đến từ năm 1970 đến năm 2014;
c) Tài liệu yêu cầu nước cần cấp cho các đối tượng khai thác, sử dụng nước hồ của một năm điển hình bất lợi;
d) Kết quả tính toán mực nước chết đã xác định được dung tích chết Vc = 785 000 m3 và mực nước chết Zc = 267,5 m;
e) Lượng nước tổn thất do thấm lấy bằng 3,0 % dung tích trung bình tháng;
g) Lượng bốc hơi phụ thêm trung bình của từng tháng trong năm được ghi trong Bảng B.6.
h) Mức bảo đảm cấp nước là 85 %.
Yêu cầu xác định dung tích hữu ích của hồ chứa nước.
Bảng B.6 - Lượng bốc hơi phụ thêm trung bình của từng tháng trong năm
| Tháng | 1 | 2 | 3 | 4 | 5 | 6 | 7 | 8 | 9 | 10 | 11 | 12 | Năm |
| ΔZ, mm | 16,9 | 16,2 | 19,2 | 22,1 | 28,6 | 27,4 | 27,3 | 21,4 | 20,1 | 20,5 | 18,7 | 18,6 | 257,0 |
B.3.3.2 Nội dung tính toán được trình bày trong Bảng B.7 (là gộp của bảng B.4 và B.5) như sau:
Bảng B.7 - Tính toán điều tiết năm theo phương pháp toàn chuỗi
| Năm | Tháng | Wv 103 m3 | Wyc 103 m3 | Chưa kể tổn thất | |||||
| Lượng nước thừa, thiếu | V 103 m3 | F km2 | Vtb 103 m3 | Ftb km2 | |||||
| ΔV+ 103 m3 | ΔV- 103 m3 |
|
|
|
| ||||
| (1) | (2) | (3) | (4) | (5) | (6) | (7) | (8) | (9) | (10) |
|
|
|
|
|
|
|
|
|
|
|
| 1970-1971 | 5 | 2 273,80 | 281,0 |
|
|
|
|
|
|
|
| 6 | 1 849,39 | 796,0 |
|
|
|
|
|
|
|
| 7 | 2 333,53 | 372,0 |
|
|
|
|
|
|
|
| 8 | 1 804,42 | 199,0 |
|
|
|
|
|
|
|
| 9 | 2 766,61 | 239,0 |
|
|
|
|
|
|
|
| 10 | 1 365,13 | 186,0 |
|
|
|
|
|
|
|
| 11 | 855,40 | 207,0 |
|
|
|
|
|
|
|
| 12 | 395,11 | 242,0 |
|
|
|
|
|
|
|
| 1 | 263,78 | 1 206,0 |
|
|
|
|
|
|
|
| 2 | 195,33 | 684,0 |
|
|
|
|
|
|
|
| 3 | 194,41 | 698,0 |
|
|
|
|
|
|
|
| 4 | 263,92 | 745,0 |
|
|
|
|
|
|
| 1971-1972 | 5 | 935,79 | 281,0 |
|
|
|
|
|
|
|
| - | - | - |
|
|
|
|
|
|
|
| - | - | - |
|
|
|
|
|
|
| - | - | - | - |
|
|
|
|
|
|
| - | - | - | - |
|
|
|
|
|
|
| 2013-2014 | 5 | 167,03 | 281,0 |
|
|
|
|
|
|
|
| 6 | 591,88 | 796,0 |
|
|
|
|
|
|
|
| - | - | - |
|
|
|
|
|
|
Bảng B.7 - Tính toán điều tiết năm theo phương pháp toàn chuỗi (kết thúc)
| Năm | Tháng | Tổn thất | Đã kể tổn thất | ||||||||
|
|
| Bốc hơi | Thấm | Cộng 103 m3 | Lượng nước thừa, thiếu | Dung tích V 103 m3 | Wxả 103 m3 | Wthiếu 103 m3 | |||
|
|
| ΔZ mm | Wz 103 m3 | Tiêu chuẩn | Wth 103 m3 |
| ΔV+ 103 m3 | ΔV- 103 m3 |
|
|
|
| (1) | (2) | (11) | (12) | (13) | (14) | (15) | (16) | (17) | (18) | (19) | (20) |
|
|
|
|
|
|
|
|
|
| 785,0 |
|
|
| 1970-1971 | 5 |
|
|
|
| 59,99 | 1932,81 | - | 2 717,8 | - |
|
|
| 6 |
|
|
|
| 101,87 | 951,52 | - | 3 500,0 | 169,33 |
|
|
| 7 |
|
|
|
| 114,20 | 1 847,33 | - | 3 500,0 | 1 847,33 |
|
|
| 8 |
|
|
|
| 112,21 | 1 493,21 | - | 3 500,0 | 1 493,21 |
|
|
| 9 |
|
|
|
| 111,77 | 2 415,83 | - | 3 500,0 | 2 415,83 |
|
|
| 10 |
|
|
|
| 111,91 | 1 067,22 | - | 3 500,0 | 1 067,22 |
|
|
| 11 |
|
|
|
| 111,30 | 537,10 | - | 3 500,0 | 537,10 |
|
|
| 12 |
|
|
|
| 111,27 | 41,84 | - | 3 500,0 | 41,84 |
|
|
| 1 |
|
|
|
| 96,09 | - | 1 038,31 | 2 461,7 | - |
|
|
| 2 |
|
|
|
| 70,75 | - | 559,42 | 1 902,3 | - |
|
|
| 3 |
|
|
|
| 53,72 | - | 557,32 | 1 344,9 | - |
|
|
| 4 |
|
|
|
| 37,07 | - | 518,15 | 826,8 | - |
|
| 1971-1972 | 5 |
|
|
|
| 38,49 | 616,30 | - | 1 401,3 | - |
|
|
| - |
|
|
|
| - | - | - | - | - |
|
|
| - |
|
|
|
| - | - | - | - | - |
|
| - | - |
|
|
|
| - | - | - | - | - |
|
| - | - |
|
|
|
| - | - | - | - | - |
|
| 2013-2014 | 5 |
|
|
|
| 27,55 | - | 141,53 | 785,0 |
| Thiếu nước |
|
| 6 |
|
|
|
| 27,39 | - | 231,50 | 785,0 |
| Thiếu nước |
B.3.3.3 Trình tự tính toán và phương pháp ghi số liệu tính toán vào bảng như sau:
a) Giả thiết dung tích hữu ích của hồ chứa nước là Vh = 2 715 × 103 m3, dung tích hồ chứa nước tính từ đáy hồ chứa nước là Vbt = 2 500 × 103 m3, mực nước dâng bình thường tương ứng là Zbt = 279,28 m;
b) Bắt đầu tính toán cho năm thứ nhất (năm 1970 - 1971). Dung tích hồ tại tháng thứ i được tính theo công thức:
Vi = Vi-1 + Qvi × Δti - Qri × Δti
Qri = qyi + qbi + qti + qxi;
c) Đầu tháng 5 năm 1970 mực nước trong hồ hạ xuống tới mục nước chết tương ứng với dung tích chết V4 = 785 × 103 m3. Dung tích của hồ ở thời điểm cuối tháng 5 được tính như sau:
- Bước 1 chưa tính đến tổn thất:
V5 = V4 + Qv5 × Δt5 - qy5 × Δt5
V5 = (785,0 + 2 273,8 - 281,0) × 103 m3
V5 = 2 777,8 × 103 m3
Dung tích bình quân của hồ trong tháng 5 là:
Vtb5 = 0,5 × (785,0 + 2 777,8) × 103 m3
Vtb5 = 1 781,4 x 103 m3
Từ đường đặc tính hồ chứa nước suy ra diện tích mặt hồ trung bình trong tháng 5 là Ftb5:
Ftb5 = 22,9 ha;
- Bước 2 kể đến tổn thất:
1) Tổn thất do bốc hơi:
Wbh5 = 10 × Ftb5 × ΔZ5
Wbh5 = 10 × 22,9 × 28,6
Wbh5 = 6,55 × 103 m3
trong đó 10 là hệ số quy đổi đơn vị;
2) Tổn thất do thấm mất nước lấy bằng 3,0 % dung tích trung bình của hồ tháng 5:
Wt5 = 0,03 × 1 781,4 × 103 m3
Wt5 = 53,44 x 103 m3;
3) Tổng tổn thất trong tháng 5 là Wtt5:
Wtt5 = Wbh5 + Wt5
Wtt5 = (6,55 + 53,44) × 103 m3
Wtt5 = 59,99 × 103 m3
Ghi Wtt5 tính được vào cột (5);
4) Dung tích hồ thời điểm cuối tháng 5 khi đã kể đến tổn thất là:
V5 = V4 + Qv5 × Δt5 - qy5 × Δt5 - Wtt5
V5 = (785,0 + 2 273,8 - 281,0 - 59,99) × 103 m3
V5 = 2 717,8 × 103 m3
Ghi trị số V5 vừa tìm được vào cột (8);
d) Từ đường đặc tính hồ chứa nước suy ra diện tích cao trình mặt hồ trung bình trong tháng 5 là 276,7 m. Ghi số liệu này vào cột (9);
e) Tiếp tục tính toán các tháng và năm tiếp theo cho đến hết chuỗi thời gian. Trong quá trình tính toán có thể xảy ra các trường hợp sau đây cần xử lý và cách xử lý như sau:
- Nếu dung tích cuối tháng nào đó vượt Vbt thì chỉ ghi bằng Vbt, vào cột (8) và tính lượng nước xả thừa. Ví dụ lượng nước xả thừa tháng 6 được tính như sau:
| Wthừa 6 | = V5 + Qv6 × Δt6 - Qyc6 x Δt6 - Wtt6 - Vbt |
|
| = (2 717,8 + 1 849,39 - 796,0 - 101,87 - 3 500,0) x 103 m3 |
|
| = 169,33 × 103 m3 |
Giá trị lượng nước xả thừa được ghi ở cột (10);
- Nếu dung tích cuối tháng nào đó nhỏ hơn Vc thì chỉ ghi bằng Vc, và tính lượng nước thiếu theo công thức sau:
Wthiếu i = Vi-1 + Qvi × Δti - Qyci × Δti - Wtt i - Vc
g) Khi tính toán điều tiết năm theo phương pháp điều tiết toàn chuỗi thì dung tích hồ đầu mùa trữ năm kế tiếp sẽ bằng dung tích hồ cuối mùa cấp nước năm trước đó liền kề. Ví dụ, dung tích đầu tháng 6 năm thủy văn (1971-1972) bằng dung tích cuối tháng 5 năm thủy văn (1970-1971).
B.3.3.4 Tính toán số năm đảm bảo cấp nước theo công thức (14). Nếu kết quả tính toán có số năm đảm bảo cấp nước thỏa mãn công thức (14) là đạt yêu cầu. Nếu không đạt yêu cầu thì phải giả thiết lại dung tích Vh cho phù hợp và tính toán lại theo trình tự và phương pháp nêu tại B.2.2.
CHÚ THÍCH:
Trong ví dụ của phụ lục này, tần suất đảm bảo cấp nước theo quy định là 85 % (PCN = 85), số năm tính toán lá 44. Do vậy số năm đảm bảo cấp nước m tính theo công thức (14) như sau:

m lấy tròn bằng 38 năm. Số năm bị phá hoại không lớn hơn 5 năm (44 năm - 38 năm = 6 năm).
Kết quả tính toán điều tiết toàn chuỗi 44 năm tài liệu cho thấy có 35 năm đảm bảo cấp nước và có tới 9 năm thiếu nước, mức đảm bảo chỉ đạt 77,78 %, do đó lần tính thử tiếp theo phải tăng thêm dung tích mới đáp ứng được yêu cầu đảm bảo cấp nước.
B.4 Tính toán dung tích hữu ích hồ đa mục tiêu
B.4.1 Ví dụ minh họa phương pháp tính toán
Dưới đây trình bày một ví dụ về phương pháp tính toán xác định dung tích hữu ích của hồ chứa nước có 3 nhiệm vụ cấp nước với mức bảo đảm cấp nước khác nhau.
B.4.1.1 Tài liệu cho trước
Một hồ chứa nước có các tài liệu cơ bản sau đây:
Chuỗi số liệu dòng chảy đến hồ kéo dài 40 năm, từ T9/1979 đến T8/2019. Các đặc trưng thống kê chuỗi dòng chảy năm bao gồm: Q0 = 2,98 m3/s; Cv = 0,52; Cs = 1,04; Q85% = 1,47 m3/s; Q90% = 1,24 m3/s; Q95% = 0,96 m3/s.
Yêu cầu cấp nước được giả định không đổi giữa các năm được trình bày trong Bảng B.8. Trong đó qyc1, qyc2, qyc3 lần lượt tương ứng với mức bảo đảm 95%, 90% và 85%; qycT là yêu cầu tổng của cả 3 yêu cầu cấp nước.
Bảng B.8 Lưu lượng yêu cầu (m3/s)
| Tháng | 9 | 10 | 11 | 12 | 1 | 2 | 3 | 4 | 5 | 6 | 7 | 8 | TB |
| qyc1 | 0,20 | 0,20 | 0,20 | 0,20 | 0,20 | 0,20 | 0,20 | 0,20 | 0,20 | 0,20 | 0,20 | 0,20 | 0,20 |
| qyc2 | 0,50 | 0,50 | 0,50 | 0,50 | 0,50 | 0,50 | 0,50 | 0,50 | 0,50 | 0,50 | 0,50 | 0,50 | 0,50 |
| qyc3 | 0,02 | 0,01 | 0,01 | 0,15 | 0,39 | 0,73 | 0,89 | 0,23 | 0,47 | 0,71 | 0,80 | 0,57 | 0,42 |
| qycT | 0,72 | 0,71 | 0,71 | 0,85 | 1,09 | 1,43 | 1,59 | 0,93 | 1,17 | 1,41 | 1,50 | 1,27 | 1,12 |
Các tài liệu khác bao gồm quan hệ địa hình lòng hồ, lớp bốc hơi phụ thêm, hệ số thấm, giá trị dung tích chết.
B.4.1.2 Trình tự tính toán
Minh họa trình tự tính toán trong mục 7.2.2 được trình bày trong Bảng B.9.
Bảng B.9 Bảng tính điều tiết
| Năm | Tháng | Số ngày | Qđến | Qđến1 | Qđến2 | Qđến3 | qyc1 | qyc2 |
|
|
|
| m3/s | m3/s | m3/s | m3/s | m3/s | m3/s |
| (1) | (2) | (3) | (4) | (5) | (6) | (7) | (8) | (9) |
| qyc3 | Wđến1 | Wđến2 | Wđến3 | Wyc1 | Wyc2 | Wyc3 | Vhồ1 | Wxả1 |
| m3/s | 106 m3 | 106 m3 | 106 m3 | 106 m3 | 106 m3 | 106 m3 | 106 m3 | 106 m3 |
| (10) | (11) | (12) | (13) | (14) | (15) | (16) | (17) | (18) |
| Vhồ2 | Wxả2 | Vhồ3 | Vhồ | Fhồ | Wbh | Wth | Wtt | Wtt1 |
| 106 m3 | 106 m3 | 106 m3 | 106 m3 | ha | 106 m3 | 106 m3 | 106 m3 | 106 m3 |
| (19) | (20) | (21) | (22) | (23) | (24) | (25) | (26) | (27) |
| Wtt2 | Wtt3 | Điều tiết hồ khi có kể đến tổn thất | ||||||
| Vhồ1 | Wxả1 | Vhồ2 | Wxả2 | Vhồ3 | Vhồ | Zhồ | ||
| 106 m3 | 106 m3 | 106 m3 | 106 m3 | 106 m3 | 106 m3 | 106 m3 | 106 m3 | m |
| (28) | (29) | (30) | (31) | (32) | (33) | (34) | (35) | (36) |
trong đó:
Cột (1): năm thủy văn;
Cột (2): tháng;
Cột (3): số ngày trong từng tháng;
Cột (4): quá trình lưu lượng dòng chảy đến hồ;
Cột (5), (6), (7): quá trình lưu lượng dòng chảy đến các hồ ảo, được xác định theo tỷ lệ so với chuỗi dòng chảy thực trong cột (4) như sau:
Qij = Kj × Qi
trong đó Qij là lưu lượng đến hồ ảo thứ j trong thời đoạn i (m3/s); Kj là hệ số lưu lượng (được lựa chọn trong khoảng từ 0 đến 1 với tổng các giá trị Kj bằng 1); Qi là lưu lượng đến hồ thực thời đoạn i (m3/s);
Cột (8), (9), (10): lưu lượng yêu cầu của các hồ ảo (tương ứng với các nhiệm vụ cấp nước) (m3/s);
Cột (11), (12), (13): tổng lượng nước đến các hồ ảo (m3);
WQij = Qij × Δt
Cột (14), (15), (16): tổng lượng nước yêu cầu của các hồ ảo (m3);
Wqyc ij = qyc ij × Δt
Cột (17): quá trình dung tích hồ ảo 1;
Vij = Vi-1,j + (WQij - Wqij)
- Nếu Vij > Vbtj thì Vij = Vbtj, lượng nước thừa tính bằng:
Wxả j = Vij - Vbtj
- Nếu Vij < Vcj thì Vij = Vcj, lượng nước thiếu tính bằng:
Wthiếu j = Vc - Vij
Cột (18): lượng nước xả thừa tại hồ ảo số 1;
Cột (19): quá trình dung tích hồ ảo số 2;
Vi2 - Vi-1,2 + Wxả1 + (WQi2 - Wqi2)
- Nếu Vij > Vbtj thì Vij = Vbtj
- Nếu Vij < Vcj thì Vij = Vcj
Cột (20): lượng xả thừa hồ ảo số 2 tính theo công thức (B-2)
Cột (21): quá trình dung tích hồ ảo số 3;
Vi,3 = Vi-1,3 + Wxả,2 + (WQi3 - Wqyci,3)
Cột (22): quá trình dung tích hồ thực bằng tổng dung tích 3 hồ ảo;
Vi = Vi,1 + Vi,2 + Vi,3
Cột (23): diện tích mặt hồ, tra theo quan hệ Z~V ứng với V ở cột (22);
Cột (24): tổng lượng bốc hơi (m3);
Wbhi = F × ΔZ × 1000
Cột (25): tổng lượng thấm (m3);
Wthi = 1% × Vi
Cột (26): tổng lượng tổn thất;
Wtt i = Wbh i + Wth i
Cột (27), (28), (29): tổng lượng tổn thất từng hồ ảo, tính theo tỷ lệ theo công thức:
Wtt i,j = Kj × Wtt i
trong đó j là chỉ số hồ ảo; Kj là hệ số lưu lượng đã lựa chọn ở trên
Cột (30): quá trình dung tích hồ ảo 1 sau khi đã kể đến tổn thất
Vij = Vi-1,j + (WQij - WQij) - Wtt i,j
- Nếu Vij > Vbtj thì Vij = Vbtj, lượng nước thừa tính bằng:
Wxả j = Vij - Vbtj
- Nếu Vij < Vcj thì Vij = Vcj, lượng nước thiếu tính bằng:
Wthiếu j = Vc - Vij
Cột (31): lượng nước xả thừa hồ ảo 1;
Cột (32): quá trình dung tích hồ ảo 2 khi đã kể đến tổn thất:
Cột (33): lượng nước xả thừa hồ ảo 2;
Cột (34): quá trình dung tích hồ ảo 3;
Cột (35): quá trình dung tích hồ thực;
Cột (36): quá trình mực nước hồ thực;
Trong ví dụ này, thực hiện trình tự tính toán như đã trình bày ở trên cho 6 phương án bộ hệ số Kj khác nhau. Ở phương án ban đầu (phương án 1) lựa chọn bộ hệ số Kj theo tỷ lệ nước dùng. Sau đó, thay đổi tăng dần Kj cho hồ ảo 1 và giảm dần Kj cho hồ ảo 2 và 3, với điều kiện đảm bảo tổng hệ số Kj bằng 1. Từ đó tính thử dần xác định được dung tích hữu ích các hồ ảo và dung tích hữu ích tổng cộng như trong Bảng B.10. Trong số các phương án tính toán thì phương án 5 cho kết quả tổng dung tích hồ chứa nước là nhỏ nhất. Vì vậy, lựa chọn dung tích hữu ích của hồ là 21,6 × 106 m3. Để tìm được kết quả tốt hơn cần thử nhiều phương án bộ hệ số Kj khác nhau.
Bảng B.10. Tổng hợp kết quả tính toán
| Phương án | Thông số | Hồ ảo 1 | Hồ ảo 2 | Hồ ảo 3 | Vh (106 m3) |
| 1 | Ki | 0,18 | 0,45 | 0,37 |
|
| Vhj | 8,4 | 12,5 | 9,8 | 30,7 | |
| 2 | Ki | 0,2 | 0,4 | 0,4 |
|
| Vhj | 7,55 | 15,2 | 9,6 | 32,35 | |
| 3 | Ki | 0,3 | 0,4 | 0,3 |
|
| Vhj | 5 | 12 | 10,9 | 27,9 | |
| 4 | Ki | 0,4 | 0,4 | 0,20 |
|
| Vhj | 5 | 19 | 28,00 | 52 | |
| 5 | Ki | 0,5 | 0,3 | 0,2 |
|
| Vhj | 1,1 | 7,7 | 12,8 | 21,6 | |
| 6 | Ki | 0,7 | 0,1 | 0,2 |
|
| Vhj | 0,6 | 8,5 | 26 | 35,1 |
Phụ lục C
(Tham khảo)
Các ví dụ tính toán điều tiết lũ
C.1 Tính toán điều tiết lũ theo phương pháp tính lặp trực tiếp
Ví dụ này trình bày nội dung tính toán điều tiết lũ khi đã biết mô hình trận lũ (hay quá trình lũ) đến hồ và quy mô, kích thước của công trình tháo lũ. Tùy thuộc vào mô hình trận lũ tính toán là mô hình trận lũ thiết kế hoặc kiểm tra mà xác định được giá trị mực nước lớn nhất tính toán là mực nước lớn nhất thiết kế hoặc kiểm tra.
C.1.1 Tài liệu cho trước
Tính toán điều tiết lũ cho một hồ chứa nước có các tài liệu cơ bản sau đây:
a) Công trình tháo lũ bao gồm: 03 khoang tràn có cửa van, mỗi khoang rộng b = 9,0 m, chảy tự do, cao trình ngưỡng tràn là 24,4 m; 01 tràn tự do rộng 30 m, cao trình ngưỡng tràn 33,4 m.
b) Đường đặc tính dung tích của hồ chứa nước. Số liệu để vẽ đường cong đặc tính dung tích ghi trong Bảng C.1;
c) Quá trình lũ đến hồ ghi ở cột 2 Bảng C.2.
Bảng C.1 - Quan hệ giữa mực nước hồ (Z) và dung tích hồ (V)
| Z (m) | 5,70 | 6,70 | 7,70 | 8,70 | 9,70 | 10,70 | 11,70 | 12,70 | 13,70 | 14,70 |
| V (106 m3) | 0,00 | 0,00 | 0,07 | 0,17 | 0,38 | 0,73 | 1,32 | 2,17 | 3,15 | 4,25 |
| Z (m) | 14,70 | 15,70 | 16,70 | 17,70 | 18,70 | 19,70 | 20,70 | 21,70 | 22,70 | 23,70 |
| V (106 m3) | 4,25 | 5,44 | 6,69 | 8,01 | 9,38 | 10,79 | 12 26 | 13,76 | 15,33 | 16,94 |
| Z (m) | 24,70 | 25,70 | 26,70 | 27,70 | 28,70 | 29,70 | 30,70 | 31,70 | 32,70 | 33,70 |
| V (106 m3) | 18,61 | 20,32 | 22 06 | 23,84 | 25,67 | 27,54 | 29 45 | 31,40 | 33,40 | 35,44 |
| Z (m) | 34,70 | 35,70 | 36,70 | 37,70 | 38,70 | 43,70 |
|
|
|
|
| V (106 m3) | 37,52 | 39,63 | 41,79 | 43,99 | 46,23 | 58,06 |
|
|
|
|
C.1.2 Trình tự tính toán
Lập bảng tính điều tiết
Bảng C.2 - Bảng tính điều tiết lũ
| Thời gian | Qđến | Qđến tb | Zgt | Qxả 1 | Qxả 2 | Qxả tổng | Qxả tb | ΔV | Vhồ | Ztt | Sai số |
| (h) | (m3/s) | (m3/s) | (m) | (m3/s) | (m3/s) | (m3/s) | (m3/s) | (106 m3) | (106 m3) | (m) | (m) |
| (1) | (2) | (3) | (4) | (5) | (6) | (7) | (8) | (9) | (10) | (11) | (12) |
| 0 | - | - | 33,4 | - | - | - | - | - | 34,8 | 33,4 | 0,0 |
| 1 | 37,0 | 18,5 | 33,4 | 37,0 | - | 37,0 | 18,5 | 0,0 | 34,8 | 33,4 | 0,0 |
| 2 | 38,0 | 37,5 | 33,4 | 38,0 | - | 38,0 | 37,5 | 0,0 | 34,8 | 33,4 | 0,0 |
| 3 | 39,0 | 38,5 | 33,4 | 39,0 | - | 39,0 | 38,5 | 0,0 | 34,8 | 33,4 | 0,0 |
| 4 | 40,0 | 39,5 | 33,4 | 40,0 | - | 40,0 | 39,5 | 0,0 | 34,8 | 33,4 | 0,0 |
| 5 | 41,0 | 40,5 | 33,4 | 41,0 | - | 41,0 | 40,5 | 0,0 | 34,8 | 33,4 | 0,0 |
| 6 | 48,0 | 44,5 | 33,4 | 48,0 | - | 48,0 | 44,5 | 0,0 | 34,8 | 33,4 | 0,0 |
| 7 | 56,0 | 52,0 | 33,4 | 56,0 | - | 56,0 | 52,0 | 0,0 | 34,8 | 33,4 | 0,0 |
| 8 | 63,0 | 59,5 | 33,4 | 63,0 | - | 63,0 | 59,5 | 0,0 | 34,8 | 33,4 | 0,0 |
| 9 | 70,0 | 66,5 | 33,4 | 70,0 | - | 70,0 | 66,5 | 0,0 | 34,8 | 33,4 | 0,0 |
| 10 | 78,0 | 74,0 | 33,4 | 78,0 | - | 78,0 | 74,0 | 0,0 | 34,8 | 33,4 | 0,0 |
| 11 | 85,0 | 81,5 | 33,4 | 85,0 | - | 85,0 | 81,5 | 0,0 | 34,8 | 33,4 | 0,0 |
| 12 | 112,0 | 98,5 | 33,4 | 112,0 | - | 112,0 | 98,5 | 0,0 | 34,8 | 33,4 | 0,0 |
| 13 | 138,0 | 125,0 | 33,4 | 138,0 | - | 138,0 | 125,0 | 0,0 | 34,8 | 33,4 | 0,0 |
| 14 | 206,0 | 172,0 | 33,4 | 206,0 | - | 206,0 | 172,0 | 0,0 | 34,8 | 33,4 | 0,0 |
| 15 | 274,0 | 240,0 | 33,4 | 274,0 | - | 274,0 | 240,0 | 0,0 | 34,8 | 33,4 | 0,0 |
| 16 | 570,0 | 422,0 | 33,4 | 570,0 | - | 570,0 | 422,0 | 0,0 | 34,8 | 33,4 | 0,0 |
| 17 | 865,0 | 717,5 | 33,4 | 865,0 | - | 865,0 | 717,5 | 0,0 | 34,8 | 33,4 | 0,0 |
| 18 | 1 140,0 | 1 002,5 | 33,4 | 1 140,0 | - | 1 140,0 | 1 002,5 | 0,0 | 34,8 | 33,4 | 0,0 |
| 19 | 1 372,0 | 1 256,0 | 33,5 | 1 270,1 | - | 1 270,1 | 1 205,0 | 0,2 | 35,0 | 33,5 | 0,0 |
| 20 | 1 477,0 | 1 424,5 | 33,7 | 1 318,5 | - | 1 318,5 | 1 294,3 | 0,5 | 35,5 | 33,7 | 0,0 |
| 21 | 1 680,0 | 1 578,5 | 34,1 | 1 399,9 | - | 1 399,9 | 1 359,2 | 0,8 | 36,3 | 34,1 | 0,0 |
| 22 | 2 775,0 | 2 227,5 | 35,2 | 1 643,9 | 133,5 | 1 777,3 | 1 588,6 | 2,3 | 38,6 | 35,2 | 0,0 |
| 23 | 1 507,0 | 2 141,0 | 35,7 | 1 753,9 | 190,0 | 1 943,9 | 1 860,6 | 1,0 | 39,6 | 35,7 | 0,0 |
| 24 | 1 121,0 | 1 314,0 | 34,8 | 1 564,0 | 96,1 | 1 660,1 | 1 802,0 | -1,8 | 37,8 | 34,8 | 0,0 |
| 25 | 735,0 | 928,0 | 33,8 | 1 343,8 | 16,0 | 1 359,9 | 1 510,0 | -2,1 | 35,7 | 33,8 | 0,0 |
| 26 | 610,0 | 672,5 | 33,4 | 490,0 | - | 490,0 | 924,9 | -0,9 | 34,8 | 33,4 | 0,0 |
| 27 | 485,0 | 547,5 | 33,4 | 541,4 | - | 541,4 | 515,7 | 0,1 | 34,9 | 33,5 | 0,1 |
| 28 | 423,0 | 454,0 | 33,4 | 423,0 | - | 423,0 | 482,2 | -0,1 | 34,8 | 33,4 | 0,0 |
| 29 | 362,0 | 392,5 | 33,4 | 362,0 | - | 362,0 | 392,5 | 0,0 | 34,8 | 33,4 | 0,0 |
| 30 | 334,0 | 348,0 | 33,4 | 334,0 | - | 334,0 | 348,0 | 0,0 | 34,8 | 33,4 | 0,0 |
| 31 | 305,0 | 319,5 | 33,4 | 305,0 | - | 305,0 | 319,5 | 0,0 | 34,8 | 33,4 | 0,0 |
| 32 | 283,0 | 294,0 | 33,4 | 283,0 | - | 283,0 | 294,0 | 0,0 | 34,8 | 33,4 | 0,0 |
Trong đó:
- Cột (1) thời gian;
- Cột (2) quá trình lũ đến;
- Cột (3) lưu lượng lũ bình quân thời đoạn tính toán;
Qtb i = (Qi + Qi-1) / 2
- Cột (4) mực nước hồ giả thiết. Thời đoạn ban đầu mực nước hồ giả thiết bằng mực nước dâng bình thường Zbt;
- Cột (5) lưu lượng xả lũ qua công trình tháo lũ có cửa van.
○ Nếu Qđến nhỏ hơn năng lực xả của công trình thì lấy lưu lượng xả bằng lưu lượng lũ đến để duy trì mực nước hồ bằng Zbt;
○ Nếu Qđến lớn hơn hoặc bằng năng lực xả của công trình thì tính lưu lượng xả theo công thức thủy lực. Ở đây coi như trường hợp mở hoàn toàn, lưu lượng xả được xác định có dạng giống như tràn tự do với công thức tính như sau:
![]()
- Cột (6) lưu lượng xả lũ qua tràn tự do
![]()
- Cột (7) tổng lưu lượng xả
Q xả tổng = Q xả 1 + Q xả 2
- Cột (8) Q xả tổng tính trung bình trong thời đoạn tính toán
Qxả tb i = (Q xả i + Qxả i-1) / 2
- Cột (9) chênh lệch dung tích hồ đầu và cuối thời đoạn tính toán:
ΔV = (Qđến tb - Qxả tb) × Δt
- Cột (10) Dung tích hồ
Vi = Vi-1 + ΔV
- Cột (11) mực nước hồ tính toán, tra quan hệ Z~V tương ứng với V hồ trong cột (10)
- Cột (12) sai số, tính bằng chênh lệch giữa mực nước hồ giả thiết và mực nước hồ tính toán
![]()
Nếu sai số nhỏ hơn hoặc bằng sai số cho phép (e, thường chọn ở mức 5 cm) thì chuyển sang thời đoạn tiếp theo. Nếu sai số lớn hơn sai số cho phép thì giả thiết lại mực nước hồ.
Thử dần từng thời đoạn cho đến khi sai số trong cột (12) thỏa mãn điều kiện sai số cho phép. Bảng tính điều tiết kết thúc khi mực nước hồ quay trở lại giá trị ban đầu là Zbt. Từ bảng kết quả tính toán, mực nước hồ lớn nhất trong cột (11) chính là mực nước lớn nhất thiết kế (hoặc kiểm tra tùy theo trận lũ đầu vào).
Phương pháp tính lặp có thể giả thiết lưu lượng xả thay cho giả thiết mực nước với cách tính toán hoàn toàn tương tự. Tuy nhiên, nếu hồ chứa nước có nhiều dạng công trình tháo lũ khác nhau thì việc giả thiết mực nước có thể thuận tiện hơn.
C.2 Tính toán điều tiết lũ xác định mực nước đón lũ và dung tích phòng lũ hạ du
C.2.1 Yêu cầu tính toán
Việc xác định mực nước đón lũ Zđl chủ yếu liên quan đến nhiệm vụ phòng lũ cho hạ du. Khi xảy ra trận lũ lớn, phần dung tích hồ chứa nước trong khoảng từ Zđl đến Zbt sẽ được sử dụng để trữ lũ tạm thời, giảm lưu lượng xà lũ về hạ du. Có 2 trường hợp:
- không có yêu cầu khống chế lưu lượng xả lũ về hạ du
- có yêu cầu khống chế lưu lượng xả lũ về hạ du
C.2.2 Xác định mực nước đón lũ khi không có yêu cầu khống chế lưu lượng xả lũ
Bước 1: Lựa chọn một phương án công trình tháo lũ
Bước 2: Lựa chọn mực nước đón lũ Zđl
Bước 3: Lập bảng tính điều tiết lũ (tương tự mục C.1), giá trị mực nước ban đầu tại thời điểm t=0 chính là Zđl.
Bước 4: Kiểm tra điều kiện mực nước hồ lớn nhất
![]()
Nếu mực nước hồ lớn nhất Zmax xấp xỉ Zbt chứng tỏ giá trị Zđl đã lựa chọn là phù hợp.
Nếu mực nước hồ lớn nhất Zmax sai khác nhiều so với Zbt chứng tỏ giá trị Zđl đã lựa chọn là chưa phù hợp, quay lại Bước 2 để tính lại.
Ví dụ minh họa trong Bảng C.3.
Bảng C.3 Tính toán điều tiết lũ xác định mực nước đón lũ
| Thời gian | Qđến | Qđến tb | Zgt | Qxả 1 | Qxả 2 | Qxả tổng | Qxả tb | ΔV | Vhồ | Ztt | Sai số |
| (h) | (m3/s) | (m3/s) | (m) | (m3/s) | (m3/s) | (m3/s) | (m3/s) | (106 m3) | (106 m3) | (m) | (m) |
| (1) | (2) | (3) | (4) | (5) | (6) | (7) | (8) | (9) | (10) | (11) | (12) |
| 0 | - | - | 26,2 | - | - | - | - | - | 21,2 | 26,2 | 0,0 |
| 1 | 27,0 | 13,5 | 26,2 | 27,0 | - | 27,0 | 13,5 | 0,0 | 21,2 | 26,2 | 0,0 |
| 2 | 27,7 | 27,3 | 26,2 | 27,7 | - | 27,7 | 27,3 | 0,0 | 21,2 | 26,2 | 0,0 |
| 3 | 28,4 | 28,1 | 26,2 | 28,4 | - | 28,4 | 28,1 | 0,0 | 21,2 | 26,2 | 0,0 |
| 4 | 29,2 | 28,8 | 26,2 | 29,2 | - | 29,2 | 28,8 | 0,0 | 21,2 | 26,2 | 0,0 |
| 5 | 29,9 | 29,5 | 26,2 | 29,9 | - | 29,9 | 29,5 | 0,0 | 21,2 | 26,2 | 0,0 |
| 6 | 35,0 | 32,4 | 26,2 | 35,0 | - | 35,0 | 32,4 | 0,0 | 21,2 | 26,2 | 0,0 |
| 7 | 40,8 | 37,9 | 26,2 | 40,8 | - | 40,8 | 37,9 | 0,0 | 21,2 | 26,2 | 0,0 |
| 8 | 45,9 | 43,4 | 26,2 | 45,9 | - | 45,9 | 43,4 | 0,0 | 21,2 | 26,2 | 0,0 |
| 9 | 51,0 | 48,5 | 26,2 | 51,0 | - | 51,0 | 48,5 | 0,0 | 21,2 | 26,2 | 0,0 |
| 10 | 56,9 | 53,9 | 26,2 | 56,9 | - | 56,9 | 53,9 | 0,0 | 21,2 | 26,2 | 0,0 |
| 11 | 62,0 | 59,4 | 26,2 | 62,0 | - | 62,0 | 59,4 | 0,0 | 21,2 | 26,2 | 0,0 |
| 12 | 81,6 | 71,8 | 26,2 | 81,6 | - | 81,6 | 71,8 | 0,0 | 21,2 | 26,2 | 0,0 |
| 13 | 100,6 | 91,1 | 26,2 | 100,6 | - | 100,6 | 91,1 | 0,0 | 21,2 | 26,2 | 0,0 |
| 14 | 150,2 | 125,4 | 26,2 | 115,8 | - | 115,8 | 108,2 | 0,1 | 21,3 | 26,2 | 0,0 |
| 15 | 199,7 | 175,0 | 26,4 | 126,4 | - | 126,4 | 121,1 | 0,2 | 21,5 | 26,4 | 0,0 |
| 16 | 415,5 | 307,6 | 26,7 | 160,7 | - | 160,7 | 143,6 | 0,6 | 22,1 | 26,7 | 0,0 |
| 17 | 630,6 | 523,1 | 27,4 | 234,7 | - | 234,7 | 197,7 | 1,2 | 23,2 | 274 | 0,0 |
| 18 | 831,1 | 730,8 | 28,2 | 346,9 | - | 346,9 | 290,8 | 1,6 | 24,8 | 28,2 | 0,0 |
| 19 | 1 000,2 | 915,6 | 29,2 | 487,0 | - | 487,0 | 416,9 | 1,8 | 26,6 | 29,2 | 0,0 |
| 20 | 1 176,7 | 1 088,5 | 30,2 | 645,8 | - | 645,8 | 566,4 | 1,9 | 28,5 | 30,2 | 0,0 |
| 21 | 1 420,0 | 1 298,4 | 31,2 | 828,5 | - | 828,5 | 737,1 | 2,0 | 30,5 | 31,2 | 0,0 |
| 22 | 2 070,0 | 1 745,0 | 32,7 | 1 099,7 | - | 1 099,7 | 964,1 | 2,8 | 33,3 | 32,7 | 0,0 |
| 23 | 1 098,6 | 1 584,3 | 33,4 | 1 247,8 | - | 1 247,8 | 1 173,7 | 1,5 | 34,8 | 33,4 | 0,0 |
| 24 | 817,2 | 957,9 | 33,0 | 1 158,7 | - | 1 158,7 | 1 203,2 | -0,9 | 33,9 | 33,0 | 0,0 |
| 25 | 535,8 | 676,5 | 32,2 | 1 012,8 | - | 1 012,8 | 1 085,7 | -1,5 | 32,4 | 32,2 | 0,0 |
| 26 | 444,7 | 490,3 | 31,4 | 859,2 | - | 859,2 | 936,0 | -1,6 | 30,8 | 31,4 | 0,0 |
| 27 | 353,6 | 399,1 | 30,7 | 728,6 | - | 728,6 | 793,9 | -1,4 | 29,4 | 30,7 | 0,0 |
| 28 | 308,4 | 331,0 | 30,0 | 619,1 | - | 619,1 | 673,9 | -1,2 | 28,2 | 30,0 | 0,0 |
| 29 | 263,9 | 286,1 | 29,5 | 530,9 | - | 530,9 | 575,0 | -1,0 | 27,1 | 29,5 | 0,0 |
| 30 | 243,5 | 253,7 | 29,0 | 459,8 | - | 459,8 | 495,3 | -0,9 | 26,3 | 29,0 | 0,0 |
| 31 | 222,3 | 232,9 | 28,6 | 403,7 | - | 403,6 | 431,7 | -0,7 | 25,5 | 28,6 | 0,0 |
| 32 | 206,3 | 214,3 | 28,3 | 357,6 | - | 357,6 | 380,6 | -0,6 | 25,0 | 28,3 | 0,0 |
| 33 | 189,5 | 197,9 | 28,0 | 320,1 | - | 320,1 | 338,9 | -0,5 | 24,4 | 28,0 | 0,0 |
| 34 | 177,1 | 183,3 | 27,8 | 289,0 | - | 289,0 | 304,5 | -0,4 | 24,0 | 27,8 | 0,0 |
| 35 | 164,8 | 171,0 | 27,6 | 262,5 | - | 262,5 | 275,7 | -0,4 | 23,6 | 27,6 | 0,0 |
| 36 | 158,2 | 161,5 | 27,4 | 240,3 | - | 240,3 | 251,4 | -0,3 | 23,3 | 27,4 | 0,0 |
| 37 | 152,4 | 155,3 | 27,2 | 222,1 | - | 222,1 | 231,2 | -0,3 | 23,0 | 27,2 | 0,0 |
| 38 | 145,8 | 149,1 | 27,1 | 206,8 | - | 206,8 | 214,4 | -0,2 | 22,8 | 27,1 | 0,0 |
| 39 | 139,2 | 142,5 | 27,0 | 193,6 | - | 193,6 | 200,2 | -0,2 | 22,6 | 27,0 | 0,0 |
| 40 | 132,7 | 136,0 | 26,9 | 182,0 | - | 182,0 | 187,8 | -0,2 | 22,4 | 26,9 | 0,0 |
| 41 | 126,8 | 129,8 | 26,8 | 171,6 | - | 171,6 | 176,8 | -0,2 | 22,2 | 26,8 | 0,0 |
| 42 | 122,5 | 124,7 | 26,7 | 162,5 | - | 162,5 | 167,1 | -0,2 | 22,1 | 26,7 | 0,0 |
| 43 | 118,8 | 120,6 | 26,6 | 154,3 | - | 154,3 | 158,4 | -0,1 | 21,9 | 26,6 | 0,0 |
| 44 | 115,2 | 117,0 | 26,6 | 147,2 | - | 147,2 | 150,8 | -0,1 | 21,8 | 26,6 | 0,0 |
| 45 | 110,8 | 113,0 | 26,5 | 140,7 | - | 140,7 | 143,9 | -0,1 | 21,7 | 26,5 | 0,0 |
| 46 | 107,2 | 109,0 | 26,4 | 134,8 | - | 134,8 | 137,7 | -0,1 | 21,6 | 26,4 | 0,0 |
| 47 | 103,5 | 105,3 | 26,4 | 129,3 | - | 129,3 | 132,1 | -0,1 | 21,5 | 26,4 | 0,0 |
| 48 | 101,3 | 102,4 | 26,3 | 124,4 | - | 124,4 | 126,9 | -0,1 | 21,4 | 26,3 | 0,0 |
| 49 | 99,1 | 100,2 | 26,3 | 120,1 | - | 120,1 | 122,3 | -0,1 | 21,3 | 26,3 | 0,0 |
| 50 | 96,2 | 97,7 | 26,2 | 116,1 | - | 116,1 | 118,1 | -0,1 | 21,3 | 26,2 | 0,0 |
| 51 | 93,3 | 94,8 | 26,2 | 112,3 | - | 112,3 | 114,2 | -0,1 | 21,2 | 26,2 | 0,0 |
C.2.3 Xác định mực nước đón lũ khi có yêu cầu khống chế lưu lượng xả lũ
Bước 1: Lựa chọn một phương án công trình tháo lũ
Bước 2: Lựa chọn mực nước đón lũ Zđl
Bước 3: Lập bảng tính điều tiết lũ (tương tự mục C.1), giá trị mực nước ban đầu tại thời điểm t=0 chính là Zđl.
Bước 4: Kiểm tra điều kiện mực nước hồ lớn nhất
![]()
- Nếu mực nước hồ lớn nhất Zmax xấp xỉ Zbt chứng tỏ giá trị Zđl đã lựa chọn là phù hợp.
- Nếu mực nước hồ lớn nhất Zmax sai khác nhiều so với Zbt chứng tỏ giá trị Zđl đã lựa chọn là chưa phù hợp, quay lại Bước 2 để tính lại.
Bước 5: Kiểm tra điều kiện lưu lượng xả lớn nhất
![]()
Nếu điều kiện thỏa mãn thì phương án lựa chọn là phù hợp. Nếu điều kiện chưa thỏa mãn thì quay lại bước 1 để lựa chọn dạng công trình tháo lũ khác hoặc thay đổi thông số công trình tháo lũ.
Ví dụ minh họa trong Bảng C.4. Trong đó, lưu lượng xả khống chế là 1200 m3/s.
Bảng C.4 Tính toán điều tiết lũ xác định mực nước đón lũ
| Thời gian | Qđến | Qđến tb | Zgt | Qxả 1 | Qxả 2 | Qxả tổng | Qxả tb | ΔV | Vhồ | Ztt | Sai số |
| (h) | (m3/s) | (m3/s) | (m) | (m3/s) | (m3/s) | (m3/s) | (m3/s) | (106 m3) | (106 m3) | (m) | (m) |
| (1) | (2) | (3) | (4) | (5) | (6) | (7) | (8) | (9) | (10) | (11) | (12) |
| 0 | - | - | 24,5 | - | - | - | - | - | 18,3 | 24,5 | 0,0 |
| 1 | 27,0 | 13,5 | 24,5 | 2,5 | - | 2,5 | 1,2 | 0,0 | 18,3 | 24,5 | 0,0 |
| 2 | 27,7 | 27,3 | 24,6 | 3,9 | - | 3,9 | 3,2 | 0,1 | 18,4 | 24,6 | 0,0 |
| 3 | 28,4 | 28,1 | 24,6 | 5,6 | - | 5,6 | 4,8 | 0,1 | 18,5 | 24,6 | 0,0 |
| 4 | 29,2 | 28,8 | 24,7 | 7,3 | - | 7,3 | 6,4 | 0,1 | 18,6 | 24,7 | 0,0 |
| 5 | 29,9 | 29,5 | 24,7 | 9,1 | - | 9,1 | 8,2 | 0,1 | 18,7 | 24,7 | 0,0 |
| 6 | 35,0 | 32,4 | 24,8 | 11,0 | - | 11,0 | 10,1 | 0,1 | 18,8 | 24,8 | 0,0 |
| 7 | 40,8 | 37,9 | 24,8 | 13,5 | - | 13,5 | 12,2 | 0,1 | 18,9 | 24,8 | 0,0 |
| 8 | 45,9 | 43,4 | 24,9 | 16,3 | - | 16,3 | 14,9 | 0,1 | 19,0 | 24,9 | 0,0 |
| 9 | 51,0 | 48,5 | 25,0 | 19,6 | - | 19,6 | 17,9 | 0,1 | 19,1 | 25,0 | 0,0 |
| 10 | 56,9 | 53,9 | 25,0 | 23,3 | - | 23,3 | 21,4 | 0,1 | 19,2 | 25,0 | 0,0 |
| 11 | 62,0 | 59,4 | 25,1 | 27,3 | - | 27,3 | 25,3 | 0,1 | 19,3 | 25,1 | 0,0 |
| 12 | 81,6 | 71,8 | 25,2 | 32,6 | - | 32,6 | 30,0 | 0,2 | 19,5 | 25,2 | 0,0 |
| 13 | 100,6 | 91,1 | 25,3 | 40,0 | - | 40,0 | 36,3 | 0,2 | 19,7 | 25,3 | 0,0 |
| 14 | 150,2 | 125,4 | 25,5 | 51,6 | - | 51,6 | 45,8 | 0,3 | 19,9 | 25,5 | 0,0 |
| 15 | 199,7 | 175,0 | 25,7 | 69,9 | - | 69,9 | 60,8 | 0,4 | 20,3 | 25,7 | 0,0 |
| 16 | 415,5 | 307,6 | 26,2 | 108,7 | - | 108,7 | 89,3 | 0,8 | 21,1 | 26,2 | 0,0 |
| 17 | 630,6 | 523,1 | 26,9 | 187,0 | - | 187,0 | 147,9 | 1,4 | 22,5 | 26,9 | 0,0 |
| 18 | 831,1 | 730,8 | 27,9 | 304,8 | - | 304,8 | 245,9 | 1,8 | 24,2 | 27,9 | 0,0 |
| 19 | 1 000,2 | 915,6 | 29,0 | 451,8 | - | 451,8 | 378,3 | 1,9 | 26,2 | 29,0 | 0,0 |
| 20 | 1 176,7 | 1 088,5 | 30,0 | 617,7 | - | 617,7 | 534,8 | 2,0 | 28,2 | 30,0 | 0,0 |
| 21 | 1 420,0 | 1 298,4 | 31,1 | 806,8 | - | 806,8 | 712,2 | 2,1 | 30,3 | 31,1 | 0,0 |
| 22 | 2 070,0 | 1 745,0 | 32,6 | 1 083,2 | - | 1 083,1 | 945,0 | 2,9 | 33,1 | 32,6 | 0,0 |
| 23 | 1 098,6 | 1 584,3 | 33,4 | 1 200,0 | - | 1 200,0 | 1 141,6 | 16 | 347 | 33,4 | 0,0 |
| 24 | 817,2 | 957,9 | 33,0 | 1 161,8 | - | 1 161,8 | 1 180,9 | -0,8 | 33,9 | 33,0 | 0,0 |
| 25 | 535,8 | 676,5 | 32,2 | 1 014,9 | - | 1 014,9 | 1 088,3 | -1,5 | 32,5 | 32,2 | 0,0 |
| 26 | 444,7 | 490,3 | 31,4 | 860,7 | - | 860,7 | 937,8 | -1,6 | 30,8 | 31,4 | 0,0 |
| 27 | 353,6 | 399,1 | 30,7 | 729,6 | - | 729,6 | 795,2 | -1,4 | 29,4 | 30,7 | 0,0 |
| 28 | 308,4 | 331,0 | 30,0 | 619,8 | - | 619,8 | 674,7 | -1,2 | 28,2 | 30,0 | 0,0 |
| 29 | 263,9 | 286,1 | 29,5 | 531,4 | - | 531,4 | 575,6 | -1,0 | 27,1 | 29,5 | 0,0 |
| 30 | 243,5 | 253,7 | 29,0 | 460,1 | - | 460,1 | 495,8 | -0,9 | 26,3 | 29,0 | 0,0 |
| 31 | 222,3 | 232,9 | 28,6 | 403,9 | - | 403,9 | 432,0 | -0,7 | 25,6 | 28,6 | 0,0 |
| 32 | 206,3 | 214,3 | 28,3 | 357,8 | - | 357,8 | 380,9 | -0,6 | 25,0 | 28,3 | 0,0 |
| 33 | 189,5 | 197,9 | 28,0 | 320,2 | - | 320,2 | 339,0 | -0,5 | 24,4 | 28,0 | 0,0 |
| 34 | 177,1 | 183,3 | 27,8 | 289,1 | - | 289,1 | 304,6 | -0,4 | 24,0 | 27,8 | 0,0 |
| 35 | 164,8 | 171,0 | 27,6 | 262,6 | - | 262,6 | 275,8 | -0,4 | 23,6 | 27,6 | 0,0 |
| 36 | 158,2 | 161,5 | 27,4 | 240,4 | - | 240,4 | 251,5 | -0,3 | 23,3 | 27,4 | 0,0 |
| 37 | 152,4 | 155,3 | 27,2 | 222,1 | - | 222,1 | 231,2 | -0,3 | 23,0 | 27,2 | 0,0 |
| 38 | 145,8 | 149,1 | 27,1 | 206,8 | - | 206,8 | 214,5 | -0,2 | 22,8 | 27,1 | 0,0 |
| 39 | 139,2 | 142,5 | 27,0 | 193,6 | - | 193,6 | 200,2 | -0,2 | 22,6 | 27,0 | 0,0 |
| 40 | 132,7 | 136,0 | 26,9 | 182,0 | - | 182,0 | 187,8 | -0,2 | 22,4 | 26,9 | 0,0 |
| 41 | 126,8 | 129,8 | 26,8 | 171,6 | - | 171,6 | 176,8 | -0,2 | 22,2 | 26,8 | 0,0 |
| 42 | 122,5 | 124,7 | 26,7 | 162,5 | - | 162,5 | 167,1 | -0,2 | 22,1 | 26,7 | 0,0 |
| 43 | 118,8 | 120,6 | 26,6 | 154,4 | - | 154,4 | 158,4 | -0,1 | 21,9 | 26,6 | 0,0 |
| 44 | 115,2 | 117,0 | 26,6 | 147,2 | - | 147,2 | 150,8 | -0,1 | 21,8 | 26,6 | 0,0 |
| 45 | 110,8 | 113,0 | 26,5 | 140,7 | - | 140,7 | 143,9 | -0,1 | 21,7 | 26,5 | 0,0 |
| 46 | 107,2 | 109,0 | 26,4 | 134,8 | - | 134,8 | 137,7 | -0,1 | 21,6 | 26,4 | 0,0 |
| 47 | 103,5 | 105,3 | 26,4 | 129,4 | - | 129,3 | 132,1 | -0,1 | 21,5 | 26,4 | 0,0 |
| 48 | 101,3 | 102,4 | 26,3 | 124,4 | - | 124,4 | 126,9 | -0,1 | 21,4 | 26,3 | 0,0 |
| 49 | 99,1 | 100,2 | 26,3 | 120,1 | - | 120,1 | 122,3 | -0,1 | 21,3 | 26,3 | 0,0 |
| 50 | 96,2 | 97,7 | 26,2 | 116,1 | - | 116,1 | 118,1 | -0,1 | 21,3 | 26,2 | 0,0 |
| 51 | 93,3 | 94,8 | 26,2 | 112,3 | - | 112,3 | 114,21 | -0,1 | 21,2 | 26,2 | 0,0 |
Phụ lục D
(Tham khảo)
Tính toán công suất bảo đảm của nhà máy thủy điện
D.1 Xác định công suất bảo đảm của nhà máy thủy điện điều tiết năm
D.1.1 Công suất bảo đảm của nhà máy thủy điện điều tiết năm, ký hiệu là Nbđ, là công suất bình quân mùa cấp nước (mùa kiệt) ứng với tần suất thiết kế. Khi mực nước dâng bình thường và mực nước chết đã xác định thi công suất bảo đảm của nhà máy thủy điện điều tiết năm có thể xác định theo một trong hai phương pháp được nêu tại D.1.2 và D.1.3. Tùy thuộc vào điều kiện cụ thể của từng hồ mà lựa chọn phương pháp tính toán phù hợp.
D.1.2 Xác định công suất bảo đảm của nhà máy thủy điện theo phương pháp năm đại biểu. Nội dung của phương pháp như sau:
a) Sử dụng tài liệu lưu lượng nước bình quân tháng của năm kiệt thiết kế, tính toán điều tiết theo phương pháp lưu lượng không đổi tìm được lưu lượng bình quân của mùa cấp nước, tính được công suất của từng tháng trong mùa cấp nước và công suất bình quân của cả mùa cấp nước sẽ được công suất đảm bảo. Lưu lượng điều tiết bình quân mùa cấp nước tính theo công thức sau:
| QPĐ = (Wk + Vh - Wt - Wtt - Wtl) / T | (D.1) |
trong đó:
QPĐ là lưu lượng điều tiết bình quân mùa cấp nước của năm kiệt thiết kế (m3/s);
Wk là tổng lượng nước đến mùa kiệt (m3);
Vh là dung tích hữu ích của hồ (m3);
Wt là lượng nước tổn thất (m3);
Wtt là lượng dòng chảy tối thiểu (m3);
Wtl là lượng nước sử dụng ở thượng lưu (m3);
T là thời gian kéo dài mùa kiệt (s);
Nếu không xét đến tổn thất và lấy nước ở thượng lưu, lưu lượng điều tiết bình quân mùa cấp nước tính theo công thức đơn giản sau:
| QPĐ = (Wk + Vh - Wtt) / T | (D.2) |
b) Để hiểu thêm cách tính điều tiết theo phương pháp lưu lượng không đổi, có thể xem thêm ví dụ minh hoạ sau đây: Một nhà máy thủy điện điều tiết năm có tần suất thiết kế 85 %, dung tích hữu ích Vh là 31 520 000 m3, dung tích chết Vc là 10 500 000 m3, không lấy nước ở thượng lưu hồ. Lưu lượng bình quân tháng của năm nước kiệt thiết kế ghi ở cột 2 của Bảng D.1. Lưu lượng dòng chảy tối thiểu là 0,2 m3/s
Công suất đảm bảo của nhà máy thủy điện nói trên được xác định theo trình tự sau:
- Giả thiết mùa cấp nước bắt đầu từ tháng 1 đến tháng 5, lượng nước đến 5 tháng mùa kiệt là Wk:
Wk = (2,00 × 31 + 2,05 × 28 + 0,85 × 31 + 1,50 × 30 + 2,80 × 31) × 86 400
Wk = 23 980 320 m3
Sử dụng công thức (D.5) để tính toán lưu lượng điều tiết bình quân mùa cấp nước Qđt:
QPĐ = (23 980 320 + 31 520 000 - 2 609 280)/[(31 + 28 + 31 + 30 + 31) × 86 400]
QPĐ = 4,05 m3/s
So với lưu lượng nước đến thấy rằng tháng 12 có lưu lượng nhỏ hơn QPĐ, do đó tháng 12 cũng nằm trong thời kỳ cấp nước (6 tháng). Tính lại cho kết quả Wk bằng 33 086 880 m3 và Qđt bằng 3,91 m3/s so với lưu lượng nước đến là hợp lý. Ghi kết quả tính toán vào cột 3 của Bảng D.1 từ tháng 12 năm trước đến tháng 5 năm sau;
- Lưu lượng điều tiết mùa trữ nước tính theo công thức sau:
| QPĐ = (WL - Vh - Wtt) / TL | (D.3) |
trong đó:
WL là tổng lượng nước đến trong mùa lũ (m3);
TL là thời gian kéo dài mùa lũ (s);
Thay các trị số trong Bảng D.1, cột (2) từ tháng 6 đến tháng 11 là các tháng mùa lũ với tổng thời gian 183 ngày vào công thức (D.6) cho kết quả như sau:
WL = (8,0 × 30 + 7,5 × 31 + 6,5 × 31 + 13,5 × 30 + 7,5 × 31 + 7,3 × 30) × 86 400
WL = 132 235 200 m3
QPĐ = (132 235 200 - 31 520 000 - 3 162 240) / (183 × 86 400)
QPĐ = 6,17 m3/s
So với lưu lượng nước đến, QPĐ mùa lũ tính toán được là hợp lý. Ghi kết quả tính toán này vào cột 3 của Bảng D.1 từ tháng 6 đến tháng 11;
- Kết quả tính toán lượng nước thừa, nước thiếu từng tháng, quá trình trữ nước (quá trình dung tích hồ) ở cuối các tháng, dung tích hồ trung bình từng tháng ghi vào các cột từ cột (5) đến cột (10) Bảng D.1. Căn cứ vào dung tích hồ trung bình tháng (cột 10) và đường quan hệ Z ~ V, xác định được cao trình mực nước trung bình của hồ theo tháng (Zt) và ghi vào cột (11). Mực nước hạ lưu trung bình tháng (Zh) ghi vào cột (12). Kết quả tính toán cột nước phát điện trung bình tháng H = Zt - Zh ghi vào cột (13) của Bảng D.1;
- Công suất đảm bảo (Nđb) tính theo công suất bình quân 6 tháng mùa kiệt (từ tháng 12 đến tháng 5 năm sau) như sau:
Nbđ = (906,6 + 887,5 + 849,4 + 778,6 +707,8 + 642,5) / 6
Nđb = 795,4 kW.
Bảng D.1 - Tính toán công suất năm nước kiệt thiết kế theo phương pháp lưu lượng không đổi
| Tháng | Qđ m3/s | Qđt m3/s | Qtt m3/s | Nước thừa | Nước thiếu | Lượng trữ (dung tích hồ) cuối tháng | Lượng trữ (dung tích hồ) bình quân tháng | Zt m | Zh m | H m | N kW | ||
| m3/s | 103 m3 | m3/s | 103 m3 | 103 m3 | 103 m3 | ||||||||
| (1) | (2) | (3) | (4) | (5) | (6) | (7) | (8) | (9) | (10) | (11) | (12) | (13) | (14) |
|
|
|
|
|
|
|
|
| 10 500 | - | 25,0 | - | - | - |
| 6 | 8,0 | 6,17 | 0,2 | 1,63 | 4 225 | - | - | 14 725 | 12613 | 25,2 | 1,6 | 23,6 | 1 014 |
| 7 | 7,5 | 6,17 | 0,2 | 1,13 | 3 027 | - | - | 17 752 | 16 239 | 27,0 | 1,6 | 25,4 | 1 092 |
| 8 | 6,5 | 6,17 | 0,2 | 0,13 | 349 | - | - | 18 101 | 17 927 | 27,5 | 1,6 | 25,9 | 1 113 |
| 9 | 13,5 | 6,17 | 0,2 | 7,13 | 18 481 | - | - | 36 582 | 27 341 | 30,5 | 1,6 | 28,9 | 1 242 |
| 10 | 7,5 | 6,17 | 0,2 | 1,13 | 3 027 | - | - | 39 609 | 38 096 | 34,2 | 1,6 | 32,6 | 1 401 |
| 11 | 7,3 | 6,17 | 0,2 | 0,93 | 2 411 | - | - | 42 020 | 40 815 | 34,6 | 1,6 | 33,0 | 1 418 |
| 12 | 3,4 | 3,91 | 0,2 | - | - | 0,71 | 1 898 | 40 122 | 41 071 | 34,7 | 1,4 | 33,3 | 907 |
| 1 | 2,0 | 3 91 | 0,2 | - | - | 2,11 | 5 648 | 34 474 | 37 298 | 34,0 | 1,4 | 32,6 | 887 |
| 2 | 2,1 | 3,91 | 0,2 | - | - | 2,06 | 4 980 | 29 494 | 31 984 | 32,6 | 1,4 | 31,2 | 849 |
| 3 | 0,9 | 3,91 | 0,2 | - | - | 3,26 | 8 728 | 20 766 | 25 130 | 30,0 | 1,4 | 28,6 | 779 |
| 4 | 1,5 | 3,91 | 0,2 | - | - | 2,61 | 6 761 | 14 005 | 17 386 | 27,4 | 1,4 | 26,0 | 708 |
| 5 | 2,8 | 3,91 | 0,2 | - | - | 1,31 | 3 505 | 10 500 | 12 252 | 25,0 | 1,4 | 23,6 | 642 |
|
|
|
|
|
| 31 520 |
| 31 520 |
|
|
|
|
|
|
CHÚ THÍCH: Sau khi tìm được lưu lượng nước điều tiết cũng có thể dùng công thức (D.1) để tìm công suất bảo đảm:
- Dung tích bình quân:
V = Vc + 0,5 × Vh
V = (10 050 000 + 0,5 × 31 520 000)
V = 26 626 000 m3;
- Tra đường quan hệ Z ~ V tìm được mực nước thượng lưu trung bình Zt là 30,90 m, mực nước hạ lưu theo tài liệu Zh là 1,40 m, cột nước phát điện H là 29,5 m;
- Công suất bảo đảm tính theo công thức (15) với η = 0,71, Qđt = 3,91 m3/s:
Nbđ = 9,81 × 0,71 × 4,10 × 29,5, kW
Nbđ = 803 kW.
Hai phương pháp tính toán cho kết quả chênh lệch nhau không nhiều.
D.2.3 Xác định công suất bảo đảm của nhà máy thủy điện theo phương pháp điều tiết toàn chuỗi. Theo phương pháp này phải sử dụng toàn bộ chuỗi số liệu thủy văn đã có, qua tính toán điều tiết tính được công suất bình quân mùa cấp nước (mùa kiệt) của từng năm, sau đó tính tần suất chuỗi công suất đó. Từ tần suất thiết kế p = 85 % tra ra công suất bảo đảm (xem thêm phương pháp điều tiết toàn chuỗi nêu tại phụ lục B).
D.2 Xác định công suất bảo đảm nhà máy thủy điện điều tiết ngày hoặc không điều tiết
D.2.1 Phương pháp năm đại biểu
D.2.1.1 Chọn một số năm đại biểu cho các năm nhiều nước, năm ít nước và năm nước trung bình theo các tần suất để tính toán. Trong giai đoạn tính toán thiết kế sơ bộ có thể chỉ chọn 3 năm đại biểu theo phương pháp sau: gọi P là tần suất thiết kế của nhà máy thủy điện, thì năm ít nước được chọn là năm có lượng nước đến tương đương với tần suất P, năm nhiều nước được chọn tương đương với tần suất (1 - P) và năm nước trung bình được chọn tương đương với tần suất 50 %.
D.2.1.2 Tính toán xác định công suất đảm bảo của nhà máy thủy điện điều tiết ngày theo phương pháp lập bảng. Bảng D.2 giới thiệu ví dụ kết quả tính toán thủy năng điều tiết ngày cho một tháng kiệt nhất của một năm đại biểu, trong đó:
Qnet là lưu lượng nước đến đã khấu trừ tổn thất (m3/s);
Qtt là lưu lượng dòng chảy tối thiểu (m3/s);
Qx là lưu lượng nước xả thừa khi Qnet - Qtt > Qtb max (m3/s);
Qtb max là lưu lượng lớn nhất khi công suất đạt công suất lắp máy (m3/s);
QPĐ là lưu lượng phát điện (m3/s): QPĐ = Qnet - Qtt - Qx;
Nn là công suất ngày, kW, tính theo công thức (15);
Zt là độ cao mực nước thượng lưu, m. Nếu không có điều tiết thì Zt lấy bằng mực nước dâng bình thường của hồ chứa nước hoặc bể áp lực. Nếu có điều tiết ngày thì Zt lấy bằng mực nước trung bình của mùa kiệt và lấy bằng mực nước dâng bình thường của mùa lũ khi lưu lượng nước đến lớn hơn lưu lượng phát điện (Qnet > QPĐ + Qtt);
Zh là độ cao mực nước hạ lưu, m, tra theo quan hệ H ~ Q hạ lưu tương ứng với lưu lượng xả xuống hạ lưu;
En là điện lượng phát được trong ngày, kW.h: En = 24 × Nn.
Bảng D.2 - Kết quả tính toán thủy năng điều tiết ngày tháng 4 của năm đại biểu nhiều nước
| Ngày | Qđ m3/s | Qnet m3/s | Qtt m3/s | QPĐ m3/s | Qx m3/s | Zt m | Zh m | Nn kW | En kW.h |
| 1 | 2,60 | 2,59 | 0,1 | 2,49 | 0 | 435,50 | 262,00 | 3 263 | 78 319 |
| 2 | 2,60 | 2,59 | 0,1 | 2,49 | 0 | 435,50 | 262,00 | 3 263 | 78 319 |
| 3 | 2,60 | 2,59 | 0,1 | 2,49 | 0 | 435,50 | 262,00 | 3 263 | 78 319 |
| 4 | 5,07 | 5,05 | 0,1 | 4,95 | 0 | 435,50 | 262,00 | 6 487 | 155 695 |
| 5 | 7,46 | 7,44 | 0,1 | 5,69 | 1,65 | 435,50 | 262,00 | 7 457 | 178 971 |
| 6 | 7,71 | 7,69 | 0,1 | 5,69 | 1,9 | 435,50 | 262,00 | 7 457 | 178 971 |
| ... | ... | ... | ... | ... | ... | ... | ... | ... | ... |
D.2.2 Phương pháp điều tiết toàn chuỗi
Nếu tại vị trí xây dựng công trình có tài liệu thủy văn dài và tính đại biểu cao, có thể dùng phương pháp điều tiết toàn chuỗi. Phương pháp này tính toán công suất ngày cho toàn chuỗi số liệu rồi vẽ đường tần suất công suất ngày, xem Hình D.1, sau đó từ tần suất thiết kế tìm được công suất bảo đảm. Cách tính toán công suất ngày xem D.2.1.2 nhưng áp dụng cho toàn bộ chuỗi số liệu.

Hình D.1 - Đường tần suất công suất nhà máy thủy điện điều tiết ngày
Thư mục tài liệu tham khảo
1. Nghị định 114/2018/NĐ-CP về quản lý an toàn đập, hồ chứa nước.
2. QCVN 04-05:2022/BNNPTNT: Quy chuẩn kỹ thuật quốc gia về Công trình thủy lợi, Phòng chống thiên tai - Phần I. Công trình thủy lợi - Các quy định chủ yếu về thiết kế
3. Ủy ban Tưới tiêu Quốc tế - Bộ NN&PTNT. Từ điển Kỹ thuật thủy lợi Anh - Việt. NXB Xây dựng, 2003.
4. Trường Đại học Thủy lợi, Bộ môn Thủy văn và tài nguyên nước. Giáo trình Thủy văn công trình, Tập 1, Tập 2. Nhà xuất bản xây dựng, 2012.
5. Ngô Đình Tuấn và nnk. Sổ tay kỹ thuật thủy lợi, Phần 1 - Cơ sở kỹ thuật thủy lợi, Tập 4. Nhà xuất bản Nông nghiệp, 2005.
6. USACE, Hydrologic Engineering Requirements for reservoirs, EM 1110-2-1420, 2018
7. USACE, ECB 2019-13, Methods for Storage/Yield Analysis, 2019.
8. US Department of Interior, Bureau of Reclamation, Design of Gravity Dams, 1976.
9. NRCS, National Engineering Handbook, Part 630 Hydrology, 2014.
10. Spanish National Committee On Large Dams, Technical Guides on Dam Safety, Risk analysis applied to management of dam safety, 2012.
11. Central Water Commisssion, India: Guidelines for Selecting and Accommodating the Inflow Design Floods for Dams, 2021.
12. Cranfield University, Thinking about irrigation reservoir: A guide to planning, designing, constructing and commisssioning a water storage reservoir
13. ANCOLD, Selection of an Acceptable Flood Capacity for Dams, 2000
14. Philippine National Standard. Rainwater and Runoff Management - Small Farm Reservoir
15. National Irrigation Administration. General Guidelines and Criteria for Planning, Design, Construction, Operation and Maintenance of Reservoir Dams, 2019
MỤC LỤC
1. Phạm vi áp dụng
2. Tài liệu viện dẫn
3. Thuật ngữ và định nghĩa
4. Phân cấp và phân loại hồ chứa nước
4.1 Phân cấp
4.2 Phân loại
5. Yêu cầu về tài liệu
5.1 Tài liệu về khí tượng - thủy văn
5.2 Tài liệu địa hình, địa chất
5.3 Các loại tài liệu khác
6. Quy định chung
7. Dung tích chết và mực nước chết
7.1 Yêu cầu chung
7.2 Theo điều kiện bồi lắng
7.3 Theo yêu cầu tưới
7.4 Theo yêu cầu phát điện
7.5 Theo yêu cầu nuôi trồng thủy sản
7.6 Theo yêu cầu du lịch, nghỉ dưỡng
7.7 Theo yêu cầu vận tải thủy
7.8 Xác định mực nước chết và dung tích chết tổng hợp theo các yêu cầu dùng nước
8. Dung tích hữu ích và mực nước dâng bình thường
8.1 Yêu cầu chung
8.1.1 Tài liệu cơ bản
8.1.2 Lựa chọn phương pháp
8.1.3 Cơ sở tính toán điều tiết cấp nước
8.1.4 Tính toán các loại tổn thất
8.2 Tính toán cho hồ chứa thủy lợi
8.2.1 Hồ chứa nước đơn mục tiêu
8.2.2 Hồ chứa nước đa mục tiêu
8.3 Tính toán cho hồ chứa thủy điện
8.3.1 Xem xét các điều kiện ảnh hưởng
8.3.2 Lựa chọn phương án
8.3.3 Cơ sở tính toán điều tiết phát điện
8.3.5 Xác định độ sâu công tác có lợi nhất
9. Mực nước đón lũ và dung tích phòng lũ hạ du
9.1 Yêu cầu chung
9.2 Xác định thông số hợp lý của dung tích phòng lũ hạ du và công trình tháo lũ
9.3 Tính toán khi cho trước lưu lượng xả an toàn cho phép ờ tuyến phòng lũ hạ du
10 Mực nước lớn nhất thiết kế và dung tích điều tiết lũ thiết kế
10.1 Yêu cầu chung
10.2 Phương pháp tính lặp trực tiếp
11 Mực nước lớn nhất kiểm tra và dung tích điều tiết lũ kiểm tra
Phụ lục A
A.1 Quy định chung
A.2 Tính toán theo phương pháp cân bằng lượng bùn cát qua hồ
A.2.1 Công thức tổng quát
A.2.2 Tính toán dung tích bùn cát chảy vào hồ
A.2.3 Tính toán dung tích bùn cát ra khỏi hồ
A.3 Tính toán dung tích bùn cát lơ lửng bồi lắng trong hồ
A.3.1 Tính toán theo tài liệu đo đạc dòng chảy bùn cát
A.3.2 Tính toán theo công thức kinh nghiệm
A.4 Phân bố bùn cát bồi lắng trong lòng hồ
A.4.1 Quy định chung
A.4.2 Phương pháp Borland - Miller
A.4.3 Phương pháp Borland
A.4.4 Phương pháp Chien
A.5 Xác định cao trình bùn cát bồi lắng
A.6 Xác định mực nước chết của hồ chứa nước theo điều kiện bồi lắng
Phụ lục B
B.1 Xác định hình thức điều tiết của hồ chứa nước
B.2 Xác định dung tích hữu ích của hồ chứa cấp nước theo phương pháp năm điển hình
B.2.1 Cơ sở của phương pháp tính toán
B.2.2 Tính toán điều tiết cho trường hợp chưa kể tổn thất
B.2.3 Tính toán điều tiết cho trường hợp có xét đến tổn thất
B.2.4 Một số ví dụ minh họa phương pháp tính toán
B.3 Xác định dung tích hữu ích hồ chứa cấp nước theo phương pháp điều tiết toàn chuỗi
B.3.1 Cơ sở của phương pháp tính toán
B.3.2 Trình tự tính toán
B.3.3 Ví dụ minh họa phương pháp tính điều tiết toàn chuỗi
B.4 Tính toán dung tích hữu ích hồ đa mục tiêu
B.4.1 Ví dụ minh họa phương pháp tính toán
Phụ lục C
C.1 Tính toán điều tiết lũ theo phương pháp tính lặp trực tiếp
C.1.1 Tài liệu cho trước
C.1.2 Trình tự tính toán
C.2 Tính toán điều tiết lũ xác định mực nước đón lũ và dung tích phòng lũ hạ du
C.2.1 Yêu cầu tính toán
C.2.2 Xác định mực nước đón lũ khi không có yêu cầu khống chế lưu lượng xả lũ
C.2.3 Xác định mực nước đón lũ khi có yêu cầu khống chế lưu lượng xả lũ
Phụ lục D
D.1 Xác định công suất bảo đảm của nhà máy thủy điện điều tiết năm
D.2 Xác định công suất bảo đảm nhà máy thủy điện điều tiết ngày hoặc không điều tiết
D.2.1 Phương pháp năm đại biểu
D.2.2 Phương pháp điều tiết toàn chuỗi
Bạn chưa Đăng nhập thành viên.
Đây là tiện ích dành cho tài khoản thành viên. Vui lòng Đăng nhập để xem chi tiết. Nếu chưa có tài khoản, vui lòng Đăng ký tại đây!





