- Tổng quan
- Nội dung
- VB gốc
- Tiếng Anh
- Hiệu lực
- VB liên quan
- Lược đồ
-
Nội dung hợp nhất
Tính năng này chỉ có tại LuatVietnam.vn. Nội dung hợp nhất tổng hợp lại tất cả các quy định còn hiệu lực của văn bản gốc và các văn bản sửa đổi, bổ sung, đính chính... trên một trang. Việc hợp nhất văn bản gốc và những văn bản, Thông tư, Nghị định hướng dẫn khác không làm thay đổi thứ tự điều khoản, nội dung.
Khách hàng chỉ cần xem Nội dung hợp nhất là có thể nắm bắt toàn bộ quy định hiện hành đang áp dụng, cho dù văn bản gốc đã qua nhiều lần chỉnh sửa, bổ sung.
- Tải về
Thông tư 32/2024/TT-BTC chuẩn mực thẩm định giá cách tiếp cận từ thị trường, chi phí, từ thu nhập
| Cơ quan ban hành: | Bộ Tài chính |
Số công báo:
Số công báo là mã số ấn phẩm được đăng chính thức trên ấn phẩm thông tin của Nhà nước. Mã số này do Chính phủ thống nhất quản lý.
|
Đã biết
|
| Số hiệu: | 32/2024/TT-BTC | Ngày đăng công báo: |
Đã biết
|
| Loại văn bản: | Thông tư | Người ký: | Lê Tấn Cận |
| Trích yếu: | Ban hành các chuẩn mực thẩm định giá Việt Nam về cách tiếp cận từ thị trường, cách tiếp cận từ chi phí, cách tiếp cận từ thu nhập | ||
|
Ngày ban hành:
Ngày ban hành là ngày, tháng, năm văn bản được thông qua hoặc ký ban hành.
|
16/05/2024 |
Ngày hết hiệu lực:
Ngày hết hiệu lực là ngày, tháng, năm văn bản chính thức không còn hiệu lực (áp dụng).
|
Đang cập nhật |
|
Áp dụng:
Ngày áp dụng là ngày, tháng, năm văn bản chính thức có hiệu lực (áp dụng).
|
Đã biết
|
Tình trạng hiệu lực:
Cho biết trạng thái hiệu lực của văn bản đang tra cứu: Chưa áp dụng, Còn hiệu lực, Hết hiệu lực, Hết hiệu lực 1 phần; Đã sửa đổi, Đính chính hay Không còn phù hợp,...
|
Đã biết
|
| Lĩnh vực: | Doanh nghiệp , Thương mại-Quảng cáo , Tài chính-Ngân hàng | ||
TÓM TẮT THÔNG TƯ 32/2024/TT-BTC
Ngày 16/5/2024, Bộ Tài chính đã ra Thông tư 32/2024/TT-BTC ban hành các chuẩn mực thẩm định giá Việt Nam về cách tiếp cận từ thị trường, cách tiếp cận từ chi phí, cách tiếp cận từ thu nhập.
1. Đối với chuẩn mực thẩm định giá Việt Nam về cách tiếp cận từ thị trường:
Việc xác định giá trị của tài sản thẩm định giá được thực hiện trên cơ sở mức giá chỉ dẫn của các tài sản so sánh kết hợp với việc phân tích chất lượng thông tin của các tài sản so sánh (về nguồn thông tin, về mức độ tin cậy và phù hợp của thông tin) và các tiêu chí sau đây:
- Tổng giá trị điều chỉnh gộp nhỏ nhất (tức là tổng giá trị tuyệt đối của các điều chỉnh là nhỏ nhất);
- Tổng số lần điều chỉnh càng ít càng tốt;
- Biên độ điều chỉnh (nghĩa là mức hoặc tỷ lệ % điều chỉnh) của một yếu tố so sánh càng nhỏ càng tốt;
- Tổng các giá trị điều chỉnh thuần nhỏ nhất tức là tổng của các điều chỉnh là nhỏ nhất.
2. Đối với chuẩn mực thẩm định giá Việt Nam về cách tiếp cận từ chi phí:
Cách tiếp cận từ chi phí thường được áp dụng khi thuộc một trong 3 trường hợp sau:
- Không có đủ thông tin trên thị trường để áp dụng cách tiếp cận từ thị trường và cách tiếp cận từ thu nhập;
- Có dự định tạo ra một tài sản mới hoặc khi thẩm định giá công trình mới được xây dựng hoặc tài sản mới được chế tạo;
- So sánh, đối chiếu với các cách tiếp cận thẩm định giá khác.
Thông tư có hiệu lực từ ngày 01/7/2024.
Xem chi tiết Thông tư 32/2024/TT-BTC có hiệu lực kể từ ngày 01/07/2024
Tải Thông tư 32/2024/TT-BTC
|
BỘ TÀI CHÍNH Số: 32/2024/TT-BTC |
CỘNG HÒA XÃ HỘI CHỦ NGHĨA VIỆT NAM Hà Nội, ngày 16 tháng 5 năm 2024 |
THÔNG TƯ
Ban hành các chuẩn mực thẩm định giá Việt Nam về
cách tiếp cận từ thị trường, cách tiếp cận từ chi phí, cách tiếp cận từ thu nhập
Theo đề nghị của Cục trưởng Cục Quản lý giá;
Bộ trưởng Bộ Tài chính ban hành Thông tư ban hành các chuẩn mực thẩm định giá Việt Nam về cách tiếp cận từ thị trường, cách tiếp cận từ chi phí, cách tiếp cận từ thu nhập.
Điều 1. Ban hành kèm theo Thông tư này các chuẩn mực thẩm định giá Việt Nam sau:
- Chuẩn mực thẩm định giá Việt Nam về Cách tiếp cận từ thị trường;
- Chuẩn mực thẩm định giá Việt Nam về Cách tiếp cận từ chi phí;
- Chuẩn mực thẩm định giá Việt Nam về Cách tiếp cận từ thu nhập.
Điều 2. Hiệu lực thi hành
1. Thông tư này có hiệu lực thi hành kể từ ngày 01 tháng 7 năm 2024.
2. Thông tư số 126/2015/TT-BTC ngày 20/8/2015 của Bộ trưởng Bộ Tài chính ban hành tiêu chuẩn thẩm định giá Việt Nam số 08, 09 và 10 hết hiệu lực kể từ ngày Thông tư này có hiệu lực thi hành.
Điều 3. Tổ chức thực hiện
1. Các tổ chức, cá nhân có liên quan chịu trách nhiệm thực hiện Chuẩn mực thẩm định giá Việt Nam ban hành kèm theo Thông tư này.
2. Trong quá trình thực hiện nếu có vướng mắc, đề nghị các tổ chức, cá nhân phản ánh kịp thời về Bộ Tài chính để nghiên cứu, giải quyết./.
|
BỘ TÀI CHÍNH |
CỘNG HÒA XÃ HỘI CHỦ NGHĨA VIỆT NAM |
VỀ CÁCH TIẾP CẬN TỪ THỊ TRƯỜNG
(Kèm theo Thông tư số 32/2024/TT-BTC ngày 16 tháng 5 năm 2024
của Bộ trưởng Bộ Tài chính)
___________________
Chương I
QUY ĐỊNH CHUNG
Điều 1. Phạm vi điều chỉnh
Chuẩn mực thẩm định giá Việt Nam này quy định và hướng dẫn về cách tiếp cận từ thị trường khi thẩm định giá theo quy định của pháp luật về giá.
Điều 2. Đối tượng áp dụng
1. Thẩm định viên về giá, doanh nghiệp thẩm định giá thực hiện hoạt động cung cấp dịch vụ thẩm định giá theo quy định của pháp luật về giá.
2. Tổ chức, cá nhân thực hiện hoạt động thẩm định giá của Nhà nước theo quy định của pháp luật về giá.
3. Tổ chức, cá nhân yêu cầu thẩm định giá, bên thứ ba sử dụng báo cáo thẩm định giá theo hợp đồng thẩm định giá (nếu có).
Điều 3. Giải thích từ ngữ
Trong Chuẩn mực thẩm định giá Việt Nam này, các từ ngữ dưới đây được hiểu như sau:
1. Tài sản so sánh là tài sản giống hệt hoặc tài sản tương tự với tài sản thẩm định giá.
2. Tài sản tương tự là tài sản cùng loại và tương đồng với tài sản thẩm định giá về mục đích sử dụng, công dụng, đặc điểm pháp lý, đặc điểm về kinh tế - kỹ thuật, đặc trưng cơ bản của tài sản thẩm định giá và các yếu tố khác (nếu có).
3. Mức giá chỉ dẫn là mức giá của tài sản so sánh sau khi đã được điều chỉnh theo sự khác biệt về các yếu tố so sánh với tài sản thẩm định giá.
4. Tổng giá trị điều chỉnh thuần là tổng mức điều chỉnh theo các yếu tố so sánh có tính đến dấu âm (điều chỉnh giảm) và dấu dương (điều chỉnh tăng), nghĩa là không xét về giá trị tuyệt đối của mỗi lần điều chỉnh.
5. Tổng giá trị điều chỉnh gộp là tổng mức điều chỉnh theo các yếu tố so sánh về giá trị tuyệt đối.
Điều 4. Cách tiếp cận từ thị trường
1. Cách tiếp cận từ thị trường xác định giá trị của tài sản thẩm định giá thông qua việc so sánh tài sản thẩm định giá với các tài sản so sánh đã có các thông tin về giá trên thị trường; trường hợp thẩm định giá doanh nghiệp được sử dụng thêm các thông tin về giá của chính tài sản thẩm định giá.
2. Tùy theo loại tài sản, cách tiếp cận từ thị trường có thể được cụ thể hóa thành các phương pháp gồm phương pháp so sánh, phương pháp tỷ số bình quân và phương pháp giá giao dịch.
Phương pháp tỷ số bình quân và phương pháp giá giao dịch chỉ áp dụng đối với thẩm định giá doanh nghiệp và được quy định tại Chuẩn mực thẩm định giá Việt Nam về Thẩm định giá doanh nghiệp.
Chương II
PHƯƠNG PHÁP SO SÁNH
Điều 5. Áp dụng phương pháp so sánh
1. Phương pháp so sánh xác định giá trị của tài sản thẩm định giá dựa trên cơ sở đối chiếu, phân tích và đánh giá các yếu tố so sánh của các tài sản so sánh với tài sản thẩm định giá từ đó điều chỉnh mức giá của các tài sản so sánh làm cơ sở ước tính giá trị của tài sản thẩm định giá.
2. Phương pháp so sánh được áp dụng để thẩm định giá tài sản có hoạt động chuyển nhượng hoặc chào mua hoặc chào bán công khai trên thị trường. Một tài sản được coi là có hoạt động chuyển nhượng hoặc chào mua hoặc chào bán công khai trên thị trường khi thu thập được ít nhất 03 tài sản so sánh từ các tổ chức, cá nhân khác nhau đã chuyển nhượng hoặc được chào mua hoặc chào bán trên thị trường gần thời điểm thẩm định giá và địa điểm của tài sản thẩm định giá.
3. Nội dung thực hiện
a) Khảo sát và thu thập thông tin về tài sản so sánh;
b) Phân tích thông tin;
c) Điều chỉnh sự khác biệt giữa tài sản thẩm định giá với tài sản so sánh;
d) Xác định mức giá chỉ dẫn của các tài sản so sánh;
đ) Xác định mức giá của tài sản thẩm định giá.
Điều 6. Khảo sát và thu thập thông tin về tài sản so sánh
1. Thông tin về các tài sản so sánh bao gồm các đặc điểm pháp lý, kinh tế - kỹ thuật của tài sản so sánh; mức giá tài sản so sánh; thời điểm, địa điểm và các bên tham gia chuyển nhượng hoặc chào mua hoặc chào bán; các điều kiện kèm theo mức giá và các thông tin khác (nếu có).
2. Việc khảo sát và thu thập thông tin về tài sản so sánh phải đáp ứng các yêu cầu sau:
a) Thông tin thu thập về các tài sản so sánh phải đảm bảo khách quan đúng theo thực tế và phải có sự xem xét, đánh giá để bảo đảm những thông tin đó có thể sử dụng được trước khi đưa vào phân tích, tính toán; ưu tiên lựa chọn các thông tin phát sinh gần nhất với thời điểm thẩm định giá và địa điểm của tài sản thẩm định giá;
b) Số lượng thông tin thu thập phải bảo đảm ít nhất 03 tài sản so sánh có thời điểm chuyển nhượng hoặc thời điểm chào mua hoặc chào bán diễn ra tại hoặc gần nhất với thời điểm thẩm định giá nhưng không quá 24 tháng tính từ thời điểm thẩm định giá trở về trước.
Trường hợp giá tài sản có biến động trong khoảng thời gian từ thời điểm chuyển nhượng hoặc thời điểm chào mua hoặc thời điểm chào bán của tài sản so sánh đến thời điểm thẩm định giá thì trước khi thực hiện việc điều chỉnh mức giá của tài sản so sánh theo các yếu tố so sánh, cần phải điều chỉnh (tăng hoặc giảm) mức giá của tài sản so sánh về thời điểm thẩm định giá và người thực hiện thẩm định giá cần phân tích, tính toán cho phù hợp với biến động của giá thị trường trong khoảng thời gian này.
Trường hợp thu thập thông tin về các tài sản được chào bán hoặc chào mua, cần đánh giá, phân tích về diễn biến giá thị trường, nguồn thông tin thu thập và các thông tin về giá khác trên thị trường để có sự điều chỉnh, tìm ra mức giá phù hợp (nếu cần) trước khi sử dụng làm mức giá so sánh;
c) Ưu tiên lựa chọn các tài sản so sánh có khoảng cách gần nhất đến tài sản thẩm định giá và không bị giới hạn bởi địa giới hành chính của các đơn vị hành chính cấp xã, cấp huyện trong địa bàn tỉnh. Trường hợp mở rộng phạm vi thu thập thông tin ngoài địa bàn tỉnh, người thực hiện thẩm định giá cần nêu rõ lý do và hạn chế (nếu có) của việc mở rộng phạm vi thu thập thông tin trong báo cáo thẩm định giá;
d) Thông tin về tài sản so sánh được thu thập từ một hoặc nhiều nguồn thông tin sau: các hợp đồng; hóa đơn; chứng từ mua bán; các kết quả giao dịch thành công trên các sàn giao dịch; các phương tiện thông tin đại chúng; các phiếu điều tra thực tế thị trường; các mức giá ghi trong các văn bản của các cơ quan nhà nước, các doanh nghiệp sản xuất, kinh doanh; kết quả trúng đấu giá, đấu thầu theo quy định; phỏng vấn trực tiếp; điện thoại; email hoặc mạng internet; cơ sở dữ liệu về giá của các cơ quan nhà nước, các tổ chức, các doanh nghiệp và từ các nguồn khác theo quy định (nếu có).
3. Kết quả khảo sát và thu thập thông tin về tài sản so sánh phải được thể hiện và lưu trữ dưới dạng phiếu thu thập thông tin về tài sản so sánh kèm theo chữ ký của người thu thập thông tin.
Trường hợp quá trình thu thập thông tin có sử dụng thêm các phiếu khảo sát, phiếu điều tra, phiếu thu thập, phiếu đánh giá do người thu thập thông tin trực tiếp lập thì phải có chữ ký của người thu thập thông tin tại các phiếu này.
Trường hợp thông tin thu thập trên mạng internet, tại phiếu thu thập thông tin cần dẫn chiếu cụ thể các đường dẫn liên kết đến thông tin thu thập và lưu trữ hình ảnh để minh chứng. Thông tin thu thập trên mạng internet phải là các thông tin trên các website chính thức của các cơ quan, tổ chức được hoạt động theo quy định của pháp luật.
Trường hợp thông tin thu thập từ các báo giá chào mua hoặc chào bán, cần có đầy đủ thông tin như tên, địa chỉ, mã số thuế (nếu có) và đóng dấu của đơn vị báo giá, thời điểm cung cấp thông tin, hiệu lực của báo giá.
Điều 7. Phân tích thông tin
1. Phân tích thông tin nhằm so sánh để rút ra những điểm tương tự và những điểm khác biệt, những lợi thế và điểm bất lợi theo các yếu tố so sánh giữa tài sản thẩm định giá với tài sản so sánh.
2. Các yếu tố so sánh bao gồm các yếu tố so sánh định tính và các yếu tố so sánh định lượng thể hiện đặc trưng cơ bản của loại tài sản về đặc điểm pháp lý, tình trạng giao dịch, đặc điểm kinh tế - kỹ thuật của tài sản và các yếu tố khác có ảnh hưởng đến giá trị tài sản.
3. Việc phân tích thông tin theo các yếu tố so sánh giữa tài sản thẩm định giá với tài sản so sánh được thực hiện thông qua hình thức sau:
a) Phân tích định lượng (phân tích theo số lượng): bao gồm phân tích theo cặp, phân tích thống kê, phân tích hồi quy, phân tích chi phí và các phương pháp phân tích tương tự khác để tìm ra mức điều chỉnh là số tiền hoặc tỷ lệ phần trăm (%);
b) Phân tích định tính (phân tích theo chất lượng): bao gồm phân tích so sánh tương quan, phân tích xếp hạng và phỏng vấn các bên liên quan.
Điều 8. Điều chỉnh sự khác biệt giữa tài sản thẩm định giá với tài sản so sánh
1. Khi điều chỉnh sự khác biệt giữa tài sản thẩm định giá với tài sản so sánh cần thực hiện điều chỉnh đối với các yếu tố so sánh định lượng (có thể lượng hóa thành tiền) trước, các yếu tố so sánh định tính (không thể lượng hóa thành tiền) sau.
2. Các nội dung điều chỉnh sự khác biệt giữa tài sản thẩm định giá so với tài sản so sánh:
a) Đối tượng điều chỉnh: là giá đã chuyển nhượng hoặc giá chào mua hoặc giá chào bán trên thị trường sau khi đã có sự điều chỉnh hợp lý về mức giá mua bán thành công phổ biến trên thị trường của tài sản so sánh;
b) Căn cứ điều chỉnh: dựa vào chênh lệch các yếu tố so sánh giữa tài sản so sánh và tài sản thẩm định giá;
c) Nguyên tắc điều chỉnh:
Lấy các yếu tố so sánh của tài sản thẩm định giá làm chuẩn để làm cơ sở điều chỉnh giá của tài sản so sánh theo các yếu tố so sánh của tài sản thẩm định giá.
Khi điều chỉnh giá theo sự khác biệt của một yếu tố so sánh thì cố định những yếu tố so sánh còn lại (coi như giống nhau). Những yếu tố ở tài sản thẩm định giá kém hơn so với tài sản so sánh thì điều chỉnh giảm (-) mức giá của tài sản so sánh. Những yếu tố ở tài sản thẩm định giá vượt trội hơn so với tài sản so sánh thì điều chỉnh tăng (+) mức giá của tài sản so sánh. Những yếu tố ở tài sản thẩm định giá giống với tài sản so sánh thì giữ nguyên mức giá của tài sản so sánh (không điều chỉnh).
Mỗi một sự điều chỉnh về các yếu tố so sánh được chứng minh từ các chứng cứ điều tra thu thập được trên thị trường, như các phiếu thu thập thông tin; báo cáo phân tích thông tin; báo cáo nghiên cứu thị trường hoặc các tài liệu liên quan khác;
d) Phương thức điều chỉnh:
Điều chỉnh theo số tiền tuyệt đối: áp dụng đối với chênh lệch các yếu tố so sánh có thể xác định được mức điều chỉnh tuyệt đối là một khoản tiền cụ thể thông qua việc tính toán.
Điều chỉnh theo tỷ lệ phần trăm: áp dụng đối với chênh lệch các yếu tố so sánh chỉ có thể xác định được mức điều chỉnh tương đối theo tỷ lệ, mang tính ước lượng cao;
đ) Mức điều chỉnh:
Mức điều chỉnh giá do sự khác biệt về các yếu tố so sánh cần được ước tính trên cơ sở thông tin giao dịch trên thị trường, đồng thời có sự phân tích, đánh giá mức độ ảnh hướng đến giá trị tài sản của các yếu tố so sánh;
e) Thứ tự điều chỉnh:
Điều chỉnh nhóm yếu tố so sánh về đặc điểm pháp lý và tình trạng giao dịch của tài sản trước, điều chỉnh nhóm yếu tố so sánh về đặc điểm kinh tế - kỹ thuật của tài sản sau. Giá sau khi điều chỉnh cho nhóm yếu tố về pháp lý và tình trạng giao dịch được sử dụng để điều chỉnh cho nhóm yếu tố về đặc điểm kinh tế - kỹ thuật của tài sản.
Khi điều chỉnh giá tài sản so sánh theo từng nhóm yếu tố trên thì điều chỉnh các yếu tố so sánh theo số tiền tuyệt đối trước, điều chỉnh theo tỷ lệ phần trăm sau. Giá sau khi điều chỉnh tuyệt đối được sử dụng cho điều chỉnh theo tỷ lệ phần trăm;
g) Nguyên tắc khống chế:
Bảo đảm chênh lệch giữa mức giá của tài sản so sánh với mức giá chỉ dẫn của tài sản đó theo quy định tại Điều 9 của Chuẩn mực này phù hợp với các chứng cứ thị trường.
Bảo đảm chênh lệch giữa mỗi mức giá chỉ dẫn với mức giá trung bình của các mức giá chỉ dẫn không quá 15%.
Điều 9. Xác định mức giá chỉ dẫn của các tài sản so sánh
1. Mức giá chỉ dẫn của các tài sản so sánh là cơ sở để ước tính mức giá trị của tài sản thẩm định.
|
TT |
Yếu tố so sánh |
Đơn vị tính |
Tài sản thẩm định giá |
Tài sản so sánh 1 |
Tài sản so sánh 2 |
Tài sản so sánh 3 |
Tài sản so sánh |
|
A |
Giá thị trường (Giá trước điều chỉnh) |
|
|
Đã biết |
Đã biết |
Đã biết |
Đã biết |
|
B |
Giá sau điều chỉnh |
|
|
|
|
|
|
|
c |
Điều chỉnh các yếu tố so sánh |
|
|
|
|
|
|
|
C1 |
Yếu tố so sánh 1 |
|
|
|
|
|
|
|
Tỷ lệ điều chỉnh |
% |
|
|
|
|
|
|
|
Mức điều chỉnh |
Đồng |
|
|
|
|
|
|
|
Giá sau điều chỉnh 1 |
Đồng |
|
|
|
|
|
|
|
C2 |
Yếu tố so sánh 2 |
|
|
|
|
|
|
|
Tỷ lệ điều chỉnh |
% |
|
|
|
|
|
|
|
Mức điều chỉnh |
Đồng |
|
|
|
|
|
|
|
Giá sau điều chỉnh 2 |
Đồng |
|
|
|
|
|
|
|
C3 |
Yếu tố so sánh 3 |
|
|
|
|
|
|
|
Tỷ lệ điều chỉnh |
% |
|
|
|
|
|
|
|
Mức điều chỉnh |
Đồng |
|
|
|
|
|
|
|
Giá sau điều chỉnh 3 |
Đồng |
|
|
|
|
|
|
|
C4 |
Yếu tố so sánh 4 |
|
|
|
|
|
|
|
|
Tỷ lệ điều chỉnh |
% |
|
|
|
|
|
|
|
Mức điều chỉnh |
Đồng |
|
|
|
|
|
|
|
Giá sau điều chỉnh 4 |
Đồng |
|
|
|
|
|
|
D |
Mức giá chỉ dẫn |
|
|
|
|
|
|
|
DI |
Giá trị trung bình của mức giá chỉ dẫn |
Đồng |
|
|
|
|
|
|
D2 |
Mức độ chênh lệch với giá trị trung bình của các mức giá chỉ dẫn |
% |
|
|
|
|
|
|
E |
Tổng hợp các số liệu điều chỉnh tại mục C |
||||||
|
E1 |
Tổng giá trị điều chỉnh gộp |
Đồng |
|
|
|
|
|
|
E2 |
Tổng số lần điều chỉnh |
Lần |
|
|
|
|
|
|
E3 |
Biên độ điều chỉnh |
% |
|
|
|
|
|
|
E4 |
Tổng giá trị điều chỉnh thuần |
Đồng |
|
|
|
|
|
Điều 10. Xác định giá trị của tài sản thẩm định giá
1. Việc xác định giá trị của tài sản thẩm định giá được thực hiện trên cơ sở mức giá chỉ dẫn của các tài sản so sánh kết hợp với việc phân tích chất lượng thông tin của các tài sản so sánh (về nguồn thông tin, về mức độ tin cậy và phù hợp của thông tin) và các tiêu chí sau đây:
a) Tổng giá trị điều chỉnh gộp nhỏ nhất (tức là tổng giá trị tuyệt đối của các điều chỉnh là nhỏ nhất);
b) Tổng số lần điều chỉnh càng ít càng tốt;
c) Biên độ điều chỉnh (nghĩa là mức hoặc tỷ lệ % điều chỉnh) của một yếu tố so sánh càng nhỏ càng tốt;
d) Tổng các giá trị điều chỉnh thuần nhỏ nhất tức là tổng của các điều chỉnh là nhỏ nhất.
2. Trong trường hợp cần thiết, cần đánh giá các động thái, diễn biến và xu hướng biến động của cung cầu thị trường trước khi đưa ra giá trị của tài sản thẩm định giá cuối cùng bằng phương pháp so sánh./.
|
BỘ TÀI CHÍNH |
|
BỘ TÀI CHÍNH |
CỘNG HÒA XÃ HỘI CHỦ NGHĨA VIỆT NAM |
CHUẨN MỰC THẨM ĐỊNH GIÁ VIỆT NAM
VỀ CÁCH TIẾP CẬN TỪ CHI PHÍ
(Kèm theo Thông tư số 32/2024/TT-BTC ngày 16 tháng 5 năm 2024
của Bộ trưởng Bộ Tài chính)
___________________
Chương I
QUY ĐỊNH CHUNG
Điều 1. Phạm vi điều chỉnh
Chuẩn mực thẩm định giá Việt Nam này quy định về cách tiếp cận từ chi phí khi thẩm định giá theo quy định của pháp luật về giá.
Điều 2. Đối tượng áp dụng
Điều 3. Giải thích từ ngữ
Trong Chuẩn mực thẩm định giá Việt Nam này, các từ ngữ dưới đây được hiểu như sau:
2. Hao mòn vật lý là tổn thất về tính hữu dụng của tài sản dẫn tới giảm giá trị tài sản do hư hỏng về vật chất của tài sản hoặc các bộ phận cấu tạo nên tài sản, gây ra bởi tác động của thời gian và quá trình sử dụng thông thường.
3. Hao mòn chức năng là tổn thất về tính hữu dụng của tài sản dẫn tới giảm giá trị tài sản do sử dụng tài sản này không mang lại hiệu quả như sử dụng tài sản thay thế.
4. Hao mòn ngoại biên là tổn thất của tài sản do các nhân tố bên ngoài về kinh tế, vị trí. Hao mòn ngoại biên do yếu tố vị trí chỉ có đối với bất động sản và/hoặc các tài sản vô hình liên quan đến bất động sản và xảy ra khi có sự thay đổi của các yếu tố hạ tầng, cảnh quan, môi trường tự nhiên xung quanh tài sản dẫn đến giảm giá trị của tài sản.
5. Tài sản thay thế là tài sản có chức năng tương tự và tính hữu dụng tương đương với tài sản thẩm định giá, được thiết kế, chế tạo hoặc xây dựng với công nghệ, nguyên vật liệu và kỹ thuật mới hơn.
6. Tổng giá trị hao mòn của tài sản là tổng mức giám giá trị của tài sản do các loại hao mòn vật lý, chức năng và ngoại biên tại thời điểm thẩm định giá.
7. Hao mòn có thể khắc phục được nếu như:
a) Chi phí để khắc phục những điểm hư hỏng hoặc lỗi thời nhỏ hơn hoặc bằng giá trị tăng thêm từ việc sửa chữa, khắc phục;
b) Chi phí để khắc phục những điểm hư hỏng hoặc lỗi thời lớn hơn giá trị tăng thêm từ việc sửa chữa, khắc phục những việc khắc phục này cần thiết để duy trì giá trị của các bộ phận khác của tài sản thẩm định giá.
8. Tuổi đời kinh tế là thời gian sử dụng của tài sản phát huy được hiệu quả kinh tế (tính từ thời điểm tài sản hoàn thành sản xuất, chế tạo, xây dựng mới 100% đưa vào sử dụng).
9. Tuổi đời thực tế là số năm tính từ khi hoàn thành sản xuất, chế tạo, xây dựng tài sản mới 100% đưa vào sử dụng đến thời điểm thẩm định giá.
10. Tuổi đời hiệu quả là số năm thể hiện thực trạng của tài sản thẩm định giá tại thời điểm thẩm định giá. Tuổi đời hiệu quả phụ thuộc vào tình trạng duy trì, bảo dưỡng tài sản.
11. Tuổi đời vật lý là số năm tài sản có thể sử dụng trước khi chuyển sang trạng thái không còn khả năng sử dụng theo mục đích được tạo ra ban đầu do hư hỏng hoặc bào mòn vì các nguyên nhân vật lý, chưa tính đến những lỗi thời về chức năng hoặc tác động của các yếu tố bên ngoài. Tuổi đời vật lý có thể được xác định thông qua các thông số kỹ thuật của nhà sản xuất, đặc điểm cấu tạo của tài sản.
12. Chi phí thay thế là chi phí để tạo ra hoặc có được tài sản thay thế mới 100% tại thời điểm thẩm định giá.
13. Chi phí tái tạo là chi phí tính tại thời điểm thẩm định giá để tạo ra hoặc có được tài sản giống hệt với tài sản thẩm định giá khi mới 100%.
Chương II
QUY ĐỊNH CỤ THỂ
Điều 4. Trường hợp áp dụng cách tiếp cận từ chi phí
Cách tiếp cận từ chi phí thường được áp dụng khi thuộc một trong các trường hợp sau:
Điều 5. Phương pháp chi phí thay thế
|
Giá trị ước tính tài sản thẩm định giá
|
=
|
Chi phí thay thế (đã bao gồm lợi nhuận của nhà sản xuất/nhà đầu tư)
|
-
|
Tổng giá trị hao mòn của tài sản thẩm định giá (không bao gồm phần giá trị hao mòn chức năng của tài sản thẩm định giá đã được phản ánh trong chi phí thay thế
|
Điều 6. Phương pháp chi phí tái tạo
|
Giá trị ước tính tài sản
|
=
|
Chi phí tái tạo (đã bao gồm Lợi nhuận của nhà sản xuất/nhà đầu tư)
|
-
|
Tổng giá trị hao mòn của tài sản thẩm định giá
|
Điều 7. Phương pháp tổng cộng

Điều 8. Thành phần của chi phí tái tạo, chi phí thay thế và một số luu ý khi xác định
Điều 9. Lợi nhuận của nhà sản xuất/nhà đầu tư
Điều 10. Giá trị hao mòn xác định theo kỹ thuật so sánh
Điều 11. Giá trị hao mòn xác định theo kỹ thuật tuổi đời
Xác định tỷ lệ hao mòn của tài sản theo kỹ thuật tuổi đời như sau:
|
Tỷ lệ hao mòn
|
=
|
Tuổi đời hiệu quả
|
x 100%
|
|
Tuổi đời kinh tế
|
Điều 12. Giá trị hao mòn xác định theo kỹ thuật tổng cộng
|
Tỷ lệ hao mòn vật lý
|
=
|
Mức độ đã sử dụng
|
x 100%
|
|
Mức độ sử dụng thiết kế
|
|
Tỷ lệ hao mòn vật lý
|
=
|
Tuổi đời hiệu quả
|
x 100%
|
|
Tuổi đời vật lý
|

|
BỘ TÀI CHÍNH |
|
BỘ TÀI CHÍNH |
CỘNG HÒA XÃ HỘI CHỦ NGHĨA VIỆT NAM |
CHUẨN MỰC THẨM ĐỊNH GIÁ VIỆT NAM
VỀ CÁCH TIẾP CẬN TỪ THU NHẬP
(Kèm theo Thông tư số 32/2024/TT-BTC ngày 16 tháng 5 năm 2024
của Bộ trưởng Bộ Tài chính)
___________________
Chương I
QUY ĐỊNH CHUNG
1. Cách tiếp cận từ thu nhập là cách thức xác định giá trị của tài sản thông qua việc quy đổi dòng tiền trong tương lai có được từ tài sản về giá trị hiện tại.
2. Phương pháp vốn hóa trực tiếp là phương pháp thẩm định giá xác định giá trị của tài sản dựa trên cơ sở quy đổi dòng thu nhập thuần ổn định hàng năm dự kiến có được từ tài sản về giá trị hiện tại thông qua việc sử dụng tỷ suất vốn hóa phù hợp.
3. Phương pháp dòng tiền chiết khấu là phương pháp thẩm định giá xác định giá trị của tài sản dựa trên cơ sở quy đổi các dòng tiền trong tương lai dự kiến có được từ tài sản về giá trị hiện tại thông qua việc sử dụng tỷ suất chiết khấu phù hợp.
4. Tỷ suất văn hóa là tỷ suất được sử dụng để chuyển đổi dòng thu nhập thuần ổn định hàng năm dự kiến có được từ tài sản về giá trị hiện tại.
5. Tỷ suất chiết khấu là tỷ suất được sử dụng để chuyển đổi dòng thu nhập trong tương lai về giá trị hiện tại.
6. Giá trị tài sản cuối kỳ dự báo là giá trị dự kiến của tài sản tại thời điểm kết thúc giai đoạn dự báo dòng tiền chiết khấu (vào thời điểm cuối kỳ phân tích dòng tiền chiết khấu).
Chương II
PHƯƠNG PHÁP VỐN HÓA TRỰC TIẾP

Điều 6. Xác định thu nhập thuần do tài sản mang lại (I)
1. Công thức xác định thu nhập thuần:
|
Thu nhập thuần |
= |
Tổng thu nhập tiềm năng |
- |
Thất thu do không sử dụng hết 100% công suất và rủi ro thanh toán |
- |
Chi phí hoạt động |
2. Việc xác định tổng thu nhập tiềm năng, thất thu, chi phí hoạt động thực hiện trên cơ sở thông tin điều tra khảo sát trên thị trường của ít nhất 03 tài sản tương tự, có tham khảo thu nhập và chi phí hoạt động trong quá khứ của tài sản thẩm định giá, tình hình cung – cầu, triển vọng phát triển của thị trường ngành, lĩnh vực và các yếu tố khác ảnh hưởng đến việc dự báo tổng thu nhập tiềm năng, thất thu, chi phí hoạt động dự kiến của tài sản thẩm định giá.
3. Tổng thu nhập tiềm năng được xác định là tổng số các khoản thu nhập ổn định, hàng năm có được từ việc khai thác hết công suất tài sản.
4. Thất thu không sử dụng hết 100% công suất và độ rủi ro thanh toán được xác định bằng tỷ lệ thất thu nhân (x) tổng thu nhập tiềm năng, trong đó tỷ lệ thất thu được ước tính từ việc thu thập và phân tích thông tin của các tài sản tương tự trên thị trường.
5. Chi phí hoạt động được xác định là những chi phí hàng năm cần thiết cho việc duy trì dòng thu nhập từ tài sản.
6. Tổng thu nhập tiềm năng, chi phí hoạt động có thể được tính trước thuế thu nhập hoặc sau thuế thu nhập căn cứ vào mục đích thẩm định giá, đặc trưng của tài sản thẩm định giá, các thông tin thu thập được, cơ sở giá trị thẩm định giá, phương pháp thẩm định giá đối với loại tài sản cụ thể và phải phù hợp với cách xác định tỷ suất vốn hóa.
1. Căn cứ vào mục đích thẩm định giá, đặc trưng của tài sản thẩm định giá, cơ sở giá trị thẩm định giá và các thông tin thu thập được, tỷ suất vốn hóa được xác định thông qua một trong hai phương pháp: phương pháp so sánh và phương pháp phân tích vốn vay - vốn đầu tư.
2. Phương pháp so sánh
a) Phương pháp so sánh xác định tỷ suất vốn hóa áp dụng cho tài sản cần thẩm định giá bằng cách so sánh, rút ra từ những tỷ suất vốn hóa của các tài sản tương tự trên thị trường;
b) Để xác định tỷ suất vốn hóa, cần điều tra, khảo sát, thu thập thông tin của ít nhất 03 tài sản so sánh trên thị trường, bao gồm các thông tin về giá giao dịch, mục đích sử dụng, điều khoản tài chính, điều kiện thị trường tại thời điểm mua bán, đặc điểm của người mua - người bán, thu nhập hoạt động, chi phí hoạt động, tỷ lệ thất thu do không sử dụng hết 100% công suất và độ rủi ro thanh toán và các yếu tố liên quan khác. Trong trường hợp các tài sản so sánh có các yếu tố khác biệt với tài sản thẩm định giá thì cần tiến hành điều chỉnh các yếu tố khác biệt này;
c) Cách tính thu nhập thuần, chi phí hoạt động áp dụng với các tài sản so sánh phải thống nhất với cách tính áp dụng với tài sản thẩm định. Giá giao dịch của tài sản so sánh phải phản ánh được điều kiện thị trường hiện tại cùng như điều kiện thị trường tương lai tương tự như của tài sản thẩm định giá.
3. Phương pháp phân tích vốn vay - vốn sở hữu
a) Phương pháp phân tích vốn vay - vốn sở hữu xác định tỷ suất vốn hóa căn cứ vào bình quân gia quyền của hệ số vốn hóa tiền vay và tỷ suất vốn hóa vốn sở hữu, trong đó quyền số là tỷ trọng vốn huy động từ các nguồn khác nhau đầu tư vào tài sản. Phương pháp này áp dụng đối với các tài sản được đầu tư bởi nguồn vốn sở hữu và nguồn vốn vay;
b) Để xác định tỷ suất vốn hóa, cần điều tra, khảo sát, thu thập thông tin liên quan đến nguồn vốn sở hữu và nguồn vốn vay bao gồm: tỷ lệ vốn sở hữu, tỷ lệ vốn vay, kỳ hạn thanh toán, số kỳ thanh toán, lãi vay, sự kỳ vọng của nhà đầu tư từ khoản đầu tư, khả năng thu hồi vốn đầu tư và các yếu tố khác liên quan;
c) Hệ số vốn hóa tiền vay là tỷ lệ khoản thanh toán nợ hàng năm (bao gồm cả vốn và lãi) trên vốn vay gốc. Hệ số vốn hóa tiền vay được tính bằng cách nhân khoản thanh toán mỗi kỳ (bao gồm cả gốc và lãi) với số kỳ phải thanh toán trong năm và chia cho số tổng số tiền vay gốc;
d) Tỷ suất vốn hóa vốn sở hữu là tỷ suất dùng để vốn hóa thu nhập từ vốn sở hữu. Tỷ suất vốn hóa vốn sở hữu được tính bằng cách chia lợi nhuận vốn chủ sở hữu hàng năm cho tổng số vốn sở hữu. Cách xác định tỷ suất vốn hóa vốn sở hữu thường được xác định thông qua khảo sát trên thị trường, phân tích thông tin của các tài sản so sánh.
Chương III
PHƯƠNG PHÁP DÒNG TIỀN CHIẾT KHẤU




1. Ước tính thu nhập từ tài sản
a) Thu nhập từ tài sản là các khoản tiền mà nhà đầu tư nhận được từ việc đầu tư vào tài sản;
b) Việc ước tính thu nhập được dựa trên cơ sở: Đặc điểm kinh tế - kỹ thuật của tài sản thẩm định; thu nhập trong quá khứ của tài sản thẩm định và/hoặc thu nhập của tài sản tương tự; thị trường ngành, lĩnh vực và các yếu tố khác ảnh hưởng đến việc dự báo tổng thu nhập;
c) Thu nhập từ tài sản có thể là thu nhập hoạt động thuần, tổng thu nhập tiềm năng, tùy thuộc vào thông tin, dữ liệu thu thập được.
2. Ước tính chi phí liên quan đến việc khai thác, vận hành tài sản
a) Chi phí liên quan đến việc khai thác, vận hành tài sản bao gồm các loại chi phí cần thiết cho việc duy trì thu nhập từ việc khai thác, vận hành tài sản (có tính đến chi phí lãi vay);
b) Việc ước tính chi phí được dựa trên cơ sở đặc điểm kinh tế - kỹ thuật của tài sản thẩm định; chi phí trong quá khứ của tài sản thẩm định và/hoặc chi phí của tài sản tương tự; thị trường ngành, lĩnh vực và các yếu tố khác ảnh hưởng đến việc dự báo chi phí.
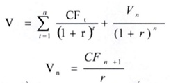
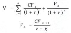
3. Dòng tiền (CF) được xác định là chênh lệch giữa thu nhập từ tài sản và chi phí liên quan đến việc khai thác, vận hành tài sản. Dòng tiền (CF) có thể là dòng tiền trước thuế thu nhập hoặc sau thuế thu nhập, căn cứ vào mục đích thẩm định giá, đặc trưng của tài sản thẩm định giá, các thông tin thu thập được, cơ sở giá trị thẩm định giá, phương pháp thẩm định giá đối với loại tài sản cụ thể và phải phù hợp với cách xác định tỷ suất chiết khấu.
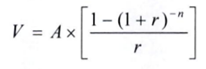
Điều 11. Xác định giá trị tài sản cuối kỳ dự báo (Vn)
1. Giá trị tài sản cuối kỳ dự báo có thể là giá trị thanh lý, xử lý tài sản hoặc giá trị thị trường của tài sản tương tự tại thời điểm cuối kỳ dự báo.
2. Trường hợp tài sản được tiếp tục sử dụng trong các năm tiếp theo của năm cuối kỳ dự báo thì giá trị tài sản cuối kỳ dự báo được xác định bằng công thức xác định Vn đối với dòng tiền hai giai đoạn quy định tại điểm b khoản 1 Điều 8 Chuẩn mực này.
|
BỘ TÀI CHÍNH |
Bạn chưa Đăng nhập thành viên.
Đây là tiện ích dành cho tài khoản thành viên. Vui lòng Đăng nhập để xem chi tiết. Nếu chưa có tài khoản, vui lòng Đăng ký tại đây!
Bạn chưa Đăng nhập thành viên.
Đây là tiện ích dành cho tài khoản thành viên. Vui lòng Đăng nhập để xem chi tiết. Nếu chưa có tài khoản, vui lòng Đăng ký tại đây!