- Tổng quan
- Nội dung
- VB gốc
- Tiếng Anh
- Hiệu lực
- VB liên quan
- Lược đồ
-
Nội dung hợp nhất
Tính năng này chỉ có tại LuatVietnam.vn. Nội dung hợp nhất tổng hợp lại tất cả các quy định còn hiệu lực của văn bản gốc và các văn bản sửa đổi, bổ sung, đính chính... trên một trang. Việc hợp nhất văn bản gốc và những văn bản, Thông tư, Nghị định hướng dẫn khác không làm thay đổi thứ tự điều khoản, nội dung.
Khách hàng chỉ cần xem Nội dung hợp nhất là có thể nắm bắt toàn bộ quy định hiện hành đang áp dụng, cho dù văn bản gốc đã qua nhiều lần chỉnh sửa, bổ sung.
- Tải về
Thông tư 14/2025/TT-NHNN quy định tỷ lệ an toàn vốn cho ngân hàng thương mại
| Cơ quan ban hành: | Ngân hàng Nhà nước Việt Nam |
Số công báo:
Số công báo là mã số ấn phẩm được đăng chính thức trên ấn phẩm thông tin của Nhà nước. Mã số này do Chính phủ thống nhất quản lý.
|
Đã biết
|
| Số hiệu: | 14/2025/TT-NHNN | Ngày đăng công báo: |
Đã biết
|
| Loại văn bản: | Thông tư | Người ký: | Đoàn Thái Sơn |
|
Ngày ban hành:
Ngày ban hành là ngày, tháng, năm văn bản được thông qua hoặc ký ban hành.
|
30/06/2025 |
Ngày hết hiệu lực:
Ngày hết hiệu lực là ngày, tháng, năm văn bản chính thức không còn hiệu lực (áp dụng).
|
Đang cập nhật |
|
Áp dụng:
Ngày áp dụng là ngày, tháng, năm văn bản chính thức có hiệu lực (áp dụng).
|
Đã biết
|
Tình trạng hiệu lực:
Cho biết trạng thái hiệu lực của văn bản đang tra cứu: Chưa áp dụng, Còn hiệu lực, Hết hiệu lực, Hết hiệu lực 1 phần; Đã sửa đổi, Đính chính hay Không còn phù hợp,...
|
Đã biết
|
| Lĩnh vực: | Tài chính-Ngân hàng |
TÓM TẮT THÔNG TƯ 14/2025/TT-NHNN
Tỷ lệ an toàn vốn đối với ngân hàng thương mại và chi nhánh ngân hàng nước ngoài từ 15/9/2025
Ngày 30/06/2025, Ngân hàng Nhà nước Việt Nam đã ban hành Thông tư 14/2025/TT-NHNN quy định tỷ lệ an toàn vốn đối với ngân hàng thương mại và chi nhánh ngân hàng nước ngoài, có hiệu lực từ ngày 15/09/2025.
Thông tư này áp dụng cho các ngân hàng thương mại và chi nhánh ngân hàng nước ngoài, ngoại trừ các ngân hàng thương mại được kiểm soát đặc biệt hoặc đang trong lộ trình tuân thủ tỷ lệ an toàn vốn theo quy định của Ngân hàng Nhà nước.
- Tỷ lệ an toàn vốn
Ngân hàng phải duy trì các tỷ lệ an toàn vốn tối thiểu: tỷ lệ vốn lõi cấp 1 là 4,5%, tỷ lệ vốn cấp 1 là 6%, và tỷ lệ an toàn vốn là 8%. Ngoài ra, ngân hàng còn phải thực hiện tỷ lệ bộ đệm bảo toàn vốn (CCB) và tỷ lệ bộ đệm vốn phản chu kỳ (CCyB) theo quy định cụ thể.
- Phương pháp tính toán
Ngân hàng có thể áp dụng phương pháp tiêu chuẩn hoặc phương pháp xếp hạng nội bộ để tính toán tài sản có rủi ro tín dụng. Phương pháp xếp hạng nội bộ yêu cầu ngân hàng phải có hệ thống xếp hạng tín dụng nội bộ và đáp ứng các yêu cầu tối thiểu về quản lý rủi ro.
- Quy định về dữ liệu và công nghệ thông tin
Ngân hàng phải có hệ thống dữ liệu và công nghệ thông tin đầy đủ để tính toán tỷ lệ an toàn vốn, đảm bảo tính chính xác và kịp thời trong việc quản lý rủi ro.
- Báo cáo và công bố thông tin
Ngân hàng phải thực hiện báo cáo định kỳ về tỷ lệ an toàn vốn và công bố thông tin này ít nhất 6 tháng một lần. Quy trình công bố thông tin phải đảm bảo tính công khai, minh bạch và dễ tiếp cận cho các bên liên quan.
- Phụ lục
Thông tư kèm theo các phụ lục hướng dẫn chi tiết về cách tính toán vốn yêu cầu cho rủi ro hoạt động, rủi ro thị trường và các biện pháp giảm thiểu rủi ro tín dụng. Các ngân hàng cần tuân thủ các hướng dẫn này để đảm bảo an toàn trong hoạt động tài chính.
Xem chi tiết Thông tư 14/2025/TT-NHNN có hiệu lực kể từ ngày 15/09/2025
Tải Thông tư 14/2025/TT-NHNN
|
NGÂN HÀNG NHÀ NƯỚC Số: 14/2025/TT-NHNN |
CỘNG HÒA XÃ HỘI CHỦ NGHĨA VIỆT NAM Hà Nội, ngày 30 tháng 6 năm 2025 |
THÔNG TƯ
Quy định tỷ lệ an toàn vốn
đối với ngân hàng thương mại, chi nhánh ngân hàng nước ngoài
_________________
Căn cứ Luật Ngân hàng Nhà nước Việt Nam số 46/2010/QH12 đã được sửa đổi, bổ sung một số điều theo Luật số 14/2022/QH15;
Căn cứ Luật Các tổ chức tín dụng số 32/2024/QH15 đã được sửa đổi, bổ sung một số điều theo Luật số 43/2024/QH15;
Căn cứ Nghị định số 26/2025/NĐ-CP ngày 24 tháng 02 năm 2025 của Chính phủ quy định chức năng, nhiệm vụ, quyền hạn và cơ cấu tổ chức của Ngân hàng Nhà nước Việt Nam;
Theo đề nghị của Cục trưởng Cục An toàn hệ thống các tổ chức tín dụng;
Thống đốc Ngân hàng Nhà nước Việt Nam ban hành Thông tư quy định tỷ lệ an toàn vốn đối với ngân hàng thương mại, chi nhánh ngân hàng nước ngoài.
Chương I
QUY ĐỊNH CHUNG
Điều 1. Phạm vi điều chỉnh và đối tượng áp dụng
1. Thông tư này quy định tỷ lệ an toàn vốn đối với ngân hàng thương mại, chi nhánh ngân hàng nước ngoài.
2. Đối tượng áp dụng bao gồm ngân hàng thương mại, chi nhánh ngân hàng nước ngoài (sau đây viết tắt là ngân hàng).
3. Thông tư này không áp dụng đối với các ngân hàng thương mại sau đây:
a) Ngân hàng thương mại được kiểm soát đặc biệt;
b) Ngân hàng thương mại được can thiệp sớm thực hiện lộ trình tuân thủ tỷ lệ an toàn vốn theo văn bản chấp thuận của Ngân hàng Nhà nước Việt Nam (sau đây viết tắt là Ngân hàng Nhà nước) quy định tại điểm a khoản 1 Điều 159 Luật Các tổ chức tín dụng.
Điều 2. Giải thích từ ngữ
Trong Thông tư này, các từ ngữ dưới đây được hiểu như sau:
1. Tài sản tài chính là các loại tài sản sau:
a) Tiền mặt;
b) Công cụ vốn chủ sở hữu của đơn vị khác;
c) Quyền theo hợp đồng để:
(i) Nhận tiền mặt hoặc tài sản tài chính khác từ đơn vị khác;
(ii) Trao đổi các tài sản tài chính hoặc nợ phải trả tài chính với đơn vị khác theo các điều kiện có thể có lợi cho đơn vị;
d) Hợp đồng sẽ hoặc có thể được thanh toán bằng các công cụ vốn chủ sở hữu của đơn vị khác.
2. Nợ phải trả tài chính là các nghĩa vụ sau:
a) Mang tính bắt buộc để:
(i) Thanh toán tiền mặt hoặc tài sản tài chính cho đơn vị khác;
(ii) Trao đổi các tài sản tài chính hoặc nợ phải trả tài chính với đơn vị khác theo các điều kiện không có lợi cho đơn vị;
b) Hợp đồng sẽ hoặc có thể được thanh toán bằng các công cụ vốn chủ sở hữu của đơn vị.
3. Công cụ tài chính là hợp đồng làm tăng tài sản tài chính của một đơn vị và nợ phải trả tài chính hoặc công cụ vốn chủ sở hữu của đơn vị khác.
4. Công cụ vốn chủ sở hữu là hợp đồng chứng minh được những lợi ích còn lại về tài sản của đơn vị sau khi trừ đi toàn bộ nghĩa vụ của đơn vị đó.
5. Nợ thứ cấp là khoản nợ mà chủ nợ đồng ý thỏa thuận nhận thanh toán sau các nghĩa vụ, chủ nợ có bảo đảm và không bảo đảm khác khi đơn vị vay nợ bị phá sản, giải thể.
6. Khách hàng là cá nhân, tổ chức tín dụng, chi nhánh ngân hàng nước ngoài, pháp nhân khác có giao dịch tín dụng, gửi tiền với ngân hàng, trừ các giao dịch quy định tại khoản 4 Điều 8 Thông tư này.
7. Đối tác là cá nhân, tổ chức tín dụng, chi nhánh ngân hàng nước ngoài, pháp nhân khác có giao dịch quy định tại khoản 4 Điều 8 Thông tư này với ngân hàng.
8. Khoản phải đòi của ngân hàng bao gồm:
a) Các khoản cấp tín dụng, bao gồm cả khoản ủy thác cấp tín dụng, khoản nhận ủy thác cấp tín dụng mà ngân hàng chịu rủi ro và khoản mua có bảo lưu quyền truy đòi công cụ chuyển nhượng, giấy tờ có giá khác, trừ giao dịch mua lại đảo ngược quy định tại khoản 10 Điều này;
b) Giấy tờ có giá do đơn vị khác phát hành;
c) Quyền theo hợp đồng để nhận tiền mặt hoặc tài sản tài chính khác từ đơn vị khác theo quy định của pháp luật, trừ các khoản quy định tại điểm a và điểm b khoản này.
9. Giao dịch mua lại (Repurchase Agreement - Repo) là giao dịch trong đó một bên bán và chuyển giao quyền sở hữu tài sản tài chính cho một bên khác, đồng thời cam kết sẽ mua lại và nhận lại quyền sở hữu tài sản tài chính đó sau một thời gian xác định với một mức giá xác định.
10. Giao dịch mua lại đảo ngược (Reverse Repo) là giao dịch trong đó một bên mua và nhận chuyển giao quyền sở hữu tài sản tài chính từ một bên khác, đồng thời cam kết sẽ bán lại và chuyển giao quyền sở hữu tài sản tài chính đó sau một thời gian xác định với một mức giá xác định, bao gồm cả giao dịch mua có kỳ hạn công cụ chuyển nhượng, giấy tờ có giá khác theo quy định của Ngân hàng Nhà nước về hoạt động chiết khấu công cụ chuyển nhượng, giấy tờ có giá khác.
11. Doanh nghiệp xếp hạng tín nhiệm độc lập bao gồm:
a) Tổ chức xếp hạng tín nhiệm Moody’s, Standard & Poor’s, Fitch Rating;
b) Các doanh nghiệp xếp hạng tín nhiệm được thành lập theo quy định của pháp luật Việt Nam về dịch vụ xếp hạng tín nhiệm.
12. Xếp hạng tín nhiệm tự nguyện là việc doanh nghiệp xếp hạng tín nhiệm độc lập tự nguyện thực hiện xếp hạng tín nhiệm, không có thỏa thuận với đối tượng được xếp hạng tín nhiệm.
13. Xếp hạng tín nhiệm thỏa thuận là việc doanh nghiệp xếp hạng tín nhiệm độc lập thực hiện xếp hạng tín nhiệm theo thỏa thuận giữa doanh nghiệp xếp hạng tín nhiệm độc lập và đối tượng được xếp hạng tín nhiệm.
14. Tổ chức tài chính quốc tế bao gồm:
a) Nhóm ngân hàng thế giới bao gồm: Ngân hàng tái thiết và phát triển quốc tế (The International Bank for Reconstruction and Development - IBRD), Công ty tài chính quốc tế (The International Financial Company - IFC), Hiệp hội phát triển quốc tế (The International Development Association - IDA), Cơ quan bảo lãnh đầu tư đa phương (The Multilateral Investment Guarantee Agency - MIGA);
b) Ngân hàng Phát triển châu Á (The Asian Development Bank - ADB);
c) Ngân hàng Phát triển châu Phi (The Africa Development Bank - AfDB);
d) Ngân hàng Tái thiết và phát triển châu Âu (The European Bank for Reconstruction and Development - EBRD);
đ) Ngân hàng Phát triển liên Mỹ (The Inter - American Development Bank - IADB);
e) Ngân hàng Đầu tư châu Âu (The European Investment Bank - EIB);
g) Quỹ Đầu tư châu Âu (The European Investment Fund - EIF);
h) Ngân hàng Đầu tư Bắc Âu (The Nordic Investment Bank - NIB);
i) Ngân hàng Phát triển Caribbean (The Caribbean Development Bank - CDB);
k) Ngân hàng Phát triển Hồi giáo (The Islamic Development Bank - IDB);
l) Ngân hàng Phát triển cộng đồng Châu Âu (The Council of Europe Development Bank - CEDB);
m) Tổ chức tài chính quốc tế khác có vốn điều lệ do Chính phủ các nước đóng góp.
15. Giảm thiểu rủi ro là việc ngân hàng sử dụng biện pháp làm giảm một phần hoặc toàn bộ tổn thất có thể xảy ra do các rủi ro trong hoạt động của ngân hàng.
16. Sản phẩm phái sinh bao gồm:
a) Sản phẩm phái sinh theo quy định tại khoản 32 Điều 4 Luật Các tổ chức tín dụng, bao gồm:
(i) Sản phẩm phái sinh tín dụng gồm các hợp đồng bảo hiểm tín dụng, hợp đồng hoán đổi rủi ro tín dụng, hợp đồng đầu tư gắn với rủi ro tín dụng, hợp đồng phái sinh tín dụng khác theo quy định của pháp luật;
(ii) Sản phẩm phái sinh lãi suất gồm hợp đồng lãi suất kỳ hạn, hợp đồng hoán đổi lãi suất một đồng tiền, hợp đồng hoán đổi lãi suất hai đồng tiền hoặc hợp đồng hoán đổi tiền tệ chéo, hợp đồng quyền chọn lãi suất, các hợp đồng phái sinh lãi suất khác theo quy định của pháp luật;
(iii) Sản phẩm phái sinh ngoại tệ gồm các giao dịch mua, bán ngoại tệ kỳ hạn, giao dịch hoán đổi ngoại tệ, giao dịch quyền chọn mua, bán ngoại tệ, các giao dịch phái sinh ngoại tệ khác theo quy định của pháp luật;
(iv) Sản phẩm phái sinh giá cả hàng hóa gồm các hợp đồng hoán đổi giá cả hàng hóa, hợp đồng tương lai giá cả hàng hóa, hợp đồng quyền chọn giá cả hàng hóa và các hợp đồng phái sinh giá cả hàng hóa khác theo quy định của pháp luật.
b) Chứng khoán phái sinh gồm hợp đồng tương lai, hợp đồng quyền chọn, hợp đồng kỳ hạn và chứng khoán phái sinh khác theo quy định của pháp luật về chứng khoán phái sinh và thị trường chứng khoán phái sinh;
c) Sản phẩm phái sinh khác theo quy định của pháp luật.
17. Công cụ bổ sung vốn cấp 1 là công cụ tài chính do ngân hàng thương mại phát hành đáp ứng đầy đủ các điều kiện tại Phụ lục I kèm theo Thông tư này.
18. Rủi ro tín dụng bao gồm:
a) Rủi ro tín dụng khách hàng là rủi ro do khách hàng không thực hiện hoặc không có khả năng thực hiện một phần hoặc toàn bộ nghĩa vụ trả nợ theo hợp đồng hoặc thỏa thuận với ngân hàng;
b) Rủi ro tín dụng đối tác là rủi ro do đối tác không thực hiện hoặc không có khả năng thực hiện một phần hoặc toàn bộ nghĩa vụ thanh toán trước hoặc khi đến hạn của các giao dịch quy định tại khoản 4 Điều 8 Thông tư này.
19. Rủi ro thị trường là rủi ro do biến động bất lợi của lãi suất, tỷ giá, giá vàng, giá chứng khoán và giá hàng hóa trên thị trường. Rủi ro thị trường bao gồm:
a) Rủi ro lãi suất là rủi ro do biến động bất lợi của lãi suất trên thị trường đối với giá trị của giấy tờ có giá, công cụ tài chính có lãi suất, sản phẩm phái sinh lãi suất trên sổ kinh doanh của ngân hàng;
b) Rủi ro ngoại hối là rủi ro do biến động bất lợi của tỷ giá, giá vàng trên thị trường khi ngân hàng có trạng thái ngoại tệ;
c) Rủi ro giá cổ phiếu là rủi ro do biến động bất lợi của giá cổ phiếu trên thị trường đối với giá trị của cổ phiếu, giá trị chứng khoán phái sinh trên sổ kinh doanh của ngân hàng;
d) Rủi ro giá hàng hóa là rủi ro do biến động bất lợi của giá hàng hóa trên thị trường đối với giá trị của sản phẩm phái sinh hàng hóa, giá trị của sản phẩm trong giao dịch giao ngay chịu rủi ro giá hàng hóa của ngân hàng.
20. Rủi ro hoạt động là rủi ro do các quy trình nội bộ quy định không đầy đủ hoặc có sai sót, do con người, do các lỗi, sự cố của hệ thống hoặc do các yếu tố bên ngoài làm tổn thất về tài chính, tác động tiêu cực phi tài chính đối với ngân hàng (bao gồm cả rủi ro pháp lý). Rủi ro hoạt động không bao gồm:
a) Rủi ro danh tiếng;
b) Rủi ro chiến lược.
21. Rủi ro danh tiếng là rủi ro do khách hàng, đối tác, cổ đông, nhà đầu tư, công chúng có phản ứng tiêu cực về uy tín của ngân hàng.
22. Rủi ro chiến lược là rủi ro do ngân hàng không có chiến lược hoặc có chiến lược nhưng không hiệu quả để ứng phó kịp thời trước các thay đổi môi trường kinh doanh làm giảm khả năng thực hiện chiến lược kinh doanh và giảm khả năng đạt được mục tiêu lợi nhuận của ngân hàng.
23. Giao dịch tự doanh là giao dịch mua, bán, trao đổi do ngân hàng, công ty con của ngân hàng thương mại thực hiện theo quy định của pháp luật trong thời hạn không quá 01 năm để thu lợi từ chênh lệch giá thị trường cho ngân hàng đối với các công cụ tài chính, bao gồm:
a) Các công cụ tài chính trên thị trường tiền tệ;
b) Các loại tiền tệ (bao gồm cả vàng);
c) Chứng khoán trên thị trường vốn;
d) Các sản phẩm phái sinh;
đ) Các công cụ tài chính khác được giao dịch trên thị trường chính thức.
24. Sổ kinh doanh là danh mục ghi nhận các trạng thái của:
a) Giao dịch tự doanh;
b) Giao dịch để thực hiện nghiệp vụ bảo lãnh phát hành công cụ tài chính;
c) Giao dịch sản phẩm phái sinh để phòng ngừa rủi ro của các giao dịch tự doanh của ngân hàng;
d) Giao dịch mua bán ngoại tệ, tài sản tài chính để phục vụ nhu cầu của khách hàng, đối tác và các giao dịch để đối ứng với các giao dịch này.
25. Sổ ngân hàng là danh mục ghi nhận trạng thái của:
a) Giao dịch mua lại và giao dịch mua lại đảo ngược;
b) Giao dịch sản phẩm phái sinh để phòng ngừa rủi ro cho các khoản mục của Báo cáo tình hình tài chính (bao gồm cả các khoản mục ngoại bảng) của ngân hàng, trừ các giao dịch đã phân loại vào sổ kinh doanh của ngân hàng quy định tại điểm a và điểm c khoản 24 Điều này;
c) Giao dịch mua bán tài sản tài chính với mục đích dự trữ khả năng thanh khoản;
d) Các giao dịch còn lại không thuộc sổ kinh doanh của ngân hàng.
26. Doanh nghiệp nhỏ và vừa là doanh nghiệp được xác định theo quy định của pháp luật về hỗ trợ doanh nghiệp nhỏ và vừa.
27. Phương pháp tiêu chuẩn cho rủi ro tín dụng là phương pháp để tính tài sản có rủi ro tín dụng quy định tại Chương II Thông tư này.
28. Phương pháp xếp hạng nội bộ (Internal rating-based approach - IRB) cho rủi ro tín dụng khách hàng là phương pháp để tính tài sản có rủi ro tín dụng khách hàng quy định tại Chương III Thông tư này. Phương pháp xếp hạng nội bộ bao gồm phương pháp xếp hạng nội bộ cơ bản và phương pháp xếp hạng nội bộ nâng cao.
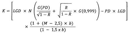
29. Phương pháp xếp hạng nội bộ cơ bản (Foundation internal rating - based approach - FIRB) là phương pháp xếp hạng nội bộ trong đó ngân hàng phải tự đưa ra ước tính về xác suất vỡ nợ (PD). Ngân hàng phải sử dụng các tham số rủi ro liên quan khác theo quy định tại Thông tư này đối với khoản phải đòi doanh nghiệp và khoản mua lại khoản phải thu doanh nghiệp.
30. Phương pháp xếp hạng nội bộ nâng cao (Advanced internal rating-based approach - AIRB) là phương pháp xếp hạng nội bộ trong đó ngân hàng phải tự đưa ra ước tính về xác suất vỡ nợ (PD), tỷ lệ tổn thất khi khách hàng vỡ nợ (LGD), giá trị khoản phải đòi tại thời điểm khách hàng vỡ nợ (EAD) đối với khoản phải đòi bán lẻ và khoản mua lại khoản phải thu bán lẻ.
31. Tổn thất dự kiến (Expected losses - EL) là phần tổn thất mà ngân hàng dự kiến sẽ xảy ra.
32. Thời hạn hiệu lực của khoản phải đòi (Effective Maturity – M) là thời hạn còn lại của khoản phải đòi được dùng để tính tài sản có rủi ro tín dụng khách hàng.
33. Tỷ lệ tổn thất khi khách hàng vỡ nợ (Loss given default - LGD) là tỷ lệ giữa giá trị tổn thất và giá trị khoản phải đòi tại thời điểm khách hàng vỡ nợ. LGD có đơn vị đo lường là số thập phân hoặc phần trăm.
34. Xác suất vỡ nợ (Probability of default - PD) là khả năng khách hàng sẽ vỡ nợ. PD có đơn vị đo lường là số thập phân hoặc phần trăm.
35. Giá trị khoản phải đòi tại thời điểm khách hàng vỡ nợ (Exposure at default - EAD) là giá trị khoản phải đòi hoặc giá trị khoản phải đòi dự kiến tại thời điểm khách hàng vỡ nợ. EAD có đơn vị đo lường là đồng Việt Nam.
Điều 3. Cơ cấu tổ chức và hoạt động quản lý tỷ lệ an toàn vốn
1. Hoạt động quản lý tỷ lệ an toàn vốn:
a) Hội đồng quản trị, Hội đồng thành viên (đối với ngân hàng thương mại) hoặc Tổng giám đốc (Giám đốc) (đối với chi nhánh ngân hàng nước ngoài) thực hiện:
(i) Ban hành quy định nội bộ về tuân thủ tỷ lệ an toàn vốn tối thiểu của ngân hàng phù hợp với nhu cầu, đặc điểm, mức độ rủi ro trong hoạt động, chu kỳ kinh doanh, khả năng thích ứng với rủi ro và chiến lược kinh doanh của ngân hàng; phù hợp với Thông tư này và quy định của pháp luật liên quan;
(ii) Giám sát đối với Tổng giám đốc (Giám đốc) (đối với ngân hàng thương mại) trong việc thực hiện quản lý tỷ lệ an toàn vốn;
b) Tổng giám đốc (Giám đốc) thực hiện:
(i) Xây dựng và trình Hội đồng quản trị, Hội đồng thành viên (đối với ngân hàng thương mại) ban hành quy định nội bộ về tuân thủ tỷ lệ an toàn vốn tối thiểu;
(ii) Quản lý tỷ lệ an toàn vốn đảm bảo tuân thủ quy định nội bộ;
(iii) Giám sát đối với các cá nhân, bộ phận thực hiện chức năng quản lý tỷ lệ an toàn vốn;
c) Có cá nhân, bộ phận thực hiện chức năng quản lý tỷ lệ an toàn vốn, trình Tổng giám đốc (Giám đốc) để báo cáo Hội đồng quản trị, Hội đồng thành viên (đối với ngân hàng thương mại) hoặc trình Tổng giám đốc (Giám đốc) (đối với chi nhánh ngân hàng nước ngoài) theo quy định nội bộ về tuân thủ tỷ lệ an toàn vốn tối thiểu của ngân hàng phù hợp với Thông tư này và quy định của pháp luật liên quan.
2. Ban Kiểm soát của ngân hàng thương mại phải giám sát việc chấp hành các quy định về tỷ lệ an toàn vốn tại Thông tư này.
3. Kiểm toán nội bộ của ngân hàng thực hiện rà soát, đánh giá độc lập, khách quan về tính thích hợp và sự tuân thủ quy định nội bộ về quản lý tỷ lệ an toàn vốn của ngân hàng.
Điều 4. Dữ liệu và hệ thống công nghệ thông tin
1. Ngân hàng phải có dữ liệu đầy đủ và hệ thống công nghệ thông tin phù hợp để tính tỷ lệ an toàn vốn theo quy định tại Thông tư này.
2. Ngân hàng phải tổ chức thu thập và quản lý dữ liệu đảm bảo các yêu cầu tối thiểu sau đây:
a) Có cơ cấu tổ chức, chức năng, nhiệm vụ của các cá nhân, bộ phận; quy trình; công cụ để quản lý dữ liệu đảm bảo các yêu cầu chất lượng và tính đầy đủ của dữ liệu;
b) Có quy trình thu thập, đối chiếu dữ liệu (nội bộ, bên ngoài), lưu trữ, truy cập, bổ sung, dự phòng, sao lưu và tiêu hủy dữ liệu để tính tỷ lệ an toàn vốn theo quy định tại Thông tư này;
c) Đáp ứng yêu cầu theo quy định nội bộ của ngân hàng và quy định của Ngân hàng Nhà nước về chế độ báo cáo, thống kê.
3. Hệ thống công nghệ thông tin phải đảm bảo các yêu cầu tối thiểu sau đây:
a) Kết nối, quản lý tập trung toàn hệ thống, đảm bảo bảo mật, an toàn và hiệu quả khi tính tỷ lệ an toàn vốn theo quy định tại Thông tư này;
b) Có công cụ được kết nối với các hệ thống khác để tính vốn tự có, tổng tài sản có rủi ro tín dụng, vốn yêu cầu cho từng loại rủi ro và tỷ lệ an toàn vốn đảm bảo chính xác, kịp thời;
c) Có quy trình rà soát, kiểm tra, dự phòng, xử lý sự cố, bảo trì định kỳ, thường xuyên;
d) Đáp ứng yêu cầu theo quy định nội bộ của ngân hàng và quy định của Ngân hàng Nhà nước về chế độ báo cáo, thống kê.
Điều 5. Tỷ lệ an toàn vốn
1. Các tỷ lệ an toàn vốn được xác định như sau:
|
Tỷ lệ vốn lõi cấp 1 |
= |
Vốn lõi cấp 1 |
|
RWA + 12,5 x (KOR + KMR) |
|
Tỷ lệ vốn cấp 1 |
= |
Vốn cấp 1 |
|
RWA + 12,5 x (KOR + KMR) |
|
Tỷ lệ an toàn vốn |
= |
Vốn tự có |
|
RWA + 12,5 x (KOR + KMR) |
Trong đó:
- Vốn lõi cấp 1, vốn cấp 1, vốn tự có theo quy định tại Phụ lục I kèm theo Thông tư này;
- RWA: Tổng tài sản có rủi ro tín dụng (Risk weighted assets);
- KOR: Vốn yêu cầu cho rủi ro hoạt động (Operational risk capital requirements);
- KMR: Vốn yêu cầu cho rủi ro thị trường (Market risk capital requirements).
2. Ngân hàng phải duy trì tỷ lệ an toàn vốn như sau:
a) Ngân hàng thương mại không có công ty con, chi nhánh ngân hàng nước ngoài phải duy trì tỷ lệ an toàn vốn riêng lẻ;
b) Ngân hàng thương mại có công ty con phải duy trì tỷ lệ an toàn vốn riêng lẻ và tỷ lệ an toàn vốn hợp nhất;
c) Khi tính tỷ lệ an toàn vốn hợp nhất:
(i) Trường hợp ngân hàng thương mại có công ty con là doanh nghiệp hoạt động theo Luật Kinh doanh bảo hiểm, ngân hàng thương mại không hợp nhất công ty con này theo nguyên tắc hợp nhất của pháp luật về kế toán và báo cáo tài chính đối với tổ chức tín dụng;
(ii) Tổng tài sản có rủi ro tín dụng, vốn yêu cầu cho rủi ro hoạt động, vốn yêu cầu cho rủi ro thị trường được tính trên cơ sở số liệu của ngân hàng thương mại và công ty con của ngân hàng thương mại đó theo quy định tại Thông tư này. Trong đó, ngân hàng thương mại phải áp dụng phương pháp tiêu chuẩn để tính tài sản có rủi ro tín dụng của công ty con.
3. Ngân hàng thương mại không có công ty con, chi nhánh ngân hàng nước ngoài phải duy trì các tỷ lệ an toàn vốn riêng lẻ sau đây:
a) Tỷ lệ vốn lõi cấp 1 tối thiểu là 4,5%;
b) Tỷ lệ vốn cấp 1 tối thiểu là 6%;
c) Tỷ lệ an toàn vốn tối thiểu là 8%.
4. Ngân hàng thương mại có công ty con phải duy trì tỷ lệ an toàn vốn riêng lẻ và tỷ lệ an toàn vốn hợp nhất sau đây:
a) Tỷ lệ vốn lõi cấp 1 tối thiểu là 4,5%;
b) Tỷ lệ vốn cấp 1 tối thiểu là 6%;
c) Tỷ lệ an toàn vốn tối thiểu là 8%.
5. Ngoài các tỷ lệ bắt buộc phải thực hiện theo quy định tại khoản 3 và khoản 4 Điều này, ngân hàng thực hiện tỷ lệ bộ đệm bảo toàn vốn (Capital conservation buffer - CCB) theo quy định như sau:
a) Tỷ lệ bộ đệm bảo toàn vốn (CCB) là phần tỷ lệ vốn lõi cấp 1 còn lại sau khi ngân hàng đáp ứng đầy đủ các tỷ lệ an toàn vốn (bao gồm tỷ lệ vốn lõi cấp 1, tỷ lệ vốn cấp 1 và tỷ lệ an toàn vốn);
|
Thời điểm áp dụng từ Tỷ lệ |
Năm thứ nhất |
Năm thứ hai |
Năm thứ ba |
Năm thứ tư trở đi |
|
CCB |
0,625% |
1,25% |
1,875% |
2,5% |
|
Vốn lõi cấp 1 (bao gồm CCB) |
5,125% |
5,75% |
6,375% |
7% |
|
Vốn cấp 1 (bao gồm CCB) |
6,625% |
7,25% |
7,875% |
8,5% |
|
CAR (bao gồm CCB) |
8,625% |
9,25% |
9,875% |
10,5% |
(i) Là năm ngân hàng bắt đầu áp dụng phương pháp tiêu chuẩn đã đăng ký theo quy định tại điểm b khoản 2 Điều 7 Thông tư này;
(ii) Là năm ngân hàng được Ngân hàng Nhà nước chấp thuận áp dụng phương pháp xếp hạng nội bộ quy định tại điểm c khoản 3 Điều 7 Thông tư này;
(iii) Là năm 2030 đối với các trường hợp còn lại.
6. Ngoài các tỷ lệ theo quy định tại khoản 3, 4 và 5 Điều này, ngân hàng thực hiện tỷ lệ bộ đệm vốn phản chu kỳ (Countercyclical capital buffer - CCyB) theo quy định như sau:
a) Tỷ lệ bộ đệm vốn phản chu kỳ là phần tỷ lệ vốn lõi cấp 1 còn lại sau khi ngân hàng đáp ứng đầy đủ các tỷ lệ an toàn vốn (bao gồm tỷ lệ vốn lõi cấp 1, tỷ lệ vốn cấp 1, tỷ lệ an toàn vốn và CCB (nếu có));
b) Thống đốc Ngân hàng Nhà nước quyết định áp dụng tỷ lệ CCyB cụ thể trong khoảng từ 0% đến 2,5% khi cần thiết trong từng thời kỳ.
7. Đối với các khoản mục bằng ngoại tệ và vàng, ngân hàng quy đổi sang đồng Việt Nam khi tính tỷ lệ an toàn vốn như sau:
a) Thực hiện hạch toán trên các tài khoản ngoại tệ theo quy định của pháp luật về hệ thống tài khoản kế toán;
b) Đối với rủi ro ngoại hối, tỷ giá quy đổi sang đồng Việt Nam được thực hiện như sau:
(i) Trường hợp ngày tính tỷ lệ an toàn vốn không phải là ngày làm việc cuối tháng, cuối quý, cuối năm, tỷ giá quy đổi sang đồng Việt Nam là tỷ giá hạch toán theo quy định của Ngân hàng Nhà nước về hệ thống tài khoản kế toán các tổ chức tín dụng;
(ii) Trường hợp ngày tính tỷ lệ an toàn vốn là ngày làm việc cuối tháng, cuối quý, cuối năm:
- Đối với ngân hàng sử dụng đồng tiền hạch toán là đồng Việt Nam, tỷ giá quy đổi sang đồng Việt Nam là tỷ giá quy đổi khi lập Bảng cân đối tài khoản kế toán tháng, quý, năm theo quy định của Ngân hàng Nhà nước về hệ thống tài khoản kế toán các tổ chức tín dụng;
- Đối với ngân hàng sử dụng đồng tiền hạch toán là ngoại tệ, tỷ giá quy đổi sang đồng Việt Nam là tỷ giá áp dụng để chuyển đổi báo cáo tài chính được lập bằng ngoại tệ ra đồng Việt Nam theo quy định của Ngân hàng Nhà nước về chế độ báo cáo tài chính đối với các tổ chức tín dụng;
c) Đối với giá vàng được thực hiện như sau:
(i) Đối với ngân hàng thương mại có hoạt động kinh doanh vàng, ngân hàng sử dụng giá niêm yết bán ra của ngân hàng tại thời điểm cuối ngày của ngày báo cáo;
(ii) Đối với ngân hàng không kinh doanh vàng, ngân hàng sử dụng niêm yết bán ra của doanh nghiệp, tổ chức tín dụng sở hữu nhãn hiệu vàng tại thời điểm cuối ngày của ngày báo cáo;
d) Trường hợp ngày báo cáo không phải là ngày làm việc, ngân hàng áp dụng tỷ giá và giá vàng của ngày làm việc liền trước.
8. Căn cứ kết quả thanh tra, kiểm tra, giám sát đối với ngân hàng, trong trường hợp cần thiết để bảo đảm an toàn trong hoạt động của ngân hàng, tùy theo tính chất, mức độ rủi ro, Ngân hàng Nhà nước xem xét:
a) Yêu cầu ngân hàng duy trì tỷ lệ an toàn vốn cao hơn so với mức quy định tại Thông tư này;
b) Quyết định áp dụng tỷ lệ bộ đệm vốn đối với ngân hàng thương mại có tầm quan trọng hệ thống trong từng thời kỳ.
Điều 6. Vốn tự có
1. Vốn tự có của ngân hàng là cơ sở để tính tỷ lệ an toàn vốn theo quy định tại Thông tư này.
2. Vốn tự có bao gồm tổng vốn cấp 1 (bao gồm cả vốn lõi cấp 1 và vốn bổ sung vốn cấp 1) và vốn cấp 2 quy định tại Phụ lục I kèm theo Thông tư này.
Điều 7. Áp dụng quy định về tỷ lệ an toàn vốn
1. Kể từ ngày 01 tháng 01 năm 2030, ngân hàng phải áp dụng quy định tại Thông tư này, trừ quy định tại Chương III Thông tư này.
2. Việc thực hiện phương pháp tiêu chuẩn cho rủi ro tín dụng khách hàng và tính tỷ lệ an toàn vốn như sau:
a) Kể từ ngày Thông tư này có hiệu lực, ngân hàng có khả năng thực hiện phương pháp tiêu chuẩn cho rủi ro tín dụng quy định tại Chương II Thông tư này trước thời hạn quy định tại khoản 1 Điều này được gửi văn bản đăng ký áp dụng cho Ngân hàng Nhà nước, trong đó đăng ký thời điểm bắt đầu áp dụng phương pháp tiêu chuẩn kèm báo cáo của Hội đồng quản trị, Hội đồng thành viên của ngân hàng thương mại, Tổng Giám đốc (Giám đốc) của chi nhánh ngân hàng nước ngoài đánh giá việc tuân thủ các quy định liên quan đến phương pháp tiêu chuẩn tại Thông tư này;
b) Ngân hàng phải thực hiện phương pháp tiêu chuẩn cho rủi ro tín dụng và các quy định khác tại Thông tư này, trừ quy định tại Chương III Thông tư này từ thời điểm bắt đầu áp dụng phương pháp tiêu chuẩn đã đăng ký và dừng thực hiện các Thông tư quy định tại điểm a, b và c khoản 3 Điều 82 Thông tư này.
3. Việc thực hiện phương pháp xếp hạng nội bộ cho rủi ro tín dụng khách hàng và tính tỷ lệ an toàn vốn như sau:
a) Kể từ ngày Thông tư này có hiệu lực, ngân hàng có khả năng thực hiện phương pháp xếp hạng nội bộ cho rủi ro tín dụng quy định tại Chương III Thông tư này:
(i) Được gửi văn bản đăng ký cho Ngân hàng Nhà nước kèm Kế hoạch triển khai áp dụng phương pháp xếp hạng nội bộ theo quy định tại Phụ lục VII kèm theo Thông tư này;
(ii) Thực hiện quy định về giai đoạn chuyển đổi sang phương pháp xếp hạng nội bộ tại Điều 32 Thông tư này;
b) Ngân hàng được đề nghị Ngân hàng Nhà nước chấp thuận áp dụng phương pháp xếp hạng nội bộ theo quy định tại Điều 33 Thông tư này khi đáp ứng đầy đủ các điều kiện sau:
(i) Sau thời gian tối thiểu 02 năm kể từ ngày ngân hàng có văn bản đăng ký gửi Ngân hàng Nhà nước nêu tại điểm a(i) khoản này;
(ii) Có 02 năm liên tục liền kề trước thời điểm nộp hồ sơ đề nghị Ngân hàng Nhà nước chấp thuận được tổ chức kiểm toán độc lập và Hội đồng quản trị, Hội đồng thành viên của ngân hàng thương mại, Tổng Giám đốc (Giám đốc) của chi nhánh ngân hàng nước ngoài đánh giá đã tuân thủ các yêu cầu liên quan đến phương pháp xếp hạng nội bộ theo quy định tại Thông tư này (bao gồm cả hệ thống xếp hạng tín dụng nội bộ, hệ thống, công cụ tính vốn phục vụ phương pháp xếp hạng nội bộ, tỷ lệ bao phủ, tỷ lệ sàn đầu ra) phù hợp với phạm vi đề nghị chấp thuận;
c) Kể từ ngày được Ngân hàng Nhà nước chấp thuận, ngân hàng thực hiện như sau:
(i) Áp dụng chính thức phương pháp xếp hạng nội bộ để tính tài sản có rủi ro tín dụng và các quy định khác tại Thông tư này;
(ii) Không phải tuân thủ mức tối thiểu về tỷ lệ an toàn vốn được tính theo phương pháp tiêu chuẩn quy định tại Chương II Thông tư này;
(iii) Dừng thực hiện các Thông tư quy định tại điểm a, b và c khoản 3 Điều 82 Thông tư này trong trường hợp ngân hàng được Ngân hàng Nhà nước chấp thuận trước ngày 01 tháng 01 năm 2030.
Chương II
QUY ĐỊNH TÀI SẢN CÓ RỦI RO TÍN DỤNG THEO PHƯƠNG PHÁP TIÊU CHUẨN
Mục 1
QUY ĐỊNH TÍNH TỔNG TÀI SẢN CÓ RỦI RO TÍN DỤNG THEO PHƯƠNG PHÁP TIÊU CHUẨN
Điều 8. Tổng tài sản có rủi ro tín dụng
RWA = RWACR + RWACCR
Trong đó:
- RWACR: Tổng tài sản có rủi ro tín dụng khách hàng;
- RWACCR: Tổng tài sản có rủi ro tín dụng đối tác.
RWACR = SEj x CRWj + SMax {0, (Ei* - SPi)} x CRWi
Trong đó:- Ej: Giá trị tài sản (không phải là khoản phải đòi) thứ j;
- CRWj: Hệ số rủi ro tín dụng của tài sản thứ j theo quy định tại Điều 9 và Mục 2 Chương này;
- Ei*: Giá trị số dư của khoản phải đòi thứ i (Ei) được xác định theo khoản 3 Điều này, sau khi điều chỉnh giảm theo các biện pháp giảm thiểu rủi ro tín dụng quy định tại Điều 25, 26, 27, 28 và 29 Thông tư này;
- SPi: Dự phòng cụ thể của khoản phải đòi thứ i;
- CRWi: Hệ số rủi ro tín dụng của khoản phải đòi thứ i theo quy định tại Điều 9 và Mục 2 Chương này.
Ei = Eoni + Eoffi x CCFi
Trong đó:
- Ei: Giá trị số dư xác định theo nguyên giá của khoản phải đòi thứ i;
- Eoni: Số dư nợ phần nội bảng của khoản phải đòi thứ i;
- Eoffi: Số dư phần cam kết ngoại bảng của khoản phải đòi thứ i;
- CCFi: Hệ số chuyển đổi của phần cam kết ngoại bảng của khoản phải đòi thứ i theo quy định tại Điều 10 Thông tư này.
a) Giao dịch tự doanh;
b) Giao dịch mua lại và giao dịch mua lại đảo ngược;
c) Giao dịch sản phẩm phái sinh để phòng ngừa rủi ro;
d) Giao dịch mua bán ngoại tệ, tài sản tài chính với mục đích phục vụ nhu cầu của khách hàng, đối tác quy định tại điểm d khoản 24 Điều 2 Thông tư này.
5. Các giao dịch đã tính rủi ro tín dụng đối tác không phải tính rủi ro tín dụng khách hàng khi tính tỷ lệ an toàn vốn. Tài sản có rủi ro tín dụng đối tác (RWACCR) được tính theo hướng dẫn tại Phụ lục II kèm theo Thông tư này.
Điều 9. Nguyên tắc áp dụng hệ số rủi ro tín dụng (Credit Risk Weight - CRW)
1. Ngân hàng thực hiện phân loại tài sản theo quy định tại Điều 11 Thông tư này và hướng dẫn tại Phụ lục VI kèm theo Thông tư này.
2. Căn cứ kết quả phân loại tài sản theo quy định tại khoản 1 Điều này, ngân hàng thực hiện xác định hệ số rủi ro tín dụng tương ứng với loại tài sản theo quy định tại Mục 2 Chương này.
3. Căn cứ kết quả phân loại tài sản theo quy định tại khoản 1 Điều này, khoản phải đòi bất động sản được xác định hệ số rủi ro tín dụng theo nguyên tắc như sau:
a) Khoản phải đòi bất động sản được đảm bảo bằng một tài sản bảo đảm hoặc khoản phải đòi bất động sản thế chấp bằng nhà ở xã hội (bao gồm trường hợp được đảm bảo bằng một hoặc nhiều tài sản bảo đảm) thì áp dụng hệ số rủi ro tín dụng tại Điều 17 Thông tư này;
b) Khoản phải đòi bất động sản (trừ khoản phải đòi bất động sản thế chấp bằng nhà ở xã hội theo quy định tại khoản 4 Điều 16 Thông tư này) được đảm bảo bằng nhiều tài sản bảo đảm áp dụng nguyên tắc sau:
(i) Trường hợp khoản phải đòi bất động sản đủ tiêu chuẩn được đảm bảo bằng nhiều tài sản bảo đảm, trong đó một hoặc nhiều tài sản bảo đảm đủ tiêu chuẩn đều có giá trị tối thiểu bằng 100% giá trị khoản phải đòi, ngân hàng áp dụng hệ số rủi ro tín dụng của tài sản bảo đảm đủ tiêu chuẩn có hệ số rủi ro thấp nhất;
(ii) Trường hợp khoản phải đòi bất động sản đủ tiêu chuẩn được đảm bảo bằng nhiều tài sản bảo đảm nhưng trong đó không có bất cứ tài sản bảo đảm đủ tiêu chuẩn có giá trị bằng hoặc vượt quá 100% giá trị khoản phải đòi, ngân hàng áp dụng hệ số rủi ro tín dụng cao nhất trong các tài sản bảo đảm đủ tiêu chuẩn theo quy định tại Điều 17 Thông tư này;
(iii) Trường hợp khoản phải đòi bất động sản không đủ tiêu chuẩn nhưng được đảm bảo bằng cả tài sản bảo đảm đủ tiêu chuẩn, tài sản bảo đảm không đủ tiêu chuẩn quy định tại điểm b(i) khoản 2 Điều 16 Thông tư này và các tài sản bảo đảm này có tổng giá trị tối thiểu bằng 100% giá trị khoản phải đòi hoặc khoản phải đòi bất động sản không đủ tiêu chuẩn chỉ được đảm bảo bằng tài sản bảo đảm quy định tại điểm b(i) khoản 2 Điều 16 Thông tư này và có giá trị tối thiểu bằng 100% giá trị khoản phải đòi, ngân hàng áp dụng hệ số rủi ro tín dụng theo quy định tại khoản 4 Điều 17 Thông tư này;
(iv) Trường hợp không thuộc quy định tại điểm b(i), b(ii) và b(iii) khoản này, ngân hàng áp dụng hệ số rủi ro tín dụng theo quy định tại khoản 5 Điều 17 Thông tư này;
c) Trường hợp một tài sản bảo đảm hoặc nhiều tài sản bảo đảm được dùng để đảm bảo cho nhiều khoản phải đòi trong đó có khoản phải đòi bất động sản, ngân hàng thực hiện phân tách phần giá trị của tài sản bảo đảm tương ứng với giá trị của từng khoản phải đòi theo thỏa thuận giữa các bên liên quan (nếu có) và quy định nội bộ của ngân hàng. Sau khi phân tách, ngân hàng áp dụng nguyên tắc tại điểm a hoặc điểm b khoản này để xác định hệ số rủi ro tín dụng tương ứng.
4. Khi tính tỷ lệ an toàn vốn hợp nhất, ngân hàng thương mại được áp dụng hệ số rủi ro tín dụng theo quy định tại Mục 2 Chương này đối với các khoản phải đòi của công ty con, chi nhánh của ngân hàng thương mại tại nước ngoài.
Điều 10. Hệ số chuyển đổi (Credit conversion factor - CCF)
1. Hệ số chuyển đổi 10% áp dụng đối với:
a) Cam kết ngoại bảng (bao gồm cả hạn mức tín dụng chưa sử dụng) mà ngân hàng có quyền hủy ngang hoặc tự động hủy ngang khi khách hàng vi phạm điều kiện hủy ngang hoặc suy giảm khả năng thực hiện nghĩa vụ;
b) Hạn mức tín dụng chưa sử dụng của thẻ tín dụng.
2. Hệ số chuyển đổi 20% áp dụng đối với thư tín dụng do ngân hàng phát hành hoặc do ngân hàng xác nhận đáp ứng đầy đủ các điều kiện sau:
a) Thư tín dụng có chứng từ vận tải và được đảm bảo bằng hàng hóa (documentary credits collateralised by the underlying shipment);
b) Thời hạn cấp tín dụng gốc từ 01 năm trở xuống theo thỏa thuận cấp tín dụng trong nghiệp vụ phát hành, xác nhận thư tín dụng theo quy định của pháp luật.
3. Hệ số chuyển đổi 50% áp dụng đối với:
a) Thư tín dụng do ngân hàng phát hành hoặc do ngân hàng xác nhận đáp ứng đầy đủ các điều kiện sau:
(i) Thư tín dụng có chứng từ vận tải và được đảm bảo bằng hàng hóa;
(ii) Thời hạn cấp tín dụng gốc trên 01 năm theo thỏa thuận cấp tín dụng trong nghiệp vụ phát hành, xác nhận thư tín dụng theo quy định của pháp luật;
b) Nợ tiềm tàng dựa trên hoạt động cụ thể (bao gồm cả bảo lãnh thực hiện hợp đồng, bảo lãnh dự thầu, thư tín dụng dự phòng cho hoạt động cụ thể);
c) Bảo lãnh phát hành chứng khoán, giấy tờ có giá.
4. Hệ số chuyển đổi 100% áp dụng đối với:
a) Các cam kết ngoại bảng tương đương khoản cho vay (bao gồm cả cam kết cho vay không hủy ngang là cam kết cho vay không thể hủy bỏ hoặc thay đổi dưới bất kỳ hình thức nào đối với những cam kết đã được thiết lập, trừ trường hợp phải hủy bỏ hoặc thay đổi theo quy định của pháp luật; các khoản bảo lãnh, thư tín dụng dự phòng bảo đảm nghĩa vụ tài chính cho khoản nợ hoặc trái phiếu; hạn mức tín dụng chưa giải ngân không hủy ngang...);
b) Các khoản chấp nhận thanh toán (bao gồm cả ký hậu chấp nhận thanh toán bộ chứng từ...);
c) Nghĩa vụ thanh toán của ngân hàng trong giao dịch bán giấy tờ có giá có bảo lưu quyền truy đòi khi bên phát hành không thực hiện cam kết;
d) Các hợp đồng kỳ hạn về tài sản, tiền gửi, các chứng khoán trả trước một phần mà ngân hàng cam kết thực hiện;
đ) Các cam kết ngoại bảng chưa được quy định tại khoản 1, 2 và 3 Điều này và điểm a, b, c và d khoản này.
5. Đối với cam kết ngoại bảng là cam kết cung cấp một cam kết ngoại bảng (bao gồm cả cam kết cấp bảo lãnh, cam kết phát hành thư tín dụng, cam kết hoàn trả thư tín dụng...), hệ số chuyển đổi là hệ số thấp hơn giữa hệ số chuyển đổi của cam kết cung cấp cam kết ngoại bảng và hệ số chuyển đổi của cam kết ngoại bảng được cam kết cung cấp.
Mục 2
HỆ SỐ RỦI RO TÍN DỤNG ĐỐI VỚI CÁC NHÓM TÀI SẢN CÓ RỦI RO TÍN DỤNG KHÁCH HÀNG
Điều 11. Phân loại các nhóm tài sản có rủi ro tín dụng khách hàng để xác định hệ số rủi ro tín dụng
1. Các nhóm tài sản (không bao gồm các tài sản đã trừ khỏi vốn tự có quy định tại Phụ lục I kèm theo Thông tư này) bao gồm:
a) Khoản phải đòi bao gồm:
(i) Khoản phải đòi là nợ xấu và số dư cam kết ngoại bảng được phân loại nhóm 3, nhóm 4, nhóm 5 theo quy định của Ngân hàng Nhà nước về phân loại tài sản có trong hoạt động của ngân hàng thương mại, tổ chức tín dụng phi ngân hàng, chi nhánh ngân hàng nước ngoài;
(ii) Khoản phải đòi không thuộc quy định tại điểm a(i) khoản này;
b) Tiền mặt, vàng và các khoản tương đương tiền mặt của ngân hàng;
c) Công cụ vốn chủ sở hữu của doanh nghiệp, khoản cho vay giao dịch ký quỹ của công ty chứng khoán;
d) Khoản cho thuê tài chính;
đ) Khoản mua lại khoản phải thu của công ty tài chính, công ty cho thuê tài chính;
e) Khoản phải thu phát sinh từ việc bán nợ xấu (không bao gồm các khoản phải thu phát sinh trong quá trình bán nợ xấu cho Công ty Quản lý tài sản của các tổ chức tín dụng Việt Nam (sau đây viết tắt là Công ty quản lý tài sản) và Công ty trách nhiệm hữu hạn Mua bán nợ Việt Nam (sau đây viết tắt là Công ty mua bán nợ);
g) Tài sản còn lại trên Báo cáo tình hình tài chính, trừ các tài sản quy định tại điểm a, b, c, d, đ và e khoản này.
2. Các khoản phải đòi được quy định tại điểm a(ii) khoản 1 Điều này được phân loại để áp dụng hệ số rủi ro tín dụng như sau:
a) Khoản phải đòi quốc gia, khoản phải đòi Chính phủ Việt Nam, Ngân hàng Nhà nước, Kho bạc Nhà nước, Ủy ban nhân dân tỉnh, thành phố trực thuộc Trung ương, các ngân hàng chính sách, khoản phải đòi tổ chức tài chính quốc tế, khoản phải đòi của Công ty quản lý tài sản và Công ty mua bán nợ;
b) Khoản phải đòi tổ chức tín dụng, chi nhánh ngân hàng nước ngoài;
c) Các khoản phải đòi doanh nghiệp, cá nhân bao gồm:
(i) Khoản cho vay để đầu tư, kinh doanh chứng khoán;
(ii) Khoản phải đòi bất động sản;
(iii) Khoản cấp tín dụng chuyên biệt cho doanh nghiệp;
(iv) Khoản phải đòi doanh nghiệp khác, trừ khoản phải đòi quy định tại điểm c(i), c(ii) và c(iii) khoản này;
(v) Khoản cho vay cá nhân phục vụ phát triển nông nghiệp, nông thôn;
(vi) Khoản phải đòi bán lẻ;
d) Khoản phải đòi khác, trừ các khoản phải đòi quy định tại điểm a, b và c khoản này.
Điều 12. Hệ số rủi ro tín dụng của khoản nợ xấu
1. Đối với khoản nợ xấu có dự phòng cụ thể lớn hơn 20% giá trị của khoản nợ xấu, khoản nợ xấu là khoản phải đòi thế chấp thế chấp bằng nhà ở đáp ứng quy định tại điểm a(i) và điểm a(ii) khoản 2 Điều 16 Thông tư này và số dư cam kết ngoại bảng quy định tại điểm a(i) khoản 1 Điều 11 Thông tư này, hệ số rủi ro tín dụng là 100%.
2. Đối với khoản nợ xấu có dự phòng cụ thể đến 20% giá trị của khoản nợ xấu trừ các khoản phải đòi quy định tại khoản 1 Điều này, hệ số rủi ro tín dụng là 150%.
Điều 13. Hệ số rủi ro tín dụng đối với khoản phải đòi quy định tại điểm a khoản 2 Điều 11 Thông tư này
1. Đối với khoản phải đòi Chính phủ Việt Nam, Ngân hàng Nhà nước, Kho bạc Nhà nước, Ủy ban nhân dân tỉnh, thành phố trực thuộc Trung ương, các ngân hàng chính sách, hệ số rủi ro tín dụng là 0%.
2. Đối với khoản phải đòi tổ chức tài chính quốc tế, hệ số rủi ro tín dụng là 0%.
3. Đối với khoản phải đòi của Công ty quản lý tài sản, hệ số rủi ro tín dụng là 20%, trừ trường hợp khoản phải đòi của Công ty quản lý tài sản được áp dụng hệ số rủi ro tín dụng khác theo quy định của pháp luật.
4. Đối với khoản phải đòi của Công ty mua bán nợ, hệ số rủi ro tín dụng là 20%.
|
Thứ hạng tín nhiệm |
Từ AAA đến AA- |
Từ A+ đến A- |
Từ BBB+ đến BBB- |
Từ BB+ đến B- |
Dưới B- hoặc không có xếp hạng |
|
Hệ số rủi ro tín dụng |
0% |
20% |
50% |
100% |
150% |
6. Đối với khoản phải đòi tổ chức công lập của Chính phủ (non-central government public sector entities - PSEs), chính quyền địa phương các nước khác, hệ số rủi ro tín dụng áp dụng theo hệ số rủi ro tín dụng của khoản phải đòi Chính phủ đó theo quy định tại khoản 5 Điều này.
Điều 14. Hệ số rủi ro tín dụng của khoản phải đòi tổ chức tín dụng, chi nhánh ngân hàng nước ngoài
|
Thứ hạng tín nhiệm |
Từ AAA đến AA- |
Từ A+ đến BBB- |
Từ BB+ đến B- |
Dưới B- hoặc Không có xếp hạng |
|
Hệ số rủi ro tín dụng |
20% |
50% |
100% |
150% |
2. Đối với chi nhánh ngân hàng nước ngoài hoạt động tại Việt Nam, chi nhánh ngân hàng nước ngoài hoạt động tại quốc gia khác, chi nhánh ngân hàng Việt Nam hoạt động tại nước ngoài áp dụng hệ số rủi ro tín dụng theo thứ hạng tín nhiệm của ngân hàng mẹ.
|
Thứ hạng tín nhiệm |
AAA đến AA- |
A+ đến BBB- |
BB+ đến BB- |
B+ đến B- |
Dưới B- hoặc Không có xếp hạng |
|
Khoản phải đòi có thời hạn ban đầu từ 03 tháng trở lên |
20% |
50% |
80% |
100% |
150% |
|
Khoản phải đòi có thời hạn ban đầu dưới 03 tháng |
10% |
20% |
40% |
50% |
70% |
4. Đối với khoản cho vay, bảo lãnh, tiền gửi của bên nhận chuyển giao bắt buộc và các tổ chức tín dụng khác đối với ngân hàng thương mại được chuyển giao bắt buộc theo quy định tại Luật Các tổ chức tín dụng, bên nhận chuyển giao bắt buộc và các tổ chức tín dụng khác áp dụng hệ số rủi ro tín dụng là 0%.
5. Đối với khoản cho vay, tiền gửi của tổ chức tín dụng hỗ trợ tại tổ chức tín dụng đang được kiểm soát đặc biệt theo quy định tại Luật Các tổ chức tín dụng, tổ chức tín dụng hỗ trợ áp dụng hệ số rủi ro tín dụng là 0%.
Điều 15. Hệ số rủi ro tín dụng của khoản cho vay kinh doanh chứng khoán
Hệ số rủi ro tín dụng của khoản cho vay kinh doanh chứng khoán là 150%.
Điều 16. Khoản phải đòi bất động sản
1. Khoản phải đòi bất động sản là khoản phải đòi đối với cá nhân, pháp nhân để mua, thuê mua, xây dựng, cải tạo, sửa chữa, kinh doanh bất động sản, dự án bất động sản, trừ khoản phải đòi quy định tại Điều 12, 13 và Điều 14 Thông tư này.
2. Khoản phải đòi bất động sản bao gồm:
a) Khoản phải đòi bất động sản đủ tiêu chuẩn:
(i) Khoản phải đòi bất động sản thế chấp bằng nhà ở xã hội theo quy định tại khoản 4 Điều này;
(ii) Khoản phải đòi bất động sản thế chấp bằng nhà ở đủ tiêu chuẩn theo quy định tại khoản 3 Điều này;
(iii) Khoản phải đòi bất động sản thế chấp bằng bất động sản thương mại đủ tiêu chuẩn theo quy định tại khoản 3 Điều này;
b) Khoản phải đòi bất động sản không đủ tiêu chuẩn:
(i) Khoản phải đòi bất động sản được thế chấp bằng nhà ở có sẵn, bất động sản thương mại có sẵn được chuyển nhượng nhưng chưa có giấy chứng nhận quyền sử dụng đất, quyền sở hữu tài sản gắn liền với đất theo quy định của pháp luật;
(ii) Khoản phải đòi bất động sản khác không thuộc các trường hợp quy định tại điểm a và điểm b(i) khoản này.
3. Khoản phải đòi bất động sản đủ tiêu chuẩn phải thỏa mãn hai yếu tố sau:
a) Có tài sản bảo đảm đủ tiêu chuẩn đáp ứng đầy đủ các điều kiện sau:
(i) Tài sản bảo đảm là nhà ở có sẵn, bất động sản thương mại có sẵn, được chuyển nhượng và có giấy chứng nhận quyền sử dụng đất, quyền sở hữu tài sản gắn liền với đất theo quy định của pháp luật. Trong đó, nhà ở là công trình có mục đích xây dựng để ở và phục vụ nhu cầu sinh hoạt của gia đình, cá nhân; bất động sản thương mại có sẵn là công trình xây dựng có sẵn không có mục đích xây dựng để ở và phục vụ nhu cầu sinh hoạt của gia đình, cá nhân;
(ii) Ngân hàng có quyền hợp pháp để xử lý bất động sản là tài sản bảo đảm theo thỏa thuận và theo quy định của pháp luật về giao dịch bảo đảm, pháp luật về nhà ở và quy định của pháp luật khác có liên quan;
(iii) Ngân hàng phải xác định giá trị tài sản bảo đảm theo quy định tại điểm c khoản 5 Điều này;
b) Tổng giá trị định giá của tài sản bảo đảm đủ tiêu chuẩn phải duy trì tối thiểu bằng 100% giá trị khoản phải đòi.
4. Khoản phải đòi bất động sản thế chấp bằng nhà ở xã hội là khoản phải đòi cho cá nhân vay để mua, thuê mua nhà ở xã hội, nhà ở theo các chương trình, dự án hỗ trợ của Chính phủ (sau đây viết tắt là nhà ở xã hội) được xác định theo quy định của pháp luật và được đảm bảo bằng chính nhà ở xã hội hình thành từ vốn vay. Tài sản bảo đảm là nhà ở xã hội này đáp ứng các điều kiện quy định tại điểm a(ii) và điểm a(iii) khoản 3 Điều này.
5. Tính tỷ lệ bảo đảm (Loan to value - LTV).
a) LTV được sử dụng để xác định hệ số rủi ro tín dụng của khoản phải đòi bất động sản đủ tiêu chuẩn quy định tại điểm a khoản 2 Điều này;
|
LTV (%) = |
L |
x 100% |
|
V |
(i) L: Tổng số dư khoản phải đòi là tổng số dư của khoản phải đòi bất động sản đủ tiêu chuẩn cần tính LTV và số dư của các khoản phải đòi khác được đảm bảo bằng cùng một tài sản bảo đảm với khoản phải đòi cần tính LTV tại các ngân hàng. Số dư khoản phải đòi khi tính LTV bao gồm số dư nợ gốc nội bảng và số dư cam kết ngoại bảng;
(ii) V: Tổng giá trị tài sản bảo đảm là bất động sản của khoản phải đòi bất động sản đủ tiêu chuẩn cần tính LTV được xác định theo giá trị tại thời điểm định giá gần nhất;
c) Nguyên tắc xác định giá trị của tài sản bảo đảm là bất động sản
(i) Việc xác định giá trị của tài sản bảo đảm là bất động sản thực hiện theo quy định nội bộ của ngân hàng về định giá tài sản bảo đảm phù hợp với quy định của pháp luật về phân loại tài sản có, mức trích, phương pháp trích lập dự phòng rủi ro và việc sử dụng dự phòng để xử lý rủi ro trong hoạt động của tổ chức tín dụng, chi nhánh ngân hàng nước ngoài;
(ii) Tổ chức có chức năng thẩm định giá hoặc bộ phận độc lập với bộ phận phê duyệt tín dụng của ngân hàng thực hiện xác định giá trị của tài sản bảo đảm theo quy định nội bộ của ngân hàng tại điểm c(i) khoản này.
Điều 17. Hệ số rủi ro tín dụng của khoản phải đòi bất động sản
1. Hệ số rủi ro tín dụng của khoản phải đòi bất động sản thế chấp bằng nhà ở xã hội theo LTV như sau:
|
LTV |
Dưới 40% |
Từ 40% trở lên đến dưới 60% |
Từ 60% trở lên đến dưới 80% |
Từ 80% trở lên đến dưới 90% |
Từ 90% trở lên đến dưới 100% |
Từ 100% trở lên |
|
Hệ số rủi ro tín dụng |
20% |
25% |
30% |
35% |
40% |
45% |
|
LTV |
Dưới 40% |
Từ 40% trở lên đến dưới 60% |
Từ 60% trở lên đến dưới 80% |
Từ 80% trở lên đến dưới 90% |
Từ 90% trở lên đến dưới 100% |
Từ 100% trở lên |
|
Hệ số rủi ro tín dụng |
25% |
30% |
35% |
40% |
45% |
50% |
2. Hệ số rủi ro tín dụng của khoản phải đòi bất động sản thế chấp bằng nhà ở đủ tiêu chuẩn theo LTV như sau:
|
LTV |
Dưới 40% |
Từ 40% trở lên đến dưới 60% |
Từ 60% trở lên đến dưới 80% |
Từ 80% trở lên đến dưới 90% |
Từ 90% trở lên đến dưới 100% |
Từ 100% trở lên |
|
Hệ số rủi ro tín dụng |
25% |
30% |
40% |
50% |
60% |
80% |
|
LTV |
Dưới 40% |
Từ 40% trở lên đến dưới 60% |
Từ 60% trở lên đến dưới 80% |
Từ 80% trở lên đến dưới 90% |
Từ 90% trở lên đến dưới 100% |
Từ 100% trở lên |
|
Hệ số rủi ro tín dụng |
30% |
40% |
50% |
70% |
80% |
100% |
3. Hệ số rủi ro tín dụng của khoản phải đòi bất động sản thế chấp bằng bất động sản thương mại đủ tiêu chuẩn theo LTV như sau:
|
LTV |
Khoản phải đòi cá nhân |
Khoản phải đòi doanh nghiệp |
||
|
Dưới 60% |
Từ 60% trở lên |
Dưới 60% |
Từ 60% trở lên |
|
|
Hệ số rủi ro tín dụng |
60% |
Trường hợp khách hàng có tổng số dư cấp tín dụng của các khoản phải đòi bất động sản (bao gồm số dư nợ gốc nội bảng và số dư cam kết ngoại bảng) không vượt quá 8 tỷ đồng Việt Nam (sau đây viết tắt là tỷ đồng), hệ số rủi ro tín dụng là 75%. Trường hợp không đáp ứng điều kiện trên, hệ số rủi ro tín dụng là 100%. |
Khoản phải đòi bất động sản xác định hệ số rủi ro tín dụng như hệ số rủi ro tín dụng của khoản phải đòi doanh nghiệp theo đối tượng, tiêu chí quy định tại khoản 1 hoặc khoản 2 Điều 19 Thông tư này. Trường hợp hệ số rủi ro tín dụng được xác định trên 60%, ngân hàng áp dụng hệ số rủi ro tín dụng là 60%. Trường hợp hệ số rủi ro tín dụng được xác định từ 60% trở xuống, ngân hàng áp dụng hệ số rủi ro tín dụng theo hệ số rủi ro tín dụng đã xác định được. |
Khoản phải đòi bất động sản áp dụng như hệ số rủi ro tín dụng của khoản phải đòi doanh nghiệp theo đối tượng, tiêu chí quy định tại khoản 1 hoặc khoản 2 Điều 19 Thông tư này. |
|
LTV |
Dưới 60% |
Từ 60% trở lên đến dưới 75% |
Từ 75% trở lên |
|
Hệ số rủi ro tín dụng |
75% |
100% |
120% |
4. Hệ số rủi ro tín dụng của khoản phải đòi bất động sản quy định tại điểm b(i) khoản 2 Điều 16 Thông tư này
a) Trường hợp nguồn tiền trả nợ của khách hàng không từ tài sản bảo đảm
(i) Đối với khoản phải đòi của cá nhân, hệ số rủi ro tín dụng là 75% trong trường hợp khách hàng có tổng số dư cấp tín dụng của các khoản phải đòi bất động sản (bao gồm số dư nợ gốc nội bảng và số dư cam kết ngoại bảng) không vượt quá 8 tỷ đồng. Trường hợp không đáp ứng điều kiện trên, hệ số rủi ro tín dụng là 100%;
(ii) Đối với khoản phải đòi của doanh nghiệp, hệ số rủi ro tín dụng áp dụng theo quy định tại khoản 1 hoặc khoản 2 Điều 19 Thông tư này;
b) Trường hợp nguồn tiền trả nợ của khách hàng từ tài sản bảo đảm, hệ số rủi ro tín dụng là 150%.
5. Hệ số rủi ro tín dụng của khoản phải đòi bất động sản quy định tại điểm b(ii) khoản 2 Điều 16 Thông tư này:
a) Đối với khoản phải đòi của cá nhân, hệ số rủi ro tín dụng là 100%;
b) Đối với khoản phải đòi của doanh nghiệp, hệ số rủi ro tín dụng là giá trị lớn hơn giữa 150% và hệ số rủi ro tín dụng của khoản phải đòi doanh nghiệp được quy định tại khoản 1 hoặc khoản 2 Điều 19 Thông tư này.
Điều 18. Hệ số rủi ro tín dụng của khoản cấp tín dụng chuyên biệt
1. Khoản cấp tín dụng chuyên biệt là khoản cấp tín dụng cho doanh nghiệp có tư cách pháp nhân để thực hiện mục đích quy định tại điểm a, b và c khoản 3 Điều này (bao gồm cả khoản cấp tín dụng trong giai đoạn vận hành), trừ khoản phải đòi quy định tại Điều 12, 13, 14, 15 và 16 Thông tư này đáp ứng đầy đủ các điều kiện sau:
a) Khách hàng là doanh nghiệp được thành lập chỉ để thực hiện dự án, đầu tư máy móc, thiết bị, kinh doanh hàng hóa được hình thành từ nguồn vốn cấp tín dụng, không có hoạt động kinh doanh khác;
b) Được đảm bảo bằng dự án, máy móc, thiết bị, hàng hóa được hình thành từ nguồn vốn cấp tín dụng và toàn bộ nguồn tiền trả nợ là nguồn tiền hình thành từ việc kinh doanh, khai thác dự án, máy móc, thiết bị và hàng hóa đó.
2. Ngân hàng xác định giai đoạn vận hành quy định tại khoản 1 Điều này như sau:
a) Giai đoạn vận hành là giai đoạn đáp ứng đầy đủ các điều kiện sau:
(i) Giai đoạn mà dự án, máy móc, thiết bị đã hoàn thiện đưa vào khai thác, sử dụng theo quy định của pháp luật và theo thỏa thuận giữa các bên liên quan;
(ii) Giai đoạn có lưu chuyển tiền thuần trong năm sau khi trừ đi các nghĩa vụ nợ ngắn hạn nhưng chưa thực hiện thanh toán là dương và nghĩa vụ nợ trung, dài hạn giảm so với năm liền kề trước, trong đó:
- Lưu chuyển tiền thuần là lưu chuyển tiền thuần trong năm được lấy số liệu trên Báo cáo lưu chuyển tiền tệ;
- Nghĩa vụ nợ trung, dài hạn là vay và nợ thuê tài chính dài hạn và được lấy số liệu trên Bảng cân đối kế toán;
- Nghĩa vụ nợ ngắn hạn nhưng chưa thực hiện thanh toán được xác định trên cơ sở số liệu chỉ tiêu nghĩa vụ nợ ngắn hạn trên Bảng cân đối kế toán và thông tin khác do khách hàng cung cấp;
b) Ngân hàng xác định các chỉ tiêu tại điểm a(ii) khoản này trên Báo cáo tài chính năm liền kề trước (Báo cáo tài chính năm hợp nhất nếu phải lập theo quy định của pháp luật), bao gồm: Báo cáo tài chính năm được kiểm toán tại thời điểm gần nhất đối với doanh nghiệp phải kiểm toán độc lập; Báo cáo tài chính năm được kiểm toán (nếu có) hoặc Báo cáo tài chính năm nộp cho cơ quan thuế (có bằng chứng đã nộp cho cơ quan thuế) tại thời điểm gần nhất đối với doanh nghiệp không phải kiểm toán độc lập theo quy định của pháp luật và thông tin khác do khách hàng cung cấp.
3. Khoản cấp tín dụng chuyên biệt được thực hiện dưới các hình thức:
a) Cấp tín dụng tài trợ dự án (Project Finance) là khoản cấp tín dụng chuyên biệt để thực hiện một dự án có quy mô lớn, phức tạp và chi phí cao (như nhà máy điện, nhà máy chế biến hóa chất, mỏ, cơ sở hạ tầng giao thông, môi trường, truyền thông, viễn thông...);
b) Cấp tín dụng tài trợ máy móc, thiết bị (Object Finance) là khoản cấp tín dụng chuyên biệt để đầu tư máy móc, thiết bị (như tàu thủy, máy bay, vệ tinh, tàu hỏa...);
c) Cấp tín dụng tài trợ hàng hóa (Commodities Finance) là khoản cấp tín dụng chuyên biệt để tài trợ cho dự trữ, hàng tồn kho hoặc các khoản phải thu của hàng hóa được giao dịch trên sàn (như dầu thô, kim loại, ngũ cốc...).
4. Ngân hàng phải thỏa thuận tại hợp đồng cấp tín dụng để kiểm soát toàn bộ việc thanh toán, giải ngân theo tiến độ của dự án, đầu tư máy móc, thiết bị, mua hàng hóa và quản lý thu nhập, dòng tiền của việc kinh doanh, khai thác dự án, máy móc, thiết bị và hàng hóa đó để thu hồi nợ theo hợp đồng cấp tín dụng. Trường hợp nhiều ngân hàng tài trợ cho cùng một dự án, đầu tư máy móc, thiết bị hoặc mua hàng hóa thì các ngân hàng phải thỏa thuận trách nhiệm, phân chia quyền lợi, nghĩa vụ để đảm bảo yêu cầu về việc kiểm soát nêu trên.
5. Hệ số rủi ro tín dụng của khoản cấp tín dụng chuyên biệt:
a) Đối với khoản cấp tín dụng chuyên biệt không đáp ứng yêu cầu tại khoản 4 Điều này, hệ số rủi ro tín dụng là 200%;
b) Đối với khoản cấp tín dụng tài trợ dự án và khoản cấp tín dụng tài trợ máy móc, thiết bị:
(i) Trước giai đoạn vận hành, áp dụng hệ số rủi ro tín dụng cao hơn giữa hệ số rủi ro tín dụng đối với doanh nghiệp theo quy định tại khoản 2 Điều 19 Thông tư này và 160%;
(ii) Trong giai đoạn vận hành, hệ số rủi ro tín dụng là 100%;
c) Đối với khoản cấp tín dụng tài trợ hàng hóa, hệ số rủi ro tín dụng là 100%.
Điều 19. Hệ số rủi ro tín dụng của khoản phải đòi doanh nghiệp khác
Khoản phải đòi doanh nghiệp là khoản phải đòi đối với doanh nghiệp có tư cách pháp nhân, trừ các khoản phải đòi quy định tại Điều 12, 13, 14, 15, 16 và 18 Thông tư này, hệ số rủi ro tín dụng áp dụng như sau:
1. Đối với doanh nghiệp nhỏ và vừa, hệ số rủi ro tín dụng là 85%.
2. Đối với doanh nghiệp không thuộc trường hợp quy định tại khoản 1 Điều này, ngân hàng phải xác định chỉ tiêu doanh thu, tỷ lệ đòn bẩy, vốn chủ sở hữu trên cơ sở số liệu tại Báo cáo tài chính năm (Báo cáo tài chính năm hợp nhất nếu phải lập theo quy định của pháp luật), bao gồm: Báo cáo tài chính năm được kiểm toán tại thời điểm gần nhất đối với doanh nghiệp phải kiểm toán độc lập; Báo cáo tài chính năm được kiểm toán (nếu có) hoặc Báo cáo tài chính năm nộp cho cơ quan thuế (có bằng chứng đã nộp cho cơ quan thuế) tại thời điểm gần nhất đối với doanh nghiệp không phải kiểm toán độc lập theo quy định của pháp luật.
Doanh thu là doanh thu bán hàng và cung cấp dịch vụ, được lấy số liệu trên Báo cáo kết quả hoạt động kinh doanh. Vốn chủ sở hữu lấy số liệu trên Bảng cân đối kế toán.
Tỷ lệ đòn bẩy = Tổng nợ vay/Tổng tài sản
Trong đó: Tổng nợ vay được xác định bằng tổng của Khoản mục vay và nợ thuê tài chính ngắn hạn và Khoản mục vay và nợ thuê tài chính dài hạn theo quy định của pháp luật về kế toán. Tổng tài sản lấy số liệu trên Bảng cân đối kế toán.
|
Doanh thu Tỷ lệ đòn bẩy |
Dưới 100 tỷ đồng |
Từ 100 tỷ đồng đến dưới 400 tỷ đồng |
Từ 400 tỷ đồng đến 1500 tỷ đồng |
Trên 1500 tỷ đồng |
|
Dưới 25% |
100% |
80% |
60% |
50% |
|
Từ 25% đến 50% |
125% |
110% |
95% |
80% |
|
Trên 50% |
160% |
150% |
140% |
120% |
b) Hệ số rủi ro tín dụng 200% được áp dụng đối với:
(i) Doanh nghiệp không cung cấp Báo cáo tài chính cho ngân hàng để tính các chỉ tiêu doanh thu, tỷ lệ đòn bẩy, vốn chủ sở hữu (trừ trường hợp quy định tại điểm c khoản này);
(ii) Doanh nghiệp có vốn chủ sở hữu âm hoặc bằng 0;
c) Đối với doanh nghiệp thành lập mới (không bao gồm các trường hợp thành lập do tổ chức lại, chuyển đổi hình thức pháp lý...) hoạt động chưa được 01 năm hoặc doanh nghiệp thành lập mới được dưới 15 tháng nhưng được gộp kỳ kế toán theo quy định của Luật Kế toán, hệ số rủi ro tín dụng là 150%.
Điều 20. Hệ số rủi ro tín dụng của khoản cho vay cá nhân phục vụ phát triển nông nghiệp, nông thôn
1. Khoản cho vay cá nhân phục vụ phát triển nông nghiệp, nông thôn là khoản cho vay đối với cá nhân theo quy định của Chính phủ về chính sách tín dụng phục vụ phát triển nông nghiệp, nông thôn.
2. Hệ số rủi ro tín dụng của khoản cho vay cá nhân phục vụ phát triển nông nghiệp, nông thôn là 50%.
Điều 21. Hệ số rủi ro tín dụng của khoản phải đòi bán lẻ
1. Khoản phải đòi bán lẻ là khoản cấp tín dụng cho cá nhân (bao gồm cả doanh nghiệp tư nhân, hộ gia đình, tổ hợp tác, tổ chức khác không có tư cách pháp nhân), trừ các khoản phải đòi quy định tại Điều 12, 15, 16 và 20 Thông tư này, có số dư cấp tín dụng (bao gồm số dư nợ gốc nội bảng và số dư cam kết ngoại bảng) của một khách hàng đáp ứng đầy đủ các điều kiện sau:
a) Không vượt quá 8 tỷ đồng;
b) Không vượt quá 0,2% tổng dư nợ của các khoản phải đòi bán lẻ (bao gồm số dư nợ gốc nội bảng và số dư cam kết ngoại bảng) của chính ngân hàng đó.
2. Hệ số rủi ro tín dụng của khoản phải đòi bán lẻ là 75%.
Điều 22. Hệ số rủi ro tín dụng của khoản phải đòi khác
Đối với khoản phải đòi quy định tại điểm d khoản 2 Điều 11 Thông tư này, hệ số rủi ro tín dụng là 100%.
Điều 23. Hệ số rủi ro tín dụng của tài sản khác
1. Đối với tài sản quy định tại điểm b khoản 1 Điều 11 Thông tư này, hệ số rủi ro tín dụng là 0%.
2. Đối với tài sản quy định tại điểm c khoản 1 Điều 11 Thông tư này, hệ số rủi ro tín dụng là 150%.
3. Đối với tài sản là khoản cho thuê tài chính, hệ số rủi ro tín dụng áp dụng là hệ số cao hơn giữa hệ số rủi ro tín dụng đối với doanh nghiệp thuê tài chính theo quy định tại khoản 1 hoặc khoản 2 Điều 19 Thông tư này và 160%.
4. Đối với tài sản là các khoản mua lại khoản phải thu có bảo lưu quyền truy đòi của công ty tài chính, công ty cho thuê tài chính theo quy định, hệ số rủi ro tín dụng áp dụng hệ số rủi ro tín dụng của khoản phải đòi đối với bên bán khoản phải thu. Đối với các khoản mua lại khoản phải thu của công ty tài chính, công ty cho thuê tài chính, hệ số rủi ro tín dụng áp dụng hệ số rủi ro tín dụng của khoản phải đòi.
5. Đối với tài sản quy định tại điểm e khoản 1 Điều 11 Thông tư này, hệ số rủi ro tín dụng là 200%.
6. Đối với tài sản quy định tại điểm g khoản 1 Điều 11 Thông tư này, hệ số rủi ro tín dụng là 100%.
Mục 3
VIỆC SỬ DỤNG XẾP HẠNG TÍN NHIỆM ĐỘC LẬP
Điều 24. Doanh nghiệp xếp hạng tín nhiệm độc lập
1. Ngân hàng được áp dụng kết quả xếp hạng của các doanh nghiệp xếp hạng tín nhiệm độc lập được thành lập và hoạt động theo quy định của pháp luật về dịch vụ xếp hạng tín nhiệm để tính tỷ lệ an toàn vốn theo quy định tại Thông tư này khi doanh nghiệp xếp hạng tín nhiệm độc lập đáp ứng các điều kiện sau đây:
a) Tính khách quan: Việc xếp hạng tín nhiệm phải chặt chẽ, có hệ thống, được đánh giá lại đảm bảo phù hợp với số liệu lịch sử trong ít nhất là 03 năm; được thực hiện liên tục, kịp thời trước thay đổi về tình hình tài chính;
b) Tính độc lập: Doanh nghiệp xếp hạng tín nhiệm không chịu sức ép về chính trị, kinh tế làm ảnh hưởng đến kết quả xếp hạng tín nhiệm;
c) Tính minh bạch: Việc xếp hạng tín nhiệm được công bố rộng rãi cho các bên có lợi ích chính đáng liên quan (bao gồm cả bên nước ngoài (nếu có));
d) Tính công khai: Doanh nghiệp xếp hạng tín nhiệm phải công khai các thông tin về phương pháp xếp hạng, khái niệm vỡ nợ, ý nghĩa của từng thứ hạng tín nhiệm, xác suất vỡ nợ thực tế của từng thứ hạng tín nhiệm và sự dịch chuyển xếp hạng;
đ) Năng lực: Doanh nghiệp xếp hạng tín nhiệm phải có đủ nguồn lực để tiến hành xếp hạng đạt chất lượng tốt, thực hiện phương pháp xếp hạng định tính kết hợp với định lượng và tiếp xúc thường xuyên, liên tục với các cấp của đối tượng được xếp hạng để tăng cường chất lượng giá trị xếp hạng tín nhiệm;
e) Độ tin cậy: Kết quả xếp hạng tín nhiệm phải được các tổ chức (nhà đầu tư, doanh nghiệp kinh doanh bảo hiểm, đối tác thương mại) tin dùng. Doanh nghiệp xếp hạng tín nhiệm phải có các quy trình nội bộ để tránh sử dụng sai mục đích các thông tin mật liên quan đến đối tượng được xếp hạng tín nhiệm.
2. Ngân hàng phải sử dụng thống nhất thứ hạng tín nhiệm do doanh nghiệp xếp hạng tín nhiệm độc lập cung cấp để quản lý rủi ro và áp dụng hệ số rủi ro tín dụng theo quy định tại Thông tư này.
3. Thang thứ hạng tín nhiệm của doanh nghiệp xếp hạng tín nhiệm độc lập được xác định phân bố tương ứng theo mức độ rủi ro khi tính tỷ lệ an toàn vốn như sau:
|
Standard & Poor’s |
Moody’s |
Fitch Rating |
|
AAA, AA+, AA, AA- |
Aaa, Aa1, Aa2, Aa3 |
AAA, AA+, AA, AA- |
|
A+, A, A- |
A1, A2, A3 |
A+, A, A- |
|
BBB+, BBB, BBB- |
Baa1, Baa2, Baa3 |
BBB+, BBB, BBB- |
|
BB+, BB, BB- |
Ba1, Ba2, Ba3 |
BB+, BB, BB- |
|
B+, B, B- |
B1, B2, B3 |
B+, B, B- |
|
CCC+ và thứ hạng thấp hơn |
Caa1 và thứ hạng thấp hơn |
CCC+ và thứ hạng thấp hơn |
b) Trường hợp doanh nghiệp xếp hạng tín nhiệm độc lập có thang thứ hạng tín nhiệm khác thang thứ hạng tín nhiệm quy định tại điểm a khoản này thì doanh nghiệp xếp hạng tín nhiệm độc lập đó phải chuyển đổi thứ hạng tín nhiệm tương ứng, phù hợp với thang thứ hạng tín nhiệm của Moody’s hoặc Standard & Poor’s hoặc Fitch Rating để xác định mức độ rủi ro của khách hàng, đối tác, khoản phải đòi khi tính tỷ lệ an toàn vốn.
4. Ngân hàng sử dụng thứ hạng tín nhiệm của doanh nghiệp xếp hạng tín nhiệm độc lập phải đảm bảo nguyên tắc sau đây:
a) Chỉ được sử dụng xếp hạng tín nhiệm thỏa thuận, không sử dụng xếp hạng tín nhiệm tự nguyện của doanh nghiệp xếp hạng tín nhiệm độc lập;
b) Trường hợp một khách hàng có từ hai thứ hạng tín nhiệm trở lên thì ngân hàng phải sử dụng thứ hạng tín nhiệm tương ứng hệ số rủi ro tín dụng cao nhất để áp dụng đối với khách hàng đó;
c) Không sử dụng thứ hạng tín nhiệm của tập đoàn, tổng công ty, công ty mẹ của tập đoàn, tổng công ty đó để áp dụng hệ số rủi ro tín dụng đối với công ty con, công ty liên kết trong tập đoàn, tổng công ty đó;
d) Chỉ sử dụng thứ hạng tín nhiệm để áp dụng hệ số rủi ro tín dụng đối với xếp hạng tín nhiệm cùng loại đồng tiền;
đ) Trường hợp một khoản phải đòi có một thứ hạng tín nhiệm thì ngân hàng sử dụng thứ hạng tín nhiệm đó để áp dụng hệ số rủi ro tín dụng cho khoản phải đòi đó theo quy định tại Thông tư này;
e) Trường hợp một khoản phải đòi có từ hai thứ hạng tín nhiệm trở lên thì ngân hàng phải sử dụng thứ hạng tín nhiệm tương ứng hệ số rủi ro tín dụng cao nhất để áp dụng đối với khoản phải đòi đó;
g) Trường hợp khoản phải đòi không có thứ hạng tín nhiệm thì ngân hàng áp dụng theo nguyên tắc như sau:
(i) Nếu khách hàng, đối tác có các khoản phải đòi, nợ phải trả tài chính khác có thứ hạng tín nhiệm riêng thì ngân hàng được sử dụng thứ hạng tín nhiệm riêng đó để áp dụng hệ số rủi ro tín dụng cho khoản phải đòi không có thứ hạng tín nhiệm khi khoản phải đòi này có thứ tự ưu tiên thanh toán bằng hoặc trước khoản phải đòi, nợ phải trả tài chính có thứ hạng tín nhiệm đó;
(ii) Nếu khách hàng, đối tác có thứ hạng tín nhiệm thì ngân hàng được sử dụng thứ hạng tín nhiệm đó để áp dụng hệ số rủi ro tín dụng cho khoản phải đòi không có thứ hạng tín nhiệm khi khoản phải đòi này có thứ tự ưu tiên thanh toán cao nhất và không được đảm bảo;
(iii) Nếu khoản phải đòi không có thứ hạng tín nhiệm xác định được hệ số rủi ro tín dụng theo điểm g(i) và điểm g(ii) khoản này thì ngân hàng phải áp dụng hệ số rủi ro tín dụng cao hơn;
(iv) Đối với các trường hợp không được quy định tại điểm g(i), g(ii) và g(iii) khoản này thì ngân hàng phải coi là khoản phải đòi không có thứ hạng tín nhiệm.
Mục 4
CÁC BIỆN PHÁP GIẢM THIỂU RỦI RO TÍN DỤNG
Điều 25. Giảm thiểu rủi ro tín dụng
1. Ngân hàng được điều chỉnh giảm giá trị khoản phải đòi, giao dịch bằng biện pháp giảm thiểu rủi ro tín dụng quy định tại khoản 2 Điều này.
2. Việc giảm thiểu rủi ro tín dụng quy định tại khoản 1 Điều này được thực hiện bằng một hoặc kết hợp các biện pháp sau đây:
a) Tài sản bảo đảm;
b) Bù trừ số dư nội bảng;
c) Bảo lãnh của bên thứ ba;
d) Sản phẩm phái sinh tín dụng.
3. Việc giảm thiểu rủi ro tín dụng quy định tại khoản 1 Điều này phải đảm bảo nguyên tắc sau đây:
a) Biện pháp giảm thiểu rủi ro tín dụng phải được thực hiện theo quy định của pháp luật liên quan, được các bên thỏa thuận bằng văn bản (trong đó phải nêu rõ trách nhiệm, nghĩa vụ của các bên tham gia) và có hiệu lực tại thời điểm áp dụng biện pháp giảm thiểu rủi ro;
b) Đối với biện pháp giảm thiểu rủi ro có thời hạn, khi thời hạn còn lại của biện pháp giảm thiểu rủi ro ngắn hơn thời hạn còn lại của khoản phải đòi, việc điều chỉnh giảm giá trị khoản phải đòi chỉ được thực hiện đối với biện pháp giảm thiểu rủi ro tín dụng có thời hạn gốc từ 01 năm trở lên và thời hạn còn lại từ 03 tháng trở lên;
c) Trường hợp thời hạn còn lại của biện pháp giảm thiểu rủi ro tín dụng ít hơn thời hạn còn lại của khoản phải đòi, giao dịch (sau đây viết tắt là độ lệch thời hạn), giá trị điều chỉnh giảm của biện pháp giảm thiểu rủi ro phải hiệu chỉnh theo độ lệch thời hạn, trừ trường hợp quy định tại khoản 6 Điều 26 Thông tư này;
d) Trường hợp biện pháp giảm thiểu rủi ro tín dụng và khoản phải đòi, giao dịch không cùng một loại tiền tệ (sau đây viết tắt là độ lệch tiền tệ), giá trị điều chỉnh giảm của biện pháp giảm thiểu rủi ro phải hiệu chỉnh theo độ lệch tiền tệ;
đ) Ngân hàng phải có quy định nội bộ để quản lý các loại rủi ro khác (rủi ro hoạt động, rủi ro thị trường...) phát sinh từ việc giảm thiểu rủi ro tín dụng và đảm bảo vốn yêu cầu tương ứng đối với các loại rủi ro đó theo quy định tại Thông tư này;
e) Trường hợp sử dụng nhiều biện pháp giảm thiểu rủi ro đủ điều kiện theo quy định tại khoản 2 Điều này, Điều 26, 27, 28 và 29 Thông tư này cho một hoặc nhiều khoản phải đòi, giao dịch thì ngân hàng được phân tách phần giá trị từng biện pháp giảm thiểu tương ứng với giá trị khoản phải đòi, giao dịch theo thỏa thuận giữa các bên liên quan (nếu có) và quy định nội bộ của ngân hàng để tính riêng giá trị được giảm thiểu cho từng phần số dư của khoản phải đòi, giao dịch đó theo quy định tại khoản 4 Điều này nhưng phải đảm bảo nguyên tắc tổng các phần giá trị từng biện pháp được phân bổ cho các khoản phải đòi, giao dịch không vượt quá tổng giá trị biện pháp đủ điều kiện để giảm thiểu rủi ro.
Nguyên tắc này áp dụng cả đối với trường hợp trong từng biện pháp giảm thiểu rủi ro có nhiều tài sản bảo đảm hoặc nhiều bên bảo lãnh, nhiều sản phẩm phái sinh tín dụng giảm thiểu cho một khoản phải đòi, giao dịch hoặc trường hợp một biện pháp giảm thiểu rủi ro cho nhiều khoản phải đòi, giao dịch.
Ei* = max{0,[Ej - ƩCj*(1-Hcj-Hfxcj)]} + max{0,[Ek - ƩLk*(1-Hfxlk)]} + max{0,[E1-ƩGl(1-CRWgtorl/CRWl)]} + max{0,[En - ƩCDn*(1- Hfxcdn)]} + Ex
Trong đó:
Ei = Ej + Ek + El + En + Ex
- Ei*: Giá trị số dư của khoản phải đòi, giao dịch thứ i được điều chỉnh giảm theo các biện pháp giảm thiểu rủi ro tín dụng;
- Ei: Giá trị số dư của khoản phải đòi, giao dịch thứ i được tính theo quy định tại Điều 8 Thông tư này;
- Ej: Giá trị số dư của khoản phải đòi, giao dịch thứ i được tính theo quy định tại Điều 8 Thông tư này được điều chỉnh giảm thiểu rủi ro tín dụng bằng tài sản bảo đảm;
- Ek : Giá trị số dư của khoản phải đòi, giao dịch thứ i được tính theo quy định tại Điều 8 Thông tư này được điều chỉnh giảm thiểu rủi ro tín dụng bằng bù trừ số dư nội bảng;
- El: Giá trị số dư của khoản phải đòi, giao dịch thứ i được tính theo quy định tại Điều 8 Thông tư này được điều chỉnh giảm thiểu rủi ro tín dụng bằng bảo lãnh của bên thứ ba;
- En : Giá trị số dư của khoản phải đòi, giao dịch thứ i được tính theo quy định tại Điều 8 Thông tư này được điều chỉnh giảm thiểu rủi ro tín dụng bằng sản phẩm phái sinh tín dụng;
- Ex : Giá trị số dư của khoản phải đòi, giao dịch thứ i được tính theo quy định tại Điều 8 Thông tư này không được điều chỉnh giảm thiểu rủi ro tín dụng;
- Cj*: Giá trị của tài sản bảo đảm hiệu chỉnh theo độ lệch thời hạn;
- Hcj: Hệ số hiệu chỉnh tài sản bảo đảm;
- Lk*: Giá trị nợ phải trả nội bảng được hiệu chỉnh theo độ lệch thời hạn;
- Gl: Giá trị bảo lãnh của bên thứ ba;
- CRWgtorl: Hệ số rủi ro tín dụng của bên bảo lãnh;
- CRWl: Hệ số rủi ro tín dụng của khách hàng;
- CDn*: Giá trị của sản phẩm phái sinh tín dụng được hiệu chỉnh theo độ lệch thời hạn;
- Hfxc, Hfxl, Hfxcd: hệ số hiệu chỉnh độ lệch tiền tệ tương ứng giữa khoản phải đòi, giao dịch và biện pháp giảm thiểu rủi ro.
Điều 26. Giảm thiểu rủi ro tín dụng bằng tài sản bảo đảm
1. Việc giảm thiểu rủi ro tín dụng bằng tài sản bảo đảm chỉ áp dụng đối với các tài sản bảo đảm sau đây:
a) Tiền mặt; giấy tờ có giá do tổ chức tín dụng, chi nhánh ngân hàng nước ngoài phát hành; số dư tiền gửi có kỳ hạn hoặc số dư tiền gửi tiết kiệm (sau đây viết tắt là thỏa thuận gửi tiền);
b) Vàng;
c) Giấy tờ có giá do Chính phủ Việt Nam, Ngân hàng Nhà nước, Kho bạc Nhà nước, Ủy ban nhân dân tỉnh, thành phố trực thuộc Trung ương, ngân hàng chính sách phát hành hoặc bảo lãnh thanh toán;
d) Chứng khoán nợ do Chính phủ các nước, tổ chức công lập của Chính phủ các nước phát hành được doanh nghiệp xếp hạng tín nhiệm độc lập xếp hạng từ BB- trở lên;
đ) Chứng khoán nợ do doanh nghiệp phát hành được doanh nghiệp xếp hạng tín nhiệm độc lập xếp hạng từ BBB- trở lên;
e) Cổ phiếu được niêm yết trên Sở giao dịch Chứng khoán Việt Nam.
2. Tài sản bảo đảm quy định tại khoản 1 Điều này phải đáp ứng điều kiện sau đây:
a) Tuân thủ đúng quy định của pháp luật về giao dịch bảo đảm;
b) Giấy tờ có giá, chứng khoán nợ, cổ phiếu không do khách hàng, công ty mẹ, công ty con, công ty liên kết của khách hàng phát hành hoặc bảo lãnh thanh toán;
c) Tài sản bảo đảm quy định tại điểm đ và điểm e khoản 1 Điều này phải có giao dịch khớp lệnh trong thời gian 10 ngày làm việc liền kề trước thời điểm tính.
3. Hệ số hiệu chỉnh tài sản bảo đảm (Hc) tính theo tỷ lệ phần trăm (%) được xác định như sau:
a) Tiền mặt, thỏa thuận gửi tiền và giấy tờ có giá do chính ngân hàng phát hành, giấy tờ có giá do Chính phủ Việt Nam, Ngân hàng Nhà nước, Kho bạc Nhà nước, Ủy ban nhân dân tỉnh, thành phố trực thuộc Trung ương, ngân hàng chính sách phát hành hoặc bảo lãnh thanh toán có hệ số hiệu chỉnh bằng 0;
|
Xếp hạng tín nhiệm của người phát hành giấy tờ có giá, chứng khoán |
Thời hạn còn lại |
Tổ chức phát hành là Chính phủ (bao gồm cả các tổ chức áp dụng hệ số rủi ro tín dụng tương đương Chính phủ) (%) |
Các tổ chức phát hành khác (%) |
|
AAA đến AA- |
≤ 1 năm |
0,5 |
1 |
|
> 1 năm, ≤ 3 năm |
2 |
3 |
|
|
> 3 năm, ≤ 5 năm |
4 |
||
|
> 5 năm, ≤ 10 năm |
4 |
6 |
|
|
> 10 năm |
12 |
||
|
- A+ đến BBB- - Thỏa thuận gửi tiền, giấy tờ có giá của tổ chức tín dụng, chi nhánh ngân hàng nước ngoài khác, trừ trường hợp quy định tại khoản 6 Điều này. |
≤ 1 năm |
1 |
2 |
|
> 1 năm, ≤ 3 năm |
3 |
4 |
|
|
> 3 năm, ≤ 5 năm |
6 |
||
|
> 5 năm, ≤ 10 năm |
6 |
12 |
|
|
>10 năm |
20 |
||
|
BB+ đến BB-; trừ thỏa thuận gửi tiền, giấy tờ có giá của tổ chức tín dụng, chi nhánh ngân hàng nước ngoài khác |
Tất cả các loại thời hạn |
15 |
Không có |
|
Cổ phiếu được tính vào chỉ số chứng khoán VN30/HNX30 (bao gồm cả trái phiếu chuyển đổi của các loại cổ phiếu này) và vàng |
20 |
||
|
Cổ phiếu khác được niêm yết trên Sở giao dịch chứng khoán Việt Nam |
30 |
||
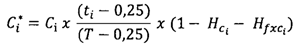
4. Giá trị của tài sản bảo đảm (trừ tài sản bảo đảm là tiền mặt và vàng) hiệu chỉnh theo độ lệch thời hạn (C*) theo công thức sau:
C* = C x (t - 0,25) / (T - 0,25)
Trong đó:
- C: giá trị của tài sản bảo đảm;
- T: Được xác định là giá trị tối thiểu giữa 05 năm và thời hạn còn lại của khoản phải đòi, giao dịch tính theo năm;
- t: Được xác định là giá trị tối thiểu giữa T tính theo năm và thời hạn còn lại của tài sản bảo đảm tính theo năm.
5. Hệ số hiệu chỉnh độ lệch tiền tệ giữa khoản phải đòi, giao dịch và tài sản bảo đảm (Hfxc) là 8%.
6. Thời hạn còn lại quy định tại khoản 3 Điều này được xác định theo thời hạn còn lại của khoản phải đòi và không phải hiệu chỉnh theo độ lệch thời hạn theo quy định tại khoản 4 Điều này đối với thỏa thuận gửi tiền của tổ chức tín dụng, chi nhánh ngân hàng nước ngoài khác đáp ứng đầy đủ các điều kiện sau đây:
a) Thỏa thuận gửi tiền có thỏa thuận về việc tự động tiếp tục gửi tiền khi đáo hạn và khách hàng không được rút trước hạn tại thỏa thuận gửi tiền (bao gồm cả thời hạn sau khi tự động tiếp tục gửi tiền);
b) Ngân hàng phải thỏa thuận với khách hàng tại hợp đồng cấp tín dụng hoặc hợp đồng bảo đảm quyền của ngân hàng về kiểm soát toàn bộ việc thanh toán, dòng tiền của thỏa thuận gửi tiền để thu hồi nợ theo hợp đồng cấp tín dụng.
Điều 27. Giảm thiểu rủi ro tín dụng bằng bù trừ số dư nội bảng
1. Giảm thiểu rủi ro tín dụng bằng bù trừ số dư nội bảng là việc ngân hàng điều chỉnh giảm giá trị khoản phải đòi của khách hàng theo số dư tiền gửi của khách hàng đó tại chính ngân hàng khi tính tổng tài sản có rủi ro tín dụng trong trường hợp đáp ứng đầy đủ các điều kiện sau:
a) Có đầy đủ hồ sơ pháp lý về thỏa thuận bù trừ số dư khoản phải đòi và số dư tiền gửi của khách hàng kể cả trường hợp khách hàng mất khả năng thanh toán hoặc phá sản; thỏa thuận này phải phù hợp với quy định của pháp luật dân sự và quy định của pháp luật khác có liên quan;
b) Xác định được số dư khoản phải đòi và số dư tiền gửi đối với từng khách hàng theo thỏa thuận bù trừ số dư nội bảng tại mọi thời điểm;
c) Theo dõi và kiểm soát được việc đáo hạn của số dư tiền gửi;
d) Theo dõi và kiểm soát được số dư bù trừ giữa các khoản phải đòi và tiền gửi của khách hàng đó.
2. Giá trị số dư tiền gửi của khách hàng được hiệu chỉnh theo độ lệch thời hạn (L*) theo công thức sau:
L* = L x (t - 0,25) / (T - 0,25)
Trong đó:
- L: Số dư tiền gửi của khách hàng;
- T: Được xác định là giá trị tối thiểu giữa 05 năm và thời hạn còn lại của khoản phải đòi, giao dịch tính theo năm;
- t: Được xác định là giá trị tối thiểu giữa T tính theo năm và thời hạn còn lại của nợ phải trả nội bảng tính theo năm.
3. Hệ số hiệu chỉnh độ lệch tiền tệ giữa khoản phải đòi, giao dịch và số dư tiền gửi của khách hàng (Hfxl) là 8%.
Điều 28. Giảm thiểu rủi ro tín dụng bằng bảo lãnh của bên thứ ba
1. Việc giảm thiểu rủi ro tín dụng bằng bảo lãnh chỉ áp dụng đối với các bên bảo lãnh quy định tại khoản 2 Điều này và phải đáp ứng các điều kiện quy định tại khoản 3 Điều này.
2. Bên bảo lãnh bao gồm :
a) Chính phủ, ngân hàng trung ương, tổ chức công lập của Chính phủ, chính quyền địa phương;
b) Tổ chức tín dụng, chi nhánh ngân hàng nước ngoài có xếp hạng tín nhiệm từ BBB- trở lên;
c) Doanh nghiệp có xếp hạng tín nhiệm từ A- trở lên;
d) Tổ chức tài chính quốc tế.
3. Việc giảm thiểu rủi ro bằng bảo lãnh của bên thứ ba phải đáp ứng các điều kiện sau đây:
a) Ngân hàng có quyền đòi nợ trực tiếp đối với bên bảo lãnh cho từng nghĩa vụ cụ thể của khách hàng, đối tác và quyền đòi nợ đó được xác định cụ thể, không thể hủy ngang;
b) Cam kết bảo lãnh là cam kết không hủy ngang và không có điều kiện; bên bảo lãnh không được đơn phương chấm dứt nghĩa vụ bảo lãnh hoặc tăng phí bảo lãnh khi khả năng thực hiện nghĩa vụ của khách hàng, đối tác bị suy giảm; bên bảo lãnh phải cam kết thực hiện kịp thời nghĩa vụ bảo lãnh khi khách hàng, đối tác không thực hiện nghĩa vụ;
c) Hợp đồng bảo lãnh có thời hạn hiệu lực tối thiểu bằng thời hạn của khoản phải đòi, giao dịch;
d) Bên bảo lãnh phải có hệ số rủi ro tín dụng thấp hơn bên được bảo lãnh hoặc bên bảo lãnh có xếp hạng tín nhiệm tốt hơn bên được bảo lãnh;
đ) Bên bảo lãnh không phải là công ty mẹ, công ty con, công ty liên kết của bên được bảo lãnh.
4. Trường hợp khoản phải đòi không được bảo lãnh toàn bộ thì ngân hàng chỉ được điều chỉnh giảm cho phần số dư khoản phải đòi được bảo lãnh.
Điều 29. Giảm thiểu rủi ro tín dụng bằng sản phẩm phái sinh tín dụng
1. Ngân hàng chỉ được điều chỉnh giảm giá trị khoản phải đòi bằng sản phẩm phái sinh tín dụng nếu đáp ứng các điều kiện sau đây:
a) Các sự kiện tín dụng được các bên thỏa thuận phải tối thiểu bao gồm các trường hợp sau:
(i) Khách hàng không thực hiện đúng thời hạn các nghĩa vụ đã cam kết và sản phẩm phái sinh tín dụng có hiệu lực tại thời điểm xảy ra sự kiện với thời gian ân hạn phù hợp với thời gian ân hạn của nghĩa vụ cơ sở;
(ii) Khách hàng bị phá sản, khách hàng không thực hiện hoặc không có khả năng thực hiện nghĩa vụ đã cam kết khi đến hạn và các trường hợp tương tự;
(iii) Khách hàng phải cơ cấu lại các nghĩa vụ đã cam kết (bao gồm cả miễn, giảm lãi);
b) Không có sự khác nhau giữa nghĩa vụ cơ sở của khách hàng, đối tác và nghĩa vụ tham chiếu của sản phẩm phái sinh tín dụng;
c) Sản phẩm phái sinh tín dụng không được kết thúc trước thời gian ân hạn của nghĩa vụ cơ sở;
d) Có quy định cụ thể căn cứ xác định sự kiện và trách nhiệm xác định sự kiện của các bên. Bên được bảo vệ phải có quyền hoặc khả năng thông báo cho bên bảo vệ khi xảy ra sự kiện.
2. Ngân hàng phải tính rủi ro tín dụng đối tác (RWACCR) theo quy định tại khoản 4 Điều 8 Thông tư này đối với bên phát hành sản phẩm phái sinh tín dụng cho phần được giảm thiểu rủi ro tín dụng bằng sản phẩm phái sinh tín dụng.
3. Giá trị sản phẩm phái sinh tín dụng được hiệu chỉnh theo độ lệch thời hạn (CD*) theo công thức sau:
CD* = CD x (t - 0,25) / (T - 0,25)
Trong đó:
- CD: Giá trị của sản phẩm phái sinh tín dụng;
- T: Được xác định là giá trị tối thiểu giữa 05 năm và thời hạn còn lại của khoản phải đòi, giao dịch tính theo năm;
- t: Được xác định là giá trị tối thiểu giữa T tính theo năm và thời hạn còn lại của nợ phải trả nội bảng tính theo năm.
4. Hệ số hiệu chỉnh độ lệch tiền tệ giữa khoản phải đòi, giao dịch và sản phẩm phái sinh tín dụng (Hfxcd) là 8%.
Chương III
QUY ĐỊNH TÀI SẢN CÓ RỦI RO TÍN DỤNG THEO PHƯƠNG PHÁP XẾP HẠNG NỘI BỘ
Mục 1
QUY ĐỊNH TÍNH TỔNG TÀI SẢN CÓ RỦI RO TÍN DỤNG
Điều 30. Tổng tài sản có rủi ro tín dụng (RWA)
RWA = RWACR + RWACCR
Trong đó:
- RWACR: Tổng tài sản có rủi ro tín dụng khách hàng;
- RWACCR: Tổng tài sản có rủi ro tín dụng đối tác.
2. Tài sản có rủi ro tín dụng đối tác (RWACCR) được tính đối với:
a) Giao dịch tự doanh;
b) Giao dịch mua lại và giao dịch mua lại đảo ngược;
c) Giao dịch sản phẩm phái sinh để phòng ngừa rủi ro;
d) Giao dịch mua bán ngoại tệ, tài sản tài chính với mục đích phục vụ nhu cầu của khách hàng, đối tác quy định tại điểm d khoản 24 Điều 2 Thông tư này.
3. Giao dịch đã tính rủi ro tín dụng đối tác không phải tính rủi ro tín dụng khách hàng khi tính tỷ lệ an toàn vốn. Tài sản có rủi ro tín dụng đối tác (RWACCR) được tính theo hướng dẫn tại Phụ lục II kèm theo Thông tư này.
Mục 2
QUY ĐỊNH TÍNH TỔNG TÀI SẢN CÓ RỦI RO TÍN DỤNG KHÁCH HÀNG THEO PHƯƠNG PHÁP XẾP HẠNG NỘI BỘ
Điều 31. Áp dụng phương pháp xếp hạng nội bộ cho các loại tài sản
1. Ngân hàng phải phân loại tài sản trên Báo cáo tình hình tài chính theo quy định tại Thông tư này và quy định nội bộ của ngân hàng, trừ tài sản quy định tại khoản 3 Điều 30 Thông tư này như sau:
a) Tài sản trên Báo cáo tình hình tài chính được phân loại thành 04 loại tài sản: khoản phải đòi doanh nghiệp, khoản phải đòi bán lẻ, khoản mua lại khoản phải thu và các tài sản khác;
b) Loại tài sản được phân loại thành các nhóm tài sản theo quy định tại Điều 37, 38 và 39 Thông tư này;
c) Ngân hàng được phân loại nhóm tài sản thành tiểu nhóm theo quy định nội bộ của ngân hàng.
2. Ngân hàng được lựa chọn áp dụng phương pháp xếp hạng nội bộ hoặc phương pháp tiêu chuẩn cho từng nhóm, tiểu nhóm tài sản quy định tại điểm b và điểm c khoản 1 Điều này phù hợp với hoạt động của ngân hàng. Trường hợp ngân hàng áp dụng phương pháp xếp hạng nội bộ cho một nhóm hoặc tiểu nhóm tài sản thì phải áp dụng trên toàn bộ các khoản phải đòi trong nhóm hoặc tiểu nhóm tài sản đó, trừ khoản phải đòi trong nhóm hoặc tiểu nhóm tài sản bắt buộc áp dụng phương pháp tiêu chuẩn quy định tại Thông tư này.
|
RWACR (IRB) đối với khoản phải đòi trong một loại tài sản |
>= 70% |
|
(RWACR (SA)+RWACR (IRB)) đối với khoản phải đòi trong một loại tài sản |
- RWACR(IRB) là tài sản có rủi ro tín dụng khách hàng cho tài sản áp dụng phương pháp xếp hạng nội bộ;
- RWACR(SA) là tài sản có rủi ro tín dụng khách hàng cho tài sản áp dụng phương pháp tiêu chuẩn.
4. Ngân hàng phải duy trì tỷ lệ bao phủ tối thiểu quy định tại khoản 3 Điều này kể từ ngày được Ngân hàng Nhà nước chấp thuận áp dụng phương pháp xếp hạng nội bộ.
Điều 32. Giai đoạn chuyển đổi sang phương pháp xếp hạng nội bộ
Ngân hàng thực hiện chuyển đổi sang áp dụng phương pháp xếp hạng nội bộ như sau:
1. Ngân hàng phải thực hiện Kế hoạch triển khai áp dụng phương pháp xếp hạng nội bộ đã gửi Ngân hàng Nhà nước quy định tại điểm a khoản 3 Điều 7 Thông tư này.
2. Ngân hàng phải thuê tổ chức kiểm toán độc lập đáp ứng các yêu cầu theo quy định của Ngân hàng Nhà nước về kiểm toán độc lập đối với ngân hàng để đánh giá việc tuân thủ các yêu cầu liên quan đến phương pháp xếp hạng nội bộ theo quy định tại Thông tư này (bao gồm cả hệ thống xếp hạng tín dụng nội bộ, hệ thống, công cụ tính vốn phục vụ phương pháp xếp hạng nội bộ, tỷ lệ bao phủ, tỷ lệ sàn đầu ra).
3. Hội đồng quản trị, Hội đồng thành viên của ngân hàng thương mại, Tổng Giám đốc (Giám đốc) của chi nhánh ngân hàng nước ngoài phải tự đánh giá việc tuân thủ các yêu cầu liên quan đến phương pháp xếp hạng nội bộ theo quy định tại Thông tư này (bao gồm cả hệ thống xếp hạng tín dụng nội bộ, hệ thống, công cụ tính vốn phục vụ phương pháp xếp hạng nội bộ, tỷ lệ bao phủ, tỷ lệ sàn đầu ra).
4. Trong giai đoạn chuyển đổi, ngân hàng phải gửi đến Ngân hàng Nhà nước báo cáo đánh giá của tổ chức kiểm toán độc lập tại khoản 2 Điều này (nếu có) và báo cáo của ngân hàng tại khoản 3 Điều này kèm tài liệu có liên quan trước ngày 15 tháng 4 hàng năm.
Điều 33. Hồ sơ, trình tự chấp thuận áp dụng phương pháp xếp hạng nội bộ
1. Hồ sơ đề nghị chấp thuận việc áp dụng phương pháp xếp hạng nội bộ bao gồm:
a) Văn bản đề nghị chấp thuận áp dụng phương pháp xếp hạng nội bộ theo mẫu quy định tại Phụ lục VIII kèm theo Thông tư này;
b) Báo cáo đánh giá tình hình tuân thủ các yêu cầu của phương pháp xếp hạng nội bộ của ngân hàng theo quy định tại khoản 3 Điều 32 Thông tư này;
c) Tài liệu về hệ thống xếp hạng tín dụng nội bộ của ngân hàng bao gồm:
(i) Quy định, quy trình nội bộ về triển khai hệ thống xếp hạng tín dụng nội bộ (bao gồm cả nội dung về thiết kế, vận hành, kiểm định, kiểm toán, giám sát mô hình, điều chỉnh hệ thống xếp hạng tín dụng nội bộ);
(ii) Tài liệu phê duyệt liên quan đến hệ thống xếp hạng tín dụng nội bộ;
(iii) Quy định, quy trình nội bộ về hệ thống công nghệ thông tin, quản trị dữ liệu phục vụ phương pháp xếp hạng nội bộ, trong đó bao gồm nội dung về tiêu chuẩn chất lượng, làm sạch và chiết xuất dữ liệu;
d) Báo cáo về việc triển khai hệ thống xếp hạng tín dụng nội bộ, trong đó tối thiểu bao gồm:
(i) Kết quả kiểm định mô hình (báo cáo kết quả kiểm định trước khi triển khai, báo cáo định kỳ và đột xuất);
(ii) Kết quả giám sát mô hình;
(iii) Kết quả kiểm toán nội bộ;
(iv) Kết quả rà soát của bộ phận có chức năng kiểm soát rủi ro tín dụng khách hàng;
(v) Kết quả tính toán tỷ lệ an toàn vốn, tỷ lệ bao phủ, tỷ lệ sàn đầu ra;
(vi) Các báo cáo về sử dụng mô hình của bên thứ ba (nếu có);
đ) Báo cáo của tổ chức kiểm toán độc lập đánh giá về việc tuân thủ các yêu cầu liên quan đến phương pháp xếp hạng nội bộ theo quy định tại khoản 2 Điều 32 Thông tư này;
e) Quy định nội bộ hoặc báo cáo về cơ cấu, chức năng, nhiệm vụ của các bên liên quan việc triển khai hệ thống xếp hạng tín dụng nội bộ và tính vốn theo phương pháp xếp hạng nội bộ;
g) Tài liệu chứng minh việc tích hợp và sử dụng hệ thống xếp hạng tín dụng nội bộ trong phê duyệt tín dụng, quản lý rủi ro, phân bổ vốn nội bộ, báo cáo;
h) Quy định, quy trình về tính vốn (tài sản có rủi ro tín dụng, rủi ro thị trường, rủi ro hoạt động, tỷ lệ an toàn vốn) theo phương pháp xếp hạng nội bộ;
i) Tóm tắt tình hình, kết quả thực hiện của ngân hàng trong giai đoạn chuyển đổi sang phương pháp xếp hạng nội bộ;
k) Các tài liệu, quy định khác chứng minh việc đáp ứng yêu cầu liên quan đến phương pháp xếp hạng nội bộ theo quy định tại Thông tư này.
2. Ngân hàng Nhà nước thực hiện chấp thuận việc áp dụng phương pháp xếp hạng nội bộ của ngân hàng theo trình tự sau:
a) Ngân hàng có nhu cầu đề nghị áp dụng phương pháp xếp hạng nội bộ lập hồ sơ theo quy định tại khoản 1 Điều này và gửi Ngân hàng Nhà nước qua dịch vụ bưu chính hoặc nộp trực tiếp tại trụ sở chính của Ngân hàng Nhà nước (Bộ phận Một cửa) hoặc nộp trực tuyến qua Cổng dịch vụ công quốc gia hoặc Cổng dịch vụ công Ngân hàng Nhà nước (nếu có). Trường hợp gửi hồ sơ trực tuyến qua Cổng dịch vụ công quốc gia hoặc qua Cổng dịch vụ công Ngân hàng Nhà nước (nếu có), hồ sơ điện tử được sử dụng chữ ký số theo quy định của pháp luật về thực hiện thủ tục hành chính trên môi trường điện tử. Trường hợp hệ thống Cổng dịch vụ công quốc gia hoặc Cổng dịch vụ công Ngân hàng Nhà nước gặp sự cố hoặc có lỗi không thể tiếp nhận, trao đổi thông tin điện tử, việc khai, gửi, tiếp nhận, trả kết quả, trao đổi, phản hồi thông tin được thực hiện qua dịch vụ bưu chính hoặc trực tiếp tại Bộ phận Một cửa của Ngân hàng Nhà nước. Các tài liệu trong hồ sơ điện tử là bản điện tử quét từ bản gốc, bản chính (tập tin định dạng PDF);
b) Trong thời hạn 12 tháng kể từ ngày nhận đầy đủ hồ sơ hợp lệ của ngân hàng, Ngân hàng Nhà nước có văn bản chấp thuận việc đề nghị áp dụng phương pháp xếp hạng nội bộ. Trường hợp từ chối, Ngân hàng Nhà nước trả lời bằng văn bản và nêu rõ lý do.
3. Để phục vụ cho việc chấp thuận, trường hợp cần thiết, Ngân hàng Nhà nước thực hiện:
a) Làm việc trực tiếp với ngân hàng;
b) Yêu cầu ngân hàng cập nhật, nộp hồ sơ bổ sung hoặc cung cấp các thông tin.
4. Sau khi Ngân hàng Nhà nước đã chấp thuận áp dụng phương pháp xếp hạng nội bộ đối với một hoặc một số loại tài sản, trường hợp ngân hàng có nhu cầu áp dụng phương pháp xếp hạng nội bộ đối với loại tài sản khác, ngân hàng thực hiện các quy định tại điểm a và điểm b khoản 3 Điều 7, Điều 32 Thông tư này và Điều này.
5. Sau khi được Ngân hàng Nhà nước chấp thuận áp dụng phương pháp xếp hạng nội bộ, trường hợp đặc biệt phát sinh thay đổi lớn trong hoạt động, ngân hàng báo cáo Ngân hàng Nhà nước bằng văn bản về việc áp dụng phương pháp tiêu chuẩn trong đó dự kiến cụ thể thời điểm áp dụng.
6. Căn cứ kết quả thanh tra, kiểm tra, giám sát, trường hợp Ngân hàng Nhà nước đánh giá ngân hàng không tuân thủ yêu cầu về phương pháp xếp hạng nội bộ tại Thông tư này, tùy theo tính chất, mức độ rủi ro, Ngân hàng Nhà nước có quyền yêu cầu ngân hàng đó dừng hoặc chấm dứt áp dụng phương pháp xếp hạng nội bộ.
Điều 34. Điều chỉnh phương pháp xếp hạng nội bộ
1. Trong trường hợp ngân hàng dự kiến có thay đổi lớn về việc tính tài sản có rủi ro tín dụng khách hàng theo phương pháp xếp hạng nội bộ sau khi được chấp thuận áp dụng phương pháp xếp hạng nội bộ, ngân hàng phải báo cáo Ngân hàng Nhà nước cụ thể về các nội dung sửa đổi, bổ sung trước khi áp dụng thực hiện, thời điểm dự kiến áp dụng sửa đổi, bổ sung.
2. Trường hợp cần thiết, Ngân hàng Nhà nước được yêu cầu:
a) Khoảng thời gian tối thiểu cần phải duy trì song song hệ thống xếp hạng tín dụng nội bộ trước và sau khi điều chỉnh, sửa đổi;
b) Khoảng thời gian để tích hợp hệ thống xếp hạng tín dụng nội bộ sau khi sửa đổi, bổ sung cho quá trình phê duyệt tín dụng, quản trị rủi ro, phân bổ vốn nội bộ và báo cáo;
c) Ngân hàng thuê tổ chức kiểm toán độc lập đánh giá việc tuân thủ quy định tại Thông tư này đối với các nội dung sửa đổi, bổ sung.
Điều 35. Tỷ lệ sàn đầu ra
1. Tổng tài sản có rủi ro tín dụng khách hàng theo phương pháp xếp hạng nội bộ quy định tại Thông tư này tối thiểu bằng tỷ lệ sàn đầu ra nhân với tổng tài sản có rủi ro tín dụng khách hàng theo phương pháp tiêu chuẩn quy định tại Thông tư này.
2. Ngân hàng phải duy trì tỷ lệ sàn đầu ra tối thiểu là 72,5% kể từ ngày ngân hàng được chấp thuận áp dụng phương pháp xếp hạng nội bộ.
Mục 3
PHÂN LOẠI TÀI SẢN CÓ RỦI RO TÍN DỤNG KHÁCH HÀNG THEO PHƯƠNG PHÁP XẾP HẠNG NỘI BỘ
Điều 36. Khách hàng vỡ nợ
1. Khách hàng vỡ nợ là khách hàng có xuất hiện một hoặc một số sự kiện như sau:
a) Khoản phải đòi, cam kết ngoại bảng được phân loại vào nhóm nợ xấu theo kết quả phân loại nợ sau khi đã điều chỉnh kết quả phân loại nợ, cam kết ngoại bảng theo thông tin do Trung tâm thông tin tín dụng Quốc gia Việt Nam cung cấp theo quy định của Ngân hàng Nhà nước về phân loại tài sản có trong hoạt động của ngân hàng thương mại, tổ chức tín dụng phi ngân hàng, chi nhánh ngân hàng nước ngoài;
b) Khoản phải đòi tại chính ngân hàng đã sử dụng dự phòng để xử lý rủi ro theo quy định của pháp luật;
c) Khoản phải đòi tại chính ngân hàng đã xử lý tổn thất theo quy định của pháp luật;
d) Khoản phải đòi tại chính ngân hàng được gia hạn thời hạn trả nợ, trừ trường hợp khoản phải đòi được cơ cấu lại thời hạn trả nợ và giữ nguyên nhóm nợ theo quy định của Chính phủ, Thủ tướng Chính phủ và Ngân hàng Nhà nước;
đ) Khoản phải đòi tại chính ngân hàng là trái phiếu doanh nghiệp đã được kéo dài thời hạn trả nợ, thay đổi phương thức thanh toán từ tiền sang tài sản khác theo quy định của pháp luật về trái phiếu doanh nghiệp;
e) Khoản phải đòi tại chính ngân hàng được bán thấp hơn giá trị ghi sổ nội bảng của khoản phải đòi được bán theo quy định của pháp luật về hoạt động mua, bán nợ của ngân hàng, trừ trường hợp thực hiện mua, bán theo phương án cơ cấu lại được cấp có thẩm quyền phê duyệt theo quy định của pháp luật;
g) Khoản phải đòi được mua thấp hơn số dư nợ gốc của khoản phải đòi được mua theo quy định của pháp luật về hoạt động mua, bán nợ của ngân hàng, trừ trường hợp thực hiện mua, bán theo phương án cơ cấu lại được cấp có thẩm quyền phê duyệt theo quy định của pháp luật;
h) Có đơn yêu cầu mở thủ tục phá sản đối với khách hàng theo quy định của pháp luật;
i) Khách hàng không thuộc quy định tại điểm a, b, c, d, đ, e, g và h khoản này và ngân hàng đánh giá khách hàng không có khả năng thanh toán đầy đủ các nghĩa vụ theo quy định nội bộ của ngân hàng.
2. Khi khách hàng vỡ nợ theo quy định tại khoản 1 Điều này, tất cả khoản phải đòi của khách hàng đó tại ngân hàng sẽ được xác định là khoản phải đòi vỡ nợ.
3. Các khoản phải đòi vỡ nợ theo quy định tại khoản 2 Điều này xác định tài sản có rủi ro tín dụng khách hàng như khoản nợ xấu theo phương pháp tiêu chuẩn.
4. Ngân hàng được xem xét, đánh giá khách hàng không còn thuộc tình trạng khách hàng vỡ nợ trên cơ sở đánh giá khả năng trả nợ của khách hàng và phải được quy định cụ thể tại quy định nội bộ của ngân hàng, bao gồm tối thiểu các nội dung như sau:
a) Điều kiện để đánh giá khách hàng không còn thuộc tình trạng khách hàng vỡ nợ, trong đó đáp ứng các điều kiện tối thiểu như sau:
(i) Đối với khoản phải đòi quy định tại điểm b khoản 1 Điều này, khách hàng đã thanh toán toàn bộ nghĩa vụ đã quá hạn và được ngân hàng đánh giá có khả năng thanh toán đúng hạn các nghĩa vụ còn trong hạn (nếu có) theo thỏa thuận với ngân hàng;
(ii) Đối với khoản phải đòi quy định tại điểm c khoản 1 Điều này, phải đảm bảo ngân hàng hoàn thành việc xử lý tổn thất theo quy định của pháp luật; và các khoản phải đòi còn lại của khách hàng đó tại chính ngân hàng (nếu có) đã được thanh toán toàn bộ nghĩa vụ đã quá hạn và khách hàng được ngân hàng đánh giá có khả năng thanh toán đúng hạn các nghĩa vụ còn trong hạn (nếu có) theo thỏa thuận với ngân hàng;
(iii) Đối với khoản phải đòi quy định tại điểm d khoản 1 Điều này, khoản phải đòi được kéo dài thời hạn trả nợ tại điểm đ khoản 1 Điều này và khoản phải đòi được mua quy định tại điểm g khoản 1 Điều này, ngân hàng có quy định về khoảng thời gian để xem xét, đánh giá khách hàng không còn thuộc tình trạng khách hàng vỡ nợ trên cơ sở khoản phải đòi đó đã được phân loại vào nhóm nợ không phải là nợ xấu theo quy định về phân loại tài sản có trong hoạt động của ngân hàng;
(iv) Đối với khoản phải đòi thay đổi phương thức thanh toán từ tiền sang tài sản khác theo quy định của pháp luật về trái phiếu doanh nghiệp quy định tại điểm đ khoản 1 Điều này, khách hàng đã thanh toán toàn bộ nghĩa vụ đã quá hạn và ngân hàng đánh giá khách hàng có khả năng thanh toán đúng hạn các nghĩa vụ còn trong hạn (nếu có) theo thỏa thuận với ngân hàng;
(v) Đối với khoản phải đòi quy định tại điểm e khoản 1 Điều này phải đảm bảo ngân hàng bán nợ đã chuyển giao quyền, nghĩa vụ liên quan đến khoản nợ cho bên mua nợ và hoàn thành việc xử lý tài chính đối với khoản nợ đã bán theo quy định của pháp luật; và các khoản phải đòi còn lại của khách hàng đó tại chính ngân hàng (nếu có) đã được thanh toán toàn bộ nghĩa vụ đã quá hạn và khách hàng được ngân hàng đánh giá có khả năng thanh toán đúng hạn các nghĩa vụ còn trong hạn (nếu có) theo thỏa thuận với ngân hàng;
(vi) Đối với khoản phải đòi quy định tại điểm h khoản 1 Điều này phải có quyết định không mở thủ tục phá sản của tòa án hoặc tòa án có quyết định đình chỉ tiến hành thủ tục phá sản; và khách hàng đã thanh toán toàn bộ nghĩa vụ đã quá hạn và được ngân hàng đánh giá có khả năng thanh toán đúng hạn các nghĩa vụ còn trong hạn (nếu có) theo thỏa thuận với ngân hàng;
b) Quy trình, trách nhiệm, thẩm quyền của các cá nhân, bộ phận trong việc đánh giá, quyết định khách hàng không còn thuộc tình trạng khách hàng vỡ nợ đảm bảo công khai, minh bạch, phải được kiểm soát xung đột lợi ích theo nguyên tắc cá nhân, bộ phận thực hiện đánh giá độc lập với cá nhân, bộ phận quyết định;
c) Hồ sơ, tài liệu chứng minh đáp ứng các điều kiện, tiêu chuẩn và thể hiện việc thực hiện quy trình, trách nhiệm, thẩm quyền theo quy định tại điểm a và điểm b khoản này.
Điều 37. Khoản phải đòi doanh nghiệp
1. Khoản phải đòi doanh nghiệp là khoản phải đòi đối với doanh nghiệp có tư cách pháp nhân, trừ tổ chức tín dụng, chi nhánh ngân hàng nước ngoài, bao gồm các nhóm sau:
a) Khoản phải đòi doanh nghiệp nhỏ và vừa;
b) Khoản cấp tín dụng chuyên biệt (Specialised lending);
c) Khoản phải đòi khác không thuộc quy định tại điểm a và điểm b khoản này.
2. Khoản cấp tín dụng chuyên biệt
a) Khoản cấp tín dụng chuyên biệt là khoản cấp tín dụng cho doanh nghiệp có tư cách pháp nhân để thực hiện mục đích quy định tại điểm b(i) và điểm b(ii) khoản này (bao gồm cả khoản cấp tín dụng trong giai đoạn vận hành) đáp ứng đầy đủ các điều kiện sau đây:
(i) Khách hàng là doanh nghiệp được thành lập chỉ để thực hiện dự án, khai thác máy móc, thiết bị, kinh doanh hàng hóa, tài trợ dự án kinh doanh bất động sản được hình thành từ nguồn vốn cấp tín dụng, không có hoạt động kinh doanh khác;
(ii) Được đảm bảo bằng dự án, máy móc, thiết bị, hàng hóa, tài trợ dự án kinh doanh bất động sản được hình thành từ nguồn vốn cấp tín dụng và toàn bộ nguồn tiền trả nợ là nguồn tiền hình thành từ việc kinh doanh, khai thác dự án, máy móc, thiết bị và hàng hóa đó;
b) Khoản cấp tín dụng chuyên biệt được thực hiện dưới các hình thức:
(i) Các khoản cấp tín dụng quy định tại khoản 3 Điều 18 Thông tư này;
(ii) Cấp tín dụng tài trợ dự án kinh doanh bất động sản là các khoản cấp tín dụng để thực hiện dự án kinh doanh bất động sản (như văn phòng, trung tâm thương mại, khu đô thị, tòa nhà phức hợp, kho bãi, khách sạn, khu công nghiệp...).
c) Ngân hàng phải thỏa thuận tại hợp đồng cấp tín dụng và có biện pháp để kiểm soát toàn bộ việc thanh toán, giải ngân theo quy định tại khoản 4 Điều 18 Thông tư này.
3. Ngân hàng được lựa chọn phương pháp tiêu chuẩn hoặc phương pháp xếp hạng nội bộ cơ bản đối với các khoản phải đòi quy định tại điểm a và điểm c khoản 1 Điều này.
4. Ngân hàng áp dụng phương pháp tiêu chuẩn đối với khoản phải đòi quy định tại điểm b khoản 1 Điều này và xác định hệ số rủi ro tín dụng theo hướng dẫn tại Mục 2 Chương II và Phụ lục VI kèm theo Thông tư này.
Điều 38. Khoản phải đòi bán lẻ
1. Khoản phải đòi bán lẻ là khoản phải đòi đối với cá nhân (bao gồm cả doanh nghiệp tư nhân, hộ gia đình, tổ hợp tác, tổ chức khác không có tư cách pháp nhân) bao gồm các nhóm sau:
a) Khoản cho vay thế chấp nhà ở theo quy định tại khoản 3 Điều này;
b) Khoản cấp tín dụng bán lẻ quay vòng đủ tiêu chuẩn theo quy định tại khoản 4 Điều này;
c) Khoản cấp tín dụng bán lẻ khác theo quy định tại khoản 5 Điều này.
2. Ngân hàng được phân loại khoản phải đòi bán lẻ thành các nhóm, tiểu nhóm gồm nhiều khoản phải đòi có các đặc điểm rủi ro tương đồng nhằm mục đích đánh giá, đo lường rủi ro và ước tính các tham số PD, LGD, EAD của nhóm khoản phải đòi bán lẻ.
3. Khoản cho vay thế chấp nhà ở là khoản phải đòi đối với cá nhân bao gồm:
a) Khoản phải đòi bất động sản thế chấp bằng nhà ở xã hội theo quy định tại điểm a(i) khoản 2 Điều 16 Thông tư này;
b) Khoản phải đòi bất động sản thế chấp bằng nhà ở đủ tiêu chuẩn theo quy định tại điểm a(ii) khoản 2 Điều 16 Thông tư này.
4. Khoản cấp tín dụng bán lẻ quay vòng đủ tiêu chuẩn (QRRE) là khoản cấp tín dụng đối với cá nhân đáp ứng đầy đủ các đặc điểm sau:
a) Khoản cấp tín dụng có tính chất quay vòng, không cam kết hạn mức (như ngân hàng có quyền điều chỉnh hạn mức, quyền hủy ngang hoặc tự động hủy ngang cam kết khi khách hàng vi phạm điều kiện hoặc suy giảm khả năng thực hiện nghĩa vụ) và không có tài sản bảo đảm (như thẻ tín dụng, thấu chi);
b) Dư nợ có thể dao động trong hạn mức tín dụng do ngân hàng quyết định. Hạn mức tối đa đối với tất cả các khoản cấp tín dụng bán lẻ quay vòng đủ tiêu chuẩn cho một khách hàng là 01 tỷ đồng;
c) Các khoản cấp tín dụng bán lẻ quay vòng có biên độ dao động của tỷ lệ tổn thất nhỏ hơn biên độ dao động của tỷ lệ tổn thất của các khoản cấp tín dụng bán lẻ khác;
d) Dữ liệu tỷ lệ tổn thất của các khoản cấp tín dụng bán lẻ quay vòng đủ tiêu chuẩn phải được lưu trữ nhằm phân tích độ biến động của tỷ lệ tổn thất.
5. Khoản cấp tín dụng bán lẻ khác là khoản phải đòi đối với cá nhân bao gồm:
a) Khoản cho vay cá nhân phục vụ phát triển nông nghiệp, nông thôn theo quy định tại Điều 20 Thông tư này;
b) Khoản phải đòi đối với cá nhân khác, trừ các khoản phải đòi quy định tại điểm a khoản này và điểm a và điểm b khoản 1 Điều này.
6. Ngân hàng được lựa chọn phương pháp tiêu chuẩn hoặc phương pháp xếp hạng nội bộ nâng cao đối với khoản phải đòi bán lẻ quy định tại khoản 1 Điều này.
Điều 39. Khoản mua lại khoản phải thu
1. Khoản mua lại khoản phải thu là khoản phải đòi phát sinh từ nghiệp vụ ngân hàng mua các khoản phải thu (bao gồm cả các khoản cấp tín dụng) của tổ chức tín dụng, chi nhánh ngân hàng nước ngoài khác theo quy định của pháp luật. Khoản mua lại khoản phải thu bao gồm các nhóm sau:
a) Khoản mua lại khoản phải thu doanh nghiệp là khoản phải đòi phát sinh từ nghiệp vụ ngân hàng mua khoản phải đòi doanh nghiệp của tổ chức tín dụng, chi nhánh ngân hàng nước ngoài khác;
b) Khoản mua lại khoản phải thu bán lẻ là khoản phải đòi phát sinh từ nghiệp vụ ngân hàng mua khoản phải đòi bán lẻ của tổ chức tín dụng, chi nhánh ngân hàng nước ngoài khác;
c) Khoản mua lại khoản phải thu hỗn hợp bao gồm nhiều khoản mua lại khoản phải thu doanh nghiệp, khoản mua lại khoản phải thu bán lẻ.
2. Khoản mua lại khoản phải thu thực hiện như sau:
a) Đối với khoản mua lại khoản phải thu doanh nghiệp: Ngân hàng áp dụng phương pháp tiêu chuẩn hoặc phương pháp xếp hạng nội bộ cơ bản như phương pháp áp dụng đối với khoản phải đòi doanh nghiệp quy định tại Điều 37 Thông tư này;
b) Đối với khoản mua lại khoản phải thu bán lẻ: Ngân hàng áp dụng phương pháp tiêu chuẩn hoặc phương pháp xếp hạng nội bộ nâng cao như phương pháp áp dụng đối với khoản phải đòi bán lẻ quy định tại Điều 38 Thông tư này;
c) Đối với khoản mua lại khoản phải thu hỗn hợp, ngân hàng phải phân loại và phân tách phần giá trị tương ứng đối với từng khoản mua lại khoản phải thu doanh nghiệp hoặc từng nhóm, tiểu nhóm khoản mua lại khoản phải thu bán lẻ theo quy định nội bộ của ngân hàng để áp dụng phương pháp tương ứng tại điểm a và điểm b khoản này. Trường hợp không phân tách được, ngân hàng áp dụng hệ số rủi ro tín dụng 200% và tính tài sản có rủi ro tín dụng khách hàng theo phương pháp tiêu chuẩn quy định Chương II Thông tư này.
Điều 40. Các loại tài sản khác
Các loại tài sản khác không quy định tại Điều 37, 38 và 39 Thông tư này thực hiện tính tài sản có rủi ro tín dụng khách hàng theo phương pháp tiêu chuẩn.
Mục 4
CÁCH XÁC ĐỊNH CẤU PHẦN ĐỂ TÍNH TÀI SẢN CÓ RỦI RO TÍN DỤNG KHÁCH HÀNG CỦA KHOẢN PHẢI ĐÒI DOANH NGHIỆP THEO PHƯƠNG PHÁP XẾP HẠNG NỘI BỘ
Điều 41. Tài sản có rủi ro tín dụng khách hàng của khoản phải đòi doanh nghiệp
1. Ngân hàng tính tham số PD tương ứng với xếp hạng của khách hàng và sử dụng các tham số LGD, EAD và M theo quy định tại Thông tư này.
2. Ngân hàng tính tài sản có rủi ro tín dụng của khoản phải đòi doanh nghiệp như sau:
RWA = ƩRWi Χ EADi
Trong đó: Trọng số rủi ro (RWi) và giá trị của khoản phải đòi (EADi) được xác định theo các tham số PD và LGD tương ứng với từng phần giá trị của khoản phải đòi theo quy định tại Điều 42, 43, 44, 45, 46 và 47 Thông tư này;
b) Trọng số rủi ro (RW)
RW = K x 12,5


b = [0,11852 - 0,05478 × ln (PD)]2
Trong đó:
- N(x) là hàm phân phối tích lũy cho một biến ngẫu nhiên chuẩn hóa.
- G(z) là hàm phân phối tích lũy nghịch đảo cho một biến ngẫu nhiên chuẩn hóa.
3. Điều chỉnh theo quy mô doanh nghiệp đối với doanh nghiệp nhỏ và vừa
(i) Đối với doanh nghiệp nhỏ và vừa trong lĩnh vực nông nghiệp, lâm nghiệp, thủy sản; lĩnh vực công nghiệp và xây dựng

(ii) Đối với doanh nghiệp nhỏ và vừa trong lĩnh vực thương mại và dịch vụ

Trong đó: S là tổng doanh thu bán hàng và cung cấp dịch vụ của năm được tính theo đơn vị tỷ đồng;
Ngân hàng xác định chỉ tiêu tổng doanh thu bán hàng và cung cấp dịch vụ của doanh nghiệp nhỏ và vừa theo quy định tại khoản này trên cơ sở số liệu Báo cáo tài chính năm (Báo cáo tài chính hợp nhất nếu phải lập theo quy định của pháp luật) được kiểm toán tại thời điểm gần nhất đối với các doanh nghiệp phải kiểm toán độc lập; Báo cáo tài chính năm được kiểm toán (nếu có) hoặc Báo cáo tài chính năm nộp cho cơ quan thuế (có bằng chứng đã nộp cho cơ quan thuế) tại thời điểm gần nhất đối với doanh nghiệp không phải kiểm toán độc lập theo quy định của pháp luật;
b) Tổng doanh thu bán hàng và cung cấp dịch vụ của năm theo quy định tại điểm a(i) khoản này nằm trong khoảng từ 20 tỷ đồng đến 200 tỷ đồng và tại điểm a(ii) khoản này nằm trong khoảng từ 30 tỷ đồng đến 300 tỷ đồng.
Trường hợp S nhỏ hơn 20 tỷ đồng đối với doanh nghiệp quy định tại điểm a(i) khoản này hoặc nhỏ hơn 30 tỷ đồng đối với doanh nghiệp quy định tại điểm a(ii) khoản này hoặc trường hợp doanh nghiệp nhỏ và vừa mới thành lập dưới 01 năm chưa có thông tin về tổng doanh thu bán hàng và cung cấp dịch vụ thì S sẽ được xác định khi tính hệ số tương quan lần lượt là 20 tỷ đồng đối với doanh nghiệp quy định tại điểm a(i) khoản này hoặc 30 tỷ đồng đối với doanh nghiệp quy định tại điểm a(ii) khoản này.
Trường hợp S lớn hơn 200 tỷ đồng đối với doanh nghiệp quy định tại điểm a(i) khoản này hoặc lớn hơn 300 tỷ đồng đối với doanh nghiệp quy định tại điểm a(ii) khoản này thì S xác định khi tính hệ số tương quan lần lượt là 200 tỷ đồng hoặc 300 tỷ đồng.
Điều 42. Tham số PD của khoản phải đòi doanh nghiệp
1. Tham số PD của khoản phải đòi doanh nghiệp được xác định là giá trị lớn hơn giữa giá trị PD trong vòng 01 năm của mức xếp hạng tín dụng nội bộ mà khoản phải đòi đó được xếp hạng và 0,05%.
2. Ngân hàng sử dụng PD của bên bảo lãnh, bên phát hành sản phẩm phái sinh theo quy định tại Điều 45 và Điều 46 Thông tư này để tính tài sản có rủi ro tín dụng khách hàng theo Điều 41 Thông tư này.
Điều 43. Tham số LGD của khoản phải đòi doanh nghiệp
1. Tham số LGD của khoản phải đòi doanh nghiệp được xác định như sau:
a) Đối với các khoản phải đòi là nợ thứ cấp của doanh nghiệp, áp dụng LGD là 75%;
b) Đối với các khoản phải đòi không thuộc quy định tại điểm a khoản này và không áp dụng các biện pháp giảm thiểu rủi ro, ngân hàng áp dụng LGD như sau:
(i) Khoản phải đòi của công ty chứng khoán, công ty bảo hiểm, áp dụng LGD là 45%;
(ii) Khoản phải đòi của doanh nghiệp khác, áp dụng LGD là 40%;
c) Đối với khoản phải đòi không thuộc quy định tại điểm a khoản này và có áp dụng các biện pháp giảm thiểu rủi ro, ngân hàng xác định tham số LGD theo quy định tại Điều 44, 45 và 46 Thông tư này.
2. Các biện pháp giảm thiểu rủi ro quy định tại điểm c khoản 1 Điều này được thực hiện bằng một hoặc kết hợp các biện pháp sau đây:
a) Tài sản bảo đảm;
b) Bảo lãnh của bên thứ ba;
c) Sản phẩm phái sinh tín dụng.
3. Biện pháp giảm thiểu rủi ro quy định tại khoản 2 Điều này phải đảm bảo các nguyên tắc sau:
a) Nguyên tắc quy định tại điểm a, b, c, d và đ khoản 3 Điều 25 Thông tư này;
b) Trường hợp sử dụng nhiều biện pháp giảm thiểu rủi ro đủ điều kiện theo quy định tại khoản 2 Điều này, Điều 44, 45 và 46 Thông tư này cho một hoặc nhiều khoản phải đòi, ngân hàng được phân tách phần giá trị từng biện pháp giảm thiểu tương ứng với giá trị khoản phải đòi theo thỏa thuận giữa các bên liên quan (nếu có) và quy định nội bộ của ngân hàng để tính riêng tham số LGD theo giá trị từng biện pháp giảm thiểu theo quy định tại Điều 44, 45 và 46 Thông tư này nhưng phải đảm bảo nguyên tắc tổng các phần giá trị từng biện pháp được phân bổ cho các khoản phải đòi không vượt quá tổng giá trị biện pháp đủ điều kiện để giảm thiểu rủi ro và không vượt quá giá trị EAD của từng khoản phải đòi. Nguyên tắc này áp dụng đối với cả trường hợp trong từng biện pháp giảm thiểu rủi ro có nhiều tài sản bảo đảm hoặc nhiều bên bảo lãnh, nhiều sản phẩm phái sinh tín dụng giảm thiểu cho một khoản phải đòi hoặc trong trường hợp một biện pháp giảm thiểu rủi ro cho nhiều khoản phải đòi.
Điều 44. Tham số LGD của khoản phải đòi doanh nghiệp khi sử dụng tài sản bảo đảm
1. Đối với khoản phải đòi có tài sản bảo đảm đủ điều kiện để tính LGD theo quy định tại khoản này, ngân hàng xác định LGD theo quy định tại khoản 2 Điều này. Các tài sản bảo đảm đủ điều kiện để tính LGD bao gồm:
a) Các tài sản bảo đảm đáp ứng điều kiện tại Điều 26 Thông tư này;
b) Các tài sản bảo đảm là tài sản bảo đảm đủ tiêu chuẩn quy định tại điểm a khoản 3 Điều 16 Thông tư này và tài sản bảo đảm phải được bảo hiểm về thiệt hại, hỏng hóc;
c) Các tài sản bảo đảm khác không thuộc quy định tại điểm a và điểm b khoản này đáp ứng đầy đủ các điều kiện sau:
(i) Là loại tài sản bảo đảm hữu hình (physical collateral) không phải là bất động sản và có giá thị trường đối với tài sản bảo đảm đó;
(ii) Ngân hàng có quyền ưu tiên thanh toán trước tất cả các bên cho vay khác đối với số tiền thu được từ việc bán tài sản bảo đảm, trừ trường hợp cấp tín dụng hợp vốn theo quy định của pháp luật và có quy định nội bộ về xác định giá trị tài sản bảo đảm, tần suất định giá và theo dõi sự thay đổi của giá trị tài sản bảo đảm, quy trình kiểm tra, đối chiếu trực tiếp đối với tài sản bảo đảm là nguyên vật liệu thô, hàng đang trong quá trình sản xuất, thành phẩm, hàng tồn kho, máy móc, thiết bị và hàng hóa;
(iii) Hợp đồng cấp tín dụng hoặc hợp đồng bảo đảm phải mô tả chi tiết về tài sản bảo đảm theo quy định của pháp luật, có thỏa thuận về quyền của bên nhận đảm bảo về việc kiểm tra và xác định lại giá trị tài sản bảo đảm định kỳ và đột xuất của bên nhận tài sản bảo đảm;
(iv) Không quá thời gian 01 năm kể từ khi ngân hàng có quyền xử lý tài sản bảo đảm theo thỏa thuận và theo quy định của pháp luật.

Trong đó:
- E: Giá trị số dư của khoản phải đòi còn lại sau khi trừ đi giá trị bảo lãnh của bên bảo lãnh được sử dụng để giảm thiểu rủi ro theo quy định tại Điều 45 Thông tư này (Gl*), giá trị của sản phẩm phái sinh tín dụng sử dụng để giảm thiểu rủi ro theo quy định tại Điều 46 Thông tư này (CDn*) (nếu có);
- ESi: Phần giá trị số dư của khoản phải đòi được đảm bảo bằng giá trị của tài sản bảo đảm sau khi hiệu chỉnh (Ci*), được tính theo công thức sau Esi = Ci* và SESi ≤ E;
- Eu : Giá trị số dư còn lại của khoản phải đòi không được bảo đảm (the remaining value of the unsecured exposure) là hiệu số của giá trị số dư của khoản phải đòi trừ đi giá trị của tài sản bảo đảm sau khi hiệu chỉnh, được tính theo công thức Eu = E - SESi;
- LGDSi: LGD áp dụng cho phần số dư khoản phải đòi có tài sản bảo đảm thứ i theo khoản 4 Điều này;
- LGDu : LGD áp dụng cho số dư khoản phải đòi không áp dụng các biện pháp giảm thiểu rủi ro theo điểm b khoản 1 Điều 43 Thông tư này.

Trong đó:
- Ci*: Giá trị của tài sản bảo đảm thứ i sau khi hiệu chỉnh được sử dụng để giảm thiểu rủi ro;
- Ci: Giá trị tài sản bảo đảm thứ i;
- T: Được xác định là giá trị tối thiểu giữa 05 năm và thời hạn còn lại của khoản phải đòi, giao dịch tính theo năm;
- ti: Được xác định là giá trị tối thiểu giữa T tính theo năm và thời hạn còn lại của tài sản bảo đảm thứ i tính theo năm;
- Hci: Hệ số hiệu chỉnh của tài sản bảo đảm thứ i xác định theo quy định tại khoản 4 Điều này;
- Hfxci : Hệ số hiệu chỉnh độ lệch tiền tệ là 8%.
|
Loại tài sản bảo đảm |
LGDs |
Hệ số hiệu chỉnh của tài sản bảo đảm (Hc) |
|
Tài sản bảo đảm được ghi nhận làm biện pháp giảm thiểu rủi ro tín dụng khách hàng quy định tại Điều 26 Thông tư này |
0% |
Hệ số hiệu chỉnh Hc được áp dụng tương tự như phương pháp tiêu chuẩn |
|
Tài sản bảo đảm đủ tiêu chuẩn quy định tại điểm b khoản 1 Điều 44 Thông tư này |
20% |
40% |
|
Các tài sản bảo đảm khác quy định tại điểm c khoản 1 Điều 44 Thông tư này |
25% |
50% |
5. Đối với khoản phải đòi được đảm bảo bằng tài sản bảo đảm không phải là tài sản bảo đảm đủ điều kiện để tính LGD theo quy định tại khoản 1 Điều này, ngân hàng xác định LGD như khoản phải đòi không áp dụng các biện pháp giảm thiểu rủi ro theo quy định tại điểm b khoản 1 Điều 43 Thông tư này.
Điều 45. Tham số PD, LGD của khoản phải đòi doanh nghiệp khi sử dụng bảo lãnh của bên thứ ba
1. Việc giảm thiểu rủi ro tín dụng khách hàng bằng bảo lãnh được áp dụng khi đáp ứng đầy đủ các điều kiện sau:
a) Đáp ứng quy định về việc giảm thiểu rủi ro tín dụng khách hàng bằng bảo lãnh theo phương pháp tiêu chuẩn tại Điều 28 Thông tư này;
b) Bên bảo lãnh phải có tham số PD thấp hơn tham số PD của bên được bảo lãnh, trừ trường hợp ngân hàng không áp dụng phương pháp xếp hạng nội bộ theo quy định tại Thông tư này để xác định tham số PD đối với bên bảo lãnh.
2. Trường hợp ngân hàng không áp dụng phương pháp xếp hạng nội bộ theo quy định tại Thông tư này để xác định tham số PD, LGD của khoản phải đòi theo quy định tại Thông tư này đối với một hoặc một số bên bảo lãnh, ngân hàng được lựa chọn thực hiện theo 01 trong 02 cách như sau:
a) Xác định tài sản có rủi ro tín dụng khách hàng theo phương pháp tiêu chuẩn đối với khoản phải đòi được bảo lãnh (bao gồm cả việc thực hiện giảm thiểu rủi ro theo phương pháp tiêu chuẩn);
b) Xác định tài sản có rủi ro tín dụng khách hàng theo phương pháp xếp hạng nội bộ đối với khoản phải đòi được bảo lãnh nhưng không được giảm thiểu rủi ro bằng bảo lãnh của bên thứ ba.
3. Đối với các biện pháp bảo lãnh đáp ứng đầy đủ các điều kiện quy định tại khoản 1 Điều này, việc xác định các tham số PD, LGD để tính tài sản có rủi ro tín dụng khách hàng theo Điều 41 Thông tư này được thực hiện như sau:
a) Trường hợp bên bảo lãnh không sử dụng tài sản bảo đảm hoặc sử dụng tài sản bảo đảm không đủ điều kiện quy định tại điểm b khoản 1 Điều 43 và khoản 5 Điều 44 Thông tư này để bảo lãnh cho khoản phải đòi, ngân hàng thực hiện như sau:
(i) Đối với phần giá trị của khoản phải đòi được bảo lãnh, tham số PD, LGD là PD, LGD của bên bảo lãnh;
(ii) Đối với phần giá trị còn lại của khoản phải đòi không được bảo lãnh và không được đảm bảo bằng các biện pháp giảm thiểu rủi ro khác, tham số PD, LGD là PD, LGD của bên được bảo lãnh;
b) Trường hợp bên bảo lãnh sử dụng tài sản bảo đảm đủ điều kiện quy định tại khoản 1 Điều 44 Thông tư này để bảo lãnh cho khoản phải đòi thì ngân hàng:
(i) Xác định tham số PD theo quy định tại điểm a khoản này;
(ii) Được sử dụng tham số LGD cho khoản phải đòi có tài sản bảo đảm theo quy định tại khoản 4 Điều 44 Thông tư này thay thế cho tham số LGD của bên bảo lãnh.
4. Trường hợp có nhiều bên bảo lãnh, ngân hàng thực hiện xác định tham số PD, LGD theo nguyên tắc sau:
a) Tham số PD: Ngân hàng phải phân tách phần giá trị khoản phải đòi theo từng bên bảo lãnh và giá trị PD của các bên bảo lãnh được xác định theo từng phần giá trị bảo lãnh theo thỏa thuận giữa các bên và quy định của pháp luật có liên quan. Trường hợp không phân tách được theo thỏa thuận giữa các bên liên quan, ngân hàng phải sử dụng giá trị PD cao nhất trong các giá trị PD của các bên bảo lãnh;
b) Tham số LGD: Giá trị LGD được xác định theo nguyên tắc tại Điều này và điểm b khoản 3 Điều 43 Thông tư này.

Trong đó:
- Gl*: Giá trị bảo lãnh của bên bảo lãnh thứ l sau khi hiệu chỉnh được sử dụng để giảm thiểu rủi ro;
- Gl: Giá trị bảo lãnh của bên bảo lãnh thứ l;
- PDgtorl: PD của bên bảo lãnh thứ l xác định theo quy định tại Điều 42 Thông tư này;
- PD: PD của bên được bảo lãnh xác định theo quy định tại Điều 42 Thông tư này;
- T: Được xác định là giá trị tối thiểu giữa 05 năm và thời hạn còn lại của khoản phải đòi, giao dịch tính theo năm;
- tl: Được xác định là giá trị tối thiểu giữa T tính theo năm và thời hạn còn lại của biện pháp bảo lãnh thứ l tính theo năm);
- Hfxl: Hệ số hiệu chỉnh độ lệch tiền tệ là 8%.
Điều 46. Tham số PD, LGD của khoản phải đòi doanh nghiệp khi sử dụng sản phẩm phái sinh tín dụng
1. Việc giảm thiểu rủi ro tín dụng khách hàng bằng sản phẩm phái sinh tín dụng được áp dụng khi đáp ứng đầy đủ các điều kiện sau:
a) Đáp ứng quy định về việc giảm thiểu rủi ro tín dụng khách hàng bằng sản phẩm phái sinh tín dụng theo phương pháp tiêu chuẩn tại Điều 29 Thông tư này;
b) Bên phát hành sản phẩm phái sinh tín dụng phải có tham số PD thấp hơn tham số PD bên sử dụng sản phẩm phái sinh tín dụng, trừ trường hợp ngân hàng không áp dụng phương pháp xếp hạng nội bộ theo quy định tại Thông tư này để xác định tham số PD đối với bên phát hành sản phẩm phái sinh tín dụng.
2. Trường hợp ngân hàng không áp dụng phương pháp xếp hạng nội bộ theo quy định tại Thông tư này để xác định tham số PD, LGD của khoản phải đòi theo quy định tại Thông tư này đối với một hoặc một số bên phát hành sản phẩm phái sinh tín dụng, ngân hàng được lựa chọn thực hiện theo một trong hai cách như sau:
a) Xác định tài sản có rủi ro tín dụng khách hàng theo phương pháp tiêu chuẩn đối với khoản phải đòi được giảm thiểu bằng sản phẩm phái sinh tín dụng (bao gồm cả việc thực hiện giảm thiểu rủi ro theo phương pháp tiêu chuẩn);
b) Xác định tài sản có rủi ro tín dụng khách hàng theo phương pháp xếp hạng nội bộ đối với khoản phải đòi có sản phẩm phái sinh tín dụng nhưng không được giảm thiểu rủi ro bằng sản phẩm phái sinh tín dụng.
3. Đối với sản phẩm phái sinh tín dụng đủ điều kiện quy định tại khoản 1 Điều này, việc xác định các tham số PD, LGD để tính để tính tài sản có rủi ro tín dụng khách hàng theo Điều 41 Thông tư này được thực hiện như sau:
a) Đối với phần giá trị của khoản phải đòi tương ứng với giá trị của sản phẩm phái sinh tín dụng sử dụng để giảm thiểu rủi ro (CD*), tham số PD, LGD là PD, LGD của bên phát hành sản phẩm phái sinh tín dụng;
b) Phần giá trị còn lại của khoản phải đòi không được bảo đảm bằng các biện pháp giảm thiểu rủi ro, tham số PD, LGD là PD, LGD của bên sử dụng sản phẩm phái sinh tín dụng.

Trong đó:
- CDn*: Giá trị của sản phẩm phái sinh tín dụng thứ n sau khi hiệu chỉnh được sử dụng để giảm thiểu rủi ro;
- CDn : Giá trị của sản phẩm phái sinh tín dụng thứ n;
- T: Được xác định là giá trị tối thiểu giữa 05 năm và thời hạn còn lại của khoản phải đòi, giao dịch tính theo năm;
- tn : Được xác định là giá trị tối thiểu giữa T tính theo năm và thời hạn còn lại của nợ phải trả nội bảng tính theo năm;
-
: Hệ số hiệu chỉnh độ lệch tiền tệ là 8%.5. Trường hợp có nhiều sản phẩm phái sinh tín dụng, ngân hàng thực hiện xác định tham số PD, LGD theo nguyên tắc sau:
a) Tham số PD: Ngân hàng phải phân tách phần giá trị khoản phải đòi tương ứng theo từng sản phẩm phái sinh tín dụng và giá trị PD của các bên phát hành sản phẩm phái sinh tín dụng được xác định theo từng phần giá trị sản phẩm phái sinh tín dụng theo thỏa thuận giữa các bên và quy định của pháp luật có liên quan. Trường hợp không phân tách được theo thỏa thuận giữa các bên có liên quan, ngân hàng phải sử dụng giá trị PD cao nhất trong các giá trị PD của các bên phát hành sản phẩm phái sinh tín dụng;
b) Tham số LGD: Giá trị LGD được xác định theo nguyên tắc tại Điều này và điểm b khoản 3 Điều 43 Thông tư này.
Điều 47. Tham số EAD của khoản phải đòi doanh nghiệp
EADi = EADoni - Li* x (1- Hfxl ) + EADoffi x CCFi
Trong đó:
- EADi: Giá trị số dư xác định theo nguyên giá của khoản phải đòi thứ i sau khi giảm thiểu rủi ro bằng biện pháp bù trừ số dư nội bảng. Trường hợp EADi < 0 thì EADi được xác định bằng 0;
- EADoni: Số dư phần nội bảng của khoản phải đòi thứ i;
- EADoffi: Số dư phần cam kết ngoại bảng của khoản phải đòi thứ i;
- CCFi: Hệ số chuyển đổi của phần cam kết ngoại bảng của khoản phải đòi thứ i theo quy định tại khoản 2 Điều này;
- Li* và Hfxl: Xác định theo quy định tại khoản 2 và khoản 3 Điều 27 Thông tư này khi đáp ứng điều kiện tại Điều 25 và khoản 1 Điều 27 Thông tư này hoặc Li* được xác định bằng 0 khi không đáp ứng các điều kiện này.
2. Hệ số chuyển đổi (CCF)
a) Đối với khoản phải đòi doanh nghiệp ngoại bảng, ngân hàng phải chuyển đổi thành khoản mục nội bảng theo hệ số chuyển đổi quy định tại Điều 10 Thông tư này;
b) Số dư phần cam kết ngoại bảng được áp dụng hệ số chuyển đổi là giá trị thấp hơn giữa giá trị của hạn mức tín dụng đã cam kết chưa sử dụng và hạn mức cấp tín dụng mà ngân hàng có thể cấp thêm cho khách hàng theo quy định nội bộ của ngân hàng. Trường hợp có hạn mức cấp tín dụng mà ngân hàng có thể cấp thêm đối với khoản cam kết ngoại bảng, ngân hàng phải có đủ quy trình quản lý và giám sát về hạn mức đó;
c) Số dư phần cam kết ngoại bảng được áp dụng hệ số chuyển đổi là giá trị thấp hơn giữa giá trị của hạn mức tín dụng đã cam kết chưa sử dụng và hạn mức cấp tín dụng mà ngân hàng thực tế có thể cấp cho khách hàng theo quy định nội bộ của ngân hàng. Trường hợp có hạn mức cấp tín dụng mà ngân hàng có thể cấp thêm đối với khoản cam kết ngoại bảng, ngân hàng phải có đủ quy trình quản lý và giám sát về hạn mức đó.
Điều 48. Tham số M của khoản phải đòi doanh nghiệp
Tham số M của khoản phải đòi doanh nghiệp là 2,5 năm.
Mục 5
CÁCH XÁC ĐỊNH CẤU PHẦN ĐỂ TÍNH TÀI SẢN CÓ RỦI RO TÍN DỤNG KHÁCH HÀNG CỦA KHOẢN PHẢI ĐÒI BÁN LẺ THEO PHƯƠNG PHÁP XẾP HẠNG NỘI BỘ
Điều 49. Tài sản có rủi ro tín dụng khách hàng của khoản phải đòi bán lẻ
1. Ngân hàng phải tính tham số PD, LGD và EAD khi tính tài sản có rủi ro tín dụng khách hàng của khoản phải đòi bán lẻ.
2. Ngân hàng tính tài sản có rủi ro tín dụng khách hàng của khoản cho vay thế chấp nhà ở theo quy định tại điểm a khoản 1 Điều 38 Thông tư này như sau:
a) Công thức:
RWA = RW x EAD
b) Trọng số rủi ro (RW): RW = K x 12,5

Trong đó:
- N(x) là hàm phân phối tích lũy cho một biến ngẫu nhiên chuẩn hóa;
- G(z) là hàm phân phối tích lũy nghịch đảo cho một biến ngẫu nhiên chuẩn hóa;
d) Hệ số tương quan (R): R=0,15.
3. Ngân hàng tính tài sản có rủi ro tín dụng khách hàng của khoản cấp tín dụng bán lẻ quay vòng đủ tiêu chuẩn theo quy định tại điểm b khoản 1 Điều 38 Thông tư này như sau:
a) Công thức:
RWA = RW x EAD
b) Trọng số rủi ro (RW): RW = K x 12,5

Trong đó:
- N(x) là hàm phân phối tích lũy cho một biến ngẫu nhiên chuẩn hóa;
- G(z) là hàm phân phối tích lũy nghịch đảo cho một biến ngẫu nhiên chuẩn hóa;
d) Hệ số tương quan (R): R= 0,04.
4. Ngân hàng tính tài sản có rủi ro tín dụng khách hàng của khoản cấp tín dụng bán lẻ khác theo quy định tại điểm c khoản 1 Điều 38 Thông tư này như sau:
a) Công thức:
RWA = RW x EAD
b) Trọng số rủi ro (RW): RW = Kx 12,5

Trong đó:
- N(x) là hàm phân phối tích lũy cho một biến ngẫu nhiên chuẩn hóa;
- G(z) là hàm phân phối tích lũy nghịch đảo cho một biến ngẫu nhiên chuẩn hóa;

Điều 50. Tham số PD của khoản phải đòi bán lẻ
Tham số PD của khoản phải đòi bán lẻ được xác định để tính tài sản có rủi ro tín dụng khách hàng theo Điều 49 Thông tư này là giá trị lớn hơn giữa giá trị PD do ngân hàng tính và giá trị PD sàn. PD sàn được quy định như sau:
1. PD sàn của khoản cấp tín dụng bán lẻ quay vòng đủ tiêu chuẩn là 0,1%;
2. PD sàn của khoản phải đòi bán lẻ còn lại không thuộc khoản 1 Điều này là 0,05%.
Điều 51. Tham số LGD của khoản phải đòi bán lẻ, tham số LGD của khoản phải đòi bán lẻ khi sử dụng tài sản bảo đảm
1. Tham số LGD của khoản phải đòi bán lẻ được xác định để tính tài sản có rủi ro tín dụng khách hàng theo Điều 49 Thông tư này là giá trị lớn hơn giữa giá trị LGD do ngân hàng tính và giá trị LGD sàn quy định tại khoản 3 Điều này.
2. Tài sản bảo đảm đủ điều kiện để tính LGD của khoản phải đòi bán lẻ bao gồm:
a) Tài sản bảo đảm đáp ứng đầy đủ các điều kiện tại điểm a, b và c khoản 1 Điều 44 Thông tư này;
b) Nhà ở xã hội đáp ứng đầy đủ các điều kiện quy định tại khoản 4 Điều 16 Thông tư này.
3. LGD sàn được xác định như sau:
|
Loại khoản phải đòi |
LGD sàn |
|
Khoản cho vay thế chấp nhà ở |
5% |
|
Các khoản cấp tín dụng bán lẻ khác |
Theo tài sản bảo đảm: + 0% đối với tài sản bảo đảm quy định tại điểm a khoản 1 Điều 44 Thông tư này. + 10% đối với bất động sản quy định tại điểm b khoản 1 Điều 44 Thông tư này. + 15% đối với các loại tài sản bảo đảm quy định tại điểm c khoản 1 Điều 44 Thông tư này. |
Trong đó:
- E: Giá trị số dư của khoản phải đòi;
- ESi: Phần giá trị số dư của khoản phải đòi được đảm bảo bằng giá trị của tài sản bảo đảm thứ i sau khi hiệu chỉnh và được xác định theo quy định tại khoản 2 Điều 44 Thông tư này;
- Eu : Giá trị số dư còn lại của khoản phải đòi không được bảo đảm và được xác định theo quy định tại khoản 2 Điều 44 Thông tư này;
- LGDSi floor: LGD áp dụng cho phần số dư khoản phải đòi có tài sản bảo đảm thứ i theo điểm a khoản này;
- LGDu floor: LGD áp dụng cho số dư khoản phải đòi không có tài sản bảo đảm theo điểm c khoản này;
|
Loại khoản phải đòi |
LGD sàn |
|
Khoản cấp tín dụng bán lẻ quay vòng đủ tiêu chuẩn |
50% |
|
Khoản cấp tín dụng bán lẻ khác |
30% |
4. Yêu cầu tối thiểu khi ước tính tham số LGD:
a) Ngân hàng phải xem xét các yếu tố kinh tế để nắm bắt rủi ro có liên quan khi ước tính LGD như sau:
(i) Ước tính LGD không được thấp hơn LGD trung bình dài hạn (long-run default-weighted average LGD). LGD trung bình dài hạn được tính dựa trên tổn thất kinh tế trung bình của tất cả các khoản vỡ nợ được quan sát trong nguồn dữ liệu theo nhóm hoặc tiểu nhóm khoản phải đòi bán lẻ đó;
(ii) Ngân hàng phải tính đến khả năng LGD cao hơn LGD trung bình dài hạn trong giai đoạn mà tổn thất tín dụng cao hơn đáng kể do suy thoái kinh tế. Ước tính LGD được điều chỉnh để phản ánh điều kiện kinh tế suy thoái (LGD suy thoái) được tính dựa trên các phương pháp phù hợp (như sử dụng mức độ trung bình của tổn thất (average of loss severities) quan sát được trong thời kỳ suy thoái kinh tế với tổn thất tín dụng cao; dự báo dựa trên các giả định thận trọng hơn; hoặc phương pháp tương tự khác);
b) Ngân hàng phải xem xét và ước tính LGD thận trọng hơn trong trường hợp mức độ phụ thuộc giữa rủi ro của khách hàng và rủi ro của tài sản bảo đảm hoặc bên bảo đảm là đáng kể hoặc khi có sự khác biệt về đồng tiền giữa khoản phải đòi và tài sản bảo đảm;
c) Ước tính LGD không chỉ dựa trên giá trị thị trường của tài sản bảo đảm mà phải dựa trên cả dữ liệu về tỷ lệ thu hồi lịch sử (historical recovery rates) (nếu có) nhằm phản ánh khả năng không thể kiểm soát hoặc xử lý tài sản bảo đảm một cách nhanh chóng. Trường hợp ước tính LGD dựa trên giá trị thị trường tài sản bảo đảm, ngân hàng phải có quy định nội bộ về quản lý tài sản bảo đảm, quản lý rủi ro phù hợp quy định tại Mục 8 Chương này;
d) Khoảng thời gian quan sát dữ liệu tối thiểu để ước tính LGD cho khoản phải đòi bán lẻ là 05 năm liên tục tính đến thời điểm gần nhất mà ngân hàng sử dụng để ước tính LGD.
Điều 52. Tham số PD, LGD của khoản phải đòi bán lẻ khi sử dụng bảo lãnh của bên thứ ba, sản phẩm phái sinh tín dụng
1. Ngân hàng được điều chỉnh ước tính PD hoặc LGD để phản ánh tác động giảm thiểu rủi ro tín dụng khách hàng khi sử dụng bảo lãnh của bên thứ ba, sản phẩm phái sinh tín dụng đảm bảo đáp ứng đầy đủ các điều kiện sau:
a) Việc điều chỉnh ước tính PD hoặc LGD phải được thực hiện thống nhất một phương pháp cho tất cả các khoản phải đòi có cùng loại hình bảo lãnh hoặc loại hình sản phẩm phái sinh;
b) Ngân hàng không được tính đến ảnh hưởng từ trường hợp khách hàng và bên bảo lãnh (hoặc bên bán sản phẩm phái sinh tín dụng) vỡ nợ cùng lúc (ảnh hưởng của vỡ nợ kép);
c) Ước tính PD hoặc LGD sau điều chỉnh không được thấp hơn PD hoặc LGD của bên bảo lãnh hoặc bên bán sản phẩm phái sinh tín dụng.
2. Yêu cầu tối thiểu để đánh giá ảnh hưởng của bảo lãnh, sản phẩm phái sinh tín dụng:
a) Đối với việc sử dụng bảo lãnh:
(i) Việc sử dụng giảm thiểu rủi ro tín dụng khách hàng bằng bảo lãnh được áp dụng khi đáp ứng đầy đủ các điều kiện quy định khoản 1 Điều 45 Thông tư này;
(ii) Mỗi nhóm hoặc tiểu nhóm khoản phải đòi bán lẻ và bên bảo lãnh phải được xếp hạng tại cả thời điểm cấp tín dụng và xếp hạng định kỳ tuân thủ các yêu cầu tối thiểu theo quy định tại Mục 8 Chương này. Ngân hàng phải theo dõi thường xuyên tình trạng của bên bảo lãnh và khả năng, thiện chí thực hiện nghĩa vụ của bên bảo lãnh;
(iii) Ngân hàng phải có tiêu chí cụ thể về việc điều chỉnh PD hoặc LGD để phản ánh tác động của bảo lãnh phù hợp và nhất quán với các yêu cầu tối thiểu, đảm bảo xem xét tất cả các thông tin có liên quan. Các tiêu chí phải hợp lý và có thể giải thích được về khả năng và sự sẵn sàng trả nợ của bên bảo lãnh; thời hạn trả nợ; mối tương quan giữa khả năng trả nợ của bên bảo lãnh và khách hàng; các rủi ro còn lại khác (như sự chênh lệch về đồng tiền giữa các khoản phải đòi và các khoản bảo lãnh...);
b) Đối với việc sử dụng giảm thiểu rủi ro bằng sản phẩm phái sinh tín dụng:
(i) Việc sử dụng giảm thiểu rủi ro tín dụng khách hàng bằng sản phẩm phái sinh tín dụng được áp dụng khi đáp ứng đầy đủ các điều kiện quy định tại khoản 1 Điều 46 Thông tư này;
(ii) Ngân hàng phải có tiêu chí cụ thể về việc điều chỉnh PD hoặc LGD bao gồm trường hợp các sản phẩm phái sinh tín dụng bù đắp một phần khoản phải đòi (bảo hiểm một phần) hoặc khi có sự khác biệt về đồng tiền giữa các sản phẩm phái sinh tín dụng và nghĩa vụ cơ sở...;
(iii) Ngân hàng phải tính đến cơ cấu thanh toán của sản phẩm phái sinh tín dụng và phải đánh giá thận trọng tác động của cơ cấu đó đối với mức độ, thời gian thu hồi và các rủi ro còn lại.
Điều 53. Tham số EAD của khoản phải đòi bán lẻ
1. Tham số EAD của khoản phải đòi bán lẻ được xác định để tính tài sản có rủi ro tín dụng khách hàng theo Điều 49 Thông tư này là giá trị lớn hơn giữa giá trị EAD do ngân hàng tính và giá trị EAD sàn. EAD sàn là tổng của số dư phần nội bảng của khoản phải đòi và 50% của số dư phần cam kết ngoại bảng nhân hệ số chuyển đổi (CCF) áp dụng trong phương pháp tiêu chuẩn theo quy định tại Điều 8 và Điều 10 Thông tư này.
2. Ngân hàng chỉ được giảm giá trị tự ước tính EAD của khoản phải đòi và mức EAD sàn quy định tại khoản 1 Điều này trong trường hợp khoản phải đòi được giảm thiểu rủi ro tín dụng theo biện pháp bù trừ số dư nội bảng đáp ứng đầy đủ điều kiện quy định tại Điều 25 và Điều 27 Thông tư này.
3. Đối với khoản phải đòi bán lẻ (bao gồm cả thẻ tín dụng) mà ngân hàng không xác định được thời điểm khách hàng được giải ngân hoặc thực hiện thêm giao dịch trong tương lai (như rút tiền mặt, chuyển khoản, thanh toán...) ngân hàng phải xem xét lịch sử, dự tính cho việc khách hàng có thể được giải ngân hoặc thực hiện thêm giao dịch trước khi vỡ nợ khi ước tính EAD.
4. Yêu cầu tối thiểu khi ước tính EAD như sau:
a) Ngân hàng phải thiết lập quy trình ước tính EAD đối với phần cam kết ngoại bảng;
b) Ngân hàng phải ước tính EAD trung bình dài hạn có trọng số vỡ nợ (long-run default-weighted average EAD) như sau:
(i) Ước tính EAD trung bình dài hạn có trọng số vỡ nợ là ước tính EAD trong một khoảng thời gian đủ dài và bổ sung biên độ thận trọng phù hợp với biên độ sai số có thể xảy ra trong ước tính;
(ii) Trường hợp ngân hàng đánh giá xu hướng tỷ lệ thuận giữa tần suất vỡ nợ với giá trị EAD thì ngân hàng phải ước tính EAD với biên độ thận trọng lớn hơn biên độ quy định tại điểm b(i) khoản này;
c) Ngân hàng phải ước tính EAD được điều chỉnh để phản ánh điều kiện kinh tế suy thoái (EAD suy thoái). Việc ước tính EAD suy thoái được thực hiện thông qua xem xét sử dụng các yếu tố chịu tác động của điều kiện kinh tế suy thoái trong mô hình, dữ liệu nội bộ, dữ liệu bên ngoài, giả định thận trọng hơn của thời kỳ suy thoái kinh tế... Trường hợp kết quả ước tính EAD suy thoái thận trọng hơn so với kết quả ước tính EAD trung bình dài hạn có trọng số vỡ nợ, ngân hàng phải sử dụng ước tính EAD suy thoái;
d) Các tiêu chí để ước tính EAD phải hợp lý, trực quan và đại diện cho những yếu tố ảnh hưởng đến EAD. Việc lựa chọn các tiêu chí phải trên cơ sở phân tích nội bộ đáng tin cậy và kinh nghiệm ước tính EAD của ngân hàng về các yếu tố ảnh hưởng đến EAD. Việc ước tính EAD phải sử dụng tất cả các thông tin có liên quan và quan trọng;
đ) Ngân hàng phải xem xét lại ước tính EAD tối thiểu định kỳ hàng năm và đột xuất khi phát sinh thêm thông tin quan trọng;
e) Ngân hàng phải quản lý khoản phải đòi bán lẻ để ước tính EAD như sau:
(i) Có quy định nội bộ, hệ thống, quy trình để theo dõi, quản lý khoản phải đòi (bao gồm cả dư nợ hiện tại, hạn mức tín dụng đã cam kết của mỗi khách hàng và mỗi mức xếp hạng tín dụng);
(ii) Xem xét biện pháp ngăn chặn khách hàng được giải ngân thêm hoặc thực hiện thêm giao dịch trong trường hợp khách hàng chưa vỡ nợ nhưng vi phạm các cam kết khác trong hợp đồng;
g) Ước tính EAD phải dựa trên dữ liệu tham chiếu phản ánh đặc điểm của khoản phải đòi, khách hàng, biện pháp quản lý đối với khoản phải đòi, khách hàng. Việc ước tính phải dựa trên các phân khúc có đặc điểm tương đồng. Trường hợp dữ liệu tham chiếu không phân chia được thành các nhóm đồng nhất, ngân hàng phải sử dụng phương pháp phù hợp để phân tách các đặc điểm khác nhau trong dữ liệu tham chiếu đó. Trường hợp có thay đổi cơ cấu sản phẩm trong dữ liệu tham chiếu, ngân hàng phải xem xét tác động của việc thay đổi này đến ước tính EAD, đảm bảo tác động này không đáng kể hoặc đã được giảm thiểu trong quá trình ước tính. Trường hợp tác động này đáng kể và không được giảm thiểu, ngân hàng phải điều chỉnh lại việc ước tính EAD phù hợp với các tác động của việc thay đổi đó;
h) Dữ liệu tham chiếu để ước tính EAD tối thiểu bao gồm các thông tin sau: số tiền gốc chưa thanh toán hoặc hạn mức khoản vay, lãi phải thu, phí phải thu (nếu có);
i) Khoảng thời gian quan sát dữ liệu tối thiểu để ước tính EAD cho khoản phải đòi bán lẻ là 05 năm liên tục tính đến thời điểm gần nhất mà ngân hàng sử dụng để ước tính EAD.
Mục 6
CÁCH XÁC ĐỊNH CẤU PHẦN ĐỂ TÍNH TÀI SẢN CÓ RỦI RO TÍN DỤNG KHÁCH HÀNG CỦA KHOẢN MUA LẠI KHOẢN PHẢI THU THEO PHƯƠNG PHÁP XẾP HẠNG NỘI BỘ
Điều 54. Tài sản có rủi ro tín dụng khách hàng của khoản mua lại khoản phải thu
RWAPR = RWADfR + RWADR
Trong đó:
- RWAPR: Tài sản có rủi ro rủi ro tín dụng khách hàng của khoản mua lại khoản phải thu (Risk weighted assets for purchased receivables);
- RWADfR: Tài sản có rủi ro tín dụng vỡ nợ của khoản mua lại khoản phải thu (Risk weighted assets for default risk);
- RWADR: Tài sản có rủi ro giảm giá trị của khoản mua lại khoản phải thu (Risk weighted assets for dilution risk).
2. Rủi ro tín dụng vỡ nợ của khoản mua lại khoản phải thu là rủi ro xảy ra khi khách hàng (là bên có nghĩa vụ thanh toán khoản phải thu) không thể thực hiện được nghĩa vụ đối với khoản phải thu.
3. Rủi ro giảm giá trị của khoản mua lại khoản phải thu là rủi ro xảy ra khi giá trị của khoản mua lại khoản phải thu bị giảm theo thỏa thuận giữa bên bán khoản phải thu và khách hàng tại hợp đồng cơ sở (như thỏa thuận về trả lại hàng hóa đã bán, tranh chấp về chất lượng sản phẩm, chiết khấu cho bên mua hàng khi thực hiện thanh toán hoặc các nội dung tương tự khác).
Điều 55. Tài sản có rủi ro tín dụng vỡ nợ của khoản mua lại khoản phải thu
1. Ngân hàng tính tài sản có rủi ro tín dụng vỡ nợ của khoản mua lại khoản phải thu doanh nghiệp quy định tại điểm a khoản 2 Điều 39 Thông tư này như tính tài sản có rủi ro tín dụng khách hàng đối với khoản phải đòi doanh nghiệp theo quy định tại Chương II Thông tư này và Mục 4 Chương này.
2. Ngân hàng tính tài sản có rủi ro tín dụng vỡ nợ của khoản mua lại khoản phải thu bán lẻ quy định tại điểm b khoản 2 Điều 39 Thông tư này như tính tài sản có rủi ro tín dụng khách hàng đối với khoản phải đòi bán lẻ theo quy định tại Chương II Thông tư này và Mục 5 Chương này.
Điều 56. Tham số rủi ro của rủi ro tín dụng vỡ nợ của khoản mua lại khoản phải thu khi áp dụng phương pháp xếp hạng nội bộ
1. Đối với khoản mua lại khoản phải thu doanh nghiệp, ngân hàng ước tính tham số PD và sử dụng các tham số LGD, EAD và M theo quy định tại Mục 4 Chương này.
2. Đối với khoản mua lại khoản phải thu bán lẻ, ngân hàng ước tính PD, LGD và EAD theo quy định tại Mục 5 Chương này. Việc ước tính phải loại bỏ các giả định về quyền truy đòi hoặc bảo lãnh từ bên bán hoặc các bên khác.
Điều 57. Tài sản có rủi ro giảm giá trị của khoản mua lại khoản phải thu
1. Ngân hàng không phải tính tài sản có rủi ro giảm giá trị của khoản mua lại khoản phải thu trong trường hợp sau:
a) Khoản mua lại khoản phải thu áp dụng phương pháp tiêu chuẩn;
b) Khoản mua lại khoản phải thu áp dụng phương pháp xếp hạng nội bộ mà hợp đồng cơ sở của khoản mua lại khoản phải thu này không có thỏa thuận làm phát sinh rủi ro giảm giá trị hoặc thời hạn thực hiện thỏa thuận này đã qua trước khi ngân hàng mua lại khoản phải thu đó.
2. Ngân hàng tính tài sản có rủi ro giảm giá trị như sau:
a) Ước tính tỷ lệ tổn thất dự kiến trong vòng 01 năm cho rủi ro giảm giá trị (tính bằng tỷ lệ % so với giá trị khoản mua lại). Ngân hàng không sử dụng giả định về quyền truy đòi hoặc bảo lãnh từ bên bán hoặc các bên khác đối với khoản mua lại khoản phải thu bán lẻ khi ước tính tỷ lệ tổn thất dự kiến;
b) Xác định tài sản có rủi ro giảm giá trị theo công thức quy định tại Điều 41 Thông tư này cho khoản mua lại khoản phải thu doanh nghiệp và công thức quy định tại Điều 49 Thông tư này cho khoản mua lại khoản phải thu bán lẻ.
Điều 58. Tham số rủi ro để tính tài sản có rủi ro giảm giá trị của khoản mua lại khoản phải thu theo phương pháp xếp hạng nội bộ
Việc xác định tham số rủi ro của khoản mua lại khoản phải thu doanh nghiệp và khoản mua lại khoản phải thu bán lẻ để tính tài sản có rủi ro giảm giá trị quy định tại điểm b khoản 2 Điều 57 như sau:
4. Tham số M đối với khoản mua lại khoản phải thu doanh nghiệp
a) Tham số M là 2,5 năm, trừ trường hợp quy định tại điểm b khoản này;
b) Tham số M là 01 năm khi ngân hàng dự kiến khoản mua lại khoản phải thu có thể xử lý được trong vòng 01 năm.
Điều 59. Biện pháp giảm thiểu rủi ro tín dụng khách hàng của khoản mua lại khoản phải thu
1. Trường hợp ngân hàng áp dụng hình thức bảo lãnh, phái sinh tín dụng để giảm thiểu rủi ro giảm giá trị, rủi ro tín dụng vỡ nợ của khoản mua lại khoản phải thu, biện pháp bảo lãnh, sản phẩm phái sinh tín dụng phải đáp ứng các quy định tại Điều 28 và Điều 29 Thông tư này khi áp dụng phương pháp tiêu chuẩn hoặc Điều 45, 46 và 52 Thông tư này khi áp dụng phương pháp xếp hạng nội bộ.
2. Nguyên tắc áp dụng biện pháp giảm thiểu rủi ro bằng hình thức bảo lãnh, sản phẩm phái sinh tín dụng như sau:
a) Đối với khoản mua lại khoản phải thu doanh nghiệp, ngân hàng thực hiện giảm thiểu rủi ro tín dụng vỡ nợ hoặc giảm thiểu rủi ro giảm giá trị phù hợp với phạm vi giảm thiểu rủi ro của biện pháp bảo lãnh của bên thứ ba, sản phẩm phái sinh tín dụng thông qua việc sử dụng tham số PD, LGD của bên bảo lãnh, bên bán sản phẩm phái sinh tín dụng thay cho hệ số rủi ro tín dụng của khoản mua lại khoản phải thu;
b) Đối với khoản mua lại khoản phải thu bán lẻ, ngân hàng thực hiện giảm thiểu rủi ro giảm giá trị thông qua việc sử dụng tham số PD, LGD của bên bảo lãnh, bên bán sản phẩm phái sinh tín dụng thay cho hệ số rủi ro tín dụng của khoản mua lại khoản phải thu;
c) Trường hợp bên bảo lãnh, bên bán sản phẩm phái sinh tín dụng chỉ đảm bảo một phần cho rủi ro giảm giá trị hoặc rủi ro tín dụng vỡ nợ, ngân hàng sử dụng tham số PD, LGD theo quy định tại điểm a, b khoản này tương ứng với phần giá trị của biện pháp được sử dụng để giảm thiểu rủi ro. Phần giá trị khoản mua lại khoản phải thu không được giảm thiểu rủi ro áp dụng tham số PD, LGD của khách hàng.
Mục 7
QUY ĐỊNH VỀ TỔN THẤT DỰ KIẾN VÀ DỰ PHÒNG RỦI RO
Điều 60. Tính tổn thất dự kiến
1. Tổn thất dự kiến (EL) là tổng tổn thất dự kiến của các khoản phải đòi mà từng khoản phải đòi này được tính tài sản có rủi ro khách hàng theo phương pháp xếp hạng nội bộ quy định tại Thông tư này và quy định nội bộ của ngân hàng.
2. Tổn thất dự kiến của từng khoản phải đòi được xác định theo công thức
sau:
EL = PD x LGD x EAD
Trong đó: Các tham số PD, LGD, EAD của từng khoản phải đòi được xác định theo quy định tại Chương này.
Điều 61. Tính dự phòng rủi ro
Dự phòng rủi ro là tổng của số tiền dự phòng cụ thể, số tiền dự phòng chung, số tiền dự phòng tổn thất các khoản đầu tư (nếu có) và số tiền dự phòng nợ phải thu khó đòi (nếu có) mà ngân hàng đã trích lập dự phòng rủi ro theo quy định của pháp luật đối với các khoản phải đòi này được tính tài sản có rủi ro khách hàng theo phương pháp xếp hạng nội bộ quy định tại Thông tư này và quy định nội bộ của ngân hàng.
Điều 62. Xử lý chênh lệch giữa tổn thất dự kiến và dự phòng rủi ro
Ngân hàng so sánh tổn thất dự kiến xác định theo quy định tại Điều 60 Thông tư này và dự phòng rủi ro xác định theo quy định tại Điều 61 Thông tư này, trường hợp có sự khác biệt, ngân hàng thực hiện như sau:
1. Trường hợp dự phòng rủi ro thấp hơn tổn thất dự kiến, khi tính cấu phần vốn tự có là cơ sở để tính tỷ lệ an toàn vốn theo quy định tại Thông tư này, ngân hàng trừ 50% phần chênh lệch vào vốn lõi cấp 1 và 50% phần chênh lệch còn lại vào vốn cấp 2 trong 02 năm kể từ ngày được Ngân hàng Nhà nước chấp thuận áp dụng phương pháp xếp hạng nội bộ. Kể từ năm thứ ba trở đi, ngân hàng trừ toàn bộ phần chênh lệch vào vốn lõi cấp 1.
2. Trường hợp dự phòng rủi ro cao hơn tổn thất dự kiến, khi tính cấu phần vốn tự có là cơ sở để tính tỷ lệ an toàn vốn theo quy định tại Thông tư này, ngân hàng được xem xét cộng phần chênh lệch vào vốn cấp 2 nhưng không vượt quá 0,6% giá trị tài sản có rủi ro tín dụng khách hàng được tính theo phương pháp xếp hạng nội bộ.
Mục 8
CÁC YÊU CẦU TỐI THIỂU CỦA PHƯƠNG PHÁP XẾP HẠNG NỘI BỘ
Điều 63. Cấu phần và việc tuân thủ các yêu cầu tối thiểu
1. Ngân hàng áp dụng phương pháp xếp hạng nội bộ phải thiết lập ước tính rủi ro và tuân thủ các yêu cầu tối thiểu tại Mục này. Định kỳ hàng năm, ngân hàng phải đánh giá việc tuân thủ các yêu cầu này và báo cáo theo quy định tại khoản 2 Điều 75 Thông tư này.
2. Hệ thống, quy trình xếp hạng nội bộ và ước tính rủi ro phải đảm bảo:
a) Đưa ra đánh giá hợp lý về khách hàng, các đặc điểm của giao dịch, sự phân biệt rủi ro, ước tính rủi ro chính xác, nhất quán, đáng tin cậy và phù hợp với thông lệ quốc tế;
b) Phải được sử dụng nhất quán, phù hợp trong các hoạt động của ngân hàng.
3. Yêu cầu tối thiểu quy định tại Mục này áp dụng đối với toàn bộ các loại, nhóm, tiểu nhóm tài sản khi thực hiện phương pháp xếp hạng nội bộ.
Điều 64. Thiết kế hệ thống xếp hạng tín dụng nội bộ
1. Hệ thống xếp hạng tín dụng nội bộ bao gồm tất cả các phương pháp, quy trình, biện pháp kiểm soát, việc thu thập số liệu và hệ thống công nghệ thông tin nhằm hỗ trợ cho việc đánh giá rủi ro tín dụng khách hàng, xếp hạng, lượng hóa xác suất vỡ nợ và ước tính tổn thất.
2. Với mỗi loại tài sản, ngân hàng được sử dụng nhiều hệ thống xếp hạng tín dụng nội bộ. Ngân hàng được xây dựng hệ thống xếp hạng tín dụng nội bộ theo từng ngành hoặc phân khúc thị trường. Trường hợp lựa chọn sử dụng nhiều hệ thống xếp hạng tín dụng nội bộ, ngân hàng phải ghi rõ lý do sử dụng hệ thống xếp hạng tín dụng nội bộ đối với từng khách hàng trong hồ sơ và được áp dụng đảm bảo phản ánh đúng mức độ rủi ro của khách hàng. Ngân hàng không được chuyển khách hàng sang hệ thống xếp hạng tín dụng nội bộ khác một cách không hợp lý làm giảm thiểu các yêu cầu về vốn theo quy định.
3. Tiêu chuẩn xếp hạng
a) Đối với khoản phải đòi doanh nghiệp
Hệ thống xếp hạng tín dụng nội bộ phải có tiêu chuẩn, hướng dẫn đánh giá về rủi ro vỡ nợ của khách hàng. Rủi ro vỡ nợ của khách hàng phản ánh xác suất vỡ nợ của khách hàng:
(i) Các khoản phải đòi khác nhau của cùng một khách hàng có chung một mức xếp hạng dù các khoản phải đòi có các đặc điểm khác nhau, trừ các trường hợp sau:
- Các khoản phải đòi của một khách hàng bằng nhiều đồng tiền khác nhau;
- Khoản phải đòi áp dụng biện pháp giảm thiểu rủi ro tín dụng khách hàng bằng bảo lãnh hoặc sản phẩm phái sinh tín dụng;
(ii) Chính sách về quản lý rủi ro tín dụng khách hàng của ngân hàng phải quy định, mô tả về rủi ro tín dụng của khách hàng ở mỗi mức xếp hạng (each internal rating) thông qua xác suất vỡ nợ (PD) và các tiêu chí để phân loại khách hàng vào các mức xếp hạng khác nhau. Khách hàng có chất lượng tín dụng càng thấp phải được phân vào mức xếp hạng có rủi ro càng cao;
b) Đối với khoản phải đòi bán lẻ
(i) Hệ thống xếp hạng tín dụng nội bộ áp dụng đối với khoản phải đòi bán lẻ phải đánh giá được đặc điểm rủi ro của cả khách hàng và khoản phải đòi;
(ii) Ngân hàng phải phân loại được khoản phải đòi bán lẻ vào nhóm cụ thể và đảm bảo hệ thống xếp hạng tín dụng nội bộ của ngân hàng có khả năng phân biệt rủi ro giữa các nhóm khoản phải đòi bán lẻ, phân loại các khoản phải đòi bán lẻ vào các nhóm có đặc điểm tương đồng tùy theo mức độ rủi ro tín dụng khách hàng và ước tính chính xác và nhất quán tham số rủi ro của mỗi nhóm khoản phải đòi bán lẻ;
(iii) Khi phân nhóm cho các khoản phải đòi bán lẻ, ngân hàng xem xét các yếu tố sau đây:
- Đặc điểm rủi ro của khách hàng: loại hình khách hàng, thông tin nhân khẩu (như tuổi, nghề nghiệp)...;
- Đặc điểm rủi ro của khoản phải đòi: loại sản phẩm, tài sản bảo đảm (bao gồm tỷ lệ bảo đảm (loan to value), tác động của thời vụ (seasoning effect), bảo lãnh, sản phẩm phái sinh tín dụng, mức độ ưu tiên của khoản phải đòi đối với tài sản bảo đảm)...;
- Tình trạng quá hạn của khoản phải đòi.
4. Cơ cấu xếp hạng
a) Đối với khoản phải đòi doanh nghiệp
(i) Ngân hàng phải phân bổ các khoản phải đòi doanh nghiệp vào các mức xếp hạng theo quy định nội bộ;
(ii) Cơ cấu xếp hạng khách hàng (Obligor rating) được xây dựng như sau:
- Ngân hàng cần quy định tối thiểu 7 mức xếp hạng cho khách hàng không vỡ nợ và 1 mức xếp hạng cho khách hàng vỡ nợ. Trường hợp, chất lượng tín dụng của khách hàng thường xuyên thay đổi, ngân hàng có thể được yêu cầu xây dựng nhiều hơn số lượng tối thiểu mức xếp hạng cho khách hàng;
- Ngân hàng phải quy định cụ thể các tiêu chuẩn đánh giá rủi ro của khách hàng tại mỗi mức xếp hạng và ước tính xác suất vỡ nợ của khách hàng tại mức xếp hạng đó. Tiêu chuẩn đánh giá tại mỗi mức xếp hạng bao gồm định nghĩa về mức độ rủi ro vỡ nợ và các tiêu chí dùng để phân biệt mức độ rủi ro tín dụng khách hàng tại mỗi mức xếp hạng. Các mức xếp hạng có gắn ký hiệu “cộng” hoặc “trừ” chỉ đủ điều kiện là các mức xếp hạng riêng biệt trong trường hợp ngân hàng đã xây dựng mô tả đầy đủ về các mức xếp hạng, tiêu chí để xếp hạng và ước tính xác suất vỡ nợ của các mức xếp hạng đó;
- Trường hợp ngân hàng có danh mục cho vay tập trung vào một phân khúc thị trường cụ thể hoặc phạm vi rủi ro nhất định, ngân hàng phải xây dựng đầy đủ các mức xếp hạng trong phạm vi đó để tránh việc tập trung quá mức những khách hàng vào các mức xếp hạng cụ thể. Trường hợp có sự tập trung đáng kể khách hàng tại một hoặc một số mức xếp hạng, ngân hàng cần phải sử dụng các bằng chứng khoa học và dữ liệu lịch sử để đảm bảo các khách hàng được tập trung xếp vào mức xếp hạng đó có cùng xác suất vỡ nợ và rủi ro vỡ nợ của tất cả khách hàng thuộc vào khoảng vỡ nợ (PD band) của xếp hạng đó;
b) Đối với khoản phải đòi bán lẻ
(i) Ngân hàng phải ước tính PD, LGD và EAD của mỗi nhóm các khoản phải đòi bán lẻ. Việc phân nhóm phải đảm bảo số lượng khoản phải đòi trong mỗi nhóm là đủ lớn để cho phép thực hiện ước tính và kiểm định các tham số rủi ro ở cấp độ nhóm;
(ii) Ngân hàng phải phân bổ các khoản phải đòi bán lẻ vào các nhóm để đảm bảo không phân bổ tập trung quá mức vào một nhóm.
5. Tiêu chí xếp hạng
a) Ngân hàng phải xây dựng các định nghĩa, quy trình, tiêu chí xếp hạng cụ thể và phân chia thành các mức xếp hạng khác nhau trong hệ thống xếp hạng tín dụng nội bộ để phân biệt được mức độ rủi ro của mỗi mức xếp hạng. Hệ thống xếp hạng tín dụng nội bộ phải đáp ứng đầy đủ các tiêu chí sau đây:
(i) Các mô tả về mỗi mức xếp hạng và tiêu chí xếp hạng phải đủ chi tiết để thực hiện một cách nhất quán việc xếp cùng hạng đối với các khách hàng và khoản phải đòi có mức độ rủi ro tương tự. Yêu cầu này phải được thực hiện thống nhất trong nội bộ ngân hàng;
(ii) Định nghĩa và tiêu chí của mỗi mức xếp hạng phải được quy định cụ thể, chi tiết bằng văn bản, cho phép các bộ phận độc lập khác trong ngân hàng (như kiểm toán nội bộ) và cơ quan quản lý hiểu rõ, rà soát và đánh giá mức độ phù hợp của mỗi mức xếp hạng;
(iii) Các tiêu chí xếp hạng phải thống nhất với quy định nội bộ về tiêu chuẩn, điều kiện cấp tín dụng, cơ cấu lại thời hạn trả nợ, mua, bán và xử lý nợ xấu của ngân hàng;
b) Ngân hàng phải sử dụng tất cả các thông tin cập nhật, hữu ích có liên quan của khách hàng mà ngân hàng đã có để phục vụ cho việc xếp hạng khách hàng và khoản phải đòi. Trường hợp nhận định các thông tin đã có là chưa đủ, ngân hàng phải thận trọng hơn trong việc xếp hạng khách hàng. Trường hợp ngân hàng sử dụng xếp hạng của doanh nghiệp xếp hạng tín nhiệm độc lập là yếu tố chính để quyết định xếp hạng nội bộ, ngân hàng phải đảm bảo xem xét thêm các thông tin liên quan khác.
6. Phạm vi xếp hạng
a) Khoảng thời gian của các thông tin, dữ liệu được ngân hàng sử dụng trong xếp hạng phải đảm bảo tối thiểu 01 năm;
b) Xếp hạng khách hàng phải phản ánh khả năng và thiện chí thực hiện các nghĩa vụ của khách hàng khi xảy ra những điều kiện kinh tế bất lợi hoặc sự kiện không dự đoán được. Các điều kiện kinh tế được cân nhắc khi thực hiện xếp hạng phải thống nhất với các điều kiện kinh tế hiện tại và điều kiện kinh tế có thể xuất hiện trong một chu kỳ kinh doanh của ngành, lĩnh vực hoặc khu vực địa lý;
c) Ước tính xác suất vỡ nợ đối với các khách hàng có tỷ lệ đòn bẩy cao hoặc các khách hàng có tài sản chủ yếu là các tài sản được giao dịch trên sàn giao dịch (traded assets) phải phản ánh khả năng sinh lời của tài sản của khách hàng trong các thời điểm có nhiều biến động như giai đoạn khủng hoảng;
d) Ngân hàng phải duy trì quan điểm thận trọng khi đánh giá tác động của điều kiện kinh tế và những sự kiện trong tương lai có thể ảnh hưởng đến tình hình tài chính của khách hàng. Trường hợp thông tin không đầy đủ, ngân hàng phải thực hiện đánh giá một cách thận trọng.
7. Quy định nội bộ về quản trị mô hình được sử dụng để xếp hạng khách hàng hoặc khoản phải đòi và ước tính các tham số rủi ro PD, LGD, EAD phải đáp ứng các yêu cầu sau:
a) Ngân hàng phải ban hành quy định nội bộ về quản trị mô hình, trong đó tối thiểu bao gồm các nội dung sau:
(i) Nhận dạng, đánh giá, theo dõi và kiểm soát các rủi ro của mô hình tại từng giai đoạn của vòng đời mô hình (như thiết kế, vận hành, sử dụng, kiểm định, giám sát, điều chỉnh mô hình...);
(ii) Các tiêu chí cụ thể để xác định mức độ rủi ro của mô hình, trình tự rà soát và xử lý các trường hợp không đáp ứng yêu cầu đối với từng mức độ rủi ro đã xác định;
(iii) Lựa chọn và sử dụng mô hình bên ngoài (nếu có);
(iv) Chức năng, nhiệm vụ của các cá nhân, bộ phận tham gia quản trị mô hình, trong đó có trách nhiệm giám sát của Hội đồng quản trị, Hội đồng thành viên và Tổng Giám đốc (Giám đốc), có trách nhiệm của cá nhân, bộ phận phê duyệt mô hình;
(v) Yêu cầu lưu trữ thông tin về quản trị mô hình và chế độ báo cáo;
(vi) Yêu cầu khác liên quan đến quản lý rủi ro mô hình theo quy định của pháp luật;
b) Các quy định về quản trị mô hình được xây dựng và thường xuyên cập nhật phù hợp với hoạt động quản lý rủi ro chung của ngân hàng, điều kiện thị trường, sản phẩm và chiến lược, các hoạt động của ngân hàng và thực tiễn hoạt động của ngành;
c) Ngân hàng thực hiện rà soát quy định về quản trị mô hình tối thiểu định kỳ hàng năm nhằm đảm bảo mô hình được sử dụng và quản lý rủi ro phù hợp, hiệu quả.
8. Các yêu cầu tối thiểu đối với mô hình được sử dụng để xếp hạng khách hàng hoặc khoản phải đòi và ước tính tham số rủi ro PD, LGD, EAD bao gồm:
a) Duy trì quy trình chuẩn hoá dữ liệu đầu vào của mô hình, bao gồm việc đánh giá về tính chính xác, đầy đủ, phù hợp của dữ liệu và điều chỉnh dữ liệu nếu cần thiết;
b) Đảm bảo dữ liệu chọn mẫu để xây dựng mô hình phải đại diện cho tổng thể về khách hàng, khoản phải đòi của dữ liệu đầu vào của mô hình;
c) Đảm bảo các tham số đầu vào của mô hình hợp lý;
d) Có quy định bằng văn bản hướng dẫn việc kết hợp kết quả xếp hạng của con người và kết quả của mô hình. Các đánh giá của con người cần cân nhắc tất cả các thông tin có liên quan chưa được xem xét đến trong mô hình;
đ) Có quy định hướng dẫn về việc con người thực hiện rà soát kết quả xếp hạng từ mô hình, bao gồm các quy trình phát hiện, hạn chế các sai sót từ các điểm yếu của mô hình và cải thiện chất lượng mô hình;
e) Có quy trình kiểm định mô hình (validation process) và việc kiểm định phải thực hiện định kỳ trong suốt quá trình hoạt động của mô hình. Quy trình kiểm định mô hình bao gồm tối thiểu việc giám sát hiệu năng và tính ổn định của mô hình, rà soát các mối quan hệ của mô hình và so sánh kết quả của mô hình với các kết quả thực tế. Quy trình kiểm định mô hình phải đánh giá được tất cả các đặc tính của mô hình (như khả năng phân biệt, thứ tự xếp hạng, tính ổn định của xếp hạng...);
g) Mô hình có khả năng dự đoán tốt và không làm sai lệch các yêu cầu về vốn. Các ước tính đầu ra của mô hình tại các mức xếp hạng khách hàng hoặc khoản phải đòi phải được kiểm định, đảm bảo tính chính xác và không có sai lệch trọng yếu đối với các giá trị ước tính;
h) Có cá nhân, bộ phận để xem xét các thông tin có liên quan đến mô hình (bao gồm cả những thông tin bên ngoài phạm vi của mô hình) và để đảm bảo mô hình được sử dụng phù hợp.
9. Quy định bằng văn bản đối với việc xây dựng hệ thống xếp hạng tín dụng nội bộ:
a) Ngân hàng phải ban hành quy định nội bộ về thiết kế và vận hành của hệ thống xếp hạng tín dụng nội bộ tối thiểu bao gồm các nội dung sau:
(i) Phân biệt danh mục;
(ii) Tiêu chí xếp hạng;
(iii) Vai trò và trách nhiệm của các bên tham gia xếp hạng khách hàng và khoản phải đòi;
(iv) Trường hợp ngoại lệ trong xếp hạng và bên có thẩm quyền phê duyệt trường hợp ngoại lệ;
(v) Tần suất rà soát lại mức xếp hạng;
(vi) Giám sát của quản lý cấp cao đối với quy trình xếp hạng;
(vii) Lý do cho việc lựa chọn các tiêu chí hoặc các phân tích chứng minh các tiêu chí và quy trình xếp hạng khách hàng có khả năng phân biệt rủi ro. Các tiêu chí và quy trình này phải được rà soát định kỳ để đảm bảo phù hợp với danh mục cấp tín dụng hiện tại của ngân hàng và các điều kiện bên ngoài;
(viii) Lưu trữ những thay đổi của hệ thống xếp hạng tín dụng nội bộ trong quá khứ bao gồm cả những thay đổi theo yêu cầu của Ngân hàng Nhà nước;
(ix) Cơ cấu tổ chức, quy trình thực hiện việc xếp hạng (bao gồm cả kiểm soát nội bộ đối với việc xếp hạng);
(x) Có định nghĩa khách hàng vỡ nợ, tổn thất và yêu cầu phải sử dụng các định nghĩa này một cách nhất quán trong nội bộ ngân hàng;
b) Ngân hàng phải ban hành quy định nội bộ về phương pháp luận của mô hình thống kê sử dụng trong quá trình xếp hạng, tối thiểu bao gồm các thông tin sau:
(i) Chi tiết về lý thuyết, các giả định, phương pháp thống kê và toán học được sử dụng trong xếp hạng, phân bổ kết quả ước tính theo hạng, theo khách hàng đơn lẻ, theo khoản phải đòi hoặc nhóm khoản phải đòi và nguồn thông tin sử dụng để ước tính mô hình;
(ii) Quy trình thống kê để kiểm định mô hình (gồm kiểm định bên ngoài mẫu và kiểm định ngoài khung thời gian (out of time and out of sample performance test));
(iii) Các tình huống mà mô hình hoạt động không hiệu quả;
c) Trường hợp ngân hàng mua mô hình từ bên thứ ba hoặc thuê bên thứ ba trong giai đoạn phát triển mô hình hoặc sử dụng xếp hạng được cung cấp từ mô hình của bên thứ ba, ngân hàng vẫn phải tuân thủ các quy định tại Thông tư này. Ngân hàng phải giải trình hoặc đảm bảo bên thứ ba phối hợp giải trình cho Ngân hàng Nhà nước về việc tuân thủ quy định tại khoản 7 và khoản 8 Điều này và các quy định khác tại Thông tư này khi có yêu cầu.
Điều 65. Vận hành hệ thống xếp hạng tín dụng nội bộ
1. Phạm vi xếp hạng
a) Đối với khoản phải đòi doanh nghiệp, tất cả các khách hàng, bên bảo lãnh và bên bán sản phẩm phái sinh tín dụng được ghi nhận là biện pháp giảm thiểu rủi ro tín dụng khách hàng phải được xếp hạng;
b) Đối với các khoản phải đòi bán lẻ, ngân hàng phải phân loại các khoản phải đòi vào các nhóm và xếp hạng cho các nhóm đó;
c) Việc xếp hạng tại điểm a và điểm b khoản này phải là một phần của quy trình phê duyệt cấp tín dụng.
2. Đảm bảo tính trung thực của quy trình xếp hạng
a) Việc xếp hạng và định kỳ đánh giá lại kết quả xếp hạng phải đảm bảo tính trung thực. Các chính sách và quy trình cấp tín dụng phải quy định về các biện pháp kiểm soát đảm bảo tính độc lập của quy trình xếp hạng;
b) Yêu cầu tối thiểu đối với khoản phải đòi doanh nghiệp:
(i) Ngân hàng phải quy định về tần suất đánh giá lại kết quả xếp hạng tối thiểu định kỳ hàng năm và đột xuất trên cơ sở mức độ rủi ro của khách hàng. Các khoản phải đòi của những khách hàng rủi ro cao hoặc là các khoản phải đòi có vấn đề sẽ phải được đánh giá lại với tần suất thường xuyên hơn. Trường hợp phát sinh thông tin trọng yếu về khách hàng hoặc khoản phải đòi thì ngân hàng phải thực hiện quy trình đánh giá lại kết quả xếp hạng;
(ii) Ngân hàng phải có quy trình hiệu quả để thu thập và cập nhật thông tin liên quan và trọng yếu về tình hình tài chính của khách hàng, các đặc điểm của khoản phải đòi có khả năng ảnh hưởng đến LGD và EAD (như tình trạng của tài sản bảo đảm...). Căn cứ những thông tin này, ngân hàng phải có quy trình để kịp thời cập nhật xếp hạng của khách hàng;
c) Yêu cầu tối thiểu đối với khoản phải đòi bán lẻ:
(i) Ngân hàng phải đánh giá lại đặc điểm tổn thất và tình trạng quá hạn của mỗi nhóm khoản phải đòi theo định kỳ;
(ii) Ngân hàng phải đánh giá lại tình trạng của khách hàng trong từng nhóm để đảm bảo tính chính xác của việc phân loại khoản phải đòi vào nhóm. Ngân hàng được thực hiện đánh giá mẫu đại diện các khoản phải đòi trong nhóm.
3. Điều chỉnh mức xếp hạng
a) Đối với phương pháp xếp hạng dựa vào ý kiến chuyên gia, ngân hàng phải quy định rõ các trường hợp cá nhân phụ trách có thể điều chỉnh kết quả xếp hạng, trong đó bao gồm cách thức, phạm vi và đối tượng sử dụng kết quả điều chỉnh;
b) Đối với phương pháp xếp hạng dựa vào mô hình, ngân hàng phải có hướng dẫn và quy trình giám sát các trường hợp có ý kiến chuyên gia điều chỉnh kết quả xếp hạng của mô hình, loại trừ các tham số của mô hình hoặc thay thế các giá trị đầu vào cho mô hình;
c) Các hướng dẫn của ngân hàng quy định tại điểm a và điểm b khoản này phải bao gồm quy định về cá nhân, bộ phận chịu trách nhiệm phê duyệt cho việc điều chỉnh này. Ngân hàng phải nhận diện và theo dõi độc lập khoản phải đòi được thay đổi kết quả xếp hạng để làm cơ sở cho việc đánh giá về sau.
4. Lưu trữ dữ liệu
a) Ngân hàng phải thu thập và lưu trữ dữ liệu quan trọng về khách hàng và đặc điểm khoản phải đòi đảm bảo:
(i) Các thông tin, dữ liệu hỗ trợ hiệu quả cho quy trình đo lường, quản lý rủi ro tín dụng nội bộ của ngân hàng, đáp ứng các yêu cầu tối thiểu và làm cơ sở để lập báo cáo gửi Ngân hàng Nhà nước;
(ii) Các thông tin và dữ liệu phải đủ chi tiết để cho phép xếp hạng lại khách hàng và khoản phải đòi đã được xếp hạng trong quá khứ;
(iii) Ngân hàng phải thu thập và lưu trữ dữ liệu đáp ứng các yêu cầu về công bố thông tin;
b) Đối với khoản phải đòi doanh nghiệp, ngân hàng phải lưu trữ:
(i) Dữ liệu lịch sử xếp hạng về khách hàng, bên bảo lãnh hoặc bên bán sản phẩm phái sinh tín dụng được ghi nhận là biện pháp giảm thiểu rủi ro tín dụng khách hàng. Các dữ liệu này gồm kết quả xếp hạng, ngày xếp hạng, phương pháp xếp hạng, các thông tin, dữ liệu chính sử dụng để xếp hạng và cá nhân, bộ phận chịu trách nhiệm xếp hạng hoặc mô hình được lựa chọn để xếp hạng;
(ii) Dữ liệu vỡ nợ tối thiểu bao gồm thông tin khách hàng, khoản phải đòi vỡ nợ, thời điểm vỡ nợ, tình huống phát sinh vỡ nợ, thời điểm thu hồi, giá trị thu hồi;
(iii) Dữ liệu ước tính PD, tỷ lệ vỡ nợ thực tế tương ứng các hạng và dữ liệu chuyển hạng thực tế để đánh giá khả năng dự báo của hệ thống xếp hạng tín dụng nội bộ;
(iv) Các thông tin thích hợp khác được thu thập thêm như dữ liệu về tổn thất, lịch sử thu hồi của khoản phải đòi doanh nghiệp...;
c) Đối với khoản phải đòi bán lẻ, ngân hàng phải lưu trữ:
(i) Dữ liệu sử dụng trong quá trình phân loại các khoản phải đòi vào các nhóm bao gồm dữ liệu về khách hàng và các đặc điểm rủi ro của giao dịch, dữ liệu về quá hạn;
(ii) Dữ liệu tham số rủi ro PD, LGD, EAD đã ước tính cho các nhóm khoản phải đòi;
(iii) Dữ liệu về nhóm khoản phải đòi trong thời gian 01 năm trước khi vỡ nợ và các giá trị LGD và EAD thực tế cho các khoản phải đòi bán lẻ vỡ nợ.
5. Kiểm tra sức chịu đựng
a) Ngân hàng phải thực hiện quy trình kiểm tra sức chịu đựng trong đánh giá nội bộ về mức đủ vốn. Việc kiểm tra sức chịu đựng phải bao gồm tối thiểu các nội dung sau:
(i) Xác định những sự kiện hoặc các thay đổi trong tương lai của nền kinh tế có thể xảy ra và có thể tác động bất lợi đến khoản phải đòi của ngân hàng;
(ii) Đánh giá khả năng chịu đựng về mức đủ vốn của ngân hàng với các thay đổi đó;
(iii) Các kịch bản được sử dụng như suy thoái kinh tế hoặc ngành, các sự kiện rủi ro thị trường, các trạng thái thanh khoản;
b) Ngân hàng phải thực hiện kiểm tra sức chịu đựng rủi ro tín dụng khách hàng để đánh giá tác động của một số điều kiện cụ thể đến tỷ lệ an toàn vốn xác định theo phương pháp xếp hạng nội bộ;
c) Khi thực hiện kiểm tra sức chịu đựng theo quy định tại điểm a và điểm b khoản này, ngân hàng phải xem xét các nguồn thông tin sau:
(i) Dữ liệu của ngân hàng cho phép ước tính sự dịch chuyển xếp hạng của một số khoản phải đòi;
(ii) Thông tin về tác động của sự suy giảm trong hoạt động tín dụng (nếu có) đến các xếp hạng để đưa ra tình huống căng thẳng có mức suy giảm lớn hơn;
(iii) Ngân hàng đánh giá bằng chứng của sự dịch chuyển hạng của xếp hạng tín nhiệm độc lập, bao gồm cả việc ngân hàng phân loại các nhóm xếp hạng của ngân hàng tương ứng với nhóm xếp hạng của doanh nghiệp xếp hạng tín nhiệm độc lập;
d) Ngân hàng thực hiện kiểm tra sức chịu đựng quy định tại điểm a và điểm b khoản này theo phương pháp phù hợp với đặc điểm ngân hàng, đảm bảo tuân thủ quy định của Ngân hàng Nhà nước về kiểm tra sức chịu đựng.
Điều 66. Quản trị và giám sát
1. Hội đồng quản trị, Hội đồng thành viên (đối với ngân hàng thương mại) hoặc Tổng giám đốc (Giám đốc) (đối với chi nhánh ngân hàng nước ngoài) có trách nhiệm và quyền hạn sau:
a) Hiểu về các mục tiêu và ý nghĩa của hệ thống xếp hạng tín dụng nội bộ (bao gồm cả sử dụng hệ thống xếp hạng tín dụng nội bộ, ước tính tham số rủi ro, kiểm tra sức chịu đựng);
b) Đánh giá và phê duyệt nội dung quan trọng của hệ thống xếp hạng tín dụng nội bộ theo quy định nội bộ của ngân hàng;
c) Giám sát Tổng giám đốc (Giám đốc) (đối với ngân hàng thương mại) trong việc triển khai và duy trì hệ thống xếp hạng tín dụng nội bộ.
2. Trách nhiệm và quyền hạn của Tổng giám đốc (Giám đốc):
a) Hiểu chi tiết về thiết kế và vận hành của hệ thống xếp hạng tín dụng nội bộ;
b) Ban hành các quy trình nội bộ liên quan đến hệ thống xếp hạng tín dụng nội bộ;
c) Duy trì tính phù hợp và việc sử dụng của hệ thống xếp hạng tín dụng nội bộ;
d) Định kỳ báo cáo Hội đồng quản trị, Hội đồng thành viên (đối với ngân hàng thương mại), báo cáo ngân hàng mẹ (đối với chi nhánh ngân hàng nước ngoài) về các vấn đề quan trọng của hệ thống xếp hạng tín dụng nội bộ theo quy định nội bộ của ngân hàng;
đ) Giám sát các cá nhân, bộ phận trong thực hiện các nhiệm vụ liên quan đến hệ thống xếp hạng tín dụng nội bộ (bao gồm cả xếp hạng, kiểm soát rủi ro tín dụng khách hàng, kiểm định, sử dụng của hệ thống xếp hạng tín dụng nội bộ và kiểm tra sức chịu đựng).
3. Có cá nhân, bộ phận trình Tổng giám đốc (Giám đốc) để báo cáo Hội đồng quản trị, Hội đồng thành viên (đối với ngân hàng thương mại) hoặc trình Tổng giám đốc (Giám đốc) (đối với chi nhánh ngân hàng nước ngoài) tối thiểu định kỳ hàng năm theo quy định nội bộ về các nội dung sau:
a) Thông tin về xếp hạng nội bộ, ước tính tham số rủi ro và kết quả kiểm tra sức chịu đựng phải được tích hợp vào báo cáo nội bộ về quản lý rủi ro theo quy định nội bộ của ngân hàng;
b) Đối với rủi ro tín dụng khách hàng, báo cáo phải tối thiểu bao gồm các nội dung sau:
(i) Hồ sơ rủi ro theo từng mức xếp hạng cho khách hàng và khoản phải đòi đối với khoản phải đòi doanh nghiệp hoặc cho nhóm khoản phải đòi đối với trường hợp khoản phải đòi bán lẻ;
(ii) Sự chuyển hạng;
(iii) Những thay đổi trong ước tính tham số rủi ro cho khách hàng và khoản phải đòi đối với khoản phải đòi doanh nghiệp hoặc cho nhóm khoản phải đòi đối với khoản phải đòi bán lẻ;
(iv) So sánh các giá trị thực tế với giá trị ước tính của PD, LGD và EAD;
(v) Những thay đổi theo thời gian trong vốn yêu cầu theo phương pháp xếp hạng nội bộ;
(vi) Kết quả kiểm tra sức chịu đựng rủi ro tín dụng khách hàng;
(vii) Kết quả kiểm định;
(viii) Báo cáo từ kiểm toán nội bộ và bộ phận có chức năng kiểm soát rủi ro tín dụng khách hàng về vấn đề trọng yếu trong hệ thống xếp hạng tín dụng nội bộ.
4. Kiểm soát rủi ro tín dụng khách hàng
a) Ngân hàng phải có bộ phận đảm nhiệm chức năng kiểm soát rủi ro tín dụng khách hàng chịu trách nhiệm cho việc thiết kế hoặc lựa chọn, triển khai và vận hành của hệ thống xếp hạng tín dụng nội bộ. Bộ phận có chức năng kiểm soát rủi ro tín dụng này phải độc lập về cơ cấu tổ chức với bộ phận chịu trách nhiệm cấp tín dụng;
b) Nhiệm vụ của bộ phận có chức năng kiểm soát rủi ro tín dụng khách hàng tối thiểu bao gồm:
(i) Kiểm tra và giám sát các mức xếp hạng;
(ii) Thực hiện kiểm tra sức chịu đựng rủi ro tín dụng khách hàng;
(iii) Lập báo cáo tóm tắt và phân tích hệ thống xếp hạng tín dụng nội bộ, trong đó bao gồm dữ liệu vỡ nợ lịch sử được xếp theo hạng tại thời điểm vỡ nợ và 01 năm trước khi xảy ra vỡ nợ, phân tích chuyển hạng, theo dõi xu hướng của các tiêu chí xếp hạng chính;
(iv) Đảm bảo độ tin cậy và tính nhất quán của ước tính tham số rủi ro, bao gồm việc thực hiện các quy trình để xác minh các định nghĩa xếp hạng được áp dụng thống nhất trong nội bộ ngân hàng;
(v) Rà soát và ghi nhận những thay đổi trong quá trình xếp hạng bao gồm cả lý do thay đổi;
(vi) Rà soát các tiêu chí xếp hạng để đánh giá tính dự báo rủi ro của các tiêu chí này. Những thay đổi của quy trình xếp hạng, các tiêu chí hoặc từng tham số xếp hạng phải được ghi nhận và lưu trữ phục vụ cho hoạt động rà soát, đánh giá của Ngân hàng Nhà nước;
(vii) Tham gia vào công tác quản trị mô hình xuyên suốt vòng đời mô hình;
(viii) Chịu trách nhiệm giám sát, đánh giá định kỳ đối với tác động từ kết quả và những thay đổi của các mô hình được sử dụng trong quá trình xếp hạng đến việc đo lường rủi ro tín dụng khách hàng.
5. Kiểm toán nội bộ và kiểm toán độc lập
a) Hoạt động và vận hành của hệ thống xếp hạng tín dụng nội bộ của ngân hàng phải được kiểm toán nội bộ hoặc kiểm toán độc lập rà soát tối thiểu định kỳ hàng năm. Kết quả rà soát phải được ghi nhận và lưu trữ đầy đủ;
b) Nội dung rà soát tối thiểu bao gồm:
(i) Hoạt động của bộ phận có chức năng kiểm soát tín dụng;
(ii) Ước tính PD, LGD, EAD;
(iii) Việc tuân thủ các yêu cầu tối thiểu của phương pháp xếp hạng nội bộ.
Điều 67. Sử dụng hệ thống xếp hạng tín dụng nội bộ
1. Phạm vi sử dụng
a) Ngân hàng không được sử dụng hệ thống xếp hạng tín dụng nội bộ chỉ riêng cho mục đích tính tài sản có rủi ro tín dụng khách hàng. Hệ thống xếp hạng tín dụng nội bộ của ngân hàng phải được sử dụng và có vai trò quan trọng trong các hoạt động khác, tối thiểu bao gồm: phê duyệt tín dụng, quản lý rủi ro, phân bổ vốn nội bộ và báo cáo;
b) Ngân hàng không nhất thiết sử dụng cùng một ước tính tham số rủi ro (như PD, LGD) giống hệt nhau khi tính tài sản có rủi ro tín dụng khách hàng và khi sử dụng cho mục đích nội bộ khác. Ngân hàng cần quy định cụ thể về việc sử dụng và lưu trữ thông tin những khác biệt này theo quy định nội bộ của ngân hàng.
2. Ngân hàng phải sử dụng hệ thống xếp hạng tín dụng nội bộ cho các mục đích quy định tại điểm a khoản 1 Điều này đảm bảo đáp ứng các yêu cầu quy định tại Mục này tối thiểu 02 năm liên tục liền kề trước thời điểm nộp hồ sơ đề nghị chấp thuận áp dụng phương pháp xếp hạng nội bộ theo Điều 7 Thông tư này. Trường hợp ngân hàng sửa đổi hệ thống xếp hạng tín dụng nội bộ theo hướng kém thận trọng hơn, ngân hàng phải tính lại thời hạn 02 năm kể từ thời điểm sử dụng hệ thống xếp hạng tín dụng nội bộ đã sửa đổi.
Điều 68. Ước tính tham số rủi ro
1. Yêu cầu chung về ước tính tham số rủi ro:
a) Ngân hàng sử dụng phương pháp xếp hạng nội bộ để ước tính PD đối với khoản phải đòi doanh nghiệp cho từng hạng khách hàng, ước tính PD đối với nhóm khoản phải đòi bán lẻ;
b) Ước tính PD phải dựa trên tỷ lệ vỡ nợ trung bình 01 năm trong lịch sử đã quan sát được (the observed historical average one-year default rate);
c) Ngân hàng phải kết hợp tất cả dữ liệu, thông tin, phương pháp có liên quan, có sẵn và quan trọng để ước tính tham số rủi ro. Các ước tính phải dựa trên dữ liệu lịch sử và kinh nghiệm quá khứ, không được chỉ dựa hoàn toàn trên ý kiến chuyên gia. Các thay đổi trong thực tiễn về phương thức cấp tín dụng hoặc quy trình thu hồi nợ trong thời gian quan sát đều phải được xem xét trong quá trình ước tính. Các ước tính của ngân hàng phải phản ánh kịp thời những tác động của tiến bộ kỹ thuật, dữ liệu mới và thông tin liên quan khác (nếu có). Ngân hàng phải rà soát, đánh giá lại ước tính tối thiểu định kỳ hàng năm;
d) Khi ước tính tham số rủi ro, ngân hàng được sử dụng một hoặc kết hợp một số nguồn dữ liệu bao gồm: dữ liệu nội bộ, dữ liệu từ các nguồn bên ngoài, dữ liệu theo nhóm khách hàng (pooled data sources). Trong trường hợp kết hợp các nguồn dữ liệu, ngân hàng phải sử dụng tất cả các nguồn dữ liệu quan trọng và phù hợp, đại diện cho dữ liệu lịch sử trong dài hạn của ngân hàng;
đ) Tổng thể danh mục khoản phải đòi (population) được đại diện trong dữ liệu sử dụng để ước tính, tiêu chuẩn cấp tín dụng được sử dụng khi dữ liệu được tạo ra phải tương đương hoặc có thể so sánh được với danh mục khoản phải đòi, tiêu chuẩn cấp tín dụng của ngân hàng trong thực tế. Ngân hàng phải tính đến điều kiện kinh tế hoặc thị trường liên quan đến dữ liệu phù hợp với điều kiện hiện tại hoặc điều kiện có thể dự đoán trước trong tương lai. Số lượng khoản phải đòi trong mẫu (sample) và khoảng thời gian dữ liệu được sử dụng phải đầy đủ để đảm bảo tính chính xác (accuracy) và chắc chắn (robustness) của ước tính. Kỹ thuật ước tính phải đảm bảo đáp ứng yêu cầu trong các kiểm định ngoài mẫu (out of sample tests);
e) Ngân hàng phải quy định biên độ thận trọng (margin of conservatism) liên quan đến các sai sót khi ước tính PD, LGD, EAD. Trường hợp các phương pháp và dữ liệu chưa đạt yêu cầu hoặc phạm vi sai sót có thể lớn hơn, ngân hàng phải áp dụng biên độ thận trọng lớn hơn;
g) Định nghĩa về tổn thất được sử dụng để ước tính LGD là tổn thất kinh tế. Khi đo lường tổn thất kinh tế, tất cả các yếu tố có liên quan phải được tính đến (bao gồm cả các chi phí trực tiếp và gián tiếp liên quan đến việc thu hồi khoản cấp tín dụng);
h) Ngoài việc đáp ứng yêu cầu chung tại khoản này, ước tính PD của khoản phải đòi doanh nghiệp phải đáp ứng yêu cầu tối thiểu quy định tại khoản 2 Điều này và Điều 42 Thông tư này, ước tính PD, LGD, EAD của khoản phải đòi bán lẻ phải đáp ứng yêu cầu tối thiểu quy định tại khoản 3 Điều này, Điều 50, 51, 52 và 53 Thông tư này.
2. Yêu cầu tối thiểu đối với ước tính PD của khoản phải đòi doanh nghiệp
a) Khi ước tính PD trung bình cho mỗi mức xếp hạng, ngân hàng phải sử dụng các thông tin và kỹ thuật có liên quan theo kinh nghiệm ước tính trong dài hạn. Ước tính PD phải được tính trên cơ sở số liệu bình quân trong dài hạn của tỷ lệ vỡ nợ thực tế trong vòng 01 năm đối với các khách hàng trong từng mức xếp hạng (a long-run average of one-year default rates for borrowers in the grade);
b) Ngân hàng được lựa chọn sử dụng một hoặc kết hợp các phương pháp quy định tại điểm c, d và đ khoản này khi ước tính PD;
c) Sử dụng dữ liệu vỡ nợ nội bộ trong quá khứ như sau:
(i) Ngân hàng được sử dụng thông tin, dữ liệu vỡ nợ quá khứ để ước tính PD. Việc sử dụng phải đảm bảo có xem xét đến sự khác biệt giữa số liệu từ hệ thống xếp hạng quá khứ và hiện tại;
(ii) Ngân hàng phải áp dụng biên độ thận trọng cao hơn đối với ước tính PD trong các trường hợp như thông tin không có sẵn, các quy định phê duyệt tín dụng đã thay đổi ảnh hưởng trọng yếu đến ước tính PD;
(iii) Trường hợp hệ thống xếp hạng tín dụng nội bộ và tiêu chí đánh giá về việc thu thập dữ liệu của ngân hàng và ngân hàng khác là tương đồng với nhau, ngân hàng được thu thập dữ liệu từ ngân hàng khác đó khi ước tính PD;
d) So sánh với dữ liệu bên ngoài như sau:
(i) Ngân hàng được so sánh xếp hạng nội bộ của mình với đánh giá xếp hạng của các doanh nghiệp xếp hạng tín nhiệm độc lập hoặc Trung tâm thông tin tín dụng quốc gia Việt Nam và sử dụng kết quả đánh giá của các tổ chức này khi ước tính PD của khách hàng;
(ii) Khi so sánh mức xếp hạng, ngân hàng phải so sánh các tiêu chí hoặc nhân tố sử dụng để xếp hạng với các tiêu chí hoặc nhân tố của doanh nghiệp xếp hạng tín nhiệm độc lập hoặc Trung tâm thông tin tín dụng quốc gia Việt Nam sử dụng để loại bỏ các yếu tố không nhất quán;
(iii) Ngân hàng phải có quy định bằng văn bản hướng dẫn việc so sánh kết quả xếp hạng nội bộ của doanh nghiệp xếp hạng tín nhiệm độc lập hoặc Trung tâm thông tin tín dụng quốc gia Việt Nam. Trường hợp có sự khác biệt trong định nghĩa về khách hàng vỡ nợ với doanh nghiệp xếp hạng tín nhiệm độc lập, ngân hàng phải điều chỉnh ước tính PD tương ứng;
đ) Mô hình thống kê dữ liệu vỡ nợ như sau:
Ngân hàng được phép sử dụng số liệu bình quân ước tính PD của từng khách hàng ở một mức xếp hạng, trong đó số liệu ước tính PD là kết quả tính của mô hình thống kê;
e) Ngân hàng được sử dụng các đánh giá chủ quan để bổ trợ cho các phương pháp ước tính PD, bao gồm cả các trường hợp hạn chế thông tin;
g) Thời gian thu thập dữ liệu lịch sử của mỗi nguồn dữ liệu (bao gồm dữ liệu nội bộ, dữ liệu từ các nguồn bên ngoài, dữ liệu theo nhóm khách hàng hoặc kết hợp các nguồn) phải tối thiểu là 05 năm liên tục tính đến thời điểm gần nhất mà ngân hàng sử dụng để ước tính PD. Trường hợp ngân hàng có nguồn dữ liệu quan trọng, phù hợp và dài hơn 05 năm, ngân hàng phải sử dụng nguồn dữ liệu này để ước tính PD. Thời gian dữ liệu bao gồm sự kết hợp giữa các năm có điều kiện kinh tế thuận lợi và điều kiện kinh tế khó khăn.
3. Yêu cầu tối thiểu đối với ước tính PD của khoản phải đòi bán lẻ như sau:
a) Nguồn dữ liệu
(i) Ngân hàng phải sử dụng dữ liệu nội bộ là nguồn thông tin chính để ước tính;
(ii) Ngân hàng được sử dụng các nguồn dữ liệu bên ngoài hoặc dữ liệu từ các mô hình thống kê để ước tính PD khi đáp ứng đầy đủ điều kiện sau:
- Quy trình phân chia từng khoản phải đòi bán lẻ vào nhóm tương đồng với quy trình được sử dụng bằng nguồn dữ liệu bên ngoài;
- Hồ sơ rủi ro của khách hàng tại ngân hàng tương đồng với thông tin của nguồn dữ liệu bên ngoài.
b) Ngân hàng được ước tính PD trung bình dài hạn theo một trong các phương pháp sau đây:
(i) Ước tính PD trung bình dài hạn dựa vào tỷ lệ tổn thất dài hạn dự kiến chia cho LGD trung bình trong dài hạn theo trọng số vỡ nợ. Trong đó, ước tính LGD phải đáp ứng các yêu cầu tối thiểu quy định tại Thông tư này;
(ii) Phương pháp khác theo quy định nội bộ của ngân hàng;
c) Thời gian thu thập dữ liệu lịch sử của một nguồn dữ liệu phải tối thiểu là 05 năm liên tục tính đến thời điểm gần nhất mà ngân hàng sử dụng để ước tính PD. Trường hợp ngân hàng có nguồn dữ liệu quan trọng, phù hợp và dài hơn 05 năm, ngân hàng phải sử dụng nguồn dữ liệu này để ước tính PD. Thời gian dữ liệu bao gồm sự kết hợp giữa các năm có điều kiện kinh tế thuận lợi và điều kiện kinh tế khó khăn liên quan đến danh mục.
Điều 69. Kiểm định ước tính nội bộ
1. Ngân hàng phải có quy trình và nội dung kiểm định hiệu quả để kiểm định tính chính xác và nhất quán của hệ thống xếp hạng tín dụng nội bộ, quy trình và ước tính tất cả các tham số rủi ro liên quan.
2. Ngân hàng phải thường xuyên so sánh tỷ lệ vỡ nợ thực tế với ước tính PD đối với mỗi hạng và đảm bảo tỷ lệ vỡ nợ thực tế nằm trong khoảng giá trị kỳ vọng của mỗi hạng đó. Ngân hàng áp dụng phương pháp xếp hạng nội bộ nâng cao phải thực hiện thêm phân tích tương tự cho các ước tính LGD, EAD. Ngân hàng phải có tài liệu về các phương pháp và dữ liệu sử dụng cho việc so sánh. Các phân tích và tài liệu phải được cập nhật tối thiểu định kỳ hàng năm.
3. Ngân hàng phải so sánh với các nguồn dữ liệu bên ngoài có liên quan (nếu có). Các phân tích phải dựa trên dữ liệu phù hợp với danh mục của ngân hàng và được cập nhật thường xuyên. Đánh giá nội bộ về hiệu quả hoạt động của hệ thống xếp hạng tín dụng nội bộ phải dựa trên dữ liệu lịch sử trong dài hạn.
4. Các phương pháp kiểm định định lượng và các phương pháp kiểm định khác của ngân hàng không bị thay đổi một cách có hệ thống theo chu kỳ kinh tế. Các thay đổi về phương pháp và dữ liệu (bao gồm nguồn dữ liệu và khoảng thời gian) phải được ghi lại cụ thể và đầy đủ.
5. Ngân hàng phải có tiêu chuẩn nội bộ cụ thể và chặt chẽ về các trường hợp giá trị thực tế của tham số rủi ro có sai lệch đáng kể so với giá trị ước tính dẫn đến phải xem xét lại ước tính này. Các tiêu chuẩn này phải xét đến tính chu kỳ kinh doanh, sự thay đổi mang tính hệ thống của khả năng vỡ nợ trong quá khứ. Khi các giá trị thực tế liên tục cao hơn giá trị ước tính, ngân hàng phải điều chỉnh lại ước tính phù hợp với dữ liệu lịch sử về tình trạng vỡ nợ và tổn thất.
Chương IV
VỐN YÊU CẦU CHO RỦI RO HOẠT ĐỘNG
Điều 70. Vốn yêu cầu cho rủi ro hoạt động
KOR = BIC x ILM
Trong đó:
- KOR: Vốn yêu cầu cho rủi ro hoạt động;
- BIC: Cấu phần chỉ số kinh doanh (Business indicator component);
- ILM: Hệ số tổn thất nội bộ (Internal loss multiplier).

Trong đó:
|
Nhóm (i) |
Khoảng giá trị BIi (tỷ đồng) |
Hệ số biên αi (%) |
|
1 |
≤600 |
12 |
|
2 |
600 < BI ≤ 18000 |
15 |
|
3 |
>18000 |
18 |
Ví dụ: BI có giá trị là 20.000 tỷ đồng, thì BIC = 600 x 12% + (18.000 - 600) x 15% + (20.000 - 18.000) x 18% = 3.042 tỷ đồng;
BI = ILDC + SC + FC
(i) Trong đó:
- BI: Chỉ số kinh doanh (Business indicator);
- ILDC: Cấu phần lãi (Interest, leases and dividend component);
- SC: Cấu phần dịch vụ (Services component);
- FC: Cấu phần tài chính (Financial component).
(ii) Các cấu phần của công thức trên (ILDC, SC, FC) được xác định bằng giá trị trung bình của 03 năm tính đến thời điểm tính vốn yêu cầu cho rủi ro hoạt động của các cấu phần chi tiết theo hướng dẫn tại Phụ lục III kèm theo Thông tư này.
3. Hệ số tổn thất nội bộ (ILM) được xác định như sau:

Trong đó: LC là cấu phần tổn thất (Loss component);
b) ILM được xác định bằng 1 khi chỉ số kinh doanh của ngân hàng thuộc một trong các điều kiện sau:
(i) Có BI ≤ 600 tỷ đồng;
(ii) Có BI > 600 tỷ đồng và có chuỗi dữ liệu tổn thất để đo lường rủi ro hoạt động không đủ độ dài 05 năm;
c) Để tính cấu phần tổn thất (LC), ngân hàng phải đảm bảo các yêu cầu sau:
(i) Ngân hàng không thuộc các trường hợp quy định tại điểm b khoản này;
(ii) Khung thời gian tính được xác định như sau:
- Đối với chuỗi dữ liệu tổn thất hoạt động có độ dài từ 10 năm trở lên, ngân hàng sử dụng khung thời gian tính là 10 năm trở lại đây;
- Đối với chuỗi dữ liệu tổn thất hoạt động có độ dài từ 05 đến dưới 10 năm, ngân hàng sử dụng độ dài thực của dữ liệu tổn thất hoạt động làm khung thời gian tính. Trường hợp phần dư tính theo năm của độ dài dữ liệu từ 06 tháng trở lên sẽ được tính tròn là 01 năm;
(iii) Dữ liệu tổn thất hoạt động để tính LC phải đảm bảo các yêu cầu quy định tại Điều 71 và Điều 72 Thông tư này;
(iv) Ngân hàng thương mại có công ty con được sử dụng LC tính trên dữ liệu tổn thất riêng lẻ (không bao gồm công ty con) khi tính tỷ lệ an toàn vốn hợp nhất;
(v) LC được xác định như sau:
- Ngân hàng thu thập dữ liệu và xác định giá trị tổn thất hoạt động ròng theo quý bằng cách lấy giá trị tổn thất hoạt động ghi nhận trong quý trừ đi giá trị thu hồi được ghi nhận trong cùng quý đó;
- Ngân hàng xác định giá trị tổn thất hoạt động ròng theo năm bằng cách cộng dồn giá trị tổn thất ròng theo quý của 04 quý liên tiếp;
- Ngân hàng xác định giá trị tổn thất hoạt động ròng trung bình năm của khung thời gian tính bằng cách lấy tổng giá trị tổn thất hoạt động ròng theo năm của các năm trong khung thời gian tính chia cho tổng số năm tính;
- LC bằng 15 lần giá trị tổn thất hoạt động ròng trung bình năm của khung thời gian tính.
Điều 71. Dữ liệu tổn thất hoạt động
1. Ngân hàng phải thu thập tất cả các dữ liệu tổn thất hoạt động có giá trị tổn thất hoạt động ròng của một sự kiện trong khung thời gian tính từ 12 triệu đồng trở lên.
2. Giá trị tổn thất hoạt động ròng của một sự kiện tổn thất được xác định bằng tổng các giá trị tổn thất hoạt động được ghi nhận trừ đi các khoản thu hồi đã được nhận (bao gồm cả khoản được bảo hiểm chi trả) của sự kiện tổn thất đó. Ngân hàng phải sử dụng các giá trị tính theo ngày hạch toán.
3. Tổng giá trị tổn thất hoạt động bao gồm:
a) Khoản chi phí ghi nhận trực tiếp vào các khoản mục báo cáo kết quả hoạt động và phần giá trị ghi giảm (write-downs) của tài sản do phát sinh sự kiện rủi ro hoạt động của ngân hàng gây ra;
b) Chi phí phát sinh do hậu quả của sự kiện tổn thất hoạt động bao gồm cả chi phí bên ngoài có mối liên hệ trực tiếp tới sự kiện rủi ro hoạt động (như chi phí pháp lý trực tiếp liên quan tới sự kiện và phí trả cho tư vấn, thuê luật sư hoặc các nhà cung cấp...) và chi phí sửa chữa hoặc thay thế phát sinh để khôi phục lại hiện trạng trước khi sự kiện rủi ro hoạt động xảy ra;
c) Tổn thất phát sinh từ sự kiện rủi ro hoạt động với tác động tài chính cụ thể, được ghi nhận vào tài khoản tạm thời và chưa được phản ánh trong báo cáo kết quả hoạt động (tổn thất đang chờ xử lý);
d) Tổn thất do sự kiện rủi ro hoạt động phát sinh chưa được ghi nhận tại kỳ kế toán làm ảnh hưởng đến dòng tiền, báo cáo tình hình tài chính của kỳ kế toán đó. Thời gian chưa thực hiện ghi nhận sự kiện rủi ro hoạt động kéo dài hơn 01 năm và làm phát sinh rủi ro pháp lý (tổn thất thời gian).
4. Các cấu phần sau phải loại trừ khi tính tổng mức tổn thất:
a) Chi phí của hợp đồng bảo trì chung cho tài sản cố định hữu hình;
b) Chi phí để tăng cường kinh doanh sau các tổn thất rủi ro hoạt động: nâng cấp, cải tiến, các sáng kiến và cải tiến đánh giá rủi ro;
c) Chi phí mua bảo hiểm rủi ro hoạt động.
Điều 72. Thu thập và xử lý dữ liệu tổn thất hoạt động
1. Ngân hàng phải ban hành đầy đủ quy định nội bộ về quy trình xác định, thu thập và xử lý thông tin tổn thất hoạt động. Quy trình này phải được bộ phận
kiểm toán nội bộ rà soát trước khi dữ liệu tổn thất được sử dụng trong tính vốn cho rủi ro hoạt động và được bộ phận kiểm toán nội bộ hoặc kiểm toán độc lập định kỳ xem xét, đánh giá dữ liệu tổn thất.
2. Dữ liệu tổn thất phải liên kết với các hoạt động kinh doanh hiện tại, hệ thống thông tin, dữ liệu và quy trình quản lý rủi ro của ngân hàng.
3. Trường hợp các hoạt động của ngân hàng làm phát sinh đồng thời rủi ro tín dụng và rủi ro hoạt động thì ngân hàng không phải thu thập dữ liệu tổn thất hoạt động này.
4. Trường hợp các hoạt động của ngân hàng làm phát sinh đồng thời rủi ro thị trường và rủi ro hoạt động thì ngân hàng phải thu thập dữ liệu tổn thất hoạt động này.
5. Các thông tin cần thu thập đối với dữ liệu tổn thất hoạt động:
a) Các ngày tham chiếu của sự kiện tổn thất hoạt động bao gồm:
(i) Ngày xảy ra sự kiện là ngày bắt đầu diễn ra;
(ii) Ngày ghi nhận sự kiện là ngày ngân hàng nhận biết về sự kiện;
(iii) Ngày hạch toán là ngày hoặc các ngày xảy ra sự kiện tổn thất dẫn đến tổn thất được ghi nhận trong các khoản mục lãi, lỗ của ngân hàng. Đối với trường hợp tổn thất chờ xử lý, ngày hạch toán là ngày ghi nhận vào tài khoản chờ xử lý;
b) Tổng giá trị tổn thất hoạt động;
c) Các khoản thu hồi của tổn thất hoạt động;
d) Mô tả các nguyên nhân và các yếu tố tác động đến sự kiện tổn thất.
6. Ngân hàng sử dụng ngày hạch toán để xây dựng bộ dữ liệu tổn thất. Đối với những tổn thất phát sinh từ các sự kiện pháp lý, ngân hàng phải sử dụng ngày chậm nhất là ngày hạch toán để ghi nhận tổn thất.
7. Các khoản tổn thất do cùng một sự kiện rủi ro hoạt động hoặc do các sự kiện rủi ro hoạt động theo thời gian và đã được hạch toán cho một số năm thì phân bổ dữ liệu tổn thất theo các năm tương ứng, phù hợp với nguyên tắc kế toán.
8. Đối với trường hợp ngân hàng có hoạt động mua lại doanh nghiệp để trở thành công ty con và sáp nhập, hợp nhất, phạm vi tổn thất và các cấu phần của chỉ số kinh doanh được sử dụng để tính yêu cầu về vốn cho rủi ro hoạt động phải bao gồm các doanh nghiệp được mua lại, bị sáp nhập, bị hợp nhất, bao gồm cả khoảng thời gian trước khi được mua lại, bị sáp nhập, bị hợp nhất theo quy định tại Chương này.
Chương V
VỐN YÊU CẦU CHO RỦI RO THỊ TRƯỜNG
Điều 73. Quy định nội bộ về xác định trạng thái rủi ro thị trường để quản lý rủi ro thị trường
1. Để xác định vốn yêu cầu cho rủi ro thị trường, ngân hàng phải có quy định nội bộ đảm bảo tối thiểu các nội dung sau:
a) Các điều kiện, tiêu chí xác định các khoản mục thuộc phạm vi sổ kinh doanh để tính các trạng thái rủi ro trên sổ kinh doanh, đảm bảo phân biệt các giao dịch trên sổ kinh doanh và sổ ngân hàng và việc chuyển các khoản mục giữa sổ kinh doanh và sổ ngân hàng;
b) Dữ liệu về giao dịch phải được ghi nhận chính xác, đầy đủ và kịp thời vào hệ thống cơ sở dữ liệu quản lý rủi ro và hệ thống sổ sách kế toán của ngân hàng;
c) Xác định được bộ phận kinh doanh trực tiếp thực hiện giao dịch;
d) Có quy định về trách nhiệm bộ phận kiểm toán nội bộ phải định kỳ rà soát, đánh giá các khoản mục trên sổ kinh doanh và sổ ngân hàng;
đ) Có chiến lược tự doanh đối với từng loại tiền tệ, công cụ tài chính, sản phẩm phái sinh, đảm bảo không bị hạn chế về mua, bán hoặc có khả năng phòng ngừa được rủi ro;
e) Các hạn mức rủi ro thị trường theo quy định của Ngân hàng Nhà nước về hệ thống kiểm soát nội bộ của ngân hàng phải được rà soát, đánh giá tối thiểu định kỳ hàng năm hoặc vào thời điểm có thay đổi lớn ảnh hưởng tới trạng thái rủi ro thị trường;
g) Quy trình quản lý trạng thái rủi ro thị trường phải đảm bảo đáp ứng đầy đủ các điều kiện sau:
(i) Các trạng thái rủi ro thị trường được nhận diện, đo lường, theo dõi và kiểm soát chặt chẽ;
(ii) Có bộ phận riêng để thực hiện các giao dịch tự doanh, trong đó các giao dịch viên có quyền tự chủ thực hiện các giao dịch trong phạm vi các hạn mức và chiến lược tự doanh; có bộ phận quản lý, hạch toán theo dõi các giao dịch tự doanh và các khoản mục trên sổ kinh doanh;
(iii) Các trạng thái rủi ro và kết quả đo lường rủi ro phải được báo cáo cho các cấp thẩm quyền theo quy định về quản lý rủi ro của ngân hàng;
(iv) Tất cả các trạng thái tài chính trên sổ kinh doanh phải được đo lường và định giá theo giá thị trường hoặc dữ liệu thị trường ít nhất 01 lần trên 01 ngày làm việc để xác định mức lỗ, lãi và trạng thái rủi ro thị trường;
(v) Các dữ liệu thị trường đầu vào phải được thu thập tối đa từ nguồn phù hợp với thị trường và thường xuyên được rà soát, đánh giá về tính phù hợp của các dữ liệu thị trường đầu vào;
h) Các phương pháp đo lường rủi ro thị trường (trong đó mô tả đầy đủ các giả định và các tham số được sử dụng), các phương pháp đo lường rủi ro thị trường phải được rà soát, đánh giá hàng năm và khi có thay đổi bất thường ảnh hưởng tới trạng thái rủi ro thị trường;
i) Quy trình giám sát các trạng thái rủi ro và việc tuân thủ các hạn mức rủi ro thị trường theo chiến lược tự doanh của ngân hàng;
k) Nguyên tắc, cách tính vốn yêu cầu cho rủi ro thị trường đáp ứng quy định tại Phụ lục IV kèm theo Thông tư này.
2. Việc hạch toán trên sổ kinh doanh và sổ ngân hàng
a) Giao dịch trên sổ kinh doanh và sổ ngân hàng phải được phản ánh trên hệ thống sổ sách kế toán và phải được đối chiếu với số liệu ghi nhận của bộ phận kinh doanh (nhật ký giao dịch hoặc hình thức ghi nhận khác);
b) Ngân hàng chỉ được phép phân loại lại và chuyển khoản mục từ sổ kinh doanh sang sổ ngân hàng khi khoản mục đó không còn đáp ứng được điều kiện, tiêu chí theo quy định nội bộ của ngân hàng tại điểm a khoản 1 Điều này;
c) Ngân hàng không được chuyển các công cụ tài chính từ sổ ngân hàng sang sổ kinh doanh.
3. Việc ban hành, sửa đổi, bổ sung quy định nội bộ tại khoản 1 Điều này phải được các cấp có thẩm quyền của ngân hàng phê duyệt. Quy định nội bộ này phải được kiểm toán nội bộ rà soát tối thiểu định kỳ hàng năm theo quy định của Ngân hàng Nhà nước về hệ thống kiểm soát nội bộ của ngân hàng.
4. Ngân hàng gửi quy định tại khoản 1 Điều này cho Ngân hàng Nhà nước (qua Cục Quản lý, giám sát tổ chức tín dụng hoặc Ngân hàng Nhà nước chi nhánh Khu vực) để giám sát trước khi thực hiện. Trường hợp cần thiết, Ngân hàng Nhà nước (Cục Quản lý, giám sát tổ chức tín dụng hoặc Ngân hàng Nhà nước chi nhánh Khu vực) có ý kiến bằng văn bản gửi ngân hàng để sửa đổi, bổ sung quy định này.
Điều 74. Vốn yêu cầu cho rủi ro thị trường
KMR = KIRR+ KER + KFXR + KCMR + KOPT
Trong đó:
- KIRR: Vốn yêu cầu cho rủi ro lãi suất, trừ giao dịch quyền chọn;
- KER: Vốn yêu cầu cho rủi ro giá cổ phiếu, trừ giao dịch quyền chọn;
- KFXR: Vốn yêu cầu cho rủi ro ngoại hối (bao gồm cả vàng), trừ giao dịch quyền chọn;
- KCMR: Vốn yêu cầu cho rủi ro giá hàng hóa, trừ giao dịch quyền chọn;
- KOPT: Vốn yêu cầu cho giao dịch quyền chọn.

Trong đó, vốn yêu cầu cho rủi ro lãi suất được tính theo hướng dẫn tại Phụ lục IV kèm theo Thông tư này.

Trong đó, vốn yêu cầu cho rủi ro giá cổ phiếu được tính theo hướng dẫn tại Phụ lục IV kèm theo Thông tư này.
Chương VI
CHẾ ĐỘ BÁO CÁO VÀ CÔNG BỐ THÔNG TIN
Điều 75. Chế độ báo cáo
1. Ngân hàng thực hiện báo cáo tỷ lệ an toàn vốn theo quy định của Ngân hàng Nhà nước về chế độ báo cáo thống kê đối với tổ chức tín dụng, chi nhánh ngân hàng nước ngoài.
2. Ngoài việc thực hiện báo cáo theo quy định tại khoản 1 Điều này, ngân hàng áp dụng phương pháp xếp hạng nội bộ phải thực hiện báo cáo như sau:
a) Trong giai đoạn chuyển đổi sang phương pháp xếp hạng nội bộ cho đến khi Ngân hàng Nhà nước chấp thuận áp dụng phương pháp xếp hạng nội bộ, ngân hàng phải gửi báo cáo theo quy định tại khoản 4 Điều 32 Thông tư này;
b) Từ ngày Ngân hàng Nhà nước chấp thuận áp dụng phương pháp xếp hạng nội bộ, ngân hàng thực hiện báo cáo đánh giá việc tuân thủ các yêu cầu liên quan đến phương pháp xếp hạng nội bộ theo quy định tại Thông tư này định kỳ hàng năm và gửi báo cáo này cho Ngân hàng Nhà nước (Cục Quản lý, giám sát tổ chức tín dụng hoặc Ngân hàng Nhà nước chi nhánh Khu vực) trước ngày 15 tháng 4 hàng năm.
Điều 76. Công bố thông tin
1. Ngân hàng phải thực hiện công bố thông tin về tỷ lệ an toàn vốn theo nội dung quy định tại Phụ lục V kèm theo Thông tư này tối thiểu định kỳ 06 tháng một lần theo thời hạn như sau:
a) Thời hạn công bố thông tin bán niên chậm nhất 75 ngày kể từ ngày kết thúc 06 tháng đầu năm tài chính;
b) Thời hạn công bố thông tin năm chậm nhất 120 ngày kể từ ngày kết thúc năm tài chính.
2. Ngân hàng phải xây dựng quy định nội bộ về quy trình công bố thông tin đảm bảo tối thiểu bao gồm các nội dung sau:
a) Quy định cụ thể hình thức (như có ấn phẩm hoặc đăng tải trên trang thông tin điện tử...) công bố thông tin về tỷ lệ an toàn vốn đảm bảo tính công khai, minh bạch và tiếp cận thuận tiện cho các cá nhân, tổ chức có lợi ích liên quan;
b) Thông tin công bố phải thống nhất với số liệu trên Báo cáo tài chính tại cùng thời điểm;
c) Có quy trình và phương pháp thu thập thông tin (nội dung định tính và nội dung định lượng) về tỷ lệ an toàn vốn theo quy định tại Thông tư này;
d) Có quy trình kiểm tra tính chính xác, đầy đủ và cập nhật của nội dung thông tin công bố theo quy định tại Thông tư này;
đ) Quy định đầy đủ trách nhiệm, quyền hạn và sự phối hợp của cá nhân, bộ phận có liên quan trong việc thực hiện công bố thông tin;
e) Quy trình phải được phổ biến đến cá nhân, bộ phận liên quan;
g) Quy trình phải được rà soát tối thiểu định kỳ hàng năm.
3. Ngân hàng phải gửi quy định nội bộ tại khoản 2 Điều này cho Ngân hàng Nhà nước (Cục Quản lý, giám sát tổ chức tín dụng hoặc Ngân hàng Nhà nước chi nhánh Khu vực) trong thời hạn 10 ngày kể từ ngày ban hành, sửa đổi, bổ sung, thay thế.
Chương VII
TRÁCH NHIỆM TỔ CHỨC THỰC HIỆN
Điều 77. Trách nhiệm của Thanh tra Ngân hàng Nhà nước
1. Thanh tra, kiểm tra việc chấp hành quy định tại Thông tư này của ngân hàng thương mại, một số chi nhánh ngân hàng nước ngoài theo quy định của pháp luật và phân công của Thống đốc Ngân hàng Nhà nước.
2. Trên cơ sở kết quả thanh tra, kiểm tra, tùy theo tính chất, mức độ rủi ro, thực hiện kiến nghị Cục Quản lý, giám sát tổ chức tín dụng hoặc Ngân hàng Nhà nước chi nhánh Khu vực thực hiện quy định tại khoản 8 Điều 5 và khoản 6 Điều 33 Thông tư này.
Điều 78. Trách nhiệm của Cục Quản lý, giám sát tổ chức tín dụng
1. Giám sát, kiểm tra việc chấp hành quy định tại Thông tư này của ngân hàng thương mại, một số chi nhánh ngân hàng nước ngoài theo quy định của pháp luật và phân công của Thống đốc Ngân hàng Nhà nước.
2. Trình Thống đốc Ngân hàng Nhà nước quyết định áp dụng tỷ lệ an toàn vốn theo quy định tại khoản 8 Điều 5 Thông tư này đối với ngân hàng thương mại.
3. Quyết định áp dụng tỷ lệ an toàn vốn theo quy định tại khoản 8 Điều 5 Thông tư này đối với một số chi nhánh ngân hàng nước ngoài theo phân công.
4. Chấp thuận việc ngân hàng thương mại mua lại và hoàn trả phần vốn gốc của công cụ bổ sung vốn cấp 1.
5. Kể từ ngày Thông tư này có hiệu lực đến trước ngày 01 tháng 01 năm 2030, tiếp nhận văn bản đăng ký áp dụng phương pháp tiêu chuẩn kèm báo cáo quy định tại khoản 2 Điều 7 Thông tư này của ngân hàng thương mại, một số chi nhánh ngân hàng nước ngoài theo phân công.
6. Đối với việc áp dụng phương pháp xếp hạng nội bộ của ngân hàng thương mại, một số chi nhánh ngân hàng nước ngoài theo phân công:
a) Tiếp nhận văn bản đăng ký áp dụng phương pháp xếp hạng nội bộ quy định tại khoản 3 Điều 7 Thông tư này;
b) Tiếp nhận báo cáo, theo dõi việc chuyển đổi sang phương pháp xếp hạng nội bộ tại Điều 32 Thông tư này;
c) Trình Thống đốc Ngân hàng Nhà nước chấp thuận áp dụng phương pháp xếp hạng nội bộ quy định tại khoản 2 Điều 33 Thông tư này đối với ngân hàng thương mại hoặc có văn bản trả lời trong trường hợp từ chối;
d) Chấp thuận áp dụng phương pháp xếp hạng nội bộ quy định tại khoản 2 Điều 33 Thông tư này đối với một số chi nhánh ngân hàng nước ngoài theo phân công hoặc có văn bản trả lời trong trường hợp từ chối;
đ) Tiếp nhận báo cáo về việc đề nghị áp dụng phương pháp tiêu chuẩn quy định tại khoản 5 Điều 33 Thông tư này hoặc tiếp nhận, xử lý báo cáo về việc điều chỉnh phương pháp xếp hạng nội bộ quy định tại Điều 34 Thông tư này;
e) Yêu cầu dừng hoặc chấm dứt áp dụng phương pháp xếp hạng nội bộ theo quy định tại khoản 6 Điều 33 Thông tư này.
7. Xử lý vấn đề liên quan phát sinh trong quá trình áp dụng phương pháp tiêu chuẩn, phương pháp xếp hạng nội bộ của ngân hàng thương mại, một số chi nhánh ngân hàng nước ngoài theo phân công.
8. Xây dựng biểu mẫu báo cáo tỷ lệ an toàn vốn của ngân hàng theo quy định của Ngân hàng Nhà nước về chế độ báo cáo thống kê.
9. Nhận và duyệt các biểu mẫu báo cáo tỷ lệ an toàn vốn của ngân hàng thương mại, một số chi nhánh ngân hàng nước ngoài theo phân công.
Điều 79. Trách nhiệm của Cục An toàn hệ thống các tổ chức tín dụng
Trình Thống đốc Ngân hàng Nhà nước quyết định áp dụng tỷ lệ đệm vốn phản chu kỳ (CCyB) theo quy định tại khoản 6 Điều 5 Thông tư này.
Điều 80. Trách nhiệm của đơn vị khác thuộc Ngân hàng Nhà nước
1. Vụ Dự báo, thống kê - Ổn định tiền tệ, tài chính trình Thống đốc Ngân hàng Nhà nước hướng dẫn báo cáo thống kê về tỷ lệ an toàn vốn quy định tại Thông tư này.
2. Cục Công nghệ thông tin, Trung tâm thông tin tín dụng quốc gia Việt Nam có trách nhiệm phối hợp rà soát, đánh giá phương pháp xếp hạng nội bộ do ngân hàng xây dựng theo quy định tại Thông tư này để Cục Quản lý, giám sát tổ chức tín dụng, Ngân hàng Nhà nước chi nhánh Khu vực thực hiện nhiệm vụ tại khoản 4 Điều 78 Thông tư này và điểm c khoản 3 Điều này.
3. Ngân hàng Nhà nước chi nhánh Khu vực:
a) Thực hiện thanh tra, kiểm tra, giám sát việc chấp hành quy định tại Thông tư này của chi nhánh ngân hàng nước ngoài theo phân công của Thống đốc Ngân hàng Nhà nước;
b) Quyết định áp dụng tỷ lệ an toàn vốn theo quy định tại khoản 8 Điều 5 Thông tư này đối với chi nhánh ngân hàng nước ngoài theo phân công;
c) Kể từ ngày Thông tư này có hiệu lực đến trước ngày 01 tháng 01 năm 2030, tiếp nhận văn bản đăng ký áp dụng phương pháp tiêu chuẩn kèm báo cáo quy định tại khoản 2 Điều 7 Thông tư này của chi nhánh ngân hàng nước ngoài theo phân công.
d) Đối với việc áp dụng phương pháp xếp hạng nội bộ của chi nhánh ngân hàng nước ngoài theo phân công:
(i) Tiếp nhận văn bản đăng ký áp dụng phương pháp xếp hạng nội bộ quy định tại khoản 3 Điều 7 Thông tư này;
(ii) Tiếp nhận báo cáo, theo dõi việc chuyển đổi sang phương pháp xếp hạng nội bộ quy định tại Điều 32 Thông tư này;
(iii) Chấp thuận áp dụng phương pháp xếp hạng nội bộ quy định tại khoản 2 Điều 33 Thông tư này hoặc có văn bản trả lời trong trường hợp từ chối;
(iv) Tiếp nhận báo cáo về việc đề nghị áp dụng phương pháp tiêu chuẩn quy định tại khoản 5 Điều 33 Thông tư này hoặc tiếp nhận, xử lý báo cáo về việc điều chỉnh phương pháp xếp hạng nội bộ quy định tại Điều 34 Thông tư này;
(v) Yêu cầu dừng hoặc chấm dứt áp dụng phương pháp xếp hạng nội bộ theo quy định tại khoản 6 Điều 33 Thông tư này;
đ) Xử lý các vấn đề liên quan phát sinh trong quá trình áp dụng phương pháp tiêu chuẩn, phương pháp xếp hạng nội bộ của chi nhánh ngân hàng nước ngoài theo phân công;
e) Nhận và duyệt các biểu mẫu báo cáo tỷ lệ an toàn vốn của chi nhánh ngân hàng nước ngoài theo phân công.
Chương VIII
ĐIỀU KHOẢN THI HÀNH
Điều 81. Trách nhiệm tổ chức thực hiện
Thủ trưởng các đơn vị thuộc Ngân hàng Nhà nước, ngân hàng thương mại, chi nhánh ngân hàng nước ngoài, tổ chức và cá nhân có liên quan chịu trách nhiệm tổ chức thực hiện Thông tư này.
Điều 82. Điều khoản thi hành
1. Thông tư này có hiệu lực từ ngày 15 tháng 9 năm 2025, trừ trường hợp quy định tại khoản 2 Điều này.
2. Trong thời gian kể từ ngày Thông tư này có hiệu lực đến ngày 31 tháng 12 năm 2029, trường hợp không đăng ký thực hiện phương pháp tiêu chuẩn theo quy định tại Điều 7 Thông tư này hoặc chưa được Ngân hàng Nhà nước chấp thuận áp dụng phương pháp xếp hạng nội bộ theo quy định tại Điều 33 Thông tư này, ngân hàng phải thực hiện quy định tại các Thông tư quy định tại điểm a, b và c khoản 3 Điều này.
3. Kể từ ngày 01 tháng 01 năm 2030, Thông tư này bãi bỏ các quy định sau đây:
a) Thông tư số 41/2016/TT-NHNN ngày 30 tháng 12 năm 2016 của Thống đốc Ngân hàng Nhà nước Việt Nam quy định tỷ lệ an toàn vốn đối với ngân hàng, chi nhánh ngân hàng nước ngoài;
b) Khoản 2 Điều 1 Thông tư số 26/2022/TT-NHNN ngày 31 tháng 12 năm 2022 của Thống đốc Ngân hàng Nhà nước Việt Nam sửa đổi, bổ sung một số điều của Thông tư số 22/2019/TT-NHNN ngày 15 tháng 11 năm 2019 của Thống đốc Ngân hàng Nhà nước Việt Nam quy định các giới hạn, tỷ lệ bảo đảm an toàn trong hoạt động của ngân hàng, chi nhánh ngân hàng nước ngoài;
c) Thông tư số 22/2023/TT-NHNN ngày 29 tháng 12 năm 2023 của Thống đốc Ngân hàng Nhà nước Việt Nam sửa đổi, bổ sung một số điều của Thông tư số 41/2016/TT-NHNN ngày 30 tháng 12 năm 2016 của Thống đốc Ngân hàng Nhà nước Việt Nam quy định tỷ lệ an toàn vốn đối với ngân hàng, chi nhánh ngân hàng nước ngoài./.
|
Nơi nhận: - Ban Lãnh đạo NHNN; - Văn phòng Chính phủ; - Bộ Tư pháp (để kiểm tra); - Công báo; - Các đơn vị thuộc NHNN; - Ngân hàng thương mại; - Chi nhánh ngân hàng nước ngoài; - Lưu: VP, PC, ATHT3 (03 bản). |
KT. THỐNG ĐỐC PHÓ THỐNG ĐỐC |
Phụ lục I
CẤU PHẦN VÀ CÁCH XÁC ĐỊNH VỐN TỰ CÓ
(Kèm theo Thông tư số 14/2025/TT-NHNN ngày 30 tháng 6 năm 2025 của Thống đốc Ngân hàng Nhà nước Việt Nam)
______________
A. Cấu phần và cách xác định vốn tự có của ngân hàng thương mại:
I. Vốn tự có riêng lẻ
|
Mục |
Cấu phần |
Cách xác định |
|
|
VỐN CẤP 1 (A) = A1 + A2 |
|
|
|
Vốn lõi cấp 1 (A1) = A11 - A12 |
|
|
|
Vốn lõi cấp 1 chưa giảm trừ (A11)= ∑ (1) ÷ (10) |
|
|
(1) |
Vốn điều lệ (vốn đã góp) |
Lấy số liệu tại khoản mục Vốn điều lệ trên Báo cáo tình hình tài chính được lập theo số liệu Bảng cân đối tài khoản kế toán. Đối với ngân hàng sử dụng ngoại tệ làm đơn vị tiền tệ trong kế toán thì Vốn điều lệ được quy đổi ra đồng Việt Nam theo quy định của Ngân hàng Nhà nước hướng dẫn về Chế độ báo cáo tài chính đối với các tổ chức tín dụng. |
|
(2) |
Quỹ dự trữ bổ sung vốn điều lệ |
Lấy số liệu Quỹ dự trữ bổ sung vốn điều lệ trong khoản mục Quỹ của tổ chức tín dụng trên Báo cáo tình hình tài chính được lập theo số liệu Bảng cân đối tài khoản kế toán. |
|
(3) |
Quỹ đầu tư phát triển |
Lấy số liệu Quỹ đầu tư phát triển trong khoản mục Quỹ của tổ chức tín dụng trên Báo cáo tình hình tài chính được lập theo số liệu Bảng cân đối tài khoản kế toán. |
|
(4) |
Quỹ dự phòng tài chính |
Lấy số liệu Quỹ dự phòng tài chính trong khoản mục Quỹ của tổ chức tín dụng trên Báo cáo tình hình tài chính được lập theo số liệu Bảng cân đối tài khoản kế toán. |
|
(5) |
Các quỹ khác được trích từ lợi nhuận sau thuế thu nhập doanh nghiệp theo quy định của pháp luật (không bao gồm quỹ khen thưởng, phúc lợi, quỹ thưởng ban điều hành) |
Lấy số liệu Quỹ khác trong khoản mục Quỹ của tổ chức tín dụng trên Báo cáo tình hình tài chính được lập theo số liệu Bảng cân đối tài khoản kế toán. |
|
(6) |
Vốn đầu tư xây dựng cơ bản, mua sắm tài sản cố định |
Lấy số liệu Vốn đầu tư xây dựng cơ bản, mua sắm tài sản cố định trên Báo cáo tình hình tài chính được lập theo số liệu Bảng cân đối tài khoản kế toán. |
|
(7) |
Vốn khác |
Lấy số liệu Vốn khác trên Báo cáo tình hình tài chính được lập theo số liệu Bảng cân đối tài khoản kế toán. |
|
(8) |
Lợi nhuận chưa phân phối |
Lấy số liệu Lợi nhuận chưa phân phối trên Báo cáo tình hình tài chính được lập theo số liệu Bảng cân đối tài khoản kế toán tại thời điểm tính tỷ lệ an toàn vốn tối thiểu riêng lẻ. Đối với ngân hàng được chấp thuận hoãn, giãn trích lập dự phòng rủi ro, lợi nhuận chưa phân phối phải trừ đi chênh lệch dương giữa số dự phòng rủi ro phải trích theo quy định của pháp luật về mức trích, phương pháp trích lập dự phòng rủi ro và việc sử dụng dự phòng để xử lý rủi ro trong hoạt động của tổ chức tín dụng, chi nhánh ngân hàng nước ngoài và trường hợp tổ chức tín dụng phân bổ lãi phải thu phải thoái so với số dự phòng rủi ro đã trích. |
|
(9) |
Thặng dư vốn cổ phần của cổ phần phổ thông |
Lấy số liệu Thặng dư vốn cổ phần trên Báo cáo tình hình tài chính (được lập theo số liệu Bảng cân đối tài khoản kế toán) nhân với tỷ trọng của cổ phần phổ thông trên tổng số cổ phần. |
|
(10) |
Chênh lệch tỷ giá hối đoái |
Lấy số dư khoản Chênh lệch tỷ giá hối đoái do đánh giá lại vốn chủ sở hữu có gốc ngoại tệ thuộc khoản mục Vốn Chủ sở hữu được ghi nhận trên Báo cáo tình hình tài chính (được lập theo số liệu Bảng cân đối tài khoản kế toán) khi chuyển đổi Báo cáo tài chính được lập bằng ngoại tệ ra đồng Việt Nam. |
|
|
Các khoản giảm trừ khỏi Vốn lõi cấp 1 (A12) = ∑(11) ÷ (18) |
|
|
(11) |
Các tài sản cố định vô hình (không bao gồm quyền sử dụng đất) |
Lấy giá trị còn lại của Tài sản cố định vô hình (không bao gồm quyền sử dụng đất) trên Thuyết minh báo cáo tài chính được lập theo số liệu Bảng cân đối tài khoản kế toán. |
|
(12) |
Tài sản thuế thu nhập hoãn lại |
Lấy số liệu từ Tài sản thuế thu nhập hoãn lại phát sinh từ các khoản chênh lệch tạm thời phải chịu thuế tại Thuyết minh báo cáo tài chính được lập theo số liệu Bảng cân đối tài khoản kế toán. |
|
(13) |
Lỗ lũy kế |
Lấy số liệu Lỗ lũy kế tại thời điểm tính tỷ lệ an toàn vốn. |
|
(14) |
Cổ phiếu quỹ ứng với cổ phần phổ thông |
Lấy số liệu Cổ phiếu quỹ trên Báo cáo tình hình tài chính (được lập theo số liệu Bảng cân đối tài khoản kế toán) nhân với tỷ trọng của cổ phần phổ thông trên tổng số cổ phần. |
|
(15) |
Phần chênh lệch dương của tổng mức tổn thất dự kiến so với dự phòng rủi ro của danh mục tài sản được áp dụng phương pháp xếp hạng nội bộ |
Chỉ tính chênh lệch cho danh mục tài sản áp dụng phương pháp xếp hạng nội bộ theo quy định tại khoản 1 Điều 62 Thông tư này; Ngân hàng thương mại trừ 50% phần chênh lệch vào vốn lõi cấp 1 và 50% phần chênh lệch còn lại vào vốn cấp 2 trong 02 năm kể từ ngày được Ngân hàng Nhà nước chấp thuận áp dụng phương pháp xếp hạng nội bộ. Kể từ năm thứ ba trở đi, ngân hàng thương mại trừ toàn bộ phần chênh lệch vào vốn lõi cấp 1. |
|
(16) |
Các khoản góp vốn, mua cổ phần tại tổ chức tín dụng khác, công ty con của tổ chức tín dụng và doanh nghiệp hoạt động trong lĩnh vực ngân hàng, bảo hiểm, chứng khoán |
Lấy số liệu các khoản Góp vốn, đầu tư dài hạn và Chứng khoán sẵn sàng để bán phần chứng khoán vốn của các đối tượng là các tổ chức tín dụng khác, công ty con của tổ chức tín dụng khác, doanh nghiệp hoạt động trong lĩnh vực ngân hàng, bảo hiểm, chứng khoán trên Báo cáo tình hình tài chính hợp nhất được lập theo số liệu Bảng cân đối tài khoản kế toán. |
|
(17) |
Phần chênh lệch dương giữa Tài sản cố định vô hình là quyền sử dụng đất và 15% của A11 sau khi trừ đi các khoản phải trừ từ (11) đến (16) |
- N1 = Tài sản cố định vô hình là Quyền sử dụng đất - N2 = 15% * [(A11)-∑(11) ÷ (16)]; - Lấy giá trị N1 - N2 > 0 |
|
(18) |
Phần bù cho giá trị âm của Vốn bổ sung vốn cấp 1 |
Trường hợp A2<0, lấy giá trị giảm trừ là |A2| |
|
|
Vốn bổ sung vốn cấp 1 (A2)=A21 - A22 |
|
|
|
Vốn bổ sung vốn cấp 1 chưa giảm trừ (A21) = ∑(19) ÷ (20) |
|
|
(19) |
Công cụ bổ sung vốn cấp 1 do chính ngân hàng thương mại phát hành |
Lấy giá trị các công cụ bổ sung vốn cấp 1 đáp ứng đầy đủ các điều kiện quy định tại Mục III Phần này |
|
(20) |
Thặng dư vốn cổ phần của các công cụ bổ sung vốn cấp 1 |
Lấy số liệu Thặng dư vốn cổ phần trên Báo cáo tình hình tài chính (được lập theo số liệu Bảng cân đối tài khoản kế toán) nhân với tỷ trọng của các loại cổ phần không phải là cổ phần phổ thông và đáp ứng đầy đủ các điều kiện quy định tại Mục III Phần này trên tổng số cổ phần. |
|
|
Các khoản giảm trừ khỏi Vốn bổ sung vốn cấp 1 (A22)= ∑(21)÷(22) |
|
|
(21) |
Mua lại công cụ bổ sung vốn cấp 1 do chính ngân hàng thương mại phát hành |
Lấy số liệu tổng của: - Cổ phiếu quỹ trên Báo cáo tình hình tài chính (được lập theo số liệu Bảng cân đối tài khoản kế toán) nhân với tỷ trọng của các loại cổ phần không phải là cổ phần phổ thông và đáp ứng đáp ứng đầy đủ các điều kiện quy định tại Mục III Phần này trên tổng số cổ phần. - Giá trị các công cụ bổ sung vốn cấp 1 do chính ngân hàng thương mại phát hành đáp ứng đầy đủ các điều kiện quy định tại Mục III Phần này (không phải cổ phiếu) được ngân hàng mua lại. |
|
(22) |
Phần bù cho giá trị âm của vốn cấp 2 |
Trường hợp B<0, lấy giá trị giảm trừ là |B| |
|
|
VỐN CẤP 2 (B) = B1 - B2 |
|
|
|
Vốn cấp 2 chưa giảm trừ (B1)= ∑(23) ÷ (25) |
|
|
(23) |
Nợ thứ cấp do ngân hàng phát hành, ký kết đáp ứng đầy đủ các điều kiện sau: (i) Có kỳ hạn ban đầu từ 05 năm trở lên; |
- Tại thời điểm xác định giá trị, nếu thời hạn còn lại của nợ thứ cấp trên 05 năm, toàn bộ giá trị nợ thứ cấp được tính vào vốn cấp 2. |
|
|
(ii) Không được đảm bảo bằng tài sản của chính ngân hàng; (iii) Ngân hàng được trả nợ trước thời gian đáo hạn với điều kiện sau khi thực hiện vẫn đảm bảo các tỷ lệ, giới hạn bảo đảm an toàn theo quy định và báo cáo Ngân hàng Nhà nước (Cục Quản lý, giám sát tổ chức tín dụng hoặc Ngân hàng Nhà nước chi nhánh Khu vực theo đối tượng giám sát) để giám sát; (iv) Ngân hàng được ngừng trả lãi và chuyển lãi lũy kế sang năm tiếp theo nếu việc trả lãi dẫn đến kết quả kinh doanh trong năm bị lỗ; (v) Trong trường hợp thanh lý ngân hàng, người sở hữu khoản nợ thứ cấp chỉ được thanh toán sau khi ngân hàng đã thanh toán cho tất cả các chủ nợ khác; (vi) Lãi suất cố định hoặc công thức tính lãi suất được xác định trước và ghi rõ trong hợp đồng, tài liệu phát hành. - Đối với lãi suất cố định, việc điều chỉnh tăng lãi suất chỉ được thực hiện sau 05 năm kể từ ngày phát hành, ký kết hợp đồng và chỉ được thay đổi 01 lần trong suốt thời hạn của nợ thứ cấp. - Đối với lãi suất tính theo công thức, công thức không được thay đổi và chỉ được thay đổi biên độ trong công thức (nếu có) 01 lần sau 05 năm kể từ ngày phát hành, ký kết hợp đồng. |
- Bắt đầu từ năm thứ năm trước khi đến hạn thanh toán, mỗi năm tại ngày đầu tiên của năm (tính theo ngày phát hành), giá trị nợ thứ cấp được tính vào vốn cấp 2 sẽ phải được khấu trừ 20% của tổng mệnh giá. |
|
(24) |
80% dự phòng chung theo quy định về mức trích, phương pháp trích dự phòng rủi ro và sử dụng dự phòng để xử lý rủi ro cho các danh mục được áp dụng phương pháp tiêu chuẩn khi tính tài sản có rủi ro tín dụng khách hàng |
Lấy 80% tổng các khoản mục Dự phòng chung trên Báo cáo tình hình tài chính được lập theo số liệu Bảng cân đối tài khoản kế toán. |
|
(25) |
Phần chênh lệch dương giữa dự phòng rủi ro và tổn thất dự kiến cho danh mục được áp dụng phương pháp xếp hạng nội bộ khi tính tài sản có rủi ro tín dụng khách hàng |
Chỉ áp dụng cho danh mục tài sản được áp dụng phương pháp xếp hạng nội bộ khi tính tài sản có rủi ro tín dụng khách hàng theo quy định tại khoản 2 Điều 62 Thông tư này. |
|
|
Các khoản giảm trừ khỏi Vốn cấp 2 (B2)= ∑(26) ÷ (29) |
|
|
(26) |
Phần giá trị chênh lệch dương giữa khoản mục (24) và 1,25% “Tổng tài sản có rủi ro tín dụng khách hàng” của danh mục được áp dụng phương pháp tiêu chuẩn khi tính tài sản có rủi ro tín dụng khách hàng quy định tại Thông tư này |
Chỉ áp dụng cho danh mục tài sản được áp dụng phương pháp tiêu chuẩn khi tính tài sản có rủi ro tín dụng khách hàng |
|
(27) |
Phần chênh lệch dương giữa khoản mục (25) và 0,6% “Tổng tài sản có rủi ro tín dụng khách hàng” của danh mục được áp dụng phương pháp xếp hạng nội bộ khi tính tài sản có rủi ro tín dụng khách hàng quy định tại Thông tư này |
Chỉ áp dụng cho danh mục tài sản được áp dụng phương pháp xếp hạng nội bộ khi tính tài sản có rủi ro tín dụng khách hàng theo quy định tại khoản 2 Điều 62 Thông tư này. |
|
(28) |
50% phần chênh lệch dương của tổng mức tổn thất dự kiến so với dự phòng rủi ro của danh mục các tài sản được áp dụng phương pháp xếp hạng tín dụng nội bộ |
Chỉ áp dụng trong vòng 02 năm kể từ ngày được Ngân hàng Nhà nước chấp thuận áp dụng phương pháp xếp hạng nội bộ theo quy định tại khoản 1 Điều 62 Thông tư này. Kể từ năm thứ ba trở đi, không áp dụng khoản mục này. |
|
(29) |
Mua, đầu tư nợ thứ cấp của tổ chức tín dụng, chi nhánh ngân hàng nước ngoài khác phát hành đáp ứng đầy đủ các điều kiện để tính vào vốn cấp 2 của tổ chức tín dụng, chi nhánh ngân hàng nước ngoài đó (không bao gồm nợ thứ cấp nhận làm tài sản bảo đảm, chiết khấu, tái chiết khấu của khách hàng) |
Bắt đầu từ năm thứ năm trước khi đến hạn thanh toán, mỗi năm tại ngày đầu tiên của năm (tính theo ngày phát hành), giá trị khoản mua, đầu tư nợ thứ cấp của tổ chức tín dụng, chi nhánh ngân hàng nước ngoài khác phát hành đáp ứng đầy đủ các điều kiện để tính vào vốn cấp 2 của tổ chức tín dụng, chi nhánh ngân hàng nước ngoài đó sẽ được khấu trừ 20% của tổng giá mua. |
|
|
VỐN TỰ CÓ (C) = (A) + (B) |
|
II. Vốn tự có hợp nhất
1. Nguyên tắc chung:
a. Vốn tự có hợp nhất được xác định theo các cấu phần quy định tại điểm 2 dưới đây, lấy từ Báo cáo tình hình tài chính, trong đó không hợp nhất công ty con là doanh nghiệp hoạt động theo Luật kinh doanh bảo hiểm.
b. Trường hợp Báo cáo tình hình tài chính hợp nhất nêu tại điểm a không có các khoản mục cụ thể để tính vốn lõi cấp 1 hợp nhất, vốn bổ sung vốn cấp 1 hợp nhất và vốn cấp 2 hợp nhất, thì ngân hàng phải xây dựng số liệu thống kê từ các bảng cân đối tài khoản kế toán riêng lẻ của các đối tượng hợp nhất để đảm bảo việc tính toán đầy đủ, chính xác các khoản mục Vốn tự có.
|
Mục |
Cấu phần |
Cách xác định |
|
|
VỐN CẤP 1 HỢP NHẤT (A) = A1 + A2 |
|
|
|
Vốn lõi cấp 1 hợp nhất (A1) = A11 - A12 |
|
|
|
Vốn lõi cấp 1 hợp nhất chưa giảm trừ (A11)= ∑(1) ÷ (10) |
|
|
(1) |
Vốn điều lệ (vốn đã góp) |
Lấy số liệu tại khoản mục Vốn điều lệ trên Báo cáo tình hình tài chính hợp nhất được lập theo số liệu Bảng cân đối tài khoản kế toán của các đối tượng hợp nhất. Đối với ngân hàng sử dụng ngoại tệ làm đơn vị tiền tệ trong kế toán thì Vốn điều lệ được quy đổi ra đồng Việt Nam theo quy định của Ngân hàng Nhà nước hướng dẫn về Chế độ báo cáo tài chính đối với các tổ chức tín dụng. |
|
(2) |
Quỹ dự trữ bổ sung vốn điều lệ |
Lấy số liệu Quỹ dự trữ bổ sung vốn điều lệ trong khoản mục Quỹ của tổ chức tín dụng trên Báo cáo tình hình tài chính hợp nhất được lập theo số liệu Bảng cân đối tài khoản kế toán của các đối tượng hợp nhất. |
|
(3) |
Quỹ đầu tư phát triển |
Lấy số liệu Quỹ đầu tư phát triển trong khoản mục Quỹ của tổ chức tín dụng trên Báo cáo tình hình tài chính hợp nhất được lập theo số liệu Bảng cân đối tài khoản kế toán của các đối tượng hợp nhất. |
|
(4) |
Quỹ dự phòng tài chính |
Lấy số liệu Quỹ dự phòng tài chính trong khoản mục Quỹ của tổ chức tín dụng trên Báo cáo tình hình tài chính hợp nhất được lập theo số liệu Bảng cân đối tài khoản kế toán của các đối tượng hợp nhất. |
|
(5) |
Các quỹ khác được trích từ lợi nhuận sau thuế thu nhập doanh nghiệp theo quy định của pháp luật (không bao gồm quỹ khen thưởng, phúc lợi, quỹ thưởng ban điều hành) |
Lấy số liệu Quỹ khác trong khoản mục Quỹ của tổ chức tín dụng trên Báo cáo tình hình tài chính hợp nhất được lập theo số liệu Bảng cân đối tài khoản kế toán của các đối tượng hợp nhất. |
|
(6) |
Vốn đầu tư xây dựng cơ bản, mua sắm tài sản cố định |
Lấy số liệu Vốn đầu tư xây dựng cơ bản, mua sắm tài sản cố định trên Báo cáo tình hình tài chính hợp nhất được lập theo số liệu Bảng cân đối tài khoản kế toán của các đối tượng hợp nhất. |
|
(7) |
Vốn khác |
Lấy số liệu Vốn khác trên Báo cáo tình hình tài chính hợp nhất được lập theo số liệu Bảng cân đối tài khoản kế toán của các đối tượng hợp nhất. |
|
(8) |
Lợi nhuận chưa phân phối |
Lấy số liệu Lợi nhuận chưa phân phối trên Báo cáo tình hình tài chính hợp nhất được lập theo số liệu Bảng cân đối tài khoản kế toán của các đối tượng hợp nhất tại thời điểm tính tỷ lệ an toàn vốn tối thiểu hợp nhất. Đối với ngân hàng được chấp thuận hoãn, giãn trích lập dự phòng rủi ro, lợi nhuận chưa phân phối phải trừ đi chênh lệch dương giữa số dự phòng rủi ro phải trích theo quy định của pháp luật về mức trích, phương pháp trích lập dự phòng rủi ro và việc sử dụng dự phòng để xử lý rủi ro trong hoạt động của tổ chức tín dụng, chi nhánh ngân hàng nước ngoài và trường hợp tổ chức tín dụng phân bổ lãi phải thu phải thoái so với số dự phòng rủi ro đã trích. |
|
(9) |
Thặng dư vốn cổ phần của cổ phần phổ thông |
Lấy số liệu Thặng dư vốn cổ phần trên Báo cáo tình hình tài chính hợp nhất (được lập theo số liệu Bảng cân đối tài khoản kế toán của các đối tượng hợp nhất) nhân với tỷ trọng của cổ phần phổ thông trên tổng số cổ phần. |
|
(10) |
Chênh lệch tỷ giá hối đoái phát sinh khi hợp nhất báo cáo tài chính |
Lấy số dư khoản Chênh lệch tỷ giá hối đoái do đánh giá lại vốn chủ sở hữu có gốc ngoại tệ thuộc khoản mục Vốn Chủ sở hữu được ghi nhận trên Báo cáo tình hình tài chính hợp nhất (được lập theo số liệu Bảng cân đối tài khoản kế toán của các đối tượng hợp nhất) khi chuyển đổi Báo cáo tình hình tài chính hợp nhất được lập bằng ngoại tệ ra đồng Việt Nam. |
|
|
Các khoản giảm trừ khỏi Vốn lõi cấp 1 hợp nhất (A12) = ∑(11) ÷ (19) |
|
|
(11) |
Lợi thế thương mại |
Lấy số liệu Lợi thế thương mại phát sinh khi hợp nhất kinh doanh được xác định theo chuẩn mực kế toán hợp nhất kinh doanh trên Báo cáo tình hình tài chính hợp nhất. |
|
(12) |
Các tài sản cố định vô hình (không bao gồm quyền sử dụng đất) |
Lấy giá trị còn lại của Tài sản cố định vô hình (không bao gồm quyền sử dụng đất) trên Thuyết minh báo cáo tài chính hợp nhất được lập theo số liệu Bảng cân đối tài khoản kế toán của các đối tượng hợp nhất của các đối tượng hợp nhất. |
|
(13) |
Tài sản thuế thu nhập hoãn lại |
Lấy số liệu từ Tài sản thuế thu nhập hoãn lại phát sinh từ các khoản chênh lệch tạm thời phải chịu thuế tại Thuyết minh báo cáo tài chính hợp nhất được lập theo số liệu Bảng cân đối tài khoản kế toán của các đối tượng hợp nhất của các đối tượng hợp nhất. |
|
(14) |
Lỗ lũy kế |
Lấy số liệu Lỗ lũy kế tại thời điểm tính tỷ lệ an toàn vốn. |
|
(15) |
Cổ phiếu quỹ ứng với cổ phần phổ thông |
Lấy số liệu Cổ phiếu quỹ trên Báo cáo tình hình tài chính hợp nhất (được lập theo số liệu Bảng cân đối tài khoản kế toán của các đối tượng hợp nhất) nhân với tỷ trọng của cổ phần phổ thông trên tổng số cổ phần. |
|
(16) |
Phần chênh lệch dương của tổng mức tổn thất dự kiến so với dự phòng rủi ro của danh mục tài sản được áp dụng phương pháp xếp hạng nội bộ |
Chỉ tính chênh lệch cho danh mục tài sản được áp dụng phương pháp xếp hạng nội bộ theo quy định tại khoản 1 Điều 62 Thông tư này. Ngân hàng thương mại trừ 50% phần chênh lệch vào vốn lõi cấp 1 và 50% phần chênh lệch còn lại vào vốn cấp 2 trong 02 năm kể từ ngày được Ngân hàng Nhà nước chấp thuận áp dụng phương pháp xếp hạng nội bộ. Kể từ năm thứ ba trở đi, ngân hàng thương mại trừ toàn bộ phần chênh lệch vào vốn lõi cấp 1. |
|
(17) |
Các khoản góp vốn, mua cổ phần tại tổ chức tín dụng khác, công ty con của tổ chức tín dụng và doanh nghiệp hoạt động trong lĩnh vực ngân hàng, bảo hiểm, chứng khoán |
Lấy số liệu các khoản Góp vốn, đầu tư dài hạn và Chứng khoán sẵn sàng để bán và Chứng khoán kinh doanh phần chứng khoán vốn vào các đối tượng là các tổ chức tín dụng khác, công ty con của tổ chức tín dụng khác, doanh nghiệp hoạt động trong lĩnh vực ngân hàng, bảo hiểm, chứng khoán trên Báo cáo tình hình tài chính hợp nhất được lập theo số liệu Bảng cân đối tài khoản kế toán của các đối tượng hợp nhất. |
|
(18) |
Phần chênh lệch dương giữa Tài sản cố định vô hình là quyền sử dụng đất và 15% của A11 sau khi trừ đi các khoản phải trừ từ (11) đến (17) |
- N1 = Tài sản cố định vô hình là Quyền sử dụng đất; - N2 = 15%* [(A11)- Σ(11) ÷ (17)]; - Lấy giá trị N1 - N2 > 0 |
|
(19) |
Phần bù cho giá trị âm của Vốn bổ sung vốn cấp 1 |
Trường hợp A2<0, lấy giá trị giảm trừ là |A2| |
|
|
Vốn bổ sung vốn cấp 1 hợp nhất (A2)= A21 - A22 |
|
|
|
Vốn bổ sung vốn cấp 1 hợp nhất chưa giảm trừ (A21) = Σ(20) ÷ (21) |
|
|
(20) |
Công cụ bổ sung vốn cấp 1 do chính ngân hàng thương mại phát hành |
Lấy giá trị các công cụ bổ sung vốn cấp 1 đáp ứng đầy đủ các điều kiện quy định tại Mục III Phần này |
|
(21) |
Thặng dư vốn cổ phần của các công cụ bổ sung vốn cấp 1 |
Lấy số liệu Thặng dư vốn cổ phần trên Báo cáo tình hình tài chính hợp nhất (được lập theo số liệu Bảng cân đối tài khoản kế toán của các đối tượng hợp nhất) nhân với tỷ trọng của các loại cổ phần không phải là cổ phần phổ thông và đáp ứng đầy đủ các điều kiện quy định tại Mục III Phần này trên tổng số cổ phần. |
|
|
Các khoản giảm trừ khỏi Vốn bổ sung vốn cấp 1 hợp nhất (A22) = Σ(22) ÷ (23) |
|
|
(22) |
Mua lại công cụ bổ sung vốn cấp 1 do chính ngân hàng thương mại phát hành |
Lấy số liệu tổng của: - Cổ phiếu quỹ trên Báo cáo tình hình tài chính hợp nhất (được lập theo số liệu Bảng cân đối tài khoản kế toán của các đối tượng hợp nhất) nhân với tỷ trọng của các loại cổ phần không phải là cổ phần phổ thông và đáp ứng đầy đủ các điều kiện quy định tại Mục III Phần này trên tổng số cổ phần. - Giá trị các công cụ bổ sung vốn cấp 1 do chính ngân hàng thương mại phát hành đáp ứng đầy đủ các điều kiện quy định tại Mục III Phần này (không phải cổ phiếu) được ngân hàng mua lại. |
|
(23) |
Phần bù cho giá trị âm của Vốn cấp 2 |
Trường hợp B<0, lấy giá trị giảm trừ là |B| |
|
|
VỐN CẤP 2 HỢP NHẤT (B) = B1 - B2 |
|
|
|
Vốn cấp 2 hợp nhất chưa giảm trừ (B1)= Σ(24) ÷ (27) |
|
|
(24) |
Nợ thứ cấp do ngân hàng phát hành, ký kết đáp ứng đầy đủ các điều kiện sau: (i) Có kỳ hạn ban đầu từ 05 năm trở lên; (ii) Không được đảm bảo bằng tài sản của chính ngân hàng; (iii) Ngân hàng được trả nợ trước thời gian đáo hạn với điều kiện sau khi thực hiện vẫn đảm bảo các tỷ lệ, giới hạn bảo đảm an toàn theo quy định và báo cáo Ngân hàng Nhà nước (Cục Quản lý, giám sát tổ chức tín dụng hoặc Ngân hàng Nhà nước chi nhánh Khu vực theo đối tượng giám sát) để giám sát; (iv) Ngân hàng được ngừng trả lãi và chuyển lãi lũy kế sang năm tiếp theo nếu việc trả lãi dẫn đến kết quả kinh doanh trong năm bị lỗ; (v) Trong trường hợp thanh lý ngân hàng, người sở hữu khoản nợ thứ cấp chỉ được thanh toán sau khi ngân hàng đã thanh toán cho tất cả các chủ nợ khác; (vi) Lãi suất cố định hoặc công thức tính lãi suất được xác định trước và ghi rõ trong hợp đồng, tài liệu phát hành. - Đối với lãi suất cố định, việc điều chỉnh tăng lãi suất chỉ được thực hiện sau 05 năm kể từ ngày phát hành, ký kết hợp đồng và chỉ được thay đổi 01 lần trong suốt thời hạn của nợ thứ cấp. - Đối với lãi suất tính theo công thức, công thức không được thay đổi và chỉ được thay đổi biên độ trong công thức (nếu có) 01 lần sau 05 năm kể từ ngày phát hành, ký kết hợp đồng. |
- Tại thời điểm xác định giá trị, nếu thời hạn còn lại của nợ thứ cấp trên 05 năm, toàn bộ giá trị nợ thứ cấp được tính vào vốn cấp 2. - Bắt đầu từ năm thứ năm trước khi đến hạn thanh toán, mỗi năm tại ngày đầu tiên của năm (tính theo ngày phát hành), giá trị nợ thứ cấp được tính vào vốn cấp 2 sẽ phải được khấu trừ 20% của tổng mệnh giá. |
|
(25) |
80% dự phòng chung theo quy định về mức trích, phương pháp trích dự phòng rủi ro và sử dụng dự phòng để xử lý rủi ro cho các danh mục được áp dụng phương pháp tiêu chuẩn khi tính tài sản có rủi ro tín dụng khách hàng |
Lấy 80% tổng các khoản mục Dự phòng chung trên Báo cáo tình hình tài chính hợp nhất được lập theo số liệu Bảng cân đối tài khoản kế toán của các đối tượng hợp nhất. |
|
(26) |
Phần chênh lệch dương giữa dự phòng rủi ro và tổn thất dự kiến cho danh mục được áp dụng phương pháp xếp hạng nội bộ khi tính tài sản có rủi ro tín dụng khách hàng |
Chỉ áp dụng cho danh mục tài sản được áp dụng phương pháp xếp hạng nội bộ khi tính tài sản có rủi ro tín dụng khách hàng theo quy định tại khoản 2 Điều 62 Thông tư này. |
|
(27) |
Lợi ích cổ đông không kiểm soát |
|
|
|
Các khoản giảm trừ khỏi Vốn cấp 2 hợp nhất (B2) = Σ(28) ÷ (31) |
|
|
(28) |
Phần giá trị chênh lệch dương giữa khoản mục (25) và 1,25% “Tổng tài sản có rủi ro tín dụng khách hàng” của danh mục được áp dụng phương pháp tiêu chuẩn khi tính tài sản có rủi ro tín dụng khách hàng quy định tại Thông tư này |
Chỉ áp dụng cho danh mục tài sản được áp dụng phương pháp tiêu chuẩn khi tính tài sản có rủi ro tín dụng khách hàng |
|
(29) |
Phần chênh lệch dương giữa khoản mục (26) và 0,6% “Tổng tài sản có rủi ro tín dụng khách hàng” của danh mục được áp dụng phương pháp xếp hạng nội bộ khi tính tài sản có rủi ro tín dụng khách hàng quy định tại Thông tư này |
Chỉ áp dụng cho danh mục tài sản được áp dụng phương pháp xếp hạng nội bộ khi tính tài sản có rủi ro tín dụng khách hàng theo quy định tại khoản 2 Điều 62 Thông tư này. |
|
(30) |
50% phần chênh lệch dương của tổng mức tổn thất dự kiến so với trích lập dự phòng của danh mục các tài sản được áp dụng phương pháp xếp hạng nội bộ |
Chỉ áp dụng trong vòng 02 năm kể từ ngày được Ngân hàng Nhà nước chấp thuận áp dụng phương pháp xếp hạng nội bộ theo quy định tại khoản 1 Điều 62 Thông tư này. Kể từ năm thứ ba trở đi, không áp dụng khoản mục này. |
|
(31) |
Mua, đầu tư nợ thứ cấp của tổ chức tín dụng, chi nhánh ngân hàng nước ngoài khác phát hành đáp ứng đầy đủ các điều kiện để tính vào vốn cấp 2 của tổ chức tín dụng, chi nhánh ngân hàng nước ngoài đó (không bao gồm nợ thứ cấp nhận làm tài sản bảo đảm, chiết khấu, tái chiết khấu của khách hàng) |
Bắt đầu từ năm thứ năm trước khi đến hạn thanh toán, mỗi năm tại ngày đầu tiên của năm (tính theo ngày phát hành), giá trị khoản mua, đầu tư nợ thứ cấp của tổ chức tín dụng, chi nhánh ngân hàng nước ngoài khác phát hành đáp ứng đầy đủ các điều kiện để tính vào vốn cấp 2 của tổ chức tín dụng, chi nhánh ngân hàng nước ngoài đó sẽ được khấu trừ 20% của tổng giá mua. |
|
|
VỐN TỰ CÓ HỢP NHẤT (C) = (A) + (B) |
|
III. Công cụ bổ sung vốn cấp 1
Công cụ bổ sung vốn cấp 1 là công cụ tài chính do ngân hàng thương mại phát hành đáp ứng đầy đủ các điều kiện sau:
1. Đã phát hành và đã được bên mua nộp tiền thanh toán đầy đủ.
2. Có thứ tự thanh toán sau người gửi tiền, các chủ nợ có bảo đảm, chủ nợ không có bảo đảm và chủ nợ các khoản nợ thứ cấp của ngân hàng thương mại.
3. Không được bảo đảm bằng tài sản hoặc bảo lãnh của ngân hàng thương mại phát hành hoặc của bất kỳ bên liên quan của ngân hàng thương mại phát hành; hoặc không có bất kỳ thỏa thuận nào khác khiến chủ sở hữu của công cụ này có quyền ưu tiên về mặt pháp lý hoặc kinh tế so với các chủ nợ của ngân hàng thương mại.
4. Không có ngày đáo hạn và không có điều khoản tăng lãi suất hoặc các ưu đãi khác cho việc mua lại công cụ này.
5. Công cụ này chỉ được ngân hàng thương mại thực hiện quyền mua lại theo hợp đồng phát hành sau tối thiểu 05 năm kể từ ngày phát hành khi đáp ứng đầy đủ các điều kiện sau:
a) Việc mua lại và việc hoàn trả phần vốn gốc của công cụ phải được Ngân hàng Nhà nước chấp thuận theo quy định của pháp luật;
b) Ngân hàng thương mại thay thế công cụ được mua lại bằng nguồn vốn có chất lượng tương đương vốn bổ sung vốn cấp 1 hoặc cao hơn, phù hợp với khả năng sinh lời của ngân hàng thương mại; hoặc ngân hàng thương mại đảm bảo sau khi thực hiện quyền mua lại vẫn tuân thủ các giới hạn, tỷ lệ an toàn theo quy định;
c) Ngân hàng thương mại không được tạo ra kỳ vọng về việc công cụ này chắc chắn sẽ được ngân hàng thương mại thực hiện quyền mua lại và việc hoàn trả phần vốn gốc của công cụ sẽ được chấp thuận.
6. Công cụ có tính linh hoạt trong việc hủy bỏ chi trả cổ tức, lãi (coupon), cụ thể:
a) Việc hủy bỏ chi trả cổ tức, lãi của công cụ có thể được thực hiện tại bất kỳ thời điểm nào;
b) Việc hủy bỏ các khoản chi trả không được xem là sự kiện vỡ nợ của ngân hàng thương mại;
c) Được sử dụng khoản cổ tức, lãi đã bị hủy bỏ chi trả để thanh toán các nghĩa vụ khác khi đến hạn;
d) Việc hủy bỏ chi trả cổ tức, lãi không ảnh hưởng đến toàn bộ hoạt động của ngân hàng thương mại, trừ ảnh hưởng đến việc phân phối lợi nhuận cho cổ đông phổ thông;
7. Ngân hàng thương mại sử dụng phần lợi nhuận chưa phân phối do ngân hàng thương mại tự quyết định theo quy định pháp luật về chế độ tài chính để chi trả cổ tức, lãi của công cụ này;
8. Việc chi trả cổ tức, lãi của công cụ này không được có đặc tính điều chỉnh theo xếp hạng tín nhiệm của ngân hàng thương mại;
9. Không làm gia tăng nghĩa vụ nợ vượt quá tổng tài sản của ngân hàng thương mại trong trường hợp ngân hàng thương mại thực hiện kiểm tra báo cáo tình hình tài chính theo quy định pháp luật về phá sản.
10. Công cụ này được phân loại là khoản nợ cho mục đích hạch toán và phải có cơ chế bù đắp lỗ khi tỷ lệ vốn lõi cấp 1 thấp hơn 5,125%. Thông qua cơ chế bù đắp lỗ, công cụ này được chuyển thành vốn lõi cấp 1 theo chuẩn mực kế toán có liên quan. Ngân hàng thương mại phát hành được thực hiện cơ chế bù đắp lỗ bằng việc chuyển đổi công cụ nợ thành cổ phần hoặc ghi giảm giá trị gốc của công cụ nợ. Việc ghi giảm giá trị gốc của công cụ nợ này dẫn đến:
a) Giảm số tiền ngân hàng thương mại phát hành thanh toán cho chủ sở hữu công cụ trong trường hợp ngân hàng thương mại phát hành bị thanh lý, giải thể;
b) Giảm số tiền ngân hàng thương mại thanh toán cho chủ sở hữu công cụ trong trường hợp công cụ được mua lại;
c) Giảm một phần hoặc toàn bộ các khoản chi trả cổ tức, lãi liên quan đến công cụ đó.
11. Trường hợp ngân hàng thương mại phát hành thực hiện cơ chế bù đắp lỗ theo quy định tại điểm 10 Mục này, ngân hàng thương mại phát hành phải đảm bảo:
a) Tổng số tiền ghi giảm giá trị, chuyển đổi tối thiểu phải đủ để đưa tỷ lệ vốn lõi cấp 1 của ngân hàng thương mại lên mức 5,125%;
b) Nếu không thực hiện được điểm 11a nêu trên, ngân hàng thương mại phải ghi giảm toàn bộ giá trị gốc của công cụ đó.
12. Ngân hàng thương mại, công ty con, công ty liên kết của ngân hàng thương mại không được mua công cụ bổ sung vốn cấp 1. Ngân hàng thương mại không được cấp tín dụng để mua công cụ này.
13. Không có điều khoản cản trở việc tăng vốn của ngân hàng thương mại, như điều khoản yêu cầu ngân hàng thương mại phát hành phải bồi thường cho chủ sở hữu của công cụ trước đó trong trường hợp một công cụ mới được phát hành với mức giá thấp hơn công cụ trước đó trong một khoảng thời gian xác định kể từ thời điểm phát hành công cụ trước đó.
B. Cấu phần và cách xác định để tính vốn tự có của chi nhánh ngân hàng nước ngoài:
Chi nhánh ngân hàng nước ngoài căn cứ vào các cấu phần quy định dưới đây, quy định của pháp luật về chế độ tài chính đối với tổ chức tín dụng, chi nhánh ngân hàng nước ngoài và khoản mục tài sản của mình để xác định Vốn tự có cho phù hợp.
|
Mục |
Cấu phần |
Cách xác định |
|
|
VỐN CẤP 1 (A) = A1 |
|
|
|
Vốn lõi cấp 1 (A1) = A11 - A12 |
|
|
|
Vốn lõi cấp 1 chưa giảm trừ (A11) = Σ(1) ÷ (9) |
|
|
(1) |
Vốn đã được cấp |
Lấy số liệu tại khoản mục Vốn điều lệ trên Báo cáo tình hình tài chính được lập theo số liệu Bảng cân đối tài khoản kế toán. Đối với chi nhánh ngân hàng nước ngoài sử dụng ngoại tệ làm đơn vị tiền tệ trong kế toán thì Vốn điều lệ được quy đổi ra đồng Việt Nam theo quy định của Ngân hàng Nhà nước hướng dẫn về Chế độ báo cáo tài chính đối với các tổ chức tín dụng. |
|
(2) |
Quỹ dự trữ bổ sung vốn điều lệ |
Lấy số liệu Quỹ dự trữ bổ sung vốn điều lệ trong khoản mục Quỹ của tổ chức tín dụng trên Báo cáo tình hình tài chính được lập theo số liệu Bảng cân đối tài khoản kế toán. |
|
(3) |
Quỹ đầu tư phát triển |
Lấy số liệu Quỹ đầu tư phát triển trong khoản mục Quỹ của tổ chức tín dụng trên Báo cáo tình hình tài chính được lập theo số liệu Bảng cân đối tài khoản kế toán. |
|
(4) |
Quỹ dự phòng tài chính |
Lấy số liệu Quỹ dự phòng tài chính trong khoản mục Quỹ của tổ chức tín dụng trên Báo cáo tình hình tài chính được lập theo số liệu Bảng cân đối tài khoản kế toán. |
|
(5) |
Các quỹ khác được trích từ lợi nhuận sau thuế thu nhập doanh nghiệp theo quy định của pháp luật (không bao gồm quỹ khen thưởng, phúc lợi, quỹ thưởng ban điều hành) |
Lấy số liệu Quỹ khác trong khoản mục Quỹ của tổ chức tín dụng trên Báo cáo tình hình tài chính được lập theo số liệu Bảng cân đối tài khoản kế toán. |
|
(6) |
Vốn đầu tư xây dựng cơ bản, mua sắm tài sản cố định |
Lấy số liệu Vốn đầu tư xây dựng cơ bản, mua sắm tài sản cố định trên Báo cáo tình hình tài chính được lập theo số liệu Bảng cân đối tài khoản kế toán. |
|
(7) |
Vốn khác |
Lấy số liệu Vốn khác trên Báo cáo tình hình tài chính được lập theo số liệu Bảng cân đối tài khoản kế toán. |
|
(8) |
Lợi nhuận chưa phân phối |
Lấy số liệu Lợi nhuận chưa phân phối trên Báo cáo tình hình tài chính được lập theo số liệu Bảng cân đối tài khoản kế toán tại thời điểm tính tỷ lệ an toàn vốn tối thiểu riêng lẻ. Đối với chi nhánh ngân hàng nước ngoài được chấp thuận hoãn, giãn trích lập dự phòng rủi ro, lợi nhuận chưa phân phối phải trừ đi chênh lệch dương giữa số dự phòng rủi ro phải trích theo quy định của pháp luật về mức trích, phương pháp trích lập dự phòng rủi ro và việc sử dụng dự phòng để xử lý rủi ro trong hoạt động của tổ chức tín dụng, chi nhánh ngân hàng nước ngoài và trường hợp tổ chức tín dụng phân bổ lãi phải thu phải thoái so với số dự phòng rủi ro đã trích. |
|
(9) |
Chênh lệch tỷ giá hối đoái |
Lấy số dư khoản Chênh lệch tỷ giá hối đoái do đánh giá lại vốn chủ sở hữu có gốc ngoại tệ thuộc khoản mục Vốn Chủ sở hữu được ghi nhận trên Báo cáo tình hình tài chính (được lập theo số liệu Bảng cân đối tài khoản kế toán) khi chuyển đổi Báo cáo tài chính được lập bằng ngoại tệ ra đồng Việt Nam. |
|
|
Các khoản giảm trừ khỏi Vốn lõi cấp 1 (A12) = Σ(10)÷ (15) |
|
|
(10) |
Các tài sản cố định vô hình (không bao gồm quyền sử dụng đất) |
Lấy giá trị còn lại của Tài sản cố định vô hình (không bao gồm quyền sử dụng đất) trên Thuyết minh báo cáo tài chính được lập theo số liệu Bảng cân đối tài khoản kế toán. |
|
(11) |
Tài sản thuế thu nhập hoãn lại |
Lấy số liệu từ Tài sản thuế thu nhập hoãn lại phát sinh từ các khoản chênh lệch tạm thời phải chịu thuế tại Thuyết minh báo cáo tài chính được lập theo số liệu Bảng cân đối tài khoản kế toán. |
|
(12) |
Lỗ lũy kế |
Lấy số liệu Lỗ lũy kế tại thời điểm tính tỷ lệ an toàn vốn. |
|
(13) |
Phần chênh lệch dương của tổng mức tổn thất dự kiến so với dự phòng rủi ro của danh mục tài sản áp dụng phương pháp xếp hạng nội bộ |
Chỉ tính chênh lệch cho danh mục tài sản áp dụng phương pháp xếp hạng nội bộ theo quy định tại khoản 1 Điều 62 Thông tư này; Chi nhánh ngân hàng nước ngoài trừ 50% phần chênh lệch vào vốn lõi cấp 1 và 50% phần chênh lệch còn lại vào vốn cấp 2 trong 02 năm kể từ ngày được Ngân hàng Nhà nước chấp thuận áp dụng phương pháp xếp hạng nội bộ. Kể từ năm thứ ba trở đi, chi nhánh ngân hàng nước ngoài trừ toàn bộ phần chênh lệch vào vốn lõi cấp 1. |
|
(14) |
Phần chênh lệch dương giữa tổng Tài sản cố định vô hình là quyền sử dụng và 15% của A11 sau khi trừ đi các khoản phải trừ từ (10) đến (13) |
- N1 = Tài sản cố định vô hình là Quyền sử dụng đất; - N2= 15%* [(A11) - x Σ(10) ÷ (13)]; - Lấy giá trị N1 - N2 > 0 |
|
(15) |
Phần bù cho giá trị âm của Vốn cấp 2 |
Trường hợp B < 0, lấy giá trị giảm trừ là |B| |
|
|
VỐN CẤP 2 (B) = B1 - B2 |
|
|
|
Vốn cấp 2 chưa giảm trừ (B1) = Σ(16) ÷(18) |
|
|
(16) |
Nợ thứ cấp do ngân hàng phát hành, ký kết đáp ứng đầy đủ các điều kiện sau: (i) Có kỳ hạn ban đầu từ 05 năm trở lên; (ii) Không được đảm bảo bằng tài sản của chính ngân hàng; (iii) Ngân hàng được trả nợ trước thời gian đáo hạn với điều kiện sau khi thực hiện vẫn đảm bảo các tỷ lệ, giới hạn bảo đảm an toàn theo quy định và báo cáo Ngân ngân hàng Nhà nước (Cục Quản lý, giám sát tổ chức tín dụng hoặc Ngân hàng Nhà nước chi nhánh Khu vực theo đối tượng giám sát) để giám sát; (iv) Ngân hàng được ngừng trả lãi và chuyển lãi lũy kế sang năm tiếp theo nếu việc trả lãi dẫn đến kết quả kinh doanh trong năm bị lỗ; (v) Trong trường hợp thanh lý ngân hàng, người sở hữu khoản nợ thứ cấp chỉ được thanh toán sau khi ngân hàng đã thanh toán cho tất cả các chủ nợ khác; (vi) Lãi suất cố định hoặc công thức tính lãi suất được xác định trước và ghi rõ trong hợp đồng, tài liệu phát hành. - Đối với lãi suất cố định, việc điều chỉnh tăng lãi suất chỉ được thực hiện sau 05 năm kể từ ngày phát hành, ký kết hợp đồng và chỉ được thay đổi 01 lần trong suốt thời hạn của nợ thứ cấp. - Đối với lãi suất tính theo công thức, công thức không được thay đổi và chỉ được thay đổi biên độ trong công thức (nếu có) 01 lần sau 05 năm kể từ ngày phát hành, ký kết hợp đồng. |
- Tại thời điểm xác định giá trị, nếu thời hạn còn lại của nợ thứ cấp trên 05 năm, toàn bộ giá trị nợ thứ cấp được tính vào vốn cấp 2. - Bắt đầu từ năm thứ năm trước khi đến hạn thanh toán, mỗi năm tại ngày đầu tiên của năm (tính theo ngày phát hành), giá trị nợ thứ cấp được tính vào vốn cấp 2 sẽ phải được khấu trừ 20% của tổng mệnh giá. |
|
(17) |
80% dự phòng chung theo quy định về mức trích, phương pháp trích dự phòng rủi ro và sử dụng dự phòng để xử lý rủi ro cho các danh mục được áp dụng phương pháp tiêu chuẩn khi tính tài sản có rủi ro tín dụng khách hàng |
Lấy 80% tổng các khoản mục Dự phòng chung trên Báo cáo tình hình tài chính được lập theo số liệu Bảng cân đối tài khoản kế toán. |
|
(18) |
Phần chênh lệch dương giữa dự phòng rủi ro và tổn thất dự kiến cho danh mục được áp dụng phương pháp xếp hạng nội bộ khi tính tài sản có rủi ro tín dụng khách hàng |
Chỉ áp dụng cho danh mục tài sản được các áp dụng phương pháp xếp hạng nội bộ khi tính tài sản có rủi ro tín dụng khách hàng theo quy định tại khoản 2 Điều 62 Thông tư này. |
|
|
Các khoản giảm trừ khỏi Vốn cấp 2 (B2) = Σ(19) ÷ (22) |
|
|
(19) |
Phần giá trị chênh lệch dương giữa khoản mục (17) và 1,25% “Tổng tài sản có rủi ro tín dụng khách hàng” của danh mục được áp dụng phương pháp tiêu chuẩn khi tính tài sản có rủi ro tín dụng khách hàng quy định tại Thông tư này |
Chỉ áp dụng cho danh mục tài sản được áp dụng phương pháp tiêu chuẩn khi tính tài sản có rủi ro tín dụng khách hàng |
|
(20) |
Phần chênh lệch dương giữa khoản mục (18) và 0,6% “Tổng tài sản có rủi ro tín dụng khách hàng” của danh mục được áp dụng phương pháp xếp hạng nội bộ khi tính tài sản có rủi ro tín dụng khách hàng quy định tại Thông tư này |
Chỉ áp dụng cho danh mục tài sản được áp dụng phương pháp xếp hạng nội bộ khi tính tài sản có rủi ro tín dụng khách hàng theo quy định tại khoản 2 Điều 62 Thông tư này. |
|
(21) |
50% phần chênh lệch dương của tổng mức tổn thất dự kiến so với trích lập dự phòng của danh mục các tài sản áp dụng phương pháp xếp hạng nội bộ |
Chỉ áp dụng trong vòng 02 năm kể từ ngày được Ngân hàng Nhà nước chấp thuận áp dụng phương pháp xếp hạng nội bộ theo quy định tại khoản 1 Điều 62 Thông tư này. Kể từ năm thứ ba trở đi, không áp dụng khoản mục này. |
|
(22) |
Mua, đầu tư nợ thứ cấp của tổ chức tín dụng, chi nhánh ngân hàng nước ngoài khác phát hành đáp ứng đầy đủ các điều kiện để tính vào vốn cấp 2 của tổ chức tín dụng, chi nhánh ngân hàng nước ngoài đó (không bao gồm nợ thứ cấp nhận làm tài sản bảo đảm, chiết khấu, tái chiết khấu của khách hàng) |
Bắt đầu từ năm thứ năm trước khi đến hạn thanh toán, mỗi năm tại ngày đầu tiên của năm (tính theo ngày phát hành), giá trị khoản mua, đầu tư nợ thứ cấp của tổ chức tín dụng, chi nhánh ngân hàng nước ngoài khác phát hành đáp ứng đầy đủ các điều kiện để tính vào vốn cấp 2 của tổ chức tín dụng, chi nhánh ngân hàng nước ngoài đó sẽ được khấu trừ 20% của tổng giá mua. |
|
|
VỐN TỰ CÓ (C) = (A) + (B) |
|
Phụ lục II
TÀI SẢN TÍNH THEO RỦI RO TÍN DỤNG ĐỐI TÁC
(Kèm theo Thông tư số 14/2025/TT-NHNN ngày 30 tháng 6 năm 2025 của
Thống đốc Ngân hàng Nhà nước Việt Nam)
_________________
1. Đối với các giao dịch với Trung tâm thanh toán tập trung (Central clearing house), Trung tâm lưu ký chứng khoán và các giao dịch ngân hàng bán quyền chọn (short options), rủi ro tín dụng đối tác được xác định bằng 0.
2. Đối với các giao dịch có tiền ký quỹ, tài sản bảo đảm đáp ứng điều kiện quy định tại Điều 26 Thông tư này, giá trị giao dịch được giảm trừ số tiền ký quỹ và giảm thiểu rủi ro theo tài sản bảo đảm quy định tại Điều 26 Thông tư này.
3. Giá trị giao dịch, giá trị tài sản cơ sở phải được lấy theo giá trị thị trường (mark to market). Trường hợp không có giá trị thị trường, ngân hàng phải tính toán giá trị theo các dữ liệu thị trường (mark to model) và phải chịu trách nhiệm về tính chính xác, hợp lý của phương pháp tính toán, đồng thời báo cáo Ngân hàng Nhà nước (Cục Quản lý giám sát tổ chức tín dụng hoặc Ngân hàng Nhà nước chi nhánh Khu vực theo đối tượng giám sát) trước khi thực hiện. Ngân hàng Nhà nước (Cục Quản lý giám sát tổ chức tín dụng hoặc Ngân hàng Nhà nước chi nhánh Khu vực theo đối tượng giám sát) sẽ yêu cầu ngân hàng sửa đổi phương pháp tính toán trong trường hợp cần thiết.
4. Đối với giao dịch sản phẩm phái sinh: Tài sản tính theo rủi ro tín dụng đối tác của giao dịch thứ j (RWAccrj) được tính theo công thức:
RWAccrj = [(RCj + PFEj) - Cj ]x CRW
Trong đó:
a) RCj: Chi phí thay thế của giao dịch thứ j được xác định theo giá trị thị trường của giao dịch thay thế tương ứng với giá trị tài sản cơ sở, giá trị giao dịch gốc (chỉ lấy giá trị dương);
b) PFEj: Giá trị tương lai trạng thái rủi ro của giao dịch thứ j được xác định trên cơ sở tổng giá trị vốn danh nghĩa xác định theo quy định của pháp luật về hạch toán kế toán nhân với chỉ số tăng thêm (add-on factor) theo từng thời hạn còn lại như sau:
|
|
Lãi suất |
Ngoại hối |
Cổ phiếu, |
Kim loại |
Các hàng |
|
Từ 01 năm trở xuống |
0,0% |
1,0% |
6,0% |
7,0% |
10,0% |
|
Trên 01năm đến 05 năm |
0,5% |
5,0% |
8,0% |
7,0% |
12,0% |
|
Trên 05 năm |
1,5% |
7,5% |
10,0% |
8,0% |
15,0% |
Trong đó:
(i) Đối với các hợp đồng giao dịch vốn gốc nhiều lần, chỉ số tăng thêm phải tính theo từng lần thanh toán còn lại của hợp đồng;
(ii) Trường hợp giá trị vốn danh nghĩa khác nhau theo thỏa thuận của giao dịch, chỉ số tăng thêm phải tính theo từng giá trị vốn danh nghĩa thỏa thuận theo giao dịch;
(iii) Đối với hợp đồng có ngày thanh toán hợp đồng cụ thể và ngày cụ thể định lại giá trị thị trường của hợp đồng bằng 0 thì thời hạn còn lại được xác định bằng thời gian cho đến kỳ định lại giá trị tiếp theo. Trường hợp hợp đồng lãi suất có thời hạn còn lại trên 01 năm mà đáp ứng các điều kiện trên, chỉ số tăng thêm là 0,5%;
(iv) “Các hàng hóa khác” bao gồm cả các hợp đồng kỳ hạn, hợp đồng hoán đổi, hợp đồng quyền chọn mua và các hợp đồng phái sinh tương tự mà không thuộc các cột còn lại;
(v) Đối với sản phẩm hoán đổi lãi suất thả nổi/thả nổi một đồng tiền, tài sản tính theo rủi ro tín dụng đối tác (RWAccr) tính theo giá trị thị trường của giao dịch, không phải tính giá trị tương lai trạng thái rủi ro của giao dịch (PFEj).
(vi) Đối với giao dịch sản phẩm phái sinh tín dụng, chỉ số tăng thêm được xác định như sau:
|
Giao dịch sản phẩm phái sinh tín dụng |
Chỉ số tăng thêm |
|
1. Hợp đồng hoán đổi lợi nhuận tổng: - Nghĩa vụ tham chiếu đủ tiêu chuẩn là các nghĩa vụ của các tổ chức tài chính công lập của chính phủ, ngân hàng phát triển hoặc các hợp đồng hoán đổi khác có xếp hạng tín nhiệm từ Baa trở lên của Moody hoặc BBB trở lên của Standard & Poor’s, Fitch Rating; |
5% |
|
- Nghĩa vụ tham chiếu không đủ tiêu chuẩn là các nghĩa vụ không đáp ứng các điều kiện nêu trên. |
10% |
|
2. Hợp đồng hoán đổi vỡ nợ tín dụng: - Nghĩa vụ tham chiếu đủ tiêu chuẩn; |
5% |
|
- Nghĩa vụ tham chiếu không đủ tiêu chuẩn. |
10% |
c) Cj: Giá trị tài sản đảm bảo. Cj được hiệu chỉnh theo hệ số hiệu chỉnh quy định tại Điều 26 Thông tư này. Cj = 0 nếu không đáp ứng đủ các điều kiện quy định tại Điều 26 Thông tư này;
d) CRW: Hệ số rủi ro tín dụng của đối tác theo quy định tại Mục 2 Chương II Thông tư này.
5. Đối với các giao dịch Repo và Reverse Repo (trừ giao dịch mua có kỳ hạn công cụ chuyển nhượng, giấy tờ có giá khác quy định tại Mục 6 Phụ lục này), tài sản tính theo rủi ro tín dụng đối tác (RWAccrj) được tính theo công thức sau:
RWAccrj = {Max[(0, Ej- Cj x (1-Hc -Hfx))]}x CRW
Trong đó:
- Hc : Hệ số hiệu chỉnh tương ứng của tài sản cơ sở được quy định tại Điều 26 Thông tư này. Cj bằng 0 nếu không đáp ứng đủ các điều kiện quy định tại Điều 26 Thông tư này;
- Hfx : Hệ số hiệu chỉnh độ lệch tiền tệ giữa giao dịch và tài sản bảo đảm, tài sản cơ sở và bằng 8%;
- CRW: Hệ số rủi ro tín dụng của đối tác theo quy định tại Mục 2 Chương II Thông tư này.
a) Đối với ngân hàng mua có kỳ hạn:
(i) Ej: Giá trị mua lại theo thỏa thuận của giao dịch thứ j theo quy định của pháp luật;
(ii) Cj: Giá trị của tài sản cơ sở thứ j.
b) Đối với ngân hàng bán có kỳ hạn:
(i) Ej: Giá trị của tài sản cơ sở thứ j;
(ii) Cj: Giá trị mua lại theo thỏa thuận của giao dịch thứ j theo quy định của pháp luật.
6. Đối với giao dịch mua có kỳ hạn tài sản tài chính theo quy định của Ngân hàng Nhà nước về hoạt động chiết khấu công cụ chuyển nhượng, giấy tờ có giá khác, rủi ro tín dụng đối tác được tính như sau:
RWAccr = Ej x CRW
Trong đó:
- Ej: Giá trị thanh toán khi đến hạn thanh toán, lãi chiết khấu và các chi phí hợp lý khác liên quan đến hợp đồng chiết khấu theo thỏa thuận giữa ngân hàng và khách hàng (nếu có) của giao dịch thứ j theo quy định của pháp luật;
- CRW: Hệ số rủi ro tín dụng của đối tác theo quy định tại Mục 2 Chương II Thông tư này.
7. Đối với giao dịch có thỏa thuận thanh toán đồng thời mà đối tác không thực hiện thanh toán đúng thời gian đã cam kết, ngân hàng phải có quy trình theo dõi, giám sát chặt chẽ và phải tính tài sản tính theo rủi ro tín dụng đối tác (RWAccr) khi giao dịch không được thanh toán sau 05 ngày kể từ ngày thanh toán đã cam kết theo công thức:
RWAccr = 12,5 x GD x r
Trong đó:
- GD: Số dư giao dịch chưa thanh toán đúng thời hạn cam kết;
- r: Hệ số rủi ro áp dụng theo số ngày chậm trả, được xác định như sau:
|
Số ngày chậm thanh toán |
Hệ số rủi ro |
|
Từ 5 đến 15 ngày |
8% |
|
Từ 16 đến 30 ngày |
50% |
|
Từ 31 đến 45 ngày |
75% |
|
Từ 46 ngày trở lên |
100% |
8. Đối với giao dịch không thỏa thuận thanh toán đồng thời, ngân hàng đã thực hiện thanh toán theo cam kết, trong thời gian 05 ngày làm việc kể từ ngày thỏa thuận thanh toán mà đối tác chưa thực hiện nghĩa vụ, ngân hàng tính tài sản tính theo rủi ro tín dụng đối tác (RWAccr) theo công thức sau:
RWAccr = Ej x CRW
Trong đó:
- Ej: Giá trị của giao dịch thứ j;
- CRW: Hệ số rủi ro tín dụng của đối tác theo quy định tại Mục 2 Chương II Thông tư này.
Sau 05 ngày làm việc kể từ ngày thỏa thuận thanh toán mà đối tác chưa thực hiện nghĩa vụ, ngân hàng phải trừ giá trị giao dịch và chi phí thay thế của giao dịch, nếu có vào vốn tự có cho tới khi đối tác thực hiện nghĩa vụ.
9. Việc bù trừ hai bên là việc ngân hàng thay thế một nghĩa vụ thanh toán với đối tác cho một đồng tiền nhất định vào thời điểm nhất định đối với các nghĩa vụ cùng đồng tiền và cùng thời điểm. Việc bù trừ hai bên chỉ được thực hiện khi đáp ứng các điều kiện sau đây:
a) Có thỏa thuận, hợp đồng bù trừ hai bên tạo ra một nghĩa vụ hợp pháp cho các giao dịch mà ngân hàng được nhận hoặc phải thực hiện thanh toán theo số dư bù trừ của các giá trị thị trường của các giao dịch riêng lẻ khi đối tác không thực hiện nghĩa vụ theo hợp đồng do không có khả năng thanh toán, bị phá sản, bị thanh lý hoặc các trường hợp tương tự khác; không có điều khoản cho phép đối tác chỉ thực hiện việc thanh toán hạn chế hoặc không thanh toán đầy đủ từ tài sản của bên không thanh toán kể cả bên thanh toán là người được nhận thanh toán bù trừ;
b) Pháp luật của các nước có liên quan cho phép việc bù trừ hai bên;
c) Có quy trình đảm bảo các yêu cầu pháp lý của thỏa thuận, hợp đồng bù trừ hai bên được rà soát phù hợp theo những thay đổi của pháp luật liên quan.
10. Tài sản tính theo rủi ro tín dụng đối tác (RWAccr ) khi bù trừ hai bên được xác định là tổng giá trị của các chi phí thay thế bù trừ, (nếu dương) và chỉ số tăng thêm theo giá trị vốn gốc danh nghĩa. Chỉ số tăng thêm của giao dịch bù trừ (ANet ) được xác định theo công thức:
ANet = AGross (0,4 + 0,6 NGR)
Trong đó:
- AGross : Chỉ số tăng thêm tổng hợp được xác định bằng tổng giá trị tương lai trạng thái rủi ro của giao dịch của các giao dịch thành phần tính theo công thức quy định tại Mục 4 Phụ lục này;
- NGR: Tỷ lệ chi phí thay thế bù trừ trên tỷ lệ thay thế tổng hợp của các giao dịch trong thỏa thuận/hợp đồng bù trừ hai bên.
Ví dụ minh họa đối với giao dịch mua, bán có kỳ hạn:
Ngân hàng A (xếp hạng B+) và Ngân hàng B (không có xếp hạng tín nhiệm) ký kết hợp đồng mua bán có kỳ hạn 100 tỷ trái phiếu 10 năm của Ngân hàng C (không có xếp hạng tín nhiệm) trong thời hạn 3 tháng với giá trị mua lại là 98 tỷ đồng. Giá trị thị trường của số trái phiếu này tại thời điểm tính là 99 tỷ đồng. Việc tính tài sản theo rủi ro tín dụng đối tác tại Ngân hàng A và Ngân hàng B như sau:
- Giá trị Hc đối với trái phiếu 10 năm của Ngân hàng C (không có xếp hạng tín nhiệm) theo Điều 26 Thông tư này là 12%.
- Ngân hàng A (bên bán) phải xác định tài sản tính theo rủi ro tín dụng đối tác cho giao dịch này như sau:
+ Xác định hệ số rủi ro tín dụng của đối tác (ngân hàng B) theo quy định tại Mục 2 Chương II Thông tư này là 70%
+ Tính tài sản tính theo rủi ro tín dụng đối tác:
RWAccr = [Max(0, (99 - 98 x (1-0,12) ]x 70% = 8,932 tỷ đồng.
- Ngân hàng B (bên mua) phải xác định tài sản tính theo rủi ro tín dụng đối tác cho giao dịch này như sau:
+ Xác định hệ số rủi ro tín dụng của đối tác (ngân hàng A) theo quy định tại Mục 2 Chương II Thông tư này là 50%.
+ Tính tài sản tính theo rủi ro tín dụng đối tác:
RWAccr = [Max(0, (98 - 99 x (1-0,12)]x 50% = 5,44 tỷ đồng.
Phụ lục III
XÁC ĐỊNH GIÁ TRỊ CỦA CHỈ SỐ KINH DOANH
(Kèm theo Thông tư số 14/2025/TT-NHNN ngày 30 tháng 6 năm 2025 của
Thống đốc Ngân hàng Nhà nước Việt Nam)
_____________________
1. Ngân hàng xác định giá trị của chỉ số kinh doanh (BI) như sau:
|
Cấu phần |
Công thức tính |
Khoản mục trên Báo cáo kết quả hoạt động /Báo cáo tình hình tài chính |
|
ILDC |
min (| Thu nhập lãi và các khoản thu nhập tương tự - Chi phí lãi và các chi phí tương tự |; 2,25%*Tài sản tạo lãi) + Thu nhập từ góp vốn mua cổ phần |
Thu nhập lãi và các khoản thu nhập tương tự |
|
Chi phí lãi và các chi phí tương tự |
||
|
Tài sản tạo lãi là những tài sản tạo ra thu nhập lãi và các khoản thu nhập tương tự từ Báo cáo tình hình tài chính gồm: + Tiền gửi tại NHNN; + Tiền gửi và cho vay các TCTD khác; + Chứng khoán kinh doanh; + Cho vay khách hàng + Hoạt động mua nợ; + Chứng khoán đầu tư. |
||
|
Thu nhập từ góp vốn, mua cổ phần |
||
|
SC |
max(Thu nhập từ hoạt động dịch vụ, Chi phí hoạt động dịch vụ) + max(Thu nhập từ hoạt động khác, Chi phí từ hoạt động khác) |
Thu nhập từ hoạt động dịch vụ |
|
Chi phí hoạt động dịch vụ |
||
|
Thu nhập từ hoạt động khác |
||
|
Chi phí hoạt động khác |
||
|
FC |
| Lãi/lỗ thuần từ hoạt động kinh doanh ngoại hối (bao gồm cả vàng tiêu chuẩn) | + | Lãi/lỗ thuần từ mua bán chứng khoán kinh doanh | + | Lãi/lỗ thuần từ mua bán, chứng khoán đầu tư | |
Lãi/lỗ thuần từ hoạt động kinh doanh ngoại hối (bao gồm cả vàng tiêu chuẩn) |
|
Lãi/lỗ thuần từ mua bán chứng khoán kinh doanh |
||
|
Lãi/lỗ thuần từ mua bán, chứng khoán đầu tư |
Các cấu phần của BI (ILDC, SC, FC) được xác định qua giá trị trung bình 03 năm gần nhất của các thành phần theo công thức.
2. Các khoản mục sau đây không được tính vào bất cứ cấu phần nào của BI:
a) Thu nhập và chi phí từ hoạt động kinh doanh bảo hiểm hoặc tái bảo hiểm (TK716);
b) Phí bảo hiểm đã thanh toán và các khoản bồi hoàn/ được thanh toán từ các hợp đồng bảo hiểm hoặc tái bảo hiểm đã mua (Tài khoản 883 - Chi nộp phí bảo hiểm, bảo toàn tiền gửi của khách hàng gồm các khoản chi phí cho công ty bảo hiểm tiền gửi của khách hàng và một phần TK79 ứng với Thu tiền bảo hiểm được bồi thường được hạch toán vào thu nhập sau khi đã bù đắp khoản tổn thất đã mua bảo hiểm);
c) Thay đổi trong lợi thế thương mại đã được ghi nhận vào Báo cáo KQHĐ (phần Tài khoản 79 hoặc phần Tài khoản 89 ứng với lợi thế thương mại được chuyển nhượng khi thực hiện mua tài sản mà chỉ tính một phần hoặc không tính đến lợi thế thương mại đi kèm);
d) Thu nhập từ việc thu hồi chi phí vận hành bao gồm thu hồi các khoản thanh toán thay cho khách hàng (phần Tài khoản 79 - Thu nhập khác ứng với thu hồi các khoản chi nộp phạt vi phạm hành chính mà ngân hàng đã trả thay cho khách hàng).
3. Ví dụ xác định BI và LC
3.1. Ví dụ xác định BI tại thời điểm 31/10/2024
Ø Xác định cấu phần ILDC tại thời điểm 31/10/2024:
- Đối với thành phần giá trị bé hơn giữa giá trị trung bình 3 năm của giá trị tuyệt đối của “Thu nhập lãi và các khoản thu nhập tương tự - Chi phí lãi và các chi phí tương tự” và 2,25 lần giá trị trung bình 3 năm của “Tài sản tạo lãi”, ngân hàng thực hiện như sau:
Bước 1: Xác định thành phần giá trị trung bình 3 năm của giá trị tuyệt đối của “Thu nhập lãi và các khoản thu nhập tương tự - Chi phí lãi và các chi phí tương tự” như sau:
+ Xác định giá trị tuyệt đối theo năm của “Thu nhập lãi và các khoản thu nhập tương tự - Chi phí lãi và các chi phí tương tự” cho năm 2022 bằng cách cộng dồn số dư cuối kỳ của giá trị tuyệt đối của “Thu nhập lãi và các khoản thu nhập tương tự - Chi phí lãi và các chi phí tương tự” theo quý của 4 quý liên tiếp Q4.2021, Q1.2022, Q2.2022 và Q3.2022.
+ Tương tự xác định giá trị tuyệt đối theo năm của “Thu nhập lãi và các khoản thu nhập tương tự - Chi phí lãi và các chi phí tương tự” cho năm 2023 và 2024.
+ Lấy giá trị trung bình của 3 giá trị tuyệt đối theo năm vừa xác định ở trên.
Bước 2: Xác định thành phần giá trị trung bình 3 năm của “Tài sản tạo lãi” như sau:
+ Xác định giá trị theo năm của “Tài sản tạo lãi” cho năm 2022 bằng cách lấy giá trị trung bình của số dư cấu phần này tại các thời điểm Q4.2021, Q1.2022, Q2.2022 và Q3.2022;
+ Tương tự xác định giá trị theo năm của “Tài sản tạo lãi” cho năm 2023, 2024.
+ Lấy giá trị trung bình của 3 giá trị theo năm vừa xác định ở trên.
Bước 3: So sánh và chọn giá trị bé hơn giữa giá trị trung bình 3 năm cho giá trị tuyệt đối của “Thu nhập lãi và các khoản thu nhập tương tự - Chi phí lãi và các chi phí tương tự” với 2,25 lần giá trị trung bình 3 năm của “Tài sản tạo lãi”.
- Đối với thành phần “Thu nhập từ góp vốn mua cổ phần, ngân hàng sử dụng phương pháp tương tự như cách xác định giá trị trung bình 3 năm cho thành phần giá trị tuyệt đối của “Thu nhập lãi và các khoản thu nhập tương tự - Chi phí lãi và các chi phí tương tự”.
- Thay các giá trị của các thành phần đã xác định trên vào công thức tính giá trị của ILDC.
Ø Xác định SC tại thời điểm 31/10/2024:
- Đối với thành phần giá trị lớn hơn giữa “Thu nhập từ hoạt động dịch vụ” và “Chi phí hoạt động dịch vụ” được xác định như sau:
Bước 1: Xác định giá trị trung bình 3 năm của “Thu nhập từ hoạt động dịch vụ” như sau:
+ Xác định giá trị theo năm của “Thu nhập từ hoạt động dịch vụ” cho năm 2022 bằng cách cộng dồn số dư cuối kỳ của 4 quý Q4.2021, Q1.2022, Q2.2022 và Q3.2022;
+ Xác định giá trị theo năm của “Thu nhập từ hoạt động dịch vụ” cho năm 2023 và 2024;
+ Lấy giá trị trung bình của 3 giá trị theo năm vừa xác định ở trên.
Bước 2: Xác định giá trị trung bình 3 năm của “Chi phí hoạt động dịch vụ” tương tự như cách thức xác định giá trị trung bình 3 năm của “Thu nhập từ hoạt động dịch vụ”.
Bước 3: So sánh và lấy giá trị lớn hơn giữa giá trị trung bình 3 năm của “Thu nhập từ hoạt động dịch vụ” và giá trị trung bình 3 năm của “Chi phí hoạt động dịch vụ”.
- Đối với thành phần giá trị lớn hơn giữa “Thu nhập từ hoạt động khác” và “Chi phí hoạt động khác” được xác định tương tự như thành phần giá trị lớn hơn giữa “Thu nhập từ hoạt động dịch vụ” và “Chi phí hoạt động dịch vụ”.
- Thay các giá trị của các thành phần đã xác định trên vào công thức tính giá trị của SC.
Ø Xác định FC tại thời điểm 31/10/2024:
- Đối với các thành phần giá trị trung bình 3 năm của “Lãi/lỗ thuần từ hoạt động kinh doanh ngoại hối (bao gồm cả vàng tiêu chuẩn)” ngân hàng xác định như sau:
Bước 1: Xác định giá trị tuyệt đối theo năm của “Lãi/lỗ thuần từ hoạt động kinh doanh ngoại hối (bao gồm cả vàng tiêu chuẩn)” cho năm 2022 bằng cách cộng dồn số dư cuối kỳ của giá trị tuyệt đối theo quý của 4 quý Q4.2021, Q1.2022, Q2.2022 và Q3.2022
Bước 2: Xác định giá trị tuyệt đối theo năm của “Lãi/lỗ thuần từ hoạt động kinh doanh ngoại hối (bao gồm cả vàng tiêu chuẩn)” cho năm 2023 và 2024.
Bước 3: Lấy giá trị trung bình của 3 giá trị theo năm vừa xác định ở trên.
- Sử dụng phương pháp tương tự để xác định giá trị trung bình 3 năm của giá trị tuyệt đối của “Lãi/lỗ thuần từ mua bán chứng khoán kinh doanh” và giá trị trung bình 3 năm của giá trị tuyệt đối của “Lãi/lỗ thuần từ mua bán, chứng khoán đầu tư”
- Thay các giá trị của các thành phần đã xác định trên vào công thức tính giá trị của FC.
3.2. Ví dụ xác định LC tại thời điểm 31/10/2024
- Bước 1: Ngân hàng thu thập dữ liệu tổn thất hoạt động ròng theo quý bằng cách lấy giá trị tổn thất hoạt động ghi nhận trong quý trừ đi giá trị thu hồi được ghi nhận trong cùng quý đó;
- Bước 2: Xác định khung thời gian tính toán:
+ Ngân hàng có khung thời gian tính toán 10 năm khi có độ dài dữ liệu từ 38 quý liên tiếp trở lên tính đến thời điểm Tháng 10/2024 (dữ liệu theo quý đầu tiên phải trước Q2.2015);
+ Ngân hàng có khung thời gian tính toán từ 05 năm đến dưới 10 năm khi có độ dài dữ liệu từ 20 đến 37 quý liên tiếp tính đến thời điểm Tháng 10/2024 (dữ liệu theo quý đầu tiên kể nằm trong khoảng thời gian từ Q3.2015 đến Q4.2019);
+ Ngân hàng có khung thời gian tính toán chưa đủ độ dài 05 năm khi có độ dài dữ liệu ít hơn 20 quý liên tiếp tính đến thời điểm Tháng 10/2024 (dữ liệu theo quý đầu tiên là từ sau Q1.2020).
- Bước 3: Xác định LC
+ Trường hợp ngân hàng có khung thời gian tính toán 10 năm:
• Tính giá trị tổn thất hoạt động ròng năm 2015:
X1 = XQ4.2014 + XQ1.2015 + XQ2.2015 + XQ3.2015
• Tính giá trị tổn thất hoạt động ròng năm 2016 (X2); 2017 (X3)... 2024 (X10)
• Xác định LC như sau:
![]()
+ Trường hợp ngân hàng có khung thời gian tính toán từ 05 năm đến dưới 10 năm:
• Tính giá trị tổn thất hoạt động ròng theo năm của các năm trong khung thời gian tính toán
• Xác định LC như sau:
![]()
Trong đó: n là số năm tính toán, được xác định bằng số quý thực tế chia cho 4 (trường hợp kết quả phép tính có phần thập phân từ 0,5 trở lên được làm tròn thành 1).
Phụ lục IV
VỐN YÊU CẦU CHO RỦI RO THỊ TRƯỜNG
(Kèm theo Thông tư số 14/2025/TT-NHNN ngày 30 tháng 6 năm 2025 của
Thống đốc Ngân hàng Nhà nước Việt Nam)
_________________
A. Nguyên tắc tính vốn cho rủi ro thị trường
Giá trị giao dịch, giá trị tài sản tài chính gốc phải được lấy theo giá trị thị trường (mark to market). Trường hợp không có giá trị thị trường, ngân hàng phải tính toán giá trị theo dữ liệu thị trường (mark to model) và phải chịu trách nhiệm về tính chính xác và hợp lý của phương pháp tính toán, đồng thời báo cáo Ngân hàng Nhà nước (Cục Quản lý, giám sát tổ chức tín dụng hoặc Ngân hàng Nhà nước chi nhánh Khu vực) trước khi thực hiện. Ngân hàng Nhà nước (Cục Quản lý, giám sát tổ chức tín dụng hoặc Ngân hàng Nhà nước chi nhánh Khu vực) yêu cầu ngân hàng sửa đổi phương pháp tính toán trong trường hợp cần thiết.
B. Cách tính vốn cho rủi ro thị trường
I. Vốn yêu cầu cho rủi ro lãi suất
1. Phạm vi tính vốn yêu cầu cho rủi ro lãi suất:
Ngân hàng phải tính vốn yêu cầu cho rủi ro lãi suất đối với tất cả các công cụ tài chính trên sổ kinh doanh (bao gồm cả trạng thái dương hoặc âm) mà giá trị thị trường của các công cụ tài chính này sẽ bị ảnh hưởng khi có thay đổi về lãi suất trừ:
a) Trái phiếu chuyển đổi đã được tính vốn yêu cầu cho rủi ro giá cổ phiếu quy định tại Mục II Phần B Phụ lục này;
b) Công cụ vốn chủ sở hữu, công cụ bổ sung vốn cấp 1 của đơn vị khác đã trừ khỏi vốn của ngân hàng khi tính vốn tự có quy định tại Phụ lục I kèm theo Thông tư này;
c) Tài sản tài chính gốc của hợp đồng quyền chọn đã tính vốn yêu cầu cho giao dịch quyền chọn;
d) Công cụ tài chính mua theo hợp đồng mua có kỳ hạn giấy tờ có giá giữa các tổ chức tín dụng, chi nhánh ngân hàng nước ngoài.
2. Nguyên tắc tính vốn yêu cầu cho rủi ro lãi suất:
a) Ngân hàng tính vốn yêu cầu cho rủi ro lãi suất cụ thể của từng công cụ tài chính có trạng thái dương hoặc âm và rủi ro lãi suất chung cho toàn bộ danh mục đảm bảo:
(i) Vốn yêu cầu cho rủi ro lãi suất cụ thể phát sinh từ các yếu tố liên quan đến đơn vị phát hành công cụ tài chính;
(ii) Vốn yêu cầu cho rủi ro lãi suất chung phát sinh từ thay đổi lãi suất trên thị trường;
b) Sản phẩm phái sinh lãi suất phải quy đổi thành trạng thái danh nghĩa tương ứng của các tài sản tài chính gốc và dùng giá trị thị trường của tài sản tài chính gốc để tính vốn yêu cầu cho rủi ro lãi suất như sau:
(i) Tính vốn yêu cầu cho rủi ro lãi suất chung quy định tại điểm 4 Mục này;
(ii) Tính vốn yêu cầu cho rủi ro lãi suất cụ thể theo quy định tại điểm 3 Mục này. Các hợp đồng hoán đổi tiền tệ và lãi suất; hợp đồng kỳ hạn lãi suất hoặc ngoại tệ; hợp đồng tương lai lãi suất; hợp đồng tương lai dựa trên chỉ số lãi suất; hợp đồng tương lai ngoại tệ và các công cụ tài chính khác không phải tính rủi ro lãi suất cụ thể;
c) Giao dịch mua (bán) hợp đồng kỳ hạn, hợp đồng tương lai mà tài sản tài chính gốc là các chứng khoán nợ phải chuyển đổi thành 02 trạng thái tương ứng của các chứng khoán nợ như sau:
(i) Trạng thái dương (âm) của chứng khoán nợ;
(ii) Trạng thái âm (dương) của chứng khoán nợ có lãi suất bằng 0 (zero coupon) và rủi ro lãi suất cụ thể bằng 0 (ví dụ tương đương trái phiếu Chính phủ có lãi suất bằng 0) có thời hạn bằng thời gian đến hạn của hợp đồng kỳ hạn, hợp đồng tương lai;
d) Hợp đồng kỳ hạn, hợp đồng tương lai mà tài sản tài chính gốc là danh mục chứng khoán nợ hoặc chỉ số chứng khoán nợ phải chuyển đổi thành các hợp đồng kỳ hạn, hợp đồng tương lai của từng chứng khoán nợ như sau:
(i) Hợp đồng kỳ hạn, hợp đồng tương lai mà tài sản tài chính gốc là danh mục chứng khoán nợ hoặc chỉ số chứng khoán nợ là tổng của các hợp đồng kỳ hạn, hợp đồng tương lai của từng loại chứng khoán trong danh mục, chỉ số có giá trị bằng tỷ lệ tương ứng giữa giá trị của mỗi chứng khoán nợ với giá trị của tổng danh mục, chỉ số;
(ii) Các hợp đồng kỳ hạn, hợp đồng tương lai của từng chứng khoán nợ được tính trạng thái theo quy định tại điểm 4b Mục này;
đ) Đối với hợp đồng lãi suất kỳ hạn, ngân hàng bán (mua) hợp đồng lãi suất kỳ hạn phải chuyển đổi thành 02 trạng thái tương ứng như sau:
(i) Trạng thái âm (dương) của giá trị danh nghĩa chứng khoán nợ có lãi suất bằng 0 (zero coupon) và rủi ro lãi suất cụ thể bằng 0 (ví dụ tương đương trái phiếu Chính phủ có lãi suất bằng 0) có thời hạn bằng tổng của thời gian đến hạn của hợp đồng kỳ hạn và thời hạn của tài sản tài chính gốc;
(ii) Trạng thái dương (âm) của giá trị danh nghĩa chứng khoán nợ có lãi suất bằng 0 (zero coupon) và rủi ro lãi suất cụ thể bằng 0 có thời hạn bằng thời gian đến hạn của hợp đồng kỳ hạn;
e) Đối với giao dịch hoán đổi ngoại tệ, hợp đồng hoán đổi lãi suất, ngân hàng tính theo hai trạng thái danh nghĩa 1 và 2 như sau:
|
|
Trạng thái danh nghĩa 1 |
Trạng thái danh nghĩa 2 |
|
Ngân hàng nhận lãi suất cố định và trả lãi suất thả nổi |
Trạng thái âm của chứng khoán nợ có rủi ro lãi suất cụ thể bằng 0, có lãi suất là lãi suất thả nổi, có thời hạn là thời hạn định lại lãi suất |
Trạng thái dương của chứng khoán nợ có rủi ro lãi suất cụ thể bằng 0, có lãi suất, thời hạn tương ứng là lãi suất cố định, thời hạn của hợp đồng hoán đổi |
|
Ngân hàng nhận lãi suất thả nổi và trả lãi suất cố định |
Trạng thái âm của chứng khoán nợ có rủi ro lãi suất cụ thể bằng 0, có lãi suất, thời hạn tương ứng là lãi suất cố định, thời hạn của hợp đồng hoán đổi |
Trạng thái dương của chứng khoán nợ có rủi ro lãi suất cụ thể bằng 0, có lãi suất là lãi suất thả nổi, có thời hạn là thời hạn định lại lãi suất |
|
Ngân hàng nhận và trả lãi suất thả nổi |
Trạng thái âm của chứng khoán nợ có rủi ro lãi suất cụ thể bằng 0, có lãi suất là lãi suất thả nổi, có thời hạn là thời hạn định lại lãi suất |
Trạng thái dương của chứng khoán nợ có rủi ro lãi suất cụ thể bằng 0, có lãi suất là lãi suất thả nổi, có thời hạn là thời hạn định lại lãi suất |
|
Ngân hàng nhận và trả lãi suất cố định |
Trạng thái âm của chứng khoán nợ có rủi ro lãi suất cụ thể bằng 0, có lãi suất là lãi suất cố định, có thời hạn là thời hạn của hợp đồng hoán đổi |
Trạng thái dương của chứng khoán nợ có rủi ro lãi suất cụ thể bằng 0, có lãi suất là lãi suất cố định, có thời hạn là thời hạn của hợp đồng hoán đổi |
Đối với giao dịch hoán đổi ngoại tệ, 02 trạng thái danh nghĩa của chứng khoán nợ có rủi ro lãi suất cụ thể bằng 0 ở bảng trên là 02 trạng thái danh nghĩa của chứng khoán nợ có đồng tiền phát hành là 02 đồng tiền tương ứng trong giao dịch hoán đổi tiền tệ.
3. Vốn yêu cầu cho rủi ro lãi suất cụ thể (
) xác định theo công thức sau:
![]()
Trong đó:
- ei: là giá trị thị trường của công cụ tài chính thứ i;
- SRW: là hệ số rủi ro lãi suất cụ thể của từng công cụ tài chính.
Hệ số rủi ro lãi suất cụ thể (SRW) được xác định như sau:
a) Đối với công cụ tài chính do Chính phủ Việt Nam, Ngân hàng Nhà nước, Kho bạc Nhà nước, Ủy ban nhân dân tỉnh, thành phố trực thuộc Trung ương phát hành hoặc bảo lãnh thanh toán, hệ số rủi ro lãi suất cụ thể là 0%;
b) Đối với công cụ tài chính khác, hệ số rủi ro lãi suất cụ thể SRW được xác định theo bảng dưới đây:
|
Công cụ tài chính |
xếp hạng tín nhiệm độc lập |
SRW |
|
Nhóm 1 |
Từ AA- đếnAAA |
0% |
|
Từ BBB- đến A+ |
0,25% trường hợp thời hạn còn lại đến ngày đáo hạn của công cụ tài chính từ 6 tháng trở xuống |
|
|
|
1% trường hợp 6 tháng < thời hạn còn lại đến ngày đáo hạn của công cụ tài chính ≤ 24 tháng |
|
|
|
1,6% trường hợp thời hạn còn lại đến ngày đáo hạn của công cụ tài chính > 24 tháng |
|
|
Từ B- đến BB+ |
8% |
|
|
Dưới mức B- |
12% |
|
|
Không xếp hạng |
12% |
|
|
Nhóm 2 |
|
0,25% trường hợp thời hạn còn lại đến ngày đáo hạn của công cụ tài chính từ 6 tháng trở xuống |
|
1% trường hợp 6 tháng < thời hạn còn lại đến ngày đáo hạn của công cụ tài chính ≤ 24 tháng |
||
|
1,6% trường hợp thời hạn còn lại đến ngày đáo hạn của công cụ tài chính > 24 tháng |
||
|
Nhóm 3 |
Từ BB- đến BB+ |
8% |
|
Dưới mức BB- |
12% |
|
|
Không xếp hạng |
12% |
Trong đó:
- Nhóm 1: Công cụ tài chính do Chính phủ, chính quyền địa phương của các nước phát hành.
- Nhóm 2:
+ Công cụ tài chính do các tổ chức tài chính quốc tế hoặc doanh nghiệp nhà nước phát hành;
+ Công cụ tài chính khác được ít nhất 02 tổ chức xếp hạng tín nhiệm xếp hạng BBB- hoặc tương đương trở lên.
+ Công cụ tài chính khác được 01 tổ chức xếp hạng BBB- hoặc tương đương trở lên và không có tổ chức xếp hạng nào khác xếp hạng thấp hơn mức BBB-.
- Nhóm 3: Công cụ tài chính còn lại.
4. Vốn yêu cầu cho rủi ro lãi suất chung (
):
a) Vốn yêu cầu cho rủi ro lãi suất chung là tổng các giá trị tuyệt đối của vốn yêu cầu cho rủi ro lãi suất chung tính riêng của từng loại đồng tiền.
b) Vốn yêu cầu cho rủi ro lãi suất chung được xác định bằng phương pháp thang kỳ hạn theo công thức như sau:
![]()
Trong đó:
- NWP: Vốn yêu cầu để bù đắp cho rủi ro do lệch trạng thái trên sổ kinh doanh;
- VD (vertical disallowance): Vốn yêu cầu để bù đắp cho rủi ro do khớp trạng thái trong cùng thang kỳ hạn;
- HD (horizontal disallowance): Vốn yêu cầu để bù đắp cho rủi ro do khớp trạng thái trong cùng 01 vùng hoặc giữa các vùng khác nhau.
c) Vốn yêu cầu cho rủi ro lãi suất chung thực hiện theo các bước sau:
(i) Bước 1: Xác định các Kỳ hạn theo thời hạn còn lại đến ngày đáo hạn hoặc thời hạn còn lại đến kỳ điều chỉnh lãi suất của từng trạng thái của công cụ tài chính.
(ii) Bước 2: Phân bổ các trạng thái công cụ tài chính theo Thang kỳ hạn (Maturity) theo bảng dưới đây:

(iii) Bước 3: Xác định Trạng thái ròng dương (Long position) của từng thang kỳ hạn là tổng các trạng thái dương của cùng thang kỳ hạn đó và Trạng thái ròng âm (Short position) là tổng các trạng thái âm của cùng thang kỳ hạn đó.
(iv) Bước 4: Xác định Trạng thái dương/âm điều chỉnh theo hệ số rủi ro (weighted long/short position) của từng thang kỳ hạn bằng cách nhân trạng thái ròng dương/âm (Long/Short position) với hệ số rủi ro lãi suất của thang kỳ hạn đó.
(v) Bước 5: Tính NWP theo công thức:
NWP = Giá trị tuyệt đối của (Tổng Trạng thái dương điều chỉnh theo hệ số rủi ro của các thang kỳ hạn (ký hiệu là L trong bảng trên) - Tổng Trạng thái âm điều chỉnh theo hệ số rủi ro của các thang kỳ hạn (ký hiệu là S trong bảng trên)).
(vi) Bước 6: Tính VD:
- Xác định các thang kỳ hạn có cả Trạng thái dương (Long position) và Trạng thái âm (Short position) để từ đó xác định Trạng thái tương ứng điều chỉnh theo hệ số rủi ro (matched weighted position) của thang kỳ hạn đó là giá trị tuyệt đối nhỏ hơn giữa hai Trạng thái dương (Long position) và Trạng thái âm (Short position) của thang kỳ hạn đó;
- Tính Tổng Trạng thái tương ứng điều chỉnh theo hệ số rủi ro (matched weighted position) của các thang kỳ hạn (ký hiệu là (a) trong bảng trên);
- Tính VD theo công thức sau: VD = 10% x (a).
(vii) Bước 7:
- Xác định Trạng thái không tương ứng điều chỉnh theo hệ số rủi ro (unmatched weighted position) của từng thang kỳ hạn là hiệu số của giá trị tuyệt đối của Trạng thái dương điều chỉnh theo hệ số rủi ro (weighted long position) trừ đi giá trị tuyệt đối của Trạng thái âm điều chỉnh theo hệ số rủi ro (weighted short position) của từng thang kỳ hạn, có dấu dương (+)/ dấu âm (-);
- Xác định Trạng thái tương ứng điều chỉnh theo hệ số rủi ro của từng vùng (matched weighted position by zone) là giá trị tuyệt đối nhỏ hơn của hai Trạng thái dương (Long postion) và Trạng thái âm (Short postion) của từng vùng (Zone) (ký hiệu Trạng thái tương ứng điều chỉnh theo hệ số rủi ro của vùng (Zone) 1, 2 và 3 lần lượt là (b), (c) và (d) trong bảng trên).
(viii) Bước 8:
- Xác định Trạng thái không tương ứng điều chỉnh theo hệ số rủi ro của từng vùng (unmatched weighted position by zone) hiệu số của giá trị tuyệt đối của Trạng thái dương điều chỉnh theo hệ số rủi ro của vùng đó (weighted long position by zone) trừ đi giá trị tuyệt đối của Trạng thái âm điều chỉnh theo hệ số rủi ro của vùng đó (weighted short position by zone);
- Xác định Trạng thái tương ứng điều chỉnh theo hệ số rủi ro giữa các vùng (matched weighted position between zones) theo từng cặp vùng như sau:
+ Trạng thái tương ứng điều chỉnh theo hệ số rủi ro giữa vùng 1 và vùng 2 (matched weighted position between zone 1 and zone 2) là giá trị tuyệt đối nhỏ hơn giữa hai Trạng thái không tương ứng điều chỉnh theo hệ số rủi ro của vùng 1 (unmatched weighted position by zone 1) và Trạng thái không tương ứng điều chỉnh theo hệ số rủi ro của vùng 2 (unmatched weighted position by zone 2) nếu hai trạng thái này trái dấu (ký hiệu là (e) trong bảng trên);
+ Trạng thái tương ứng điều chỉnh theo hệ số rủi ro giữa vùng 2 và vùng 3 (matched weighted position between zone 2 and zone 3) là giá trị tuyệt đối nhỏ hơn giữa hai Trạng thái không tương ứng còn lại điều chỉnh theo hệ số rủi ro của vùng 2 (residual unmatched weighted position by zone 2) và Trạng thái không tương ứng điều chỉnh theo hệ số rủi ro của vùng 3 (unmatched weighted position by zone 3) nếu hai trạng thái này trái dấu (ký hiệu là (f) trong bảng trên);
+ Trạng thái tương ứng điều chỉnh theo hệ số rủi ro giữa vùng 1 và vùng 3 (matched weighted position between zone 1 and zone 3) là giá trị tuyệt đối nhỏ hơn giữa hai Trạng thái không tương ứng còn lại điều chỉnh theo hệ số rủi ro của vùng 1 (residual unmatched weighted position by zone 1) và Trạng thái không tương ứng còn lại điều chỉnh theo hệ số rủi ro của vùng 3 (residual unmatched weighted position by zone 3) nếu hai trạng thái này trái dấu (ký hiệu là (g) trong bảng trên).
(ix) Bước 9: Tính HD theo công thức sau:
HD = (b) x 40% + (c) x 30% + (d) x 30% + (e) x 40% + (f) x 40% + (g) x 100%
Ví dụ: Cách tính vốn yêu cầu cho rủi ro lãi suất chung theo phương pháp thang kỳ hạn như sau:
Giả sử ngân hàng đang nắm giữ các tài sản tài chính sau đây:
(a) Trái phiếu thuộc Nhóm 2, giá trị thị trường 13,33 tỷ đồng, thời hạn còn lại là 08 năm, lãi suất coupon là 8%;
(b) Trái phiếu Chính phủ, giá trị thị trường 75 tỷ đồng, thời hạn còn lại là 02 tháng, lãi suất coupon là 7%;
(c) Hợp đồng hoán đổi lãi suất, giá trị thị trường của tài sản tài chính gốc danh nghĩa là 150 tỷ đồng, theo đó, ngân hàng nhận lãi suất thả nổi và trả lãi suất cố định, thời hạn điều chỉnh lãi suất tiếp theo là sau 09 tháng, thời hạn còn lại của hợp đồng hoán đổi là 08 năm;
(d) Trạng thái dương hợp đồng tương lai lãi suất giá trị 50 tỷ đồng, đến hạn trong vòng 06 tháng, thời hạn của tài sản tài chính gốc là trái phiếu Chính phủ là 3,5 năm.
Phân bổ các trạng thái tài sản tài chính theo Thang kỳ hạn theo bảng dưới đây:

- Tính Vốn yêu cầu để bù đắp cho rủi ro do lệch trạng thái trên sổ kinh doanh (NWP):
NWP = |(75 x 0,2%) - (50 x 0,4%) + (150 x 0,7%) + (50 x 2,25%) - (150 x 3,75%) + (13,33 x 3,75%)|
= |(0,15 - 0,2 + 1,05 + 1,125 - 5,625 + 0,5)|
= |(-3)| = 3 tỷ đồng.
- Tính Vốn yêu cầu để bù đắp cho rủi ro do khớp trạng thái trong cùng thang kỳ hạn (VD):
Thang kỳ hạn 07 đến 10 năm có cả trạng thái dương và trạng thái âm do đó phải tính trạng thái tương ứng điều chỉnh theo hệ số rủi ro (matched weighted position) của thang kỳ hạn này là 0,5 (giá trị tuyệt đối nhỏ hơn giữa trạng thái dương điều chỉnh theo hệ số rủi ro (0,5) và trạng thái âm điều chỉnh theo hệ số rủi ro (-5,625).
VD = 0,5 x 10% = 0,05 tỷ đồng.
Bước 7:
- Trạng thái không tương ứng điều chỉnh theo hệ số rủi ro (unmatched weighted position) của từng thang kỳ hạn:
+ Thang kỳ hạn từ 07 đến 10 năm: | 0,5 | - | -5,625 | = -5,125
- Trạng thái tương ứng điều chỉnh theo hệ số rủi ro của từng vùng (matched weighted position by zone):
+ Do tại Vùng 1 có nhiều hơn một trạng thái nên cần phải tính vốn yêu cầu để bù đắp cho rủi ro do khớp trạng thái trong cùng vùng 1. Trạng thái tương ứng điều chỉnh theo hệ số rủi ro của vùng 1 là giá trị tuyệt đối nhỏ hơn của hai trạng thái dương và trạng thái âm của vùng 1 và bằng 0,2.
Vốn yêu cầu để bù đắp cho rủi ro do khớp trạng thái trong cùng vùng 1 bằng 0,2 x 40% = 0,08 tỷ đồng.
Bước 8:
- Trạng thái không tương ứng điều chỉnh theo hệ số rủi ro của vùng 1 (unmatched weighted position by zone 1) là hiệu số của giá trị tuyệt đối của trạng thái dương điều chỉnh theo hệ số rủi ro của vùng 1 (weighted long position by zone 1) trừ đi giá trị tuyệt đối của trạng thái âm điều chỉnh theo hệ số rủi ro của vùng 1 (weighted short position by zone 1) và bằng | 0,15 + 1,05 | - | -0,2 | = 1;
Tương tự, trạng thái không tương ứng điều chỉnh theo hệ số rủi ro của vùng 2 (unmatched weighted position by zone 2) bằng |1,125| = 1,125;
Trạng thái không tương ứng điều chỉnh theo hệ số rủi ro của vùng 3 (unmatched weighted position by zone 3) bằng | 0 | - | -5,125 | = -5,125.
- Xác định trạng thái tương ứng điều chỉnh theo hệ số rủi ro giữa các vùng (matched weighted position between zones) theo từng cặp vùng:
+ Trạng thái tương ứng điều chỉnh theo hệ số rủi ro giữa vùng 2 và vùng 3 (matched weighted position between zone 2 and zone 3) là 1,125 (f);
Vốn yêu cầu để bù đắp cho rủi ro do khớp trạng thái giữa vùng 2 và vùng 3 là 1,125 x 40% = 0,45 tỷ đồng;
+ Trạng thái tương ứng điều chỉnh theo hệ số rủi ro giữa vùng 1 và vùng 3 (matched weighted position between zone 1 and zone 3) là 1 (g);
Vốn yêu cầu để bù đắp cho rủi ro do khớp trạng thái giữa vùng 1 và vùng 3 là 1 x 100% = 1 tỷ đồng.
Tổng cộng:
- Vốn yêu cầu để bù đắp cho rủi ro do lệch trạng thái trên sổ kinh doanh (NWP): 3 tỷ đồng;
- Vốn yêu cầu để bù đắp cho rủi ro do khớp trạng thái trong cùng thang kỳ hạn (VD): 0,05 tỷ đồng;
- Vốn yêu cầu để bù đắp cho rủi ro do khớp trạng thái trong cùng vùng 1: 0,08 tỷ đồng;
- Vốn yêu cầu để bù đắp cho rủi ro do khớp trạng thái giữa vùng 2 và vùng 3: 0,45 tỷ đồng;
- Vốn yêu cầu để bù đắp cho rủi ro do khớp trạng thái giữa vùng 1 và vùng 3: 1 tỷ đồng;
Tổng mức vốn yêu cầu: 4,58 tỷ đồng.
II. Vốn yêu cầu cho rủi ro giá cổ phiếu
1.Vốn yêu cầu cho rủi ro giá cổ phiếu được áp dụng đối với trạng thái cổ phiếu của sổ kinh doanh. Ngân hàng phải tính vốn yêu cầu cho rủi ro giá cổ phiếu cụ thể và rủi ro giá cổ phiếu chung đối với: cổ phiếu, trái phiếu chuyển đổi và chứng khoán phái sinh có tài sản tài chính gốc là cổ phiếu (trừ hợp đồng quyền chọn) trên sổ kinh doanh, trừ các cổ phiếu, trái phiếu chuyển đổi đã được trừ khỏi vốn tự có của ngân hàng khi tính vốn tự có quy định tại Phụ lục I kèm theo Thông tư này.
2.Trạng thái cổ phiếu (trạng thái dương, trạng thái âm) được xác định cho các công cụ tài chính quy định tại điểm 1 Mục này theo các nguyên tắc sau:
a) Trạng thái dương (âm) của một loại cổ phiếu, công cụ tài chính có tính chất cổ phiếu do một tổ chức phát hành được bù trừ;
b) Đối với chứng khoán phái sinh cổ phiếu, trạng thái cổ phiếu được xác định theo trạng thái cổ phiếu danh nghĩa như sau:
(i) Hợp đồng tương lai, hợp đồng kỳ hạn có tài sản tài chính gốc là cổ phiếu phải được lấy theo giá trị thị trường;
(ii) Hợp đồng kỳ hạn có yếu tố cơ sở là chỉ số chứng khoán phải xác định theo giá trị thị trường của danh mục chứng khoán trong chỉ số chứng khoán;
(iii) Hợp đồng hoán đổi tính theo 02 trạng thái (trạng thái cổ phiếu dương và trạng thái cổ phiếu âm): Ngân hàng phải ghi nhận đồng thời 02 trạng thái căn cứ theo nghĩa vụ cam kết trong hợp đồng. Ví dụ, trong hợp đồng hoán đổi, ngân hàng ghi nhận trạng thái dương khi nhận được một khoản dựa trên thay đổi về giá trị của một cổ phiếu hoặc một chỉ số chứng khoán và ghi nhận trạng thái âm khi phải trả một chỉ số chứng khoán khác. Nếu một trong hai trạng thái mà gắn với việc nhận hoặc trả lãi suất cố định hoặc lãi suất thả nổi thì ngân hàng phải tính các trạng thái rủi ro lãi suất phát sinh theo quy định tại Mục I Phụ lục này.
3.Vốn yêu cầu cho rủi ro giá cổ phiếu cụ thể (
) được xác định theo công thức sau:
![]()
Trong đó:
- LP: Trạng thái cổ phiếu dương (long position);
- SP: Trạng thái cổ phiếu âm (short position).
4.Vốn yêu cầu cho rủi ro giá cổ phiếu chung (
) được xác định theo công thức sau:
![]()
Trong đó:
- LP: Trạng thái cổ phiếu dương (long position);
- SP: Trạng thái cổ phiếu âm (short position);
- ERW: Hệ số rủi ro chung giá cổ phiếu áp dụng như sau:
a) Cổ phiếu, các công cụ tài chính có tính chất cổ phiếu (ví dụ trái phiếu chuyển đổi) và các chứng khoán phái sinh có tài sản cơ sở là cổ phiếu áp dụng hệ số rủi ro 8%;
b) Hợp đồng phái sinh có tài sản tài chính gốc là chỉ số chứng khoán áp dụng hệ số rủi ro 10%.
III. Vốn yêu cầu cho rủi ro giá cả hàng hóa
1. Vốn yêu cầu cho rủi ro giá cả hàng hóa được áp dụng đối với trạng thái hàng hóa của sổ kinh doanh. Ngân hàng phải tính vốn yêu cầu cho rủi ro giá hàng hóa cho trạng thái sản phẩm phái sinh giá cả hàng hóa trên sổ kinh doanh.
2. Trạng thái sản phẩm phái sinh giá cả hàng hóa (trạng thái dương, trạng thái âm) được xác định cho các loại hàng hóa (trừ vàng tiêu chuẩn đã được tính rủi ro tỷ giá) theo các nguyên tắc sau:
a) Trạng thái sản phẩm phái sinh giá cả hàng hóa được xác định cho từng loại hàng hóa. Sản phẩm phái sinh hàng hóa cùng loại được bù trừ khi xác định trạng thái;
b) Trạng thái sản phẩm phái sinh giá cả hàng hóa được xác định theo giá trị Việt Nam đồng bằng cách chuyển đổi các đơn vị đo lường tiêu chuẩn theo giá giao ngay của hàng hóa đó tại thời điểm tính toán.
3. Vốn yêu cầu cho rủi ro giá cả hàng hóa (KCMR) được xác định theo công thức sau:
![]()
Trong đó:
-
: Vốn yêu cầu cho rủi ro giá cả hàng hóa trực tiếp phát sinh do thay đổi giá giao ngay của hàng hóa đó;
-
: Vốn yêu cầu cho rủi ro giá cả hàng hóa khác phát sinh do thay đổi giá kỳ hạn vì chênh lệch kỳ hạn của hàng hóa đó hoặc do thay đổi của mối quan hệ giá giữa hai loại hàng hóa tương tự (nhưng không hoàn toàn giống nhau).
4. Vốn yêu cầu cho rủi ro giá cả hàng hóa trực tiếp (
) được xác định theo công thức sau:
![]()
Trong đó: NP: Trạng thái ròng (net position) của loại sản phẩm phái sinh giá cả hàng hóa.
5. Vốn yêu cầu cho rủi ro giá cả hàng hóa khác (
) được xác định theo công thức sau:
![]()
Trong đó:
- LP: Trạng thái dương (long position) của loại sản phẩm phái sinh giá cả hàng hóa;
- SP: Trạng thái âm (short position) của loại sản phẩm phái sinh giá cả hàng hóa.
6. Các trạng thái rủi ro lãi suất, rủi ro ngoại hối phát sinh từ việc nắm giữ trạng thái hàng hóa phải tính tương ứng vào trạng thái rủi ro lãi suất, rủi ro ngoại hối theo quy định tại Mục I, Mục IV Phụ lục này.
IV. Vốn yêu cầu cho rủi ro ngoại hối
1. Vốn yêu cầu cho rủi ro ngoại hối (KFXR) được xác định theo công thức sau:
KFXR = (Max (ΣSP, ΣLP) + GoldP) x 8%
Trong đó:
- ΣSP: Tổng các trạng thái âm của các ngoại tệ trong danh mục ngoại tệ;
- ΣLP: Tổng trạng thái dương của các ngoại tệ trong danh mục ngoại tệ;
- GoldP: Trạng thái vàng;
- (Max (ΣSP, ΣLP) + GoldP): Tổng giá trị trạng thái ngoại hối ròng bao gồm cả vàng.
2. Trạng thái ngoại tệ (trạng thái dương, trạng thái âm) được xác định cho từng loại ngoại tệ (bao gồm cả vàng tiêu chuẩn) theo các nguyên tắc sau:
a) Trạng thái nguyên tệ bằng tổng cộng:
(i) Trạng thái giao ngay là chênh lệch giữa tổng Tài sản và tổng Nợ phải trả (bao gồm cả lãi dự thu và chi phí trả lãi dự kiến) bằng một loại ngoại tệ;
(ii) Trạng thái kỳ hạn ròng là chênh lệch giữa tổng các khoản nhận được và tổng các khoản phải trả bằng một loại ngoại tệ trong các giao dịch ngoại tệ kỳ hạn, bao gồm cả các giao dịch ngoại tệ tương lai và các khoản vốn trong giao dịch hoán đổi mà không được tính vào trạng thái giao ngay;
(iii) Các bảo lãnh (hoặc các nghĩa vụ tương tự) không thể hủy ngang và bên được bảo lãnh không có khả năng thực hiện nghĩa vụ theo cam kết;
(iv) Các thu nhập/chi phí tương lai ròng chưa được dự thu nhưng đã được phòng ngừa rủi ro;
(v) Các khoản lãi/lỗ bằng ngoại tệ từ hoạt động kinh doanh ở nước ngoài theo quy định hạch toán kế toán của nước sở tại.
b) Trạng thái ngoại tệ là trạng thái nguyên tệ của ngoại tệ đó (xác định theo quy định của pháp luật về trạng thái ngoại tệ của các tổ chức tín dụng, chi nhánh ngân hàng nước ngoài) được quy đổi sang Việt Nam đồng theo tỷ giá quy đổi trạng thái.
V. Vốn yêu cầu cho hợp đồng quyền chọn
1. Ngân hàng phải tính vốn yêu cầu cho hợp đồng quyền chọn mà tài sản tài chính gốc là công cụ tài chính có rủi ro lãi suất, rủi ro giá cổ phiếu, rủi ro ngoại hối và rủi ro giá hàng hóa.
2. Vốn yêu cầu cho hợp đồng quyền chọn được xác định như sau:
a) Trường hợp ngân hàng mua quyền chọn (long option), vốn yêu cầu cho hợp đồng quyền chọn được xác định như sau:
(i) Trường hợp ngân hàng có trạng thái tài sản tài chính gốc dương (Long cash) và mua quyền chọn bán (Long put) hoặc có trạng thái tài sản tài chính gốc âm (Short Cash) và mua quyền chọn mua (Long call). Vốn yêu cầu cho hợp đồng quyền chọn tính theo công thức sau:
KOPT = Max(0, {MVunderlying x (SRW + GRW) - Max(0,VOPT)})
Trong đó:
- MVunderlying: Giá trị thị trường của tài sản tài chính gốc của hợp đồng quyền chọn;
- SRW: Hệ số rủi ro quyền chọn cụ thể, GRW: Hệ số rủi ro quyền chọn chung được xác định như sau:
+ Đối với hợp đồng quyền chọn lãi suất:
▪ Hệ số rủi ro quyền chọn cụ thể là Hệ số rủi ro lãi suất cụ thể quy định tại Mục I Phụ lục này;
▪ Hệ số rủi ro quyền chọn chung là Hệ số rủi ro quy định tại Bảng tính theo Phương pháp kỳ hạn quy định tại Mục I Phụ lục này.
+ Đối với hợp đồng quyền chọn giá cổ phiếu:
▪ Hệ số rủi ro quyền chọn cụ thể là Hệ số rủi ro giá cổ phiếu cụ thể quy định tại Mục II Phụ lục này;
▪ Hệ số rủi ro quyền chọn chung là 8%.
+ Đối với hợp đồng quyền chọn ngoại hối: Hệ số rủi ro quyền chọn chung là 8%.
+ Đối với hợp đồng quyền chọn giá hàng hóa: Tổng Hệ số rủi ro quyền chọn cụ thể và Hệ số rủi ro quyền chọn chung là 15%.
- VOPT : Giá trị bằng tiền của quyền chọn (nếu có) hoặc bằng 0.
Ví dụ 1: Ngân hàng A đang có trạng thái ngoại tệ dương 1 triệu đô la Mỹ với tỷ giá hiện tại là 22.000 VND/USD, nhằm phòng ngừa rủi ro Ngân hàng A mua một quyền chọn bán với giá chọn bán là 21.000 VND/USD. Vốn yêu cầu cho rủi ro quyền chọn được xác định khi thực hiện quyền chọn như sau:
- Giá trị bằng tiền của quyền chọn:
VOPT = Max (0; (21.000-22.000) x 1 triệu (đô la Mỹ)) = 0
- Vốn yêu cầu cho rủi ro quyền chọn:
KOPT = Max (0; 1 triệu (đô la Mỹ) x 22.000 x 8% -0) = 1,76 (tỷ đồng)
Ví dụ 2: Ngân hàng A đang có trạng thái ngoại tệ dương 1 triệu đô la Mỹ với tỷ giá hiện tại là 22.000 VND/USD, nhằm phòng ngừa rủi ro Ngân hàng A mua một quyền chọn bán với giá chọn bán là 23.000 VND/USD. Vốn yêu cầu cho rủi ro quyền chọn được xác định khi thực hiện quyền chọn như sau:
- Giá trị bằng tiền của quyền chọn:
VOPT = (23.000-22.000) x 1 triệu (đô la Mỹ) = 1 tỷ đồng
- Vốn yêu cầu cho rủi ro quyền chọn:
KOPT = Max(0; 1 triệu (đô la Mỹ) x 22.000 x 8% - 1 tỷ đồng) = 0,76 tỷ đồng.
(ii) Trường hợp ngân hàng mua quyền chọn mua (Long call) hoặc mua quyền chọn bán (Long put), vốn yêu cầu cho hợp đồng quyền chọn tính theo công thức sau:
KOPT = Min [(MVunderlying x (SRW + GRW)), MVOPT ]
Trong đó:
- MVunderlying: Giá trị thị trường của tài sản tài chính gốc khi quyền chọn được thực hiện.
- SRW: Hệ số rủi ro quyền chọn cụ thể, GRW: Hệ số rủi ro quyền chọn chung được xác định tại điểm 2a Mục này.
- MVOPT: Giá trị thị trường của giao dịch quyền chọn.
Hệ số rủi ro quyền chọn cụ thể (SRW), Hệ số rủi ro quyền chọn chung (GRW) áp dụng cho từng giao dịch cơ sở như sau:
Ví dụ: Ngân hàng A mua quyền chọn bán với mục đích kinh doanh với tài sản tài chính gốc là 1 triệu đô la Mỹ, giá quyền chọn là 12.000 đô la Mỹ. Vốn yêu cầu cho rủi ro quyền chọn được xác định khi thực hiện quyền chọn như sau:
MVunderlying x (SRW + GRW) = 1 triệu (đô la Mỹ) x 8% = 8.000 đô la Mỹ.
KOPT = Min [(MVunderlying x (SRW + GRW)), MVOPT ] = Min (8.000; 12.000) = 8.000 (đô la Mỹ).
b) Trường hợp ngân hàng bán quyền chọn (short option), vốn yêu cầu cho hợp đồng quyền chọn được xác định theo phương pháp Delta-plus. Vốn yêu cầu theo phương pháp Delta-plus là tổng của 3 cấu phần sau đây:
1. Vốn yêu cầu cho yếu tố rủi ro Delta (KDWP) được xác định theo công thức sau:
KDWP = MVunderlying x DOPTx (SRW + GRW)
Trong đó:
- MVunderlying: Giá trị thị trường của tài sản tài chính gốc khi quyền chọn được thực hiện;
- DOPT : Giá trị Delta của giao dịch quyền chọn do ngân hàng xác định theo hướng dẫn của Ủy ban Basel hoặc sử dụng các giá trị DOPT trên thị trường (nếu có);
- SRW: Hệ số rủi ro quyền chọn cụ thể, GRW: Hệ số rủi ro quyền chọn chung được xác định tại điểm 2a Mục này;
2. Yếu tố rủi ro Gamma (KGamma) được xác định theo công thức sau:
Mỗi hợp đồng quyền chọn có tài sản tài chính gốc giống nhau sẽ có tác động gamma dương hoặc âm. Các tác động gamma riêng lẻ được cộng lại để tính tác động gamma ròng (giá trị dương hoặc âm) cho từng tài sản tài chính gốc. Vốn yêu cầu cho yếu tố rủi ro gamma bằng tổng các giá trị tuyệt đối của tác động gamma ròng âm.
Tác động gamma (GI) được xác định theo công thức sau :
GI = 0,5 x Gamma x (VU) 2
Trong đó:
- Gamma: Giá trị Gamma của giao dịch quyền chọn do ngân hàng xác định theo hướng dẫn của Ủy ban Basel hoặc sử dụng các giá trị Gamma trên thị trường (nếu có);
- VU: là mức biến động tài sản tài chính gốc của giao dịch quyền chọn được xác định như sau:
(i) Đối với hợp đồng quyền chọn có tài sản tài chính gốc là các công cụ tài chính có rủi ro lãi suất:
VU = MVunderlying x RW
Trong đó:
- MVunderlying: Giá trị của tài sản tài chính gốc khi quyền chọn được thực hiện;
- RW: là hệ số rủi ro chung quy định tại Bảng phân bổ các trạng thái công cụ tài chính theo Thang kỳ hạn, Mục I Phụ lục này.
(ii) Đối với hợp đồng quyền chọn có tài sản tài chính gốc là cổ phiếu, các công cụ tài chính có tính chất cổ phiếu và các chứng khoán phái sinh có tài sản tài chính gốc là cổ phiếu, chỉ số chứng khoán, ngoại tệ (bao gồm cả vàng tiêu chuẩn):
VU= MVunderlying x 8%
Trong đó: MVunderlying: Giá trị của tài sản tài chính gốc khi quyền chọn được thực hiện.
(iii) Đối với hợp đồng quyền chọn có tài sản tài chính gốc là hàng hóa :
VU = MVunderlying x 15%
Trong đó: MVunderlying: Giá trị của tài sản tài chính gốc khi quyền chọn được thực hiện.
3. Yếu tố Vega (KVR) được tính bằng tổng giá trị tuyệt đối Vốn yêu cầu cho tác động Vega của từng tài sản tài chính gốc. Vốn yêu cầu cho tác động Vega của từng tài sản tài chính gốc được xác định theo công thức sau:
KVR = 25% x tỷ lệ trong thay đổi giá trị của tài sản tài chính gốc x | tổng giá trị Vega của các hợp đồng quyền chọn của cùng tài sản tài chính gốc | .
Trong đó:
- Tỷ lệ trong thay đổi giá trị của tài sản tài chính gốc do ngân hàng xác định theo hướng dẫn của Ủy ban Basel hoặc sử dụng tỷ lệ trong thay đổi giá trị của tài sản tài chính gốc trên thị trường (nếu có);
- Giá trị Vega của hợp đồng quyền chọn của cùng tài sản tài chính gốc do ngân hàng xác định theo hướng dẫn của Ủy ban Basel hoặc sử dụng giá trị Vega của hợp đồng quyền chọn của từng tài sản tài chính gốc trên thị trường (nếu có).
Ví dụ: Trường hợp ngân hàng bán quyền chọn (short option), vốn yêu cầu cho giao dịch quyền chọn được xác định theo phương pháp Delta-plus như sau:
Ngân hàng A thực hiện bán quyền chọn mua (short call option) một hàng hóa:
- Giá thực hiện quyền chọn (exercise price): X= $490;
- Giá thị trường của hàng hóa (underlying asset) có thời hạn còn lại đến ngày thực hiện 12 tháng: MV = $500;
- Tỷ lệ lãi suất không có rủi ro (risk free): 8%/năm;
- Mức biến động tài sản tài chính gốc của giao dịch quyền chọn: ∂ = 20%;
- Giá trị hiện tại của hợp đồng quyền chọn: S0 = $65,48.
Sử dụng Mô hình Black-Scholes Model Greeks, xác định được yếu tố delta, gamma như sau :
Delta DOPT = -0,721 (giá của hợp đồng quyền chọn sẽ thay đổi 0,721 nếu giá của tài sản tài chính gốc biến động 1 đơn vị).
Gamma = -0,0034 (yếu tố delta sẽ thay đổi 0,0034 đơn vị (từ -0,721 xuống -0,7244) nếu giá của tài sản tài chính gốc thay đổi 1 đơn vị).
(i) Vốn yêu cầu cho yếu tố rủi ro Delta (KDWP) được xác định như sau:
Tổng hệ số rủi ro quyền chọn cụ thể và hệ số rủi ro quyền chọn chung đối với hợp đồng quyền chọn giá hàng hóa: SRW + GRW = 15%
KDWP =MVunderlying xDOPT x (SRW + GRW)
= $500 x (0,721) x 15%
= $54,075
(ii) Vốn yêu cầu cho yếu tố rủi ro Gamma (KGamma) được xác định như sau:
KGamma = ½ x Gamma x (VU)2
= 1/2 x 0.0034 x ($500 x 0.15)2 = $9,5625
(iii) Vốn yêu cầu cho yếu tố Vega (KVR) được xác định như sau:
Sử dụng mô hình Black-Scholes Model, tổng giá trị Vega của hợp đồng bán quyền chọn là 168.
KVR = 25% x tỷ lệ trong thay đổi giá trị của tài sản tài chính gốc x | tổng giá trị Vega của các hợp đồng quyền chọn của cùng tài sản tài chính gốc |.
= 25% x 20% x 168
= 8,4
Như vậy, vốn yêu cầu cho yếu tố Vega bằng $8,4.
Vốn yêu cầu cho rủi ro thị trường đối với giao dịch bán quyền chọn mua theo ví dụ nêu trên là :
$54,075 + $9,5625 + $8,4 = $72,0375.
Phụ lục V
NỘI DUNG CÔNG BỐ THÔNG TIN VỀ TỶ LỆ AN TOÀN VỐN
(Kèm theo Thông tư số 14/2025/TT-NHNN ngày 30 tháng 6 năm 2025 của
Thống đốc Ngân hàng Nhà nước Việt Nam)
I. Nguyên tắc công bố thông tin
- Ngân hàng thương mại không có công ty con, chi nhánh ngân hàng nước ngoài phải công bố thông tin về tỷ lệ an toàn vốn riêng lẻ.
- Ngân hàng thương mại có công ty con phải công bố thông tin về tỷ lệ an toàn vốn riêng lẻ và tỷ lệ an toàn vốn hợp nhất.
II. Nội dung công bố thông tin
Thông tin do ngân hàng công bố theo quy định nội bộ của ngân hàng và phù hợp với quy định tại Thông tư này, tối thiểu bao gồm nội dung sau đây:
1. Tỷ lệ an toàn vốn
1.1. Thông tin tỷ lệ an toàn vốn
a) Nội dung định tính
Thông tin về quy trình tính toán tỷ lệ an toàn vốn và kế hoạch để đảm bảo duy trì tỷ lệ an toàn vốn quy định tại Thông tư này.
b) Nội dung định lượng
- Tỷ lệ vốn lõi cấp 1.
- Tỷ lệ vốn cấp 1.
- Tỷ lệ an toàn vốn.
- Tỷ lệ bộ đệm bảo toàn vốn (Capital conservation buffer - CCB).
- Tỷ lệ bộ đệm vốn phản chu kỳ (Countercyclical capital buffer - CCyB) trong trường hợp Thống đốc Ngân hàng Nhà nước quyết định áp dụng.
1.2. Phạm vi hợp nhất khi tính tỷ lệ an toàn vốn (chỉ áp dụng đối với ngân hàng thương mại có công ty con)
a) Nội dung định tính
Danh sách công ty con được hợp nhất, công ty con không được hợp nhất (nếu có), công ty con được loại trừ khi tính tỷ lệ an toàn vốn hợp nhất (như công ty con là doanh nghiệp kinh doanh bảo hiểm).
b) Nội dung định lượng
Giá trị khoản đầu tư vào công ty con được hợp nhất, công ty con không được hợp nhất (nếu có), công ty con được loại trừ khi tính tỷ lệ an toàn vốn hợp nhất (như công ty con là doanh nghiệp kinh doanh bảo hiểm).
1.3. Cơ cấu vốn tự có
a) Nội dung định tính
Thông tin tóm tắt về thời hạn, điều kiện đối với công cụ tài chính của ngân hàng.
b) Nội dung định lượng
Giá trị các khoản mục theo Phụ lục I kèm theo Thông tư này bao gồm:
- Giá trị vốn lõi cấp 1.
- Giá trị vốn cấp 1.
- Giá trị vốn cấp 2.
- Giá trị công cụ tài chính của ngân hàng.
- Giá trị khoản mục giảm trừ khỏi từng cấu phần vốn.
1.4. Thông tin định lượng về tổng tài sản có rủi ro tín dụng, vốn yêu cầu rủi ro thị trường và rủi ro hoạt động
- Tổng tài sản có rủi ro tín dụng (gồm rủi ro tín dụng khách hàng, rủi ro tín dụng đối tác) theo phương pháp ngân hàng đang áp dụng (phương pháp tiêu chuẩn, phương pháp xếp hạng nội bộ).
- Vốn yêu cầu đối với rủi ro thị trường.
- Vốn yêu cầu đối với rủi ro hoạt động.
2. Rủi ro tín dụng
2.1. Đối với ngân hàng áp dụng phương pháp tiêu chuẩn
a) Nội dung định tính
- Trình bày tóm tắt chính sách quản lý rủi ro tín dụng.
- Danh sách các doanh nghiệp xếp hạng tín nhiệm độc lập được sử dụng khi tính tỷ lệ an toàn vốn (nếu có).
b) Nội dung định lượng
- Tổng tài sản có rủi ro tín dụng (gồm rủi ro tín dụng khách hàng, rủi ro tín dụng đối tác). Trong đó, rủi ro tín dụng khách hàng chia theo các loại tài sản quy định tại Thông tư này bao gồm tài sản có rủi ro tín dụng, hệ số rủi ro tín dụng tương ứng theo từng loại tài sản.
- Tổng tài sản có rủi ro tín dụng theo ngành cấp 1 quy định về hệ thống về ngành kinh tế Việt Nam.
- Tổng tài sản có rủi ro tín dụng (bao gồm cả nội bảng và ngoại bảng) được giảm thiểu rủi ro tín dụng (giá trị trước và sau khi giảm thiểu). Trong đó, bao gồm giá trị theo từng biện pháp giảm thiểu rủi ro tín dụng quy định tại Thông tư này (tài sản bảo đảm, bảo lãnh của bên thứ ba, bù trừ số dư nội bảng, sản phẩm phái sinh tín dụng đủ điều kiện để ghi nhận giảm thiểu rủi ro tín dụng).
- Trường hợp ngân hàng sử dụng kết quả của doanh nghiệp xếp hạng tín nhiệm độc lập: Tổng tài sản có rủi ro tín dụng, hệ số rủi ro tín dụng tương ứng theo từng thứ hạng tín nhiệm và theo từng doanh nghiệp xếp hạng tín nhiệm độc lập được lựa chọn.
4.2. Đối với ngân hàng áp dụng phương pháp xếp hạng nội bộ theo chấp thuận của Ngân hàng Nhà nước
a) Nội dung định tính
- Trình bày tóm tắt chính sách quản lý rủi ro tín dụng.
- Danh sách các doanh nghiệp xếp hạng tín nhiệm độc lập được sử dụng khi tính tỷ lệ an toàn vốn (nếu có).
- Phạm vi áp dụng phương pháp xếp hạng nội bộ (theo loại tài sản, nhóm tài sản, tiểu nhóm tài sản) và áp dụng phương pháp tiêu chuẩn.
b) Nội dung định lượng
(i) Thông tin chung
- Tỷ lệ bao phủ.
- Tỷ lệ sàn đầu ra.
- So sánh giữa tổng tài sản có rủi ro tín dụng khách hàng theo phương pháp xếp hạng nội bộ và tổng tài sản có rủi ro tín dụng khách hàng theo phương pháp tiêu chuẩn.
(ii) Đối với danh mục tài sản áp dụng phương pháp tiêu chuẩn:
- Tổng tài sản có rủi ro tín dụng (gồm rủi ro tín dụng khách hàng, rủi ro tín dụng đối tác). Trong đó, rủi ro tín dụng khách hàng chia theo các loại tài sản quy định tại Thông tư này bao gồm tài sản có rủi ro tín dụng, hệ số rủi ro tín dụng tương ứng theo từng loại tài sản.
- Tổng tài sản có rủi ro tín dụng theo ngành cấp 1 quy định về hệ thống về ngành kinh tế Việt Nam.
- Tổng tài sản có rủi ro tín dụng (bao gồm cả nội bảng và ngoại bảng) được giảm thiểu rủi ro tín dụng (giá trị trước và sau khi giảm thiểu). Trong đó, bao gồm giá trị theo từng biện pháp giảm thiểu rủi ro tín dụng quy định tại Thông tư này (tài sản bảo đảm, bảo lãnh của bên thứ ba, bù trừ số dư nội bảng, sản phẩm phái sinh tín dụng đủ điều kiện để ghi nhận giảm thiểu rủi ro tín dụng).
- Trường hợp ngân hàng sử dụng kết quả của doanh nghiệp xếp hạng tín nhiệm độc lập: Tổng tài sản có rủi ro tín dụng, hệ số rủi ro tín dụng tương ứng theo từng thứ hạng tín nhiệm và theo từng doanh nghiệp xếp hạng tín nhiệm độc lập được lựa chọn.
(iii) Đối với danh mục tài sản áp dụng phương pháp xếp hạng nội bộ
- Tổng tài sản có rủi ro tín dụng (bao gồm cả nội bảng và ngoại bảng) được giảm thiểu rủi ro tín dụng (giá trị trước và sau khi giảm thiểu). Trong đó, bao gồm giá trị theo từng biện pháp giảm thiểu rủi ro tín dụng quy định tại Thông tư này (tài sản bảo đảm, bảo lãnh của bên thứ ba, bù trừ số dư nội bảng, sản phẩm phái sinh tín dụng đủ điều kiện để ghi nhận giảm thiểu rủi ro tín dụng).
- So sánh giữa tổng tài sản có rủi ro tín dụng khách hàng theo phương pháp xếp hạng nội bộ của năm nay và của năm trước (giải thích nguyên nhân của sự thay đổi của tổng tài sản có rủi ro tín dụng khách hàng theo phương pháp xếp hạng nội bộ).
- So sánh các giá trị thực tế tại thời điểm công bố thông tin với giá trị ước tính tham số rủi ro đối với từng loại, nhóm tài sản (nếu có).
- Tổng tài sản có rủi ro tín dụng khách hàng theo phương pháp xếp hạng nội bộ và giá trị trung bình của ước tính tham số rủi ro (như PD, LGD...) theo khoảng giá trị xác suất vỡ nợ (PD) tương ứng đối với từng mức xếp hạng.
c) Thông tin khác (nếu có) theo quy định nội bộ của ngân hàng theo quy định tại Thông tư này và trên cơ sở hướng dẫn công bố thông tin của Ủy ban Basel.
5. Rủi ro hoạt động
5.1. Nội dung định tính:
- Trình bày tóm tắt chính sách quản lý rủi ro hoạt động.
- Kế hoạch duy trì hoạt động liên tục (nếu có).
5.2. Nội dung định lượng:
- Cấu phần chỉ số kinh doanh (BIC), chỉ số kinh doanh (BI), cấu phần của BI (ILDC, SC, FC).
- Hệ số tổn thất nội bộ (ILM), cấu phần tổn thất (LC).
6. Rủi ro thị trường
6.1. Nội dung định tính:
- Trình bày tóm tắt chính sách quản lý rủi ro thị trường.
- Điều kiện, tiêu chí xác định khoản mục thuộc sổ kinh doanh.
- Chiến lược tự doanh đối với từng loại tiền tệ, công cụ tài chính, sản phẩm phái sinh.
6.2. Nội dung định lượng: Vốn yêu cầu cho rủi ro thị trường chi tiết theo từng loại rủi ro: rủi ro lãi suất, rủi ro giá cổ phiếu, rủi ro giá hàng hóa, rủi ro ngoại hối, giao dịch quyền chọn.
Phụ lục VI
HƯỚNG DẪN PHÂN LOẠI TÀI SẢN THEO PHƯƠNG PHÁP TIÊU CHUẨN
(Kèm theo Thông tư số 14/2025/TT-NHNN ngày 30 tháng 6 năm 2025 của
Thống đốc Ngân hàng Nhà nước Việt Nam)
_________________

Phụ lục VII
KẾ HOẠCH TRIỂN KHAI ÁP DỤNG
PHƯƠNG PHÁP XẾP HẠNG NỘI BỘ
(Kèm theo Thông tư số 14/2025/TT-NHNN ngày 30 tháng 6 năm 2025 của
Thống đốc Ngân hàng Nhà nước Việt Nam)
_____________
Ngân hàng có kế hoạch triển khai áp dụng phương pháp xếp hạng nội bộ (sau đây viết tắt là IRB) phải có tối thiểu các thông tin1 sau đây:
|
I. Triển khai tổng thể |
|||
|
1. Mục đích và lý do nộp đơn đề nghị chấp thuận áp dụng phương pháp IRB |
Trình bày các mục đích và lý do đã được cấp có thẩm quyền phê duyệt. |
||
|
2. Thành phần tham gia dự án |
Tên, chức danh và trách nhiệm. Thêm biểu đồ nếu có. Giải thích vai trò của các bên thứ ba (bên ngoài), nếu có. |
||
|
3. Phạm vi và các mốc thời gian triển khai phương pháp IRB |
|
|
|
|
a) Theo từng loại tài sản2 |
Tên loại tài sản |
Ngày bắt đầu3 |
Ngày hoànthành4 |
|
b) Các khoản phải đòi áp dụng phương pháp tiêu chuẩn. |
Tên loại tài sản |
Ngày bắt đầu |
Ngày hoàn thành |
|
4. Dòng thời gian chi tiết (mô tả cho từng mô hình được áp dụng cho từng loại/nhóm/tiểu nhóm tài sản) |
Các bước đã triển khai và dự kiến sẽ triển khai (ví dụ dữ liệu thu thập, triển khai công nghệ thông tin...) |
||
|
5. Ngân sách chi tiết được phê duyệt và nguồn lực cam kết thực hiện |
Tổng số tiền đã cam kết, ước tính nhân sự có liên quan (chi tiết bao gồm sự tham gia của các bên ngoài) |
||
|
6. Phân tích chi phí - lợi ích |
Cung cấp ước tính chi tiết về chi phí trong việc hoàn thành toàn bộ dự án thực hiện phương pháp IRB và lợi ích thu được. |
||
|
7. Tỷ lệ bao phủ, tỷ lệ sàn đầu ra đáp ứng quy định tại Điều 31, Điều 35 Thông tư này. |
Cung cấp tỷ lệ sàn đầu ra; chi tiết tỷ lệ bao phủ đối với từng loại tài sản áp dụng phương pháp IRB. |
||
|
II. Phân tích khoảng cách/kiểm định/tự đánh giá |
|||
|
1. Tổng quan về quá trình phân tích khoảng cách/kiểm định/tự đánh giá |
Giải thích quy trình và nhân sự tham gia vào thực hiện việc đánh giá, phân tích, kiểm định; làm rõ các kỹ năng và tính độc lập của người đánh giá, phân tích, kiểm định. |
||
|
2. Kết quả đánh giá, phân tích khoảng cách/kiểm định/tự đánh giá |
Liệt kê: tất cả các khoảng cách đã xác định và đánh giá tác động của các khoảng cách so quy định về phương pháp IRB tại Thông tư; kết quả kiểm định/tự đánh giá hiện trạng của ngân hàng với các yêu cầu về phương pháp IRB theo quy định tại Thông tư. |
||
|
3. Kế hoạch chi tiết để đạt được sự tuân thủ |
Đối với mỗi khoảng cách nêu tại điểm 2 Mục này, giải thích các hành động khắc phục đã được thực hiện, thời gian dự kiến thực hiện, thời gian dự kiến cần thiết để thu hẹp khoảng cách, cá nhân/bộ phận chịu trách nhiệm cũng như hành động sẽ thực hiện. |
||
|
III. Thông tin liên quan đến hệ thống xếp hạng tín dụng nội bộ Thông tin (dưới dạng quy định, báo cáo và tài liệu kỹ thuật) mô tả việc tuân thủ các yêu cầu theo quy định tại Thông tư này5. |
|||
|
1. Tổng quan hoặc mô tả chung về hệ thống xếp hạng tín dụng nội bộ |
Mô tả hệ thống xếp hạng tín dụng nội bộ (mô hình sử dụng, phạm vi xếp hạng loại, nhóm, tiểu nhóm tài sản...) |
||
|
2. Thiết kế hệ thống xếp hạng tín dụng nội bộ |
Trình bày chi tiết về chiều/hướng đánh giá về khách hàng và khoản phải đòi cho mỗi loại, nhóm, tiểu nhóm tài sản. Giải thích cấu trúc thiết kế hệ thống xếp hạng. Chi tiết các tiêu chí xếp hạng, định nghĩa được áp dụng. Giải thích quy trình để xác minh và đánh giá dữ liệu đầu vào để xếp hạng. |
||
|
3. Vận hành hệ thống xếp hạng tín dụng nội bộ |
Mô tả cách thức quy trình xếp hạng đảm bảo phạm vi xếp hạng phù hợp và nhất quán. Giải thích về các biện pháp kiểm soát để đảm bảo tính trung thực của quy trình xếp hạng. Giải thích về quá trình rà soát, điều chỉnh mức xếp hạng. Giải thích cách thức lưu trữ dữ liệu. Mô tả các quy trình, cách thức kiểm tra sức chịu đựng trong đánh giá mức đủ vốn (bao gồm các kịch bản được áp dụng và các nguồn thông tin); kiểm tra sức chịu đựng rủi ro tín dụng khách hàng. |
||
|
4. Ước tính tham số rủi ro |
Giải thích khái niệm, lý thuyết và kỹ thuật của quá trình thực hiện để ước tính tham số rủi ro (PD, LGD, EAD), bao gồm cả lý do (sự phù hợp, điểm mạnh và điểm yếu) và những cải tiến cần được thực hiện. Giải thích sự khác biệt, nếu có, trong định nghĩa về vỡ nợ được áp dụng. Việc áp dụng biên độ thận trọng (nếu có). Giải thích, chứng minh tính phù hợp của mô hình IRB (bao gồm các tham số rủi ro). |
||
|
5. Kiểm định mô hình |
Bao gồm việc đo lường hiệu năng đặc biệt là độ chính xác, so sánh kết quả của mô hình và các kết quả thực tế, độ ổn định và khả năng phân biệt... |
||
|
6. Tổng quan về cơ cấu quản trị nội bộ đối với hệ thống xếp hạng tín dụng nội bộ |
Thêm biểu đồ nếu có. |
||
|
a) Vai trò của Hội đồng quản trị, Hội đồng thành viên và các Ủy ban đối với ngân hàng thương mại, Tổng Giám đốc (Giám đốc) đối với chi nhánh ngân hàng nước ngoài |
Tên và trách nhiệm cụ thể |
||
|
b) Vai trò của Ban Điều hành và các Hội đồng thuộc Ban Điều hành đối với ngân hàng thương mại (nếu có) |
Tên và trách nhiệm cụ thể |
||
|
c) Vai trò của đơn vị có chức năng kiểm soát rủi ro tín dụng khách hàng (hoặc tương đương) |
Tên và trách nhiệm cụ thể |
||
|
d) Vai trò của kiểm toán nội bộ và/hoặc kiểm toán độc lập |
Tên và trách nhiệm cụ thể |
||
|
7. Sử dụng hệ thống xếp hạng tín dụng nội bộ |
Giải thích việc sử dụng hệ thống xếp hạng tín dụng nội bộ trong hoạt động của ngân hàng (giải thích cụ thể đối với từng mục đích cụ thể). |
||
|
8. Mô hình dữ liệu logic và cơ sở hạ tầng công nghệ thông tin |
Mô tả các trường dữ liệu, mô hình được sử dụng và cơ sở hạ tầng công nghệ thông tin. |
||
|
9. Quy trình trích xuất và làm sạch dữ liệu |
Giải thích quy trình cụ thể |
||
|
10. Đào tạo về phương pháp IRB được tiến hành cho các cán bộ có liên quan, quản lý cấp cao, thành viên Hội đồng quản trị, Hội đồng thành viên, Tổng Giám đốc (Giám đốc) |
Liệt kê tất cả các khóa đào tạo có liên quan (đặc biệt là về vận hành và sử dụng hệ thống xếp hạng) được thực hiện trong quá khứ gần đây. Bao gồm tên giảng viên, nội dung đào tạo và ngày thực hiện. |
||
____________________________
1 Thông tin yêu cầu áp dụng cho cả mô hình nội bộ và bên ngoài.
2 Bao gồm cả những nội dung đã được đề cập và sẽ được đề cập trong tương lai
3 Ngày bắt đầu triển khai theo phương pháp IRB.
4 Ngày hoàn thành việc triển khai theo phương pháp IRB.
5 Các nội dung in nghiêng chỉ có ý nghĩa gợi ý.
Phụ lục VIII
MẪU ĐƠN ĐỀ NGHỊ CHẤP THUẬN ÁP DỤNG
PHƯƠNG PHÁP XẾP HẠNG NỘI BỘ
(Kèm theo Thông tư số 14/2025/TT-NHNN ngày 30 tháng 6 năm 2025 của
Thống đốc Ngân hàng Nhà nước Việt Nam)
_______________
CỘNG HÒA XÃ HỘI CHỦ NGHĨA VIỆT NAM
Độc lập - Tự do - Hạnh phúc
_______________________
ĐƠN ĐỀ NGHỊ CHẤP THUẬN ÁP DỤNG
PHƯƠNG PHÁP XẾP HẠNG NỘI BỘ
Kính gửi: Thống đốc Ngân hàng Nhà nước Việt Nam
(Qua Cục Quản lý, giám sát tổ chức tín dụng
hoặc Ngân hàng Nhà nước chi nhánh Khu vực)
Căn cứ Luật Ngân hàng Nhà nước Việt Nam số 46/2010/QH12 đã được sửa đổi, bổ sung một số điều theo Luật số 14/2022/QH15;
Căn cứ Luật Các tổ chức tín dụng số 32/2024/QH15 đã được sửa đổi, bổ sung một số điều theo Luật số 43/2024/QH15;
Căn cứ Thông tư số .../2025/TT-NHNN ngày ... tháng .... năm 2025 của Thống đốc Ngân hàng Nhà nước Việt Nam quy định tỷ lệ an toàn vốn đối với ngân hàng thương mại, chi nhánh ngân hàng nước ngoài (sau đây viết tắt là Thông tư số .../2025/TT-NHNN);
Nay, [Ngân hàng thương mại, chi nhánh ngân hàng nước ngoài...] đề nghị Ngân hàng Nhà nước Việt Nam xem xét chấp thuận cho ngân hàng được áp dụng phương pháp xếp hạng nội bộ cho rủi ro tín dụng khách hàng. Ngân hàng đã lập hồ sơ theo các thành phần yêu cầu tại khoản 1 Điều 33 Thông tư số .../2025/TT-NHNN, gồm:
1. Phạm vi áp dụng phương pháp xếp hạng nội bộ không vượt quá phạm vi đã đăng ký:
2. Thời điểm áp dụng phương pháp xếp hạng nội bộ:…..
3. Chi tiết về việc ngân hàng đã thực hiện phân bổ các nguồn lực (như tài chính, cơ cấu tổ chức, nhân lực, dữ liệu, công nghệ thông tin...) cho việc áp dụng phương pháp xếp hạng nội bộ.
…..
[Ngân hàng thương mại, chi nhánh ngân hàng nước ngoài ...] xin cam kết:
- Nội dung, thông tin tại Đơn đề nghị và hồ sơ đề nghị chấp thuận là chính xác, trung thực.
- Sau khi được chấp thuận áp dụng phương pháp xếp hạng nội bộ, [Ngân hàng thương mại, chi nhánh ngân hàng nước ngoài ...] cam kết tiếp tục phân bổ nguồn lực cần thiết cho việc áp dụng phương pháp xếp hạng nội bộ.
- Chấp hành nghiêm chỉnh các quy định tại Thông tư số .../2025/TT-NHNN và các quy định khác có liên quan của Ngân hàng Nhà nước Việt Nam và pháp luật; nếu vi phạm ngân hàng xin chịu trách nhiệm trước pháp luật.
|
|
..., ngày... tháng... năm ... |
Bạn chưa Đăng nhập thành viên.
Đây là tiện ích dành cho tài khoản thành viên. Vui lòng Đăng nhập để xem chi tiết. Nếu chưa có tài khoản, vui lòng Đăng ký tại đây!
Bạn chưa Đăng nhập thành viên.
Đây là tiện ích dành cho tài khoản thành viên. Vui lòng Đăng nhập để xem chi tiết. Nếu chưa có tài khoản, vui lòng Đăng ký tại đây!