- Tổng quan
- Nội dung
- VB gốc
- Tiếng Anh
- Hiệu lực
- VB liên quan
- Lược đồ
-
Nội dung hợp nhất
Tính năng này chỉ có tại LuatVietnam.vn. Nội dung hợp nhất tổng hợp lại tất cả các quy định còn hiệu lực của văn bản gốc và các văn bản sửa đổi, bổ sung, đính chính... trên một trang. Việc hợp nhất văn bản gốc và những văn bản, Thông tư, Nghị định hướng dẫn khác không làm thay đổi thứ tự điều khoản, nội dung.
Khách hàng chỉ cần xem Nội dung hợp nhất là có thể nắm bắt toàn bộ quy định hiện hành đang áp dụng, cho dù văn bản gốc đã qua nhiều lần chỉnh sửa, bổ sung.
- Tải về
Thông tư 22/2023/TT-NHNN sửa đổi TT 41/2016/TT-NHNN về tỷ lệ an toàn vốn đối với ngân hàng
| Cơ quan ban hành: | Ngân hàng Nhà nước Việt Nam |
Số công báo:
Số công báo là mã số ấn phẩm được đăng chính thức trên ấn phẩm thông tin của Nhà nước. Mã số này do Chính phủ thống nhất quản lý.
|
Đã biết
|
| Số hiệu: | 22/2023/TT-NHNN | Ngày đăng công báo: |
Đã biết
|
| Loại văn bản: | Thông tư | Người ký: | Đoàn Thái Sơn |
|
Ngày ban hành:
Ngày ban hành là ngày, tháng, năm văn bản được thông qua hoặc ký ban hành.
|
29/12/2023 |
Ngày hết hiệu lực:
Ngày hết hiệu lực là ngày, tháng, năm văn bản chính thức không còn hiệu lực (áp dụng).
|
Đã biết
|
|
Áp dụng:
Ngày áp dụng là ngày, tháng, năm văn bản chính thức có hiệu lực (áp dụng).
|
Đã biết
|
Tình trạng hiệu lực:
Cho biết trạng thái hiệu lực của văn bản đang tra cứu: Chưa áp dụng, Còn hiệu lực, Hết hiệu lực, Hết hiệu lực 1 phần; Đã sửa đổi, Đính chính hay Không còn phù hợp,...
|
Đã biết
|
| Lĩnh vực: | Tài chính-Ngân hàng |
TÓM TẮT THÔNG TƯ 22/2023/TT-NHNN
Ngày 29/12/2023, Ngân hàng Nhà nước Việt Nam ban hành Thông tư 22/2023/TT-NHNN sửa đổi, bổ sung một số điều của Thông tư 41/2016/TT-NHNN ngày 30/12/2016 của Thống đốc Ngân hàng Nhà nước Việt Nam quy định tỷ lệ an toàn vốn đối với ngân hàng, chi nhánh ngân hàng nước ngoài. Cụ thể như sau:
1. Việc giảm thiểu rủi ro tín dụng bằng tài sản bảo đảm chỉ áp dụng đối với các tài sản bảo đảm sau đây:
- Tiền mặt, giấy tờ có giá, thẻ tiết kiệm do tổ chức tín dụng, chi nhánh ngân hàng nước ngoài phát hành;
- Vàng (vàng tiêu chuẩn, vàng vật chất, vàng trang sức với giá trị được chuyển đổi giá trị sang vàng 99.99);
- Giấy tờ có giá do Chính phủ Việt Nam, Ngân hàng Nhà nước, Ủy ban nhân dân tỉnh, thành phố trực thuộc trung ương, các ngân hàng chính sách phát hành hoặc bảo lãnh thanh toán;
- Chứng khoán nợ do chính phủ các nước, tổ chức công lập của chính phủ các nước phát hành được doanh nghiệp xếp hạng tín nhiệm độc lập xếp hạng từ BB- trở lên;
- Chứng khoán nợ do doanh nghiệp phát hành được doanh nghiệp xếp hạng tín nhiệm độc lập xếp hạng từ BBB- trở lên;
- Cổ phiếu được niêm yết trên Sở giao dịch Chứng khoán Việt Nam.
2. Để xác định vốn yêu cầu cho rủi ro thị trường, ngân hàng, chi nhánh ngân hàng nước ngoài phải có quy định bằng văn bản về các điều kiện, tiêu chí xác định các khoản mục thuộc phạm vi sổ kinh doanh để tính các trạng thái rủi ro trên sổ kinh doanh, đảm bảo tách biệt với sổ ngân hàng. Ngân hàng, chi nhánh ngân hàng nước ngoài phải:
- Phân biệt các giao dịch trên sổ kinh doanh và sổ ngân hàng. Dữ liệu về giao dịch phải được ghi nhận chính xác, đầy đủ và kịp thời vào hệ thống cơ sở dữ liệu quản lý rủi ro và hệ thống sổ sách kế toán của ngân hàng, chi nhánh ngân hàng nước ngoài;
- Xác định được bộ phận kinh doanh trực tiếp thực hiện giao dịch;
- Giao dịch trên sổ kinh doanh và số ngân hàng phải được phản ánh trên hệ thống sổ sách kế toán và phải được đối chiếu với số liệu ghi nhận của bộ phận kinh doanh (nhật ký giao dịch hoặc hình thức ghi nhận khác);
- Bộ phận kiểm toán nội bộ phải thường xuyên rà soát, đánh giá các khoản mục trên sổ kinh doanh và sổ ngân hàng.
Thông tư này có hiệu lực kể từ ngày 01/7/2024.
Xem chi tiết Thông tư 22/2023/TT-NHNN có hiệu lực kể từ ngày 01/07/2024
Tải Thông tư 22/2023/TT-NHNN
|
NGÂN HÀNG NHÀ NƯỚC Số: 22/2023/TT-NHNN |
CỘNG HÒA XÃ HỘI CHỦ NGHĨA VIỆT NAM Hà Nội, ngày 29 tháng 12 năm 2023 |
THÔNG TƯ
Sửa đổi, bổ sung một số điều của Thông tư số 41/2016/TT-NHNN ngày 30
tháng 12 năm 2016 của Thống đốc Ngân hàng Nhà nước Việt Nam quy định
tỷ lệ an toàn vốn đối với ngân hàng, chi nhánh ngân hàng nước ngoài
____________________
Căn cứ Luật Ngân hàng Nhà nước Việt Nam ngày 16 tháng 6 năm 2010;
Căn cứ Luật Các tổ chức tín dụng ngày 16 tháng 6 năm 2010 và Luật sửa đổi, bổ sung một số điều của Luật Các tổ chức tín dụng ngày 20 tháng 11 năm 2017;
Căn cứ Nghị định số 102/2022/NĐ-CP ngày 12 tháng 12 năm 2022 của Chính phủ quy định chức năng, nhiệm vụ, quyền hạn và cơ cấu tổ chức của Ngân hàng Nhà nước Việt Nam;
Theo đề nghị của Chánh Thanh tra, giám sát ngân hàng;
Thống đốc Ngân hàng Nhà nước Việt Nam ban hành Thông tư sửa đổi, bổ sung một số điều của Thông tư số 41/2016/TT-NHNN ngày 30 tháng 12 năm 2016 của Thống đốc Ngân hàng Nhà nước Việt Nam quy định tỷ lệ an toàn vốn đối với ngân hàng, chi nhánh ngân hàng nước ngoài.
Điều 1. Sửa đổi, bổ sung một số điều của Thông tư số 41/2016/TT-NHNN
1. Sửa đổi, bổ sung khoản 11 Điều 2 như sau:
“11. Khoản cho vay thế chấp nhà là khoản cho vay bảo đảm bằng bất động sản đối với cá nhân để mua nhà, bao gồm:
a) Khoản cho vay bảo đảm bằng bất động sản đối với cá nhân để mua nhà đáp ứng các điều kiện sau:
i) Nguồn tiền trả nợ không phải là nguồn tiền cho thuê nhà hình thành từ khoản cho vay;
ii) Nhà đã được hoàn thành để bàn giao theo hợp đồng mua bán nhà;
iii) Ngân hàng, chi nhánh ngân hàng nước ngoài có đầy đủ quyền hợp pháp để xử lý nhà thế chấp khi khách hàng không trả được nợ theo quy định của pháp luật về giao dịch đảm bảo và pháp luật về nhà ở;
iv) Nhà hình thành từ khoản cho vay thế chấp này phải được định giá độc lập (được bên thứ ba định giá hoặc được bộ phận độc lập với bộ phận phê duyệt tín dụng của ngân hàng, chi nhánh ngân hàng nước ngoài định giá) với nguyên tắc thận trọng (giá trị không cao hơn giá thị trường tại thời điểm xét duyệt cho vay) theo quy định của ngân hàng, chi nhánh ngân hàng nước ngoài.
b) Khoản cho vay để mua nhà ở xã hội, mua nhà ở theo các chương trình, dự án hỗ trợ của Chính phủ được xác định theo quy định của pháp luật về nhà ở đáp ứng các điều kiện tại các điểm a(i), a(iii), a(iv) khoản này.”
2. Sửa đổi, bổ sung điểm c khoản 12 Điều 2 như sau:
“c) Ngân hàng, chi nhánh ngân hàng nước ngoài có quyền theo hợp đồng cấp tín dụng để kiểm soát toàn bộ việc thanh toán, giải ngân theo tiến độ của dự án, đầu tư máy móc, thiết bị, mua hàng hóa và quản lý thu nhập, dòng tiền của việc kinh doanh, khai thác dự án, máy móc, thiết bị và hàng hóa đó để thu hồi nợ theo hợp đồng cấp tín dụng;”
3. Sửa đổi, bổ sung khoản 15 Điều 2 như sau:
“15. Giao dịch Reverse Repo là giao dịch trong đó một bên mua và nhận chuyển giao quyền sở hữu tài sản tài chính từ một bên khác, đồng thời cam kết sẽ bán lại và chuyển giao quyền sở hữu tài sản tài chính đó sau một thời gian xác định với một mức giá xác định, bao gồm cả giao dịch mua có kỳ hạn công cụ chuyển nhượng, giấy tờ có giá khác theo quy định của Ngân hàng Nhà nước về hoạt động chiết khấu công cụ chuyển nhượng, giấy tờ có giá khác.”
4. Sửa đổi, bổ sung khoản 3 Điều 8 như sau:
- Ei: Giá trị số dư xác định theo nguyên giá của khoản phải đòi thứ i;
- Eoni: Số dư phần nội bảng của khoản phải đòi thứ i;
- Eoffi: Số dư phần cam kết ngoại bảng của khoản phải đòi thứ i;
- CCFi: Hệ số chuyển đổi của phần cam kết ngoại bảng của khoản phải đòi thứ i theo quy định tại Điều 10 Thông tư này.”
5. Sửa đổi, bổ sung khoản 7 Điều 9 như sau:
a) Đối với tổ chức tài chính nước ngoài (bao gồm cả tổ chức tín dụng nước ngoài) không phải là tổ chức tài chính quốc tế quy định tại khoản 20 Điều 2 Thông tư này, hệ số rủi ro tín dụng áp dụng theo thứ hạng tín nhiệm như sau:
|
Thứ hạng tín nhiệm |
Từ AAA đến AA- |
Từ A+ đến BBB- |
Từ BB+ đến B- |
Dưới B- hoặc không có xếp hạng |
|
Hệ số rủi ro tín dụng |
20% |
50% |
100% |
150% |
c) Đối với tài sản là các khoản phải đòi tổ chức tín dụng trong nước, trừ các khoản phải đòi dưới hình thức giao dịch reverse repo đã được tính rủi ro tín dụng đối tác theo quy định tại khoản 4 Điều 8 Thông tư này, hệ số rủi ro tín dụng áp dụng như sau:
|
Thứ hạng tín nhiệm |
AAA đến AA- |
A+ đến BBB- |
BB+ đến BB- |
B+ đến B- |
Dưới B- và Không có xếp hạng |
|
Khoản phải đòi có thời hạn ban đầu từ 3 tháng trở lên |
20% |
50% |
80% |
100% |
150% |
|
Khoản phải đòi có thời hạn ban đầu dưới 3 tháng |
10% |
20% |
40% |
50% |
70% |
6. Sửa đổi, bổ sung điểm b khoản 9 Điều 9 như sau:
- Doanh thu lấy số liệu trên Báo cáo kết quả hoạt động kinh doanh;
- Tỷ lệ đòn bẩy = Tổng Nợ vay/Tổng tài sản;
Trong đó: Tổng Nợ vay (total debt) được xác định bằng tổng của các khoản mục vay và nợ thuê tài chính ngắn hạn với khoản mục vay và nợ thuê tài chính dài hạn theo quy định hiện hành về kế toán.
- Vốn chủ sở hữu lấy số liệu trên Bảng cân đối kế toán.
(i) Hệ số rủi ro tín dụng áp dụng theo chỉ tiêu doanh thu, tỷ lệ đòn bẩy, vốn chủ sở hữu của doanh nghiệp như sau:
|
|
Doanh thu dưới 100 tỷ đồng |
Doanh thu từ 100 tỷ đồng đến dưới 400 tỷ đồng |
Doanh thu từ 400 tỷ đồng đến 1500 tỷ đồng |
Doanh thu trên 1500 tỷ đồng |
|
Tỷ lệ đòn bẩy dưới 25% |
100% |
80% |
60% |
50% |
|
Tỷ lệ đòn bẩy từ 25% đến 50% |
125% |
110% |
95% |
80% |
|
Tỷ lệ đòn bẩy trên 50% |
160% |
150% |
140% |
120% |
|
Vốn chủ sở hữu âm hoặc bằng 0 |
250% |
|||
(iii) Đối với các doanh nghiệp thành lập mới (không bao gồm các trường hợp thành lập do tổ chức lại, chuyển đổi hình thức pháp lý,...), hoạt động chưa được 01 năm, hệ số rủi ro tín dụng là 150%.”
7. Sửa đổi, bổ sung khoản 10 Điều 9 như sau:
a) Ngân hàng, chi nhánh ngân hàng nước ngoài phải xác định Tỷ lệ bảo đảm (viết tắt là LTV) đối với khoản phải đòi được đảm bảo bằng bất động sản như sau:
(i) Tỷ lệ bảo đảm (LTV) = Tổng số dư khoản phải đòi/Giá trị của tài sản bảo đảm. Trong đó:
- Tổng số dư khoản phải đòi (số dư nợ gốc nội bảng và cam kết ngoại bảng) bao gồm tổng số dư của khoản phải đòi và số dư của các khoản phải đòi khác được bảo đảm bằng bất động sản đó tại ngân hàng, chi nhánh ngân hàng nước ngoài;
- Giá trị của tài sản bảo đảm là giá trị của bất động sản bảo đảm cho các khoản phải đòi đó được xác định tại thời điểm xét duyệt cho vay.
(ii) Giá trị của tài sản bảo đảm được xác định lại khi ngân hàng, chi nhánh ngân hàng nước ngoài có thông tin giá trị tài sản bảo đảm bị suy giảm trên 30% so với giá trị tại thời điểm xét duyệt cho vay (đối với trường hợp xác định lại được thực hiện lần đầu tiên) hoặc so với giá trị tài sản bảo đảm xác định lại gần nhất.
b) Hệ số rủi ro tín dụng áp dụng đối với khoản phải đòi được bảo đảm bằng bất động sản không kinh doanh theo chỉ tiêu Tỷ lệ bảo đảm (LTV) như sau:
|
LTV |
LTV dưới 40% |
LTV từ 40% trở lên đến dưới 60% |
LTV từ 60% trở lên đến dưới 80% |
LTV từ 80% trở lên đến dưới 90% |
LTV từ 90% trở lên đến dưới 100% |
LTV từ 100% trở lên |
|
Hệ số rủi ro |
30% |
40% |
50% |
70% |
80% |
100% |
|
|
LTV dưới 60% |
LTV từ 60% trở lên đến dưới 75% |
LTV từ 75% trở lên |
|
Khoản phải đòi được đảm bảo bằng bất động sản kinh doanh |
75% |
100% |
120% |
đ) Hệ số rủi ro tín dụng 150% được áp dụng đối với khoản phải đòi được đảm bảo bằng bất động sản mà ngân hàng, chi nhánh ngân hàng nước ngoài không có thông tin về Tỷ lệ bảo đảm (LTV);
e) Hệ số rủi ro tín dụng 200% được áp dụng đối với tài sản là khoản cấp tín dụng chuyên biệt dưới hình thức cấp tín dụng tài trợ dự án kinh doanh bất động sản. Trường hợp đối với tài sản là khoản cấp tín dụng chuyên biệt dưới hình thức cấp tín dụng tài trợ dự án kinh doanh bất động sản khu công nghiệp, hệ số rủi ro tín dụng là 160%.”
8. Sửa đổi, bổ sung điểm b khoản 11 Điều 9 như sau:
(i) Đối với khoản cho vay để mua nhà ở xã hội, mua nhà ở theo các chương trình, dự án hỗ trợ của Chính phủ:
|
Các khoản cho vay thế chấp nhà ở |
LTV dưới 40% |
LTV từ 40% trở lên đến dưới 60% |
LTV từ 60% trở lên đến dưới 80% |
LTV từ 80% trở lên đến dưới 90% |
LTV từ 90% trở lên đến dưới 100% |
LTV từ 100% trở lên |
|
DSC từ 35% trở xuống |
20% |
25% |
30% |
35% |
40% |
45% |
|
DSC trên 35% |
25% |
30% |
35% |
40% |
45% |
50% |
|
Các khoản cho vay thế chấp nhà ở |
LTV dưới 40% |
LTV từ 40% trở lên đến dưới 60% |
LTV từ 60% trở lên đến dưới 80% |
LTV từ 80% trở lên đến dưới 90% |
LTV từ 90% trở lên đến dưới 100% |
LTV từ 100% trở lên |
|
DSC từ 35% trở xuống |
25% |
30% |
40% |
50% |
60% |
80% |
|
DSC trên 35% |
30% |
40% |
50% |
70% |
80% |
100% |
9. Bổ sung khoản 12a sau khoản 12 Điều 9 như sau:
“12a. Đối với khoản phải đòi là khoản cho vay cá nhân phục vụ phát triển nông nghiệp, nông thôn theo quy định của Chính phủ về chính sách tín dụng phục vụ phát triển nông nghiệp, nông thôn, hệ số rủi ro tín dụng là 50%”
10. Sửa đổi, bổ sung điểm e khoản 3 Điều 11 như sau:
“e) Trường hợp kết hợp hai hoặc nhiều biện pháp giảm thiểu rủi ro tín dụng khác nhau cho một khoản phải đòi, giao dịch thì ngân hàng, chi nhánh ngân hàng nước ngoài phải phân tách các phần giao dịch, khoản phải đòi theo từng biện pháp giảm thiểu rủi ro tín dụng để tính riêng giá trị số dư của từng phần của khoản phải đòi, giao dịch đó theo quy định tại Thông tư này. Trường hợp không phân tách được các phần giao dịch, khoản phải đòi theo từng biện pháp giảm thiểu rủi ro tín dụng, ngân hàng, chi nhánh ngân hàng nước ngoài áp dụng một biện pháp có giá trị giảm thiểu rủi ro nhiều nhất.”
11. Sửa đổi, bổ sung khoản 4 Điều 11 như sau:

- Ei: Giá trị số dư của khoản phải đòi, giao dịch thứ i được tính theo quy định tại Điều 8 Thông tư này;
- Ej: Giá trị số dư của khoản phải đòi, giao dịch thứ i được tính theo quy định tại Điều 8 Thông tư này được điều chỉnh giảm thiểu rủi ro tín dụng bằng tài sản bảo đảm;
- Ek: Giá trị số dư của khoản phải đòi, giao dịch thứ i được tính theo quy định tại Điều 8 Thông tư này được điều chỉnh giảm thiểu rủi ro tín dụng bằng bù trừ số dư nội bảng;
- El: Giá trị số dư của khoản phải đòi, giao dịch thứ i được tính theo quy định tại Điều 8 Thông tư này được điều chỉnh giảm thiểu rủi ro tín dụng bằng bảo lãnh của bên thứ ba;
- En: Giá trị số dư của khoản phải đòi, giao dịch thứ i được tính theo quy định tại Điều 8 Thông tư này được điều chỉnh giảm thiểu rủi ro tín dụng bằng sản phẩm phái sinh tín dụng;
- Ex: Giá trị số dư của khoản phải đòi, giao dịch thứ i được tính theo quy định tại Điều 8 Thông tư này không được điều chỉnh giảm thiểu rủi ro tín dụng;
- Cj*: Giá trị của tài sản bảo đảm hiệu chỉnh theo độ lệch thời hạn;
- Hcj: Hệ số hiệu chỉnh tài sản bảo đảm;
- Lk*: Giá trị nợ phải trả nội bảng được hiệu chỉnh theo độ lệch thời hạn;
- Gl: Giá trị bảo lãnh của bên thứ ba;
- CRWgtorl: Hệ số rủi ro tín dụng của bên bảo lãnh;
- CRWl: Hệ số rủi ro tín dụng của khách hàng;
- CDn*: Giá trị của sản phẩm phái sinh tín dụng được hiệu chỉnh theo độ lệch thời hạn;
- Hfxc, Hfxl, Hfxcd: hệ số hiệu chỉnh độ lệch tiền tệ tương ứng giữa khoản phải đòi, giao dịch và biện pháp giảm thiểu rủi ro. Hệ số hiệu chỉnh độ lệch tiền tệ bằng không (0) khi khoản phải đòi, giao dịch và biện pháp giảm thiểu rủi ro cùng một loại tiền tệ.”
12. Sửa đổi, bổ sung Điều 12 như sau:
1. Việc giảm thiểu rủi ro tín dụng bằng tài sản bảo đảm chỉ áp dụng đối với các tài sản bảo đảm sau đây:
a) Tiền mặt, giấy tờ có giá, thẻ tiết kiệm do tổ chức tín dụng, chi nhánh ngân hàng nước ngoài phát hành;
b) Vàng (vàng tiêu chuẩn, vàng vật chất, vàng trang sức với giá trị được chuyển đổi giá trị sang vàng 99.99);
c) Giấy tờ có giá do Chính phủ Việt Nam, Ngân hàng Nhà nước, Ủy ban nhân dân tỉnh, thành phố trực thuộc trung ương, các ngân hàng chính sách phát hành hoặc bảo lãnh thanh toán;
d) Chứng khoán nợ do chính phủ các nước, tổ chức công lập của chính phủ các nước phát hành được doanh nghiệp xếp hạng tín nhiệm độc lập xếp hạng từ BB- trở lên;
đ) Chứng khoán nợ do doanh nghiệp phát hành được doanh nghiệp xếp hạng tín nhiệm độc lập xếp hạng từ BBB- trở lên;
e) Cổ phiếu được niêm yết trên Sở giao dịch Chứng khoán Việt Nam.
2. Tài sản bảo đảm quy định tại khoản 1 Điều này phải đảm bảo:
a) Tuân thủ đúng quy định pháp luật về giao dịch đảm bảo;
b) Giấy tờ có giá, chứng khoán nợ, cổ phiếu không do khách hàng và (hoặc) công ty mẹ, công ty con, công ty liên kết của khách hàng phát hành hoặc bảo lãnh thanh toán.
c) Tài sản bảo đảm quy định tại điểm đ và điểm e khoản 1 Điều này phải có giao dịch khớp lệnh trong thời gian 10 ngày làm việc liền kề trước thời điểm tính toán và được tính theo giá thị trường tham chiếu hàng ngày (daily mark-to- market).
3. Hệ số hiệu chỉnh tài sản bảo đảm (Hc) tính theo tỷ lệ phần trăm (%) được xác định như sau:
a) Tiền mặt, thẻ tiết kiệm và giấy tờ có giá do chính ngân hàng, chi nhánh ngân hàng nước ngoài phát hành, giấy tờ có giá do Chính phủ Việt Nam, Ngân hàng Nhà nước, Ủy ban nhân dân tỉnh, thành phố trực thuộc trung ương, các ngân hàng chính sách phát hành hoặc bảo lãnh thanh toán có hệ số hiệu chỉnh bằng 0;
b) Thẻ tiết kiệm, giấy tờ có giá, chứng khoán, vàng có hệ số hiệu chỉnh như sau:
|
Xếp hạng tín nhiệm của người phát hành giấy tờ có giá, chứng khoán |
Thời hạn còn lại |
Chính phủ (bao gồm cả các tổ chức áp dụng hệ số rủi ro tín dụng tương đương chính phủ) (%) |
Các tổ chức phát hành khác (%) |
|
AAA đến AA- |
≤ 1 năm |
0,5 |
1 |
|
> 1 năm, ≤ 5 năm |
2 |
4 |
|
|
> 5 năm |
4 |
8 |
|
|
- A+ đến BBB- - Thẻ tiết kiệm, giấy tờ có giá của tổ chức tín dụng, chi nhánh ngân hàng nước ngoài khác |
≤ 1 năm |
1 |
2 |
|
> 1 năm, ≤ 5 năm |
3 |
6 |
|
|
> 5 năm |
6 |
12 |
|
|
BB+ đến BB- trừ Thẻ tiết kiệm, giấy tờ có giá của tổ chức tín dụng, chi nhánh ngân hàng nước ngoài khác |
Tất cả các loại thời hạn |
15 |
|
|
Cổ phiếu được tính vào chỉ số chứng khoán VN30/HNX30 (bao gồm cả trái phiếu chuyển đổi của các loại cổ phiếu này) và Vàng |
15 |
||
|
Cổ phiếu khác được niêm yết trên Sở giao dịch chứng khoán Việt Nam |
25 |
||
- C: giá trị của tài sản bảo đảm;
- T: được xác định là giá trị tối thiểu của (5 năm, thời hạn còn lại của giao dịch, khoản phải đòi tính theo năm);
- t: được xác định là giá trị tối thiểu của (T tính theo năm, thời hạn còn lại của tài sản bảo đảm tính theo năm).
5. Hệ số hiệu chỉnh độ lệch tiền tệ giữa khoản phải đòi, giao dịch và tài sản bảo đảm (Hfxc) là 8%.”
13. Bổ sung điểm d sau điểm c khoản 2 Điều 14 như sau:
“d) Tổ chức tài chính quốc tế.”
14. Sửa đổi, bổ sung Điều 17 như sau:
“Điều 17. Quy định, quy trình xác định trạng thái rủi ro thị trường để quản lý rủi ro thị trường
1. Để xác định vốn yêu cầu cho rủi ro thị trường, ngân hàng, chi nhánh ngân hàng nước ngoài phải có quy định bằng văn bản về các điều kiện, tiêu chí xác định các khoản mục thuộc phạm vi sổ kinh doanh để tính các trạng thái rủi ro trên sổ kinh doanh, đảm bảo tách biệt với sổ ngân hàng. Ngân hàng, chi nhánh ngân hàng nước ngoài phải:
a) Phân biệt các giao dịch trên sổ kinh doanh và sổ ngân hàng. Dữ liệu về giao dịch phải được ghi nhận chính xác, đầy đủ và kịp thời vào hệ thống cơ sở dữ liệu quản lý rủi ro và hệ thống sổ sách kế toán của ngân hàng, chi nhánh ngân hàng nước ngoài;
b) Xác định được bộ phận kinh doanh trực tiếp thực hiện giao dịch;
c) Giao dịch trên sổ kinh doanh và số ngân hàng phải được phản ánh trên hệ thống sổ sách kế toán và phải được đối chiếu với số liệu ghi nhận của bộ phận kinh doanh (nhật ký giao dịch hoặc hình thức ghi nhận khác);
d) Bộ phận kiểm toán nội bộ phải thường xuyên rà soát, đánh giá các khoản mục trên sổ kinh doanh và sổ ngân hàng.
2. Ngân hàng, chi nhánh ngân hạng nước ngoài chỉ được phép phân loại lại và chuyển các khoản mục từ sổ kinh doanh sang sổ ngân hàng khi các khoản mục đó không còn đáp ứng được điều kiện, tiêu chí theo quy định tại khoản 1 Điều này, không được chuyển các công cụ tài chính từ sổ ngân hàng sang sổ kinh doanh.
3. Ngân hàng, chi nhánh ngân hàng nước ngoài phải có chính sách, quy trình xác định trạng thái rủi ro để tính vốn yêu cầu cho rủi ro thị trường. Các chính sách, quy trình tối thiểu gồm:
a) Chiến lược tự doanh đối với từng loại tiền tệ, công cụ tài chính, sản phẩm phái sinh, đảm bảo không bị hạn chế về mua, bán hoặc có khả năng phòng ngừa được rủi ro;
b) Các hạn mức rủi ro thị trường theo quy định của Ngân hàng Nhà nước về hệ thống kiểm soát nội bộ của ngân hàng thương mại, chi nhánh ngân hàng nước ngoài các hạn mức phải được rà soát, đánh giá tối thiểu một năm một lần hoặc vào thời điểm có thay đổi lớn ảnh hưởng tới trạng thái rủi ro thị trường;
c) Quy trình quản lý trạng thái rủi ro thị trường phải đảm bảo:
(i) Các trạng thái rủi ro thị trường được nhận diện, đo lường, theo dõi, quản lý và giám sát chặt chẽ;
(ii) Có bộ phận riêng để thực hiện các giao dịch tự doanh, trong đó các giao dịch viên có quyền tự chủ thực hiện các giao dịch trong phạm vi các hạn mức và chiến lược tự doanh; có bộ phận quản lý, hạch toán theo dõi các giao dịch tự doanh và các khoản mục trên sổ kinh doanh;
(iii) Các trạng thái rủi ro và kết quả đo lường rủi ro phải được báo cáo cho các cấp thẩm quyền theo quy định về quản lý rủi ro của ngân hàng, chi nhánh ngân hàng nước ngoài;
(iv) Tất cả các trạng thái tài chính trên sổ kinh doanh phải được đo lường và định giá theo giá thị trường hoặc dữ liệu thị trường ít nhất một ngày một lần để xác định mức lỗ, lãi và trạng thái rủi ro thị trường;
(v) Các dữ liệu thị trường đầu vào phải được thu thập tối đa từ nguồn phù hợp với thị trường và thường xuyên được soát xét lại tính phù hợp của các dữ liệu thị trường đầu vào.
d) Các quy định về điều kiện, tiêu chí ghi nhận các khoản mục trên sổ kinh doanh và chuyển các khoản mục giữa sổ kinh doanh và sổ ngân hàng theo quy định của pháp luật;
đ) Các phương pháp đo lường rủi ro thị trường (trong đó mô tả đầy đủ các giả định và các tham số được sử dụng); các phương pháp đo lường rủi ro thị trường phải được rà soát, đánh giá hàng năm hoặc khi có thay đổi bất thường ảnh hưởng tới trạng thái rủi ro thị trường;
e) Quy trình giám sát các trạng thái rủi ro và việc tuân thủ các hạn mức rủi ro thị trường theo chiến lược tự doanh của ngân hàng, chi nhánh ngân hàng nước ngoài.
4. Quy định, quy trình quy định tại khoản 1, khoản 3 Điều này phải được các cấp có thẩm quyền của ngân hàng, chi nhánh ngân hàng nước ngoài phê duyệt, ban hành, sửa đổi, bổ sung, định kỳ ít nhất một năm một lần và được kiểm toán nội bộ theo quy định của Ngân hàng Nhà nước về hệ thống kiểm soát nội bộ của tổ chức tín dụng, chi nhánh ngân hàng nước ngoài,
5. Ngân hàng, chi nhánh ngân hàng nước ngoài gửi các quy định tại khoản 1, khoản 3 Điều này cho Ngân hàng Nhà nước (Cơ quan Thanh tra, giám sát ngân hàng) để giám sát trước khi thực hiện. Trường hợp cần thiết, Ngân hàng Nhà nước (Cơ quan Thanh tra, giám sát ngân hàng) sẽ có ý kiến bằng văn bản gửi ngân hàng, chi nhánh ngân hàng nước ngoài để sửa đổi, bổ sung các quy định, quy trình này.”
15. Sửa đổi, bổ sung khoản 4 Điều 18 như sau:
16. Sửa đổi, bổ sung khoản 1 Điều 21 như sau:
“1. Giám sát, kiểm tra, thanh tra đối với ngân hàng, chi nhánh ngân hàng nước ngoài theo quy định của pháp luật và phân công của Thống đốc Ngân hàng Nhà nước trong việc chấp hành quy định tại Thông tư này.”
17. Sửa đổi, bổ sung khoản 2 Điều 22 như sau:
“2. Ngân hàng Nhà nước chi nhánh tỉnh, thành phố trực thuộc Trung ương thực hiện giám sát, kiểm tra, thanh tra đối với các ngân hàng, chi nhánh ngân hàng nước ngoài trên địa bàn theo quy định của pháp luật và phân công của Thống đốc Ngân hàng Nhà nước trong việc chấp hành quy định tại Thông tư này.”
Điều 2. Thay thế Phụ lục 01, Phụ lục 02, Phụ lục 03, Phụ lục 04 và Phụ lục 06 của Thông tư số 41/2016/TT-NHNN bằng Phụ lục 01, Phụ lục 02, Phụ lục 03, Phụ lục 04 và Phụ lục 06 ban hành kèm theo Thông tư này.
Điều 3. Trách nhiệm tổ chức thực hiện
Chánh Văn phòng, Chánh Thanh tra, giám sát ngân hàng, Thủ trưởng các đơn vị thuộc Ngân hàng Nhà nước, ngân hàng, chi nhánh ngân hàng nước ngoài chịu trách nhiệm tổ chức thực hiện Thông tư này.
Điều 4. Hiệu lực thi hành
Thông tư này có hiệu lực thi hành kể từ ngày 01 tháng 7 năm 2024./.
PHỤ LỤC 1
CẤU PHẦN VÀ CÁCH XÁC ĐỊNH ĐỂ TÍNH VỐN TỰ CÓ
(Ban hành kèm theo Thông tư số 22/2023/TT-NHNN ngày 29 tháng 12 năm 2023
của Thống đốc Ngân hàng Nhà nước Việt Nam sửa đổi, bổ sung một số điều của Thông tư số 41/2016/TT-NHNN)
A. Cấu phần và cách xác định để tính vốn tự có của ngân hàng:
I. Vốn tự có:
|
Mục |
Cấu phần |
Cách xác định |
|
|
VỐN CẤP 1 (A) = A1 - A2 |
|
|
|
Cấu phần Vốn cấp 1 (A1) = Σ1 ÷ 7a |
|
|
(1) |
Vốn điều lệ (vốn đã được cấp, vốn đã góp) |
Lấy số liệu tại khoản mục vốn điều lệ trên Bảng cân đối kế toán. Đối với ngân hàng sử dụng ngoại tệ làm đơn vị tiền tệ trong kế toán thì vốn điều lệ được quy đổi ra đồng Việt Nam theo quy định của Ngân hàng Nhà nước hướng dẫn về Chế độ báo cáo tài chính đối với các tổ chức tín dụng. |
|
(2) |
Quỹ dự trữ bổ sung vốn điều lệ |
Lấy số liệu Quỹ dự trữ bổ sung vốn điều lệ trong khoản mục Quỹ của tổ chức tín dụng trên Bảng cân đối kế toán. |
|
(3) |
Quỹ đầu tư phát triển |
Lấy số liệu Quỹ đầu tư phát triển trong khoản mục Quỹ của tổ chức tín dụng trên Bảng cân đối kế toán. |
|
(4) |
Quỹ dự phòng tài chính |
Lấy số liệu Quỹ dự phòng tài chính trong khoản mục Quỹ của tổ chức tín dụng trên Bảng cân đối kế toán. |
|
(5) |
Vốn đầu tư xây dựng cơ bản, mua sắm tài sản cố định |
Lấy số liệu Vốn đầu tư xây dựng cơ bản, mua sắm tài sản cố định trên Bảng cân đối kế toán. |
|
(6) |
Lợi nhuận chưa phân phối |
Lấy số liệu Lợi nhuận chưa phân phối trên Bảng cân đối kế toán |
|
(7) |
Thặng dư vốn cổ phần |
Lấy số liệu Thặng dư vốn cổ phần trên Bảng cân đối kế toán. |
|
(7a) |
Chênh lệch tỷ giá hối đoái |
Lấy số dư khoản Chênh lệch tỷ giá hối đoái do đánh giá lại vốn chủ sở hữu có gốc ngoại tệ thuộc khoản mục vốn Chủ sở hữu được ghi nhận trên Bảng cân đối kế toán khi chuyển đổi Báo cáo tài chính được lập bằng ngoại tệ ra đồng Việt Nam. |
|
|
Các khoản phải trừ khỏi vốn cấp 1 (A2) = Σ8 ÷ 10 |
|
|
(8) |
Lợi thế thương mại |
Lấy số liệu chênh lệch lớn hơn giữa số tiền mua một tài sản tài chính và giá trị sổ sách kế toán của tài sản tài chính đó mà ngân hàng phải trả phát sinh từ giao dịch có tính chất mua lại do ngân hàng thực hiện. |
|
(9) |
Lỗ lũy kế |
Lấy số liệu Lỗ lũy kế tại thời điểm tính tỷ lệ an toàn vốn. |
|
(10) |
Cổ phiếu quỹ |
Lấy số liệu tại khoản mục cổ phiếu quỹ trên Bảng cân đối kế toán. |
|
|
VỐN CẤP 2 (B) = B1 - B2 - (20) |
Giá trị vốn cấp 2 tối đa bằng vốn cấp 1 |
|
|
Cấu phần của vốn cấp 2 (B1) = Σ11 ÷ 16 |
|
|
(11) |
Các quỹ khác được trích từ lợi nhuận sau thuế thu nhập doanh nghiệp theo quy định của pháp luật (không bao gồm quỹ khen thưởng, phúc lợi, quỹ thưởng ban điều hành) |
Lấy số liệu Quỹ khác trong khoản mục Quỹ của tổ chức tín dụng trên Bảng cân đối kế toán. |
|
(12) |
50% phần chênh lệch tăng do đánh giá lại tài sản cố định theo quy định của pháp luật |
50% tổng số dư có của tài khoản chênh lệch đánh giá lại tài sản cố định. |
|
(13) |
45% phần chênh lệch tăng do đánh giá lại các khoản góp vốn đầu tư dài hạn theo quy định của pháp luật |
45% tổng số dư có của tài khoản chênh lệch đánh giá lại tài sản đối với các khoản góp vốn đầu tư dài hạn |
|
(14) |
80% dự phòng chung theo quy định của Ngân hàng Nhà nước về phân loại tài sản có, mức trích, phương pháp trích dự phòng rủi ro và sử dụng dự phòng rủi ro đối với tổ chức tín dụng, chi nhánh ngân hàng nước ngoài |
Lấy 80% tổng các khoản mục Dự phòng chung trên Bảng cân đối kế toán. |
|
(15) |
Công cụ vốn chủ sở hữu có tính chất nợ do ngân hàng phát hành |
Lấy giá trị các công cụ vốn chủ sở hữu có tính chất nợ do ngân hàng phát hành đáp ứng đầy đủ các điều kiện quy định tại khoản 4 Điều 2 Thông tư này. |
|
(16) |
Nợ thứ cấp do ngân hàng phát hành, ký kết đáp ứng đầy đủ các điều kiện sau: (i) Có kỳ hạn ban đầu từ năm (05) năm trở lên; (ii) Không được đảm bảo bằng tài sản của chính ngân hàng; (iii) Ngân hàng được trả nợ trước thời gian đáo hạn với điều kiện sau khi thực hiện vẫn đảm bảo các tỷ lệ, giới hạn bảo đảm an toàn theo quy định và báo cáo Ngân hàng Nhà nước (Cơ quan Thanh tra, giám sát ngân hàng) để giám sát; (iv) Ngân hàng được ngừng trả lãi và chuyển lãi lũy kế sang năm tiếp theo nếu việc trả lãi dẫn đến kết quả kinh doanh trong năm bị lỗ; (v) Trong trường hợp thanh lý ngân hàng, người sở hữu khoản nợ thứ cấp chỉ được thanh toán sau khi ngân hàng đã thanh toán cho tất cả các chủ nợ khác; (vi) Lãi suất cố định hoặc công thức tính lãi suất được xác định trước và ghi rõ trong hợp đồng, tài liệu phát hành. - Đối với lãi suất cố định, việc điều chỉnh tăng lãi suất chỉ được thực hiện sau 5 năm kể từ ngày phát hành, ký kết hợp đồng và chỉ được thay đổi 1 lần trong suốt thời hạn của nợ thử cấp. - Đối với lãi suất tính theo công thức, công thức không được thay đổi và chỉ được thay đổi biên độ trong công thức (nếu có) 1 lần sau 5 năm kể từ ngày phát hành, ký kết hợp đồng. |
- Tại thời điểm xác định giá trị, nếu thời hạn còn lại của trái phiếu chuyển đổi, công cụ nợ khác trên 5 năm, toàn bộ giá trị nợ thứ cấp được tính vào vốn cấp 2. - Bắt đầu từ năm thứ năm trước khi đến hạn thanh toán, mỗi năm tại ngày đầu tiên của năm (tính theo ngày phát hành), giá trị nợ thứ cấp được tính vào vốn cấp 2 sẽ phải được khấu trừ 20% của tổng mệnh giá. |
|
|
Các khoản phải trừ khỏi vốn cấp 2 (B2) = (17) + (18) + (19) |
|
|
(17) |
Phần giá trị chênh lệch dương giữa khoản mục (14) và 1,25% của “Tổng tài sản tính theo rủi ro tín dụng” quy định tại Thông tư. |
|
|
(18) |
Phần giá trị chênh lệch dương giữa khoản mục (16) và 50% của A |
|
|
(19) |
Mua, đầu tư nợ thứ cấp của tổ chức tín dụng, chi nhánh ngân hàng nước ngoài khác phát hành đáp ứng đầy đủ các điều kiện để tính vào vốn cấp 2 của tổ chức tín dụng, chi nhánh ngân hàng nước ngoài đó (không bao gồm nợ thứ cấp nhận làm tài sản bảo đảm, chiết khấu, tái chiết khấu của khách hàng). |
Bắt đầu từ năm thứ năm trước khi đến hạn thanh toán, mỗi năm tại ngày đầu tiên của năm (tính theo ngày phát hành), giá trị khoản mua, đầu tư nợ thứ cấp của tổ chức tín dụng, chi nhánh ngân hàng nước ngoài khác phát hành đáp ứng đầy đủ các điều kiện để tính vào vốn cấp 2 của tổ chức tín dụng, chi nhánh ngân hàng nước ngoài đó sẽ được khấu trừ 20% của tổng giá mua. |
|
|
Các khoản giảm trừ bổ sung |
|
|
(20) |
Phần giá trị chênh lệch dương giữa (B1 - B2) và A |
|
|
|
Các khoản mục giảm trừ khi tính vốn tự có |
|
|
(21) |
Các khoản cấp tín dụng đế góp vốn, mua cổ phần tại tổ chức tín dụng khác |
Lấy số dư các khoản cấp tín dụng để góp vốn, mua cổ phần tại tổ chức tín dụng khác. |
|
(22) |
Các khoản góp vốn, mua cổ phần tại tổ chức tín dụng khác |
Lấy số liệu các khoản Góp vốn đầu tư dài hạn vào đối tượng là các tổ chức tín dụng khác thuộc khoản mục Góp vốn đầu tư dài hạn trên Bảng cân đối kế toán. |
|
(23) |
Các khoản góp vốn, mua cổ phần tại các doanh nghiệp hoạt động trong lĩnh vực bảo hiểm, chứng khoán, kiều hối, kinh doanh ngoại hối, vàng, bao thanh toán, phát hành thẻ tín dụng, tín dụng tiêu dùng, dịch vụ trung gian thanh toán, thông tin tín dụng |
Lấy số liệu các khoản Góp vốn đầu tư dài hạn vào đối tượng là các doanh nghiệp hoạt động trong lĩnh vực bảo hiểm, chứng khoán, kiều hối, kinh doanh ngoại hối, vàng, bao thanh toán, phát hành thẻ tín dụng, tín dụng tiêu dùng, dịch vụ trung gian thanh toán, thông tin tín dụng thuộc khoản mục Góp vốn đầu tư dài hạn trên Bảng cân đối kế toán, trừ các khoản đã tính ở mục (22). |
|
(24) |
Phần góp vốn, mua cổ phần của một doanh nghiệp, một quỹ đầu tư sau khi đã trừ các khoản phải trừ quy định tại mục (22) và mục (23) vượt mức 10% vốn điều lệ và quỹ dự trữ bổ sung vốn điều lệ của ngân hàng |
Lấy phần chênh lệch dương giữa: (i) số dư khoản góp vốn đầu tư dài hạn vào từng doanh nghiệp, từng quỹ đầu tư trong khoản mục Góp vốn đầu tư dài hạn trên Bảng cân đối kế toán sau khi trừ đi các khoản mục (22) và mục (23); và 10% của vốn điều lệ và quỹ dự trữ bổ sung vốn điều lệ của ngân hàng. |
|
(25) |
Tổng các khoản góp vốn, mua cổ phần của các doanh nghiệp, quỹ đâu tư sau khi trừ đi các khoản từ mục (22) đến mục (24), vượt mức 40% vốn điều lệ và quỹ dự trữ bổ sung vốn điều lệ của ngân hàng |
Lấy phần chênh lệch dương giữa: (i) Tổng các khoản góp vốn, mua cổ phần của doanh nghiệp, quỹ đầu tư trong khoản mục Góp vốn, đầu tư dài hạn trên Bảng cân đối kế toán, sau khi trừ đi các khoản từ mục (22) đến mục (24); và (ii) 40% vốn điều lệ và quỹ dự trữ bổ sung vốn điều lệ của ngân hàng |
|
(C) |
VỐN TỰ CÓ (C) = (A) + (B) - (21) - (22) - (23) - (24) - (25) |
|
II. Vốn tự có hợp nhất
1. Nguyên tắc chung:
a. Vốn tự có hợp nhất được xác định theo các cấu phần quy định tại điểm 2 dưới đây, lấy từ Bảng cân đối kế toán hợp nhất, trong đó không hợp nhất công ty con là doanh nghiệp hoạt động theo Luật kinh doanh bảo hiểm.
b. Trường hợp Báo cáo tài chính hợp nhất nêu tại điểm a không có các khoản mục cụ thể để tính vốn cấp 1 hợp nhất và vốn cấp 2 hợp nhất, thì ngân hàng phải xây dựng số liệu thống kê từ các bảng cân đối kế toán riêng lẻ của các đối tượng hợp nhất để đảm bảo việc tính toán đầy đủ, chính xác các khoản mục vốn cấp 1 và vốn cấp 2.
2. Cấu phần và cách xác định vốn tự có hợp nhất:
|
Mục |
Cấu phần |
Cách xác định |
|
|
VỐN CÁP 1 HỢP NHẤT (A) = A1 - A2 |
|
|
|
Cấu phần vốn cấp 1 hợp nhất (A1) = Σ1 ÷ 8 |
|
|
(1) |
Vốn điều lệ (vốn đã được cấp, vốn đã góp) |
Lấy số liệu tại khoản mục vốn điều lệ trên Bảng cân đối kế toán hợp nhất. Đối với ngân hàng sử dụng ngoại tệ làm đơn vị tiền tệ trong kế toán thì vốn điều lệ được quy đổi ra đồng Việt Nam theo quy định của Ngân hàng Nhà nước hướng dẫn về Chế độ báo cáo tài chính đối với các tổ chức tín dụng. |
|
(2) |
Quỹ dự trữ bổ sung vốn điều lệ |
Lấy số liệu Quỹ dự trữ bổ sung vốn điều lệ trong khoản mục Quỹ của tổ chức tín dụng trên Bảng cân đối kế toán hợp nhất. |
|
(3) |
Quỹ đầu tư phát triển |
Lấy số liệu Quỹ đầu tư phát triển trong khoản mục Quỹ của tổ chức tín dụng trên Bảng cân đối kế toán hợp nhất. |
|
(4) |
Quỹ dự phòng tài chính |
Lấy số liệu Quỹ dự phòng tài chính trong khoản mục Quỹ của tổ chức tín dụng trên Bảng cân đối kế toán hợp nhất. |
|
(5) |
Vốn đầu tư xây dựng cơ bản, mua sắm tài sản cố định |
Lấy số liệu tại khoản mục vốn đầu tư xây dựng cơ bản, mua sắm tài sản cố định trên Bảng cân đối kế toán hợp nhất. |
|
(6) |
Lợi nhuận chưa phân phối |
Lấy số liệu Lợi nhuận chưa phân phối trên Bảng cân đối kế toán hợp nhất. |
|
(7) |
Thặng dư vốn cổ phần |
Lấy số liệu Thặng dư vốn cổ phần trên Bảng cân đối kế toán hợp nhất. |
|
(8) |
Chênh lệch tỷ giá hối đoái phát sinh khi hợp nhất báo cảo tài chính |
Lấy số liệu tại khoản mục Chênh lệch tỷ giá hối đoái trên Bảng cân đối kế toán hợp nhất. Đối với ngân hàng sử dụng ngoại tệ làm đơn vị tiền tệ trong kế toán, Chênh lệch tỷ giá hối đoái bao gồm cả số liệu chênh lệch tỷ giá hối đoái do đánh giá lại vốn chủ sở hữu có gốc ngoại tệ thuộc khoản mục vốn Chủ sở hữu được ghi nhận trên Bảng cân đối kế toán khi chuyển đổi Báo cáo tài chính được lập bằng ngoại tệ ra đồng Việt Nam. |
|
|
Các khoản phải trừ khỏi vốn cấp 1 hợp nhất (A2) = Σ9 ÷ 11 |
|
|
(9) |
Lợi thế thương mại |
Lấy số liệu chênh lệch lớn hơn giữa số tiền mua một tài sản tài chính và giá trị sổ sách kế toán của tài sản tài chính đó mà ngân hàng phải trả phát sinh từ giao dịch có tính chất mua lại do ngân hàng thực hiện. |
|
(10) |
Lỗ lũy kế |
Lấy số liệu Lỗ lũy kế tại thời điểm tính tỷ lệ an toàn vốn. |
|
(11) |
Cổ phiếu quỹ |
Lấy số liệu tại khoản mục cổ phiếu quỹ trên Bảng cân đối kế toán hợp nhất. |
|
|
VỐN CẤP 2 HỢP NHẤT (B) = B1 - B2 - (22) |
Giá trị vốn cấp 2 hợp nhất tối đa bằng vốn cấp 1 hợp nhất. |
|
|
Cấu phần của vốn cấp 2 hợp nhất (B1) = Σ12 ÷ 18 |
|
|
(12) |
Các quỹ khác được trích từ lợi nhuận sau thuế thu nhập doanh nghiệp theo quy định của pháp luật (không bao gồm quỹ khen thưởng, phúc lợi, quỹ thưởng ban điều hành) |
Lấy số liệu Quỹ khác trong khoản mục Quỹ của tổ chức tín dụng trên Bảng cân đối kế toán hợp nhất. |
|
(13) |
50% phần chênh lệch tăng do đánh giá lại tài sản cố định theo quy định của pháp luật |
50% tổng số dư có của tài khoản chênh lệch đánh giá lại tài sản cố định trên Bảng cân đối kế toán hợp nhất. |
|
(14) |
45% phần chênh lệch tăng do đánh giá lại các khoản góp vốn đầu tư dài hạn theo quy định của pháp luật |
45% tổng số dư có của tài khoản chênh lệch đánh giá lại tài sản đối với các khoản mục Góp vốn đầu tư dài hạn trên Bảng cân đối kế toán hợp nhất. |
|
(15) |
80% dự phòng chung theo quy định của Ngân hàng Nhà nước về phân loại tài sản có, mức trích, phương pháp trích dự phòng rủi ro và sử dụng dự phòng rủi ro đối với tổ chức tín dụng, chi nhánh ngân hàng nước ngoài |
Lấy 80% tổng các khoản mục Dự phòng chung trên Bảng cân đối kế toán hợp nhất. |
|
(16) |
Công cụ vốn chủ sở hữu có tính chất nợ do ngân hàng, công ty con của ngân hàng phát hành |
Lấy giá trị các công cụ vốn chủ sở hữu có tính chất nợ do ngân hàng phát hành đáp ứng đầy đủ các điều kiện quy định tại khoản 4 Điều 2 Thông tư này. |
|
(17) |
Nợ thứ cấp do ngân hàng, công ty con của ngân hàng phát hành, ký kết đáp ứng đầy đủ các điều kiện sau: (i) Có kỳ hạn ban đầu từ năm (05) năm trở lên; (ii) Không được đảm bảo bằng tài sản của chính ngân hàng, công ty con của ngân hàng; (iii) Ngân hàng, công ty con của ngân hàng được trả nợ trước thời gian đáo hạn với điều kiện sau khi thực hiện ngân hàng vẫn đảm bảo các tỷ lệ, giới hạn bảo đảm an toàn theo quy định của pháp luật và báo cáo Ngân hàng Nhà nước (Cơ quan Thanh tra, giám sát ngân hàng) để giám sát; (iv) Ngân hàng được ngừng trả lãi và chuyển lãi lũy kế sang năm tiếp theo nếu việc trả lãi dẫn đến kết quả kinh doanh trong năm bị lỗ; (v) Trong trường hợp thanh lý ngân hàng người sở hữu khoản nợ thứ cấp chỉ được thanh toán sau khi ngân hàng đã thanh toán cho tất cả các chủ nợ khác; (vi) Lãi suất cố định hoặc công thức tính lãi suất của trái phiếu và các công cụ nợ khác được xác định trước và ghi rõ trong hợp đồng, tài liệu phát hành. - Đối với lãi suất cố định, việc điều chỉnh tăng lãi suất chỉ được thực hiện sau 5 năm kể từ ngày phát hành, ký kết hợp đồng và chỉ được thay đổi 1 lần trong suốt thời hạn của nợ thứ cấp. - Đối với lãi suất tính theo công thức, công thức không được thay đổi và chỉ được thay đổi biên độ trong công thức (nếu có) 1 lần sau 5 năm kể từ ngày phát hành, ký kết hợp đồng. |
- Tại thời điểm xác định giá trị, nếu thời hạn của nợ thứ cấp trên 5 năm, toàn bộ giá trị trái phiếu chuyển đổi, công cụ nợ khác được tính vào vốn cấp 2. - Bắt đầu từ năm thứ năm trước khi đến hạn thanh toán, mỗi năm tại ngày đầu tiên của năm (tính theo ngày phát hành), giá trị nợ thứ cấp được tính vào vốn cấp 2 sẽ phải được khấu trừ 20% của tổng mệnh giá. |
|
(18) |
Lợi ích của cổ đông thiểu số |
|
|
|
Các khoản phải trừ khỏi vốn cấp 2 hợp nhất (B2) = (19) + (20) + (21) |
|
|
(19) |
Phần giá trị chênh lệch dương giữa khoản mục (15) và 1,25% của “Tổng tài sản tính theo rủi ro tín dụng” quy định tại Thông tư này. |
|
|
(20) |
Phần giá trị chênh lệch dương giữa khoản mục (17) và 50% của A |
|
|
(21) |
Mua, đầu tư nợ thứ cấp của tổ chức tín dụng, chi nhánh ngân hàng nước ngoài khác phát hành đáp ứng đầy đủ các điều kiện để tính vào vốn cấp 2 của tổ chức tín dụng, chi nhánh ngân hàng nước ngoài đó (không bao gồm nợ thứ cấp nhận làm tài sản bảo đảm, chiết khấu, tái chiết khấu của khách hàng). |
Bắt đầu từ năm thứ năm trước khi đến hạn thanh toán, mỗi năm tại ngày đầu tiên của năm (tính theo ngày phát hành), khoản mua, đầu tư nợ thứ cấp của tổ chức tín dụng, chi nhánh ngân hàng nước ngoài khác phát hành đáp ứng đầy đủ các điều kiện để tính vào vốn cấp 2 của tổ chức tín dụng, chi nhánh ngân hàng nước ngoài đó sẽ được khấu trừ 20% của tổng giá mua. |
|
|
Các khoản giảm trừ bổ sung |
|
|
(22) |
Phần giá trị chênh lệch dương giữa (B1-B2) và A |
|
|
|
Các khoản mục giảm trừ khi tính vốn tự có hợp nhất |
|
|
(23) |
Các khoản cấp tín dụng để góp vốn, mua cổ phần tại tổ chức tín dụng khác |
Lấy số dư các khoản cấp tín dụng để góp vốn, mua cổ phần tại tổ chức tín dụng khác |
|
(24) |
Các khoản góp vốn, mua cổ phần tại tổ chức tín dụng khác |
Lấy số liệu các khoản Góp vốn đầu tư dài hạn vào đối tượng là các tổ chức tín dụng khác thuộc khoản mục Góp vốn đầu tư dài hạn trên Bảng cân đối kế toán hợp nhất. |
|
(25) |
Các khoản góp vốn, mua cổ phần của công ty con không thuộc đối tượng hợp nhất và công ty con là doanh nghiệp hoạt động theo Luật kinh doanh bảo hiểm |
Lấy số liệu các khoản Góp vốn đầu tư dài hạn vào đối tượng là công ty con không thuộc đối tượng hợp nhất và các khoản góp vốn, mua cổ phần của công ty bảo hiểm, trừ đi các khoản đã tính ở mục (24) thuộc khoản mục Góp vốn đầu tư dài hạn trên Bảng cân đối kế toán hợp nhất. |
|
(26) |
Phần góp vốn, mua cổ phần của một doanh nghiệp, một quỹ đầu tư sau khi đã trừ các khoản phải trừ quy định tại mục (24) và mục (25) vượt mức 10% vốn điều lệ và quỹ dự trữ bổ sung vốn điều lệ của ngân hàng |
Lấy phần chênh lệch dương giữa: (i) số dư khoản góp vốn đầu tư dài hạn vào từng doanh nghiệp, từng quỹ đầu tư trong khoản mục Góp vốn đầu tư dài hạn trên Bảng cân đối kế toán hợp nhất sau khi trừ đi các khoản mục (24) và mục (25); và 10% của vốn điều lệ và quỹ dự trữ bổ sung vốn điều lệ của ngân hàng. |
|
(27) |
Tổng các khoản góp vốn, mua cổ phần của các doanh nghiệp, quỹ đầu tư sau khi trừ đi các khoản từ mục (24) đén mục (26), vượt mức 40% vốn điều lệ và quỹ dự trữ bổ sung vốn điều lệ của ngân hàng |
Lấy phần chênh lệch dương giữa: (i) Tổng các khoản góp vốn, mua cổ phần của doanh nghiệp, quỹ đầu tư trong khoản mục Góp vốn, đầu tư dài hạn trên Bảng cân đối kế toán hợp nhất, sau khi trừ đi các khoản từ mục (24) đến mục (26); và (ii) 40% vốn điều lệ và quỹ dự trữ bổ sung vốn điều lệ của ngân hàng |
|
(C) |
VỐN TỰ CÓ HỢP NHẤT (C) = (A) + (B) - (23) - (24) - (25) - (26) - (27) |
|
B. Cấu phần và cách xác định để tính vốn tự có của chi nhánh ngân hàng nước ngoài:
Chi nhánh ngân hàng nước ngoài căn cứ vào các cấu phần quy định dưới đây, quy định của pháp luật về chế độ tài chính đối với tổ chức tín dụng, chi nhánh ngân hàng nước ngoài và khoản mục tài sản của mình để xác định vốn tự có cho phù hợp.
|
Mục |
Cấu phần |
Cách xác định |
|
|
Vốn cấp 1 (A) = (A1) - (A2) |
|
|
|
Cấu phần Vốn cấp 1 (A1) = Σ1 ÷ 5b |
|
|
(1) |
Vốn đã được cấp |
Lấy số liệu tại khoản mục Vốn điều lệ trên Bảng cân đối kế toán. Đối với ngân hàng sử dụng ngoại tệ làm đơn vị tiền tệ trong kế toán thì vốn điều lệ được quy đổi ra đồng Việt Nam theo quy định của Ngân hàng Nhà nước hướng dẫn và Chế độ báo cáo tài chính đối với các tổ chức tín dụng. |
|
(2) |
Quỹ dự trữ bổ sung vốn điều lệ |
Lấy số liệu Quỹ dự trữ bổ sung vốn điều lệ trong khoản mục Quỹ của tổ chức tín dụng trên Bảng cân đối kế toán. |
|
(3) |
Quỹ đầu tư phát triển |
Lấy số liệu Quỹ đầu tư phát triển trong khoản mục Quỹ của tổ chức tín dụng trên Bảng cân đối kế toán. |
|
(4) |
Vốn đầu tư xây dựng cơ bản, mua sắm tài sản cố định |
Lấy số liệu tại khoản mục Vốn đầu tư xây dựng cơ bản, mua sắm tài sản cố định trên Bảng cân đối kế toán. |
|
(5) |
Lợi nhuận chưa phân phối |
Lấy số liệu Lợi nhuận chưa phân phối trên Bảng cân đối kế toán. |
|
(5a) |
Chênh lệch tỷ giá hối đoái |
Lấy số liệu Chênh lệch tỷ giá hối đoái do đánh giá lại vốn chủ sở hữu có gốc ngoại tệ thuộc khoản mục vốn Chủ sở hữu được ghi nhận trên Bảng cân đối kế toán khi chuyển đổi Báo cáo tài chính được lập bằng ngoại tệ ra đồng Việt Nam. |
|
(5b) |
Quỹ dự phòng tài chính |
Lấy số liệu Quỹ dự phòng tài chính trong khoản mục Quỹ của tổ chức tín dụng trên Bảng cân đối kế toán. |
|
|
Các khoản phải giảm trừ khỏi Vốn cấp 1 (A2) = (6) + (7) |
|
|
(6) |
Lỗ lũy kế |
Lấy số liệu Lỗ lũy kế tại thời điểm tính tỷ lệ an toàn vốn. |
|
(7) |
Các khoản cấp tín dụng để góp vốn, mua cổ phần tại tổ chức tín dụng khác |
Lấy số dư các khoản cho vay để góp vốn, mua cổ phần tại tổ chức tín dụng khác. |
|
|
VỐN CẤP 2 (B) = B1 - B2 - (13) |
Giá trị vốn cấp 2 tối đa bằng vốn cấp 1. |
|
|
Cấu phần vốn cấp 2 (B1) = Σ8 ÷ 9 |
|
|
(8) |
80% dự phòng chung theo quy định của Ngần hàng Nhà nước về phân loại tài sản có, mức trích, phương pháp trích dự phòng rủi ro và sử dụng dự phòng rủi ro đối với tổ chức tín dụng, chi nhánh ngân hàng nước ngoài |
Lấy 80% tổng các khoản mục Dự phòng chung trên Bảng cân đối kế toán. |
|
(9) |
Khoản vay, nợ thứ cấp do chi nhánh ngân hàng nước ngoài ký kết hợp đồng, phát hành thỏa mãn các điều kiện sau đây: (i) Có kỳ hạn vay tối thiểu là 5 năm; (ii) Không được đảm bảo bằng tài sản của chính chi nhánh ngân hàng nước ngoài; (iii) Chi nhánh ngân hàng nước ngoài chỉ được trả nợ trước thời gian đáo hạn với điều kiện sau khi thực hiện vẫn đảm bảo các tỷ lệ, giới hạn bảo đảm an toàn theo quy định và báo cáo Ngân hàng Nhà nước (Cơ quan Thanh tra, giám sát ngân hàng) để giám sát; (iv) Chi nhánh ngân hàng nước ngoài được ngừng trả lãi và chuyển lãi luỹ kế sang năm tiếp theo nếu việc trả lãi dẫn đến kết quả kinh doanh trong năm bị lỗ; (v) Trong trường hợp chi nhánh ngân hàng nước ngoài chấm dứt hoạt động, bên cho vay chỉ được thanh toán sau khi chi nhánh ngân hàng nước ngoài đã thanh toán cho tất cả các chủ nợ khác; (vi) Lãi suất cố định hoặc công thức tính lãi suất của khoản vay, nợ thứ cấp được xác định trước và ghi rõ trong hợp đồng, tài liệu phát hành. - Đối với lãi suất cố định, việc điều chỉnh tăng lãi suất chỉ được thực hiện sau 5 năm kể từ ngày phát hành, ký kết hợp đồng và chỉ được thay đổi 1 lần trong suốt thời hạn của khoản vay, nợ thứ cấp. - Đối với lãi suất tính theo công thức, công thức không được thay đổi và chỉ được thay đổi biên độ trong công thức (nếu có) 1 lần sau 5 năm kể từ ngày phát hành, ký kết hợp đồng. |
- Tại thời điểm xác định giá trị, nếu thời hạn của khoản vay, nợ thứ cấp trên 5 năm, toàn bộ giá trị khoản vay, nợ thứ cấp được tính vào vốn cấp 2. - Bắt đầu từ năm thứ năm trước khi đến hạn thanh toán, mỗi năm tại ngày đầu tiên của năm (tính theo ngày phát hành), giá trị khoản vay, nợ thứ cấp được tính vào vốn cấp 2 sẽ phải được khấu trừ 20% của tổng giá trị khoản vay, nợ thứ cấp. |
|
|
Các khoản phải trừ khỏi vốn cấp 2 (B2) = (10) + (11) + (12) |
|
|
(10) |
Phần giá trị chênh lệch dương giữa khoản mục (8) và 1,25% của “Tổng tài sản có rủi ro” quy định tại Thông tư. |
|
|
(11) |
Phần giá trị chênh lệch dương giữa các khoản tại mục (9) và 50% của A. |
|
|
(12) |
Mua, đầu tư nợ thứ cấp của tổ chức tín dụng, chi nhánh ngân hàng nước ngoài khác phát hành đáp ứng đầy đủ các điều kiện để tính vào vốn cấp 2 của tổ chức tín dụng, chi nhánh ngân hàng nước ngoài đó (không bao gồm nợ thứ cấp nhận làm tài sản bảo đảm, chiết khấu, tái chiết khấu của khách hàng). |
Bắt đầu từ năm thứ năm trước khi đến hạn thanh toán, mỗi năm tại ngày đầu tiên của năm (tính theo ngày phát hành), khoản mua, đầu tư nợ thứ cấp của tổ chức tín dụng, chi nhánh ngân hàng nước ngoài khác phát hành đáp ứng đầy đủ các điều kiện để tính vào vốn cấp 2 của tổ chức tín dụng, chi nhánh ngân hàng nước ngoài đó sẽ được khấu trừ 20% của tổng giá mua. |
|
|
Các khoản giảm trừ bổ sung |
|
|
(13) |
Phần giá trị chênh lệch dương giữa (B1 - B2) và A |
|
|
(C) |
VỐN TỰ CÓ (C) = (A) + (B) |
|
PHỤ LỤC 2
TÀI SẢN TÍNH THEO RỦI RO TÍN DỤNG ĐỐI TÁC
(Ban hành kèm theo Thông tư số 22/2023/TT-NHNN ngày 29 tháng 12 năm 2023
của Thống đốc Ngân hàng Nhà nước Việt Nam sửa đổi, bổ sung một số điều của
Thông tư số 41/2016/TT-NHNN)
1. Đối với các giao dịch với Trung tâm thanh toán tập trung (Central clearing house), Trung tâm lưu ký chứng khoán và các giao dịch ngân hàng, chi nhánh ngân hàng nước ngoài bán quyền chọn (short options), rủi ro tín dụng đối tác được xác định bằng 0.
2. Đối với các giao dịch có tiền ký quỹ, tài sản bảo đảm đáp ứng điều kiện quy định tại Điều 12 Thông tư này, giá trị giao dịch được giảm trừ số tiền ký quỹ và giảm thiểu rủi ro theo tài sản bảo đảm quy định tại Điều 12 Thông tư này.
3. Giá trị giao dịch, giá trị tài sản cơ sở phải được lấy theo giá trị thị trường (mark to market). Trường hợp không có giá trị thị trường, ngân hàng, chi nhánh ngân hàng nước ngoài phải tính toán giá trị theo các dữ liệu thị trường (mark to model) và phải chịu trách nhiệm về tính chính xác, hợp lý của phương pháp tính toán, đồng thời báo cáo Ngân hàng Nhà nước (Cơ quan Thanh tra, giám sát ngân hàng) trước khi thực hiện, Ngân hàng Nhà nước (Cơ quan Thanh tra, giám sát ngân hàng) sẽ yêu cầu ngân hàng, chi nhánh ngân hàng nước ngoài sửa đổi phương pháp tính toán trong trường hợp cần thiết.
4. Đối với giao dịch sản phẩm phái sinh: Tài sản tính theo rủi ro tín dụng đối tác của giao dịch thứ j (RWAccrj) được tính theo công thức:
RWAccrj = [(RCj + PFEj) - Cj ]x CRW
Trong đó:
a) RCj : Chi phí thay thế của giao dịch thứ j được xác định theo giá trị thị trường của giao dịch thay thế tương ứng với giá trị tài sản cơ sở, giá trị giao dịch gốc (chỉ lấy giá trị dương);
b) PFEj : Giá trị tương lai trạng thái rủi ro của giao dịch thứ j được xác định trên cơ sở tổng giá trị vốn danh nghĩa xác định theo quy định pháp luật về hạch toán kế toán nhân với chỉ số tăng thêm (add-on factor) theo từng thời hạn còn lại như sau:
|
|
Lãi suất |
Ngoại hối (gồm Vàng tiêu chuẩn) |
Cổ phiếu, chứng chỉ quỹ, chứng quyền |
Kim loại quý (trừ vàng) |
Các hàng hóa khác |
|
Từ 1 năm trở xuống |
0,0% |
1,0% |
6,0% |
7,0% |
10,0% |
|
Trên 1 năm đến 5 năm |
0,5% |
5,0% |
8,0% |
7,0% |
12,0% |
|
Trên 5 năm |
1,5% |
7,5% |
10,0% |
8,0% |
15,0% |
Trong đó:
(i) Đối với các hợp đồng giao dịch vốn gốc nhiều lần, chỉ số tăng thêm phải tính theo từng lần thanh toán còn lại của hợp đồng;
(ii) Trường hợp giá trị vốn danh nghĩa khác nhau theo thỏa thuận của giao dịch, chỉ số tăng thêm phải tính theo từng giá trị vốn danh nghĩa thỏa thuận theo giao dịch;
(iii) Đối với hợp đồng có ngày thanh toán hợp đồng cụ thể và ngày cụ thể định lại giá trị thị trường của hợp đồng bằng 0 thì thời hạn còn lại được xác định bằng thời gian cho đến kỳ định lại giá trị tiếp theo. Trường hợp hợp đồng lãi suất có thời hạn còn lại trên một năm mà đáp ứng các điều kiện trên, chỉ số tăng thêm là 0,5%;
(iv) “Các hàng hóa khác” bao gồm cả các hợp đồng kỳ hạn, hợp đồng hoán đổi, hợp đồng quyền chọn mua và các hợp đồng phái sinh tương tự mà không thuộc các cột còn lại;
(v) Đối với sản phẩm hoán đổi lãi suất thả nổi/thả nổi một đồng tiền, tài sản tính theo rủi ro tín dụng đối tác (RWAccr) tính theo giá trị thị trường của giao dịch, không phải tính giá trị tương lai trạng thái rủi ro của giao dịch (PFEj).
(vi) Đối với giao dịch sản phẩm phái sinh tín dụng, chỉ số tăng thêm được xác định như sau:
|
Giao dịch sản phẩm phái sinh tín dụng |
Chỉ số tăng thêm |
|
1. Hợp đồng hoán đổi lợi nhuận tổng: - Nghĩa vụ tham chiếu đủ tiêu chuẩn là các nghĩa vụ của các tổ chức tài chính công lập của chính phủ, ngân hàng phát triển hoặc các hợp đồng hoán đổi khác có xếp hạng tín nhiệm từ Baa trở lên của Moody hoặc BBB trở lên của Standard & Poor’s, Fitch Rating; |
5% |
|
- Nghĩa vụ tham chiếu không đủ tiêu chuẩn là các nghĩa vụ không đáp ứng các điều kiện nêu trên. |
10% |
|
2. Hợp đồng hoán đổi vỡ nợ tín dụng: - Nghĩa vụ tham chiếu đủ tiêu chuẩn; |
5% |
|
- Nghĩa vụ tham chiếu không đủ tiêu chuẩn. |
10% |
c) Cj : Giá trị tài sản đảm bảo. Cj được hiệu chỉnh theo hệ số hiệu chỉnh quy định tại Điều 12 Thông tư này. Cj = 0 nếu không đáp ứng đủ các điều kiện quy định tại Điều 12 Thông tư này;
d) CRW: Hệ số rủi ro tín dụng của đối tác theo quy định tại Điều 9 Thông tư này.
5. Đối với các giao dịch Repo và Reverse Repo (trừ giao dịch mua có kỳ hạn công cụ chuyển nhượng, giấy tờ có giá khác quy định tại Mục 6 Phụ lục này), tài sản tính theo rủi ro tín dụng đối tác (RWAccrj) được tính theo công thức sau:
RWAccrj = {Max[(0, Ej - Cj x (1-Hc-Hfx))]}x CRW
Trong đó:
- Hc: Hệ số hiệu chỉnh tương ứng của tài sản cơ sở được quy định tại Điều 12 Thông tư này. Cj bằng 0 nếu không đáp ứng đủ các điều kiện quy định tại Điều 12 Thông tư này;
- HfX: Hệ số hiệu chỉnh độ lệch tiền tệ giữa giao dịch và tài sản bảo đảm, tài sản cơ sở và bằng 8%;
- CRW: Hệ số rủi ro tín dụng của đối tác theo quy định tại Điều 9 Thông tư này.
a) Đối với ngân hàng, chi nhánh ngân hàng nước ngoài mua có kỳ hạn:
(i) Ej : Giá trị mua lại theo thỏa thuận của giao dịch thứ j theo quy định pháp luật;
(ii) Cj : Giá trị của tài sản cơ sở thứ j.
b) Đối với ngân hàng, chi nhánh ngân hàng nước ngoài bán có kỳ hạn:
(i) Ej : Giá trị của tài sản cơ sở thứ j;
(ii) Cj: Giá trị mua lại theo thỏa thuận của giao dịch thứ j theo quy định pháp luật.
6. Đối với giao dịch mua có kỳ hạn tài sản tài chính theo quy định của Ngân hàng Nhà nước về hoạt động chiết khấu công cụ chuyển nhượng, giấy tờ có giá khác, rủi ro tín dụng đối tác được tính như sau:
RWAccr = Ej x CRW
Trong đó:
- Ej: Giá trị thanh toán khi đến hạn thanh toán, lãi chiết khấu và các chi phí hợp lý khác liên quan đến hợp đồng chiết khấu theo thỏa thuận giữa ngân hàng, chi nhánh ngân hàng nước ngoài và khách hàng (nếu có) của giao dịch thứ j theo quy định của pháp luật;
- CRW: Hệ số rủi ro tín dụng của đối tác theo quy định tại Điều 9 Thông tư này.
7. Đối với giao dịch có thỏa thuận thanh toán đồng thời mà đối tác không thực hiện thanh toán đúng thời gian đã cam kết, ngân hàng, chi nhánh ngân hàng nước ngoài phải có quy trình theo dõi, giám sát chặt chẽ và phải tính tài sản tính theo rủi ro tín dụng đối tác (RWAccr) khi giao dịch không được thanh toán sau 5 ngày kể từ ngày thanh toán đã cam kết theo công thức:
RWAccr = 12,5 x GD x r
Trong đó:
- GD: Số dư giao dịch chưa thanh toán đúng thời hạn cam kết;
- r: Hệ số rủi ro áp dụng theo số ngày chậm trả, được xác định như sau:
|
Số ngày chậm thanh toán |
Hệ số rủi ro |
|
Từ 5 đến 15 ngày |
8% |
|
Từ 16 đến 30 ngày |
50% |
|
Từ 31 đến 45 ngày |
75% |
|
Từ 46 ngày trở lên |
100% |
8. Đối với giao dịch không thỏa thuận thanh toán đồng thời, ngân hàng, chi nhánh ngân hàng nước ngoài đã thực hiện thanh toán theo cam kết, trong thời gian 5 ngày làm việc kể từ ngày thỏa thuận thanh toán mà đối tác chưa thực hiện nghĩa vụ, ngân hàng, chi nhánh ngân hàng nước ngoài tính tài sản tính theo rủi ro tín dụng đối tác (RWAccr) theo công thức sau:
RWAccr = Ej x CRW
Trong đó:
- Ej : Giá trị của giao dịch thứ j;
- CRW : Hệ số rủi ro tín dụng của đối tác theo quy định tại Điều 9 Thông tư này.
Sau 5 ngày làm việc kể từ ngày thỏa thuận thanh toán mà đối tác chưa thực hiện nghĩa vụ, ngân hàng, chi nhánh ngân hàng nước ngoài phải trừ giá trị giao dịch và chi phí thay thế của giao dịch, nếu có vào vốn tự có cho tới khi đối tác thực hiện nghĩa vụ.
9. Việc bù trừ hai bên là việc ngân hàng, chi nhánh ngân hàng nước ngoài thay thế một nghĩa vụ thanh toán với đối tác cho một đồng tiền nhất định vào thời điểm nhất định đối với các nghĩa vụ cùng đồng tiền và cùng thời điểm. Việc bù trừ hai bên chỉ được thực hiện khi đáp ứng các điều kiện sau đây:
a) Có thỏa thuận, hợp đồng bù trừ hai bên tạo ra một nghĩa vụ hợp pháp cho các giao dịch mà ngân hàng, chi nhánh ngân hàng nước ngoài được nhận hoặc phải thực hiện thanh toán theo số dư bù trừ của các giá trị thị trường của các giao dịch riêng lẻ khi đối tác không thực hiện nghĩa vụ theo hợp đồng do không có khả năng thanh toán, bị phá sản, bị thanh lý hoặc các trường hợp tương tự khác; không có điều khoản cho phép đối tác chỉ thực hiện việc thanh toán hạn chế hoặc không thanh toán đầy đủ từ tài sản của bên không thanh toán kể cả bên thanh toán là người được nhận thanh toán bù trừ;
b) Pháp luật của các nước có liên quan cho phép việc bù trừ hai bên;
c) Có quy trình đảm bảo các yêu cầu pháp lý của thỏa thuận, hợp đồng bù trừ hai bên được rà soát phù hợp theo những thay đổi của pháp luật liên quan.
10. Tài sản tính theo rủi ro tín dụng đối tác (RWAccr) khi bù trừ hai bên được xác định là tổng giá trị của các chi phí thay thế bù trừ, (nếu dương) và chỉ số tăng thêm theo giá trị vốn gốc danh nghĩa. Chỉ số tăng thêm của giao dịch bù trừ (ANet) được xác định theo công thức:
ANet = AGross (0,4 + 0,6 NGR)
Trong đó:
- AGross : Chỉ số tăng thêm tổng hợp được xác định bằng tổng giá trị tương lai trạng thái rủi ro của giao dịch của các giao dịch thành phần tính theo công thức quy định tại Mục 4 Phụ lục này;
- NGR: tỷ lệ chi phí thay thế bù trừ trên tỷ lệ thay thế tổng hợp của các giao dịch trong thỏa thuận/hợp đồng bù trừ hai bên.
Ví dụ minh họa đối với giao dịch mua, bán có kỳ hạn:
Ngân hàng A và Ngân hàng B ký kết hợp đồng mua bán có kỳ hạn 100 tỷ trái phiếu 10 năm của Ngân hàng C (không có xếp hạng tín nhiệm) trong thời hạn 3 tháng với giá trị mua lại là 98 tỷ đồng. Giá trị thị trường của số trái phiếu này tại thời điểm tính là 99 tỷ đồng. Hệ số rủi ro áp dụng cho Ngân hàng A, Ngân hàng B đối với các khoản phải đòi có thời hạn gốc nhỏ hơn 3 tháng lần lượt là: 50%; 70%.
- Ngân hàng A (bên bán) phải xác định tài sản tính theo rủi ro tín dụng đối tác cho giao dịch này như sau:
RWAccr = [Max(0, (99 – 98 x (1-0,12)]x 70% = 8,932 tỷ đồng.
- Ngân hàng B (bên mua) phải xác định tài sản tính theo rủi ro tín dụng đối tác cho giao dịch này như sau:
RWAccr = [Max(0, (98 – 99 x (1-0,12)]x 50% = 5,44 tỷ đồng.
PHỤ LỤC 3
XÁC ĐỊNH GIÁ TRỊ CỦA CHỈ SỐ KINH DOANH
(Ban hành kèm theo Thông tư số 22/2023/TT-NHNN ngày 29 tháng 12 năm 2023
của Thống đốc Ngân hàng Nhà nước Việt Nam sửa đổi, bổ sung một số điều của
Thông tư số 41/2016/TT-NHNN)
1. Ngân hàng, chi nhánh ngân hàng xác định giá trị của Chỉ số kinh doanh như sau:
|
Cấu phần |
Công thức tính |
Khoản mục trên Báo cáo kết quả hoạt động kinh doanh |
|
IC |
|Thu nhập lãi và các khoản thu nhập tương tự - Chi phí lãi và các chi phí tương tự| |
Thu nhập lãi và các khoản thu nhập tương tự |
|
Chi phí lãi và các chi phí tương tự |
||
|
SC |
Thu nhập từ hoạt động dịch vụ + Chi phí hoạt động dịch vụ + Thu nhập từ hoạt động khác + Chi phí từ hoạt động khác |
Thu nhập từ hoạt động dịch vụ |
|
Chi phí hoạt động dịch vụ |
||
|
Thu nhập từ hoạt động khác |
||
|
Chi phí hoạt động khác |
||
|
FC |
|Lãi/lỗ thuần từ hoạt động kinh doanh ngoại hối (bao gồm cả vàng tiêu chuẩn)| + |Lãi/lỗ thuần từ mua bán chứng khoán kinh doanh| + |Lãi/lỗ thuần từ mua bán, chứng khoán đầu tư| |
|Lãi/lỗ thuần từ hoạt động kinh doanh ngoại hối (bao gồm cả vàng tiêu chuẩn)| |
|
|Lãi/lỗ thuần từ mua bán chứng khoán kinh doanh| |
||
|
|Lãi/lỗ thuần từ mua bán, chứng khoán đầu tư| |
2. Các khoản mục sau đây không được tính vào bất cứ cấu phần nào của Chỉ số kinh doanh:
a) Thu nhập và chi phí bảo hiểm và tái bảo hiểm tài sản của ngân hàng, chi nhánh ngân hàng nước ngoài (một phần của Tài khoản 79 và Tài khoản 875);
b) Lãi/lỗ thuần do ngừng ghi nhận tài sản tài chính không được đánh giá theo giá trị hợp lý thông qua Báo cáo kết quả hoạt động kinh doanh (Tài khoản 742, Tài khoản 843);
c) Lãi/lỗ thuần do ngừng ghi nhận tài sản phi tài chính, nợ phải trả không được đánh giá theo giá trị hợp lý thông qua Báo cáo kết quả hoạt động kinh doanh (một phần của Tài khoản 79, Tài khoản 899);
d) Giá trị âm của lợi thế thương mại đã được ghi nhận vào Báo cáo kết quả hoạt động kinh doanh (một phần Tài khoản 79 đối với lợi thế thương mại được chuyển nhượng khi thực hiện mua tài sản mà chỉ tính một phần hoặc không tính đến lợi thế thương mại đi kèm).
Ví dụ minh họa :
|
Cấu phần |
Khoản mục trên Báo cáo KQHĐKD |
|
IC =|8.000 tỷ đồng - 3.500 tỷ đồng|= 4.500 tỷ đồng |
Thu nhập lãi và các khoản: 8.000 tỷ đồng |
|
Chi phí lãi và các chi phí tương tự: 3.500 tỷ đồng |
|
|
SC = 700 tỷ đồng + 400 tỷ đồng + 200 tỷ đồng +110 tỷ đồng = 1.410 tỷ đồng |
Thu nhập từ hoạt động dịch vụ: 700 tỷ đồng |
|
Chi phí hoạt động dịch vụ: 400 tỷ đồng |
|
|
Thu nhập từ hoạt động khác: 200 tỷ đồng |
|
|
Chi phí hoạt động khác: 110 tỷ đồng |
|
|
FC = 450 tỷ đồng + |(100) tỷ đồng| + 50 tỷ đồng = 600 tỷ đồng |
Lãi/lỗ thuần từ hoạt động kinh doanh ngoại hối: 450 tỷ đồng |
|
Lãi/lỗ thuần từ mua bán chứng khoán kinh doanh: (100) tỷ đồng |
|
|
Lãi/lỗ thuần từ mua bán, chứng khoán đầu tư: 50 tỷ đồng |
Ví dụ về xác định vốn yêu cầu cho rủi ro hoạt động tại thời điểm 31/10/2018:
BInăm thứ n = BIQuý III/2018 + BIQuý II/2018 + BIQuý I/2018 + BIQuý IV/2017
BInăm thứ n-1 = BIQuý III/2017 + BIQuý II/2017 + BIQuý I/2017 + BIQuý IV/2016
BInăm thứ n-2 = BIQuý III/2016 + BIQuý II/2016 + BIQuý I/2016 + BIQuý IV/2015
PHỤ LỤC 4
VỐN YÊU CẦU CHO RỦI RO THỊ TRƯỜNG
(Ban hành kèm theo Thông tư số 22/2023/TT-NHNN ngày 29 tháng 12 năm 2023
của Thống đốc Ngân hàng Nhà nước Việt Nam sửa đổi, bổ sung một số điều của
Thông tư số 41/2016/TT-NHNN)
A. Nguyên tắc tính vốn cho rủi ro thị trường
Giá trị giao dịch, giá trị tài sản cơ sở phải được lấy theo giá trị thị trường (mark to market). Trường hợp không có giá trị thị trường, ngân hàng, chi nhánh ngân hàng nước ngoài phải tính toán giá trị theo các dữ liệu thị trường (mark to model) và phải chịu trách nhiệm về tính chính xác và hợp lý của phương pháp tính toán, đồng thời báo cáo Ngân hàng Nhà nước (Cơ quan Thanh tra, giám sát ngân hàng) trước khi thực hiện. Ngân hàng Nhà nước (Cơ quan Thanh tra, giám sát ngân hàng) sẽ yêu cầu ngân hàng, chi nhánh ngân hàng nước ngoài sửa đổi phương pháp tính toán trong trường hợp cần thiết.
B. Cách tính vốn cho rủi ro thị trường
I. Vốn yêu cầu cho rủi ro lãi suất
1. Phạm vi tính vốn yêu cầu cho rủi ro lãi suất:
Ngân hàng, chi nhánh ngân hàng nước ngoài phải tính vốn yêu cầu cho rủi ro lãi suất đối với tất cả các công cụ tài chính trên sổ kinh doanh (bao gồm cả trạng thái dương hoặc âm) mà giá trị thị trường của các công cụ tài chính này sẽ bị ảnh hưởng khi có thay đổi về lãi suất trừ:
a) Trái phiếu chuyển đổi đã được tính vốn yêu cầu cho rủi ro giá cổ phiếu quy định tại Mục II Phần B Phụ lục này;
b) Công cụ vốn chủ sở hữu, công cụ vốn chủ sở hữu có tính chất nợ của đơn vị khác đã trừ khỏi vốn của ngân hàng, chi nhánh ngân hàng nước ngoài khi tính Vốn tự có quy định tại Phụ lục 1 Thông tư này;
c) Tài sản cơ sở của hợp đồng quyền chọn đã tính vốn yêu cầu cho giao dịch quyền chọn;
d) Các công cụ tài chính mua theo hợp đồng mua có kỳ hạn giấy tờ có giá giữa các tổ chức tín dụng, chi nhánh ngân hàng nước ngoài.
2. Nguyên tắc tính vốn yêu cầu cho rủi ro lãi suất:
a) Ngân hàng, chi nhánh ngân hàng nước ngoài tính vốn yêu cầu cho rủi ro lãi suất cụ thể của từng công cụ tài chính có trạng thái dương hoặc âm và rủi ro lãi suất chung cho toàn bộ danh mục đảm bảo:
(i) Vốn yêu cầu cho rủi ro lãi suất cụ thể phát sinh từ các yếu tố liên quan đến đơn vị phát hành công cụ tài chính;
(ii) Vốn yêu cầu cho rủi ro lãi suất chung phát sinh từ thay đổi lãi suất trên thị trường.
b) Sản phẩm phái sinh lãi suất phải quy đổi thành trạng thái danh nghĩa tương ứng của các tài sản cơ sở và dùng giá trị thị trường của tài sản cơ sở để tính vốn yêu cầu cho rủi ro lãi suất như sau:
(i) Tính vốn yêu cầu cho rủi ro lãi suất chung theo quy định tại điểm 4 Mục này;
(ii) Tính vốn yêu cầu cho rủi ro lãi suất cụ thể theo quy định tại điểm 3 Mục này. Các hợp đồng hoán đổi tiền tệ và lãi suất; hợp đồng kỳ hạn lãi suất hoặc ngoại tệ; hợp đồng tương lai lãi suất; hợp đồng tương lai dựa trên chỉ số lãi suất; hợp đồng tương lai ngoại tệ và các công cụ tài chính khác không phải tính rủi ro lãi suất cụ thể.
c) Giao dịch mua (bán) hợp đồng kỳ hạn, hợp đồng tương lai mà tài sản cơ sở là các chứng khoán nợ phải chuyển đổi thành 02 trạng thái tương ứng của các chứng khoán nợ như sau:
(i) Trạng thái dương (âm) của chứng khoán nợ;
(ii) Trạng thái âm (dương) của chứng khoán nợ có lãi suất bằng 0 (zero coupon) và rủi ro lãi suất cụ thể bằng 0 (ví dụ tương đương trái phiếu Chính phủ có lãi suất bằng 0) có thời hạn bằng thời gian đến hạn của hợp đồng kỳ hạn, hợp đồng tương lai.
d) Hợp đồng kỳ hạn, hợp đồng tương lai mà tài sản cơ sở là danh mục chứng khoán nợ hoặc chỉ số chứng khoán nợ phải chuyển đổi thành các hợp đồng kỳ hạn, hợp đồng tương lai của từng chứng khoán nợ như sau:
(i) Hợp đồng kỳ hạn, hợp đồng tương lai mà tài sản cơ sở là danh mục chứng khoán nợ hoặc chỉ số chứng khoán nợ là tổng của các hợp đồng kỳ hạn, hợp đồng tương lai của từng loại chứng khoán trong danh mục/chỉ số có giá trị bằng tỷ lệ tương ứng giữa giá trị của mỗi chứng khoán nợ với giá trị của tổng danh mục/chỉ số;
(ii) Các hợp đồng kỳ hạn, hợp đồng tương lai của từng chứng khoán nợ được tính trạng thái theo quy định tại điểm 4b Mục này.
đ) Đối với hợp đồng lãi suất kỳ hạn, ngân hàng, chi nhánh ngân hàng nước ngoài bán (mua) hợp đồng lãi suất kỳ hạn phải chuyển đổi thành 02 trạng thái tương ứng như sau:
(i) Trạng thái âm (dương) của giá trị danh nghĩa chứng khoán nợ có lãi suất bằng 0 (zero coupon) và rủi ro lãi suất cụ thể bằng 0 (ví dụ tương đương trái phiếu Chính phủ có lãi suất bằng 0) có thời hạn bằng tổng của thời gian đến hạn của hợp đồng kỳ hạn và thời hạn của tài sản cơ sở;
(ii) Trạng thái dương (âm) của giá trị danh nghĩa chứng khoán nợ có lãi suất bằng 0 (zero coupon) và rủi ro lãi suất cụ thể bằng 0 có thời hạn bằng thời gian đến hạn của hợp đồng kỳ hạn.
e) Đối với giao dịch hoán đổi ngoại tệ, hợp đồng hoán đổi lãi suất, ngân hàng, chi nhánh ngân hàng nước ngoài tính theo hai trạng thái danh nghĩa 1 và 2 như sau:
|
|
Trạng thái danh nghĩa 1 |
Trạng thái danh nghĩa 2 |
|
Ngân hàng, chi nhánh ngân hàng nước ngoài nhận lãi suất cố định và trả lãi suất thả nổi |
Trạng thái âm của chứng khoán nợ có rủi ro lãi suất cụ thể bằng 0, có lãi suất là lãi suất thả nổi, có thời hạn là thời hạn định lại lãi suất |
Trạng thái dương của chứng khoán nợ có rủi ro lãi suất cụ thể bằng 0, có lãi suất, thời hạn tương ứng là lãi suất cố định, thời hạn của hợp đồng hoán đổi |
|
Ngân hàng, chi nhánh ngân hàng nước ngoài nhận lãi suất thả nổi và trả lãi suất cố định |
Trạng thái âm của chứng khoán nợ có rủi ro lãi suất cụ thể bằng 0, có lãi suất, thời hạn tương ứng là lãi suất cố định, thời hạn của hợp đồng hoán đổi |
Trạng thái dương của chứng khoán nợ có rủi ro lãi suất cụ thể bằng 0, có lãi suất là lãi suất thả nổi, có thời hạn là thời hạn định lại lãi suất |
|
Ngân hàng, chi nhánh ngân hàng nước ngoài nhận và trả lãi suất thả nổi |
Trạng thái âm của chứng khoán nợ có rủi ro lãi suất cụ thể bằng 0, có lãi suất là lãi suất thả nổi, có thời hạn là thời hạn định lại lãi suất |
Trạng thái dương của chứng khoán nợ có rủi ro lãi suất cụ thể bằng 0, có lãi suất là lãi suất thả nổi, có thời hạn là thời hạn định lại lãi suất |
|
Ngân hàng, chi nhánh ngân hàng nước ngoài nhận và trả lãi suất cố định |
Trạng thái âm của chứng khoán nợ có rủi ro lãi suất cụ thể bằng 0, có lãi suất là lãi suất cố định, có thời hạn là thời hạn của hợp đồng hoán đổi |
Trạng thái dương của chứng khoán nợ có rủi ro lãi suất cụ thể bằng 0, có lãi suất là lãi suất cố định, có thời hạn là thời hạn của hợp đồng hoán đổi |
Đối với giao dịch hoán đổi ngoại tệ, hai trạng thái danh nghĩa của chứng khoán nợ có rủi ro lãi suất cụ thể bằng 0 ở bảng trên là hai trạng thái danh nghĩa của chứng khoán nợ có đồng tiền phát hành là hai đồng tiền tương ứng trong giao dịch hoán đổi tiền tệ.
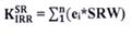
3. Vốn yêu cầu cho rủi ro lãi suất cụ thể
xác định theo công thức sau:

Trong đó:
- ei : là giá trị thị trường của công cụ tài chính thứ i;
- SRW: là hệ số rủi ro lãi suất cụ thể của từng công cụ tài chính.
Hệ số rủi ro lãi suất cụ thể (SRW) được xác định như sau:
a) Đối với các công cụ tài chính do Chính phủ Việt Nam, Ủy ban nhân dân tỉnh, thành phố trực thuộc Trung ương phát hành hoặc bảo lãnh thanh toán, hệ số rủi ro lãi suất cụ thể là 0%;
b) Đối với các công cụ tài chính khác, hệ số rủi ro lãi suất cụ thể SRW được xác định theo bảng dưới đây:
|
Công cụ tài chính |
Xếp hạng tín nhiệm độc lập |
SRW |
|
Nhóm 1 |
Từ AA- đến AAA |
0% |
|
Từ BBB- đến A+ |
0,25% trường hợp thời hạn còn lại đến ngày đáo hạn của công cụ tài chính từ 6 tháng trở xuống |
|
|
|
1% trường hợp 6 tháng < thời hạn còn lại đến ngày đáo hạn của công cụ tài chính ≤ 24 tháng |
|
|
|
1,6% trường hợp thời hạn còn lại đến ngày đáo hạn của công cụ tài chính > 24 tháng |
|
|
Từ B- đến BB+ |
8% |
|
|
Dưới mức B- |
12% |
|
|
Không xếp hạng |
12% |
|
|
Nhóm 2 |
|
0,25% trường hợp thời hạn còn lại đến ngày đáo hạn của công cụ tài chính từ 6 tháng trở xuống |
|
1% trường hợp 6 tháng < thời hạn còn lại đến ngày đáo hạn của công cụ tài chính ≤ 24 tháng |
||
|
1,6% trường hợp thời hạn còn lại đến ngày đáo hạn của công cụ tài chính > 24 tháng |
||
|
Nhóm 3 |
Từ BB- đến BB+ |
8% |
|
Dưới mức BB- |
12% |
|
|
Không xếp hạng |
12% |
Trong đó:
- Nhóm 1: Công cụ tài chính do chính phủ, chính quyền địa phương của các nước phát hành.
- Nhóm 2:
+ Công cụ tài chính do các tổ chức tài chính quốc tế hoặc doanh nghiệp nhà nước phát hành;
+ Công cụ tài chính khác được ít nhất hai tổ chức xếp hạng tín nhiệm xếp hạng BBB- hoặc tương đương trở lên.
+ Công cụ tài chính khác được một tổ chức xếp hạng BBB- hoặc tương đương trở lên và không có tổ chức xếp hạng nào khác xếp hạng thấp hơn mức BBB-
- Nhóm 3: Công cụ tài chính còn lại.
4. Vốn yêu cầu cho rủi ro lãi suất chung
:
a) Vốn yêu cầu cho rủi ro lãi suất chung là tổng các giá trị tuyệt đối của vốn yêu cầu cho rủi ro lãi suất chung tính riêng của từng loại đồng tiền.
b) Vốn yêu cầu cho rủi ro lãi suất chung được xác định bằng phương pháp thang kỳ hạn theo công thức như sau:

Trong đó:
- NWP: Vốn yêu cầu để bù đắp cho rủi ro do lệch trạng thái trên sổ kinh doanh;
- VD (vertical disallowance): vốn yêu cầu để bù đắp cho rủi ro do khớp trạng thái trong cùng thang kỳ hạn;
- HD (horizontal disallowance): vốn yêu cầu để bù đắp cho rủi ro do khớp trạng thái trong cùng một (01) vùng hoặc giữa các vùng khác nhau.
c) Vốn yêu cầu cho rủi ro lãi suất chung thực hiện theo các bước sau:
(i) Bước 1: Xác định các Kỳ hạn theo thời hạn còn lại đến ngày đáo hạn hoặc thời hạn còn lại đến kỳ điều chỉnh lãi suất của từng trạng thái của công cụ tài chính.
(ii) Bước 2: Phân bổ các trạng thái công cụ tài chính theo Thang kỳ hạn (Maturity) theo bảng dưới đây:
|
|
Thang kỳ hạn (Maturity) |
Hệ số rủi ro (Weighting) |
Trạng thái ròng (Net position) |
Trạng thái điều chỉnh theo hệ số rủi ro (Weighted position) |
Trạng thái tương ứng điều chỉnh theo hệ số rủi ro (Matched weighted position) |
Trạng thái không tương ứng điều chỉnh theo hệ số rủi ro (Unmatched weighted position) |
Tổng của trạng thái điều chỉnh theo hệ số rủi ro theo vùng (Sums of weighted positions by zone) |
Trạng thái tương ứng điều chỉnh theo hệ số rủi ro theo vùng (Matched weighted position by zone) |
Trạng thái tương ứng điều chỉnh theo hệ số rủi ro theo vùng (Unmatched weighted position by zone) |
Trạng thái tương ứng điều chỉnh theo hệ số rủi ro giữa các vùng (Matched weighted position between zones) |
||||||||
|
Vùng (Zone) |
Lãi suất ≥3% |
Lãi suất <3% |
% |
Dương (Long) |
Âm (Short) |
Dương (Long) |
Âm (Short) |
|
+/- |
Dương (Long) |
Âm (Short) |
|
+/- |
1/2 |
2/3 |
1/3 |
||
|
1 |
2 |
3 |
4 |
5 |
6 |
7 |
|
|
|
|
|
|||||||
|
Vùng 1 |
dưới 1 tháng trở xuống |
dưới 1 tháng |
0,00 |
|
|
|
|
|
|
|
|
|
|
|
||||
|
1- dưới 3 tháng |
1- dưới 3 tháng |
0,20 |
|
|
|
|
|
|
|
|
|
|
|
|||||
|
3- dưới 6 tháng |
3- dưới 6 tháng |
0,40 |
|
|
|
|
|
|
|
|
|
|
|
|||||
|
6- dưới 12 tháng |
6- dưới 12 tháng |
0,70 |
|
|
|
|
|
|
|
|
(b) |
|
|
|||||
|
|
||||||||||||||||||
|
Vùng 2 |
1- dưới 2 năm |
1-dưới 1,9 năm |
1,25 |
|
|
|
|
|
|
|
|
|
|
|
||||
|
2- dưới 3 năm |
1,9- dưới 2,8 năm |
1,75 |
|
|
|
|
|
|
|
|
|
|
|
|||||
|
3- dưới 4 năm |
2,8- dưới 3,6 năm |
2,25 |
|
|
|
|
|
|
|
|
(c) |
|
|
|||||
|
|
||||||||||||||||||
|
Vùng 3 |
4- dưới 5 năm |
3,6- dưới 4,3 năm |
2,75 |
|
|
|
|
|
|
|
|
|
|
|
||||
|
5- dưới 7 năm |
4,3- dưới 5,7 năm |
3,25 |
|
|
|
|
|
|
|
|
|
|
|
|||||
|
7- dưới 10 năm |
5,7- dưới 7,3 năm |
3,75 |
|
|
|
|
|
|
|
|
|
|
|
|||||
|
|
10- dưới 15 năm |
7,3- dưới 9,3 năm |
4,50 |
|
|
|
|
|
|
|
|
|
|
|
||||
|
|
15- dưới 20 năm |
9,3- dưới 10,6 năm |
5,25 |
|
|
|
|
|
|
|
|
|
|
|
||||
|
|
Từ 20 năm trở lên |
10,6- dưới 12 năm |
6,00 |
|
|
|
|
|
|
|
|
|
|
|
||||
|
|
|
12- dưới 20 năm |
8,00 |
|
|
|
|
|
|
|
|
|
|
|
||||
|
|
|
Từ 20 năm trở lên |
12,50 |
|
|
|
|
|
|
|
|
(d) |
|
|
||||
|
|
|
|
|
|
|
Tổng (L) |
Tổng (S) |
Tổng (a) |
|
|
|
|
|
(e) |
(f) |
(g) |
||
|
|
|
|
|
|
|
NMP=|(L)-(S)| |
VD=10%*(a) |
|
|
|
|
|
|
|||||
- Bước 3: Xác định Trạng thái ròng dương (Long position) của từng thang kỳ hạn là tổng các trạng thái dương của cùng thang kỳ hạn đó và Trạng thái ròng âm (Short position) là tổng các trạng thái âm của cùng thang kỳ hạn đó.
- Bước 4: Xác định Trạng thái dương/âm điều chỉnh theo hệ số rủi ro (weighted long/short position) của từng thang kỳ hạn bằng cách nhân trạng Thái ròng dương/âm (Long/Short position) với hệ số rủi ro lãi suất của thang kỳ hạn đó.
- Bước 5: Tính NWP theo công thức:
NWP = Giá trị tuyệt đối của (Tổng Trạng thái dương điều chỉnh theo hệ số rủi ro của các thang kỳ hạn (ký hiệu là L trong bảng trên) - Tổng Trạng thái âm điều chỉnh theo hệ số rủi ro của các thang kỳ hạn (ký hiệu là s trong bảng trên)).
- Bước 6: Tính VD:
- Xác định các thang kỳ hạn có cả Trạng thái dương (Long position) và Trạng thái âm (Short position) để từ đó xác định Trạng thái tương ứng điều chỉnh theo hệ sỏ rủi ro (matched weighted position) của thang kỳ hạn đó là giá trị tuyệt đối nhỏ hơn giữa hai Trạng thái dương (Long position) và Trạng thái âm (Short position) của thang kỳ hạn đó;
- Tính Tổng Trạng thái tương ứng điều chỉnh theo hệ số rủi ro (matched weighted position) của các thang kỳ hạn (ký hiệu là (a) trong bảng trên);
- Tính VD theo công thức sau: VD = 10% x (a).
- Bước 7:
- Xác định Trạng thái không tương ứng điều chỉnh theo hệ số rủi ro (unmatched weighted position) của từng thang kỳ hạn là hiệu số của giá trị tuyệt đối của Trạng thái dương điều chỉnh theo hệ số rủi ro (weighted long position) trừ đi giá trị tuyệt đối của Trạng thái âm điều chỉnh theo hệ số rủi ro (weighted short position) của từng thang kỳ hạn, có dấu dương (+)/ dấu âm (-);
- Xác định Trạng thái tương ứng điều chỉnh theo hệ số rủi ro của từng vùng (matched weighted position by zone) là giá trị tuyệt đối nhỏ hơn của hai Trạng thái dương (Long position) và Trạng thái âm (Short position) của từng vùng (Zone) (ký hiệu Trạng thái tương ứng điều chỉnh theo hệ số rủi ro của vùng (Zone) 1, 2 và 3 lần lượt là (b), (c) và (d) trong bảng trên).
- Bước 8:
- Xác định Trạng thái không tương ứng điều chỉnh theo hệ số rủi ro của từng vùng (unmatched weighted position by zone) hiệu số của giá trị tuyệt đối của Trạng thái dương điều chỉnh theo hệ số rủi ro của vùng đỏ (weighted long position by zone) trừ đi giá trị tuyệt đối của Trạng thái âm điều chỉnh theo hệ số rủi ro của vùng đó (weighted short position by zone);
- Xác định Trạng thái tương ứng điều chỉnh theo hệ số rủi ro giữa các vùng (matched weighted position between zones) theo từng cặp vùng như sau:
+ Trạng thái tương ứng điều chỉnh theo hệ số rủi ro giữa vùng 1 và vùng 2 (matched weighted position between zone 1 and zone 2) là giá trị tuyệt đối nhỏ hơn giữa hai Trạng thái không tương ứng điều chỉnh theo hệ số rủi ro của vùng 1 (unmatched weighted position by zone 1) và Trạng thái không tương ứng điều chỉnh theo hệ số rủi ro của vùng 2 (unmatched weighted position by zone 2) nêu hai trạng thái này trái dấu (ký hiệu là (e) trong bảng trên);
+ Trạng thái tương ứng điều chỉnh theo hệ số rủi ro giữa vùng 2 và vùng 3 (matched weighted position between zone 2 and zone 3) là giá trị tuyệt đối nhỏ hơn giữa hai Trạng thái không tương ứng còn lại điều chỉnh theo hệ số rủi ro của vùng 2 (residual unmatched weighted position by zone 2) và Trạng thái không tượng ứng điều chỉnh theo hệ số rủi ro của vùng 3 (unmatched weighted position by zone 3) nếu hai trạng thái này trái dấu (ký hiệu là (f) trong bảng trên);
+ Trạng thái tương ứng điều chỉnh theo hệ số rủi ro giữa vùng 1 và vùng 3 (matched weighted position between zone 1 and zone 3) là giá trị tuyệt đối nhỏ hơn giữa hai Trạng thái không tương ứng còn lại điều chỉnh theo hệ số rủi ro của vùng 1 (residual unmatched weighted position by zone 1) và Trạng thái không tương ứng còn lại điều chỉnh theo hệ số rủi ro của vùng 3 (residual unmatched weighted position by zone 3) nếu hai trạng thái này trái dấu (ký hiệu là (g) trong bảng trên).
- Bước 9: Tính HD theo công thức sau:
HD = (b) x 40% + (c) x 30% + (d) x 30% + (e) x 40% + (f) x 40% + (g) x 100%
Ví dụ: Cách tính vốn yêu cầu cho rủi ro lãi suất chung theo phương pháp thang kỳ hạn
Giả sử ngân hàng đang nắm giữ các tài sản tài chính sau đây:
(a) Trái phiếu thuộc Nhóm 2, giá trị thị trường 13,33 tỷ đồng, thời hạn còn lại là 8 năm, lãi suất coupon là 8%:
(b) Trái phiếu Chính phủ, giá trị thị trường 75 tỷ đồng, thời hạn còn lại là 2 tháng, lãi suất coupon là 7%;
(c) Hợp đồng hoán đổi lãi suất, giá trị thị trường của tài sản cơ sở danh nghĩa là 150 tỷ đồng, theo đó, ngân hàng nhận lãi suất thả nổi và trả lãi suất cố định, thời hạn điều chỉnh lãi suất tiếp theo là sau 9 tháng, thời hạn còn lại của hợp đồng hoán đổi là 8 năm:
(d) Trạng thái dương hợp đồng tương lai lãi suất giá trị 50 tỷ đồng, đến hạn trong vòng 6 tháng, thời hạn của tài sản cơ sở là trái phiếu Chính phủ là 3,5 năm.
Phân bổ các trạng thái tài sản tài chính theo Thang kỳ hạn theo bảng dưới đây:
|
|
Thang kỳ hạn (Maturity) |
Hệ số rủi ro (Weighting) |
Trạng thái ròng (Net position) |
Trạng thái điều chỉnh theo hệ số rủi ro (Weighted position) |
Trạng thái tương ứng điều chỉnh theo hệ số rủi ro (Matched weighted position) |
Trạng thái không tương ứng điều chỉnh theo hệ số rủi ro (Unmatched weighted position) |
Tổng của trạng thái điều chỉnh theo hệ số rủi ro theo vùng (Sums of weighted positions by zone) |
Trạng thái tương ứng điều chỉnh theo hệ số rủi ro theo vùng (Matched weighted position by zone) |
Trạng thái tương ứng điều chỉnh theo hệ số rủi ro theo vùng (Unmatched weighted position by zone) |
Trạng thái tương ứng điều chỉnh theo hệ số rủi ro giữa các vùng (Matched weighted position between zones) |
||||||
|
Vùng (Zone) |
Lãi suất ≥3% |
Lãi suất <3% |
% |
Dương (Long) |
Âm (Short) |
Dương (Long) |
Âm (Short) |
|
+/- |
Dương (Long) |
Âm (Short) |
|
+/- |
1/2 |
2/3 |
1/3 |
|
1 |
2 |
3 |
4 |
5 |
6 |
7 |
8 |
|
|
|
|
|
||||
|
Vùng 1 |
dưới 1 tháng trở xuống |
dưới 1 tháng |
0,00 |
|
|
|
|
|
|
|
|
|||||
|
1- dưới 3 tháng |
1- dưới 3 tháng |
0,20 |
75 tỷ đồng trái phiếu Chính phủ |
|
0,15 |
|
|
|
|
|||||||
|
3- dưới 6 tháng |
3- dưới 6 tháng |
0,40 |
|
50 tỷ đồng Hợp đồng tương lai |
|
0,2 |
|
|
|
|||||||
|
6- dưới 12 tháng |
6- dưới 12 tháng |
0,70 |
150 tỷ đồng Hợp đồng hoán đổi |
|
1,05 |
|
|
|
|
|
(b) |
|
|
|
|
|
|
|
||||||||||||||||
|
Vùng 2 |
1- dưới 2 năm |
1-dưới 1,9 năm |
1,25 |
|
|
|
|
|
|
|
|
|||||
|
|
||||||||||||||||
|
2- dưới 3 năm |
1,9- dưới 2,8 năm |
1,75 |
|
|
|
|
|
|
|
|||||||
|
3- dưới 4 năm |
2,8- dưới 3,6 năm |
2,25 |
50 tỷ đồng Hợp đồng tương lai |
|
1,125 |
|
|
|
|
|
(c) |
|
|
|
|
|
|
|
||||||||||||||||
|
Vùng 3 |
4- dưới 5 năm |
3,6- dưới 4,3 năm |
2,75 |
|
|
|
|
|
|
|
|
|
|
|
|
|
|
5- dưới 7 năm |
4,3- dưới 5,7 năm |
3,25 |
|
|
|
|
|
|
|
|
|
|
|
|
|
|
|
7- dưới 10 năm |
5,7- dưới 7,3 năm |
3,75 |
1343 tỷ đồng trái phiếu nhóm 2 |
150 tỷ đồng Hợp đồng hoán đổi |
0,5 |
5,625 |
|
|
|
|
|
|
|
|
|
|
- Tính vốn yêu cầu để bù đắp cho rủi ro do lệch trạng thái trên sổ kinh doanh (NWP):
NWP = |(75 x 0,2%) - (50 x 0,4%) + (150 X 0,7%) + (50 x 2,25%) - (150 x 3,75%) + (13,33 x 3,75%)|
= |(0,15-0,2 + 1,05+ 1,125-5,625 + 0,5)|
= |(-3)| = 3 tỷ đồng.
- Tính Vốn yêu cầu đề bù đắp cho rủi ro do khớp trạng thái trong cùng thang kỳ hạn (VD):
Thang kỳ hạn 7 đến 10 năm có cả trạng thái dương và trạng thái âm do đó phải tính trạng thái tương ứng điều chỉnh theo hệ số rủi ro (matched weighted position) của thang kỳ hạn này là 0,5 (giá trị tuyệt đối nhỏ hơn giữa trạng thái dương điều chỉnh theo hệ số rủi ro (0,5) và trạng thái âm điều chỉnh theo hệ số rủi ro (-5,625).
VD = 0,5 x 10% = 0,05 tỷ đồng.
Bước 7:
- Trạng thái không tương ứng điều chỉnh theo hệ số rủi ro (unmatched weighted position)của từng thang kỳ hạn:
+ Thang kỳ hạn từ 7 đến 10 năm: I 0,5| - |-5,625| = -5,125
- Trạng thái tương ứng điều chỉnh theo hệ số rủi ro của từng vùng (matched weighted position by zone):
+ Do tại Vùng 1 có nhiều hơn một trạng thái nên cần phải tính vốn yêu cầu để bù đắp cho rủi ro do khớp trạng thái trong cùng vùng 1. Trạng thái tương ứng điều chỉnh theo hệ số rủi ro của vùng 1 là giá trị tuyệt đối nhỏ hơn của hai trạng thái dương và trạng thái âm của vùng 1 và bằng 0,2.
Vốn yêu cầu để bù đắp cho rủi ro do khớp trạng thái trong cùng vùng 1 bằng 0,2 x 40% = 0,08 tỷ đồng.
Bước 8:
- Trạng thái không tương ứng điều chỉnh theo hệ số rủi ro của vùng 1 (unmatched weighted position by zone 1) là hiệu số của giá trị tuyệt đối của trạng thái dương điều chỉnh theo hệ số rủi ro của vùng 1 (weighted long position by zone 1) trừ đi giá trị tuyệt đối của trạng thái âm điều chỉnh theo hệ số rủi ro của vùng 1 (weighted short position by zone 1) và bằng |0,15 + 1,05| - |-0,2| = 1;
Tương tự, trạng thái không tương ứng điều chỉnh theo hệ số rủi ro của vùng 2 (unmatched weighted position by zone 2) bằng |1,125| = 1,125;
Trạng thái không tương ứng điều chỉnh theo hệ số rủi ro của vùng 3 (unmatched weighted position by zone 3) bằng |0| - |-5,125| = -5,125.
- Xác định trạng thái tương ứng điều chỉnh theo hệ số rủi ro giữa các vùng (matched weighted position between zones) theo từng cặp vùng:
+ Trạng thái tương ứng điều chỉnh theo hệ số rủi ro giữa vùng 2 và vùng 3 (matched weighted position between zone 2 and zone 3) là 1,125 (f);
Vốn yêu cầu để bù đắp cho rủi ro do khớp trạng thái giữa vừng 2 và vùng 3 là 1,125 x 40% = 0,45 tỷ đồng;
+ Trạng thái tương ứng điều chỉnh theo hệ số rủi ro giữa vùng 1 và vùng 3 (matched weighted position between zone 1 and zone 3) là 1 (g);
Vốn yêu cầu để bù đắp cho rủi ro do khớp trạng thái giữa vùng 1 và vùng 3 là 1 x 100% = 1 tỷ đồng.
Tổng cộng:
- Vốn yêu cầu để bù đắp cho rủi ro do lệch trạng thái trên sổ kinh doanh (NWP): 3 tỷ đồng;
- Vốn yêu cầu để bù đắp cho rủi ro do khớp trạng thái trong cùng thang kỳ hạn (VD): 0, 05 tỷ đồng;
- Vốn yêu cầu để bù đắp cho rủi ro do khớp trạng thái trong cùng vùng 1: 0,08 tỷ đồng;
- Vốn yêu cầu dể bù đắp cho rủi ro do khớp trạng thái giữa vùng 2 và vùng 3: 0,45 tỷ đồng;
- Vốn yêu cầu để bù đắp cho rủi ro do khớp trạng thái giữa vùng 1 và vùng 3: 1 tỷ đồng;
Tổng mức vốn yêu cầu: 4,58 tỷ đồng.
II. Vốn yêu cầu cho rủi ro giá cổ phiếu
1. Vốn yêu cầu cho rủi ro giá cổ phiếu được áp dụng đối với trạng thái cổ phiếu của sổ kinh doanh. Ngân hàng, chi nhánh ngân hàng nước ngoài phải tính vốn yêu cầu cho rủi ro giá cổ phiếu cụ thể và rủi ro giá cổ phiếu chung đối với: các cổ phiếu, trái phiếu chuyển đổi và các chứng khoán phái sinh có tài sản cơ sở là cổ phiếu (trừ hợp đồng quyền chọn) trên sổ kinh doanh, trừ các cổ phiếu, trái phiếu chuyển đổi đã được trừ khỏi vốn tự có của ngân hàng, chi nhánh ngân hàng nước ngoài khi tính vốn tự có quy định tại Phụ lục 1 Thông tư này.
2. Trạng thái cổ phiếu (trạng thái dương, trạng thái âm) được xác định cho các công cụ tài chính quy định tại điểm 1 Mục này theo các nguyên tắc sau:
a) Trạng thái dương (âm) của một loại cổ phiếu, công cụ tài chính có tính chất cổ phiếu do một tổ chức phát hành được bù trừ;
(b) Đối với chứng khoán phái sinh cổ phiếu, trạng thái cổ phiếu được xác định theo trạng thái cổ phiếu danh nghĩa như sau:
(i) Hợp đồng tương lai, hợp đồng kỳ hạn có tài sản cơ sở là cổ phiếu phải được lấy theo giá trị thị trường;
(ii) Hợp đồng kỳ hạn có yếu tố cơ sở là chỉ số chứng khoán phải xác định theo giá trị thị trường của danh mục chứng khoán trong chỉ số chứng khoán;
(iii) Hợp đồng hoán đổi tính theo hai trạng thái (trạng thái cổ phiếu dương và trạng thái cổ phiếu âm): Ngân hàng, chi nhánh ngân hàng nước ngoài đồng thời phải ghi nhận hai trạng thái căn cứ theo nghĩa vụ cam kết trong hợp đồng. Ví dụ, trong hợp đồng hoán đổi, ngân hàng, chi nhánh ngân hàng nước ngoài ghi nhận trạng thái dương khi nhận được một khoản dựa trên thay đổi về giá trị của một cổ phiếu hoặc một chỉ số chứng khoán và ghi nhận trạng thái âm khi phải trả một chỉ số chứng khoán khác. Nếu một trong hai trạng thái mà gắn với việc nhận hoặc trả lãi suất cố định hoặc lãi suất thả nổi thì ngân hàng, chi nhánh ngân hàng nước ngoài phải tính các trạng thái rủi ro lãi suất phát sinh theo quy định tại Mục I Phụ lục này.
3. Vốn yêu cầu cho rủi ro giá cổ phiếu cụ thể
được xác định theo công thức sau:

Trong đó:
- LP: Trạng thái cổ phiếu dương (long position);
- SP: Trạng thái cổ phiếu âm (short position).
4. Vốn yêu cầu cho rủi ro giá cổ phiếu chung
được xác định theo công thức sau:

Trong đó:
- LP : Trạng thái cổ phiếu dương (long position);
- SP : Trạng thái cổ phiếu âm (short position);
- ERW : Hệ số rủi ro chung giá cổ phiếu áp dụng như sau:
a) Cổ phiếu, các công cụ tài chính có tính chất cổ phiếu (ví dụ trái phiếu chuyển đổi) và các chứng khoán phái sinh có tài sản cơ sở là cổ phiếu áp dụng hệ số rủi ro 8%;
b) Hợp đồng phái sinh có tài sản cơ sở là chỉ số chứng khoán áp dụng hệ số rủi ro 10%.
III. Vốn yêu cầu cho rủi ro giá cả hàng hóa
1. Vốn yêu cầu cho rủi ro giá cả hàng hóa được áp dụng đối với trạng thái hàng hóa của sổ kinh doanh. Ngân hàng, chi nhánh ngân hàng nước ngoài phải tính vốn yêu cầu cho rủi ro giá hàng hóa cho trạng thái sản phẩm phái sinh giá cả hàng hóa trên sổ kinh doanh.
2. Trạng thái sản phẩm phái sinh hàng hóa (trạng thái dương, trạng thái âm) được xác định cho các loại hàng hóa (trừ vàng tiêu chuẩn đã được tính rủi ro tỷ giá) theo các nguyên tắc sau:
a) Trạng thái sản phẩm phái sinh hàng hóa được xác định cho từng loại hàng hóa. Sản phẩm phái sinh hàng hóa cùng loại được bù trừ khi xác định trạng thái;
b) Trạng thái sản phẩm phái sinh hàng hóa được xác định theo giá trị đồng Việt Nam bằng cách chuyển đổi các đơn vị đo lường tiêu chuẩn theo giá giao ngay của hàng hóa đó tại thời điểm tính toán.
3. Vốn yêu cầu cho rủi ro giá cả hàng hóa (Kcmr) được xác định theo công thức sau:

Trong đó:
-
: Vốn yêu cầu cho rủi ro giá cả hàng hóa trực tiếp phát sinh do thay đổi giá giao ngay của hàng hóa đó;
-
: Vốn yêu cầu cho rủi ro giá cả hàng hóa khác phát sinh do thay đổi giá kỳ hạn vì chênh lệch kỳ hạn của hàng hóa đó hoặc do thay đổi của mối quan hệ giá giữa hai loại hàng hóa tương tự (nhưng không hoàn toàn giống nhau).
4. Vốn yêu cầu cho rủi ro giá cả hàng hóa trực tiếp
được xác định theo công thức sau:

Trong đó: NP: Trạng thái ròng (net position) của loại sản phẩm phái sinh hàng hóa.
5. Vốn yêu cầu cho rủi ro giá cả hàng hóa khác
được xác định theo công thức sau:

Trong đó:
- LP: Trạng thái dương (long position) của loại sản phẩm phái sinh hàng hóa;
- SP: Trạng thái âm (short position) của loại sản phẩm phái sinh hàng hóa.
6. Các trạng thái rủi ro lãi suất, rủi ro ngoại hối phát sinh từ việc nắm giữ trạng thái hàng hóa phải tính tương ứng vào trạng thái rủi ro lãi suất, rủi ro ngoại hối theo quy định tại Mục I, Mục IV Phụ lục này.
IV. Vốn yêu cầu cho rủi ro ngoại hối
1. Vốn yêu cầu cho rủi ro ngoại hối (Kfxr) được xác định theo công thức sau:
Kfxr = (Max (ΣSP, ΣLP) + GoldP) x 8%
Trong đó:
- ΣSP: Tổng các trạng thái âm của các ngoại tệ trong danh mục ngoại tệ;
- ΣLP: Tổng trạng thái dương của các ngoại tệ trong danh mục ngoại tệ;
- GoldP: Trạng thái vàng;
- (Max (ΣSP, ΣLP) + GoldP) : Tổng giá trị trạng thái ngoại hối ròng bao gồm cả vàng.
2. Trạng thái ngoại tệ (trạng thái dương, trạng thái âm) được xác định cho từng loại ngoại tệ (bao gồm cả vàng tiêu chuẩn) theo các nguyên tắc sau:
a) Trạng thái nguyên tệ bằng tổng cộng:
(i) Trạng thái giao ngay là chênh lệch giữa tổng Tài sản và tổng Nợ phải trả (bao gồm cả lãi dự thu và chi phí trả lãi dự kiến) bằng một loại ngoại tệ;
(ii) Trạng thái kỳ hạn ròng là chênh lệch giữa tổng các khoản nhận được và tổng các khoản phải trả bằng một loại ngoại tệ trong các giao dịch ngoại tệ kỳ hạn, bao gồm cả các giao dịch ngoại tệ tương lai và các khoản vốn trọng giao dịch hoán đổi mà không được tính vào trạng thái giao ngay;
(iii) Các bảo lãnh (hoặc các nghĩa vụ tương tự) không thể hủy ngang và bên được bảo lãnh không có khả năng thực hiện nghĩa vụ theo cam kết;
(iv) Các thu nhập/chi phí tương lai ròng chưa được dự thu nhưng đã được phòng ngừa rủi ro;
(v) Các khoản lãi/lỗ bằng ngoại tệ từ hoạt động kinh doanh ở nước ngoài theo quy định hạch toán kế toán của nước sở tại.
b) Trạng thái ngoại tệ là trạng thái nguyên tệ của ngoại tệ đó (xác định theo quy định của pháp luật về trạng thái ngoại tệ của các tổ chức tín dụng, chi nhánh ngân hàng nước ngoài) được quy đổi sang đồng Việt Nam theo tỷ giá quy đổi trạng thái.
V. Vốn yêu cầu cho hợp đồng quyền chọn
1. Ngân hàng, chi nhánh ngân hàng nước ngoài phải tính vốn yêu cầu cho hợp đồng quyền chọn mà tài sản cơ sở là công cụ tài chính có rủi ro lãi suất, rủi ro giá cổ phiếu, rủi ro ngoại hối và rủi ro giá hàng hóa.
2. Vốn yêu cầu cho hợp đồng quyền chọn được xác định như sau:
a) Trường hợp ngân hàng, chi nhánh ngân hàng nước ngoài mua quyền chọn (long option), vốn yêu cầu cho hợp đồng quyền chọn được xác định như sau:
(i) Trường hợp ngân hàng, chi nhánh ngân hàng nước ngoài có trạng thái tài sản cơ sở dương (Long cash) và mua quyền chọn bán (Long put) hoặc có trạng thái tài sản cơ sở âm (Short Cash) và mua quyền chọn mua (Long cash), vốn yêu cầu cho hợp đồng quyền chọn tính theo công thức sau:
Kopt = Max(0, {MVunderlying x (SRW + GRW) - Max(0,VOPT)})
Trong đó:
- MVunderiying : Giá trị thị trường của tài sản cơ sở của hợp đồng quyền chọn;
- SRW: Hệ số rủi ro quyền chọn cụ thể, GRW: Hệ số rủi ro quyền chọn chung được xác định như sau:
+ Đối với hợp đồng quyền chọn lãi suất:
▪ Hệ số rủi ro quyền chọn cụ thể là Hệ số rủi ro lãi suất cụ thể quy định tại Mục I Phụ lục này;
▪ Hệ số rủi ro quyền chọn chung là Hệ số rủi ro quy định tại Bảng tính theo Phương pháp kỳ hạn quy định tại Mục I Phụ lục này.
+ Đối với hợp đồng quyền chọn giá cổ phiếu:
▪ Hệ số rủi ro quyền chọn cụ thể là Hệ số rủi ro giá cổ phiếu cụ thể quy định tại Mục II Phụ lục này;
▪ Hệ số rủi ro quyền chọn chung là 8%.
+ Đối với hợp đồng quyền chọn ngoại hối: Hệ số rủi ro quyền chọn chung là 8%.
+ Đối với hợp đồng quyền chọn giá hàng hóa: Tổng Hệ số rủi ro quyền chọn cụ thể và Hệ số rủi ro quyền chọn chung là 15%.
- Vopt : Giá trị bằng tiền của quyền chọn (nếu có) hoặc bằng 0.
Ví dụ 1: Ngân hàng A đang có trạng thái ngoại tệ dương 1 triệu đôla Mỹ với tỷ giá hiện tại là 22.000VND/USD, nhằm phòng ngừa rủi ro Ngân hàng A mua một quyền chọn bán với giá chọn bán là 21.000VND/USD. vốn yêu cầu cho rủi ro quyền chọn được xác định khi thực hiện quyền chọn như sau:
- Giá trị bằng tiền của quyền chọn:
Vopt = Max (0; (21.000-22.000) x 1 triệu (đôla Mỹ)) = 0
- Vốn yêu cầu cho rủi ro quyền chọn:
KOPT = Max (0; 1 triệu (đôla Mỹ) x 22.000 x 8% -0) = 1,76 (tỷ đồng)
Ví dụ 2: Ngân hàng A đang có trạng thái ngoại tệ dương 1 triệu đôla Mỹ với tỷ giá hiện tại là 22.000VND/USD, nhằm phòng ngừa rủi ro Ngân hàng A mua một quyền chọn bán với giá chọn bán là 23.000VND/USD. Vốn yêu cầu cho rủi ro quyền chọn được xác định khi thực hiện quyền chọn như sau:
- Giá trị bằng tiền của quyền chọn:
VOPT = (23.000-22.000) x 1 triệu (đôla Mỹ) = 1 tỷ đồng
- Vốn yêu cầu cho rủi ro quyền chọn:
KOPT = Max(0; 1 triệu (đôla Mỹ) x 22.000 x 8% - 1 tỷ đồng) = 0,76 tỷ đồng.
(ii) Trường hợp ngân hàng, chi nhánh ngân hàng nước ngoài mua quyền chọn mua (Long call) hoặc mua quyền chọn bán (Long put), vốn yêu cầu cho hợp đồng quyền chọn tính theo công thức sau:
Kopt = Min [(MVunderlying x (SRW + GRW)), MVopt ]
Trong đó:
- MVunderlying : Giá trị thị trường của tài sản cơ sở khi quyền chọn được thực hiện.
- SRW: Hệ số rủi ro quyền chọn cụ thể, GRW: Hệ số rủi ro quyền chọn chung được xác định tại điểm 2a Mục này.
- MVopt: Giá trị thị trường của giao dịch quyền chọn.
Hệ số rủi ro quyền chọn cụ thể (SRW), Hệ số rủi ro quyền chọn chung (GRW) áp dụng cho từng giao dịch cơ sở như sau:
Ví dụ: Ngân hàng A mua quyền chọn bán với mục đích kinh doanh với tài sản cơ sở là 1 triệu đôla Mỹ, giá quyền chọn là 12.000 đôla Mỹ. Vốn yêu cầu cho rủi ro quyền chọn được xác định khi thực hiện quyền chọn như sau:
MVunderlying x (SRW+ GRW) = 1 triệu (đôla Mỹ) x 8% = 8.000 đôla Mỹ.
Kopt = Min [(MVunderlying x (SRW + GRW)), MVopt ] = Min (8.000; 12.000)= 8.000 (đôla Mỹ).
b) Trường hợp ngân hàng, chi nhánh ngân hàng nước ngoài bán quyền chọn (short option), vốn yêu cầu cho hợp đồng quyền chọn được xác định theo phương pháp Delta-plus, vốn yêu cầu theo phương pháp Delta-plus là tổng của 3 cấu phần sau đây:
1. Vốn yêu cầu cho yếu tố rủi ro Delta (Kdwp) được xác định theo công thức sau:
KDWP = MVunderlying x DOPT x (SRW + GRW)
Trong đó:
- MVunderlying : Giá trị thị trường của tài sản cơ sở khi quyền chọn được thực hiện;
- Dopt : Giá trị Delta của giao dịch quyền chọn do ngân hàng, chi nhánh ngân hàng nước ngoài xác định theo hướng dẫn của Ủy ban Basel hoặc sử dụng các giá trị Dopt trên thị trường (nếu có);
- SRW: Hệ số rủi ro quyền chọn cụ thể, GRW: Hệ số rủi ro quyền chọn chung được xác định tại điểm 2a Mục này;
2. Yếu tố rủi ro Gamma (KGamma) được xác định theo công thức sau:
Mỗi hợp đồng quyền chọn có tài sản cơ sở giống nhau sẽ có tác động gamma dương hoặc âm. Các tác động gamma riêng lẻ được cộng lại để tính tác động gamma ròng (giá trị dương hoặc âm) cho từng tài sản cơ sở. Vốn yêu cầu cho yếu tố rủi ro gamma bằng tổng các giá trị tuyệt đối của tác động gamma ròng âm.
Tác động gamma (GI) được xác định theo công thức sau :
GI = 0,5 x Gamma x (VU)2
Trong đó:
- Gamma: Giá trị Gamma của giao dịch quyền chọn do ngân hàng, chi nhánh ngân hàng nước ngoài xác định theo hướng dẫn của Ủy ban Basel hoặc sử dụng các giá trị Gamma trên thị trường (nếu có);
- VU: là mức biến động tài sản cơ sở của giao dịch quyền chọn được xác định như sau:
(i) Đối với hợp đồng quyền chọn có tài sản cơ sở là các công cụ tài chính có rủi ro lãi suất:
VU = MVunderlying x RW
Trong đó:
- MVunderlying : Giá trị của tài sản cơ sở khi quyền chọn được thực hiện;
- RW: là hệ số rủi ro chung quy định tại Bảng phân bổ các trạng thái công cụ tài chính theo Thang kỳ hạn, Mục I Phụ lục này.
(ii) Đối với hợp đồng quyền chọn có tài sản cơ sở là cổ phiếu, các công cụ tài chính có tính chất cổ phiếu và các chứng khoán phái sinh có tài sản cơ sở là cổ phiếu, chỉ số chứng khoán, ngoại tệ (bao gồm cả vàng tiêu chuẩn):
VU = MVunderlying x 8%
Trong đó: MVunderlying: Giá trị của tài sản cơ sở khi quyền chọn được thực hiện.
(iii) Đối với hợp đồng quyền chọn có tài sản cơ sở là hàng hóa :
VU = MVunderlying x 15%
Trong đó: MVunderiying: Giá trị của tài sản cơ sở khi quyền chọn được thực hiện.
3. Yếu tố Vega (Kvr) được tính bằng tổng giá trị tuyệt đối Vốn yêu cầu cho tác động Vega của từng tài sản cơ sở. Vốn yêu cầu cho tác động Vega của từng tài sản cơ sở được xác định theo công thức sau:
Kvr = 25% x tỷ lệ trong thay đổi giá trị của tài sản cơ sở x |tổng giá trị Vega của các hợp đồng quyền chọn của cùng tài sản cơ sở|.
Trong đó:
- Tỷ lệ trong thay đổi giá trị của tài sản cơ sở do ngân hàng, chi nhánh ngân hàng nước ngoài xác định theo hướng dẫn của Ủy ban Basel hoặc sử dụng tỷ lệ trong thay đổi giá trị của tài sản cơ sở trên thị trường (nếu có);
- Giá trị Vega của các hợp đồng quyền chọn của cùng tài sản cơ sở do ngân hàng, chi nhánh ngân hàng nước ngoài xác định theo hướng dẫn của Ủy ban Basel hoặc sử dụng giá trị Vega của các hợp đồng quyền chọn của từng tài sản cơ sở trên thị trường (nếu có).
Ví dụ trường hợp ngân hàng, chi nhánh ngân hàng nước ngoài bản quyền chọn (short option), vốn yêu cầu cho giao dịch quyền chọn được xác định theo phương pháp Delta-plus như sau:
Ngân hàng A thực hiện bản quyền chọn mua (short call option) một hàng hóa:
- Giá thực hiện quyền chọn (exercise price): X = $490;
- Giá thị trường của hàng hóa (underlying asset) có thời hạn còn lại đến ngày thực hiện 12 tháng: MV = $500;
- Tỷ lệ lãi suất không có rủi ro (riskfree): 8%/năm;
- Mức biến động tài sản cơ sở của giao dịch quyền chọn: 
- Giá trị hiện tại của hợp đồng quyền chọn: S0 = $65,48.
Sử dụng Mô hình Black-Scholes Model Greeks, xác định được yếu tố delta, gamma như sau:
Delta Dopt = -0,721 (giá của hợp đồng quyền chọn sẽ thay đổi 0,721 nếu giá của tài sản cơ sở biến động 1 đơn vị).
Gamma = -0,0034 (yếu tố delta sẽ thay đổi 0,0034 đơn vị (từ -0,721 xuống -0,7244) nếu giá của tài sản cơ sở thay đổi 1 đơn vị).
(i) Vốn yêu cầu cho yếu tố rủi ro Delta (Kdwp) được xác định như sau:
Tổng hệ số rủi ro quyền chọn cụ thể và hệ số rủi ro quyền chọn chung đối với hợp đồng quyền chọn giá hàng hóa: SRW + GRW - 15%

(ii) Vốn yêu cầu cho yếu tố rủi ro Gamma (KGamma) được xác định như sau
(iii) Vốn yêu cầu cho yếu tố Vega (KVR) được xác định như sau :
Sử dụng mô hình Black-Scholes Model, tổng giá trị Vega của hợp đồng bán quyền chọn là 168.

Như vậy, vốn yêu cầu cho yếu tố Vega bằng $8,4.
Vốn yêu cầu cho rủi ro thị trường đối với giao dịch bán quyền chọn mua theo ví dụ nêu trên là :
$54,075 + $9,5625 + $8,4 = $72,0375.
PHỤ LỤC 6: HƯỚNG DẪN PHÂN LOẠI TÀI SẢN
(Ban hành kem theo Thông tư số 22/2023/TT-NHNN ngày 29 tháng 12 năm 2023 của Thống đốc Ngân
hàng Nhà nước Việt Nam sửa đổi, bổ sung một số điều của)

Bạn chưa Đăng nhập thành viên.
Đây là tiện ích dành cho tài khoản thành viên. Vui lòng Đăng nhập để xem chi tiết. Nếu chưa có tài khoản, vui lòng Đăng ký tại đây!
Bạn chưa Đăng nhập thành viên.
Đây là tiện ích dành cho tài khoản thành viên. Vui lòng Đăng nhập để xem chi tiết. Nếu chưa có tài khoản, vui lòng Đăng ký tại đây!