- Tổng quan
- Nội dung
- VB gốc
- Tiếng Anh
- Hiệu lực
- VB liên quan
- Lược đồ
-
Nội dung hợp nhất
Tính năng này chỉ có tại LuatVietnam.vn. Nội dung hợp nhất tổng hợp lại tất cả các quy định còn hiệu lực của văn bản gốc và các văn bản sửa đổi, bổ sung, đính chính... trên một trang. Việc hợp nhất văn bản gốc và những văn bản, Thông tư, Nghị định hướng dẫn khác không làm thay đổi thứ tự điều khoản, nội dung.
Khách hàng chỉ cần xem Nội dung hợp nhất là có thể nắm bắt toàn bộ quy định hiện hành đang áp dụng, cho dù văn bản gốc đã qua nhiều lần chỉnh sửa, bổ sung.
- Tải về
Thông tư 122/2025/TT-BTC hướng dẫn chứng quyền có bảo đảm
| Cơ quan ban hành: | Bộ Tài chính |
Số công báo:
Số công báo là mã số ấn phẩm được đăng chính thức trên ấn phẩm thông tin của Nhà nước. Mã số này do Chính phủ thống nhất quản lý.
|
Đang cập nhật |
| Số hiệu: | 122/2025/TT-BTC | Ngày đăng công báo: | Đang cập nhật |
| Loại văn bản: | Thông tư | Người ký: | Nguyễn Đức Chi |
|
Ngày ban hành:
Ngày ban hành là ngày, tháng, năm văn bản được thông qua hoặc ký ban hành.
|
22/12/2025 |
Ngày hết hiệu lực:
Ngày hết hiệu lực là ngày, tháng, năm văn bản chính thức không còn hiệu lực (áp dụng).
|
Đang cập nhật |
|
Áp dụng:
Ngày áp dụng là ngày, tháng, năm văn bản chính thức có hiệu lực (áp dụng).
|
Đã biết
|
Tình trạng hiệu lực:
Cho biết trạng thái hiệu lực của văn bản đang tra cứu: Chưa áp dụng, Còn hiệu lực, Hết hiệu lực, Hết hiệu lực 1 phần; Đã sửa đổi, Đính chính hay Không còn phù hợp,...
|
Đã biết
|
| Lĩnh vực: | Doanh nghiệp, Tài chính-Ngân hàng, Chứng khoán |
TÓM TẮT THÔNG TƯ 122/2025/TT-BTC
Nội dung tóm tắt đang được cập nhật, Quý khách vui lòng quay lại sau!
| BỘ TÀI CHÍNH | CỘNG HÒA XÃ HỘI CHỦ NGHĨA VIỆT NAM |
THÔNG TƯ
Hướng dẫn về chứng quyền có bảo đảm
___________
Căn cứ Luật Chứng khoán số 54/2019/QH14 được sửa đổi, bổ sung bởi Luật số 56/2024/QH15;
Căn cứ Luật Doanh nghiệp số 59/2020/QH14 được sửa đổi, bổ sung bởi Luật số 03/2022/QH15;
Căn cứ Nghị định số 155/2020/NĐ-CP ngày 31 tháng 12 năm 2020 của Chính phủ quy định chi tiết thi hành một số điều của Luật Chứng khoán được sửa đổi, bổ sung bởi Nghị định số 245/2025/NĐ-CP ngày 11 tháng 9 năm 2025;
Căn cứ Nghị định số 29/2025/NĐ-CP ngày 24 tháng 02 năm 2025 của Chính phủ quy định chức năng, nhiệm vụ, quyền hạn và cơ cấu tổ chức của Bộ Tài chính được sửa đổi, bổ sung bởi Nghị định số 166/2025/NĐ-CP ngày 30 tháng 6 năm 2025;
Theo đề nghị của Chủ tịch Ủy ban Chứng khoán Nhà nước;
Bộ trưởng Bộ Tài chính ban hành Thông tư hướng dẫn về chứng quyền có bảo đảm.
Chương I
QUY ĐỊNH CHUNG
Điều 1. Phạm vi điều chỉnh, đối tượng áp dụng
1. Thông tư này quy định về chứng quyền có bảo đảm (sau đây gọi tắt là chứng quyền); chứng khoán cơ sở của chứng quyền; hạn mức chào bán, giao dịch, thanh toán, thực hiện chứng quyền; kiểu thực hiện và phương thức thực hiện chứng quyền; điều chỉnh chứng quyền; hoạt động tạo lập thị trường, phòng ngừa rủi ro, bảo vệ quyền lợi của người sở hữu chứng quyền; báo cáo, công bố thông tin và hoạt động khác liên quan đến chứng quyền.
2. Đối tượng áp dụng của Thông tư này bao gồm:
a) Công ty chứng khoán, ngân hàng lưu ký;
b) Sở giao dịch chứng khoán, Tổng công ty lưu ký và bù trừ chứng khoán Việt Nam;
c) Nhà đầu tư tham gia giao dịch chứng quyền;
d) Tổ chức, cá nhân có liên quan.
Điều 2. Giải thích từ ngữ
Trong Thông tư này, các từ ngữ dưới đây được hiểu như sau:
1. Chứng khoán cơ sở là chứng khoán được sử dụng làm tài sản cơ sở của chứng quyền có bảo đảm.
2. Tổ chức phát hành chứng khoán cơ sở là tổ chức phát hành chứng khoán làm tài sản cơ sở của chứng quyền có bảo đảm.
3. Tổ chức phát hành chứng quyền (sau đây gọi tắt là tổ chức phát hành) là công ty chứng khoán phát hành chứng quyền có bảo đảm.
4. Ngân hàng lưu ký là ngân hàng thực hiện việc lưu ký, giám sát tài sản do tổ chức phát hành chứng quyền có bảo đảm ký quỹ để bảo đảm thanh toán cho các chứng quyền có bảo đảm đã phát hành.
5. Người sở hữu chứng quyền là nhà đầu tư sở hữu chứng quyền, đồng thời là chủ nợ có bảo đảm một phần của tổ chức phát hành và không phải là tổ chức phát hành chứng quyền.
6. Chứng quyền mua là loại chứng quyền mà người sở hữu chứng quyền được nhận khoản tiền chênh lệch khi giá thanh toán cao hơn giá thực hiện tại thời điểm thực hiện.
7. Giá thực hiện là mức giá được tổ chức phát hành xác định để làm cơ sở xác định khoản tiền phải thanh toán cho người sở hữu chứng quyền tại ngày đáo hạn. Giá thực hiện được làm tròn đến hàng đơn vị.
8. Tỷ lệ chuyển đổi là tỷ lệ giữa số lượng chứng quyền có bảo đảm cần có để quy đổi thành một đơn vị chứng khoán cơ sở. Tỷ lệ chuyển đổi được làm tròn đến bốn chữ số thập phân sau dấu phẩy.
9. Ngày đáo hạn là ngày mà người sở hữu chứng quyền có bảo đảm thực hiện chứng quyền và tổ chức phát hành chứng quyền phải thanh toán đối với chứng quyền có lãi.
10. Chứng quyền đang lưu hành là chứng quyền chưa đáo hạn và đang được nắm giữ bởi người sở hữu chứng quyền.
11. Chứng quyền chưa lưu hành là chứng quyền đã phát hành nhưng chưa được sở hữu bởi nhà đầu tư. Chứng quyền chưa lưu hành được lưu ký trên tài khoản của tổ chức phát hành.
12. Chứng quyền có lãi là chứng quyền có giá thực hiện thấp hơn giá thanh toán chứng quyền.
13. Vị thế phòng ngừa rủi ro lý thuyết là số lượng chứng khoán cơ sở dự kiến cần phải nắm giữ để phòng ngừa rủi ro cho chứng quyền xác định theo phương án phòng ngừa rủi ro của tổ chức phát hành.
14. Vị thế phòng ngừa rủi ro thực tế là vị thế được xác định bằng số lượng chứng khoán cơ sở thực có, số lượng chứng khoán cơ sở chờ về trên tài khoản tự doanh được dùng cho mục đích phòng ngừa rủi ro, số lượng chứng khoán phát sinh do thực hiện quyền (trả cổ tức bằng cổ phiếu, phát hành cổ phiếu để tăng vốn cổ phần từ nguồn vốn chủ sở hữu) từ chứng khoán thực có trên tài khoản tự doanh được dùng cho mục đích phòng ngừa rủi ro và số lượng chứng khoán quy đổi trong trường hợp tổ chức phát hành sử dụng chứng khoán phòng ngừa rủi ro là chứng khoán có cùng chứng khoán cơ sở của chứng quyền. Chứng khoán có cùng chứng khoán cơ sở của chứng quyền bao gồm chứng khoán thực có trên tài khoản tự doanh và chứng khoán chờ về tài khoản tự doanh.
15. Tỷ lệ cổ phiếu tự do chuyển nhượng là tỷ lệ khối lượng cổ phiếu tự do chuyển nhượng so với khối lượng cổ phiếu đang lưu hành trên thị trường.
Chương II
QUY ĐỊNH VỀ CHỨNG QUYỀN CÓ BẢO ĐẢM, CHỨNG KHOÁN CƠ
SỞ, HẠN MỨC CHÀO BÁN CHỨNG QUYỀN CÓ BẢO ĐẢM, ĐIỀU
CHỈNH CHỨNG QUYỀN CÓ BẢO ĐẢM, HOẠT ĐỘNG CỦA TỔ CHỨC
PHÁT HÀNH CHỨNG QUYỀN CÓ BẢO ĐẢM, THANH TOÁN VÀ
GIAO DỊCH CHỨNG QUYỀN CÓ BẢO ĐẢM
Mục 1
QUY ĐỊNH CHUNG VỀ CHỨNG QUYỀN CÓ BẢO ĐẢM
Điều 3. Quy định chung về chứng quyền có bảo đảm
1. Loại chứng quyền: chứng quyền mua.
2. Kiểu chứng quyền: chứng quyền mà người sở hữu chứng quyền chỉ được thực hiện quyền tại ngày đáo hạn.
3. Phương thức thực hiện chứng quyền: chứng quyền được thanh toán bằng tiền.
4. Thời hạn của chứng quyền: được tính từ ngày phát hành đến ngày đáo hạn tối thiểu là 03 tháng và tối đa là 02 năm. Trong đó, ngày phát hành là ngày bắt đầu nhận đăng ký mua chứng quyền theo thông báo của tổ chức phát hành tại bản thông báo phát hành.
5. Giá đăng ký chào bán chứng quyền: tối thiểu là 1.000 đồng/chứng quyền.
6. Số lượng chứng quyền đăng ký chào bán tối thiểu là 1.000.000 đơn vị và là bội số của 10.
7. Tên của chứng quyền không được trùng lặp hoặc gây hiểu nhầm với các loại chứng khoán khác đã phát hành, được viết bằng tiếng Việt, có thể kèm theo chữ số và kí hiệu, phát âm được và có ít nhất các thành tố sau đây:
a) Cụm từ “chứng quyền” kèm theo tên viết tắt của chứng khoán cơ sở và tên viết tắt của tổ chức phát hành;
b) Thời hạn của chứng quyền.
Mục 2
CHỨNG KHOÁN CƠ SỞ CỦA CHỨNG QUYỀN CÓ BẢO ĐẢM VÀ
HẠN MỨC CHÀO BÁN CHỨNG QUYỀN CÓ BẢO ĐẢM
Điều 4. Chứng khoán cơ sở của chứng quyền có bảo đảm
1. Tổ chức phát hành chỉ được chào bán chứng quyền dựa trên chứng khoán cơ sở là chứng khoán trong danh sách chứng khoán đáp ứng tiêu chí chào bán chứng quyền; không được chào bán chứng quyền dựa trên cổ phiếu của chính tổ chức phát hành và chứng khoán của tổ chức là người có liên quan của tổ chức phát hành theo quy định tại Luật Chứng khoán số 54/2019/QH14.
2. Chứng khoán cơ sở của chứng quyền là cổ phiếu niêm yết trên Sở giao dịch chứng khoán đáp ứng các tiêu chí sau:
a) Thuộc chỉ số VN30 hoặc HNX30 (trước thời điểm Sở giao dịch chứng khoán Thành phố Hồ Chí Minh hoàn thành việc tiếp nhận cổ phiếu của tổ chức niêm yết từ Sở giao dịch chứng khoán Hà Nội); Thuộc chỉ số VN30 (sau thời điểm Sở giao dịch chứng khoán Thành phố Hồ Chí Minh hoàn thành việc tiếp nhận cổ phiếu của tổ chức niêm yết từ Sở giao dịch chứng khoán Hà Nội);
b) Giá trị vốn hóa hàng ngày bình quân trong 06 tháng gần nhất tính đến ngày chốt dữ liệu xem xét từ 5.000 tỷ đồng trở lên;
c) Tổng khối lượng giao dịch trong 06 tháng gần nhất tính đến ngày chốt dữ liệu xem xét tối thiểu đạt 25% số lượng cổ phiếu tự do chuyển nhượng bình quân trong 06 tháng gần nhất, trong đó: số lượng cổ phiếu tự do chuyển nhượng bình quân trong 06 tháng gần nhất = (số lượng cổ phiếu tự do chuyển nhượng thời điểm đầu 06 tháng + số lượng cổ phiếu tự do chuyển nhượng thời điểm cuối 06 tháng)/2 hoặc giá trị giao dịch hàng ngày bình quân trong 06 tháng gần nhất tính đến ngày chốt dữ liệu xem xét từ 50 tỷ đồng/ngày trở lên;
d) Tỷ lệ cổ phiếu tự do chuyển nhượng tại ngày chốt dữ liệu xem xét từ 20% trở lên;
đ) Có thời gian niêm yết từ 06 tháng trở lên tính đến thời điểm xem xét. Trường hợp cổ phiếu chuyển sàn niêm yết thì thời gian niêm yết được tính là tổng thời gian niêm yết ở cả hai Sở giao dịch chứng khoán;
e) Kết quả hoạt động kinh doanh của tổ chức phát hành chứng khoán cơ sở có lãi và không có lỗ lũy kế căn cứ trên báo cáo tài chính gần nhất tính đến thời điểm xem xét, bao gồm báo cáo tài chính năm đã được kiểm toán hoặc báo cáo tài chính bán niên đã được soát xét hoặc được kiểm toán bởi tổ chức kiểm toán được chấp thuận thực hiện kiểm toán cho đơn vị có lợi ích công chúng thuộc lĩnh vực chứng khoán. Trường hợp tổ chức phát hành chứng khoán cơ sở là công ty mẹ thì kết quả hoạt động kinh doanh, lỗ lũy kế được căn cứ trên báo cáo tài chính hợp nhất. Trường hợp tổ chức phát hành chứng khoán cơ sở có đơn vị trực thuộc không có tư cách pháp nhân, kết quả hoạt động kinh doanh, lỗ lũy kế được căn cứ trên báo cáo tài chính tổng hợp;
g) Không đang trong tình trạng bị cảnh báo, kiểm soát, hạn chế giao dịch, tạm ngừng giao dịch, đình chỉ giao dịch, không trong diện hủy bỏ niêm yết theo quy chế của Sở giao dịch chứng khoán.
3. Ngày chốt dữ liệu xem xét là ngày giao dịch cuối cùng của các tháng 3, 6, 9 và 12 trong năm.
Điều 5. Hạn mức chào bán chứng quyền có bảo đảm
1. Tổng hạn mức được phép phát hành đối với từng chứng khoán cơ sở là số lượng cổ phiếu quy đổi từ các chứng quyền đã phát hành của tất cả các tổ chức phát hành không vượt quá 10% tổng số cổ phiếu tự do chuyển nhượng của tổ chức phát hành chứng khoán cơ sở. Số lượng cổ phiếu quy đổi từ chứng quyền = Số chứng quyền/Tỷ lệ chuyển đổi.
2. Hạn mức còn lại được phép chào bán đối với từng chứng khoán cơ sở
a) Hạn mức còn lại được phép chào bán đối với từng chứng khoán cơ sở = Tổng hạn mức được phép phát hành đối với từng chứng khoán cơ sở - Số lượng cổ phiếu quy đổi từ các chứng quyền đã phát hành.
b) Trường hợp đồng thời phát sinh nhiều hồ sơ đăng ký chào bán chứng quyền trên cùng một chứng khoán cơ sở dẫn đến vượt hạn mức còn được phép chào bán đối với chứng khoán cơ sở, Ủy ban Chứng khoán Nhà nước cấp Giấy chứng nhận đăng ký chào bán chứng quyền có bảo đảm cho tổ chức phát hành có hồ sơ đăng ký chào bán hợp lệ trước.
c) Khi tổng số lượng cổ phiếu quy đổi từ các chứng quyền đã phát hành thuộc tất cả các tổ chức phát hành vượt quá 9% so với tổng số lượng cổ phiếu tự do chuyển nhượng, tổ chức phát hành phải thực hiện giảm số lượng chứng quyền niêm yết chưa lưu hành theo quy định tại điểm b khoản 3 Điều 119a Nghị định số 155/2020/NĐ-CP được sửa đổi, bổ sung bởi khoản 46 Điều 1 Nghị định số 245/2025/NĐ-CP.
3. Hạn mức về số lượng cổ phiếu quy đổi từ chứng quyền đăng ký chào bán trong một đợt chào bán của một tổ chức phát hành: không vượt quá 1,5% tổng số cổ phiếu tự do chuyển nhượng của tổ chức phát hành chứng khoán cơ sở.
4. Hạn mức giá trị chứng quyền đăng ký chào bán
a) Tổng giá trị chứng quyền đã phát hành (không tính số lượng chứng quyền đã hủy bỏ niêm yết hoặc đã đáo hạn) và giá trị chứng quyền đăng ký chào bán của một tổ chức phát hành so với giá trị vốn khả dụng của tổ chức phát hành đó không được vượt quá các mức sau:
- 0% đối với tổ chức phát hành có tỷ lệ vốn khả dụng từ 180% đến 250%;
- 5% đối với tổ chức phát hành có tỷ lệ vốn khả dụng trên 250% đến 300%;
- 10% đối với tổ chức phát hành có tỷ lệ vốn khả dụng trên 300% đến 450%;
- 15% đối với tổ chức phát hành có tỷ lệ vốn khả dụng trên 450% đến 600%;
- 20% đối với tổ chức phát hành có tỷ lệ vốn khả dụng trên 600%.
b) Tỷ lệ vốn khả dụng để xét hạn mức quy định tại điểm a khoản này là tỷ lệ vốn khả dụng thấp nhất của 06 tháng gần nhất liền trước tháng nộp hồ sơ đăng ký chào bán chứng quyền, căn cứ trên báo cáo tỷ lệ an toàn tài chính hàng tháng của tổ chức phát hành gửi Ủy ban Chứng khoán Nhà nước. Trường hợp hồ sơ hợp lệ được nộp trong thời hạn 7 ngày làm việc kể từ ngày kết thúc tháng, tỷ lệ vốn khả dụng để xét hạn mức quy định tại điểm a khoản này được tính đến tháng trước đó liền kề.
c) Tổng giá trị chứng quyền đã phát hành quy định tại điểm a khoản này được tính như sau:
- Tổng giá trị chứng quyền đã phát hành = Giá chào bán (đối với chứng quyền chưa niêm yết) x Số lượng chứng quyền chưa niêm yết + Giá đóng cửa của chứng quyền tại ngày giao dịch gần nhất (đối với chứng quyền niêm yết) X Số lượng chứng quyền niêm yết.
- Trường hợp chưa xác lập giá giao dịch chứng quyền, giá trị chứng quyền được tính theo giá chào bán.
- Giá chào bán chứng quyền được xác định như sau:
+ Đối với chứng quyền chào bán lần đầu: Là giá chào bán được tổ chức phát hành thông báo tại Bản thông báo phát hành chứng quyền.
+ Đối với chứng quyền chào bán bổ sung: Là giá đóng cửa của chứng quyền vào ngày giao dịch liền trước ngày công bố Bản thông báo phát hành chứng quyền.
d) Tổng giá trị chứng quyền đăng ký chào bán quy định tại điểm a khoản này được tính bằng giá đăng ký chào bán nhân với số lượng chứng quyền đăng ký chào bán; trong đó giá đăng ký chào bán chứng quyền được xác định như sau:
- Đối với chứng quyền đăng ký chào bán lần đầu: Tổ chức phát hành có thể đăng ký một mức giá chào bán cụ thể hoặc đăng ký khoảng giá chào bán chứng quyền (bao gồm giá chào bán cao nhất dự kiến và giá chào bán thấp nhất dự kiến). Trường hợp tổ chức phát hành đăng ký khoảng giá chào bán chứng quyền, giá đăng ký chào bán để tính tổng giá trị chứng quyền là mức giá chào bán cao nhất dự kiến.
- Đối với chứng quyền đăng ký chào bán bổ sung: Là giá đóng cửa của chứng quyền vào ngày giao dịch liền trước ngày nộp hồ sơ đăng ký chào bán bổ sung.
5. Giảm hạn mức chào bán chứng quyền
a) Đối với mỗi lần tổ chức phát hành bị cảnh báo do không tuân thủ phương án phòng ngừa rủi ro theo quy định tại điểm c khoản 8 Điều 10 Thông tư này, tổ chức phát hành bị giảm 25% hạn mức về số lượng cổ phiếu quy đổi từ chứng quyền đăng ký chào bán trong các đợt chào bán kế tiếp của một tổ chức phát hành đối với các lần đăng ký chào bán kế tiếp trong vòng 3 tháng.
b) Trường hợp tổ chức phát hành bị cảnh báo quá 03 lần trong vòng 03 tháng gần nhất, tổ chức phát hành không được chào bán chứng quyền trong vòng 06 tháng kể từ lần cảnh báo gần nhất.
6. Khi đăng ký chào bán chứng quyền, tổ chức phát hành phải đáp ứng quy định về hạn mức chào bán chứng quyền. Hạn mức chào bán chứng quyền quy định tại Điều này được áp dụng trong thời gian Ủy ban Chứng khoán Nhà nước xem xét Hồ sơ đăng ký chào bán chứng quyền có bảo đảm ra công chúng.
Điều 6. Công bố danh sách chứng khoán đáp ứng tiêu chí làm chứng khoán cơ sở của chứng quyền có bảo đảm và hạn mức còn lại được phép chào bán
1. Định kỳ hàng quý, trong vòng 07 ngày làm việc đầu tiên của quý tiếp theo, Sở giao dịch chứng khoán công bố danh sách chứng khoán đáp ứng tiêu chí làm chứng khoán cơ sở của chứng quyền và hạn mức còn được phép chào bán đối với từng chứng khoán cơ sở theo Quy chế của Sở giao dịch chứng khoán Việt Nam. Trường hợp chứng khoán thuộc danh sách trên không còn đáp ứng tiêu chí là chứng khoán cơ sở của chứng quyền hoặc có thay đổi về hạn mức còn được phép chào bán đối với từng chứng khoán cơ sở, Sở giao dịch chứng khoán công bố trong vòng 24 giờ kể từ khi có quyết định loại bỏ chứng khoán ra khỏi danh sách chứng khoán cơ sở hoặc kể từ khi có thay đổi về hạn mức còn được phép chào bán đối với từng chứng khoán cơ sở. Chứng quyền đã được phát hành dựa trên chứng khoán cơ sở bị loại vẫn có hiệu lực đến ngày đáo hạn và được thực hiện quyền theo phương thức đã được công bố tại Bản cáo bạch.
2. Ủy ban Chứng khoán Nhà nước có trách nhiệm giám sát việc công bố danh sách chứng khoán đáp ứng tiêu chí làm chứng khoán cơ sở chào bán chứng quyền của Sở giao dịch chứng khoán và có quyền yêu cầu Sở giao dịch chứng khoán loại bỏ chứng khoán ra khỏi danh sách trên.
Mục 3
HOẠT ĐỘNG CỦA TỔ CHỨC PHÁT HÀNH CHỨNG QUYỀN CÓ BẢO ĐẢM
Điều 7. Mẫu Bản cáo bạch, Bản thông báo phát hành và báo cáo kết quả phân phối
Tổ chức phát hành chứng quyền có bảo đảm lập Bản cáo bạch, Bản thông báo phát hành và Báo cáo kết quả phân phối theo quy định sau:
1. Bản cáo bạch theo Mẫu tại Phụ lục số I ban hành kèm theo Thông tư này. Tổ chức phát hành phải chịu trách nhiệm thực hiện các nghĩa vụ đối với người sở hữu chứng quyền theo các nội dung tại Bản cáo bạch;
2. Bản thông báo phát hành theo Mẫu tại Phụ lục số II ban hành kèm theo Thông tư này;
3. Báo cáo kết quả phân phối theo Mẫu tại Phụ lục số III ban hành kèm theo Thông tư này.
4. Tổ chức phát hành khi lập Bản cáo bạch theo mẫu tại khoản 1 Điều này phải đảm bảo các quy định sau:
a) Thông tin công bố trong Bản cáo bạch phải rõ ràng, chính xác, trung thực, không mâu thuẫn và có đầy đủ những nội dung có thể ảnh hưởng đến quyết định của nhà đầu tư; bao gồm các thông tin liên quan đến đợt phát hành chứng quyền, trong đó nêu rõ điều khoản về quyền của người sở hữu chứng quyền, phương án bảo đảm thực hiện các nghĩa vụ của tổ chức phát hành đối với người sở hữu chứng quyền trong các trường hợp đặc biệt;
b) Các thông tin quan trọng, thông tin mang tính so sánh trong Bản cáo bạch phải được nêu rõ nguồn tham chiếu thông tin;
c) Ngôn từ trong Bản cáo bạch phải đơn giản, dễ hiểu; trường hợp sử dụng từ viết tắt, thuật ngữ chuyên ngành, kỹ thuật phải kèm theo giải thích rõ ràng. Bản cáo bạch phải được lập với hình thức rõ ràng, phông chữ và cỡ chữ được trình bày đảm bảo dễ đọc.
Điều 8. Điều chỉnh chứng quyền có bảo đảm khi chứng khoán cơ sở có thay đổi
1. Tổ chức phát hành phải điều chỉnh giá thực hiện, tỷ lệ chuyển đổi và các nội dung khác của chứng quyền trong các trường hợp giá chứng khoán cơ sở bị điều chỉnh và các trường hợp khác theo hướng dẫn tại quy chế của Sở giao dịch chứng khoán.
2. Các trường hợp phải điều chỉnh chứng quyền, cách thức điều chỉnh chứng quyền phải được công bố tại Bản cáo bạch theo hướng dẫn tại quy chế của Sở giao dịch chứng khoán.
Điều 9. Hoạt động tạo lập thị trường
1. Tổ chức phát hành có trách nhiệm thực hiện hoạt động tạo lập thị trường để tạo thanh khoản cho chứng quyền mà tổ chức đó phát hành. Giao dịch tạo lập thị trường thực hiện trên tài khoản tự doanh của tổ chức phát hành theo quy chế của Sở giao dịch chứng khoán.
2. Chứng quyền trong tài khoản tự doanh của tổ chức phát hành dùng cho hoạt động tạo lập thị trường không được sử dụng để cầm cố, thế chấp, ký quỹ, cho vay hoặc làm tài sản bảo đảm.
3. Sở giao dịch chứng khoán hướng dẫn quyền và nghĩa vụ của tổ chức phát hành khi thực hiện chức năng tạo lập thị trường tại quy chế của Sở giao dịch chứng khoán.
Điều 10. Hoạt động phòng ngừa rủi ro
1. Việc ban hành các quy trình, quy chế
a) Tổ chức phát hành chứng quyền có bảo đảm phải ban hành các quy trình nghiệp vụ (bao gồm quy trình về chào bán, lưu ký, niêm yết, tạo lập thị trường, phòng ngừa rủi ro, thực hiện chứng quyền) và quy trình kiểm soát nội bộ đảm bảo phù hợp với quy định pháp luật và đặc điểm hoạt động của công ty.
b) Tổ chức phát hành phải có quy trình quản trị rủi ro được cấp có thẩm quyền thông qua theo quy định về hoạt động của công ty chứng khoán, Điều lệ công ty và bao gồm các nội dung tối thiểu theo Mẫu tại Phụ lục số IV ban hành kèm theo Thông tư này. Tổ chức phát hành phải bố trí tối thiểu 01 nhân viên có chứng chỉ hành nghề phân tích tài chính hoặc chứng chỉ hành nghề quản lý quỹ hoặc chứng chỉ phân tích tài chính bậc II (CFA level II) tại vị trí quản lý rủi ro liên quan đến hoạt động phát hành chứng quyền.
c) Sở giao dịch chứng khoán có trách nhiệm xây dựng và ban hành quy chế giám sát hoạt động phòng ngừa rủi ro của tổ chức phát hành sau khi đã được Ủy ban Chứng khoán Nhà nước chấp thuận, trong đó bao gồm các hình thức xử lý vi phạm trong trường hợp tổ chức không tuân thủ phương án phòng ngừa rủi ro theo quy định tại Thông tư này.
2. Tổ chức phát hành phải đảm bảo có đủ số lượng chứng khoán cơ sở để phòng ngừa rủi ro cho chứng quyền đang lưu hành theo Phương án đảm bảo thanh toán và phương án phòng ngừa rủi ro. Tổ chức phát hành phải ban hành Phương án đảm bảo thanh toán và phương án phòng ngừa rủi ro theo Mẫu tại Phụ lục số V ban hành kèm theo Thông tư này.
3. Tài sản ký quỹ tại ngân hàng lưu ký phải được ký quỹ trong suốt thời gian có hiệu lực của chứng quyền và cho đến khi tổ chức phát hành hoàn tất nghĩa vụ thanh toán đối với nhà đầu tư sở hữu chứng quyền. Giá trị tài sản ký quỹ phải duy trì tối thiểu là 50% giá trị chứng quyền đã phát hành, không tính số chứng quyền đã hủy bỏ niêm yết. Tài sản này không được dùng để cầm cố, thế chấp, làm tài sản bảo đảm cho các khoản vay hoặc các nghĩa vụ tài chính khác của tổ chức phát hành hay của bất cứ bên thứ ba khác.
4. Hoạt động phòng ngừa rủi ro được thực hiện trên tài khoản tự doanh của tổ chức phát hành. Hoạt động phòng ngừa rủi ro của tổ chức phát hành bao gồm các giao dịch mua, bán, vay và các giao dịch khác phù hợp với quy định pháp luật, bảo đảm hạn mức đầu tư chứng khoán cơ sở của tổ chức kinh doanh chứng khoán và bảo đảm các quy định sau:
a) Chứng khoán trong giao dịch phòng ngừa rủi ro bao gồm chứng khoán cơ sở và các chứng khoán phát hành dựa trên chứng khoán cơ sở đó phù hợp với quy định pháp luật;
b) Chứng khoán dùng cho mục đích phòng ngừa rủi ro không được sử dụng để cầm cố, thế chấp, ký quỹ, cho vay hoặc làm tài sản bảo đảm;
c) Tổ chức phát hành có trách nhiệm quản lý, hạch toán độc lập danh mục chứng khoán phòng ngừa rủi ro và đáp ứng yêu cầu về mức độ phòng ngừa rủi ro theo quy chế của Sở giao dịch chứng khoán.
5. Tổ chức phát hành thực hiện phòng ngừa rủi ro để đảm bảo độ chênh lệch giữa vị thế phòng ngừa rủi ro lý thuyết và vị thế phòng ngừa rủi ro thực tế tại cuối ngày giao dịch không vượt quá 20%. Vị thế phòng ngừa rủi ro thực tế và vị thế phòng ngừa rủi ro lý thuyết của từng đợt phát hành được xác định theo quy định tại Điều 11 Thông tư này.
6. Kể từ ngày niêm yết chứng quyền, hàng ngày tổ chức phát hành có trách nhiệm gửi báo cáo Sở giao dịch chứng khoán về hoạt động phòng ngừa rủi ro, bao gồm thông tin về vị thế phòng ngừa rủi ro thực tế và vị thế phòng ngừa rủi ro lý thuyết của từng chứng quyền theo quy chế của Sở giao dịch chứng khoán và chịu trách nhiệm về tính chính xác, đầy đủ của các số liệu trong báo cáo.
7. Sở giao dịch chứng khoán giám sát chênh lệch vị thế phòng ngừa rủi ro theo từng chứng quyền. Sở giao dịch chứng khoán có quyền yêu cầu tổ chức phát hành giải trình các thông số tính toán vị thế phòng ngừa rủi ro lý thuyết trường hợp xét thấy các thông số đó được đưa ra chưa hợp lý.
8. Trường hợp tổ chức phát hành không tuân thủ phương án phòng ngừa rủi ro, Sở giao dịch chứng khoán áp dụng các biện pháp xử lý như sau:
a) Gửi thông báo yêu cầu tổ chức phát hành điều chỉnh vị thế phòng ngừa rủi ro thực tế nếu chênh lệch giữa vị thế phòng ngừa rủi ro lý thuyết và vị thế phòng ngừa rủi ro thực tế trên 20% trong vòng 03 ngày làm việc liên tục và không thuộc trường hợp quy định tại điểm b khoản này. Trong thời hạn 03 ngày làm việc kể từ ngày Sở giao dịch chứng khoán có thông báo, tổ chức phát hành phải thực hiện phòng ngừa rủi ro để giảm chênh lệch xuống bằng hoặc dưới 20%.
b) Yêu cầu tổ chức phát hành điều chỉnh vị thế phòng ngừa rủi ro thực tế hoặc nộp tiền tương ứng với phần chênh lệch giữa vị thế phòng ngừa rủi ro lý thuyết và vị thế phòng ngừa rủi ro thực tế tính theo giá đóng cửa của chứng khoán cơ sở tại ngày tính toán nếu chênh lệch này vượt quá 50% trong 03 ngày làm việc liên tục. Trong thời hạn 03 ngày làm việc kể từ ngày Sở giao dịch chứng khoán có thông báo yêu cầu, tổ chức phát hành phải điều chỉnh vị thế phòng ngừa rủi ro thực tế hoặc nộp khoản tiền này vào tài khoản tự doanh. Trường hợp tổ chức phát hành nộp tiền vào tài khoản tự doanh, trong thời hạn 07 ngày làm việc kể từ nộp tiền vào tài khoản, tổ chức phát hành phải thực hiện điều chỉnh vị thế phòng ngừa rủi ro thực tế để giảm chênh lệch xuống bằng hoặc dưới 20%.
c) Cảnh báo trên toàn thị trường nếu tổ chức phát hành không thực hiện phòng ngừa rủi ro theo yêu cầu của Sở giao dịch chứng khoán nêu tại điểm a khoản này sau khi Sở giao dịch chứng khoán gửi thông báo yêu cầu đến lần thứ ba hoặc không thực hiện theo quy định tại điểm b khoản này.
d) Chứng quyền được đưa ra khỏi diện cảnh báo nếu tổ chức phát hành duy trì được mức chênh lệch giữa vị thế phòng ngừa rủi ro lý thuyết và vị thế phòng ngừa rủi ro thực tế không vượt quá 20% trong vòng 30 ngày giao dịch liên tục kể từ ngày cảnh báo hoặc tổ chức phát hành đã nộp tiền theo quy định tại điểm b khoản này.
9. Định kỳ hàng tháng, Sở giao dịch chứng khoán báo cáo Ủy ban Chứng khoán Nhà nước về các trường hợp quy định tại khoản 8 Điều này.
Điều 11. Vị thế phòng ngừa rủi ro
1. Tổ chức phát hành sử dụng phương án phòng ngừa rủi ro dựa trên hệ số Delta với chứng khoán phòng ngừa rủi ro là chứng khoán cơ sở của chứng quyền hoặc sử dụng phương án phòng ngừa rủi ro khác.
2. Trường hợp tổ chức phát hành sử dụng phương án phòng ngừa rủi ro dựa trên hệ số Delta với chứng khoán phòng ngừa rủi ro là chứng khoán cơ sở của chứng quyền, vị thế phòng ngừa rủi ro được xác định như sau:
a) Vị thế phòng ngừa rủi ro lý thuyết được xác định như sau:
P = Delta x OI/k
Trong đó:
P: Số lượng chứng khoán cơ sở dự kiến nắm giữ để phòng ngừa rủi ro cho chứng quyền.
Delta: Hệ số phòng ngừa rủi ro delta, là giá trị thay đổi của giá chứng quyền ứng với một thay đổi trong giá chứng khoán cơ sở, được tính dựa trên công thức theo Phụ lục số VI ban hành kèm theo Thông tư này.
OI trong công thức xác định vị thế phòng ngừa rủi ro lý thuyết được tính bằng số lượng chứng quyền đang lưu hành của đợt phát hành cộng với số lượng chứng quyền đã bán từ tài khoản tự doanh của tổ chức phát hành nhưng chưa được Tổng công ty lưu ký và bù trừ chứng khoán Việt Nam thực hiện bút toán ghi sổ vào tài khoản của nhà đầu tư trừ đi chứng quyền chờ về tài khoản tự doanh của tổ chức phát hành.
k: Tỷ lệ chuyển đổi của chứng quyền.
b) Độ chênh lệch giữa vị thế phòng ngừa rủi ro lý thuyết và vị thế phòng ngừa rủi ro thực tế trong ngày T của chứng quyền được xác định như sau:
∆ pT% = (PT - pT)/PT x 100 %
Trong đó:
∆ pT %: Độ chênh lệch giữa vị thế phòng ngừa rủi ro lý thuyết và vị thế phòng ngừa rủi ro thực tế trong ngày T.
PT: Vị thế phòng ngừa rủi ro lý thuyết trong ngày T của chứng quyền.
pT: Vị thế phòng ngừa rủi ro thực tế trong ngày T của chứng quyền.
3. Trường hợp tổ chức phát hành sử dụng chứng khoán phòng ngừa rủi ro là chứng khoán có cùng chứng khoán cơ sở của chứng quyền, tổ chức phát hành nêu rõ công thức quy đổi trong phương án phòng ngừa rủi ro và có trách nhiệm quy đổi phù hợp với số lượng chứng khoán cơ sở khi báo cáo thông tin về hoạt động phòng ngừa rủi ro hàng ngày cho Sở giao dịch chứng khoán.
4. Trường hợp tổ chức phát hành áp dụng các phương án phòng ngừa rủi ro khác, tổ chức phát hành nêu rõ cách xác định vị thế phòng ngừa rủi ro trong phương án phòng ngừa rủi ro.
Điều 12. Thực hiện chứng quyền có bảo đảm
1. Tổ chức phát hành có nghĩa vụ thực hiện chứng quyền theo phương thức thanh toán bằng tiền. Số tiền thanh toán được tính toán dựa trên giá thanh toán và giá thực hiện. Giá thanh toán chứng quyền khi thực hiện quyền là bình quân giá đóng cửa của cổ phiếu cơ sở trong 05 ngày giao dịch liền trước ngày đáo hạn, không bao gồm ngày đáo hạn. Trường hợp giá chứng khoán cơ sở bị điều chỉnh theo Quy chế của Sở giao dịch chứng khoán trong 05 ngày giao dịch liền trước ngày đáo hạn, giá đóng cửa của cổ phiếu cơ sở vào những ngày trước ngày giao dịch không hưởng quyền sẽ được điều chỉnh tương ứng. Tổ chức phát hành xác định mức giá thanh toán làm căn cứ tính số tiền thanh toán và công bố mức giá này đối với các chứng quyền đang lưu hành vào ngày đáo hạn.
2. Nhà đầu tư chỉ được yêu cầu thực hiện quyền đối với chứng quyền có lãi hiện có trên tài khoản lưu ký của nhà đầu tư tại ngày thực hiện. Chứng quyền trong tài khoản tự doanh của công ty chứng khoán mà do chính công ty chứng khoán phát hành không được thực hiện.
3. Trên cơ sở văn bản thông báo của tổ chức phát hành, Tổng công ty lưu ký và bù trừ chứng khoán Việt Nam lập danh sách người sở hữu chứng quyền tại ngày đáo hạn, tính toán và phân bổ tiền theo phương thức thực hiện chứng quyền được quy định khoản 3 Điều 3 Thông tư này.
4. Nguồn tài sản dùng để thanh toán cho người sở hữu chứng quyền bao gồm:
a) Tài sản có trên tài khoản ký quỹ tại ngân hàng lưu ký;
b) Tài sản phòng ngừa rủi ro và các tài sản khác có trên tài khoản tự doanh;
c) Bảo lãnh thanh toán hoặc tài sản khác (nếu có).
Trường hợp không đủ tài sản để thanh toán thực hiện chứng quyền, việc giải quyết quyền lợi cho người sở hữu chứng quyền thực hiện theo quy định pháp luật liên quan áp dụng đối với chủ nợ có bảo đảm một phần.
5. Trong vòng 05 ngày làm việc kể từ ngày đáo hạn, công ty chứng khoán, thành viên lưu ký, tổ chức phát hành có trách nhiệm phối hợp với Tổng công ty lưu ký và bù trừ chứng khoán Việt Nam thực hiện thanh toán tiền cho nhà đầu tư theo quy chế của Tổng công ty lưu ký và bù trừ chứng khoán Việt Nam.
6. Thực hiện chứng quyền trong trường hợp hủy bỏ niêm yết chứng quyền theo quy định tại điểm a, b, d, e khoản 6 Điều 120 Nghị định số 155/2020/NĐ-CP được thực hiện theo trình tự sau:
a) Trong vòng 24 giờ kể từ ngày có quyết định hủy bỏ niêm yết chứng quyền, tổ chức phát hành phải công bố cách thức xác định giá thanh toán chứng quyền cho người sở hữu chứng quyền từ ngày hủy bỏ niêm yết có hiệu lực. Cách thức xác định mức giá này cũng phải phù hợp với nội dung tại Bản cáo bạch và theo quy chế của Sở giao dịch chứng khoán;
b) Kể từ ngày công bố thông tin theo quy định tại điểm a khoản này đến ngày liền trước ngày hủy bỏ niêm yết có hiệu lực, tổ chức phát hành thực hiện việc mua lại chứng quyền thông qua hoạt động tạo lập thị trường. Giá mua lại được xác định theo mức giá thị trường và theo quy chế của Sở giao dịch chứng khoán;
c) Kể từ ngày hủy bỏ niêm yết có hiệu lực, tổ chức phát hành có trách nhiệm phối hợp với Tổng công ty lưu ký và bù trừ chứng khoán Việt Nam thanh toán tiền cho các nhà đầu tư vẫn nắm giữ chứng quyền theo mức giá được tính theo quy định tại điểm a khoản này. Việc thanh toán tiền được thực hiện theo quy chế của Tổng công ty lưu ký và bù trừ chứng khoán Việt Nam.
Điều 13. Các biện pháp xử lý đặc biệt
1. Các biện pháp xử lý đặc biệt được tiến hành trong các trường hợp sau:
a) Tổ chức phát hành không thực hiện chứng quyền theo quy định tại Điều 12 Thông tư này trong thời hạn 03 tháng kể từ ngày đến hạn thanh toán;
b) Tổ chức phát hành hợp nhất, sáp nhập, giải thể, phá sản;
c) Các trường hợp cần thiết theo yêu cầu của Sở giao dịch chứng khoán.
2. Các biện pháp xử lý đặc biệt bao gồm:
a) Đối với trường hợp quy định tại điểm a khoản 1 Điều này, tổ chức phát hành có trách nhiệm giải quyết quyền lợi cho người sở hữu chứng quyền theo đề nghị của người sở hữu chứng quyền. Tổ chức phát hành phải trả lãi quá hạn theo lãi suất cơ bản do Ngân hàng Nhà nước công bố tương ứng với thời hạn quá hạn thanh toán tính từ ngày đến hạn thanh toán cho nhà đầu tư;
b) Đối với các trường hợp quy định tại điểm b khoản 1 Điều này, việc giải quyết quyền lợi cho người sở hữu chứng quyền thực hiện theo quy định pháp luật liên quan về hợp nhất, sáp nhập, giải thể, phá sản doanh nghiệp;
c) Đối với trường hợp quy định tại điểm c khoản 1 Điều này, việc giải quyết quyền lợi cho người sở hữu chứng quyền thực hiện từ nguồn tài sản theo quy định tại khoản 4 Điều 12 Thông tư này.
3. Việc thanh toán cho người sở hữu chứng quyền theo quy định tại khoản 2 Điều này được xác định trên cơ sở số lượng chứng quyền sở hữu và giá trị chứng quyền, trong đó giá trị chứng quyền được tính trên cơ sở giá đóng cửa vào ngày xảy ra sự kiện phải thanh toán, hay giá đóng cửa gần nhất so với ngày xảy ra sự kiện (nếu không thể xác định được giá đóng cửa tại ngày xảy ra sự kiện phải thanh toán) bảo đảm phù hợp với quy định pháp luật liên quan.
Mục 4
THANH TOÁN, GIAO DỊCH CHỨNG QUYỀN CÓ BẢO ĐẢM
Điều 14. Hoạt động giao dịch, thanh toán giao dịch chứng quyền có bảo đảm của nhà đầu tư
1. Chứng quyền chào bán ra công chúng được giao dịch thông qua hệ thống giao dịch của Sở giao dịch chứng khoán theo pháp luật về giao dịch chứng quyền có bảo đảm niêm yết trên hệ thống giao dịch chứng khoán và hướng dẫn tại quy chế của Sở giao dịch chứng khoán. Ngoài các trường hợp chứng quyền bị tạm ngừng giao dịch theo quy định chung về tạm ngừng giao dịch chứng khoán, chứng quyền bị tạm ngừng giao dịch khi chứng khoán cơ sở của chứng quyền bị tạm ngừng giao dịch. Sở giao dịch chứng khoán có trách nhiệm xây dựng và ban hành quy chế hướng dẫn về giao dịch chứng quyền sau khi được Ủy ban Chứng khoán Nhà nước chấp thuận.
2. Hoạt động thanh toán giao dịch chứng quyền thực hiện theo quy định của pháp luật về hoạt động thanh toán giao dịch chứng khoán và quy chế của Tổng công ty lưu ký và bù trừ chứng khoán Việt Nam.
3. Sau khi hoàn tất thanh toán giao dịch mua chứng quyền, nhà đầu tư trở thành người sở hữu chứng quyền, tổ chức phát hành phải chịu trách nhiệm thực hiện các nghĩa vụ phát sinh từ chứng quyền mà nhà đầu tư sở hữu.
4. Tổ chức phát hành chứng khoán cơ sở không được đầu tư, giao dịch chứng quyền dựa trên chứng khoán của tổ chức đó.
5. Nhà đầu tư nước ngoài không bị hạn chế tỷ lệ sở hữu chứng quyền có bảo đảm.
Chương III
THÔNG TIN GIỚI THIỆU SẢN PHẨM, BÁO CÁO VÀ
CÔNG BỐ THÔNG TIN
Điều 15. Quy định về thông tin giới thiệu sản phẩm chứng quyền có bảo đảm
1. Trong thời gian Ủy ban Chứng khoán Nhà nước xem xét hồ sơ đăng ký chào bán chứng quyền ra công chúng, tổ chức phát hành chỉ được sử dụng các thông tin trong Bản cáo bạch đã gửi Ủy ban Chứng khoán Nhà nước để thăm dò thị trường, trong đó phải nêu rõ các thông tin về ngày phát hành và giá chào bán là thông tin dự kiến theo quy định tại Điều 24 Luật số 54/2019/QH14.
2. Tài liệu, thông tin giới thiệu về chứng quyền phải có nội dung đầy đủ, chính xác, rõ ràng và không gây hiểu nhầm về chứng quyền là công cụ tài chính có thu nhập ổn định hoặc được bảo đảm về lợi nhuận; không được bao hàm các nhận định khiến nhà đầu tư hiểu nhầm là giá trị khoản đầu tư luôn luôn gia tăng hoặc được bảo đảm.
3. Tài liệu thông tin giới thiệu về chứng quyền phải khuyến cáo nhà đầu tư về các loại hình rủi ro khi đầu tư vào chứng quyền, giải thích rõ về các phương án phòng ngừa rủi ro.
4. Tổ chức phát hành và các tổ chức, cá nhân có liên quan phải chịu trách nhiệm về nội dung, tính pháp lý về thông tin, tài liệu giới thiệu sản phẩm chứng quyền của mình.
Điều 16. Nghĩa vụ báo cáo và công bố thông tin của tổ chức phát hành chứng quyền có bảo đảm
1. Tổ chức phát hành phải gửi báo cáo định kỳ dưới hình thức văn bản điện tử trên hệ thống cơ sở dữ liệu/hệ thống công bố thông tin của Ủy ban Chứng khoán Nhà nước và Sở giao dịch chứng khoán về chứng quyền như sau:
a) Báo cáo về hoạt động phòng ngừa rủi ro và số lượng đã chào bán trong ngày theo Phụ lục số VII ban hành kèm theo Thông tư này chậm nhất vào 17 giờ ngày làm việc tiếp theo;
b) Báo cáo định kỳ hàng tháng trong thời hạn 10 ngày kể từ ngày kết thúc tháng theo Phụ lục số VIII ban hành kèm theo Thông tư này.
2. Thời gian chốt số liệu đối với báo cáo định kỳ quy định tại khoản 1 Điều này như sau:
a) Đối với báo cáo ngày: chốt tại thời điểm 17 giờ của ngày báo cáo;
b) Đối với báo cáo tháng: tính từ ngày đầu tiên của tháng báo cáo đến ngày cuối cùng của tháng báo cáo.
3. Ngoài các nghĩa vụ công bố thông tin khác theo quy định pháp luật, tổ chức phát hành phải công bố thông tin bất thường trong vòng 24 giờ kể từ khi xảy ra một trong các sự kiện sau đây:
a) Khi tổ chức phát hành điều chỉnh chứng quyền theo quy định tại Điều 8 Thông tư này;
b) Khi tổ chức phát hành không tuân thủ về tài sản ký quỹ theo quy định tại khoản 3 Điều 10 Thông tư này;
c) Quyết định thay đổi về ngân hàng lưu ký, ngân hàng bảo lãnh thanh toán (nếu có) hoặc khi nhận được thông báo ngân hàng lưu ký bị giải thể, phá sản hoặc bị kiểm soát đặc biệt theo quy định pháp luật ngân hàng;
d) Khi nhận được yêu cầu của Ủy ban Chứng khoán Nhà nước, Sở giao dịch chứng khoán nơi tổ chức phát hành niêm yết chứng quyền về các sự kiện ảnh hưởng nghiêm trọng đến lợi ích hợp pháp của nhà đầu tư; thông tin liên quan đến công ty ảnh hưởng lớn đến giá chứng quyền và cần phải xác nhận thông tin đó.
4. Tổ chức phát hành thực hiện công bố thông tin liên quan đến chào bán, phát hành, niêm yết, giao dịch, hủy bỏ niêm yết chứng quyền có bảo đảm theo quy định của pháp luật về công bố thông tin và theo Quy chế của Sở giao dịch chứng khoán.
5. Tổ chức phát hành thực hiện công bố thông tin trên phương tiện công bố thông tin theo quy định pháp luật về công bố thông tin trên thị trường chứng khoán.
6. Tổ chức phát hành được miễn trừ nghĩa vụ báo cáo và công bố thông tin của cổ đông lớn đối với phần sở hữu chứng khoán cho mục đích phòng ngừa rủi ro tính theo vị thế phòng ngừa rủi ro lý thuyết.
7. Tối thiểu 10 ngày làm việc trước ngày đáo hạn của chứng quyền, tổ chức phát hành công bố thông tin và gửi Sở giao dịch chứng khoán về việc đáo hạn và thanh toán cho người sở hữu chứng quyền theo Phụ lục số IX ban hành kèm theo Thông tư này.
Điều 17. Nghĩa vụ báo cáo và công bố thông tin của nhà đầu tư
1. Người nội bộ của tổ chức phát hành chứng khoán cơ sở và người có liên quan của đối tượng này khi tham gia giao dịch chứng quyền dựa trên chứng khoán cơ sở đó phải báo cáo và công bố thông tin tương tự như khi tham gia giao dịch cổ phiếu theo quy định pháp luật về báo cáo và công bố thông tin áp dụng đối với người nội bộ và người có liên quan của người nội bộ.
2. Sở giao dịch chứng khoán có trách nhiệm xây dựng và ban hành quy chế hướng dẫn tổ chức phát hành, các tổ chức cung cấp dịch vụ liên quan và nhà đầu tư công bố thông tin liên quan đến chứng quyền theo quy định.
Điều 18. Nghĩa vụ báo cáo của ngân hàng lưu ký
1. Trong vòng 10 ngày kể từ ngày kết thúc tháng, ngân hàng lưu ký lập và gửi cho Ủy ban Chứng khoán Nhà nước báo cáo giám sát tháng về tài sản ký quỹ của tổ chức phát hành theo Phụ lục số X ban hành kèm theo Thông tư này. Báo cáo giám sát của ngân hàng lưu ký phải đánh giá việc tuân thủ các quy định của pháp luật, quy định tại Bản cáo bạch như sau:
a) Đánh giá tính tuân thủ của tổ chức phát hành trong hoạt động ký quỹ;
b) Các vi phạm (nếu có) của tổ chức phát hành và kiến nghị hướng giải quyết, khắc phục.
2. Phương thức gửi báo cáo và thời gian chốt số liệu thực hiện theo quy định tại khoản 1 và khoản 2 Điều 16 Thông tư này.
3. Ngân hàng lưu ký có nghĩa vụ báo cáo Ủy ban Chứng khoán Nhà nước trong thời hạn 24 giờ kể từ khi vi phạm của tổ chức phát hành được phát hiện hoặc các trường hợp khác theo yêu cầu của Ủy ban Chứng khoán Nhà nước.
Chương IV
ĐIỀU KHOẢN THI HÀNH
Điều 19. Tổ chức thực hiện
1. Thông tư này có hiệu lực thi hành kể từ ngày 06 tháng 02 năm 2026 và thay thế Thông tư số 107/2016/TT-BTC ngày 29 tháng 06 năm 2016 của Bộ trưởng Bộ Tài chính hướng dẫn chào bán và giao dịch chứng quyền có bảo đảm.
2. Ủy ban Chứng khoán Nhà nước, các Sở giao dịch chứng khoán, Tổng công ty lưu ký và bù trừ chứng khoán Việt Nam, công ty chứng khoán, các tổ chức, cá nhân khác có liên quan chịu trách nhiệm thi hành Thông tư này.
3. Trường hợp các văn bản quy phạm pháp luật được dẫn chiếu để áp dụng tại Thông tư này được sửa đổi, bổ sung, thay thế thì sẽ áp dụng theo các văn bản sửa đổi, bổ sung, thay thế đó.
4. Trong quá trình thực hiện, nếu có vướng mắc, đề nghị các tổ chức, cá nhân phản ánh về Bộ Tài chính để nghiên cứu sửa đổi, bổ sung cho phù hợp./.
| Nơi nhận: - Ban Bí thư Trung ương Đảng; - Văn phòng Trung ương và các Ban của Đảng; - Văn phòng Tổng Bí thư; - Văn phòng Chính phủ; - Văn phòng Quốc hội; - Văn phòng Chủ tịch nước; - Hội đồng Dân tộc và các Ủy ban của Quốc hội; - Thủ tướng, các Phó Thủ tướng Chính phủ; - Văn phòng Ban chỉ đạo TW về phòng, chống tham nhũng; - Các Bộ, cơ quan ngang Bộ; cơ quan thuộc Chính phủ; - HĐND, UBND các tỉnh, thành phố trực thuộc Trung ương; - Tòa án Nhân dân tối cao; Viện Kiểm sát Nhân dân tối cao; - Kiểm toán Nhà nước; - Cơ quan TW của các đoàn thể; - Công báo; cổng thông tin điện tử Chính phủ; - Cục kiểm tra văn bản và Quản lý xử lý vi phạm hành chính - Bộ Tư pháp; - Các đơn vị thuộc Bộ Tài chính; - Cổng thông tin điện tử Bộ Tài chính; - Cổng thông tin điện tử Ủy ban Chứng khoán Nhà nước; - Lưu: VT, UBCK (02b).70 | KT. BỘ TRƯỞNG THỨ TRƯỞNG |
Phụ lục số I
MẪU BẢN CÁO BẠCH CHÀO BÁN CHỨNG QUYỀN CÓ BẢO ĐẢM
(Kèm theo Thông tư số 122/2025/TT-BTC ngày 22 tháng 12 năm 2025
của Bộ trưởng Bộ Tài chính)
(trang bìa)
| Ủy ban Chứng khoán Nhà nước cấp Giấy chứng nhận đăng ký chào bán chứng quyền có bảo đảm chỉ có nghĩa là hồ sơ đăng ký chào bán chứng quyền có bảo đảm của tổ chức phát hành đã đáp ứng đủ điều kiện, thủ tục theo quy định của pháp luật liên quan, không hàm ý bảo đảm về nội dung của Bản cáo bạch, không hàm ý việc đầu tư vào chứng quyền có bảo đảm được bảo đảm hay được thanh toán đầy đủ cũng như mục tiêu, chiến lược đầu tư, phương án kinh doanh của tổ chức phát hành. Nhà đầu tư được khuyến nghị nên đọc kỹ và hiểu các nội dung quy định ở Bản cáo bạch, đặc biệt là phần cảnh báo rủi ro ở trang ... trong Bản cáo bạch này và chú ý đến các khoản thuế, phí, lệ phí, giá dịch vụ khi giao dịch chứng quyền có bảo đảm. Giá giao dịch chứng quyền có bảo đảm có thể thay đổi tùy vào tình hình thị trường, nhà đầu tư có thể chịu thiệt hại về số vốn đầu tư và có thể mất toàn bộ vốn đầu tư. Các thông tin về kết quả hoạt động của tổ chức phát hành và các chứng quyền có bảo đảm phát hành trước đây (nếu có) chỉ mang tính chất tham khảo và không có ý nghĩa là việc đầu tư sẽ sinh lời cho nhà đầu tư. |
BẢN CÁO BẠCH
CÔNG TY: ABC
(Giấy phép thành lập và hoạt động công ty chứng khoán số:…………..do Chủ tịch Ủy
ban Chứng khoán Nhà nước cấp ngày... tháng... năm……)
(nêu thông tin về Giấy phép thành lập và hoạt động công ty chứng khoán cấp lần đầu
và thay đổi lần cuối cùng)
CHÀO BÁN CHỨNG QUYỀN CÓ BẢO ĐẢM
(Giấy chứng nhận đăng ký chào bán chứng quyền có bảo đảm số.... /GCN-
UBCK do Chủ tịch Ủy ban Chứng khoán Nhà nước cấp ngày ... /.../...)
Bản cáo bạch này và tài liệu bổ sung sẽ được cung cấp tại………….từ ngày:………………..
Phụ trách công bố thông tin:………………………………………………………………………..
Họ tên:………………………………………………Số điện thoại:…………………………………
(trang bìa)
CÔNG TY: ABC
(Giấy phép thành lập và hoạt động công ty chứng khoán số:... do Ủy ban Chứng khoán
Nhà nước cấp ngày... tháng... năm……)
(nêu thông tin về Giấy phép thành lập và hoạt động công ty chứng khoán cấp lần đầu
và thay đổi lần cuối cùng)
CHÀO BÁN CHỨNG QUYỀN CÓ BẢO ĐẢM
- Tên chứng quyền có bảo đảm:……………………………………………………………..
- Tên (mã) chứng khoán cơ sở: ……………………………………………………………..
- Tổ chức phát hành chứng khoán cơ sở: …………………………………………………
- Loại chứng quyền: Chứng quyền mua.
- Kiểu thực hiện: Chứng quyền mà người sở hữu chứng quyền chỉ được thực hiện quyền tại ngày đáo hạn.
- Phương thức thực hiện chứng quyền: Chứng quyền được thanh toán bằng tiền.
- Thời hạn của chứng quyền: ………………………………………………………………..tháng
- Ngày phát hành dự kiến: ……………………………………………………………………
- Ngày giao dịch cuối cùng dự kiến: …………………………………………………………
- Ngày đáo hạn dự kiến: ………………………………………………………………………
- Tỷ lệ chuyển đổi: ………………………………………………………………………………
- Giá thực hiện/khoảng giá thực hiện: ……………………………………………………
- Giá trị tài sản bảo đảm thanh toán: ……………………………………………………
- Giá chào bán/khoảng giá chào bán: ……………………………………………………
- Tổng số lượng chào bán: ……………………………………………………………………
- Tổng giá trị chào bán: ………………………………………………………………………
TỔ CHỨC BẢO LÃNH PHÁT HÀNH:
1. CÔNG TY: …………(ghi rõ địa chỉ trụ sở chính, số điện thoại, số fax giao dịch)
2. CÔNG TY: …………(ghi rõ địa chỉ trụ sở chính, số điện thoại, số fax giao dịch)
TỔ CHỨC KIỂM TOÁN:
CÔNG TY:…………….(ghi rõ địa chỉ trụ sở chính, số điện thoại, số fax giao dịch)
TỔ CHỨC TƯ VẤN:
CÔNG TY:…………….(ghi rõ địa chỉ trụ sở chính, số điện thoại, số fax giao dịch)
(trang bìa)
MỤC LỤC
Trang
Các nhân tố rủi ro
Những người chịu trách nhiệm chính đối với nội dung Bản cáo bạch
Các khái niệm
Cơ hội đầu tư
Thông tin về tổ chức phát hành chứng quyền có bảo đảm
Thông tin về chứng quyền có bảo đảm
Quản trị rủi ro chứng quyền có bảo đảm
Các đối tác liên quan đến đợt chào bán
Phụ lục
NỘI DUNG BẢN CÁO BẠCH
I. CÁC NHÂN TỐ RỦI RO (phân tích rõ ảnh hưởng của các nhân tố rủi ro đến đợt chào bán, giá chứng quyền có bảo đảm chào bán)
Nhà đầu tư cần đọc Bản cáo bạch này và các tài liệu kèm theo để nắm vững các nội dung của chứng quyền có bảo đảm (sau đây gọi tắt là chứng quyền), các rủi ro đi kèm với việc đầu tư vào chứng quyền, đồng thời đánh giá sự phù hợp của khoản đầu tư vào sản phẩm chứng quyền với mục tiêu đầu tư và tình hình tài chính của mình. Nhà đầu tư được khuyến nghị tham khảo các chuyên viên tư vấn tài chính, môi giới chứng khoán hoặc chuyên viên phân tích để nắm vững về cách thức đầu tư vào sản phẩm chứng quyền.
Chứng quyền là sản phẩm cấu trúc phái sinh, có tính chất phức tạp và không phù hợp với các nhà đầu tư thiếu kinh nghiệm. Chúng tôi không khuyến khích nhà đầu tư tham gia đầu tư khi chưa hiểu rõ sản phẩm và chưa sẵn sàng chấp nhận các rủi ro đầu tư được trình bày dưới đây.
Chúng tôi không cam kết thực hiện điều tra, nghiên cứu liên quan tới tổ chức phát hành chứng khoán cơ sở. Người sở hữu chứng quyền không nên hiểu việc phát hành chứng quyền như một khuyến nghị của chúng tôi liên quan tới chứng khoán cơ sở. Ngoài ra, người sở hữu nên lưu ý rằng các công ty hoặc tổ chức có chứng khoán cơ sở hoặc các tổ chức liên quan khác không tham gia vào soạn thảo Bản cáo bạch này.
1. Rủi ro liên quan đến tổ chức phát hành chứng quyền có bảo đảm
- Rủi ro từ giao dịch của tổ chức phát hành: Tổ chức phát hành luôn có thể mua lại chứng quyền trên thị trường và chứng quyền này có thể được nắm giữ hoặc bị hủy hoặc bán lại. Tổ chức phát hành có thể thực hiện các giao dịch để phòng ngừa rủi ro và giao dịch này có thể ảnh hưởng đến giá chứng khoán cơ sở, qua đó gián tiếp ảnh hưởng đến giá chứng quyền.
- Rủi ro thanh toán: Nhà đầu tư cần lưu ý rằng trong quá trình phát hành chứng quyền, mặc dù những tiêu chuẩn khắt khe về khả năng thanh toán phải luôn được chấp hành bởi tổ chức phát hành, luôn tồn tại rủi ro tổ chức phát hành bị mất khả năng thanh toán và không thể thực hiện quyền cho nhà đầu tư. Trong trường hợp tổ chức phát hành mất khả năng thanh toán hoặc không đủ tài sản để thanh toán thực hiện chứng quyền, việc giải quyết quyền lợi cho người sở hữu chứng quyền được thực hiện theo quy định pháp luật liên quan.
- Rủi ro chứng quyền bị hủy bỏ niêm yết: Chứng quyền sẽ bị hủy bỏ niêm yết bắt buộc theo các trường hợp quy định tại khoản 6 Điều 120 Nghị định số 155/2020/NĐ-CP (liệt kê). Do đó tồn tại rủi ro chứng quyền bị hủy trước ngày đáo hạn.
- Rủi ro từ việc thực hiện sự tự chủ của tổ chức phát hành: Người sở hữu chứng quyền nên lưu ý rằng chúng tôi có quyền tự chủ trong các hoạt động kinh doanh phù hợp với điều khoản trong Bản cáo bạch này và có thể ảnh hưởng đến giá chứng quyền. Trong các sự kiện bị mua lại hoặc thay đổi cấu trúc doanh nghiệp liên quan tới quyền lợi của người sở hữu chứng quyền, chúng tôi có quyền lựa chọn các hoạt động liên quan tới chứng quyền mà chúng tôi cho rằng phù hợp. Tổ chức phát hành cam kết sẽ đưa ra các quyết định mang tính cẩn trọng. Nếu các bên liên quan đến các nghĩa vụ với tổ chức phát hành không thể đảm bảo được các nghĩa vụ của mình thì điều này có thể ảnh hưởng đến kết quả hoạt động liên quan tới chứng quyền.
- Rủi ro do mâu thuẫn quyền lợi: Tổ chức phát hành tham gia vào nhiều hoạt động khác nhau có thể gây ra mâu thuẫn quyền lợi với người sở hữu chứng quyền. Tổ chức phát hành luôn có thể phát hành và niêm yết các chứng quyền khác có khả năng ảnh hưởng đến giá chứng quyền này.
(Các rủi ro đặc thù khác do tổ chức phát hành trình bày thêm)
2. Rủi ro liên quan đến sản phẩm chứng quyền có bảo đảm
- Rủi ro đầu tư chung: Người sở hữu nên có kiến thức về phương pháp định giá chứng quyền và chỉ nên giao dịch sau khi đã xem xét cẩn trọng. Chứng quyền là sản phẩm phù hợp với nhà đầu tư hiểu rõ về các rủi ro và các cơ chế giá liên quan. Một khoản đầu tư vào chứng quyền không tương đương với một khoản đầu tư vào tài sản cơ sở. Mặc dù lợi nhuận của một khoản đầu tư vào chứng quyền liên quan mật thiết tới thay đổi trong giá của tài sản cơ sở, sự thay đổi giá của chứng quyền đối với sự thay đổi giá tài sản cơ sở có thể không tương đương. Hệ số đòn bẩy cao của chứng quyền có nghĩa rằng người sở hữu sẽ có rủi ro đầu tư cao hơn so với đầu tư cùng giá trị vào tài sản cơ sở.
- Rủi ro do thời gian đáo hạn của chứng quyền: Do chứng quyền có thời gian đáo hạn nên giá của chứng quyền có thể bị giảm khi đến gần ngày đáo hạn, và mức giảm giá này có thể sẽ khá lớn. Nếu nhà đầu tư nắm giữ chứng quyền đến ngày đáo hạn và giá thanh toán nhỏ hơn hoặc bằng giá thực hiện quyền, thì giá của chứng quyền sẽ bằng không, khi đó nhà đầu tư sẽ chịu một khoản lỗ bằng đúng số tiền đã bỏ ra để mua chứng quyền. Vì vậy, trước khi quyết định đầu tư vào chứng quyền, nhà đầu tư cần nghiên cứu kỹ xu thế biến động giá của chứng khoán cơ sở trong khoảng thời gian còn hiệu lực của chứng quyền.
- Rủi ro về giá: Là rủi ro do sự thay đổi giá của chứng quyền. Sự thay đổi giá của chứng quyền phụ thuộc vào nhiều yếu tố như giá của chứng khoán cơ sở, mức độ biến độ giá chứng khoán cơ sở, thời gian còn hiệu lực của chứng quyền, lãi suất, cổ tức của chứng khoán cơ sở... trong đó, yếu tố quan trọng nhất chính là giá của chứng khoán cơ sở. Ngoài ra, giá của chứng quyền còn phụ thuộc vào yếu tố cung cầu của thị trường về chứng quyền. Mặc dù tổ chức phát hành thường phát hành khối lượng chứng quyền theo khối lượng đã đăng ký với Ủy ban Chứng khoán Nhà nước, tuy nhiên, tổ chức phát hành vẫn có thể tăng khối lượng cung ứng chứng quyền thông qua phương thức phát hành bổ sung, miễn là hạn mức phát hành chứng quyền đó chưa vượt quá hạn mức phát hành tối đa theo quy định của Ủy ban Chứng khoán Nhà nước. Việc phát hành bổ sung có thể ảnh hưởng đến giá của chứng quyền.
- Rủi ro từ tính đòn bẩy: Đầu tư vào chứng quyền chỉ liên quan đến sự thay đổi giá của chứng khoán cơ sở chứ không phải đầu tư trực tiếp vào chứng khoán cơ sở, do đó nhà đầu tư được hưởng lợi từ tính chất đòn bẩy của chứng quyền khi có thể nhận được toàn bộ sự thay đổi giá của chứng khoán cơ sở trong khi chỉ phải bỏ ra một phần chứ không phải toàn bộ giá của chứng khoán cơ sở. Ngoài ra, tỷ lệ thay đổi giá của chứng quyền trên thị trường có thể lớn hơn tỷ lệ thay đổi giá của chứng khoán cơ sở, vì vậy nhà đầu tư có thể lời nhiều hơn hoặc lỗ nhiều hơn so với việc đầu tư trực tiếp vào chứng khoán cơ sở.
- Rủi ro thanh khoản: Là rủi ro xảy ra khi nhà đầu tư không thể bán chứng quyền tại mức giá mong muốn do thị trường thiếu thanh khoản đối với chứng quyền đó. Thanh khoản của chứng quyền phụ thuộc vào cung cầu thị trường và hiệu quả hoạt động tạo lập thị trường của tổ chức phát hành. Mặc dù tổ chức phát hành cam kết sẽ thực hiện các công tác tạo lập thị trường và cung cấp thanh khoản cho thị trường chứng quyền, tổ chức phát hành không cam kết thị trường giao dịch của chứng quyền sẽ sôi động.
- Nhà đầu tư sở hữu chứng quyền không có quyền lợi như cổ đông sở hữu chứng khoán cơ sở, bao gồm nhưng không giới hạn quyền tham dự Đại hội đồng cổ đông, nhận cổ tức, quyền mua cổ phiếu phát hành thêm, hoặc các quyền khác phát sinh từ chứng khoán cơ sở.
(Các rủi ro khác do tổ chức phát hành trình bày thêm)
3. Rủi ro liên quan đến chứng khoán cơ sở
- Một số sự kiện xảy ra (bao gồm phát hành cổ phiếu thưởng hoặc phân phối tiền bởi Công ty, chia nhỏ hoặc hợp nhất chứng khoán cơ sở hoặc sự kiện tái cấu trúc ảnh hưởng tới Công ty) có thể dẫn đến việc chúng tôi phải điều chỉnh các điều khoản của chứng quyền. Tuy nhiên, chúng tôi không có nghĩa vụ phải điều chỉnh các điều khoản và điều kiện của chứng quyền cho mọi sự kiện liên quan tới chứng khoán cơ sở. Bất kỳ sự điều chỉnh hoặc các quyết định không điều chỉnh đều sẽ có tác động tới giá trị của chứng quyền. Việc điều chỉnh chứng quyền sẽ được thực hiện theo quy định pháp luật. Ngoài ra, một số sự kiện xảy ra (bao gồm chứng khoán cơ sở bị hủy bỏ niêm yết hoặc tạm ngừng giao dịch) dẫn đến việc chứng quyền bị hủy bỏ niêm yết hoặc tạm ngừng giao dịch theo quy định của pháp luật.
(Các rủi ro khác do tổ chức phát hành trình bày thêm)
4. Các rủi ro khác
- Rủi ro kinh tế, chính trị, luật pháp
- Rủi ro khác
II. NHỮNG NGƯỜI CHỊU TRÁCH NHIỆM CHÍNH ĐỐI VỚI NỘI DUNG BẢN CÁO BẠCH
1. Tổ chức phát hành chứng quyền có bảo đảm
Ông/Bà:…………………….Chức vụ: Chủ tịch Hội đồng quản trị/Hội đồng thành viên
Ông/Bà: ……………………Chức vụ: Giám đốc (Tổng giám đốc)
Ông/Bà:…………………Chức vụ: Kế toán trưởng (Giám đốc Tài chính)
Ông/Bà:…………………Chức vụ: Trưởng Ban kiểm soát/Ban kiểm toán nội bộ
Chúng tôi đảm bảo rằng các thông tin và số liệu trong Bản cáo bạch này là chính xác, trung thực, đầy đủ và cam kết chịu trách nhiệm về tính chính xác, trung thực, đầy đủ của những thông tin và số liệu này phù hợp với thực tế mà chúng tôi được biết, hoặc đã điều tra, thu thập một cách hợp lý.
2. Tổ chức bảo lãnh phát hành, Tổ chức tư vấn
Đại diện theo pháp luật: Ông/Bà……………………………………………………
Chức vụ: ………………………………………………………………………………
Bản cáo bạch này là một phần của hồ sơ đăng ký chào bán do (tên tổ chức bảo lãnh phát hành, tổ chức tư vấn) tham gia lập trên cơ sở hợp đồng tư vấn (hợp đồng bảo lãnh phát hành) với (tên tổ chức phát hành). Chúng tôi đảm bảo rằng việc phân tích, đánh giá và lựa chọn ngôn từ trong Bản cáo bạch này đã được thực hiện một cách hợp lý và cẩn trọng dựa trên cơ sở các thông tin và số liệu do (tên tổ chức phát hành) cung cấp.
III. CÁC KHÁI NIỆM
(Những từ, nhóm từ viết tắt hoặc khó hiểu, hoặc có thể gây hiểu lầm được thể hiện trong Bản cáo bạch cần phải định nghĩa)
Chứng quyền có bảo đảm là loại chứng khoán có tài sản bảo đảm do công ty chứng khoán phát hành, cho phép người sở hữu được nhận khoản tiền chênh lệch giữa giá thực hiện và giá thanh toán tại thời điểm thực hiện.
Chứng khoán cơ sở là chứng khoán được sử dụng làm tài sản cơ sở của chứng quyền.
Tổ chức phát hành chứng khoán cơ sở là tổ chức phát hành chứng khoán làm tài sản cơ sở của chứng quyền.
Tổ chức phát hành chứng quyền là công ty chứng khoán phát hành chứng quyền.
Ngân hàng lưu ký là ngân hàng thực hiện việc lưu ký, giám sát tài sản do tổ chức phát hành chứng quyền ký quỹ để bảo đảm thanh toán cho các chứng quyền đã phát hành và không phải là người có liên quan của tổ chức phát hành theo quy định của pháp luật chứng khoán.
Người sở hữu chứng quyền là nhà đầu tư sở hữu chứng quyền, đồng thời là chủ nợ có bảo đảm một phần của tổ chức phát hành và không phải là tổ chức phát hành chứng quyền.
Giá thực hiện là mức giá được tổ chức phát hành dùng để xác định khoản tiền thanh toán cho người sở hữu chứng quyền.
Tỷ lệ chuyển đổi là tỷ lệ giữa số lượng chứng quyền cần có để quy đổi thành một đơn vị chứng khoán cơ sở. Tỷ lệ chuyển đổi được làm tròn đến bốn chữ số thập phân sau dấu phẩy.
Ngày đáo hạn là ngày mà người sở hữu chứng quyền thực hiện chứng quyền và tổ chức phát hành phải thanh toán đối với chứng quyền có lãi.
Chứng quyền đang lưu hành là chứng quyền chưa đáo hạn và đang được nắm giữ bởi người sở hữu chứng quyền.
Chứng quyền có lãi (ITM) là chứng quyền mua có giá thực hiện thấp hơn giá thanh toán.
Chứng quyền lỗ (OTM) là chứng quyền mua có giá thực hiện cao hơn giá thanh toán.
Chứng quyền hòa vốn (ATM) là chứng quyền mua có giá thực hiện bằng giá thanh toán.
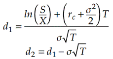
Delta là giá trị thay đổi của giá chứng quyền ứng với một thay đổi trong giá chứng khoán cơ sở.
Công thức:
![]()
Giá thanh toán chứng quyền khi thực hiện quyền là bình quân giá đóng cửa của chứng khoán cơ sở trong năm (05) ngày giao dịch liền trước ngày đáo hạn, không bao gồm ngày đáo hạn.
(Các khái niệm khác)
IV. CƠ HỘI ĐẦU TƯ
1. Tổng quan về nền kinh tế Việt Nam
2. Thị trường tài chính Việt Nam và cơ hội đầu tư
3. Cơ hội đầu tư vào chứng quyền có bảo đảm
V. Thông tin về tổ chức phát hành chứng quyền Có BẢO ĐẢM
1. Các thông tin chung về tổ chức phát hành chứng quyền có bảo đảm
- Tóm tắt quá trình hình thành và phát triển.
- Cơ cấu tổ chức công ty (và cơ cấu trong tập đoàn, nếu có) (thể hiện bằng sơ đồ và kèm theo diễn giải).
- Cơ cấu bộ máy quản lý của công ty (thể hiện bằng sơ đồ và kèm theo diễn giải).
- Danh sách cổ đông (tên, địa chỉ, tỷ lệ nắm giữ) nắm giữ từ 5% trở lên vốn cổ phần của công ty và những người có liên quan; danh sách cổ đông sáng lập và tỉ lệ cổ phần nắm giữ (nếu các quy định về hạn chế chuyển nhượng còn hiệu lực).
- Danh sách những công ty mẹ và công ty con của tổ chức phát hành, những công ty mà tổ chức phát hành đang nắm giữ quyền kiểm soát hoặc cổ phần chi phối, những công ty nắm quyền kiểm soát hoặc cổ phần chi phối đối với tổ chức phát hành.
- Thông tin về Ban điều hành tổ chức phát hành (cơ cấu, thông tin tóm tắt các thành viên).
- Thông tin về nhân sự quản lý rủi ro liên quan tới hoạt động phát hành chứng quyền: kinh nghiệm, chuyên môn, uy tín, năng lực.
2. Các thông tin về kết quả hoạt động của tổ chức phát hành chứng quyền có bảo đảm
- Tổng hợp tình hình hoạt động của công ty chứng khoán, bao gồm: (các nghiệp vụ, thị phần từng lĩnh vực hoạt động, các tranh chấp/kiện tụng mà công ty đang gặp phải và diễn biến tại thời điểm hiện tại (nếu có)...
- Báo cáo kết quả hoạt động kinh doanh trong 02 năm gần nhất và lũy kế đến quý gần nhất:
| Chỉ tiêu | Năm X-1 | Năm X | % tăng giảm | Lũy kế đến quý gần nhất |
| Tổng giá trị tài sản Doanh thu từ các hoạt động kinh doanh Lợi nhuận từ các hoạt động kinh doanh Lợi nhuận khác Lợi nhuận trước thuế Lợi nhuận sau thuế |
|
|
|
|
- Các chứng quyền mà công ty đã phát hành (nêu chi tiết danh sách, tên chứng quyền, loại chứng quyền...).
3. Tình hình tài chính
- Thanh toán các khoản nợ đến hạn: (có thanh toán đúng hạn và đầy đủ các khoản nợ không?)
- Các khoản phải nộp theo luật định: (có thực hiện theo luật định?)
- Tổng dư nợ vay: (ghi rõ nợ quá hạn, tổng dư nợ bảo lãnh (nếu có), quá hạn ngắn hạn, trung hạn và dài hạn, nguyên nhân dẫn đến nợ quá hạn, khả năng thu hồi)
- Tình hình công nợ hiện nay: (tổng số nợ phải thu, tổng số nợ phải trả)
- Các chỉ tiêu tài chính chủ yếu:
| Các chỉ tiêu | Năm X -1 | Năm X | Ghi chú |
| 1. Chỉ tiêu về an toàn tài chính - Giá trị vốn khả dụng: - Rủi ro (Rủi ro thị trường, rủi ro thanh toán, rủi ro hoạt động, rủi ro tăng thêm) - Tỷ lệ vốn khả dụng: Giá trị vốn khả dụng Tổng rủi ro |
|
|
|
| 2. Chỉ tiêu về khả năng thanh toán - Hệ số thanh toán ngắn hạn: TSLĐ/Nợ ngắn hạn - Hệ số thanh toán nhanh: TSLĐ - Hàng tồn kho Nợ ngắn hạn |
|
|
|
| 3. Chỉ tiêu về cơ cấu vốn - Hệ số Nợ/Tổng tài sản - Hệ số Nợ/Vốn chủ sở hữu |
|
|
|
| 4. Chỉ tiêu về khả năng sinh lời - Hệ số Lợi nhuận sau thuế/Doanh thu thuần - Hệ số Lợi nhuận sau thuế/Vốn chủ sở hữu |
|
|
|
| - Hệ số Lợi nhuận sau thuế/Tổng tài sản - Hệ số Lợi nhuận từ hoạt động kinh doanh/Doanh thu thuần - Thu nhập trên cổ phần (EPS) |
|
|
|
VI. CÁC THÔNG TIN VỀ CHỨNG QUYỀN CÓ BẢO ĐẢM
1. Thông tin chung về chứng quyền có bảo đảm
- Tên chứng quyền, tên chứng khoán cơ sở, tổ chức phát hành chứng khoán cơ sở, loại chứng quyền (mua), kiểu thực hiện, phương thức thực hiện chứng quyền, thời hạn, ngày đáo hạn, tỷ lệ chuyển đổi, giá thực hiện, tài sản bảo đảm thanh toán, tổng số chứng quyền dự kiến chào bán, tổng giá trị chứng quyền dự kiến chào bán, giá chào bán, phương pháp tính giá chào bán bao gồm công thức và các thông tin cụ thể về giá chứng khoán cơ sở, lãi suất, độ biến động của chứng khoán cơ sở và các thông tin cần thiết khác cho việc tính giá chào bán...
- Thông tin về các đợt phát hành chứng quyền cùng loại trước đó (đối với trường hợp chào bán bổ sung): số lượng chào bán, giá trị chào bán, số lượng và giá trị chứng quyền đang lưu hành của các đợt chào bán trước đó.
2. Thông tin về chứng khoán cơ sở
- Chứng khoán cơ sở là cổ phiếu: mức vốn hóa, tính thanh khoản, tình hình biến động giá trong năm gần nhất (khối lượng giao dịch, giá giao dịch cao nhất, thấp nhất, giá đóng cửa của ngày giao dịch cuối các tháng trong năm...), thông tin về tổ chức phát hành chứng khoán cơ sở bao gồm tên công ty, lĩnh vực hoạt động, kết quả hoạt động kinh doanh của tổ chức phát hành chứng khoán cơ sở...
| Chỉ tiêu | Năm X-1 | Năm X | % tăng giảm | Quý gần nhất |
| Tổng giá trị tài sản Vốn chủ sở hữu Doanh thu Thuế và các khoản phải nộp Lợi nhuận trước thuế Lợi nhuận sau thuế Tỷ lệ lợi nhuận sau thuế trên vốn chủ sở hữu |
|
|
|
|
(Trường hợp tổ chức phát hành chứng khoán cơ sở hoạt động theo mô hình công ty mẹ, chỉ tiêu kết quả hoạt động sản xuất kinh doanh dựa trên báo cáo tài chính hợp nhất).
- Thời điểm niêm yết lần đầu của chứng khoán cơ sở; chỉ số giá/thu nhập (P/E) tại thời điểm gần nhất; dao động bình quân của giá chứng khoán cơ sở trong sáu (6) tháng gần nhất.
- Các chỉ số tài chính của tổ chức phát hành chứng khoán cơ sở trong 02 năm gần nhất.
| Các chỉ tiêu | Năm X -1 | Năm X | Ghi chú |
| 1. Chỉ tiêu về khả năng thanh toán - Hệ số thanh toán ngắn hạn: TSLĐ/Nợ ngắn hạn - Hệ số thanh toán nhanh: (TSLĐ - Hàng tồn kho)/Nợ ngắn hạn |
|
|
|
| 2. Chỉ tiêu về cơ cấu vốn - Hệ số Nợ/Tổng tài sản - Hệ số Nợ/Vốn chủ sở hữu |
|
|
|
| 3. Chỉ tiêu về khả năng sinh lời - Hệ số Lợi nhuận sau thuế/Doanh thu thuần - Hệ số Lợi nhuận sau thuế/Vốn chủ sở hữu - Hệ số Lợi nhuận sau thuế/Tổng tài sản - Hệ số Lợi nhuận từ hoạt động kinh doanh/Doanh thu thuần - Thu nhập trên cổ phần (EPS) |
|
|
|
3. Thời gian phân phối chứng quyền có bảo đảm
4. Đăng ký mua chứng quyền có bảo đảm
5. Hủy bỏ chào bán chứng quyền có bảo đảm
6. Thực hiện chứng quyền có bảo đảm
a) Trường hợp thanh toán bằng tiền: (trong đó, nêu quy trình thực hiện, cách tính số tiền thanh toán cho nhà đầu tư)
- Nêu quy trình thanh toán do Tổng công ty lưu ký và bù trừ chứng khoán Việt Nam quy định.
- Số tiền thanh toán cho một đơn vị chứng quyền mua là số tiền thanh toán khi giá thanh toán lớn hơn giá thực hiện, được tính theo công thức [(Giá thanh toán - Giá thực hiện)/Tỷ lệ chuyển đổi]. Số tiền thanh toán ròng là số tiền thanh toán giảm trừ các chi phí thực hiện quyền (nếu có).
- Trường hợp nhà đầu tư không đặt lệnh thực hiện chứng quyền, chứng quyền có lãi được tự động thực hiện theo phương thức thanh toán bằng tiền vào ngày đáo hạn.
b) Các biện pháp xử lý trong trường hợp tổ chức phát hành mất khả năng thanh toán.
7. Quyền của người sở hữu chứng quyền có bảo đảm
- Quyền của người sở hữu chứng quyền mua: Người sở hữu chứng quyền mua được nhận khoản tiền chênh lệch khi giá của chứng khoán cơ sở (giá thanh toán) cao hơn giá thực hiện tại thời điểm thực hiện.
- Trường hợp không đủ tài sản để thanh toán thực hiện chứng quyền, việc giải quyết quyền lợi cho người sở hữu chứng quyền thực hiện theo quy định pháp luật liên quan áp dụng đối với chủ nợ có bảo đảm một phần.
- Trong trường hợp chứng quyền bị hủy bỏ niêm yết do tổ chức phát hành; hợp nhất, sáp nhập, giải thể, phá sản hoặc bị thu hồi Giấy phép thành lập và hoạt động; khi bị phát hiện hồ sơ đăng ký chào bán chứng quyền có những thông tin sai lệch, bỏ sót nội dung quan trọng có thể ảnh hưởng tới quyết định đầu tư và gây thiệt hại cho nhà đầu tư; do chứng khoán cơ sở bị hủy bỏ niêm yết; hoặc do Sở giao dịch chứng khoán xét thấy cần thiết để bảo vệ quyền lợi của nhà đầu tư (trong đó, nêu rõ công thức, cách tính các thông số xác định mức giá thanh toán chứng quyền cho người sở hữu chứng quyền kể từ ngày hủy bỏ niêm yết có hiệu lực).
8. Điều chỉnh chứng quyền có bảo đảm
- Tổ chức phát hành phải điều chỉnh chứng quyền trong trường hợp giá chứng khoán cơ sở bị điều chỉnh.
- Cách thức điều chỉnh giá thực hiện và tỷ lệ chuyển đổi chứng quyền khi giá chứng khoán cơ sở bị điều chỉnh như sau:
+ Thời điểm thực hiện điều chỉnh: Ngày giao dịch không hưởng quyền của tài sản cơ sở.
+ Giá thực hiện mới = Giá thực hiện cũ x (Giá tham chiếu đã điều chỉnh của tài sản cơ sở tại ngày giao dịch không hưởng quyền/Giá tham chiếu chưa điều chỉnh của tài sản cơ sở tại ngày giao dịch không hưởng quyền).
+ Tỷ lệ chuyển đổi mới = Tỷ lệ chuyển đổi cũ X (Giá tham chiếu đã điều chỉnh của tài sản cơ sở tại ngày giao dịch không hưởng quyền/Giá tham chiếu chưa điều chỉnh của tài sản cơ sở tại ngày giao dịch không hưởng quyền).
- Tỷ lệ thực hiện hoặc giá thực hiện điều chỉnh cần làm tròn tới 4 chữ số thập phân.
- Việc điều chỉnh khác sẽ căn cứ theo quyết định điều chỉnh của Sở giao dịch chứng khoán, tổ chức phát hành sẽ thực hiện điều chỉnh.
9. Các khoản thuế, phí, lệ phí, giá dịch vụ phát sinh từ việc giao dịch hoặc thực hiện chứng quyền có bảo đảm.
10. Hoạt động tạo lập thị trường
Nhằm đảm bảo thanh khoản cho các chứng quyền đang lưu hành, tổ chức phát hành có nghĩa vụ tạo lập thị trường cho các chứng quyền do mình phát hành, cụ thể:
(Tổ chức phát hành trích dẫn quy định hiện hành về tạo lập thị trường tại thời điểm lập Bản cáo bạch)
a) Nghĩa vụ yết giá tạo lập thị trường
b) Miễn trừ nghĩa vụ yết giá tạo lập thị trường
VII. Phương án bảo đảm thanh toán cho người sở hữu CHỨNG QUYỀN CÓ BẢO ĐẢM
1. Việc thanh toán cho người sở hữu chứng quyền được bảo đảm bằng các nguồn tài sản sau:
a) Tài sản phòng ngừa rủi ro và các tài sản khác có trên tài khoản tự doanh;
b) Tài sản có trên tài khoản ký quỹ tại ngân hàng lưu ký;
c) Bảo lãnh thanh toán hoặc tài sản khác (nếu có).
2. Trường hợp không đủ tài sản để thanh toán thực hiện chứng quyền, việc giải quyết quyền lợi cho người sở hữu chứng quyền thực hiện theo quy định pháp luật liên quan áp dụng đối với chủ nợ có bảo đảm một phần.
VIII. QUẢN TRỊ RỦI RO CHỨNG QUYỀN CÓ BẢO ĐẢM
1. Quy trình quản trị rủi ro
- Trình bày các vấn đề liên quan đến quản trị rủi ro của tổ chức phát hành;
- Vai trò của nhà quản lý cấp cao trong việc theo dõi quản trị rủi ro, bao gồm vai trò của các tổ chức liên quan;
- Sự kiểm soát giao dịch, hạn mức tín dụng và ký quỹ (theo đặc thù của tổ chức phát hành);
- Tổ chức đánh giá tín dụng (nếu có).
2. Phương án phòng ngừa rủi ro (Mục đích phòng ngừa rủi ro, phương án phòng ngừa rủi ro tổng quát)
- Mục đích phòng ngừa rủi ro: (để đảm bảo khả năng thanh toán cho người sở hữu chứng quyền, hạn chế một cách hiệu quả những tổn thất do rủi ro gây ra).
- Tổ chức thực hiện phòng ngừa rủi ro: (trách nhiệm của Ban điều hành, Ban quản lý, Bộ phận kiểm soát nội bộ, Bộ phận trực tiếp quản trị rủi ro trong việc phòng ngừa rủi ro cho chứng quyền; Số lượng nhân sự tại bộ phận trực tiếp thực hiện hoạt động phòng ngừa rủi ro cho chứng quyền, chứng chỉ chuyên môn, số năm kinh nghiệm...).
- Nguyên tắc thực hiện tổng quát: (giả sử tổ chức phát hành áp dụng phương án phòng ngừa rủi ro trung hòa delta, tức cùng với việc phát hành chứng quyền, tổ chức phát hành sẽ đồng thời thực hiện các giao dịch mua bán chứng khoán cơ sở để giữ cho tổng vị thế của tổ chức phát hành là trung hòa delta (delta = 0) khi giá chứng khoán cơ sở thay đổi).
- Chứng khoán phòng ngừa rủi ro:
+ Chứng khoán cơ sở của chứng quyền.
+ Các loại chứng khoán khác có cùng chứng khoán cơ sở của chứng quyền (nếu có).
- Vị thế phòng ngừa rủi ro
+ Cách tính hệ số phòng ngừa rủi ro.
+ Công thức tính toán vị thế phòng ngừa rủi ro lý thuyết, công thức quy đổi vị thế phòng ngừa rủi ro lý thuyết theo số lượng chứng khoán cơ sở nếu tổ chức phát hành sử dụng các loại chứng khoán phòng ngừa rủi ro khác không phải là chứng khoán cơ sở.
3. Kinh nghiệm phát hành chứng quyền có bảo đảm của tổ chức phát hành
IX. CÁC ĐỐI TÁC LIÊN QUAN ĐẾN ĐỢT CHÀO BÁN
Nêu tên, địa chỉ trụ sở chính và giới thiệu sơ bộ các đối tác có liên quan đến đợt chào bán: ngân hàng lưu ký, tổ chức bảo lãnh phát hành hoặc đại lý phát hành, tổ chức kiểm toán, tư vấn...
X. XUNG ĐỘT LỢI ÍCH
Nêu ra nguyên tắc trong việc giải quyết các xung đột lợi ích có thể xảy ra.
Tổ chức phát hành công bố các mối quan hệ giữa tổ chức phát hành và các bên cung cấp dịch vụ tư vấn cho tổ chức phát hành nếu mối quan hệ đó có khả năng gây ra xung đột lợi ích với việc phát hành chứng quyền. Các bên này bao gồm các bên tư vấn, kế toán, kiểm toán, luật, chuyên gia hoặc các bên khác cung cấp dịch vụ tư vấn cho tổ chức phát hành.
- Chúng tôi và các công ty con, chi nhánh của chúng tôi tham gia vào các hoạt động ngân hàng, đầu tư, môi giới, tư vấn và các hoạt động khác và có thể có các thông tin quan trọng về Công ty và/hoặc các chứng khoán cơ sở hoặc phát hành hoặc cập nhật các báo cáo nghiên cứu về Công ty và/hoặc chứng khoán cơ sở. Các hoạt động, thông tin và/hoặc các báo cáo nghiên cứu như vậy có thể liên quan đến hoặc ảnh hưởng đến Công ty và/hoặc các chứng khoán cơ sở và có thể gây ra những hậu quả bất lợi cho nhà đầu tư hoặc tạo ra mâu thuẫn quyền lợi liên quan đến việc phát hành chứng quyền. Chúng tôi không có nghĩa vụ công bố những thông tin như vậy và có thể phát hành báo cáo nghiên cứu và tham gia vào bất kỳ hoạt động nào như vậy mà không liên quan đến việc phát hành chứng quyền.
Các nguyên tắc khác của công ty (nếu có)
XI. CAM KẾT
Tổ chức phát hành cam kết chịu trách nhiệm hoàn toàn về tính chính xác, trung thực của nội dung thông tin và các tài liệu đính kèm trong Bản cáo bạch này.
XII. NGÀY, THÁNG, CHỮ KÝ, ĐÓNG DẤU CỦA ĐẠI DIỆN TỔ CHỨC PHÁT HÀNH, NGÂN HÀNG LƯU KÝ, TỔ CHỨC TƯ VẤN, TỔ CHỨC BẢO LÃNH PHÁT HÀNH (NẾU CÓ)
XIII. PHỤ LỤC
1. Giấy phép thành lập và hoạt động của tổ chức phát hành;
2. Nghị quyết của Đại hội đồng cổ đông/Hội đồng thành viên/Chủ sở hữu công ty thông qua chủ trương chào bán chứng quyền;
3. Nghị quyết của Hội đồng quản trị/Hội đồng thành viên/Chủ sở hữu công ty thông qua phương án chào bán và việc niêm yết chứng quyền;
5. Hợp đồng ký quỹ tài sản bảo đảm thanh toán/văn bản xác nhận bảo lãnh thanh toán;
6. Điều lệ của tổ chức phát hành;
7. Báo cáo tài chính năm gần nhất được kiểm toán của tổ chức phát hành;
8. ……………………………………………………………………………………………………
(Tài liệu số 2, 6: Đối với các đợt chào bán bổ sung và các đợt chào bán lần đầu đối với các mã chứng quyền khác, tổ chức phát hành không phải đính kèm tài liệu số 2, 6 trong trường hợp tổ chức phát hành chưa ban hành tài liệu mới thay thế, bổ sung các tài liệu này.
Tài liệu số 7: Trường hợp tổ chức phát hành thực hiện phát hành nhiều chứng quyền khác nhau với điều kiện chào bán căn cứ trên tài liệu này thì không phải đính kèm tài liệu này cho các đợt chào bán kế tiếp.
Các Tài liệu tại Mục XIII. Phụ lục được đính kèm tại Bản cáo bạch chính thức để hoàn thành thủ tục cấp Giấy chứng nhận đăng ký chào bán chứng quyền có bảo đảm)
Phụ lục số II
MẪU THÔNG BÁO PHÁT HÀNH CHỨNG QUYỀN CÓ BẢO ĐẢM
(Kèm theo Thông tư số 122/2025/TT-BTC ngày 22 tháng 12 năm 2025
của Bộ trưởng Bộ Tài chính)
| TÊN CÔNG TY | CỘNG HÒA XÃ HỘI CHỦ NGHĨA VIỆT NAM |
THÔNG BÁO
Phát hành chứng quyền có bảo đảm
(Giấy chứng nhận đăng ký chào bán chứng quyền có bảo đảm số.... /GCN-
UBCK do Chủ tịch Ủy ban Chứng khoán Nhà nước cấp ngày... /.../...)
_______
1. Tên tổ chức phát hành: …………………………………………………………………………
2. Địa chỉ trụ sở chính: ………………………………………………………………………………
3. Số điện thoại: ………………………………………………………………………………
4. Số Fax: ………………………………………………………………………………
5. Tên, địa chỉ tổ chức bảo lãnh phát hành (nếu có) …………………………………………
6. Thông tin về chứng quyền có bảo đảm đăng ký chào bán: …………………………
- Tên chứng quyền có bảo đảm: …………………………………………………………
- Mã chứng quyền có bảo đảm (trường hợp thông báo phát hành bổ sung):...........
- Tên (mã) chứng khoán cơ sở: ……………………………………………………
- Tổ chức phát hành chứng khoán cơ sở: ……………………………………………………
- Loại chứng quyền: ………………………………………………………………………………
- Kiểu chứng quyền: ………………………………………………………………………………
- Phương thức thực hiện chứng quyền: ……………………………………………………
- Thời hạn: ………………………………………………………………………………tháng
- Ngày đáo hạn: ………………………………………………………………………………
- Tỷ lệ chuyển đổi: ………………………………………………………………………………
- Giá thực hiện: ………………………………………………………………………………
- Giá trị tài sản bảo đảm thanh toán: ……………………………………………………
7. Số lượng đăng ký chào bán: ……………………………………………………
8. Giá chào bán: ………………………………………………………………………………
9. Số lượng chứng quyền có bảo đảm đã phát hành (trường hợp thông báo phát hành bổ sung): …………………………
10. Số lượng đăng ký mua tối thiểu: ……………………………………………………
11. Thời gian nhận đăng ký mua: Từ ngày.../.../... đến ngày.../.../…………………….
12. Địa điểm nhận đăng ký mua cổ phiếu và công bố Bản cáo bạch: (Tên, số điện thoại liên hệ, địa điểm của các đại lý phát hành) …………………………
13. Ngân hàng mở tài khoản phong tỏa nhận tiền mua chứng quyền có bảo đảm: (tên, địa chỉ, số điện thoại) ………………………………………………………………………………
14. Cam kết thực hiện nghĩa vụ của tổ chức phát hành đối với nhà đầu tư: ……………
..., ngày... tháng... năm...
NGƯỜI ĐẠI DIỆN THEO PHÁP
LUẬT CỦA CÔNG TY
(Ký, ghi rõ họ tên và đóng dấu)
Phụ lục số III
MẪU BÁO CÁO KẾT QUẢ PHÂN PHỐI CHỨNG QUYỀN CÓ BẢO ĐẢM
(Kèm theo Thông tư số 122/2025/TT-BTC ngày 22 tháng 12 năm 2025
của Bộ trưởng Bộ Tài chính)
| TÊN CÔNG TY | CỘNG HÒA XÃ HỘI CHỦ NGHĨA VIỆT NAM |
BÁO CÁO
Kết quả phân phối chứng quyền có bảo đảm
(Giấy chứng nhận đăng ký chào bán chứng quyền có bảo đảm số.... /GCN-
UBCK do Chủ tịch Ủy ban Chứng khoán Nhà nước cấp ngày... /.../...)
_______
Kính gửi: Ủy ban Chứng khoán Nhà nước
Tên tổ chức phát hành: ………………………………………………………………………………
Địa chỉ trụ sở chính: ………………………………………………………………………………
Số điện thoại: ………………………………………………………………………………
Số Fax: ………………………………………………………………………………
Tên, địa chỉ tổ chức bảo lãnh phát hành (nếu có): ………………………………………………
I. Thông tin về chứng quyền có bảo đảm phát hành
1. Thông tin về chứng quyền có bảo đảm
- Tên chứng quyền: ………………………………………………………………………………
- Mã chứng quyền: (trường hợp báo cáo kết quả phát hành bổ sung) ……………………
- Tên (mã) chứng khoán cơ sở: ……………………………………………………
- Tổ chức phát hành chứng khoán cơ sở: ……………………………………………………
- Loại chứng quyền: ………………………………………………………………………………
- Kiểu chứng quyền: ………………………………………………………………………………
- Phương thức thực hiện chứng quyền: ……………………………………………………
- Thời hạn: ………………………………………………………………………………tháng
- Ngày đáo hạn: ………………………………………………………………………………
- Tỷ lệ chuyển đổi: ………………………………………………………………………………
- Giá thực hiện: ………………………………………………………………………………
- Giá trị tài sản bảo đảm thanh toán: ……………………………………………………
2. Thông tin đợt chào bán
- Ngày bắt đầu chào bán: ……………………………………………………
- Ngày hoàn thành phân phối: ……………………………………………………
- Thời gian nhận đăng ký mua: Từ ngày.../.../... đến ngày.../.../……..
- Ngày thanh toán tiền mua chứng quyền: ……………………………………………………
- Ngày kết thúc chuyển giao chứng quyền: ……………………………………………………
II. Kết quả phân phối chứng quyền có bảo đảm
| Đối tượng mua chứng quyền | Giá chào bán (đồng/ chứng quyền) | Số lượng chứng quyền chào bán | Số lượng chứng quyền đăng ký mua | Số lượng chứng quyền được phân phối | Số người đăng ký mua | Số người được phân phối | Số chứng quyền chưa phân phối | Tỷ lệ chứng quyền phân phối |
| 1. Nhà đầu tư cá nhân, trong đó: - Nhà đầu tư trong nước - Nhà đầu tư nước ngoài |
|
|
|
|
|
|
|
|
| 2. Nhà đầu tư có tổ chức, trong đó: - Nhà đầu tư trong nước - Nhà đầu tư nước ngoài |
|
|
|
|
|
|
|
|
| Tổng |
|
|
|
|
|
|
|
|
III. Tổng hợp kết quả phân phối chứng quyền có bảo đảm
1. Tổng số chứng quyền có bảo đảm đã phân phối:...., chiếm……% tổng số chứng quyền có bảo đảm được phép chào bán.
2. Tổng số tiền thu từ việc bán chứng quyền có bảo đảm: …………………………đồng
(có xác nhận của ngân hàng nơi mở tài khoản phong tỏa nhận tiền mua chứng quyền có bảo đảm đính kèm)
3. Tổng chi phí: ………………………………………………………………………………đồng
- Phí bảo lãnh phát hành: …………………………………………………………………..
- Phí phân phối chứng quyền có bảo đảm: ……………………………………………………
- ……………………………………………………………………………………………………
4. Tổng thu ròng từ đợt phân phối: ……………………………………………………đồng
….., ngày... tháng... năm...
NGƯỜI ĐẠI DIỆN THEO PHÁP
LUẬT CỦA CÔNG TY
(Ký, ghi rõ họ tên và đóng dấu)
Phụ lục số IV
MẪU QUY TRÌNH QUẢN TRỊ RỦI RO CỦA TỔ CHỨC PHÁT HÀNH
CHỨNG QUYỀN CÓ BẢO ĐẢM
(Kèm theo Thông tư số 122/2025/TT-BTC ngày 22 tháng 12 năm 2025
của Bộ trưởng Bộ Tài chính)
QUY TRÌNH QUẢN TRỊ RỦI RO CHỨNG QUYỀN CÓ BẢO ĐẢM
I. Mục tiêu
- Nhận diện được các rủi ro tiềm năng có thể xảy ra đối với hoạt động kinh doanh chứng quyền có bảo đảm của tổ chức phát hành.
- Xử lý một cách nhanh chóng và hiệu quả đối với các vấn đề liên quan đến các rủi ro đã được nhận diện.
- Đảm bảo tính thống nhất giữa các bộ phận có liên quan trong quá trình quản trị rủi ro, đảm bảo hạn chế ở mức thấp nhất các rủi ro có thể xảy ra trong hoạt động kinh doanh sản phẩm chứng quyền có bảo đảm.
II. Quy trình quản trị rủi ro chứng quyền có bảo đảm
Quy trình quản trị rủi ro chứng quyền có bảo đảm là một chuỗi các bước được thực hiện liên tục nhằm hạn chế thấp nhất các rủi ro xảy ra đối với tổ chức phát hành. Để quản trị rủi ro hiệu quả, tổ chức phát hành cần tuân thủ tối thiểu các bước sau:
Bước 1: Nhận diện rủi ro đối với chứng quyền có bảo đảm
Các rủi ro thường gặp đối với tổ chức phát hành chứng quyền có bảo đảm:
- Rủi ro thanh toán: Rủi ro khi tổ chức phát hành không thể thực hiện được các nghĩa vụ đã cam kết đối với nhà đầu tư, chẳng hạn như tổ chức phát hành chứng quyền có bảo đảm bị mất khả năng thanh toán khi nhà đầu tư thực hiện quyền.
- Rủi ro thị trường: Rủi ro do sự thay đổi giá của chứng quyền có bảo đảm và giá của tài sản cơ sở.
- Rủi ro pháp lý: Rủi ro khi tổ chức phát hành vi phạm hoặc không tuân thủ các quy định và quy tắc của pháp luật hiện hành, dẫn đến bị phạt, cảnh cáo, tạm ngừng hoạt động hoặc bị rút giấy phép nghiệp vụ, đăng ký kinh doanh.
- Rủi ro hoạt động: Rủi ro do các lý do công nghệ (ví dụ hacker đánh sập hệ thống công nghệ thông tin), nhân viên (lừa đảo, sai sót do cố tình hoặc vô tình), tài sản vốn, các lý do bên ngoài (thiên tai, chiến tranh....).
- Các rủi ro khác: theo đặc thù hoạt động của tổ chức phát hành.
Bước 2: Phân tích rủi ro
Dựa trên các rủi ro liệt kê ở bước 1, cán bộ rủi ro của từng bộ phận trong công ty sẽ đánh giá về khả năng hay xác suất rủi ro đó xảy ra và mức độ tác động. Trên cơ sở đó sẽ phân loại và xếp hạng từng loại rủi ro để có những biện pháp xử lý phù hợp.
Tổ chức phát hành nêu phương pháp đánh giá đối với từng rủi ro. Chẳng hạn như việc so sánh vị thế phòng ngừa rủi ro lý thuyết với vị thế phòng ngừa rủi ro thực tế cho các chứng quyền có bảo đảm đang lưu hành.
Bước 3: Kiểm soát rủi ro
Việc phân tích, đánh giá rủi ro sẽ giúp công ty xây dựng được chiến lược kiểm soát rủi ro thông qua việc lựa chọn chiến lược giải quyết hay đối phó với các rủi ro cho phù hợp. Các chiến lược thường được áp dụng để giải quyết hay đối phó với rủi ro là: tránh rủi ro, chuyển giao rủi ro, giảm nhẹ rủi ro, chấp nhận rủi ro.
Chẳng hạn, sau khi xác định được các rủi ro trọng yếu, các bộ phận có liên quan đến quản trị rủi ro cần phối hợp để tính toán và đưa ra các mức cảnh báo hoặc các tham số mục tiêu, từ đó đưa ra các phương án cũng như chiến lược để phòng ngừa rủi ro nhằm kiểm soát các rủi ro có thể ảnh hưởng đến hoạt động kinh doanh chứng quyền có bảo đảm của công ty.
Ví dụ 1: Phương án phòng ngừa rủi ro thị trường:
- Nguyên tắc phòng ngừa rủi ro: duy trì hệ số phòng ngừa rủi ro trung hòa delta.
- Cách thức thực hiện: mua/bán chứng khoán cơ sở hoặc mua chứng quyền có bảo đảm của tổ chức phát hành khác.
- Cơ sở vật chất để thực hiện: hệ thống thực hiện,...
Ví dụ 2: Phương án phòng ngừa rủi ro pháp lý (giả sử tổ chức phát hành tổ chức thực hiện việc phòng ngừa rủi ro vi phạm nghĩa vụ tạo lập thị trường dẫn đến việc chứng quyền có bảo đảm bị tạm ngừng giao dịch)
- Nguyên tắc: đảm bảo tuân thủ nghĩa vụ tạo lập thị trường.
- Cách thức thực hiện: chủ động xây dựng các chương trình nhằm tuân thủ đúng các quy định về tạo lập thị trường theo Quy chế của Sở giao dịch chứng khoán.
- Phương tiện thực hiện: xây dựng hệ thống tự động về tạo lập thị trường…
Bước 4: Giám sát hoạt động quản trị rủi ro
Hoạt động cuối cùng trong quy trình quản trị rủi ro thường là hoạt động giám sát và trao đổi thông tin nhằm đánh giá lại toàn bộ quá trình nhận diện rủi ro, phân tích rủi ro, kiểm soát và đối phó với rủi ro của công ty. Tiến độ thực hiện các kế hoạch kiểm soát rủi ro cho các rủi ro cụ thể cần được thông báo lên cấp trên và các phòng ban liên quan để chủ động thực hiện các hành động sửa chữa phù hợp.
Trong bước này, tổ chức phát hành cần cụ thể hóa vai trò kiểm tra, giám sát cũng như việc phân cấp và phân quyền giữa các chủ thể trong hệ thống quản trị rủi ro của tổ chức phát hành chứng quyền có bảo đảm.
Định kỳ, bộ phận quản trị rủi ro thực hiện đánh giá hoạt động quản trị rủi ro và đề xuất các giải pháp điều chỉnh hoạt động quản trị rủi ro, chính sách quản trị rủi ro, báo cáo Ủy ban quản trị rủi ro và Ban Điều hành.
Phụ lục số V
MẪU PHƯƠNG ÁN BẢO ĐẢM THANH TOÁN CHO NGƯỜI SỞ HỮU
CHỨNG QUYỀN CÓ BẢO ĐẢM VÀ PHƯƠNG ÁN PHÒNG NGỪA RỦI
RO CHO CHỨNG QUYỀN CÓ BẢO ĐẢM
(Kèm theo Thông tư số 122/2025/TT-BTC ngày 22 tháng 12 năm 2025
của Bộ trưởng Bộ Tài chính)
| TÊN TỔ CHỨC PHÁT HÀNH | CỘNG HÒA XÃ HỘI CHỦ NGHĨA VIỆT NAM |
PHƯƠNG ÁN BẢO ĐẢM THANH TOÁN CHO NGƯỜI SỞ HỮU
CHỨNG QUYỀN CÓ BẢO ĐẢM VÀ PHƯƠNG ÁN PHÒNG NGỪA RỦI
RO CHO CHỨNG QUYỀN CÓ BẢO ĐẢM
Tổ chức phát hành: ………………………………………………………………………………
1. Phương án bảo đảm thanh toán cho người sở hữu chứng quyền có bảo đảm
Việc thanh toán cho người sở hữu chứng quyền có bảo đảm được bảo đảm bằng các nguồn tài sản sau:
a) Tài sản phòng ngừa rủi ro và các tài sản khác có trên tài khoản tự doanh;
b) Tài sản có trên tài khoản ký quỹ tại ngân hàng lưu ký;
c) Bảo lãnh thanh toán hoặc tài sản khác (nếu có).
Trường hợp không đủ tài sản để thanh toán thực hiện chứng quyền có bảo đảm, việc giải quyết quyền lợi cho người sở hữu chứng quyền có bảo đảm thực hiện theo quy định pháp luật liên quan áp dụng đối với chủ nợ có bảo đảm một phần.
2. Phương án phòng ngừa rủi ro cho chứng quyền có bảo đảm
(Ví dụ minh họa đối với chiến lược phòng ngừa rủi ro delta, tổ chức phát hành có thể áp dụng các chiến lược phòng ngừa rủi ro khác và phải nêu chi tiết theo các nội dung dưới đây)
2.1. Mục đích phòng ngừa rủi ro
(Để đảm bảo khả năng thanh toán cho người sở hữu chứng quyền có bảo đảm, hạn chế một cách hiệu quả những tổn thất do rủi ro gây ra)
2.2. Tổ chức thực hiện phòng ngừa rủi ro
(Trách nhiệm của Ban điều hành, Ban quản lý, Bộ phận kiểm soát nội bộ, Bộ phận trực tiếp quản trị rủi ro trong việc phòng ngừa rủi ro cho chứng quyền có bảo đảm; Số lượng nhân sự tại bộ phận trực tiếp thực hiện hoạt động phòng ngừa rủi ro cho chứng quyền có bảo đảm, chứng chỉ chuyên môn, số năm kinh nghiệm...)
2.3. Nguyên tắc thực hiện tổng quát
(Giả sử tổ chức phát hành áp dụng phương án phòng ngừa rủi ro trung hòa delta, tức cùng với việc phát hành chứng quyền có bảo đảm, tổ chức phát hành sẽ đồng thời thực hiện các giao dịch mua bán chứng khoán cơ sở để giữ cho tổng vị thế của tổ chức phát hành là trung hòa delta (delta = 0) khi giá chứng khoán cơ sở thay đổi)
- Chứng khoán phòng ngừa rủi ro
+ Chứng khoán cơ sở của chứng quyền có bảo đảm.
+ Các loại chứng khoán khác có cùng chứng khoán cơ sở của chứng quyền có bảo đảm (nếu có).
- Vị thế phòng ngừa rủi ro
+ Cách tính hệ số phòng ngừa rủi ro.
+ Công thức tính toán vị thế phòng ngừa rủi ro lý thuyết, công thức quy đổi vị thế phòng ngừa rủi ro lý thuyết theo số lượng chứng khoán cơ sở nếu tổ chức phát hành sử dụng các loại chứng khoán phòng ngừa rủi ro khác không phải là chứng khoán cơ sở.
……, ngày….. tháng…… năm…….
NGƯỜI ĐẠI DIỆN THEO PHÁP
LUẬT CỦA CÔNG TY
(Ký, ghi rõ họ tên và đóng dấu)
Phụ lục số VI
TÍNH GIÁ LÝ THUYẾT VÀ GIÁ TRỊ HỆ SỐ DELTA CỦA CHỨNG
QUYỀN MUA THEO CÔNG THỨC BLACK SCHOLES
(Kèm theo Thông tư số 122/2025/TT-BTC ngày 22 tháng 12 năm 2025
của Bộ trưởng Bộ Tài chính)
Tổ chức phát hành có thể định giá lý thuyết của chứng quyền mua theo công thức Black Scholes đối với các chứng quyền thực hiện quyền tại ngày đáo hạn.
1. Giá lý thuyết của chứng quyền mua theo công thức Black Scholes

Với:

Trong đó:
C: giá lý thuyết của chứng quyền mua;
N (d1), N(d2 ): xác suất phân phối chuẩn tích lũy;
X: giá thực hiện của chứng quyền;
S: giá chứng khoán cơ sở hiện tại;
T: thời gian còn lại đến khi đáo hạn (tính theo năm), là số ngày kể từ ngày tính toán đến ngày đáo hạn chứng quyền/365;
rc: lãi suất phi rủi ro (tính theo năm);
σ: độ biến động giá kỳ vọng của chứng khoán cơ sở (tính theo năm);
k: Tỷ lệ chuyển đổi của chứng quyền.
2. Giá trị hệ số delta của chứng quyền mua theo mô hình Black Scholes
DeltaCALL = N(d1)
Trong đó:
DeltaCALL: giá trị delta của chứng quyền mua;
N(d1): xác suất phân phối chuẩn tích lũy, với d1 được xác định theo công thức định giá Black Scholes.
Phụ lục số VII
MẪU BÁO CÁO PHÒNG NGỪA RỦI RO VÀ SỐ LƯỢNG CHỨNG
QUYỀN CÓ BẢO ĐẢM PHÁT HÀNH HÀNG Ngày
(Kèm theo Thông tư số 122/2025/TT-BTC ngày 22 tháng 12 năm 2025
của Bộ trưởng Bộ Tài chính)
| TỔ CHỨC PHÁT HÀNH | CỘNG HÒA XÃ HỘI CHỦ NGHĨA VIỆT NAM |
BÁO CÁO
Phòng ngừa rủi ro và số lượng chứng quyền có bảo đảm phát hành
Ngày ..../..../……..
_______
| Kính gửi: |
- Ủy ban Chứng khoán Nhà nước - Sở giao dịch chứng khoán |
Tên Tổ chức phát hành: …………………………………………………………………………
Tên giao dịch: ………………………………………………………………………………
Trụ sở chính: ………………………………………………………………………………
Điện thoại: ………………………………………………………………………………
1. Số lượng chứng quyền có bảo đảm phát hành
| STT | Mã chứng quyền | Nội dung (chi tiết theo từng mã chứng quyền) | Số lượng |
| 1 | Mã chứng quyền 1 |
|
|
|
|
| 1. Số lượng chứng quyền có bảo đảm được phép phát hành |
|
|
|
| 2. Số lượng chứng quyền có bảo đảm đã bán ròng trong ngày |
|
|
|
| 3. Tổng số lượng chứng quyền có bảo đảm đã bán ròng (số lượng chứng quyền có bảo đảm đang lưu hành) |
|
|
|
| 4. Số lượng chứng quyền có bảo đảm còn được phép bán (1-3) |
|
| 2 | Mã chứng quyền 2 |
|
|
|
|
| 1. Số lượng chứng quyền có bảo đảm được phép phát hành |
|
|
|
| 2. Số lượng chứng quyền có bảo đảm đã bán ròng trong ngày |
|
|
|
| 3. Tổng số lượng chứng quyền có bảo đảm đã bán ròng (số lượng chứng quyền có bảo đảm đang lưu hành) |
|
|
|
| 4. Số lượng chứng quyền có bảo đảm còn được phép bán (1-3) |
|
|
| … |
|
|
2. Báo cáo hoạt động phòng ngừa rủi ro
a) Vị thế phòng ngừa rủi ro cho các chứng quyền có bảo đảm
| Ngày | Mã chứng quyền | Vị thế phòng ngừa rủi ro lý thuyết | Vị thế phòng ngừa rủi ro thực tế | Chênh lệch | Số dư tiền tài khoản tự doanh cho hoạt động chứng quyền |
|
|
|
|
|
|
|
|
|
|
|
|
|
|
b) Giao dịch chứng khoán cơ sở
| STT | Mã cổ phiếu cơ sở | Số lượng cổ phiếu dư đầu ngày | Số lượng cổ phiếu giao dịch trong ngày | Số lượng cổ phiếu cuối ngày | Tỷ lệ nắm giữ/cổ phiếu lưu hành | |
| Mua | Bán | |||||
|
|
| (1) | (2) | (3) | (4) = (1)+(2)-(3) |
|
| 1 |
|
|
|
|
|
|
| 2 |
|
|
|
|
|
|
|
Tài liệu gửi kèm: (nếu có) | ….., ngày ….tháng…. năm….. NGƯỜI ĐẠI DIỆN THEO PHÁP LUẬT (Ký, đóng dấu, ghi rõ họ tên) |
Phụ lục số VIII
MẪU BÁO CÁO HOẠT ĐỘNG CHỨNG QUYỀN CÓ BẢO ĐẢM
(Kèm theo Thông tư số 122/2025/TT-BTC ngày 22 tháng 12 năm 2025
của Bộ trưởng Bộ Tài chính)
| TỔ CHỨC PHÁT HÀNH | CỘNG HÒA XÃ HỘI CHỦ NGHĨA VIỆT NAM |
BÁO CÁO
Hoạt động chứng quyền có bảo đảm
Tháng .../...
_______
| Kính gửi: |
- Ủy ban Chứng khoán Nhà nước - Sở giao dịch chứng khoán |
Tên Tổ chức phát hành: …………………………………………………………………………
Tên giao dịch: ………………………………………………………………………………
Trụ sở chính: ………………………………………………………………………………
Điện thoại: ………………………………………………………………………………
1. Báo cáo giao dịch tự doanh đối với chứng khoán cơ sở
| STT | Loại chứng khoán | Chứng khoán nắm giữ tại ngày.../…./20... | Tổng số chứng khoán đang lưu hành của tổ chức phát hành vào thời điểm báo cáo | Tỷ lệ đầu tư (%) | |||
| Số lượng | Tổng giá trị mua vào (triệu đồng) | Giá trị thị trường tại thời điểm báo cáo (triệu đồng) | Tỷ lệ tăng trưởng tài sản đầu tư | ||||
| (1) | (2) | (3) | (4) | (5) | (6)=(5)/(4) | (7) | (8)=(3)/(7) |
| I | Phòng ngừa rủi ro | ||||||
|
| Cổ phiếu |
|
|
|
|
|
|
| 1 |
|
|
|
|
|
|
|
| 2 |
|
|
|
|
|
|
|
| 3 |
|
|
|
|
|
|
|
| … |
|
|
|
|
|
|
|
|
| Tổng cộng |
|
|
|
|
|
|
| II | Khác |
|
|
|
|
|
|
|
| Cổ phiếu |
|
|
|
|
|
|
| … |
|
|
|
|
|
|
|
|
| Tổng cộng |
|
|
|
|
|
|
|
| TỔNG I+II |
|
|
|
|
|
|
2. Báo cáo chứng quyền có bảo đảm đang lưu hành
| STT | Tên chứng quyền | Mã chứng quyền | Số lượng chứng quyền đầu kỳ tại ngày | Giá trị tương ứng với số lượng chứng quyền đầu kỳ | Số lượng chứng quyền cuối kỳ tại ngày | Giá đóng cửa phiên giao dịch cuối cùng của tháng (đồng) | Giá trị cuối kỳ (đồng) | Chênh lệch giữa giá trị cuối kỳ với giá trị đầu kỳ |
| (1) | (2) | (3) | (5) | (6) | (7) | (8) | (9)=(7)x(8) | (10)=(9)-(6) |
|
|
|
|
|
|
|
|
|
|
|
|
|
|
|
|
|
|
|
|
|
|
|
|
|
|
|
|
|
|
|
|
|
|
|
|
|
|
|
|
| … |
|
|
|
|
|
|
|
|
| Tổng cộng |
|
|
|
|
|
|
| |
3. Tài sản bảo đảm thanh toán/Bảo lãnh thanh toán
Đơn vị tính:…….đồng
| STT | Tên chứng quyền | Tổ chức phát hành | Tài sản bảo đảm | Giá trị kỳ báo cáo | Giá trị kỳ trước | Thay đổi so với kỳ trước |
| 1 |
|
| Tiền |
|
|
|
| Chứng chỉ tiền gửi/ Hợp đồng tiền gửi |
|
|
| |||
| Bảo lãnh thanh toán |
|
|
| |||
| 2 |
|
| Tiền |
|
|
|
| Chứng chỉ tiền gửi/ Hợp đồng tiền gửi |
|
|
| |||
| Bảo lãnh thanh toán |
|
|
| |||
|
| … |
|
|
|
|
|
| Tổng cộng |
|
|
| |||
Bằng chữ:
|
Tài liệu gửi kèm: (nếu có) | ….., ngày ….tháng…. năm….. NGƯỜI ĐẠI DIỆN THEO PHÁP LUẬT (Ký, đóng dấu, ghi rõ họ tên) |
Phụ lục số IX
MẪU THÔNG BÁO VỀ NGÀY ĐĂNG KÝ CUỐI CÙNG ĐỂ THỰC HIỆN
CHỨNG QUYỀN CÓ BẢO ĐẢM TẠI NGÀY ĐÁO HẠN
(Kèm theo Thông tư số 122/2025/TT-BTC ngày 22 tháng 12 năm 2025
của Bộ trưởng Bộ Tài chính)
| TỔ CHỨC PHÁT HÀNH | CỘNG HÒA XÃ HỘI CHỦ NGHĨA VIỆT NAM |
THÔNG BÁO
Về ngày đăng ký cuối cùng để thực hiện chứng quyền có bảo đảm
tại ngày đáo hạn
_______
Kính gửi: Sở Giao dịch Chứng khoán
Tên Tổ chức phát hành: …………………………………………………………………………
Tên giao dịch: ………………………………………………………………………………
Trụ sở chính: ………………………………………………………………………………
Điện thoại: ………………………………………………………………………………
Chúng tôi thông báo về ngày đăng ký cuối cùng để thực hiện chứng quyền có bảo đảm tại ngày đáo hạn như sau:
Tên chứng quyền có bảo đảm: ……………………………………………………
Mã chứng quyền có bảo đảm: ……………………………………………………
Tên (mã) chứng khoán cơ sở: ……………………………………………………
Tỷ lệ chuyển đổi: ………………………………………………………………………………
Giá thực hiện: ………………………………………………………………………………đồng
Khối lượng chứng quyền có bảo đảm đang niêm yết: …………………………
Sở giao dịch chứng khoán: (Sở giao dịch chứng khoán nơi niêm yết chứng quyền có bảo đảm) …………………………
Thời hạn: ………………………………………………………………………………tháng
Ngày đáo hạn: ………………………………………………………………………………
Ngày đăng ký cuối cùng: (ghi rõ ngày đăng ký cuối cùng) …………………………
Ngày giao dịch cuối cùng: (ghi rõ ngày giao dịch cuối cùng) …………………………
1. Lý do và mục đích
Thực hiện chứng quyền có bảo đảm do đáo hạn
2. Nội dung cụ thể
- Giá thanh toán chứng quyền có bảo đảm: ……………………………………………………
- Ngày thanh toán: ………………………………………………………………………………
- Địa điểm thực hiện: ………………………………………………………………………………
+ Người sở hữu chứng quyền có bảo đảm đã lưu ký làm thủ tục thanh toán tại các thành viên lưu ký nơi mở tài khoản lưu ký.
+ Người sở hữu chứng quyền có bảo đảm chưa lưu ký: …………………………
Công ty ... (tên Tổ chức phát hành) thông báo về ngày đăng ký cuối cùng để thực hiện chứng quyền có bảo đảm tại ngày đáo hạn để Sở giao dịch chứng khoán ... (Sở Giao dịch Chứng khoán nơi niêm yết chứng quyền có bảo đảm) được biết và thực hiện hủy bỏ niêm yết toàn bộ chứng quyền có bảo đảm nêu trên.
Chúng tôi cam kết thực hiện mọi nghĩa vụ của Tổ chức phát hành cũng như các quy định pháp luật về chứng khoán và thị trường chứng khoán.
|
Tài liệu gửi kèm: (nếu có) | ….., ngày ….tháng…. năm….. NGƯỜI ĐẠI DIỆN THEO PHÁP LUẬT (Ký, đóng dấu, ghi rõ họ tên) |
Phụ lục số X
MẪU BÁO CÁO VỀ TÀI SẢN BẢO ĐẢM THANH TOÁN
(Kèm theo Thông tư số 122/2025/TT-BTC ngày 22 tháng 12 năm 2025
của Bộ trưởng Bộ Tài chính)
CỘNG HÒA XÃ HỘI CHỦ NGHĨA VIỆT NAM
Độc lập - Tự do - Hạnh phúc
__________________
……, ngày... tháng... năm 20....
BÁO CÁO
Về tài sản bảo đảm thanh toán
_______
Kính gửi: Ủy ban Chứng khoán Nhà nước
1. Thông tin về ngân hàng lưu ký
Tên đầy đủ, tên viết tắt: …………………………………………………………………………
Địa chỉ trụ sở chính………………………………………………………………………………
Giấy phép hoạt động số: do………………………… cấp ngày…………………………
Giấy chứng nhận đăng ký hoạt động lưu ký chứng khoán số: do Ủy ban Chứng khoán Nhà nước cấp ngày……………………………………………………
2. Tài sản bảo đảm thanh toán
Đơn vị tính:……….đồng
| STT | Tên chứng quyền | Tổ chức phát hành | Tài sản bảo đảm | Giá trị kỳ báo cáo | Giá trị kỳ trước | Thay đổi so với kỳ trước |
| 1 |
|
| Tiền |
|
|
|
| Chứng chỉ tiền gửi/Hợp đồng tiền gửi |
|
|
| |||
| Bảo lãnh thanh toán |
|
|
| |||
| 2 |
|
| Tiền |
|
|
|
| Chứng chỉ tiền gửi/Hợp đồng tiền gửi |
|
|
| |||
| Bảo lãnh thanh toán |
|
|
| |||
|
| … |
|
|
|
|
|
| Tổng cộng |
|
|
| |||
Bằng chữ:
3. Đánh giá tính tuân thủ của tổ chức phát hành chứng quyền có bảo đảm
..., ngày... tháng... năm...
ĐẠI DIỆN CÓ THẨM QUYỀN CỦA NGÂN HÀNG
(Ký, ghi rõ họ tên và đóng dấu)
Bạn chưa Đăng nhập thành viên.
Đây là tiện ích dành cho tài khoản thành viên. Vui lòng Đăng nhập để xem chi tiết. Nếu chưa có tài khoản, vui lòng Đăng ký tại đây!
Bạn chưa Đăng nhập thành viên.
Đây là tiện ích dành cho tài khoản thành viên. Vui lòng Đăng nhập để xem chi tiết. Nếu chưa có tài khoản, vui lòng Đăng ký tại đây!