- Tổng quan
- Nội dung
- VB gốc
- Tiếng Anh
- Hiệu lực
- VB liên quan
- Lược đồ
-
Nội dung hợp nhất
Tính năng này chỉ có tại LuatVietnam.vn. Nội dung hợp nhất tổng hợp lại tất cả các quy định còn hiệu lực của văn bản gốc và các văn bản sửa đổi, bổ sung, đính chính... trên một trang. Việc hợp nhất văn bản gốc và những văn bản, Thông tư, Nghị định hướng dẫn khác không làm thay đổi thứ tự điều khoản, nội dung.
Khách hàng chỉ cần xem Nội dung hợp nhất là có thể nắm bắt toàn bộ quy định hiện hành đang áp dụng, cho dù văn bản gốc đã qua nhiều lần chỉnh sửa, bổ sung.
- Tải về
Nghị quyết 70/2022/QH15 phân bổ ngân sách trung ương năm 2023
| Cơ quan ban hành: | Quốc hội |
Số công báo:
Số công báo là mã số ấn phẩm được đăng chính thức trên ấn phẩm thông tin của Nhà nước. Mã số này do Chính phủ thống nhất quản lý.
|
Đã biết
|
| Số hiệu: | 70/2022/QH15 | Ngày đăng công báo: |
Đã biết
|
| Loại văn bản: | Nghị quyết | Người ký: | Vương Đình Huệ |
|
Ngày ban hành:
Ngày ban hành là ngày, tháng, năm văn bản được thông qua hoặc ký ban hành.
|
11/11/2022 |
Ngày hết hiệu lực:
Ngày hết hiệu lực là ngày, tháng, năm văn bản chính thức không còn hiệu lực (áp dụng).
|
Đang cập nhật |
|
Áp dụng:
Ngày áp dụng là ngày, tháng, năm văn bản chính thức có hiệu lực (áp dụng).
|
Đã biết
|
Tình trạng hiệu lực:
Cho biết trạng thái hiệu lực của văn bản đang tra cứu: Chưa áp dụng, Còn hiệu lực, Hết hiệu lực, Hết hiệu lực 1 phần; Đã sửa đổi, Đính chính hay Không còn phù hợp,...
|
Đã biết
|
| Lĩnh vực: | Tài chính-Ngân hàng |
TÓM TẮT NGHỊ QUYẾT 70/2022/QH15
Ngày 11/11/2022, Quốc hội đã ban hành Nghị quyết 70/2022/QH15 về phân bổ ngân sách trung ương năm 2023.
Theo đó, tổng số thu ngân sách trung ương là 863.567 tỷ đồng. Tổng số thu ngân sách địa phương là 757.177 tỷ đồng. Tổng số chi ngân sách trung ương là 1.294.067 tỷ đồng, trong đó dự toán 436.204 tỷ đồng để bổ sung cân đối ngân sách, bổ sung có mục tiêu cho ngân sách địa phương.
Cụ thể, Quốc hội giao Chính phủ giao nhiệm vụ thu, chi ngân sách Nhà nước và mức phân bổ ngân sách trung ương cho từng bộ, cơ quan trung ương và từng tỉnh, thành phố trực thuộc trung ương theo đúng quy định và thông báo đến từng Đoàn đại biểu Quốc hội tỉnh, thành phố trực thuộc trung ương. Chính phủ chỉ đạo, hướng dẫn các Bộ, cơ quan trung ương và các tỉnh, thành phố trực thuộc trung ương phân bổ vốn đầu tư ngân sách Nhà nước bảo đảm tập trung, có trọng tâm, trọng điểm, tuân thủ điều kiện, thứ tự ưu tiên theo quy định.
Ngoài ra, cần ưu tiên thanh toán đủ số nợ đọng xây dựng cơ bản theo quy định của pháp luật; thu hồi toàn bộ số vốn ứng trước còn lại phải thu hồi trong Kế hoạch đầu tư công trung hạn giai đoạn 2021-2025; bố trí đủ vốn cho các dự án đã hoàn thành bàn giao đưa vào sử dụng trước năm 2023, vốn đối ứng các dự án ODA và vốn vay ưu đãi nước ngoài, vốn ngân sách Nhà nước tham gia vào các dự án PPP, nhiệm vụ chuẩn bị đầu tư, nhiệm vụ quy hoạch, các dự án chuyển tiếp phải hoàn thành trong năm 2023.
Xem chi tiết Nghị quyết 70/2022/QH15 có hiệu lực kể từ ngày 11/11/2022
Tải Nghị quyết 70/2022/QH15
|
QUỐC HỘI |
CỘNG HÒA XÃ HỘI CHỦ NGHĨA VIỆT NAM |
NGHỊ QUYẾT
Về phân bổ ngân sách trung ương năm 2023
QUỐC HỘI
Căn cứ Hiến pháp nước Cộng hòa xã hội chủ nghĩa Việt Nam;
Căn cứ Luật Ngân sách nhà nước số 83/2015/QH13 đã được sửa đổi, bổ sung một số điều theo Luật số 59/2020/QH14;
Căn cứ Nghị quyết số 69/2022/QH15 ngày 11 tháng 11 năm 2022 của
Quốc hội về dự toán ngân sách nhà nước năm 2023;
Trên cơ sở xem xét Báo cáo số 32/BC-CP, Báo cáo số 33/BC-CP ngày 16 tháng 10 năm 2022 của Chính phủ; Báo cáo thẩm tra số 53/BC-UBTCNS15-m ngày 19 tháng 10 năm 2022 của Ủy ban Tài chính, Ngân sách; Báo cáo tiếp thu, giải trình số 363/BC-UBTVQH15 ngày 11 tháng 11 năm 2022 của Ủy ban Thường vụ Quốc hội và ý kiến đại biểu Quốc hội,
QUYẾT NGHỊ:
Điều 1. Tổng số thu và chi ngân sách trung ương năm 2023
1. Tổng số thu ngân sách trung ương là 863.567 tỷ đồng (tám trăm sáu mươi ba nghìn, năm trăm sáu mươi bảy tỷ đồng). Tổng số thu ngân sách địa phương là 757.177 tỷ đồng (bảy trăm năm mươi bảy nghìn, một trăm bảy mươi bảy tỷ đồng).
2. Tổng số chi ngân sách trung ương là 1.294.067 tỷ đồng (một triệu, hai trăm chín mươi bốn nghìn, không trăm sáu mươi bảy tỷ đồng), trong đó dự toán
436.204 tỷ đồng (bốn trăm ba mươi sáu nghìn, hai trăm linh bốn tỷ đồng) để bổ sung cân đối ngân sách, bổ sung có mục tiêu cho ngân sách địa phương.
Điều 2. Phân bổ ngân sách trung ương năm 2023
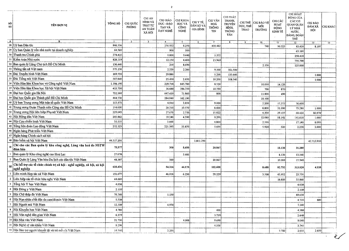
1. Phân bổ ngân sách trung ương năm 2023 theo từng lĩnh vực và chi tiết cho từng Bộ, cơ quan trung ương theo các phụ lục số I, II, III và IV kèm theo Nghị quyết này.
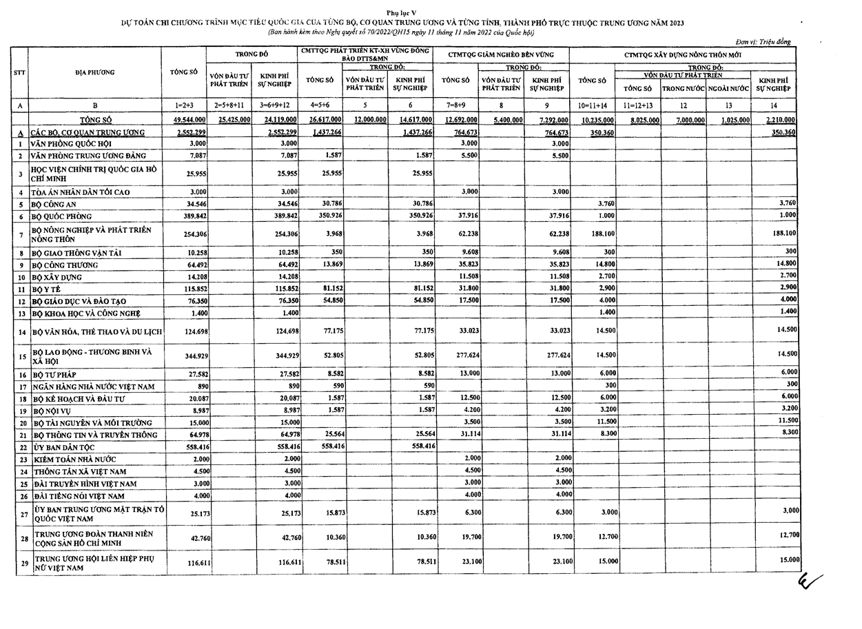
2. Phân bổ ngân sách trung ương năm 2023 kinh phí thực hiện 03 Chương trình mục tiêu quốc gia cho từng Bộ, cơ quan trung ương và từng tỉnh, thành phố trực thuộc trung ương theo Phụ lục số V kèm theo Nghị quyết này.
3. Tỷ lệ phần trăm (%) phân chia các khoản thu giữa ngân sách trung ương và ngân sách từng tỉnh, thành phố trực thuộc trung ương; số bổ sung cân đối ngân sách, số bổ sung có mục tiêu từ ngân sách trung ương cho ngân sách địa phương theo Phụ lục số VI, Phụ lục số VII kèm theo Nghị quyết này. Trong đó, tỷ lệ phần trăm (%) phân chia các khoản thu giữa ngân sách trung ương và ngân sách từng tỉnh, thành phố trực thuộc trung ương, số bổ sung cân đối ngân sách được áp dụng cho thời kỳ ổn định ngân sách đến năm 2025.
4. Mức bội thu, mức vay bù đắp bội chi, vay để trả nợ gốc của ngân sách địa phương theo Phụ lục số VIII kèm theo Nghị quyết này.
Điều 3. Giao Chính phủ
1. Giao nhiệm vụ thu, chi ngân sách nhà nước và mức phân bổ ngân sách trung ương cho từng Bộ, cơ quan trung ương và từng tỉnh, thành phố trực thuộc trung ương theo đúng quy định của Luật Ngân sách nhà nước, Nghị quyết của Quốc hội và thông báo bằng văn bản đến từng Đoàn đại biểu Quốc hội tỉnh, thành phố trực thuộc trung ương.
2. Chỉ đạo, hướng dẫn các Bộ, cơ quan trung ương và các tỉnh, thành phố trực thuộc trung ương phân bổ vốn đầu tư ngân sách nhà nước bảo đảm tập trung, có trọng tâm, trọng điểm, tuân thủ điều kiện, thứ tự ưu tiên quy định trong Luật Đầu tư công, Nghị quyết của Quốc hội, Nghị quyết của Ủy ban Thường vụ Quốc hội, bố trí đủ vốn cho các nhiệm vụ, dự án thuộc Chương trình phục hồi và phát triển kinh tế - xã hội theo quy định tại tiết đ điểm 1.2 khoản 1 Điều 3 của Nghị quyết số 43/2022/QH15; ưu tiên thanh toán đủ số nợ đọng xây dựng cơ bản theo quy định của pháp luật; thu hồi toàn bộ số vốn ứng trước còn lại phải thu hồi trong Kế hoạch đầu tư công trung hạn giai đoạn 2021 - 2025; bố trí đủ vốn cho các dự án đã hoàn thành bàn giao đưa vào sử dụng trước năm 2023, vốn đối ứng các dự án ODA và vốn vay ưu đãi nước ngoài, vốn ngân sách nhà nước tham gia vào các dự án PPP, nhiệm vụ chuẩn bị đầu tư, nhiệm vụ quy hoạch, các dự án chuyển tiếp phải hoàn thành trong năm 2023; bố trí vốn theo tiến độ cho các dự án quan trọng quốc gia, dự án kết nối, có tác động liên vùng có ý nghĩa thúc đẩy phát triển kinh tế - xã hội nhanh, bền vững; sau khi bố trí đủ vốn cho các nhiệm vụ nêu trên, số vốn còn lại bố trí cho các dự án khởi công mới đủ thủ tục đầu tư.
Đề cao kỷ luật, kỷ cương tài chính, xử lý nghiêm các trường hợp vi phạm, cản trở làm chậm tiến độ giao vốn, giải ngân vốn; cá thể hóa trách nhiệm người đứng đầu trong trường hợp giải ngân chậm, gắn với đánh giá mức độ hoàn thành nhiệm vụ được giao.
3. Chỉ đạo Ủy ban nhân dân các tỉnh, thành phố trực thuộc Trung ương trình Hội đồng nhân dân cùng cấp quyết định dự toán thu ngân sách nhà nước trên địa bàn, dự toán chi ngân sách địa phương, bội chi ngân sách địa phương, tổng mức vay của ngân sách địa phương (bao gồm vay để bù đắp bội chi và vay để trả nợ gốc), quyết định phân bổ dự toán ngân sách theo thẩm quyền, đúng quy định của Luật Ngân sách nhà nước.
Căn cứ tình hình thực tế và khả năng cân đối của ngân sách địa phương, tỷ lệ phần trăm (%) các khoản thu phân chia giữa ngân sách trung ương và ngân sách địa phương, số bổ sung cân đối ngân sách, số bổ sung có mục tiêu, Ủy ban nhân dân cấp tỉnh rà soát để trình Hội đồng nhân dân cùng cấp quyết định phân cấp nguồn thu, nhiệm vụ chi giữa các cấp ngân sách ở địa phương; tỷ lệ phần trăm (%) phân chia giữa ngân sách các cấp chính quyền địa phương đối với phần ngân sách địa phương được hưởng từ các khoản thu ngân sách địa phương được hưởng 100% và các khoản thu phân chia giữa các cấp ngân sách, mức bổ sung cho ngân sách từng cấp chính quyền địa phương cấp dưới bảo đảm theo đúng quy định của Luật Ngân sách nhà nước, Nghị quyết của Quốc hội về dự toán ngân sách nhà nước năm 2023 và Nghị quyết này.
4. Thực hiện phân chia nguồn thu tiền cấp quyền khai thác tài nguyên nước theo quy định tại Nghị quyết số 64/2018/QH14 ngày 15 tháng 6 năm 2018 của Quốc hội đối với năm 2023 và ổn định trong giai đoạn 2023 - 2025.
5. Phân chia thuế bảo vệ môi trường đối với sản phẩm xăng, dầu giữa ngân sách trung ương và ngân sách địa phương theo quy định của Luật Ngân sách nhà nước đối với năm 2023 và ổn định cho giai đoạn 2023 - 2025 trên cơ sở sản lượng xăng, dầu sản xuất, bán ra trong nước so với tổng sản lượng xăng, dầu tiêu thụ trên thị trường, cụ thể: 60% thực hiện phân chia giữa ngân sách trung ương và ngân sách địa phương, 40% còn lại thực hiện điều tiết 100% về ngân sách trung ương.
6. Sử dụng nguồn thu từ hoạt động xổ số kiến thiết cho đầu tư phát triển; trong đó, ưu tiên đầu tư cho lĩnh vực giáo dục - đào tạo và giáo dục nghề nghiệp (bao gồm cả mua sắm thiết bị dạy học phục vụ chương trình đổi mới sách giáo khoa giáo dục phổ thông), lĩnh vực y tế; phần còn lại ưu tiên bố trí thực hiện các nhiệm vụ đầu tư phát triển quan trọng, cấp bách khác thuộc đối tượng đầu tư của ngân sách địa phương.
7. Khẩn trương hoàn thiện các văn bản hướng dẫn thực hiện 03 Chương trình mục tiêu quốc gia, kịp thời phân bổ, giao vốn để bảo đảm đẩy nhanh tiến độ thực hiện, giải ngân nguồn vốn trong năm 2023. Xây dựng phương án phân bổ 1.208,188 tỷ đồng vốn đầu tư phát triển (vốn trong nước 183,188 tỷ đồng, vốn nước ngoài 1.025 tỷ đồng) kế hoạch vốn ngân sách trung ương năm 2023 của Chương trình mục tiêu quốc gia xây dựng nông thôn mới và Chương trình mục tiêu quốc gia phát triển kinh tế - xã hội vùng đồng bào dân tộc thiểu số và miền núi cho từng Bộ, cơ quan trung ương và từng tỉnh, thành phố trực thuộc trung ương, trình Ủy ban Thường vụ Quốc hội xem xét, quyết định trước ngày 31 tháng 3 năm 2023.
8. Khẩn trương xây dựng nguyên tắc, tiêu chí, định mức phân bổ cho cả thời kỳ ổn định ngân sách đối với Chương trình bảo tồn và phát huy bền vững giá trị văn hóa Việt Nam giai đoạn 2021 - 2025 và Chương trình hỗ trợ phát triển kinh tế tập thể, hợp tác xã giai đoạn 2021 - 2025 trình Ủy ban Thường vụ Quốc hội xem xét, quyết định.
9. Bố trí ổn định trong dự toán chi thường xuyên của ngân sách địa phương giai đoạn 2023 -2025, bao gồm toàn bộ nhu cầu chi ngân sách nhà nước thực hiện các chính sách an sinh xã hội đã được trung ương ban hành theo chuẩn nghèo đa chiều giai đoạn 2022-2025, tính theo mức lương cơ sở hiện hành 1,49 triệu đồng/tháng (chưa bao gồm các khoản chi ngân sách nhà nước phát sinh tăng thêm để thực hiện các chính sách theo mức lương cơ sở tăng so với mức lương cơ sở hiện hành 1,49 triệu đồng/tháng và các khoản chi thực hiện các chế độ, chính sách quy định tại khoản 10 Điều này).
10. Khẩn trương hoàn thiện thủ tục, điều kiện phân bổ theo đúng quy định các khoản chi của ngân sách trung ương chưa phân bổ cho các Bộ, ngành, địa phương, báo cáo Quốc hội xem xét, quyết định, trường hợp cấp bách, trong thời gian giữa hai kỳ họp Quốc hội, trình Ủy ban Thường vụ Quốc hội xem xét, quyết định, báo cáo Quốc hội tại kỳ họp gần nhất số tiền 70.735,172 tỷ đồng tại mục VI, mục X của Phụ lục số II kèm theo Nghị quyết này. Chính phủ rút kinh nghiệm trong việc xây dựng dự toán, khắc phục tình trạng số kinh phí chưa phân bổ lớn khi trình Quốc hội dự toán ngân sách nhà nước.
11. Rà soát, tính toán chính xác kinh phí bù giá trong bao tiêu sản phẩm của dự án Lọc hóa dầu Nghi Sơn theo đúng quy định của Nghị quyết số 42/2021/QH15 của Quốc hội, báo cáo Quốc hội xem xét, quyết định; trường hợp cấp bách, trong thời gian giữa hai kỳ họp Quốc hội, báo cáo Ủy ban Thường vụ Quốc hội xem xét, quyết định, báo cáo Quốc hội tại kỳ họp gần nhất. Đồng thời, báo cáo Ủy ban Thường vụ Quốc hội kết quả, tiến độ thực hiện Thông báo số 25/TTKQH-TCNS-m ngày 19 tháng 4 năm 2022 về ý kiến của Ủy ban Thường vụ Quốc hội, trong đó có nội dung liên quan đến các khoản bù giá trong bao tiêu đã thực hiện thời gian qua.
Điều 4. Giám sát và kiểm toán việc phân bổ ngân sách trung ương
1. Ủy ban Thường vụ Quốc hội, Ủy ban Tài chính, Ngân sách, Hội đồng Dân tộc, các Ủy ban khác của Quốc hội, các Đoàn đại biểu Quốc hội, đại biểu Quốc hội, Mặt trận Tổ quốc Việt Nam và các tổ chức thành viên, trong phạm vi nhiệm vụ, quyền hạn của mình, giám sát việc phân bổ, quản lý và sử dụng ngân sách trung ương năm 2023 của các Bộ, cơ quan trung ương và Hội đồng nhân dân, Ủy ban nhân dân các cấp.
2. Kiểm toán nhà nước, trong phạm vi nhiệm vụ, quyền hạn của mình, tiến hành kiểm toán việc thực hiện Nghị quyết này bảo đảm đúng quy định của pháp luật.
Nghị quyết này được Quốc hội nước Cộng hòa xã hội chủ nghĩa Việt Nam khóa XV, kỳ họp thứ 4 thông qua ngày 11 tháng 11 năm 2022.
|
|
CHỦ TỊCH QUỐC HỘI |
E-pas: 100364
















Bạn chưa Đăng nhập thành viên.
Đây là tiện ích dành cho tài khoản thành viên. Vui lòng Đăng nhập để xem chi tiết. Nếu chưa có tài khoản, vui lòng Đăng ký tại đây!
Bạn chưa Đăng nhập thành viên.
Đây là tiện ích dành cho tài khoản thành viên. Vui lòng Đăng nhập để xem chi tiết. Nếu chưa có tài khoản, vui lòng Đăng ký tại đây!