• Tổng quan
  • Nội dung
  • VB gốc
  • Tiếng Anh
  • Hiệu lực
  • VB liên quan
  • Lược đồ
  • Nội dung hợp nhất 

    Tính năng này chỉ có tại LuatVietnam.vn. Nội dung hợp nhất tổng hợp lại tất cả các quy định còn hiệu lực của văn bản gốc và các văn bản sửa đổi, bổ sung, đính chính... trên một trang. Việc hợp nhất văn bản gốc và những văn bản, Thông tư, Nghị định hướng dẫn khác không làm thay đổi thứ tự điều khoản, nội dung.

    Khách hàng chỉ cần xem Nội dung hợp nhất là có thể nắm bắt toàn bộ quy định hiện hành đang áp dụng, cho dù văn bản gốc đã qua nhiều lần chỉnh sửa, bổ sung.

    =>> Xem hướng dẫn chi tiết cách sử dụng Nội dung hợp nhất

  • Tải về
Lưu
Đây là tiện ích dành cho tài khoản Tiêu chuẩn hoặc Nâng cao Vui lòng Đăng nhập tài khoản để xem chi tiết.
Theo dõi VB
Đây là tiện ích dành cho tài khoản Tiêu chuẩn hoặc Nâng cao Vui lòng Đăng nhập tài khoản để xem chi tiết.
Ghi chú
Báo lỗi
In

Nghị quyết 11/2021/NQ-HĐND Hà Nội phân cấp nguồn thu, nhiệm vụ chi giữa các cấp ngân sách, định mức phân bổ ngân sách

Ngày cập nhật: Thứ Năm, 30/12/2021 19:57 (GMT+7)
Cơ quan ban hành: Hội đồng nhân dân Thành phố Hà Nội
Số công báo:
Số công báo là mã số ấn phẩm được đăng chính thức trên ấn phẩm thông tin của Nhà nước. Mã số này do Chính phủ thống nhất quản lý.
Đang cập nhật
Số hiệu: 11/2021/NQ-HĐND Ngày đăng công báo: Đang cập nhật
Loại văn bản: Nghị quyết Người ký: Nguyễn Ngọc Tuấn
Ngày ban hành:
Ngày ban hành là ngày, tháng, năm văn bản được thông qua hoặc ký ban hành.
08/12/2021
Ngày hết hiệu lực:
Ngày hết hiệu lực là ngày, tháng, năm văn bản chính thức không còn hiệu lực (áp dụng).
Đã biết
Tiện ích dành cho tài khoản Tiêu chuẩn hoặc Nâng cao. Vui lòng Đăng nhập tài khoản để xem chi tiết.
Áp dụng:
Ngày áp dụng là ngày, tháng, năm văn bản chính thức có hiệu lực (áp dụng).
Đã biết
Tiện ích dành cho tài khoản Tiêu chuẩn hoặc Nâng cao. Vui lòng Đăng nhập tài khoản để xem chi tiết.
Tình trạng hiệu lực:
Cho biết trạng thái hiệu lực của văn bản đang tra cứu: Chưa áp dụng, Còn hiệu lực, Hết hiệu lực, Hết hiệu lực 1 phần; Đã sửa đổi, Đính chính hay Không còn phù hợp,...
Đã biết
Tiện ích dành cho tài khoản Tiêu chuẩn hoặc Nâng cao. Vui lòng Đăng nhập tài khoản để xem chi tiết.
Lĩnh vực: Tài chính-Ngân hàng

TÓM TẮT NGHỊ QUYẾT 11/2021/NQ-HĐND

Nội dung tóm tắt đang được cập nhật, Quý khách vui lòng quay lại sau!

Tải Nghị quyết 11/2021/NQ-HĐND

Tải văn bản tiếng Việt (.pdf) Nghị quyết 11/2021/NQ-HĐND PDF (Bản có dấu đỏ)

Đây là tiện ích dành cho tài khoản thành viên. Vui lòng Đăng nhập để xem chi tiết. Nếu chưa có tài khoản, Đăng ký tại đây!

Tải văn bản tiếng Việt (.doc) Nghị quyết 11/2021/NQ-HĐND DOC (Bản Word)

Đây là tiện ích dành cho tài khoản thành viên. Vui lòng Đăng nhập để xem chi tiết. Nếu chưa có tài khoản, Đăng ký tại đây!

Tình trạng hiệu lực: Đã biết
Hiệu lực: Đã biết
Tình trạng hiệu lực: Đã biết

HỘI ĐỒNG NHÂN DÂN
THÀNH PHỐ HÀ NỘI

____________

CỘNG HÒA XÃ HỘI CHỦ NGHĨA VIỆT NAM
Độc lập - Tự do - Hạnh phúc

______________________

Số: 11/2021/NQ-HĐND

Hà Nội, ngày 08 tháng 12 năm 2021

 

 

NGHỊ QUYẾT

Về phân cấp nguồn thu, nhiệm vụ chi giữa các cấp ngân sách, định mức phân bổ ngân sách của Thành phố Hà Nội

___________

HỘI ĐỒNG NHÂN DÂN THÀNH PHỐ HÀ NỘI
KHOÁ XVI, KỲ HỌP THỨ 03

 

Căn cứ Luật Tổ chức chính quyền địa phương ngày 19 tháng 6 năm 2015; Luật sửa đổi, bổ sung một số điều của Luật Tổ chức Chính phủ và Luật Tổ chức chính quyền địa phương ngày 22 tháng 11 năm 2019;

Căn cứ Luật Ngân sách Nhà nước ngày 25 tháng 6 năm 2015;

Căn cứ Nghị định số 163/2016/NĐ-CP ngày 21 tháng 12 năm 2016 của Chính phủ quy định chi tiết và Hướng dẫn thi hành Luật Ngân sách Nhà nước;

Căn cứ Quyết định số 26/2020/QĐ-TTg ngày 14 tháng 12 năm 2020 của Thủ tướng Chính phủ về quy định chi tiết thi hành một số điều của Nghị quyết số 973/2020/UBTVQH14 ngày 08 tháng 7 năm 2020 của Ủy ban thường vụ quốc hội quy định về các nguyên tắc, tiêu chí và định mức phân bổ vốn đầu tư công nguồn ngân sách nhà nước giai đoạn 2021-2025;

Căn cứ Quyết định số 30/2016/QĐ-TTg ngày 10 tháng 10 năm 2021 của Thủ tướng Chính phủ về việc ban hành các nguyên tắc, tiêu chí và định mức phân bổ dự toán chi thường xuyên ngân sách nhà nước năm 2022;

Căn cứ Thông tư số 342/2016/TT-BTC ngày 30 tháng 12 năm 2016 của Bộ Tài chính về việc quy định chi tiết và hướng dẫn thi hành một số điều của NĐ163/2016/NĐ-CP ngày 21 tháng 12 năm 2016 của Chính phủ quy định chi tiết thi hành một số điều của Luật Ngân sách nhà nước;

Sau khi xem xét Tờ trình số 310/TTr-UBND ngày 01 tháng 12 năm 2021 của UBND Thành phố về việc phân cấp nguồn thu, nhiệm vụ chi của các cấp ngân sách; quy định tỷ lệ phần trăm phân chia nguồn thu giữa các cấp ngân sách thành phố Hà Nội năm 2022; tỷ lệ phần trăm phân chia nguồn thu giữa các cấp ngân sách thành phố Hà Nội năm 2022 và Tờ trình số 315/TTr-UBND ngày 01 tháng 12 năm 2021 của UBND Thành phố về định mức phân bổ chi ngân sách thành phố Hà Nội năm 2022; báo cáo giải trình, bổ sung số 356/BC-UBND ngày 07 tháng 12 năm 2021 của UBND Thành phố; báo cáo thẩm tra số 105/BC-KLNS ngày 03 tháng 12 năm 2021 của Ban Kinh tế - Ngân sách HĐND Thành phố; ý kiến thảo luận và kết quả biểu quyết của đại biểu HĐND Thành phố tại kỳ họp.

 

QUYẾT NGHỊ:

 

Điều 1. Quy định về các nội dung sau:

1. Phân cấp nguồn thu, nhiệm vụ chi giữa các cấp ngân sách thành phố Hà Nội (quy định cụ thể tại Phụ lục số 01 kèm theo Nghị quyết này).

2. Định mức phân bổ chi ngân sách thành phố Hà Nội năm 2022 (quy định cụ thể tại Phụ lục số 02 kèm theo Nghị quyết này).

Điều 2. Hiệu lực thi hành:

1. Quy định tại khoản 1 Điều 1 của Nghị Quyết này có hiệu lực thi hành từ ngày 01/01/2022.

2. Quy định tại khoản 2 Điều 1 của Nghị Quyết này có hiệu lực thi hành từ ngày 01/01/2022 và được áp dụng cho năm 2022. Các năm tiếp theo trong thời kỳ ổn định (từ năm 2023) định mức được xem xét, điều chỉnh hàng năm do UBND Thành phố trình HĐND Thành phố quyết định theo quy định và khả năng cân đối ngân sách.

Điều 3. Giao UBND Thành phố:

1. Tổ chức thực hiện quy định tại Nghị quyết này.

2. Rà soát, điều chỉnh các quy định của Thành phố chưa phù hợp với Nghị quyết này.

3. Tập hợp các vấn đề phát sinh cần điều chỉnh trong quá trình thực hiện, thống nhất với Thường trực HĐND Thành phố xử lý và báo cáo với HĐND Thành phố tại kỳ họp gần nhất.

Điều 4. Giao Thường trực HĐND Thành phố; các Ban của HĐND Thành phố; các tổ đại biểu và đại biểu HĐND Thành phố giám sát quá trình tổ chức thực hiện Nghị quyết HĐND Thành phố.

Nghị quyết này đã được Hội đồng nhân dân thành phố Hà Nội khoá XVI kỳ họp thứ 03 thông qua./.

 

Nơi nhận:
- Ủy ban Thường vụ Quốc hội;
- Chính phủ;
- Ban công tác đại biểu UBTVQH;
- Văn phòng Quốc hội, Văn phòng Chính phủ;
- Thường trực Thành ủy;
- Đoàn Đại biểu Quốc hội Hà Nội;
- Thường trực HĐND, UBND, UBMTTQTP;
- Các vị Đại biểu HĐND Thành phố;
- Các Ban của Thành ủy;
- Các VP: Thành ủy; Đoàn ĐBQH& HĐND TP, UBNDTP;
- Các sở, ban, ngành, đoàn thể Thành phố;
- TT HĐND, UBND các quận, huyện, thị xã;
- Các cơ quan thông tấn báo chí;
- Lưu: VT.

CHỦ TỊCH




Nguyễn Ngọc Tuấn

 

 

 

PHỤ LỤC SỐ 01

PHÂN CẤP NGUỒN THU, NHIỆM VỤ CHI GIỮA CÁC CẤP NGÂN SÁCH THÀNH PHỐ HÀ NỘI
(Kèm theo Nghị quyết số 11/2021/NQ-HĐND ngày 08/12/2021 của HĐND Thành phố)

 

A. NGUỒN THU, NHIỆM VỤ CHI CỦA NGÂN SÁCH CẤP THÀNH PHỐ.

I. Nguồn thu của ngân sách cấp Thành phố gồm:

1. Các khoản thu ngân sách cấp Thành phố được hưởng 100%

1.1. Thuế tài nguyên từ doanh nghiệp Nhà nước, doanh nghiệp có vốn đầu tư nước ngoài (không kể thuế tài nguyên thu từ hoạt động thăm dò, khai thác dầu khí) trừ thu trên địa bàn huyện Đông Anh, Gia Lâm, Thanh Trì, Hoài Đức, Đan Phượng.

1.2. Lệ phí môn bài thu từ doanh nghiệp nhà nước, doanh nghiệp có vốn đầu tư nước ngoài; các cơ sở kinh tế của cơ quan hành chính, sự nghiệp, Đảng, Đoàn thể, lực lượng vũ trang Thành phố.

1.3. Tiền sử dụng đất thu từ bán tài sản trên đất, chuyển nhượng quyền sử dụng đất theo Nghị định 167/2017/NĐ-CP ngày 31/12/2017 của Chính phủ (phần ngân sách địa phương được hưởng), ghi thu tiền sử dụng đất đối ứng dự án BT và tiền sử dụng đất theo các cơ chế đặc thù[1].

1.4. Tiền sử dụng đất khi bán tài sản công gắn liền trên đất theo quy định của Luật Quản lý, sử dụng tài sản công do cơ quan, tổ chức, đơn vị thuộc trung ương quản lý trên địa bàn thành phố Hà Nội (phần ngân sách địa phương được hưởng). Tiền đấu giá quyền sử dụng đất do các đơn vị của Thành phố tổ chức đấu giá.

1.5. Tiền cho thuê đất, mặt nước nộp một lần[2]; tiền cho thuê đất, mặt nước nộp hàng năm của các doanh nghiệp có vốn đầu tư nước ngoài (không kể tiền thuê đất, mặt nước từ hoạt động thăm dò, khai thác dầu khí) trừ thu trên địa bàn huyện Đông Anh, Gia Lâm, Thanh Trì, Hoài Đức, Đan Phượng.

1.6. Tiền cho thuê và bán nhà ở thuộc sở hữu Nhà nước.

1.7. Thu từ hoạt động xổ số kiến thiết, kể cả hoạt động xổ số điện toán.

1.8. Các khoản thu hồi vốn của ngân sách địa phương đầu tư tại các tổ chức kinh tế (bao gồm cả gốc và lãi); thu cổ tức, lợi nhuận được chia tại công ty cổ phần, công ty trách nhiệm hữu hạn hai thành viên trở lên có vốn góp của Nhà nước do UBND Thành phố đại diện chủ sở hữu; thu phần lợi nhuận sau thuế còn lại sau khi trích lập các quỹ của doanh nghiệp nhà nước do UBND Thành phố đại diện chủ sở hữu; thu từ sắp xếp, cổ phần hóa doanh nghiệp nhà nước, thoái vốn nhà nước đầu tư tại các doanh nghiệp do UBND Thành phố làm đại diện chủ sở hữu vốn nhà nước.

1.9. Thu từ quỹ dự trữ tài chính của Thành phố.

1.10. Thu từ bán tài sản thuộc Thành phố quản lý.

1.11. Viện trợ không hoàn lại của các tổ chức quốc tế, các tổ chức khác, các cá nhân ở nước ngoài trực tiếp cho Thành phố theo quy định của pháp luật.

1.12. Phí bảo vệ môi trường (đối với nước thải, đối với khí thải, đối với khai thác khoáng sản).

1.13. Các khoản phí, lệ phí (phần nộp ngân sách theo quy định), do các cơ quan, đơn vị thuộc Thành phố thu, nộp (không kể Lệ phí môn bài, Lệ phí trước bạ, Phí bảo vệ môi trường).

1.14. Các khoản thu từ xử phạt vi phạm hành chính, phạt, tịch thu khác của ngân sách địa phương theo quy định của pháp luật do cơ quan Thành phố quyết định, nộp ngân sách.

1.15. Thu từ tài sản được xác lập quyền sở hữu Nhà nước do cơ quan, tổ chức, đơn vị thuộc Thành phố xử lý.

1.16. Thu từ tiền cấp quyền khai thác khoáng sản phần ngân sách địa phương được hưởng theo quy định của pháp luật.

1.17. Thu tiền cấp quyền khai thác tài nguyên nước phần ngân sách địa phương được hưởng theo quy định của pháp luật.

1.18. Tiền bảo vệ, phát triển đất trồng lúa.

1.19. Thu đền bù thiệt hại khi Nhà nước thu hồi đất đối với đất do Thành phố quản lý.

1.20. Huy động đóng góp theo quy định của pháp luật và đóng góp tự nguyện từ các tổ chức, cá nhân cho ngân sách cấp Thành phố.

1.21. Thu kết dư ngân sách cấp Thành phố.

1.22. Các khoản thu khác theo quy định của pháp luật.

1.23. Các khoản thu chậm nộp.

Tiền chậm nộp thuế tài nguyên (không kể thuế tài nguyên thu từ hoạt động thăm dò, khai thác dầu, khí) từ doanh nghiệp nhà nước, doanh nghiệp có vốn đầu tư nước ngoài (trừ thu trên địa bàn huyện Đông Anh, Gia Lâm, Thanh Trì, Hoài Đức, Đan Phượng).

Tiền chậm nộp thu từ hoạt động xổ số kiến thiết, kể cả hoạt động xổ số điện toán.

Tiền chậm nộp tiền cấp quyền khai thác khoáng sản, khai thác tài nguyên nước phần ngân sách địa phương được hưởng theo quy định của pháp luật.

- Tiền chậm nộp các khoản khác theo quy định của pháp luật do ngành thuế, các ngành khác quản lý (Đối tượng nộp do Trung ương, Thành phố quản lý)[3].

2. Các khoản thu ngân sách cấp Thành phố hưởng theo tỷ lệ phần trăm (%) phân chia, gồm:

2.1. Thuế giá trị gia tăng bao gồm cả thuế giá trị gia tăng của các nhà thầu phụ phát sinh từ các hoạt động dịch vụ phục vụ hoạt động thăm dò và khai thác dầu, khí (trừ thuế giá trị gia tăng thu từ hoạt động xổ số kiến thiết, từ hàng hóa nhập khẩu, thuế giá trị gia tăng thu từ hoạt động thăm dò, khai thác dầu, khí).

2.2. Thuế thu nhập doanh nghiệp (không kể thuế thu nhập doanh nghiệp từ hoạt động xổ số kiến thiết, từ hoạt động thăm dò khai thác dầu khí).

2.3. Thuế thu nhập cá nhân.

2.4. Thuế tiêu thụ đặc biệt (không kể thuế tiêu thụ đặc biệt hàng nhập khẩu, thuế tiêu thụ đặc biệt từ hoạt động xổ số kiến thiết).

2.5. Thuế bảo vệ môi trường (không kể Thuế bảo vệ môi trường thu từ hàng hóa nhập khẩu).

2.6. Tiền sử dụng đất (trừ thu tiền sử dụng đất gắn với tài sản trên đất do các cơ quan, tổ chức, đơn vị thuộc Trung ương quản lý; tiền sử dụng đất thu từ bán tài sản trên đất, chuyển nhượng quyền sử dụng đất theo Nghị định 167/2017/NĐ-CP và tiền đấu giá quyền sử dụng đất do các đơn vị của Thành phố tổ chức đấu giá).

2.7. Lệ phí trước bạ ô tô, xe máy, tàu thuyền và tài sản khác.

2.8. Các khoản chậm nộp theo quy định của Luật quản lý thuế[4].

3. Thu bổ sung từ ngân sách trung ương cho ngân sách cấp Thành phố.

4. Thu chuyển nguồn từ ngân sách Thành phố năm trước sang ngân sách năm sau.

II. Nhiệm vụ chi của ngân sách cấp Thành phố

1. Chi đầu tư phát triển

Ngân sách cấp Thành phố chi đầu tư xây dựng, cải tạo, nâng cấp các công trình, dự án kết cấu hạ tầng kinh tế - xã hội không có khả năng thu hồi vốn, không có khả năng xã hội hoá, hoặc chỉ xã hội hoá được một phần thuộc Thành phố quản lý. Cụ thể gồm các lĩnh vực:

1.1. Đầu tư lĩnh vực thủy lợi

Thành phố đầu tư xây dựng, cải tạo nâng cấp công trình thủy lợi lớn, công trình thủy lợi vừa trên địa bàn Thành phố (trừ công trình do Bộ Nông nghiệp và Phát triển nông thôn quản lý); công trình thủy lợi mà việc khai thác và bảo vệ liên quan đến hai xã, phường, thị trấn trở lên; công trình thủy lợi nhỏ (trạm bơm, cống, đập, đường ống, xi phông, tuynel, cầu máng dùng để dẫn, chuyển, điều tiết nước) gắn với công trình thủy lợi do Thành phố quản lý (không bao gồm công trình thủy lợi nhỏ do tổ chức, cá nhân tự đầu tư xây dựng).

1.2. Đầu tư lĩnh vực đê điều

Đầu tư xây dựng mới, cải tạo nâng cấp, mở rộng các tuyến đê (kể cả công trình trên đê) từ cấp III trở lên trên địa bàn Thành phố.

1.3. Đầu tư lĩnh vực lâm nghiệp

Đầu tư xây dựng mới hoặc cải tạo, nâng cấp, mở rộng cơ sở hạ tầng kỹ thuật phục vụ bảo vệ, bảo tồn, phát triển rừng đặc dụng và rừng phòng hộ.

1.4. Đầu tư lĩnh vực trồng trọt, chăn nuôi

Đầu tư xây dựng, cải tạo nâng cấp các công trình, dự án phát triển cơ sở sản xuất giống cây nông, lâm nghiệp, giống vật nuôi và giống thủy sản.

1.5. Đầu tư các công trình công viên, vườn hoa, cây xanh, hồ nước

Đầu tư xây dựng mới, cải tạo nâng cấp công viên (bao gồm cả hồ nước trong công viên) và vườn hoa lớn, quan trọng của Thành phố.

Đầu tư trồng mới cây xanh, thảm cỏ trong các khu vực công cộng, quảng trường, trên hệ thống đường do Thành phố đầu tư.

1.6. Đầu tư lĩnh vực giao thông

Đầu tư xây dựng mới, cải tạo, nâng cấp, mở rộng hệ thống đường bộ (bao gồm: lòng đường, lề đường, hè, giải phân cách, cầu đường bộ, hầm đường bộ, cầu đi bộ, bến phà đường bộ (nếu có) và các hạng mục công trình đường bộ khác): Đường cao tốc, đường quốc lộ do Trung ương bàn giao về Thành phố đầu tư, quản lý; Đường vành đai, đường trên cao; Đường tỉnh lộ; Đường theo quy hoạch là đường huyện đi qua địa bàn hai đơn vị hành chính cấp huyện trở lên; Đường đô thị và đường theo quy hoạch là đường đô thị: quy chuẩn từ loại đường chính khu vực trở lên (theo QCVN 07-4:2016/BXD, có bề rộng mặt cắt ngang đường từ 23 m trở lên theo quy hoạch) trên địa bàn các quận và 05 huyện có Đề án thành lập quận đến năm 2025 (gồm các huyện: Đông Anh, Đan Phượng, Gia Lâm, Hoài Đức, Thanh Trì); quy chuẩn từ loại đường khu vực trở lên (theo QCVN 07-4:2016/BXD, có bề rộng mặt cắt ngang đường từ 16 m trở lên) đối với các huyện còn lại và thị xã Sơn Tây.

Đầu tư trạm thu phí, trạm kiểm tra trọng tải xe, hệ thống điều khiển giao thông bằng tín hiệu đèn trên hệ thống đường bộ thuộc thành phố quản lý.

Đầu tư hệ thống đường sắt đô thị.

1.7. Đầu tư công trình bến xe ô tô, bãi đỗ xe, điểm đón trả khách, trạm dừng nghỉ (không gồm các dự án xã hội hóa), gồm:

Đầu tư kết cấu hạ tầng phục vụ vận tải hành khách công cộng (đường dành riêng cho xe buýt; điểm đầu; điểm cuối; điểm dừng; biển báo; nhà chờ; điểm trung chuyển; bãi đỗ xe buýt; trạm điều hành; trạm bảo dưỡng sửa chữa) và các bến xe phục vụ công cộng.

Đầu tư toàn bộ trạm dừng nghỉ trên tuyến đường thuộc hệ thống đường thành phố quản lý.

Đầu tư các bãi đỗ xe công cộng cấp Thành phố quản lý theo quy hoạch.

1.8. Đầu tư công trình bãi, bến cảng thủy

Đầu tư toàn bộ các công trình hạ tầng đường thủy nội địa cấp Thành phố quản lý, cảng, bến hàng hóa, bến hành khách thuộc đường thủy nội địa địa phương đường thủy nội địa chuyên dùng nối với đường thủy nội địa địa phương trên sông Hồng, sông Đà, sông Đuống.

1.9. Đầu tư công trình chiếu sáng công cộng

Đầu tư xây dựng mới hệ thống chiếu sáng công cộng (bao gồm cả chiếu sáng trang trí mỹ thuật đô thị) đồng bộ với đầu tư hệ thống đường bộ do Thành phố đầu tư; xây dựng bổ sung hoặc cải tạo, nâng cấp, mở rộng hệ thống chiếu sáng công cộng (bao gồm cả chiếu sáng trang trí mỹ thuật đô thị) trên các tuyến đường bộ, trong các công viên, vườn hoa, quảng trường và các khu vực công cộng khác do Thành phố quản lý.

1.10. Đầu tư công trình vệ sinh môi trường

Đầu tư xây dựng mới, cải tạo, nâng cấp, mở rộng đồng bộ các khu, nhà máy xử lý chất thải rắn sinh hoạt, bãi chôn lấp rác thải sinh hoạt, chất thải rắn xây dựng tập trung trên địa bàn Thành phố, gồm: các khu liên hợp xử lý chất thải (Sóc Sơn; Xuân Sơn, thị xã Sơn Tây); các khu xử lý chất thải, chất thải rắn xây dựng tập trung khác của Thành phố và các điểm trung chuyển rác thải theo quy hoạch.

1.11. Đầu tư công trình thoát nước

Đầu tư, xây dựng mới hoặc cải tạo, nâng cấp, mở rộng: hệ thống thoát nước gắn với các khu vực (không bao gồm thoát nước ngõ, xóm); các tuyến đường do Thành phố đầu tư trên địa bàn Thành phố; hệ thống thoát nước liên khu vực (bao gồm cả các hồ trong khu vực đô thị) không gắn trực tiếp với đường theo danh mục do Ủy ban nhân dân Thành phố phê duyệt.

Đầu tư hệ thống xử lý nước thải trên địa bàn Thành phố.

1.12. Đầu tư công trình Văn hóa - Thể thao

Đầu tư bảo tồn các công trình, dự án bảo tàng, điện ảnh, thư viện Thành phố quản lý.

Đầu tư xây dựng, cải tạo, nâng cấp các trung tâm văn hóa, nhà văn hóa và nhà thi đấu thể thao cấp Thành phố; Cung thanh niên Thành phố; Cung thiếu nhi Hà Nội.

Đầu tư tu bổ, bảo tồn, phát huy giá trị các di tích quan trọng do Thành phố trực tiếp quản lý: Di sản thế giới Hoàng Thành Thăng Long; Khu di tích Cổ Loa; Khu di tích Văn Miếu - Quốc Tử Giám; Di tích Bác Hồ ở Vạn Phúc - Hà Đông; Di tích Nhà tù Hỏa Lò; Di tích 48 Hàng Ngang; Di tích 5D Hàm Long; Di tích 90 Thợ Nhuộm; cụm di tích Đền Bà Kiệu, hồ Hoàn Kiếm - Di tích Đền Ngọc Sơn - tượng đài Vua Lê và các di tích quốc gia đặc biệt khác (nếu có) do Thành phố quản lý sau khi được xếp hạng, công nhận.

Đầu tư tu bổ các di tích quốc gia đặc biệt, di tích lịch sử cách mạng kháng chiến do cấp huyện đang quản lý và các di tích quốc gia đặc biệt khác (nếu có) khi Thành phố giao cấp huyện quản lý sau khi được xếp hạng, công nhận.

Xây dựng mới, cải tạo nâng cấp các thiết chế văn hóa do Thành phố quản lý.

1.13. Đầu tư công trình giáo dục đào tạo, giáo dục nghề nghiệp

Đầu tư xây dựng mới hoặc cải tạo, nâng cấp, mở rộng các trường công lập gồm: các trường đại học, trường cao đẳng, trường bồi dưỡng cán bộ giáo dục, trường trung cấp thuộc thành phố Hà Nội; trường trung học phổ thông; trường phổ thông có nhiều cấp học, trong đó có cấp học trung học phổ thông; trường phổ thông dân tộc nội trú có cấp trung học phổ thông; các trường tiểu học, mầm non trực thuộc Sở Giáo dục và Đào tạo; trường, lớp dành cho người khuyết tật (Trường Phổ thông cơ sở Nguyễn Đình Chiểu; Trường Phổ thông cơ sở Xã Đàn; Trường Tiểu học Bình Minh).

1.14. Đầu tư công trình y tế và vệ sinh an toàn thực phẩm

Đầu tư xây dựng mới, cải tạo, nâng cấp, mở rộng các: Bệnh viện (bệnh viện đa khoa và chuyên khoa tuyến Thành phố và tuyến huyện), Trung tâm chuyên khoa, đơn vị sự nghiệp (Chi cục Dân số Kế hoạch hóa gia đình, Chi cục An toàn vệ sinh thực phẩm; Trung tâm Y tế Dự phòng).

1.15. Đầu tư công trình lĩnh vực Quản lý nhà nước

Đầu tư xây dựng, cải tạo và nâng cấp toàn bộ hệ thống hạ tầng kỹ thuật khu trung tâm hành chính, khu liên cơ quan thuộc Thành phố quản lý; trụ sở, nơi làm việc của các cơ quan hành chính, đảng, đoàn thể cấp Thành phố.

Đầu tư xây mới hệ thống hạ tầng kỹ thuật khu trung tâm hành chính cấp huyện và xây mới trụ sở làm việc các cơ quan hành chính, đảng, đoàn thể quận, huyện, thị xã.

1.16. Đầu tư công trình nghĩa trang và cơ sở hỏa táng.

Đầu tư xây dựng, cải tạo nâng cấp Các nghĩa trang cấp Thành phố, có phạm vi phục vụ từ hai đơn vị hành chính cấp huyện trở lên, gồm: Mai Dịch, Nhổn, Ngọc Hồi, Văn Điển, Yên Kỳ, Thanh Tước, Sài Đồng, Vĩnh Hằng (phần diện tích do Thành phố đầu tư và đang quản lý); nghĩa trang liệt sỹ người Trung Quốc tại Xuân Mai-Chương Mỹ; các nghĩa trang tập trung cấp Thành phố đầu tư mới theo quy hoạch.

Đầu tư xây dựng các cơ sở hoả táng, các nhà tang lễ cấp Thành phố.

1.17. Đầu tư các dự án Tài nguyên - Môi trường

Đầu tư công trình, dự án quan trắc cảnh báo môi trường, khí tượng, thủy văn.

Đầu tư công trình, dự án khắc phục ô nhiễm môi trường có phạm vi 2 xã trở lên.

Đầu tư các dự án đo vẽ bản đồ, chỉnh lý bản đồ.

1.18. Đầu tư các công trình kho tàng: Các công trình thuộc hệ thống kho tàng; lưu trữ hồ sơ, tài liệu của Thành phố.

1.19. Đầu tư công trình lĩnh vực thông tin và truyền thông: các công trình, dự án phục vụ hoạt động xuất bản, báo chí, phát thanh, truyền hình thành phố. Đầu tư hệ thống thông tin nguồn cấp Thành phố theo quy định về quản lý đài truyền thanh cấp xã ứng dụng công nghệ thông tin - viễn thông.

1.20. Đầu tư công trình thuộc lĩnh vực khoa học công nghệ và công nghệ thông tin.

Đầu tư các công trình, dự án thuộc lĩnh vực khoa học công nghệ: Trung tâm ứng dụng tiến bộ khoa học và công nghệ, Trung tâm nghiên cứu chuyển giao công nghệ và giám định công nghệ, Trung tâm công nghệ sinh học và công nghệ phẩm, chi cục Tiêu chuẩn đo lường chất lượng, trạm trại thực nghiệm của thành phố quản lý.

Đầu tư hạ tầng công nghệ thông tin dùng chung và các hệ thống thông tin, cơ sở dữ liệu, phần mềm dùng chung cho các cơ quan quản lý nhà nước ở cả ba cấp quản lý của Thành phố (cấp Thành phố, cấp huyện, cấp xã).

1.21. Đầu tư hạ tầng kỹ thuật khu đất đấu giá quyền sử dụng đất do các đơn vị của Thành phố tổ chức thực hiện đấu giá.

1.22. Đầu tư công trình thuộc lĩnh vực xã hội

Các công trình, dự án phục vụ mục tiêu nuôi dưỡng, điều dưỡng người có công với Cách mạng, thương bệnh binh, người già, người tàn tật; chăm sóc, điều dưỡng sức khoẻ, cai nghiện và các công trình trợ giúp xã hội khác.

1.23. Đầu tư công trình cấp nước sinh hoạt

Đầu tư xây dựng các công trình hạ tầng ngoài hàng rào và hỗ trợ khác theo chính sách nước sạch đô thị của nhà nước khi triển khai dự án cấp nước sạch tập trung tại: các quận, thị xã Sơn Tây; các khu vực có sử dụng nguồn nước sạch tập trung của Thành phố và công trình cấp nước sạch nông thôn tập trung trên địa bàn Thành phố.

Hỗ trợ theo chính sách đầu tư nước sạch nông thôn khi triển khai các dự án cấp nước sạch nông thôn tại các huyện, thị xã Sơn Tây.

1.24. Chi lập, thẩm định, quyết định hoặc phê duyệt, công bố và điều chỉnh quy hoạch theo phân cấp và quy định.

1.25. Đầu tư xây dựng chợ đầu mối, trung tâm logistics, trung tâm hội chợ triển lãm theo phân cấp và quy định.

1.26. Các khoản chi đầu tư phát triển khác thuộc nhiệm vụ chi của ngân sách cấp Thành phố theo quy định của pháp luật([5]).

2. Chi thường xuyên

2.1. Các hoạt động sự nghiệp giáo dục đào tạo, giáo dục nghề nghiệp do cấp Thành phố quản lý:

Giáo dục trung học phổ thông công lập; trường Bồi dưỡng cán bộ giáo dục; trường mầm non (do Thành phố quản lý); trường chuyên biệt và sự nghiệp giáo dục khác do Thành phố quản lý.

Giáo dục đại học, cao đẳng, trung cấp chuyên nghiệp; bồi dưỡng lý luận chính trị; đào tạo nghề và các hình thức đào tạo khác của Thành phố.

2.2. Các hoạt động sự nghiệp khoa học công nghệ do cấp Thành phố quản lý:

Nghiên cứu, thực hiện chương trình, đề tài khoa học cấp Thành phố; ứng dụng tiến bộ khoa học, công nghệ và các hoạt động khoa học, công nghệ khác.

Quản lý, duy tu, bảo trì hạ tầng công nghệ thông tin dùng chung và các hệ thng thông tin, cơ sở dữ liệu, phần mềm dùng chung cho các cơ quan quản lý nhà nước ở cả ba cấp quản lý của Thành phố

2.3. Các nhiệm vụ về quốc phòng, an ninh, bảo đảm trật tự an toàn xã hội cấp thành phố.

2.4. Các hoạt động sự nghiệp y tế, dân số và gia đình do cấp Thành phố quản lý gồm: Phòng bệnh, chữa bệnh; các hoạt động dân số, gia đình và hoạt động y tế khác.

2.5. Các hoạt động sự nghiệp văn hóa thông tin do cấp Thành phố quản lý:

Bảo tồn bảo tàng, thư viện, biểu diễn nghệ thuật và các hoạt động văn hóa khác (các hoạt động của Trung tâm văn hóa; Nhà văn hóa; Cung thanh niên Thành phố; Cung thiếu nhi Hà Nội...).

Quản lý, sửa chữa, bảo dưỡng các di tích quan trọng mà thành phố trực tiếp đầu tư (trừ di tích quốc gia đặc biệt, di tích lịch sử cách mạng kháng chiến cấp huyện quản lý).

Các hoạt động thông tin của Thành phố quản lý và các sự nghiệp văn hóa khác.

2.6. Các hoạt động sự nghiệp phát thanh truyền hình do cấp Thành phố quản lý.

2.7. Các hoạt động sự nghiệp thể dục thể thao do cấp Thành phố quản lý gồm: Bồi dưỡng, huấn luyện các huấn luyện viên, vận động viên các đội tuyển cấp Thành phố, hoạt động của các cơ sở thể dục, thể thao và hoạt động thể thao quần chúng của Thành phố.

2.8. Các hoạt động sự nghiệp bảo vệ môi trường, bao gồm:

Quét hút; rửa đường, hè; thu gom, vận chuyển chất thải rắn sinh hoạt và công tác vệ sinh môi trường khác trên các đường cao tốc do Thành phố quản lý trừ việc duy trì vệ sinh tuyến đường dẫn, cầu vượt ngang, tuyến đường gom hai bên Đại lộ Thăng Long.

Quản lý, vận hành và duy trì các khu/nhà máy xử lý chất thải, bãi chôn lấp rác thải sinh hoạt, đất thải, nước thải tập trung; các trạm trung chuyển chất thải do Thành phố đầu tư.

Sự nghiệp môi trường tại khoản 1 Điều 168 Luật Bảo vệ môi trường số 72/2020/QH14.

2.9. Các hoạt động sự nghiệp kinh tế do cấp Thành phố quản lý

Sự nghiệp giao thông vận tải: quản lý, bảo trì (bao gồm cả lắp đặt các trang thiết bị phục vụ tổ chức giao thông, bảo trì hệ thống đèn tín hiệu giao thông) hệ thống đường bộ; đường thủy nội địa; đường sắt đô thị theo phân cấp quản lý sau đầu tư của Thành phố và các quy định hiện hành. Quản lý, tổ chức giao thông trên địa bàn Thành phố.

Sự nghiệp nông nghiệp, thủy lợi, lâm nghiệp: Quản lý, duy tu, bảo trì các tuyến đê, các công trình thủy lợi do cấp Thành phố quản lý; các trạm trại nông nghiệp, lâm nghiệp; công tác khuyến nông, khuyến lâm, khuyến ngư; quản lý, bảo vệ, phòng chống cháy rừng, duy trì, bảo tồn rừng đặc dụng và rừng phòng hộ theo phân cấp của Thành phố.

Công tác khuyến công, xúc tiến đầu tư, thương mại, du lịch của Thành phố.

Sự nghiệp thị chính: Quản lý, duy tu, bảo trì, cấp điện hệ thống chiếu sáng công cộng, hệ thống thoát nước, hồ, công viên, cây xanh, thảm cỏ và các sự nghiệp thị chính khác theo phân cấp quản lý sau đầu tư của Thành phố.

Quản lý, vận hành, duy trì, bảo trì các hệ thống xử lý nước thải do Thành phố đầu tư.

Hoạt động quy hoạch sử dụng nguồn kinh phí chi thường xuyên theo quy định; công tác đo đạc, lập bản đồ, lưu trữ hồ sơ địa chính và các hoạt động sự nghiệp địa chính khác theo phân cấp.

Các sự nghiệp kinh tế khác.

2.10. Trợ giá, trợ cước theo chính sách của Nhà nước và Thành phố cho các đối tượng thuộc cấp Thành phố quản lý.

2.11. Hoạt động của các cơ quan Nhà nước, cơ quan Đảng cộng sản Việt Nam do Thành phố quản lý, bao gồm:

Hoạt động của Văn phòng Thành ủy và các cơ quan Đảng trực thuộc Thành ủy.

Hoạt động của HĐND Thành phố.

Hoạt động của Văn phòng Đoàn Đại biểu Quốc hội và Hội đồng nhân dân Thành phố, Văn phòng Ủy ban nhân dân Thành phố; hoạt động của các Sở, Ban, Ngành và các cơ quan quản lý Nhà nước khác thuộc Thành phố.

2.12. Hoạt động của Mặt trận Tổ quốc Thành phố và các tổ chức chính trị - xã hội: Đoàn thanh niên Cộng sản Hồ Chí Minh Thành phố; Hội Cựu chiến binh Thành phố; Hội Liên hiệp phụ nữ Thành phố; Hội Nông dân Thành phố.

2.13. Hỗ trợ các tổ chức chính trị xã hội - nghề nghiệp, tổ chức xã hội và tổ chức xã hội - nghề nghiệp Thành phố theo quy định của pháp luật.

2.14. Thực hiện các chính sách xã hội đối với các đối tượng do cấp Thành phố quản lý. Hoạt động các cơ sở xã hội, hoạt động phòng chống tệ nạn xã hội và các hoạt động xã hội khác.

2.15. Chi thường xuyên các chương trình Quốc gia do Chính phủ giao cho địa phương thực hiện.

2.16. Các khoản chi khác theo quy định của pháp luật.

3. Chi trả nợ lãi các khoản do Thành phố vay.

4. Chi bổ sung quỹ dự trữ tài chính của Thành phố.

5. Chi chuyển nguồn từ ngân sách cấp Thành phố năm trước sang ngân sách năm sau.

6. Chi bổ sung cho ngân sách quận, huyện, thị xã.

7. Chi hỗ trợ thực hiện một số nhiệm vụ quy định tại các điểm a, b và c khoản 9 Điều 9 Luật NSNN số 83/2015/QH13 ngày 25/6/2015.

B. NGUỒN THU, NHIỆM VỤ CHI CỦA NGÂN SÁCH QUẬN, HUYỆN, THỊ XÃ.

I- Nguồn thu của ngân sách cấp quận, huyện, thị xã gồm:

1. Các khoản thu ngân sách cấp quận, huyện, thị xã được hưởng 100%:

1.1. Thuế tài nguyên từ doanh nghiệp Nhà nước; doanh nghiệp có vốn đầu tư nước ngoài (không kể thuế tài nguyên thu từ hoạt động thăm dò, khai thác dầu khí) thu trên địa bàn huyện Đông Anh, Gia Lâm, Thanh Trì, Hoài Đức, Đan Phượng.

1.2. Thuế tài nguyên từ các Doanh nghiệp ngoài quốc doanh và hộ sản xuất (không kể thuế tài nguyên thu từ hoạt động thăm dò, khai thác dầu khí).

1.3. Lệ phí môn bài thu từ các doanh nghiệp thuộc khu vực kinh tế ngoài quốc doanh; Lệ phí môn bài thu từ hộ cá nhân, hộ kinh doanh trên địa bàn phường.

1.4. Thuế sử dụng đất nông nghiệp từ các doanh nghiệp, tổ chức, nông trường, trạm trại và các hộ sản xuất tại địa bàn phường.

1.5. Thuế sử dụng đất phi nông nghiệp thu trên địa bàn phường.

1.6. Tiền cho thuê đất, mặt nước nộp hàng năm (không kể thu từ khu vực doanh nghiệp có vốn đầu tư nước ngoài và hoạt động thăm dò, khai thác dầu, khí) và tiền cho thuê đất, mặt nước hàng năm của doanh nghiệp có vốn đầu tư nước ngoài (không kể thu từ hoạt động thăm dò, khai thác dầu, khí) thu trên địa bàn huyện Đông Anh, Gia Lâm, Thanh Trì, Hoài Đức, Đan Phượng.

1.7. Lệ phí trước bạ nhà đất thu trên địa bàn phường.

1.8. Thu từ bán tài sản thuộc cấp huyện và phường quản lý.

1.9. Viện trợ không hoàn lại của các tổ chức quốc tế, các tổ chức khác, các cá nhân ở nước ngoài trực tiếp cho quận, huyện, thị xã và phường theo quy định của pháp luật.

1.10. Các khoản phí, lệ phí (phần nộp ngân sách theo quy định) do các cơ quan, đơn vị thuộc quận, huyện, thị xã và phường quản lý thu (không kể lệ phí môn bài, lệ phí trước bạ, phí bảo vệ môi trường).

1.11. Các khoản thu từ xử phạt vi phạm hành chính, phạt, tịch thu khác của ngân sách địa phương theo quy định của pháp luật (phần thuộc ngân sách nhà nước theo quy định) do cấp huyện và phường thực hiện quản lý.

1.12. Thu từ tài sản được xác lập quyền sở hữu của Nhà nước do các cơ quan, tổ chức, đơn vị thuộc quận, huyện, thị xã và phường xử lý.

1.13. Thu từ quỹ đất công ích và thu hoa lợi công sản khác trên địa bàn phường.

1.14. Huy động đóng góp theo quy định của pháp luật và đóng góp tự nguyện từ các tổ chức, cá nhân cho quận, huyện, thị xã và phường.

1.15. Thu kết dư ngân sách cấp quận, huyện, thị xã.

1.16. Thu hỗ trợ khi Nhà nước thu hồi đất đối với đất thuộc cấp huyện và phường quản lý.

1.17. Thu khác theo quy định của pháp luật.

1.18. Các khoản thu chậm nộp

Tiền chậm nộp thuế tài nguyên (không kể thuế tài nguyên thu từ hoạt động thăm dò, khai thác dầu, khí) từ DNNN, DN có vốn đầu tư nước ngoài (trên địa bàn huyện Đông Anh, Gia Lâm, Thanh Trì, Hoài Đức, Đan Phượng).

Tiền chậm nộp các khoản khác theo quy định của pháp luật do ngành thuế, các ngành khác quản lý (Đối tượng nộp do cấp huyện và phường quản lý)[6].

2. Các khoản thu phân chia ngân sách cấp quận, huyện, thị xã được hưởng theo tỷ lệ phần trăm (%) gồm:

2.1. Thuế giá trị gia tăng bao gồm cả thuế giá trị gia tăng của các nhà thầu phụ phát sinh từ các hoạt động dịch vụ phục vụ hoạt động thăm dò và khai thác dầu, khí (trừ thuế giá trị gia tăng thu từ hoạt động xổ số kiến thiết, thu từ hàng hóa nhập khẩu, thuế giá trị gia tăng thu từ hoạt động thăm dò, khai thác dầu, khí) thu từ doanh nghiệp ngoài quốc doanh; từ Doanh nghiệp nhà nước, doanh nghiệp có vốn đầu tư nước ngoài trên địa bàn huyện Đông Anh, Gia Lâm, Thanh Trì, Hoài Đức, Đan Phượng.

2.2. Thuế thu nhập doanh nghiệp (không kể thuế thu nhập doanh nghiệp từ hoạt động xổ số kiến thiết, từ hoạt động thăm dò khai thác dầu khí) thu từ doanh nghiệp ngoài quốc doanh; từ Doanh nghiệp nhà nước, doanh nghiệp có vốn đầu tư nước ngoài trên địa bàn huyện Đông Anh, Gia Lâm, Thanh Trì, Hoài Đức, Đan Phượng.

2.3. Thuế tiêu thụ đặc biệt (không kể thuế tiêu thụ đặc biệt hàng nhập khẩu, thuế tiêu thụ đặc biệt từ hoạt động xổ số kiến thiết) thu từ khu vực kinh tế ngoài quốc doanh; từ Doanh nghiệp nhà nước, doanh nghiệp có vốn đầu tư nước ngoài trên địa bàn huyện Đông Anh, Gia Lâm, Thanh Trì, Hoài Đức, Đan Phượng.

2.4. Thuế thu nhập cá nhân.

2.5. Thuế bảo vệ môi trường (không kể thuế bảo vệ môi trường thu từ hàng hóa nhập khẩu) phát sinh trên địa bàn huyện Đông Anh, Gia Lâm, Thanh Trì, Hoài Đức, Đan Phượng.

2.6. Tiền sử dụng đất (trừ thu tiền sử dụng đất gắn với tài sản trên đất do các cơ quan, tổ chức, đơn vị thuộc Trung ương quản lý; tiền sử dụng đất thu từ bán tài sản trên đất, chuyển nhượng quyền sử dụng đất theo Nghị định 167/2017/NĐ-CP và tiền đấu giá quyền sử dụng đất do các đơn vị của Thành phố tổ chức đấu giá).

2.7. Lệ phí trước bạ xe máy, ô tô, tàu thuyền và tài sản khác.

2.8. Các khoản chậm nộp theo quy định của Luật quản lý thuế[7].

3. Thu bổ sung ngân sách cấp trên.

4. Thu chuyển nguồn từ ngân sách quận, huyện, thị xã năm trước sang ngân sách năm sau.

II- Nhiệm vụ chi của ngân sách cấp quận, huyện, thị xã

1. Chi đầu tư phát triển

Ngân sách quận, huyện, thị xã Sơn Tây chi đầu tư xây dựng, cải tạo, nâng cấp các công trình, dự án kết cấu hạ tầng kinh tế-xã hội không có khả năng thu hồi vốn, không có khả năng xã hội hoá thuộc lĩnh vực phân cấp cho quận, huyện, thị xã trên địa bàn. Cụ thể các lĩnh vực đầu tư phát triển thuộc nhiệm vụ chi của ngân sách cấp huyện, bao gồm:

1.1. Đầu tư các công trình thủy lợi còn lại trên địa bàn Thành phố (trừ các công trình Thành phố đầu tư), công trình thủy lợi nội đồng (không bao gồm công trình thủy lợi do tổ chức, cá nhân tự đầu tư xây dựng).

1.2. Đầu tư lĩnh vực Lâm nghiệp: Đầu tư xây dựng mới hoặc cải tạo nâng cấp cơ sở hạ tầng kỹ thuật phục vụ bảo vệ, hỗ trợ trồng rừng sản xuất trên địa bàn theo chính sách hiện hành của nhà nước.

1.3. Đầu tư mới các công trình công viên, vườn hoa, cây xanh, hồ nước.

Đầu tư xây dựng mới công viên (gồm cả hồ nước trong công viên), vườn hoa còn lại trên địa bàn, trừ phần Thành phố đầu tư.

Đầu tư trồng mới cây xanh, thảm cỏ trong các khu vực công cộng, trên hệ thống đường do cấp huyện đầu tư.

1.4. Đầu tư lĩnh vực giao thông

Đầu tư xây dựng mới, cải tạo nâng cấp hệ thống đường bộ còn lại trên địa bàn, trừ đưng do Trung ương và Thành phố đầu tư.

1.5. Đầu tư bãi đỗ xe: Đầu tư hạ tầng bãi đỗ xe tập trung để phục vụ công cộng còn lại trên địa bàn, trừ những bãi đỗ xe tập trung do Thành phố đầu tư.

1.6. Đầu tư công trình, dự án chiếu sáng công cộng

Đầu tư xây dựng mới hệ thống chiếu sáng công cộng đồng bộ với đầu tư hệ thống đường bộ do cấp huyện đầu tư.

Đầu tư xây dựng, cải tạo nâng cấp hệ thống chiếu sáng công cộng trên các tuyến đường bộ, trong các công viên, vườn hoa và các khu vực công cộng khác do cấp huyện quản lý sau đầu tư.

Đầu tư lắp đặt mới, cải tạo, nâng cấp chiếu sáng ngõ, xóm; cải tạo hệ thống chiếu sáng tại các khu vực Thành phố quản lý trong trường hợp chỉnh trang cải tạo hạ tầng kỹ thuật đồng bộ.

1.7. Đầu tư công trình vệ sinh môi trường

Đầu tư xây dựng mới hoặc cải tạo nâng cấp các khu tập kết rác thải sinh hoạt có phạm vi phục vụ nội huyện.

Đầu tư các công trình, dự án khắc phục ô nhiễm môi trường ảnh hưởng trong phạm vi nội huyện.

1.8. Đầu tư công trình thoát nước

Đầu tư xây dựng mới, cải tạo, nâng cấp, mở rộng: hệ thống thoát nước gắn với các khu vực, các tuyến đường do cấp huyện đầu tư; hệ thống thoát nước ngõ, xóm; hệ thống thoát nước còn lại (bao gồm hệ thống thoát nước ao, hồ do cấp huyện đầu tư) trừ hệ thống thoát nước do Thành phố đầu tư.

1.9. Đầu tư lĩnh vực Văn hóa - Thể thao

Đầu tư xây dựng, cải tạo, nâng cấp các công trình văn hóa, thể thao cấp huyện, xã, thôn, tổ dân phố, khu vui chơi cộng đồng.

Đầu tư tu bổ, bảo tồn và phát huy giá trị các di tích còn lại trên địa bàn, trừ các di tích Thành phố trực tiếp đầu tư và các di tích quốc gia đặc biệt, di tích lịch sử cách mạng kháng chiến do cấp huyện quản lý được Thành phố đầu tư.

1.10. Đầu tư công trình giáo dục đào tạo, giáo dục nghề nghiệp

Đầu tư xây dựng mới hoặc cải tạo, nâng cấp, mở rộng các trường công lập thuộc thành phố gồm: trường trung học cơ sở; trường phổ thông có nhiều cấp học trong đó không có cấp học trung học phổ thông; trường phổ thông dân tộc bán trú; trường phổ thông dân tộc nội trú không có cấp trung học phổ thông; trường tiểu học; trường mầm non (trừ các trường trực thuộc Sở Giáo dục và Đào tạo); trung tâm giáo dục nghề nghiệp - giáo dục thường xuyên trực thuộc Ủy ban nhân dân cấp huyện; các cơ sở giáo dục, đào tạo cấp huyện có tên gọi khác; trung tâm học tập cộng đồng.

1.11. Đầu tư lĩnh vực y tế

Đầu tư xây dựng mới, cải tạo nâng cấp: Trung tâm y tế cấp huyện (bao gồm cả các phòng khám đa khoa khu vực, nhà hộ sinh, trạm y tế xã, phường, thị trấn).

1.12. Đầu tư lĩnh vực Quản lý nhà nước

Cải tạo, nâng cấp trụ sở làm việc các cơ quan hành chính, đảng, đoàn thể quận, huyện, thị xã.

Đầu tư xây dựng mới, cải tạo hạ tầng kỹ thuật và trụ sở làm việc các cơ quan hành chính, đảng, đoàn thể cấp xã; trụ sở hoặc nơi làm việc của quân sự cấp xã; hỗ trợ đầu tư xây dựng trụ sở hoặc nơi làm việc của công an xã theo quy định.

1.13. Đầu tư công trình phục vụ tang lễ: Đầu tư xây dựng mới, cải tạo nâng cấp các nghĩa trang, nhà tang lễ còn lại ngoài các nghĩa trang, nhà tang lễ Thành phố đầu tư trên địa bàn (gồm các nghĩa trang nhân dân, nghĩa trang liệt sỹ, đài tưởng niệm, đài liệt sỹ cấp huyện và xã).

1.14. Đầu tư lĩnh vực Thông tin và truyền thông: Các công trình, dự án phục vụ hoạt động phát thanh, truyền thanh cấp huyện, xã.

1.15. Đầu tư các công trình ứng dụng khoa học công nghệ.

1.16. Đầu tư hạ tầng kỹ thuật khu đất đấu giá quyền sử dụng đất trên địa bàn quận, huyện, thị xã do quận, huyện, thị xã thực hiện.

1.17. Chi lập, thẩm định, quyết định hoặc phê duyệt, công bố và điều chỉnh quy hoạch theo phân cấp và quy định.

1.18. Đầu tư xây dựng chợ dân sinh, chợ đầu mối theo phân cấp và quy định.

1.19. Các khoản chi đầu tư phát triển khác thuộc nhiệm vụ chi của ngân sách cấp huyện, cấp xã theo quy định của pháp luật([8]).

2. Chi thường xuyên

2.1. Các hoạt động sự nghiệp giáo dục đào tạo, giáo dục nghề nghiệp do quận, huyện, thị xã quản lý:

Giáo dục mầm non, tiểu học, trung học cơ sở công lập và sự nghiệp giáo dục khác.

Trung tâm Giáo dục nghề nghiệp - Giáo dục thường xuyên; Dạy nghề, đào tạo nghề; bồi dưỡng kiến thức chính trị do Trung tâm bồi dưỡng chính trị quận, huyện mở và các hình thức bồi dưỡng, đào tạo khác.

2.2. Các nhiệm vụ về quốc phòng, an ninh, bảo đảm trật tự an toàn xã hội của cấp quận, huyện.

2.3. Các hoạt động sự nghiệp y tế do quận, huyện, thị xã quản lý:

Duy tu sửa chữa Trung tâm y tế cấp huyện (bao gồm cả các phòng khám đa khoa khu vực, nhà hộ sinh, trạm y tế xã, phường, thị trấn).

Các hoạt động về công tác y tế (vệ sinh phòng bệnh dịch, vệ sinh an toàn thực phẩm), các hoạt động y tế khác theo quy định.

2.4. Các hoạt động sự nghiệp văn hóa thông tin do quận, huyện, thị xã quản lý:

Nhà văn hóa, các cơ sở văn hóa và các hoạt động văn hóa khác do cấp huyện quản lý.

Quản lý, bảo vệ, duy tu, bảo trì các di tích lịch sử - văn hóa được xếp hạng còn lại trên địa bàn trừ các di tích Thành phố trực tiếp quản lý sau đầu tư.

Các hoạt động thông tin, tuyên truyền khác của quận, huyện, thị xã.

2.5. Các hoạt động sự nghiệp phát thanh của quận, huyện, thị xã.

2.6. Các hoạt động sự nghiệp thể dục thể thao: Bồi dưỡng, huấn luyện vận động viên các đội tuyển cấp quận, huyện trong thời gian tập trung thi đấu; hoạt động của các trung tâm thể dục, thể thao do quận, huyện, thị xã quản lý.

2.7. Các hoạt động sự nghiệp bảo vệ môi trường quận, huyện, thị xã quản lý theo phân cấp của Thành phố, bao gồm:

Quản lý, duy trì vệ sinh môi trường: quét hút; rửa đường, hè; thu gom, vận chuyển chất thải và công tác vệ sinh môi trường khác trong toàn bộ phạm vi địa giới hành chính (trừ các đường cao tốc).

Quản lý, vận hành và duy trì các khu tập kết rác thải sinh hoạt có phạm vi phục vụ nội huyện do cấp huyện đầu tư.

Chi hỗ trợ ảnh hưởng môi trường cho người dân nằm trong vùng ảnh hưởng môi trường của khu xử lý rác thải tập trung theo quy định của Thành phố.

Duy trì vệ sinh môi trường tuyến đường dẫn, cầu vượt ngang, tuyến đường gom hai bên Đại lộ Thăng Long trên địa bàn.

Sự nghiệp môi trường tại khoản 1 Điều 168 Luật Bảo vệ môi trường số 72/2020/QH14.

2.8. Các hoạt động sự nghiệp kinh tế do quận, huyện, thị xã quản lý

Sự nghiệp giao thông: Quản lý, duy trì, bảo trì và sửa chữa, nâng cấp đường giao thông, hè đường và các công trình giao thông do quận, huyện quản lý theo phân cấp quản lý sau đầu tư.

Sự nghiệp nông nghiệp, lâm nghiệp, ngư nghiệp do quận, huyện quản lý; chuyển đổi cơ cấu kinh tế phục vụ phát triển mô hình nông thôn mới; chi bảo vệ, phòng chống cháy rừng; phòng chống lụt bão và các nhiệm vụ khác về nông - lâm - ngư nghiệp theo phân cấp quản lý sau đầu tư của Thành phố.

Sự nghiệp thị chính :

- Quản lý, duy trì, chăm sóc, bảo tồn các công viên (bao gồm cả bảo đảm chất lượng nước hồ), vườn hoa, cây xanh, thảm cỏ còn lại trên địa bàn, trừ các công viên, vườn hoa, cây xanh thảm cỏ Thành phố quản lý sau đầu tư.

- Quản lý, duy tu, bảo trì, sửa chữa hệ thống thoát nước, các hồ điều hòa, hệ thống chiếu sáng công cộng và cấp điện còn lại trên địa bàn, trừ phần Thành phố quản lý sau đầu tư (bao gồm cả cấp điện).

Hoạt động quy hoạch sử dụng nguồn kinh phí chi thường xuyên theo quy định; công tác đo đạc, lập bản đồ, lưu trữ hồ sơ địa chính và các hoạt động sự nghiệp địa chính khác theo phân cấp.

Các hoạt động thương mại, du lịch theo phân cấp quản lý. Hoạt động quản lý hệ thống các chợ, các trung tâm thương mại do cấp quận, huyện quản lý theo phân cấp.

Các sự nghiệp kinh tế khác.

2.9. Hoạt động của các cơ quan Nhà nước, cơ quan Đảng cộng sản Việt Nam thuộc quận, huyện, thị xã quản lý:

Hoạt động của Văn phòng quận, huyện ủy, thị ủy và các cơ quan khác trực thuộc quận, huyện ủy, thị ủy.

Hoạt động của HĐND quận, huyện, thị xã.

Hoạt động của Văn phòng Hội đồng nhân dân và Ủy ban nhân dân quận, huyện, thị xã; các phòng, ban và các cơ quan quản lý Nhà nước khác thuộc quận, huyện, thị xã quản lý.

2.10. Hoạt động của Mặt trận Tổ quốc; Đoàn thanh niên cộng sản Hồ Chí Minh; Hội cựu chiến binh; Hội Liên hiệp phụ nữ; Hội Nông dân cấp huyện.

2.11. Hỗ trợ các tổ chức chính trị xã hội - nghề nghiệp, tổ chức xã hội và tổ chức xã hội - nghề nghiệp quận, huyện theo quy định của pháp luật.

2.12. Thực hiện các chính sách xã hội đối với các đối tượng do quận, huyện, thị xã quản lý; hoạt động các cơ sở xã hội do quận, huyện, thị xã quản lý; phòng chống các tệ nạn xã hội, hoạt động chăm sóc trẻ em và các hoạt động xã hội khác theo phân cấp.

2.13. Chi ứng dụng tiến bộ khoa học, công nghệ.

2.14. Chi các nhiệm vụ thường xuyên do phường thực hiện như các nhiệm vụ chi thường xuyên của ngân sách cấp xã, thị trấn (trừ hoạt động của HĐND).

2.15. Các khoản chi khác theo quy định của pháp luật.

3. Chi bổ sung cho ngân sách xã, thị trấn.

4. Chi chuyển nguồn từ ngân sách quận, huyện, thị xã năm trước sang ngân sách năm sau.

5. Chi hỗ trợ thực hiện một số nhiệm vụ quy định tại điểm a và b Khoản 9 Điều 9 Luật NSNN số 83/2015/QH13 theo quy định.

6. Chi ngân sách quận hỗ trợ các huyện khó khăn của Thành phố[9].

C. NGUỒN THU, NHIỆM VỤ CHI CỦA NGÂN SÁCH XÃ, THỊ TRẤN

I. Nguồn thu của ngân sách xã, thị trấn gồm:

1. Các khoản thu ngân sách xã, thị trấn được hưởng 100%:

1.1. Lệ phí môn bài thu từ cá nhân, hộ kinh doanh.

1.2. Thuế sử dụng đất nông nghiệp thu từ các hộ sản xuất.

1.3. Thuế sử dụng đất phi nông nghiệp.

1.4. Lệ phí trước bạ nhà đất.

1.5. Thu bán tài sản nhà nước do xã, thị trấn quản lý.

1.6. Viện trợ không hoàn lại của các tổ chức quốc tế, các tổ chức khác, các cá nhân ở nước ngoài trực tiếp cho xã, thị trấn theo quy định của pháp luật.

1.7. Các khoản thu phí, lệ phí cho ngân sách xã, thị trấn (không kể lệ phí môn bài, lệ phí trước bạ, phí bảo vệ môi trường).

1.8. Các khoản thu từ xử phạt vi phạm hành chính, phạt, tịch thu và thu khác của ngân sách địa phương theo quy định của pháp luật (phần thuộc ngân sách nhà nước theo quy định) do xã, thị trấn thực hiện và quản lý.

1.9. Thu từ tài sản được xác lập quyền sở hữu nhà nước do xã, thị trấn xử lý.

1.10. Thu từ quỹ đất công, công ích và hoa lợi công sản do xã, thị trấn quản lý.

1.11. Thu đền bù thiệt hại khi Nhà nước thu hồi đất đối với đất thuộc xã, thị trấn quản lý.

1.12. Huy động đóng góp theo quy định của pháp luật và đóng góp tự nguyện từ các tổ chức, cá nhân cho xã, thị trấn.

1.13. Thu kết dư ngân sách.

1.14. Các khoản thu khác theo quy định của pháp luật.

1.15. Các khoản thu chậm nộp

Tiền chậm nộp các khoản thu từ xử phạt vi phạm hành chính, phạt, tịch thu khác của ngân sách địa phương theo quy định của pháp luật (phân thuộc ngân sách nhà nước theo quy định) do xã, thị trấn thực hiện, quản lý.

Tiền chậm nộp các khoản khác theo quy định của pháp luật do ngành thuế, các ngành khác quản lý (Đối tượng nộp do cấp xã, thị trấn quản lý)[10]

2. Thu bổ sung từ ngân sách cấp trên.

3. Thu chuyển nguồn từ ngân sách xã, thị trấn năm trước sang ngân sách năm sau.

II. Nhiệm vụ chi của ngân sách xã, thị trấn

1. Chi đầu tư phát triển

Chi đầu tư xây dựng, cải tạo các công trình kết cấu hạ tầng kinh tế - xã hội thuộc phạm vi quản lý theo phân cấp của quận, huyện, thị xã (nếu có) và trong phạm vi ngân sách của xã, thị trấn, gồm:

1.1. Đầu tư các công trình trên địa bàn theo phân cấp từ nguồn tăng thu ngân sách xã, thị trấn, nguồn đóng góp tự nguyện của các tổ chức, cá nhân cho ngân sách xã, thị trấn.

1.2. Đầu tư xây dựng mới, cải tạo nâng cấp các công trình trên địa bàn xã, thị trấn theo phân cấp của cấp huyện từ nguồn thu đấu giá quyền sử dụng đất được cấp lại, tiền đền bù thiệt hại khi nhà nước thu hồi đất và các nguồn khác theo quy định của pháp luật mới.

1.3. Đầu tư các công trình trên địa bàn theo phân cấp từ nguồn bổ sung có mục tiêu từ ngân sách cấp trên.

2. Chi thường xuyên

2.1. Chi cho công tác dân quân, tự vệ và bảo đảm trật tự an toàn xã hội trên địa bàn xã, phường, thị trấn theo quy định của pháp luật và của Thành phố:

Chi thực hiện các chính sách chế độ đối với lực lượng công an xã (nơi chưa bố trí công an chính quy) công an viên ở thôn, ban bảo vệ dân phố,... theo Pháp lệnh Công an xã và các quy định hiện hành; chi các chính sách chế độ đối với lực lượng dân quân tự vệ theo Luật Dân quân tự vệ.

Huấn luyện dân quận tự vệ, lực lượng dự bị động viên và bảo đảm hoạt động sẵn sàng chiến đấu của dân quân tự vệ; đăng ký, tổ chức thanh niên đi làm nghĩa vụ quân sự, tiếp đón quân nhân hoàn thành nghĩa vụ quân sự trở về; tổ chức hội nghị tập huấn, kỷ niệm ngày truyền thống dân quân tự vệ và các hoạt động khác.

Tuyên truyền, vận động và tổ chức phong trào quần chúng bảo vệ an ninh trật tự trên địa bàn; hỗ trợ các chiến dịch giữ gìn an ninh, trật tự an toàn xã hội; hỗ trợ công tác phòng cháy chữa cháy; hỗ trợ sơ kết, tổng kết phong trào quần chúng bảo vệ an ninh và các hoạt động khác về đảm bảo an ninh trật tự.

2.2. Các hoạt động sự nghiệp văn hóa thông tin; truyền thanh; thể dục thể thao: Nhà truyền thống, thư viện, nhà văn hóa, đài truyền thanh, thiết chế văn hóa và các hoạt động văn hóa, thông tin, thể dục thể thao; xây dựng đời sống văn hóa thôn, tổ dân phố và các sự nghiệp văn hóa khác.

2.3. Các hoạt động về bảo vệ môi trường tại khoản 3 Điều 168 Luật Bảo vệ môi trường số 72/2020/QH14.

2.4. Chi sự nghiệp kinh tế theo phân cấp gồm:

Chi công tác khuyến nông, khuyến lâm, khuyến ngư và các nhiệm vụ khác về quản lý Nông - lâm - ngư nghiệp.

Quản lý đất đai, lưu trữ hồ sơ địa chính và các hoạt động sự nghiệp địa chính khác phân cấp cho xã, thị trấn.

Các hoạt động sự nghiệp kinh tế khác.

2.5. Hoạt động của Hội đồng nhân dân, cơ quan quản lý Nhà nước ở xã, thị trấn:

Hoạt động của Hội đồng nhân dân và Ủy ban nhân dân xã, thị trấn.

Hỗ trợ hoạt động các thôn, tổ dân phố.

2.6. Hoạt động của Đảng ủy xã, thị trấn và hỗ trợ hoạt động các chi bộ trực thuộc.

2.7. Hoạt động của Mặt trận Tổ quốc (kể cả hoạt động của Ban Thanh tra nhân dân, Ban công tác Mặt trận) và các tổ chức chính trị - xã hội xã, thị trấn: Đoàn thanh niên cộng sản Hồ Chí Minh; Hội Cựu chiến binh; Hội Liên hiệp phụ nữ, Hội Nông dân.

2.8. Hỗ trợ hoạt động các hội đặc thù theo quy định của Thành phố và các tổ chức xã hội khác của xã, thị trấn theo quy định của pháp luật.

2.9. Hoạt động tuyên truyền, phổ biến giáo dục pháp luật, hoạt động hòa giải ở cấp xã.

2.10. Chi công tác đảm bảo xã hội:

Chi về công tác xã hội, phòng chống các tệ nạn xã hội: Ma túy, mại dâm và các hoạt động xã hội khác do xã, thị trấn quản lý.

Thăm hỏi gia đình chính sách, các hoạt động tình nghĩa nhân các ngày truyền thống, lễ, tết; trợ cấp xã hội cho người già cô đơn, trẻ mồ côi, người tàn tật không nơi nương tựa và thực hiện các chính sách xã hội khác đối với các đối tượng do xã, thị trấn quản lý (không thuộc đối tượng chính sách, hưởng trợ cấp thường xuyên do Phòng Lao động - Thương binh và Xã hội quận, huyện, thị xã cấp).

Công tác xã hội khác như: Công tác tìm kiếm cứu nạn, trợ cấp cứu đói, hỏa hoạn, thiên tai, tai nạn...

2.11. Các khoản chi thường xuyên khác theo quy định của pháp luật.

3. Chi chuyển nguồn từ ngân sách xã, thị trấn năm trước sang ngân sách năm sau.

D. XỬ LÝ CHUYỂN TIẾP

1. Đối với các công trình do các đơn vị của Thành phố đang làm chủ đầu tư (đã có quyết định đầu tư, đã được bố trí vốn thực hiện và đang đầu tư) nhưng thuộc nhiệm vụ chi của ngân sách quận, huyện, thị xã: Thành phố tiếp tục thực hiện; sau khi hoàn thành và thanh quyết toán công trình, thực hiện bàn giao về quận, huyện, thị xã quản lý.

2. Đối với các công trình đang do UBND các quận, huyện, thị xã làm chủ đầu tư (công trình đã có quyết định đầu tư, đã được bố trí kế hoạch vốn thực hiện dự án và đang đầu tư) nhưng thuộc nhiệm vụ chi ngân sách cấp Thành phố: các quận huyện thị xã tiếp tục thực hiện đến khi hoàn thành, thanh quyết toán công trình và bàn giao về Thành phố (cho các đơn vị, các sở quản lý chuyên ngành của Thành phố) quản lý.

3. Tiếp tục thực hiện Quyết định của HĐND các cấp về nguồn vốn đối với các dự án đã được phê duyệt chủ trương đầu tư và cân đối nguồn vốn trong kế hoạch đầu tư công trung hạn các cấp địa phương.

 

 

 

PHỤ LỤC SỐ 02

ĐỊNH MỨC PHÂN BỔ CHI NGÂN SÁCH THÀNH PHỐ HÀ NỘI
(Kèm theo Nghị quyết số 11/2021/NQ-HĐND ngày 08/12/2021 của HĐND Thành phố)

 

A. ĐỊNH MỨC PHÂN BỔ NGUỒN VỐN ĐẦU TƯ XDCB PHÂN CẤP CHO CÁC QUẬN, HUYỆN, THỊ XÃ:

I. Đối với tiêu chí chính: Việc tính toán theo phương pháp tính toán tại Quyết định số 26/2020/QĐ-TTg ngày 14/9/2020 của Thủ tướng Chính phủ. Do phạm vi áp dụng các tiêu chí, định mức phân bổ vốn đầu tư phát triển quy định tại Quyết định số 26/2020/QĐ-TTg nêu trên là áp dụng cho việc phân bổ vốn đầu tư nguồn ngân sách nhà nước của quốc gia cho đơn vị hành chính cấp tỉnh, nên đưa vào tính toán của Hà Nội cần phải quy đổi tiêu chí, định mức này về đơn vị hành chính nhỏ hơn là cấp tỉnh phân bổ cho cấp huyện; cụ thể như sau:

Trung ương tính cho cấp tỉnh

Thành phố tính cho cấp huyện

1. Tiêu chí dân số (Theo niên giám thống kê năm 2019):

- Dân số cả nước khoảng 97.580.000 người

- Dân số Hà Nội 8.093.900 người

- Dân số khởi đầu của mỗi huyện để tính điểm sẽ là: A = (8.093.900x500.000)/97.580.000 = 41.473 người (làm tròn 41.000 người).

- Đến 500.000 người được 10 điểm (bậc 1)

- Trên 500.000 đến 1.000.000 người, cứ tăng thêm 100.000 người được thêm 2 điểm

- Trên 1.000.000 đến 2.000.000 người, cứ tăng 100.000 người tăng thêm được thêm 1 điểm

- Trên 2.000.000 người, từ 0 đến 2.000.000 người được tính 30 điểm, phần còn lại cứ 100.000 người tăng thêm được thêm 0,5 điểm

- Tức là đến 41.000 người được 10 điểm

- Trên 41.000 đến 82.000, cứ tăng thêm 8.200 người được thêm 2 điểm.

- Trên 82.000 người đến 164.000 người, cứ 8.200 người tăng thêm được thêm 1 điểm.

- Trên 164.000 người, từ 0 đến 164.000 người được tính 30 điểm, phần còn lại cứ 8.200 người tăng thêm được thêm 0,5 điểm.

2. Tiêu chí dân tộc thiểu số (Theo số liệu của Ban dân tộc năm 2019):

Số người dân tộc thiểu số cả nước 14.119.256 người

- Số người dân tộc thiểu số Hà Nội 52.578 người.

- Số người dân tộc thiểu số mỗi huyện khởi đầu tính điểm sẽ là:

B = (52.578 x 100.000)/14.119.256 người = 375 người (làm tròn 375).

Cứ 100.000 người dân tộc thiểu số được 0,5 điểm

- Tức là cứ 375 người được 0,5 điểm

3. Tiêu chí tỷ lệ hộ nghèo (Theo báo cáo của Sở lao động năm 2019):

- Theo tiêu chí mới cả nước: 4,45%

- Tỷ lệ hộ nghèo Hà Nội: 0,42%.

- Tỷ lệ hộ nghèo khởi đầu tính điểm sẽ là:

C = (0,42 x 1)/4,45 = 0,09% (làm tròn 0,1)

-Cứ 1% hộ nghèo được 0,1 điểm

- Tức là cứ 0,1% hộ nghèo được 0,1 điểm

4. Thu nội địa (Kế hoạch Thành phố giao năm 2020):

- Cả nước 1.136.500 tỷ đồng

- Đến 5.000 tỷ đồng được 4 điểm

- Trên 5.000 tỷ đồng đến 40.000 tỷ đồng thêm 3 điểm

- Trên 40.000 tỷ đồng đến 80.000 tỷ đồng thêm 2 điểm

- Trên 80.000 tỷ đồng đến 100.000 tỷ đồng thêm 1 điểm

- Trên 100.000 tỷ đồng thêm 0,5 điểm

- Thành phố Hà Nội 266.576 tỷ đồng

- Số thu nội địa khởi đầu tính điểm sẽ là: D = (266.576 x 5.000)/1.136.500 = 1.173 tỷ đồng (lấy tròn 1.175 tỷ đồng). Tức là:

- Đến 1.175 tỷ đồng được 4 điểm

- Trên 1.175 tỷ đến 9.400 tỷ đồng thêm 3 điểm

- Trên 9.400 tỷ đồng đến 18.800 tỷ đồng thêm 2 điểm

- Trên 18.800 tỷ đồng đến 23.500 tỷ đồng thêm 1 điểm

- Trên 23.500 tỷ đồng thêm 0,5 điểm

5. Tỷ lệ điều tiết về ngân sách cấp trên (Kế hoạch Thành phố năm 2020):

- Đến 5% điều tiết về ngân sách TU được 3 điểm

- Trên 5% đến 20% thêm 2 điểm

- Trên 20% đến 50% thêm 1 điểm

- Trên 50% thêm 0,5 điểm

- Đến 5%) điều tiết về ngân sách TP được 3 điểm

- Trên 5% đến 20% điều tiết về ngân sách TP được tính thêm 2 điểm

- Trên 20%) đến 50%) điều tiết về ngân sách TP được tính thêm 1 điểm

- Trên 50%) thêm 0,5 điểm

6. Diện tích đất tự nhiên (Theo niên giám thống kê năm 2019):

- Cả nước 331.212 km2

- Hà Nội 3.359 km2.

- Diện tích khởi đầu tính điểm sẽ là: F = (3.359 x 2.000)/331212 = 20 Km2. Tức là:

- Đến 2.000 km2 được 8 điểm

- Trên 2.000 km2 đến 5.000 km2, cứ 1.000 km2 tăng thêm được tính thêm 4 điểm

- Trên 5.000 km2 đến 10.000 km2, cứ 1.000 km2 tăng thêm được tính thêm 2 điểm

- Trên 10.000 km2, cứ 1.000 km2 tăng thêm được tính thêm 0,5 điểm

- Đến 20 km2 được 8 điểm

- Trên 20 km2 đến 50 km2, từ 0 đến 20 km2 được tính 8 điểm, còn lại cứ 10 km2 tăng thêm được tính thêm 4 điểm

- Trên 50 km2 đến 100 km2, từ 0 đến 50 km2 được tính 20 điểm, còn lại cứ 10 km2 tăng thêm được tính thêm 2 điểm

- Trên 100 km2, từ 0 đến 100 km2 được tính 30 điểm, còn lại cứ 10 km2 tăng thêm được tính thêm 0,5 điểm

7. Tỷ lệ rừng của các địa phương (Theo số liệu thống kê năm 2019)

- Đến 10% tính là 0,5 điểm

- Từ trên 10% đến 50%, được tính 1 điểm

- Trên 50% trở lên được tính 2 điểm

Tính theo trung ương

- Đến 10% tính là 0,5 điểm

- Từ trên 10% đến 50% được tính 1 điểm

- Trên 50% trở lên được tính 2 điểm

8. Số đơn vị hành chính:

- Mỗi huyện được tính 0,5 điểm

- Mỗi xã được tính 0,5 điểm

9. Số huyện miền núi:

- Mỗi huyện miền núi được tính 0,2 điểm

- Mỗi xã miền núi được tính 0,2 điểm

II. Tiêu chí bổ sung:

(1) Mật độ dân số trên địa bàn: Nguồn số liệu trên cơ sở số liệu dân số và diện tích tự nhiên tại niên giám thống kê năm 2019 của Hà Nội.

(2) Số trường công lập do cấp huyện quản lý chưa đạt chuẩn quốc gia: Nguồn số liệu do Sở Giáo dục và đào tạo cung cấp (Báo cáo số 1670/BC- SGDĐT ngày 17/5/2021).

(3) Số di tích quản lý cần tu bổ: Nguồn số liệu tại Quyết định số 5745/QĐ-UBND ngày 14/10/2016 của UBND Thành phố phê duyệt, công bố danh mục kiểm kê di tích trên địa bàn Thành phố.

(4) Hệ thống các công trình đê điều, thủy lợi do cấp huyện quản lý: Nguồn số liệu tại Quyết định số 2207/QĐ-BNN-TCTL ngày 13/9/2012 của Bộ Nông nghiệp về phân cấp đê của Hà Nội và Quyết định số 1679/QĐ-UBND ngày 12/4/2021 của UBND Thành phố phê duyệt danh mục phân cấp quản lý công trình thủy lợi của Thành phố.

(5) Số Km đường giao thông do cấp huyện quản lý: Nguồn số liệu tại Quyết định số 7017/QĐ-UBND ngày 20/12/2016 của UBND Thành phố phê duyệt danh mục hạ tầng giao thông của Thành phố.

(6) Các huyện thành lập quận: Căn cứ các Đề án thành lập quận được UBND Thành phố ban hành.

Căn cứ đặc điểm, tính chất của từng ngành, lĩnh vực để xác định điểm cho mỗi tiêu chí: Mật độ dân số 1 điểm/1000ng/km2; Huyện lên quận 01 điểm/huyện; Số trường công lập chưa đạt chuẩn 0,1 điểm/trường; số km đường giao thông 0,1 điểm/100km; Các công trình thủy lợi, đê điều bình quân 0,1 điểm/đơn vị tính; Di tích 0,05 điểm/di tích.

III. Cách tính điểm và phân bổ vốn đầu tư phân cấp cho các quận, huyện, thị xã:

Căn cứ vào các tiêu chí và mức điểm trên để tính ra số điểm của từng quận, huyện và tổng số điểm của 30 quận, huyện làm căn cứ để phân bổ vốn đầu tư trong cân đối, theo các công thức sau:

1. Điểm của tiêu chí dân số:

Điểm của tiêu chí này là tổng điểm của 02 tiêu chí: số dân và số người dân tộc thiểu số.

- Gọi tổng số điểm tiêu chí dân số chung của huyện thứ i là Ai

- Gọi số điểm của số dân huyện thứ i là hi.

- Gọi số điểm của số người dân tộc thiểu số huyện thứ i là ki.

Điểm của tiêu chí dân số huyện thứ i sẽ là:

Ai = hi + ki

2. Điểm của tiêu chí trình độ phát triển:

Điểm của tiêu chí này là tổng điểm của 03 tiêu chí: tỷ lệ hộ nghèo; thu nội địa; tỷ lệ điều tiết về ngân sách Thành phố

- Gọi tổng số điểm tiêu chí trình độ phát triển của huyện thứ i là Bi

- Gọi số điểm của tiêu chí tỷ lệ nghèo huyện thứ i là ni.

- Gọi số điểm của tiêu chí thu nội địa huyện thứ i là oi.

- Gọi số điểm của tiêu chí tỷ lệ điều tiết về ngân sách Thành phố là pi.

Điểm của tiêu chí trình độ phát triển huyện thứ i sẽ là:

Bi = ni + oi + pi

3. Điểm của tiêu chí diện tích:

Điểm của tiêu chí này là tổng điểm của 02 tiêu chí: diện tích tự nhiên; tỷ lệ che phủ rừng

- Gọi tổng số điểm tiêu chí diện tích của huyện thứ i là Ci.

- Gọi số điểm diện tích tự nhiên là qi.

- Gọi số điểm của tỷ lệ che phủ rừng là ri.

Điểm của tiêu chí diện tích là:

Ci = qi + ri

4. Điểm của tiêu chí đơn vị hành chính cấp xã:

Điểm của tiêu chí này là tổng điểm của 02 tiêu chí: số đơn vị hành chính cấp xã của quận huyện; số đơn vị hành chính xã miền núi của quận huyện

- Gọi số điểm của tiêu chí đơn vị hành chính huyện thứ i là Di.

- Gọi số điểm của tiêu chí số đơn vị hành chính cấp xã của huyện thứ i là si.

- Gọi số điểm của tiêu chí số đơn vị hành chính xã miền núi của huyện thứ i là ti.

Tổng số điểm của tiêu chí đơn vị hành chính huyện thứ i sẽ là:

Di = si + ti

5. Các tiêu chí phụ: Trên cơ sở số điểm của các tiêu chí phụ, cách tính toán tương tự các tiêu chí trên, số điểm của tiêu chí phụ huyện thứ i sẽ là Ei

6. Sau khi tính đúng, đủ vốn phân cấp theo tổng số điểm đạt được này, hầu hết các quận sẽ có mức vốn phân cấp thấp hơn kế hoạch đã giao năm 2021 nên đề xuất cộng điểm thưởng cho các đơn vị có tỷ lệ điều tiết về Thành phố từ 50% trở lên. Số điểm thưởng huyện thứ i sẽ là Fi

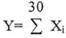
7. Tổng số điểm của quận huyện thứ i:

Gọi tổng số điểm của quận huyện thứ i là Xi:

Xi = Ai + Bi + Ci + Di + Ei + Fi

8. Tổng số điểm của 30 quận, huyện, thị xã là Y, ta có:


9. Số vốn định mức cho 1 điểm phân bổ được tính theo công thức:

- Gọi K là tổng số vốn trong cân đối ngân sách địa phương (không bao gồm thu chuyển quyền sử dụng đất, đấu giá đất).

- Z là số vốn định mức cho một điểm phân bổ vốn đầu tư, ta có:

10. Tổng số vốn đầu tư phân cấp cho từng quận huyện được tính theo công thức:

Gọi Vi là số vốn đầu tư phân cấp cho quận huyện thứ i (không bao gồm thu chuyển quyền sử dụng đất, đấu giá đất), thì:

Vi = Z x Xi

B. ĐỊNH MỨC PHÂN BỔ CHI THƯỜNG XUYÊN

I. Định mức phân bổ chi thường xuyên ngân sách cấp Thành phố:

1. Định mức phân bổ chi khác ngân sách quản lý hành chính, Đảng, đoàn thể:

1.1. Định mức phân bổ dự toán chi đảm bảo hoạt động thường xuyên của các cơ quan:

TT

Nội dung

Đơn vị tính

Định mức

I

Cơ quan hành chính

 

 

1

Đơn vị dự toán cấp I

 

 

 

Biên chế dưới 100

Đồng/biên chế/năm

69.000.000

 

Từ biên chế thứ 100 đến dưới 200

Đồng/biên chế/năm

68.000.000

 

Từ biên chế thứ 200 trở lên

Đồng/biên chế/năm

67.000.000

2

Đơn vị dự toán trực thuộc đơn vị dự toán cấp I

 

 

 

Biên chế dưới 100

Đồng/biên chế/năm

65.000.000

 

Từ biên chế thứ 100 đến dưới 200

Đồng/biên chế/năm

64.000.000

 

Từ biên chế thứ 200 trở lên

Đồng/biên chế/năm

63.000.000

II

Các tổ chức chính trị - xã hội

 

 

1

Hội Liên hiệp phụ nữ Thành phố

Đồng/biên chế/năm

81.000.000

2

Hội Cựu Chiến binh Thành phố

Đồng/biên chế/năm

81.000.000

3

Hội Nông dân Thành phố

Đồng/biên chế/năm

81.000.000

4

Đoàn thanh niên cộng sản HCM thành phố Hà Nội

Đồng/biên chế/năm

81.000.000

III

Các cơ quan điều hành chung

 

 

1

Các cơ quan thuộc Thành ủy

Đồng/biên chế/năm

91.000.000

2

Văn phòng UBND Thành phố

Đồng/biên chế/năm

91.000.000

3

Văn phòng Đoàn Đại biểu Quốc hội và HĐND Thành phố

Đồng/biên chế/năm

91.000.000

4

Ủy ban Mặt trận Tổ quốc Việt Nam thành phố Hà Nội

Đồng/biên chế/năm

91.000.000

Trong đó:

a. Định mức phân bổ chi khác đơn vị dự toán cấp I được áp dụng cho Văn phòng các sở, ban, ngành, đoàn thể (được cấp ngân sách theo quy định của Luật Ngân sách nhà nước, hoặc được giao biên chế) thuộc Thành phố.

b. Định mức phân bổ chi khác cho đơn vị dự toán trực thuộc đơn vị dự toán cấp I: Là các cơ quan hành chính trực thuộc các Sở, ban, ngành, đoàn thể của Thành phố.

c. Định mức phân bổ nêu trên là cơ sở để thực hiện chế độ tự chủ, tự chịu trách nhiệm về sử dụng biên chế và kinh phí quản lý hành chính đối với các cơ quan nhà nước theo quy định của pháp luật.

d. Định mức phân bổ nêu trên đảm bảo kinh phí cho các nội dung chi sau:

Các khoản chi hành chính phục vụ hoạt động thường xuyên bộ máy các cơ quan.

Các khoản chi nghiệp vụ hằng năm: chi tập huấn bồi dưỡng chuyên môn nghiệp vụ; chi quản lý ngành, lĩnh vực; chi thực hiện chỉ đạo, kiểm tra của ngành; chi công tác tuyên truyền phổ biến giáo dục pháp luật, rà soát, xây dựng và hoàn thiện các văn bản quy phạm pháp luật; chi ứng dụng công nghệ thông tin; chi thực hiện các hoạt động kiểm soát thủ tục hành chính, thực hiện cải cách hành chính; xây dựng, áp dụng, duy trì và cải tiến hệ thống quản lý chất lượng; thực hiện hoạt động sáng kiến cấp cơ sở; bồi dưỡng đối với cán bộ công chức, viên chức làm công tác tiếp công dân, xử lý đơn thư khiếu nại tố cáo; bồi dưỡng, cấp trang phục đối với trưởng bộ phận, công chức, lao động hợp đồng làm việc tại bộ phận tiếp nhận hồ sơ và trả kết quả giải quyết thủ tục hành chính; kinh phí chỉnh lý tài liệu lưu trữ; kinh phí hỗ trợ hoạt động của Đảng (bao gồm kinh phí hỗ trợ mua báo, tài liệu, tạp chí của Đảng), đoàn thể, hoạt động ban vì sự tiến bộ phụ nữ và kinh phí đảm bảo hoạt động thường xuyên khác của bộ máy.

Các khoản kinh phí mua sắm, thay thế trang bị máy móc, thiết bị văn phòng phổ biến của cơ quan, đơn vị theo định mức quy định tại Phụ lục II Quyết định số 50/2017/QĐ-TTg ngày 31 tháng 12 năm 2017 của Thủ tướng Chính phủ quy định về tiêu chuẩn, định mức sử dụng máy móc, thiết bị; kinh phí mua sắm công cụ, dụng cụ; kinh phí bảo dưỡng, bảo trì, sửa chữa nhỏ, thường xuyên tài sản công.

e. Định mức phân bổ trên không bao gồm:

Quỹ lương ngạch bậc, các khoản phụ cấp theo lương và các khoản đóng góp theo chỉ tiêu biên chế được giao;

Chi tiền lương, tiền công lao động cho các đối tượng hợp đồng lao động làm công việc thừa hành, phục vụ theo Đề án vị trí việc làm được cấp có thẩm quyền phê duyệt;

Kinh phí sử dụng phương tiện phục vụ công tác chung của các cơ quan theo quy định tại Nghị định số 04/2019/NĐ-CP ngày 11/01/2019 của Chính phủ.

Các khoản chi: Kinh phí đối ứng thực hiện các dự án theo phân cấp; thuê trụ sở; tổ chức đại hội, hội nghị ngành; hoạt động các Ban chỉ đạo, tổ công tác liên ngành; sử dụng xe ô tổ chức danh, xe ô tô chuyên dùng; mua ô tô, bảo dưỡng, sửa chữa vừa và lớn trụ sở; mua sắm máy móc, thiết bị phục vụ hoạt động chung của cơ quan, tổ chức, đơn vị; máy móc, thiết bị chuyên dùng; các khoản chi phục vụ hoạt động chung của Đảng bộ Thành phố, của HĐND; các khoản chi đặc thù mang tính chất riêng biệt, các nhiệm vụ chi đặc thù phát sinh không thường xuyên và các khoản chi khác không thuộc định mức phân bổ quy định tại điểm d nêu trên.

f. Các hội có tính chất đặc thù được vận dụng nguyên tắc, tiêu chí, định mức phân bổ như đối với đơn vị dự toán cấp I lĩnh vực chi quản lý nhà nước, Đảng, đoàn thể và thực hiện hỗ trợ cho các nhiệm vụ được cấp có thẩm quyền giao theo quy định của pháp luật.

g. Các tổ chức chính trị xã hội - nghề nghiệp, tổ chức xã hội, tổ chức xã hội - nghề nghiệp được ngân sách nhà nước hỗ trợ theo nhiệm vụ Nhà nước giao theo quy định của Luật Ngân sách nhà nước.

1.2. Đinh mức phân bổ dự toán chi sử dụng phương tiện phục vụ công tác chung của các cơ quan đơn vị là 112.000.000 đồng/năm/người có tiêu chuẩn sử dụng ô tô phục vụ công tác chung khi đi công tác của các cơ quan theo quy định tại Nghị định số 04/2019/NĐ-CP ngày 11/01/2019 của Chính phủ.

Định mức nêu trên bao gồm các khoản chi phí sử dụng phương tiện phục vụ công tác chung bao gồm: lương lái xe; xăng xe; bảo hiểm; sửa chữa, bảo dưỡng; chi phí khác phục vụ công tác sử dụng phương tiện.

2. Định mức phân bổ dự toán chi các lĩnh vực sự nghiệp:

2.1. Sự nghiệp giáo dục, đào tạo và dạy nghề:

a. Lĩnh vực giáo dục (chưa trừ nguồn thu học phí):

TT

Nội dung

Đơn vị tính

Định mức

Định mức

Trong đó: Chi khác (tối thiểu)

1

Học sinh trung học phổ thông hệ thường

Đồng/học sinh/năm

8.700.000

2.000.000

2

Học sinh trung học phổ thông hệ chuyên

Đồng/học sinh/năm

22.000.000

9.000.000

3

Học sinh mầm non

Đồng/học sinh/năm

Bằng định mức chi quy định tại cấp quận, huyện, thị xã

4

Học sinh Tiểu học

Đồng/học sinh/năm

5

Học sinh THCS

Đồng/học sinh/năm

6

Học sinh khuyết tật

Đồng/học sinh/năm

22.000.000

6.200.000

7

Học sinh Dân tộc nội trú

Đồng/học sinh/năm

23.000.000

10.000.000

Trong đó:

Định mức phân bổ nêu trên bảo đảm chi lương, phụ cấp, các khoản đóng góp theo chế độ và mức tiền lương cơ sở 1.490.000 đồng/tháng và chi thường xuyên cho hoạt động giảng dạy và học tập.

Định mức nêu trên chưa bao gồm chi mua sắm máy móc, thiết bị phục vụ hoạt động chung và máy móc, thiết bị chuyên dùng và chi bảo dưỡng, sửa chữa công trình theo quy định.

Định mức phân bổ nêu trên là cơ sở để bố trí dự toán năm 2022, năm đầu của thời kỳ ổn định ngân sách mới. Các đơn vị sự nghiệp công lập thực hiện dự toán phải tuân thủ theo quy định tại Nghị định số 60/2021/NĐ-CP ngày 21/06/2021 của Chính phủ.

Đối với các trường học nằm trên địa bàn các xã thuộc diện chương trình 135, xã miền núi và xã thuộc bãi giữa sông Hồng, định mức phân bổ được tính tăng thêm 10% so với định mức nêu trên.

b. Sự nghiệp đào tạo và dạy nghề:

Đối với các trường Đại học, Cao đẳng, Trung học; cơ sở giáo dục nghề nghiệp, Trường đào tạo bồi dưỡng cán bộ: Thực hiện theo cơ chế tự chủ tại Nghị định 60/2021/NĐ-CP của Chính phủ.

Đối với chi đào tạo, bồi dưỡng cán bộ: dự toán kinh phí được phân bổ trên cơ sở Kế hoạch đào tạo, bồi dưỡng hàng năm của Thành phố và các chế độ chi hiện hành.

2.2. Sự nghiệp y tế, dân số kế hoạch hóa gia đình:

a. Đối với các bệnh viện hạng I, hạng II, hạng III: Các bệnh viện hạng I, II, III thực hiện theo cơ chế tự chủ tài chính theo quy định Nghị định số 60/2021/NĐ-CP ngày 21/6/2021 của Chính phủ.

b. Đối với các bệnh viện đặc thù:

TT

Nội dung

Đơn vị tính

Định mức

1

Bệnh viện tâm thần Hà Nội, Bệnh viện tâm thần Mỹ Đức, Bệnh viện tâm thần ban ngày Mai Hương

 

Thực hiện cơ chế giao nhiệm vụ, đặt hàng khám bệnh, chữa bệnh, chăm sóc và nuôi dưỡng người bệnh phong, tâm thần và theo quy định tại Nghị định 60/2021/NĐ-CP ngày 21/6/2021 của Chính phủ.

2

Bệnh viện 09

 

 

 

- Giường bệnh (bao gồm cả tiền ăn cho bệnh nhân theo quy định)

Đồng/giường bệnh/năm

51.000.000

 

- Hoạt động bộ máy

Đồng/biên chế/năm

Áp dụng định mức phân bổ chi khác của đơn vị dự toán cấp II khối cơ quan hành chính

3

Bệnh viện phục hồi chức năng

 

 

 

- Giường bệnh (bao gồm cả tiền ăn cho bệnh nhân theo quy định)

Đồng/giường bệnh/năm

51.000.000

 

- Hoạt động bộ máy

 

Thực hiện theo cơ chế tự chủ tại Nghị định 60/2021/NĐ-CP của CP

Trong đó:

Định mức phân bổ ngân sách theo tiêu chí giường bệnh của Bệnh viện 09 và Bệnh viện phục hồi chức năng: bao gồm các chi phí trực tiếp phục vụ việc khám, điều trị, chăm sóc và nuôi dưỡng đối tượng (không bao gồm tiền lương, các khoản đóng góp theo lương và các khoản phụ cấp đặc thù).

c. Đối với Trung tâm cấp cứu 115 Hà Nội, các trung tâm y tế quận, huyện, thị xã và các trung tâm chuyên khoa: Dự toán chi ngân sách Nhà nước phân bổ cho các đơn vị thực hiện theo cơ chế tự chủ tài chính theo quy định Nghị định số 60/2021/NĐ-CP ngày 21/6/2021 của Chính phủ

d. Đối với các hoạt động sự nghiệp y tế, dân số kế hoạch hóa gia đình:

TT

Nội dung

Đơn vị tính

Định mức

1

Phòng dịch

Đồng/người dân/năm

7.000

2

Các hoạt động sự nghiệp y tế

Đồng/người dân/năm

18.000

3

Vệ sinh an toàn thực phẩm

Đồng/người dân/năm

9.000

4

Dân số, kế hoạch hóa gia đình

Đồng/người dân/năm

9.000

Định mức tính theo dân số được áp dụng cho:

Chi phòng dịch: Chi cho các nhiệm vụ phòng chống dịch thường xuyên cấp thành phố hàng năm, không bao gồm chi phòng chống dịch đột xuất.

Chi hoạt động sự nghiệp y tế bao gồm: chi hoạt động nghiệp vụ thường xuyên, lập các dự án kêu gọi viện trợ, chi các chương trình y tế (phòng bệnh, khám và điều trị một số bệnh ngoại trú theo chỉ đạo của Bộ Y tế).

Chi công tác dân số, kế hoạch hóa gia đình: Chi cho công tác xây dựng, triển khai thực hiện kế hoạch; tổ chức thực hiện các hoạt động truyền thông, vận động trong lĩnh vực dân số, kế hoạch hóa gia đình; quản lý về quy mô, cơ cấu, chất lượng dân số; kiểm tra, thanh tra, xử lý các vi phạm và các nhiệm vụ về tăng cường công tác dân số, kế hoạch hóa gia đình đối với cấp Thành phố theo Nghị quyết của HĐND Thành phố.

Định mức nêu trên không bao gồm chi mua sắm máy móc, thiết bị phục vụ hoạt động chung và máy móc, thiết bị chuyên dùng và chi bảo dưỡng, sửa chữa vừa và lớn công trình, thiết bị công trình xây dựng.

2.3. Các sự nghiệp: văn hóa, thể thao và du lịch; thông tin và truyền thông; phát thanh truyền hình; đảm bảo xã hội; kinh tế; môi trường và sự nghiệp khác:

Việc phân bổ dự toán chi hằng năm và trong thời kỳ ổn định của ngân sách Thành phố thực hiện trên cơ sở: nhiệm vụ chi của ngân sách cấp Thành phố theo phân cấp; các chương trình, kế hoạch được cấp có thẩm quyền phê duyệt; chế độ, tiêu chuẩn, định mức chi do cơ quan nhà nước có thẩm quyền quy định; khả năng cân đối ngân sách Thành phố.

Chi mua sắm máy móc, thiết bị phục vụ hoạt động chung và máy móc, thiết bị chuyên dùng: Dự toán được xác định trên cơ sở tiêu chuẩn định mức, chế độ quản lý, sử dụng tài sản công hiện hành, nhu cầu thực tế của đơn vị và khả năng cân đối ngân sách.

Chi bảo dưỡng, sửa chữa vừa và lớn công trình, thiết bị công trình xây dựng: Phân bổ theo quy định của pháp luật về lập dự toán, quản lý, sử dụng kinh phí bảo dưỡng, sửa chữa tài sản công và khả năng cân đối của ngân sách.

2.4. Đối với chi hoạt động thường xuyên các đơn vị sự nghiệp công lập:

Đơn vị sự nghiệp công lập tự bảo đảm chi thường xuyên và chi đầu tư, đơn vị sự nghiệp công lập tự bảo đảm chi thường xuyên: Ngân sách nhà nước không hỗ trợ chi thường xuyên.

Đơn vị sự nghiệp công lập tự bảo đảm một phần chi thường xuyên: ngân sách nhà nước hỗ trợ chi thường xuyên sau khi đơn vị đã sử dụng nguồn thu sự nghiệp và nguồn thu phí được để lại chi để thực hiện nhiệm vụ, cung ứng dịch vụ sự nghiệp công chưa tính đủ chi phí theo hướng giảm dần hằng năm theo lộ trình nâng mức tự chủ của các đơn vị sự nghiệp công lập.

Đơn vị sự nghiệp công lập do Nhà nước bảo đảm toàn bộ chi thường xuyên: Được vận dụng nguyên tắc, tiêu chí, định mức phân bổ như đối với đơn vị dự toán trực thuộc đơn vị dự toán cấp I lĩnh vực chi quản lý nhà nước, Đảng, đoàn thể.

3. Chi quốc phòng:

Nội dung nhiệm vụ chi của ngân sách Thành phố, phạm vi chi hỗ trợ của ngân sách Thành phố cho quốc phòng theo quy định tại Nghị định của Chính phủ quy định về quản lý, sử dụng ngân sách và tài sản của Nhà nước đối với một số hoạt động thuộc lĩnh vực quốc phòng, an ninh; Nghị định 72/2020/NĐ-CP ngày 30/6/2020 quy định chi tiết một số điều của Luật dân quân tự vệ về tổ chức xây dựng lực lượng và chế độ, chính sách đối với dân quân tự vệ.

Hàng năm, căn cứ vào nhiệm vụ quốc phòng của Thành phố, chế độ, chính sách chi và khả năng cân đối ngân sách, UBND Thành phố xác định mức phân bổ hợp lý phù hợp, trình HĐND Thành phố quyết định.

4. Chi an ninh:

Nội dung nhiệm vụ chi của ngân sách Thành phố, phạm vi chi hỗ trợ của ngân sách Thành phố cho an ninh, trật tự, an toàn xã hội và công tác phòng cháy chữa cháy theo quy định tại Nghị định của Chính phủ quy định về quản lý, sử dụng ngân sách và tài sản của Nhà nước đối với một số hoạt động thuộc lĩnh vực quốc phòng, an ninh.

Hàng năm, căn cứ vào nhiệm vụ an ninh, trật tự, an toàn xã hội và công tác phòng cháy chữa cháy của Thành phố, chế độ, chính sách chi và khả năng cân đối ngân sách, UBND Thành phố xác định mức phân bổ hợp lý phù hợp, trình HĐND Thành phố quyết định

5. Các năm tiếp theo trong thời kỳ ổn định (từ năm 2023) các định mức nêu trên được xem xét, điều chỉnh hàng năm do UBND Thành phố trình HĐND Thành phố quyết định theo khả năng cân đối ngân sách.

III. Định mức phân bổ chi thường xuyên ngân sách cấp quận, huyện, thị xã:

1. Định mức phân bổ ngân sách quản lý hành chính, Đảng, Đoàn thể:

1.1. Định mức phân bổ dự toán chi đảm bảo hoạt động thường xuyên của các cơ quan:

TT

Nội dung

Đơn vị tính

Định mức

I

Cơ quan hành chính

 

 

 

Cơ quan hành chính thuộc quận, huyện, thị xã.

Đồng/biên chế/năm

65.000.000

II

UBND các phường

 

 

 

CBCC công tác tại các phường

Đồng/biên chế/năm

55.000.000

 

Người hoạt động không chuyên trách

Đồng/người/năm

22.000.000

II

Các tổ chức chính trị - xã hội quận, huyện, thị xã

 

 

1

Hội Liên hiệp phụ nữ

Đồng/biên chế/năm

75.000.000

2

Hội Cựu Chiến binh

Đồng/biên chế/năm

75.000.000

3

Hội Nông dân

Đồng/biên chế/năm

75.000.000

4

Đoàn Thanh niên cộng sản HCM

Đồng/biên chế/năm

75.000.000

III

Các cơ quan điều hành chung

 

 

1

Các cơ quan Đảng thuộc quận, huyện, thị ủy

Đồng/biên chế/năm

85.000.000

2

Văn phòng UBND quận, huyện, thị xã

Đồng/biên chế/năm

85.000.000

3

Văn phòng HĐND quận, huyện, thị xã

Đồng/biên chế/năm

85.000.000

4

Ủy ban MTTQ quận, huyện, thị xã

Đồng/biên chế/năm

85.000.000

Trong đó:

a. Định mức phân bổ trên áp dụng cho khối các phòng, ban thuộc UBND quận, huyện, thị xã; cơ quan thuộc quận ủy, huyện ủy, thị ủy; Văn phòng HĐND, UBND quận, huyện, thị xã và 5 tổ chức chính trị - xã hội; được tính theo biên chế được giao.

b. Định mức phân bổ nêu trên là cơ sở để thực hiện chế độ tự chủ, tự chịu trách nhiệm về sử dụng biên chế và kinh phí quản lý hành chính đối với các cơ quan nhà nước theo quy định của pháp luật.

c. Định mức phân bổ nêu trên đảm bảo kinh phí cho các nội dung chi sau:

Các khoản chi hành chính phục vụ hoạt động thường xuyên bộ máy các cơ quan.

Các khoản chi nghiệp vụ hằng năm: chi tập huấn bồi dưỡng chuyên môn nghiệp vụ; chi quản lý ngành, lĩnh vực; chi thực hiện chỉ đạo, kiểm tra của ngành; chi công tác tuyên truyền phổ biến giáo dục pháp luật, rà soát, xây dựng và hoàn thiện các văn bản quy phạm pháp luật; chi ứng dụng công nghệ thông tin; chi thực hiện các hoạt động kiểm soát thủ tục hành chính, thực hiện cải cách hành chính; xây dựng, áp dụng, duy trì và cải tiến hệ thống quản lý chất lượng; thực hiện hoạt động sáng kiến cấp cơ sở; bồi dưỡng đối với cán bộ công chức, viên chức làm công tác tiếp công dân, xử lý đơn thư khiếu nại tố cáo; bồi dưỡng, cấp trang phục đối với trưởng bộ phận, công chức, lao động hợp đồng làm việc tại bộ phận tiếp nhận hồ sơ và trả kết quả giải quyết thủ tục hành chính; kinh phí chỉnh lý tài liệu lưu trữ; hỗ trợ kinh phí hoạt động của Đảng (bao gồm kinh phí hỗ trợ mua báo, tạp chí của Đảng), đoàn thể và kinh phí đảm bảo hoạt động thường xuyên khác của bộ máy.

Kinh phí sử dụng và khoán xe ô tô phục vụ công tác chung theo quy định tại Nghị định số 04/2019/NĐ-CP ngày 11/01/2019 của Chính phủ.

Các khoản kinh phí mua sắm, thay thế trang bị máy móc, thiết bị văn phòng phổ biến của cơ quan, đơn vị theo định mức quy định; kinh phí mua sắm công cụ, dụng cụ; kinh phí bảo dưỡng, bảo trì, sửa chữa nhỏ, thường xuyên tài sản công.

d. Định mức phân bổ trên không bao gồm:

Quỹ lương ngạch bậc, các khoản phụ cấp theo lương và các khoản đóng góp theo chỉ tiêu biên chế được giao;

Chi tiền lương, tiền công lao động cho các đối tượng hợp đồng lao động làm công việc thừa hành, phục vụ theo Đề án vị trí việc làm được cấp có thẩm quyền phê duyệt;

Các khoản chi: Kinh phí đối ứng thực hiện các dự án theo phân cấp; thuê trụ sở; tổ chức đại hội, hội nghị ngành; hoạt động các Ban chỉ đạo, tổ công tác liên ngành; sử dụng xe ô tô chuyên dùng; mua ô tô, bảo dưỡng, sửa chữa vừa và lớn trụ sở; mua sắm máy móc, thiết bị phục vụ hoạt động chung của cơ quan, tổ chức, đơn vị; máy móc, thiết bị chuyên dùng; các khoản chi đặc thù mang tính chất riêng biệt, các nhiệm vụ chi đặc thù phát sinh không thường xuyên và các khoản chi khác không thuộc định mức phân bổ quy định tại điểm c nêu trên.

Trợ cấp và các khoản đóng góp đối với cán bộ, công chức, người hoạt động không chuyên trách; trợ cấp cán bộ xã già yếu nghỉ việc ở phường; chi thù lao Chủ tịch Hội đặc thù ở phường.

e. Các hội có tính chất đặc thù được ngân sách cấp kinh phí hoạt động theo số biên chế được giao, bao gồm chi khác theo định mức của cơ quan hành chính và quỹ tiền lương, phụ cấp, các khoản đóng góp theo thực tế.

f. Các tổ chức chính trị xã hội - nghề nghiệp, tổ chức xã hội, tổ chức xã hội - nghề nghiệp được ngân sách nhà nước hỗ trợ theo nhiệm vụ Nhà nước giao theo quy định của Luật Ngân sách nhà nước.

1.2. Định mức phân bổ quản lý hành chính, Đảng, Đoàn thể khác:

Các khoản chi tiền lương, phụ cấp, các khoản đóng góp; chi chế độ đặc thù công tác Đảng; chi trợ cấp cán bộ phường già yếu nghỉ việc; chi thù lao Chủ tịch Hội đặc thù được tính toán vào cân đối ngân sách của các quận, huyện, thị xã theo thực tế.

Các khoản chi mua sắm, sửa chữa bảo dưỡng tài sản công và các khoản chi khác của các quận, huyện, thị xã được tính vào cân đối ngân sách theo tỷ lệ phần trăm của số chi tại điểm 1.2.1 mục III phần B cụ thể: Mức 15% đối với các quận, thị xã (do bao gồm cả nhiệm vụ quản lý hành chính, Đảng, đoàn thể của các phường1) và mức 05% đối với các huyện.

2. Chi sự nghiệp giáo dục, đào tạo và dạy nghề

TT

Nội dung

Đơn vị tính

Định mức Khu vực đô thị

Định mức Khu vực còn lại

Định mức

Trong đó: Chi khác (tối thiểu)

Định mức

Trong đó: Chi khác (tối thiểu)

I

Giáo dục (*)

 

 

 

 

 

1

Học sinh Mầm non

Đồng/học sinh/năm

9.500.000

2.000.000

10.500.000

2.000.000

2

Học sinh Tiểu học

Đồng/học sinh/năm

5.800.000

1.500.000

6.500.000

1.500.000

3

Học sinh THCS

Đồng/học sinh/năm

7.800.000

1.900.000

8.500.000

1.900.000

4

Học sinh khuyết tật

Đồng/học sinh/năm

22.000.000

6.200.000

22.000.000

6.200.000

5

Giáo dục thường xuyên (bao gồm học viên xóa mù chữ và phổ cập tiểu học, học viên chương trình GDTX cấp THCS, cấp THPT)

Đồng/học sinh/năm

4.500.000

 

4.500.000

 

6

Giáo dục nghề phổ thông (cho học sinh THCS và THPT)

Đồng/học sinh/năm

900.000

 

900.000

 

7

Chi giáo dục chung và mua sắm, sửa chữa lớn

 

5% chi sự nghiệp giáo dục từ mục 1 đến 6 nêu trên

II

Đào tạo, dạy nghề (**)

 

32.000 đồng/người dân trên 18 tuổi/năm (**)

27.000 đồng/người dân trên 18 tuổi/năm (**)

Định mức phân bổ ngân sách (chưa trừ nguồn thu học phí)

(*) Đối với các trường có tổng chi khác lớn (vượt quá 02 lần chi khác tối thiểu tính theo số học sinh), HĐND các quận, huyện, thị xã xem xét, quyết định cụ thể về dự toán chi của trường theo nhiệm vụ được giao nhưng không thấp hơn 02 lần chi khác tối thiểu tính theo số học sinh. Đối với học sinh tại các trường trên địa bàn các xã bãi giữa Sông Hồng, xã vùng dân tộc thiểu số và miền núi được tính tăng thêm 10% so với định mức phân bổ nêu trên.

(**) Chưa bao gồm kinh phí miễn giảm học phí đối với học viên học tập tại cơ sở giáo dục nghề nghiệp và đại học ngoài công lập theo Nghị định số 81/2021/NĐ-CP ngày 27/8/2021 của Chính phủ (kinh phí này sẽ được tính toán và bổ sung có mục tiêu cho các quận, huyện, thị xã).

3. Sự nghiệp y tế

TT

Nội dung

Định mức

Khu vực đô thị

Khu vực còn lại

-

Chi phòng bệnh, các hoạt động sự nghiệp y tế; phòng chống HIV/AIDS, vệ sinh an toàn thực phẩm.

8.000 đồng/người dân/năm

6.000 đồng/người dân/năm

4. Sự nghiệp văn hóa, thể thao

STT

Nội dung

Định mức

Khu vực đô thị

Khu vực còn lại

1

Hoạt động sự nghiệp văn hóa

21.000 đồng/người dân/năm

15.000 đồng/người dân/năm

2

Hoạt động sự nghiệp thể thao

13.000 đồng/người dân/năm

12.000 đồng/người dân/năm

Định mức phân bổ ngân sách chi hoạt động sự nghiệp văn hóa cấp huyện đã đảm bảo hoạt động bộ máy các đơn vị sự nghiệp; kinh phí cho công tác duy tu, duy trì các di tích theo quy định của Luật Di sản đối với các di tích theo phân cấp quản lý hiện hành và tăng cường kinh phí theo chỉ đạo của Thành phố về phát triển văn hóa-xã hội, nâng cao chất lượng nguồn nhân lực Thủ đô, xây dựng người Hà Nội thanh lịch, văn minh giai đoạn 2021 - 2025.

5. Sự nghiệp phát thanh, truyền hình

STT

Nội dung

Định mức

Khu vực đô thị

Khu vực còn lại

1

Hoạt động bộ máy của đài

2.000 đồng/người dân/năm

10.000 đồng/người dân/năm

2

Hoạt động sự nghiệp phát thanh

6. Sự nghiệp đảm bảo xã hội

STT

Nội dung

Định mức

Khu vực đô thị

Khu vực còn lại

1

Chi đảm bảo xã hội cho các đối tượng xã hội

Tính theo thực tế đối tượng và chế độ chi

2

Hoạt động bộ máy các đơn vị sự nghiệp

14.000 đồng/người dân/năm

10.000 đồng/người dân/năm

3

Các hoạt động xã hội

 

STT

Nội dung

Định mức

Khu vực đô thị

Khu vực còn lại

1

Chi đảm bảo xã hội cho các đối tượng xã hội

Tính theo thực tế đối tượng và chế độ chi

2

Hoạt động bộ máy các đơn vị sự nghiệp

14.000 đồng/người dân/năm

10.000 đồng/người dân/năm

4

Công tác bảo vệ và chăm sóc trẻ em

Trong đó:

a. Kinh phí chi đảm bảo xã hội bao gồm kinh phí thực hiện chính sách đối với các đối tượng xã hội (chi trợ cấp hàng tháng cho các đối tượng bảo trợ xã hội sông tại cộng đồng, chế độ bảo hiểm, chế độ mai táng phí cho các đối tượng,...2) và các hoạt động đảm bảo xã hội khác theo quy định.

b. Định mức phân bổ kinh phí chi các hoạt động xã hội bao gồm kinh phí chi các hoạt động công tác xã hội, phòng chống tệ nạn xã hội; tổ chức hội nghị, chi khánh tiết; các ngày lễ, tết truyền thống; thăm hỏi, động viên các đối tượng chính sách xã hội; chế độ thăm viếng nghĩa trang, mộ liệt sỹ và các nhiệm vụ chi hoạt động xã hội khác theo quy định; thực hiện công tác bảo vệ và chăm sóc trẻ em.

7. Chi quốc phòng

Định mức phân bổ ngân sách cho các quận, huyện, thị xã có số dân từ 200.000 người trở lên:

Tại khu vực đô thị 46.000 đồng/người/năm.

Tại khu vực còn lại 34.000 đồng/người/năm.

Đối với những quận, huyện, thị xã có số dân từ 150.000 đến dưới 200.000 người, định mức phân bổ ngân sách được tính theo hệ số 1,2; nhưng tối đa không vượt quá định mức phân bổ của quận, huyện có dân số 200.000 dân.

Đối với những quận, huyện, thị xã có số dân dưới 150.000 định mức phân bổ ngân sách được tính theo hệ số 1,5; nhưng tối đa không vượt quá định mức phân bổ của quận, huyện có dân số 150.000 dân.

Định mức đảm bảo nhiệm vụ chi thực hiện Luật dân quân tự vệ năm 2020, Nghị định số 72/2020/NĐ-CP ngày 30/06/2016 của Chính phủ; Nghị quyết số 61/2021/NQ-HĐND ngày 23/9/2021 của HĐND Thành phố và các nhiệm vụ khác theo phân cấp và tăng cường kinh phí theo Chương trình 09- CTr/TU của Thành ủy Hà Nội về “Tăng cường tiềm lực quốc phòng, an ninh, giữ vững ổn định an ninh chính trị, trật tự an toàn xã hội trên địa bàn thành phố giai đoạn 2021-2025”.

8. Chi an ninh

Định mức phân bổ ngân sách cho các quận, huyện, thị xã có số dân từ 200.000 người trở lên:

Tại khu vực đô thị 31.000 đồng/người/năm.

Tại khu vực còn lại 29.000 đồng/người/năm.

Đối với những quận, huyện, thị xã có số dân từ 150.000 đến dưới 200.000 người, định mức phân bổ ngân sách được tính theo hệ số 1,2. nhưng tối đa không vượt quá định mức phân bổ của quận, huyện có dân số 200.000 dân.

Đối với những quận, huyện, thị xã có số dân dưới 150.000 định mức phân bổ ngân sách được tính theo hệ số 1,5. nhưng tối đa không vượt quá định mức phân bổ của quận, huyện có dân số 150.000 dân.

Định mức đảm bảo nhiệm vụ chi theo Luật phòng cháy và chữa cháy và Luật sửa đổi, bổ sung một số điều Luật Phòng cháy và chữa cháy, Pháp lệnh Công an xã, Nghị định 73/2009/NĐ-CP ngày 07/9/2009 của Chính phủ quy định chi tiết thi hành một số điều của Pháp lệnh Công an xã; Nghị định số 136/2020/NĐ-CP ngày 24/11/2020 của Chính phủ; Thông tư số 150/2020/TT- BCA ngày 31/12/2020 của Bộ Công an; Nghị quyết của HĐND Thành phố về kinh phí hỗ trợ đối với chức danh đội trưởng, đội phó dân phòng tại thôn tổ dân phố và các nhiệm vụ khác theo phân cấp và tăng cường kinh phí theo Chương trình 09-CTr/TU của Thành ủy Hà Nội về “Tăng cường tiềm lực quốc phòng, an ninh, giữ vững ổn định an ninh chính trị, trật tự an toàn xã hội trên địa bàn thành phố giai đoạn 2021-2025”.

9. Chi sự nghiệp kinh tế

Định mức phân bổ ngân sách cho các quận, huyện, thị xã như sau:

Tại khu vực đô thị 140.000 đồng/người/năm.

Tại khu vực còn lại 220.000 đồng/người/năm.

Định mức đã bao gồm kinh phí hoạt động bộ máy các đơn vị sự nghiệp, kinh phí thực hiện các nhiệm vụ kinh tế theo Quyết định số 14/2021/QĐ-UBND ngày 06/9/2021 về phân cấp quản lý nhà nước một số lĩnh vực hạ tầng, kinh tế - xã hội trên địa bàn thành phố Hà Nội và Nghị quyết 10/2018/NQ-HĐND ngày 05/12/2018 một số chính sách khuyến khích phát triển sản xuất, phát triển hợp tác, liên kết trong sản xuất và tiêu thụ sản phẩm nông nghiệp; xây dựng hạ tầng nông thôn thành phố Hà Nội.

10. Chi sự nghiệp môi trường

a. Nhiệm vụ thu gom, vận chuyển rác thải:

Được xác định trên cơ sở khối lượng nhiệm vụ được giao quản lý, duy trì, đơn giá do UBND Thành phố ban hành và kết quả đấu thầu lĩnh vực vệ sinh môi trường được cấp có thẩm quyền phê duyệt.

Định mức phân bổ nêu trên không bao gồm kinh phí quản lý, vận hành và duy trì các khu tập kết rác thải sinh hoạt do các huyện, thị xã quản lý theo phân cấp (nếu có). Căn cứ quy mô, công suất thực tế và thời gian hoạt động của khu tập kết rác thải sinh hoạt, định mức kinh tế kỹ thuật, đơn giá chuyên ngành, ngân sách Thành phố bổ sung có mục tiêu cho các huyện, thị xã để thực hiện.

b. Sự nghiệp môi trường khác:

Định mức phân bổ là 0,5% tổng chi thường xuyên của 9 lĩnh vực (từ mục 1 đến mục 9 nêu trên) để thực hiện các nhiệm vụ chi đã được quy định tại Khoản 2 Điều 168 Luật Bảo vệ môi trường năm 2020.

Kinh phí sự nghiệp môi trường khác còn dư sau khi đã đáp ứng đủ các nhiệm vụ chi theo quy định của Luật Bảo vệ môi trường, được sử dụng để chi cho các hoạt động thu gom, vận chuyển rác thải sinh hoạt.

11. Chi thường xuyên khác của ngân sách

Bố trí bằng 1,5% tổng chi thường xuyên của 9 lĩnh vực (từ mục 1 đến mục 9 nêu trên) của ngân sách quận, huyện, thị xã.

12. Đối với người dân sinh sống tại các xã thuộc bãi giữa Sông Hồng, xã vùng dân tộc thiểu số, miền núi được tính tăng thêm 20% so với các định mức phân bổ theo dân số nêu trên.

13. Các đơn vị sự nghiệp công thực hiện cơ chế tự chủ theo quy định của Nghị định số 60/2021/NĐ-CP ngày 15/8/2021 của Chính phủ. Đối với các đơn vị do ngân sách nhà nước đảm bảo toàn bộ chi thường xuyên được áp dụng định mức phân bổ chi khác là 60.000.000 đồng.

14. Định mức nêu trên được tính toán đảm bảo kinh phí hoạt động bộ máy và thực hiện toàn bộ các nhiệm vụ theo quy định đã ban hành đến hết năm 2021 và còn hiệu lực. Các định mức theo dân số và tỷ lệ được tính toán để tạo nguồn cho các quận, huyện, thị xã. Dự toán cụ thể hàng năm của các lĩnh vực, các đơn vị dự toán do UBND các quận, huyện, thị xã quản lý được xây dựng, báo cáo HĐND cùng cấp quyết định trên cơ sở nhiệm vụ thực tế và chế độ chính sách hiện hành.

15. Các năm tiếp theo trong thời kỳ ổn định (từ năm 2023) các định mức nêu trên được xem xét, điều chỉnh hàng năm do UBND Thành phố trình HĐND Thành phố quyết định theo khả năng cân đối ngân sách.

IV. Định mức chi thường xuyên ngân sách xã, thị trấn:

1. Định mức khoán chi thường xuyên ngân sách xã, thị trấn (theo cán bộ, công chức để thực hiện hoạt động của bộ máy)

Cán bộ, công chức xã, thị trấn là 55.000.000/biên chế/năm.

Người hoạt động không chuyên trách là 22.000.000/người/năm.

Nội dung chi hoạt động thường xuyên trong định mức, gồm: Dịch vụ công cộng (điện, nước, vệ sinh, thuê mướn lao động, tạp vụ...); Vật tư văn phòng (văn phòng phẩm, mua sắm dụng cụ, công cụ văn phòng, văn phòng phẩm khác); Thông tin, tuyên truyền, liên lạc (điện thoại, cước bưu chính, internet, sách, báo, tạp chí, tủ sách pháp luật); Hội nghị, tiếp khách; Công tác phí trong nước; Sửa chữa, duy tu bảo dưỡng tài sản phục vụ chuyên môn; Chỉnh lý tài liệu lưu trữ; Mua sắm trang thiết bị văn phòng phục vụ hoạt động thường xuyên cho các chức danh, phòng làm việc của chức danh cán bộ, công chức theo định mức quy định tại Quyết định 50/2017/QĐ-TTg ngày 31/12/2017 của Thủ tướng Chính phủ; Chi nhiệm vụ chuyên môn: Hàng hóa, vật tư, trang thiết bị kỹ thuật chuyên dụng; In ấn phô tô tài liệu, hồ sơ; Sách tài liệu chế độ dùng chuyên môn; xây dựng, áp dụng, duy trì và cải tiến hệ thống quản lý chất lượng; bồi dưỡng đối với cán bộ công chức, viên chức làm công tác tiếp công dân, xử lý đơn thư khiếu nại tố cáo; bồi dưỡng, cấp trang phục đối với trưởng bộ phận, công chức, lao động hợp đồng làm việc tại bộ phận tiếp nhận hồ sơ và trả kết quả giải quyết thủ tục hành chính; Xây dựng đề án, chương trình và các khoản chi hành chính khác phục vụ hoạt động thường xuyên của bộ máy chính quyền xã, thị trấn.

2. Định mức chi thường xuyên khác ngân sách xã, thị trấn (theo dân số để thực hiện các nhiệm vụ của xã, thị trấn)

2.1. Định mức chi thường xuyên khác ngân sách xã, thị trấn phân thành 07 bậc cụ thể như sau:

(1) Từ 5.000 người dân trở xuống: định mức 260.000 đồng/người dân.

(2) Từ người dân thứ 5.001 đến 10.000: định mức 210.000 đồng/người dân.

(3) Từ người dân thứ 10.001 đến 15.000: định mức 170.000 đồng/người dân.

(4) Từ người dân thứ 15.001 đến 20.000: định mức 100.000 đồng/người dân.

(5) Từ người dân thứ 20.001 đến 25.000: định mức 90.000 đồng/người dân.

(6) Từ người dân thứ 25.001 đến 30.000: định mức 70.000 đồng/người dân.

(7) Từ người dân thứ 30.001 trở lên: định mức 50.000 đồng/dân.

Trường hợp định mức chi thường xuyên khác của các xã, thị trấn tính theo nguyên tắc nêu trên thấp hơn 1.300 triệu đồng thì được đảm bảo mức ngân sách tối thiểu là 1.300 triệu đồng/xã, thị trấn.

2.2. Đối với các xã thuộc bãi giữa Sông Hồng, xã vùng dân tộc thiểu số, miền núi được tính tăng thêm 20% so với định mức phân bổ nêu trên.

2.3. Định mức chi thường xuyên khác ngân sách xã, thị trấn đảm bảo kinh phí chi các nội dung sau: Hỗ trợ các Hội đặc thù theo quy định của UBND Thành phố; hoạt động Ban thanh tra nhân dân, giám sát cộng đồng; chi công tác dân quân, tự vệ và bảo đảm trật tự an toàn xã hội trên địa bàn xã, phường, thị trấn (theo phân cấp của thành phố); kinh phí thực hiện các nhiệm vụ về an ninh, quốc phòng3; hỗ trợ hoạt động thôn, tổ dân phố về xây dựng khu dân cư, tuyên truyền phổ biến giáo dục pháp luật, công tác hòa giải ở cơ sở; chi thực hiện các nghiệp vụ của Đảng ủy xã, thị trấn; tổ chức trao tặng huy hiệu Đảng; kinh phí phục vụ hoạt động của HĐND xã, thị trấn; kinh phí khoán chi hoạt động của Ủy ban Mặt trận Tổ quốc, các đoàn thể chính trị - xã hội tại xã, thị trấn; hỗ trợ hoạt động Tổ dân vận xã, thị trấn; hỗ trợ trung tâm học tập cộng đồng; hoạt động Ban chỉ đạo xây dựng nông thôn mới của xã; kinh phí đặt báo cho cơ sở thôn; kinh phí trang bị phương tiện bảo vệ dân phố; kinh phí chi hỗ trợ cho hoạt động tìm kiếm cứu nạn, khắc phục hậu quả thiên tai, phòng cháy chữa cháy và chi các hoạt động sự nghiệp khác theo phân cấp nhiệm vụ chi của xã, thị trấn.

2.4. Định mức chi thường xuyên khác ngân sách xã, thị trấn không bao gồm quỹ tiền lương, phụ cấp, trợ cấp và các khoản đóng góp đối với cán bộ, công chức, người hoạt động không chuyên trách ở xã, thị trấn, thôn, tổ dân phố; trợ cấp cán bộ xã già yếu nghỉ việc; chi thù lao Chủ tịch Hội đặc thù ở xã, thị trấn.

2.5. Định mức theo dân số và tỷ lệ được tính toán để tạo nguồn cho các xã, thị trấn. Dự toán cụ thể hàng năm UBND các xã, thị trấn được xây dựng, báo cáo HĐND cùng cấp quyết định trên cơ sở nhiệm vụ thực tế và chế độ chính sách hiện hành.

3. Kinh phí trợ cấp cán bộ xã già yếu nghỉ việc, chi thù lao Chủ tịch Hội đặc thù được tính vào cân đối ngân sách theo chế độ và số lượng thực tế.

4. Các năm tiếp theo trong thời kỳ ổn định (từ năm 2023), các định mức nêu trên được xem xét, điều chỉnh hàng năm do UBND Thành phố trình HĐND Thành phố quyết định theo khả năng cân đối ngân sách các cấp./.

 

 

[1] Tiền sử dụng đất quận Hoàng Mai theo cơ chế tại Quyết định số 1867/QĐ-UBND ngày 04/5/2012 của UBND Thành phố; tiền sử dụng đất quận Long Biên theo cơ chế tại văn bản số 160/HĐND-KTNS ngày 28/4/2016 của Thường trực HĐND Thành phố và văn bản số 9954/UBND-KH&ĐT ngày 27/12/2013 của UBND Thành phố; Tiền đấu giá quyền sử dụng đất tại khu đô thị mới Cầu Giấy theo cơ chế tại Quyết định số 2875/QĐ-UBND ngày 13/7/2007, số 4350/QĐ-UBND ngày 24/8/2009 của UBND Thành phố và Nghị quyết số 18/NQ-HĐND ngày 25/10/2019 của HĐND Thành phố.

[2] Ngân sách cấp Thành phố cấp lại một phần tiền thuê đất nộp một lần cho các quận, huyện, thị xã theo thực tế số phát sinh, khả năng cân đối của ngân sách Thành phố và tối đa bằng tỷ lệ phân chia tiền sử dụng đất giữa ngân sách Thành phố và ngân sách cấp huyện (đối với các quận, tối đa 35%; 05 huyện Đông Anh, Gia Lâm, Thanh Trì, Hoài Đức và Đan Phượng, tối đa 80%; các huyện, thị xã còn lại, tối đa 70%) để các quận, huyện, thị xã thực hiện nhiệm vụ chi đầu tư phát triển; hình thức NS Thành phố cấp về ngân sách quận, huyện, thị xã..

[3] Bao gồm các khoản thu trong trường hợp có quy định về tiền chậm nộp, cụ thể: Tiền chậm nộp lệ phí môn bài; Tiền chậm nộp thuế sử dụng đất nông nghiệp; Tiền chậm nộp thuế sử dụng đất phi nông nghiệp; Tiền chậm nộp khoản thu tiền sử dụng đất; Tiền chậm nộp khoản thu tiền cho thuê đất, mặt nước (không kể tiền thuê đất, thuê mặt nước từ hoạt động thăm dò, khai thác dầu, khí); Tiền chậm nộp khoản thu tiền cho thuê và bán nhà ở thuộc sở hữu nhà nước; Tiền chậm nộp lệ phí trước bạ; Tiền chậm nộp thu từ bán tài sản thuộc sở hữu nhà nước; Tiền chậm nộp đối với phí bảo vệ môi trường (đối với nước thải, đối với khí thải, đối với khai thác khoáng sản); Tiền chậm nộp phí, lệ phí do các cơ quan đơn vị thuộc địa phương tổ chức thu (không kể Lệ phí môn bài, Lệ phí trước bạ, Phí bảo vệ môi trường); Tiền chậm nộp các khoản thu từ xử phạt vi phạm hành chính, phạt, tịch thu khác của ngân sách địa phương theo quy định của pháp luật (phần thuộc ngân sách nhà nước theo quy định); Tiền chậm nộp khoản thu từ tài sản được xác lập quyền sở hữu NN do các cơ quan, tổ chức, đơn vị thuộc địa phương xử lý; Tiền chậm nộp khoản thu từ quỹ đất công ích và thu hoa lợi công sản khác; Tiền chậm nộp khoản thu tiền bảo vệ, phát triển đất trồng lúa; Tiền chậm nộp các khoản thu khác ngân sách địa phương.

[4] Các khoản chậm nộp các loại thuế:

- Thuế giá trị gia tăng bao gồm cả thuế giá trị gia tăng của các nhà thầu phụ phát sinh từ các hoạt động dịch vụ phục vụ hoạt động thăm dò và khai thác dầu, khí (trừ thuế giá trị gia tăng thu từ hàng hóa nhập khẩu, thuế giá trị gia tăng thu từ hoạt động thăm dò, khai thác dầu, khí);

- Thuế thu nhập doanh nghiệp (không kể thuế thu nhập doanh nghiệp của từ hoạt động xổ số kiến thiết, từ hoạt động thăm dò khai thác dầu khí);

- Thuế thu nhập cá nhân;

- Thuế tiêu thụ đặc biệt (không kể thuế tiêu thụ đặc biệt hàng nhập khẩu, thuế tiêu thụ đặc biệt từ hoạt động xổ số kiến thiết);

- Thuế bảo vệ môi trường (không kể Thuế bảo vệ môi trường thu từ hàng hóa nhập khẩu);

[5] Quy định tại Khoản c, mục 1, Điều 38 Luật Ngân sách năm 2015.

[6] Bao gồm các khoản thu trong trường hợp có quy định về tiền chậm nộp, cụ thể: Tiền chậm nộp lệ phí môn bài; Tiền chậm nộp thuế sử dụng đất nông nghiệp; Tiền chậm nộp thuế sử dụng đất phi nông nghiệp; Tiền chậm nộp khoản thu tiền sử dụng đất; Tiền chậm nộp khoản thu tiền cho thuê đất, mặt nước (không kể tiền thuê đất, thuê mặt nước từ hoạt động thăm dò, khai thác dầu, khí); Tiền chậm nộp khoản thu tiền cho thuê và bán nhà ở thuộc sở hữu nhà nước; Tiền chậm nộp lệ phí trước bạ; Tiền chậm nộp thu từ bán tài sản thuộc sở hữu nhà nước; Tiền chậm nộp đối với phí bảo vệ môi trường (đối với nước thải, đối với khí thải, đối với khai thác khoáng sản); Tiền chậm nộp phí, lệ phí do các cơ quan đơn vị thuộc địa phương tổ chức thu (không kể Lệ phí môn bài, Lệ phí trước bạ, Phí bảo vệ môi trường); Tiền chậm nộp các khoản thu từ xử phạt vi phạm hành chính, phạt, tịch thu khác của ngân sách địa phương theo quy định của pháp luật (phần thuộc ngân sách nhà nước theo quy định); Tiền chậm nộp khoản thu từ tài sản được xác lập quyền sở hữu NN do các cơ quan, tổ chức, đơn vị thuộc địa phương xử lý; Tiền chậm nộp khoản thu từ quỹ đất công ích và thu hoa lợi công sản khác; Tiền chậm nộp khoản thu tiền bảo vệ, phát triển đất trồng lúa; Tiền chậm nộp các khoản thu khác ngân sách địa phương.

[7] Các khoản chậm nộp các loại thuế:

- Thuế giá trị gia tăng bao gồm cả thuế giá trị gia tăng của các nhà thầu phụ phát sinh từ các hoạt động dịch vụ phục vụ hoạt động thăm dò và khai thác dầu, khí (trừ thuế giá trị gia tăng thu từ hàng hóa nhập khẩu, thuế giá trị gia tăng thu từ hoạt động thăm dò, khai thác dầu, khí) thu từ doanh nghiệp ngoài quốc doanh; từ Doanh nghiệp nhà nước, doanh nghiệp có vốn đầu tư nước ngoài trên địa bàn huyện Đông Anh, Gia Lâm, Thanh Trì, Hoài Đức, Đan Phượng;

- Thuế thu nhập doanh nghiệp (không kể thuế thu nhập doanh nghiệp của từ hoạt động xổ số kiến thiết, từ hoạt động thăm dò khai thác dầu khí) thu từ doanh nghiệp ngoài quốc doanh; từ Doanh nghiệp nhà nước, doanh nghiệp có vốn đầu tư nước ngoài trên địa bàn huyện Đông Anh, Gia Lâm, Thanh Trì, Hoài Đức, Đan Phượng;

- Thuế tiêu thụ đặc biệt (không kể thuế tiêu thụ đặc biệt hàng nhập khẩu, thuế tiêu thụ đặc biệt từ hoạt động xổ số kiến thiết) thu từ khu vực kinh tế ngoài quốc doanh; từ Doanh nghiệp nhà nước, doanh nghiệp có vốn đầu tư nước ngoài trên địa bàn huyện Đông Anh, Gia Lâm, Thanh Trì, Hoài Đức, Đan Phượng;

- Thuế thu nhập cá nhân;

- Thuế bảo vệ môi trường (không kể thuế bảo vệ môi trường thu từ hàng hóa nhập khẩu) phát sinh trên địa bàn huyện Đông Anh, Gia Lâm, Thanh Trì, Hoài Đức, Đan Phượng;

[8] Quy định tại Khoản c, mục 1, Điều 38 Luật Ngân Sách năm 2015.

[9] Trình tự, thủ tục triển khai thực hiện theo quy định tại Nghị quyết số 115/2020/QH14 ngày 19/6/2020 của Quốc hội về thí điểm một số cơ chế, chính sách tài chính - ngân sách đặc thù đối với thành phố Hà Nội và các quy định hiện hành

[10] Bao gồm các khoản thu trong trường hợp có quy định về tiền chậm nộp, cụ thể: Tiền chậm nộp lệ phí môn bài; Tiền chậm nộp thuế sử dụng đất nông nghiệp; Tiền chậm nộp thuế sử dụng đất phi nông nghiệp; Tiền chậm nộp khoản thu tiền sử dụng đất; Tiền chậm nộp khoản thu tiền cho thuê đất, mặt nước (không kể tiền thuê đất, thuê mặt nước từ hoạt động thăm dò, khai thác dầu, khí); Tiền chậm nộp khoản thu tiền cho thuê và bán nhà ở thuộc sở hữu nhà nước; Tiền chậm nộp lệ phí trước bạ; Tiền chậm nộp thu từ bán tài sản thuộc sở hữu nhà nước; Tiền chậm nộp đối với phí bảo vệ môi trường (đối với nước thải, đối với khí thải, đối với khai thác khoáng sản); Tiền chậm nộp phí, lệ phí do các cơ quan đơn vị thuộc địa phương tổ chức thu (không kể Lệ phí môn bài, Lệ phí trước bạ, Phí bảo vệ môi trường); Tiền chậm nộp các khoản thu từ xử phạt vi phạm hành chính, phạt, tịch thu khác của ngân sách địa phương theo quy định của pháp luật (phần thuộc ngân sách nhà nước theo quy định); Tiền chậm nộp khoản thu từ tài sản được xác lập quyền sở hữu NN do các cơ quan, tổ chức, đơn vị thuộc địa phương xử lý; Tiền chậm nộp khoản thu từ quỹ đất công ích và thu hoa lợi công sản khác; Tiền chậm nộp khoản thu tiền bảo vệ, phát triển đất trồng lúa; Tiền chậm nộp các khoản thu khác ngân sách địa phương.

1 Hỗ trợ các Hội đặc thù theo quy định của UBND Thành phố; hoạt động Ban thanh tra nhân dân, giám sát cộng đồng; hỗ trợ hoạt động thôn, tổ dân phố về xây dựng khu dân cư, tuyên truyền phổ biến giáo dục pháp luật, công tác hòa giải ở cơ sở; chi thực hiện các nghiệp vụ của Đảng ủy phường; tổ chức trao tặng huy hiệu Đảng; kinh phí khoán chi hoạt động của Ủy ban Mặt trận Tổ quốc, các đoàn thể chính trị - xã hội tại phường; hỗ trợ hoạt động Tổ dân vận phường;... và chi các khoản khác.

2 Áp dụng cho các đối tượng theo quy định tại Quyết định số 290/2005/QĐ-TTg ngày 08/11/2005 của Thủ tướng Chính phủ về chế độ, chính sách đối với một số đối tượng trực tiếp tham gia kháng chiến chống Mỹ cứu nước nhưng chưa được hưởng chính sách của Đảng và Nhà nước; các cựu chiến binh theo quy định tại Nghị định 150/2006/NĐ-CP ngày 12/12/2006 của Chính phủ; các đối tượng theo quy định tại Quyết định số 62/2011/QĐ-TTg ngày 09/11/2011 của Thủ tướng Chính phủ về chế độ, chính sách đối với đối tượng tham gia chiến tranh bảo vệ tổ quốc, làm nhiệm vụ quốc tế ở Căm-pu-chi-a, giúp bạn Lào sau ngày 30/4/1975 đã phục viên, xuất ngũ, thôi việc; dân công hỏa tuyến theo quy định tại Quyết định số 49/2015/QĐ-TTg ngày 14/10/2015 của Thủ tướng Chính phủ; Thanh niên xung phong theo Quyết định số 29/2016/QĐ-TTg ngày 05/7/2016 của Thủ tướng Chính phủ; các đối tượng bảo trợ xã hội theo quy định tại Nghị định số 20/2021/NĐ-CP ngày 15/03/2021 của Chính phủ và Nghị quyết số 09/2021/NQ-HĐND ngày 23/9/2021 của HĐND Thành phố; tiền điện hộ nghèo, hộ chính sách theo Quyết định số 28/2014/QĐ-TTg ngày 07/4/2014 của Thủ tướng Chính phủ; Chế độ quà ngày lễ, tết, quà người cao tuổi, BHXH tự nguyện, BHYT cho người từ 80 tuổi trở lên đang hưởng trợ cấp tuất hàng tháng, BHYT học sinh; miễn giảm học phí học sinh dân lập, hỗ trợ chi phí học tập theo Nghị định số 81/2021/NĐ-CP ngày 27/8/2021 của Chính phủ; kinh phí thực hiện các chính sách phát triển giáo dục mầm non theo Nghị định số 105/2020/NĐ-CP ngày 08/9/2020 của Chính phủ; trợ cấp đối với người có thành tích theo Quyết định 24/2016/QĐ-TTg ngày 14/6/2016 của Thủ tướng Chính phủ và các chính sách đảm bảo xã hội khác đã ban hành đến hết năm 2021 và còn hiệu lực.

3 Luật dân quân tự vệ, Luật phòng cháy và chữa cháy và Luật sửa đổi, bổ sung một số điều Luật Phòng cháy và chữa cháy, Nghị định số 72/2020/NĐ-CP ngày 30/06/2016 của Chính phủ; Nghị định 73/2009/NĐ-CP ngày 07/9/2009 của Chính phủ quy định chi tiết thi hành một số điều của Pháp lệnh Công an xã theo phân cấp; Nghị định số 136/2020/NĐ-CP ngày 24/11/2020 quy định một số điều và biện pháp thi hành; Thông tư số 150/2020/TT-BCA ngày 31/12/2020 của Bộ Công an, các Nghị quyết của HĐND Thành phố về chế độ, chính sách cho lực lượng dân quân tự vệ, dân phòng...

Bạn chưa Đăng nhập thành viên.

Đây là tiện ích dành cho tài khoản thành viên. Vui lòng Đăng nhập để xem chi tiết. Nếu chưa có tài khoản, vui lòng Đăng ký tại đây!

Nghị quyết 11/2021/NQ-HĐND của Hội đồng nhân dân Thành phố Hà Nội về phân cấp nguồn thu, nhiệm vụ chi giữa các cấp ngân sách, định mức phân bổ ngân sách của Thành phố Hà Nội

Bạn chưa Đăng nhập thành viên.

Đây là tiện ích dành cho tài khoản thành viên. Vui lòng Đăng nhập để xem chi tiết. Nếu chưa có tài khoản, vui lòng Đăng ký tại đây!

* Lưu ý: Để đọc được văn bản tải trên Luatvietnam.vn, bạn cần cài phần mềm đọc file DOC, DOCX và phần mềm đọc file PDF.
Từ khóa liên quan: Quyết định 566/QĐ-UBND

Văn bản liên quan Nghị quyết 11/2021/NQ-HĐND

văn bản cùng lĩnh vực

image

Quyết định 14/2026/QĐ-UBND của Ủy ban nhân dân tỉnh Thanh Hóa quy định thời hạn gửi báo cáo quyết toán theo niên độ của chủ đầu tư, sở, ban thuộc Ủy ban nhân dân cấp tỉnh đối với vốn đầu tư công thuộc ngân sách của Ủy ban nhân dân cấp tỉnh quản lý; trình tự, thời hạn lập, gửi, xét duyệt quyết toán theo niên độ vốn đầu tư công thuộc ngân sách của Ủy ban nhân dân cấp xã quản lý trên địa bàn tỉnh Thanh Hóa

image

Quyết định 853/QĐ-UBND của Ủy ban nhân dân Thành phố Hà Nội bãi bỏ Quyết định 49/2008/QĐ-UBND ngày 25/11/2008 của Ủy ban nhân dân Thành phố Hà Nội ban hành quy định về việc sắp xếp lại, xử lý nhà, đất thuộc sở hữu Nhà nước do các cơ quan hành chính, đơn vị sự nghiệp và công ty Nhà nước đang sử dụng, thuộc Thành phố quản lý trên địa bàn Thành phố Hà Nội và Quyết định 14/2020/QĐ-UBND ngày 29/6/2020 của Ủy ban nhân dân Thành phố Hà Nội quy định về tài sản có giá trị lớn sử dụng vào mục đích kinh doanh, cho thuê tại các đơn vị sự nghiệp công lập thuộc phạm vi quản lý của Thành phố Hà Nội

văn bản mới nhất

CHÍNH SÁCH BẢO VỆ DỮ LIỆU CÁ NHÂN
Yêu cầu hỗ trợYêu cầu hỗ trợ
Chú thích màu chỉ dẫn
Chú thích màu chỉ dẫn:
Các nội dung của VB này được VB khác thay đổi, hướng dẫn sẽ được làm nổi bật bằng các màu sắc:
Sửa đổi, bổ sung, đính chính
Thay thế
Hướng dẫn
Bãi bỏ
Bãi bỏ cụm từ
Bình luận
Click vào nội dung được bôi màu để xem chi tiết.
×