- Tổng quan
- Nội dung
- Tiêu chuẩn liên quan
- Lược đồ
- Tải về
Tiêu chuẩn TCVN 14245:2024 Gỗ sấy - Xác định độ ẩm bằng ẩm kế điện dung
| Số hiệu: | TCVN 14245:2024 | Loại văn bản: | Tiêu chuẩn Việt Nam |
| Cơ quan ban hành: | Bộ Khoa học và Công nghệ | Lĩnh vực: | Nông nghiệp-Lâm nghiệp |
| Trích yếu: | Gỗ sấy - Xác định độ ẩm bằng ẩm kế điện dung | ||
|
Ngày ban hành:
Ngày ban hành là ngày, tháng, năm văn bản được thông qua hoặc ký ban hành.
|
31/12/2024 |
Hiệu lực:
|
Đã biết
|
| Người ký: | Đang cập nhật |
Tình trạng hiệu lực:
Cho biết trạng thái hiệu lực của văn bản đang tra cứu: Chưa áp dụng, Còn hiệu lực, Hết hiệu lực, Hết hiệu lực 1 phần; Đã sửa đổi, Đính chính hay Không còn phù hợp,...
|
Đã biết
|
TÓM TẮT TIÊU CHUẨN VIỆT NAM TCVN 14245:2024
TCVN 14245:2024: Quy định phương pháp xác định độ ẩm gỗ sấy bằng ẩm kế điện dung
Tiêu chuẩn quốc gia TCVN 14245:2024 về "Gỗ sấy - Xác định độ ẩm bằng ẩm kế điện dung" được ban hành ngày 30/11/2024, có hiệu lực thi hành từ ngày 01/01/2025. Tiêu chuẩn này được xây dựng dựa trên cơ sở tham khảo AS/NZS 1080.1:2012 và do Viện Khoa học Lâm nghiệp Việt Nam biên soạn.
TCVN 14245:2024 quy định phương pháp xác định độ ẩm gỗ sấy không phá hủy mẫu bằng ẩm kế điện dung cầm tay và ẩm kế điện dung nối dây. Phương pháp này có độ chính xác từ 0% đến 30%, với yêu cầu hiệu chuẩn thiết bị theo khối lượng riêng của gỗ để đảm bảo kết quả chính xác.
Trong phần giải thích thuật ngữ, "độ ẩm" được định nghĩa là tỷ lệ phần trăm khối lượng ẩm trong gỗ so với khối lượng gỗ khô kiệt. Đối với mẫu thử nghiệm, yêu cầu kích thước tối thiểu là 300 mm, nhằm đảm bảo độ chính xác trong việc đo lường độ ẩm. TCVN 13706:2023 được viện dẫn nhằm phân hạng theo mức chênh lệch độ ẩm để phục vụ cho việc áp dụng tiêu chuẩn này.
Có hai loại ẩm kế điện dung được đề cập: ẩm kế điện dung cầm tay thường sử dụng để xác định độ ẩm của nhiều tấm gỗ sấy cùng một lúc và ẩm kế điện dung nối dây chì phù hợp để đo độ ẩm theo chiều dọc, giúp kiểm soát chất lượng trong quá trình sản xuất. Cả hai phương pháp đều yêu cầu sự hiệu chỉnh theo khối lượng riêng và chiều dày của gỗ để đảm bảo độ chính xác cao.
Tiêu chuẩn cũng nêu rõ cách tiến hành hiệu chuẩn thiết bị bằng cách so sánh kết quả đo với phương pháp cân - sấy. Báo cáo thử nghiệm cần ghi nhận các thông tin như phương pháp thử, quy trình hiệu chuẩn và kết quả thử nghiệm, tạo điều kiện thuận lợi cho việc đánh giá và sử dụng kết quả chính xác.
Trong quá trình lấy mẫu, yêu cầu dung lượng mẫu được tính toán dựa trên sai số lớn nhất cho phép, thông qua công thức điều chỉnh cụ thể để đảm bảo độ chính xác cao. Việc tuân thủ các quy định về kích thước mẫu thử nghiệm và cách thức thực hiện phép đo là rất quan trọng nhằm đảm bảo ngữ cảnh áp dụng và chức năng của tiêu chuẩn.
TCVN 14245:2024 là một văn bản quan trọng hỗ trợ cho ngành công nghiệp chế biến gỗ, cung cấp các phương pháp đo lường chính xác, từ đó góp phần nâng cao chất lượng sản phẩm và quản lý tốt hơn trong sản xuất gỗ sấy. Các doanh nghiệp và cán bộ công chức trong ngành lâm nghiệp sẽ được hưởng lợi từ việc áp dụng tiêu chuẩn này trong công tác quản lý và kiểm soát chất lượng sản phẩm.
Tải tiêu chuẩn Việt Nam TCVN 14245:2024
TIÊU CHUẨN QUỐC GIA
TCVN 14245:2024
GỖ SẤY - XÁC ĐỊNH ĐỘ ẨM BẰNG ẨM KẾ ĐIỆN DUNG
Dried wood - Determination of moisture content by capacitance meter
Lời nói đầu
TCVN 14245: 2024 được xây dựng dựa trên cơ sở tham khảo AS/NZS 1080.1:2012 Timber - Methods of test - Method 1: Moisture content.
TCVN 14245: 2024 do Viện Khoa học Lâm nghiệp Việt Nam biên soạn, Bộ Nông nghiệp và Phát triển nông thôn đề nghị, Bộ Khoa học và Công nghệ thẩm định, công bố.
GỖ SẤY - XÁC ĐỊNH ĐỘ ẨM BẰNG ẨM KẾ ĐIỆN DUNG
Dried wood - Determination of moisture content by capacitance meter
1 Phạm vi áp dụng
Tiêu chuẩn này quy định phương pháp xác định độ ẩm gỗ sấy không phá hủy mẫu bằng ẩm kế điện dung cầm tay và ẩm kế điện dung nối dây.
2 Tài liệu viện dẫn
Các tài liệu viện dẫn sau rất cần thiết cho việc áp dụng tiêu chuẩn này. Đối với các tài liệu viện dẫn ghi năm công bố thì áp dụng phiên bản được nêu. Đối với các tài liệu viện dẫn không ghi năm công bố thì áp dụng phiên bản mới nhất, bao gồm cả các sửa đổi, bổ sung (nếu có).
TCVN 13706 : 2023, Gỗ sấy - Phân hạng theo mức chênh lệch độ ẩm.
3 Thuật ngữ và định nghĩa
Trong tiêu chuẩn này sử dụng các thuật ngữ và định nghĩa sau:
3.1
Độ ẩm (Moisture content/ MC)
Tỷ lệ phần trăm của khối lượng ẩm trong gỗ so với khối lượng gỗ khô kiệt.
3.2
Tấm gỗ mẫu (Test sample)
Mẫu ban đầu/mẫu thô
Một hoặc nhiều tấm gỗ được lấy ngẫu nhiên từ lô gỗ.
3.3
Phôi mẫu thử nghiệm (Test specimen)
Tấm gỗ có chiều dài ít nhất là 300 mm, được cắt từ tấm gỗ mẫu để chuyển tới phòng thí nghiệm.
CHÚ THÍCH: Tấm gỗ mẫu có thể được lấy nguyên vẹn hoặc được cắt ra để làm phôi mẫu thử nghiệm.
3.4
Mẫu thử nghiệm (Test piece)
Một phần gỗ được cắt từ tấm gỗ mẫu hoặc phôi mẫu thử nghiệm có kích thước theo yêu cầu của phép thử.
CHÚ THÍCH: Mẫu thử nghiệm có thể là phôi mẫu thử nghiệm hoặc tấm gỗ mẫu, tùy theo yêu cầu của phép thử nghiệm.
3.5
Ẩm kế điện dung (Capacitance moisture meter)
Thiết bị đo loại hằng số điện môi, dựa vào điện dung đo được khi thiết bị phát ra điện trường và đáp ứng bởi độ ẩm trong gỗ. Sau khi được hiệu chỉnh theo khối lượng riêng của gỗ, độ ẩm gỗ được đọc trực tiếp trên thiết bị.
4 Nguyên tắc
Đo độ ẩm của tấm gỗ sấy dựa trên mối quan hệ giữa độ ẩm, chiều dày và khối lượng riêng của gỗ với đặc tính điện môi (hằng số điện môi) bên trong tấm gỗ sấy được ẩm kế điện dung tạo ra và được chuyển thành giá trị độ ẩm để hiển thị trên thiết bị đo. Ẩm kế điện dung cầm tay (Hình A.1) thường hiển thị độ ẩm ở gần bề mặt đo của tấm gỗ. Ẩm kế điện dung nối dây (Hình A.3) đo được độ ẩm ở sâu bên trong tấm gỗ.
5 Thiết bị, dụng cụ
5.1 Khái quát
Các thiết bị ẩm kế điện dung, bao gồm ẩm kế điện dung cầm tay và ẩm kế điện dung nối dây (xem Phụ lục A), được sử dụng để đo nhanh và nhiều kết quả độ ẩm cùng lúc cho mục đích so sánh và lọc chọn sản phẩm gỗ. Phương pháp này có độ chính xác thấp hơn so với phương pháp cân - sấy. Khoảng đo độ ẩm hiệu quả là từ 0 % đến 30 %. Khi xác định độ ẩm cho những loại gỗ có khối lượng riêng khác nhau, ẩm kế điện dung cần được hiệu chỉnh.
CHÚ THÍCH: Các thiết bị ẩm kế điện dung được bán trên thị trường có nhiều loại khác nhau. Khi sử dụng các thiết bị ẩm kế không được quy định trong tiêu chuẩn này, người dùng nên tuân theo hướng dẫn của nhà sản xuất, tìm hiểu các tài liệu liên quan để biết được các hạn chế của thiết bị.
5.2 Ẩm kế điện dung cầm tay
Ẩm kế điện dung cầm tay thường được sử dụng để xác định độ ẩm của số lượng lớn tấm gỗ sấy ngay cả khi ở trong kiện gỗ hoặc khi sử dụng.
Sử dụng ẩm kế điện dung cầm tay khi đo gỗ sấy có độ ẩm trong khoảng từ 7 % đến 22 % đạt độ chính xác từ ± 3 % độ ẩm đến ± 6 % độ ẩm. Độ chính xác này phụ thuộc rất lớn vào khối lượng riêng và chiều dày tấm gỗ sấy. Để có độ chính xác cao hơn, việc hiệu chuẩn thiết bị bằng cách so sánh với phương pháp cân - sấy cần được thực hiện.
Trường hợp có sự khác biệt lớn về khối lượng riêng của các tẩm gỗ hoặc khó xác định khối lượng riêng, độ chính xác của phương pháp này bị giảm hoặc có biến động lớn. Trong các trường hợp này, ẩm kế điện dung không phù hợp, nên sử dụng ẩm kế điện trở hoặc sử dụng phương pháp cân - sấy để xác định độ ẩm.
5.3 Ẩm kế điện dung nối dây
Ẩm kế điện dung nối dây thường được sử dụng để đo độ ẩm dọc theo chiều dài tẩm gỗ sấy, phù hợp với gỗ cây lá kim hơn gỗ cây lá rộng, hiệu quả cho quét tự động độ ẩm tấm gỗ trong toàn bộ dây chuyền sản xuất sản phẩm (xem Hình A.3) và hiệu quả cho phân loại tấm gỗ theo độ ẩm sau khi sấy, trước khi gia công. Đây là một công cụ kiểm soát chất lượng quan trọng để điều khiển các thông số công nghệ sấy phù hợp.
Ẩm kế điện dung nối dây có thể đạt độ chính xác cao hơn ẩm kế điện dung cầm tay nếu có lắp đặt kết hợp với hệ thống xác định khối lượng riêng và lập trình để hiệu chỉnh độ ẩm đo được.
5.4 Hiệu chuẩn thiết bị bằng cách so sánh với phương pháp cân - sấy
Để đạt được độ chính xác cao hơn, tiến hành hiệu chuẩn ẩm kế điện dung thông qua việc so sánh kết quả đo trực tiếp trên thiết bị với phương pháp cân - sấy đối với mẫu thử nghiệm.
Mức độ biến động trong các kết quả đo độ ẩm cần được xác định. Ngoài ra, sự biến động về khối lượng riêng theo loại gỗ cũng được tính đến để chắc chắn rằng sai số vốn có trong phạm vi một loài hoặc xuất xứ của loài đó ở một thời gian cụ thể.
Việc hiệu chuẩn này nên được thực hiện cho mỗi loại gỗ hoặc cho mỗi xuất xứ của loại đó, trong giới hạn độ ẩm và nhiệt độ mà ẩm kế điện dung được khuyến cáo sử dụng.
CHÚ THÍCH: Một số loại gỗ có thể không tìm được độ chính xác khi hiệu chuẩn, ví dụ như gỗ Eucalyptus regnans, Eucalyptus obliqua và Eucalyptus delegatensis, có nguồn gốc từ bang Tasmania, Úc.
5.5 Hiệu chỉnh theo nhiệt độ, khối lượng riêng và chiều dày
Hiệu chỉnh ẩm kế điện dung theo nhiệt độ thường không được yêu cầu, tuy nhiên cần tuân thủ theo hướng dẫn của nhà sản xuất thiết bị.
Nếu ẩm kế điện dung có chức năng điều chỉnh theo khối lượng riêng của các loại gỗ riêng biệt thì cần thiết cài đặt thiết bị trước khi thực hiện phép đo. Nếu không, thiết bị này nên được sử dụng cho các loại gỗ có khối lượng riêng tương tự nhau sau khi đã được hiệu chuẩn phù hợp.
Ẩm kế điện dung có chức năng điều chỉnh theo chiều dày cũng cần được thiết lập phù hợp trước khi thực hiện phép đo. Nếu không, cần điều chỉnh thủ công kết quả đo theo hướng dẫn của nhà sản xuất.
6 Lấy mẫu và chuẩn bị mẫu
6.1 Dung lượng mẫu
Mẫu được sử dụng để xác định độ ẩm bằng ẩm kế điện dung có thể là tấm gỗ mẫu, phôi mẫu thử nghiệm hoặc mẫu thử nghiệm, tùy theo yêu cầu về địa điểm thực hiện.
Khi đã xác định được hoặc dự kiến một độ chính xác và khoảng tin cậy nhất định, dung lượng mẫu được tính toán bằng công thức:
|
| (1) |
Trong đó:
n là dung lượng mẫu yêu cầu;
1,8 là hằng số, tương ứng với xác suất (hay mức ý nghĩa a) là 0,1 để E được thỏa mãn (mm);
CHÚ THÍCH: Hằng số này phù hợp với dung lượng mẫu từ 10 đến 20. Nếu n > 20, hằng số 1,7 là phù hợp. Giá trị chính xác của hằng số này được xác định thông qua bảng tra phân phối student -t.
s0 là độ lệch chuẩn ước lượng của tổng thể;
E là sai số lớn nhất cho phép hay độ chụm khi ước lượng độ ẩm trung bình, tính bằng phần trăm (%).
Nếu thiếu dữ liệu, s0 có thể được tính bằng công thức:
|
| (2) |
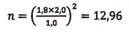
VÍ DỤ: Để ước lượng độ ẩm trung bình chính xác tới 1 % độ ẩm (độ chụm E là 1,0 %), một ẩm kế ban đầu đo 10 mẫu cho kết quả thấp nhất là 8 % và cao nhất là 14 %, tức khoảng biến thiên là 14 % - 8 % = 6 %. Độ lệch chuẩn ước lượng của tổng thể là So = 6/3,0 = 2,0. Dung lượng mẫu được tính theo Công thức 1 là:
![]()
Ví dụ này chỉ ra một dung lượng mẫu cần lấy tối thiểu là 13 mẫu để đưa ra một ước lượng của độ ẩm trung bình có độ chụm 1,0 % ở khoảng tin cậy 1 - α = 90 %, cần thực hiện nhiều hơn mức tối thiểu vài mẫu trong trường hợp độ lệch chuẩn ước lượng nhỏ hơn độ lệch chuẩn thực tế của các kết quả đo.
6.2 Kích thước mẫu
Kích thước mẫu được yêu cầu dưới đây chỉ áp dụng khi thực hiện hiệu chuẩn thiết bị ẩm kế điện dung theo loại gỗ và gỗ đã xử lý bảo quản ở Điều 8. Khi thực hiện phép đo độ ẩm, kích thước mẫu không cần quy định cụ thể.
Mẫu thử nghiệm được cắt theo toàn bộ kích thước mặt cắt ngang của tấm gỗ với chiều dọc thớ từ 15 mm tới 30 mm.
Mẫu thử nghiệm được cắt tránh các khuyết tật như mắt và túi nhựa theo các trường hợp sau:
- Nếu mẫu thử nghiệm được cắt trực tiếp từ tấm gỗ mẫu và cân ngay thì nên cắt từ vị trí cách 2 đầu tấm gỗ mẫu tối thiểu 400 mm.
- Nếu phôi mẫu thử nghiệm (dài tối thiểu 300 mm) được cắt từ tấm gỗ mẫu để tiếp tục cắt mẫu thử nghiệm thì phôi mẫu thử nghiệm được cắt từ vị trí cách 2 đầu tấm gỗ mẫu tối thiểu 400 mm. Phôi mẫu thử nghiệm nên được bọc kín bằng nilon và lưu kho lạnh để không thay đổi độ ẩm. Trong vòng 24 h, mẫu thử nghiệm như mô tả ở trên cần được cắt tại khoảng chính giữa theo chiều dài của phôi mẫu thử nghiệm.
- Nếu không thể tạo mẫu có chiều dài theo yêu cầu của 2 trường hợp trên, mẫu thử nghiệm nên được cắt ở khoảng chính giữa của phôi mẫu thử nghiệm hoặc tấm gỗ mẫu.
7 Cách tiến hành
7.1 Cách sử dụng ẩm kế điện dung cầm tay
a) Tuân thủ hướng dẫn của nhà sản xuất thiết bị. Thiết bị cần được hiệu chuẩn và hoạt động bình thường. Pin cần được sạc đủ điện.
b) Việc cài đặt thiết bị phù hợp với khối lượng riêng, chiều dày tấm gỗ sấy, trạng thái bề mặt gỗ, v.v... cho từng loại gỗ cần được thực hiện và thiết bị cần được hiệu chuẩn theo Điều 8.
c) Khi có thể, thực hiện phép đo ở vị trí cách 2 đầu mẫu gỗ tối thiểu 400 mm, tránh khuyết tật mắt gỗ và túi nhựa. Trường hợp chiều dài mẫu gỗ không đủ để vị trí đo cách 2 đầu khoảng cách tối thiểu trên, thực hiện phép đo ở vị trí chính giữa theo chiều dài mẫu gỗ.
d) Tấm điện cực của ẩm kế cần đặt tiếp xúc một cách chắc chắn vào bề mặt mẫu gỗ và đúng hướng theo hướng dẫn trước khi đọc kết quả (xem Hình A.1).
e) Kết quả đo được lấy khi giá trị hiển thị ổn định và được biểu thị chính xác tới 1 %.
7.2 Cách sử dụng ẩm kế điện dung nối dây
Việc tuân thủ hướng dẫn của nhà sản xuất, hiệu chỉnh, hiệu chuẩn, vị trí đo, biểu thị kết quả khi sử dụng ẩm kế điện dung nối dây tương tự như khi sử dụng ẩm kế điện dung cầm tay. Việc đặt các tấm điện cực được thực hiện theo hướng dẫn cụ thể của mỗi nhà sản xuất (xem Hình A.3).
8 Hiệu chuẩn thiết bị cho các loại gỗ và gỗ đã xử lý bảo quản
Khi công việc hiệu chuẩn thiết bị theo loài cây hay gỗ đã xử lý bảo quận được yêu cầu (xem 7.1 b), áp dụng các bước sau:
a) Mười tấm gỗ mẫu (chiều dài tối thiểu 300 mm) cho tổ hợp mỗi loài cây hoặc tổ hợp mỗi loại gỗ đã xử lý bảo quản được ổn định tới độ ẩm nằm trong dải độ ẩm mong muốn của sản phẩm.
b) Ngay sau khi ổn định, tấm điện cực của ẩm kế được đặt tiếp xúc chắc chắn tại vị trí giữa tấm gỗ mẫu (theo chiều dài) và đọc kết quả.
c) Một mẫu thử nghiệm được cắt tại đúng vị trí đó của tấm gỗ mẫu theo 6.2 và xác định độ ẩm bằng cân - sấy như quy định trong TCVN 13706 : 2023, 5.5 và 5.6.
d) Các kết quả từ việc xác định độ ẩm bằng cân - sấy và bằng ẩm kế điện dung được vẽ thành đồ thị phụ thuộc. Từ các điểm dữ liệu trên đồ thị, tiếp tục vẽ đường hồi quy.
e) Giá trị đúng (đã hiệu chuẩn) của thiết bị được xác định thông qua hàm số của đường hồi quy trên.
CHÚ THÍCH: Đường hồi quy không nhất thiết phải là đường thẳng (đường hồi quy tuyến tính - linear). Loại đường hồi quy được lựa chọn cần đại diện cho tất cả các điểm dữ liệu, tức là hệ số tương quan R2 gần 1 nhất.
9 Báo cáo thử nghiệm
Báo cáo kết quả thử nghiệm bao gồm những thông tin sau:
a) Viện dẫn tiêu chuẩn này;
b) Các chi tiết liên quan đến lấy mẫu, bao gồm cả loài cây và các đặc điểm nhận dạng có trên kiện gỗ hoặc mẫu thử;
c) Phương pháp thử đã sử dụng;
d) Tên thiết bị ẩm kế điện dung;
e) Quy trình hiệu chuẩn thiết bị;
f) Các kết quả thử hoặc các kết quả thử đã hiệu chỉnh (nếu có);
g) Bất kể ghi nhận nào bổ sung để giải thích sự chính xác của kết quả;
h) Ngày thử nghiệm;
i) Tên tổ chức tiến hành thử nghiệm, nơi tiến hành thử nghiệm.
Phụ lục A
(Tham khảo)
Giới thiệu về ẩm kế điện dung
A.1 Ẩm kế điện dung cầm tay
Ẩm kế điện dung cầm tay có nhiều loại, từ loại có ít tính năng đến loại có nhiều tính năng. Các tính năng bao gồm: cài đặt theo khối lượng riêng của gỗ và/hoặc chiều dày tấm gỗ; khả năng lưu giữ và thống kê kết quả. Nếu áp dụng cho trường hợp gỗ có khối lượng riêng khác nhau, cần điều chỉnh trên ẩm kế. Hình A.1 mô tả những tính năng chính của một loại ẩm kế điện dung cầm tay.
|
a) Các tính năng điều khiển trên bề mặt |
b) Tấm điện cực nhìn từ cạnh bên |
CHÚ DẪN:
| (1) Chức năng (2) Khối lượng riêng của gỗ (3) Chiều dày của gỗ ở vị trí đo (4) Tăng | (5) Giảm (6) Bật/tắt nguồn (7) Tấm điện cực |
CHÚ THÍCH: Tấm điện cực cần được tiếp xúc hoàn toàn với bề mặt gỗ khi đo
Hình A.1 - Một số chức năng chính của ẩm kế điện dung cầm tay
Khi thực hiện phép đo, tấm điện cực của ẩm kế cần tiếp xúc chắc chắn với bề mặt mẫu gỗ và đúng hướng theo hướng dẫn của nhà sản xuất thiết bị (xem Hình A.2).

Hình A.2 - Ví dụ về cách đo độ ẩm bằng một loại ẩm kế điện dung cầm tay
A.2 Ẩm kế điện dung nối dây
Tương tự như ẩm kể điện dung cầm tay, ẩm kế điện dung nối dây cũng bao gồm sự đa dạng về tính năng và cũng cần được điều chỉnh theo khối lượng riêng và chiều dày tẩm gỗ trước khi đo.
Cách sử dụng thiết bị đo tuân thủ theo hướng dẫn của nhà sản xuất (xem Hình A.3).

Hình A.3 - Ví dụ về cách đo độ ẩm bằng một loại ẩm kế điện dung nối dây
A.3 Hạn chế của ẩm kế điện dung cầm tay
Ẩm kế điện dung cầm tay có khả năng đưa ra một số lượng lớn kết quả đo (bao gồm dọc theo chiều dài tấm gỗ) được lấy nhanh chóng và liên tiếp từ bề mặt mà không cần phá hủy gỗ. Các lưu ý dưới đây cần được xem xét khi sử dụng thiết bị:
a) Cài đặt đúng khối lượng riêng có thể gặp khó khăn, đặc biệt nếu sử dụng thiết bị cho các loại gỗ có dải chênh lệch lớn. Tương tự, lưu ý đến khối lượng riêng là cần thiết khi cùng là gỗ cây lá kim hay cùng là gỗ cây lá rộng nhưng có thể độ chính xác bị giảm đáng kể.
b) Nếu không cài đặt thiết bị theo chiều dày, những mẫu có độ ẩm thực tế giống nhau nhưng với mẫu dày hơn sẽ cho hiển thị độ ẩm cao hơn.
c) Bất kể khe hở nào được tạo ra giữa tấm điện cực và bề mặt mẫu gỗ (ví dụ bề mặt mẫu gỗ bị cong lòng máng) sẽ làm giá trị kết quả đo bị giảm.
d) Sự tồn tại của muối (kể cả từ nước muối hay dung dịch xử lý bảo quản) sẽ làm giá trị kết quả đo bị tăng lên. Một số loại gỗ như Lophostemon confertus cho kết quả đo không chính xác.
e) Kim loại hoặc vật liệu dẫn điện khác trên mẫu gỗ làm thay đổi kết quả đo cần được loại bỏ.
f) Bề mặt và gần bề mặt gỗ bảo quản bị đọng muối ảnh hưởng đến kết quả vì sự dẫn, hút hoặc nhả ẩm từ môi trường, đặc biệt lưu ý nếu gỗ để ở ngoài trời mưa hoặc nơi có độ ẩm cao.
Thư mục tài liệu tham khảo
[1] AS/NZS 1080-1:2012 (reconfirmed 2016), Timber - Methods of Test - Method 1: Moisture content (Gỗ xẻ - Phương pháp thử- Phương pháp 1: Độ ẩm).
Mục lục
1 Phạm vi áp dụng
2 Tài liệu viện dẫn
3 Thuật ngữ và định nghĩa
4 Nguyên tắc
5 Thiết bị, dụng cụ
5.1 Khái quát
5.2 Ẩm kế điện dung cầm tay
5.3 Ẩm kế điện dung nối dây
5.4 Hiệu chuẩn thiết bị bằng cách so sánh với phương pháp cân - sấy
5.5 Hiệu chỉnh theo nhiệt độ, khối lượng riêng và chiều dày
6 Lấy mẫu và chuẩn bị mẫu
6.1 Dung lượng mẫu
6.2 Kích thước mẫu
7 Cách tiến hành
7.1 Cách sử dụng ẩm kế điện dung cầm tay
7.2 Cách sử dụng ẩm kế điện dung nối dây
8 Hiệu chuẩn thiết bị cho các loại gỗ và gỗ đã xử lý bảo quản
9 Báo cáo thử nghiệm
Phụ lục A (Tham khảo) Giới thiệu về ẩm kế điện dung
Thư mục tài liệu tham khảo
Bạn chưa Đăng nhập thành viên.
Đây là tiện ích dành cho tài khoản thành viên. Vui lòng Đăng nhập để xem chi tiết. Nếu chưa có tài khoản, vui lòng Đăng ký tại đây!

