- Tổng quan
- Nội dung
- Tiêu chuẩn liên quan
- Lược đồ
- Tải về
Tiêu chuẩn quốc gia TCVN 13381-6:2024 Giống cây nông nghiệp - Khảo nghiệm giá trị canh tác và giá trị sử dụng - Phần 6
| Số hiệu: | TCVN 13381-6:2024 | Loại văn bản: | Tiêu chuẩn Việt Nam |
| Cơ quan ban hành: | Bộ Khoa học và Công nghệ | Lĩnh vực: | Nông nghiệp-Lâm nghiệp |
| Trích yếu: | Giống cây nông nghiệp - Khảo nghiệm giá trị canh tác và giá trị sử dụng - Phần 6: Giống cà phê | ||
|
Ngày ban hành:
Ngày ban hành là ngày, tháng, năm văn bản được thông qua hoặc ký ban hành.
|
18/07/2024 |
Hiệu lực:
|
Đã biết
|
| Người ký: | Đang cập nhật |
Tình trạng hiệu lực:
Cho biết trạng thái hiệu lực của văn bản đang tra cứu: Chưa áp dụng, Còn hiệu lực, Hết hiệu lực, Hết hiệu lực 1 phần; Đã sửa đổi, Đính chính hay Không còn phù hợp,...
|
Đã biết
|
TÓM TẮT TIÊU CHUẨN VIỆT NAM TCVN 13381-6:2024
Nội dung tóm tắt đang được cập nhật, Quý khách vui lòng quay lại sau!
Tải tiêu chuẩn Việt Nam TCVN 13381-6:2024
TIÊU CHUẨN QUỐC GIA
TCVN 13381-6:2024
GIỐNG CÂY NÔNG NGHIỆP - KHẢO NGHIỆM GIÁ TRỊ CANH TÁC VÀ GIÁ TRỊ SỬ DỤNG - PHẦN 6: GIỐNG CÀ PHÊ
Agricultural crop varieties - Testing for value of cultivation and use - Part 6: Coffee varieties
Lời nói đầu
TCVN 13381-6:2024 do Viện Khoa học Kỹ thuật nông lâm nghiệp Tây Nguyên biên soạn, Bộ Nông nghiệp và Phát triển Nông thôn đề nghị, Tổng cục Tiêu chuẩn Đo lường Chất lượng thẩm định, Bộ Khoa học và Công nghệ công bố.
Bộ tiêu chuẩn TCVN 13381 Giống cây nông nghiệp - Khảo nghiệm giá trị canh tác và giá trị sử dụng gồm các phần sau đây:
- TCVN 13381-1:2023, Phần 1: Giống lúa;
- TCVN 13381-2:2021, Phần 2: Giống ngô;
- TCVN 13381-3:2023, Phần 3: Giống cam;
- TCVN 13381-4:2023, Phần 4: Giống bưởi;
- TCVN 13381-5:2023, Phần 5: Giống chuối;
- TCVN 13381-6:2024, Phần 6: Giống cà phê.
GIỐNG CÂY NÔNG NGHIỆP - KHẢO NGHIỆM GIÁ TRỊ CANH TÁC VÀ GIÁ TRỊ SỬ DỤNG - PHẦN 6: GIỐNG CÀ PHÊ
Agricultural crop varieties - Testing for value of cultivation and use - Part 6: Coffee varieties
1 Phạm vi áp dụng
Tiêu chuẩn này quy định các yêu cầu đối với giá trị canh tác và giá trị sử dụng (VCU) của các giống cà phê thuộc loài cà phê vối - robusta (Coffea canephora) và cà phê chè - arabica (Coffea arabica); phương pháp khảo nghiệm VCU; yêu cầu về địa điểm, cơ sở hạ tầng và trang thiết bị phục vụ khảo nghiệm VCU.
2 Tài liệu viện dẫn
Các tài liệu viện dẫn sau rất cần thiết cho việc áp dụng tiêu chuẩn này. Đối với các tài liệu viện dẫn ghi năm công bố thì áp dụng phiên bản được nêu. Đối với các tài liệu viện dẫn không ghi năm công bố thì áp dụng phiên bản mới nhất, bao gồm cả các sửa đổi, bổ sung (nếu có).
TCVN 4193:2014, Cà phê nhân
TCVN 6928:2007 (ISO 6673:2003), Cà phê nhân - Xác định hao hụt khối lượng ở 105 °C
TCVN 9723:2013 (ISO 20481:2008), Cà phê và sản phẩm cà phê - Xác định hàm lượng cafein bằng sắc ký lỏng hiệu năng cao (HPLC) - Phương pháp chuẩn
TCVN 13382-6:2022, Giống cây trồng nông nghiệp - Khảo nghiệm tính khác biệt, tính đồng nhất và tính ổn định - Phần 6: Giống cà phê
3 Thuật ngữ và định nghĩa
Trong tiêu chuẩn này sử dụng các thuật ngữ và định nghĩa sau:
3.1
Khảo nghiệm có kiểm soát (Controlled test)
Khảo nghiệm giống cà phê trong điều kiện cách ly và chủ động kiểm soát các yếu tố thí nghiệm để giống cà phê thể hiện đầy đủ đặc tính chống chịu sinh vật gây hại, điều kiện bất thuận.
3.2
Khảo nghiệm diện hẹp (Replicated field test)
Khảo nghiệm được tiến hành trên đồng ruộng, diện tích ô nhỏ, có lặp lại.
3.3
Khảo nghiệm diện rộng (On-farm test)
Khảo nghiệm được tiến hành trên đồng ruộng, diện tích ô lớn, không lặp lại.
3.4
Độ chín sinh lý quả (Physiological maturity of fruit)
Độ chín của quả ở giai đoạn vật chất đã tích lũy đầy đủ và có thể thu hoạch được.
3.5
Nhân tròn (Round coffee beans)
Được tạo thành khi quả cà phê chỉ thụ tinh ở một trong hai khoang chứa, khi quả có một hạt sẽ phát triển thành dạng tròn.
3.6
Thời điểm thu hoạch (Harvest time)
Thời điểm quả chín sinh lý (sau đây gọi tắt là quả chín) và màu sắc chuyển từ xanh sang màu đặc trưng của giống khi chín (đỏ, đỏ cam, đỏ thẫm, vàng, vàng cam...).
4 Yêu cầu về giá trị canh tác và giá trị sử dụng
Yêu cầu về giá trị canh tác và giá trị sử dụng của các giống cà phê được quy định tại Bảng 1.
Bảng 1 - Yêu cầu về giá trị canh tác và giá trị sử dụng của các giống cà phê
| Chỉ tiêu | Đơn vị tính/trạng thái biểu hiện | Yêu cầu | |
| Cà phê robusta | Cà phê arabica | ||
| I. Các chỉ tiêu bắt buộc khảo nghiệm và yêu cầu mức giới hạn | |||
| 1. Số quả chín/kg | quả | ≤ 800 | ≤ 850 |
| 2. Khối lượng 100 nhân | gam | ≥ 17 | ≥ 16 |
| 3. Tỷ lệ nhân trên sàng số 16 (đường kính lỗ sàng Φ = 6,3 mm) | % khối lượng | ≥ 75 | ≥ 65 |
| 4. Tỷ lệ khối lượng nhân (khô)/quả chín | % khối lượng | ≥ 22 | ≥ 16 |
| 5. Tỷ lệ nhân tròn | % khối lượng | ≤ 15 | ≤ 15 |
| 6. Chất lượng thử nếm | điểm (theo thang 100 điểm) | + Giống năng suất cao, giống chống chịu: ≥ 70 + Giống chất lượng cao: ≥ 80 |
|
| 7. Khả năng kháng bệnh rỉ sắt do nấm Hemileia vastatrix | |||
| Khảo nghiệm có kiểm soát | cấp bệnh | ≤ 4 | ≤ 4 |
| Đánh giá trên đồng ruộng | chỉ số bệnh (%) | ≤ 5 | ≤ 5 |
| 8. Năng suất nhân | tấn/ha | + Giống năng suất cao: ≥ 3,5 + Giống chất lượng cao: ≥ 2,7 + Giống chống chịu: không quy định | + Giống năng suất cao: 2,5 + Giống chất lượng cao: > 2 + Giống chống chịu: không quy định |
| II. Các chỉ tiêu bắt buộc khảo nghiệm và không yêu cầu mức giới hạn | |||
| 9. Hàm lượng cafein | - Đơn vị tính: % - Cà phê vối: + Thấp: < 1,8 + Trung bình: từ 1,8 đến 2,5 + Cao: > 2,5 - Cà phê chè: + Thấp: < 0,9 + Trung bình: từ 0,9 đến 1,2 + Cao: > 1,2 | Không quy định | Không quy định |
| 10. Dễ thu hái/Dễ rụng | - Cao - Trung bình - Thấp | Không quy định | Không quy định |
| 11. Thời điểm bắt đầu ra hoa trong năm | ngày/tháng | Không quy định | Không quy định |
| 12. Thời điểm bắt đầu thu hoạch trong năm | ngày/tháng | Không quy định | Không quy định |
| III. Một số chỉ tiêu tự nguyện khảo nghiệm | |||
| 13. Khả năng chống chịu bệnh do tuyến trùng Pratylenchus coffea | cấp bệnh | Không quy định | Không quy định |
| 14. Khả năng chống chịu hạn | cấp chịu hạn | Không quy định | Không quy định |
5 Phương pháp khảo nghiệm giá trị canh tác và giá trị sử dụng
Phương pháp khảo nghiệm giá trị canh tác và giá trị sử dụng (khảo nghiệm VCU) bao gồm phương pháp khảo nghiệm có kiểm soát và khảo nghiệm đồng ruộng. Khảo nghiệm đồng ruộng bao gồm khảo nghiệm diện hẹp và khảo nghiệm diện rộng.
5.1 Khảo nghiệm có kiểm soát
Khảo nghiệm có kiểm soát được sử dụng để đánh giá:
- Chỉ tiêu bắt buộc khảo nghiệm: khả năng kháng bệnh rỉ sắt do nấm Hemileia vastatrix.
- Một số chỉ tiêu tự nguyện khảo nghiệm: khả năng chống chịu bệnh do tuyến trùng Pratylenchus coffea (P. coffea), khả năng chống chịu hạn.
5.1.1 Yêu cầu chung
5.1.1.1 Vùng khảo nghiệm
Thực hiện tại một vùng duy nhất trong số các vùng quy định tại 5.2.1.1.
5.1.1.2 Địa điểm khảo nghiệm
Thực hiện tại một điểm duy nhất trong vùng khảo nghiệm đã chọn.
5.1.1.3 Số vụ khảo nghiệm
Thực hiện tối thiểu một đợt khảo nghiệm.
5.1.1.4 Bố trí khảo nghiệm
Khảo nghiệm được tiến hành trong nhà lưới, bố trí theo kiểu tuần tự, nhắc lại tối thiểu 3 lần, mỗi lần nhắc tối thiểu 10 cây.
5.1.1.5 Cây giống khảo nghiệm
Cây giống sử dụng trong khảo nghiệm:
- Là cây giống cà phê ghép/giâm cành/nuôi cấy mô (đối với dòng vô tính, giống F1); cây giống cà phê thực sinh (đối với dòng/giống thuần): đường kính thân tại vị trí cách mặt bầu 2 cm đạt tối thiểu 1 cm, có ít nhất 2 cặp cành, chiều cao ≥ 50 cm, đối với khảo nghiệm quy định tại 5.1.2.
- Là cây giống cà phê ghép/giâm cành/nuôi cấy mô (đối với dòng vô tính, giống F1): đường kính thân được đo tại vị trí cách mặt bầu 2 cm đạt tối thiểu 0,3 cm, có ít nhất 2 cặp lá, chiều cao đạt tối thiểu 20 cm, đối với khảo nghiệm quy định tại 5.1.3 và 5.1.4.
Các chỉ tiêu chất lượng khác phải đạt yêu cầu kỹ thuật theo quy định hiện hành.
5.1.2 Đánh giá khả năng kháng bệnh rỉ sắt do nấm Hemileia vastatrix
5.1.2.1 Tiến hành khảo nghiệm
a) Đánh giá trong phòng thí nghiệm
- Nguồn nấm bệnh
Thu thập nguồn nấm bệnh trên lá của cây cà phê nhiễm nấm (triệu chứng tham khảo tại Hình 1) vào giai đoạn phát bệnh trên đồng ruộng; các bào tử dùng để lây nhiễm phải có màu vàng tươi (biểu hiện tham khảo tại Hình 2), chưa bị nhiễm nấm ký sinh.

| Hình 1 - Mẫu lá cà phê để chuẩn bị nguồn lây bệnh | Hình 2 - Bào tử nấm rỉ sắt giống mẫn cảm quan sát dưới kính hiển vi 40x |
- Phương pháp lấy mẫu
Mẫu lá được lấy trên vườn khảo nghiệm ngoài đồng ruộng, chọn 3 cây cho mỗi giống, trên mỗi cây chọn 2 cành phân bố đều ở giữa tán cây. Trên mỗi cành chọn 2 lá còn nguyên vẹn và hoàn toàn không có triệu chứng của vết bệnh ở cặp lá thứ 3 tính từ ngọn trở vào. Trên mỗi giống thu 12 lá.
- Lây nhiễm nhân tạo trong phòng thí nghiệm
Lây bệnh nhân tạo trong phòng thí nghiệm để đánh giá tính kháng bệnh rỉ sắt không hoàn toàn trên cây cà phê (theo Phụ lục B.1).
- Chỉ tiêu và phương pháp theo dõi
+ Thời gian ủ bệnh: là số ngày từ khi lây bệnh đến khi 50 % số vết bệnh được hình thành.
+ Thời gian tiềm dục: là thời gian từ lúc lây bệnh đến khi 50 % số vết bệnh hình thành bào tử nấm.
+ Tỷ lệ vết bệnh, TLVB, tính bằng % theo Công thức (1):
|
| (1) |
Trong đó:
a là số vết bệnh được hình thành;
b là tổng số vết bệnh lây bệnh.
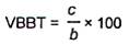
+ Tỷ lệ vết bệnh hình thành bào tử nấm, VBBT, tính bằng % theo Công thức (2):
|
| (2) |
Trong đó:
c là số vết bệnh có bào tử;
b là tổng số vết bệnh lây bệnh.
+ Chỉ số cường độ bệnh, CĐB, tính bằng % theo Công thức (3):
|
| (3) |
Trong đó:
i là cấp bệnh tương ứng từ 0 đến 7 theo phân cấp ở Bảng 2
ni là số vết bệnh tương ứng với cấp i;
n là tổng số vết bệnh lây bệnh.
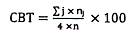
+ Chỉ số phát sinh bào tử, CBT, tính bằng % theo Công thức (4):
|
| (4) |
Trong đó:
j là cấp bệnh tương ứng từ 1 đến 4 tương ứng với cấp bệnh từ 4 đến 7;
nj là số vết bệnh tương ứng với cấp j;
n là tổng số vết bệnh lây bệnh.
b) Đánh giá trong nhà lưới
- Trồng và chăm sóc
Cây cà phê được trồng trong chậu chứa hỗn hợp gồm đất, phân chuồng hoai mục với tỷ lệ khối lượng 3:1. Trồng vào chậu có kích thước 45 cm x 50 cm (đường kính x chiều cao), mỗi chậu trồng 1 cây.
Chăm sóc cây theo quy trình do tổ chức, cá nhân yêu cầu khảo nghiệm biên soạn, phù hợp với đặc tính của giống cà phê khảo nghiệm. Trong thời gian khảo nghiệm không được sử dụng bất kỳ loại thuốc trừ bệnh nào. Nếu sử dụng thuốc bảo vệ thực vật để trừ các đối tượng sinh vật hại khác như sâu hại, cỏ dại thì thuốc được lựa chọn phải đảm bảo không tác động đến bào tử nấm gây bệnh rỉ sắt và phải ghi chép nhật ký sử dụng.
Tiêu chuẩn cây giống trong khảo nghiệm: là cây được nhân vô tính, đường kính thân tại vị trí cách mặt bầu 2 cm đạt tối thiểu 1 cm, có ít nhất 2 cặp cành, chiều cao ≥ 50 cm.
- Nguồn nấm bệnh
Tương tự như đánh giá trong phòng thí nghiệm.
- Lây nhiễm nhân tạo trong nhà lưới
Tương tự phương pháp lây bệnh nhân tạo trong phòng thí nghiệm (quy định tại Phụ lục B.1). Tuy nhiên, đối với cây trồng trong nhà lưới, mỗi lá lây từ 10 đến 20 vết bệnh tùy theo kích thước lá với lượng 0,01 ml dung dịch/vết tạo thành 2 đến 4 dãy song song theo chiều của gân lá ở mặt dưới lá, mỗi dãy 5 vết cách rời nhau.
- Chỉ tiêu theo dõi và phương pháp theo dõi: Tương tự như đánh giá trong phòng thí nghiệm.
- Phân cấp bệnh và mức độ kháng bệnh theo vết bệnh như quy định trong Bảng 2.
Bảng 2 - Phân cấp mức độ kháng bệnh rỉ sắt của giống
| Cấp bệnh | Triệu chứng biểu hiện | Mức độ kháng bệnh |
| 0 | Không thấy biểu hiện xâm nhập | Kháng rất cao |
| 1 | Vết bệnh ở dạng đốm nhỏ và hơi biến màu | Kháng cao |
| 2 | Kích thước vết bệnh lớn dần và có biến màu | |
| 3 | Các đốm bệnh dính liền nhau và biến màu rõ nét | Kháng trung bình |
| 4 | Trên các vết bệnh đã bắt đầu xuất hiện bào tử nấm | Nhiễm nhẹ |
| 5 | Dưới 25 % diện tích vết bệnh có bào tử nấm hình thành | Nhiễm trung bình |
| 6 | Từ 25 % đến 50 % diện tích vết bệnh có bào tử nấm hình thành | Nhiễm |
| 7 | Trên 50 % diện tích vết bệnh có bào tử nấm hình thành | Nhiễm nặng |
5.1.2.2 Kết luận khảo nghiệm
Kết luận rõ mức độ kháng bệnh của giống.
5.1.3 Đánh giá khả năng chống chịu bệnh do tuyến trùng Pratylenchus coffea
5.1.3.1 Tiến hành khảo nghiệm
a) Trồng và chăm sóc
Cây được trồng trong bầu đất đã hấp tiệt trùng có kích thước 13 cm x 23 cm (tương đương 1,2 kg khối lượng bầu đất), mỗi bầu đất trồng 1 cây.
Chăm sóc cây theo quy trình do tổ chức, cá nhân yêu cầu khảo nghiệm biên soạn, phù hợp với đặc tính của giống cà phê khảo nghiệm. Trong thời gian khảo nghiệm không được sử dụng bất kỳ loại thuốc trừ bệnh nào. Nếu sử dụng thuốc bảo vệ thực vật để trừ các đối tượng sinh vật hại khác như sâu hại, cỏ dại thì thuốc được lựa chọn phải đảm bảo không tác động đến tuyến trùng P.coffea và phải ghi chép nhật ký sử dụng.
b) Nguồn bệnh
Nguồn tuyến trùng được phân lập từ rễ cà phê bị nhiễm tuyến trùng P. coffeae điển hình trên đồng ruộng. Từng cá thể tuyến trùng P. coffeae sẽ được vớt khử khuẩn và nuôi cấy trên môi trường đĩa cà rốt (theo quy định tại Phụ lục C). Tuyến trùng P. coffeae sau đó sẽ được định danh hình thái và sinh học phân từ (phân tích chuỗi ADN) trước khi được nhân nhanh quần thể thuần khiết trên môi trường đĩa cà rốt để phục vụ cho thí nghiệm chủng nhiễm trong điều kiện nhà lưới
c) Lây nhiễm nhân tạo
Thí nghiệm được lây nhiễm tuyến trùng với mật độ 2.400 cá thể P. coffeae /1,2 kg bầu đất. Lượng tuyến trùng được lây nhiễm thành 2 đợt cách nhau 15 ngày.
Tuyến trùng P. coffeae dùng để chủng nhiễm được thu thập từ các đĩa cà rốt. Dung dịch có chứa tuyến trùng được cô lập và phân bổ đều với mật độ 1 000 cá thể tuyến trùng di chuyển khoẻ mạnh/1 ml nước. Mật độ tuyến trùng lây nhiễm là 2 cá thể tuyến trùng/1 g đất (tương đương 2.400 cá thể/1,2 kg bầu đất). Mỗi cây được chủng nhiễm với lượng 2,4 ml dung dịch tuyến trùng vào 2 lỗ đối xứng (sâu 2 cm, đường kính 0,5 cm) cách gốc cây 1 cm.
d) Chỉ tiêu và phương pháp theo dõi
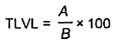
Trước khi chủng nhiễm tuyến trùng và sau khi chủng nhiễm tuyến trùng được 60, 120 và 180 ngày, các dữ liệu được thu thập bao gồm:
+ Tỷ lệ cây bị vàng lá, TLVL, tính bằng % theo Công thức (6):
|
| (6) |
Trong đó:
A là tổng số cây bị vàng lá;
B là tổng số cây điều tra.
+ Sinh trưởng (chiều cao cây; số cặp lá; chiều dài rễ; khối lượng thân và lá; khối lượng rễ).
+ Quần thể tuyến trùng được xác định bằng cách đếm tổng số tuyến trùng (gồm: trứng, ấu trùng các lứa tuổi và tuyến trùng trưởng thành) trong 1 bầu cây gồm trong đất và trong rễ.
- Mẫu đất: được trộn đều sau đó sử dụng 200 g đất để phân lập và thu thập toàn bộ tuyến trùng theo phương pháp bẫy đĩa (theo quy định tại Phụ lục C).
- Mẫu rễ: tuyến trùng trong rễ được phân lập và thu thập dựa trên kỹ thuật ly tâm trong dung dịch đường (theo quy định tại Phụ lục C).
Nhuộm rễ cây để xác định sự xâm nhập của tuyến trùng P. coffeae vào trong rễ (theo Phụ lục C).
- Phân cấp bệnh và mức độ chống chịu bệnh theo màu lá và tỷ lệ rễ bị thối theo Bảng 3. Tham khảo Hình 3 về triệu chứng lá và rễ của cây cà phê theo các cấp bệnh khác nhau.
Bảng 3 - Phân cấp mức độ chống chịu bệnh do tuyến trùng
| Cấp bệnh | Biểu hiện triệu chứng | Mức độ chống chịu |
| 0 | Lá xanh, rễ khỏe mạnh phát triển bình thường, đầu rễ màu trắng, không có rễ bị thối | Kháng |
| 1 | Lá bị vàng, tỷ lệ rễ bị thối từ 1 % đến 25 % | Nhiễm nhẹ |
| 2 | Lá bị vàng, tỷ lệ rễ bị thối từ trên 25 % đến 50 % | Nhiễm trung bình |
| 3 | Lá bị vàng, tỷ lệ rễ bị thối từ trên 50 % đến 75 % | Nhiễm |
| 4 | Lá bị vàng, tỷ lệ rễ bị thối trên 75 % | Nhiễm nặng |

Hình 3 - Triệu chứng lá và rễ của cây cà phê theo các cấp bệnh khác nhau
5.1.3.2 Kết luận khảo nghiệm
Kết luận rõ mức độ chống chịu bệnh của giống.
5.1.4 Đánh giá khả năng chống chịu hạn
5.1.4.1 Tiến hành khảo nghiệm
a) Trồng và chăm sóc
Dụng cụ trồng cây (xô, chậu, ô xi măng ..) có kích thước phù hợp với kích thước của cây; mỗi dụng cụ trồng một cây. Hỗn hợp đất trồng gồm đất, phân chuồng hoai mục theo tỷ lệ khối lượng 3:1. Duy trì độ ẩm đất từ 46 % đến 48 % cho đến khi xử lý hạn, không sử dụng phân bón hữu cơ trong quá trình khảo nghiệm.
Cây được chăm sóc theo quy trình sản xuất do tổ chức, cá nhân yêu cầu khảo nghiệm biên soạn phù hợp với đặc tính của giống cây khảo nghiệm.
b) Phương pháp xử lý hạn
Khi cây con đạt tối thiểu 70 cm, tưới nước một lần cho đến khi đất đạt đến độ ẩm bão hòa, sau đó tiến hành theo dõi hạn trên cây.
c) Các chỉ tiêu theo dõi và phương pháp đánh giá
+ Độ ẩm đất
Tại thời điểm cây bắt đầu héo (cấp độ 1), tiến hành lấy mẫu đất để theo dõi độ ẩm, mẫu đất được lấy 1 ngày/lần cho đến khi cây héo hoàn toàn. Mẫu đất được lấy tại tầng từ 0 cm đến 30 cm, cách gốc từ 15 cm đến 20 cm, mỗi mẫu lấy từ 50 g đến 60 g đất, cho vào hộp nhôm, sấy ở nhiệt độ 105 °C trong 24 h. Độ ẩm đất, AĐ, tính bằng % theo Công thức (7):
|
| (7) |
Trong đó:
P2 là khối lượng đất ẩm cùng với khối lượng hộp nhôm, tính bằng gam (g);
P1 là khối lượng đất khô (sau khi sấy) cùng với khối lượng hộp nhôm, tính bằng gam (g);
P3 là khối lượng hộp nhôm, tính bằng gam (g).
+ Đánh giá hình thái cây trước khi tưới 01 ngày, theo dõi hàng ngày đến khi cây héo hoàn toàn, các chỉ tiêu mô tả theo quy định tại Phụ lục D.
+ Quan sát, đánh giá mức độ chịu hạn của cây theo thang phân cấp tại Bảng 4.
Bảng 4 - Phân cấp mức độ chống chịu hạn
| Cấp hại | Biểu hiện |
| 0 | Cây sinh trưởng bình thường |
| 1 | Lá non héo và phần ngọn bắt đầu rũ xuống |
| 2 | Lá non héo, ngọn rũ, lá giữa tán bắt đầu héo |
| 3 | Lá non héo và mép lá cháy, cây héo rũ khoảng 50% diện tích lá |
| 4 | Lá non héo chuyển màu nâu, cây héo rũ hoàn toàn (100 % diện tích lá rũ) |
| 5 | Lá héo rũ hoàn toàn và toàn bộ diện tích lá bị cháy |
5.1.4.2 Kết luận khảo nghiệm
Kết luận rõ mức độ chống chịu hạn theo cấp hại và thời gian đạt cấp hại tương ứng. Ghi rõ điều kiện khảo nghiệm (nhiệt độ, độ ẩm không khí).
5.1.5 Xử lý số liệu thống kê
Sử dụng phần mềm thống kê sinh học phù hợp.
5.1.6 Báo cáo kết quả khảo nghiệm có kiểm soát
Báo cáo kết quả khảo nghiệm có kiểm soát, quy định mẫu tại Phụ lục E
5.2 Khảo nghiệm đồng ruộng
Sử dụng để đánh giá các chỉ tiêu về giá trị canh tác và giá trị sử dụng của giống cà phê quy định tại Bảng 1.
5.2.1 Khảo nghiệm diện hẹp
5.2.1.1 Phân vùng khảo nghiệm
Phân thành 3 vùng gồm:
- Vùng 1: Tây Nguyên và Đông Nam Bộ;
- Vùng 2: Duyên hải Miền Trung (Bắc Trung Bộ và Nam Trung Bộ);
- Vùng 3: Miền núi phía Bắc.
5.2.1.2 Số điểm và địa điểm khảo nghiệm
Thực hiện ít nhất một điểm tại vùng sản xuất cà phê tập trung, có điều kiện khí hậu, đất đai đại diện cho vùng sản xuất.
5.2.1.3 Thời gian và số vụ khảo nghiệm
Quan sát vụ thu hoạch thứ hai và vụ thứ ba sau vụ cho quả bói.
5.2.1.4 Bố trí khảo nghiệm
Bố trí theo kiểu tuần tự hoặc khối ngẫu nhiên hoàn chỉnh, nhắc lại 3 lần, tối thiểu 20 cây/lần lặp lại.
- Cà phê vối: khoảng cách trồng 3 x 3 m, diện tích khảo nghiệm tối thiểu 540 m2 (tương ứng 60 cây), diện tích khảo nghiệm tối đa là 4.500 m2 (tương ứng 500 cây).
- Cà phê chè: Khoảng cách trồng 1,3 x 1,8 m, diện tích khảo nghiệm tối thiểu 140,4 m2 (tương ứng 60 cây), diện tích khảo nghiệm tối đa là 2.340 m2 (tương ứng 1.000 cây).
5.2.1.5 Cây giống khảo nghiệm
Cây giống khảo nghiệm là cây thực sinh hoặc cây được nhân vô tính. Trường hợp khảo nghiệm tính chống chịu hạn, tuyến trùng thì giống khảo nghiệm bắt buộc là cây giảm cành hoặc cây nuôi cấy mô. Các chỉ tiêu chất lượng khác phải đạt yêu cầu kỹ thuật theo quy định hiện hành.
5.2.1.6 Quy trình trồng, chăm sóc, thu hoạch
Tuân thủ theo quy trình do tổ chức, cá nhân yêu cầu khảo nghiệm biên soạn.
5.2.1.7 Các chỉ tiêu theo dõi và phương pháp quan sát, đánh giá
Các chỉ tiêu theo dõi và phương pháp quan sát, đánh giá được quy định tại Bảng 5. Các mẫu quan sát, đánh giá không lấy từ cây ở hàng biên.
Bảng 5 - Các chỉ tiêu theo dõi và phương pháp quan sát, đánh giá giá trị canh tác và giá trị sử dụng của giống cà phê
| Tên chỉ tiêu | Thời điểm quan sát, đánh giá | Phương pháp quan sát, đánh giá |
| 1. Số quả chín/kg | Khi quả chín sinh lý | Hái ngẫu nhiên 3 kg mẫu quả chín vào thời điểm thu hoạch (có > 50 % số quả chín sinh lý trên cây). Chia làm 3 mẫu, mỗi mẫu cân 1 kg, chính xác tới 0,1 g. Đếm số lượng quả trong từng mẫu. Số quả chín/kg là giá trị trung bình của 3 mẫu. |
| 2. Khối lượng 100 nhân | Sau thu hoạch và phơi, sấy | Chuẩn bị 200 g mẫu cà phê nhân. Đếm ngẫu nhiên 100 nhân cà phê nguyên vẹn. Cân khối lượng 100 nhân. Khối lượng 100 nhân là giá trị trung bình của 3 lần đếm. Đo độ ẩm hạt và quy đổi độ ẩm theo TCVN 6928:2007 (ISO 6673:2003). |
| 3. Tỷ lệ nhân trên sàng số 16 | Sau thu hoạch và phơi, sấy | Xác định tỷ lệ khối lượng trên sàng lỗ tròn, TCVN 4193:2014. |
| 4. Tỷ lệ khối lượng nhân (khô)/quả chín | Sau thu hoạch và phơi, sấy | Hái ngẫu nhiên 2 kg mẫu quả chín vào thời điểm thu hoạch (có > 50 % số quả chín sinh lý trên cây). Quả được sơ chế và phơi/sấy. Sau đó ghi nhận khối lượng nhân khô thu được. Tính tỷ lệ nhân khô (độ ẩm 12,5 %) trong 2 kg quả tươi sau đó quy đổi ra tỷ lệ 1 kg nhân khô. |
| 5. Năng suất nhân | Sau thu hoạch và phơi, sấy | Cân năng suất quả tươi, quy đổi ra năng suất nhân (khô)/cây và tấn nhân/ha ở độ ẩm 12,5 %. |
| 6. Tỷ lệ nhân tròn | Sau thu hoạch và phơi, sấy | Chuẩn bị 400 g cà phê nhân. Cân ngẫu nhiên 2 mẫu, mỗi mẫu 100 g, chính xác tới 0,1 g. Chọn tất cả hạt tròn và cân khối lượng hạt tròn trong từng mẫu. Tính giá trị trung bình hạt tròn trong 2 mẫu. Đo độ ẩm hạt và quy đổi độ ẩm theo TCVN 6928:2007 (ISO 6673:2003). |
| 7. Hàm lượng cafein | Sau khi sơ chế | Theo TCVN 9723:2013 (ISO 20481:2008) |
| 8. Chất lượng thử nếm | Sau khi sơ chế | Đánh giá bằng thử nếm cảm quan theo tiêu chuẩn CQI do đơn vị đã được cơ quan có thẩm quyền cấp giấy chứng nhận đăng ký hoạt động để phân tích chỉ tiêu này. |
| 9. Chịu hạn | Mùa khô | + Theo dõi thời gian cây héo + Đánh giá hình thái kiểu hình của cây + Độ ẩm đất + Quan sát, đánh giá mức độ chịu hạn của cây theo 6 cấp như sau: - Cấp 0: cây sinh trưởng bình thường - Cấp 1: lá non héo và phần ngọn bắt đầu rũ xuống - Cấp 2: lá non héo, phần ngọn rũ, lá giữa tán bắt đầu héo - Cấp 3: lá non héo và phần mép lá cháy, Cấy héo rũ khoảng 50 % diện tích lá - Cấp 4: lá non héo chuyển màu nâu, cây héo rũ hoàn toàn (100 % diện tích lá rũ) - Cấp 5: lá héo rũ hoàn toàn và toàn bộ diện tích lá bị cháy Các phương pháp thực hiện tương tự quy định tại 5.1.4. |
| 10. Khả năng kháng bệnh rỉ sắt do nấm Hemileia vastatrix | Tháng 11 đến tháng 12 hàng năm | Quan sát bệnh trên đồng ruộng và đánh giá theo phương pháp trong tài liệu [1] Phụ lục B.2. |
| 11. Khả năng chống chịu bệnh do tuyến trùng P. coffea | Tháng 5 đến tháng 6; tháng 11 đến tháng 12 hàng năm | Lấy mẫu và phân lập tuyến trùng trong đất, rễ theo phương pháp tại Phụ lục C; Đánh giá mức độ gây hại của tuyến trùng theo 5 cấp (theo 5.1.3) kết hợp quan sát triệu chứng trên đồng ruộng. Lấy ngẫu nhiên 3 cây/lần lặp lại. |
| 12. Dễ thu hái/Dễ rụng | Thời điểm quả chín tập trung | Quan sát và thử nghiệm trên đồng ruộng khi cây có tối thiểu 50 % quả chín, nhận biết quả dễ rụng hoặc dai khi hái bằng cách hái ngẫu nhiên 5 cây/ lần lặp lại. |
| 13. Thời điểm bắt đầu ra hoa trong năm | Thời điểm ra hoa tập trung | Quan sát quá trình phân hóa mầm hoa, thời điểm tưới nước cho cây nở hoa tập trung. Quan sát 10 cây/lần lặp lại. |
| 14. Thời điểm bắt đầu thu hoạch trong năm | Thời điểm quả chín | Quan sát tỷ lệ quả chín trên cây đạt tối thiểu 50 %, phân loại tầm chín theo Phụ lục A. |
5.2.1.8 Xử lý số liệu thống kê
Sử dụng phần mềm thống kê sinh học phù hợp.
5.2.1.9 Báo cáo kết quả khảo nghiệm diện hẹp
Theo mẫu tại Phụ lục E.
5.2.2 Khảo nghiệm diện rộng
5.2.2.1 Phân vùng khảo nghiệm
Phân vùng khảo nghiệm như 5.2.1.1
5.2.2.2 Số điểm và địa điểm khảo nghiệm
Mỗi vùng khảo nghiệm thực hiện ít nhất 3 điểm đại diện cho 3 tiểu vùng khí hậu và đất đai ở các vùng sản xuất cà phê phổ biến. Các điểm khảo nghiệm cách nhau tối thiểu 50 km (tính theo đường chim bay).
5.2.2.3 Thời gian và số vụ khảo nghiệm
Quan sát vụ thu hoạch thứ hai và vụ thứ ba sau vụ cho quả bói.
5.2.2.4 Bố trí khảo nghiệm
Bố trí trên ô lớn, không nhắc lại.
Số lượng cây giống khảo nghiệm:
+ Cà phê vối: tối thiểu 1.000 cây/điểm khảo nghiệm (tương đương diện tích 1,0 ha/điểm), khoảng cách trồng 3 m x 3 m, tối đa 50 ha.
+ Cà phê chè: tối thiểu 850 cây/điểm khảo nghiệm (tương đương 0,2 ha/điểm), khoảng cách trồng 1,3 m x 1,8 m, tối đa 50 ha.
5.2.2.5 Cây giống khảo nghiệm
Cây giống khảo nghiệm đạt yêu cầu chất lượng theo quy định hiện hành.
Cây giống khảo nghiệm là cây thực sinh hoặc cây được nhân vô tính. Trường hợp khảo nghiệm để đánh giá khả năng chống chịu bệnh do tuyến trùng, khả năng chống chịu hạn thì cây giống khảo nghiệm là cây giâm cành hoặc cây nuôi cấy mô.
5.2.2.6 Quy trình trồng, chăm sóc, thu hoạch
Tuân thủ theo quy trình do chủ sở hữu giống hoặc tổ chức, cá nhân yêu cầu khảo nghiệm biên soạn.
5.2.2.7 Các chỉ tiêu theo dõi và phương pháp quan sát, đánh giá
Các chỉ tiêu theo dõi và phương pháp quan sát, đánh giá được quy định tại Bảng 5.
Đối với chỉ tiêu năng suất: cân năng suất thực tế trên ô khảo nghiệm, tính năng suất trung bình của một cá thể, tính năng suất nhân/ha dựa vào tỷ lệ quả tươi/nhân và mật độ cây trồng trên 1 ha.
Đối với các chỉ tiêu chất lượng: thu mẫu quả từ 5 điểm chéo góc/ô khảo nghiệm, mỗi điểm thu 3 kg ngẫu nhiên từ 6 cây, mỗi cây thu 0,5 kg.
Các mẫu quan sát được lấy ngẫu nhiên, trừ cây ở hàng biên.
5.2.2.8 Xử lý số liệu thống kê
Sử dụng phần mềm thống kê sinh học phù hợp.
5.2.2.9 Báo cáo kết quả khảo nghiệm diện rộng
Theo mẫu tại Phụ lục E.
6 Yêu cầu về địa điểm, cơ sở hạ tầng và trang thiết bị phục vụ khảo nghiệm
6.1 Đối với khảo nghiệm có kiểm soát
- Có nhà kính hoặc nhà lưới để lây bệnh nhân tạo và đánh giá các điều kiện bất thuận;
- Có dụng cụ trồng cây (túi bầu, xô, chậu,...) được thiết kế phù hợp cho từng nội dung khảo nghiệm;
- Đối với khảo nghiệm đánh giá khả năng chống chịu với bệnh hại phải có:
+ Hệ thống/hoặc buồng sinh thái để tạo và duy trì ổn định nhiệt độ và độ ẩm không khí;
+ Thiết bị theo dõi nhiệt độ và độ ẩm;
+ Phòng thí nghiệm và trang thiết bị để phân lập, nhân nuôi, lưu giữ, lây nhiễm và kiểm tra sự hiện diện của tác nhân gây bệnh gồm: buồng cấy, tủ định ôn, máy lắc, máy ly tâm, máy ly tâm lạnh, kính hiển vi, tủ lạnh, tủ ổn nhiệt, máy ảnh, buồng UV, máy chỉnh pH, cân điện tử.
- Có trang thiết bị (máy tính, máy in, thiết bị ghi hình), phần mềm phục vụ cho việc xử lý số liệu thống kê kết quả khảo nghiệm;
- Có đầy đủ trang thiết bị phục vụ quan sát các chỉ tiêu khảo nghiệm như kính lúp, kính hiển vi, máy ảnh.
6.2 Đối với khảo nghiệm đồng ruộng
- Có diện tích đất phù hợp để trồng số lượng cây giống khảo nghiệm quy định tại 5.2.1.4 và 5.2.2.4.
- Có trang thiết bị phục vụ cho việc nhập số liệu, xử lý số liệu thống kê kết quả khảo nghiệm: máy tính, máy in, thiết bị ghi hình, phần mềm máy tính liên quan.
- Có trang thiết bị, dụng cụ quan sát theo yêu cầu tại Bảng 6.
Bảng 6 - Yêu cầu trang thiết bị, dụng cụ quan sát một số chỉ tiêu giá trị canh tác và giá trị sử dụng đối với khảo nghiệm giống cà phê trên đồng ruộng
| Chỉ tiêu đánh giá | Tên các loại thiết bị và dụng cụ đi kèm trang thiết bị |
| 1. Số quả chín/kg | Cân điện tử |
| 2. Khối lượng 100 nhân | Thiết bị, dụng cụ nêu trong TCVN 6928:2007 (ISO 6673:2003) |
| 3. Tỷ lệ nhân trên sàng số 16 | Sàng lỗ tròn có kích thước theo TCVN 4193:2014, cân điện tử. |
| 4. Tỷ lệ khối lượng nhân (khô)/quả chín | Máy đo độ ẩm nông sản, cân điện tử |
| 5. Năng suất nhân | Máy đo độ ẩm nông sản, cân điện tử |
| 6. Tỷ lệ nhân tròn | Cân điện tử |
| 7. Hàm lượng cafein | Thiết bị, dụng cụ nêu trong TCVN 9723:2013 (ISO 20481:2008) |
| 8. Chất lượng thử nếm | Đánh giá bằng thử nếm cảm quan theo tiêu chuẩn CQI do đơn vị đã được cơ quan có thẩm quyền cấp giấy chứng nhận đăng ký hoạt động để phân tích chỉ tiêu này. |
- Trang thiết bị, dụng cụ được kiểm định hoặc hiệu chuẩn theo quy định hiện hành.
Phụ lục A
(quy định)
Bảng phân loại thời gian chín của quả cà phê
Thời gian chín của quả cà phê được phân loại theo Bảng A.1.
Bảng A.1 - Bảng phân loại thời gian chín của quả cà phê
| Thời gian quả chín | Phân loại |
| I. Cà phê vối (Robusta) | |
| 1, Đầu tháng 10 đến cuối tháng 11 | Chín sớm |
| 2. Giữa tháng 11 đến cuối tháng 12 | Chín trung bình |
| 3. Đầu tháng 12 đến cuối tháng 1 | Chín hơi muộn |
| 4. Từ giữa tháng 1 đến cuối tháng 2 | Chín muộn |
| 2. Cà phê chè (Arabica) | |
| 1. Từ đầu tháng 9 đến đầu tháng 10 | Chín sớm |
| 2. Từ giữa tháng 10 đến cuối tháng 11 | Chín trung bình |
| 3. Từ giữa tháng 11 đến cuối tháng 12 | Chín hơi muộn |
| 4. Từ đầu tháng 12 đến giữa tháng 1 | Chín muộn |
Phụ lục B
(quy định)
Phương pháp lây nhiễm bệnh rỉ sắt trong phòng thí nghiệm và đánh giá khả năng kháng bệnh rỉ sắt trên đồng ruộng
B.1 Phương pháp lây nhiễm bệnh rỉ sắt trong phòng thí nghiệm
Lây bệnh nhân tạo trong phòng thí nghiệm theo phương pháp của Leguizamon (1982) [4], đánh giá tính kháng rỉ sắt không hoàn toàn trên cây cà phê.
Các mẫu lá sau khi thu thập ngoài đồng ruộng được bảo quản trong túi nilon để tránh thoát hơi nước, sau đó mang về phòng thí nghiệm. Dùng nước cất rửa sạch mẫu lá và đặt trong các hộp nhựa, mặt dưới của phiến lá hướng lên trên, phía dưới đáy hộp lót giấy thấm đã được làm bão hòa bằng nước cất.
Hạ bào tử nấm được khuấy đều trong nước cất tạo thành một dung dịch huyền phù. Mật độ bào tử nấm dùng để lây bệnh thích hợp nhất là 8 x 104 bào tử nấm/ml dung dịch, mỗi lá lây 10 vết bệnh với lượng 0,1 ml dung dịch/vết tạo thành 2 dãy song song theo chiều của gân lá ở mặt dưới lá, mỗi dãy 5 vết cách rời nhau. Sau khi lây bệnh xong đặt hộp đựng lá trong bóng tối 48 h ở nhiệt độ khoảng 25 °C để bào tử nấm nảy mầm.
Mật độ của bào tử nấm để lây, N, biểu thị bằng số bào tử trong 1 ml dung dịch, được tính theo Công thức (B.1):
|
| (B.1) |
trong đó:
A là số bào tử trung bình trong 1 ô lớn (thể tích 1 ô lớn là 0,004 mm3);
V là thể tích 1 ô lớn;
n là độ pha loãng (nếu có);
25 là số ô lớn trong buồng đếm.
Kiểm tra sự hiện diện của bào tử nấm ở phần lây nhiễm trên lá dưới kính hiển vi 40x, trường hợp không phát hiện sự hiện diện của nấm phải lây nhiễm nhân tạo bổ sung. Sau khi lây nhiễm, giữ mẫu lá trong điều kiện nhiệt độ ổn định 25 °C trong suốt quá trình khảo nghiệm.
B.2 Phương pháp đánh giá khả năng kháng bệnh rỉ sắt trên đồng ruộng
B.2.1 Phương pháp điều tra
Điều tra tỷ lệ cây bị bệnh (%), tỷ lệ lá bị bệnh (%) và chỉ số bệnh rỉ sắt (%) của cây cà phê trên đồng ruộng vào giai đoạn kinh doanh. Trên mỗi cây chọn ngẫu nhiên 12 cành phân bố ở cả 3 tầng của tán cây. Trong đó, mỗi tầng chọn 4 cành phân bố theo 4 hướng: Đông - Tây - Nam - Bắc, trên mỗi cành quan trắc 5 lá nằm cùng một phía, tổng số lá điều tra 60 lá. Trường hợp những lá ở cùng một phía bị rụng thì chọn lá phía đối diện để thay thế. Các cành được cố định trong quá trình điều tra.
B.2.2 Thời điểm điều tra
Tháng 11 đến tháng 12 hàng năm (thời điểm bệnh nặng nhất).
B.2.3 Chỉ tiêu điều tra, đánh giá
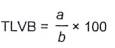
a) Tỷ lệ cây bị bệnh, TLCB, tính bằng %, theo Công thức (B.2):
|
| (B.2) |
Trong đó:
C là số cây bị bệnh;
Mi là tổng số cây điều tra.
b) Tỷ lệ lá bị bệnh, TLLB, tính bằng %, theo Công thức (B.3):
|
| (B.3) |
Trong đó:
L là số lá bị bệnh;
Ni là tổng số lá điều tra.
c) Chỉ số bệnh, CSB, tính bằng %, theo Công thức (B.4):
|
| (B.4) |
Trong đó:
0, 0,25, 0,5, 1, 2, 3, 4 là các cấp bệnh;
a, b, c, d, e, f, g là số lá bị bệnh tương ứng với mỗi cấp bệnh.
Tất cả các lá sau khi quan trắc đều được phân cấp bệnh theo thang phân cấp nêu trong Bảng A.1:
Bảng B.1 - Phân cấp mức độ nhiễm bệnh rỉ sắt trên đồng ruộng
| Cấp bệnh | Tỷ lệ diện tích lá bị bệnh (%) |
| 0 | Hoàn toàn không có vết bệnh |
| 0,25 | Từ 1 đến 7 |
| 0,5 | Lớn hơn 7 đến 15 |
| 1 | Lớn hơn 15 đến 25 |
| 2 | Lớn hơn 25 đến 50 |
| 3 | Lớn hơn 50 đến 75 |
| 4 | Lớn hơn 75 đến 100 |
B.2.4 Phân loại mức độ kháng bệnh rỉ sắt trên đồng ruộng
Căn cứ vào kết quả tỷ lệ lá bị bệnh (%), chỉ số bệnh (%), mức độ kháng bệnh rỉ sắt trên đồng ruộng của cây cà phê được phân loại như trong Bảng B.2.
Bảng B.2 - Phân loại mức độ kháng bệnh rỉ sắt trên đồng ruộng
| Mức độ kháng bệnh | Tỷ lệ lá bệnh (%) | Chỉ số bệnh (%) |
| Rất cao | Đến 5 | Đến 1 |
| Cao | Lớn hơn 5 đến 15 | Lớn hơn 1 đến 5 |
| Trung bình | Lớn hơn 15 đến 25 | Lớn hơn 5 đến 10 |
| Mẫn cảm trung bình | Lớn hơn 25 đến 35 | Lớn hơn 10 đến 15 |
| Mẫn cảm | Lớn hơn 35 đến 45 | Lớn hơn 15 đến 20 |
| Rất mẫn cảm | Lớn hơn 45 | Lớn hơn 20 |
Phụ lục C
(quy định)
Phương pháp nhân nuôi và phân lập tuyến trùng Pratylenchus coffea
C.1 Nhân nuôi tuyến trùng Pratylenchus coffea
Phương pháp nhân nuôi tuyến trùng P. coffea trên đĩa Petri cà rốt của O'Bannon & Taylor (1968)[5]
a) Chuẩn bị đĩa cà rốt
- Bước 1: Khử trùng cà rốt trong buồng cấy khử trùng bằng cách nhúng nguyên củ cà rốt vào cồn 95% trong vài giây. Sau đó nhanh tay đốt trên ngọn lửa đèn cồn.
- Bước 2: Gọt vỏ cà rốt và cắt bỏ hai đầu củ cà rốt. cắt phần giữa thành lát dày 5 mm và đặt vào đĩa Petri đường kính 35 mm. Sau đó cố định nắp đĩa Petri bằng parafilm để tránh mất nước và làm khô miếng cà rốt trong quá trình bảo quản.
- Bước 3: Kiểm tra nguy cơ nhiễm khuẩn các miếng cà rốt trong đĩa Petri: Bảo quản các đĩa Petri đã chuẩn bị trong tủ ổn định 27 °C trong khoảng thời gian ít nhất là 1 tuần để phát hiện bất kỳ nguy cơ nhiễm nấm hoặc vi khuẩn trên các miếng cà rốt trong đĩa Petri.
Cẩn thận chuẩn bị các đĩa Petri cà rốt nhiều hơn ít nhất 1,5 lần so với số lượng đĩa Petri cà rốt dự kiến dùng để nhân nuôi tuyến trùng.
b) Chuẩn bị nguồn tuyến trùng P. coffeae để nuôi cấy
- Bước 4: Đổ hỗn hợp dung dịch tuyến trùng phân lập từ rễ cà phê bị bệnh điển hình vào ống nghiệm. Để trong điều kiện nhiệt độ phòng ít nhất 1 h. Giảm thể tích nước trong ống nghiệm xuống 5 mL bằng cách đặt ống của bơm hút lên bề mặt nước và giảm dần độ thấp của mặt nước, cần làm rất cẩn thận để tránh bất kỳ sự khuấy động nào của nước và tuyến trùng trong ống nghiệm.
- Bước 5: Trong điều kiện buồng cấy khử trùng. Dung dịch tuyến trùng từ bước 4 sẽ được dùng để vớt thủ công và nhận dạng hình thái các cá thể tuyến trùng. Tuyển trùng được khử nấm và khuẩn trong dung dịch HgCl2 (0,01 %) và dung dịch dihydrostreptomycin (0,2 %) trong 6 h (qua đêm). Sau đó được rửa sạch 3 lần bằng nước cất khử trùng trước khi dùng để chủng nhiễm trên đĩa cà rốt.
c) Chủng nhiễm tuyến trùng trên đĩa cà rốt
- Bước 6: Kiểm tra các đĩa Petri cà rốt được lưu trữ trong tủ định ôn 27 °C (xem bước 3). Loại bỏ tất cả các đĩa Petri cà rốt với bất kỳ dấu hiệu nào của sự nhiễm khuẩn và nấm.
- Bước 7: Trong điều kiện buồng cấy khử trùng, loại bỏ parafilm, mở đĩa Petri có miếng cà rốt đạt chuẩn cho việc nuôi cấy. Nguồn tuyến trùng được làm sạch từ bước 5 sẽ được cẩn thận chủng nhiễm đơn dòng bằng pipet lên trên bề mặt miếng cà rốt. Đậy nắp đĩa Petri và cố định bằng parafilm như bước 3. Các đĩa Petri cà rốt được chủng nhiễm tuyến trùng sẽ được đặt lại cẩn thận trong tủ định ôn 27 °C. Sau khoảng 50 ngày đến 60 ngày, tuyến trùng nhân nuôi đơn dòng trên đĩa Petri cà rốt sẽ được định danh bằng phương pháp hình thái học và phương pháp phân tích chuỗi ADN để xác định chính xác loài tuyến trùng tiếp tục cho việc nhân nhanh số lượng.
- Bước 8: Sau khi xác định chính xác loài cần nhân nuôi: dĩa pertri có nguồn tuyến trùng thuần từ bước 7 sẽ được sử dụng để nhân nuôi với số lượng lớn trên các đĩa Petri cà rốt mới.
C.2 Phân lập tuyến trùng từ các mẫu đất
Phương pháp phân lập tuyến trùng từ các mẫu đất của Whitehead & Hemming (1965) [3]
- Bước 1: Mẫu đất được trộn đều trước khi trước khi định lượng 200 g mẫu để phân lập tuyến trùng.
- Bước 2: Trải đều 200 g đất lên rây lọc có lót 1 giấy ăn và đặt trong khay; độ dày tối đa của lớp đất là 1 mm đến 2 mm.
- Bước 3: Thêm nước vào trong khay từ bên cạnh cho đến khi nước chạm đáy rây lọc. Nước sau đó sẽ thấm đều lớp đất và tuyến trùng rời khỏi đất, đi qua bộ lọc và chìm xuống đáy khay.
Bước 4: Sau 48 h, thu thập toàn bộ lượng nước trong khay và lọc qua rây lọc 20 μm hoặc 25 μm. Dung dịch tuyến trùng trong rây sẽ được thu thập vào cốc thủy tinh để đếm số lượng.
C.3 Phân lập tuyến trùng từ các mẫu thực vật
Phương pháp phân lập tuyến trùng từ các mẫu thực vật của Coolen & D’Herde (1972)[3]
- Bước 1: Rửa sạch mẫu thực vật và cắt thành miếng dài khoảng 1 cm. Trộn mẫu cẩn thận trước khi định lượng 10 g mẫu để phân lập tuyến trùng.
- Bước 2: Xay mẫu thực vật trong máy xay sinh tố ở tốc độ 12 000 vòng/phút (30 s nghỉ 1 lần, lặp lại 3 lần).
- Bước 3: Đổ huyền phù thu được từ bước 2 qua rây lọc 1,2 mm, rửa cẩn thận các mô thực vật và thu thập dung dịch có chứa tuyến trùng vào trong cốc.
- Bước 4: Ly tâm dung dịch có chứa tuyến trùng (thu gom từ bước 3) bằng bột cao lanh 1 % với gia tốc 1 800 g trong thời gian 4 phút. Sau đó loại bỏ huyền phù lơ lửng trong ống ly tâm, giữ lại phần cặn đáy ống.
- Bước 5: Làm loãng cặn dưới đáy ống nghiệm thu được từ bước 4 bằng dung dịch đường có độ pha loãng 1,15 đến 1,18 (density) và ly tâm với gia tốc 1 800 g trong thời gian 4 phút.
- Bước 6: Thu giữ toàn bộ dung dịch huyền phù sau ly tâm và loại bỏ cặn dưới ống ly tâm. Dung dịch huyền phù có chứa tuyến trùng sẽ được lọc qua rây lọc 20 μm hoặc 25 μm và rửa thật sạch bằng nước để loại bỏ dung dịch đường còn dư thửa. Thu thập toàn bộ lượng tuyến trùng từ rây vào cốc thủy tinh để đếm số lượng.
C.4 Phương pháp nhuộm rễ để phát hiện sự xâm hại của tuyến trùng trong rễ
Phương pháp nhuộm rễ để phát hiện sự xâm hại của tuyến trùng trong rễ của Byrd và cộng sự (1983) [2]
- Bước 1: Rửa sạch rễ bằng nước và đặt chúng vào cốc thí nghiệm 150 ml. Rễ lớn có thể được cắt thành các phần khách nhau để nhuộm màu.
- Bước 2: Thêm 50 ml nước máy và một lượng thuốc tẩy clo thích hợp (NaOCl 5,25 %) để làm sạch mô rễ. Ngâm rễ trong 4 phút trong dung dịch NaOCl và thỉnh thoảng khuấy đều. Hướng dẫn đề xuất về số lượng thuốc tẩy được thêm:
• 10 ml NaOCl 5,25 % cho rễ non.
• 20 ml NaOCI 5,25 % cho rễ ở độ tuổi vừa phải.
• 30 ml NaOCI 5,25 % đối với rễ già hoặc nhiều hơn.
- Bước 3: Rửa sạch rễ bằng nước máy chảy trong khoảng 45 s và sau đó ngâm chúng trong nước trong 15 phút để loại bỏ bất kỳ NaOCl còn sót lại nào có thể ảnh hưởng đến việc nhuộm bằng axit fuschin. Xả nước thật sạch và chuyển rễ vào cốc thủy tinh với 50 ml nước máy.
- Bước 4: Thêm vào trong cốc 1 ml dung dịch nhuộm axit-fuschin và đun sôi trong khoảng 30 s trên bếp hoặc trong lò vi sóng (dung dịch axit fuschin được làm bằng cách hòa tan 3,5 g axit fuschin trong 250 ml axit axetic và 750 ml nước cất).
- Bước 5: Làm nguội dung dịch đến nhiệt độ phòng, xả dung dịch vết bẩn và rửa sạch rễ dưới vòi nước máy.
- Bước 6: Trì hoãn rễ bằng cách đun sôi trong 30 ml glycerin đã được axit hóa với một vài giọt axit HCl 5 N.
- Bước 7: Phân phối rễ trong một lượng nhỏ glycerin trên nắp đĩa Petri, ấn nhẹ vào nắp bằng đáy dĩa Petri và quan sát dưới kính hiển vi để tìm kiếm tuyến trùng có trong rễ cây.
Phụ lục D
(quy định)
Đánh giá tính chịu hạn bằng kiểu hình trên cây cà phê
Đánh giá kiểu hình để xác định khả năng chịu hạn trên cây cà phê được thực hiện thông qua quan sát trạng thái biểu hiện của lá (độ khép mở; độ cương nước trong lá; màu sắc và độ nghiêng/gập của lá trên cành), mức độ rụng của lá trên cây, Đối với từng chỉ tiêu có thang đo cụ thể như sau:
- Độ gấp lá (thang đo từ 1 đến 3): 1 = mở; 2 = gấp lại ở giữa; 3 = gấp lại
- Độ cương nước trong lá (thang đo từ 1 đến 3): 1 = dày; 2 = dày trung bình; 3 = mỏng
- Màu sắc lá (thang đo từ 1 đến 3 ): 1 = xanh đậm; 2 = xanh nhạt; 3 = vàng nâu
- Độ gập lá (thang đo từ 1 đến 3): 1 = nằm ngang; 2 = nghiêng; 3 = khép
- Độ rụng lá (thang đo từ 1 đến 5): 1 = 0 %; 2 = 25 %; 3 = 50 %; 4 = 75 %; 5 = 100 %.
Các nội dung chính đánh giá kiểu hình được mô tả chi tiết theo Hình D.1.

Hình D.1 - Đánh giá tính chịu hạn bằng kiểu hình trên cây cà phê
Phụ lục E
(quy định)
Mẫu báo cáo kết quả khảo nghiệm
| TÊN TỔ CHỨC KHẢO NGHIỆM | CỘNG HÒA XÃ HỘI CHỦ NGHĨA VIỆT NAM |
| Số: ............... | ………., ngày ... tháng ... năm ..…... |
BÁO CÁO KẾT QUẢ KHẢO NGHIỆM GIỐNG CÂY TRỒNG
I. Thông tin chung
1. Tên, địa chỉ tổ chức khảo nghiệm:
2. Tên, địa chỉ tổ chức, cá nhân yêu cầu khảo nghiệm:
3. Tên giống khảo nghiệm
4 Nội dung khảo nghiệm (có kiểm soát, diện hẹp, diện rộng)
5. Vùng khảo nghiệm (đối với khảo nghiệm đồng ruộng):
II. Địa điểm, thời gian và phương pháp khảo nghiệm
1. Địa điểm và thời gian khảo nghiệm (thống kê đầy đủ các địa điểm khảo nghiệm)
| Địa điểm khảo nghiệm | Ngày trồng | Ngày kết thúc |
|
|
|
|
|
|
|
|
2. Phương pháp bố trí khảo nghiệm
Báo cáo đầy đủ, chi tiết phương pháp khảo nghiệm theo các nội dung hướng dẫn tại Điều 5).
III. Kết quả khảo nghiệm
Báo cáo đầy đủ kết quả theo dõi, đánh giá các chỉ tiêu về giá trị canh tác và giá trị sử dụng theo hướng dẫn tại 5.1, 5.2.1 và 5.2.2.
IV. Kết luận
1. Kết luận rõ giống có đạt Tiêu chuẩn về giá trị canh tác và giá trị sử dụng đối với các chỉ tiêu yêu cầu mức giới hạn không?
2. Kết luận rõ mức giá trị đạt được đối với các chỉ tiêu về giá trị canh tác và giá trị sử dụng không yêu cầu mức giới hạn, nêu rõ điều kiện khảo nghiệm để đạt mức giá trị đó.
| Tổ chức khảo nghiệm | Người viết báo cáo
|
Thư mục tài liệu tham khảo
[1] Phan Quốc Sủng (1987). Sổ tay hướng dẫn kỹ thuật trồng, chăm sóc và chế biến cà phê. Ủy ban khoa học và kỹ thuật tỉnh Đắk Lắk.
[2] Bybd Jr D. w., Kirkpatrick T., & Barker K. (1983). An improved technique for clearing and staining plant tissues for detection of nematodes. Journal of nematology, 15(1), 142.
[3] Coolen w. A., D'herde c. J. (1972). A method for the quantitative extraction of nematodes from plant tissue. A method for the quantitative extraction of nematodes from plant tissue.
[4] Leguizamon, J.E.C..R. Lotode. (1982). Contribution a I’etude de la resistance partielle du cafeiere a Hemileia vaxtatrix Berk et Br. 10e ASIC Salvador. Page 523-531.
[5] O'Bannon J H. and Taylor A. L. (1968). Migratory endoparasitic nematodes reared on carrot discs. Phytopathology 58, 385 pp.
[6] Speijer p. R. and D. De Waele (1997). Screening of Musa germplasm for resistance and tolerance to nematodes. INIBAP Technical Guidelines 1. International Network for the Improvement of Banana and Plantain, Montpellier, France. Page 17-23.
[7] Whitehead A. G., & Hemming J. R. (1965). A comparison of some quantitative methods of extracting small vermiform nematodes from soil. Annals of applied Biology, 55(1), 25-38.
Mục lục
Lời nói đầu
1 Phạm vi áp dụng
2 Tài liệu viện dẫn
3 Thuật ngữ và định nghĩa
4 Yêu cầu về giá trị canh tác và giá trị sử dụng
5 Phương pháp khảo nghiệm giá trị canh tác và giá trị sử dụng
5.1 Khảo nghiệm có kiểm soát
5.1.1 Yêu cầu chung
5.1.2 Đánh giá khả năng kháng bệnh rỉ sắt do nấm Hemileia vastatrix
5.1.3 Đánh giá khả năng chống chịu bệnh do tuyến trùng Pratylenchus coffea
5.1.4 Đánh giá khả năng chống chịu hạn
5.1.5 Xử lý số liệu thống kê
5.1.6 Báo cáo kết quả khảo nghiệm có kiểm soát
5.2 Khảo nghiệm đồng ruộng
5.2.1 Khảo nghiệm diện hẹp
5.2.2 Khảo nghiệm diện rộng
6 Yêu cầu về địa điểm, cơ sở hạ tầng và trang thiết bị phục vụ khảo nghiệm
6.1 Đối với khảo nghiệm có kiểm soát
6.2 Đối với khảo nghiệm đồng ruộng
Phụ lục A (quy định) Bảng phân loại thời gian chín của quả cà phê
Phụ lục B (quy định) Phương pháp lây nhiễm bệnh rỉ sắt trong phòng thí nghiệm và đánh giá khả năng kháng bệnh rỉ sắt trên đồng ruộng
Phụ lục C (quy định) Phương pháp nhân nuôi và phân lập tuyến trùng Pratylenchus coffea
Phụ lục D (quy định) Đánh giá tính chịu hạn bằng kiểu hình trên cây cà phê
Phụ lục E (quy định) Mẫu báo cáo kết quả khảo nghiệm
Thư mục tài liệu tham khảo
Bạn chưa Đăng nhập thành viên.
Đây là tiện ích dành cho tài khoản thành viên. Vui lòng Đăng nhập để xem chi tiết. Nếu chưa có tài khoản, vui lòng Đăng ký tại đây!
