- Tổng quan
- Nội dung
- Tiêu chuẩn liên quan
- Lược đồ
- Tải về
Tiêu chuẩn TCVN 13526:2024 Đánh giá tính độc hại gây chết người của các sản phẩm khí sinh ra khi cháy
| Số hiệu: | TCVN 13526:2024 | Loại văn bản: | Tiêu chuẩn Việt Nam |
| Cơ quan ban hành: | Bộ Khoa học và Công nghệ | Lĩnh vực: | Khoa học-Công nghệ |
| Trích yếu: | ISO 13344:2015 Đánh giá tính độc hại gây chết người của các sản phẩm khí sinh ra khi cháy | ||
|
Ngày ban hành:
Ngày ban hành là ngày, tháng, năm văn bản được thông qua hoặc ký ban hành.
|
29/10/2024 |
Hiệu lực:
|
Đã biết
|
| Người ký: | Đang cập nhật |
Tình trạng hiệu lực:
Cho biết trạng thái hiệu lực của văn bản đang tra cứu: Chưa áp dụng, Còn hiệu lực, Hết hiệu lực, Hết hiệu lực 1 phần; Đã sửa đổi, Đính chính hay Không còn phù hợp,...
|
Đã biết
|
TÓM TẮT TIÊU CHUẨN VIỆT NAM TCVN 13526:2024
Tiêu chuẩn quốc gia TCVN 13526:2024 quy định đánh giá độc hại khí sinh ra khi cháy
Ngày 29/10/2024, Bộ Xây dựng đã ban hành Tiêu chuẩn quốc gia TCVN 13526:2024 ISO 13344:2015, quy định phương pháp đánh giá tính độc hại gây chết người của các sản phẩm khí sinh ra khi cháy. Tiêu chuẩn này có hiệu lực từ ngày ban hành.
Tiêu chuẩn này áp dụng cho việc đánh giá tính độc hại của khí sinh ra khi cháy của các vật liệu trong điều kiện mô hình thí nghiệm cháy cụ thể. Các giá trị đánh giá độc hại được xác định liên quan đến môi trường thử nghiệm và không thể dùng một cách độc lập để mô tả tính độc hại trong thực tế.
Phương pháp đánh giá độc hại không sử dụng động vật
Tiêu chuẩn không yêu cầu thử nghiệm trên động vật, thay vào đó, sử dụng dữ liệu đã được công bố liên quan đến tác động của khí độc trên động vật. Những thông số chính bao gồm: FED (liều gây tử vong) và LC50 (nồng độ bệnh lý gây chết 50% động vật). Tiêu chuẩn cũng đã thống nhất sử dụng các giá trị tính toán từ môi trường khí cháy, như carbon monoxide (CO), carbon dioxide (CO2), và các loại khí độc hại khác, để đánh giá mức độ độc hại.
Kết quả phân tích và ứng dụng
Phương pháp này được thiết kế để cung cấp dữ liệu cho việc đánh giá mối nguy khi cháy, hỗ trợ trong nghiên cứu và phát triển các sản phẩm. Mặc dù các dữ liệu này không phải là dấu hiệu trực tiếp cho độc tính của sản phẩm thương mại, chúng cung cấp thông tin cần thiết để đánh giá an toàn cho con người trong điều kiện khẩn cấp.
Ngoài ra, bảng dữ liệu trong phụ lục trình bày các giá trị LC50 của một số khí độc sinh ra từ cháy như CO, HCN, HCl, và nhiều loại khí khác, giúp định hướng cho việc đánh giá và ứng phó trong môi trường cháy.
Cảnh báo về an toàn trong thử nghiệm
Việc thực hiện các hoạt động trong môi trường thử nghiệm phải luôn tuân thủ những quy định về an toàn, đảm bảo rằng các sản phẩm khí độc hại không bị phát tán ra ngoài. Người thực hiện phải có trách nhiệm tuân thủ các quy định về bảo vệ sức khỏe trong suốt quá trình thực hiện thí nghiệm.
Tiêu chuẩn TCVN 13526:2024 hướng đến tạo ra một phương pháp chuẩn mực trong việc đánh giá mức độ độc hại của khí sản sinh từ cháy, từ đó góp phần bảo vệ sức khỏe cộng đồng và an toàn trong các tình huống liên quan đến cháy.
Tải tiêu chuẩn Việt Nam TCVN 13526:2024
TIÊU CHUẨN QUỐC GIA
TCVN 13526:2024
ISO 13344:2015
ĐÁNH GIÁ TÍNH ĐỘC HẠI GÂY CHẾT NGƯỜI CỦA CÁC SẢN PHẨM KHÍ SINH RA KHI CHÁY
Estimation of the lethal toxic potency of fire effluents
Lời nói đầu
TCVN 13526:2024 hoàn toàn tương đương ISO 13344:2015.
TCVN 132526:2024 do Viện Vật liệu xây dựng - Bộ Xây dựng biên soạn, Bộ Xây dựng đề nghị, Tổng cục Tiêu chuẩn Đo lường Chất lượng thẩm định, Bộ Khoa học và Công nghệ công bố.
Lời giới thiệu
Quá trình nhiệt phân hoặc cháy của tất cả các vật liệu dễ cháy tạo ra môi trường khí sinh ra khi cháy, với nồng độ đủ cao thì sẽ trở nên độc hại. Do vậy, cần phải thiết lập một tiêu chuẩn phương pháp thử nghiệm để đánh giá tính độc hại của các sản phẩm khí sinh ra khi cháy.
Theo quan điểm trên phạm vi toàn cầu chống lại việc sử dụng động vật trong các thử nghiệm, phương pháp này không bắt buộc sử dụng những động vật trong quy trình thí nghiệm. Vì vậy, phần bắt buộc áp dụng của tiêu chuẩn thí nghiệm này không chỉ định việc sử dụng động vật. Mà nó chỉ đề cập đến dữ liệu động vật bị phơi độc đã được báo cáo từ tài liệu khoa học, cùng với các tính toán được sử dụng để biểu thị các kết quả thử nghiệm giống như sẽ thu được các kết quả đó nếu thí nghiệm trên động vật.
Đối với những trường hợp công nhận các kết quả thử nghiệm sử dụng động vật phơi độc có thể chọn quy trình thí nghiệm được trình bày trong Phụ lục A.
Hai thông số được tính toán sử dụng trong tiêu chuẩn này là FED (liều gây tử vong) và LC50. Khi một trong hai giá trị đó được sử dụng để phân tích về mối nguy hiểm cháy, phải đi cùng với thông tin chính để tránh nhầm lẫn. Giá trị FED được xác định dựa trên hiệu ứng độc và các loại động vật được dùng để xác định FED. Giá trị LC50 được xác định là khoảng thời gian mà những động vật bị phơi độc và loài động vật được dùng để xác định LC50.
CHÚ THÍCH 1: LC50 là nồng độ độc chất trong không khí gây tử vong 50% động vật thử nghiệm trong một khoảng thời gian phơi độc xác định (Theo Mục 4.207, ISO 13943:2008).
CHÚ THÍCH 2: FED-Liều hiệu dụng phân số: là tỷ số của liều lượng phơi nhiễm một sản phẩm cháy hoặc hỗn hợp sản phẩm cháy trên liều lượng phơi nhiễm dự đoán gây ra một số hiệu ứng xác định ở đối tượng bị phơi nhiễm có mức nhạy cảm trung bình (Theo Mục 4.106, ISO 13943:2008).
ĐÁNH GIÁ TÍNH ĐỘC HẠI GÂY CHẾT NGƯỜI CỦA CÁC SẢN PHẨM KHÍ SINH RA KHI CHÁY
Estimation of the lethal toxic potency of fire effluents
1 Phạm vi áp dụng
Tiêu chuẩn này quy định phương pháp đánh giá tính độc hại gây chết người của các sản phẩm khí sinh ra khi cháy được tạo ra từ một vật liệu khi đặt trong điều kiện chảy xác định của mô hình thí nghiệm cháy. Các giá trị tính độc hại đối với sức khỏe chỉ liên quan cụ thể đến mô hình thí nghiệm cháy được chọn kịch bản lộ lửa và vật liệu được đánh giá.
Tính độc hại gây chết người liên quan đến những con chuột bị phơi nhiễm độc trong 30 min được xác định nhờ tính toán, thông qua phân tích dữ liệu môi trường khí khi xảy ra cháy, đối với khí CO, CO2, O2, và (nếu có) HCN, HCI, HBr, HF, SO2, NO2, acrolein và focmal dehyt. Từ thành phần hóa học của mẫu thử có thể dự đoán được các sản phẩm khí khác để định lượng và đưa vào kết quả phân tích. Nếu không thể quy tính độc hại của khí sinh ra khi cháy cho các chất độc đã được phân tích (Phụ lục A), thì cần xem xét đến các chất độc hoặc các yếu tố khác.
Tiêu chuẩn này được áp dụng để đánh giá tính độc hại đối với sức khỏe con người của các sản phẩm khí ra khi đốt cháy các vật liệu, sản phẩm, hoặc cấu kiện trong điều kiện phòng thí nghiệm được kiểm soát và không nên sử dụng độc lập để mô tả hoặc đánh giá tính độc hoặc rủi ro của các loại vật liệu, các sản phẩm hoặc các cụm vật liệu trong điều kiện cháy thực tế. Tuy nhiên, các kết quả thử nghiệm này có thể được dùng làm các yếu tố trong đánh giá các mối nguy hiểm khi cháy trong đó có tính đến tất cả các yếu tố phù hợp với đánh giá độc tính khi cháy của một sản phẩm; xem ISO 19706.
Mục đích sử dụng các tính toán kỹ thuật an toàn cháy là để dự đoán về an toàn sinh mạng con người và thường xem xét trong khoảng thời gian phơi độc ít hơn 30 min. Tính toán ngoại suy giữa các loài và giữa các khoảng thời gian phơi độc khác nhau không thuộc phạm vi áp dụng của tiêu chuẩn này.
Tiêu chuẩn này không nhằm mục đích để giải quyết tất cả các vấn đề an toàn liên quan đến việc sử dụng của nó. Trách nhiệm của người sử dụng tiêu chuẩn này là phải đưa ra các quy định thực hành phù hợp về mặt an toàn và sức khỏe.
2 Tài liệu viện dẫn
Các tài liệu viện dẫn sau là cần thiết khi áp dụng tiêu chuẩn này. Đối với tài liệu ghi năm công bố thì áp dụng bản được nêu. Đối với các tài liệu viện dẫn không ghi năm công bố thì áp dụng phiên bản mới nhất, bao gồm cả các sửa đổi, bổ sung (nếu có).
ISO 13571, Life-threatening components of fire - Guidelines for the estimation of time to compromised tenability in fines (Các thành phần của đám cháy đe dọa tới sự sống - Hướng dẫn tính toán thời gian để tồn tại trong khói bụi);
ISO 13943:2008, Fire safety - Vocabulary (An toàn cháy - Từ vựng);
ISO 19701, Methods for sampling and analysis of fire effluents (Phương pháp lấy mẫu và phân tích các sản phẩm khí sinh ra khi cháy);
ISO 19702, Guidance for sampling and analysis of toxic gases and vapours in fire effluents using Fourier transform infrared (FTIR) spectroscopy (Hướng dẫn lấy mẫu và phân tích các loại khí độc hại và hơi trong khói thải sử dụng quang phổ hồng ngoại (FTIR) biến đổi Fourier);
ISO 19706, Guidelines for assessing the fire threat to people (Hướng dẫn đánh giá các mối nguy hại khi cháy đối với người);
3 Thuật ngữ và định nghĩa
Tiêu chuẩn này sử dụng các thuật ngữ, định nghĩa nêu trong ISO 13943:2008.
4 Nguyên tắc
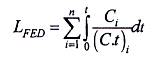
4.1 Theo phương pháp này mẫu thử phải chịu tác động của các điều kiện cháy theo một mô hình đám cháy vật lý cụ thể.
Nồng độ của các khí độc chính trong khí sinh ra khi cháy được theo dõi trong khoảng thời gian 30 min, với tổng lượng khí (C.t) trong mỗi thời gian được xác định bằng cách lấy tích phân diện tích tương ứng phía dưới đường nồng độ theo thời gian. Sau đó, tổng lượng khí (C.t), cùng với giá trị mất khối lượng hoặc giảm khối lượng của mẫu thử trong suốt quá trình thử nghiệm được sử dụng trong tính toán để dự đoán chỉ số LC50 trong 30 min của mẫu thử.
4.2 Do có thể có các chất độc khác ngoài những chất đo được nên giá trị LC50 này được coi là giá trị cực đại.
Nếu công thức hóa học và kinh nghiệm chuyên môn cho rằng các chất độc hại khác thêm vào có thể góp phần đáng kể vào giá trị LC50, thì tính chính xác của giá trị LC50 dự đoán đó có thể được xác định thông qua một thử nghiệm sinh học (xem Phụ lục A). Từ sự giống nhau trong phạm vi tính không chắc chắn của thực nghiệm, tính độc hại gây chết người của khói được quy cho các chất độc đang được xem xét.
4.3 Độ độc hại được đánh giá từ dữ liệu phân tích sản phẩm cháy mà không dựa trên thí nghiệm với động vật. Phương pháp như vậy dựa vào nhiều thử nghiệm trên chuột bị phơi nhiễm tiếp xúc với các sản phẩm khí khi cháy thông thường, cả khí đơn lẻ và hỗn hợp khí; xem tham khảo[1]. Nguyên tắc có thể được thể hiện bằng toán học như trong công thức (1); xem tham khảo[2]:
|
| (1) |
Trong đó:
Ci là nồng độ tính bằng microlit trên lít, ký hiệu (μL/L), của chất độc thứ, i;
(C.t)i là tích giữa nồng độ và thời gian tính bằng microlit trên lít, ký hiệu (μL/L) nhân với số phút, cho liều lượng phơi nhiễm cụ thể cần thiết để tạo ra hiệu ứng độc tính.
Trong phương pháp thử nghiệm này, khi loại bỏ về mặt trị số 30 min thì FED đơn giản là tỷ lệ giữa nồng độ trung bình của một chất khí độc và giá trị LC50 trong cùng thời gian phơi nhiễm. Khi FED =1, hỗn hợp các khí độc gây tử vong cho 50 % các loài động vật bị phơi nhiễm.
5 Ý nghĩa và công dụng
5.1 Phương pháp thử nghiệm này đã được thiết kế để cung cấp dữ liệu sử dụng trong việc đánh giá mối nguy cháy theo độc tính gây chết người như một phương tiện để đánh giá vật liệu, sản phẩm cũng như để hỗ trợ trong nghiên cứu và phát triển các sản phẩm đó.
Bản thân các dữ liệu này không phải là một dấu hiệu về độc tính nguy hại hoặc có liên quan tới độc tính nguy hại của sản phẩm thương mại.
5.2 Sử dụng phương pháp này để dự đoán LC50 của các sản phẩm khí sinh ra khi cháy được tạo ra khi một vật liệu hoặc sản phẩm tiếp xúc với lửa.
Có thể cần phải xác nhận lại bằng thực nghiệm xem liệu các khí độc chính có thể giải thích cho những hiệu ứng nhiễm độc quan sát được cũng như nguy cơ độc hại gây chết người (xem Phụ lục A).
5.3 Những giá trị dự báo LC50 được xác định trong phương pháp thử nghiệm này chỉ liên quan tới mô hình thí nghiệm cháy được sử dụng.
5.4 Phương pháp thử nghiệm này không nhằm giải thích độc tính khi thay đổi kích thước hạt/sol khí, vận chuyển các sản phẩm khí sinh ra khi cháy, sự phân tán hay lắng, hoặc sự thay đổi nồng độ của bất kỳ thành phần các sản phẩm khí sinh ra khi cháy như là một hàm số của thời gian có thể xảy ra trong đám cháy thực tế.
5.5 Xu hướng của các sản phẩm khí sinh ra khi cháy từ bất kỳ vật liệu nào cũng đều có cùng ảnh hưởng lên người và chuột trong các kịch bản lộ lửa chỉ có thể được suy luận trong phạm vi tương quan giữa hệ thống sinh học của chuột và người.
5.6 Phương pháp thí nghiệm này không nhằm chỉ ra bất kỳ ảnh hưởng thứ cấp gây chết người của khói, ví dụ như, gây kích ứng vùng hô hấp và các giác quan, làm giảm khả năng vận động, bị thương do nhiệt hoặc bức xạ nhiệt,....
5.7 Phương pháp thí nghiệm này không nhằm giải quyết các tác động lâu dài gây chết người của việc phơi nhiễm trong khói hoặc các tác động do phơi nhiễm mãn tính gây chết người do khói.
5.8 Các giá trị FED, LFED, được đánh giá theo phương pháp này khác với những giá thu được bằng cách sử dụng phương trình nêu trong ISO 13571. Các giá trị thu được ở đây được lấy từ dữ liệu tử vong ở chuột. Còn các giá trị FED từ ISO 13571 có được nhờ sự đánh giá thống nhất về những tác động gây mất năng lực của các khí khi cháy đối với người.
6 Thiết bị
6.1 Mô hình thí nghiệm cháy
6.1.1 Mô hình thí nghiệm cháy, hoặc thiết bị đốt cháy trong phòng thí nghiệm, và các điều kiện vận hành mô hình đó phải được chọn sao cho có liên quan đến một hay nhiều loại hoặc giai đoạn cháy như định nghĩa và mô tả trong ISO 19706.
6.1.2 Khi thu thập dữ liệu về các sản phẩm khí sinh ra khi cháy từ quá trình đốt cháy của một sản phẩm hoặc cụm sản phẩm thương mại, không phải là vật liệu đồng nhất, thì hình thức và trạng thái của các mẫu thử trong mô hình thí nghiệm cháy phải tương ứng với sự lộ lửa thích hợp của sản phẩm hoặc cụm sản phẩm thương mại đó.
6.1.3 Độ lặp lại và độ tái lập trong thí nghiệm liên phòng của mô hình thí nghiệm cháy phải được chứng minh là nằm trong phạm vi tính biến động khi tính toán giá trị FED đối với những khí kích ứng và gây ngạt trong ISO 13571.
6.1.4 Mô hình thí nghiệm cháy phải phù hợp với các yêu cầu phân tích.
6.2 Lấy mẫu khí
6.2.1 Lấy mẫu khí liên tục để đo mức CO, CO2 và O2.
6.2.2 Máy phân tích khí tối thiểu phải có dải đo như dưới đây:
- carbon monoxide, 0 % theo thể tích tới 1 % theo thể tích (0 μL/L tới 10.000 μL/L);
- carbon dioxide, 0 % theo thể tích tới 10 % theo thể tích (0 μL/L tới 100.000 μL/L);
- ôxy, 0 % theo thể tích đến 21 % theo thể tích (0 μL/L tới 210.000 μL/L).
6.2.3 Việc phân tích các chất khí khác (ví dụ, đối với HCN, HCI, HBr, NOx, SO2, acrolein, formaldehyde và một vài loại hóa chất khác) phải được thực hiện bằng một phương pháp theo hướng dẫn của ISO 19701 và ISO 19702 phù hợp với thành phần hóa học của mẫu thử và/hoặc sản phẩm cháy dự kiến.
7 Cảnh báo nguy hiểm
7.1 Quy trình thí nghiệm này liên quan đến quá trình cháy.
Do đó gây nguy hiểm cho nhân viên vận hành xuất phát từ việc hít phải sản phẩm cháy. Để tránh sự rò rỉ không mong muốn của các sản phẩm cháy độc hại ra không khí xung quanh, toàn bộ hệ thống tiếp xúc phải được đặt trong phạm vi chụp hút của phòng thí nghiệm hoặc dưới vòm thu khói.
7.2 Khả năng hoạt động bình thường của hệ thống thông gió phải được kiểm tra trước khi thử nghiệm và phải đảm bảo xả vào hệ thống thu khí với công suất phù hợp.
7.3 Nhân viên vận hành phải có trách nhiệm đảm bảo rằng họ tuân thủ tất cả các quy định phù hợp về giải phóng và/hoặc thải bỏ các sản phẩm cháy hoặc khí sinh ra khi cháy.
8 Mẫu thử
8.1 Các mẫu thử phải được chuẩn bị theo những giới hạn và điều kiện vận hành áp dụng cho mô hình thí nghiệm cháy được sử dụng và có tính đến ứng dụng cuối cùng của sản phẩm được kiểm tra.
8.2 Mẫu thử phải ổn định trong điều kiện nhiệt độ phòng tại (23 ± 3) °C và độ ẩm tương đối (50 ±10) % trong ít nhất 24 h trước khi thử nghiệm hoặc cho đến khi khối lượng không đổi.
9 Hiệu chuẩn thiết bị
9.1 Hiệu chuẩn mô hình thí nghiệm cháy được thực hiện phù hợp với phương thức vận hành áp dụng cho mô hình thí nghiệm cháy.
9.2 Hiệu chuẩn máy phân tích khi được thực hiện vào lúc bắt đầu của mỗi lần thử nghiệm.
9.2.1 Các máy phân tích khí (O2, CO2 và CO) sẽ được hiệu chuẩn bằng khí nitơ quy về không và một hỗn hợp khí có hàm lượng xấp xỉ nhưng nhỏ hơn khả năng đo tối đa của máy.
Đối với tất cả các hiệu chuẩn, khí phải được thiết lập theo lưu lượng và áp lực như nhau trong suốt quá trình thử. Để hiệu chuẩn máy phân tích khí O2 thì dùng không khí từ môi trường xung quanh (20,9 % O2 theo thể tích không khí khô), còn hiệu chuẩn các máy phân tích khí CO2 và CO thì dùng khí đóng chai chứa CO2 hoặc CO có nồng độ biết trước theo yêu cầu. Hỗn hợp duy nhất chứa cả khí CO và CO2 có thể được sử dụng. Trong suốt quá trình hiệu chuẩn, các dòng hồi lưu sẽ được chuyển hướng vào một ống thoát khí để ngăn chặn sự tích tụ không mong muốn của khí CO và CO2 trong buồng tiếp xúc.
9.2.2 Phải thực hiện hiệu chuẩn thiết bị dùng để phân tích các khí khác (ví dụ, HCN, HCI và HBr) theo hướng dẫn sử dụng nêu trong ISO 19701 hoặc ISO 19702.
10 Cách tiến hành
10.1 Quy định chung
10.1.1 Các điều kiện thử nghiệm trong mô hình thí nghiệm cháy phải giống các điều kiện cháy trong giai đoạn cháy dự kiến.
10.1.2 Việc lựa chọn kích thước mẫu cho những thử nghiệm ban đầu được đưa ra với sự tính toán để thu được lượng độc tố với giá trị LFED từ 0,7 đến 1,3 (xem Điều 11) trong khoảng thời gian thử nghiệm 30 min là đạt yêu cầu. Sử dụng phân tích dữ liệu từ ít nhất ba lần thử để tính giá trị LC50 dự báo cho mẫu thử nghiệm (Điều 12) để kiểm tra độ nhạy của kích thước mẫu tới điều kiện cháy trong thiết bị thử nghiệm.
10.2 Chuẩn bị thử nghiệm
Chuẩn bị thử nghiệm được tiến hành theo quy trình vận hành của mô hình thí nghiệm cháy.
10.3 Quy trình thử nghiệm để thu thập dữ liệu
10.3.1 Cân mẫu thử đã được ổn định và đưa vào các điều kiện vận hành của mô hình thí nghiệm cháy.
10.3.2 Theo quy định tại Điều 12, thu thập dữ liệu phân tích cho tổng thời gian là 30 min từ khi bắt đầu thử nghiệm hoặc khi các điều kiện cháy đạt được giống như giai đoạn cháy (xem 6.1.1) được thiết lập trong thiết bị thử nghiệm.
10.3.3 Dập tắt lửa cho phần mẫu thử, gỡ bỏ phần còn lại khỏi khay chứa mẫu và để nguội ở dưới chụp hút khói thải về nhiệt độ phòng.
Cân lượng mẫu còn lại sau khi đã làm nguội. Sử dụng những loại cân phù hợp để đo được khối lượng chính xác của mẫu thử chưa bị đốt cháy, chấp nhận việc một số mẫu có thể bị mất khỏi khay chứa mẫu do nổ hoặc vỡ.
11 Tính kết quả
11.1 Nguyên tắc chung
Nồng độ gây tử vong (LC50) của các sản phẩm khí sinh ra khi cháy từ mẫu thử được tính toán từ dữ liệu phân tích của các khí khi cháy như CO, CO2, O2 và HCN, HCI cùng những chất độc khác nếu có. Điều này được thực hiện cho khối lượng mẫu thử xác định bằng cách trước tiên tính giá trị FED của phép thử và sau đó giá trị LC50 được tính toán khối lượng mẫu có thể tạo ra giá trị FED = 1 trong thể tích 1 m3.
11.2 Tính toán giá trị FED
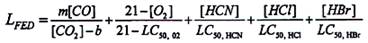
11.2.1 Hai phương trình được xây dựng để đánh giá độc tính gây tử vong trong 30 min của FED từ các thành phần hóa học của môi trường trong mô hình thí nghiệm cháy. Mỗi phương trình bắt đầu với quy tắc lấy tổng các liều lượng gây chết người của hầu hết các khí, được phát triển bởi Tsuchiya và cộng sự [3].
11.2.2 Công thức (2) được phát triển dựa trên kinh nghiệm của Levin và cộng sự (tổng hợp trong tài liệu tham khảo[4] với trích dẫn từ nghiên cứu gốc) từ sự phơi nhiễm của những con chuột trong phòng thí nghiệm dưới từng loại khí và hỗn hợp khí.
|
| (2) |
Công thức rút gọn:
![]()
Trong đó:
| m | là độ dốc của đường cong quan hệ CO với CO2, mô tả sự tăng lên của độc tính CO khi nồng độ của CO2 tăng lên; |
| b | là điểm giao nhau của đường CO và CO2, mô tả sự tăng lên của độc tính CO cũng như nồng độ tăng lên của CO2; |
| [O2] | là nồng độ O2, tính bằng micrôlít trên lít (μL/L); |
| [HCN] | là nồng độ HCN, tính bằng micrôlít trên lít (μL/L); |
| [HCL] | là nồng độ HCl, tính bằng micrôlít trên lít (μL/L); |
| [HBr] | là nồng độ HBr, tính bằng micrôlít trên lít (μL/L); |
| [CO] | là nồng độ CO, tính bằng micrôlít trên lít (μL/L); |
| [CO2] | là nồng độ CO2, tính bằng micrôlít trên lít (μL/L); |
| LC50, HCN | là giá trị LC50 đối với HCN, tính bằng micrôlít trên lít (μL/L); |
| LC50,hcl | là giá trị LC50 đối với HCl, tính bằng micrôlít trên lít (μL/L); |
| LC50, HBr | là giá trị LC50 đối với HBr, tính bằng micrôlít trên lít (μL/L). |
Giá trị của m và b phụ thuộc vào nồng độ của CO2. Nếu nồng độ CO2 ≤ 5 % thể tích thì m = -18 và b = 122 000 (μL/L). Nếu nồng độ CO2 > 5 % thể tích thì m = 23 và b = - 38 600 (μL/L). Giá trị này được xác định qua mô hình nghiên cứu đã được xuất bản bởi Pauluhn®.
CHÚ THÍCH 1: Giá trị nồng độ của tất cả các khí là những giá trị tích của (C.t) được tích phân theo đường cong nồng độ-thời gian tương ứng của chúng trong chu kỳ thử nghiệm 30 min rồi chia cho 30. Với mỗi độc tố, LC50 là giá trị thống kê xác định từ các số liệu thử nghiệm độc lập gây tử vong 50 % động vật thử nghiệm (chuột) khi phơi nhiễm trong vòng 30 min và sau phơi nhiễm 14 ngày.
CHÚ THÍCH 2: Mô hình này nói về độ độc tính của khói có thể xấp xỉ bằng sự góp phần của một lượng nhỏ khí đã được đặt tên là "N Gas Model" do Viện Tiêu chuẩn công nghệ quốc gia Hoa kỳ đưa ra. “N Gas Model" xem xét ảnh hưởng của CO2 trong độc tính của CO, dựa theo kinh nghiệm từ những nghiên cứu về chuột bị phơi nhiễm được tiến hành tại NIST. Công thức (2) cũng đề cập tới sự suy giảm rõ rệt của O2 trong ống thông hơi là đáng chú ý. Kiểm tra một loạt các thí nghiệm khí độc tinh khiết trong đó đưa ra các giá trị khác nhau của những con chuột bị chết chỉ ra rằng giá trị FED trung bình sử dụng tính toán “N-Gas” là 1.07 tại đó một nửa số động vật thử nghiệm bị chết. Khoảng tin cậy 95 % là 0.25. Xem tham khảo[4]
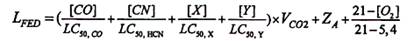
11.2.3 Công thức (3) được phát triển bởi Purser, khớp dữ liệu LC50 của chuột đạt được chủ yếu bởi Levin et al[4] Kapland và Hartzell [7].
|
| (3) |
Trong đó:
| [CN] | Là nồng độ HCN, biểu diễn bằng đơn vị micrôlít trên lít (μL/L), được điều chỉnh bởi sự có mặt của nhóm các hợp chất hữu cơ (nitrile) và hiệu ứng bảo vệ của NO2, và bằng với lượng [HCN] cộng với [tổng các hợp chất hữu cơ] trừ đi [NO2]; |
| [X] | Là nồng độ, tính bằng micrôlít trên lít (μL/L), của mỗi khí acid; |
| [Y] | Là nồng độ , tính bằng micrôlít trên lít (μL/L), của mỗi chất kích thích hữu cơ; |
| LC50,X | Là lượng LC50, tính bằng micrôlít trên lít (μL/L), của mỗi khí kích thích acid; |
| LC50,Y | Là lượng LC50, tính bằng micrôlít trên lít (μL/L), của mỗi chất kích thích hữu cơ; |
| [CO2] | Là nồng độ CO2, tính bằng phần trăm (%) thể tích; |
| VCO2 | Là tích của các thành tố của CO2, bằng 1 + e[(0,14.CO2)-1]/2; |
| ZA | Là yếu tố nhiễm acid bằng với CO2 x 0,05. |
Sử dụng giá trị của LC50 trong 30 min trong công thức (3) nêu trong Bảng 1
Bảng 1 - Giá trị LC50 trong 30 min của chuột
| Sản phẩm khí sinh ra khi cháy | LC50 trong 30 min (μL/L) |
| CO | 5 700 |
| HCN | 165 |
| HCl | 3 800 |
| HBr | 3800 |
| HF | 2900 |
| SO2 | 1 400 |
| NO2 | 170 |
| Acrolein | 150 |
| Formaldehyde | 750 |
CHÚ THÍCH 1: Công thức (2) và (3) đưa ra các giá trị khác nhau của FED cho một tập hợp nồng độ khí đầu vào. Có sự khác biệt nhỏ về giá trị LC50 của HCN, HCl và HBr, những khác biệt đó nằm trong trong giới hạn không chắc chắn của các thí nghiệm từ đó các giá trị nêu trong 11.2.2 được lập ra. Không có giới hạn độ tin cậy có sẵn cho công thức (3).
CHÚ THÍCH 2: Có nhiều sự khác biệt về các chức năng trong phương pháp [CO] , [CO2] và sự cạn kiệt O2 bao gồm trong công thức (2) và (3). Do đó sẽ có khác biệt về giá trị tính toán của FED trong việc sử dụng hai phương trình. Đối với các đám thông gió tốt, cháy toàn diện, [CO2] < 3 % dung tích và [CO]/[CO2] < 0,1), những khác biệt trong tính toán chỉ số FED nằm trong giới hạn ± 20 %. Như sự thoát khí trở nên hạn chế hơn, các giá trị FED vi thế cũng khác biệt, tăng lên, ví dụ tiếp cận yếu tố hai của [CO2] bằng 10 % dung tích và [CO]/[CO2] = 0,5. Khi giá trị FED lớn hơn một rất nhiều là không tương thích với thời gian tồn tại cho những khoảng thời gian gần 30 min, sự sai số chênh lệch giữa hai phương trình tính là ± 30 % cho giá trị FED xấp xỉ bằng một.
11.3 Tính toán LC50 dự đoán
11.3.1 Các dự đoán mỗi chu kỳ 30 min của LC50 cho mỗi mẫu thử nghiệm trong một chuỗi các thử nghiệm được tính toán trong công thức (4).
|
| (4) |
Trong đó:
M mất khối lượng cụ thể, tính bằng gam (g);
V tổng thể thích tính khí tính bằng m3 trong điều kiện nhiệt độ và áp suất tiêu chuẩn. Đối với mỗi một hệ thống kín, đây là thể tích buồng chứa của thiết bị, đối với một hệ thống hở (thổi qua), đây là tổng lưu lượng trong suốt quá trình cháy của mẫu thử.
Kết quả dự đoán của LC50 tính bằng đơn vị gam trên mét khối (g/m3).
Các giá trị FED sử dụng trong công thức (4) nằm trong khoảng từ 0,5 đến 1,5 để giảm thiểu sai số do ngoại suy gây ra bởi việc sử dụng các nồng độ khí độc tương ứng vượt quá mức cực tiểu hoặc cực đại.
11.3.2 Kinh nghiệm trước đây cho thấy sự chính xác của giá trị LC50 được xác định theo cách này là ± 30 % nếu đo được và đưa vào tính toán nồng độ của tất cả các chất độc có tham gia.
Tuy nhiên, nếu có các chất độc hại được thêm vào số những chất đã được tính đến trong công thức (2) và (3), thì sự không chắc chắn phải được xác định cụ thể cho mẫu đó, như sử dụng một xét nghiệm sinh học theo mô tả ở Phụ lục A.
12 Báo cáo thử nghiệm
12.1 Trong báo cáo thử nghiệm phải gồm ít nhất những thông tin sau cho mỗi chuỗi thử nghiệm:
a) tên và địa chỉ phòng thí nghiệm;
b) tên người chịu trách nhiệm thử nghiệm;
c) đánh số thí nghiệm và ngày tháng;
d) điều kiện phòng thí nghiệm (nhiệt độ và độ ẩm);
e) mô tả về mẫu thử nghiệm, bao gồm yếu tố cơ bản về hình dạng cũng như điều kiện liên quan đến việc sử dụng sau cùng của sản phẩm được kiểm tra;
f) mô hình thí nghiệm cháy và điều kiện hoạt động, bao gồm tài liệu liên quan đến mô hình được lựa chọn;
g) nhiệt độ trung bình của buồng khói thiết bị;
h) nhiệt độ lớn nhất của buồng khói và thời gian đạt đến mức nhiệt độ đó;
i) khối lượng mẫu ban đầu và mất khối lượng trong suốt quá trình thử nghiệm, biểu diễn bằng đơn vị (g/m3) của thể tích không khí, bao gồm quan sát quá trình mất khối lượng từ khay để mẫu hơn là quá trình cháy;
j) bất kỳ quan sát mẫu nào của mẫu bao gồm tan chảy, tạo thành tro, nứt vỡ, bốc cháy bất thường và tái bùng cháy;
k) dữ liệu phân tích khí, bao gồm tích hợp giá trị sản phẩn (C.t) qua các thử nghiệm đạt trên 30 min cho phân tích các độc tính, nồng độ O2 tối thiểu, và nồng độ CO2 tối đa. Thời gian để đạt được lượng O2 tối thiểu và CO2 tối đa. Phương pháp sử dụng để phân tích nên được chỉ rõ;
l) tính toán của:
1) tích (C.t) của mỗi phân tích độc tố;
2) tích (C.t) của mỗi độc tố được phân tích chia cho 30 min;
3) chỉ rõ sử dụng công thức (2) hay công thức (3);
4) số của FED của mỗi thử nghiệm, và
5) dự đoán LC50 ghi rõ trong phương pháp tính toán đã được sử dụng;
m) tùy chọn, vẽ sơ đồ của từng nồng độ độc tố riêng biệt, mất khối lượng mẫu và nhiệt độ theo hàm của thời gian;
p) viện dẫn tiêu chuẩn này.
12.2 Báo cáo thử nghiệm phải cung cấp được giá trị dự đoán lượng LC50 tốt nhất được tính toán từ kết quả của các thử nghiệm.
Giá trị này thực hiện nhờ phân tích hồi quy tuyến tính của một biểu đồ khối lượng của mẫu với giá trị FED, giá trị khối lượng tương ứng một FED bằng với một sau đó được sử dụng trong công thức (4) để tính toán giá trị dự báo giá trị là tốt nhất của LC50.
13 Độ chụm và độ chệch
13.1 Độ chụm của giá trị tính độc hại đối với sức khỏe từ mỗi mô hình thí nghiệm cháy phải được xác định riêng. Sai số cho phép khi sử dụng công thức (2), (3) và (4) là ± 30 %.
13.2 Độ chệch của phương pháp thử nghiệm này chưa xác định được do không có mẫu vật liệu chuẩn được chấp thuận sử dụng để thực hiện các phép đo đó.
Phụ lục A
(tham khảo)
Xét nghiệm sinh học tùy chọn để xác nhận các giá trị LC50 dự đoán
A.1 Tổng quan
Dự bảo LC50 có thể được xác nhận bằng thí nghiệm, để hỗ trợ cho việc đóng góp các độc tính gây chết người của khói tới việc ghi nhận lượng độc tố. Khả năng sử dụng động vật phơi nhiễm để xác nhận giá trị dự báo LC50 là có ý liên quan đến sự cẩn trọng tổng quát như là quyết định của các chuyên gia được đào tạo và có kinh nghiệm. Quyết định thực hiện trên động vật phải bảo vệ được cả hai quan điểm về nhu cầu thông tin có thể thu thập được và giá trị của nó đối với sự an toàn của con người. Rủi ro của việc không thực hiện thí nghiệm trên động vật phơi nhiễm là độc tính sẽ không được đánh giá đúng mức khi có sự xuất hiện của chất độc lạ. Việc đánh giá không đúng mức này làm hạ thấp cho những thay đổi nhỏ trong công thức chế tạo sản phần và tính năng cao hơn cho các polyme mới hoặc những polyme mới có phụ gia . Vì vậy có thể việc sử dụng trên động vật phơi nhiễm và nên giảm thiểu hoặc thậm chí phải tránh ngoại trừ đối với những trường hợp mà ở đó những đánh giá chuyên môn chỉ ra những tác động rõ rệt nếu không thực hiện những thử nghiệm xác nhận.
Người sử dụng có trách nhiệm đặt ra quy trình thí nghiệm thích hợp và xác định rõ khả năng áp dụng những giới hạn quy định, đặc biệt tính đến việc chăm sóc và sử dụng các động vật thí nghiệm trước khi sử dụng. Các giá trị dự báo LC50 được xác nhận bằng thực nghiệm cũng phải được kết hợp với những quy trình thí nghiệm nghiêm ngặt của các phòng thí nghiệm (xem phần tham khảo[8] và[9]) để đảm bảo chất lượng và tính nguyên vẹn của dữ liệu thu được và gắn với việc áp dụng những quy định liên quan đến chăm sóc và sử dụng động vật thử nghiệm.
A.2 Hướng dẫn chung
A.2.1 Động vật thử nghiệm phải là chuột đực hoặc cái, có cùng huyết thống, khỏe mạnh, mới trưởng thành (xem A.3.3 cho việc sử dụng chuột làm thí nghiệm).
Chuột thí nghiệm phải được lấy từ nhà cung cấp có uy tín để chứng nhận những động vật đó không có mầm bệnh.
A.2.2 Nuôi dưỡng và chăm sóc động vật phải được thực hiện bởi những người có chuyên môn phù hợp cùng chỉ dẫn có liên quan.
Lồng nhốt cho động vật phải phù hợp với nghiên cứu về loại này.
A.2.3 Khi tiếp nhận, các loại động vật phải được đánh số, cân, và nhốt ở những khu vực cách ly tối thiểu năm ngày trước khi thử nghiệm.
Việc phân chia lồng nhốt sẽ được thực hiện ngẫu nhiên. Trong suốt quá trình cách ly, động vật phải được quan sát thường xuyên. Những con không phù hợp vì những lý do như kích cỡ, sức khỏe hay những tiêu chuẩn khác không được sử dụng. Tăng cân trong khoảng thời gian từ khi đến và trước khi thử nghiệm là một dấu hiệu sức khỏe tốt.
A.2.4 Động vật nên được nuôi nhốt mỗi con trong một lồng. Nếu không thực hiện được điều này thì chuẩn bị sẵn những phương pháp nhận dạng hợp lý.
Môi trường phải có hệ thống thông khí phù hợp để kiểm soát nhiệt độ ở (23 ± 3) °C và phải có độ ẩm tương đối là (50 ± 15) %. Lồng nhốt của động vật phải có chu kỳ sáng tối 12 h.
A.2.5 Quan sát động vật, xác định cân nặng và việc sát sinh động vật phải được thực hiện theo những chỉ dẫn được công nhận, như là chỉ dẫn của OECD về việc thử nghiệm hóa học[8] và quy trình thực hành thí nghiệm[9].
A.2.6 Trước khi cho phơi nhiễm, động vật phải được cân, cố định các bộ phận của đầu hoặc chỉ để mũi phơi nhiễm khi đặt động vật vào buồng phơi nhiễm.
Hệ thống giữ động vật phải không được gây ra những căng thẳng thể chất quá mức.
A.2.7 Không được áp dụng các điều kiện thử nghiệm liên quan đến hàm lượng ô xy và nhiệt độ khi chưa có sự thỏa thuận đầy đủ giữa các bên.
A.2.8 Sau khi thử nghiệm những động vật còn sống sẽ được đặt ở những lồng nhốt tách biệt khỏi những lồng nhốt của những con chưa được thử nghiệm ít nhất 14 ngày sau phơi nhiễm để quan sát.
Bất kỳ trường hợp nào bị chết trong quá trình sau phơi nhiễm phải được ghi lại.
A.2.9 Trong các thử nghiệm sử dụng phương pháp phơi nhiễm động vật, những con còn sống sẽ được theo dõi bất kỳ dấu hiệu nào ảnh hưởng bởi độc tố theo hướng dẫn của phần tham khảo[10].
A.3 Quy trình
A3.1 Quy trình thí nghiệm tiến hành sự phơi nhiễm của chuột phải được so sánh với những dữ liệu phân tích để thu được những giá trị dự báo LC50, xem Điều 6, 7, 8 ,9 và 10 của tiêu chuẩn này.
A.3.2 Như ví dụ về thực nghiệm xác nhận của giá trị dự báo LC50, cho sáu con chuột phơi nhiễm ở phần đầu, có thể phơi nhiễm với một lượng vật liệu thử nghiệm mà sự mất khối lượng trong suốt chu kỳ phơi nhiễm 30 min khoảng (70 ± 10) % và tới (130 ±10) % của dự báo trung bình LC50.
Nếu không có nhiều hơn một con chuột bị chết trong quá trình phơi nhiễm 30 min hoặc trong vòng 14 ngày sau sau phơi nhiễm, với sự mất khối lượng tương ứng với 70 % số dự báo LC50 và ít nhất năm con chuột chết trong quá trình phơi nhiễm 30 min hoặc trong vòng 14 ngày sau phơi nhiễm, với sự mất khối lượng tương ứng là 130 % lượng LC50, dự báo LC50 coi như đã được xác nhận xấp xỉ như lượng LC50. Hay nói cách khác những con chuột có thể bị phơi nhiễm với nồng độ của các sản phẩm khí sinh ra khi cháy đại diện cho dự báo LC50, với kết quả gây chết một phần coi như được xác nhận. Nếu xác nhận không thành công, hoặc không thể giải thích được hoặc nghi ngờ chất độc lạ, những kiểm tra nâng cao có thể cần được thực hiện để xác định như một căn cứ vững chắc chỉ số LC50 cho vật liệu thí nghiệm.
A3.3 Theo mục đích của phương pháp này giá trị LC50 cho mỗi khoảng 30 min phơi nhiễm của chuột là tiêu chuẩn để cho các kết quả báo cáo.
Mục đích của phương pháp là sử dụng chuột bị phơi nhiễm, nếu cần thiết để xác nhận các giá trị dự báo LC50. Tuy nhiên, thí nghiệm với các con chuột cũng được dùng để xác nhận, với điều kiện là giá trị FED được tính toán trên cơ sở của các khí độc khi chảy xác định được khi sử dụng chuột. Khi giá trị dự báo LC50 cho chuột được xác nhận qua thí nghiệm, dùng cho mục đích báo cáo, các dữ liệu phân tích sau đó phải sử dụng tính toán giá trị FED dựa trên những giá trị LC50 của chuột. Mặc dù sử dụng chuột để xác nhận giá trị dự báo LC50, kết quả thử nghiệm vẫn phải được báo cáo là giá trị LC50 trên chuột.
A.3.4 Khi thấy phù hợp trong các thử nghiệm với chuột bị phơi nhiễm, có thể lấy mẫu máu với hành vi chấp nhận được sau khi phơi nhiễm và phân tích lượng carboxyhaemoglobin bão hòa và lượng xyanua.
A.4 Biểu thị kết quả
Tham khảo Điều 11.
A.5 Báo cáo thử nghiệm
A 5.1 Ngoài dữ liệu để báo cáo việc xác định giá trị dự báo LC50 (Điều 11), các xét nghiệm sinh học phải cung cấp thêm nhưng thông tin sau:
a) chủng loại của chuột và danh tính nhà cung cấp:
b) trọng lượng của mỗi con vật khi nhận được, trước khi thí nghiệm và tại các thời điểm 7 và 14 ngày sau phơi nhiễm cho những con sống sót;
c) lượng chuột bị chết trong quá trình thử nghiệm (bao gồm 10 min sau khi thử nghiệm) và lượng chuột chết sau 14 ngày đánh giá;
d) lượng carboxyhaemoglobin bão hòa trong máu hay các giá trị máu khác nếu xác định được;
e) quan sát động vật được thực hiện hàng ngày trong quá trình thử nghiệm, ví dụ như những hành vì bất thường;
f) đánh giá ngay lập tức những quan sát về những động vật còn sống như run rẫy, co giật, khó thở, đau mắt nghiêm trọng,...
A 5.2 Báo cáo phải nêu rõ những thử nghiệm trên động vật có xác nhận hay không giá trị dự báo LC50.
Thư mục tài liệu tham khảo
[1] LEVIN B.C., PAABO M., GURMAN J.L., CLARK H., YOKLAVICH M.F. Further studies of the Toxicological Effects of Different Time Exposures to the Individual and Combined fire Gases: Carbon Monoxide, Hydrogen cyanide, and Reduced oxygen, Polyurethane’88, Proceedings of the 31st Society of Plastic Meeting, Technomic Publishing Co., Lancaster, PA (1988), pp. 249-252.
[2] HARTZELL G.E., & EMMONS H.W. The Fraction Effective Dose Model for Assessment of Toxic Hazards in Fires. J. Fire Sci. 1988, 6 pp.356-362
[3] TSUCHIYA Y., & SUMl K. Evaluation of the Toxicity of Combustion Products, Journal of Fire and Flammability. 1972, 3 pp.46-50
[4] BABRAUSKAS V. LEVIN B.C., GANN R.G., PAABO M., HARRIS R.H. PEACOCK R.D.Toxic Potency Measurement for Fire Hazard Analysis, Special Publication 827, National Institute of Standards and Technology. NIST, Gaithersburg, MD, 1991
[5] PAULUHN J.A Retrospective Analysis of Predicted and observed smoke Lethal Toxic Potency values. J.Fire Sci. 1993, 11 (2) pp. 109-130
[6] PURSER D.A. Interactions among Carbon Monoxide, Hydrogen cyanide, Low oxygen Hypoxia, Carbon Dioxide and Inhaled Irritant Gases. In: Carbon monoxide Toxicity, (PENNEY D.G. ed.). CRC Press Boca Raton, 2000, pp. 157-91.
[7] KAPLAN H.H., & HARTZELL G.E. Modelling of Toxicological Effects of Fire Gases: I.Incapacitating Effects of Narcotic Fire Gases.J. Fire Sci.1984, 2 pp.286-305
[8] OECD GUIDELLINES FOR TESTING OF CHEMICALS. Good Laboratory Practice. OECD Publication Office, Paris, France, 1981
[9] Good Laboratory Practice Regulations, Toxic substances control Act, 40 CFR Part 792
[10] KLIMISCH H.J., DOE J.E., HARTZELL G.E. PACKHAM S.C., PAULUHN J., PURSER D.A. Bioassay Procedures for Fire Effluents: Basic Principles, Criter and Methodology, J. Fire Sci. 1987, 5 (2) pp. 73-104.
Mục lục
Lời nói đầu
Giới thiệu
1 Phạm vi áp dụng
2 Tài liệu viện dẫn
3 Thuật ngữ và định nghĩa
4 Nguyên tắc
5 Ý nghĩa sử dụng
6 Thiết bị
8 Mẫu thử
9 Hiệu chuẩn thiết bị
10 Cách tiến hành
11 Biểu thị kết quả
12 Báo cáo thử nghiệm
13 Độ chính xác và sai số
Phụ lục A (tham khảo) Xét nghiệm sinh học tùy chọn để xác nhận các giá trị dự báo LC50
Thư mục tài liệu tham khảo
Bạn chưa Đăng nhập thành viên.
Đây là tiện ích dành cho tài khoản thành viên. Vui lòng Đăng nhập để xem chi tiết. Nếu chưa có tài khoản, vui lòng Đăng ký tại đây!
