- Tổng quan
- Nội dung
- Tiêu chuẩn liên quan
- Lược đồ
- Tải về
Tiêu chuẩn quốc gia TCVN 13525:2024 ISO 1716:2018 Thử nghiệm phản ứng với lửa đối với sản phẩm - Xác định tổng nhiệt lượng khi cháy (nhiệt trị)
| Số hiệu: | TCVN 13525:2024 | Loại văn bản: | Tiêu chuẩn Việt Nam |
| Cơ quan ban hành: | Bộ Khoa học và Công nghệ | Lĩnh vực: | Khoa học-Công nghệ |
| Trích yếu: | ISO 1716:2018 Thử nghiệm phản ứng với lửa đối với sản phẩm - Xác định tổng nhiệt lượng khi cháy (nhiệt trị) | ||
|
Ngày ban hành:
Ngày ban hành là ngày, tháng, năm văn bản được thông qua hoặc ký ban hành.
|
29/10/2024 |
Hiệu lực:
|
Đã biết
|
| Người ký: | Đang cập nhật |
Tình trạng hiệu lực:
Cho biết trạng thái hiệu lực của văn bản đang tra cứu: Chưa áp dụng, Còn hiệu lực, Hết hiệu lực, Hết hiệu lực 1 phần; Đã sửa đổi, Đính chính hay Không còn phù hợp,...
|
Đã biết
|
TÓM TẮT TIÊU CHUẨN VIỆT NAM TCVN 13525:2024
Tiêu chuẩn quốc gia TCVN 13525:2024 ISO 1716:2018: Quy định về thử nghiệm phản ứng với lửa cho sản phẩm
Tiêu chuẩn quốc gia TCVN 13525:2024 ISO 1716:2018, do Viện Vật liệu xây dựng - Bộ Xây dựng biên soạn và Bộ Khoa học và Công nghệ công bố, quy định phương pháp xác định tổng nhiệt lượng khi cháy (nhiệt trị) của sản phẩm trong điều kiện thể tích không đổi trong thiết bị bom đo nhiệt lượng. Tiêu chuẩn này có hiệu lực từ ngày ban hành và được áp dụng cho các sản phẩm ở dạng rắn.
Một điểm đáng chú ý trong tiêu chuẩn này là cảnh báo về nguy hiểm khi thực hiện thử nghiệm. Những người liên quan cần được đào tạo đầy đủ và tuân thủ hướng dẫn an toàn vì các phép thử với lửa có thể gây phát thải khí độc và tiềm ẩn nhiều rủi ro, như nổ hoặc cháy. Do đó, việc đánh giá mối nguy hiểm và rủi ro tiềm ẩn đối với sức khỏe con người là rất quan trọng.
Đối tượng áp dụng của tiêu chuẩn này bao gồm các sản phẩm được phân loại thành sản phẩm đồng nhất và sản phẩm không đồng nhất, với các thành phần có khối lượng và độ dày khác nhau. Điều này đòi hỏi các nhà sản xuất hoặc nghiên cứu viên phải chú ý đến đặc điểm cụ thể của mẫu thử để đảm bảo kết quả thử nghiệm chính xác.
Tiêu chuẩn bao gồm các quy trình rõ ràng để tiến hành thử nghiệm, trong đó, mẫu thử được đưa vào chén nung, và sau khi đốt cháy trong môi trường oxy, nhiệt lượng khi cháy được tính toán dựa trên sự gia tăng nhiệt độ. Các thiết bị thử nghiệm như bom đo nhiệt lượng và dụng cụ đo nhiệt độ cần phải đạt tiêu chuẩn kỹ thuật để ứng phó với áp suất và khí sinh ra trong quá trình thử nghiệm.
Kết quả thử nghiệm sẽ được biểu thị dưới dạng tổng nhiệt lượng khi cháy, có đơn vị là megajoul trên kilogam (MJ/kg), giúp người dùng hiểu rõ hơn về khả năng phản ứng với lửa của sản phẩm. Đặc biệt, nếu sản phẩm chứa thành phần nhôm hoặc kim loại khác, cần tuyệt đối không thử nghiệm trong bom đo nhiệt lượng do tính chất dễ gây thương tích nghiêm trọng.
Tiêu chuẩn này chính thức có hiệu lực vào ngày 01/01/2024, thay thế các hướng dẫn trước đây có liên quan đến thử nghiệm phản ứng với lửa cho sản phẩm, nhằm đảm bảo an toàn và chất lượng trong quy trình sản xuất và thử nghiệm vật liệu xây dựng.
Tải tiêu chuẩn Việt Nam TCVN 13525:2024
TIÊU CHUẨN QUỐC GIA
TCVN 13525:2024
ISO 1716:2018
THỬ NGHIỆM PHẢN ỨNG VỚI LỬA ĐỐI VỚI SẢN PHẨM - XÁC ĐỊNH TỔNG NHIỆT LƯỢNG KHI CHÁY (NHIỆT TRỊ)
Reaction to fire tests for products - Determination of the gross heat of combustion (calorific value)
Lời nói đầu
TCVN 13525:2024 hoàn toàn tương đương ISO 1716:2018.
TCVN 13525:2024 do Viện Vật liệu xây dựng - Bộ Xây dựng biên soạn, Bộ Xây dựng đề nghị, Tổng cục Tiêu chuẩn Đo lường Chất lượng thẩm định, Bộ Khoa học và Công nghệ công bố.
THỬ NGHIỆM PHẢN ỨNG VỚI LỬA ĐỐI VỚI SẢN PHẨM - XÁC ĐỊNH TỔNG NHIỆT LƯỢNG KHI CHÁY (NHIỆT TRỊ)
Reaction to fire tests for products - Determination of the gross heat of combustion (calorific value)
CẢNH BÁO - Tất cả những người có liên quan tới việc quản lý và thực hiện các phép thử này cần chú ý rằng khi thực hiện phép thử với lửa có thể nguy hiểm và có khả năng phát thải khí độc và/hoặc khí có hại trong quá trình thử nghiệm. Mối nguy hiểm cũng có thể phát sinh trong quá trình thử nghiệm mẫu, ví dụ như nổ, và quá trình loại bỏ phần còn lại của mẫu thử.
CẢNH BÁO - Cần có đánh giá để xác định các mối nguy hiểm và rủi ro tiềm ẩn đối với sức khỏe con người và cung cấp các biện pháp nhận biết và phòng ngừa để đảm bảo an toàn. Phải ban hành văn bản hướng dẫn an toàn. Các thí nghiệm viên phải được đào tạo và phải tuân thủ hướng dẫn an toàn ở tất cả các lần thử nghiệm.
1 Phạm vi áp dụng
Tiêu chuẩn này quy định phương pháp xác định tổng nhiệt lượng khi cháy (QPCS) của các sản phẩm ở điều kiện thể tích không đổi trong thiết bị bom đo nhiệt lượng.
Tiêu chuẩn này áp dụng cho sản phẩm ở dạng rắn.
CHÚ THÍCH: Các chất lỏng có thể thử nghiệm với thiết bị tương tự và sử dụng các điều kiện được mô tả trong ASTM D240[1], các chất lỏng như mô tả trong IEC 61039 [2] thì sử dụng thiết bị thử nghiệm theo TCVN 200 (ISO 1928) [3].
Phụ lục A mô tả cách tính nhiệt lượng thực khi cháy QPCI khi được yêu cầu.
Phụ lục B nêu thông tin về độ chụm của phương pháp thử.
2 Tài liệu viện dẫn
Các tài liệu viện dẫn sau là cần thiết khi áp dụng tiêu chuẩn này.Đối với tài liệu ghi năm công bố thì áp dụng bản được nêu. Đối với các tài liệu viện dẫn không ghi năm công bố thì áp dụng phiên bản mới nhất, bao gồm cả các sửa đổi, bổ sung (nếu có).
ISO 554, Standard atmospheres for conditioning and/or testing - Specifications (Khí quyển tiêu chuẩn cho ổn định mẫu và/hoặc thử nghiệm - Yêu cầu kỹ thuật);
EN 13238, Reaction to fire tests for building products - Conditionning procedures and general rules for selection of substrates (Thử nghiệm phản ứng với lửa cho sản phẩm xây dựng - Quy trình ổn định và quy tắc chung để lựa chọn vật liệu nền).
3 Thuật ngữ và định nghĩa
Tiêu chuẩn này sử dụng các các thuật ngữ, định nghĩa sau:
3.1
Sản phẩm (Product)
Vật liệu, chi tiết hoặc cấu kiện có các thông tin cần phải xác định.
3.2
Vật liệu (Material)
Chất đơn lẻ hoặc hỗn hợp các chất được phân tán đồng đều.
VÍ DỤ: Kim loại, đá, gỗ, bê tông, sợi khoáng và các polymer có chất kết dính phân tán đồng đều.
3.3
Sản phẩm đồng nhất (Homogeneous Product)
Sản phẩm (3.1) gồm một vật liệu đơn chất (3.2) có mật độ và thành phần phân bố đồng đều trong toàn bộ sản phẩm (3.1).
3.4
Sản phẩm không đồng nhất (Non-homogeneous Product)
Sản phẩm (3.1) không thỏa mãn yêu cầu của một sản phẩm đồng nhất (3.3) và chứa nhiều hơn một thành phần, thành phần chính và/hoặc thành phần phụ.
CHÚ THÍCH 1: Nếu sản phẩm không đồng nhất khó tách ra thành các thành phần riêng biệt thì bên gửi mẫu có thể cung cấp riêng từng thành phần.
3.5
Thành phần phụ (Non-substantial Component)
Vật liệu không tạo thành phần lớn sản phẩm không đồng nhất và có một lớp với khối lượng/đơn vị diện tích < 1,0 kg/m2 và độ dày <1,0 mm.
CHÚ THÍCH 1: Nếu các lớp của thành phần phụ không tuân thủ theo các yêu cầu trên thi các lớp này sẽ cùng được xem là thành phần chính.
CHÚ THÍCH 2: Hai hoặc nhiều lớp thành phần phụ mà nằm liền kề nhau (nghĩa là không có thành phần chính giữa các lớp) được xem là một thành phần phụ khi chúng cùng nhau đáp ứng yêu cầu đối với một lớp của thành phần phụ.
3.6
Thành phần chính (Substantial Component)
Vật liệu tạo thành phần lớn sản phẩm không đồng nhất, và có khối lượng/đơn vị diện tích ≥ 1,0 kg/m2 hoặc độ dày ≥ 1,0 mm.
CHÚ THÍCH 1: Nếu sản phẩm không đồng nhất khó tách ra thành các thành phần riêng biệt thì bên gửi mẫu có thể cung cấp riêng từng thành phần.
3.7
Thành phần phụ nằm trong (Internal Non-substantial Component)
Thành phần phụ được bao phủ cả hai mặt bởi ít nhất một thành phần chính.
3.8
Thành phần phụ nằm ngoài (External Non-substantial Component)
Thành phần phụ có một mặt không được bảo phủ bởi thành phần chính.
3.9
Nhiệt lượng khi cháy (Heat of Combustion)
Nhiệt trị (không khuyến khích dùng)
Năng lượng nhiệt sinh ra khi cháy của một đơn vị khối lượng của một chất xác định.
CHÚ THÍCH: Nhiệt lượng khi cháy được biểu thị bằng megajul/kg.
[ISO 133943:2008]
3.10
Tổng nhiệt lượng khi cháy (Gross Heat of Combustion)
QPCS
Nhiệt lượng khi cháy (3.9) của một chất khi sự cháy đã xảy ra hoàn toàn và tất cả nước tạo ra được ngưng tụ hoàn toàn ở điều kiện quy định.
CHÚ THÍCH 1: Tổng nhiệt lượng khi cháy biểu thị bằng megajul/kg.
3.11
Nhiệt lượng thực khi cháy (Net Heat of Combustion)
QPCI
Nhiệt lượng khi cháy của một chất khi sự cháy đã xảy ra hoàn toàn và tất cả nước tạo ra đều tồn tại ở thể hơi ở điều kiện quy định.
CHÚ THÍCH 1: Nhiệt lượng thực khi cháy được tính từ tổng nhiệt lượng khi cháy.
CHÚ THÍCH 2: Nhiệt lượng thực khi cháy được biểu thị bằng megajul/kg.
3.12
Nhiệt hoá hơi (Latent Heat of Vaporization of Water)
q
Nhiệt cần thiết để chuyển nước từ lỏng sang khí.
CHÚ THÍCH: Ẩn nhiệt của quá trình bay hơi nước được biểu thị bằng megajul/kg.
3.13
Mật độ bề mặt (Surface Density)
Khối lượng trên một đơn vị diện tích.
CHÚ THÍCH: Mật độ bề mặt được biểu thị bằng kilogram trên mét vuông (kg/m2).
4 Nguyên tắc
Trong thử nghiệm này, một mẫu thử có khối lượng xác định được đốt cháy ở điều kiện chuẩn, ở thể tích không đổi, trong môi trường khí ôxy, trong bom nhiệt lượng được chứng nhận đã hiệu chuẩn bằng đốt cháy axit benzoic. Nhiệt lượng khi cháy xác định được trong những điều kiện này được tính trên cơ sở quan sát sự gia tăng nhiệt độ đo được có tính đến tổn thất nhiệt lượng và nhiệt hoá hơi.
Phương pháp thử này xác định giá trị tuyệt đối của nhiệt lượng khi cháy cho một sản phẩm và không tính đến mọi biến đổi vốn có của sản phẩm.
5 Thiết bị thử nghiệm
Hình 1 nêu sơ đồ thiết bị thử nghiệm (bom đo nhiệt lượng), mô tả chi tiết về thiết bị từ 5.1 đến 5.4. Các thiết bị bổ sung phải phù hợp với 5.5 đến 5.10.
Thiết bị được mô tả trong 5.1 đến 5.4 cũng có thể có sẵn dưới dạng thiết bị tự động hoặc bán tự động. Bất kỳ sai lệch nào khác so với điều này phải được đánh giá bởi người sử dụng theo yêu cầu của các điều kiện tiếp theo.

CHÚ DẪN:
| 1 Bộ khuấy 2 Nắp vỏ bọc 3 Dây dẫn gây cháy 4 Dụng cụ đo nhiệt độ | 5 Bình nhiệt lượng 6 Vỏ bọc 7 Bom đo nhiệt lượng 8 Chén nung | 9 Điện cực 10 Sợi đốt 11 Bộ phận giữ chén nung
|
Hình 1 - Thiết bị thử nghiệm
5.1 Bom đo nhiệt lượng, được chế tạo theo các đặc tính sau:
a) thể tích: (300 ± 50) mL;
b) khối lượng không lớn hơn 3,25 kg;
c) chiều dày vỏ bọc ít nhất bằng 1/10 đường kính trong của thân bom.
Nắp được dùng để đậy chén nung và thiết bị nung điện. Nắp, kể cả mọi bộ phận làm kín, phải có khả năng chịu được áp suất bên trong là 21 MPa.
CHÚ THÍCH: Bom nhiệt lượng thỏa mãn các điều kiện này phải chịu được áp suất lớn nhất sinh ra khi chay 1 g than trong áp suất ôxy ban đầu là 3 Mpa (đo bằng áp kế khí) với một hệ số an toàn vừa đủ mà không cần bom nhiệt lượng có khối lượng quá lớn.
Bề mặt trong của bom đo nhiệt lượng phải chịu được các tác động của sản phẩm của quá trình đốt cháy và đồng thời phải chịu sự rỗ mòn và sự ăn mòn giữa các tinh thể bởi các axit tạo ra trong quá trình cháy khi sử dụng các nhiên liệu giàu sulfur.
5.2 Nhiệt lượng kế
5.2.1 Vỏ bọc
Vỏ bọc bao gồm một bình chứa có hai thành được cách nhiệt và một nắp cách nhiệt. Vỏ được đổ đầy nước. Kích thước của vỏ bọc đảm bảo đủ để có một khoảng cách ít nhất 10 mm quanh bình nhiệt lượng kế. Bình nhiệt lượng kế được đỡ bằng vật liệu không dẫn nhiệt trên một diện tích tiếp xúc nhỏ nhất có thể, tốt nhất là ba điểm đỡ.
Đối với hệ nhiệt lượng kế đoạn nhiệt, bộ phận gia nhiệt và hệ nhiệt kế phải được kết hợp vào bình để nhiệt độ nước trong vỏ bọc được duy trì bằng với nhiệt độ nước trong bình nhiệt lượng kế.
Đối với hệ nhiệt lượng kế đẳng nhiệt, nhiệt độ của nước trong vỏ bọc được giữ không đổi. Đối với một nhiệt lượng kế đẳng nhiệt, cần thực hiện sự hiệu chỉnh (xem 9.2).
5.2.2 Bình nhiệt lượng kế
Bình nhiệt lượng kế gồm một thùng làm bằng kim loại bóng được thiết kế để chứa bom nhiệt lượng. Kích thước phải đảm bảo để bom nhiệt lượng có thể được dìm ngập trong nước (xem 8.3.8).
5.2.3 Bộ khuấy
Bộ khuấy được điều khiển bởi một mô tơ có tốc độ không đổi. Để ngăn cản sự truyền nhiệt đến và từ nhiệt lượng kế, trục điều khiển của bộ khuấy phải có một đoạn được cách nhiệt nằm trong một gioăng giữa nắp vỏ bọc và vỏ bọc. Có thể thay thế bằng một thiết bị khuấy từ với tính năng tương tự.
5.3 Dụng cụ đo nhiệt độ
Dụng cụ đo nhiệt độ có độ chính xác 0,005 °K. Khi sử dụng nhiệt kế thủy ngân, chỉ cần có chia độ tối thiểu là 0,01 °K kèm với một dụng cụ, ví dụ thấu kính, để đọc được đến 0,005 °K. Sử dụng một máy rung cơ học để gõ nhẹ nhiệt kế đảm bảo cột thủy ngân không bị kẹt (dính).
5.4 Chén nung
Chén nung được làm từ kim loại như platin, niken, thép không gỉ hoặc thạch anh, có đáy phẳng, đường kính 25 mm (kích thước tối đa nếu bị cắt ngắn) và cao từ 14 mm đến 19 mm. Kiến nghị chiều dày thân chén nung như sau:
- kim loại: 1,0 mm;
- thạch anh: 1,5 mm.
Một số hình dạng của chén nung đã cho kết quả thử nghiệm khả quan.
5.5 Dụng cụ đo thời gian
Dụng cụ đo thời gian có khả năng ghi thời gian trôi với đơn vị nhỏ nhất là giây và độ chính xác đến 1 s trong 1 h.
5.6 Nguồn điện
Nguồn điện được thiết kế có điện thế đến mạch mồi không vượt quá 20 V cho quá trình nung.
CHÚ THÍCH: Phải thêm một ampe kế vào mạch để phát hiện được dây đốt bị đứt. Nên bổ sung thêm một aptomat cho mạch cấp điện.
5.7 Đồng hồ đo áp suất và van kim
Đồng hồ đo áp suất và van kim được gắn với mạch nạp ôxy vào bom nhiệt lượng để ghi áp suất trong bom khi nó đang được nạp, áp suất này phải được hiển thị với độ phân giải 0,1 MPa.
5.8 Cân
Gồm hai chiếc có các đặc tính sau:
- Một cân phân tích với độ chính xác đến 0,1 mg;
- Cân còn lại với độ chính xác 0,1 g.
5.9 Dụng cụ để tạo “điếu thuốc lá”
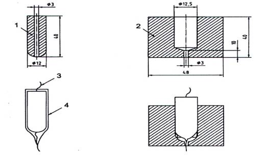
Thiết bị được mô tả như trong Hình 2, bao gồm một khuôn và một lõi kim loại (không phải nhôm).
Kích thước tính bằng milimet

| a) Tạo hình giấy trên trục lõi | b) Vị trí của giấy trong khuôn sau khi rút lõi, sẵn sàng làm đầy |

| c) “Điếu thuốc lá” đã được hoàn thiện | d) “Điếu thuốc lá” được đặt trong chén nung |
CHÚ DẪN:
| 1 Lõi 2 Khuôn 3 Sợi đốt | 4 Giấy 5 Điện cực 6 “Điếu thuốc lá” | 7 Chén nung |
CHÚ THÍCH 1: Giấy được giữ bằng cách dán chồng
CHÚ THÍCH 2: Hai đầu của giấy được xoắn lại.
CHÚ THÍCH 3: "Điếu thuốc lá” được đặt vào chén nung và sợi đốt được bọc kín quanh đường thẳng của điện cực
Hình 2 - Phương pháp chuẩn bị “điếu thuốc lá”
5.10 Dụng cụ tạo viên
Nếu không có viên đúc sẵn thì sử dụng dụng cụ thích hợp để tạo viên.
6 Thuốc thử và vật liệu
Chỉ sử dụng thuốc thử đã được công nhận trong phân tích và chỉ nước cất hoặc nước có độ tinh khiết tương đương.
6.1 Nước cất hoặc nước khử khoáng
6.2 Ôxy cao áp
Ôxy được sử dụng sẽ không lẫn bất kỳ sản phẩm dễ cháy nào khác (độ tinh khiết ≥ 99,5 %).
CẢNH BÁO: Ôxy chuẩn bị bằng điện phân có thể chứa một tỷ lệ phần trăm nhỏ khí hyđrô, nên không phù hợp để thử nghiệm.
6.3 Bột hoặc viên benzoic acid
Axit Benzoic “dùng hiệu chuẩn cho phép đo nhiệt lượng”, tổng nhiệt lượng khi cháy của nó đã được xác định chính xác.
6.4 Chất trợ cháy
Chất trợ cháy là chất dễ cháy đã biết nhiệt lượng khi cháy, ví dụ dầu parafin.
6.5 Giấy cuốn “điếu thuốc lá”
Giấy cuốn “điếu thuốc lá” được dính keo trước, kích thước tối thiểu (55 x 50) mm, đã biết nhiệt lượng khi cháy.
CHÚ THÍCH: Cũng có thể sử dụng giấy cuốn “điếu thuốc lá” thương mại có kích thước (55 x 100) mm khi cắt thành hai miếng bằng nhau.
6.6 Dây đốt
Dây đốt được làm từ sắt tinh khiết, đường kính 0,1 mm, ví dụ như sợi dây đàn. Cũng có thể sử dụng các loại sợi kim loại khác (ví dụ platin, niken, hoặc chrom), miễn là chúng bị đứt dưới ứng suất kéo (sức căng) của chính nó khi mạch đốt nóng được cấp điện và đã biết chính xác nhiệt khi cháy của dây đốt. Khi sử dụng một chén nung kim loại (xem 5.4), phải đảm bảo dây đốt không được chạm vào chén nung. Vì vậy nên bọc dây đốt kim loại bằng sợi chỉ.
CHÚ THÍCH: Một số thiết bị tự động hoặc bán tự động đang dùng dây đốt vĩnh cửu kết hợp với chén nung dễ cháy sử dụng một lần. Điều này phải thực hiện theo sự hướng dẫn của đơn vị sản xuất hệ thống đo nhiệt lượng.
6.7 Sợi chỉ
Sợi chỉ phải làm từ bông Cellulose trắng.
7 Mẫu thử
7.1 Quy định chung
Để đánh giá một sản phẩm, phải đánh giá được từng thành phần của sản phẩm đó, có tính đến các quy tắc đối với thành phần phụ. Nếu một sản phẩm không đồng nhất không thể phân lớp được thì các thành phần phải được cung cấp tách rời. Một sản phẩm có thể phân lớp được tức là có khả năng tách một thành phần ra khỏi các thành phần khác mà không có bất kỳ phần nào của thành phần khác đó dính vào thành phần được đánh giá.
Một số thành phần chính không thể tạo thành mà không có các mặt. Nếu các mặt không thể phân lớp được, thì sẽ cắt một phần từ trung tâm lõi để tránh các mặt và bất kỳ chất kết dính hoặc các thành phần phụ trên bề mặt của nó.
Nếu hai hoặc nhiều lớp thành phần phụ cạnh nhau, và nếu gộp lại với nhau chúng thoả mãn định nghĩa về một thành phần chính thì phải thử nghiệm từng lớp riêng biệt và chúng phải được đánh giá cùng nhau như thành phần chính. Tính tổng nhiệt lượng của các lớp kề nhau, được coi là thành phần chính, bằng cách cộng các phần trăm tương ứng của các nhiệt lượng đo được của mỗi thành phần (xem Phụ lục D).
Nếu hai hoặc nhiều lớp thành phần phụ cạnh nhau, và khi gộp lại với nhau tuân theo định nghĩa về một thành phần phụ thì sau đó phải thử nghiệm từng lớp riêng biệt và chúng phải được đánh giá cùng nhau như thành phần phụ (xem Phụ lục D).
CẢNH BÁO - Không được thử nghiệm bất kỳ sản phẩm nào có bất kỳ thành phần nhôm hay kim loại khác trong bom đo nhiệt lượng, do nguy cơ gây chấn thương nghiêm trọng cho người vận hành vì quá nhiệt và/hoặc quá áp suất làm bom đo nhiệt lượng bị nổ.
Nếu sản phẩm thử nghiệm được làm bằng nhiều lớp không thể tách rời, trong đó một lớp bao gồm nhôm hoặc các lá kim loại khác, nên áp dụng các khuyến nghị của tài liệu tham khảo [4].
7.2 Lấy mẫu
7.2.1 Quy định chung
Từ một lượng đại diện của sản phẩm đồng nhất, hoặc một phần của sản phẩm không đồng nhất, tạo một mẫu từ ít nhất 5 phần ngẫu nhiên được lấy ngang theo chiều dày. Lấy một lượng tối thiểu 50 g từ một sản phẩm đồng nhất và một thành phần chính của sản phẩm không đồng nhất. Lấy một lượng tối thiểu 10 g đối với một thành phần phụ của sản phẩm không đồng nhất.
7.2.2 Vật liệu rời
Lấy ngẫu nhiên một mẫu có khối lượng tối thiểu 50 g từ sản phẩm.
7.2.3 Sản phẩm sử dụng dưới dạng lỏng
Chuẩn bị một mẫu thử của vật liệu đã được sấy khô với khối lượng tối thiểu 10 g. Có thể chuẩn bị mẫu bằng cách quét một lớp mỏng sản phẩm sử dụng dưới dạng lỏng vào một tấm kính và lấy mẫu thử bằng cách gỡ các phần đã được sấy khô từ bề mặt kính.
Vật liệu được làm khô hoặc sấy theo hướng dẫn của nhà sản xuất. Phải cẩn thận khi sấy các thành phần được sử dụng dưới dạng lỏng do khả năng có chất dung môi. Báo cáo thử nghiệm phải mô tả phương pháp làm khô.
7.2.4 Sản phẩm ở dạng màng mỏng
Mẫu phải có khối lượng tối thiểu 10 g. Cắt màng mỏng thành các mảnh nhỏ để thử nghiệm theo phương pháp “điếu thuốc lá” (7.10) hoặc phương pháp chén nung. Đối với phương pháp chén nung, khuyến cáo nên sử dụng thêm 0,5 g chất trợ cháy là dầu parafin lên bề mặt của màng mỏng để ngăn không cho màng mỏng tràn khỏi chén nung.
7.3 Xác định mật độ bề mặt
Khi cần thiết, phải xác định mật độ bề mặt của mỗi thành phần của sản phẩm tới độ chính xác ± 0,5 % từ diện tích tối thiểu 250 mm x 250 mm.
Đối với sản phẩm được sử dụng dưới dạng lỏng, phải xác định khối lượng khô.
7.4 Nghiền mẫu
Làm nhỏ dần mẫu đã quy định trong 7.2 để tạo thành mẫu thử cuối cùng. Quá trình nghiền phải được thực hiện theo cách đảm bảo để không gây ra sự phân hủy nhiệt. Nghiền và thu nhỏ mẫu theo phương pháp lấy góc phần tư chéo nhau, nghiền mịn hơn khi tiếp tục thu nhỏ mẫu.
Nếu mẫu không nghiền được, làm nhỏ mẫu bằng bất cứ phương pháp thích hợp để tạo thành hạt hoặc mẩu nhỏ và coi các mẫu đã thu được như dạng bột.
Trong trường hợp các vật liệu đồng nhất, mà khi nghiền có thể phân tách rõ ràng thành các thành phần có khối lượng thể tích khác nhau sao cho mỗi 0,5 g mẫu sản phẩm được lấy ra từ bột đã nghiền cũng không đại diện cho sản phẩm gốc, xét theo tỷ lệ của vật liệu có mặt, thì có thể áp dụng phương pháp thích hợp bất kỳ để thu nhỏ mẫu, ví dụ như cán mẫu thành các miếng nhỏ hình tròn, hoặc cắt thành từng miếng nhỏ bằng dao. Nếu không thể chuẩn bị mẫu theo cách này, thì tiến hành thử nghiệm trên từng thành phần riêng biệt được sử dụng để sản xuất sản phẩm đó. Sử dụng giá trị QPCS riêng của các thành phần này với tỷ lệ khối lượng của các thành phần trong sản phẩm cuối cùng để tính giá trị QPCS tổng cho sản phẩm.
7.5 Loại mẫu thử
Nếu tạo được bột mịn từ quá trình nghiền (xem 7.4), chuẩn bị mẫu thử bằng phương pháp chén nung (xem 7.9). Nếu không tạo được bột mịn từ quá trình nghiền và/hoặc khi sử dụng phương pháp chén nung mà không thể đốt cháy hoàn toàn thì phải tiến hành thử nghiệm theo phương pháp “điếu thuốc lá” hoặc phương pháp chén nung sử dụng chất trợ cháy, ví dụ dầu parafin.
7.6 Ổn định mẫu thử
Phải ổn định mẫu bột, axit benzoic và giấy cuốn“điếu thuốc lá” trước khi thử nghiệm theo EN 13238 hoặc ISO 554.
7.7 Số lượng mẫu thử nghiệm
Thử nghiệm ba mẫu theo quy trình nêu trong 8.3. Thử nghiệm thêm hai mẫu nữa nếu không đáp ứng được giá trị thử nghiệm hợp lệ (xem Điều 11). Có thể thử nghiệm nhiều hơn ba mẫu thử theo yêu cầu cho bất cứ hệ thống phân loại nào.
7.8 Xác định khối lượng
Cân các thành phần dưới đây:
- 0,5 g vật liệu với độ chính xác tối thiểu 0,1 mg;
- 0,5 g axit benzoic với độ chính xác tối thiểu 0,1 mg;
- Chất trợ cháy với độ chính xác tối thiểu 0,1 mg;
- Sợi đốt, sợi chỉ và giấy cuốn “điếu thuốc lá”, nếu cần với độ chính xác tối thiểu 0,1 mg.
CHÚ THÍCH: Đối với một số vật liệu có nhiệt cháy thấp, cần phải tăng tổng nhiệt khi cháy của mẫu thử để thu được sự cháy hoàn toàn bằng cách thay đổi tỷ lệ khối lượng giữa vật liệu đó và axit benzoic hoặc thêm một chất trợ cháy (ví dụ dầu parafin, Axit benzoic và/hoặc chất trợ cháy có thể giảm hoặc bỏ nếu không cần thiết cho quá trình cháy của vật liệu.
7.9 Phương pháp chén nung
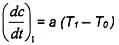
Thực hiện quy trình theo các bước sau (xem Hình 3).
a) Đặt hỗn hợp mẫu đã cân trước và axit benzoic vào chén nung
b) Nối sợi đốt đã cân trước với hai điện cực.
c) Vòng sợi đốt xuống để chạm vào bột trong chén nung.
CHÚ THÍCH: Một số thiết bị tự động được trang bị sợi đốt cố định. Đối với các hệ thiết bị này, vòng sợi chỉ đã cân trước chạm vào bột trong chén nung.

CHÚ DẪN:
| 1 Sợi đốt 2 Điện cực 3 Hỗn hợp axit benzoic và sản phẩm | 4 Chén nung 5 Bộ phận giữ chén nung
|
Hình 3 - Chuẩn bị mẫu thử cho phương pháp chén nung
7.10 Phương pháp “điếu thuốc lá”
Thực hiện quy trình theo các bước sau (xem Hình 2).
a) Đặt sợi đốt đã cân trước xuống tâm của lõi.
b) Bọc giấy làm thuốc lá đã được cân trước quanh lõi và dính hai mép giấy chồng lên nhau. Không cần sử dụng keo dính vì giấy làm “điếu thuốc lá” đã được phun keo trước. Giấy phải thừa ra ở đầu mẫu để đủ quấn quanh sợi đốt.
c) Giấy quấn quanh sợi đốt ở đầu phía dưới của lõi và đặt toàn bộ bộ phận này vào khuôn. Sợi đốt phải được xuyên qua đáy của khuôn.
CHÚ THÍCH: Khoảng trống giữa lõi và khuôn là 0,5 mm cho phép lắp đặt dễ dàng bộ phận trên.
d) Rút lõi ra.
e) Đặt hỗn hợp mẫu đã cân trước và axit benzoic vào giấy làm “điếu thuốc lá”.
f) Lấy “điếu thuốc lá” đã được điền đầy ra khỏi khuôn và quấn hai đầu giấy để bịt kín “điếu thuốc lá”.
g) Cân “điếu thuốc lá” để đảm bảo khối lượng tổng không thay đổi so với tổng khối lượng của các thành phần quá 10 mg.
h) Đặt “điếu thuốc lá” vào chén nung.
i) Nối dây đốt với hai điện cực.
8 Quy trình thử nghiệm
8.1 Quy định chung
Khuyến cáo thử nghiệm nên tiến hành trong phòng có nhiệt độ ổn định, chênh lệch không quá ± 2 °K. Tiến hành hiệu chuẩn thiết bị và các thử nghiệm tiếp theo tại cùng điều kiện nhiệt độ và áp suất. Đối với thiết bị thủ công, chênh lệch giữa nhiệt độ phòng và nhiệt độ nước trong bình không được thay đổi quá ± 2°K.
8.2 Quy trình hiệu chuẩn
8.2.1 Xác định đương lượng nước
Phải xác định đương lượng nước E, biểu thị bằng megajun trên độ K, của nhiệt lượng kế, bom đo nhiệt lượng và các phụ kiện bằng cách lấy ít nhất năm giá trị tổng nhiệt lượng khi cháy của các viên từ 0,4 g đến 1,0 g axit benzoic đã được chứng nhận.
Thực hiện quy trình hiệu chuẩn theo các bước sau:
a) Nén bột axit benzoic đã cân trước, sử dụng máy ép viên, để tạo một viên hoặc lấy một viên đúc sẵn. Sử dụng viên axit benzoic đúc sẵn đã được chứng nhận trước để thay thế cho bột axit benzoic. Sử dụng các giá trị đã được chứng nhận trong tất cả các phép tính tổng nhiệt lượng khi cháy.
b) Cân viên mẫu chính xác đến 0,1 mg.
c) Đặt viên mẫu vào chén nung.
d) Nối sợi đốt với hai điện cực.
e) Vòng sợi đốt đã được cân trước xuống chạm vào viên mẫu.
Thực hiện thử nghiệm như quy định trong 8.3. Đương lượng nước, E, biểu thị bằng megajul trên độ K, là trung bình của năm lần xác định. Mỗi kết quả riêng không được lệch quá 5 % đương lượng nước E.
8.2.2 Điều kiện để hiệu chuẩn lại
Khi thiết bị được sử dụng liên tục phải thực hiện qui trình hiệu chuẩn theo 8.2.1 đều đặn với khoảng thời gian cách nhau không quá hai tháng hoặc sau khi thay đổi bất kỳ bộ phần quan trọng nào của hệ thống.
8.3 Quy trình thử nghiệm chuẩn
CẢNH BÁO - Nhôm hoặc các thành phần kim loại khác của sản phẩm không được thử nghiệm trong bom đo nhiệt lượng vì có nguy cơ gây thương tích nghiêm trọng cho người vận hành do quá nhiệt và/hoặc quá áp suất khiến bom đo nhiệt lượng phát nổ.
Bật thiết bị ít nhất 1 h trước khi thử nghiệm hoặc khi thiết bị đạt ổn định.
8.3.1 Đặt mẫu thử vào chén nung.
8.3.2 Đặt chén nung vào bộ phận giữ.
8.3.3 Gắn sợi đốt và vòng nó chạm vào mẫu thử.
8.3.4 Phải kiểm tra để đảm bảo giữa hai điện cực và sợi đốt có tiếp xúc điện tốt.
8.3.5 Đặt bộ phận giữ vào thân bom đo nhiệt lượng.
Có thể đưa 1 mL nước khử khoáng vào thân bom đo nhiệt lượng để hấp thụ bất cử khí axit nào sinh ra.
8.3.6 Điều chỉnh nắp và gắn khít với thân bom đo nhiệt lượng. Nối bom vào đáy bình ôxy, sau đó cẩn thận mở van và điền đầy bom cho đến khi đạt được áp suất từ 3,0 MPa đến 3,5 MPa (nếu thiết bị không thực hiện tự động), không loại bỏ không khí sẵn có ở đó.
8.3.7 Đặt bom vào bình nhiệt lượng.
8.3.8 Đưa vào bình nhiệt lượng một lượng nước đã khử khoáng hoặc nước cất đủ để bao phủ bề mặt trên của nắp bom và cân. Lượng nước này phải bằng với lượng nước đã sử dụng trong hiệu chuẩn, chính xác đến 1 g (xem 8.2.1) (nếu thiết bị không thực hiện tự động).
8.3.9 Kiểm tra để bom đo nhiệt lượng không bị rò rỉ (không có dòng bong bóng liên tục).
8.3.10 Đặt bình nhiệt lượng vào vỏ bọc nước.
8.3.11 Quy trình tiếp theo:
a) Cài đặt dụng cụ đo nhiệt độ, khởi động bộ khuấy và thiết bị đo thời gian (nếu thiết bị không thực hiện tự động).
b) Đưa nước trong bình nhiệt lượng đến nhiệt độ xấp xỉ cân bằng với nhiệt độ của nước trong vỏ bọc. Ghi nhiệt độ của nước trong bình nhiệt lượng ít nhất mỗi min cho đến khi kết quả các lần đọc liên tiếp không chênh lệch nhau quá ± 0,01 °K trong ít nhất 10 min (nếu thiết bị không thực hiện tự động). Ghi nhiệt độ này là nhiệt độ bắt đầu (Ti).
CHÚ THÍCH 1: Với một số thiết bị tự động, hãng sản xuất thiết bị cho biết chỉ cần khoảng thời gian ngắn hơn 10 min. Trong trường hợp này, có thể sử dụng thời gian giảm đó với điều kiện thông tin của hãng sản xuất phải được kiểm tra và dẫn chứng bởi phòng thí nghiệm.
c) Đóng mạch điện để đốt cháy.
d) Riêng đối với nhiệt lượng kế đoạn nhiệt: Trong giai đoạn nhiệt độ của nước trong bình nhiệt lượng tăng nhanh, nhiệt độ của nước trong vỏ bọc phải được duy trì gần với nhiệt độ của bình nhiệt lượng; nhiệt độ chênh lệch không quá ± 0,01 °K khi chúng tiến gần đến nhiệt độ tối đa. Ghi nhiệt độ của nước trong bình nhiệt lượng ít nhất mỗi phút (min) cho đến khi kết quả các lần đọc liên tiếp chênh lệch không quá ± 0,01 °K trong ít nhất 10 min. Ghi nhiệt độ này là nhiệt độ tối đa (Tm).
CHÚ THÍCH 2: Các quá trình này có thể được tự động hóa trong các thiết bị thương mại hoá.
e) Lấy bom ra khỏi nhiệt lượng kế, để yên trong 10 min, sau đó từ từ giảm áp suất. Mở bom, kiểm tra xem đã cháy hoàn toàn chưa tức là không có muội bám bên trong bom cũng như không có dấu vết của carbon tàn dư trên bề mặt chén nung. Rửa sạch và sấy khô bom.
f) Nếu mẫu không cháy hoàn toàn, có thể thử phương pháp chuẩn bị mẫu thử nghiệm khác, sử dụng chất trợ cháy và/hoặc tăng tỷ lệ axít benzoic. Với một số vật liệu, cần thực hiện quy trình thử và so sánh sai số để tìm ra phương pháp tốt nhất.
9 Biểu thị kết quả
9.1 Hiệu chỉnh đối với thiết bị thủ công
Điều chỉnh tất cả các nhiệt độ thu được theo chứng nhận hiệu chuẩn của nhiệt kế và có tính đến phần lộ nhiệt của thân nhiệt kế.
9.2 Hiệu chình đối với nhiệt lượng kế đẳng nhiệt (xem Phụ lục C)
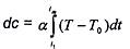
Điều chỉnh nhiệt độ phải được thực hiện với sự trao đổi nhiệt với bên ngoài (xem Chú thích 1,2 và 3). Tính hệ số điều chỉnh, c, theo công thức (1):
| c = (t - t1) x T2 - t1 x T1 | (1) |
trong đó:
t: Thời gian trôi, tính bằng phút (min) và phần thập phân của phút (min), từ lúc bắt đầu giai đoạn chính (xem Hình 4) cho đến thời điểm đạt được nhiệt độ tối đa. Thời điểm này được xác định bằng cách tìm thời gian trung bình tại đó nhiệt độ ngừng tăng lên và bắt đầu giảm xuống.
t1: thời gian trôi, tính bằng phút (min) và phần thập phân của phút (min), từ khi bắt đầu giai đoạn chính tại nhiệt độ T0 (xem Hình 4) cho đến thời điểm khi nhiệt độ tăng lên 6/10 của tổng dải nhiệt độ (Tm-T1) (xem 9.3); tính thời điểm này bằng cách nội suy giữa hai nhiệt độ đọc gần nhau;
T2: Mức giảm nhiệt độ trung bình, °K trên min, của giai đoạn cuối (xem Hình 4);
T1: Mức tăng nhiệt độ trung bình, °K trên min, của giai đoạn đầu (xem Hình 4).

CHÚ DẪN
| T nhiệt độ | 1 giai đoạn đầu | 3 giai đoạn cuối |
| t Thời gian | 2 giai đoạn chính | 4 điểm bắt cháy |
5 đường cong nhiệt độ/thời gian của lớp vỏ
t1 thời điểm khi nhiệt độ của nước trong bình nhiệt lượng cân bằng với nhiệt độ của vỏ bọc (xem Hình 1) như định nghĩa trong 8.3.11b.
a A1 và A2 lần lượt biểu thị các vùng gạch chéo của đường cong nhiệt độ/thời gian nằm phía trên và phía dưới đường tọa độ T0.
Hình 4 - Đường cong nhiệt độ/thời gian
CHÚ THÍCH 1: c bằng không nếu sử dụng vỏ bọc đoạn nhiệt.
CHÚ THÍCH 2: c bằng không nếu thực hiện điều chỉnh tự động với thiết bị tự động.
CHÚ THÍCH 3: Phương pháp biểu đồ để tính c nêu trong Phụ lục C.
9.3 Tính tổng nhiệt lượng khi cháy của mẫu thử
Tổng nhiệt lượng khi cháy, QPCS , của mẫu thử ở thể tích không đổi được tính theo công thức 2, tính bằng megajul trên kilôgam.
Với thiết bị tự động, tổng lượng nhiệt khi cháy, QPCS , thu được trực tiếp là kết quả thử nghiệm.
|
| (2) |
trong đó:
QPCS: Tổng nhiệt lượng khi cháy, tính bằng megajul trên kilôgam (MJ/kg);
E: đương lượng nước của nhiệt lượng kế, bom đo nhiệt lượng, các dụng cụ phụ và của nước đưa vào trong bom đo nhiệt lượng, tính bằng megajul trên kilôgam (MJ/kg) (xem 8.2);
Ti: Nhiệt độ ban đầu, tính bằng °K;
Tm: Nhiệt độ tối đa, tính bằng °K;
b: Hệ số điều chỉnh, biểu thị bằng megajul, yêu cầu đối với nhiệt khi cháy của “nhiên liệu” sử dụng trong thử nghiệm, tức là sợi đốt, sợi bông, giấy làm “điếu thuốc lá” và axit benzoic hoặc các chất trợ cháy;
c: Hệ số điều chỉnh nhiệt độ, tính bằng °K, yêu cầu đối với sự trao đổi nhiệt bên ngoài (xem 9.2); bằng không nếu sử dụng vỏ bọc đoạn nhiệt;
m: Khối lượng của mẫu thử, tính bằng kilôgam.
Nếu không đưa ra các giá trị đã được chứng nhận đối với sợi bông, giấy làm “điếu thuốc lá” và/hoặc các chất trợ cháy, thì phải đo tổng nhiệt lượng khi cháy của chúng. Chuẩn bị mẫu thử theo quy định trong 7.9 và thực hiện như quy định trong 8.3.
Nếu không có giá trị đã được chứng nhận của sợi đốt, thì phải xem giá trị tổng nhiệt lượng khi cháy, liên quan đến khối lượng của dây đã tiêu thụ, sẽ là như sau:
Ni-Cr = 5,872 MJ/kg
Ni = 4,10 MJ/kg
Sắt tinh khiết = 7,39 MJ/kg
CHÚ THÍCH: Dây platin không bị ôxy hóa trong quá trình thử nghiệm. Hệ số hiệu chỉnh sau đó chỉ phụ thuộc vào năng lượng điện được sử dụng bởi hệ thống để làm nóng dây.
9.4 Tính tổng nhiệt lượng khi cháy của sản phẩm
9.4.1 Quy định chung
Không thử nghiệm các thành phần có tính kim loại. Nếu có các thành phần kim loại, thì tổng lượng nhiệt khi cháy của chúng phải bằng không.
Một lớp chứa các lỗ có thể được xem là thành phần phụ, khi diện tích quan sát tuân theo định nghĩa đã được nêu ở trên, được coi là toàn bộ diện tích (diện tích tổng thể) bao gồm cả diện tích các lỗ.
Đối với sản phẩm hoặc thành phần có hiệu ứng thu nhiệt, giá trị QPCS thu được là âm.
Khi tính toán QPCS, của sản phẩm, chấp nhận quy trình dưới đây:
Đầu tiên, thiết lập QPCS của từng thành phần của một sản phẩm không đồng nhất hoặc QPCS của một sản phẩm đồng nhất. Nếu có bất kỳ giá trị tâm nào trong ba kết quả, phải báo cáo tất cả các kết quả âm này, và tính giá trị trung bình từ giá trị thực tế. Ví dụ nếu thu được ba kết quả như sau:
- 0,3
- 0,4
+ 0,1
Giá trị trung bình là - 0,2.
Đối với sản phẩm đồng nhất, ghi giá trị này là QPCS của sản phẩm. Đối với sản phẩm không đồng nhất, phải xem xét giá trị trung bình QPCS cho mỗi thành phần. Mọi giá trị âm QPCS của từng thành phần phải được lấy bằng không để tính tổng QPCS của sản phẩm.
Ví dụ, nếu có 4 thành phần và thu được các giá trị trung bình như sau:
|
| -0,2 15,6 6,3 -1,8 |
mọi giá trị âm được lấy bằng không, tức là:
|
| 0 15,6 6,3 0 |
và tính QPCS của sản phẩm từ các giá trị trên.
9.4.2 Sản phẩm đồng nhất
9.4.2.1 Đánh giá ba mẫu thử cho từng mẫu (xem 7.2.1). Nếu dải các giá trị riêng tuân theo quy định trong Điều 11 thì thử nghiệm hợp lệ và tổng nhiệt khi cháy là giá trị trung bình của ba giá trị riêng.
9.4.2.2 Nếu dải các giá trị được xác định trên ba mẫu thử không tuân theo quy định trong Điều 11 thì lấy và đánh giá thêm hai mẫu thử tương tự. Loại giá trị lớn nhất và nhỏ nhất của năm kết quả và đánh giá ba kết quả thử nghiệm cuối cùng theo 9.4.2.1.
9.4.2.3 Nếu dải các giá trị thu được trong 9.4.2.2 không đáp ứng yêu cầu với dải giá trị hợp lệ nêu trong 9.4.2.1 thì tạo một mẫu mới và lặp lại toàn bộ quy trình.
9.4.2.4 Nếu cần thêm hai mẫu thử (sau ba mẫu đầu) cho bất kỳ mục đích phân loại nào và cần thêm hai mẫu thử như mô tả trong 9.4.2.2, thì sử dụng hai mẫu thử giống nhau cho cả hai mục đích, tức là tối đa phải thử nghiệm năm mẫu thử.
9.4.3 Sản phẩm không đồng nhất
Xác định tổng nhiệt lượng khi cháy của sản phẩm không đồng nhất như sau:
a) Xác định tổng nhiệt lượng khi cháy của mỗi thành phần riêng theo cách giống nhau như đối với sản phẩm đồng nhất (xem 9.4.2). Tổng nhiệt lượng khi cháy được biểu thị bằng cả MJ/kg và MJ/m2 sử dụng khối lượng trên đơn vị diện tích của mỗi thành phần riêng.
b) Tính tổng nhiệt lượng khi cháy của sản phẩm không đồng nhất sử dụng tổng nhiệt lượng khi cháy (xem 9.4.2) và khối lượng trên đơn vị diện tích của mỗi thành phần riêng.
Phụ lục D nêu một ví dụ tính tổng nhiệt lượng khi cháy của sản phẩm không đồng nhất.
10 Báo cáo thử nghiệm
Báo cáo thử nghiệm bao gồm ít nhất các thông tin sau. Phải thể hiện sự phân biệt rõ ràng giữa dữ liệu được cung cấp bởi bên gửi mẫu và dữ liệu được xác định qua thử nghiệm.
a) viện dẫn tiêu chuẩn này;
b) mọi thao tác thực hiện khác với quy định trong tiêu chuẩn này;
c) tên và địa chỉ của phòng thí nghiệm;
d) ngày và số hiệu của phiếu kết quả;
e) tên và địa chỉ bên gửi mẫu;
f) tên và địa chỉ của nhà sản xuất/cung cấp, nếu biết;
g) ngày nhận mẫu;
h) đặc điểm nhận dạng mẫu thử;
i) mô tả quy trình lấy mẫu nếu có liên quan;
j) bản mô tả chung của sản phẩm được thử nghiệm, bao gồm khối lượng thể tích, khối lượng trên đơn vị diện tích và chiều dày, các mô tả chi tiết về cấu trúc sản phẩm;
k) thông tin chi tiết về ổn định mẫu thử;
l) phương pháp chuẩn bị vật liệu nếu có;
m) ngày thử nghiệm;
n) đương lượng nước, biểu thị theo 8.2;
o) kết quả thử nghiệm, biểu thị theo Điều 9;
p) các quan sát thực hiện trong quá trình thử nghiệm;
q) tuyên bố sau: “Các kết quả thử nghiệm chỉ thể hiện ứng xử của các mẫu thử cho một sản phẩm dưới các điều kiện cụ thể được quy định trong phép thử; không được sử dụng kết quả đó làm tiêu chí duy nhất để đánh giá mối nguy hiểm cháy tiềm ẩn của sản phẩm khi được sử dụng trong thực tế."
11 Tính hợp lệ của các kết quả thử nghiệm
Để được xác nhận, các kết quả thử nghiệm phải tuân theo tiêu chí trong dải giá trị quy định nêu trong Bảng 1.
Bảng 1 - Tiêu chí để đánh giá tính hợp lệ của các kết quả thử nghiệm
| Tổng nhiệt lượng khi cháy | Tiêu chí chấp nhận | Dải hợp lệ |
| QPCS (MJ/kg) | ≤ 0,2 MJ/kg | Từ giá trị âm bất kỳ đến 3,2 MJ/kg |
| Trong khoảng 5 % giá trị trung bình của 3 kết quả | Từ 3,2 MJ/kg đến 20,0 MJ/kg | |
| Trong khoảng 10 % giá trị trung bình của 3 kết quả | Lớn hơn 20,0 MJ/kg | |
| QPCS (MJ/m2)a | ≤ 0,1 MJ/m2 | Từ giá trị âm bất kỳ đến 4,1 MJ/m2 |
| Trong khoảng 5 % giá trị trung bình của 3 kết quả | Từ 4,1 MJ/m2 đến 20,0 MJ/m2 | |
| Trong khoảng 10 % giá trị trung bình của 3 kết quả | Lớn hơn 20,0 MJ/m2 | |
| a Chỉ dành cho thành phần phụ. | ||
Phụ lục A
(quy định)
Tính tổng lượng nhiệt thực khi cháy
Tổng lượng nhiệt lượng thực khi cháy, QPCI , là hiệu của tổng lượng nhiệt khi cháy QPCS và nhiệt hoá hơi của nước đã ngưng tụ, q.
QPCI = QPCS - q
Lượng nước ngưng tụ trong bom nhiệt lượng sau khi cháy được xác định bằng các thử nghiệm đặc biệt, sử dụng thiết bị phân tích để đo hàm lượng hydro. Chuẩn bị và ổn định một mẫu thử dạng bột như mô tả trong Điều 5,6 và 7.
Số lượng thử nghiệm phải giống như đối với xác định tổng lượng nhiệt lượng khi cháy.
Tính hàm lượng nước ngưng tụ, w, bằng giá trị trung bình của ba kết quả thu được.
Ẩn nhiệt hóa hơi của nước ngưng tụ trong bom được tính như sau:
q = 2 449 w
Phụ lục B
(tham khảo)
Độ chụm của phương pháp thử
B.1 Chương trình thử nghiệm liên phòng thí nghiệm CEN/TC127
Chương trình thử nghiệm liên phòng thí nghiệm, bao gồm 11 phòng thí nghiệm ở Châu Âu, đã được CEN/TC127 tổ chức. Quy trình thí nghiệm giống như mô tả trong tiêu chuẩn này. Bảng B.1 thể hiện các kết quả của chương trình thử nghiệm liên phòng.
Bảng B.1 - Sản phẩm được thử nghiệm liên phòng
| Sản phẩm | Mật độ kg/m3 | Độ dày mm | Khối lượng trên đơn vị diện tích g/m2 |
| Bông khoáng | 145 | 50 | - |
| Tấm ván sợi gỗ | 50 |
| - |
| Tấm thạch cao | 1100 | 25 | - |
| Bọt phenolic |
| 40 | - |
| Cellulose rời làm chậm cháy | 30 | - | - |
| Sơn |
| - | 145 |
| PVC/cao su nitril (12,9 % Clo) | 65 | - | 1235 |
| Tấm sợi khoáng cách âm | Len : 220 | 18 |
|
| - Tấm thủy tinh sơn phủ |
|
| 413,1 |
| - Bông khoáng |
|
| 4085 |
| Tấm thạch cao bề mặt bọc giấy | 700 | 12,5 |
|
| - Giấy (tối mẫu) |
|
| 220 |
| - Thạch cao |
|
| 8700 |
| - Giấy (sáng mẫu) |
|
| 230 |
| Bông thủy tinh tráng bề mặt | 80 | 15 |
|
| - Tấm thủy tinh được phủ sơn |
|
| 313,2 |
| - Bông thủy tinh |
|
| 1092,8 |
| - Thủy tinh xốp |
|
| 55,4 |
Tính các giá trị trung bình thống kê
, độ lệch chuẩn sr và Sr, độ lặp lại r và độ tái lập R, tương ứng độ tin cậy 95 % theo TCVN 6910-2 (ISO 5725-2) (Bảng B.2) cho hai tham số QPCS theo phương pháp chén nung với đơn vị MJ/kg và theo phương pháp "điếu thuốc lá" với đơn vị MJ/kg. Các giá trị này cho r và R bằng 2,8 lần độ lệch chuẩn là phù hợp. Các giá trị bao gồm cả các kết quả được xác định là khác thường nhưng loại trừ các kết quả xác định là “giá trị ngoại lai”.
Bảng B.2 - Các kết quả thống kê của thử nghiệm liên phòng
| Thông số | Trung bình thống kê m | Độ lệch tiêu chuẩn Sr | Độ lệch tiêu chuẩn SR | Độ lặp lại r | Độ tái lập R | sr / | sR/ |
| QPCS (MJ/kg) Chén nung | từ -0,32 đến 24,82 | từ 0,04 đến 0,35 | từ 0,07 đến 1,13 | từ 0,12 đến 0,98 | từ 0,19 đến 3,16 | từ 0,17 % đến 21,3 % | từ 2,72 % đến 60,40 % |
| QPCS (MJ/kg) “Điếu thuốc lá” | từ -0,31 đến 25,18 | từ 0,03 đến 0,34 | từ 0,09 đến 1,17 | từ 0,10 đến 0,95 | từ 0,25 đến 3,27 | từ 0,37 % đến 23,41 % | từ 3,16 % đến 70,40 % |
CHÚ THÍCH: Giá trị phần trăm trở nên rất lớn do chia cho giá trị trung bình rất nhỏ.
Cả hai phương pháp thử đều có thể thiết lập được mô hình tuyến tính đối với sr, sR, r và R. Bảng B.3 nêu các hệ số này. Đối với độ lặp lại của QPCS, các kết quả dẫn đến những mô hình mà gần như vô nghĩa mặc dù chúng được thống kê chính xác. Các mô hình phức tạp hơn các mô hình tuyến tính có thể phù hợp hơn với các thông số này nhưng nó không được xem xét trong thử nghiệm liên phòng này.
Bảng B.3 - Mô hình thống kê của thử nghiệm liên phòng
| Thông số | Độ lệch chuẩn sr | Độ lệch chuẩn sR | Độ lặp lại r | Độ tái lập R |
| QPCS chén nung (MJ/kg) | = 0,07-0,0004 x QPCS | = 0,09+0,0287 x QPCS | = 0,20-0,0012 x QPCS | = 0,26 + 0,0804 x QPCS |
| QPCS thuốc lá (MJ/kg) | = 0,05 + 0,0041 x QPCS | = 0,12 + 0,0328 x QPCS | = 0,15 + 0,0114 x QPCS | = 0,3 4 + 0,0918 x QPCS |
Khi các mô hình phù hợp hoàn toàn với các thông số, thì có thể dùng làm căn cứ để “dự đoán” kết quả. Điều này được minh họa bằng một ví dụ. Giả sử rằng một phòng thử nghiệm một mẫu đơn của một sản phẩm đã cho và xác định QPCS bằng phương pháp chén nung là 1,57 MJ/kg. Nếu cùng phòng thí nghiệm đưa ra một thử nghiệm thứ hai trên cùng sản phẩm, giá trị r được tính bằng:
r = 0,20 - 0,0012 x 1,57 ≈ 0,20 MJ/kg
Xác suất đến 95 % kết quả thứ hai sẽ rơi vào khoảng từ 1,37 MJ/kg đến 1,77 MJ/kg.
Giả sử bây giờ thử nghiệm cùng sản phẩm đó ở phòng thí nghiệm khác.Tính giá trị R theo:
R = 0,26 - 0,0804 x 1,57 ≈ 0,39 MJ/kg
Có khả năng đến 95 % các kết quả từ thử nghiệm ở phòng thí nghiệm này sẽ rơi vào khoảng từ 1,18 MJ/kg đến 1,96 MJ/kg.

CHÚ DẪN:
1 mô hình r
2 mô hình R
3 độ tái lập (đường thẳng phù hợp nhất)
4 độ lặp lại (đường thẳng phù hợp nhất)
Hình B.1 - Mô hình thống kê cho QPCS với phương pháp chén nung, MJ/kg
B.2 Chương trình thử nghiệm liên phòng EGOLF, 2008-2009
Vào năm 2008-2009, một chương trình thử nghiệm liên phòng, bao gồm 35 phòng thí nghiệm, đã được thực hiện trong khuôn khổ của EGOLF [7].
Sản phẩm đầu tiên của chương trình thử nghiệm là copolyamide dạng bột. Vật liệu này được chọn vì có tính đồng nhất và không cần thiết phải chuẩn bị mẫu đặc biệt. Ngoài ra, sản phẩm có giá trị QPCS lớn hơn hoặc bằng 30 MJ/kg nên không cần phụ gia trợ cháy. Loại vật liệu thứ hai là bông khoáng có mật độ 15 kg/m3. Giá trị QPCS phải nằm trong khoảng từ 1,5 MJ/kg đến 2,0 MJ/kg. Vật liệu thứ ba là một mảnh kính màu đen có mật độ diện tích 60 g/m2. Giá trị QPCS phải nằm trong khoảng từ 3,0 MJ/kg đến 4,0 MJ/kg.
Các dữ liệu được phân tích theo TCVN 6910-2 (ISO 5725-2) [6]. Đầu tiên, 32 phòng thí nghiệm đã thực hiện các thử nghiệm với vật liệu thứ nhất theo quy trình 1 và 2. Sau đó 34 phòng thí nghiệm xác định tổng nhiệt lượng khi cháy của vật liệu 2 và 3 trong lượt thử nghiệm thứ hai. 35 phòng thí nghiệm tham gia đã sử dụng các loại nhiệt lượng kế khác nhau được sản xuất bởi các hãng khác nhau. Phương pháp thực hiện tin cậy và nhất quán. Điều này là do các kết quả thử nghiệm của chương trình thử nghiệm liên phòng không bị ảnh hưởng đáng kể nào vào thiết bị của phòng thí nghiệm. Ngoài ra các chất trợ cháy được sử dụng như acid benzoic, dầu parafin, túi PE không dẫn tới sự chênh lệch kết quả thử nghiệm . Số lượng các giá trị khác thường và ngoại lai do sự nhất quán giữa các phòng thí nghiệm nhỏ hơn số lượng do sự nhất quán trong phòng thí nghiệm. Nguyên nhân là không thể tìm ra kết quả thử nghiệm khác thường và ngoại lai trong báo cáo thử nghiệm của các phòng thí nghiệm. Ngoài ra các ảnh chụp mẫu trước và sau thử nghiệm cho thấy không có sai lệch đáng kể so với quy trình thử nghiệm đưa ra. Tất cả các giá trị thống kê từ chương trình thử nghiệm EGOLF rõ ràng nhỏ hơn các giá trị tối đa trong TCVN 13525 (ISO 1716), Bảng B.2. Điều này cho thấy các phòng thí nghiệm có thể thực hiện thử nghiệm phản ứng với lửa này theo nhiều cách thích hợp.
Phụ lục C
(tham khảo)
Tính hệ số điều chỉnh c từ biểu đồ, cần thiết do nhiệt lượng kế bị nguội đi
T là nhiệt độ của nhiệt lượng kế và t là thời gian. Ký hiệu nhiệt độ bên ngoài không khí, gần nhiệt lượng kế, coi là không đổi khi thử nghiệm, là T0. T tăng từ giá trị ban đầu T1 ở lúc bắt đầu của thử nghiệm đến giá trị T2, luôn lớn hơn T1 . Trong mỗi khoảng thời gian dt, phía bên ngoài của nhiệt lượng kế bị nguội đi dc dương hoặc âm phụ thuộc vào nhiệt độ theo quan hệ Newton:
| c = a (T-T0)dt | (C.1) |
với a là hệ số cho trước đối với bom nhiệt lượng (hệ số làm lạnh); điều chỉnh nhiệt độ để trao đổi nhiệt với bên ngoài giữa lúc bắt đầu của giai đoạn chính, tx, và thời điểm tm khi đạt được nhiệt độ tối đa, được cho bởi tích phân:
|
| (C.2) |
Để tính tích phân, phải biết giá trị a và T0 . Ở cuối của giai đoạn đầu (thời điểm 1) và cuối của giai đoạn cuối (thời điểm 2), sự thay đổi nhiệt độ của nhiệt lượng kế gần tuyến tính và phù hợp với sự trao đối với bên ngoài. Đo sự thay đổi này như sau:
ở thời điểm 1 và 2
Do vậy chúng ta có thể viết:
|
| (C.3) |
|
| (C.4) |
Hệ phương trình này cho các giá trị a và T0 dưới dạng hàm số của T1 và T2;
![]()
Tích phân [phương trình (C.2)] có thể tính bằng đồ thị (xem Hình 4). Nó đủ để vẽ đồ thị đường cong nhiệt độ như một hàm của thời gian giữa thời điểm ti và tm và đường thẳng ngang với trục tung T0. Sự khác nhau giữa vùng gạch chéo A1 và A2 vị trí trên và dưới trục T0 tăng lên gấp bội bởi hệ số làm lạnh a đại diện cho giới hạn điều chỉnh c.
Phụ lục D
(tham khảo)
Ví dụ xác định tổng nhiệt lượng khi cháy của sản phẩm không đồng nhất
D.1 Sản phẩm không đồng nhất được thử nghiệm
Coi một sản phẩm không đồng nhất bao gồm các thành phần chính và các thành phần phụ bên trong và bên ngoài, như định nghĩa trong Điều 3 (xem Hình D.1).

CHÚ DẪN:
1 Thành phần phụ bên ngoài
2 Thành phần chính
3 Thành phần phụ bên trong
4 Thành phần chính
5 Thành phần chính bên ngoài
Hình D.1 - Sản phẩm không đồng nhất cần được đánh giá
D.2 Lấy mẫu sản phẩm không đồng nhất
D.2.1 Tách lớp của sản phẩm
Sản phẩm được đánh giá thông qua mỗi thành phần cấu tạo của nó. Mỗi thành phần thu được bằng cách tách hoặc được cung cấp riêng từng lớp.
Lấy mẫu như mô tả trong 7.2 và mỗi mẫu được nghiền như quy định 7.4.
D.2.2 Xác định mật độ diện tích của mỗi thành phần
Mật độ diện tích của bảy thành phần, kg/m2, được xác định như mô tả ở 8.3. Mật độ diện tích của bảy thành phần A, B, C, D, E, F và G: mA, mB, mC, mD, mE, mF, mG.
Mật độ diện tích của sản phẩm là m = mA + mB + mC + mD + mE + mF + mG

| a) Một sản phẩm | b) Năm thành phần | c) Bảy mẫu |
CHÚ DẪN:
A ít nhất 0,5 m2 và ít nhất 10,0 g
B ít nhất 10,0 g của vật liệu khô (keo dính)
C ít nhất 0,5 m2 và ít nhất 50,0 g
D ít nhất 10,0 g của vật liệu khô (keo dính)
E ít nhất 0,5 m2 và ít nhất 50,0 g
F ít nhất 10,0 g của vật liệu khô (keo dính)
G ít nhất 0,5 m2 và ít nhất 50,0 g
1, 2, 3, 4 và 5 xác định như trong Hình D.1
Hình D.2 - Lấy mẫu của sản phẩm không đồng nhất
D.3 Xác định tổng nhiệt lượng khi cháy của mỗi thành phần
Tổng nhiệt lượng khi cháy của mỗi thành phần được xác định như mô tả ở 8.3, tức là ba kết quả đối với một thành phần, MJ/kg là:

Các kết quả được phân tích đối với mỗi thành phần như mô tả trong Điều 9 và các mẫu thử khác được thực hiện nếu cần, đưa ra các giá trị trung bình đối với mỗi thành phần:

Tổng nhiệt lượng khi cháy của thành phần phụ bên ngoài của sản phẩm (1), MJ/m2 là:
![]()
Tổng nhiệt lượng khi cháy của thành phần phụ bên ngoài của sản phẩm (1), MJ/kg là
![]()
Tổng nhiệt lượng khi cháy của thành phần chính bên ngoài của sản phẩm (5), MJ/m2 là:
![]()
Tổng nhiệt lượng khi cháy của thành phần chính bên ngoài của sản phẩm (5), MJ/kg là
![]()
Tổng nhiệt lượng khi cháy của cả sản phẩm (QPCSs), MJ/m2 là:
![]()
Tổng nhiệt lượng khi cháy của cả sản phẩm (QPCS), MJ/kg là:
![]()
D.4 Lấy mẫu khi các thành phần chính và thành phần phụ cũng như một số thành phần bên trong và bên ngoài được đặt chồng lên nhau
D.4.1 Thử nghiệm sản phẩm không đồng nhất
Hình D.3 nêu ví dụ về sản phẩm không đồng nhất được cấu thành từ thành phần chính A được bao phủ bởi hai thành phần phụ bên trong cạnh nhau B và C.

CHÚ DẪN:
1. Thành phần chính A
2. Thành phần phụ bên trong B
3. Thành phần phụ bên trong C
Hình D.3 - Lấy mẫu sản phẩm không đồng nhất
D.4.2 Lấy mẫu sản phẩm không đồng nhất
Phân lớp sản phẩm
Sản phẩm được đánh giá thông qua mỗi thành phần cấu tạo của nó. Mỗi thành phần thu được bằng cách tách hoặc được cung cấp riêng từng lớp. Lấy mẫu thử như trong 7.2 và mỗi mẫu được nghiền như quy định 7.4.
Xác định mật độ diện tích của mỗi thành phần
Mật độ diện tích của ba thành phần, kg/m2, được xác định như mô tả ở 7.3. Mật độ diện tích của ba thành phần A, B và C là: mA, mB, mC.
Xác định tổng lượng nhiệt khi cháy của mỗi thành phần
Tổng nhiệt lượng khi cháy của mỗi thành phần được xác định như mô tả ở 8.3, tức là ba kết quả đối với một thành phần, MJ/kg là:

Các kết quả được phân tích đối với mỗi thành phần như mô tả trong Điều 9 và các mẫu thử khác được thực hiện nếu cần, đưa ra các giá trị trung bình đối với mỗi thành phần:

Sản phẩm có tổng diện tích bề mặt Ssản phẩm =Sa=Sb+Sc
Các thành phần phụ bên trong B và C có thể được hợp nhất thành một thành phần phụ bên trong (B và C). Mật độ diện tích của thành phần phụ bên trong này là:
mB&C - (ma x Sb + mC x SC)/ (Sb+SC)
Tổng lượng nhiệt lượng khi cháy của thành phần phụ bên trong của sản phẩm, MJ/m2 là:
![]()
Tổng nhiệt lượng của toàn bộ sản phẩm (QPCS), MJ/kg là:
![]()
Thư mục tài liệu tham khảo
[1] TCVN 200 (ISO 1928), Nhiên liệu khoáng rắn - Xác định giá trị tỏa nhiệt toàn phần bằng phương pháp bom đo nhiệt lượng và tính giá trị tỏa nhiệt thực.
[2] TCVN 6910-2 (ISO 5725-2), Độ chính xác (độ đúng và độ chụm) của phương pháp đo và kết quả đo - Phần 2: Phương pháp cơ bản xác định độ lặp lại và độ tái lập của phương pháp đo tiêu chuẩn.
[3] ASTM D240, Standard Test Method for Heat of Combustion of Liquid Hydrocarbon Fuels by Bomb Calorimeter.
[4] IEC 61039, Classification of insulating liquids.
[5] EGOLF EGR 001-2016: Non-separable multilayer products with aluminium or other metallic foils - Procedure of delamination.
[6] V. Babrauskas. Related quantities - Part A. Heat of combustion and Potential Heat. In Heat Release in Fires, Chapter 8, Elsevier Applied Science, NY, Babrauskas, V.; Grayson, S. J., Editors, 207-223 pp, 1992.
[7] EGOLF TC1 N460rev. Summary report for Round-Robin ISO 1716.
[8] ISO 13943, Fire safety - Vocabulary.
MỤC LỤC
Lời nói đầu
1 Phạm vi áp dụng
2 Tài liệu viện dẫn
3 Thuật ngữ và định nghĩa
4 Nguyên tắc
5 Thiết bị thử nghiệm
6 Thuốc thử và vật liệu
7 Mẫu thử
8 Quy trình thử nghiệm
9 Biểu thị kết quả
10 Báo cáo thử nghiệm
11 Tính hợp lệ của các kết quả thử nghiệm
Phụ lục A (quy định) Tính tổng lượng nhiệt thực khi cháy
Phụ lục B (tham khảo) Độ chụm của phương pháp thử
Phụ lục C (tham khảo) Tính hệ số điều chỉnh c từ biểu đồ, cần thiết do nhiệt lượng kế bị nguội
Phụ lục D (tham khảo) Ví dụ xác định tổng nhiệt lượng khi cháy của sản phẩm không đồng nhất
Thư mục tài liệu tham khảo
Bạn chưa Đăng nhập thành viên.
Đây là tiện ích dành cho tài khoản thành viên. Vui lòng Đăng nhập để xem chi tiết. Nếu chưa có tài khoản, vui lòng Đăng ký tại đây!