- Tổng quan
- Nội dung
- Tiêu chuẩn liên quan
- Lược đồ
- Tải về
Tiêu chuẩn Quốc gia TCVN 12700:2019 Ứng dụng đường sắt - Bộ trục bánh xe và giá chuyển hướng
| Số hiệu: | TCVN 12700:2019 | Loại văn bản: | Tiêu chuẩn Việt Nam |
| Cơ quan ban hành: | Bộ Khoa học và Công nghệ | Lĩnh vực: | Giao thông , Khoa học-Công nghệ |
|
Ngày ban hành:
Ngày ban hành là ngày, tháng, năm văn bản được thông qua hoặc ký ban hành.
|
18/11/2019 |
Hiệu lực:
|
Đã biết
|
| Người ký: | Đang cập nhật |
Tình trạng hiệu lực:
Cho biết trạng thái hiệu lực của văn bản đang tra cứu: Chưa áp dụng, Còn hiệu lực, Hết hiệu lực, Hết hiệu lực 1 phần; Đã sửa đổi, Đính chính hay Không còn phù hợp,...
|
Đã biết
|
TÓM TẮT TIÊU CHUẨN VIỆT NAM TCVN 12700:2019
Tiêu chuẩn Quốc gia TCVN 12700:2019 về Thiết kế Khung Giá Chuyển Hướng Đường Sắt
Ngày 18/11/2019, Bộ Giao thông vận tải đã ban hành Tiêu chuẩn Quốc gia TCVN 12700:2019 do Cục Đăng kiểm Việt Nam biên soạn. Tiêu chuẩn này hoàn toàn tương đương với tiêu chuẩn EN 13749:2011 và có hiệu lực ngay từ ngày được công bố.
Tiêu chuẩn này quy định phương pháp thiết kế và đánh giá kết cấu của khung giá chuyển hướng trong các ứng dụng đường sắt, bao gồm quy trình thiết kế, yêu cầu thẩm tra và chất lượng sản xuất. Phạm vi áp dụng của tiêu chuẩn bao gồm cả các thiết bị gắn trên khung giá chuyển hướng.
Nội dung chính của Tiêu chuẩn:
1. Phương pháp thiết kế khung giá chuyển hướng:
Tiêu chuẩn quy định rõ các yêu cầu về kết cấu, quy trình thiết kế và đánh giá để đảm bảo khung giá chuyển hướng đáp ứng các yêu cầu vận hành. Điều này bao gồm các điều kiện về tải trọng và hệ thống treo.
2. Các yêu cầu về chỉ dẫn kỹ thuật:
Chỉ dẫn kỹ thuật phải mô tả các yêu cầu về tính năng của khung, bao gồm các thông số hoạt động, yêu cầu bảo trì và các quy định bắt buộc. Ngoài ra, điều này cũng cần chỉ đứng rõ kết cấu và loại giá chuyển hướng cần sử dụng.
3. Thẩm tra và phê duyệt thiết kế:
Các phương pháp phân tích, thử nghiệm độ bền tĩnh và mỏi sẽ được áp dụng nhằm chứng minh rằng thiết kế của khung giá chuyển hướng đáp ứng đầy đủ các yêu cầu kỹ thuật. Việc phê duyệt thiết kế sẽ dựa trên một kế hoạch thẩm định chi tiết, bao gồm xác định các trường hợp tải cần thiết.
4. Yêu cầu chất lượng sản xuất:
Để đảm bảo chất lượng, các khung giá chuyển hướng phải được sản xuất theo đúng quy định trong tiêu chuẩn và phải có sự kiểm tra chất lượng định kỳ theo Giáo trình EN 15827 và các tiêu chuẩn kỹ thuật liên quan.
Phụ lục của tiêu chuẩn cũng liệt kê các ký hiệu, đơn vị và thông tin về các trường hợp tải trong thiết kế, nhằm hỗ trợ việc áp dụng tiêu chuẩn này trong thực tế.
Tải tiêu chuẩn Việt Nam TCVN 12700:2019
TIÊU CHUẨN QUỐC GIA
TCVN 12700:2019
EN 13749:2011
ỨNG DỤNG ĐƯỜNG SẮT - BỘ TRỤC BÁNH XE VÀ GIÁ CHUYỂN HƯỚNG - PHƯƠNG PHÁP XÁC ĐỊNH CÁC YÊU CẦU VỀ KẾT CẤU CỦA KHUNG GIÁ CHUYỂN HƯỚNG
Railway applications - Wheelsets and bogies - Method of specifying the structural requirements of bogie frames
Lời nói đầu
TCVN 12700:2019 hoàn toàn tương đương với tiêu chuẩn EN 13749 : 2011.
TCVN 12700:2019 do Cục Đăng kiểm Việt Nam biên soạn, Bộ Giao thông vận tải đề nghị, Tổng cục Tiêu chuẩn - Đo lường - Chất lượng thẩm định, Bộ Khoa học và Công nghệ công bố.
ỨNG DỤNG ĐƯỜNG SẮT - BỘ TRỤC BÁNH XE VÀ GIÁ CHUYỂN HƯỚNG - PHƯƠNG PHÁP XÁC ĐỊNH CÁC YÊU CẦU VỀ KẾT CẤU CỦA KHUNG GIÁ CHUYỂN HƯỚNG
Railway applications - Wheelsets and bogies - Method of specifying the structural requirements of bogie frames
1 Phạm vi áp dụng
Tiêu chuẩn này quy định phương pháp để đạt được thiết kế hoàn thiện về khung giá chuyển hướng, bao gồm quy trình thiết kế, phương pháp đánh giá, yêu cầu về thẩm tra và yêu cầu về chất lượng sản xuất. Tiêu chuẩn này giới hạn trong các yêu cầu về kết cấu của khung giá chuyển hướng, gồm cả xà nhún và vỏ hộp trục. Tiêu chuẩn này cũng áp dụng cho tất cả các thiết bị gắn vào khung giá chuyển hướng, ví dụ: giá bắt giảm chấn.
2 Tài liệu viện dẫn
Các tài liệu viện dẫn sau rất cần thiết cho việc áp dụng tiêu chuẩn này. Đối với các tài liệu viện dẫn ghi năm công bố thì áp dụng phiên bản được nêu. Đối với các tài liệu viện dẫn không ghi năm công bố thì áp dụng phiên bản mới nhất, bao gồm cả các sửa đổi bổ sung nếu có.
EN 15085-1, Railway applications - Welding of railway vehicles and components - Part 1: General (Ứng dụng đường sắt - Hàn phương tiện và các bộ phận - Phần 1: Tổng quan).
EN 15085-2, Railway applications - Welding of railway vehicles and components - Part 2: Quality requirements and certification of welding manufacturer (Ứng dụng đường sắt - Hàn phương tiện và các bộ phận - Phần 2: Yêu cầu về chất lượng và giấy chứng nhận về hàn của nhà sản xuất).
EN 15085-3, Railway applications - Welding of railway vehicles and components - Part 3: Design requirements (Ứng dụng đường sắt - Hàn phương tiện và các bộ phận - Phần 3: Các yêu cầu thiết kế).
EN 15085-4, Railway applications - Welding of railway vehicles and components - Part 4: Production requirements (Ứng dụng đường sắt - Hàn phương tiện và các bộ phận - Phần 4: Các yêu cầu về sản xuất).
EN 15085-5, Railway applications - Welding of railway vehicles and components - Part 5: Inspection, testing and documentation (Ứng dụng đường sắt - Hàn phương tiện và các bộ phận - Phần 5: Kiểm tra, thử nghiệm và lưu trữ tài liệu).
EN 15663, Railway applications - Definition of vehicle reference masses (Ứng dụng đường sắt - Định nghĩa khối lượng tham chiếu của phương tiện).
EN 15827:2011, Railway applications - Requirements for bogies and running gear (Ứng dụng đường sắt - Các yêu cầu đối với giá chuyển hướng và bộ phận chạy).
3 Thuật ngữ và định nghĩa
Trong tiêu chuẩn này, áp dụng các thuật ngữ trong tiêu chuẩn EN 15827:2011 và các thuật ngữ, định nghĩa sau:
3.1 Hộp trục (axlebox)
Bộ phận lắp ở cổ trục bánh xe có ổ bi và cơ cấu bôi trơn dùng để truyền tải trọng và hạn chế độ dịch dọc, dịch ngang của bộ bánh xe.
3.2 Khung giá chuyển hướng (bogie frame)
Bộ phận cơ bản để liên kết các hộp trục, đồng thời truyền lực tác dụng trong giá chuyển hướng.
3.3 Xà nhún (bolster)
Bộ phận liên kết với khung giá chuyển hướng qua bộ phận lò xo, trực tiếp chịu trọng lượng của thân xe.
3.4 Lực tĩnh (static force)
Là lực có trị số không đổi theo thời gian.
3.5 Lực bán tĩnh (quasi-static force)
Là lực có trị số thay đổi theo thời gian với một tỉ lệ mà không gây ra kích thích động.
CHÚ THÍCH: Lực bán tĩnh có thể duy trì không đổi trong một khoảng thời gian nhất định.
3.6 Lực động (dynamic force)
Là lực tức thời, lực xung động hoặc lực liên tục, đồng đều hoặc ngẫu nhiên, thay đổi theo thời gian theo một tỉ lệ mà gây ra kích thích động.
3.7 Trường hợp tải (load case)
Tập hợp các loại tải hoặc kết hợp các loại tải đại diện cho một điều kiện tải mà kết cấu hoặc bộ phận đó phải chịu.
3.8 Trường hợp tải đặc biệt (exceptional load case)
Trường hợp vượt tải thể hiện tải trọng tối đa mà giá chuyển hướng có thể chịu được trong quá trình khai thác và trường hợp tải này được sử dụng để đánh giá các đặc tính về vật liệu tĩnh.
3.9 Trường hợp tải mỏi (fatigue load case)
Trường hợp tải lặp đi lặp lại được sử dụng để đánh giá độ bền mỏi.
3.10 Hệ số an toàn (safety factor)
Hệ số được sử dụng trong đánh giá độ bền mà đưa ra một giới hạn cho phép khi kết hợp những thành phần không chắc chắn và mức độ rủi ro về an toàn.
3.11 Xà cạnh hoặc má giá (sideframe)
Là xà dọc, một bộ phận cấu thành của khung giá chuyển hướng.
3.12 Hệ thống treo sơ cấp (primary suspension)
Là hệ thống treo bao gồm các phần tử đàn hồi (các bộ phận định vị và kết nối liên quan) thường nằm giữa hộp trục và khung giá chuyển hướng.
3.13 Hệ thống treo thứ cấp (secondary suspension)
Là hệ thống treo bao gồm các phần tử đàn hồi (các bộ phận định vị và kết nối liên quan) thường nằm giữa khung giá chuyển hướng và thân xe hoặc xà nhún.
3.14 Thử nghiệm trên đường (track testing)
Là việc thực hiện các thử nghiệm trong các điều kiện khai thác dự kiến trên cơ sở hạ tầng đường sắt có môi trường hoạt động đúng với thực tế để theo dõi và ghi lại các phản hồi.
3.15 Thẩm định (validation)
Quá trình chứng minh bằng việc phân tích và/hoặc thử nghiệm xem hệ thống đang được xem xét có đáp ứng tất cả các yêu cầu trong chỉ dẫn kỹ thuật, bao gồm các yêu cầu bắt buộc đối với hệ thống đó hay không.
3.16 Thẩm tra (verification)
Quá trình chứng minh bằng việc so sánh hoặc thử nghiệm mà kết quả phân tích hoặc giá trị được tính toán là ở mức có thể chấp nhận được.
4 Chỉ dẫn kỹ thuật
4.1 Phạm vi
Chỉ dẫn kỹ thuật bao gồm tất cả các thông tin mô tả các yêu cầu về tính năng của khung giá chuyển hướng và việc kết nối với các bộ phận và tổng thành lắp ráp tương ứng. Tối thiểu phải bao gồm các yêu cầu chung về sử dụng, các điều kiện liên quan tới phương tiện sử dụng giá chuyển hướng đó, các thông số vận hành, các điều kiện liên quan tới bảo trì và các yêu cầu cụ thể khác.
Chỉ dẫn kỹ thuật cũng phải đưa ra tất cả các quy định bắt buộc thích hợp, quy định các bước của quy trình thẩm tra và chấp thuận (Điều 6), các yêu cầu cụ thể về chất lượng (Điều 7) và đưa ra bằng chứng thể hiện các yêu cầu đã được thỏa mãn.
CHÚ THÍCH: Nếu khách hàng không có khả năng đưa ra được bản chỉ dẫn kỹ thuật hoàn chỉnh thì nhà cung cấp có thể đề xuất ra bản chỉ dẫn kỹ thuật và nộp bản đó cho khách hàng và cơ quan quản lý nhà nước liên quan để phê duyệt.
4.2 Các yêu cầu chung
Chỉ dẫn kỹ thuật phải nêu ra loại giá chuyển hướng cần thiết theo nhu cầu sử dụng. Chỉ dẫn kỹ thuật cũng phải đưa ra tuổi thọ dự kiến của giá chuyển hướng, quãng đường chạy trung bình hàng năm, tổng quãng đường chạy và tất cả các thông tin mà có thể áp dụng đối với khung giá chuyển hướng như được trình bày trong EN 15827. Những thông tin liên quan cụ thể đến việc thiết kế khung giá chuyển hướng sẽ được nêu ra trong các điều khoản dưới đây.
4.3 Các trường hợp tải thiết kế
Chỉ dẫn kỹ thuật đối với khung giá chuyển hướng chủ yếu là đưa ra các trường hợp tải được yêu cầu để thiết kế giá chuyển hướng theo quy định trong EN 15827, cộng với các trường hợp tải bổ sung theo quy định của tiêu chuẩn hoặc tải phát sinh từ việc ứng dụng. Các trường hợp tải này phải dựa trên cơ sở trạng thái trọng lượng của phương tiện được quy định trong EN 15663. Tuy nhiên, đối với một số ứng dụng và các phương pháp đánh giá mỏi, cần thiết phải sử dụng các điều kiện tải bổ sung của phương tiện (được quy định trong EN 15663) để có được bản mô tả chính xác phạm vi chất tải của phương tiện cho mục đích thiết kế.
Việc xây dựng các trường hợp tải thiết kế được đưa ra trong Phụ lục B, các ví dụ về các trường hợp tải thiết kế liên quan tới bộ phận chạy và các trường hợp tải do thiết bị gắn vào gây ra được đưa ra trong Phụ lục C và D tương ứng.
CHÚ THÍCH: Nếu đề xuất sử dụng phương pháp tiếp cận giới hạn về độ bền để đánh giá độ bền mỏi thì dữ liệu về số lượng sự kiện là không cần thiết và chỉ cần xác định các điều kiện vượt tải lặp đi lặp lại.
4.4 Các điều kiện về phương tiện và giao diện
Từ các yêu cầu của EN 15827 được diễn giải để có thể áp dụng cho khung giá chuyển hướng, chỉ dẫn kỹ thuật cũng sẽ bao gồm các thông tin sau:
- Khổ giới hạn và tiếp giáp của thân xe.
- Biên dạng tham chiếu và đường bao dịch chuyển của giá chuyển hướng.
- Hình dạng hình học của hệ thống treo và các bộ phận gắn vào.
- Tiếp giáp với hệ thống động cơ điện kéo, hệ thống hãm và tất cả các thiết bị khác gắn vào.
- Sự kết nối giữa hệ thống điện và khí nén.
- Các yêu cầu về môi trường.
- Các yêu cầu về bảo trì.
4.5 Các yêu cầu cụ thể
Chỉ dẫn kỹ thuật đưa ra tất cả yêu cầu cụ thể liên quan tới khung giá chuyển hướng mà không có trong các điều trên, ví dụ: điều kiện vận hành, vật liệu, loại kết cấu và các phương pháp lắp ráp (ví dụ: xử lý hàn, phun bi).
5 Thẩm tra dữ liệu thiết kế
Tất cả các phương pháp cần thiết (phân tích, mô phỏng, thử nghiệm) được sử dụng để triển khai thiết kế.
Thông tin hỗ trợ cho việc thiết kế khung giá chuyển hướng phải được thẩm tra thông qua những tài liệu được quy định trong chỉ dẫn kỹ thuật và những tài liệu được yêu cầu trong các tiêu chuẩn, quy chuẩn áp dụng:
- Khung giá được thiết kế và sản xuất tuân thủ theo các yêu cầu của chỉ dẫn kỹ thuật tiêu chuẩn EN 15827 và tiêu chuẩn này.
- Tất cả các nội dung kiểm tra cần thiết phải được xem xét thẩm định và chấp thuận.
6 Thẩm định và phê duyệt thiết kế
6.1 Tổng quan
Mục đích của việc thẩm định là để chứng minh rằng bản thiết kế khung giá chuyển hướng đáp ứng đầy đủ các điều kiện được quy định trong chỉ dẫn kỹ thuật. Ngoài ra, cũng chỉ ra rằng khung giá chuyển hướng được chế tạo tuân thủ theo thiết kế thì tính năng của nó sẽ đáp ứng nhu cầu khai thác mà không xảy ra sự cố như hư hỏng nặng, biến dạng vĩnh cửu và nứt do mỏi. Đồng thời chứng minh thêm không có các tác động bất lợi lên các bộ phận gắn vào giá chuyển hướng hoặc các tổng thành lắp ráp.
Kế hoạch thẩm định tổng thể giá chuyển hướng phải phù hợp với quy định trong EN 15827 và các yêu cầu cụ thể trong tiêu chuẩn này.
Việc phê duyệt sản phẩm thường sẽ phụ thuộc vào mức độ hoàn thiện của kế hoạch thẩm định nhưng có thể bao gồm các điều kiện khác ngoài phạm vi của tiêu chuẩn này.
Chỉ dẫn kỹ thuật bao gồm hướng dẫn cách thức thiết kế giá chuyển hướng sẽ được thẩm định (phù hợp với các quy chuẩn áp dụng) và phải đưa ra tất cả các thông số cần thiết để áp dụng cho các giai đoạn khác nhau của quy trình thiết kế giá chuyển hướng. Các thông số này phải được quy định trong ba phần:
- Kế hoạch thẩm định (ví dụ: việc kết hợp các trường hợp tải để phân tích và thử nghiệm tĩnh, các chương trình để thử nghiệm mỏi, các tuyến để thử nghiệm trên đường).
- Các giá trị của các trường hợp tải khác nhau.
- Chỉ tiêu phê duyệt (việc xử lý các giá trị được tính toán, giá trị đo được, ứng suất giới hạn, chỉ tiêu để hoàn thành thử nghiệm mỏi, ...).
Điều 6.2 quy định các phần việc của kế hoạch thẩm định trong tất cả các trường hợp cụ thể.
CHÚ THÍCH: Để quá trình phê duyệt được hoàn thiện thì đơn vị cung cấp phải đưa ra các phương pháp để chứng minh sự phù hợp với các yêu cầu nếu chúng không được đưa vào chỉ dẫn kỹ thuật.
6.2 Kế hoạch thẩm định
6.2.1 Nội dung
Kế hoạch thẩm định bao gồm một danh mục các bước thẩm định được lên kế hoạch để chứng minh phù hợp với các yêu cầu được quy định trong chỉ dẫn kỹ thuật.
Quy trình thẩm định độ bền kết cấu của khung giá chuyển hướng dựa trên chỉ tiêu chấp thuận phải được xây dựng trên cơ sở:
- Phân tích.
- Thử nghiệm độ bền tĩnh trong phòng thử.
- Thử nghiệm độ bền mỏi trong phòng thử.
- Thử nghiệm trên đường.
Nội dung của kế hoạch thẩm định sẽ phụ thuộc vào mức độ quan trọng của vấn đề cần được xử lý. Về nguyên tắc, kế hoạch thẩm định phải đưa ra và xử lý tất cả các giả thiết và các giải pháp thiết kế mà cần phải được thẩm tra.
Tất cả các chi tiết gắn vào giá chuyển hướng phải được phân tích để chứng minh chúng sẽ chịu được tải thử nghiệm.
Đối với một khung giá chuyển hướng thiết kế mới sử dụng cho một kiểu loại ứng dụng mới thì tất cả 4 bước thẩm định đều phải được tiến hành, mặc dù thử nghiệm độ bền mỏi có thể được thay thế bằng các phương pháp khác để chứng minh tuổi thọ mỏi theo yêu cầu. Trong kế hoạch thẩm định phải xây dựng thành một quy trình mà sẽ quy định các bước cần phải được thực hiện và mức độ thử nghiệm cần thiết để thẩm tra và đưa ra kết quả phân tích tin cậy.
CHÚ THÍCH: Kế hoạch này sẽ xác định ra được phạm vi và đối tượng để thử nghiệm trong phòng thử và thử nghiệm trên đường.
Các trường hợp tải đối với giá chuyển hướng xe hàng dựa trên kinh nghiệm của ngành đường sắt qua một thời gian dài vận hành và những loại tải này nhìn chung là có thể áp dụng cho tất cả các loại thiết kế giá chuyển hướng xe hàng tương ứng. Theo quy định (thông lệ) giá chuyển hướng xe hàng nếu đã qua được thử nghiệm độ bền mỏi phù hợp thì không phải thực hiện thử nghiệm trên đường để đánh giá về kết cấu nữa (việc thử nghiệm trên đường chỉ thực hiện đối với giá chuyển hướng cần phải thẩm định tính năng động lực học).
Các yêu cầu chung của báo cáo thẩm định là:
- Xác định đối tượng thẩm định.
- Tài liệu về phương pháp áp dụng (gồm cả các hạn chế của nó).
- Trình bày kết quả.
- Xác định chỉ tiêu phê duyệt.
- Công bố phù hợp.
Về nguyên tắc, chỉ tiêu phê duyệt giống nhau nên được áp dụng cho cả giai đoạn thiết kế và thử nghiệm. Ví dụ, nếu phương pháp tiếp cận giới hạn về độ bền được sử dụng để thẩm tra trong phân tích thiết kế thì cũng có thể áp dụng cho giai đoạn thử nghiệm. Tuy nhiên nếu trong quá trình thử nghiệm không thể thẩm tra được thiết kế bằng việc sử dụng phương pháp tiếp cận giới hạn về độ bền thì có thể tiến hành đánh giá tuổi thọ bằng cách sử dụng phương pháp tiếp cận phá hủy tích lũy thích hợp.
Nếu thiết kế là phiên bản phát triển của một thiết kế trước đó thì mọi dữ liệu trước đó hoặc các bằng chứng khác về việc thỏa mãn tính năng mà vẫn còn có thể áp dụng có thể được xem như là thẩm định của thiết kế sửa đổi.
Trong trường hợp thiết kế hiện tại của khung giá được dự định sử dụng cho một ứng dụng mới hoặc để điều chỉnh thiết kế hiện có thì khối lượng công việc thẩm định có thể được giảm đi, mức độ giảm phụ thuộc vào mức độ của sự sai khác. Nếu sự sai khác nhỏ, việc phân tích kết hợp với việc đo đạc được thực hiện trong suốt chương trình thử nghiệm hạn chế sẽ là đủ để thẩm định thiết kế.
Thử nghiệm độ bền tĩnh và thử nghiệm độ bền mỏi phải được tiến hành tuân thủ theo các chỉ dẫn kỹ thuật, các quy chuẩn áp dụng và theo cấp thử nghiệm để thẩm định việc thỏa mãn thiết kế.
Đối với việc thẩm định phê duyệt khung giá chuyển hướng sẽ được sản xuất hàng loạt thì các khung giá chuyển hướng thử nghiệm phải được sản xuất tuân thủ theo đúng các chỉ dẫn kỹ thuật tương ứng, bao gồm bản vẽ, quy trình và yêu cầu về chất lượng. Mọi sự sai khác mà có thể làm ảnh hưởng đến kết quả thử nghiệm phải được đưa ra để phê duyệt.
Thiết bị đồ gá thử nghiệm phải có khả năng tạo ra được các ứng suất tương tự như những ứng suất xuất hiện trên khung giá chuyển hướng ở mức hợp lý khi được lắp đặt dưới bệ xe và được gắn lên bộ phận treo.
Trong trường hợp đơn đặt hàng sản xuất số lượng ít giá chuyển hướng không thể đảm bảo thực hiện được tất cả các giai đoạn của quy trình thẩm định thông thường. Trong trường hợp này, việc phân tích vẫn sẽ được tiến hành và sẽ được hỗ trợ bằng cách thực hiện các biện pháp thay thế như được quy định trong EN 15827.
Nếu các trường hợp tải đối với giá chuyển hướng xe hàng được áp dụng dựa trên kinh nghiệm của ngành đường sắt qua nhiều năm vận hành và những loại tải này nhìn chung có thể áp dụng cho tất cả các thiết kế giá chuyển hướng xe hàng tương tự thì có thể chấp nhận giá chuyển hướng xe hàng đã qua thử nghiệm độ bền mỏi phù hợp không cần thực hiện thử nghiệm trên đường về kết cấu.
6.2.2 Phân tích kết cấu
Để bổ sung cho các yêu cầu chung trong báo cáo thẩm định quy định ở mục 6.2.1, báo cáo phân tích kết cấu phải bao gồm các thông tin sau:
- Điều kiện biên, gồm các trường hợp tải thiết kế và việc kết hợp các trường hợp tải (được quy định trong EN 15827 và trong Phụ lục B).
- Ghi chép các tài liệu về mô hình mô phỏng được sử dụng (gồm bước đơn giản hóa).
- Vị trí và các loại ứng suất sẽ được đánh giá.
- Giới hạn thiết kế cho phép (ví dụ: ứng suất cho phép) và cơ sở/nguồn gốc của chúng.
- Các chỉ tiêu phê duyệt cụ thể (ví dụ: độ cứng, chuyển vị chẳng hạn như tiếp xúc giữa vỏ hộp trục và ổ bi).
- Ghi chép quá trình thử nghiệm các chi tiết quan trọng (xem mục 4.2 tại Phụ lục E).
Luôn sử dụng dữ liệu sẵn có về các trường hợp tải cụ thể theo ứng dụng và dữ liệu có tính đến các đặc tính của hệ thống treo giá chuyển hướng, các thông số của thân xe, các đặc tính vận hành và các thông số của đường (ví dụ: dữ liệu thực nghiệm được thiết lập hoặc dữ liệu từ việc mô phỏng, thử nghiệm hoặc các ứng dụng tương tự trước đó).
Phụ lục C và D đưa ra các ví dụ về dữ liệu trường hợp tải thiết kế mà đã được sử dụng cho các ứng dụng cụ thể nhưng những dữ liệu này không thể được xem xét để áp dụng phổ biến. Chú ý rằng dữ liệu trường hợp tải trong Phụ lục C và D không tính tới sự sai khác về hệ thống treo của giá chuyển hướng hoặc các đặc tính của thân xe hoặc các thay đổi về tải từ hệ thống treo chủ động.
Việc phân tích kết cấu được tiến hành bằng cách sử dụng quá trình thẩm định và chỉ tiêu phê duyệt như được quy định trong EN 15827.
Phụ lục E đưa ra hướng dẫn bổ sung về các yếu tố cần phải được xem xét khi quy định chương trình phân tích và bao gồm chỉ tiêu phê duyệt về kết cấu như được quy định trong EN 15827.
6.2.3 Thử nghiệm độ bền tĩnh
Mục tiêu của thử nghiệm độ bền tĩnh được mô tả trong Phụ lục F.1.
Ngoài các yêu cầu chung về báo cáo thẩm định trong 6.2.1, báo cáo thử nghiệm độ bền tĩnh trong phòng thử phải bao gồm:
- Ghi chép về chương trình thử nghiệm được thực hiện bao gồm độ lớn, việc tổ hợp, hướng và vị trí của các tải (giá trị danh định và giá trị thực tế áp dụng).
- Ghi chép về việc thiết lập thử nghiệm bao gồm đồ gá, các bộ truyền lực và mọi bước đơn giản hóa sẵn có.
- Ghi chép về thiết bị đo, gồm kiểu loại và vị trí của các cảm biến (thiết bị đo biến dạng, cảm biến tải, đầu dò chuyển vị, ...) và quá trình chứng nhận hiệu chuẩn liên quan.
- Phương pháp đánh giá và diễn giải các giá trị biến dạng/ứng suất đo được và giá trị cho phép.
- Kết quả thử nghiệm đối với từng vị trí đo độc lập.
Tải được sử dụng trong các thử nghiệm phải dựa trên các trường hợp tải thiết kế.
Phụ lục F đưa ra những đánh giá chung và đưa ra những mẫu chương trình để thử nghiệm độ bền tĩnh. Một lần nữa, dữ liệu này không thể được xem xét để áp dụng phổ biến do các trường hợp tải không tính tới sự sai khác về thông số của thân xe và hệ thống treo. Vì vậy, những ví dụ này chỉ được thực hiện khi nhận thấy chúng có thể áp dụng.
6.2.4 Thử nghiệm độ bền mỏi
Mục tiêu của thử nghiệm độ bền mỏi được mô tả trong Phụ lục G.1.
Để bổ sung cho các yêu cầu chung về báo cáo thẩm định trong 6.2.1, báo cáo thử nghiệm độ bền mỏi trong phòng thử phải bao gồm:
- Ghi chép về chương trình thử nghiệm được thực hiện bao gồm độ lớn, việc tổ hợp, hướng và vị trí của các tải, số chu kỳ tải (giá trị danh định và giá trị thực tế áp dụng).
- Ghi chép về việc thiết lập thử nghiệm gồm đồ gá, các bộ truyền lực và các bước đơn giản hóa sẵn có.
- Ghi chép về thiết bị đo, gồm kiểu loại và vị trí của các cảm biến (thiết bị đo biến dạng, cảm biến tải, đầu dò chuyển vị, ...) và quá trình chứng nhận hiệu chuẩn liên quan.
- Chỉ tiêu phê duyệt (gồm kế hoạch và phương pháp thử nghiệm không phá hủy).
- Báo cáo thử nghiệm không phá hủy.
- Diễn giải kết quả dựa trên chỉ tiêu phê duyệt.
Kế hoạch thử nghiệm mỏi phải được tính toán xác định cho từng ứng dụng cụ thể.
Phụ lục G đưa ra những đánh giá chung và đưa ra những mẫu chương trình để thử nghiệm độ bền mỏi, cũng như thử nghiệm độ bền tĩnh. Chương trình này không tính tới sự sai khác về thông số của thân xe và bộ phận treo. Chương trình này chỉ được thực hiện khi nhận thấy chúng có thể áp dụng.
6.2.5 Thử nghiệm trên đường
Bổ sung cho các yêu cầu chung về báo cáo thẩm định trong 6.2.1, báo cáo thử nghiệm trên đường phải bao gồm:
- Ghi chép về phương tiện thử nghiệm gồm các điều kiện tải.
- Ghi chép về chương trình thử nghiệm gồm tuyến, chiều dài loại hình đường thử nghiệm, điều kiện vận hành.
- Ghi chép về thiết bị đo được sử dụng, gồm các loại cảm biến (thiết bị đo biến dạng, cảm biến tải, đầu dò chuyển vị, gia tốc, ...) và quá trình chứng nhận hiệu chuẩn liên quan.
- Phương pháp đánh giá, diễn giải biến dạng/ứng suất đo được và các giá trị cho phép.
- Diễn giải kết quả đối với các vị trí đo.
Để tạo ra các kết quả hợp lệ, việc thử nghiệm trên đường phải được tiến hành trên phương tiện thử nghiệm, việc chất tải, chất lượng đường ray và hồ sơ tốc độ thể hiện cho tất cả các điều kiện vận hành dự định. Nếu môi trường có thể ảnh hưởng đến kết quả thử nghiệm thì việc thử nghiệm phải được tiến hành trong các điều kiện thích hợp.
CHÚ THÍCH 1: Các mục tiêu thẩm định mà có thể thu được thông qua thử nghiệm trên đường là:
- Thẩm tra các giả thiết của thiết kế liên quan tới các điều kiện vận hành và đường bao vận hành (khi không có các bước ràng buộc và đơn giản hóa mà có sẵn trong mô hình mô phỏng).
- Thẩm tra/tính toán xác định lịch sử thời gian biến dạng thực tế (phổ/thu thập) tại các vị trí đo dưới các điều kiện vận hành thực tế (khi không có các bước ràng buộc và đơn giản hóa về mô hình mô phỏng kết cấu và các giả thiết về chất tải).
- Đánh giá tuổi thọ thiết kế trên cơ sở lịch sử thời gian biến dạng đo được thực tế và lý thuyết mỏi.
CHÚ THÍCH 2: Các hạn chế của thử nghiệm trên đường là:
- Chương trình thử nghiệm chỉ thể hiện được một phần nhỏ trong tổng thời gian tuổi thọ thiết kế vận hành của giá chuyển hướng.
- Bước đơn giản hóa là không thể tránh khỏi trong việc ngoại suy kết quả thử nghiệm với tổng tuổi thọ thiết kế của giá chuyển hướng và việc đánh giá kết quả phải tính tới mức độ mà chương trình thử nghiệm có thể thể hiện cho tổng điều kiện thời gian thực.
- Việc dự báo tuổi thọ thiết kế là dựa trên lý thuyết mỏi và vì vậy có một mức độ tin cậy bị hạn chế bởi chính giả thiết này.
7 Các yêu cầu về chất lượng
Để thẩm định được thì tất cả các khung giá chuyển hướng được sản xuất phải có chất lượng phù hợp với các yêu cầu của chỉ dẫn kỹ thuật và các giả thiết, dữ liệu được sử dụng làm cơ sở cho thiết kế.
Việc thiết kế và sản xuất khung giá chuyển hướng phải có kế hoạch chất lượng theo quy định trong EN 15827.
Việc sản xuất theo phương pháp hàn phải được tiến hành tuân thủ theo các yêu cầu của EN 15085-1 đến EN 15085-5 hoặc theo một quy trình khác tương đương.
Phụ lục A
(Tham khảo)
Ký hiệu và đơn vị được sử dụng trong các phụ lục tham khảo
CHÚ THÍCH: Một số ký hiệu được sử dụng trong tiêu chuẩn này có thể có nghĩa khác so với những ký hiệu được áp dụng trong các tiêu chuẩn liên quan (EN 13103, EN 13104, EN 13979-1).
A.1 Lực
Bảng A.1 - Lực
| Lực (N) | Vị trí | Ký hiệu | ||
| Tĩnh | Bán tĩnh | Động | ||
| Thẳng đứng | Lực tác dụng lên giá chuyển hướng | Fz |
|
|
| Lực tác dụng lên xà cạnh (má giá) 1 hoặc bàn trượt 1 | Fz1 | Fz1qs | Fz1d | |
| Lực tác dụng lên xà cạnh (má giá) 2 hoặc bàn trượt 2 | Fz2 | Fz2qs | Fz2d | |
| Lực tác dụng lên cối chuyển hướng | Fzp | Fzpqs | Fzpd | |
| Lực tác dụng lên trọng tâm thân xe | Fzc |
|
| |
| Ngang | Lực tác dụng lên giá chuyển hướng | Fy |
|
|
| Lực tác dụng lên trục 1 | Fy1 | Fy1qs | Fy1d | |
| Lực tác dụng lên trục 2 | Fy2 | Fy2qs | Fy2d | |
| Lực tác dụng lên trọng tâm thân xe | Fyc |
|
| |
| Lực tác dụng do gió | Fw1 |
|
| |
| Dọc | Lực tại từng bánh xe | Fx1 |
|
|
| Lực tác dụng lên trọng tâm thân xe | Fxc |
|
| |
| Lực tác dụng lên trọng tâm giá chuyển hướng | Fx |
|
| |
A.2 Gia tốc
Bảng A.2 - Gia tốc
| Gia tốc (m/s2) | Ký hiệu | |
| Thân xe | Giá chuyển hướng | |
| Thẳng đứng | azc | azb |
| Ngang (động) | ayc | ayb |
| Ly tâm (bán tĩnh) | aycc | aycb |
| Dọc | axc | axb |
A.3 Khối lượng
Bảng A.3 - Khối lượng
| Khối lượng (kg) | Ký hiệu |
| Khối lượng của phương tiện | MV |
| Khối lượng thân xe | m1 |
| Khối lượng giá chuyển hướng không tính khối lượng của lò xo thứ cấp | m+ |
| Khối lượng lò xo sơ cấp giá chuyển hướng | m2 |
| Tải đặc biệt | P1 |
| Tải khai thác thông thường | P2 |
Các giá trị được gán cho các ký hiệu trên phải dựa trên việc mô tả về khối lượng trong EN 15663.
A.4 Các ký hiệu và đơn vị khác
Bảng A.4 - Các ký hiệu và đơn vị khác
| Các ký hiệu và đơn vị khác | Ký hiệu | Đơn vị |
| Gia tốc trọng trường | g | 9,80665 m/s2 |
| Áp lực gió | q | N/m2 |
| Ứng suất | σ | N/mm2 |
| Ứng suất tính toán | σc | N/mm2 |
| Ứng suất chảy của vật liệu | ReH | N/mm2 |
| Ứng suất chảy 0,2 % của vật liệu | Rp0,2 | N/mm2 |
| Ứng suất tới hạn của vật liệu | Rm | N/mm2 |
| Hệ số không chắc chắn hoặc hệ số an toàn | S1 |
|
| Diện tích bề mặt thân xe | Aw | m2 |
| Hệ số dao động lăn | α |
|
| Hệ số dao động nhấp nhô | β |
|
| Hệ số ma sát hoặc hệ số bám | μ |
|
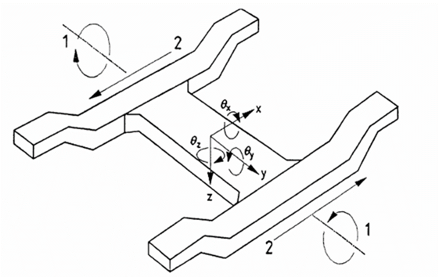
A.5 Hệ tọa độ
Hình A.1 thể hiện hệ tọa độ được chấp thuận trong tiêu chuẩn này.

CHÚ THÍCH
1 Xoắn
2 Cắt
Hình A.1 - Hệ tọa độ
Bảng A.5 quy định chuyển vị, biến dạng và hướng.
Bảng A.5 - Chuyển vị và biến dạng trong lắp ráp giá chuyển hướng
| Hướng | Ký hiệu | Mô tả |
| Dọc | x | Tuyến tính theo hướng di chuyển |
| Ngang | y | Tuyến tính song song với mặt phẳng của đường, vuông góc với hướng di chuyển |
| Thẳng đứng | z | Tuyến tính vuông góc với mặt phẳng của đường |
| Lăn | θx | Quay theo trục dọc |
| Gật đầu | θy | Quay theo trục ngang |
| Lắc | θz | Quay theo trục thẳng đứng |
| Xoắn | - | Chuyển động ngoài mặt phẳng (x-y) dẫn tới quay tương đối so với xà cạnh |
| Cắt | - | Cắt do chuyển động dọc tương đối của xà cạnh |
A.6 Phân loại giá chuyển hướng
Tiêu chuẩn này áp dụng cho nhiều loại giá chuyển hướng khác nhau. Đối với mục đích tham khảo, để cho thuận tiện sẽ phân loại chúng trong các phụ lục dưới đây. Việc lựa chọn loại giá chuyển hướng thường được xác định theo kiểu loại phương tiện tuy nhiên cũng có thể thực hiện theo các yêu cầu về kết cấu của khung giá chuyển hướng.
Các yêu cầu về kết cấu đối với một loại giá chuyển hướng cụ thể không phải là duy nhất và nên được quy định theo các yêu cầu vận hành. Sẽ có sự sai khác trong việc lựa chọn giữa các áp dụng. Điều này đã được dự tính và không mâu thuẫn với tiêu chuẩn này. Một số giá chuyển hướng có thể không phù hợp với bất cứ loại nào đã được quy định trong tiêu chuẩn này.
Loại B-I Giá chuyển hướng toa xe khách chính tuyến và liên thành phố bao gồm cả phương tiện tốc độ cao và cao tốc, được cấp điện và không cấp điện.
Loại B-II Giá chuyển hướng toa xe khách nội đô và ngoại ô, được cấp điện và không cấp điện.
Loại B-III Giá chuyển hướng metro và phương tiện vận tải nhanh, được cấp điện và không cấp điện.
Loại B-IV Giá chuyển hướng phương tiện đường sắt nhẹ, tàu điện.
Loại B-V Giá chuyển hướng toa xe hàng một hệ lò xo.
Loại B-VI Giá chuyển hướng toa xe hàng hai hệ lò xo.
Loại B-VII Giá chuyển hướng đầu máy.
CHÚ THÍCH: Việc phân loại tương tự như được phê duyệt đối với thân xe trong EN 12663.
Phụ lục B
(Tham khảo)
Các trường hợp tải
Các trường hợp tải được sử dụng trong phân tích, thử nghiệm độ bền tĩnh và thử nghiệm độ bền mỏi khung giá chuyển hướng được xác định trên cơ sở điều kiện tải của phương tiện được trang bị giá chuyển hướng và kết quả các trường hợp tải giá chuyển hướng như được quy định trong EN 15827 (xem Điều 4). EN 15663 đưa ra khối lượng tham chiếu tiêu chuẩn từ các điều kiện tải thiết kế có thể được tạo ra cho các loại phương tiện khác nhau nếu chỉ dẫn kỹ thuật không có. Đối với một số ứng dụng và phương pháp đánh giá mỏi cần thiết sử dụng điều kiện tải bổ sung của phương tiện để có được bản mô tả chính xác về phạm vi chất tải của phương tiện cho mục đích thiết kế như thể hiện trong 4.3.
Các trường hợp tải có thể bao gồm các chuyển vị cũng như các lực, ví dụ: lực xoắn của đường.
Các trường hợp tải chia thành hai nhóm tải bên ngoài và tải bên trong.
Các trường hợp tải bên ngoài do:
- Chạy trên đường (ví dụ: lực thẳng đứng do tải từ phương tiện; lực ngang khi vào đường cong hoặc khi đi qua các điểm nối ray, ghi; lực xoắn của khung giá do phương tiện đi qua đoạn ray bị vặn xoắn).
- Gia tốc khi khởi động và dừng tàu.
- Chu kỳ có tải/không tải của phương tiện.
- Khi ky xe và khi có chấn động giật.
Các trường hợp tải bên trong là do sự hoạt động của các bộ phận gắn vào giá chuyển hướng (hãm, giảm chấn, thanh chống vặn xoắn, động cơ điện kéo, lực quán tính gây ra bởi khối lượng được gắn vào khung giá).
Việc xác định từng loại tải có thể bao gồm ba thành phần:
- Tĩnh.
- Bán tĩnh.
- Động.
Các trường hợp tải khác nhau có thể có một số mức độ khác nhau. Phương pháp tiếp cận phổ biến để thiết kế và đánh giá kết cấu là chia các trường hợp tải thành hai loại chính.
Loại đầu tiên gồm các trường hợp tải tĩnh, đại diện cho các tải đặc biệt (vượt tải) có thể hiếm khi xảy ra trong suốt vòng đời của giá chuyển hướng. Kết cấu giá chuyển hướng được yêu cầu phải chịu được các trường hợp tải như vậy mà không làm biến dạng đến một mức quá giới hạn quy định hoặc không xảy ra biến dạng vĩnh cửu sau khi nhả tải.
Loại thứ hai gồm các trường hợp tải mỏi, đại diện cho các tải lặp đi lặp lại nhiều lần trong quá trình vận hành bình thường; các trường hợp tải như vậy được sử dụng để chứng minh khả năng chịu tải của giá chuyển hướng mà không xảy ra hư hỏng mỏi. Nếu cần, tính tới tải bán tĩnh, xảy ra ở tần số thấp.
Sự khác biệt giữa các trường hợp tải là cần thiết để phù hợp với tính chất vật liệu và các chỉ tiêu phê duyệt liên quan theo quy định của EN 15827 và như được trình bày trong Phụ lục E.
Phụ lục C đưa ra các ví dụ về các trường hợp tải bên ngoài cho các loại giá chuyển hướng khác nhau cho cả trường hợp khai thác thông thường và trường hợp đặc biệt. Tương tự, Phụ lục D đưa ra các ví dụ về các trường hợp tải bên trong. Các ví dụ về trường hợp tải được đưa ra trong các phụ lục này không tính đến sự khác biệt về đặc tính của phương tiện, hệ thống treo hoặc ứng dụng giá chuyển hướng. Do đó, các ví dụ về trường hợp tải này chỉ được sử dụng khi chúng có thể được thể hiện là có thể áp dụng và/hoặc theo thỏa thuận giữa đơn vị cung cấp và khách hàng.
Phụ lục C
(Tham khảo)
Tải do giá chuyển hướng vận hành
C.1 Tổng quan
Trong khai thác, giá chuyển hướng phải chịu và chịu được các trường hợp tải sau:
- Trọng lượng của phương tiện, bao gồm mọi loại tải.
- Sự thay đổi về tải.
- Sự bất thường của đường.
- Khi qua đường cong.
- Khi gia tốc và hãm.
- Khi chịu tải đột ngột (toa xe hàng).
- Khi trật bánh nhẹ (tốc độ thấp rơi xuống nền đá ba lát, nếu có yêu cầu trong chỉ dẫn kỹ thuật).
- Khi có tác động của giảm đấm.
- Trong điều kiện môi trường khắc nghiệt (xem EN 50125-1).
- Trong điều kiện hư hỏng (ví dụ, ngắn mạch động cơ điện kéo).
- Trong các tình huống bảo trì/phục hồi (ví dụ, nâng và ky xe).
Trong thực tế, các tải được kết hợp một cách phức tạp và vì vậy rất khó để thể hiện chính xác khi phân tích. Do đó theo kinh nghiệm và để dễ phân tích nên thể hiện các tải thực tế bằng một loạt các trường hợp tải bao gồm tải do các tác động được nêu ra ở trên dưới một hình thức đơn giản hoặc tách riêng từng trường hợp hoặc kết hợp lại. Quan trọng là khi đơn giản hóa phải đảm bảo rằng các tác động của tải thực tế không được đánh giá thấp.
Sau đó các trường hợp tải trên được xác định là tải đặc biệt hoặc tải khai thác thông thường (tải mỏi) như được đưa ra trong Phụ lục B.
Các trường hợp tải cần thiết cho việc thiết kế và đánh giá khung giá chuyển sẽ phụ thuộc vào ứng dụng đang được xem xét.
Các ví dụ được đưa ra trong C.2, C.3 và C.4 theo phương pháp tiếp cận được mô tả ở trên và đã được sử dụng cho những giá chuyển hướng được dự định để vận hành theo tiêu chuẩn UIC [9], [10], [11] trong thư mục tài liệu tham khảo. Những ví dụ này không tính đến sự khác biệt về đặc tính của hệ thống treo hoặc đặc tính của thân xe do đó việc điều chỉnh các giá trị được đưa ra trong các ví dụ có thể được áp dụng để tính đến sự khác biệt về các đặc tính này đối với các thiết kế giá chuyển hướng khác nhau. Chúng có thể không thể hiện các điều kiện vận hành đặc biệt (quá tải) hoặc khai thác thông thường (mỏi) như được định nghĩa trong EN 15827 và Phụ lục B.
Giá chuyển hướng phải chịu các điều kiện vận hành không được quy định từ trước trong các tiêu chuẩn của UIC thường sẽ yêu cầu các trường hợp tải thay thế khi thiết kế và đánh giá; các trường hợp tải này không được xem xét trong phụ lục này và nếu cần có thể quy định trong chỉ dẫn kỹ thuật.
Tương tự, các ví dụ được đưa ra trong C.5 thường được áp dụng cho thiết kế giá chuyển hướng tàu điện trong thư mục tài liệu tham khảo [14], nhưng khách hàng/đơn vị cung cấp có thể xem xét các yêu cầu thay thế phù hợp hơn cho các ứng dụng của họ.
Nguồn dữ liệu không thể hiện cách thức các tải quy định bị tác động. Do đó, đơn vị thiết kế cần xem xét việc cân bằng tải cho phù hợp với ứng dụng đã chọn. Đặc biệt là các tải theo phương ngang do tác động tại các bộ trục bánh xe nên bao gồm lực quán tính giá chuyển hướng để tính toán xác định lực do hệ thống treo sơ cấp gây ra.
Trong các điều khoản dưới đây, các phương trình đưa ra ở dưới áp dụng cho giá chuyển hướng hai trục (điều chỉnh cho giá chuyển hướng ba trục). Cần lưu ý rằng trong các phương trình có giả thiết hai giá chuyển hướng mỗi bên chịu tải như nhau. Nếu lệch tải thì các phương trình sẽ cần được điều chỉnh sao cho phù hợp. Giả thiết sử dụng đơn vị đo lường hệ SI phù hợp và các lực đo bằng Newton.
C.2 Ví dụ về tải tác dụng lên giá chuyển hướng toa xe khách - loại B-I và B-II
C.2.1 Các trường hợp tải đặc biệt
Lực thẳng đứng (tác dụng lên từng xà cạnh, dựa trên giả thiết khối lượng phương tiện được phân bố đều lên hai giá chuyển hướng và thân xe được đỡ trực tiếp trên từng xà cạnh):

Trong đó:
MV - khối lượng của phương tiện.
P1 - tải thiết kế đặc biệt (theo EN 15663).
m+ - khối lượng giá chuyển hướng.
Fzmax - tổng lực thẳng đứng tác dụng lên giá chuyển hướng.
Lực ngang (tác dụng lên từng trục):

Lực cắt dọc (tác dụng lên từng bánh xe):
Fx1max = 0,1 × (Fzmax + m+ g) (C.3)
Tải dồn theo chiều dọc
Việc phân tích và thử nghiệm độ bền tĩnh nên được tiến hành, trong đó lực dọc bằng lực quán tính giá chuyển hướng dưới gia tốc 3g đối với giá chuyển hướng có động cơ điện kéo và 5g đối với giá chuyển hướng kéo theo được áp dụng cho bộ phận gắn vào giá chuyển hướng như là tải đặc biệt.
Trong đoàn tàu khách cố định hoặc tàu nhiều đơn nguyên giá trị 3g là đúng cho tất cả các giá chuyển hướng.
Tải xoắn (hai trường hợp có thể được xem xét)
Trường hợp 1 - Phương tiện trong trạng thái tải đặc biệt (đứng và ngang), khung giá phải chịu được các tải gây ra từ việc vặn xoắn 1% của đường.
Trường hợp 2 - Với phương tiện rỗng (chỉ dưới tải trọng thẳng đứng), xem xét việc thoát tải hoàn toàn một bánh xe với dịch chuyển thẳng đứng của bánh xe bị giới hạn đến chiều cao của ray.
Trường hợp 2 sẽ lặp lại tác động của việc trật bánh ở tốc độ thấp trên đường trong depot. Chỉ dẫn kỹ thuật có thể cho phép một số biến dạng vĩnh cửu của khung giá trong trường hợp này. Trường hợp này không cần thiết phải xem xét đối với đầu máy ngoại trừ được yêu cầu trong chỉ dẫn kỹ thuật.
C.2.2 Tải khai thác thông thường
Lực thẳng đứng (tác dụng lên từng xà cạnh):

Trong đó:
P2 - Tải thiết kế danh nghĩa (theo EN 15663).
Lực ngang (tác dụng lên từng trục):

Lực cắt dọc (tác dụng lên từng bánh xe):
Fx1 = 0,05 × (Fz + m+ g) (C.6)
Tải xoắn.
Tải này là do việc vặn xoắn 0,5% của đường gây ra.
C.3 Ví dụ về tải tác dụng lên giá chuyển hướng toa xe hàng có cối chuyển và hai bàn trượt - loại B-V
C.3.1 Các loại giá chuyển hướng
Các trường hợp tải dưới đây được quy định đối với giá chuyển hướng hai trục. Đối với giá chuyển hướng ba trục thì cũng áp dụng tương tự. Theo kinh nghiệm tải thẳng đứng được phân bố đều trên cả ba trục; tải dọc, tải ngang phân bố 37,5 % trên trục ngoài và 25 % trên trục trung tâm. Trường hợp cần thiết để thay đổi tổng tải cho cả ba trục thì phải được quy định bằng văn bản. Tuy nhiên, lưu ý rằng đối với thiết kế giá chuyển hướng hiện đại thì các loại tải và việc phân bố này có thể là không còn phù hợp.
C.3.2 Mối quan hệ của các tải thẳng đứng
Fz - là tổng tải thẳng đứng tác dụng lên giá chuyển hướng.
Fzp - là lực thẳng đứng tác dụng lên cối chuyển.
Fz1, Fz2 - là lực thẳng đứng tác dụng lên từng bàn trượt.
Trong đó Fz1, Fz2 bằng hệ số α nhân với Fz, thể hiện tác động lăn. Khi lực Fzα tác dụng lên một bàn trượt thì lực tác dụng lên cối chuyển sẽ giảm xuống còn Fz(1 - α).
C.3.3 Các trường hợp tải đặc biệt
Lực thẳng đứng (hai trường hợp chính cần phải được xem xét):
Trường hợp 1 - trường hợp mà lực chỉ tác dụng lên cối chuyển.
Fzpmax = 2 Fz (sử dụng hệ số tải là 2) (C.7)
Trường hợp 2 - trường hợp (lăn) này lực tác dụng lên cả cối chuyển và bàn trượt
Fz1max (hoặc Fz2max) = 1,5 Fzα (C.8)
Fzpmax = 1,5 Fz(1 - α) (sử dụng hệ số tải là 1,5) (C.9)
Trong đó α sẽ phụ thuộc vào khoảng cách tâm hai bàn trượt. Theo UIC khoảng cách tâm giữa hai bàn trượt là 1,7 m thì α = 0,3. Nếu khoảng cách tâm hai bàn trượt (2bg) khác 1,7 thì 
Lực ngang (tác dụng lên từng trục):

Tổng lực Fymax tăng lên
đối với giá chuyển hướng ba trục (trên cơ sở chạy thử loại giá chuyển hướng toa xe hàng loại 714). Đối với các loại giá chuyển hướng khác việc phân bố tải được ghi lại trong suốt quá trình chạy thử của một loại giá chuyển hướng tương tự nên được sử dụng hoặc các tải được tính toán xác định từ việc mô phỏng.
Lực cắt dọc (tác dụng lên từng bánh xe):
Fx1max = 0,1 × (Fz + m+ g) (C.11)
Tải dồn theo chiều dọc
Nếu phương tiện phải chịu dồn dịch khi khai thác, thử nghiệm va đập phải được thực hiện bằng cách sử dụng toa xe hàng 80 tấn chạy với tốc độ 15 km/h. Nếu thử nghiệm này không được thực hiện thì lấy lực dọc tĩnh tại vị trí kéo bằng khối lượng giá chuyển hướng nhân với gia tốc lớn nhất của phương tiện trong trường hợp va chạm.
Tải xoắn.
Xem C.2.1.
C.3.4 Tải khai thác thông thường
Lực thẳng đứng (hai trường hợp chính cần phải được xem xét):
Trường hợp 1 - trường hợp mà lực chỉ tác dụng lên cối chuyển.
Fzp = Fz (C.12)
Trường hợp 2 - trường hợp (lăn) này lực tác dụng lên cả cối chuyển và bàn trượt.
Fz1 (hoặc Fz2) = Fzα (C.13)
Fzp = Fz(1 - α) (C.14)
Trong đó α sẽ phụ thuộc vào khoảng cách tâm hai bàn trượt. Theo UIC khoảng cách tâm giữa hai bàn trượt là 1,7 m thì α = 0,2. Nếu khoảng cách tâm hai bàn trượt (2bg) khác 1,7 thì 
Lực ngang (tác dụng lên từng trục):

Tổng lực Fy tăng lên 0,265(Fz + m+ g) đối với giá chuyển hướng ba trục, được phân bố như thể hiện trong C.3.1.
Lực cắt dọc (tác dụng lên từng bánh xe):
Fx1 = 0,05 × (Fz + m+ g) (C.16)
Tải xoắn.
Tải này do việc vặn xoắn 0,5 % của đường gây ra.
C.4 Ví dụ về các tải tác dụng lên giá chuyển hướng đầu máy (loại hai giá chuyển hướng) - loại B-VII
C.4.1 Tải đặc biệt
Tải thẳng đứng (tác dụng lên từng xà cạnh, trên cơ sở giả thiết toàn bộ khối lượng phương tiện được phân bố đều lên hai giá chuyển hướng và thân xe được đỡ trực tiếp trên từng xà cạnh):

Trong đó:
MV - khối lượng của phương tiện.
m+ - khối lượng giá chuyển hướng.
Fzmax - tổng lực thẳng đứng tác dụng lên giá chuyển hướng.
CHÚ THÍCH: Nếu điều kiện vận hành xấu hệ số 1,4 có thể tăng lên thành 2.
Lực ngang (tác dụng lên từng trục):

Trong đó:
c1 - là khối lượng của người lái tàu (80 kg).
na - số lượng trục.
nb - số lượng giá chuyển hướng.
Đối với giá chuyển hướng ba trục, giả thiết rằng trục ở giữa không truyền lực ngang.
Lực dọc (tác dụng lên từng bánh xe).
Gia tốc dọc của giá chuyển hướng tối thiểu là 3g nên được xem xét đối với tất cả các loại đầu máy ngoại trừ đầu máy dồn gia tốc lấy là 5g.
Tải xoắn trường hợp này tương tự như C.2.1.
C.4.2 Tải khai thác thông thường
Lực thẳng đứng (tác dụng lên từng khung giá):

Lực ngang (tác dụng lên từng trục):

Lực dọc (tác dụng lên từng bánh xe) do tác động của động cơ điện kéo (μ = 0,4):

Trong đó:
na - số lượng trục.
0,1 - μ/4.
Lực cắt dọc (tác dụng lên từng bánh xe) do động lực học:

Tải xoắn. Giá chuyển hướng phải chịu được tải do việc vặn xoắn 0,5 % của đường gây ra.
C.5 Ví dụ về các tải tác dụng lên giá chuyển hướng của phương tiện metro, vận tải nhanh, đường sắt nhẹ và xe điện - loại B-III và B-IV
C.5.1 Áp dụng
Các trường hợp tải này áp dụng cho giá chuyển hướng của đoàn tàu một đơn nguyên, đoàn tàu nhiều đơn nguyên và đoàn tàu có khớp nối giữa 2 toa. Đối với những loại phương tiện có cấu hình khác, nguyên tắc tương tự cũng có thể được áp dụng để tính toán, xác định ra các trường hợp tải thiết kế phù hợp để thay thế.
C.5.2 Các trường hợp tải
Các trường hợp tải cơ bản được nêu dưới đây được rút ra từ [14]. Theo thông lệ là để diễn giải tải tác dụng lên từng giá chuyển hướng tuân thủ theo tải trọng trục của giá chuyển hướng tương ứng. Việc kết hợp tải được nêu ra trong phụ lục F.
Đối với tải đặc biệt, khối lượng thân xe là m1, gồm cả hành khách, tương ứng với một giá chuyển hướng cụ thể là:

Đối với các tải khai thác thông thường, khối lượng thân xe m1, gồm cả hành khách, tương ứng với một giá chuyển hướng cụ thể là:

Trong đó:
MV - khối lượng của phương tiện.
P1, P2 - khối lượng của hành khách (được quy định trong EN 15663).
c - tải bánh xe của giá chuyển hướng tương ứng được diễn giải là a %.
m+ - khối lượng giá chuyển hướng.
Khi xem xét lực do áp lực gió gây ra, tỉ lệ diện tích bề mặt thân xe theo hình chiếu đứng là Aw, được phân bố cho từng giá chuyển hướng được tính toán theo tải trọng trục, như ở trên.
Lực quán tính được giả thiết tác dụng vào trọng tâm của thân xe hoặc giá chuyển hướng cho phù hợp.
Lực gió được giả thiết tác dụng vào tâm chịu lực gió của thành bên toa xe.
Các loại lực dưới đây sử dụng các ký hiệu bổ sung được quy định trong Phụ lục A.
C.5.3 Biểu thức chung đối với các trường hợp tải cơ bản
C.5.3.1 Tải tác dụng lên thân xe
Lực dọc (tác dụng vào trọng tâm):
Fxc = m1 x axc (C.25)
Lực ngang (tác dụng vào trọng tâm):
Fyc = m1 x (ayc + aycc) (C.26)
Lực thẳng đứng (tác dụng vào trọng tâm):
Fzc = m1(g + azc) (C.27)
Lực ngang do gió (tác dụng vào tâm thành bên):
Fw1 = Aw x q (C.28)
C.5.3.2 Tải tác dụng lên khung giá
Lực dọc (tác dụng vào trọng tâm):
Fxb = m2 x axb (C.29)
Lực ngang (tác dụng vào trọng tâm):
Fyb = m2(ayb + aycb) (C.30)
Lực thẳng đứng (tác dụng vào trọng tâm):
Fzb = m2(g + azb) (C.31)
C.5.3.3 Tải khi kết nối giữa giá chuyển hướng và thân xe (điều kiện có giảm đấm)
Fxb = m+ × 3g (C.32)
Phụ lục D
(Tham khảo)
Tải do các thiết bị gắn vào khung giá chuyển hướng
D.1 Tổng quan
Độ bền của các thiết bị gắn vào kết cấu giá chuyển hướng phải chịu được tải quán tính do chuyển động của giá chuyển hướng tạo ra và chịu được mọi loại tải do quá trình vận hành của thiết bị gây ra. Đối với tất cả các loại giá chuyển hướng và đối với tất cả các ứng dụng, tải có thể được xác định theo cách tương tự như những gì được nêu trong Phụ lục B, cụ thể là:
- Tải đặc biệt, mà không tạo ra biến dạng vĩnh cửu hoặc độ biến dạng quá mức.
- Tải khai thác thông thường mà không gây ra các vết nứt do mỏi.
Tuy nhiên, cần phải chỉ ra rằng ngoài độ lớn của tải, cần phân tích phá hủy do mỏi để xem xét số lượng ứng dụng đối với các loại tải này. Ví dụ, tải do hãm thường có giá trị giống nhau đối với các loại giá chuyển hướng khác nhau, nhưng số lượng ứng dụng của chúng có thể khác nhau rõ rệt đối với đường sắt ngầm hoặc đường sắt ngoại ô, toa xe khách liên thành phố, toa xe hàng hoặc tàu tốc độ cao.
D.2 Tải quán tính thành phần
D.2.1 Nguồn gốc
Gia tốc được sử dụng để tính toán xác định tải quán tính dựa trên cơ sở thông tin sẵn có nhất của ứng dụng. Việc xác định này sẽ phụ thuộc vào khối lượng, vị trí và hướng trên giá chuyển hướng, động lực học giá chuyển, tần số dao động riêng của kết cấu, độ cứng của vị trí nối, chất lượng đường, tốc độ, ...
Có thể chấp nhận sử dụng các quy tắc chung đối với việc gắn thiết bị trên giá chuyển hướng nếu nó đủ nhẹ để không tác động đến tính năng động lực học. Nếu không có thông tin chính xác hơn, dữ liệu đưa ra trong D.2.2 và D.2.3 dưới đây có thể được sử dụng để tính toán xác định các loại tải tại giao diện gắn vào do khối lượng của thiết bị được gắn vào.
Tải thiết kế do bất kỳ bộ phận nào mà có khối lượng/lực quán tính lớn (tự nặng đủ nặng để tác động tới tính năng động lực học của giá chuyển hướng) phải được đánh giá rõ ràng. Việc đánh giá này áp dụng cho mọi thiết bị được treo đàn hồi. Yêu cầu thiết kế có thể được tính toán xác định từ dữ liệu thực nghiệm đã được kiểm chứng qua việc ứng dụng so sánh, dữ liệu thử nghiệm hoặc kết quả mô phỏng.
Các mức gia tốc được đưa ra dưới đây là thể hiện các mức thiết kế điển hình có thể áp dụng cho phương tiện sử dụng trên các tuyến đường sắt ở Châu Âu tuy nhiên đơn vị thiết kế phải hiểu rằng trong một số ứng dụng nhất định, các mức có thể lớn hơn hoặc nhỏ hơn các giá trị này. Đối với thiết kế mỏi các mức ở trong các bảng dưới đây có thể được giả thiết đại diện cho một tải có độ lớn không đổi hoạt động 107 chu kỳ thì sẽ dẫn tới phá hủy tương tự như mật độ kích thích động trong thực tế.
Nếu thử nghiệm được tiến hành để tính toán xác định tải quán tính thì dữ liệu nên được lấy mẫu và được lọc ở một mức độ phù hợp với các tần số tương ứng. Đầu ra của thiết bị đo biến dạng sẽ đưa ra được một thông số rõ ràng về chu kỳ tải kết cấu hiệu dụng hơn là dữ liệu từ thiết bị đo gia tốc.
Các gia tốc được trích dẫn trong các bảng liên quan đến khung giá chuyển hướng, hộp trục nói chung và không bao gồm tác động của tính linh hoạt kết cấu cục bộ, việc bố trí lắp đặt hoặc bất kỳ tác động cộng hưởng liên quan nào.
Các số liệu được trích dẫn có thể không phù hợp với tất cả các thiết kế giá chuyển hướng. Các đặc tính của hệ thống treo sơ cấp và các giảm chấn có thể có tác động đáng kể lên các mức gia tốc của khung giá. Giá trị cao hơn đáng kể so với những số liệu trích dẫn có thể được lấy.
Các mức gia tốc được sử dụng trong bất kỳ ứng dụng nào cũng nên được sự thỏa thuận giữa các bên liên quan (khách hàng, đơn vị cung cấp, cơ quan phê duyệt).
D.2.2 Gia tốc thiết kế đối với thiết bị gắn vào khung giá
Thiết bị này có thể là ăng ten, thiết bị an toàn, thiết bị bôi trơn gờ, hộp cát, ...
Bảng D.1 - Gia tốc điển hình của thiết bị gắn trên khung giá
| Phương | Gia tốc đặc biệt | Gia tốc mỏi |
| Thẳng đứng + | ± 20g | ± 6g |
| Bên + | ± 10g | ± 5g |
| Ngang | ± 3g hoặc ± 5g* | ± 2,5g |
| Các giá trị trong bảng này áp dụng cho khung giá nằm trên hệ thống treo sơ cấp. Chúng có thể được giảm tuyến tính xuống một nửa giá trị tại tâm giá chuyển hướng và nên được ngoại suy đến các giá trị cao hơn phía ngoài hệ thống treo sơ cấp. * Là giá trị được sử dụng phụ thuộc vào kiểu loại giá chuyển hướng, ứng dụng và phải phù hợp với các lực dồn dọc (xem phụ lục C). | ||
D.2.3 Gia tốc thiết kế đối với thiết bị gắn vào hộp trục
Thiết bị này có thể là gạt chướng ngại vật hoặc các bộ phận của hệ thống hãm cũng như các bộ phận khác (cảm biến tốc độ).
Bảng D.2 - Gia tốc điển hình của thiết bị gắn trên hộp trục
| Phương | Gia tốc đặc biệt | Gia tốc mỏi |
| Thẳng đứng | ± 70g | ± 25g |
| Bên | ± 10g | ± 5g |
| Ngang | ± 10g | ± 5g |
Các gia tốc trong bảng này áp dụng cho đường trung tâm của hộp trục. Tùy thuộc vào loại hộp trục mà sẽ được điều chỉnh cho các vị trí khác nhau (đặc biệt nếu thể hiện dao động lắc ngang).
D.3 Tải do giảm chấn dầu gây ra
Tải do giảm chấn dầu gây ra từ các đặc tính tham chiếu của giảm chấn. Đó thường là lực tác dụng bởi giảm chấn khi giảm chấn hoạt động tại tốc độ quy định của nó.
Nếu có thể các lực thiết kế nên dựa trên dữ liệu thực tế của nhà sản xuất giảm chấn và vận tốc giảm chấn kỳ vọng gắn liền với giá chuyển hướng. Trong trường hợp không có thông tin chính xác từ nhà sản xuất, tải đặc biệt có thể được lấy gấp hai lần tải tham chiếu theo phương của trục giảm chấn. Tải khai thác thông thường có thể được lấy bằng lực tham chiếu, theo phương của trục giảm chấn.
D.4 Tải do hãm gây ra
Khi hãm tạo ra lực phát sinh từ vận hành hệ thống hãm (guốc hãm tác dụng lên bánh xe, má hãm tác dụng vào đĩa hãm, thiết bị hãm từ ray) và lực giảm tốc tương ứng. Các lực được sử dụng trong thiết kế khung giá là những lực mà do hệ thống hãm gây ra nhằm đáp ứng việc giảm tốc hãm yêu cầu khi ứng dụng. Số chu kỳ cần được xem xét nên bao gồm cả tác động của hệ thống kiểm soát chống trượt.
Khi tính tới sai số của hệ thống và các thay đổi trong vận hành, tải đặc biệt được tạo ra trong suốt quá trình hãm khẩn có thể bằng 1,3 lần giá trị danh nghĩa. Đối với mục đích thiết kế, tải khai thác thông thường thường lấy bằng 1,1 lần lực danh nghĩa gây ra do hãm thường.
Các yếu tố trên có thể được giảm xuống là 1,2 và 1 tương ứng nếu sự thay đổi bổ sung do cài đặt về dung sai đã thực sự có trong các tải danh nghĩa. Các hệ số trên có tính đến hiệu ứng giật với hầu hết các hệ thống hiện đại nhưng có thể cần phải áp dụng hệ số bổ sung đối với thành phần ma sát của tải để tính toán hiệu ứng giật cao trong cả trường hợp hãm khẩn cấp và hãm thường với một số hệ thống.
D.5 Tải do động cơ điện kéo gây ra
Tải đặc biệt có thể lấy bằng 1,3 lần tải được tạo ra trong quá trình khởi động hoặc hãm động năng với gia tốc hoặc giảm tốc lớn nhất. Cũng nên lấy tải đặc biệt cao mà có thể bao gồm do hư hỏng động cơ điện kéo hoặc hệ thống dẫn hướng. Bất cứ chu kỳ tải nào mà có thể gây ra từ các thành phần quay chưa cân bằng cũng nên được xem xét.
Tải xoắn khai thác thông thường lấy bằng 1,1 lần tải danh nghĩa được tạo ra trong suốt quá trình khởi động và dừng khai thác thông thường.
Tải quán tính động cơ điện kéo được tính toán xác định trên cơ sở riêng biệt phụ thuộc vào việc ứng dụng, khối lượng, vị trí của động cơ điện kéo và phương pháp treo.
D.6 Lực tác dụng lên hệ thống chống vặn xoắn khung giá chuyển hướng
Các tải đặc biệt trên hệ thống thanh chống vặn xoắn tương ứng với độ nghiêng thân xe lớn nhất đối với giá chuyển hướng mà có thể xảy ra trong khai thác.
Các tải khai thác thông thường trên hệ thống thanh chống vặn xoắn có thể dựa trên góc nghiêng thân xe-giá chuyển hướng bắt nguồn từ hệ số α được đưa ra trong Phụ lục F.
Các tải được sử dụng phải phù hợp với các tải và các nguyên tắc được sử dụng để tính toán xác định các trường hợp tải ngang tác động lên khung giá chuyển hướng.
Phụ lục E
(Tham khảo)
Phương pháp phân tích và chỉ tiêu phê duyệt
E.1 Tổng quan
Giá chuyển hướng của phương tiện đường sắt yêu cầu phải chịu được các trường hợp tải tối đa phù hợp với các yêu cầu vận hành của chúng và đạt được tuổi thọ khai thác yêu cầu dưới các điều kiện vận hành thông thường với xác xuất vẫn còn sử dụng được là 100%.
Cần thiết phải chứng minh bằng việc phân tích rằng không có độ biến dạng quá giới hạn quy định, biến dạng vĩnh cửu hoặc nứt gãy của kết cấu tổng thể hoặc của bất cứ phần tử riêng lẻ nào xảy ra dưới các trường hợp tải quy định, được đánh giá dựa trên các chỉ tiêu sau:
a) Tải khai thác hoặc tải chu kỳ gây phá hủy mỏi, phải được duy trì đến tuổi thọ quy định mà không gây thiệt hại về an toàn kết cấu;
b) Tải đặc biệt hoặc tải tới hạn, ví dụ, tải tối đa phải được duy trì và đáp ứng đầy đủ điều kiện vận hành: điều này có thể bao gồm tải do trật bánh nhẹ ở tốc độ thấp (< 12 km/h) nếu được yêu cầu trong chỉ dẫn kỹ thuật;
c) Mức độ an toàn có thể chấp nhận được, nếu vượt quá tải tới hạn hoặc tải đặc biệt, hư hỏng thảm khốc hoặc hư hỏng hoàn toàn sẽ không xảy ra ngay lập tức. Trong nhiều trường hợp nếu khung giá chuyển hướng thỏa mãn b) sẽ tự động thỏa mãn c) do kết quả của các đặc tính về vật liệu.
E.2 Tải
Tất cả các loại tải được sử dụng làm cơ sở để thiết kế giá chuyển hướng nên tính đến mọi giới hạn cần thiết đối với sự thay đổi về giá trị của các loại tải. Trong phạm vi áp dụng tải, các loại tải được quy định trong Phụ lục C và D phải bao gồm những giới hạn này.
Quan trọng là phải đảm bảo rằng các tải thiết kế được thể hiện dưới dạng phù hợp với phương pháp phân tích và cách thức xác định mức ứng suất cho phép của vật liệu.
E.3 Phân tích và phê duyệt
Việc áp dụng phương pháp phân tích và phê duyệt phụ thuộc vào lịch sử thiết kế và việc ứng dụng nó, cũng như các yếu tố về kinh tế và quy mô về thời gian. Khuyến nghị cao việc sử dụng các phương pháp số học như phân tích phần tử hữu hạn, bổ sung thêm phần tính toán thủ công, để diễn giải các ứng suất phù hợp với các loại vật liệu và các quy định về đánh giá tuổi thọ mỏi.
Phân tích cũng nên được tiến hành theo yêu cầu thiết kế và quá trình thẩm định theo quy định trong EN 15827. Để thuận tiện cho người sử dụng, quá trình này sẽ được nêu lại trong trong các điều khoản ở dưới.
E.4 Chỉ tiêu phê duyệt về kết cấu
E.4.1 Nguyên tắc
Yêu cầu được EN 15827 đề cập là minh chứng tính toàn vẹn về kết cấu cần thiết cho việc vận hành an toàn và áp dụng cho tất cả các bộ phận cấu thành giá chuyển hướng. Do đó, quá trình thiết kế và thẩm định có liên quan cần tuân thủ theo một phương pháp tiếp cận nhất quán và xuyên suốt. Cần thiết phải quy định quy trình chấp thuận như trong EN 15827 vì nó không có sẵn trong bất kỳ tiêu chuẩn tham chiếu nào.
Cũng tương thích với yêu cầu quy định trong EN 12663 đối với thân xe (các bộ phận chính khác của phương tiện mà phần việc toàn vẹn về kết cấu là quan trọng nhất), yêu cầu này sẽ được nêu lại trong các điều khoản dưới đây. Việc chứng minh tính toàn vẹn về kết cấu là dựa trên sự kết hợp đánh giá độ bền tĩnh và đánh giá tuổi thọ mỏi bằng cách sử dụng phân tích số học và/hoặc thử nghiệm.
Độ tin cậy của dữ liệu đầu vào (ví dụ: tải/hình dạng hình học) và phương pháp đánh giá cùng với mức ứng dụng được sử dụng làm cơ sở để xác định mức độ thử nghiệm (cả thử nghiệm trong phòng thử và thử nghiệm trên đường) và các yêu cầu nghiệm thu chất lượng sản xuất.
Chỉ tiêu phê duyệt đối với các thử nghiệm cần phải xem xét các thông số bổ sung (ví dụ: sự thay đổi về thống kê và việc đơn giản hóa cần thiết cho bố trí thử nghiệm).
Nếu có các tiêu chuẩn quy định về các bộ phận của giá chuyển hướng (ví dụ như đối với trục), có các chỉ tiêu phê duyệt cụ thể liên quan đến độ bền thì cần phải tuân theo. Những chỉ tiêu này không xung đột với các yêu cầu được đưa ra dưới đây nhưng nó thể hiện sự đơn giản hóa các chỉ tiêu thiết kế chung vì bản chất của tải bộ phận và tải chính. Nếu không có chỉ tiêu như vậy thì chỉ tiêu phê duyệt được nêu dưới đây sẽ được thông qua.
Nếu không thể đạt được các chỉ tiêu phê duyệt phân tích cho toàn bộ kết cấu (ví dụ, khi chỉ tiêu phê duyệt vượt quá cục bộ trong quy trình phân tích) thì được phép thực hiện thử nghiệm mà sao chép lại trường hợp thiết kế hoặc điều kiện vận hành thực tế. Nếu kết quả thử nghiệm đáp ứng được chỉ tiêu phê duyệt (được điều chỉnh như đã nêu ở trên) thì yêu cầu có thể được coi là đã được chứng minh.
Chiến lược phê duyệt có thể liên quan đến các thay đổi như chấp thuận một hệ số an toàn cao với thử nghiệm kiểu loại tối thiểu hoặc hệ số an toàn thấp cộng với thử nghiệm kiểu mở rộng.
E.4.2 Khả năng sử dụng
Tính hữu dụng của bộ phận phải nhỏ hơn hoặc bằng 1 theo phương trình tổng quát sau:

Trong đó:
U - tính hữu dụng.
Rd - là kết quả đã được tính toán từ việc phân tích và thử nghiệm.
S - là hệ số an toàn thiết kế (xem E.4.3).
RC - là giá trị giới hạn vật lý của vật liệu (gồm tất cả các tác động cục bộ phù hợp chẳng hạn như mức độ hoàn thiện bề mặt, độ dày mỏng).
CHÚ THÍCH: Trong một số quy định về thiết kế, hệ số an toàn không được quy định rõ ràng nhưng được thực hiện có hiệu quả trong phạm vi tải được áp dụng hoặc bằng cách giảm giá trị cho phép hoặc kết hợp cả hai.
E.4.3 Hệ số an toàn
Hệ số an toàn bao gồm các yếu tố không chắc chắn trong quá trình thiết kế, sản xuất và thẩm định.
- Dung sai kích thước.
Thường có thể chấp thuận trên cơ sở phân tích kích thước thành phần danh nghĩa. Cần phải xem xét các kích thước tối thiểu khi xảy ra dung sai lớn về độ dày (ví dụ như đúc), có gia công bước tiếp theo hoặc độ dày giảm đáng kể (do mài mòn) vốn có trong việc vận hành bộ phận. Bảo vệ chống ăn mòn đầy đủ sẽ là một phần không thể tách rời trong thông số kỹ thuật của phương tiện. Sự suy giảm của vật liệu do nguyên nhân này thường có thể bị bỏ qua.
- Quá trình sản xuất.
Các tính năng hoạt động được thể hiện thông qua vật liệu trong các bộ phận thực tế có thể khác với các đặc tính thu được từ các mẫu thử. Sự khác biệt này là do các thay đổi trong quá trình sản xuất và do tay nghề mà không thể phát hiện được trong bất kỳ quy trình kiểm soát chất lượng thực tế nào.
CHÚ THÍCH 1: Các thay đổi trong quy trình sản xuất liên quan đến chất lượng mối hàn có thể được xem xét bằng việc áp dụng tần suất thử nghiệm thích hợp theo quy định của EN 15085 mà không có thêm hạn chế.
- Độ chính xác phân tích.
Mọi quy trình phân tích kết hợp giữa tính gần đúng và bước đơn giản hóa. Đơn vị cung cấp chịu trách nhiệm áp dụng các giả thiết thích hợp trong việc áp dụng các quy trình phân tích cho quá trình thiết kế và thẩm định.
Giá trị của hệ số an toàn sẽ xem xét các vấn đề sau đối với mức độ hư hỏng nghiêm trọng của bộ phận:
- Hậu quả của hư hỏng.
- Tồn dư.
- Khả năng tiếp cận để kiểm tra.
- Mức/tần suất kiểm soát chất lượng.
- Phát hiện hư hỏng của bộ phận.
- Khoảng thời gian bảo trì.
Hệ số an toàn, được lấy S (≥ 1) phải được áp dụng khi tính toán xác định tính hiệu dụng. Phải phù hợp với biện pháp đánh giá được sử dụng.
CHÚ THÍCH 2: Khi sử dụng các biện pháp phân tích được thiết lập mà đã cho ra sản phẩm là thiết kế an toàn trước đó thì yếu tố an toàn có thể lấy dựa trên cơ sở kinh nghiệm. Nếu các biện pháp phân tích có tính bảo thủ trong phương pháp tiếp cận thì yếu tố an toàn có thể là một phần của biện pháp hiện có và S có thể lấy bằng 1.
E.4.4 Độ bền vật liệu
E.4.4.1 Yêu cầu
Tính toàn vẹn về kết cấu phải được chứng minh đối với tất cả các bộ phận về:
- Độ bền tĩnh - ví dụ: đánh giá dựa trên tính không ổn định, nứt vỡ và biến dạng vĩnh cửu do vi phạm tính năng của bộ phận;
- Độ bền mỏi - ví dụ: đánh giá dựa trên hư hỏng mỏi (nứt ban đầu) do tải theo chu kỳ.
Các chỉ tiêu về tính năng của vật liệu phải dựa trên các tiêu chuẩn của Châu Âu hiện hành, tiêu chuẩn quốc gia, quốc tế hoặc các nguồn tiêu chuẩn thay thế tương đương. Trong trường hợp không có dữ liệu khả dụng từ các tiêu chuẩn, thì dữ liệu khác có thể được sử dụng nhưng phải được thẩm tra và hỗ trợ bởi quy trình kiểm soát chất lượng phù hợp (tương đương với tiêu chuẩn vật liệu) để đảm bảo giá trị độ bền được sử dụng trong đánh giá tương ứng với mức vật liệu tối thiểu. Các đặc tính của vật liệu phải tương thích với phương pháp đánh giá được áp dụng và các điều kiện vận hành như được quy định trong chỉ dẫn kỹ thuật (ví dụ, các ứng dụng có nhiệt độ cực thấp).
Các phương pháp và chỉ tiêu được áp dụng trong các quy trình được mô tả dưới đây dựa trên thực tiễn ngành công nghiệp đã chấp thuận và trên nền tảng kiến thức hiện đại. Các chỉ tiêu tương tự có thể áp dụng trong quá trình kiểm tra thiết kế và thẩm định.
Phương pháp tiếp cận được mô tả trong chương này là hoàn toàn áp dụng đối với vật liệu sắt và hầu hết các loại vật liệu kim loại khác. Đối với các loại vật liệu khác, phương pháp tiếp cận này có thể cần phải được điều chỉnh và áp dụng các phương pháp và chỉ tiêu đánh giá thích hợp tương đương dựa trên cùng các nguyên tắc cơ bản.
E.4.4.2 Độ bền tĩnh
E.4.4.2.1 Yêu cầu
Các yêu cầu về độ bền tĩnh tương ứng với các điều kiện tải đặc biệt mà bộ phận chạy phải duy trì đầy đủ tính năng. Phải chứng minh bằng việc phân tích và/hoặc thử nghiệm mà không bị biến dạng vĩnh cửu, không có tính không ổn định hoặc nứt gãy về kết cấu hoặc bất cứ thành phần nào, sẽ xảy ra dưới các trường hợp tải trọng thiết kế đặc biệt.
Nếu các đặc tính về độ bền tĩnh đối với một mác vật liệu được xác định bởi một dải các giá trị thì các giá trị giới hạn dưới được sử dụng cho mục đích thiết kế.
E.4.4.2.2 Biến dạng vĩnh cửu
Chỉ tiêu chấp thuận để tránh biến dạng vĩnh cửu thường được lấy bằng độ bền chảy/biến dạng của vật liệu (ReH hoặc Rp0,2 theo TCVN 197-1:2014). Hệ số an toàn S1, như được quy định trong E.4.3, sẽ được kết hợp khi so sánh ứng suất cho phép với ứng suất tính toán.
Đối với trường hợp phân tích ứng suất tĩnh tuyến tính, áp dụng:
(E.2)
Trong đó:
ReH - là ứng suất chảy của vật liệu (N/mm2), nếu ReH không có sẵn thì Rp0,2 được sử dụng.
σc - là ứng suất tính toán (N/mm2).
S1 - hệ số an toàn theo E.4.3.
Chỉ tiêu hư hỏng thích hợp được lựa chọn để tính toán ứng suất (σc) phụ thuộc vào loại vật liệu. Ví dụ, đối với vật liệu dễ uốn, thông thường sử dụng các chỉ tiêu ứng suất của Von Mises và đối với vật liệu giòn có độ bền cao thường sử dụng các chỉ tiêu ứng suất chính. Chỉ tiêu được sử dụng để lựa chọn dạng hư hỏng sẽ dựa trên độ uốn của vật liệu và cơ chế gây ra vết nứt.
Trong trường hợp xảy ra tình trạng dẻo cục bộ, phải chứng minh rằng chức năng và độ bền của kết cấu không bị suy giảm trong các trường hợp tải đặc biệt. Trong tính toán mức ứng suất của vật liệu uốn bằng phân tích tuyến tính, sự xuất hiện của các ứng suất lớn hơn giới hạn chảy sẽ không tự động hiểu rằng chức năng của kết cấu đã bị suy giảm. Nếu thực hiện phân tích kết hợp việc tập trung ứng suất cục bộ, thì nó cho phép ứng suất lý thuyết vượt quá ứng suất chảy hoặc bằng 0,2% độ bền chảy của vật liệu. Các khu vực biến dạng dẻo cục bộ kết hợp với tập trung ứng suất phải đủ nhỏ để không gây ra bất kỳ biến dạng vĩnh cửu đáng kể nào (xem quy định) khi nhả tải. Việc tránh biến dạng vĩnh cửu nghiêm trọng có thể được chứng minh bằng các phương pháp sau đây nếu thích hợp:
- Kiểm tra phân tích cho thấy kích thước của khu vực bị ảnh hưởng là đủ nhỏ để tránh biến dạng vĩnh cửu nghiêm trọng.
- Việc sử dụng hệ số hình dạng (góc) dẻo để chứng minh đầy đủ tính dẻo của mặt cắt không được thực hiện; hệ số này có thể được tính toán bằng phương pháp phân tích, mô phỏng số phi tuyến tính hoặc thử nghiệm quá tải, đến thử nghiệm phá hủy.
- Việc sử tính năng của vật liệu phi tuyến thực tế hoặc đơn giản để chứng minh rằng tổng biến dạng tối đa của vật liệu tương ứng không được vượt quá biến dạng vĩnh cửu được chấp thuận sau nhả tải, ví dụ, vẫn còn nằm trong dung sai hình học cho phép.
- Thông qua thử nghiệm để chứng minh rằng sau một vài ứng dụng tải, trị số ứng suất/sức căng ở các vị trí đo thể hiện trị số tuyến tính và biến dạng vĩnh cửu là có thể chấp nhận sau khi nhả tải (nghĩa là vẫn còn nằm trong dung sai hình học cho phép).
CHÚ THÍCH: Việc tính toán các giá trị cho phép cho tổng ứng suất tới hạn và ứng suất dư cho phép phải dựa trên hướng dẫn của tài liệu kỹ thuật khi xem xét loại vật liệu và ứng dụng.
E.4.4.2.3 Độ bền cuối cùng và tính ổn định
Cần thiết phải đưa ra một biên độ an toàn giữa tải thiết kế tối đa và tải tới hạn. Điều này có thể đạt được bằng cách đưa ra một hệ số an toàn, S2, sao cho tỷ số giữa độ bền tới hạn của vật liệu và ứng suất tính toán phải lớn hơn hoặc bằng S2 thỏa mãn:
(E.3)
Trong đó:
Rm - là ứng suất tới hạn của vật liệu (N/mm2).
σc - là ứng suất tính toán (N/mm2).
S2 - hệ số an toàn đối với độ bền tới hạn.
Đối với hầu hết các ứng dụng S2 = 1,5 là giá trị hợp lý, nhưng có thể được điều chỉnh trong các trường hợp đặc biệt.
Khi thay thế phân tích tuyến tính bằng cách sử dụng phương trình trên, một phân tích phi tuyến tính với quy luật của vật liệu thực tế hoặc đơn giản hóa hoặc một thử nghiệm (phá hủy) có thể được thực hiện. Sau đó, hệ số an toàn yêu cầu phải được áp dụng theo phương trình sau:

Trong đó:
Le - là tải thiết kế đặc biệt lớn nhất.
LC- tải tới hạn (sự xâm nhập của vết nứt hoặc không ổn định) được tính toán bằng việc phân tích và thử nghiệm.
S2 - hệ số an toàn tới hạn đối với tải đặc biệt.
Có thể có các hiệu ứng tải bên trong (ví dụ: co lại, chờ tải bu lông, chờ tải do khối lượng tĩnh) khi xem xét các tải áp dụng cấu thành nên các trường hợp tải đặc biệt.
E.4.4.3 Độ bền mỏi
E.4.4.3.1 Yêu cầu chung
Đặc tính của vật liệu dưới tải mỏi là dựa trên cơ sở tiêu chuẩn quốc gia và tiêu chuẩn Châu Âu hoặc các nguồn tiêu chuẩn thay thế tương đương hoặc bất cứ nguồn nào sẵn có. Đối với việc đánh giá thiết kế thì dữ liệu thẩm tra phải được sử dụng. Nếu không có dữ liệu khả dụng thì phải xác định bằng các thử nghiệm phù hợp để áp dụng.
Độ bền mỏi phải được đánh giá bằng cách sử dụng đường cong S-N được tạo ra phù hợp với:
- Xác suất không hỏng 95 %.
- Việc phân loại chi tiết theo bộ phận hoặc hình dáng hình học (bao gồm tập trung ứng suất).
- Diễn giải các giá trị giới hạn từ các mẫu thu nhỏ bằng cách sử dụng các kỹ thuật thử nghiệm và kinh nghiệm trước đó để đảm bảo có thể ứng dụng cho các bộ phận đúng kích thước.
Độ bền mỏi phải được chứng minh bằng một trong các phương pháp sau:
- Phương pháp tiếp cận giới hạn độ bền (xem E.4.4.3.2).
- Phương pháp phá hủy tích lũy (xem E.4.4.3.3).
- Các phương pháp được thiết lập khác.
Các phương pháp có thể được áp dụng cho các ứng suất được dự đoán và/hoặc được đo lường từ việc phân tích và thử nghiệm tương ứng.
Bản chất và chất lượng của dữ liệu có sẵn ảnh hưởng đến việc lựa chọn phương pháp sử dụng. Các dữ liệu về tính năng của vật liệu cần phải tính tới ứng suất dư còn lại trong kết cấu như là kết quả của quá trình chế tạo như hàn chảy. Được phép áp dụng các kỹ thuật tiên tiến để giảm ảnh hưởng của ứng suất dư như ủ để khử ứng suất, phun bi làm sạch và xử lý tác động siêu âm khi có bằng chứng về lợi ích của chúng.
Các phương pháp thử để chứng minh chỉ số mỏi hoặc để thẩm tra kết quả phân tích có thể là một phần của kế hoạch thẩm định được mô tả trong 6.2.
Các phương pháp được thiết lập khác để thực hiện đánh giá tuổi thọ và xác định khoảng thời gian kiểm tra an toàn, chẳng hạn như phương pháp cơ học về nứt gãy, có thể được sử dụng trong quá trình thiết kế và thẩm định khi thích hợp.
E.4.4.3.2 Phương pháp tiếp cận giới hạn về độ bền
Phương pháp tiếp cận này có thể được sử dụng cho các vị trí mà tất cả các chu kỳ ứng suất động vẫn ở dưới giới hạn về độ bền của vật liệu. Nếu vật liệu không có giới hạn độ bền xác định hoặc một số chu kỳ ứng suất lặp lại vượt quá giới hạn thì phải tuân theo phương pháp tiếp cận phá hủy tích lũy.
Độ bền mỏi cần thiết được chứng minh thông qua ứng suất, do tất cả các tổ hợp tải mỏi phù hợp hoặc kết quả đo được tính toán xác định theo 6.2 vẫn duy trì thấp hơn giới hạn độ bền vật liệu.
CHÚ THÍCH: Cho phép các chu kỳ ứng suất do các trường hợp tải đặc biệt vượt quá giới hạn độ bền, theo quy định, chúng không xảy ra đủ thường xuyên để ảnh hưởng đáng kể đến tuổi thọ.
E.4.4.3.3 Phương pháp tiếp cận phá hủy tích lũy
Phương pháp tiếp cận này là một phương pháp thay thế cho phương pháp tiếp cận giới hạn độ bền. Lịch sử đại diện cho từng loại tải được thể hiện bằng độ lớn và số chu kỳ. Do đó phải được đưa ra để tổ hợp các tải mà tác dụng đồng loạt. Sự phá hủy do mỗi loại tải này lần lượt phải được đánh giá, sử dụng vật liệu có ứng suất thích hợp - sơ đồ tuần hoàn (đường cong Wöhler), và tổng thiệt hại được xác định phù hợp với giả thiết tích lũy phá hủy đã thiết lập (như Palmgren-Miner).
Được phép đơn giản hóa lịch sử tải và tổ hợp tải, miễn là điều này không ảnh hưởng đến tính hợp lệ của kết quả.
Độ bền mỏi cần thiết được chứng minh qua tổng phá hủy ở từng chi tiết quan trọng, do tất cả các tổ hợp các trường hợp tải mỏi thích hợp, là dưới (1,0). Tương tự như vậy, phá hủy tích lũy tại các chi tiết trên được xác định từ các chu kỳ ứng suất được đo trong các thử nghiệm (theo yêu cầu trong 6.2.3 và 6.2.5) sẽ vẫn nhỏ hơn 1 khi khoảng thời gian được ngoại suy thể hiện toàn bộ tuổi thọ phương tiện.
CHÚ THÍCH: Một số quy định/tiêu chuẩn thiết kế mỏi khuyến nghị nên áp dụng giới hạn tổng mức phá hủy tích lũy thấp hơn (<1,0). Việc sử dụng một giá trị thấp hơn phải phù hợp với quy định/tiêu chuẩn được chấp thuận.
E.4.4.4 Chỉ tiêu về độ cứng
Các yêu cầu về độ cứng phát sinh trong hai lĩnh vực chính.
Yêu cầu đầu tiên là độ lệch dưới tải phải được giới hạn ở các mức sẽ không làm suy giảm chức năng. Giới hạn này áp dụng cho toàn bộ kết cấu và cần phải ràng buộc tất cả các chuyển động đối với đường bao của phương tiện được phép (khổ giới hạn khi có tải). Các giới hạn về độ lệch cũng có thể liên quan ở mức tổng quát hoặc chi tiết đến chức năng của thiết bị và cơ chế, ... mà được thực hiện bằng hoặc tạo thành một phần không thể thiếu của bộ phận chạy.
Yêu cầu thứ hai là để đảm bảo độ cứng của các bộ phận kết cấu giá chuyển hướng và các thiết bị gắn vào là không có sự cộng hưởng về kết cấu không thể chấp nhận được. Trong tình huống đó, kết nối thân xe/giá chuyển hướng cần phải được thiết kế sao cho các trường hợp dao động riêng của giá chuyển hướng được tách ra riêng biệt hoặc tách ra khỏi thân xe.
Khi các yêu cầu đó liên quan đến phạm vi cung cấp khác với quy định của đơn vị cung cấp giá chuyển hướng thì cần thiết đưa các tham số liên quan đến các yêu cầu này vào một phần của chỉ dẫn kỹ thuật.
Phụ lục F
(Tham khảo)
Ví dụ về chương trình thử nghiệm độ bền tĩnh
F.1 Tổng quan
Mục tiêu của việc thẩm định có thể đạt được bằng cách thử nghiệm độ bền tĩnh trong phòng thử:
- Xác định các ứng suất/sức căng thực tại các vị trí đo dưới tải tổng hợp.
- Xác định các thông số chức năng của các bộ phận kết cấu (ví dụ, độ cứng xoắn của khung giá chuyển hướng).
- Thẩm tra các yêu cầu về độ bền tĩnh (gồm cả việc thẩm tra qua mô phỏng khi việc thẩm tra là không thể hoặc không thực hiện được).
- Thẩm tra mô hình mô phỏng.
- Thẩm tra việc cài đặt thử nghiệm (bao gồm cài đặt thử nghiệm độ bền mỏi).
- Tính toán tuổi thọ thiết kế dựa trên ứng suất đo được thực tế dưới tải tổng hợp và giả thiết về lý thuyết mỏi.
Những hạn chế của thử nghiệm độ bền tĩnh trong phòng thử là:
- Việc thử nghiệm được thực hiện với tải tổng hợp do đó các kết quả thử nghiệm không bao giờ có độ tin cậy tốt hơn như các giả thiết tải cơ bản.
- Các tải tác dụng bị hạn chế trong các giới hạn kỹ thuật khi cài đặt thử nghiệm.
- Tính toán tuổi thọ thiết kế dựa trên lý thuyết mỏi do đó có độ tin cậy bị hạn chế bởi chính giả thiết về tuổi thọ thiết kế (bao gồm những yếu tố không chắc chắn trong việc phân loại chi tiết được đánh giá).
Các chương trình thử nghiệm độ bền tĩnh, được mô tả dưới đây qua ví dụ, được lấy từ các giá trị tải được đưa ra trong Phụ lục C và D, trên cơ sở các tài liệu tham khảo [9], [10], [11], [14] và các hạn chế liên quan đến việc sử dụng các trường hợp tải này đã được nêu ra. Giá chuyển hướng cho các loại phương tiện khác nhau và/hoặc chạy trong các điều kiện khai thác khác nhau, có thể yêu cầu các chương trình thử nghiệm khác nhau.
Các lực quán tính tác dụng lên khung giá chuyển hướng không thể mô phỏng trực tiếp được trong suốt quá trình thử nghiệm độ bền tĩnh; do đó các lực ngang tác dụng lên khung giá chuyển hướng để cân bằng các lực mô phỏng trong hệ thống treo sơ cấp nhìn chung là quá lớn. Ảnh hưởng của lực quán tính giá chuyển hướng có thể được biểu diễn/xấp xỉ bằng các tải bổ sung. Ngoài ra, nếu như kết quả của việc bố trí thử nghiệm, các tiêu chuẩn phê duyệt vượt quá các bộ phận của hệ thống treo thứ cấp, việc đánh giá các vị trí bị tác động có thể được thực hiện riêng biệt với các lực thực tế.
Nói chung, các thử nghiệm này bao gồm các phép đo ứng suất, biến dạng ở các vị trí chịu ứng suất cao của khung giá bằng cách sử dụng đồng hồ đo biến dạng điện tử, là loại đơn hướng đối với tất cả các điểm đo mà ứng suất chỉ theo một hướng và loại ba hướng cho tất cả các điểm khác.
Các ví dụ sau đây minh họa phạm vi của các yếu tố cần được xem xét. Những yếu tố này dựa trên yêu cầu của UIC đối với toa xe khách và toa xe hàng là minh họa cho hai thiết kế giá chuyển hướng được sử dụng phổ biến.
- Giá chuyển hướng mà tải thân xe được đỡ bởi hệ thống treo thứ cấp được phân bố đều lên cả hai khung giá.
- Giá chuyển hướng có cối chuyển và hai bàn trượt.
F.2 Chương trình thử nghiệm độ bền tĩnh đối với giá chuyển hướng toa xe khách với thân xe được đỡ trực tiếp lên khung giá (loại B-I và B-II)
F.2.1 Thử nghiệm dưới các trường hợp tải đặc biệt
F.2.1.1 Tổng quan
Hai trường hợp cần được xem xét: tải đặc biệt do giá chuyển vận hành gây ra và tải do các bộ phận gắn vào khung giá chuyển hướng gây ra. Ứng suất đo được trong các quá trình thử nghiệm khác nhau này được so sánh với giới hạn chảy của vật liệu. Ngoài ra, không được có biến dạng vĩnh cửu sau khi nhả tải. Nếu cần thiết, độ biến dạng (võng) khi có tải sẽ được so sánh với độ biến dạng lớn nhất cho phép.
F.2.1.2 Tải đặc biệt do giá chuyển hướng vận hành
Khung giá phải chịu được các loại tải đặc biệt và tổ hợp tải của những tải này như được quy định trong các trường hợp tải thiết kế. Ngoài ra, dưới tải tương ứng với phương tiện rỗng, khung giá cũng phải chịu được tải xoắn đặc biệt do trật bánh gây ra như được quy định trong Phụ lục C.
F.2.1.3 Tải do các bộ phận gắn vào khung giá chuyển hướng
Nhìn chung, trong khi khung giá chuyển hướng phải chịu tải thẳng đứng đặc biệt Fzmax thì các loại tải đặc biệt khác được đề cập trong Phụ lục D (ví dụ tải do hãm, giảm chấn, lăn thân xe, khối lượng được gắn vào khung giá chuyển hướng) được áp dụng riêng hoặc kết hợp phù hợp với điều kiện vận hành đặc biệt trong thực tế.
F.2.2 Thử nghiệm với các tải khai thác thông thường
F.2.2.1 Tổng quan
Hai trường hợp cần được xem xét: tải do giá chuyển vận hành và tải do các bộ phận gắn vào khung giá chuyển hướng gây ra.
F.2.2.2 Tải do giá chuyển vận hành
Việc thử nghiệm bao gồm các giai đoạn khác nhau, mỗi giai đoạn tương ứng với một trạng thái tải có thể được áp dụng dễ dàng lên khung giá. Tải phát sinh từ các lực khai thác thông thường và vặn xoắn của đường được quy định trong Phụ lục C: Fz1, Fz2, Fy1, Fx1 ... cộng với mô men xoắn. Dao động lăn và nhấp nhô mà gây ra sự thay đổi động và bán tĩnh của lực thẳng đứng được biểu thị bằng hệ số α và hệ số β tương ứng. Thường giá trị của hệ số này là 0,1 đối với α và 0,2 đối với β. Những giá trị này có thể được điều chỉnh theo các điều kiện vận hành (ví dụ: chất lượng đường, thiếu siêu cao, vị trí trọng tâm, khổ đường, loại tàu tự nghiêng).
Việc thử nghiệm độ bền tĩnh tương ứng với các tổ hợp lực thẳng đứng và lực ngang được xác định bởi chín trường hợp tải trong Bảng F.1.
Bảng F.1 - Các trường hợp tải để thử nghiệm độ bền tĩnh tương ứng với các tổ hợp lực thẳng đứng và lực ngang
| Trường hợp tải | Fz1 | Fz2 | Fy |
| 1 | Fz/2 | Fz/2 | 0 |
| 2 | (1 + α - β) Fz/2 | (1 - α - β) Fz/2 | 0 |
| 3 | (1 + α - β) Fz/2 | (1 - α - β) Fz/2 | + Fy |
| 4 | (1 + α + β) Fz/2 | (1 - α + β) Fz/2 | 0 |
| 5 | (1 + α + β) Fz/2 | (1 - α + β) Fz/2 | + Fy |
| 6 | (1 - α - β) Fz/2 | (1 + α - β) Fz/2 | 0 |
| 7 | (1 - α - β) Fz/2 | (1 + α - β) Fz/2 | - Fy |
| 8 | (1 - α + β) Fz/2 | (1 + α + β) Fz/2 | 0 |
| 9 | (1 - α + β) Fz/2 | (1 + α + β) Fz/2 | - Fy |
Hình F.1 - Bố trí tải trên giá chuyển hướng

Hình F.1 - Bố trí tải trên giá chuyển hướng có xà cạnh
Kết quả của các phép đo được thực hiện trong thử nghiệm này được phân tích bằng cách ghi lại các ứng suất ở tất cả các điểm đo cho từng trường hợp tải.
Các giá trị này được so sánh với giới hạn mỏi của vật liệu. Phương pháp được sử dụng phải phù hợp với các yêu cầu của EN 15827 và Phụ lục E. Thử nghiệm độ bền tĩnh được hoàn thành bởi sự chồng xoắn, được quy định trong C.2.2, theo cả hai hướng, cho các trường hợp tải số 3, 5, 7 và 9 trong Bảng F.1.
Đối với các trường hợp tải do lực dọc, khung giá phải chịu lực thẳng đứng Fz1, Fz2 và các lực dọc tác dụng theo từng hướng như minh họa trong Bảng F.2.
Bảng F.2 - Các trường hợp tải do lực dọc
| Trường hợp tải | Fz1 | Fz2 | Fx |
| 1 | Fz/2 | Fz/2 | 0 |
| 2 | Fz/2 | Fz/2 | + Fx1 |
| 3 | Fz/2 | Fz/2 | - Fx1 |
Kết quả từ ba thử nghiệm này được phân tích theo cách tương tự như đối với lực thẳng đứng và lực ngang.
Một cách khác để phân tích kết quả là tính toán phá hủy tích lũy cho các trường hợp tải và số chu kỳ có tương ứng như đã nêu trong chỉ dẫn kỹ thuật.
F.2.2.3 Tải do các bộ phận gắn vào khung giá
Các thử nghiệm để kết hợp tải do các bộ phận gắn vào phải được tiến hành theo các yêu cầu sau:
- Các lực cần xem xét là các lực được nêu trong Phụ lục D.
- Khung giá phải chịu được hai lực thẳng đứng FZ1, Fz2 trong Bảng F.2.
- Tải trọng do giảm chấn, khối lượng gắn vào, thiết bị kéo, thiết bị hãm hoặc thanh chống vặn xoắn được áp dụng thay thế theo hướng ngược lại (điều này cho phép một bảng trường hợp tải tương tự mà đã được đưa ra cho các lực dọc được gắn lên cho mỗi thử nghiệm).
- Kết quả đo ứng suất, biến dạng được phân tích như mô tả trước đây.
F.3 Chương trình thử nghiệm độ bền tĩnh đối với giá chuyển hướng có cối chuyển và hai bàn trượt (loại B-V)
F.3.1 Các loại giá chuyển hướng
Các trường hợp tải dưới đây được quy định cho giá chuyển hướng 2 trục. Đối với giá chuyển hướng 3 trục tổng tải tương tự được phân bố như trong Phụ lục C.
F.3.2 Thử nghiệm dưới tải đặc biệt
Các thử nghiệm này giống hệt với các thử nghiệm được mô tả trong F.2.1 ngoại trừ như đã nêu ở trên.
F.3.3 Thử nghiệm dưới tải khai thác thông thường
F.3.3.1 Tổng quan
Hai trường hợp cần được xem xét: tải do giá chuyển vận hành gây ra và tải do các bộ phận gắn vào khung giá chuyển hướng gây ra.
F.3.3.2 Tải do giá chuyển hướng vận hành
Thử nghiệm bao gồm các giai đoạn khác nhau, mỗi giai đoạn tương ứng với một trường hợp tải mà có thể dễ dàng áp dụng cho khung giá chuyển hướng. Tải phát sinh từ tải khai thác thông thường và vặn xoắn của đường được nêu trong Phụ lục C: Fzp, Fz1, Fz2, Fy1, Fx1 ... cộng với mô men xoắn. Như được chỉ ra trong C.3.4 hệ số lăn α thường là 0,2 và hệ số β, có thể giả thiết là 0,3, thể hiện cho hiệu ứng nhấp nhô.
Thử nghiệm độ bền tĩnh được tiến hành theo cách tương tự như được xác định trong F.2.2, có tính đến các giá trị trong Bảng F.3, trong đó quy định các trường hợp tải khác nhau.
Bảng F.3 - Các trường hợp tải thử nghiệm dưới tải khai thác thông thường do giá chuyển vận hành
|
| Lực tác dụng lên bàn trượt 1 Fz1 | Lực tác dụng lên cối chuyển Fzp | Lực tác dụng lên bàn trượt 2 Fz2 | Lực ngang Fy |
| 1 | 0 | Fz | 0 | 0 |
| 2 | 0 | (1 + β) Fz | 0 | 0 |
| 3 | 0 | (1 - β) Fz | 0 | 0 |
| 4 | 0 | (1 - α)(1 + β) Fz | α(1 + β) Fz | Fy |
| 5 | α(1 + β) Fz | (1 - α)(1 + β) Fz | 0 | - Fy |
| 6 | 0 | (1 - α)(1 - β) Fz | α(1 - β) Fz | Fy |
| 7 | α(1 - β) Fz | (1 - α)(1 - β) Fz | 0 | - Fy |
Hình F.2 - Bố trí tải trên giá chuyển hướng.

Hình F.2 - Bố trí tải trên giá chuyển hướng có cối chuyển
Thử nghiệm được hoàn thành bằng cách cộng thêm tải xoắn như được quy định trong C.3.4 theo cả hai hướng trong bốn trường hợp tải 4, 5, 6 và 7 từ Bảng F.3.
Đối với lực dọc, tính năng thử nghiệm tương tự như được mô tả trong F.2.2, giá chuyển hướng sẽ được chất tải thẳng đứng lên cối chuyển với Fzp = Fz.
F.3.3.3 Tải do các bộ phận gắn vào khung giá chuyển hướng
Thử nghiệm được tiến hành như được mô tả trong F.2.2.3, giá chuyển hướng sẽ được chất tải thẳng đứng trên cối chuyển với Fzp = Fz và các lực do các bộ phận được mô tả trong Phụ lục D.
F.4 Chương trình thử nghiệm độ bền tĩnh đối với giá chuyển hướng đầu máy
Thử nghiệm này tuân thủ quy trình được nêu trong F.2.
F.5 Chương trình thử nghiệm độ bền tĩnh đối với giá chuyển hướng phương tiện đường sắt nhẹ và tàu điện
F.5.1 Tổng quan
Quy trình thử nghiệm độ bền tĩnh lấy tải tương tự như được áp dụng trong phân tích ứng suất theo Phụ lục C.
F.5.2 Thử nghiệm dưới các tải đặc biệt
Khung giá chuyển hướng phải chịu được các trường hợp tải đặc biệt bắt nguồn từ việc gia tốc, ... được đưa ra trong Bảng F.4. Ngoài ra, các trường hợp tải này cũng được áp dụng kết hợp với các loại tải sau đây từ các bộ phận gắn vào khung giá chuyển hướng:
- Hộp số và động cơ điện kéo với gia tốc thẳng đứng (xem D.2.2 và D.2.3).
- 1,3 lần tải hãm khẩn cấp (xem D.4).
- 1,3 lần gia tốc và giảm tốc lớn nhất (xem D.5).
Bảng F.4 - Tải đặc biệt
| Trường hợp tải | Khối lượng thân xe | Khối lượng giá chuyển hướng | |||||||
| azc (m/s2) | ayc (m/s2) | aycc (m/s2) | axc (m/s2) | q (N/m2) | azb (m/s2) | ayb (m/s2) | aycb (m/s2) | axb (m/s2) | |
| Qua ghi | 3,2 | 2,2 | - | Hãm khẩn | 600 a | 30 | 16 | - | Hãm khẩn |
| Qua đường cong | 1,6 | 1,3 | 2,0 | Hãm khẩn | 600 a | 12 | 6,5 | 2 | Hãm khẩn |
| a Tốc độ gió 105 km/h | |||||||||
F.5.3 Thử nghiệm dưới tải khai thác thông thường
Khung giá chuyển hướng phải chịu được các trường hợp tải khai thác thông thường bắt nguồn từ việc gia tốc, ... được đưa ra trong Bảng F.5. Ngoài ra, các trường hợp tải này sẽ được áp dụng kết hợp với các loại tải sau đây từ các bộ phận gắn vào khung giá chuyển hướng:
- Hộp số và động cơ điện kéo với gia tốc thẳng đứng (xem D.2.2 và D.2.3).
- 1,1 lần tải hãm thường (xem D.4).
- 1,1 lần gia tốc và giảm tốc trong khai thác thông thường (xem D.5).
Bảng F.5 - Tải khai thác thông thường
| Trường hợp tải | Khối lượng thân xe | Khối lượng giá chuyển hướng | |||||||
| azc (m/s2) | ayc (m/s2) | aycc (m/s2) | axc (m/s2) | q (N/m2) | azb (m/s2) | ayb (m/s2) | aycb (m/s2) | axb (m/s2) | |
| Qua ghi | 2,4 | 1,6 | - | - | 200 a | 25 | 12 | - | - |
| Đường thẳng | 1,2 | 0,9 | - | Hãm thường | - | 8,5 | 4,5 | - | Hãm thường |
| Qua đường cong | 1,2 | 0,9 | 1,0 | Hãm thường | - | 8,5 | 4,5 | 1 | Hãm thường |
| a Tốc độ gió 60 km/h | |||||||||
Phụ lục G
(Tham khảo)
Ví dụ về chương trình thử nghiệm độ bền mỏi
G.1 Tổng quan
Mục tiêu của việc thẩm định có thể đạt được bằng việc thử nghiệm độ bền mỏi:
- Thẩm tra và/hoặc tính toán xác định trị số mỏi của các bộ phận kết cấu dưới tải tổng hợp.
- Thẩm tra các giả thiết thiết kế liên quan tới trị số mỏi của các chi tiết thực tế và mức chất lượng sản phẩm được sản xuất (ví dụ, thẩm tra việc phân loại đánh giá và các đánh giá thực nghiệm những sai sót trong sản xuất).
Thử nghiệm độ bền mỏi cũng chỉ là một loại hình thử nghiệm mà tạo ra phá hủy mỏi vật lý thực tế trên toàn bộ kết cấu.
Những hạn chế của thử nghiệm độ bền mỏi trong phòng thử là:
- Thử nghiệm được thực hiện với các loại tải tổng hợp, do đó kết quả thử nghiệm không bao giờ có độ tin cậy cao hơn so với các giả thiết tải cơ bản.
- Tải được áp dụng trong suốt quá trình thử nghiệm bị hạn chế trong giới hạn kỹ thuật khi cài đặt thử nghiệm (ví dụ: phân bố tải thực tế thường phức tạp hơn nhiều so với cài đặt thử nghiệm được thiết lập với một số hạn chế thiết bị truyền động có thể mô phỏng, đặc biệt là đối với tải quán tính).
- Đồ gá thường là hệ thống cơ khí thực tế đã được đơn giản hóa của giá chuyển hướng (ví dụ các đặc tính của hệ thống treo trong quá trình thiết lập thử nghiệm thường có độ cứng cao hơn để có thể tăng tần suất thử nghiệm và đạt được lịch trình thời gian thực tế).
Thử nghiệm độ bền mỏi trên khung giá bao gồm một thử nghiệm chính và các thử nghiệm cụ thể bổ sung.
Thử nghiệm chính nhằm xác nhận rằng độ bền của khung giá là đủ khi các tải chính tác dụng lên nó. Tải trọng chính là những tải gây ra ứng suất trong toàn bộ kết cấu của khung giá chuyển hướng, ví dụ lực dọc, lực ngang và đầu vào xoắn.
Chương trình thử nghiệm nên được điều chỉnh, nếu cần thiết, đặc biệt nếu được chỉ ra bởi kết quả phân tích hoặc thử nghiệm độ bền tĩnh. Các thử nghiệm bổ sung tương ứng với các lực chỉ có tác dụng cục bộ trên khung giá chuyển hướng, ví dụ: giảm chấn, hãm, lực dọc, khối lượng gắn vào khung giá chuyển hướng có thể được yêu cầu.
Ví dụ về các chương trình thử nghiệm độ bền mỏi được mô tả dưới đây chỉ liên quan đến khung giá chuyển hướng là chính khi các giá trị tải trong phụ lục C và D được áp dụng (và có cùng giới hạn). Dựa trên [9], [10] và [11] áp dụng đối với toa xe khách, toa xe hàng, đầu máy; [14] áp dụng đối với phương tiện đường sắt nhẹ và tàu điện. Thành phần của chúng có tính đến những vấn đề sau:
- Trong các thử nghiệm bắt nguồn từ [9], [10] và [11], tải trọng bên (ngang) chỉ có khi bỏ qua yếu tố đường cong hoặc qua ghi được mô phỏng; điều này là bởi vì như chúng ta đã biết tải trên đường thẳng hoặc đường cong bán kính lớn có các thành phần bán tĩnh và động rất thấp.
- Nhìn chung, vì lý do chi phí và thời gian, chỉ thử nghiệm độ bền mỏi cho một khung giá chuyển hướng. Một khi mẫu thử được chứng minh là phù hợp với yêu cầu đặt ra ban đầu, các tải thử nghiệm được tăng lên trong các bước tiếp theo để xác định giới hạn an toàn có sẵn để phù hợp với độ phân tán bình thường trong độ bền mỏi. Hình G.1 minh họa nguyên tắc này.
Các loại giá chuyển hướng và/hoặc bộ phận chạy khác dưới các điều kiện khai thác khác nhau có thể yêu cầu các trường hợp tải và chương trình thử nghiệm khác nhau.
G.2 Chương trình thử nghiệm mỏi đối với giá chuyển hướng có thân xe được đỡ trực tiếp trên khung giá
Chương trình bao gồm sự lặp lại các chu kỳ tải dựa trên các lực thẳng đứng và lực ngang. Các lực thẳng đứng tác dụng lên cả hai khung giá bao gồm:
- Phần tĩnh: Fz1 = Fz2 = Fz/2 (như được quy định trong C.2.2) (G.1).
- Phần bán tĩnh: Fz1qs = Fz2qs = ± αFz/2 (xem F.2.2 về định nghĩa α) (G.2).
- Phần động: Fz1d = Fz2d = ± βFz/2 (xem F.2.2 về định nghĩa β) (G.3).
Các lực ngang tác dụng lên từng trục, bao gồm:
- Phần bán tĩnh: Fy1qs = Fy2qs = ± 0,063 (Fz + m+g) (G.4).
- Phần động: Fy1d = Fy2d = ± 0,063 (Fz + m+g) (G.5).
Sự thay đổi giá trị của các lực này là theo thời gian được thể hiện trong Hình G.2.
Chu trình tải bán tĩnh thường được đảo ngược sau mỗi chu kỳ tải động từ 10 đến 20 chu kỳ tải động và số chu kỳ này sẽ ít hơn so với số chu kỳ động được chỉ ra trong Hình G.1.
Chu kỳ tải do xoắn bao gồm các tải (hoặc chuyển vị tương đương) tại các vị trí treo sơ cấp để tạo ra xoắn + θy và xoắn - θy trên khung giá chuyển hướng và cần được ngược với tải bán tĩnh.
Thử nghiệm mỏi cũng bao gồm tải xoắn động. Tải xoắn tác dụng lên khung giá là tải do giá chuyển hướng gây ra, có hệ thống treo chỉnh, bỏ qua vặn xoắn 0,5% của đường.
Chương trình thử nghiệm mỏi bao gồm ba giai đoạn như được đưa ra trong Hình G.1:
- Bước đầu tiên là 6 × 106 chu kỳ tác dụng của các lực thẳng đứng và lực ngang và 0,6 × 106 chu kỳ tác dụng của tải xoắn.
- Bước thứ hai là 2 × 106 chu kỳ tác dụng của các lực thẳng đứng và lực ngang được tạo ra từ những lực được sử dụng cho bước đầu tiên với phần tĩnh còn lại như trước; phần bán tĩnh và phần động nhân với 1,2 sau đó ứng dụng tải xoắn nhân với 1,2 cho 0,2 × 106 chu kỳ.
- Bước thứ ba giống hệt bước thứ 2, ngoại trừ hệ số 1,2 được thay thế bằng 1,4.

Trong đó:
| 1 - Độ lớn của lực 3 - Tải lần 2 5 - Chu kỳ | 2 - Tải lần 1 4 - Tải lần 3 |
Hình G.1 - Sự thay đổi về độ lớn của lực thẳng đứng và lực ngang trong quá trình thử nghiệm
Các thành phần động của các lực thẳng đứng và lực ngang được áp dụng trong giai đoạn, ở cùng tần số theo cách cho phép mô phỏng tải trọng tác dụng lên khung giá chuyển hướng. Tương tự cũng áp dụng cho các thành phần bán tĩnh, ở tần số tương ứng với sự thay đổi về hướng cong. Hướng cong thường thay đổi luân phiên, mười đến hai mươi chu kỳ của các thành phần động. Nguyên tắc của các thử nghiệm này được minh họa trên hình G.2, cho thấy sự thay đổi theo thời gian của các lực khác nhau.

Trong đó:
| 1 - Lực tác dụng lên xà cạnh 1, Fz1 | 2 - Lực tác dụng lên xà cạnh 2, Fz2 |
| 3 - Lực ngang, Fy | 4 - Đường cong phải, n chu kỳ |
| 5 - Đường cong trái, n chu kỳ | 6 - Chu kỳ |
| Fz1d - Lực động thẳng đứng, xc 1 | Fz2d - Lực động thẳng đứng, xà cạnh 2 |
| Fz1qs - Lực bán tĩnh thẳng đứng, xc 1 | Fz2qs - Lực bán tĩnh thẳng đứng, xc 2 |
| Fyd - Lực động ngang | Fyqs - Lực bán tĩnh ngang |
Hình G.2 - Sự thay đổi của các lực thẳng đứng và lực ngang theo thời gian
Khung giá được coi là đủ bền nếu cả hai điều kiện sau được đáp ứng:
- Không có vết nứt sau hai bước đầu tiên.
- Trong bước thứ ba, mọi vết nứt rất nhỏ được phép, nếu xảy ra trong khai thác, sẽ không cần sửa chữa ngay lập tức.
Chương trình thử nghiệm này cũng có thể được sử dụng cho các loại giá chuyển hướng khác nếu chúng có cùng kiểu loại hệ thống treo. Số chu kỳ bán tĩnh và động tương ứng có thể cần phải thay đổi cho các ứng dụng khác nhau.
G.3 Chương trình thử nghiệm mỏi đối với giá chuyển hướng xe hàng có cối chuyển trung tâm và hai bàn trượt (loại B-V)
G.3.1 Tổng quan
Thử nghiệm được thực hiện theo các nguyên tắc tương tự như đã nêu trong G.2. Chỉ có các lực thẳng đứng là khác, như được thể hiện trong G.3.2 và G.3.3 do sự phân bố lực giữa cối chuyển và bàn trượt.
Sự thay đổi của các lực này theo thời gian như được chỉ ra trong Hình G.3.
G.3.2 Tải thẳng đứng
Đối với cối chuyển hướng, tải thẳng đứng bao gồm:
- Thành phần tĩnh: Fzp = Fz(1 - α) (G.6).
- Thành phần động: Fzpd = ± βFz(1 - α) (G.7).
Đối với từng bàn trượt, tải thẳng đứng bao gồm:
- Thành phần bán tĩnh: Fz1qs = Fz2qs = ± α Fz (G.8).
- Thành phần động: Fy1d = Fy2d = ± βFz (G.9).
G.3.3 Tải trọng ngang
Tải ngang tác dụng lên từng trục và bao gồm:
- Thành phần bán tĩnh: Fy1qs = Fy2qs = ± 0,05 Fz + m+g (G.10).
- Thành phần động: Fy1d = Fy2d = ± 0,05 Fz + m+g (G.11)
Đối với giá chuyển hướng 3 trục, các tải ngang được phân bố như được chỉ ra trong F.3.1.

Trong đó:
| 1 - Lực tác dụng lên cối chuyển, Fzp | 2 - Lực tác dụng lên bàn trượt 1, Fz1 |
| 3 - Lực tác dụng lên bàn trượt 2, Fz2 | 4 - Lực ngang, Fy |
| 5 - Đường cong phải, n chu kỳ | 6 - Đường cong trái, n chu kỳ |
| 7- Chu kỳ |
|
| Fzpd - Lực động thẳng đứng, cc | Fzpqs - Lực bán tĩnh thẳng đứng, cc |
| Fz1d - Lực động thẳng đứng, bt 1 | Fz1qs - Lực bán tĩnh thẳng đứng, bt 1 |
| Fz2d - Lực động thẳng đứng, bt 2 | Fz2qs - Lực bán tĩnh thẳng đứng, bt 2 |
| Fyd - Lực động ngang | Fyqs - Lực bán tĩnh ngang |
Hình G.3 - Sự thay đổi của các lực thẳng đứng và lực ngang theo thời gian.
G.4 Chương trình thử nghiệm mỏi đối với giá chuyển hướng đầu máy (loại B-VII)
Chương trình này cũng tương tự như được quy định trong G.2.
G.5 Chương trình thử nghiệm mỏi đối với giá chuyển hướng phương tiện đường sắt nhẹ và tàu điện (loại B-IV)
Chương trình thử nghiệm mỏi nên thể hiện các trường hợp tải mỏi được sử dụng cho thiết kế với số lượng ứng dụng các trường hợp tải phù hợp.
Thư mục tài liệu tham khảo
[1] EN 12663-1:2010, Railway applications - Structural requirements for railway vehicle bodies - Part 1: Locomotives and passenger rolling stock (and alternative methods for freight wagons) (Ứng dụng đường sắt - Các yêu cầu về kết cấu đối với thân xe - Phần 1: Đầu máy và toa xe khách).
[2] EN 12663-2:2010, Railway applications - Structural requirements for railway vehicle bodies - Part 2: Freight wagons (Ứng dụng đường sắt - Các yêu cầu về kết cấu đối với thân xe - Phần 2: Toa xe hàng).
[3] EN 13103:2001, Railway applications - Wheelsets and bogies - Non-powered axles - Design method (Ứng dụng đường sắt - Bộ trục bánh xe và giá chuyển hướng - Trục kéo theo - Phương pháp thiết kế).
[4] EN 13104:2001, Railway applications - Wheelsets and bogies - Powered axles - Design method (Ứng dụng đường sắt - Bộ trục bánh xe và giá chuyển hướng - Trục chủ động - Phương pháp thiết kế).
[5] EN 13979-1:2003 Railway applications - Wheelsets and bogies - Monobloc wheels - Technical approval procedure - Part 1: Forged and rolled wheels (Ứng dụng đường sắt - Bộ trục bánh xe và giá chuyển hướng - Trục liền khối - Quy trình phê duyệt kỹ thuật).
[6] EN 50125-1, Railway applications - Environmental conditions for equipment - Rolling stock and on-board equipment (Ứng dụng đường sắt - Điều kiện môi trường đối với thiết bị - Phương tiện và thiết bị trên phương tiện).
[7] NF F 01 301, Matérial roulant ferroviaire; Masses et états de charge des véhicules moteurs et des véhicules remorqués à voyageurs
[8] Railway Group Standard GM/RT2100, ‘Structural Requirements for Railway Vehicles’, Issue 3, April 2000, Safety and Standards Directorate, Railtrack
[9] UIC Leaflet 515, Coaches - Running gear (Toa xe khách - Bộ phận chạy).
[10] UIC Leaflet 510-3, Wagons - Strength testing of 2 and 3-axle bogies on test rig (Toa xe hàng - Thử nghiệm độ bền của giá chuyển hướng 2 trục và 3 trục trên bệ thử).
[11] UIC 615-4, Motive power units - Bogies and running gear - Bogie frame structure strength tests (Toa xe động lực, đầu máy - Giá chuyển hướng và bộ phận chạy - Thử nghiệm độ bền kết cấu khung giá chuyển hướng).
[12] Engineering Standard E6325 A1. ‘Passenger Rolling Stock Loadings’, London Underground Limited (Tiêu chuẩn kỹ thuật E6325 A1. ‘Các loại tải trên phương tiện giao thông đường sắt chở khách’, Công ty trách nhiệm hữu hạn đường sắt ngầm London).
[13] Specification of Société des Transports Intercommunaux Bruxelles/Maatschappij voor het Intercommunaal Vervoer te Brussel (STIB/MIVB).
[14] VDV 152, Empfehlungen für die Festigkeitsauslegung von Personenfahrzeugen nach BOStrab
[15] EN 12082, Railway applications - Axleboxes - Performance testing (Ứng dụng đường sắt - Hộp trục - Thử nghiệm hiệu năng).
[16] TCVN 197-1:2014 Vật liệu kim loại - Thử kéo - Phần 1: Phương pháp thử ở nhiệt độ phòng.
MỤC LỤC
Lời nói đầu
1 Phạm vi áp dụng
2 Tài liệu viện dẫn
3 Thuật ngữ và định nghĩa
4 Yêu cầu kỹ thuật
5 Thẩm tra dữ liệu thiết kế
6 Thẩm định và phê duyệt thiết kế
7 Các yêu cầu về chất lượng
Phụ lục A (Tham khảo) - Ký hiệu và đơn vị được sử dụng trong các phụ lục tham khảo
Phụ lục B (Tham khảo) - Các trường hợp tải
Phụ lục C (Tham khảo) - Tải do giá chuyển vận hành
Phụ lục D (Tham khảo) - Tải do các bộ phận gắn vào khung giá chuyển hướng
Phụ lục E (Tham khảo) - Phương pháp phân tích và chỉ tiêu phê duyệt
Phụ lục F (Tham khảo) - Ví dụ về chương trình thử nghiệm độ bền tĩnh
Phụ lục G (Tham khảo) - Ví dụ về chương trình thử nghiệm mỏi
Bạn chưa Đăng nhập thành viên.
Đây là tiện ích dành cho tài khoản thành viên. Vui lòng Đăng nhập để xem chi tiết. Nếu chưa có tài khoản, vui lòng Đăng ký tại đây!