- Tổng quan
- Nội dung
- VB gốc
- Tiếng Anh
- Hiệu lực
- VB liên quan
- Lược đồ
-
Nội dung hợp nhất
Tính năng này chỉ có tại LuatVietnam.vn. Nội dung hợp nhất tổng hợp lại tất cả các quy định còn hiệu lực của văn bản gốc và các văn bản sửa đổi, bổ sung, đính chính... trên một trang. Việc hợp nhất văn bản gốc và những văn bản, Thông tư, Nghị định hướng dẫn khác không làm thay đổi thứ tự điều khoản, nội dung.
Khách hàng chỉ cần xem Nội dung hợp nhất là có thể nắm bắt toàn bộ quy định hiện hành đang áp dụng, cho dù văn bản gốc đã qua nhiều lần chỉnh sửa, bổ sung.
- Tải về
Thông tư 21/2014/TT-BKHCN về đo lường đối với lượng của hàng đóng gói sẵn
| Cơ quan ban hành: | Bộ Khoa học và Công nghệ |
Số công báo:
Số công báo là mã số ấn phẩm được đăng chính thức trên ấn phẩm thông tin của Nhà nước. Mã số này do Chính phủ thống nhất quản lý.
|
Đã biết
|
| Số hiệu: | 21/2014/TT-BKHCN | Ngày đăng công báo: |
Đã biết
|
| Loại văn bản: | Thông tư | Người ký: | Trần Việt Thanh |
| Trích yếu: | Quy định về đo lường đối với lượng của hàng đóng gói sẵn | ||
|
Ngày ban hành:
Ngày ban hành là ngày, tháng, năm văn bản được thông qua hoặc ký ban hành.
|
15/07/2014 |
Ngày hết hiệu lực:
Ngày hết hiệu lực là ngày, tháng, năm văn bản chính thức không còn hiệu lực (áp dụng).
|
Đang cập nhật |
|
Áp dụng:
Ngày áp dụng là ngày, tháng, năm văn bản chính thức có hiệu lực (áp dụng).
|
Đã biết
|
Tình trạng hiệu lực:
Cho biết trạng thái hiệu lực của văn bản đang tra cứu: Chưa áp dụng, Còn hiệu lực, Hết hiệu lực, Hết hiệu lực 1 phần; Đã sửa đổi, Đính chính hay Không còn phù hợp,...
|
Đã biết
|
| Lĩnh vực: | Thương mại-Quảng cáo | ||
TÓM TẮT THÔNG TƯ 21/2014/TT-BKHCN
Ngày 15/7/2021, Bộ Khoa học và Công nghệ đã ban hành Thông tư 21/2014/TT-BKHCN quy định về đo lường đối với lượng của hàng đóng gói sẵn.
Theo đó, yêu cầu về ghi lượng của hàng đóng gói sẵn trên nhãn hàng hóa như sau: Lượng của hàng đóng gói sẵn được ghi trên nhãn hàng hóa là lượng danh định; Lượng danh định của hàng đóng gói sẵn phải được ghi bằng cách in, gắn hoặc dán trực tiếp trên hàng đóng gói sẵn hoặc trên bao bì hoặc nhãn của hàng đóng gói sẵn; Vị trí ghi lượng danh định phải dễ thấy, dễ đọc trong điều kiện trưng bày thông thường của hoạt động buôn bán;…
Bên cạnh đó, cơ sở sản xuất hàng đóng gói sẵn phải đáp ứng đủ các yêu cầu về cơ sở vật chất kỹ thuật bao gồm: Có đủ phương tiện định lượng hàng đóng gói sẵn (đối với cơ sở sản xuất hàng đóng gói sẵn), phương tiện đo để tự đánh giá sự phù hợp về lượng của hàng đóng gói sẵn (đối với cơ sở thực hiện tự đánh giá sự phù hợp về lượng của hàng đóng gói sẵn); các phương tiện đo được định kỳ kiểm định, hiệu chuẩn theo quy định; Có mặt bằng làm việc, điều kiện môi trường theo quy định,…
Ngoài ra, khi tiếp nhận thông báo của tổ chức, cá nhân khác hoặc tự phát hiện sự không phù hợp của hàng đóng gói sẵn do cơ sở sản xuất, nhập khẩu so với yêu cầu kỹ thuật đo lường, cơ sở tiến hành các biện pháp khắc phục đồng thời thông báo với các cơ quan nhà nước về đo lường có thẩm quyền về sự không phù hợp, biện pháp khắc phục và kết quả khắc phục sự không phù hợp.
Thông tư có hiệu lực kể từ ngày 30/8/2014.
Văn bản này được sửa đổi, bổ sung bởi 07/2024/TT-BKHCN
Xem chi tiết Thông tư 21/2014/TT-BKHCN có hiệu lực kể từ ngày 30/08/2014
Tải Thông tư 21/2014/TT-BKHCN
|
BỘ KHOA HỌC VÀ CÔNG NGHỆ Số: 21/2014/TT-BKHCN |
CỘNG HÒA XÃ HỘI CHỦ NGHĨA VIỆT NAM Hà Nội, ngày 15 tháng 07 năm 2014 |
THÔNG TƯ
QUY ĐỊNH VỀ ĐO LƯỜNG ĐỐI VỚI LƯỢNG CỦA HÀNG ĐÓNG GÓI SẴN
Căn cứ Luật Đo lường ngày 11 tháng 11 năm 2011;
Căn cứ Nghị định số 86/2012/NĐ-CP ngày 19 tháng 10 năm 2012 của Chính phủ quy định chi tiết và hướng dẫn thi hành một số điều của Luật đo lường;
Căn cứ Nghị định số 89/2006/NĐ-CP ngày 30 tháng 8 năm 2006 của Chính phủ quy định về nhãn hàng hóa;
Căn cứ Nghị định số 20/2013/NĐ-CP ngày 26 tháng 02 năm 2013 của Chính phủ quy định chức năng, nhiệm vụ, quyền hạn và cơ cấu tổ chức của Bộ Khoa học và Công nghệ;
Theo đề nghị của Tổng cục trưởng Tổng cục Tiêu chuẩn Đo lường Chất lượng,
Bộ trưởng Bộ Khoa học và Công nghệ ban hành Thông tư quy định về đo lường đối với lượng của hàng đóng gói sẵn.
Chương I
QUY ĐỊNH CHUNG
Điều 1. Phạm vi điều chỉnh
1. Thông tư này quy định về đo lường đối với lượng của hàng đóng gói sẵn bao gồm: yêu cầu kỹ thuật đo lường đối với lượng của hàng đóng gói sẵn; danh mục hàng đóng gói sẵn nhóm 2; dấu định lượng; công bố sử dụng dấu định lượng trên nhãn hàng đóng gói sẵn nhóm 1; chứng nhận đủ điều kiện sử dụng dấu định lượng trên nhãn hàng đóng gói sẵn nhóm 2.
2. Thông tư này không áp dụng đối với hàng đóng gói sẵn là: Thuốc chữa bệnh; hàng hóa được ưu đãi, miễn trừ thủ tục hải quan; hàng tạm nhập tái xuất; hàng quá cảnh, chuyển khẩu; hàng gửi kho ngoại quan; hàng doanh nghiệp Việt Nam gia công cho thương nhân nước ngoài; vật tư thiết bị máy móc nhập khẩu phục vụ các dự án đầu tư; hàng hóa thuộc lĩnh vực bí mật quốc gia; hàng hóa phục vụ các yêu cầu khẩn cấp; hàng hóa phục vụ trực tiếp cho hoạt động đo lường đặc thù thuộc lĩnh vực quốc phòng, an ninh.
Điều 2. Đối tượng áp dụng
1. Tổ chức, cá nhân (sau đây viết tắt là cơ sở) sản xuất, nhập khẩu, lưu thông, buôn bán hàng đóng gói sẵn.
2. Cơ quan nhà nước về đo lường và tổ chức, cá nhân khác có liên quan.
Điều 3. Giải thích từ ngữ
Trong văn bản này, các từ ngữ dưới đây được hiểu như sau:
1. Hàng đóng gói sẵn là hàng hóa được định lượng theo đơn vị đo khối lượng, thể tích, diện tích, chiều dài hoặc số đếm, được đóng gói và ghi định lượng trên nhãn hàng hóa mà không có sự chứng kiến của bên mua.
2. Hàng đóng gói sẵn nhóm 1 là hàng đóng gói sẵn không thuộc Danh mục quy định tại Khoản 3 Điều này.
3. Hàng đóng gói sẵn nhóm 2 là hàng đóng gói sẵn có số lượng lớn lưu thông trên thị trường hoặc có giá trị lớn, có khả năng gây tranh chấp, khiếu kiện về đo lường giữa các bên trong mua bán, thanh toán, gây ảnh hưởng lớn đến sức khỏe, môi trường thuộc Danh mục hàng đóng gói sẵn nhóm 2 quy định tại Điều 6 của Thông tư này.
4. Đơn vị hàng đóng gói sẵn hoặc bao hàng đóng gói sẵn là tập hợp gồm bao bì và lượng hàng hóa chứa trong bao bì.
5. Bao bì là vật liệu để bao gói phía ngoài hàng đóng gói sẵn trừ những thứ thuộc về bản chất của hàng hóa.
Qmin = Qn - T
Trong đó, lượng thiếu cho phép (T) được quy định tại Phụ lục IV ban hành kèm theo Thông tư này.
11. Lô hàng đóng gói sẵn (gọi tắt là lô) là tập hợp các đơn vị hàng đóng gói sẵn giống nhau được sản xuất (bao gồm một hoặc các hoạt động sản xuất, sang bao hoặc chai, đóng gói), nhập khẩu, lưu thông, buôn bán với cùng một lượng danh định, dưới những điều kiện như nhau mà từ đó hàng đóng gói sẵn được lấy ra để tiến hành đánh giá sự phù hợp với yêu cầu kỹ thuật đo lường.
12. Cỡ lô (N) là con số chỉ tổng số đơn vị hàng đóng gói sẵn trong lô và được xác định theo các yêu cầu sau đây:
a) Tại nơi sản xuất, cỡ lô được tính bằng số đơn vị hàng đóng gói sẵn được sản xuất trong một giờ;
b) Tại nơi nhập khẩu; cỡ lô được tính bằng số đơn vị hàng đóng gói sẵn theo từng đợt nhập hàng;
c) Tại nơi lưu thông, buôn bán, cỡ lô được tính bằng số đơn vị hàng đóng gói sẵn trên phương tiện vận chuyển, tại nơi chứa, tại nơi bán;
d) Cỡ lô không quá một trăm nghìn (100 000).
13. Cỡ mẫu (n) là con số chỉ số đơn vị hàng đóng gói sẵn phải lấy mẫu ngẫu nhiên trong lô để đánh giá.
14. Số đơn vị hàng đóng gói sẵn không phù hợp là con số chỉ số đơn vị hàng đóng gói sẵn không phù hợp yêu cầu quy định và được xác định khi đánh giá lô hàng đóng gói sẵn.
15. Dung môi là chất lỏng, chất khí được chứa cùng với hàng đóng gói sẵn và được bỏ đi sau khi sử dụng hàng đóng gói sẵn đó.
16. Lượng ráo nước là lượng thực của hàng đóng gói sẵn trong dung môi lỏng.
17. Cơ sở sản xuất hàng đóng gói sẵn là tổ chức, cá nhân thực hiện một hoặc các hoạt động sản xuất, sang bao hoặc chai, đóng gói tại Việt Nam.
18. Cơ sở nhập khẩu hàng đóng gói sẵn là tổ chức, cá nhân nhập khẩu hoặc ủy thác nhập khẩu hàng đóng gói sẵn.
19. Các từ ngữ khác được hiểu theo quy định tại Điều 3 Luật Đo lường.
Chương II
YÊU CẦU KỸ THUẬT ĐO LƯỜNG ĐỐI VỚI LƯỢNG CỦA HÀNG ĐÓNG GÓI SẴN,
DANH MỤC HÀNG ĐÓNG GÓI SẴN NHÓM 2
Điều 4. Yêu cầu kỹ thuật đối với lượng của hàng đóng gói sẵn
1. Yêu cầu về ghi lượng của hàng đóng gói sẵn trên nhãn hàng hóa
a) Lượng của hàng đóng gói sẵn được ghi trên nhãn hàng hóa là lượng danh định;
c) Vị trí ghi lượng danh định phải dễ thấy, dễ đọc trong điều kiện trưng bày thông thường của hoạt động buôn bán;
- Đối với hàng đóng gói sẵn là chất rắn, khí hóa lỏng, hàng đông lạnh, hàng đóng gói sẵn dạng bình phun, xịt (aerosols) hoặc có hàng hóa chứa cùng khí nén: Ghi theo đơn vị đo khối lượng;
- Đối với hàng hóa là chất lỏng: ghi theo đơn vị đo thể tích;
- Đối với hàng hóa ở dạng sệt hoặc hàng hóa khác: ghi theo đơn vị đo khối lượng hoặc thể tích;
i) Khi một (01) đơn vị hàng đóng gói sẵn chứa hai (02) hay nhiều bao, gói hàng đóng gói sẵn cùng loại với cùng lượng danh định có thể dùng để bán lẻ, phải ghi tổng lượng danh định của đơn vị hàng đóng gói sẵn, số lượng bao, gói và lượng danh định của một (01) bao, gói hàng đóng gói sẵn.
Ví dụ: Một (01) hộp cà phê chứa 10 gói, mỗi gói có khối lượng là 20 g, ghi lượng danh định của hộp cà phê như sau:
200 g (10 gói x 20 g)
k) Khi một (01) đơn vị hàng đóng gói sẵn chứa hai (02) hay nhiều bao, gói hàng đóng gói sẵn không cùng loại, phải ghi tên, số lượng bao hoặc gói và lượng danh định của từng loại hàng đóng gói riêng lẻ.
Ví dụ: Một (01) túi xi đánh giày chứa: hai (02) hộp xi đen, mỗi hộp có khối lượng 15 g; một (01) hộp xi nâu có khối lượng 25 g; một (01) hộp xi trắng có khối lượng 15 g, ghi lượng danh định của túi xi đánh giày nêu trên như sau:
Xi đen: 2 hộp x 15 g; xi nâu: 1 hộp x 25 g; xi trắng: 1 hộp x 15 g.
Tổng số: 4 hộp (70 g).
l) Đối với hàng đóng gói sẵn chứa trong dung môi, phải ghi lượng ráo nước và ghi khối lượng tổng trên nhãn hàng hóa.
2. Yêu cầu về hình dáng, kích thước và các yêu cầu khác của bao hàng đóng gói sẵn
a) Bao hàng đóng gói sẵn không được có hình dáng, kích thước và các cấu trúc khác (như đáy phụ, vách ngăn, nắp phụ, tấm phủ phụ) gây nhầm lẫn hoặc lừa dối người mua về lượng của hàng đóng gói sẵn chứa trong bao hàng;
b) Hàng đóng gói sẵn phải điền đầy thể tích của bao bì trừ trường hợp phải có sự khác biệt giữa thể tích của bao bì với thể tích của hàng đóng gói sẵn chứa trong bao bì đó do một hoặc các nguyên nhân sau đây:
- Để bảo vệ hàng đóng gói sẵn;
- Do yêu cầu vận hành của thiết bị được dùng để bao gói hàng đóng gói sẵn;
- Do yêu cầu của việc vận chuyển hàng đóng gói sẵn;
- Do bản chất của hàng đóng gói sẵn (bao hàng đóng gói sẵn dạng bình xịt, có chứa khí nén...).
c) Trường hợp lượng của hàng đóng gói sẵn được ghi tại nhiều vị trí trên bao hàng thì tại từng vị trí việc ghi lượng của hàng đóng gói sẵn phải đáp ứng yêu cầu tại Khoản 1 Điều này;
Điều 5. Yêu cầu về đo lường đối với lượng của hàng đóng gói sẵn
Xtb ³ Qn
Xtb ³ Qn - k.s
Trong đó: s là độ lệch bình phương trung bình của lượng thực được tính theo công thức quy định tại Phụ lục III ban hành kèm theo Thông tư này.k là hệ số hiệu chính được chọn tại Phụ lục III ban hành kèm theo Thông tư này.
2. Yêu cầu về số đơn vị hàng đóng gói sẵn không phù hợp
a) Trường hợp cỡ mẫu (n) bằng với cỡ lô (N) (n=N), phải thỏa mãn các yêu cầu sau:
- Số đơn vị hàng đóng gói sẵn không phù hợp không được vượt quá 2,5 % cỡ lô;
- Không được có bất kỳ đơn vị hàng đóng gói sẵn không phù hợp nào có lượng thiếu lớn hơn hai (02) lần lượng thiếu cho phép T quy định tại Phụ lục IV ban hành kèm theo Thông tư này.
- Số đơn vị hàng đóng gói sẵn không phù hợp không được vượt quá giá trị cho phép quy định tại Bảng 1, Bảng 2 (đối với trường hợp lấy mẫu tại nơi sản xuất, nhập khẩu, lưu thông, buôn bán), tại Bảng 3 (đối với trường hợp lấy mẫu tại nơi nhập khẩu, lưu thông, buôn bán và cần phải phá bao bì của hàng đóng gói sẵn) của Phụ lục III ban hành kèm theo Thông tư này;
- Không được có bất kỳ đơn vị hàng đóng gói sẵn không phù hợp nào có lượng thiếu lớn hơn hai (02) lần lượng thiếu cho phép T quy định tại Phụ lục 4 ban hành kèm theo Thông tư này.
Điều 6. Danh mục hàng đóng gói sẵn nhóm 2
1. Danh mục hàng đóng gói sẵn nhóm 2 gồm tên các loại hàng đóng gói sẵn cụ thể.
2. Trên cơ sở đề xuất của các Bộ, ngành và yêu cầu quản lý nhà nước về đo lường, Tổng cục Tiêu chuẩn Đo lường Chất lượng tổng hợp, trình Bộ Khoa học và Công nghệ xem xét, quyết định hàng đóng gói sẵn nhóm 2 thuộc Danh mục quy định tại Khoản 1 Điều này.
Chương III
DẤU ĐỊNH LƯỢNG
Điều 7. Dấu định lượng
1. Dấu định lượng là ký hiệu được sử dụng để thể hiện lượng của hàng đóng gói sẵn phù hợp với quy định tại Điều 4 và Điều 5 của Thông tư này.
Điều 8. Sử dụng dấu định lượng
1. Hàng đóng gói sẵn nhóm 1 được mang dấu định lượng trên nhãn hàng hóa nếu đáp ứng yêu cầu quy định tại Điều 4 và Điều 5 và được cơ sở đáp ứng yêu cầu quy định tương ứng tại Điều 10 hoặc Điều 11 tự công bố theo quy định tại Mục 2 Chương IV của Thông tư này.
2. Hàng đóng gói sẵn nhóm 2 phải mang dấu định lượng trên nhãn hàng hóa sau khi cơ sở sản xuất, nhập khẩu được chứng nhận đủ điều kiện sử dụng dấu định lượng theo quy định tại Mục 3 Chương IV của Thông tư này.
Điều 9. Thể hiện dấu định lượng trên nhãn hàng đóng gói sẵn
1. Dấu định lượng được thể hiện bằng cách in, gắn hoặc dán trực tiếp trên hàng hóa hoặc trên bao bì hoặc nhãn gắn trên hàng hóa ở vị trí dễ thấy, dễ đọc.
Ví dụ: V 800 g hoặc V 500 ml.
Chương IV
CÔNG BỐ SỬ DỤNG DẤU ĐỊNH LƯỢNG, CHỨNG NHẬN ĐỦ ĐIỀU KIỆN
SỬ DỤNG DẤU ĐỊNH LƯỢNG
Mục 1: YÊU CẦU ĐỐI VỚI CƠ SỞ SỬ DỤNG DẤU ĐỊNH LƯỢNG
Điều 10. Yêu cầu đối với cơ sở sản xuất hàng đóng gói sẵn
1. Được thành lập theo quy định của pháp luật.
2. Có đủ cơ sở vật chất kỹ thuật đáp ứng các yêu cầu sau đây:
a) Có đủ phương tiện định lượng hàng đóng gói sẵn (đối với cơ sở sản xuất hàng đóng gói sẵn), phương tiện đo để tự đánh giá sự phù hợp về lượng của hàng đóng gói sẵn (đối với cơ sở thực hiện tự đánh giá sự phù hợp về lượng của hàng đóng gói sẵn); các phương tiện đo được định kỳ kiểm định, hiệu chuẩn theo quy định;
b) Có mặt bằng làm việc, điều kiện môi trường và điều kiện khác theo yêu cầu quy định tại Khoản 4 Điều này.
3. Có đủ nhân viên kỹ thuật thực hiện các biện pháp kiểm soát về đo lường quy định tại Khoản 4 Điều này.
4. Ban hành và thực hiện các biện pháp kiểm soát về đo lường đối với phương tiện đo, phương tiện định lượng, việc thực hiện phép đo (sau đây viết tắt là biện pháp kiểm soát về đo lường) để bảo đảm yêu cầu kỹ thuật đo lường đối với lượng của hàng đóng gói sẵn.
5. Lưu giữ đầy đủ hồ sơ kết quả kiểm định, hiệu chuẩn phương tiện đo, hồ sơ đánh giá kỹ thuật đo lường đối với lượng của hàng đóng gói sẵn (do cơ sở tự đánh giá hoặc do cơ quan chứng nhận quy định tại Điều 16 của Thông tư này được cơ sở thuê thực hiện).
Điều 11. Yêu cầu đối với cơ sở nhập khẩu hàng đóng gói sẵn
1. Phải thể hiện dấu định lượng trên nhãn hàng đóng gói sẵn nhóm 2.
2. Ban hành và thực hiện các biện pháp kiểm soát về đo lường để bảo đảm yêu cầu kỹ thuật đo lường đối với lượng của hàng đóng gói sẵn.
Mục 2: CÔNG BỐ SỬ DỤNG DẤU ĐỊNH LƯỢNG
Điều 12. Trình tự, thủ tục công bố sử dụng dấu định lượng
1. Cơ sở đáp ứng yêu cầu quy định tương ứng tại Điều 10, Điều 11 của Thông tư này lập hai (02) bản công bố sử dụng dấu định lượng trên nhãn hàng đóng gói sẵn (sau đây viết tắt là bản công bố) (theo Mẫu 1. CBDĐL tại Phụ lục V ban hành kèm theo Thông tư này) gửi trực tiếp hoặc qua đường bưu điện đến Chi cục Tiêu chuẩn Đo lường Chất lượng tỉnh, thành phố trực thuộc Trung ương (sau đây viết tắt là Chi cục Tiêu chuẩn Đo lường Chất lượng) nơi cơ sở đăng ký trụ sở chính.
2. Trong thời gian ba (03) ngày làm việc kể từ khi nhận được bản công bố, nếu bản công bố chưa đầy đủ, chưa đúng quy định, Chi cục Tiêu chuẩn Đo lường Chất lượng thông báo bằng văn bản cho cơ sở những nội dung cần bổ sung, hoàn chỉnh.
Sau thời hạn ba mươi (30) ngày kể từ ngày Chi cục Tiêu chuẩn Đo lường Chất lượng gửi thông báo, nếu cơ sở không bổ sung bản công bố đầy đủ, đúng quy định, Chi cục Tiêu chuẩn Đo lường Chất lượng có quyền hủy bỏ việc xử lý đối với bản công bố này.
3. Trong thời hạn năm (05) ngày làm việc kể từ ngày nhận các bản công bố, nếu các bản công bố đầy đủ, đúng quy định, Chi cục Tiêu chuẩn Đo lường Chất lượng ký xác nhận, đóng dấu tiếp nhận vào hai (02) bản công bố của cơ sở và gửi lại một (01) bản cho cơ sở đó.
4. Chi cục Tiêu chuẩn Đo lường Chất lượng lập sổ theo dõi, quản lý tiếp nhận công bố.
Điều 13. Lưu giữ hồ sơ công bố
1. Cơ sở chịu trách nhiệm lập và lưu giữ hồ sơ công bố tại cơ sở như sau:
a) Bản công bố có xác nhận và đóng dấu tiếp nhận của Chi cục Tiêu chuẩn Đo lường Chất lượng;
b) Văn bản của người đứng đầu cơ sở quy định các biện pháp kiểm soát để bảo đảm yêu cầu kỹ thuật đo lường đối với lượng của hàng đóng gói sẵn;
c) Hồ sơ kết quả kiểm định, hiệu chuẩn phương tiện đo, hồ sơ đánh giá kỹ thuật đo lường đối với lượng của hàng đóng gói sẵn, hồ sơ kết quả thực hiện các biện pháp kiểm soát về đo lường khác theo quy định.
2. Thời hạn lưu giữ: hai (02) năm sau khi hồ sơ bị thay thế hoặc bị hủy bỏ hoặc hết thời hạn có giá trị.
Điều 14. Điều chỉnh nội dung của bản công bố
1. Khi có bất kỳ sự thay đổi nào về nội dung của bản công bố đã được tiếp nhận hoặc trường hợp bản công bố đã được tiếp nhận bị thất lạc, hư hỏng và cơ sở có nhu cầu tiếp nhận lại, cơ sở thực hiện công bố lại theo trình tự, thủ tục quy định tại Điều 12 của Thông tư này.
2. Số thứ tự lần tiếp nhận trong bản công bố được đánh liên tục từ lần xác nhận và đóng dấu tiếp nhận đầu tiên đến các lần tiếp nhận công bố lại tiếp theo.
Điều 15. Hủy bỏ công bố
1. Hủy bỏ công bố sử dụng dấu định lượng trên nhãn hàng đóng gói sẵn được áp dụng đối với các trường hợp sau đây:
a) Cơ sở vi phạm nghiêm trọng quy định tại Điều 25 của Thông tư này;
b) Cơ sở có văn bản thông báo hủy bỏ công bố gửi Chi cục Tiêu chuẩn Đo lường Chất lượng nơi cơ sở đăng ký hoạt động;
c) Cơ sở bị phá sản, giải thể theo quy định của pháp luật.
2. Trường hợp quy định tại Điểm b Khoản 1 Điều này, Chi cục Tiêu chuẩn Đo lường Chất lượng ký và đóng dấu tiếp nhận vào bản thông báo hủy bỏ công bố, gửi lại cho cơ sở và ghi vào sổ theo dõi, quản lý tiếp nhận công bố.
Mục 3: CHỨNG NHẬN ĐỦ ĐIỀU KIỆN SỬ DỤNG DẤU ĐỊNH LƯỢNG
Điều 16. Cơ quan chứng nhận
1. Tổng cục Tiêu chuẩn Đo lường Chất lượng chứng nhận đủ điều kiện sử dụng dấu định lượng đối với cơ sở có đề nghị và đáp ứng các yêu cầu quy định thực hiện sản xuất, nhập khẩu hàng đóng gói sẵn trên phạm vi cả nước.
2. Chi cục Tiêu chuẩn Đo lường Chất lượng chứng nhận đủ điều kiện sử dụng dấu định lượng đối với cơ sở có đề nghị và đáp ứng các yêu cầu quy định thực hiện sản xuất, nhập khẩu hàng đóng gói sẵn trên địa bàn địa phương.
Điều 17. Hồ sơ đề nghị chứng nhận
Cơ sở đề nghị đáp ứng các điều kiện quy định tương ứng tại Điều 10, Điều 11 của Thông tư này lập một (01) bộ hồ sơ gửi trực tiếp hoặc qua đường bưu điện đến cơ quan chứng nhận. Bộ hồ sơ gồm:
1. Đề nghị chứng nhận đủ điều kiện sử dụng dấu định lượng trên nhãn hàng đóng gói sẵn (theo Mẫu 2. ĐNCN tại Phụ lục V ban hành kèm theo Thông tư này).
2. Bản sao (có xác nhận sao y bản chính của cơ sở sản xuất) quyết định thành lập hoặc giấy chứng nhận đăng ký doanh nghiệp do cơ quan nhà nước có thẩm quyền cấp.
3. Văn bản của người đứng đầu cơ sở quy định các biện pháp kiểm soát về đo lường để bảo đảm yêu cầu kỹ thuật đo lường đối với lượng của hàng đóng gói sẵn.
4. Hồ sơ kết quả kiểm định, hiệu chuẩn phương tiện đo, hồ sơ đánh giá kỹ thuật đo lường đối với lượng của hàng đóng gói sẵn, hồ sơ kết quả thực hiện các biện pháp kiểm soát về đo lường khác theo quy định.
Điều 18. Xử lý hồ sơ
1. Trong thời hạn năm (05) ngày làm việc kể từ ngày nhận hồ sơ, nếu hồ sơ chưa đầy đủ, chưa hợp lệ, cơ quan chứng nhận thông báo bằng văn bản cho cơ sở đề nghị những nội dung cần bổ sung, hoàn chỉnh.
Sau thời hạn chín mươi (90) ngày kể từ ngày cơ quan chứng nhận gửi thông báo, nếu cơ sở đề nghị không bổ sung hồ sơ đầy đủ theo quy định, cơ quan chứng nhận có quyền hủy bỏ việc xử lý đối với hồ sơ này.
2. Trong thời hạn ba mươi (30) ngày làm việc kể từ ngày nhận đầy đủ hồ sơ hợp lệ, cơ quan chứng nhận ra quyết định thành lập đoàn đánh giá tại cơ sở và tiến hành đánh giá theo quy định tại Điều 19 của Thông tư này (đối với cơ sở sản xuất hàng đóng gói sẵn);
3. Trong thời hạn mười lăm (15) ngày làm việc kể từ ngày nhận đầy đủ hồ sơ hợp lệ, cơ quan chứng nhận cấp giấy chứng nhận đủ điều kiện sử dụng dấu định lượng trên nhãn hàng đóng gói sẵn (sau đây viết tắt là giấy chứng nhận) theo quy định tại Điều 20 của Thông tư này cho cơ sở đề nghị.
Điều 19. Đánh giá tại cơ sở
1. Đánh giá tại cơ sở được tổ chức theo hình thức đoàn đánh giá và thực hiện đánh giá theo nguyên tắc chuyên gia.
2. Đoàn đánh giá do Thủ trưởng cơ quan chứng nhận quyết định thành lập để đánh giá tại cơ sở, báo cáo kết quả và tư vấn cho Thủ trưởng cơ quan chứng nhận về sự phù hợp của cơ sở đề nghị với các yêu cầu quy định tại Thông tư này.
3. Thành phần đoàn đánh giá và trách nhiệm của thành viên đoàn đánh giá
a) Đoàn đánh giá gồm trưởng đoàn và thành viên khác. Số lượng người của đoàn đánh giá tùy thuộc vào đề nghị chứng nhận và không ít hơn hai (02) người; Trưởng đoàn và thành viên khác phải có giấy chứng nhận hoàn thành khóa đào tạo nghiệp vụ đánh giá về đo lường đối với lượng của hàng đóng gói sẵn do Tổng cục Tiêu chuẩn Đo lường Chất lượng tổ chức;
b) Trưởng đoàn có trách nhiệm: Tổ chức thực hiện nhiệm vụ của đoàn đánh giá; trực tiếp đánh giá về hệ thống quản lý; phân công trách nhiệm cụ thể cho các thành viên; triệu tập và chủ trì các buổi họp của đoàn đánh giá; thông qua hồ sơ kết quả đánh giá trước khi trình Thủ trưởng cơ quan chứng nhận;
c) Thành viên khác có trách nhiệm thực hiện nhiệm vụ được phân công và chịu trách nhiệm trước Trưởng đoàn về nội dung, kết quả thực hiện nhiệm vụ.
4. Nội dung đánh giá: Đánh giá sự phù hợp của cơ sở đề nghị với các yêu cầu quy định tại Điều 10, Điều 11 của Thông tư này.
5. Phương pháp, phương tiện đánh giá và trình tự đánh giá tại cơ sở thực hiện theo hướng dẫn của Tổng cục Tiêu chuẩn Đo lường Chất lượng .
6. Chi phí và các điều kiện khác phục vụ việc đánh giá tại cơ sở của đoàn đánh giá do cơ sở đề nghị bảo đảm.
Điều 20. Giấy chứng nhận
1. Nội dung, hình thức của giấy chứng nhận theo Mẫu 4.GCN tại Phụ lục V ban hành kèm theo Thông tư này.
2. Thời hạn hiệu lực của giấy chứng nhận là năm (05) năm kể từ ngày ký.
3. Giấy chứng nhận được gửi tới cơ sở đề nghị, Tổng cục Tiêu chuẩn Đo lường Chất lượng , Chi cục Tiêu chuẩn Đo lường Chất lượng nơi cơ sở đề nghị thực hiện sản xuất, nhập khẩu hàng đóng gói sẵn và đăng trên Cổng thông tin điện tử của Tổng cục Tiêu chuẩn Đo lường Chất lượng .
Điều 21. Lưu giữ hồ sơ chứng nhận
1. Hồ sơ chứng nhận được lưu giữ gồm: bộ hồ sơ đề nghị chứng nhận quy định tại Điều 17, hồ sơ đánh giá tại cơ sở quy định tại Điều 19 và giấy chứng nhận quy định tại Điều 20 của Thông tư này.
2. Một (01) bộ hồ sơ chứng nhận được lưu giữ tại cơ quan chứng nhận.
3. Cơ sở được chứng nhận chịu trách nhiệm lập và lưu giữ một (01) bộ hồ sơ đề nghị chứng nhận tại trụ sở của cơ sở hoặc nơi thực hiện sản xuất bảo đảm thuận lợi cho hoạt động thanh tra, kiểm tra.
4. Thời hạn lưu giữ: hai (02) năm sau khi giấy chứng nhận hết thời hạn hiệu lực hoặc bị đình chỉ hoặc bị hủy bỏ hiệu lực.
Điều 22. Chứng nhận lại, điều chỉnh nội dung của giấy chứng nhận
1. Không ít hơn ba (03) tháng trước khi hết thời hạn hiệu lực của giấy chứng nhận đã cấp hoặc khi có nhu cầu điều chỉnh nội dung của giấy chứng nhận, cơ sở đề nghị lập một (01) bộ hồ sơ theo quy định tại Điều 17 của Thông tư này đối với nội dung đề nghị chứng nhận lại, chứng nhận điều chỉnh gửi trực tiếp hoặc qua đường bưu điện đến cơ quan chứng nhận.
2. Tùy từng trường hợp cụ thể, cơ quan chứng nhận xem xét, quyết định kiểm tra trên hồ sơ hoặc đánh giá tại cơ sở và xử lý hồ sơ theo quy định tại Điều 18 của Thông tư này.
3. Giấy chứng nhận lại, giấy chứng nhận điều chỉnh được gửi tới cơ sở được chứng nhận, Tổng cục Tiêu chuẩn Đo lường Chất lượng , Chi cục Tiêu chuẩn Đo lường Chất lượng nơi cơ sở được chứng nhận thực hiện sản xuất, nhập khẩu hàng đóng gói sẵn và đăng trên Cổng thông tin điện tử của Tổng cục Tiêu chuẩn Đo lường Chất lượng .
4. Thời hạn hiệu lực của giấy chứng nhận lại là năm (05) năm kể từ ngày ký. Thời hạn hiệu lực của giấy chứng nhận điều chỉnh lấy theo thời hạn hiệu lực của giấy chứng nhận còn thời hạn hiệu lực đã cấp cho cơ sở được chứng nhận.
5. Việc lưu giữ hồ sơ chứng nhận lại, chứng nhận điều chỉnh, được áp dụng theo quy định tại Điều 21 của Thông tư này.
Điều 23. Đình chỉ hiệu lực của giấy chứng nhận
1. Đình chỉ hiệu lực của giấy chứng nhận được áp dụng đối với các trường hợp sau đây:
a) Cơ sở được chứng nhận không duy trì được các yêu cầu quy định tương ứng tại Điều 10, Điều 11 của Thông tư này gây hậu quả nghiêm trọng;
b) Cơ sở được chứng nhận có văn bản đề nghị được đình chỉ phạm vi được chứng nhận.
2. Tùy từng trường hợp cụ thể, cơ quan chứng nhận ra thông báo đình chỉ hiệu lực một phần hoặc toàn bộ giấy chứng nhận đã cấp (sau đây gọi tắt là thông báo đình chỉ). Thời hạn đình chỉ không được quá sáu (06) tháng kể từ thời điểm có hiệu lực của thông báo đình chỉ.
3. Thông báo đình chỉ được gửi cho cơ sở bị đình chỉ, Tổng cục Tiêu chuẩn Đo lường Chất lượng , Chi cục Tiêu chuẩn Đo lường Chất lượng nơi cơ sở bị đình chỉ thực hiện sản xuất, nhập khẩu hàng đóng gói sẵn và được đăng tải trên Cổng thông tin điện tử của Tổng cục Tiêu chuẩn Đo lường Chất lượng .
4. Trong thời hạn bị đình chỉ và sau khi đã hoàn thành việc khắc phục hậu quả, cơ sở bị đình chỉ có quyền lập một (01) bộ hồ sơ đề nghị bãi bỏ hiệu lực của thông báo đình chỉ gửi trực tiếp hoặc qua đường bưu điện đến cơ quan chứng nhận. Bộ hồ sơ gồm: Công văn đề nghị bãi bỏ hiệu lực của thông báo đình chỉ; hồ sơ chứng minh đã hoàn thành việc khắc phục hậu quả.
5. Tùy từng trường hợp cụ thể, cơ quan chứng nhận quyết định kiểm tra trên hồ sơ hoặc kiểm tra tại cơ sở về nội dung đã khắc phục hậu quả và xử lý hồ sơ theo quy định tại Điều 18 của Thông tư này.
6. Thông báo hủy bỏ hiệu lực được gửi cho cơ sở được chứng nhận, Tổng cục Tiêu chuẩn Đo lường Chất lượng hoặc Chi cục Tiêu chuẩn Đo lường Chất lượng nơi cơ sở được chứng nhận thực hiện sản xuất, nhập khẩu hàng đóng gói sẵn và được đăng tải trên Cổng thông tin điện tử của Tổng cục Tiêu chuẩn Đo lường Chất lượng .
7. Thông báo đình chỉ, thông báo hủy bỏ hiệu lực và các hồ sơ liên quan được lưu giữ theo quy định tại Điều 21 của Thông tư này.
Điều 24. Hủy bỏ hiệu lực của giấy chứng nhận
1. Hủy bỏ hiệu lực của giấy chứng nhận được áp dụng đối với các trường hợp sau đây:
a) Cơ sở vi phạm nghiêm trọng quy định tại Điều 25 của Thông tư này;
b) Cơ sở bị đình chỉ không hoàn thành việc khắc phục hậu quả trong thời hạn bị đình chỉ ghi trong thông báo đình chỉ;
c) Cơ sở được chứng nhận có văn bản đề nghị không tiếp tục sử dụng dấu định lượng trong phạm vi đã được chứng nhận;
d) Cơ sở được chứng nhận bị phá sản, giải thể theo quy định của pháp luật.
2. Tùy từng trường hợp cụ thể, cơ quan chứng nhận ra quyết định hủy bỏ hiệu lực một phần hoặc toàn bộ giấy chứng nhận đã cấp (gọi tắt là quyết định hủy bỏ hiệu lực).
3. Quyết định hủy bỏ hiệu lực được gửi cho cơ sở được chứng nhận, Tổng cục Tiêu chuẩn Đo lường Chất lượng hoặc Chi cục Tiêu chuẩn Đo lường Chất lượng nơi cơ sở được chứng nhận thực hiện sản xuất, nhập khẩu hàng đóng gói sẵn và được đăng tải trên Cổng thông tin điện tử của Tổng cục Tiêu chuẩn Đo lường Chất lượng .
Chương V
TRÁCH NHIỆM CỦA CƠ QUAN, TỔ CHỨC, CÁ NHÂN
Điều 25. Trách nhiệm của tổ chức, cá nhân sản xuất, nhập khẩu, lưu thông, buôn bán hàng đóng gói sẵn
1. Trách nhiệm của tổ chức, cá nhân sản xuất, nhập khẩu hàng đóng gói sẵn:
a) Duy trì các yêu cầu quy định tương ứng tại Điều 10, Điều 11 của Thông tư này;
b) Thông tin trung thực về lượng của hàng đóng gói sẵn;
c) Thông báo với khách hàng, người sử dụng về điều kiện phải thực hiện khi vận chuyển, lưu giữ, bảo quản, sử dụng hàng đóng gói sẵn;
d) Bảo đảm lượng của hàng đóng gói sẵn đáp ứng yêu cầu kỹ thuật đo lường theo quy định tại Thông tư này;
đ) Khi tiếp nhận thông báo của tổ chức, cá nhân khác hoặc tự phát hiện sự không phù hợp của hàng đóng gói sẵn do cơ sở sản xuất, nhập khẩu so với yêu cầu kỹ thuật đo lường, cơ sở tiến hành các biện pháp khắc phục đồng thời thông báo với các cơ quan nhà nước về đo lường có thẩm quyền về sự không phù hợp, biện pháp khắc phục và kết quả khắc phục sự không phù hợp;
e) Thực hiện chứng nhận, duy trì điều kiện và việc sử dụng, thể hiện dấu định lượng trên nhãn hàng đóng gói sẵn nhóm 2 theo quy định tại Thông tư này;
g) Chấp hành việc thanh tra, kiểm tra nhà nước về đo lường của cơ quan, người có thẩm quyền;
h) Định kỳ hằng năm trước ngày 31 tháng 01 hoặc đột xuất khi có yêu cầu của cơ quan nhà nước có thẩm quyền, cơ sở lập báo cáo tình hình sử dụng dấu định lượng trên nhãn hàng đóng gói sẵn (theo Mẫu 3.BCTH tại Phụ lục V ban hành kèm theo Thông tư này) gửi về Chi cục Tiêu chuẩn Đo lường Chất lượng đã tiếp nhận công bố hoặc cơ quan đã cấp giấy chứng nhận đủ điều kiện sử dụng dấu định lượng cho cơ sở.
2. Trách nhiệm của tổ chức, cá nhân lưu thông, buôn bán hàng đóng gói sẵn:
a) Thông tin trung thực về lượng của hàng đóng gói sẵn;
b) Thông báo với khách hàng, người sử dụng về điều kiện phải thực hiện khi vận chuyển, lưu giữ, bảo quản, sử dụng hàng đóng gói sẵn;
c) Tiếp nhận kiến nghị của khách hàng về sự không phù hợp của hàng đóng gói sẵn so với yêu cầu kỹ thuật đo lường và thông báo kịp thời tới cơ sở sản xuất, nhập khẩu hàng đóng gói sẵn đó;
d) Chỉ được lưu thông, buôn bán hàng đóng gói sẵn bảo đảm yêu cầu kỹ thuật đo lường. Đối với hàng đóng gói sẵn nhóm 2 phải có dấu định lượng theo quy định của Thông tư này;
đ) Chấp hành việc thanh tra, kiểm tra nhà nước về đo lường của cơ quan, người có thẩm quyền.
Điều 26. Trách nhiệm của Tổng cục Tiêu chuẩn Đo lường Chất lượng
1. Cấp giấy chứng nhận đủ điều kiện sử dụng dấu định lượng trên nhãn hàng đóng gói sẵn theo quy định của Thông tư này.
2. Ban hành hướng dẫn phương pháp, phương tiện đánh giá, trình tự đánh giá của đoàn đánh giá tại chỗ, văn bản kỹ thuật đo lường Việt Nam, phê duyệt chương trình đào tạo, tài liệu đào tạo và tổ chức đào tạo nghiệp vụ đánh giá về đo lường đối với lượng của hàng đóng gói sẵn.
3. Kiểm tra nhà nước về đo lường đối với lượng của hàng đóng gói sẵn trong phạm vi trách nhiệm quy định của pháp luật về đo lường.
4. Hướng dẫn chuyên môn nghiệp vụ kiểm tra, đánh giá về đo lường đối với lượng của hàng đóng gói sẵn; thông tin, tuyên truyền các quy định của Thông tư này cho các tổ chức, cá nhân có liên quan.
5. Định kỳ hai (02) năm một (01) lần hoặc đột xuất khi có yêu cầu của cơ quan nhà nước có thẩm quyền, thực hiện kiểm tra việc tiếp nhận công bố sử dụng dấu định lượng, việc cấp giấy chứng nhận đủ điều kiện sử dụng dấu định lượng trên nhãn hàng đóng gói sẵn của Chi cục Tiêu chuẩn Đo lường Chất lượng.
6. Thanh tra, giải quyết khiếu nại, tố cáo và xử lý vi phạm về đo lường theo quy định của pháp luật.
Điều 27. Trách nhiệm của Sở Khoa học và Công nghệ các tỉnh, thành phố trực thuộc Trung ương
1. Chỉ đạo Chi cục Tiêu chuẩn Đo lường Chất lượng thực hiện kiểm tra nhà nước về đo lường đối với lượng của hàng đóng gói sẵn trong phạm vi trách nhiệm được quy định tại Khoản 3 Điều 13 của Nghị định số 86/2012/NĐ-CP ngày 19/10/2012 của Chính phủ quy định chi tiết và hướng dẫn thi hành một số điều của Luật Đo lường và quy định tại Thông tư số 28/2013/TT-BKHCN ngày 17/12/2013 của Bộ trưởng Bộ Khoa học và Công nghệ quy định kiểm tra nhà nước về đo lường.
2. Chỉ đạo thanh tra, kiểm tra việc chấp hành pháp luật về đo lường trên địa bàn.
Điều 28. Trách nhiệm của Chi cục Tiêu chuẩn Đo lường Chất lượng các tỉnh, thành phố trực thuộc Trung ương
1. Tuyên truyền, phổ biến Thông tư này cho các tổ chức, cá nhân liên quan.
2. Tiếp nhận và xác nhận vào bản công bố sử dụng dấu định lượng, lập và ghi chép vào sổ theo dõi, quản lý tiếp nhận công bố; cấp giấy chứng nhận đủ điều kiện sử dụng dấu định lượng trên nhãn hàng đóng gói sẵn theo quy định tại Thông tư này.
3. Kiểm tra nhà nước về đo lường đối với lượng của hàng đóng gói sẵn trên địa bàn theo quy định của pháp luật về đo lường.
4. Phối hợp thanh tra, giải quyết khiếu nại, tố cáo và xử lý vi phạm về đo lường theo quy định của pháp luật.
5. Định kỳ hằng năm trước ngày 31 tháng 3 hoặc đột xuất khi có yêu cầu của cơ quan nhà nước có thẩm quyền, tổng hợp báo cáo Tổng cục Tiêu chuẩn Đo lường Chất lượng về kết quả hoạt động tiếp nhận công bố, chứng nhận đủ điều kiện sử dụng dấu định lượng trên nhãn hàng đóng gói sẵn; tình hình và kết quả kiểm tra lượng của hàng đóng gói sẵn trên địa bàn.
Chương VI
ĐIỀU KHOẢN THI HÀNH
Điều 29. Hiệu lực thi hành
1. Thông tư này có hiệu lực thi hành kể từ ngày 30 tháng 8 năm 2014.
2. Bãi bỏ hiệu lực của các văn bản quy phạm pháp luật sau đây:
a) Quyết định số 02/2008/QĐ-BKHCN ngày 25 tháng 02 năm 2008 của Bộ trưởng Bộ Khoa học và Công nghệ ban hành “Quy định về việc kiểm tra đo lường đối với hàng đóng gói sẵn theo định lượng”;
b) Quyết định số 07/2008/QĐ-BKHCN ngày 8 tháng 7 năm 2008 của Bộ trưởng Bộ Khoa học và Công nghệ ban hành “Danh mục hàng đóng gói sẵn phải quản lý nhà nước về đo lường”.
Điều 30. Tổ chức thực hiện
1. Tổng cục trưởng Tổng cục Tiêu chuẩn Đo lường Chất lượng chịu trách nhiệm hướng dẫn và tổ chức thực hiện Thông tư này.
2. Thủ trưởng cơ quan nhà nước, tổ chức và cá nhân liên quan chịu trách nhiệm thi hành Thông tư này.
3. Trong quá trình tổ chức thực hiện, nếu có vấn đề phát sinh hoặc khó khăn, vướng mắc, đề nghị phản ánh kịp thời bằng văn bản về Bộ Khoa học và Công nghệ để nghiên cứu, sửa đổi, bổ sung cho phù hợp./.
|
Nơi nhận: |
KT. BỘ TRƯỞNG |
PHỤ LỤC I
GHI ĐƠN VỊ ĐO
(Ban hành kèm theo Thông tư số 21/2014/TT-BKHCN ngày 15 tháng 7 năm 2014
của Bộ trưởng Bộ Khoa học và Công nghệ)
|
Lượng danh định (Qn) |
Ghi đơn vị đo |
|
|
Giá trị |
Theo đơn vị đo |
|
|
Qn < 1 g |
Khối lượng |
mg |
|
1 g £ Qn < 1000 g |
g |
|
|
Qn ³ 1000 g |
kg |
|
|
Qn £ 999 mL |
Thể tích (lỏng) |
mL (ml) hoặc cL (cl) |
|
Qn ³ 1L |
L (l) |
|
|
Qn ≤ 1000 cm3 (1 dm3) |
Thể tích (rắn) |
cm3, mL (ml) |
|
1 dm3 < Qn < 1000 dm3 |
dm3, L (l) |
|
|
Qn ³ 1000 dm3 |
m3 |
|
|
Qn < 1 mm |
Chiều dài |
mm hoặc mm |
|
1 mm £ Qn < 100 cm |
mm hoặc cm |
|
|
Qn ³ 100 cm |
m |
|
|
Qn < 100 cm2 (1 dm2) |
Diện tích |
mm2 hoặc cm2 |
|
1 dm2 £ Qn < 100 dm2 (1 m2) |
dm2 |
|
|
Qn ³ 1 m2 |
m2 |
|
PHỤ LỤC II
CHIỀU CAO TỐI THIỂU CỦA CHỮ VÀ SỐ
(Ban hành kèm theo Thông tư số 21/2014/TT-BKHCN ngày 15 tháng 7 năm 2014
của Bộ trưởng Bộ Khoa học và Công nghệ)
|
Lượng danh định (Qn) |
Chiều cao tối thiểu của chữ và số |
|
Theo đơn vị đo g (hoặc mL) |
|
|
Đến 50 |
2 |
|
Trên 50 đến 200 |
3 |
|
Trên 200 đến 1000 |
4 |
|
Theo đơn vị đo kg (hoặc L) |
|
|
Trên 1 |
6 |
|
Theo đơn vị đo chiều dài, diện tích, số đếm |
2 |
PHỤ LỤC III
CÔNG THỨC TÍNH s VÀ HỆ SỐ HIỆU CHÍNH k
(Ban hành kèm theo Thông tư số 21/2014/TT-BKHCN ngày 15 tháng 7 năm 2014 của Bộ trưởng Bộ Khoa học và Công nghệ)
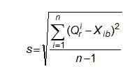
1. Công thức tính s
Độ lệch bình phương trung bình của lượng thực s được tính theo công thức sau:

Với Qir là lượng thực của đơn vị hàng đóng gói sẵn thứ i (i = 1,2,...,n);
2. Hệ số hiệu chính k
Hệ số hiệu chính k được chọn tương ứng với cỡ lô (N), cỡ mẫu n, nơi lấy mẫu, đơn vị đo (khối lượng, thể tích, chiều dài, diện tích hoặc số đếm) và được xác định như sau:
+ Trường hợp lấy mẫu hàng đóng gói sẵn định lượng theo đơn vị đo khối lượng, thể tích tại nơi sản xuất, nhập khẩu, lưu thông, buôn bán, hệ số hiệu chính k được chọn theo Bảng 1.
Bảng 1
|
Cỡ lô (N) |
Cỡ mẫu (n) |
Hệ số hiệu chính (k) |
Số lượng đơn vị hàng đóng gói sẵn không phù hợp cho phép (m) |
|
Từ 1 đến 10 |
N |
- |
- |
|
Từ 11 đến 50 |
10 |
1,028 |
0 |
|
Từ 51 đến 99 |
13 |
0,848 |
1 |
|
Từ 100 đến 500 |
50 |
0,379 |
3 |
|
Từ 501 đến 3 200 |
80 |
0,295 |
5 |
|
Trên 3 200 |
125 |
0,234 |
7 |
+ Trường hợp lấy mẫu hàng đóng gói sẵn định lượng theo đơn vị đo chiều dài, diện tích hoặc số đếm tại nơi sản xuất, nhập khẩu, lưu thông, buôn bán, hệ số hiệu chính k được chọn theo Bảng 2.
Bảng 2
|
Cỡ lô (N) |
Cỡ mẫu (n) |
Hệ số hiệu chính (k) |
Số lượng đơn vị hàng đóng gói sẵn không phù hợp cho phép (m) |
|
1 đến 25 |
N |
- |
- |
|
26 đến 50 |
3 |
1,00 |
0 |
|
51 đến 150 |
5 |
0,35 |
0 |
|
151 đến 500 |
8 |
0,20 |
1 |
|
501 đến 3 200 |
13 |
0,15 |
1 |
|
Trên 3 200 |
20 |
0,10 |
1 |
+ Trường hợp lấy mẫu hàng đóng gói sẵn định lượng theo đơn vị đo khối lượng, thể tích tại nơi nhập khẩu, lưu thông, buôn bán và cần phải phá bao bì của hàng đóng gói sẵn đó, hệ số hiệu chính k được chọn theo Bảng 3.
Bảng 3
|
Cỡ lô (N) |
Cỡ mẫu (n) |
Hệ số hiệu chính (k) |
Số đơn vị hàng đóng gói sẵn không phù hợp cho phép (m) |
|
Từ 100 trở lên |
20 |
0,640 |
1 |
PHỤ LỤC IV
LƯỢNG THIẾU CHO PHÉP T
(Ban hành kèm theo Thông tư số 21/2014/TT-BKHCN ngày 15 tháng 7 năm 2014 của Bộ trưởng Bộ Khoa học và Công nghệ)
|
TT |
Lượng danh định (Qn) |
Lượng thiếu cho phép T |
|
|
1 |
theo đơn vị đo khối lượng |
T (1) |
|
|
theo % của Qn |
theo g |
||
|
Lớn hơn 0 đến 5 (2) |
- |
- |
|
|
Trên 5 đến 50 |
9 |
- |
|
|
Trên 50 đến 100 |
- |
4,5 |
|
|
Trên 100 đến 200 |
4,5 |
- |
|
|
Trên 200 đến 300 |
- |
9 |
|
|
Trên 300 đến 500 |
3 |
- |
|
|
Trên 500 đến 1 000 |
- |
15 |
|
|
Trên 1 000 đến 10 000 |
1,5 |
- |
|
|
Trên 10 000 đến 15 000 |
- |
150 |
|
|
Trên 15 000 |
1,0 |
- |
|
|
2 |
theo đơn vị đo chiều dài (m) |
theo % của Qn |
|
|
Qn £ 5 |
Không cho phép có đơn vị hàng đóng gói sẵn không phù hợp |
||
|
Qn > 5 |
2 |
||
|
3 |
theo đơn vị đo diện tích (m2) |
theo % của Qn |
|
|
Tất cả Qn |
3 |
||
|
4 |
theo số đếm (cái, chiếc...) |
theo % của Qn |
|
|
Qn £ 50 |
Không cho phép có đơn vị hàng đóng gói sẵn không phù hợp |
||
|
Qn > 50 |
1(3) |
||
Ghi chú:
(1): Đối với mục 1 trong Bảng nêu trên, T được làm tròn lên đến phần mười tiếp theo của g (hoặc mL) đối với Qn £ 1000 g (hoặc 1000 mL) và đến hàng đơn vị tiếp theo của g (hoặc mL) đối với Qn > 1000 g (hoặc 1000 mL);
(2): Chỉ phải thỏa mãn yêu cầu về giá trị trung bình Xtb;
(3): T được làm tròn lên đến số nguyên tiếp theo.
PHỤ LỤC V
CÁC MẪU BIỂU
(Ban hành kèm theo Thông tư số 21/2014/TT-BKHCN ngày 15 tháng 7 năm 2014
của Bộ trưởng Bộ Khoa học và Công nghệ)
1. Mẫu 1. CBDĐL: Bản công bố sử dụng dấu định lượng trên nhãn hàng đóng gói sẵn.
2. Mẫu 2. ĐNCN: Đề nghị chứng nhận đủ điều kiện sử dụng dấu định lượng trên nhãn hàng đóng gói sẵn.
3. Mẫu 3. BCTH: Báo cáo tình hình sử dụng dấu định lượng trên nhãn hàng đóng gói sẵn.
4. Mẫu 4. GCN: Giấy chứng nhận đủ điều kiện sử dụng dấu định lượng trên nhãn hàng đóng gói sẵn.
Mẫu 1. CBDĐL
21/2014/TT-BKHCN
|
CỘNG HÒA XÃ HỘI CHỦ NGHĨA VIỆT NAM BẢN CÔNG BỐ SỬ DỤNG DẤU ĐỊNH LƯỢNG Số: ……………… Tên cơ sở sản xuất, nhập khẩu: Địa chỉ trụ sở chính: Điện thoại: ………………………; Fax: ……………………; Email: …………………………… Địa chỉ văn phòng giao dịch (nếu có): …………………………………………………………… Địa chỉ nơi sản xuất (nếu khác với trụ sở chính) hoặc nơi nhập khẩu: ……………………… ……………………………………………………………………………………………………….. CÔNG BỐ Sử dụng dấu định lượng “V” trên nhãn hàng đóng gói sẵn sau đây:
Ghi chú: Bản công bố này gồm 02 bản, Cơ sở giữ 01 bản và Chi cục lưu 01 bản.
|
Mẫu 2. ĐNCN
21/2014/TT-BKHCN
|
TÊN CƠ QUAN CHỦ QUẢN |
CỘNG HÒA XÃ HỘI CHỦ NGHĨA VIỆT NAM |
|
Số: ………. |
……….., ngày tháng năm 20… |
ĐỀ NGHỊ CHỨNG NHẬN ĐỦ ĐIỀU KIỆN SỬ DỤNG DẤU ĐỊNH LƯỢNG
TRÊN NHÃN HÀNG ĐÓNG GÓI SẴN
Kính gửi: (Tên cơ quan chứng nhận)
1. Cơ sở đề nghị: …………………. (tên cơ sở đề nghị) ………………………………….. thuộc: ………………………………………………………………………………………………………
- Địa chỉ trụ sở chính([1]): ………………………………………………………………………………..
- Điện thoại: ……………………………………………………………………………………………
- Fax: ………………………………………..; E-mail: ………………………………………………..
- Địa chỉ văn phòng giao dịch (nếu có): …………………………………………………………….
- Địa chỉ nơi sản xuất (nếu khác với trụ sở chính) hoặc nơi nhập khẩu: .....................................
- Đăng ký kinh doanh số…………... Ngày cấp …………… Nơi cấp …………………..
2. Đề nghị chứng nhận đủ điều kiện sử dụng dấu định lượng trên nhãn hàng đóng gói sẵn sau đây khi (sản xuất hoặc nhập khẩu) ([2]):
|
TT |
Tên hàng đóng gói sẵn |
Lượng danh định (Qn) |
Khối lượng bao bì |
Ghi chú |
|
|
|
|
|
|
3. Danh sách phương tiện đo dùng để xác định lượng của hàng đóng gói sẵn:
|
TT |
Tên thiết bị, phương tiện đo |
Nơi sản xuất |
Số sản xuất |
Phạm vi đo |
Cấp/độ chính xác |
Nơi KĐ/HC |
Hiệu lực KĐ/HC đến |
|
|
|
|
|
|
|
|
|
4. Mặt bằng làm việc và điều kiện môi trường:
Tổng diện tích dùng cho đóng gói, xác định lượng hàng đóng gói sẵn: ………………………..
Điều kiện môi trường: (nhiệt độ, độ ẩm,...)
Các điều kiện khác: (nếu có)
5. Danh sách nhân viên kỹ thuật
|
TT |
Họ và tên |
Năm sinh |
Trình độ học vấn |
Kinh nghiệm công tác |
Ghi chú |
|
|
|
|
|
|
|
6. (Tên cơ sở đề nghị) cam kết bảo đảm lượng của hàng đóng gói sẵn phù hợp với các yêu cầu kỹ thuật đo lường và chấp hành đầy đủ các quy định về việc chứng nhận đủ điều kiện sử dụng dấu định lượng trên nhãn hàng đóng gói sẵn theo Thông tư số 21/2014/TT-BKHCN./.
Hồ sơ kèm theo:
Bản sao (có xác nhận sao y bản chính của cơ sở) giấy chứng nhận hiệu chuẩn, kiểm định của phương tiện đo, thiết bị định lượng.
|
|
Người đứng đầu cơ sở đề nghị |
([1]): Ghi rõ theo đăng ký kinh doanh hoặc quyết định thành lập.
([2]): Ghi rõ sản xuất hoặc nhập khẩu.
Mẫu 3. BCTH
21/2014/TT-BKHCN
|
TÊN CƠ QUAN CHỦ QUẢN |
CỘNG HÒA XÃ HỘI CHỦ NGHĨA VIỆT NAM |
|
Số: …….. |
………, ngày … tháng … năm 20… |
BÁO CÁO
TÌNH HÌNH SỬ DỤNG DẤU ĐỊNH LƯỢNG TRÊN NHÃN HÀNG ĐÓNG GÓI SẴN
(Thời gian từ ngày…… đến ngày……)
Kính gửi: …………………… (1) …………………..
Tên cơ sở lập báo cáo: ………………. (tên cơ sở) ………………………………………………
Địa chỉ trụ sở chính: …………………………………………………………………………………
Điện thoại: …………………… Fax: …………………. Email: ……………………………………
Địa chỉ văn phòng giao dịch (nếu có): ……………………………………………………………..
Địa chỉ nơi sản xuất (nếu khác với trụ sở chính): ………………………………………………..
Số tiếp nhận công bố (2):
Giấy chứng nhận số (3): ……… ngày ... tháng ... năm … do ...(tên cơ quan cấp giấy chứng nhận)... cấp. Thời hạn hiệu lực đến: ………………………………………………………………..
1. Sử dụng dấu định lượng trên nhãn hàng đóng gói sẵn:
|
TT |
Tên hàng đóng gói sẵn |
Lượng danh định (Qn) |
Khối lượng bao bì |
Số lượng sản xuất/ nhập khẩu |
Số lượng đã bán |
Số lượng tồn kho |
|
|
|
|
|
|
|
|
2. Chấp hành việc thanh tra, kiểm tra:
Biên bản kiểm tra, thanh tra trong thời hạn báo cáo (nếu có): …………………………
3. Tình hình giải quyết khiếu nại, tố cáo (nếu có): ……………………………………………..
4. Kiến nghị: …………………………………………………………………………………………..
|
Nơi nhận: |
Người đứng đầu cơ sở |
(1): Ghi tên cơ quan tiếp nhận công bố hoặc cơ quan chứng nhận.
(2): Áp dụng đối với cơ sở đã được tiếp nhận công bố.
(3): Áp dụng đối với cơ sở đã được cấp giấy chứng nhận đủ điều kiện sử dụng dấu định lượng.
Mẫu 4. QĐCN
21/2014/TT-BKHCN
|
TÊN CƠ QUAN CHỦ QUẢN Số: /GCN-.(1).. |
CỘNG HÒA XÃ HỘI CHỦ NGHĨA VIỆT NAM ………, ngày … tháng … năm … |
GIẤY CHỨNG NHẬN ĐỦ ĐIỀU KIỆN SỬ DỤNG DẤU ĐỊNH LƯỢNG
TRÊN NHÃN HÀNG ĐÓNG GÓI SẴN
Căn cứ Luật Đo lường ngày 11 tháng 11 năm 2011;
Căn cứ ..(2)..;
Căn cứ Thông tư số 21/2014/TT-BKHCN ngày 15 tháng 7 năm 2014 của Bộ trưởng Bộ Khoa học và Công nghệ quy định về đo lường đối với lượng của hàng đóng gói sẵn;
Xét đề nghị của ...(3)….,
(Tên cơ quan chứng nhận) chứng nhận:
1. Tên cơ sở đề nghị: …………………………………………………………………………………..
Địa chỉ trụ sở chính: …………………………………………………………………………………….
Điện thoại: ………………………; Fax: ……………………..; E-mail: ……………………………….
Địa chỉ văn phòng giao dịch (nếu có): ………………………………………………………………..
Địa chỉ nơi sản xuất (nếu khác với trụ sở chính) hoặc nơi nhập khẩu: …………………………..
Đủ điều kiện sử dụng dấu định lượng "V" trên nhãn hàng đóng gói sẵn sau đây:
|
TT |
Tên hàng đóng gói sẵn |
Lượng danh định (Qn) |
Khối lượng bao bì |
Ghi chú |
|
|
|
|
|
|
2. Giấy chứng nhận này có hiệu lực đến hết ngày ..../..../20....
|
Nơi nhận: |
Thủ trưởng cơ quan chứng nhận |
(1): Ký hiệu cơ quan chứng nhận.
(2): Văn bản quy định chức năng, nhiệm vụ, quyền hạn của cơ quan chứng nhận.
(3): Thủ trưởng đơn vị được giao xử lý.
Bạn chưa Đăng nhập thành viên.
Đây là tiện ích dành cho tài khoản thành viên. Vui lòng Đăng nhập để xem chi tiết. Nếu chưa có tài khoản, vui lòng Đăng ký tại đây!
Bạn chưa Đăng nhập thành viên.
Đây là tiện ích dành cho tài khoản thành viên. Vui lòng Đăng nhập để xem chi tiết. Nếu chưa có tài khoản, vui lòng Đăng ký tại đây!