- Tổng quan
- Nội dung
- VB gốc
- Tiếng Anh
- Hiệu lực
- VB liên quan
- Lược đồ
-
Nội dung hợp nhất
Tính năng này chỉ có tại LuatVietnam.vn. Nội dung hợp nhất tổng hợp lại tất cả các quy định còn hiệu lực của văn bản gốc và các văn bản sửa đổi, bổ sung, đính chính... trên một trang. Việc hợp nhất văn bản gốc và những văn bản, Thông tư, Nghị định hướng dẫn khác không làm thay đổi thứ tự điều khoản, nội dung.
Khách hàng chỉ cần xem Nội dung hợp nhất là có thể nắm bắt toàn bộ quy định hiện hành đang áp dụng, cho dù văn bản gốc đã qua nhiều lần chỉnh sửa, bổ sung.
- Tải về
Quyết định 02/2008/QĐ-BKHCN của Bộ Khoa học và Công nghệ ban hành “Quy định về việc kiểm tra đo lường đối với hàng đóng gói sẵn theo định lượng”
| Cơ quan ban hành: | Bộ Khoa học và Công nghệ |
Số công báo:
Số công báo là mã số ấn phẩm được đăng chính thức trên ấn phẩm thông tin của Nhà nước. Mã số này do Chính phủ thống nhất quản lý.
|
Đã biết
|
| Số hiệu: | 02/2008/QĐ-BKHCN | Ngày đăng công báo: |
Đã biết
|
| Loại văn bản: | Quyết định | Người ký: | Trần Quốc Thắng |
|
Ngày ban hành:
Ngày ban hành là ngày, tháng, năm văn bản được thông qua hoặc ký ban hành.
|
25/02/2008 |
Ngày hết hiệu lực:
Ngày hết hiệu lực là ngày, tháng, năm văn bản chính thức không còn hiệu lực (áp dụng).
|
Đã biết
|
|
Áp dụng:
Ngày áp dụng là ngày, tháng, năm văn bản chính thức có hiệu lực (áp dụng).
|
Đã biết
|
Tình trạng hiệu lực:
Cho biết trạng thái hiệu lực của văn bản đang tra cứu: Chưa áp dụng, Còn hiệu lực, Hết hiệu lực, Hết hiệu lực 1 phần; Đã sửa đổi, Đính chính hay Không còn phù hợp,...
|
Đã biết
|
| Lĩnh vực: | Khoa học-Công nghệ |
TÓM TẮT QUYẾT ĐỊNH 02/2008/QĐ-BKHCN
Nội dung tóm tắt đang được cập nhật, Quý khách vui lòng quay lại sau!
Tải Quyết định 02/2008/QĐ-BKHCN
QUYẾT ĐỊNH
CỦA BỘ KHOA HỌC VÀ CÔNG NGHỆ SỐ 02/2008/QĐ-BKHCN
NGÀY 25 THÁNG 02 NĂM 2008
BAN HÀNH “QUY ĐỊNH VỀ VIỆC KIỂM TRA ĐO LƯỜNG
ĐỐI VỚI HÀNG ĐÓNG GÓI SẴN THEO ĐỊNH LƯỢNG”
BỘ TRƯỞNG
BỘ KHOA HỌC VÀ CÔNG NGHỆ
Căn cứ Pháp lệnh Đo lường ngày 06 tháng 10 năm 1999
Căn cứ Nghị định số 54/2003/NĐ-CP ngày 19 tháng 5 năm 2003 của Chính phủ quy định chức năng, nhiệm vụ, quyền hạn và cơ cấu tổ chức của Bộ Khoa học và Công nghệ và Nghị định số 28/2004/NĐ-CP ngày 16 tháng 01 năm 2004 của Chính phủ sửa đổi, bổ sung một số điều của Nghị định 54/2003/NĐ-CP;
Xét đề nghị của Tổng cục trưởng Tổng cục Tiêu chuẩn Đo lường Chất lượng;
QUYẾT ĐỊNH:
Điều 1. Ban hành kèm theo Quyết định này “Quy định về kiểm tra đo lường đối với hàng đóng gói sẵn theo định lượng”.
Điều 2. Quyết định này có hiệu lực sau 15 ngày kể từ ngày đăng Công báo và thay thế Quyết định số 30/2002/QĐ-BKHCNMT ngày 17/5/2002 của Bộ trưởng Bộ Khoa học, Công nghệ và Môi trường (nay là Bộ Khoa học và Công nghệ).
Điều 3. Tổng cục Tiêu chuẩn Đo lường Chất lượng, Chi cục Tiêu chuẩn Đo lường Chất lượng các tỉnh, thành phố trực thuộc Trung ương và các tổ chức, cá nhân có liên quan chịu thi hành Quyết định này./.
KT. BỘ TRƯỞNG
THỨ TRƯỞNG
Trần Quốc Thắng
QUY ĐỊNH
Về việc kiểm tra đo lường đối với hàng đóng gói sẵn theo định lượng
(Ban hành kèm theo Quyết định số 02/2008/QĐ - BKHCN
ngày 25 tháng 02 năm 2008 của Bộ trưởng Bộ Khoa học và Công nghệ)
Chương I
QUY ĐỊNH CHUNG
Điều 1. Phạm vi điều chỉnh
Văn bản này quy định về việc kiểm tra đo lường đối với hàng đóng gói sẵn theo định lượng thuộc Danh mục hàng đóng gói sẵn phải quản lý nhà nước về đo lường do Bộ Khoa học và Công nghệ ban hành (sau đây viết tắt là hàng đóng gói sẵn); trách nhiệm của cơ quan, tổ chức, cá nhân liên quan đến việc kiểm tra đo lường đối với hàng đóng gói sẵn.
Điều 2. Giải thích từ ngữ
Trong văn bản này, các từ ngữ dưới đây được hiểu như sau:
1. Hàng đóng gói sẵn là hàng hoá được định lượng, đóng gói và ghi định lượng trên nhãn hàng hoá theo đơn vị đo khối lượng, thể tích, chiều dài, diện tích hoặc theo số đếm không có sự chứng kiến của khách hàng.
2. Bao bì là vật liệu để bao gói phía ngoài hàng đóng gói sẵn.
3. Đơn vị hàng đóng gói sẵn là tập hợp gồm một (01) bao bì và lượng hàng hóa chứa trong bao bì này.
4. Lượng danh định (Qn) là lượng hàng đóng gói sẵn được ghi trên nhãn hàng hóa.
5. Lượng thực (Qr) là lượng hàng đóng gói sẵn chứa trong bao bì và được xác định thông qua kiểm tra đo lường.
6. Lượng tối thiểu cho phép (Qmin) là hiệu số giữa lượng danh định (Qn) và lượng thiếu cho phép (T).
Qmin = Qn - T
Trong đó, lượng thiếu cho phép (T) được quy định tại Bảng 1 của Quy định này.
7. Đơn vị hàng đóng gói sẵn không phù hợp là đơn vị hàng đóng gói sẵn có lượng thực (Qr) nhỏ hơn lượng tối thiểu cho phép (Qmin).
8. Lô hàng đóng gói sẵn được kiểm tra (gọi tắt là lô kiểm tra) là tập hợp các đơn vị hàng đóng gói sẵn giống nhau được sản xuất, sang bao (chai), đóng gói, nhập khẩu, lưu thông, buôn bán với cùng một lượng danh định trong cùng một khoảng thời gian, dưới những điều kiện như nhau mà từ đó hàng đóng gói sẵn được lấy ra để tiến hành kiểm tra đo lường.
9. Cỡ lô (N) là con số chỉ tổng số đơn vị hàng đóng gói sẵn trong lô kiểm tra.
Tại nơi sản xuất, sang bao (chai), đóng gói (sau đây gọi chung là sản xuất), cỡ lô được tính bằng sản lượng đóng gói trong một giờ.
Tại nơi nhập khẩu, trong lưu thông, buôn bán, cỡ lô được tính theo từng đợt nhập hàng, nhưng không quá mười nghìn (10 000).
10. Dung môi lỏng là chất lỏng được chứa cùng với hàng đóng gói sẵn.
11. Lượng ráo nước là lượng thực của hàng đóng gói sẵn trong dung môi lỏng.
Điều 3. Trách nhiệm của tổ chức, cá nhân sản xuất, nhập khẩu, lưu thông, buôn bán hàng đóng gói sẵn
Tổ chức, cá nhân sản xuất, nhập khẩu, lưu thông, buôn bán hàng đóng gói sẵn (sau đây viết tắt là Cơ sở) chịu trách nhiệm đảm bảo hàng đóng gói sẵn theo đúng yêu cầu đo lường của Quy định này và chịu sự kiểm tra, thanh tra về đo lường của cơ quan nhà nước có thẩm quyền quy định tại các Điều 22, 23 và 24 Nghị định 06/2002/NĐ-CP ngày 14/01/2002 của Chính phủ quy định chi tiết thi hành Pháp lệnh đo lường.
Điều 4. Kiểm tra nhà nước về đo lường
1. Kiểm tra nhà nước về đo lường đối với hàng đóng gói sẵn theo định lượng bao gồm kiểm tra việc ghi định lượng trên nhãn hàng hoá và kiểm tra theo các yêu cầu về đo lường đối với hàng đóng gói sẵn quy định tại Chương II của Quy định này. Việc kiểm tra do Tổng cục Tiêu chuẩn Đo lường Chất lượng, Chi cục Tiêu chuẩn Đo lường Chất lượng tỉnh, thành phố trực thuộc trung ương chủ trì, phối hợp với các cơ quan có liên quan thuộc các Bộ, ngành, địa phương thực hiện.
2. Thanh tra Khoa học và Công nghệ các cấp thực hiện việc kiểm tra, thanh tra về đo lường đối với hàng đóng gói sẵn và xử lý vi phạm theo thẩm quyền.
Điều 5. Trách nhiệm của cơ quan thực hiện việc kiểm tra về đo lường đối với hàng đóng gói sẵn
Trong phạm vi chức năng, nhiệm vụ và quyền hạn được giao, cơ quan thực hiện việc kiểm tra về đo lường đối với hàng đóng gói sẵn có trách nhiệm:
1. Thực hiện việc kiểm tra về đo lường đối với hàng đóng gói sẵn theo Quy định này.
2. Xử lý kịp thời, đúng thẩm quyền các hành vi vi phạm quy định về đo lường đối với hàng đóng gói sẵn.
3. Bảo đảm tính chính xác, khách quan, trung thực và không gây phiền hà cho Cơ sở.
Chương II
YÊU CẦU VỀ ĐO LUỜNG ĐỐI VỚI HÀNG ĐÓNG GÓI SẴN
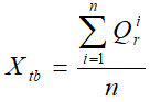
2. Trường hợp lô kiểm tra có cỡ lô lớn hơn hoặc bằng một trăm (N ≥ 100) quy định tại khoản 2 Điều 9 của Quy định này: Giá trị trung bình Xtb phải thoả mãn yêu cầu theo biểu thức sau:
Xtb ≥ Qn – k .s
Trong đó:
+ s là độ lệch bình phương trung bình của lượng thực, được tính theo công thức sau:

+ n là số lượng đơn vị hàng đóng gói phải kiểm tra;
+ k là hệ số hiệu chính.
Giá trị của n và k tương ứng với cỡ lô và trường hợp lấy mẫu được quy định tại Bảng 3, Bảng 4 của Quy định này.
Điều 7. Yêu cầu về số lượng đơn vị hàng đóng gói sẵn không phù hợp
1. Số lượng đơn vị hàng đóng gói sẵn không phù hợp không được vượt quá:
a) 2,5% cỡ lô đối với trường hợp lô kiểm tra có cỡ lô nhỏ hơn một trăm (N < 100);
b) Giá trị cho phép quy định tại Bảng 3 đối với trường hợp lấy mẫu tiêu chuẩn quy định tại điểm a khoản 2 Điều 9 của Quy định này;
c) Giá trị cho phép quy định tại Bảng 4 đối với trường hợp lấy mẫu rút gọn quy định tại điểm b khoản 2 Điều 9 của Quy định này.
2. Không được phép có bất kỳ đơn vị hàng đóng gói sẵn không phù hợp nào có lượng thiếu lớn hơn 2 lần lượng thiếu cho phép T quy định trong Bảng 1.
Bảng 1
|
TT |
Lượng định mức (Qn) |
Lượng thiếu cho phép T |
|
|---|---|---|---|
|
1 |
theo đơn vị đo khối lượng (hoặc thể tích) g (hoặc mL) |
T (a) |
|
|
theo % của Qn |
theo g (hoặc mL) |
||
|
Từ 0 đến 5 (b) |
- |
- |
|
|
Trên 5 đến 50 |
9 |
- |
|
|
Trên 50 đến 100 |
- |
4,5 |
|
|
Trên 100 đến 200 |
4,5 |
- |
|
|
Trên 200 đến 300 |
- |
9 |
|
|
Trên 300 đến 500 |
3 |
- |
|
|
Trên 500 đến 1 000 |
- |
15 |
|
|
Trên 1 000 đến 10 000 |
1,5 |
- |
|
|
Trên 10 000 đến 15 000 |
- |
150 |
|
|
Trên 15 000 đến 50 000 |
1,0 |
- |
|
|
2 |
theo đơn vị đo chiều dài (m) |
theo % của Qn |
|
|
Qn ≤ 5 |
Không cho phép có đơn vị hàng đóng gói sẵn không phù hợp |
||
|
Qn > 5 |
2 |
||
|
3 |
theo đơn vị đo diện tích (m2) |
theo % của Qn |
|
|
Tất cả Qn |
3 |
||
|
4 |
theo số đếm (cái, chiếc…) |
theo % của Qn |
|
|
Qn ≤ 50 |
Không cho phép có đơn vị hàng đóng gói sẵn không phù hợp |
||
|
Qn > 50 |
1(c) |
||
Ghi chú:
(a): T được làm tròn lên đến phần mười tiếp theo của g (hoặc mL) đối với Qn ≤ 1 000 g (hoặc mL) và đến hàng đơn vị tiếp theo của g (hoặc mL) đối với Qn > 1 000 g (hoặc mL);
(b): Chỉ phải thoả mãn yêu cầu về giá trị trung bình Xtb ;
(c): T được làm tròn lên đến số nguyên tiếp theo.
Chương III
PHƯƠNG PHÁP KIỂM TRA ĐO LƯỜNG
ĐỐI VỚI HÀNG ĐÓNG GÓI SẴN
Điều 8. Yêu cầu đối với phương tiện đo để kiểm tra
Phương tiện đo dùng để kiểm tra đo lường đối với hàng đóng gói sẵn phải được kiểm định và đảm bảo độ chính xác theo yêu cầu sau:
1. Cân dùng để kiểm tra đo lường đối với hàng đóng gói sẵn phải có phạm vi đo phù hợp với mức cân hàng đóng gói sẵn và phải có giá trị độ chia tương ứng mức cân này theo quy định tại Bảng 2.
Bảng 2
|
Mức cân (g) |
Giá trị độ chia d của cân không lớn hơn (g) |
|
< 25 |
0,01 |
|
Từ 25 đến < 1 000 |
0,1 |
|
Từ 1 000 đến < 5 000 |
1,0 |
|
Từ 5 000 đến < 10 000 |
2,0 |
|
Từ 10 000 đến < 50 000 |
5,0 |
|
Từ 50 000 trở lên |
10,0 |
2. Phương tiện đo khác dùng để kiểm tra hàng đóng gói sẵn phải có phạm vi đo thích hợp với giá trị đo và có sai số cho phép lớn nhất không quá 1/5 lượng thiếu cho phép T tương ứng quy định tại Bảng 1 của Quy định này.
Điều 9. Xác định số lượng đơn vị hàng đóng gói sẵn phải kiểm tra
1. Trường hợp lô kiểm tra có cỡ lô nhỏ hơn một trăm (N < 100):
Số lượng đơn vị hàng đóng gói sẵn phải kiểm tra bằng cỡ lô.
2. Trường hợp lô kiểm tra có cỡ lô lớn hơn hoặc bằng một trăm (N ≥ 100):
Số lượng đơn vị hàng đóng gói sẵn phải kiểm tra được xác định thông qua lấy mẫu, cụ thể như sau:
a) Lấy mẫu tiêu chuẩn: được thực hiện tại nơi sản xuất, nhập khẩu, trong lưu thông, buôn bán. Số lượng đơn vị hàng đóng gói sẵn phải kiểm tra quy định tại Bảng 3.
Bảng 3
|
Cỡ lô (N) |
Số lượng đơn vị hàng đóng gói sẵn phải kiểm tra (n) |
Số lượng đơn vị hàng đóng gói sẵn không phù hợp cho phép |
Hệ số hiệu chính (k) |
|
Từ 100 đến 500 |
50 |
3 |
0,379 |
|
501 đến 3 200 |
80 |
5 |
0,295 |
|
Trên 3 200 |
125 |
7 |
0,234 |
b) Lấy mẫu rút gọn: chỉ thực hiện tại nơi kinh doanh và khi cần phải phá bao bì của hàng đóng gói sẵn. Số lượng đơn vị hàng đóng gói sẵn phải kiểm tra quy định tại Bảng 4.
Bảng 4
|
Cỡ lô (N) |
Số lượng đơn vị hàng đóng gói sẵn phải kiểm tra (n) |
Số đơn vị hàng đóng gói sẵn không phù hợp cho phép |
Hệ số hiệu chính (k) |
|
Từ 100 trở lên |
20 |
1 |
0,640 |
Điều 10. Tiến hành kiểm tra đo lường đối với hàng đóng gói sẵn
1. Việc kiểm tra đo lường đối với hàng đóng gói sẵn tiến hành tại nơi chứa hàng đóng gói sẵn được sản xuất, nhập khẩu để đưa vào thị trường hoặc trong lưu thông, buôn bán.
2. Tiến hành xác định lô kiểm tra, cỡ lô, số lượng đơn vị hàng đóng gói sẵn phải kiểm tra. Lựa chọn mẫu Biên bản kiểm tra đo lường tương ứng với cỡ lô (N) quy định tại Phụ lục I ban hành kèm theo Quy định này.
3. Chuẩn bị các đơn vị hàng đóng gói sẵn để kiểm tra. Trường hợp cỡ lô lớn hơn hoặc bằng 100, việc lấy mẫu các đơn vị hàng đóng gói sẵn để kiểm tra phải đảm bảo nguyên tắc lấy mẫu ngẫu nhiên.
4. Xác định các thông số của lô kiểm tra, ghi vào ô tương ứng trong Biên bản kiểm tra đo lường.
5. Việc kiểm tra đo lường đối với hàng đóng gói sẵn phải tiến hành với phương tiện đo đảm bảo yêu cầu quy định tại Điều 8 của Quy định này.
6. Tiến hành xác định lượng thực của từng đơn vị hàng đóng gói sẵn phải kiểm tra, ghi kết quả vào ô tương ứng trong Biên bản kiểm tra đo lường.
Đối với hàng đóng gói sẵn định lượng theo đơn vị đo khối lượng, lượng thực được xác định theo “Trình tự xác định lượng thực của hàng đóng gói sẵn định lượng theo đơn vị đo khối lượng” quy định tại Phụ lục II ban hành kèm theo Quy định này.
Đối với hàng đóng gói sẵn trong dung môi lỏng, lượng ráo nước được xác định theo “Trình tự xác định lượng ráo nước của hàng đóng gói sẵn trong dung môi lỏng” quy định tại Phụ lục III ban hành kèm theo Quy định này.
Đối với hàng đóng gói sẵn đông lạnh, lượng thực được xác định theo “Trình tự xác định lượng thực của hàng đóng gói sẵn đông lạnh” quy định tại Phụ lục IV ban hành kèm theo Quy định này.
7. Tính toán, xử lý kết quả kiểm tra đo lường và ghi vào mục tương ứng trong Biên bản kiểm tra đo lường.
8. Căn cứ vào yêu cầu đo lường theo quy định tại Điều 6 và Điều 7 của Quy định này đối với lô kiểm tra, kết luận và ghi vào mục tương ứng trong Biên bản kiểm tra đo lường.
Chương IV
ĐIỀU KHOẢN THI HÀNH
Điều 11. Tổ chức thực hiện
1. Giao Tổng cục Tiêu chuẩn Đo lường Chất lượng hướng dẫn thực hiện Quy định này.
2. Trong quá trình thực hiện, nếu phát sinh những khó khăn, vướng mắc đề nghị phản ảnh về Bộ Khoa học và Công nghệ để xem xét, giải quyết./.
KT. BỘ TRƯỞNG
THỨ TRƯỞNG
Trần Quốc Thắng
Phụ lục I
BIÊN BẢN KIỂM TRA ĐO LƯỜNG
(Ban hành kèm theo Quyết định số 02/2008/QĐ-BKHCN
ngày 25 tháng 02 năm 2008 của Bộ trưởng Bộ Khoa học và Công nghệ)
|
TÊN CƠ QUAN KIỂM TRA |
|
|
||
|
|
Biên bản kiểm tra đo lường (N < 100)
|
|
||
|
- Tên hàng đóng gói sẵn: - Của Cơ sở: - Nơi kiểm tra: - Phương tiện kiểm tra: |
- N = ……….; Lượng định mức Qn =……….. - Lượng thiếu cho phép T: ……… - Số lượng đơn vị hàng đóng gói sẵn không phù hợp cho phép (2,5% . N) =…… |
|||
1. Kiểm tra đo lường:
|
TT |
|
|
TT |
|
|
TT |
|
|
|
1 |
|
|
34 |
|
|
67 |
|
|
|
2 |
|
|
35 |
|
|
68 |
|
|
|
3 |
|
|
36 |
|
|
69 |
|
|
|
4 |
|
|
37 |
|
|
70 |
|
|
|
5 |
|
|
38 |
|
|
71 |
|
|
|
6 |
|
|
39 |
|
|
72 |
|
|
|
7 |
|
|
40 |
|
|
73 |
|
|
|
8 |
|
|
41 |
|
|
74 |
|
|
|
9 |
|
|
42 |
|
|
75 |
|
|
|
10 |
|
|
43 |
|
|
76 |
|
|
|
11 |
|
|
44 |
|
|
77 |
|
|
|
12 |
|
|
45 |
|
|
78 |
|
|
|
13 |
|
|
46 |
|
|
79 |
|
|
|
14 |
|
|
47 |
|
|
80 |
|
|
|
15 |
|
|
48 |
|
|
81 |
|
|
|
16 |
|
|
49 |
|
|
82 |
|
|
|
17 |
|
|
50 |
|
|
83 |
|
|
|
18 |
|
|
51 |
|
|
84 |
|
|
|
19 |
|
|
52 |
|
|
85 |
|
|
|
20 |
|
|
53 |
|
|
86 |
|
|
|
21 |
|
|
54 |
|
|
87 |
|
|
|
22 |
|
|
55 |
|
|
88 |
|
|
|
23 |
|
|
56 |
|
|
89 |
|
|
|
24 |
|
|
57 |
|
|
90 |
|
|
|
25 |
|
|
58 |
|
|
91 |
|
|
|
26 |
|
|
59 |
|
|
92 |
|
|
|
27 |
|
|
60 |
|
|
93 |
|
|
|
28 |
|
|
61 |
|
|
94 |
|
|
|
29 |
|
|
62 |
|
|
95 |
|
|
|
30 |
|
|
63 |
|
|
96 |
|
|
|
31 |
|
|
64 |
|
|
97 |
|
|
|
32 |
|
|
65 |
|
|
98 |
|
|
|
33 |
|
|
66 |
|
|
99 |
|
|
2. Xử lý: Giá trị trung bình
=……. …
Yêu cầu về giá trị trung bình
: Đạt ☐ ; Không đạt ☐
Yêu cầu về số lượng đơn vị hàng đóng gói sẵn không phù hợp:
+ (
) > T : Đạt ☐ ; Không đạt ☐
+ (
) > 2.T Đạt ☐ ; Không đạt ☐
3. Kết luận:
…….. , ngày tháng năm 200
Đại diện Cơ sở Người kiểm tra Cơ quan kiểm tra
|
TÊN CƠ QUAN KIỂM TRA |
|
|
|||
|
|
Biên bản kiểm tra đo lường (N ≥ 100)
|
|
|
||
|
Tên hàng đóng gói sẵn: Của Cơ sở: Nơi kiểm tra: Phương tiện kiểm tra: |
- N = … ; Lượng danh định Qn =……………; - Lấy mẫu tiêu chuẩn ☐ ; - Lấy mẫu rút gọn ☐
- Số lượng đơn vị hàng đóng gói sẵn phải kiểm tra n = ….. - Số lượng đơn vị hàng đóng gói sẵn không phù hợp cho phép:…. – Hệ số hiệu chính k = ….. - Lượng thiếu cho phép T:…… |
|
|||
1. Kiểm tra đo lường:
|
TT |
|
|
TT |
|
|
TT |
|
|
|
1 |
|
|
43 |
|
|
85 |
|
|
|
2 |
|
|
44 |
|
|
86 |
|
|
|
3 |
|
|
45 |
|
|
87 |
|
|
|
4 |
|
|
46 |
|
|
88 |
|
|
|
5 |
|
|
47 |
|
|
89 |
|
|
|
6 |
|
|
48 |
|
|
90 |
|
|
|
7 |
|
|
49 |
|
|
91 |
|
|
|
8 |
|
|
50 |
|
|
92 |
|
|
|
9 |
|
|
51 |
|
|
93 |
|
|
|
10 |
|
|
52 |
|
|
94 |
|
|
|
11 |
|
|
53 |
|
|
95 |
|
|
|
12 |
|
|
54 |
|
|
96 |
|
|
|
13 |
|
|
55 |
|
|
97 |
|
|
|
14 |
|
|
56 |
|
|
98 |
|
|
|
15 |
|
|
57 |
|
|
99 |
|
|
|
16 |
|
|
58 |
|
|
100 |
|
|
|
17 |
|
|
59 |
|
|
101 |
|
|
|
18 |
|
|
60 |
|
|
102 |
|
|
|
19 |
|
|
61 |
|
|
103 |
|
|
|
20 |
|
|
62 |
|
|
104 |
|
|
|
21 |
|
|
63 |
|
|
105 |
|
|
|
22 |
|
|
64 |
|
|
106 |
|
|
|
23 |
|
|
65 |
|
|
107 |
|
|
|
24 |
|
|
66 |
|
|
108 |
|
|
|
25 |
|
|
67 |
|
|
109 |
|
|
|
26 |
|
|
68 |
|
|
110 |
|
|
|
27 |
|
|
69 |
|
|
111 |
|
|
|
28 |
|
|
70 |
|
|
112 |
|
|
|
29 |
|
|
71 |
|
|
113 |
|
|
|
30 |
|
|
72 |
|
|
114 |
|
|
|
31 |
|
|
73 |
|
|
115 |
|
|
|
32 |
|
|
74 |
|
|
116 |
|
|
|
33 |
|
|
75 |
|
|
117 |
|
|
|
34 |
|
|
76 |
|
|
118 |
|
|
|
35 |
|
|
77 |
|
|
119 |
|
|
|
36 |
|
|
78 |
|
|
120 |
|
|
|
37 |
|
|
79 |
|
|
121 |
|
|
|
38 |
|
|
80 |
|
|
122 |
|
|
|
39 |
|
|
81 |
|
|
123 |
|
|
|
40 |
|
|
82 |
|
|
124 |
|
|
|
41 |
|
|
83 |
|
|
125 |
|
|
|
42 |
|
|
84 |
|
|
|
|
|
2. Xử lý: Giá trị trung bình
Yêu cầu về giá trị trung bình
: Đạt ☐ ; Không đạt ☐
Yêu cầu về số lượng đơn vị hàng đóng gói sẵn không phù hợp:
+ (
) > T : Đạt ☐ ; Không đạt ☐
+ (
) > 2.T Đạt ☐ ; Không đạt ☐
3. Kết luận:
…….. , ngày tháng năm 200
Đại diện Cơ sở Người kiểm tra Cơ quan kiểm tra
Phụ lục II
TRÌNH TỰ XÁC ĐỊNH LƯỢNG THỰC CỦA HÀNG ĐÓNG GÓI SẴN ĐỊNH LƯỢNG THEO ĐƠN VỊ ĐO KHỐI LƯỢNG
(Ban hành kèm theo Quyết định số 02/2008/QĐ-BKHCN
ngày 25 tháng 02 năm 2008 của Bộ trưởng Bộ Khoa học và Công nghệ)
Việc xác định lượng thực của từng đơn vị hàng đóng gói sẵn định lượng theo đơn vị đo khối lượng phải thực hiện theo các bước sau:
1. Xác định khối lượng cả bao bì của từng đơn vị hàng đóng gói sẵn Gi
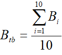
2. Xác định khối lượng bao bì trung bình Btb:
a) Chọn ngẫu nhiên một lô đầu tiên gồm 10 mẫu bao bì để kiểm tra (mẫu bao bì được lấy từ một lô kiểm tra hoặc từ một lô bao bì tại điểm đóng gói).
b) Xác định khối lượng của từng bao bì và ghi lại số liệu
c) Xác định khối lượng bao bì trung bình

3. Xác định lượng thực của từng đơn vị hàng đóng gói sẵn
a) Trường hợp
, lượng thực
của từng đơn vị hàng đóng gói sẵn (i) được tính theo công thức:

b) Trường hợp
, phải tiến hành tính độ lệch bình phương trung bình s của Btb theo công thức:

* Trường hợp
, phải tiến hành chọn lô 25 bao bì mới và thực hiện lại việc xác định khối lượng bao bì trung bình
của lô mới này và xác định lượng thực
của từng đơn vị hàng đóng gói sẵn (i) theo công thức:

* Trường hợp
, không sử dụng khối lượng bao bì trung bình. Lượng thực
của từng đơn vị hàng đóng gói sẵn (i) được tính theo công thức:

Trong đó:
Bi là khối lượng bao bì của đơn vị hàng đóng gói sẵn thứ (i).
Phụ lục III
TRÌNH TỰ XÁC ĐỊNH LƯỢNG RÁO NƯỚC CỦA
HÀNG ĐÓNG GÓI SẴN TRONG DUNG MÔI LỎNG
(Ban hành kèm theo Quyết định số 02/2008/QĐ-BKHCN
ngày 25 tháng 02 năm 2008 của Bộ trưởng Bộ Khoa học và Công nghệ)
I. Phương tiện kiểm tra
1. Cân có mức cân và độ chính xác phù hợp theo yêu cầu tại Bảng 2 của Quy định này.
2. Rây sàng đường kính (20÷30) cm tùy theo lượng hàng đóng gói sẵn, mắt vuông có cạnh (2÷3) mm làm từ sợi thép không rỉ hoặc đồng có đường kính xấp xỉ 1 mm.
II. Xác định lượng ráo nước
1. Các đơn vị hàng đóng gói sẵn trong dung môi lỏng đưa vào kiểm tra đo lường phải đảm bảo đã ở trạng thái sẵn sàng để bán hoặc đã đảm bảo 30 ngày sau khi tiệt trùng hoặc quá trình tương tự. Trước khi tiến hành kiểm tra đo lường, phải bảo quản đơn vị hàng đóng gói sẵn ở nhiệt độ theo quy định của nhà sản xuất hoặc từ (20÷24) 0C trong khoảng thời gian 12 giờ.
2. Để rây sàng nghiêng một góc từ 170 đến 200; đổ hoặc gắp nhẹ nhàng hàng đóng gói sẵn để lên rây sàng, để 2 phút cho ráo nước;
3. Xác định khối lượng của rây sàng có hàng đóng gói sẵn: P2
4. Xác định khối lượng của rây sàng (bì): P1
5. Lượng ráo nước của hàng hoá trong dung môi lỏng tính theo công thức sau:

Phụ lục IV
TRÌNH TỰ XÁC ĐỊNH LƯỢNG THỰC
CỦA HÀNG ĐÓNG GÓI SẴN ĐÔNG LẠNH
(Ban hành kèm theo Quyết định số 02/2008/QĐ-BKHCN
ngày 25 tháng 02 năm 2008 của Bộ trưởng Bộ Khoa học và Công nghệ)
1. Rã đông
a) Với hàng đóng gói sẵn là rau quả đông lạnh: Ngâm hàng đóng gói sẵn trong dòng nước chảy liên tục ở nhiệt độ 20 0C ±1 0C để tan hết băng (chú ý không khuấy trộn làm nát hàng đóng gói sẵn).
b) Với hàng đóng gói sẵn là hải sản đông lạnh: Lấy hàng đóng gói sẵn khỏi bao và xả nước nhẹ cho tan lớp nước lót.
c) Với hàng đóng gói sẵn là tôm, cua đông lạnh: Để hàng đóng gói sẵn trong rổ, ngâm trong chậu nước nhiệt độ 26 0C ±1 0C cho tan băng.
2. Làm ráo nước
Đặt hàng đóng gói sẵn lên rây sàng, nghiêng một góc từ 170 đến 200, để 2 phút cho ráo nước. Rây sàng đường kính (20÷30) cm tùy theo lượng hàng đóng gói sẵn, mắt vuông có cạnh (2÷3) mm làm từ sợi thép không rỉ hoặc đồng có đường kính xấp xỉ 1 mm.
3. Xác định lượng thực
a) Xác định khối lượng P2 của rây có hàng đóng gói sẵn;
b) Xác định khối lượng P1 của rây không chứa hàng đóng gói sẵn;
c) Lượng thực của hàng đóng gói sẵn: 
Bạn chưa Đăng nhập thành viên.
Đây là tiện ích dành cho tài khoản thành viên. Vui lòng Đăng nhập để xem chi tiết. Nếu chưa có tài khoản, vui lòng Đăng ký tại đây!
Bạn chưa Đăng nhập thành viên.
Đây là tiện ích dành cho tài khoản thành viên. Vui lòng Đăng nhập để xem chi tiết. Nếu chưa có tài khoản, vui lòng Đăng ký tại đây!











