- Tổng quan
- Nội dung
- VB gốc
- Tiếng Anh
- Hiệu lực
- VB liên quan
- Lược đồ
-
Nội dung hợp nhất
Tính năng này chỉ có tại LuatVietnam.vn. Nội dung hợp nhất tổng hợp lại tất cả các quy định còn hiệu lực của văn bản gốc và các văn bản sửa đổi, bổ sung, đính chính... trên một trang. Việc hợp nhất văn bản gốc và những văn bản, Thông tư, Nghị định hướng dẫn khác không làm thay đổi thứ tự điều khoản, nội dung.
Khách hàng chỉ cần xem Nội dung hợp nhất là có thể nắm bắt toàn bộ quy định hiện hành đang áp dụng, cho dù văn bản gốc đã qua nhiều lần chỉnh sửa, bổ sung.
- Tải về
Quyết định 3199/QĐ-BTC 2025 công bố thủ tục hành chính sửa đổi, bổ sung, bãi bỏ trong lĩnh vực đầu tư theo phương thức đối tác công tư
| Cơ quan ban hành: | Bộ Tài chính |
Số công báo:
Số công báo là mã số ấn phẩm được đăng chính thức trên ấn phẩm thông tin của Nhà nước. Mã số này do Chính phủ thống nhất quản lý.
|
Đang cập nhật |
| Số hiệu: | 3199/QĐ-BTC | Ngày đăng công báo: | Đang cập nhật |
| Loại văn bản: | Quyết định | Người ký: | Trần Quốc Phương |
| Trích yếu: | Công bố thủ tục hành chính sửa đổi, bổ sung, bãi bỏ trong lĩnh vực đầu tư theo phương thức đối tác công tư; đấu thầu lựa chọn nhà đầu tư thuộc phạm vi chức năng quản lý của Bộ Tài chính | ||
|
Ngày ban hành:
Ngày ban hành là ngày, tháng, năm văn bản được thông qua hoặc ký ban hành.
|
15/09/2025 |
Ngày hết hiệu lực:
Ngày hết hiệu lực là ngày, tháng, năm văn bản chính thức không còn hiệu lực (áp dụng).
|
Đã biết
|
|
Áp dụng:
Ngày áp dụng là ngày, tháng, năm văn bản chính thức có hiệu lực (áp dụng).
|
Đã biết
|
Tình trạng hiệu lực:
Cho biết trạng thái hiệu lực của văn bản đang tra cứu: Chưa áp dụng, Còn hiệu lực, Hết hiệu lực, Hết hiệu lực 1 phần; Đã sửa đổi, Đính chính hay Không còn phù hợp,...
|
Đã biết
|
| Lĩnh vực: | Hành chính , Đầu tư , Đấu thầu-Cạnh tranh | ||
TÓM TẮT QUYẾT ĐỊNH 3199/QĐ-BTC
Nội dung tóm tắt đang được cập nhật, Quý khách vui lòng quay lại sau!
Tải Quyết định 3199/QĐ-BTC
| BỘ TÀI CHÍNH | CỘNG HÒA XÃ HỘI CHỦ NGHĨA VIỆT NAM |
| Số: 3199/QĐ-BTC | Hà Nội, ngày 15 tháng 9 năm 2025 |
QUYẾT ĐỊNH
Công bố thủ tục hành chính sửa đổi, bổ sung, bãi bỏ trong lĩnh vực đầu tư theo phương thức đối tác công tư; đấu thầu lựa chọn nhà đầu tư thuộc phạm vi chức năng quản lý của Bộ Tài chính
______________
BỘ TRƯỞNG BỘ TÀI CHÍNH
Căn cứ Luật Đầu tư theo phương thức đối tác công tư số 64/2020/QH14 (được sửa đổi, bổ sung tại Luật số 03/2022/QH15, Luật số 57/2024/QH15 và Luật số 90/2025/QH15);
Căn cứ Luật Đấu thầu số 22/2023/QH15 (được sửa đổi, bổ sung tại Luật số 03/2022/QH15, Luật số 57/2024/QH15 và Luật số 90/2025/QH15);
Căn cứ Nghị định số 243/2025/NĐ-CP ngày 11 tháng 9 năm 2025 quy định chi tiết một số điều của Luật Đầu tư theo phương thức đối tác công tư;
Căn cứ Nghị định số 23/2024/NĐ-CP ngày 27 tháng 02 năm 2024 quy định chi tiết một số điều và biện pháp thi hành Luật Đấu thầu về lựa chọn nhà đầu tư thực hiện dự án thuộc trường hợp phải tổ chức đấu thầu theo quy định của pháp luật quản lý ngành, lĩnh vực (được sửa đổi, bổ sung tại Nghị định số 225/2025/NĐ-CP ngày 15 tháng 8 năm 2025 của Chính phủ);
Căn cứ Nghị định số 115/2024/NĐ-CP ngày 16 tháng 9 năm 2024 của Chính phủ quy định chi tiết một số điều và biện pháp thi hành Luật Đấu thầu về lựa chọn nhà đầu tư thực hiện dự án đầu tư có sử dụng đất (được sửa đổi, bổ sung tại Nghị định số 225/2025/NĐ-CP ngày 15 tháng 8 năm 2025 của Chính phủ);
Căn cứ Nghị định số 29/2025/NĐ-CP ngày 24 tháng 02 năm 2025 quy định chức năng, nhiệm vụ, quyền hạn và cơ cấu tổ chức của Bộ Tài chính (được sửa đổi, bổ sung tại Nghị định số 166/2025/NĐ-CP ngày 30 tháng 6 năm 2025 của Chính phủ;
Căn cứ Nghị định số 63/2010/NĐ-CP ngày 08 tháng 6 năm 2010 của Chính phủ về kiểm soát thủ tục hành chính;
Căn cứ Nghị định số 48/2013/NĐ-CP ngày 14 tháng 5 năm 2013 của Chính phủ sửa đổi, bổ sung một số điều của các Nghị định liên quan đến kiểm soát thủ tục hành chính;
Căn cứ Nghị định số 92/2017/NĐ-CP ngày 08 tháng 7 năm 2017 của Chính phủ sửa đổi, bổ sung một số điều của các Nghị định liên quan đến kiểm soát thủ tục hành chính;
Căn cứ Thông tư số 02/2017/TT-VPCP ngày 31 tháng 10 năm 2017 của Bộ trưởng, Chủ nhiệm Văn phòng Chính phủ hướng dẫn về nghiệp vụ kiểm soát thủ tục hành chính;
Theo đề nghị của Cục trưởng Cục Quản lý đấu thầu.
QUYẾT ĐỊNH:
Điều 1. Công bố kèm theo Quyết định này thủ tục hành chính sửa đổi, bổ sung, bãi bỏ trong lĩnh vực đầu tư theo phương thức đối tác công tư; đấu thầu lựa chọn nhà đầu tư thuộc phạm vi chức năng quản lý của Bộ Tài chính (theo các Phụ lục I và II ban hành kèm theo).
Điều 2. Hiệu lực thi hành:
1. Quyết định này có hiệu lực thi hành kể từ ngày ký.
2. Quyết định số 1404/QĐ-BTC ngày 18 tháng 4 năm 2025 và Quyết định số 2857/QĐ-BTC ngày 19 tháng 8 năm 2025 của Bộ Tài chính công bố thủ tục hành chính sửa đổi, bổ sung trong lĩnh vực đầu tư theo phương thức đối tác công tư; đấu thầu lựa chọn nhà đầu tư thuộc phạm vi chức năng quản lý của Bộ Tài chính hết hiệu lực thi hành kể từ ngày Quyết định này có hiệu lực thi hành.
Điều 3. Chánh Văn phòng Bộ, Cục trưởng Cục Quản lý đấu thầu, Thủ trưởng các đơn vị thuộc Bộ và các tổ chức, cá nhân có liên quan chịu trách nhiệm thi hành Quyết định này./.
| Nơi nhận: | KT. BỘ TRƯỞNG |
PHỤ LỤC I
DANH MỤC THỦ TỤC HÀNH CHÍNH SỬA ĐỔI, BỔ SUNG, BÃI BỎ TRONG LĨNH VỰC ĐẦU TƯ THEO PHƯƠNG THỨC PPP, ĐẤU THẦU LỰA CHỌN NHÀ ĐẦU TƯ THUỘC PHẠM VI CHỨC NĂNG QUẢN LÝ CỦA BỘ TÀI CHÍNH
(Kèm theo Quyết định số 3199/QĐ-BTC ngày 15 tháng 9 năm 2025 của Bộ Tài chính)
1. Danh mục thủ tục hành chính được công bố mới, sửa đổi, bổ sung thuộc phạm vi chức năng quản lý của Bộ Tài chính
| STT | Số hồ sơ TTHC | Tên thủ tục hành chính | Tên VBQPPL quy định nội dung sửa đổi, bổ sung | Lĩnh vực | Cơ quan thực hiện |
| A. Thủ tục hành chính cấp Trung ương | |||||
| 1 | 1.009487 | Trình tự chuẩn bị dự án đầu tư do nhà đầu tư đề xuất | - Luật số 64/2020/QH14 Đầu tư theo phương thức đối tác công tư; - Luật số 03/2022/QH15 sửa đổi, bổ sung một số điều của Luật Đầu tư công, Luật Đầu tư theo phương thức đối tác công tư, Luật Đầu tư, Luật Nhà ở, Luật Đấu thầu, Luật Điện lực, Luật Doanh nghiệp, Luật Thuế tiêu thụ đặc biệt và Luật thi hành án dân sự; - Luật số 57/2024/QH15 sửa đổi, bổ sung một số điều của Luật Quy hoạch, Luật Đầu tư, Luật Đầu tư theo phương thức đối tác công tư và Luật Đấu thầu; - Luật số 90/2025/QH15 sửa đổi, bổ sung một số điều của Luật Đấu thầu, Luật Đầu tư theo phương thức đối tác công tư, Luật Hải quan, Luật Thuế giá trị gia tăng, Luật Thuế xuất khẩu, thuế nhập khẩu, Luật Đầu tư, Luật Đầu tư công, Luật Quản lý, sử dụng tài sản công; - Nghị định số 29/2021/NĐ-CP ngày 26 tháng 3 năm 2021 của Chính phủ quy định về trình tự, thủ tục thẩm định dự án quan trọng quốc gia và giám sát, đánh giá đầu tư. - Nghị định số 243/2025/NĐ-CP ngày 11 tháng 9 năm 2025 của Chính phủ quy định chi tiết một số điều của Luật Đầu tư theo phương thức đối tác công tư. | Đầu tư theo phương thức PPP | - Quốc hội; - Thủ tướng Chính phủ; - Bộ trưởng, người đứng đầu cơ quan trung ương; cơ quan tổ chức được Chính phủ, Thủ tướng Chính phủ thành lập và được giao dự toán ngân sách theo quy định của pháp luật về ngân sách nhà nước (cơ quan khác); - Cơ quan, tổ chức, đơn vị thuộc, trực thuộc Bộ, cơ quan trung ương, cơ quan khác (đối với dự án PPP có tổng mức đầu tư tương đương dự án nhóm B, nhóm C theo quy định của pháp luật về đầu tư công; dự án áp dụng loại hợp đồng O&M; dự án được Bộ trưởng, người đứng đầu cơ quan trung ương, cơ quan khác giao làm cơ quan có thẩm quyền).
|
|
2
| 1.009488 | Thẩm định báo cáo nghiên cứu khả thi, phê duyệt dự án áp dụng loại hợp đồng BT không yêu cầu thanh toán | - Luật số 64/2020/QH14 Đầu tư theo phương thức đối tác công tư; - Luật số 03/2022/QH15 sửa đổi, bổ sung một số điều của Luật Đầu tư công, Luật Đầu tư theo phương thức đối tác công tư, Luật Đầu tư, Luật Nhà ở, Luật Đấu thầu, Luật Điện lực, Luật Doanh nghiệp, Luật Thuế tiêu thụ đặc biệt và Luật thi hành án dân sự; - Luật số 57/2024/QH15 sửa đổi, bổ sung một số điều của Luật Quy hoạch, Luật Đầu tư, Luật Đầu tư theo phương thức đối tác công tư và Luật Đấu thầu; - Luật số 90/2025/QH15 sửa đổi, bổ sung một số điều của Luật Đấu thầu, Luật Đầu tư theo phương thức đối tác công tư, Luật Hải quan, Luật Thuế giá trị gia tăng, Luật Thuế xuất khẩu, thuế nhập khẩu, Luật Đầu tư, Luật Đầu tư công, Luật Quản lý, sử dụng tài sản công; - Nghị định số 29/2021/NĐ-CP ngày 26 tháng 3 năm 2021 của Chính phủ quy định về trình tự, thủ tục thẩm định dự án quan trọng quốc gia và giám sát, đánh giá đầu tư. - Nghị định số 243/2025/NĐ-CP ngày 11 tháng 9 năm 2025 của Chính phủ quy định chi tiết một số điều của Luật Đầu tư theo phương thức đối tác công tư. | Đầu tư theo phương thức PPP | - Quốc hội; - Thủ tướng Chính phủ; - Bộ trưởng, người đứng đầu cơ quan trung ương; cơ quan tổ chức được Chính phủ, Thủ tướng Chính phủ thành lập và được giao dự toán ngân sách theo quy định của pháp luật về ngân sách nhà nước (cơ quan khác); - Cơ quan, tổ chức, đơn vị thuộc, trực thuộc Bộ, cơ quan trung ương, cơ quan khác (đối với dự án PPP có tổng mức đầu tư tương đương dự án nhóm B, nhóm C theo quy định của pháp luật về đầu tư công; dự án áp dụng loại hợp đồng O&M; dự án được Bộ trưởng, người đứng đầu cơ quan trung ương, cơ quan khác giao làm cơ quan có thẩm quyền). |
| 3 | 2.002602 | Công bố dự án đầu tư kinh doanh (gồm dự án đầu tư có sử dụng đất) đối với dự án không thuộc diện chấp thuận chủ trương đầu tư do nhà đầu tư đề xuất | - Luật Đấu thầu số 22/2023/QH15 ngày 23 tháng 6 năm 2023; - Luật số 57/2024/QH15 sửa đổi, bổ sung một số điều của Luật Quy hoạch, Luật Đầu tư, Luật Đầu tư theo phương thức đối tác công tư và Luật Đấu thầu; - Luật số 90/2025/QH15 sửa đổi, bổ sung một số điều của Luật Đấu thầu, Luật Đầu tư theo phương thức đối tác công tư, Luật Hải quan, Luật Thuế giá trị gia tăng, Luật Thuế xuất khẩu, thuế nhập khẩu, Luật Đầu tư, Luật Đầu tư công, Luật Quản lý, sử dụng tài sản công; - Nghị định số 23/2024/NĐ-CP ngày 27 tháng 02 năm 2024 của Chính phủ quy định chi tiết một số điều và biện pháp thi hành Luật Đấu thầu về lựa chọn nhà đầu tư thực hiện dự án thuộc trường hợp phải tổ chức đấu thầu theo quy định của pháp luật quản lý ngành, lĩnh vực; - Nghị định số 115/2024/NĐ-CP ngày 16 tháng 9 năm 2024 của Chính phủ quy định chi tiết một số điều và biện pháp thi hành Luật Đấu thầu về lựa chọn nhà đầu tư thực hiện dự án đầu tư có sử dụng đất; - Nghị định số 225/2025/NĐ-CP ngày 15 tháng 8 năm 2025 của Chính phủ sửa đổi, bổ sung một số điều của các Nghị định quy định chi tiết một số điều và biện pháp thi hành Luật Đấu thầu về lựa chọn nhà đầu tư. | Đấu thầu lựa chọn nhà đầu tư | - Bộ, cơ quan ngang Bộ; - Cơ quan, đơn vị được Bộ trưởng, Thủ trưởng cơ quan ngang bộ, người đứng đầu cơ quan khác giao nhiệm vụ tiếp nhận và xem xét hồ sơ đề xuất dự án của nhà đầu tư; - Cơ quan, tổ chức, đơn vị thuộc, trực thuộc Bộ, cơ quan ngang bộ. - Cơ quan khác theo quy định của pháp luật quản lý ngành, lĩnh vực. |
| B. Thủ tục hành chính cấp tỉnh | |||||
| 1 | 1.009491 | Trình tự chuẩn bị dự án đầu tư do nhà đầu tư đề xuất | - Luật số 64/2020/QH14 Đầu tư theo phương thức đối tác công tư; - Luật số 03/2022/QH15 sửa đổi, bổ sung một số điều của Luật Đầu tư công, Luật Đầu tư theo phương thức đối tác công tư, Luật Đầu tư, Luật Nhà ở, Luật Đấu thầu, Luật Điện lực, Luật Doanh nghiệp, Luật Thuế tiêu thụ đặc biệt và Luật thi hành án dân sự; - Luật số 57/2024/QH15 sửa đổi, bổ sung một số điều của Luật Quy hoạch, Luật Đầu tư, Luật Đầu tư theo phương thức đối tác công tư và Luật Đấu thầu; - Luật số 90/2025/QH15 sửa đổi, bổ sung một số điều của Luật Đấu thầu, Luật Đầu tư theo phương thức đối tác công tư, Luật Hải quan, Luật Thuế giá trị gia tăng, Luật Thuế xuất khẩu, thuế nhập khẩu, Luật Đầu tư, Luật Đầu tư công, Luật Quản lý, sử dụng tài sản công; - Nghị định số 29/2021/NĐ-CP ngày 26 tháng 3 năm 2021 của Chính phủ quy định về trình tự, thủ tục thẩm định dự án quan trọng quốc gia và giám sát, đánh giá đầu tư. - Nghị định số 243/2025/NĐ-CP ngày 11 tháng 9 năm 2025 của Chính phủ quy định chi tiết một số điều của Luật Đầu tư theo phương thức đối tác công tư. | Đầu tư theo phương thức PPP | - Ủy ban nhân dân cấp tỉnh; - Cơ quan, tổ chức, đơn vị thuộc, trực thuộc Ủy ban nhân dân cấp tỉnh; Ủy ban nhân dân cấp xã; đơn vị sự nghiệp công lập thuộc phạm vi quản lý của Ủy ban nhân dân cấp tỉnh (đối với dự án PPP có tổng mức đầu tư tương đương dự án nhóm B, nhóm C theo quy định của pháp luật về đầu tư công; dự án áp dụng loại hợp đồng O&M; dự án được Bộ trưởng, người đứng đầu cơ quan trung ương, cơ quan khác giao làm cơ quan có thẩm quyền). |
|
2
| 1.009492 | Thẩm định báo cáo nghiên cứu khả thi, phê duyệt dự án áp dụng loại hợp đồng BT không yêu cầu thanh toán | - Luật số 64/2020/QH14 Đầu tư theo phương thức đối tác công tư; - Luật số 03/2022/QH15 sửa đổi, bổ sung một số điều của Luật Đầu tư công, Luật Đầu tư theo phương thức đối tác công tư, Luật Đầu tư, Luật Nhà ở, Luật Đấu thầu, Luật Điện lực, Luật Doanh nghiệp, Luật Thuế tiêu thụ đặc biệt và Luật thi hành án dân sự; - Luật số 57/2024/QH15 sửa đổi, bổ sung một số điều của Luật Quy hoạch, Luật Đầu tư, Luật Đầu tư theo phương thức đối tác công tư và Luật Đấu thầu; - Luật số 90/2025/QH15 sửa đổi, bổ sung một số điều của Luật Đấu thầu, Luật Đầu tư theo phương thức đối tác công tư, Luật Hải quan, Luật Thuế giá trị gia tăng, Luật Thuế xuất khẩu, thuế nhập khẩu, Luật Đầu tư, Luật Đầu tư công, Luật Quản lý, sử dụng tài sản công; - Nghị định số 29/2021/NĐ-CP ngày 26 tháng 3 năm 2021 của Chính phủ quy định về trình tự, thủ tục thẩm định dự án quan trọng quốc gia và giám sát, đánh giá đầu tư. - Nghị định số 243/2025/NĐ-CP ngày 11 tháng 9 năm 2025 của Chính phủ quy định chi tiết một số điều của Luật Đầu tư theo phương thức đối tác công tư. | Đầu tư theo phương thức PPP | - Ủy ban nhân dân cấp tỉnh; - Cơ quan, tổ chức, đơn vị thuộc, trực thuộc Ủy ban nhân dân cấp tỉnh; - Ủy ban nhân dân cấp xã; - Đơn vị sự nghiệp công lập thuộc phạm vi quản lý của Ủy ban nhân dân cấp tỉnh. |
| 3 | 2.002603 | Công bố dự án đầu tư kinh doanh (gồm dự án đầu tư có sử dụng đất) đối với dự án không thuộc diện chấp thuận chủ trương đầu tư do nhà đầu tư đề xuất | - Luật Đấu thầu số 22/2023/QH15 ngày 23 tháng 6 năm 2023; - Luật số 57/2024/QH15 sửa đổi, bổ sung một số điều của Luật Quy hoạch, Luật Đầu tư, Luật Đầu tư theo phương thức đối tác công tư và Luật Đấu thầu; - Luật số 90/2025/QH15 sửa đổi, bổ sung một số điều của Luật Đấu thầu, Luật Đầu tư theo phương thức đối tác công tư, Luật Hải quan, Luật Thuế giá trị gia tăng, Luật Thuế xuất khẩu, thuế nhập khẩu, Luật Đầu tư, Luật Đầu tư công, Luật Quản lý, sử dụng tài sản công; - Nghị định số 23/2024/NĐ-CP ngày 27 tháng 02 năm 2024 của Chính phủ quy định chi tiết một số điều và biện pháp thi hành Luật Đấu thầu về lựa chọn nhà đầu tư thực hiện dự án thuộc trường hợp phải tổ chức đấu thầu theo quy định của pháp luật quản lý ngành, lĩnh vực; - Nghị định số 115/2024/NĐ-CP ngày 16 tháng 9 năm 2024 của Chính phủ quy định chi tiết một số điều và biện pháp thi hành Luật Đấu thầu về lựa chọn nhà đầu tư thực hiện dự án đầu tư có sử dụng đất; - Nghị định số 225/2025/NĐ-CP ngày 15 tháng 8 năm 2025 của Chính phủ sửa đổi, bổ sung một số điều của các Nghị định quy định chi tiết một số điều và biện pháp thi hành Luật Đấu thầu về lựa chọn nhà đầu tư. | Đấu thầu lựa chọn nhà đầu tư | - UBND cấp tỉnh; - Sở Tài chính; cơ quan, đơn vị thuộc, trực thuộc UBND cấp tỉnh (dự án do UBND cấp tỉnh là cơ quan có thẩm quyền); - Ban Quản lý khu kinh tế; - Cơ quan, đơn vị được Trưởng Ban quản lý khu kinh tế giao nhiệm vụ tiếp nhận và xem xét hồ sơ đề xuất dự án của nhà đầu tư (đối với dự án do Ban Quản lý khu kinh tế là cơ quan có thẩm quyền). - Ủy ban nhân dân cấp xã. |
2. Danh mục thủ tục hành chính bị bãi bỏ thuộc phạm vi chức năng quản lý của Bộ Tài chính
| STT | Số hồ sơ TTHC | Tên thủ tục hành chính | Tên VBQPPL quy định việc bãi bỏ thủ tục hành chính | Lĩnh vực | Cơ quan thực hiện |
| A. Thủ tục hành chính cấp trung ương | |||||
| STT | Số hồ sơ TTHC | Tên thủ tục hành chính | Tên VBQPPL quy định nội dung sửa đổi, bổ sung | Lĩnh vực | Cơ quan thực hiện |
| 1 | 1.009489 | Thẩm định nội dung điều chỉnh quyết định chủ trương đầu tư, quyết định điều chỉnh chủ trương đầu tư dự án PPP do nhà đầu tư đề xuất | - Luật Đầu tư theo phương thức đối tác công tư số 64/2020/QH14 ngày 18/6/2020; - Luật số 03/2022/QH15 sửa đổi, bổ sung một số điều của Luật Đầu tư công, Luật Đầu tư theo phương thức đối tác công tư, Luật Đầu tư, Luật Nhà ở, Luật Đấu thầu, Luật Điện lực, Luật Doanh nghiệp, Luật Thuế tiêu thụ đặc biệt và Luật thi hành án dân sự; - Luật số 57/2024/QH15 sửa đổi, bổ sung một số điều của Luật Quy hoạch, Luật Đầu tư, Luật Đầu tư theo phương thức đối tác công tư và Luật Đấu thầu; - Nghị định số 35/2021/NĐ-CP ngày 29/3/2021; - Nghị định số 29/2021/NĐ-CP ngày 26/3/2021; - Nghị định số 71/2025/NĐ-CP ngày 28 tháng 3 năm 2025 của Chính phủ. | Đầu tư theo phương thức PPP | - Quốc hội; - Thủ tướng Chính phủ; - Bộ trưởng, người đứng đầu cơ quan trung ương; cơ quan tổ chức được Chính phủ, Thủ tướng Chính phủ thành lập và được giao dự toán ngân sách theo quy định của pháp luật về ngân sách nhà nước; - Ủy ban nhân dân cấp tỉnh; - Hội đồng thẩm định nhà nước; - Hội đồng thẩm định liên ngành; - Hội đồng thẩm định cấp cơ sở. |
| 2 | 1.009490 | Thẩm định nội dung điều chỉnh báo cáo nghiên cứu khả thi, quyết định phê duyệt điều chỉnh dự án PPP do nhà đầu tư đề xuất | - Luật Đầu tư theo phương thức đối tác công tư số 64/2020/QH14 ngày 18/6/2020; - Luật số 03/2022/QH15 sửa đổi, bổ sung một số điều của Luật Đầu tư công, Luật Đầu tư theo phương thức đối tác công tư, Luật Đầu tư, Luật Nhà ở, Luật Đấu thầu, Luật Điện lực, Luật Doanh nghiệp, Luật Thuế tiêu thụ đặc biệt và Luật thi hành án dân sự; - Luật số 57/2024/QH15 sửa đổi, bổ sung một số điều của Luật Quy hoạch, Luật Đầu tư, Luật Đầu tư theo phương thức đối tác công tư và Luật Đấu thầu; - Nghị định số 35/2021/NĐ-CP ngày 29/3/2021; - Nghị định số 29/2021/NĐ-CP ngày 26/3/2021; - Nghị định số 71/2025/NĐ-CP ngày 28 tháng 3 năm 2025 của Chính phủ. | Đầu tư theo phương thức PPP | - Quốc hội; - Thủ tướng Chính phủ; - Bộ trưởng, người đứng đầu cơ quan trung ương; cơ quan tổ chức được Chính phủ, Thủ tướng Chính phủ thành lập và được giao dự toán ngân sách theo quy định của pháp luật về ngân sách nhà nước; - Ủy ban nhân dân cấp tỉnh; - Hội đồng thẩm định nhà nước; - Hội đồng thẩm định liên ngành; - Hội đồng thẩm định cấp cơ sở. |
| B. Thủ tục hành chính cấp tỉnh | |||||
| 1 | 1.009493 | Thẩm định nội dung điều chỉnh quyết định chủ trương đầu tư, quyết định điều chỉnh chủ trương đầu tư dự án PPP do nhà đầu tư đề xuất | - Luật Đầu tư theo phương thức đối tác công tư số 64/2020/QH14 ngày 18/6/2020; - Luật số 03/2022/QH15 sửa đổi, bổ sung một số điều của Luật Đầu tư công, Luật Đầu tư theo phương thức đối tác công tư, Luật Đầu tư, Luật Nhà ở, Luật Đấu thầu, Luật Điện lực, Luật Doanh nghiệp, Luật Thuế tiêu thụ đặc biệt và Luật thi hành án dân sự; - Luật số 57/2024/QH15 sửa đổi, bổ sung một số điều của Luật Quy hoạch, Luật Đầu tư, Luật Đầu tư theo phương thức đối tác công tư và Luật Đấu thầu; - Nghị định số 35/2021/NĐ-CP ngày 29/3/2021; - Nghị định số 29/2021/NĐ-CP ngày 26/3/2021; - Nghị định số 71/2025/NĐ-CP ngày 28 tháng 3 năm 2025 của Chính phủ. | Đầu tư theo phương thức PPP | - Hội đồng nhân dân cấp tỉnh; - Ủy ban nhân dân cấp tỉnh; - Hội đồng thẩm định cấp cơ sở hoặc đơn vị được giao nhiệm vụ thẩm định.
|
| 2 | 1.009494 | Thẩm định nội dung điều chỉnh báo cáo nghiên cứu khả thi, quyết định phê duyệt điều chỉnh dự án PPP do nhà đầu tư đề xuất | - Luật Đầu tư theo phương thức đối tác công tư số 64/2020/QH14 ngày 18/6/2020; - Luật số 03/2022/QH15 sửa đổi, bổ sung một số điều của Luật Đầu tư công, Luật Đầu tư theo phương thức đối tác công tư, Luật Đầu tư, Luật Nhà ở, Luật Đấu thầu, Luật Điện lực, Luật Doanh nghiệp, Luật Thuế tiêu thụ đặc biệt và Luật thi hành án dân sự; - Luật số 57/2024/QH15 sửa đổi, bổ sung một số điều của Luật Quy hoạch, Luật Đầu tư, Luật Đầu tư theo phương thức đối tác công tư và Luật Đấu thầu; - Nghị định số 35/2021/NĐ-CP ngày 29/3/2021; - Nghị định số 29/2021/NĐ-CP ngày 26/3/2021; - Nghị định số 71/2025/NĐ-CP ngày 28 tháng 3 năm 2025 của Chính phủ. | Đầu tư theo phương thức PPP | - Hội đồng nhân dân cấp tỉnh; - Ủy ban nhân dân cấp tỉnh; - Hội đồng thẩm định cấp cơ sở hoặc đơn vị được giao nhiệm vụ thẩm định.
|
PHỤ LỤC II
NỘI DUNG CỤ THỂ CỦA TỪNG THỦ TỤC HÀNH CHÍNH TRONG LĨNH VỰC ĐẦU TƯ THEO PHƯƠNG THỨC PPP, ĐẤU THẦU LỰA CHỌN NHÀ ĐẦU TƯ THUỘC PHẠM VI QUẢN LÝ CỦA BỘ TÀI CHÍNH
(Kèm theo Quyết định số 3199/QĐ-BTC ngày 15 tháng 9 năm 2025 của Bộ Tài chính)
A. THỦ TỤC HÀNH CHÍNH CẤP TRUNG ƯƠNG
I. Trình tự chuẩn bị dự án đầu tư do nhà đầu tư đề xuất
1. Trình tự thực hiện
a) Đối với dự án thuộc trường hợp quyết định chủ trương đầu tư:
(i) Nhà đầu tư gửi văn bản đề xuất thực hiện dự án PPP đến cơ quan có thẩm quyền theo hình thức trực tiếp hoặc qua bưu chính.
(ii) Cơ quan có thẩm quyền xem xét, trả lời bằng văn bản chấp thuận hoặc không chấp thuận việc nhà đầu tư lập báo cáo nghiên cứu tiền khả thi, báo cáo đề xuất chủ trương đầu tư.
b) Đối với dự án không thuộc trường hợp quyết định chủ trương đầu tư:
(i) Nhà đầu tư gửi văn bản đề xuất thực hiện dự án PPP đến cơ quan có thẩm quyền theo hình thức trực tiếp hoặc qua bưu chính. Trường hợp đề xuất áp dụng quy trình thực hiện dự án quy định tại khoản 4 Điều 11 của Luật PPP, nhà đầu tư phải thuyết minh căn cứ áp dụng.
(ii) Cơ quan có thẩm quyền xem xét, trả lời bằng văn bản chấp thuận hoặc không chấp thuận việc nhà đầu tư lập báo cáo nghiên cứu khả thi.
2. Cách thức thực hiện: Trực tiếp hoặc qua bưu chính.
3. Thành phần hồ sơ
- Văn bản chấp thuận việc nhà đầu tư đề xuất dự án gồm các nội dung sau:
+ Tên nhà đầu tư lập hồ sơ đề xuất dự án;
+ Thời hạn, địa điểm nộp hồ sơ đề xuất dự án; cơ quan, đơn vị tiếp nhận hồ sơ của nhà đầu tư;
+ Quy định về trách nhiệm của nhà đầu tư chịu mọi chi phí, rủi ro trong trường hợp hồ sơ đề xuất dự án không được chấp thuận và nguyên tắc xử lý trong trường hợp nhà đầu tư đề xuất dự án không được lựa chọn;
+ Trách nhiệm, cách thức phối hợp của các cơ quan có liên quan trong việc hướng dẫn nhà đầu tư lập hồ sơ đề xuất dự án;
+ Các nội dung khác có liên quan.
4. Số bộ hồ sơ: 01 bộ.
5. Thời hạn giải quyết
Trong thời hạn 05 ngày làm việc kể từ ngày nhận được văn bản đề xuất thực hiện dự án của nhà đầu tư.
6. Cơ quan thực hiện
- Quốc hội;
- Thủ tướng Chính phủ;
- Bộ trưởng, người đứng đầu cơ quan trung ương; cơ quan tổ chức được Chính phủ, Thủ tướng Chính phủ thành lập và được giao dự toán ngân sách theo quy định của pháp luật về ngân sách nhà nước (cơ quan khác);
- Cơ quan, tổ chức, đơn vị thuộc, trực thuộc Bộ, cơ quan trung ương, cơ quan khác (đối với dự án PPP có tổng mức đầu tư tương đương dự án nhóm B, nhóm C theo quy định của pháp luật về đầu tư công; dự án áp dụng loại hợp đồng O&M; dự án được Bộ trưởng, người đứng đầu cơ quan trung ương, cơ quan khác giao làm cơ quan có thẩm quyền);
- Ủy ban nhân dân cấp tỉnh.
7. Đối tượng thực hiện thủ tục hành chính: Tổ chức, Cá nhân.
8. Kết quả thực hiện thủ tục hành chính
- Văn bản chấp thuận hoặc không chấp thuận việc nhà đầu tư lập báo cáo nghiên cứu tiền khả thi, báo cáo đề xuất chủ trương đầu tư (đối với dự án thuộc trường hợp quyết định chủ trương đầu tư).
- Văn bản chấp thuận hoặc không chấp thuận việc nhà đầu tư lập báo cáo nghiên cứu khả thi, báo cáo kinh tế - kỹ thuật đầu tư xây dựng (đối với dự án không thuộc trường hợp quyết định chủ trương đầu tư).
9. Lệ phí (nếu có và văn bản quy định về phí, lệ phí): Không có.
10. Tên mẫu đơn, mẫu tờ khai (đính kèm): Không có.
11. Yêu cầu, điều kiện thực hiện thủ tục (nếu có): Không có.
12. Căn cứ pháp lý của thủ tục hành chính
- Luật Đầu tư theo phương thức đối tác công tư số 64/2020/QH14;
- Luật số 03/2022/QH15 sửa đổi, bổ sung một số điều của Luật Đầu tư công, Luật Đầu tư theo phương thức đối tác công tư, Luật Đầu tư, Luật Nhà ở, Luật Đấu thầu, Luật Điện lực, Luật Doanh nghiệp, Luật Thuế tiêu thụ đặc biệt và Luật thi hành án dân sự;
- Luật số 57/2024/QH15 sửa đổi, bổ sung một số điều của Luật Quy hoạch, Luật Đầu tư, Luật Đầu tư theo phương thức đối tác công tư và Luật Đấu thầu;
- Luật số 90/2025/QH15 sửa đổi, bổ sung một số điều của Luật Đấu thầu, Luật Đầu tư theo phương thức đối tác công tư, Luật Hải quan, Luật Thuế giá trị gia tăng, Luật Thuế xuất khẩu, thuế nhập khẩu, Luật Đầu tư, Luật Đầu tư công, Luật Quản lý, sử dụng tài sản công;
- Nghị định số 29/2021/NĐ-CP ngày 26 tháng 3 năm 2021 của Chính phủ quy định về trình tự, thủ tục thẩm định dự án quan trọng quốc gia và giám sát, đánh giá đầu tư.
- Nghị định số 243/2025/NĐ-CP ngày 11 tháng 9 năm 2025 của Chính phủ quy định chi tiết một số điều của Luật Đầu tư theo phương thức đối tác công tư.
II. Thẩm định báo cáo nghiên cứu khả thi, phê duyệt dự án, điều chỉnh dự án áp dụng loại hợp đồng BT không yêu cầu thanh toán
1. Trình tự thực hiện
a) Trình tự đề xuất, thẩm định, phê duyệt dự án BT không yêu cầu thanh toán do nhà đầu tư đề xuất
(i) Nhà đầu tư gửi văn bản đề xuất thực hiện dự án BT không yêu cầu thanh toán đến cơ quan có thẩm quyền;
(ii) Cơ quan có thẩm quyền xem xét, trả lời bằng văn bản chấp thuận hoặc không chấp thuận việc nhà đầu tư lập báo cáo nghiên cứu khả thi và dự thảo hợp đồng.
(iii) Trường hợp được cơ quan có thẩm quyền chấp thuận:
- Nhà đầu tư nộp hồ sơ đề xuất dự án gửi đến người đứng đầu cơ quan có thẩm quyền.
- Đơn vụ thẩm định dự án tổ chức thẩm định hồ sơ đề xuất dự án;
- Người đứng đầu cơ quan có thẩm quyền phê duyệt dự án kèm theo dự thảo hợp đồng.
(iv) Trường hợp hồ sơ đề xuất dự án không được chấp thuận thì nhà đầu tư chịu mọi chi phí, rủi ro.
b) Trình tự điều chỉnh nội dung báo cáo nghiên cứu khả thi, phê duyệt điều chỉnh dự án PPP do nhà đầu tư đề xuất
(i) Nhà đầu tư nộp hồ sơ điều chỉnh dự án đến người đứng đầu Cơ quan có thẩm quyền.
(ii) Đơn vị thẩm định dự án tổ chức thẩm định hồ sơ đề xuất điều chỉnh dự án;
(iii) Người đứng đầu Cơ quan có thẩm quyền phê duyệt điều chỉnh dự án kèm theo dự thảo hợp đồng.
2. Cách thức thực hiện: Trực tiếp hoặc qua bưu chính
3. Thành phần hồ sơ
a) Đối với trình tự đề xuất, thẩm định, phê duyệt dự án BT không yêu cầu thanh toán do nhà đầu tư đề xuất
- Văn bản chấp thuận việc nhà đầu tư đề xuất dự án gồm các nội dung sau:
+ Tên nhà đầu tư lập hồ sơ đề xuất dự án;
+ Thời hạn, địa điểm nộp hồ sơ đề xuất dự án; cơ quan, đơn vị tiếp nhận hồ sơ của nhà đầu tư;
+ Quy định về trách nhiệm của nhà đầu tư chịu mọi chi phí, rủi ro trong trường hợp hồ sơ đề xuất dự án không được chấp thuận và nguyên tắc xử lý trong trường hợp nhà đầu tư đề xuất dự án không được lựa chọn;
+ Trách nhiệm, cách thức phối hợp của các cơ quan có liên quan trong việc hướng dẫn nhà đầu tư lập hồ sơ đề xuất dự án;
+ Các nội dung khác có liên quan.
b) Đối với trình tự điều chỉnh nội dung báo cáo nghiên cứu khả thi, phê duyệt điều chỉnh dự án PPP do nhà đầu tư đề xuất
- Hồ sơ đề nghị phê duyệt điều chỉnh dự án BT không yêu cầu thanh toán do nhà đầu tư đề xuất bao gồm:
+ Tờ trình đề nghị phê duyệt (điều chỉnh) dự án;
+ Dự thảo quyết định phê duyệt (điều chỉnh) dự án;
+ Dự thảo hợp đồng (đối với dự án áp dụng hợp đồng BT không yêu cầu thanh toán);
+ Nội dung điều chỉnh Báo cáo nghiên cứu khả thi, nội dung điều chỉnh báo cáo kinh tế - kỹ thuật đầu tư xây dựng;
+ Báo cáo thẩm định nội dung điều chỉnh báo cáo nghiên cứu khả thi, nội dung điều chỉnh báo cáo kinh tế - kỹ thuật đầu tư xây dựng;
+ Tài liệu pháp lý khác có liên quan của dự án.
4. Số bộ hồ sơ: 01 bộ.
5. Thời hạn giải quyết
a) Đối với trình tự đề xuất, thẩm định, phê duyệt dự án BT không yêu cầu thanh toán do nhà đầu tư đề xuất:
- Thời hạn trả lời bằng văn bản chấp thuận hoặc không chấp thuận việc nhà đầu tư lập báo cáo nghiên cứu khả thi và dự thảo hợp đồng: 05 ngày làm việc.
b) Đối với trình tự điều chỉnh nội dung báo cáo nghiên cứu khả thi, phê duyệt điều chỉnh dự án PPP do nhà đầu tư đề xuất
- Thời hạn thẩm định báo cáo nghiên cứu khả thi: Không quá 15 ngày.
- Thời hạn phê duyệt dự án PPP: Không quá 05 ngày làm việc.
6. Cơ quan thực hiện
- Quốc hội;
- Thủ tướng Chính phủ;
- Bộ trưởng, người đứng đầu cơ quan trung ương; cơ quan tổ chức được Chính phủ, Thủ tướng Chính phủ thành lập và được giao dự toán ngân sách theo quy định của pháp luật về ngân sách nhà nước (cơ quan khác);
- Cơ quan, tổ chức, đơn vị thuộc, trực thuộc Bộ, cơ quan trung ương, cơ quan khác (đối với dự án PPP có tổng mức đầu tư tương đương dự án nhóm B, nhóm C theo quy định của pháp luật về đầu tư công; dự án áp dụng loại hợp đồng O&M; dự án được Bộ trưởng, người đứng đầu cơ quan trung ương, cơ quan khác giao làm cơ quan có thẩm quyền);
- Ủy ban nhân dân cấp tỉnh.
7. Đối tượng thực hiện thủ tục hành chính: Tổ chức, Cá nhân.
8. Kết quả thực hiện thủ tục hành chính
a) Đối với trình tự đề xuất, thẩm định, phê duyệt dự án BT không yêu cầu thanh toán do nhà đầu tư đề xuất
- Văn bản chấp thuận hoặc không chấp thuận việc nhà đầu tư lập báo cáo nghiên cứu khả thi và dự thảo hợp đồng.
b) Đối với trình tự điều chỉnh nội dung báo cáo nghiên cứu khả thi, phê duyệt điều chỉnh dự án PPP do nhà đầu tư đề xuất
- Báo cáo thẩm định Báo cáo nghiên cứu khả thi dự án BT không yêu cầu thanh toán do nhà đầu tư đề xuất.
- Báo cáo thẩm định nội dung điều chỉnh báo cáo nghiên cứu khả thi dự án BT không yêu cầu thanh toán.
- Quyết định phê duyệt điều chỉnh dự án BT không yêu cầu thanh toán do nhà đầu tư đề xuất.
9. Lệ phí (nếu có và văn bản quy định về phí, lệ phí): Không có.
10. Tên mẫu đơn, mẫu tờ khai (đính kèm):
Các Phụ lục ban hành kèm theo Nghị định số 243/2025/NĐ-CP ngày 10 tháng 9 năm 2025 của Chính phủ quy định chi tiết một số điều của Luật Đầu tư theo phương thức đối tác công tư, gồm:
- Phụ lục II - Mẫu số 01: Báo cáo nghiên cứu khả thi dự án PPP;
- Phụ lục II - Mẫu số 02: Báo cáo kinh tế - kỹ thuật đầu tư xây dựng dự án PPP;
- Phụ lục II - Mẫu số 03: Báo cáo thẩm định báo cáo nghiên cứu khả thi, báo cáo kinh tế - kỹ thuật đầu tư xây dựng dự án PPP;
- Phụ lục II - Mẫu số 04: Quyết định phê duyệt dự án PPP.
11. Yêu cầu, điều kiện thực hiện thủ tục (nếu có):
Đối với dự án áp dụng loại hợp đồng BT không yêu cầu thanh toán do nhà đầu tư đề xuất đề xuất phải đáp ứng các điều kiện sau đây:
- Sự cần thiết đầu tư;
- Phù hợp với ngành, lĩnh vực quy định tại khoản b khoản 1 Điều 4 của Luật PPP; có ý kiến của Bộ Quốc phòng, Bộ Công an đối với dự án thuộc ngành, lĩnh vực quốc phòng, an ninh và trật tự, an toàn xã hội;
- Không trùng lặp với dự án đã có quyết định chủ trương đầu tư hoặc quyết định phê duyệt dự án;
- Không trùng với dự án PPP đang được cơ quan có thẩm quyền tổ chức lập báo cáo nghiên cứu tiền khả thi hoặc đã chấp thuận nhà đầu tư khác lập báo cáo nghiên cứu tiền khả thi; báo cáo nghiên cứu khả thi;
- Phù hợp với kế hoạch phát triển kinh tế - xã hội và quy hoạch có liên quan theo quy định của pháp luật về quy hoạch đã được cấp có thẩm quyền quyết định hoặc phê duyệt.
12. Căn cứ pháp lý của thủ tục hành chính
- Luật Đầu tư theo phương thức đối tác công tư số 64/2020/QH14;
- Luật số 03/2022/QH15 sửa đổi, bổ sung một số điều của Luật Đầu tư công, Luật Đầu tư theo phương thức đối tác công tư, Luật Đầu tư, Luật Nhà ở, Luật Đấu thầu, Luật Điện lực, Luật Doanh nghiệp, Luật Thuế tiêu thụ đặc biệt và Luật thi hành án dân sự;
- Luật số 57/2024/QH15 sửa đổi, bổ sung một số điều của Luật Quy hoạch, Luật Đầu tư, Luật Đầu tư theo phương thức đối tác công tư và Luật Đấu thầu;
- Luật số 90/2025/QH15 sửa đổi, bổ sung một số điều của Luật Đấu thầu, Luật Đầu tư theo phương thức đối tác công tư, Luật Hải quan, Luật Thuế giá trị gia tăng, Luật Thuế xuất khẩu, thuế nhập khẩu, Luật Đầu tư, Luật Đầu tư công, Luật Quản lý, sử dụng tài sản công;
- Nghị định số 29/2021/NĐ-CP ngày 26 tháng 3 năm 2021 của Chính phủ quy định về trình tự, thủ tục thẩm định dự án quan trọng quốc gia và giám sát, đánh giá đầu tư;
- Nghị định số 243/2025/NĐ-CP ngày 11 tháng 9 năm 2025 của Chính phủ quy định chi tiết một số điều của Luật Đầu tư theo phương thức đối tác công tư.
III. Công bố dự án đầu tư kinh doanh (gồm dự án đầu tư có sử dụng đất) đối với dự án không thuộc diện chấp thuận chủ trương đầu tư do nhà đầu tư đề xuất
1. Trình tự thực hiện
(i) Nhà đầu tư lập hồ sơ đề xuất dự án. Đối với dự án được xác định thuộc trường hợp lựa chọn nhà đầu tư trong trường hợp đặc biệt (trừ trường hợp dự án quy định tại điểm a khoản 4 Điều 44a của Nghị định số 115/2024/NĐ-CP), nhà đầu tư đề xuất áp dụng hình thức lựa chọn nhà đầu tư trong trường hợp đặc biệt trong quá trình tổ chức lập hồ sơ đề xuất dự án. Nhà đầu tư chịu mọi chi phí lập hồ sơ đề xuất dự án.
(ii) Nhà đầu tư nộp hồ sơ đề xuất dự án cho cơ quan, đơn vị được Bộ trưởng, Thủ tưởng cơ quan ngang Bộ, cơ quan khác theo quy định của pháp luật quản lý ngành, lĩnh vực giao nhiệm vụ tiếp nhận và xem xét hồ sơ đề xuất dự án của nhà đầu tư. Trường hợp Bộ, cơ quan ngang Bộ, cơ quan khác đã ban hành quyết định phân công cơ quan, đơn vị tiếp nhận hồ sơ đề xuất dự án thì nhà đầu tư nộp cho cơ quan, đơn vị đó.
(iii) Cơ quan, đơn vị xem xét sự phù hợp của hồ sơ đề xuất dự án, trình người có thẩm quyền phê duyệt thông tin dự án.
Đối với dự án được nhà đầu tư đề xuất áp dụng hình thức lựa chọn nhà đầu tư trong trường hợp đặc biệt (trừ trường hợp dự án quy định tại điểm a khoản 4 Điều 44a của Nghị định số 115/2024/NĐ-CP), cơ quan có thẩm quyền xem xét, đánh giá năng lực tài chính và điều kiện thực hiện dự án của nhà đầu tư trong quá trình xem xét sự phù hợp của hồ sơ đề xuất dự án. Cơ quan có thẩm quyền phê duyệt thông tin dự án đồng thời phê duyệt nhà đầu tư được lựa chọn trong trường hợp đặc biệt.
(iv) Bộ, cơ quan ngang bộ giao cơ quan, tổ chức, đơn vị thuộc, trực thuộc đăng tải thông tin dự án đầu tư có sử dụng đất lên Hệ thống mạng đấu thầu quốc gia trước khi tổ chức đấu thầu lựa chọn nhà đầu tư (trừ trường hợp dự án quy định tại Điều 44a của Nghị định số 115/2024/NĐ-CP).
2. Cách thức thực hiện: Trực tiếp bằng văn bản hoặc qua bưu chính.
3. Thành phần hồ sơ:
(i) Hồ sơ đề xuất dự án đầu tư kinh doanh của nhà đầu tư gồm các thông tin sau:
- Tên dự án; mục tiêu; quy mô đầu tư; vốn đầu tư;
- Địa điểm thực hiện dự án; hiện trạng sử dụng đất, diện tích khu đất thực hiện dự án; mục đích sử dụng đất; các chỉ tiêu quy hoạch được duyệt;
- Thời hạn, tiến độ thực hiện dự án; sơ bộ phương án phân kỳ đầu tư hoặc phân chia dự án thành phần (nếu có); tiến độ thực hiện dự án theo từng giai đoạn (nếu có);
- Đề xuất áp dụng hình thức lựa chọn nhà đầu tư trong trường hợp đặc biệt đối với dự án nhà đầu tư án xác định thuộc trường hợp lựa chọn nhà đầu tư trong trường hợp đặc biệt;
- Nội dung khác có liên quan (nếu có).
(ii) Các thành phần hồ sơ gồm:
- Văn bản đề nghị thực hiện dự án đầu tư, gồm cả cam kết chịu mọi chi phí, rủi ro nếu dự án không được chấp thuận;
- Tài liệu về tư cách pháp lý của nhà đầu tư;
- Tài liệu chứng minh năng lực tài chính của nhà đầu tư gồm ít nhất một trong các tài liệu sau: báo cáo tài chính 02 năm gần nhất của nhà đầu tư; cam kết hỗ trợ tài chính của công ty mẹ; cam kết hỗ trợ tài chính của tổ chức tài chính; bảo lãnh về năng lực tài chính của nhà đầu tư; tài liệu chứng minh năng lực tài chính của nhà đầu tư.
Đối với trường hợp nhà đầu tư đề xuất áp dụng lựa chọn nhà đầu tư trong trường hợp đặc biệt (trừ trường hợp dự án quy định tại điểm a khoản 4 Điều 44a của Nghị định số 115/2024/NĐ-CP), tài liệu chứng minh khả năng thu xếp vốn chủ sở hữu, huy động vốn vay; phương án xây dựng, vaanh hành, kinh doanh, khai thác, quản lý công trình; yêu cầu khác.
4. Số bộ hồ sơ: 04 bộ.
5. Thời hạn giải quyết:
Trong thời hạn 25 ngày kể từ ngày được giao nhiệm vụ, cơ quan, đơn vị phối hợp với các cơ quan liên quan xem xét sự phù hợp của hồ sơ đề xuất dự án;
6. Cơ quan thực hiện:
- Bộ, cơ quan ngang Bộ;
- Cơ quan, đơn vị được Bộ trưởng, Thủ trưởng cơ quan ngang bộ, người đứng đầu cơ quan khác giao nhiệm vụ tiếp nhận và xem xét hồ sơ đề xuất dự án của nhà đầu tư;
- Cơ quan, tổ chức, đơn vị thuộc, trực thuộc Bộ, cơ quan ngang bộ.
- Cơ quan khác theo quy định của pháp luật quản lý ngành, lĩnh vực.
7. Đối tượng thực hiện thủ tục hành chính: Tổ chức, cá nhân.
8. Kết quả thực hiện thủ tục hành chính: Văn bản phê duyệt thông tin dự án đầu tư kinh doanh được công bố hoặc văn bản phê duyệt thông tin dự án đầu tư kinh doanh đồng thời phê duyệt nhà đầu tư được lựa chọn trong trường hợp đặc biệt.
9. Lệ phí (nếu có và văn bản quy định về phí, lệ phí): Không có.
10. Tên mẫu đơn, mẫu tờ khai (đính kèm): Không có.
11. Yêu cầu, điều kiện thực hiện thủ tục (nếu có): Không có.
12. Căn cứ pháp lý của thủ tục hành chính
- Luật Đấu thầu số 22/2023/QH15 ngày 23 tháng 6 năm 2023;
- Luật số 57/2024/QH15 sửa đổi, bổ sung một số điều của Luật Quy hoạch, Luật Đầu tư, Luật Đầu tư theo phương thức đối tác công tư và Luật Đấu thầu;
- Luật số 90/2025/QH15 sửa đổi, bổ sung một số điều của Luật Đấu thầu, Luật Đầu tư theo phương thức đối tác công tư, Luật Hải quan, Luật Thuế giá trị gia tăng, Luật Thuế xuất khẩu, thuế nhập khẩu, Luật Đầu tư, Luật Đầu tư công, Luật Quản lý, sử dụng tài sản công;
- Nghị định số 23/2024/NĐ-CP ngày 27 tháng 02 năm 2024 của Chính phủ quy định chi tiết một số điều và biện pháp thi hành Luật Đấu thầu về lựa chọn nhà đầu tư thực hiện dự án thuộc trường hợp phải tổ chức đấu thầu theo quy định của pháp luật quản lý ngành, lĩnh vực;
- Nghị định số 115/2024/NĐ-CP ngày 16 tháng 9 năm 2024 của Chính phủ quy định chi tiết một số điều và biện pháp thi hành Luật Đấu thầu về lựa chọn nhà đầu tư thực hiện dự án đầu tư có sử dụng đất;
- Nghị định số 225/2025/NĐ-CP ngày 15 tháng 8 năm 2025 của Chính phủ sửa đổi, bổ sung một số điều của các Nghị định quy định chi tiết một số điều và biện pháp thi hành Luật Đấu thầu về lựa chọn nhà đầu tư.
B. THỦ TỤC HÀNH CHÍNH CẤP TỈNH
I. Trình tự chuẩn bị dự án đầu tư do nhà đầu tư đề xuất
1. Trình tự thực hiện
a) Đối với dự án thuộc trường hợp quyết định chủ trương đầu tư:
(i) Nhà đầu tư gửi văn bản đề xuất thực hiện dự án PPP đến cơ quan có thẩm quyền theo hình thức trực tiếp hoặc qua bưu chính.
(ii) Cơ quan có thẩm quyền xem xét, trả lời bằng văn bản chấp thuận hoặc không chấp thuận việc nhà đầu tư lập báo cáo nghiên cứu tiền khả thi, báo cáo đề xuất chủ trương đầu tư.
b) Đối với dự án không thuộc trường hợp quyết định chủ trương đầu tư:
(i) Nhà đầu tư gửi văn bản đề xuất thực hiện dự án PPP đến cơ quan có thẩm quyền theo hình thức trực tiếp hoặc qua bưu chính. Trường hợp đề xuất áp dụng quy trình thực hiện dự án quy định tại khoản 4 Điều 11 của Luật PPP, nhà đầu tư phải thuyết minh căn cứ áp dụng.
(ii) Cơ quan có thẩm quyền xem xét, trả lời bằng văn bản chấp thuận hoặc không chấp thuận việc nhà đầu tư lập báo cáo nghiên cứu khả thi.
2. Cách thức thực hiện: Trực tiếp hoặc qua bưu chính.
3. Thành phần hồ sơ:
- Văn bản chấp thuận việc nhà đầu tư đề xuất dự án gồm các nội dung sau:
+ Tên nhà đầu tư lập hồ sơ đề xuất dự án;
+ Thời hạn, địa điểm nộp hồ sơ đề xuất dự án; cơ quan, đơn vị tiếp nhận hồ sơ của nhà đầu tư;
+ Quy định về trách nhiệm của nhà đầu tư chịu mọi chi phí, rủi ro trong trường hợp hồ sơ đề xuất dự án không được chấp thuận và nguyên tắc xử lý trong trường hợp nhà đầu tư đề xuất dự án không được lựa chọn;
+ Trách nhiệm, cách thức phối hợp của các cơ quan có liên quan trong việc hướng dẫn nhà đầu tư lập hồ sơ đề xuất dự án;
+ Các nội dung khác có liên quan.
4. Số bộ hồ sơ: 01 bộ.
5. Thời hạn giải quyết
Trong thời hạn 05 ngày làm việc kể từ ngày nhận được văn bản đề xuất thực hiện dự án của nhà đầu tư.
6. Cơ quan thực hiện
- Ủy ban nhân dân cấp tỉnh;
- Cơ quan, tổ chức, đơn vị thuộc, trực thuộc Ủy ban nhân dân cấp tỉnh; Ủy ban nhân dân cấp xã; đơn vị sự nghiệp công lập thuộc phạm vi quản lý của Ủy ban nhân dân cấp tỉnh (đối với dự án PPP có tổng mức đầu tư tương đương dự án nhóm B, nhóm C theo quy định của pháp luật về đầu tư công; dự án áp dụng loại hợp đồng O&M; dự án được Bộ trưởng, người đứng đầu cơ quan trung ương, cơ quan khác giao làm cơ quan có thẩm quyền).
7. Đối tượng thực hiện thủ tục hành chính: Tổ chức, Cá nhân.
8. Kết quả thực hiện thủ tục hành chính:
- Văn bản chấp thuận hoặc không chấp thuận việc nhà đầu tư lập báo cáo nghiên cứu tiền khả thi, báo cáo đề xuất chủ trương đầu tư (đối với dự án thuộc trường hợp quyết định chủ trương đầu tư).
- Văn bản chấp thuận hoặc không chấp thuận việc nhà đầu tư lập báo cáo nghiên cứu khả thi (đối với dự án không thuộc trường hợp quyết định chủ trương đầu tư).
9. Lệ phí (nếu có và văn bản quy định về phí, lệ phí): Không có.
10. Tên mẫu đơn, mẫu tờ khai (đính kèm): Không có.
11. Yêu cầu, điều kiện thực hiện thủ tục (nếu có): Không có.
12. Căn cứ pháp lý của thủ tục hành chính:
- Luật Đầu tư theo phương thức đối tác công tư số 64/2020/QH14;
- Luật số 03/2022/QH15 sửa đổi, bổ sung một số điều của Luật Đầu tư công, Luật Đầu tư theo phương thức đối tác công tư, Luật Đầu tư, Luật Nhà ở, Luật Đấu thầu, Luật Điện lực, Luật Doanh nghiệp, Luật Thuế tiêu thụ đặc biệt và Luật thi hành án dân sự;
- Luật số 57/2024/QH15 sửa đổi, bổ sung một số điều của Luật Quy hoạch, Luật Đầu tư, Luật Đầu tư theo phương thức đối tác công tư và Luật Đấu thầu;
- Luật số 90/2025/QH15 sửa đổi, bổ sung một số điều của Luật Đấu thầu, Luật Đầu tư theo phương thức đối tác công tư, Luật Hải quan, Luật Thuế giá trị gia tăng, Luật Thuế xuất khẩu, thuế nhập khẩu, Luật Đầu tư, Luật Đầu tư công, Luật Quản lý, sử dụng tài sản công;
- Nghị định số 29/2021/NĐ-CP ngày 26 tháng 3 năm 2021 của Chính phủ quy định về trình tự, thủ tục thẩm định dự án quan trọng quốc gia và giám sát, đánh giá đầu tư.
- Nghị định số 243/2025/NĐ-CP ngày 11 tháng 9 năm 2025 của Chính phủ quy định chi tiết một số điều của Luật Đầu tư theo phương thức đối tác công tư.
II. Thẩm định báo cáo nghiên cứu khả thi, phê duyệt dự án, điều chỉnh dự án áp dụng loại hợp đồng BT không yêu cầu thanh toán
1. Trình tự thực hiện
a) Trình tự đề xuất, thẩm định, phê duyệt dự án BT không yêu cầu thanh toán do nhà đầu tư đề xuất
(i) Nhà đầu tư gửi văn bản đề xuất thực hiện dự án BT không yêu cầu thanh toán đến cơ quan có thẩm quyền;
(ii) Cơ quan có thẩm quyền xem xét, trả lời bằng văn bản chấp thuận hoặc không chấp thuận việc nhà đầu tư lập báo cáo nghiên cứu khả thi và dự thảo hợp đồng.
(iii) Trường hợp được cơ quan có thẩm quyền chấp thuận:
- Nhà đầu tư nộp hồ sơ đề xuất dự án gửi đến người đứng đầu cơ quan có thẩm quyền.
- Đơn vụ thẩm định dự án tổ chức thẩm định hồ sơ đề xuất dự án;
- Người đứng đầu cơ quan có thẩm quyền phê duyệt dự án kèm theo dự thảo hợp đồng.
(iv) Trường hợp hồ sơ đề xuất dự án không được chấp thuận thì nhà đầu tư chịu mọi chi phí, rủi ro.
b) Trình tự điều chỉnh nội dung báo cáo nghiên cứu khả thi, phê duyệt điều chỉnh dự án PPP do nhà đầu tư đề xuất
(i) Nhà đầu tư nộp hồ sơ điều chỉnh dự án đến người đứng đầu Cơ quan có thẩm quyền.
(ii) Đơn vị thẩm định dự án tổ chức thẩm định hồ sơ đề xuất điều chỉnh dự án;
(iii) Người đứng đầu cơ quan có thẩm quyền phê duyệt điều chỉnh dự án kèm theo dự thảo hợp đồng.
2. Cách thức thực hiện: Trực tiếp hoặc qua bưu chính
3. Thành phần hồ sơ
a) Đối với trình tự đề xuất, thẩm định, phê duyệt dự án BT không yêu cầu thanh toán do nhà đầu tư đề xuất
- Văn bản chấp thuận việc nhà đầu tư đề xuất dự án gồm các nội dung sau:
+ Tên nhà đầu tư lập hồ sơ đề xuất dự án;
+ Thời hạn, địa điểm nộp hồ sơ đề xuất dự án; cơ quan, đơn vị tiếp nhận hồ sơ của nhà đầu tư;
+ Quy định về trách nhiệm của nhà đầu tư chịu mọi chi phí, rủi ro trong trường hợp hồ sơ đề xuất dự án không được chấp thuận và nguyên tắc xử lý trong trường hợp nhà đầu tư đề xuất dự án không được lựa chọn;
+ Trách nhiệm, cách thức phối hợp của các cơ quan có liên quan trong việc hướng dẫn nhà đầu tư lập hồ sơ đề xuất dự án;
+ Các nội dung khác có liên quan.
b) Đối với trình tự điều chỉnh nội dung báo cáo nghiên cứu khả thi, phê duyệt điều chỉnh dự án PPP do nhà đầu tư đề xuất
- Hồ sơ đề nghị phê duyệt điều chỉnh dự án BT không yêu cầu thanh toán do nhà đầu tư đề xuất bao gồm:
+ Tờ trình đề nghị phê duyệt (điều chỉnh) dự án;
+ Dự thảo quyết định phê duyệt (điều chỉnh) dự án;
+ Dự thảo hợp đồng (đối với dự án áp dụng hợp đồng BT không yêu cầu thanh toán);
+ Nội dung điều chỉnh Báo cáo nghiên cứu khả thi, nội dung điều chỉnh báo cáo kinh tế - kỹ thuật đầu tư xây dựng;
+ Báo cáo thẩm định nội dung điều chỉnh báo cáo nghiên cứu khả thi, nội dung điều chỉnh báo cáo kinh tế - kỹ thuật đầu tư xây dựng;
+ Tài liệu pháp lý khác có liên quan của dự án.
4. Số bộ hồ sơ: 01 bộ.
5. Thời hạn giải quyết
a) Đối với trình tự đề xuất, thẩm định, phê duyệt dự án BT không yêu cầu thanh toán do nhà đầu tư đề xuất:
- Thời hạn trả lời bằng văn bản chấp thuận hoặc không chấp thuận việc nhà đầu tư lập báo cáo nghiên cứu khả thi và dự thảo hợp đồng: 05 ngày làm việc.
b) Đối với trình tự điều chỉnh nội dung báo cáo nghiên cứu khả thi, phê duyệt điều chỉnh dự án PPP do nhà đầu tư đề xuất
- Thời hạn thẩm định báo cáo nghiên cứu khả thi: Không quá 15 ngày.
- Thời hạn phê duyệt dự án PPP: Không quá 05 ngày làm việc.
6. Cơ quan thực hiện
- Ủy ban nhân dân cấp tỉnh;
- Cơ quan, tổ chức, đơn vị thuộc, trực thuộc Ủy ban nhân dân cấp tỉnh;
- Ủy ban nhân dân cấp xã;
- Đơn vị sự nghiệp công lập thuộc phạm vi quản lý của Ủy ban nhân dân cấp tỉnh.
7. Đối tượng thực hiện thủ tục hành chính: Tổ chức, Cá nhân.
8. Kết quả thực hiện thủ tục hành chính
a) Đối với trình tự đề xuất, thẩm định, phê duyệt dự án BT không yêu cầu thanh toán do nhà đầu tư đề xuất
- Văn bản chấp thuận hoặc không chấp thuận việc nhà đầu tư lập báo cáo nghiên cứu khả thi và dự thảo hợp đồng.
b) Đối với trình tự điều chỉnh nội dung báo cáo nghiên cứu khả thi, phê duyệt điều chỉnh dự án PPP do nhà đầu tư đề xuất
- Báo cáo thẩm định Báo cáo nghiên cứu khả thi dự án BT không yêu cầu thanh toán do nhà đầu tư đề xuất.
- Báo cáo thẩm định nội dung điều chỉnh báo cáo nghiên cứu khả thi dự án BT không yêu cầu thanh toán.
- Quyết định phê duyệt điều chỉnh dự án BT không yêu cầu thanh toán do nhà đầu tư đề xuất.
9. Lệ phí (nếu có và văn bản quy định về phí, lệ phí): Không có.
10. Tên mẫu đơn, mẫu tờ khai (đính kèm):
Các Phụ lục ban hành kèm theo Nghị định số 243/2025/NĐ-CP ngày 11 tháng 9 năm 2025 của Chính phủ quy định chi tiết một số điều của Luật Đầu tư theo phương thức đối tác công tư, gồm:
- Phụ lục II - Mẫu số 01: Báo cáo nghiên cứu khả thi dự án PPP;
- Phụ lục II - Mẫu số 02: Báo cáo kinh tế - kỹ thuật đầu tư xây dựng dự án PPP;
- Phụ lục II - Mẫu số 03: Báo cáo thẩm định báo cáo nghiên cứu khả thi, báo cáo kinh tế - kỹ thuật đầu tư xây dựng dự án PPP;
- Phụ lục II - Mẫu số 04: Quyết định phê duyệt dự án PPP.
11. Yêu cầu, điều kiện thực hiện thủ tục (nếu có):
- Đối với dự án áp dụng loại hợp đồng BT không yêu cầu thanh toán do nhà đầu tư đề xuất đề xuất phải đáp ứng các điều kiện sau đây:
- Sự cần thiết đầu tư;
- Phù hợp với ngành, lĩnh vực quy định tại khoản b khoản 1 Điều 4 của Luật PPP; có ý kiến của Bộ Quốc phòng, Bộ Công an đối với dự án thuộc ngành, lĩnh vực quốc phòng, an ninh và trật tự, an toàn xã hội;
- Không trùng lặp với dự án đã có quyết định chủ trương đầu tư hoặc quyết định phê duyệt dự án;
- Không trùng với dự án PPP đang được cơ quan có thẩm quyền tổ chức lập báo cáo nghiên cứu tiền khả thi hoặc đã chấp thuận nhà đầu tư khác lập báo cáo nghiên cứu tiền khả thi; báo cáo nghiên cứu khả thi;
- Phù hợp với kế hoạch phát triển kinh tế - xã hội và quy hoạch có liên quan theo quy định của pháp luật về quy hoạch đã được cấp có thẩm quyền quyết định hoặc phê duyệt.
12. Căn cứ pháp lý của thủ tục hành chính
- Luật Đầu tư theo phương thức đối tác công tư số 64/2020/QH14;
- Luật số 03/2022/QH15 sửa đổi, bổ sung một số điều của Luật Đầu tư công, Luật Đầu tư theo phương thức đối tác công tư, Luật Đầu tư, Luật Nhà ở, Luật Đấu thầu, Luật Điện lực, Luật Doanh nghiệp, Luật Thuế tiêu thụ đặc biệt và Luật thi hành án dân sự;
- Luật số 57/2024/QH15 sửa đổi, bổ sung một số điều của Luật Quy hoạch, Luật Đầu tư, Luật Đầu tư theo phương thức đối tác công tư và Luật Đấu thầu;
- Luật số 90/2025/QH15 sửa đổi, bổ sung một số điều của Luật Đấu thầu, Luật Đầu tư theo phương thức đối tác công tư, Luật Hải quan, Luật Thuế giá trị gia tăng, Luật Thuế xuất khẩu, thuế nhập khẩu, Luật Đầu tư, Luật Đầu tư công, Luật Quản lý, sử dụng tài sản công;
- Nghị định số 29/2021/NĐ-CP ngày 26 tháng 3 năm 2021 của Chính phủ quy định về trình tự, thủ tục thẩm định dự án quan trọng quốc gia và giám sát, đánh giá đầu tư.
- Nghị định số 243/2025/NĐ-CP ngày 11 tháng 9 năm 2025 của Chính phủ quy định chi tiết một số điều của Luật Đầu tư theo phương thức đối tác công tư.
III. Công bố dự án đầu tư kinh doanh (gồm dự án đầu tư có sử dụng đất) đối với dự án không thuộc diện chấp thuận chủ trương đầu tư do nhà đầu tư đề xuất
1. Trình tự thực hiện
(i) Nhà đầu tư lập hồ sơ đề xuất dự án. Đối với dự án được xác định thuộc trường hợp lựa chọn nhà đầu tư trong trường hợp đặc biệt (trừ trường hợp dự án quy định tại điểm a khoản 4 Điều 44a của Nghị định số 115/2024/NĐ-CP), nhà đầu tư đề xuất áp dụng hình thức lựa chọn nhà đầu tư trong trường hợp đặc biệt trong quá trình tổ chức lập hồ sơ đề xuất dự án. Nhà đầu tư chịu mọi chi phí lập hồ sơ đề xuất dự án.
(ii) Nhà đầu tư nộp hồ sơ theo một trong ba trường hợp sau đây:
- Đối với dự án đầu tư do Ủy ban nhân dân cấp tỉnh là cơ quan có thẩm quyền, nhà đầu tư nộp hồ sơ đề xuất dự án cho Sở Tài chính. Sở Tài chính báo cáo Chủ tịch Ủy ban nhân dân cấp tỉnh giao một cơ quan chuyên môn tổng hợp, xem xét hồ sơ đề xuất dự án của nhà đầu tư;
- Đối với dự án đầu tư do Ban Quản lý khu kinh tế là cơ quan có thẩm quyền, nhà đầu tư nộp hồ sơ đề xuất dự án cho cơ quan, đơn vị được Trưởng Ban Quản lý khu kinh tế giao nhiệm vụ tiếp nhận và xem xét hồ sơ đề xuất dự án của nhà đầu tư;
Trường hợp Ủy ban nhân dân cấp tỉnh, Ban Quản lý khu kinh tế đã ban hành quyết định phân công cơ quan, đơn vị tiếp nhận hồ sơ đề xuất dự án thì nhà đầu tư nộp cho cơ quan, đơn vị đó;
(iii) Cơ quan, đơn vị xem xét sự phù hợp của hồ sơ đề xuất dự án, trình người có thẩm quyền phê duyệt thông tin dự án.
Đối với dự án được nhà đầu tư đề xuất áp dụng hình thức lựa chọn nhà đầu tư trong trường hợp đặc biệt (trừ trường hợp dự án quy định tại điểm a khoản 4 Điều 44a của Nghị định số 115/2024/NĐ-CP), cơ quan có thẩm quyền xem xét, đánh giá năng lực tài chính và điều kiện thực hiện dự án của nhà đầu tư trong quá trình xem xét sự phù hợp của hồ sơ đề xuất dự án. Cơ quan có thẩm quyền phê duyệt thông tin dự án đồng thời phê duyệt nhà đầu tư được lựa chọn trong trường hợp đặc biệt.
(iv) Ủy ban nhân dân cấp tỉnh, Ban quản lý khu kinh tế giao cơ quan, tổ chức, đơn vị thuộc, trực thuộc hoặc Ủy ban nhân dân cấp xã đăng tải thông tin dự án đầu tư có sử dụng đất lên Hệ thống mạng đấu thầu quốc gia trước khi tổ chức đấu thầu lựa chọn nhà đầu tư (trừ trường hợp dự án quy định tại Điều 44a của Nghị định số 115/2024/NĐ-CP).
2. Cách thức thực hiện: Trực tiếp hoặc qua bưu chính.
3. Thành phần hồ sơ:
a) Hồ sơ đề xuất dự án đầu tư kinh doanh của nhà đầu tư gồm các thông tin sau:
- Tên dự án; mục tiêu; quy mô đầu tư; vốn đầu tư;
- Địa điểm thực hiện dự án; hiện trạng sử dụng đất, diện tích khu đất thực hiện dự án; mục đích sử dụng đất; các chỉ tiêu quy hoạch được duyệt;
- Thời hạn, tiến độ thực hiện dự án; sơ bộ phương án phân kỳ đầu tư hoặc phân chia dự án thành phần (nếu có); tiến độ thực hiện dự án theo từng giai đoạn (nếu có);
- Nội dung khác có liên quan (nếu có).
b) Các thành phần hồ sơ gồm:
(i) Văn bản đề nghị thực hiện dự án đầu tư, gồm cả cam kết chịu mọi chi phí, rủi ro nếu dự án không được chấp thuận;
(ii) Tài liệu về tư cách pháp lý của nhà đầu tư;
(iii) Tài liệu chứng minh năng lực tài chính của nhà đầu tư gồm ít nhất một trong các tài liệu sau: báo cáo tài chính 02 năm gần nhất của nhà đầu tư; cam kết hỗ trợ tài chính của công ty mẹ; cam kết hỗ trợ tài chính của tổ chức tài chính; bảo lãnh về năng lực tài chính của nhà đầu tư; tài liệu chứng minh năng lực tài chính của nhà đầu tư.
Đối với trường hợp nhà đầu tư đề xuất áp dụng lựa chọn nhà đầu tư trong trường hợp đặc biệt (trừ trường hợp dự án quy định tại điểm a khoản 4 Điều 44a của Nghị định số 115/2024/NĐ-CP), tài liệu chứng minh khả năng thu xếp vốn chủ sở hữu, huy động vốn vay; phương án xây dựng, vaanh hành, kinh doanh, khai thác, quản lý công trình; yêu cầu khác.
4. Số bộ hồ sơ: 04 bộ.
5. Thời hạn giải quyết:
a) Về thời hạn xem xét hồ sơ đề xuất dự án của nhà đầu tư:
(i) Đối với dự án đầu tư do Ủy ban nhân dân cấp tỉnh là cơ quan có thẩm quyền:
- Trong thời hạn 03 ngày làm việc kể từ ngày nhận được đề xuất dự án, Sở Tài chính báo cáo Chủ tịch Ủy ban nhân dân cấp tỉnh giao một cơ quan chuyên môn tổng hợp, xem xét hồ sơ đề xuất dự án của nhà đầu tư;
- Sau khi Ủy ban nhân dân cấp tỉnh giao cơ quan, đơn vị tổng hợp, xem xét hồ sơ đề xuất dự án của nhà đầu tư, trong thời hạn 25 ngày, cơ quan, đơn vị được giao nhiệm vụ phối hợp với các cơ quan có liên quan xem xét sự phù hợp của hồ sơ đề xuất dự án;
(ii) Đối với dự án đầu tư do Ban Quản lý khu kinh tế là cơ quan có thẩm quyền, trong thời hạn 25 ngày, cơ quan, đơn vị được giao nhiệm vụ xem xét sự phù hợp của hồ sơ đề xuất dự án;
b) Về thời hạn đăng tải thông tin: trước khi tổ chức đấu thầu lựa chọn nhà đầu tư.
6. Cơ quan thực hiện:
- UBND cấp tỉnh;
- Sở Tài chính; cơ quan, đơn vị thuộc, trực thuộc UBND cấp tỉnh (dự án do UBND cấp tỉnh là cơ quan có thẩm quyền);
- Ban Quản lý khu kinh tế;
- Cơ quan, đơn vị được Trưởng Ban quản lý khu kinh tế giao nhiệm vụ tiếp nhận và xem xét hồ sơ đề xuất dự án của nhà đầu tư (đối với dự án do Ban Quản lý khu kinh tế là cơ quan có thẩm quyền).
- Ủy ban nhân dân cấp xã.
7. Đối tượng thực hiện thủ tục hành chính: Tổ chức, cá nhân.
8. Kết quả thực hiện thủ tục hành chính: Văn bản phê duyệt thông tin dự án đầu tư kinh doanh được công bố hoặc văn bản phê duyệt thông tin dự án đầu tư kinh doanh đồng thời phê duyệt nhà đầu tư được lựa chọn trong trường hợp đặc biệt.
9. Lệ phí (nếu có và văn bản quy định về phí, lệ phí): Không có.
10. Tên mẫu đơn, mẫu tờ khai (đính kèm): Không có.
11. Yêu cầu, điều kiện thực hiện thủ tục (nếu có): Không có.
12. Căn cứ pháp lý của thủ tục hành chính:
- Luật Đấu thầu số 22/2023/QH15 ngày 23 tháng 6 năm 2023;
- Luật số 57/2024/QH15 sửa đổi, bổ sung một số điều của Luật Quy hoạch, Luật Đầu tư, Luật Đầu tư theo phương thức đối tác công tư và Luật Đấu thầu;
- Luật số 90/2025/QH15 sửa đổi, bổ sung một số điều của Luật Đấu thầu, Luật Đầu tư theo phương thức đối tác công tư, Luật Hải quan, Luật Thuế giá trị gia tăng, Luật Thuế xuất khẩu, thuế nhập khẩu, Luật Đầu tư, Luật Đầu tư công, Luật Quản lý, sử dụng tài sản công;
- Nghị định số 23/2024/NĐ-CP ngày 27 tháng 02 năm 2024 của Chính phủ quy định chi tiết một số điều và biện pháp thi hành Luật Đấu thầu về lựa chọn nhà đầu tư thực hiện dự án thuộc trường hợp phải tổ chức đấu thầu theo quy định của pháp luật quản lý ngành, lĩnh vực;
- Nghị định số 115/2024/NĐ-CP ngày 16 tháng 9 năm 2024 của Chính phủ quy định chi tiết một số điều và biện pháp thi hành Luật Đấu thầu về lựa chọn nhà đầu tư thực hiện dự án đầu tư có sử dụng đất;
- Nghị định số 225/2025/NĐ-CP ngày 15 tháng 8 năm 2025 của Chính phủ sửa đổi, bổ sung một số điều của các Nghị định quy định chi tiết một số điều và biện pháp thi hành Luật Đấu thầu về lựa chọn nhà đầu tư.
C. MẪU ĐƠN, MẪU TỜ KHAI KÈM THEO NỘI DUNG TTHC
Phụ lục II
(Kèm theo Nghị định số 243/2025/NĐ-CP Ngày 11 tháng 9 năm 2025 của Chính phủ)
| Mẫu số 01 | Báo cáo nghiên cứu khả thi dự án PPP |
| Mẫu số 02 | Báo cáo kinh tế - kỹ thuật đầu tư xây dựng dự án PPP |
| Mẫu số 03 | Báo cáo thẩm định báo cáo nghiên cứu khả thi, báo cáo kinh tế - kỹ thuật đầu tư xây dựng dự án PPP |
| Mẫu số 04 | Quyết định phê duyệt dự án PPP |
Mẫu số 01
BÁO CÁO NGHIÊN CỨU KHẢ THI DỰ ÁN PPP
Báo cáo nghiên cứu khả thi (BCNCKT) là tài liệu trình bày các nội dung nghiên cứu về sự cần thiết, tính khả thi và hiệu quả của dự án PPP. Phụ lục này hướng dẫn các nội dung được trình bày trong BCNCKT để cấp có thẩm quyền phê duyệt dự án.
Căn cứ tính chất, quy mô, lĩnh vực của dự án, đơn vị chuẩn bị dự án hoặc nhà đầu tư lập BCNCKT theo các nội dung được hướng dẫn dưới đây. Trường hợp áp dụng Mẫu này để trình bày các nội dung điều chỉnh BCNCKT, đơn vị chuẩn bị dự án hoặc nhà đầu tư sắp xếp, lựa chọn các nội dung phù hợp.
A. THÔNG TIN CƠ BẢN CỦA DỰ ÁN
Tóm tắt và thuyết minh thông tin cơ bản của dự án, bao gồm:
1. Tên dự án.
2. Tên cơ quan có thẩm quyền, cơ quan ký kết hợp đồng.
3. Tên đơn vị chuẩn bị dự án hoặc nhà đầu tư lập báo cáo nghiên cứu khả thi; tên cơ quan, đơn vị tiếp nhận hồ sơ của nhà đầu tư.
4. Địa điểm, quy mô, công suất dự án, diện tích sử dụng đất.
5. Yêu cầu về kỹ thuật (không áp dụng đối với dự án ứng dụng công nghệ cao, công nghệ mới do cơ quan có thẩm quyền lập báo cáo nghiên cứu khả thi).
6. Tổng mức đầu tư.
7. Vốn nhà nước trong dự án PPP (nếu có), giá trị tối thiểu và thời hạn nộp ngân sách nhà nước (đối với dự án áp dụng loại hợp đồng O&M).
8. Loại hợp đồng dự án.
9. Các chỉ tiêu chính thuộc phương án tài chính.
10. Thời hạn hợp đồng dự án.
11. Ưu đãi và bảo đảm đầu tư
12. Tên bên mời thầu, hình thức lựa chọn nhà đầu tư và thời gian tổ chức lựa chọn nhà đầu tư
B. CĂN CỨ LẬP BÁO CÁO NGHIÊN CỨU KHẢ THI
Liệt kê các văn bản pháp lý chủ yếu làm căn cứ lập BCNCKT, bao gồm:
1. Các Luật, Nghị định và Thông tư hướng dẫn liên quan đến việc triển khai dự án theo phương thức PPP.
2. Các Luật, Nghị định và Thông tư hướng dẫn liên quan đến ngành, lĩnh vực đầu tư của dự án.
3. Các nghị quyết hoặc quyết định phê duyệt kế hoạch phát triển kinh tế - xã hội của quốc gia và quy hoạch có liên quan theo quy định của pháp luật về quy hoạch.
4. Các quyết định, văn bản của cấp có thẩm quyền trong các bước lập, thẩm định BCNCTKT, quyết định chủ trương đầu tư (nếu có); trường hợp dự án áp dụng loại hợp đồng O&M, các quyết định, văn bản của cấp có thẩm quyền liên quan đến công trình, hệ thống cơ sở hạ tầng.
C. THÀNH PHẦN HỒ SƠ TRÌNH
Liệt kê thành phần hồ sơ trình tương ứng với từng giai đoạn
I. THÀNH PHẦN HỒ SƠ ĐỀ NGHỊ THẨM ĐỊNH BCNCKT (HOẶC NỘI DUNG ĐIỀU CHỈNH BCNCKT)
1. Văn bản đề nghị thẩm định.
2. Dự thảo tờ trình đề nghị phê duyệt dự án (hoặc điều chỉnh dự án).
3. BCNCKT (hoặc nội dung điều chỉnh BCNCKT).
4. Quyết định chủ trương đầu tư (hoặc quyết định điều chỉnh chủ trương đầu tư) (nếu có).
5. Tài liệu pháp lý khác có liên quan của dự án.
II. THÀNH PHẦN HỒ SƠ ĐỀ NGHỊ PHÊ DUYỆT DỰ ÁN (HOẶC ĐIỀU CHỈNH DỰ ÁN)
1. Tờ trình đề nghị phê duyệt dự án (hoặc điều chỉnh dự án).
2. Dự thảo quyết định phê duyệt dự án (hoặc quyết định điều chỉnh dự án).
3. BCNCKT (hoặc nội dung điều chỉnh BCNCKT).
4. Báo cáo thẩm định BCNCKT (hoặc báo cáo thẩm định nội dung điều chỉnh BCNCKT).
5. Quyết định chủ trương đầu tư (hoặc quyết định điều chỉnh chủ trương đầu tư) (nếu có).
6. Tài liệu pháp lý khác có liên quan của dự án.
D. NỘI DUNG BÁO CÁO NGHIÊN CỨU KHẢ THI
I. SỰ CẦN THIẾT ĐẦU TƯ DỰ ÁN
1. Bối cảnh chung
- Trường hợp dự án có cấu phần xây dựng, thuyết minh các nội dung sau:
+ Thuyết minh chi tiết bối cảnh chung về kinh tế - xã hội của quốc gia, địa phương trong giai đoạn dự án được triển khai; các điều kiện, môi trường tự nhiên tác động đến dự án.
+ Tổng quan về ngành, lĩnh vực mà dự án đề xuất, các ảnh hưởng trực tiếp, gián tiếp của các quy định về pháp luật chuyên ngành đối với dự án.
+ Phân tích chi tiết sự phù hợp của dự án đối với chiến lược, kế hoạch phát triển kinh tế - xã hội của quốc gia và quy hoạch có liên quan theo quy định của pháp luật về quy hoạch.
+ Nhận định các lợi ích dự kiến dự án sẽ đóng góp cho quốc gia và/hoặc địa phương.
- Trường hợp dự án áp dụng loại hợp đồng O&M, thuyết minh sự phù hợp của dự án và các lợi ích dự kiến dự án sẽ đóng góp cho quốc gia và/hoặc địa phương.
2. Hiện trạng khu vực thực hiện dự án
- Trường hợp dự án khởi công mới, thuyết minh về hiện trạng, thực trạng của khu vực, địa điểm sẽ triển khai dự án.
- Trường hợp dự án cải tạo, sửa chữa, nâng cấp, đánh giá bổ sung hiện trạng của công trình cần cải tạo, sửa chữa, nâng cấp.
- Trường hợp dự án áp dụng loại hợp đồng O&M, đánh giá hiện trạng công trình, hệ thống cơ sở hạ tầng thuộc dự án; máy móc, thiết bị và các loại tài sản khác có liên quan.
3. Các dự án có liên quan
- Nêu thông tin cơ bản về các dự án có liên quan (bao gồm dự án hỗ trợ và dự án cạnh tranh) có thể tác động về mặt doanh thu, lợi nhuận, chi phí... đến dự án được đề xuất; thuyết minh tác động tích cực cũng như ảnh hưởng tiêu cực của các dự án đó đối với dự án được đề xuất.
- Trường hợp lập BCNCKT của dự án thành phần, phân tích mối liên hệ với các dự án thành phần còn lại.
4. Lợi thế của việc đầu tư theo phương thức PPP
Phân tích chi tiết lợi thế đối với dự án khi đầu tư theo phương thức PPP so với hình thức đầu tư khác trên cơ sở các nội dung:
- Khả năng thu hút nguồn vốn;
- Công nghệ áp dụng;
- Kinh nghiệm quản lý, vận hành của khu vực tư nhân;
- Chất lượng dịch vụ cung cấp;
- Rủi ro về quản lý hợp đồng;
- Các yếu tố khác của khu vực tư nhân và nhà nước (nếu có).
5. Kết quả tiếp thu ý kiến về tác động của việc đầu tư thực hiện dự án (đối với dự án áp dụng cơ chế thu phí trực tiếp từ người sử dụng)
- Tổng hợp ý kiến tham vấn về việc đầu tư thực hiện dự án của các cơ quan, tổ chức sau đây: Hội đồng nhân dân, Ủy ban nhân dân, Mặt trận Tổ Quốc Việt Nam cấp tỉnh nơi thực hiện dự án, đoàn đại biểu quốc hội tỉnh, thành phố nơi thực hiện dự án; hiệp hội nghề nghiệp liên quan đến lĩnh vực đầu tư.
- Nêu giải trình, tiếp thu ý kiến tham vấn của các cơ quan, tổ chức nói trên.
6. Khảo sát sự quan tâm của nhà đầu tư và bên cho vay (nếu có)
Thuyết minh quá trình tổ chức khảo sát, kết quả khảo sát sự quan tâm của nhà đầu tư, bên cho vay.
II. THÔNG TIN CHI TIẾT VỀ DỰ ÁN
1. Mục tiêu của dự án
Xác định mục tiêu tổng thể và mục tiêu cụ thể của dự án, bao gồm:
- Mục tiêu tổng thể: Đóng góp của dự án vào việc thực hiện các mục tiêu chung của quốc gia; những lợi ích dự án đóng góp cho kinh tế - xã hội của quốc gia, địa phương và ngành, lĩnh vực.
- Mục tiêu cụ thể: Những vấn đề, thực trạng được giải quyết; số lượng đối tượng hưởng lợi từ dự án; quy mô, công suất dự án cần đạt được để đáp ứng nhu cầu sử dụng.
2. Quy mô, công suất của dự án (không áp dụng đối với hợp đồng O&M)
Phân tích nhu cầu sử dụng công trình, hệ thống cơ sở hạ tầng, sản phẩm, dịch vụ công trên cơ sở quy hoạch, dữ liệu khảo sát thực tiễn hoặc các số liệu dự báo; thuyết minh quy mô, công suất của dự án; trường hợp cần phân kỳ đầu tư, nêu rõ quy mô, công suất của từng thời kỳ cho phù hợp với dự báo về tăng trưởng nhu cầu.
3. Địa điểm thực hiện dự án (không áp dụng đối với hợp đồng O&M)
Mô tả địa điểm, khu đất thực hiện dự án trên cơ sở các nội dung sau: Phạm vi, diện tích đất sử dụng, hiện trạng khu đất được sử dụng, hành lang bảo vệ (nếu có), diện tích xây dựng công trình, lợi thế của địa điểm đối với dự án; kết quả khảo sát địa điểm thực hiện dự án (nếu tổ chức). Trường hợp xung quanh hoặc trong địa phận thực hiện dự án có các dự án hoặc công trình khác đang hoặc sắp triển khai, phân tích mức độ ảnh hưởng của các dự án đó đối với dự án đang được đề xuất.
4. Nhu cầu sử dụng đất, mặt nước và tài nguyên khác (nếu có)
Nêu diện tích, hiện trạng đất, mặt nước và tài nguyên khác (nếu có) được sử dụng để thực hiện dự án (không áp dụng đối với hợp đồng O&M).
5. Phương án bồi thường, hỗ trợ, tái định cư (không áp dụng đối với hợp đồng O&M)
Trường hợp hiện trạng khu đất chưa được giải phóng, thuyết minh phương án bồi thường, hỗ trợ, tái định cư đối với dự án đang được đề xuất theo quy định hiện hành.
III. THUYẾT MINH VỀ KỸ THUẬT (không áp dụng đối với dự án PPP ứng dụng công nghệ cao theo quy định của pháp luật về công nghệ cao, ứng dụng công nghệ mới theo quy định của pháp luật về chuyển giao công nghệ trong trường hợp dự án do cơ quan có thẩm quyền lập báo cáo nghiên cứu khả thi)
1. Yêu cầu về phương án kỹ thuật, công nghệ, tiêu chuẩn chất lượng công trình, hệ thống cơ sở hạ tầng, sản phẩm, dịch vụ công được cung cấp (không áp dụng đối với hợp đồng O&M)
- Xác định các phương án kỹ thuật, công nghệ trên cơ sở quy mô, công suất của dự án; tiêu chuẩn chất lượng, định mức của ngành; tính sẵn có và khả năng ứng dụng thực tiễn của công nghệ; rủi ro về kỹ thuật, công nghệ (nếu có); yêu cầu về việc cung cấp nguyên liệu đầu vào chủ yếu cho các hoạt động sản xuất, kinh doanh (nếu có).
- Mô tả về phương án kỹ thuật, công nghệ được lựa chọn. Đây là cơ sở để tính toán tổng mức đầu tư của dự án (nếu có). Nêu rõ việc nhà đầu tư được đề xuất phương án kỹ thuật, công nghệ khác đáp ứng chỉ số đánh giá chất lượng thực hiện dự án về mặt kỹ thuật và mang lại hiệu quả cao hơn cho dự án.
2. Đối với dự án áp dụng loại hợp đồng O&M, căn cứ phân tích về hiện trạng công trình, hệ thống cơ sở hạ tầng thuộc dự án; máy móc, thiết bị và các loại tài sản khác có liên quan, thuyết minh yêu cầu về việc tổ chức quản lý, vận hành, kinh doanh công trình, hệ thống cơ sở hạ tầng của dự án nhằm cung cấp sản phẩm, dịch vụ công. Nêu rõ các yêu cầu về kỹ thuật, quy chuẩn, tiêu chuẩn kỹ thuật, công nghệ áp dụng để vận hành, kinh doanh công trình, hệ thống cơ sở hạ tầng; yêu cầu về nâng cấp, cập nhật kỹ thuật, công nghệ trong quá trình triển khai hợp đồng
- Trường hợp dự án sử dụng vốn đầu tư công làm phần vốn hỗ trợ xây dựng, nêu căn cứ, lý do, yêu cầu của kỹ thuật, tính chất công trình để thuyết minh phương thức quản lý và sử dụng nguồn vốn đầu tư công trong dự án PPP (tiểu dự án hoặc hạng mục).
- Trường hợp khảo sát thị trường về một số yêu cầu, tiêu chuẩn kỹ thuật thực hiện dự án, phân tích kết quả khảo sát và nêu các nội dung được tiếp thu sau khi khảo sát.
3. Yêu cầu về chất lượng công trình, hệ thống cơ sở hạ tầng, sản phẩm, dịch vụ công được cung cấp
Nêu cụ thể các yêu cầu về kỹ thuật, chất lượng công trình, hệ thống cơ sở hạ tầng của dự án, sản phẩm, dịch vụ công cung cấp thông qua tiêu chuẩn, chỉ số đánh giá chất lượng thực hiện dự án về mặt kỹ thuật; quy trình kiểm soát chất lượng, kế hoạch bảo trì, bảo dưỡng.
4. Thiết kế cơ sở (không áp dụng đối với hợp đồng O&M)
- Nội dung thiết kế cơ sở trong BCNCKT được lập theo quy định của pháp luật về xây dựng (đối với dự án có cấu phần xây dựng) hoặc được lập theo quy định của pháp luật chuyên ngành (đối với dự án không có cấu phần xây dựng).
- Trường hợp dự án áp dụng loại hợp đồng O&M cần bổ sung hạng mục để triển khai thực hiện, phương án thiết kế của hạng mục này được lập theo quy định của pháp luật về xây dựng, pháp luật chuyên ngành (nếu có).
5. Quản lý tài sản kết cấu hạ tầng hiện có tham gia dự án (đối với hợp đồng O&M)
Việc quản lý tài sản kết cấu hạ tầng hiện có tham gia dự án thực hiện theo Luật Quản lý, sử dụng tài sản công, Luật PPP và các quy định liên quan.
6. Phương án tổ chức quản lý, kinh doanh hoặc cung cấp sản phẩm, dịch vụ công.
IV. PHÂN TÍCH HIỆU QUẢ KINH TẾ - XÃ HỘI CỦA DỰ ÁN; TÁC ĐỘNG VỀ MÔI TRƯỜNG, XÃ HỘI VÀ QUỐC PHÒNG, AN NINH
1. Xác định các yếu tố chi phí và lợi ích về mặt kinh tế - xã hội
Xác định chi tiết các yếu tố chi phí và lợi ích về mặt kinh tế - xã hội của dự án theo các nhóm yếu tố dưới đây:
- Nhóm yếu tố có thể định lượng và quy đổi được thành tiền (được sử dụng để tính toán các chỉ tiêu phân tích hiệu quả kinh tế - xã hội của dự án, ví dụ: đối với dự án áp dụng loại hợp đồng O&M, lợi ích thu được từ việc nhận giá trị nộp ngân sách nhà nước; lợi ích thu được do nhà nước không phải bố trí vốn ngân sách hàng năm cho công tác quản lý, vận hành khai thác, bảo trì công trình, hệ thống cơ sở hạ tầng).
- Nhóm yếu tố có thể định lượng nhưng không định giá được (ví dụ: lợi ích do cải thiện về môi trường, lợi ích do thúc đẩy tăng trưởng kinh tế, gia tăng việc làm...).
- Nhóm yếu tố chỉ có thể định tính (ví dụ: lợi ích do tăng tính kết nối giữa các vùng sản xuất và đầu mối tiêu thụ, cải thiện chất lượng cuộc sống của người dân vùng dự án, lợi ích do nhà nước không phải tổ chức bộ máy để trực tiếp kinh doanh, khai thác công trình, hệ thống cơ sở hạ tầng...).
2. Các chỉ tiêu phân tích hiệu quả kinh tế - xã hội của dự án
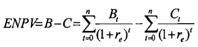
a) Giá trị hiện tại ròng kinh tế (ENPV)
ENPV là hiệu số giữa tổng lợi ích mang lại trừ đi tổng chi phí bỏ ra trong thời gian tính toán kinh tế, được quy đổi về hiện tại. Để đảm bảo dự án đạt hiệu quả kinh tế - xã hội, ENPV phải dương (> 0) và được tính theo công thức sau:

Trong đó:
Bt: lợi ích năm thứ t;
Ct: chi phí năm thứ t;
t: năm trong vòng đời dự án (0, 1, 2,..., n);
n: số năm hoạt động của dự án (thời gian hợp đồng dự án);
re: tỷ suất chiết khấu kinh tế của dự án. Giá trị re được xác định theo quy định của từng ngành. Trường hợp chưa được quy định cụ thể thì đơn vị lập BCNCKT có thể tham khảo giá trị re = 10% hoặc đề xuất giá trị tính toán khác nhưng cần có thuyết minh về lý do lựa chọn giá trị đó.
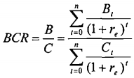
b) Tỷ số lợi ích trên chi phí về kinh tế (BCR)
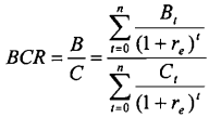
BCR là tỷ số giữa tổng lợi ích mà việc đầu tư mang lại trên tổng chi phí bỏ ra trong quá trình đầu tư và khai thác đã được quy về giá trị hiện tại. Để đảm bảo dự án đạt hiệu quả kinh tế - xã hội, BCR phải lớn hơn 1 (> 1) và được tính theo công thức sau:

Trong đó: Bt, Ct, t, n, re có ý nghĩa tương tự như trong công thức tính ENPV nêu trên.
c) Tỷ suất nội hoàn kinh tế (EIRR)
Tỷ suất nội hoàn kinh tế là tỷ suất chiết khấu kinh tế tối đa để dự án thu hồi nguồn vốn đầu tư và chi phí vận hành, đạt được sự hòa vốn. EIRR bằng giá trị tỷ suất chiết khấu (re) trong trường hợp ENPV = 0 và được xác định thông qua việc giải phương trình sau:
![]()
Trong đó: Bt, Ct, t, n có ý nghĩa tương tự như trong công thức tính ENPV nêu trên.
Để đảm bảo dự án đạt hiệu quả kinh tế - xã hội, EIRR phải lớn hơn tỷ suất chiết khấu xã hội (SDR - Social Discount Rate): EIRR > SDR. Giá trị SDR được xác định theo quy định của từng ngành. Trường hợp chưa được quy định cụ thể thì đơn vị lập BCNCKT có thể tham khảo giá trị SDR = 10% hoặc đề xuất giá trị tính toán khác nhưng cần có thuyết minh về lý do lựa chọn giá trị đó.
3. Kết luận về hiệu quả kinh tế - xã hội của dự án
Trên cơ sở phân tích theo hướng dẫn nêu trên, BCNCKT nêu kết luận về hiệu quả kinh tế - xã hội của dự án.
Trường hợp không đủ điều kiện xác định các yếu tố chi phí và lợi ích có thể định lượng và quy đổi được thành tiền làm cơ sở để tính toán các chỉ tiêu phân tích hiệu quả kinh tế - xã hội của dự án, BCNCKT nêu kết luận về hiệu quả kinh tế - xã hội của dự án trên cơ sở các nhóm yếu tố còn lại.
4. Tác động môi trường, xã hội, quốc phòng, an ninh của dự án
- Lập hồ sơ đánh giá tác động môi trường theo pháp luật về bảo vệ môi trường. Trường hợp dự án sử dụng tài nguyên thiên nhiên làm yếu tố đầu vào chính (thuộc các lĩnh vực như năng lượng, điện, nước...), phân tích chi tiết về tác động của dự án đối với nguồn tài nguyên thiên nhiên và biện pháp giảm thiểu tác động tiêu cực.
- Thuyết minh yếu tố tác động đến xã hội trong quá trình thực hiện dự án như hỗ trợ tái định cư, bình đẳng giới, lao động, tạo việc làm... và các biện pháp giảm thiểu tác động tiêu cực.
- Trường hợp dự án có tác động về quốc phòng, an ninh quốc gia, bảo vệ bí mật nhà nước, phân tích chi tiết nội dung này căn cứ ý kiến của Bộ Quốc phòng, Bộ Công an hoặc Công an tỉnh, thành phố tại địa bàn thực hiện dự án tại bước quyết định chủ trương đầu tư dự án.
V. PHÂN TÍCH TÀI CHÍNH DỰ ÁN
1. Các thông số đầu vào sử dụng trong mô hình tài chính
- Chi phí trong suốt vòng đời dự án: Chi phí trong suốt vòng đời dự án gồm tổng mức đầu tư và chi phí khai thác, vận hành trong suốt vòng đời dự án. Trong đó, tổng mức đầu tư được xác định theo quy định của pháp luật về xây dựng đối với dự án có cấu phần xây dựng hoặc theo pháp luật chuyên ngành, pháp luật khác có liên quan đối với dự án không có cấu phần xây dựng. Chi phí khai thác, vận hành trong suốt vòng đời dự án bằng các chi phí liên quan đến vận hành và bảo dưỡng công trình dự án; các chi phí nhân lực để vận hành và bảo dưỡng công trình dự án; chi phí quản lý dự án; chi phí tư vấn giám sát, dự phòng...
- Doanh thu: xác định doanh thu của dự án qua từng năm (doanh thu ở mức căn bản, doanh thu ở mức tối đa và doanh thu ở mức tối thiểu) trên cơ sở các nội dung về dự báo nhu cầu; giá, phí sản phẩm, dịch vụ và các khoản thu khác của dự án (xem xét cơ sở pháp lý để xác định giá, phí; dự kiến lộ trình tăng giá, phí), trừ trường hợp pháp luật có quy định khác.
- Các thông số đầu vào khác: Lãi vay, thời gian vay; tỷ lệ lạm phát; tỷ giá; tỷ lệ khấu hao và các thông số khác.
2. Phương án tài chính của dự án
Trình bày nội dung phương án tài chính (nội dung chi tiết thực hiện theo hướng dẫn của Chính phủ tại Nghị định quy định chi tiết cơ chế tài chính trong dự án PPP), bao gồm:
- Tổng mức đầu tư: Trên cơ sở các thuyết minh về kỹ thuật được lựa chọn, BCNCKT xác định tổng mức đầu tư của dự án (nếu có).
- Cơ cấu nguồn vốn của nhà đầu tư/doanh nghiệp dự án (vốn chủ sở hữu, vốn vay và các nguồn vốn hợp pháp khác) và phương án huy động vốn giả định; thời gian vay, kỳ hạn phát hành trái phiếu doanh nghiệp (nếu có); chi phí huy động vốn: lãi suất vốn vay, lãi suất phát hành trái phiếu doanh nghiệp (nếu có) và chi phí cần thiết liên quan đến huy động vốn (nếu có);
- Vốn nhà nước tham gia trong dự án dự kiến (nếu có), cụ thể bao gồm:
+ Vốn hỗ trợ xây dựng công trình, hệ thống cơ sở hạ tầng thuộc dự án PPP: vốn đầu tư công;
+ Vốn thanh toán (bao gồm phương thức thanh toán) cho nhà đầu tư thực hiện dự án áp dụng loại hợp đồng BTL, BLT;
+ Vốn nhà nước để chi trả kinh phí bồi thường, giải phóng mặt bằng, hỗ trợ tái định cư, hỗ trợ xây dựng công trình tạm.
- Phương án thu hồi vốn đầu tư và lợi nhuận của nhà đầu tư đối với dự án áp dụng loại hợp đồng BOT, BTO, BOO và O&M.
- Giá trị tối thiểu, thời hạn nộp ngân sách nhà nước đối với dự án áp dụng loại hợp đồng O&M. Trong đó, nêu rõ giá trị khoản tiền mà nhà đầu tư sẽ nộp ngân sách nhà nước, cách thức xử lý khoản tiền nộp ngân sách nhà nước và lãi suất phát sinh (nếu có) trong trường hợp nhà đầu tư vi phạm hợp đồng; hình thức nộp ngân sách nhà nước (nộp một lần sau khi hợp đồng có hiệu lực hoặc nộp hằng năm với số tiền bằng giá trị nộp ngân sách nhà nước chia cho số năm theo thời hạn hợp đồng, trường hợp nộp hằng năm thì nêu mức lãi suất áp dụng đối với số tiền chưa nộp và lãi phát sinh trong trường hợp chậm nộp), thời hạn, phương thức nộp ngân sách nhà nước.
- Thời hạn hợp đồng dự án. Đối với dự án áp dụng loại hợp đồng O&M, thời hạn hợp đồng dự án được xác định căn cứ thời hạn giao đất, cho thuê đất theo quy định của pháp luật về đất đai; yêu cầu về kỹ thuật, công nghệ của từng loại công trình, hệ thống cơ sở hạ tầng; thời gian cần sửa chữa định kỳ; thời gian sử dụng công trình, hệ thống cơ sở hạ tầng; phương án tài chính, giá trị nộp ngân sách nhà nước tối thiểu; các yếu tố khác theo quy định pháp luật chuyên ngành.
- Đề xuất ưu đãi đảm bảo phương án tài chính của dự án (nếu có).
- Dự kiến các khoản chi phí của dự án trong thời gian vận hành.
- Các thông số đầu vào, chỉ tiêu tài chính.
3. Dự báo nhu cầu
BCNCKT phân tích nhu cầu sử dụng công trình, hệ thống cơ sở hạ tầng của dự án, sản phẩm, dịch vụ công được cung cấp; dự báo tốc độ tăng trưởng nhu cầu trong tương lai, cụ thể:
- Phân tích nhu cầu hiện tại: Căn cứ hiện trạng dự án, quy mô, công suất dự án, xác định số lượng đối tượng hưởng lợi từ dự án.
- Dự báo nhu cầu tương lai: Xây dựng các kịch bản về nhu cầu (tối đa, trung bình, tối thiểu) trong suốt vòng đời dự án.
- Phân tích khả năng chi trả của cộng đồng người sử dụng, tổ chức bao tiêu đối với dự án áp dụng loại hợp đồng BOT, BTO, BOO, O&M.
4. Các chỉ tiêu tài chính xem xét tính khả thi của dự án
Căn cứ nội dung phương án tài chính và các thông số đầu vào của mô hình tài chính, tính khả thi về tài chính của dự án được xem xét trên cơ sở các chỉ tiêu tài chính sau:
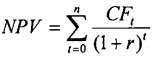
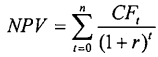
- Giá trị hiện tại ròng tài chính (NPV) của dự án là giá trị hiện tại của dòng tiền thuần trong suốt vòng đời dự án. Để đảm bảo dự án đạt hiệu quả tài chính, NPV phải dương (> 0) và được tính theo công thức sau:

Trong đó:
CFt: giá trị dòng tiền thuần là khoản chênh lệch giữa số tiền thu được (dòng tiền vào) và số tiền chi ra (dòng tiền ra) của dự án tại năm thứ t;
t: năm trong vòng đời dự án (0, 1, 2,..., n);
n: số năm hoạt động của dự án (thời gian hợp đồng dự án);
r: tỷ suất chiết khấu.
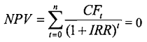
- Tỷ suất nội hoàn tài chính (IRR) cho biết lợi nhuận của dự án, không bao gồm cơ cấu huy động vốn. IRR là tỷ suất chiết khấu (r) tại điều kiện biên NPV = 0 và được tính toán thông qua việc giải phương trình sau đây:

Trong đó: CFt, t, n có ý nghĩa tương tự như trong công thức tính NPV nêu trên.
Để đánh giá dự án khả thi về mặt tài chính, IRR của dự án sau khi tính toán cần được so sánh với các giá trị: (i) Chi phí vốn bình quân gia quyền của dự án (WACC); (ii) IRR của các dự án có tính chất tương tự, trong cùng lĩnh vực; (iii) IRR kỳ vọng tối thiểu của các nhà đầu tư tiềm năng đối với dự án. Dự án có tính khả thi về tài chính khi IRR lớn hơn giá trị (i) và phù hợp với các giá trị (ii), (iii). Ngoài ra, có thể sử dụng chỉ số khả năng trả nợ (DSCR) để đánh giá tính khả thi về tài chính đối với bên cho vay của dự án.
Căn cứ điều kiện cụ thể của từng dự án, BCNCKT bổ sung các chỉ tiêu đánh giá tính khả thi của phương án tài chính theo quy định tại Nghị định cơ chế quản lý tài chính dự án PPP.
5. Kết luận về tính khả thi tài chính của dự án
Trên cơ sở các phân tích tại các Mục nêu trên, căn cứ tính chất của từng loại hợp đồng dự án, nêu kết luận về tính khả thi tài chính của dự án.
6. Quản lý và sử dụng vốn nhà nước trong dự án PPP
Căn cứ kết quả phân tích hiệu quả kinh tế - xã hội và phương án tài chính của dự án, thuyết minh các nội dung có liên quan đến việc quản lý và sử dụng vốn nhà nước trong dự án PPP, bao gồm:
- Đối với dự án cần vốn hỗ trợ xây dựng công trình, hệ thống cơ sở hạ tầng thuộc dự án PPP: Nêu căn cứ pháp lý về việc cân đối và bố trí vốn đầu tư công trong kế hoạch đầu tư công trung hạn, dự kiến việc cân đối và bố trí trong kế hoạch đầu tư công hàng năm; nêu phương thức quản lý và sử dụng (tiểu dự án hoặc hạng mục), kế hoạch và tiến độ giải ngân nguồn vốn cho nhà đầu tư.
- Đối với dự án cần vốn thanh toán cho doanh nghiệp dự án PPP: Nêu sơ bộ nguồn vốn và khả năng cân đối (dự kiến về kế hoạch đầu tư công trung hạn và hàng năm đối với nguồn vốn đầu tư công hoặc kế hoạch vốn, dự toán chi đối với nguồn vốn hợp pháp khác theo quy định của pháp luật); phương thức, kế hoạch và tiến độ giải ngân nguồn vốn cho nhà đầu tư.
- Đối với dự án cần vốn nhà nước để chi trả kinh phí bồi thường, giải phóng mặt bằng, hỗ trợ tái định cư, hỗ trợ xây dựng công trình tạm: Căn cứ phương án bồi thường, hỗ trợ, tái định cư, nêu dự kiến về kế hoạch đầu tư công trung hạn và hàng năm; dự kiến kế hoạch và tiến độ giải ngân nguồn vốn.
VI. LOẠI HỢP ĐỒNG DỰ ÁN
1. Căn cứ lựa chọn loại hợp đồng cho dự án
BCNCKT xác định dự án thuộc nhóm hợp đồng áp dụng cơ chế thu phí trực tiếp từ người sử dụng hoặc tổ chức bao tiêu sản phẩm, dịch vụ công hoặc nhóm hợp đồng áp dụng cơ chế Nhà nước thanh toán trên cơ sở chất lượng sản phẩm, dịch vụ công, căn cứ thuyết minh về các nội dung sau:
- Phương án kỹ thuật, công nghệ;
- Phương án tài chính (dự báo nhu cầu, nguồn thu và khả năng thu hồi vốn cho nhà đầu tư, thời gian hoàn vốn và thời hạn hợp đồng dự án, khả năng chi trả của cộng đồng người sử dụng, tổ chức bao tiêu đối với dự án áp dụng loại hợp đồng BOT, BTO, BOO, O&M).
2. Trách nhiệm của các bên trong việc thực hiện hợp đồng dự án
Thuyết minh chi tiết về vai trò, trách nhiệm trong suốt vòng đời dự án của các bên có liên quan, bao gồm: Cơ quan có thẩm quyền, nhà đầu tư, doanh nghiệp dự án và các tổ chức khác có liên quan (bên cho vay, đơn vị cung ứng đầu vào, đơn vị bao tiêu sản phẩm, nhà thầu...).
3. Phân tích các rủi ro chính của dự án
Mô tả và đánh giá các rủi ro chính trong suốt vòng đời dự án như: Rủi ro về pháp lý (thay đổi chính sách, pháp luật), rủi ro về quyền sử dụng đất, rủi ro về môi trường, rủi ro về kỹ thuật, công nghệ được lựa chọn, rủi ro về thiết kế và xây dựng, rủi ro về tài khóa (ngân sách trung ương, địa phương, khả năng cung cấp bảo lãnh, bảo đảm không dẫn đến các khoản nợ ngoài dự kiến cho phía Nhà nước), rủi ro về doanh thu (nhu cầu của thị trường, lưu lượng...), rủi ro vận hành...
4. Cơ chế phân bổ và quản lý rủi ro
Thuyết minh cụ thể cơ chế phân bổ, quản lý rủi ro (bao gồm các biện pháp giảm thiểu rủi ro), trách nhiệm giữa cơ quan có thẩm quyền và đối tác tư nhân (nhà đầu tư, doanh nghiệp dự án, bên cho vay...) trong quá trình thực hiện dự án.
VII. CÁC HÌNH THỨC ƯU ĐÃI, BẢO ĐẢM ĐẦU TƯ
1. Ưu đãi, bảo đảm đầu tư
Thuyết minh chi tiết về các đề xuất ưu đãi đầu tư (bao gồm ưu đãi đặc thù của ngành, lĩnh vực hoặc của địa phương), các loại hình bảo lãnh, bảo đảm của Chính phủ và điều kiện kèm theo cũng như các nghĩa vụ cần thiết khác trong thời gian thực hiện hợp đồng dự án.
2. Cơ chế chia sẻ phần giảm doanh thu
Nêu rõ việc dự án được áp dụng cơ chế chia sẻ rủi ro; dự kiến nguồn vốn và khả năng cân đối nguồn vốn để xử lý rủi ro giảm doanh thu theo quyết định chủ trương đầu tư (nếu có).
VIII. QUẢN LÝ THỰC HIỆN DỰ ÁN
1. Hình thức, cơ cấu tổ chức quản lý thực hiện dự án PPP
Thuyết minh hình thức, cơ cấu tổ chức quản lý thực hiện dự án của cơ quan có thẩm quyền, nhà đầu tư, doanh nghiệp dự án (nếu có) đối với từng giai đoạn cụ thể; phương thức để cơ quan có thẩm quyền phối hợp với nhà đầu tư, doanh nghiệp dự án trong quá trình thực hiện dự án.
Đối với dự án có cấu phần xây dựng, nhà đầu tư, doanh nghiệp dự án lựa chọn hình thức quản lý dự án theo quy định của pháp luật về xây dựng. Đối với dự án không có cấu phần xây dựng, hình thức quản lý dự án theo quy định của pháp luật khác có liên quan.
2. Nội dung quản lý thực hiện dự án
Thuyết minh các nội dung quản lý thực hiện dự án bao gồm nội dung và phương thức giám sát chất lượng công trình; giám sát thực hiện hợp đồng dự án, đảm bảo cung cấp sản phẩm, dịch vụ công ổn định, liên tục; phương thức nhà đầu tư thực hiện kinh doanh, khai thác công trình, hệ thống cơ sở hạ tầng, cung cấp sản phẩm, dịch vụ công.
Xác định các chỉ số đánh giá chất lượng thực hiện dự án trên các khía cạnh: Kỹ thuật, vận hành, môi trường, xã hội, tài chính, tiến độ... làm cơ sở xây dựng hồ sơ mời thầu, hợp đồng dự án và giám sát chất lượng công trình dự án, sản phẩm, dịch vụ công mà nhà đầu tư, doanh nghiệp dự án cung cấp.
IX. KẾ HOẠCH TỔ CHỨC THỰC HIỆN DỰ ÁN
1. Tổ chức lựa chọn nhà đầu tư (không áp dụng đối với dự án PPP quy định tại khoản 4 Điều 11 của Luật PPP)
- Tên bên mời thầu.
- Hình thức lựa chọn nhà đầu tư.
- Thời gian tổng thể và các mốc thời gian dự kiến tổ chức lựa chọn nhà đầu tư (dạng bảng theo dõi tiến độ).
2. Kế hoạch thực hiện hợp đồng dự án
- Đề xuất cơ quan thực hiện việc ký kết và thực hiện hợp đồng.
- Thời gian đàm phán và ký kết hợp đồng dự án với nhà đầu tư, doanh nghiệp dự án; đóng tài chính của dự án và hợp đồng dự án bắt đầu có hiệu lực.
- Thời gian thực hiện hợp đồng dự án (bao gồm thời điểm chấm dứt hợp đồng dự án). Trường hợp dự án có cấu phần xây dựng, xác định cụ thể tiến độ xây dựng công trình, thời gian vận hành và chuyển giao công trình.
- Trường hợp dự án phải phân kỳ để giảm sự phức tạp của việc đầu tư hoặc tăng tính khả thi về tài chính và sự hấp dẫn của dự án, BCNCKT phân tích nguyên nhân, dự kiến kế hoạch phân kỳ và trình bày các phương pháp thực hiện.
3. Nguyên tắc xử lý các chi phí trong quá trình chuẩn bị dự án do nhà đầu tư lập báo cáo nghiên cứu khả thi như sau:
a) Trường hợp báo cáo nghiên cứu khả thi không được phê duyệt hoặc không lựa chọn được nhà đầu tư thực hiện dự án, nhà đầu tư chịu mọi rủi ro, chi phí;
b) Trường hợp sau khi tổ chức lựa chọn nhà đầu tư, nhà đầu tư đề xuất dự án không được lựa chọn, chi phí lập báo cáo nghiên cứu tiền khả thi, báo cáo nghiên cứu khả thi sẽ do nhà đầu tư được lựa chọn hoàn trả cho nhà đầu tư đề xuất.
Trường hợp cần thiết, cơ quan, đơn vị tiếp nhận hồ sơ của nhà đầu tư ký kết văn bản thỏa thuận với nhà đầu tư lập báo cáo nghiên cứu khả thi về các nguyên tắc nêu tại mục này.
Đ. KẾT LUẬN VÀ KIẾN NGHỊ
Trình bày các nội dung kết luận chính của BCNCKT đã được phân tích ở trên, phù hợp, khả thi để triển khai đầu tư theo phương thức PPP. Theo đó, đưa ra kiến nghị cấp có thẩm quyền phê duyệt dự án hoặc các kiến nghị khác (nếu có).
Mẫu số 02
BÁO CÁO KINH TẾ - KỸ THUẬT ĐẦU TƯ XÂY DỰNG DỰ ÁN PPP
Báo cáo kinh tế - kỹ thuật đầu tư xây dựng dự án PPP (BCKTKT) là tài liệu trình bày các nội dung nghiên cứu về sự cần thiết, tính khả thi và hiệu quả của dự án PPP. Phụ lục này hướng dẫn các nội dung được trình bày trong BCKTKT để cấp có thẩm quyền phê duyệt dự án.
Căn cứ tính chất, quy mô, lĩnh vực của dự án, đơn vị chuẩn bị dự án hoặc nhà đầu tư lập BCKTKT theo các nội dung được hướng dẫn dưới đây. Trường hợp áp dụng Mẫu này để trình bày các nội dung điều chỉnh BCNCKT, đơn vị chuẩn bị dự án hoặc nhà đầu tư sắp xếp, lựa chọn các nội dung phù hợp.
A. THÔNG TIN CƠ BẢN CỦA DỰ ÁN
Tóm tắt và thuyết minh thông tin cơ bản của dự án, bao gồm:
1. Tên dự án.
2. Tên cơ quan có thẩm quyền, cơ quan ký kết hợp đồng.
3. Tên đơn vị chuẩn bị dự án hoặc nhà đầu tư lập báo cáo kinh tế - kỹ thuật đầu tư xây dựng; tên cơ quan, đơn vị tiếp nhận hồ sơ của nhà đầu tư.
4. Tổng mức đầu tư.
5. Vốn nhà nước trong dự án PPP (nếu có), giá trị tối thiểu và thời hạn nộp ngân sách nhà nước (đối với dự án áp dụng loại hợp đồng O&M).
6. Loại hợp đồng dự án.
7. Ưu đãi và bảo đảm đầu tư
8. Tên bên mời thầu, hình thức lựa chọn nhà đầu tư và thời gian tổ chức lựa chọn nhà đầu tư
B. CĂN CỨ LẬP BÁO CÁO KINH TẾ - KỸ THUẬT ĐẦU TƯ XÂY DỰNG
Liệt kê các văn bản pháp lý chủ yếu làm căn cứ lập BCKTKT, bao gồm:
1. Các Luật, Nghị định và Thông tư hướng dẫn liên quan đến việc triển khai dự án theo phương thức PPP.
2. Các Luật, Nghị định và Thông tư hướng dẫn liên quan đến ngành, lĩnh vực đầu tư của dự án.
3. Các quyết định, văn bản của cấp có thẩm quyền trong các bước lập, thẩm định báo cáo đề xuất chủ trương đầu tư, quyết định chủ trương đầu tư (nếu có); trường hợp dự án áp dụng loại hợp đồng O&M, các quyết định, văn bản của cấp có thẩm quyền liên quan đến công trình, hệ thống cơ sở hạ tầng.
C. THÀNH PHẦN HỒ SƠ TRÌNH
Liệt kê thành phần hồ sơ trình tương ứng với từng giai đoạn
I. THÀNH PHẦN HỒ SƠ ĐỀ NGHỊ THẨM ĐỊNH BCKTKT (HOẶC NỘI DUNG ĐIỀU CHỈNH BCKTKT)
1. Văn bản đề nghị thẩm định.
2. Dự thảo tờ trình đề nghị phê duyệt dự án (hoặc điều chỉnh dự án).
3. BCKTKT (hoặc nội dung điều chỉnh BCKTKT).
4. Quyết định chủ trương đầu tư (hoặc quyết định điều chỉnh chủ trương đầu tư) (nếu có).
5. Tài liệu pháp lý khác có liên quan của dự án.
II. THÀNH PHẦN HỒ SƠ ĐỀ NGHỊ PHÊ DUYỆT DỰ ÁN (HOẶC ĐIỀU CHỈNH DỰ ÁN)
1. Tờ trình đề nghị phê duyệt dự án (hoặc điều chỉnh dự án).
2. Dự thảo quyết định phê duyệt dự án (hoặc quyết định điều chỉnh dự án).
3. BCKTKT (hoặc nội dung điều chỉnh BCKTKT).
4. Báo cáo thẩm định BCNCKT (hoặc báo cáo thẩm định nội dung điều chỉnh BCNCKT).
5. Quyết định chủ trương đầu tư (hoặc quyết định điều chỉnh chủ trương đầu tư) (nếu có).
6. Tài liệu pháp lý khác có liên quan của dự án.
D. NỘI DUNG BÁO CÁO KINH TẾ - KỸ THUẬT ĐẦU TƯ XÂY DỰNG
I. SỰ CẦN THIẾT ĐẦU TƯ DỰ ÁN
1. Bối cảnh chung
- Trường hợp dự án có cấu phần xây dựng, thuyết minh các nội dung sau:
+ Thuyết minh bối cảnh chung về kinh tế - xã hội của quốc gia, địa phương trong giai đoạn dự án được triển khai.
+ Tổng quan về ngành, lĩnh vực mà dự án đề xuất, các ảnh hưởng trực tiếp, gián tiếp của các quy định về pháp luật chuyên ngành đối với dự án.
+ Nhận định các lợi ích dự kiến dự án sẽ đóng góp cho quốc gia và/hoặc địa phương.
- Trường hợp dự án áp dụng loại hợp đồng O&M, thuyết minh sự phù hợp của dự án và các lợi ích dự kiến dự án sẽ đóng góp cho quốc gia và/hoặc địa phương.
2. Hiện trạng khu vực thực hiện dự án
- Trường hợp dự án khởi công mới, thuyết minh về hiện trạng, thực trạng của khu vực, địa điểm sẽ triển khai dự án.
- Trường hợp dự án cải tạo, sửa chữa, nâng cấp, đánh giá bổ sung hiện trạng của công trình cần cải tạo, sửa chữa, nâng cấp.
- Trường hợp dự án áp dụng loại hợp đồng O&M, đánh giá hiện trạng công trình, hệ thống cơ sở hạ tầng thuộc dự án; máy móc, thiết bị và các loại tài sản khác có liên quan.
3. Lợi thế của việc đầu tư theo phương thức PPP:
Phân tích chi tiết lợi thế đối với dự án khi đầu tư theo phương thức PPP so với hình thức đầu tư khác trên cơ sở các nội dung:
- Khả năng thu hút nguồn vốn;
- Chất lượng dịch vụ cung cấp;
- Các yếu tố khác của khu vực tư nhân và nhà nước (nếu có).
II. PHÂN TÍCH HIỆU QUẢ KINH TẾ - XÃ HỘI CỦA DỰ ÁN; TÁC ĐỘNG VỀ MÔI TRƯỜNG, XÃ HỘI VÀ QUỐC PHÒNG, AN NINH
1. Xác định các yếu tố chi phí và lợi ích về mặt kinh tế - xã hội
Xác định chi tiết các yếu tố chi phí và lợi ích về mặt kinh tế - xã hội của dự án theo các nhóm yếu tố dưới đây:
- Nhóm yếu tố có thể định lượng và quy đổi được thành tiền (được sử dụng để tính toán các chỉ tiêu phân tích hiệu quả kinh tế - xã hội của dự án, ví dụ: đối với dự án áp dụng loại hợp đồng O&M, lợi ích thu được từ việc nhận giá trị nộp ngân sách nhà nước; lợi ích thu được do nhà nước không phải bố trí vốn ngân sách hàng năm cho công tác quản lý, vận hành khai thác, bảo trì công trình, hệ thống cơ sở hạ tầng).
- Nhóm yếu tố có thể định lượng nhưng không định giá được (ví dụ: lợi ích do cải thiện về môi trường, lợi ích do thúc đẩy tăng trưởng kinh tế, gia tăng việc làm...).
- Nhóm yếu tố chỉ có thể định tính (ví dụ: lợi ích do tăng tính kết nối giữa các vùng sản xuất và đầu mối tiêu thụ, cải thiện chất lượng cuộc sống của người dân vùng dự án, lợi ích do nhà nước không phải tổ chức bộ máy để trực tiếp kinh doanh, khai thác công trình, hệ thống cơ sở hạ tầng...).
2. Các chỉ tiêu phân tích hiệu quả kinh tế - xã hội của dự án
a) Giá trị hiện tại ròng kinh tế (ENPV)
ENPV là hiệu số giữa tổng lợi ích mang lại trừ đi tổng chi phí bỏ ra trong thời gian tính toán kinh tế, được quy đổi về hiện tại. Để đảm bảo dự án đạt hiệu quả kinh tế - xã hội, ENPV phải dương (> 0) và được tính theo công thức sau:

Trong đó:
Bt: lợi ích năm thứ t;
Ct: chi phí năm thứ t;
t: năm trong vòng đời dự án (0, 1, 2,..., n);
n: số năm hoạt động của dự án (thời gian hợp đồng dự án);
re: tỷ suất chiết khấu kinh tế của dự án. Giá trị re được xác định theo quy định của từng ngành. Trường hợp chưa được quy định cụ thể thì đơn vị lập BCNCKT có thể tham khảo giá trị re = 10% hoặc đề xuất giá trị tính toán khác nhưng cần có thuyết minh về lý do lựa chọn giá trị đó.
b) Tỷ số lợi ích trên chi phí về kinh tế (BCR)
BCR là tỷ số giữa tổng lợi ích mà việc đầu tư mang lại trên tổng chi phí bỏ ra trong quá trình đầu tư và khai thác đã được quy về giá trị hiện tại. Để đảm bảo dự án đạt hiệu quả kinh tế - xã hội, BCR phải lớn hơn 1 (> 1) và được tính theo công thức sau:

Trong đó: Bt, Ct, t, n, re có ý nghĩa tương tự như trong công thức tính ENPV nêu trên.
c) Tỷ suất nội hoàn kinh tế (EIRR)
Tỷ suất nội hoàn kinh tế là tỷ suất chiết khấu kinh tế tối đa để dự án thu hồi nguồn vốn đầu tư và chi phí vận hành, đạt được sự hòa vốn. EIRR bằng giá trị tỷ suất chiết khấu (re) trong trường hợp ENPV = 0 và được xác định thông qua việc giải phương trình sau:
![]()
Trong đó: Bt, Ct, t, n có ý nghĩa tương tự như trong công thức tính ENPV nêu trên.
Để đảm bảo dự án đạt hiệu quả kinh tế - xã hội, EIRR phải lớn hơn tỷ suất chiết khấu xã hội (SDR - Social Discount Rate): EIRR > SDR. Giá trị SDR được xác định theo quy định của từng ngành. Trường hợp chưa được quy định cụ thể thì đơn vị lập BCKTKT có thể tham khảo giá trị SDR = 10% hoặc đề xuất giá trị tính toán khác nhưng cần có thuyết minh về lý do lựa chọn giá trị đó.
3. Kết luận về hiệu quả kinh tế - xã hội của dự án
Trên cơ sở phân tích theo hướng dẫn nêu trên, BCKTKT nêu kết luận về hiệu quả kinh tế - xã hội của dự án.
Trường hợp không đủ điều kiện xác định các yếu tố chi phí và lợi ích có thể định lượng và quy đổi được thành tiền làm cơ sở để tính toán các chỉ tiêu phân tích hiệu quả kinh tế - xã hội của dự án, BCKTKT nêu kết luận về hiệu quả kinh tế - xã hội của dự án trên cơ sở các nhóm yếu tố còn lại.
III. PHÂN TÍCH TÀI CHÍNH DỰ ÁN
1. Các thông số đầu vào sử dụng trong mô hình tài chính
- Chi phí trong suốt vòng đời dự án: Chi phí trong suốt vòng đời dự án gồm tổng mức đầu tư và chi phí khai thác, vận hành trong suốt vòng đời dự án. Trong đó, tổng mức đầu tư được xác định theo quy định của pháp luật về xây dựng đối với dự án có cấu phần xây dựng hoặc theo pháp luật chuyên ngành, pháp luật khác có liên quan đối với dự án không có cấu phần xây dựng. Chi phí khai thác, vận hành trong suốt vòng đời dự án bằng các chi phí liên quan đến vận hành và bảo dưỡng công trình dự án; các chi phí nhân lực để vận hành và bảo dưỡng công trình dự án; chi phí quản lý dự án; chi phí tư vấn giám sát, dự phòng...
- Doanh thu: xác định doanh thu của dự án qua từng năm (doanh thu ở mức căn bản, doanh thu ở mức tối đa và doanh thu ở mức tối thiểu) trên cơ sở các nội dung về dự báo nhu cầu; giá, phí sản phẩm, dịch vụ và các khoản thu khác của dự án (xem xét cơ sở pháp lý để xác định giá, phí; dự kiến lộ trình tăng giá, phí), trừ trường hợp pháp luật có quy định khác.
- Các thông số đầu vào khác: Lãi vay, thời gian vay; tỷ lệ lạm phát; tỷ giá; tỷ lệ khấu hao và các thông số khác.
2. Phương án tài chính của dự án
Trình bày nội dung phương án tài chính (nội dung chi tiết thực hiện theo hướng dẫn của Chính phủ tại Nghị định quy định chi tiết cơ chế tài chính trong dự án PPP), bao gồm:
- Tổng mức đầu tư: Trên cơ sở các thuyết minh về kỹ thuật được lựa chọn, BCKTKT xác định tổng mức đầu tư của dự án (nếu có).
- Cơ cấu nguồn vốn của nhà đầu tư/doanh nghiệp dự án (vốn chủ sở hữu, vốn vay và các nguồn vốn hợp pháp khác) và phương án huy động vốn giả định; thời gian vay, kỳ hạn phát hành trái phiếu doanh nghiệp (nếu có); chi phí huy động vốn: lãi suất vốn vay, lãi suất phát hành trái phiếu doanh nghiệp (nếu có) và chi phí cần thiết liên quan đến huy động vốn (nếu có);
- Vốn nhà nước tham gia trong dự án dự kiến (nếu có), cụ thể bao gồm:
+ Vốn hỗ trợ xây dựng công trình, hệ thống cơ sở hạ tầng thuộc dự án PPP: vốn đầu tư công;
+ Vốn thanh toán (bao gồm phương thức thanh toán) cho nhà đầu tư thực hiện dự án áp dụng loại hợp đồng BTL, BLT;
+ Vốn nhà nước để chi trả kinh phí bồi thường, giải phóng mặt bằng, hỗ trợ tái định cư, hỗ trợ xây dựng công trình tạm.
- Phương án thu hồi vốn đầu tư và lợi nhuận của nhà đầu tư đối với dự án áp dụng loại hợp đồng BOT, BTO, BOO và O&M.
- Giá trị tối thiểu, thời hạn nộp ngân sách nhà nước đối với dự án áp dụng loại hợp đồng O&M. Trong đó, nêu rõ giá trị khoản tiền mà nhà đầu tư sẽ nộp ngân sách nhà nước, cách thức xử lý khoản tiền nộp ngân sách nhà nước và lãi suất phát sinh (nếu có) trong trường hợp nhà đầu tư vi phạm hợp đồng; hình thức nộp ngân sách nhà nước (nộp một lần sau khi hợp đồng có hiệu lực hoặc nộp hằng năm với số tiền bằng giá trị nộp ngân sách nhà nước chia cho số năm theo thời hạn hợp đồng, trường hợp nộp hằng năm thì nêu mức lãi suất áp dụng đối với số tiền chưa nộp và lãi phát sinh trong trường hợp chậm nộp), thời hạn, phương thức nộp ngân sách nhà nước.
- Thời hạn hợp đồng dự án. Đối với dự án áp dụng loại hợp đồng O&M, thời hạn hợp đồng dự án được xác định căn cứ thời hạn giao đất, cho thuê đất theo quy định của pháp luật về đất đai; yêu cầu về kỹ thuật, công nghệ của từng loại công trình, hệ thống cơ sở hạ tầng; thời gian cần sửa chữa định kỳ; thời gian sử dụng công trình, hệ thống cơ sở hạ tầng; phương án tài chính, giá trị nộp ngân sách nhà nước tối thiểu; các yếu tố khác theo quy định pháp luật chuyên ngành.
- Đề xuất ưu đãi đảm bảo phương án tài chính của dự án (nếu có).
- Dự kiến các khoản chi phí của dự án trong thời gian vận hành.
- Các thông số đầu vào, chỉ tiêu tài chính.
3. Dự báo nhu cầu
BCKTKT phân tích nhu cầu sử dụng công trình, hệ thống cơ sở hạ tầng của dự án, sản phẩm, dịch vụ công được cung cấp; dự báo tốc độ tăng trưởng nhu cầu trong tương lai, cụ thể:
- Phân tích nhu cầu hiện tại: Căn cứ hiện trạng dự án, quy mô, công suất dự án, xác định số lượng đối tượng hưởng lợi từ dự án.
- Dự báo nhu cầu tương lai: Xây dựng các kịch bản về nhu cầu (tối đa, trung bình, tối thiểu) trong suốt vòng đời dự án.
- Phân tích khả năng chi trả của cộng đồng người sử dụng, tổ chức bao tiêu đối với dự án áp dụng loại hợp đồng BOT, BTO, BOO, O&M.
4. Các chỉ tiêu tài chính xem xét tính khả thi của dự án
Căn cứ nội dung phương án tài chính và các thông số đầu vào của mô hình tài chính, tính khả thi về tài chính của dự án được xem xét trên cơ sở các chỉ tiêu tài chính sau:
- Giá trị hiện tại ròng tài chính (NPV) của dự án là giá trị hiện tại của dòng tiền thuần trong suốt vòng đời dự án. Để đảm bảo dự án đạt hiệu quả tài chính, NPV phải dương (> 0) và được tính theo công thức sau:

Trong đó:
CFt: giá trị dòng tiền thuần là khoản chênh lệch giữa số tiền thu được (dòng tiền vào) và số tiền chi ra (dòng tiền ra) của dự án tại năm thứ t;
t: năm trong vòng đời dự án (0, 1, 2,..., n);
n: số năm hoạt động của dự án (thời gian hợp đồng dự án);
r: tỷ suất chiết khấu.
- Tỷ suất nội hoàn tài chính (IRR) cho biết lợi nhuận của dự án, không bao gồm cơ cấu huy động vốn. IRR là tỷ suất chiết khấu (r) tại điều kiện biên NPV = 0 và được tính toán thông qua việc giải phương trình sau đây:

Trong đó: CFt, t, n có ý nghĩa tương tự như trong công thức tính NPV nêu trên.
Để đánh giá dự án khả thi về mặt tài chính, IRR của dự án sau khi tính toán cần được so sánh với các giá trị: (i) Chi phí vốn bình quân gia quyền của dự án (WACC); (ii) IRR của các dự án có tính chất tương tự, trong cùng lĩnh vực; (iii) IRR kỳ vọng tối thiểu của các nhà đầu tư tiềm năng đối với dự án. Dự án có tính khả thi về tài chính khi IRR lớn hơn giá trị (i) và phù hợp với các giá trị (ii), (iii). Ngoài ra, có thể sử dụng chỉ số khả năng trả nợ (DSCR) để đánh giá tính khả thi về tài chính đối với bên cho vay của dự án.
Căn cứ điều kiện cụ thể của từng dự án, BCKTKT bổ sung các chỉ tiêu đánh giá tính khả thi của phương án tài chính theo quy định tại Nghị định cơ chế quản lý tài chính dự án PPP.
5. Kết luận về tính khả thi tài chính của dự án
Trên cơ sở các phân tích tại các Mục nêu trên, căn cứ tính chất của từng loại hợp đồng dự án, nêu kết luận về tính khả thi tài chính của dự án.
6. Quản lý và sử dụng vốn nhà nước trong dự án PPP
Căn cứ kết quả phân tích hiệu quả kinh tế - xã hội và phương án tài chính của dự án, thuyết minh các nội dung có liên quan đến việc quản lý và sử dụng vốn nhà nước trong dự án PPP, bao gồm:
- Đối với dự án cần vốn hỗ trợ xây dựng công trình, hệ thống cơ sở hạ tầng thuộc dự án PPP: Nêu căn cứ pháp lý về việc cân đối và bố trí vốn đầu tư công trong kế hoạch đầu tư công trung hạn, dự kiến việc cân đối và bố trí trong kế hoạch đầu tư công hàng năm; nêu phương thức quản lý và sử dụng (tiểu dự án hoặc hạng mục), kế hoạch và tiến độ giải ngân nguồn vốn cho nhà đầu tư.
- Đối với dự án cần vốn thanh toán cho doanh nghiệp dự án PPP: Nêu sơ bộ nguồn vốn và khả năng cân đối (dự kiến về kế hoạch đầu tư công trung hạn và hàng năm đối với nguồn vốn đầu tư công hoặc kế hoạch vốn, dự toán chi đối với nguồn vốn hợp pháp khác theo quy định của pháp luật); phương thức, kế hoạch và tiến độ giải ngân nguồn vốn cho nhà đầu tư.
- Đối với dự án cần vốn nhà nước để chi trả kinh phí bồi thường, giải phóng mặt bằng, hỗ trợ tái định cư, hỗ trợ xây dựng công trình tạm: Căn cứ phương án bồi thường, hỗ trợ, tái định cư, nêu dự kiến về kế hoạch đầu tư công trung hạn và hàng năm; dự kiến kế hoạch và tiến độ giải ngân nguồn vốn.
IV. LOẠI HỢP ĐỒNG DỰ ÁN
1. Căn cứ lựa chọn loại hợp đồng cho dự án
BCKTKT xác định dự án thuộc nhóm hợp đồng áp dụng cơ chế thu phí trực tiếp từ người sử dụng hoặc tổ chức bao tiêu sản phẩm, dịch vụ công hoặc nhóm hợp đồng áp dụng cơ chế Nhà nước thanh toán trên cơ sở chất lượng sản phẩm, dịch vụ công, căn cứ thuyết minh về các nội dung sau:
- Phương án kỹ thuật, công nghệ;
- Phương án tài chính (dự báo nhu cầu, nguồn thu và khả năng thu hồi vốn cho nhà đầu tư, thời gian hoàn vốn và thời hạn hợp đồng dự án, khả năng chi trả của cộng đồng người sử dụng, tổ chức bao tiêu đối với dự án áp dụng loại hợp đồng BOT, BTO, BOO, O&M).
2. Trách nhiệm của các bên trong việc thực hiện hợp đồng dự án
Thuyết minh chi tiết về vai trò, trách nhiệm trong suốt vòng đời dự án của các bên có liên quan, bao gồm: Cơ quan có thẩm quyền, nhà đầu tư, doanh nghiệp dự án và các tổ chức khác có liên quan (bên cho vay, đơn vị cung ứng đầu vào, đơn vị bao tiêu sản phẩm, nhà thầu...).
3. Phân tích các rủi ro chính của dự án
Mô tả và đánh giá các rủi ro chính trong suốt vòng đời dự án như: Rủi ro về pháp lý (thay đổi chính sách, pháp luật), rủi ro về quyền sử dụng đất, rủi ro về môi trường, rủi ro về kỹ thuật, công nghệ được lựa chọn, rủi ro về thiết kế và xây dựng, rủi ro về tài khóa (ngân sách trung ương, địa phương, khả năng cung cấp bảo lãnh, bảo đảm không dẫn đến các khoản nợ ngoài dự kiến cho phía Nhà nước), rủi ro về doanh thu (nhu cầu của thị trường, lưu lượng...), rủi ro vận hành...
4. Cơ chế phân bổ và quản lý rủi ro
Thuyết minh cụ thể cơ chế phân bổ, quản lý rủi ro (bao gồm các biện pháp giảm thiểu rủi ro), trách nhiệm giữa cơ quan có thẩm quyền và đối tác tư nhân (nhà đầu tư, doanh nghiệp dự án, bên cho vay...) trong quá trình thực hiện dự án.
V. CÁC HÌNH THỨC ƯU ĐÃI, BẢO ĐẢM ĐẦU TƯ
1. Ưu đãi, bảo đảm đầu tư
Thuyết minh chi tiết về các đề xuất ưu đãi đầu tư (bao gồm ưu đãi đặc thù của ngành, lĩnh vực hoặc của địa phương), các loại hình bảo lãnh, bảo đảm của Chính phủ và điều kiện kèm theo cũng như các nghĩa vụ cần thiết khác trong thời gian thực hiện hợp đồng dự án.
2. Cơ chế chia sẻ phần giảm doanh thu
Nêu rõ việc dự án được áp dụng cơ chế chia sẻ rủi ro; dự kiến nguồn vốn và khả năng cân đối nguồn vốn để xử lý rủi ro giảm doanh thu theo quyết định chủ trương đầu tư (nếu có).
VI. KẾ HOẠCH TỔ CHỨC THỰC HIỆN DỰ ÁN
1. Tổ chức lựa chọn nhà đầu tư (không áp dụng đối với dự án PPP quy định tại khoản 4 Điều 11 của Luật PPP)
- Tên bên mời thầu.
- Hình thức lựa chọn nhà đầu tư.
- Thời gian tổng thể và các mốc thời gian dự kiến tổ chức lựa chọn nhà đầu tư (dạng bảng theo dõi tiến độ).
2. Kế hoạch thực hiện hợp đồng dự án
- Đề xuất cơ quan thực hiện việc ký kết và thực hiện hợp đồng.
- Thời gian đàm phán và ký kết hợp đồng dự án với nhà đầu tư, doanh nghiệp dự án; đóng tài chính của dự án và hợp đồng dự án bắt đầu có hiệu lực.
- Thời gian thực hiện hợp đồng dự án (bao gồm thời điểm chấm dứt hợp đồng dự án). Trường hợp dự án có cấu phần xây dựng, xác định cụ thể tiến độ xây dựng công trình, thời gian vận hành và chuyển giao công trình.
- Trường hợp dự án phải phân kỳ để giảm sự phức tạp của việc đầu tư hoặc tăng tính khả thi về tài chính và sự hấp dẫn của dự án, BCNCKT phân tích nguyên nhân, dự kiến kế hoạch phân kỳ và trình bày các phương pháp thực hiện.
3. Nguyên tắc xử lý các chi phí trong quá trình chuẩn bị dự án do nhà đầu tư lập báo cáo kinh tế - kỹ thuật đầu tư xây dựng như sau:
a) Trường hợp báo cáo kinh tế - kỹ thuật đầu tư xây dựng không được phê duyệt hoặc không lựa chọn được nhà đầu tư thực hiện dự án, nhà đầu tư chịu mọi rủi ro, chi phí;
b) Trường hợp sau khi tổ chức lựa chọn nhà đầu tư, nhà đầu tư đề xuất dự án không được lựa chọn, chi phí lập báo cáo đề xuất chủ trương đầu tư, báo cáo kinh tế - kỹ thuật đầu tư xây dựng sẽ do nhà đầu tư được lựa chọn hoàn trả cho nhà đầu tư đề xuất.
Trường hợp cần thiết, cơ quan, đơn vị tiếp nhận hồ sơ của nhà đầu tư ký kết văn bản thỏa thuận với nhà đầu tư lập báo cáo kinh tế - kỹ thuật đầu tư xây dựng về các nguyên tắc nêu tại mục này.
Đ. KẾT LUẬN VÀ KIẾN NGHỊ
Trình bày các nội dung kết luận chính của BCKTKT đã được phân tích ở trên, phù hợp, khả thi để triển khai đầu tư theo phương thức PPP. Theo đó, đưa ra kiến nghị cấp có thẩm quyền phê duyệt dự án hoặc các kiến nghị khác (nếu có).
Mẫu số 03
BÁO CÁO THẨM ĐỊNH
BÁO CÁO NGHIÊN CỨU KHẢ THI, BÁO CÁO KINH TẾ - KỸ THUẬT ĐẦU TƯ XÂY DỰNG DỰ ÁN PPP
Căn cứ tính chất, quy mô, lĩnh vực và nội dung của báo cáo nghiên cứu khả thi (BCNCKT), báo cáo kinh tế kỹ thuật đầu tư xây dựng (BCKTKT), báo cáo thẩm định BCNCKT, BCKTKT được thực hiện theo các nội dung hướng dẫn dưới đây. Đối với BCNCKT, BCKTKT do nhà đầu tư lập, cần xem xét các yếu tố khác mà nhà đầu tư thuyết minh. Đơn vị thẩm định dự án cần đưa ra ý kiến nhận xét cụ thể đối với từng nội dung và đề xuất phương án giải quyết trong trường hợp có nội dung chưa đồng thuận hoặc cần bổ sung, hoàn thiện với đơn vị chuẩn bị dự án hoặc nhà đầu tư lập BCNCKT, BCKTKT. Trường hợp áp dụng Mẫu này để thẩm định các nội dung điều chỉnh BCNCKT, đơn vị thẩm định dự án sắp xếp, lựa chọn các nội dung phù hợp.
A. KHÁI QUÁT VỀ DỰ ÁN
Trình bày thông tin khái quát về dự án, bao gồm:
1. Tên dự án.
2. Tên cơ quan có thẩm quyền; cơ quan ký kết hợp đồng.
3. Tên đơn vị chuẩn bị dự án hoặc nhà đầu tư lập báo cáo nghiên cứu khả thi, báo cáo kinh tế - kỹ thuật đầu tư xây dựng.
4. Địa điểm, quy mô, công suất dự án, diện tích sử dụng đất.
5. Yêu cầu về kỹ thuật (không áp dụng đối với dự án PPP ứng dụng công nghệ cao theo quy định của pháp luật về công nghệ cao, ứng dụng công nghệ mới theo quy định của pháp luật về chuyển giao công nghệ trong trường hợp dự án do cơ quan có thẩm quyền lập báo cáo nghiên cứu khả thi).
6. Tổng mức đầu tư.
7. Vốn nhà nước trong dự án PPP (nếu có).
8. Loại hợp đồng dự án.
9. Các chỉ tiêu chính thuộc phương án tài chính.
10. Thời hạn hợp đồng dự án.
11. Ưu đãi và bảo đảm đầu tư.
12. Tên bên mời thầu, hình thức lựa chọn nhà đầu tư và thời gian tổ chức lựa chọn nhà đầu tư
B. TỔNG HỢP Ý KIẾN CỦA CÁC THÀNH VIÊN HỘI ĐỒNG THẨM ĐỊNH/CƠ QUAN, ĐƠN VỊ CÓ LIÊN QUAN
Đơn vị thẩm định dự án tổng hợp ý kiến các cơ quan, đơn vị có liên quan tại Mục này.
C. TỔNG HỢP KẾT QUẢ THẨM ĐỊNH
I. KIỂM TRA HỒ SƠ
Đánh giá về tính đầy đủ về thành phần, nội dung hồ sơ.
II. THẨM ĐỊNH VỀ NỘI DUNG CỦA HỒ SƠ
1. Sự phù hợp với căn cứ pháp lý (trường hợp có nội dung thay đổi so với báo cáo nghiên cứu tiền khả thi, báo cáo đề xuất chủ trương đầu tư)
Đánh giá sự phù hợp của BCNCKT, BCKTKT với các văn bản pháp lý có liên quan.
2. Sự cần thiết đầu tư dự án (trường hợp có nội dung thay đổi so với báo cáo nghiên cứu tiền khả thi, báo cáo đề xuất chủ trương đầu tư)
Đánh giá sự phù hợp của BCNCKT, BCKTKT đối với một số nội dung sau:
- Quy hoạch, kế hoạch phát triển ngành, vùng, kế hoạch phát triển kinh tế - xã hội của địa phương.
- Sự cần thiết đầu tư dự án.
- Tác động của việc thực hiện dự án đối với cộng đồng, dân cư trong phạm vi dự án (căn cứ kết quả tiếp thu ý kiến về tác động của việc thực hiện dự án của Hội đồng nhân dân, Ủy ban nhân dân, Mặt trận Tổ quốc Việt Nam cấp tỉnh nơi thực hiện dự án, hiệp hội nghề nghiệp liên quan đến lĩnh vực đầu tư (đối với dự án áp dụng cơ chế thu phí trực tiếp từ người sử dụng).
- Sự phù hợp của các mục tiêu tổng thể và mục tiêu cụ thể với hiện trạng của ngành, lĩnh vực hoặc địa phương, khả năng giải quyết các vấn đề mà cộng đồng dân cư yêu cầu.
- Lợi thế của việc đầu tư dự án theo phương thức PPP so với các hình thức đầu tư khác.
- Mức độ ảnh hưởng của các dự án có liên quan.
3. Tính khả thi của dự án
a) Thẩm định tính khả thi về mặt kỹ thuật (không áp dụng đối với dự án PPP ứng dụng công nghệ cao theo quy định của pháp luật về công nghệ cao, ứng dụng công nghệ mới theo quy định của pháp luật về chuyển giao công nghệ trong trường hợp dự án do cơ quan có thẩm quyền lập báo cáo nghiên cứu khả thi).
- Các yêu cầu về mặt kỹ thuật: Xem xét sự phù hợp của phương án kỹ thuật, công nghệ với quy mô, công suất của dự án, các tiêu chuẩn, định mức và yêu cầu kỹ thuật đầu vào; tính sẵn có và khả năng ứng dụng thực tiễn của công nghệ được lựa chọn; tính rõ ràng, đầy đủ của việc xác định các rủi ro kỹ thuật chính, tính hợp lý của phương án giảm thiểu các rủi ro đó; tính khả thi của các chỉ số đánh giá chất lượng thực hiện dự án về mặt kỹ thuật.
- Trường hợp dự án sử dụng vốn đầu tư công làm vốn hỗ trợ xây dựng công trình, hệ thống cơ sở hạ tầng, xem xét sự phù hợp của thuyết minh về các yêu cầu kỹ thuật dẫn đến phương thức quản lý và sử dụng phần vốn này (tiểu dự án hoặc hạng mục).
- Thiết kế cơ sở: Tổng hợp ý kiến thẩm định của cơ quan chuyên môn về xây dựng theo pháp luật về xây dựng đối với dự án có cấu phần xây dựng hoặc cơ quan chuyên môn theo quy định của pháp luật chuyên ngành đối với dự án không có cấu phần xây dựng.
- Các yếu tố đầu vào cung ứng cho dự án: Xem xét sự phù hợp của khả năng cung cấp nguyên liệu đầu vào chủ yếu cho các hoạt động sản xuất, kinh doanh của dự án, căn cứ quy mô, công suất theo phân kỳ đầu tư (nếu có).
- Các yếu tố đầu ra của dự án: Xem xét sự phù hợp của các yếu tố đầu ra với quy mô, công suất, nhu cầu sử dụng công trình, hệ thống cơ sở hạ tầng, sản phẩm, dịch vụ công cung cấp; xem xét tính phù hợp của các chỉ số đánh giá chất lượng thực hiện dự án được trình bày trong BCNCKT.
b) Hiệu quả kinh tế - xã hội của dự án (trường hợp có nội dung thay đổi so với báo cáo nghiên cứu tiền khả thi, báo cáo đề xuất chủ trương đầu tư)
- Đóng góp của dự án cho các nhiệm vụ phát triển kinh tế - xã hội: Xem xét tính hợp lý của các nhóm yếu tố chi phí, lợi ích về mặt kinh tế - xã hội và các chỉ tiêu kinh tế (Giá trị hiện tại ròng kinh tế - ENPV; tỷ số lợi ích trên chi phí về kinh tế - BCR; tỷ suất nội hoàn kinh tế - EIRR). Dự án đạt hiệu quả kinh tế - xã hội khi các chỉ tiêu kinh tế nêu trên đáp ứng yêu cầu sau:
ENPV dương (> 0); BCR lớn hơn 1 (> 1); EIRR lớn hơn tỷ suất chiết khấu xã hội (SDR).
- Tác động của dự án đối với môi trường: Hồ sơ đánh giá tác động môi trường của dự án phải được lập và phê duyệt phù hợp với quy định hiện hành của pháp luật về bảo vệ môi trường. Hội đồng thẩm định tổng hợp ý kiến thẩm định của cơ quan chuyên môn theo quy định của pháp luật về môi trường đối với hồ sơ nêu trên.
- Tác động của dự án đối với xã hội: Xem xét sự phù hợp của các tác động được thuyết minh trong BCNCKT đối với các nhóm đối tượng khác nhau trong xã hội, cộng đồng địa phương, những nhóm đối tượng thiệt thòi không có khả năng chi trả giá hoặc phí đối với sản phẩm, dịch vụ công của dự án như: phụ nữ, người nghèo, người tàn tật...
- Tác động của dự án đối với quốc phòng, an ninh (nếu có): Trường hợp dự án có liên quan đến các vấn đề quốc phòng, an ninh, xem xét sự phù hợp của các tác động được trình bày trong BCNCKT.
c) Tính khả thi về mặt tài chính
- Đánh giá tính hợp lý của các yếu tố tài chính đầu vào, các chỉ tiêu tài chính (Giá trị hiện tại ròng tài chính - NPV; tỷ suất nội hoàn tài chính - IRR) và phương án tài chính sơ bộ của dự án. Dự án đạt hiệu quả tài chính khi:
+ NPV dương (> 0).
+ IRR lớn hơn giá trị (i) chi phí vốn bình quân gia quyền của dự án WACC và phù hợp với các giá trị: (ii) IRR của các dự án có tính chất tương tự, trong cùng lĩnh vực; (iii) IRR kỳ vọng tối thiểu của các nhà đầu tư tiềm năng đối với dự án.
- Vốn nhà nước tham gia trong dự án:
+ Xem xét sự phù hợp của giá trị phần vốn, số vốn được bố trí trong kế hoạch đầu tư công trung hạn đối với vốn đầu tư công;
+ Sự phù hợp của giá trị và mục đích sử dụng tài sản công được xác định trong quyết định sử dụng tài sản công để tham gia dự án PPP theo quy định của pháp luật về quản lý, sử dụng tài sản công hoặc vốn từ nguồn thu để lại từ hoạt động cung cấp dịch vụ công để thanh toán cho nhà đầu tư hoặc kế hoạch vốn, dự toán chi đối với vốn từ nguồn chi thường xuyên, phương thức, kế hoạch và tiến độ giải ngân cho nhà đầu tư;
+ Xem xét khả năng bảo đảm không dẫn đến các khoản nợ tài chính ngoài dự kiến cho phía Nhà nước.
- Sự phù hợp của các hình thức ưu đãi, bảo đảm đầu tư; nguồn vốn và khả năng cân đối nguồn vốn để xử lý rủi ro từ dự phòng ngân sách trung ương hay địa phương theo quyết định chủ trương đầu tư.
4. Sự phù hợp của loại hợp đồng dự án (trường hợp có nội dung thay đổi so với báo cáo nghiên cứu tiền khả thi, báo cáo đề xuất chủ trương đầu tư)
Đánh giá sự phù hợp của loại hợp đồng dự án căn cứ các nội dung sau:
- Nguồn thu và khả năng thu hồi vốn cho nhà đầu tư.
- Thời gian hoàn vốn và thời hạn hợp đồng dự án.
- Tính hợp lý trong việc phân chia trách nhiệm của các bên trong quá trình triển khai dự án.
- Các rủi ro chính của dự án được xác định đầy đủ và phù hợp trong các kịch bản tài chính.
- Khả năng xảy ra các rủi ro và mức độ ảnh hưởng đối với dự án được xác định cụ thể và phù hợp.
- Các biện pháp giảm thiểu rủi ro được xác định phù hợp.
5. Sự phù hợp của các nội dung về lựa chọn nhà đầu tư
Xem xét sự phù hợp của hình thức lựa chọn nhà đầu tư được đề xuất, bao gồm:
- Đấu thầu rộng rãi trong nước, quốc tế;
- Đàm phán cạnh tranh theo quy định tại Điều 38 của Luật PPP.
- Chỉ định nhà đầu tư theo quy định tại khoản 1 Điều 39 của Luật PPP.
- Lựa chọn nhà đầu tư theo trường hợp đặc biệt theo quy định tại khoản 1 Điều 40 của Luật PPP.
6. Sự phù hợp của kế hoạch triển khai dự án, cơ chế giám sát và quản lý dự án (trường hợp có nội dung thay đổi so với báo cáo nghiên cứu tiền khả thi, báo cáo đề xuất chủ trương đầu tư)
Xem xét và có ý kiến cụ thể về sự phù hợp của kế hoạch tổ chức triển khai dự án (bao gồm cả đánh giá khả năng tổ chức triển khai dự án của cơ quan ký kết hợp đồng và bên mời thầu), cơ chế giám sát và quản lý dự án được trình bày trong BCNCKT, BCKTKT.
7. Tính khả thi của phương án thu xếp vốn của nhà đầu tư (đối với dự án PPP quy định tại khoản 4 Điều 11 của Luật PPP)
8. Sự phù hợp của nội dung dự thảo hợp đồng (đối với dự án PPP quy định tại khoản 4 Điều 11 của Luật PPP)
D. NHẬN XÉT VÀ KIẾN NGHỊ
Trên cơ sở các phân tích nêu trên, nhận xét tổng quát về BCNCKT, BCKTKT và nêu rõ kiến nghị theo một trong hai trường hợp sau đây:
1. Trường hợp BCNCKT, BCKTKT phù hợp với quy định của pháp luật và được đánh giá là khả thi để triển khai đầu tư theo phương thức PPP, kiến nghị cấp có thẩm quyền phê duyệt dự án.
2. Trường hợp không thống nhất với nội dung của BCNCKT, BCKTKT báo cáo cấp có thẩm quyền xem xét, quyết định theo một trong hai phương án sau:
a) Phương án 1: Yêu cầu đơn vị chuẩn bị dự án, nhà đầu tư điều chỉnh BCNCKT, BCKTKT.
b) Phương án 2: Không phê duyệt BCNCKT, BCKTKT.
Mẫu số 03
| CƠ QUAN RA QUYẾT ĐỊNH | CỘNG HÒA XÃ HỘI CHỦ NGHĨA VIỆT NAM |
| Số:….....… | Địa điểm, ngày… tháng… năm….. |
QUYẾT ĐỊNH
Về phê duyệt dự án… theo phương thức đối tác công tư (PPP)
THỦ TRƯỞNG CƠ QUAN RA QUYẾT ĐỊNH PHÊ DUYỆT DỰ ÁN
Căn cứ Luật Đầu tư theo phương thức đối tác công tư và các văn bản sửa đổi, bổ sung (nếu có);
Căn cứ Nghị định số…. ngày … tháng … năm … của Chính phủ quy định chi tiết một số điều của Luật Đầu tư theo phương thức đối tác công tư và các văn bản sửa đổi, bổ sung (nếu có);
Căn cứ…. quy định chức năng, nhiệm vụ, quyền hạn và tổ chức bộ máy của…;
Căn cứ tờ trình đề nghị phê duyệt dự án và hồ sơ kèm theo do….. nộp ngày….. và hồ sơ bổ sung nộp ngày…. (nếu có);
Căn cứ báo cáo thẩm định của……… ngày……. tháng…..năm…….
QUYẾT ĐỊNH:
Điều 1. Phê duyệt Dự án (tên dự án) với các nội dung sau:
1. Mục tiêu dự án
2. Quy mô, địa điểm thực hiện dự án
3. Thời hạn hợp đồng dự án
4. Diện tích mặt đất, mặt nước sử dụng; nhu cầu sử dụng tài nguyên khác (nếu có)
5. Loại hợp đồng dự án PPP
6. Tổng mức đầu tư của dự án
7. Cơ cấu nguồn vốn: Vốn nhà đầu tư, doanh nghiệp dự án PPP chịu trách nhiệm thu xếp (vốn chủ sở hữu, vốn vay và các nguồn vốn hợp pháp khác); vốn nhà nước trong dự án PPP (nếu có)
8. Vốn nhà nước trong dự án PPP (nếu có), bao gồm:
a) Vốn hỗ trợ xây dựng công trình, hệ thống cơ sở hạ tầng: Giá trị, tiến độ thanh toán, tỷ lệ thanh toán theo tiến độ, phương thức quản lý và sử dụng.
b) Vốn chi trả kinh phí bồi thường, giải phóng mặt bằng, hỗ trợ tái định cư, hỗ trợ xây dựng công trình tạm: Giá trị, tiến độ thanh toán, tỷ lệ thanh toán theo tiến độ, phương thức quản lý và sử dụng.
c) Giá trị vốn nhà nước tại điểm a và điểm b nêu trên chiếm tỷ lệ ...% tổng mức đầu tư.
d) Chi phí lập, thẩm định báo cáo nghiên cứu tiền khả thi, báo cáo nghiên cứu khả thi; dự kiến chi phí tổ chức lựa chọn nhà đầu tư.
9. Cơ chế chia sẻ phần giảm doanh thu (đối với dự án không thuộc trường hợp quyết định chủ trương đầu tư)
a) Dự án này áp dụng cơ chế chia sẻ phần tăng doanh thu theo quy định tại khoản 1 Điều 82 của Luật PPP
b) [Trường hợp áp dụng cơ chế chia sẻ phần giảm doanh thu] Dự án này được áp dụng cơ chế chia sẻ phần giảm doanh thu theo quy định tại khoản 2 và khoản 3 Điều 82 của Luật PPP như sau: Điều kiện, phương án chia sẻ và nguồn vốn dự kiến sử dụng để chi trả phần giảm doanh thu
10. Giá, phí sản phẩm, dịch vụ công: (đối với dự án áp dụng cơ chế thu phí trực tiếp từ người sử dụng).
11. Tên cơ quan có thẩm quyền, cơ quan ký kết hợp đồng, bên mời thầu; tên nhà đầu tư đề xuất dự án (trường hợp dự án do nhà đầu tư đề xuất).
12. Hình thức lựa chọn nhà đầu tư; thời gian tổ chức lựa chọn nhà đầu tư; danh sách ngắn được mời vào trao đổi, đàm phán (đối với dự án áp dụng đàm phán cạnh tranh quy định tại Điều 38 của Luật PPP); cơ chế ưu đãi trong lựa chọn nhà đầu tư cho nhà đầu tư đề xuất dự án.
13. Tên nhà đầu tư được chỉ định (đối với dự án PPP quy định tại khoản 4 Điều 11 của Luật PPP)
Điều 2. Tổ chức thực hiện
1. Cơ quan (Tên cơ quan có thẩm quyền hoặc bên mời thầu) chịu trách nhiệm:
a) Chủ trì, phối hợp với các cơ quan liên quan hoàn thiện hồ sơ mời thầu, trình cấp có thẩm quyền xem xét, phê duyệt làm cơ sở để lựa chọn nhà đầu tư.
b) Tổ chức lựa chọn nhà đầu tư theo đúng quy định của pháp luật;
c) Các nội dung khác (nếu có).
2. Trách nhiệm của các cơ quan liên quan khác (nếu có)
Điều 3. Điều khoản thi hành
1. Cơ quan (Tên cơ quan có thẩm quyền, đơn vị chuẩn bị dự án, bên mời thầu) và các cơ quan liên quan khác chịu trách nhiệm thi hành Quyết định này.
2. Cơ quan............ chịu trách nhiệm kiểm tra, giám sát việc thực hiện Quyết định này báo cáo cơ quan (Tên cơ quan quyết định phê duyệt dự án) theo quy định của pháp luật.
| Nơi nhận: | ĐẠI DIỆN CƠ QUAN |
Bạn chưa Đăng nhập thành viên.
Đây là tiện ích dành cho tài khoản thành viên. Vui lòng Đăng nhập để xem chi tiết. Nếu chưa có tài khoản, vui lòng Đăng ký tại đây!
Bạn chưa Đăng nhập thành viên.
Đây là tiện ích dành cho tài khoản thành viên. Vui lòng Đăng nhập để xem chi tiết. Nếu chưa có tài khoản, vui lòng Đăng ký tại đây!