- Tổng quan
- Nội dung
- VB gốc
- Tiếng Anh
- Hiệu lực
- VB liên quan
- Lược đồ
-
Nội dung hợp nhất
Tính năng này chỉ có tại LuatVietnam.vn. Nội dung hợp nhất tổng hợp lại tất cả các quy định còn hiệu lực của văn bản gốc và các văn bản sửa đổi, bổ sung, đính chính... trên một trang. Việc hợp nhất văn bản gốc và những văn bản, Thông tư, Nghị định hướng dẫn khác không làm thay đổi thứ tự điều khoản, nội dung.
Khách hàng chỉ cần xem Nội dung hợp nhất là có thể nắm bắt toàn bộ quy định hiện hành đang áp dụng, cho dù văn bản gốc đã qua nhiều lần chỉnh sửa, bổ sung.
- Tải về
Thông tư 87/2015/TT-BGTVT Quy chuẩn an toàn kỹ thuật và bảo vệ môi trường với xe ô tô
| Cơ quan ban hành: | Bộ Giao thông Vận tải |
Số công báo:
Số công báo là mã số ấn phẩm được đăng chính thức trên ấn phẩm thông tin của Nhà nước. Mã số này do Chính phủ thống nhất quản lý.
|
Đã biết
|
| Số hiệu: | 87/2015/TT-BGTVT | Ngày đăng công báo: |
Đã biết
|
| Loại văn bản: | Thông tư | Người ký: | Đinh La Thăng |
|
Ngày ban hành:
Ngày ban hành là ngày, tháng, năm văn bản được thông qua hoặc ký ban hành.
|
31/12/2015 |
Ngày hết hiệu lực:
Ngày hết hiệu lực là ngày, tháng, năm văn bản chính thức không còn hiệu lực (áp dụng).
|
Đã biết
|
|
Áp dụng:
Ngày áp dụng là ngày, tháng, năm văn bản chính thức có hiệu lực (áp dụng).
|
Đã biết
|
Tình trạng hiệu lực:
Cho biết trạng thái hiệu lực của văn bản đang tra cứu: Chưa áp dụng, Còn hiệu lực, Hết hiệu lực, Hết hiệu lực 1 phần; Đã sửa đổi, Đính chính hay Không còn phù hợp,...
|
Đã biết
|
| Lĩnh vực: | Giao thông |
TÓM TẮT THÔNG TƯ 87/2015/TT-BGTVT
Quy chuẩn kỹ thuật quốc gia về chất lượng an toàn kỹ thuật và bảo vệ môi trường đối với xe ô tô
Ngày 31/12/2015, Bộ Giao thông Vận tải đã ban hành Thông tư 87/2015/TT-BGTVT về việc ban hành Quy chuẩn kỹ thuật quốc gia về chất lượng an toàn kỹ thuật và bảo vệ môi trường đối với xe ô tô. Thông tư này có hiệu lực từ ngày 01/7/2016.
Đối tượng điều chỉnh và phạm vi áp dụng của Thông tư này là các cơ quan, tổ chức và cá nhân có liên quan đến việc sản xuất, lắp ráp, nhập khẩu, kiểm tra và sử dụng xe ô tô tại Việt Nam.
Ban hành Quy chuẩn kỹ thuật quốc gia
Thông tư ban hành kèm theo Quy chuẩn kỹ thuật quốc gia với mã số QCVN 09:2015/BGTVT. Quy chuẩn này quy định các tiêu chuẩn về chất lượng an toàn kỹ thuật và bảo vệ môi trường mà xe ô tô phải tuân thủ.
Bãi bỏ quy định cũ
Thông tư này cũng bãi bỏ khoản 1 Điều 1 của Thông tư số 56/2011/TT-BGTVT ngày 17/11/2011, liên quan đến việc ban hành 06 Quy chuẩn kỹ thuật quốc gia về phương tiện cơ giới đường bộ.
Các cơ quan, tổ chức và cá nhân liên quan có trách nhiệm thực hiện các quy định trong Thông tư này để đảm bảo xe ô tô đáp ứng các tiêu chuẩn về an toàn kỹ thuật và bảo vệ môi trường theo quy định mới.
Văn bản này được thay thế bởi 48/2024/TT-BGTVT
Xem chi tiết Thông tư 87/2015/TT-BGTVT có hiệu lực kể từ ngày 01/07/2016
Tải Thông tư 87/2015/TT-BGTVT
|
BỘ GIAO THÔNG VẬN TẢI Số: 87/2015/TT-BGTVT |
CỘNG HÒA XÃ HỘI CHỦ NGHĨA VIỆT NAM Hà Nội, ngày 31 tháng 12 năm 2015 |
THÔNG TƯ
BAN HÀNH QUY CHUẨN KỸ THUẬT QUỐC GIA VỀ CHẤT LƯỢNG AN TOÀN KỸ THUẬT VÀ BẢO VỆ MÔI TRƯỜNG ĐỐI VỚI XE Ô TÔ
Căn cứ Luật Tiêu chuẩn và Quy chuẩn kỹ thuật ngày 29 tháng 6 năm 2006;
Căn cứ Nghị định số 127/2007/NĐ-CP ngày 01 tháng 8 năm 2007 của Chính phủ quy định chi tiết thi hành một số điều của Luật Tiêu chuẩn và Quy chuẩn kỹ thuật;
Căn cứ Nghị định số 107/2012/NĐ-CP ngày 20 tháng 12 năm 2012 của Chính phủ quy định chức năng, nhiệm vụ, quyền hạn và cơ cấu tổ chức của Bộ Giao thông vận tải;
Theo đề nghị của Vụ trưởng Vụ Khoa học - Công nghệ và Cục trưởng Cục Đăng kiểm Việt Nam,
Bộ trưởng Bộ Giao thông vận tải ban hành Thông tư ban hành Quy chuẩn kỹ thuật quốc gia về chất lượng an toàn kỹ thuật và bảo vệ môi trường đối với xe ô tô.
Điều 1. Ban hành kèm theo Thông tư này Quy chuẩn kỹ thuật quốc gia về chất lượng an toàn kỹ thuật và bảo vệ môi trường đối với xe ô tô.
Mã số: QCVN 09:2015/BGTVT.
Điều 2. Thông tư này có hiệu lực thi hành kể từ ngày 01 tháng 7 năm 2016. Bãi bỏ Khoản 1 Điều 1 của Thông tư số 56/2011/TT-BGTVT ngày 17 tháng 11 năm 2011 của Bộ trưởng Bộ Giao thông vận tải về việc ban hành 06 Quy chuẩn kỹ thuật quốc gia về phương tiện cơ giới đường bộ.
Điều 3. Chánh Văn phòng Bộ, Chánh Thanh tra Bộ, các Vụ trưởng, Cục trưởng Cục Đăng kiểm Việt Nam, Thủ trưởng các cơ quan, tổ chức và cá nhân có liên quan chịu trách nhiệm thi hành Thông tư này./.
|
Nơi nhận: |
BỘ TRƯỞNG |
QCVN 09:2015/BGTVT
QUY CHUẨN KỸ THUẬT QUỐC GIA VỀ CHẤT LƯỢNG AN TOÀN KỸ THUẬT VÀ BẢO VỆ MÔI TRƯỜNG ĐỐI VỚI XE Ô TÔ
National technical regulation on safety and environmental protection for automobiles
Lời nói đầu
QCVN 09 : 2015/BGTVT do Cục Đăng kiểm Việt Nam biên soạn, Bộ Khoa học và Công nghệ thẩm định, Bộ trưởng Bộ Giao thông vận tải ban hành theo Thông tư số 87/2015/TT-BGTVT ngày 31 tháng 12 năm 2015.
QCVN 09:2015/BGTVT thay thế QCVN 09:2011/BGTVT.
QUY CHUẨN KỸ THUẬT QUỐC GIA VỀ CHẤT LƯỢNG AN TOÀN KỸ THUẬT VÀ BẢO VỆ MÔI TRƯỜNG ĐỐI VỚI XE Ô TÔ
National technical regulation on safety and environmental protection for automobiles
1. QUY ĐỊNH CHUNG
1.1. Phạm vi điều chỉnh
Quy chuẩn này quy định các yêu cầu để kiểm tra chất lượng an toàn kỹ thuật và bảo vệ môi trường các kiểu loại xe ô tô sản xuất, lắp ráp và nhập khẩu được định nghĩa tại TCVN 6211 “Phương tiện giao thông đường bộ - Kiểu - Thuật ngữ và định nghĩa" và TCVN 7271 “Phương tiện giao thông đường bộ - Ô tô - Phân loại theo mục đích sử dụng” (sau đây gọi tắt là xe).
1.2. Đối tượng áp dụng
Quy chuẩn này áp dụng đối với các Cơ sở sản xuất, lắp ráp, tổ chức, cá nhân nhập khẩu xe, linh kiện của xe và các cơ quan, tổ chức, cá nhân liên quan đến quản lý, kiểm tra, thử nghiệm và chứng nhận chất lượng an toàn kỹ thuật và bảo vệ môi trường đối với xe, linh kiện của xe.
1.3. Giải thích từ ngữ
1.3.1. Các thuật ngữ về kích thước của xe được định nghĩa tại TCVN 6528 “Phương tiện giao thông đường bộ - Kích thước phương tiện có động cơ và phương tiện được kéo - Thuật ngữ và định nghĩa”.
1.3.2. Các thuật ngữ về khối lượng của xe được định nghĩa tại TCVN 6529 "Phương tiện giao thông đường bộ - Khối lượng - Thuật ngữ định nghĩa và mã hiệu”.
1.3.3. Xe khách nối toa (Articulated bus): Xe có từ hai toa cứng vững trở lên được nối với nhau bằng khớp quay. Khách có thể di chuyển từ toa này sang toa khác. Việc nối hoặc tháo rời các toa chỉ có thể được tiến hành tại xưởng.
1.3.4. Xe khách hai tầng (Double-deck vehicles): Xe khách có hai tầng, có bố trí chỗ cho khách trên cả hai tầng.
1.3.5. Ghế khách (Seat other driver's seat): là ghế dành cho người ngồi trên xe nhưng không phải là ghế dành cho người lái.
1.3.6. Ghế đơn (Individual seat): là ghế được thiết kế và chế tạo phù hợp cho một hành khách ngồi.
1.3.7. Ghế đôi (Double seat): là ghế được thiết kế và chế tạo phù hợp cho hai hành khách ngồi cạnh nhau. Hai ghế cạnh nhau và không có liên kết với nhau được xem như là 2 ghế đơn.
1.3.8. Ghế băng (Bench seat): là ghế được thiết kế và chế tạo có cấu trúc khung xương, đệm ngồi phù hợp cho hai hành khách ngồi trở lên.
1.3.9. Đệm tựa lưng (Seat-back): là bộ phận của ghế ngồi theo phương thẳng đứng được thiết kế để hỗ trợ lưng, vai của hành khách và có thể là cả phần đầu của hành khách.
1.3.10. Đệm ngồi (Seat-cushion): là bộ phận của ghế ngồi theo phương ngang được thiết kế để hỗ trợ hành khách ngồi.
1.3.11. Đệm tựa đầu (Head restraint): là bộ phận có chức năng hạn chế sự chuyển dịch về phía sau của đầu so với thân người để giảm mức độ nguy hiểm của chấn thương cho các đốt sống cổ của người ngồi trên xe khi xảy ra tai nạn.
1.3.11.1. Đệm tựa đầu liền (Integrated head restraint): là đệm tựa đầu được tạo thành bởi phần trên của đệm tựa lưng. Loại đệm tựa đầu phù hợp với các định nghĩa tại các mục 1.3.11.2 và 1.3.11.3 nhưng chỉ tháo được khỏi ghế hoặc kết cấu của xe bằng các dụng cụ hoặc bằng cách tháo từng phần hoặc toàn bộ ghế cũng được coi là đệm tựa đầu liền.
1.3.11.2. Đệm tựa đầu tháo được (Detachable head restraint): là loại đệm tựa đầu được tạo thành bởi một bộ phận có thể tháo rời khỏi ghế, được thiết kế để lắp lồng vào và/hoặc được giữ chặt với kết cấu đệm tựa lưng.
1.3.11.3. Đệm tựa đầu riêng biệt (Separate head restraint): là loại đệm tựa đầu được tạo thành bởi một bộ phận tách rời với ghế, được thiết kế để lắp lồng vào và/hoặc được giữ chặt với kết cấu của xe.
1.3.12. Lối đi (Gangway): là không gian dành cho hành khách từ bất kỳ ghế hay hàng ghế nào đó đi lại đến bất kỳ ghế hay hàng ghế khác hoặc không gian của lối đi để ra hoặc vào qua cửa hành khách bất kỳ. Nó không bao gồm:
- Khoảng không gian dùng để đặt chân của hành khách ngồi;
- Không gian phía trên mặt của bất kỳ bậc hay ô cầu thang ở cửa lên xuống;
- Bất kỳ khoảng không gian được cung cấp duy nhất để đi vào một ghế hay một hàng ghế.
1.3.13. Cửa hành khách (Service door): là cửa dành cho hành khách sử dụng trong các điều kiện bình thường khi người lái xe đã ngồi vào ghế của lái xe.
1.3.14. Cửa đơn (Single door): là cửa dành cho một hoặc tương đương với một lối ra vào.
1.3.15. Cửa kép (Double door): là cửa dành cho hai hoặc tương đương với hai lối ra vào.
1.3.16. Cửa thoát khẩn cấp (Emergency door): là cửa để cho hành khách sử dụng như một lối ra khác thường và đặc biệt chỉ sử dụng trong trường hợp khẩn cấp, nó không bao gồm các cửa hành khách.
1.3.17. Cửa sổ thoát khẩn cấp (Emergency window): là cửa sổ để cho hành khách sử dụng chỉ trong trường hợp khẩn cấp (cửa sổ này không nhất thiết lắp kính).
1.3.18. Lối thoát khẩn cấp (Emergency exit): là cửa thoát khẩn cấp, cửa sổ thoát khẩn cấp và cửa sập thoát khẩn cấp.
1.3.19. Trục đơn (Single axle): chỉ gồm một trục xe.
1.3.20. Cụm trục kép (Tandem axle group): là nhóm trục gồm hai trục có khoảng cách giữa 2 tâm trục không quá 2 m.
1.3.21. Cụm trục ba (Tri-axle group): là nhóm trục gồm ba trục có khoảng cách giữa 2 tâm trục ngoài cùng không quá 3,2 m.
1.3.22. Trục dẫn hướng (Steering axle): là trục có lắp các cơ cấu để điều khiển bánh xe nhằm thay đổi hướng chuyển động của xe và được điều khiển bởi người lái xe.
1.3.23. Cụm trục dẫn hướng kép (Twin Steer axle group): là nhóm trục gồm hai trục dẫn hướng lắp lốp đơn có khoảng cách giữa 2 tâm trục không quá 2 m, các trục này được liên động với cùng một cơ cấu lái để điều khiển các bánh xe dẫn hướng.
1.3.24. Trục nâng hạ (Lift axle): là trục có lắp cơ cấu, thiết bị có thể điều chỉnh được tải trọng của trục đó hoặc có thể điều khiển nâng, hạ bánh xe trên mặt đường bởi người lái xe.
1.3.25. Trục tự lựa (Self-steering axle): là trục có thể tự điều chỉnh hướng của bánh xe theo hướng chuyển động của xe bằng các cơ cấu cơ khí hoặc hệ thống điều khiển.
1.3.26. Các ký hiệu về nhóm xe được định nghĩa trong TCVN 8658 “Phương tiện giao thông đường bộ - Ký hiệu nhóm xe cơ giới”.
1.3.27. Các thuật ngữ về đèn chiếu sáng và đèn tín hiệu của xe được định nghĩa tại TCVN 6978 “Phương tiện giao thông đường bộ - Lắp đặt đèn chiếu sáng và đèn tín hiệu trên phương tiện xe cơ giới và moóc - Yêu cầu và phương pháp thử trong phê duyệt kiểu”.
2. QUY ĐỊNH KỸ THUẬT
2.1. Yêu cầu chung
2.1.1. Các thông số kỹ thuật cơ bản
2.1.1.1. Kích thước giới hạn cho phép của xe:
a) Chiều dài: Không vượt quá chiều dài xe quy định tại Bảng 1.
Bảng 1 - Quy định chiều dài toàn bộ đối với xe ô tô
|
TT |
Loại phương tiện |
Chiều dài lớn nhất (m) |
||
|
1 |
Xe tự đổ |
Có 02 trục |
Khối lượng toàn bộ không vượt quá 5 tấn |
5,0 |
|
Khối lượng toàn bộ từ 5 tấn trở lên nhưng không vượt quá 10 tấn |
6,0 |
|||
|
Khối lượng toàn bộ từ 10 tấn trở lên |
7,0 |
|||
|
Có tổng số trục bằng 3 |
7,8 |
|||
|
Có tổng số trục bằng 4 |
9,3 |
|||
|
Có tổng số trục bằng 5 |
10,2 |
|||
|
2 |
Xe khách nối toa |
20,0 |
||
|
3 |
Các loại xe khác |
12,2 |
||
b) Chiều rộng: Không lớn hơn 2,5 m.
c) Chiều cao:
- Không lớn hơn 4,2 m đối với xe khách hai tầng;
- Không lớn hơn 4,0 m đối với các loại xe khác.
Ngoài ra, đối với các loại xe có khối lượng toàn bộ thiết kế lớn nhất không lớn hơn 5,0 tấn thì chiều cao của xe, trừ phần nhô do lắp ăng ten, cột thu phát sóng hoặc các thiết bị có kết cấu tương tự nhưng không ảnh hưởng đến tính ổn định của xe ô tô chuyên dùng được định nghĩa tại TCVN 6211 “Phương tiện giao thông đường bộ - Kiểu - Thuật ngữ và định nghĩa" phải đáp ứng quy định sau:
Hmax ≤ 1,75 WT
Trong đó:
Hmax: Chiều cao lớn nhất cho phép của xe (Hình 1);
WT: Khoảng cách giữa tâm vết tiếp xúc của hai bánh xe sau với mặt đường, trường hợp trục sau lắp bánh đơn (Hình 1a) hoặc Khoảng cách giữa tâm vết tiếp xúc của hai bánh xe sau phía ngoài với mặt đường, trường hợp trục sau lắp bánh kép (Hình 1b).
d) Chiều dài đuôi xe tính toán (ROH) là khoảng cách giữa mặt phẳng thẳng đứng đi qua đường tâm của trục (trục đơn) hoặc cụm trục (đường ROH) đến điểm sau cùng của xe. Chiều dài đuôi xe tính toán trừ xe ô tô sát xi, xe chuyên dùng định nghĩa tại TCVN 7271 "Phương tiện giao thông đường bộ - Kiểu - Thuật ngữ và định nghĩa” phải đáp ứng các yêu cầu sau:
- Không lớn hơn 65% chiều dài cơ sở tính toán (Lcs) đối với xe khách (chiều dài cơ sở của xe khách nối toa được tính cho toa xe đầu tiên).
- Không lớn hơn 60% chiều dài cơ sở tính toán (Lcs) đối với xe tải.
Trong đó: Chiều dài cơ sở tính toán (Lcs) là khoảng cách từ đường ROH đến tâm trục bánh xe trước nhất về phía trước; Việc xác định đường ROH được xác định theo nguyên tắc sau đây:
- Đối với trục sau là trục đơn thì đường ROH đi qua tâm của trục đó;
- Đối với trường hợp xe có 02 trục sau hoặc cụm trục kép thì nếu cả 2 trục lắp với số lượng lốp bằng nhau thì đường ROH đi qua điểm giữa 2 trục; nếu một trục lắp gấp đôi số lượng lốp so với trục còn lại thì đường ROH đi qua điểm bằng 2 phần 3 khoảng cách từ tâm trục có số lốp ít hơn đến tâm trục có số lốp nhiều hơn;
- Đối với trường hợp xe có cụm trục 3 thì đường ROH đi qua điểm giữa của 2 tâm trục phía sau cùng của xe;
- Trường hợp cụm trục sau gồm trục dẫn hướng, trục tự lựa, trục nâng hạ kết hợp với trục khác (trục không dẫn hướng) thì chỉ có các trục không dẫn hướng được xem xét trong việc xác định đường ROH.
Việc xác định chiều dài cơ sở tính toán (Lcs), đường ROH của một số trường hợp cụ thể được tham khảo trong Bảng 2 và Hình 2 dưới đây.

Hình 1 - Chiều cao lớn nhất cho phép của xe có khối lượng toàn bộ không lớn hơn 5,0 tấn
e) Khoảng sáng gầm xe: Không nhỏ hơn 120 mm (trừ xe chuyên dùng). Đối với các xe có thể điều chỉnh độ cao của gầm xe thì khoảng sáng gầm xe được đo ở vị trí lớn nhất.

Hình 2 - Hình minh họa cách xác định chiều dài cơ sở tính toán (Lcs) và chiều dài đuôi xe (ROH)
Bảng 2 - Một số trường hợp xác định đường ROH
|
Số tt |
Nguyên tắc xác định đường ROH |
Mô tả hình vẽ |
|
1 |
Trường hợp xe chỉ có 01 trục sau thì đường ROH là đường đi qua tâm trục đó |
|
|
2 |
Trường hợp xe có cụm trục kép ở phía sau không phải là trục dẫn hướng và mỗi trục lắp lốp có số lượng bằng nhau thì đường ROH đi qua điểm giữa 2 tâm trục đó. |
|
|
3 |
Trường hợp xe có cụm trục kép ở phía sau, không phải là trục dẫn hướng và có một trục lắp lốp với số lượng lốp gấp 2 lần so với trục còn lại thì đường ROH đi qua điểm bằng 2 phần 3 khoảng cách từ tâm trục có số lốp ít hơn đến tâm trục có số lốp nhiều hơn |
|
|
4 |
Trường hợp xe có cụm trục ba ở phía sau, không phải là trục dẫn hướng và tất cả các trục đều lắp lốp có số lượng bằng nhau thì đường ROH đi qua tâm trục ở giữa. |
|
|
5 |
Trường hợp xe có một trục dẫn hướng đặt ở phía sau với một trục không phải là trục dẫn hướng thì đường ROH đi qua tâm của trục không phải là trục dẫn hướng. |
|
|
6 |
Trường hợp xe có một hoặc 2 trục dẫn hướng đặt ở phía sau, cùng với 2 trục không phải là trục dẫn hướng thì đường ROH đi qua điểm giữa 2 tâm trục không phải là trục dẫn hướng. |
|
|
7 |
Trường hợp xe có một hoặc 2 trục có thể nâng lên hạ xuống (trục nâng hạ) ở phía sau, cùng với một hoặc nhiều trục không phải là trục có thể nâng hạ thì đường ROH đi qua điểm giữa của tâm các trục không phải là trục nâng hạ. |
|
|
8 |
Trường hợp xe có 4 trục và đều lắp lốp có số lượng bằng nhau |
|
|
- Nếu không có trục dẫn hướng: |
|
|
|
- Có lắp trục dẫn hướng: |
|
|
2.1.1.2. Khối lượng cho phép lớn nhất trên trục xe:
- Trục đơn: 10 tấn.
- Cụm trục kép phụ thuộc vào khoảng cách hai tâm trục d:
d < 1,0="" m:="" 11="">
1,0 ≤ d < 1,3="" m:="" 16="">
d ≥ 1,3m: 18 tấn.
- Cụm trục ba phụ thuộc vào khoảng cách hai tâm trục liền kề nhỏ nhất d:
d ≤ 1,3 m: 21 tấn;
d > 1,3 m: 24 tấn.
2.1.1.3. Khối lượng toàn bộ cho phép lớn nhất:
Khối lượng toàn bộ cho phép lớn nhất của các loại xe phải thỏa mãn quy định tại Bảng 3 dưới đây.
Bảng 3 - Khối lượng toàn bộ cho phép lớn nhất
|
TT |
Loại phương tiện |
Khối lượng toàn bộ cho phép lớn nhất (tấn) |
|
1 |
Xe có tổng số trục bằng 2 |
16 |
|
2 |
Xe có tổng số trục bằng 3 |
24 |
|
3 |
Xe có tổng số trục bằng 4 |
30 |
|
4 |
Xe có tổng số trục bằng 5 hoặc lớn hơn |
|
|
4.1 |
Xe có khoảng cách tính từ tâm trục đầu tiên đến tâm trục cuối cùng ≤ 7m |
32 |
|
4.2 |
Xe có khoảng cách tính từ tâm trục đầu tiên đến tâm trục cuối cùng > 7m |
34 |
2.1.2. Các yêu cầu khác
2.1.2.1. Xe và các bộ phận trên xe phải phù hợp với việc tham gia giao thông bên phải theo quy định.
2.1.2.2. Khối lượng phân bố lên trục dẫn hướng (hoặc các trục dẫn hướng) phải đáp ứng yêu cầu dưới đây trong cả hai trường hợp xe không tải và xe đầy tải (đối với xe khách nối toa, tỉ lệ này được xác định đối với toa xe đầu tiên):
- Không nhỏ hơn 25% đối với xe khách (trừ xe ô tô khách thành phố).
- Không nhỏ hơn 20% đối với các loại xe khác.
2.1.2.3. Góc ổn định tĩnh ngang của xe khi không tải không nhỏ hơn giá trị sau:
- 28° đối với xe khách hai tầng;
- 30° đối với xe có khối lượng toàn bộ không lớn hơn 1,2 lần khối lượng bản thân;
- 35° đối với các loại xe còn lại.
2.1.2.4. Các hệ thống, tổng thành của xe phải đảm bảo các tính năng kỹ thuật khi hoạt động trên đường trong các điều kiện hoạt động bình thường.
2.1.2.5. Các xe chở người, xe chở hàng (nhóm ô tô tải) lắp thùng nhiên liệu chứa nhiên liệu lỏng phải đáp ứng các quy định tại QCVN 52 :2013/BGTVT “Quy chuẩn kỹ thuật quốc gia về kết cấu an toàn chống cháy của xe cơ giới” hoặc quy định UNECE No.34 "Quy định thống nhất về việc phê duyệt xe liên quan đến sự chống cháy” (Uniform provisions concerning the approval of vehicies with regard to the prevention of fire risks) phiên bản tương đương hoặc cao hơn.
2.1.2.6. Đối với xe khách có khối lượng toàn bộ thiết kế lớn nhất lớn hơn 5 tấn và có số người cho phép chở từ 22 người trở lên thì vật liệu sử dụng trong kết cấu nội thất phải đáp ứng các yêu cầu quy định tại QCVN 53:2013/BGTVT “Quy chuẩn kỹ thuật quốc gia về yêu cầu an toàn chống cháy của vật liệu sử dụng trong kết cấu nội thất xe cơ giới” hoặc quy định UNECE No.118 “Quy định kỹ thuật về việc cháy và/ hoặc khả năng chống cháy đối với nhiên liệu hoặc các chất bôi trơn của vật liệu sử dụng trong kết cấu một số loại xe cơ giới” (Uniform technical prescriptions concerning the burning behaviour and/or the capability to repel fuel or lubricant of materials used in the construction of certain categories of motor vehicles) phiên bản tương đương hoặc cao hơn.
2.1.2.7. Khối lượng tính toán cho một người được xác định theo quy định của nhà sản xuất nhưng không nhỏ hơn 65 kg/người (trong đó đã bao gồm 3 kg hành lý xách tay).
2.1.2.8. Số người cho phép chở (kể cả người lái, phụ xe) (N) đối với xe khách trong mọi trường hợp phải đáp ứng yêu cầu sau đây:
N ≤ (Gtbmax - G0 - L* V )/ Gn
Trong đó:
Gtbmax = Khối lượng toàn bộ cho phép lớn nhất (là khối lượng lớn nhất của xe do cơ quan có thẩm quyền quy định) (kg);
G0 = Khối lượng xe không tải (kg);
L = Khối lượng riêng của hành lý được xác định theo thể tích khoang chở hành lý (kg/m³) (L = 100 kg/m³);
V = Tổng thể tích (m³) của khoang chở hành lý (nếu có);
Gn = Khối lượng tính toán cho một người.
2.1.2.9. Số khung (số nhận dạng phương tiện - số VIN): Xe phải được đóng số khung có nội dung và cấu trúc như số nhận dạng phương tiện (số VIN), trừ xe được sản xuất, lắp ráp từ các xe đã có số khung (hoặc số VIN). Số khung phải đáp ứng các yêu cầu sau:
- Vị trí và cách ghi số khung phải phù hợp với yêu cầu về vị trí, cách ghi số nhận dạng phương tiện và phải đáp ứng yêu cầu quy định tại tiêu chuẩn TCVN 6580 "Phương tiện giao thông đường bộ - Mã nhận dạng phương tiện giao thông (VIN) - Vị trí và cách ghi"
- Nội dung và cấu trúc số khung phải đáp ứng yêu cầu như đối với số VIN quy định trong tiêu chuẩn TCVN 6578 “Phương tiện giao thông đường bộ - Mã nhận dạng phương tiện giao thông (VIN) - Nội dung và cấu trúc”. Ký tự thứ 10 của số khung phải dùng để chỉ năm sản xuất của xe (là năm mà xe được sản xuất, lắp ráp tính theo dương lịch).
2.2. Động cơ và hệ thống truyền lực
2.2.1. Công suất động cơ cho 01 tấn khối lượng toàn bộ thiết kế lớn nhất của xe không nhỏ hơn 7,35 kW. Yêu cầu này không áp dụng cho xe ô tô sát xi, ô tô chuyên dùng, xe điện và xe có khối lượng toàn bộ thiết kế lớn nhất từ 30 tấn trở lên.
2.2.2. Khi thử ở điều kiện đầy tải trên đường khô và bằng phẳng, xe (không áp dụng đối với xe tải chuyên dùng và ô tô chuyên dùng) phải đáp ứng yêu cầu dưới đây:
2.2.2.1. Thời gian tăng tốc tính từ lúc khởi hành đến khi đi hết quãng đường 200 m đáp ứng điều kiện sau:
t ≤ 20 + 0,4G
Trong đó:
t - Thời gian tăng tốc tính từ lúc khởi hành đến khi đi hết quãng đường 200 m (tính bằng giây);
G - Khối lượng toàn bộ thiết kế lớn nhất của xe (tính bằng tấn).
2.2.2.2. Vận tốc lớn nhất không nhỏ hơn 60 km/h.
2.2.3. Trong điều kiện đầy tải và đường khô; khi chuyển động theo chiều tiến, xe phải vượt được dốc có độ dốc 20% (12% đối với xe khách nối toa). Khi thử vượt dốc, động cơ và hệ thống truyền lực phải hoạt động bình thường.
2.3. Bánh xe
2.3.1. Có kết cấu chắc chắn, lắp đặt đúng quy cách.
2.3.2. Lốp trên cùng một trục của xe sử dụng trong điều kiện hoạt động bình thường phải cùng kiểu loại. Lốp phải đủ số lượng, đủ áp suất, thông số kỹ thuật của lốp (cỡ lốp, cấp tốc độ hoặc vận tốc, chỉ số về tải trọng hoặc khả năng chịu tải trọng của lốp) phải phù hợp với tài liệu kỹ thuật, thiết kế của xe.
Lốp sử dụng cho từng loại xe phải đáp ứng các yêu cầu quy định trong QCVN 34:2011/BGTVT "Quy chuẩn kỹ thuật quốc gia về lốp hơi dùng cho ô tô" hoặc quy định UNECE No.30 “Quy định thống nhất về việc phê duyệt lốp hơi sử dụng cho xe cơ giới và rơ moóc kéo theo ” (Uniform provisions concerning the approval of pneumatìc tyres for Motor vehicle and their trailer) hoặc UNECE No.54 "Quy định thống nhất về việc phê duyệt lốp hơi sử dụng cho xe tải và rơ moóc kéo theo” (Uniform provisions concerning the approval of pneumatic tyres for commercial vehicles and their trailers) phiên bản tương đương hoặc cao hơn.
2.3.3. Xe phải được trang bị các tấm che bánh xe tại các bánh xe hoặc nhóm trục bánh xe. Các tấm che bánh xe có thể được tạo thành từ các bộ phận lắp đặt trên xe như một phần thân xe, chắn bùn hoặc các bộ phận tương tự khác và phải đáp ứng các yêu cầu sau:
- Chiều rộng của tấm che bánh xe phải có che phủ được các bánh xe.
- Đối với xe chở người loại M1, khoảng cách từ điểm thấp nhất của phần cuối cùng của tấm che bánh xe trục sau cùng không được lớn hơn 150 mm so với phẳng nằm ngang đi qua tâm trục bánh xe sau; Đối với các loại xe khác, khoảng hở so với mặt đường của các tấm che bánh xe trục sau cùng gồm cả tấm chắn bùn (nếu lắp) phải nhỏ hơn 230 mm.
2.3.4. Đối với các xe có bánh xe dự phòng thì cơ cấu nâng hạ (nếu có) không được bố trí ở bên trái theo chiều tiến của xe.
2.3.5. Vành hợp kim nhẹ lắp đặt trên xe con, xe tải có khối lượng toàn bộ thiết kế lớn nhất không quá 3,5 tấn phải đáp ứng các yêu cầu quy định trong QCVN 78 : 2014/BGTVT “Quy chuẩn kỹ thuật quốc gia về vành hợp kim nhẹ dùng cho xe ô tô” hoặc Quy định UNECE No. 124 “Quy định thống nhất về việc phê duyệt vành bánh xe sử dụng trên xe ô tô chở người và rơ moóc kéo theo” (Uniform provisions concerning the approval of wheels for passenger cars and their trailer) phiên bản tương đương hoặc cao hơn.
2.4. Hệ thống lái
2.4.1. Đảm bảo cho xe chuyển hướng chính xác, điều khiển nhẹ nhàng, an toàn ở mọi vận tốc và tải trọng trong phạm vi tính năng kỹ thuật cho phép của xe.
2.4.2. Các bánh xe dẫn hướng phải đảm bảo cho xe có khả năng duy trì hướng chuyển động thẳng khi đang chạy thẳng và tự quay về hướng chuyển động thẳng khi thôi tác dụng lực lên vành tay lái (khi thôi quay vòng).
2.4.3. Khi hoạt động các cơ cấu chuyển động của hệ thống lái không được va quệt với bất kỳ bộ phận nào của xe như khung, vỏ.
2.4.4. Vành tay lái khi quay không bị vướng vào quần áo và trang bị của người lái khi lái xe.
2.4.5. Khi quay vành tay lái về bên phải và bên trái thì không được có sự khác biệt đáng kể về lực tác động lên vành tay lái.
2.4.6. Độ rơ góc của vành tay lái:
- Xe con, xe khách đến 12 chỗ, kể cả người lái, xe tải có tải trọng đến 1500 kg: không lớn hơn 10°.
- Các loại xe khác: không lớn hơn 15°.
2.4.7. Độ trượt ngang của bánh xe dẫn hướng không lớn hơn 5 mm/m.
2.4.8. Bán kính quay vòng nhỏ nhất theo vệt bánh xe trước phía ngoài của xe không lớn hơn 12 m.
2.5. Hệ thống phanh
2.5.1. Xe phải được trang bị hệ thống phanh chính và phanh đỗ xe.
2.5.2. Hệ thống phanh chính và phanh đỗ xe phải dẫn động độc lập với nhau. Dẫn động của hệ thống phanh chính phải là loại từ 2 dòng trở lên. Hệ thống phanh chính phải được trang bị trên tất cả các bánh xe.
2.5.3. Dầu phanh hoặc khí nén trong hệ thống phanh không được rò rỉ. Các ống dẫn dầu hoặc khí phải được định vị chắc chắn và không được rạn nứt.
2.5.4. Dẫn động cơ khí của phanh chính và phanh đỗ xe phải linh hoạt, nhẹ nhàng và chắc chắn. Hành trình tự do phải phù hợp với quy định của nhà sản xuất.
2.5.5. Hệ thống phanh chính phải có kết cấu và lắp đặt bảo đảm cho người lái điều khiển được phanh khi ngồi trên ghế lái mà không rời hai tay khỏi vành tay lái.
2.5.6. Khi sử dụng, hệ thống phanh đỗ phải có khả năng duy trì được hoạt động mà không cần có lực tác động liên tục của người lái.
2.5.7. Hệ thống phanh chính dẫn động khí nén phải đáp ứng các yêu cầu sau:
- Các van phải hoạt động bình thường;
- Sau 8 lần tác động toàn bộ hành trình bàn đạp phanh của hệ thống phanh chính, độ giảm áp suất trong bình chứa khí nén không được quá 392 kPa. Việc thử phải được thực hiện theo các yêu cầu sau:
- Mức năng lượng (áp suất khí nén) ban đầu trong bình chứa khí nén được quy định bởi nhà sản xuất. Nó phải đạt mức để đạt được hiệu quả phanh đã quy định của hệ thống phanh chính;
- Không nạp thêm cho bình chứa khí nén trong quá trình thử. Ngoài ra phải cách ly bình chứa khí nén cho phanh chính với bình chứa khí nén cho các thiết bị phụ trợ.
2.5.8. Hiệu quả phanh chính
2.5.8.1. Hiệu quả phanh chính khi thử trên băng thử:
- Chế độ thử: xe không tải (có 01 lái xe);
- Tổng lực phanh không nhỏ hơn 50% trọng lượng xe không tải;
- Sai lệch lực phanh trên một trục (giữa bánh bên phải và bên trái):
KSL = (PFlớn - PFnhỏ).100%/PFlớn
KSL không được lớn hơn 25%.
Trong đó:
KSL: sai lệch lực phanh trên một trục;
PFlớn: lực phanh lớn;
PFnhỏ: lực phanh nhỏ.
2.5.8.2. Hiệu quả phanh chính khi thử trên đường:
a) Khi thử không tải (có 01 lái xe):
- Thử trên mặt đường phủ nhựa hoặc đường bê tông bằng phẳng và khô, hệ số bám φ không nhỏ hơn 0,6;
- Hiệu quả phanh (được đánh giá bằng một trong hai chỉ tiêu quãng đường phanh Sp hoặc gia tốc phanh lớn nhất JPmax) khi thử không tải được quy định trong Bảng 4;
- Khi phanh, xe không được lệch ra ngoài hành lang phanh được quy định tại Bảng 4.
Bảng 4 - Hiệu quả phanh chính khi thử không tải
|
Loại xe |
Vận tốc ban đầu khi phanh (km/h) |
Quãng đường phanh (m) |
Gia tốc phanh lớn nhất (m/s²) |
Hành lang phanh |
|
Xe con |
50 |
≤ 19 |
≥ 6,2 |
2,5 |
|
Xe tải, xe khách có khối lượng toàn bộ thiết kế lớn nhất không quá 3,5 tấn |
50 |
≤ 21 |
≥ 5,8 |
2,5 |
|
Các loại xe còn lại |
30 |
≤ 9 |
≥ 5,4 |
3,0 |
b) Khi thử đầy tải:
- Thử trên mặt đường phủ nhựa hoặc đường bê tông bằng phẳng và khô, hệ số bám φ không nhỏ hơn 0,6;
- Hiệu quả phanh (được đánh giá bằng một trong hai chỉ tiêu quãng đường phanh SP hoặc gia tốc phanh lớn nhất JPmax) khi thử đầy tải quy định tại Bảng 5;
- Khi phanh, xe không được lệch ra ngoài hành lang phanh được quy định tại Bảng 5.
Bảng 5 - Hiệu quả phanh chính khi thử đầy tải
|
Loại xe |
Vận tốc ban đầu khi phanh (km/h) |
Quãng đường phanh (m) |
Gia tốc phanh lớn nhất (m/s²) |
Hành lang phanh (m) |
|
Xe con |
50 |
≤ 20 |
≥ 5,9 |
2,5 |
|
Xe tải, xe khách có khối lượng toàn bộ thiết kế lớn nhất không quá 3,5 tấn |
50 |
≤ 22 |
≥ 5,4 |
2,5 |
|
Các loại xe còn lại (1) |
30 |
≤ 10 |
≥ 5,0 |
3,0 |
|
Chú thích: (1) Không áp dụng yêu cầu về hiệu quả phanh khi thử đầy tải đối với xe đầu kéo |
||||
2.5.9. Hiệu quả của phanh đỗ xe:
- Chế độ thử: xe không tải (có 01 lái xe);
- Hiệu quả của phanh đỗ xe được đánh giá bằng một trong hai chỉ tiêu:
+ Tổng lực phanh đỗ không nhỏ hơn 16% trọng lượng xe không tải khi thử trên băng thử; hoặc:
+ Xe phải dừng được trên đường dốc có độ dốc 20% (theo cả hai chiều dốc lên và dốc xuống), trên mặt đường phủ nhựa hoặc đường bê tông bằng phẳng và khô, hệ số bám φ không nhỏ hơn 0,6.
2.5.10. Xe khách có giường nằm phải được trang bị hệ thống chống bó cứng phanh ABS (Anti-Iock Braking System).
2.6. Hệ thống treo
2.6.1. Chịu được tải trọng tác dụng lên nó, đảm bảo độ êm dịu cần thiết khi vận hành trên đường.
2.6.2. Các chi tiết, cụm chi tiết của hệ thống treo phải lắp đặt chắc chắn và đảm bảo cân bằng xe. Không được rò rỉ khí nén (đối với hệ thống treo khí nén), dầu thủy lực (đối với giảm chấn thủy lực).
2.6.3. Tần số dao động riêng của phần được treo của xe khách ở trạng thái đầy tải (được xác định theo phương pháp quy định tại Phụ lục 1 của Quy chuẩn này) không lớn hơn 2,5 Hz.
2.7. Hệ thống nhiên liệu
2.7.1. Yêu cầu đối với hệ thống nhiên liệu xăng hoặc điêzen
2.7.1.1. Bộ phận lọc và thông khí của thùng nhiên liệu phải đáp ứng các yêu cầu sau:
- Không bị rò rỉ nhiên liệu;
- Vị trí lắp đặt cách miệng thoát khí thải của ống xả ít nhất là 300 mm và cách các công tắc điện, các giắc nối hở ít nhất là 200 mm;
- Không được đặt bên trong khoang chở người và khoang chở hàng hóa.
2.7.1.2. Vật liệu làm ống dẫn nhiên liệu phải chịu được loại nhiên liệu xe đang sử dụng.
2.7.1.3. Ống dẫn (trừ các loại ống mềm) phải được kẹp chặt, khoảng cách giữa hai kẹp liền kề nhau không quá 1000 mm.
2.7.2. Yêu cầu đối với hệ thống nhiên liệu khí dầu mỏ hóa lỏng (LPG)
2.7.2.1. Yêu cầu chung:
- Tất cả các bộ phận phải được định vị đúng và kẹp chặt chắc chắn;
- Không rò rỉ LPG;
- Không được có bộ phận nào của hệ thống LPG nhô ra khỏi bề mặt ngoài của xe trừ đầu nạp khí có thể được nhô ra không quá 10 mm;
- Các bộ phận của hệ thống LPG phải cách ống xả hoặc nguồn nhiệt tương tự từ 100 mm trở lên trừ khi các bộ phận này được cách nhiệt thích hợp.
2.7.2.2. Yêu cầu đối với bình chứa LPG: Theo Phụ lục 2, mục 1 của Quy chuẩn này.
2.7.3. Yêu cầu đối với hệ thống nhiên liệu khí thiên nhiên nén (CNG)
2.7.3.1. Yêu cầu chung:
- Tất cả các bộ phận phải được định vị đúng và kẹp chặt chắc chắn;
- Không rò rỉ CNG;
- Không được có bộ phận nào của hệ thống CNG nhô ra khỏi bề mặt ngoài của xe trừ đầu nạp khí có thể được nhô ra không quá 10 mm;
- Các bộ phận của hệ thống CNG phải cách ống xả hoặc nguồn nhiệt tương tự từ 100 mm trở lên trừ khi các bộ phận này được cách nhiệt thích hợp;
- Tất cả các bộ phận của hệ thống CNG được lắp trong khoang hành lý phải được bao kín bởi vỏ bọc kín khí;
- Lỗ thoát của vỏ bọc kín khí phải thông với môi trường bên ngoài xe không được hướng vào vòm che bánh xe hoặc các nguồn nhiệt như ống xả.
2.7.3.2. Yêu cầu đối với bình chứa CNG: Theo Phụ lục 2, mục 2 của Quy chuẩn này.
2.8. Hệ thống điện
2.8.1. Dây điện phải được bọc cách điện. Dây điện phải chịu được nhiệt độ và độ ẩm, đặc biệt là dây điện nằm trong khoang động cơ. Dây điện phải được bảo vệ và kẹp giữ chắc chắn ở các vị trí trên thân xe tránh được các hư hỏng do bị cắt, mài hay cọ xát.
2.8.2. Các giắc nối, đầu nối và công tắc điện phải được cách điện.
2.8.3. Ắc quy phải được lắp đặt chắc chắn. Ngăn đựng ắc quy không được thông với khoang hành khách, khoang người lái và phải được thông với không khí bên ngoài.
2.9. Khung và thân vỏ
2.9.1. Khung và thân vỏ phải được lắp đặt chắc chắn;
2.9.2. Không được bố trí giá chở hàng trên nóc xe khách các loại. Các giá để hành lý xách tay bố trí bên trong khoang hành khách (nếu có) phải có kết cấu chắc chắn, ngăn được hành lý rơi ra bên ngoài và khả năng chịu lực của nó không được nhỏ hơn 40 kG/m².
2.9.3. Xe tải, xe chuyên dùng, xe kéo rơ moóc và xe ô tô đầu kéo có khối lượng toàn bộ thiết kế lớn nhất từ 8 tấn trở lên phải lắp rào chắn bảo vệ ở hai bên xe đáp ứng các yêu cầu sau:
- Khoảng cách từ điểm đầu của rào chắn đến các bánh xe trước (hoặc các cơ cấu chuyên dùng như chân chống của xe tải có lắp cầu, cơ cấu điều khiển của xe bơm bê tông ...) và khoảng cách giữa điểm cuối của rào chắn đến các bánh xe sau không được lớn hơn 400 mm;
- Khoảng cách từ cạnh thấp nhất của rào chắn tới mặt đường không được lớn hơn 500 mm;
- Cạnh phía trên của rào chắn không được thấp hơn 700 mm tính từ mặt đường. Nếu khoảng hở giữa thân xe và mặt đường nhỏ hơn 700 mm thì không cần lắp rào chắn.
2.9.4. Thân xe không được có gờ sắc cạnh hoặc phần lồi ra gây nguy hiểm cho người cùng tham gia giao thông. Yêu cầu này có thể không áp dụng đối với một số loại xe ô tô chuyên dùng.
2.10. Thiết bị nối, kéo
Thiết bị nối, kéo phải được lắp đặt chắc chắn. Cóc hãm và chốt hãm không được tự mở. Xích hoặc cáp bảo hiểm (nếu có) phải chắc chắn.
2.11. Khoang lái
2.11.1. Cơ cấu điều khiển, chỉ báo và báo hiệu làm việc
2.11.1.1. Các cơ cấu, thiết bị và công tắc điều khiển liệt kê dưới đây (nếu có) phải được lắp đặt trong phạm vi giới hạn bởi hai mặt phẳng song song với mặt phẳng trung tuyến dọc của xe cách đường tâm trục lái 500 mm về hai phía và đảm bảo cho người lái có thể nhận biết, điều khiển chúng một cách dễ dàng từ vị trí ngồi của người lái xe:
- Các cơ cấu, thiết bị điều khiển động cơ và hệ thống truyền lực gồm công tắc khởi động, tắt động cơ; điều khiển thời gian đánh lửa; thời điểm phun nhiên liệu; bàn đạp ga; ly hợp; hộp số;
- Các cơ cấu điều khiển hệ thống phanh;
- Các cơ cấu điều khiển hệ thống đèn chiếu sáng, còi, đèn báo rẽ, phun nước, gạt nước và sưởi kính.
2.11.1.2. Các cơ cấu điều khiển động cơ và hệ thống truyền lực (trừ công tắc khởi động động cơ; bàn đạp ga; thiết bị điều khiển hệ thống truyền lực), các cơ cấu điều khiển liên quan đến hệ thống đèn như hệ thống đèn chiếu sáng, còi, phun nước, gạt nước và sưởi kính phải có biểu tượng nhận biết được bố trí ở gần các cơ cấu điều khiển để người lái xe có thể dễ dàng nhận ra các cơ cấu điều khiển liên quan. Các cơ cấu điều khiển của đèn báo rẽ phải có biểu tượng nhận biết sao cho lái xe có thể dễ dàng nhận ra vị trí hoạt động theo mỗi hướng của đèn báo rẽ.
2.11.1.3. Đồng hồ tốc độ, các đèn chỉ báo, báo hiệu tình trạng hoạt động của các đèn báo rẽ, đèn pha, hệ thống nhiên liệu, nước làm mát động cơ, dầu bôi trơn, hệ thống phanh và hệ thống nạp ắc quy hoặc đèn chỉ báo, báo hiệu của các hệ thống khác phải được bố trí ở vị trí sao cho người lái xe có thể dễ dàng nhận biết và nhìn thấy được trong điều kiện ban ngày và trong điều kiện thiếu ánh sáng.
2.11.2. Cơ cấu lò xo hồi vị của bàn đạp ga, phanh, ly hợp (nếu có) phải đảm bảo tự đưa các bàn đạp này trở về được vị trí ban đầu khi người lái thôi tác dụng lực.
2.11.3. Phải có ký hiệu để nhận biết được dễ dàng vị trí các tay số.
2.11.4. Xe có trang bị hộp số tự động phải không cho phép khởi động được động cơ khi cần số ở vị trí số tiến hoặc số lùi. Trong trường hợp cần số được lắp trên trục lái, chiều quay của cần số từ vị trí số trung gian đến vị trí các số tiến phải theo chiều thuận của kim đồng hồ.
2.11.5. Việc bố trí chỗ ngồi trong khoang lái (ca bin) phải đáp ứng các điều kiện dưới đây:
- Ghế người lái phải thoả mãn yêu cầu nêu tại 2.12;
- Chiều rộng và chiều sâu đệm ngồi của ghế khách phải thoả mãn yêu cầu nêu tại 2.14.2;
- Nếu khoang lái có hai hàng ghế thì khoảng trống giữa hàng ghế đầu tiên và hàng ghế thứ hai (L) không nhỏ hơn 630 mm (Hình 5);
- Việc bố trí chỗ ngồi trong ca bin không được ảnh hưởng tới khả năng điều khiển xe của người lái và phải có đủ không gian cho người ngồi để chân xuống sàn xe;
- Trong mọi trường hợp, số người ngồi trong ca bin xe tải không lớn hơn 6.
2.12. Ghế người lái (ghế lái)
2.12.1. Ghế lái phải được lắp đặt sao cho đảm bảo tầm nhìn của người lái để điều khiển xe.
2.12.2. Ghế lái phải có đủ không gian để người lái vận hành các thiết bị điều khiển một cách dễ dàng. Độ lệch tâm giữa ghế lái và trục lái không được ảnh hưởng đến khả năng điều khiển xe của người lái và không được lớn hơn 40 mm. Kích thước chiều rộng và chiều sâu đệm ngồi không nhỏ hơn 400 mm.
2.12.3. Ghế lái của xe chở người phải điều chỉnh được theo chiều dọc của xe, đệm tựa lưng phải điều chỉnh được độ nghiêng.
2.13. Khoang chở khách (khoang khách)
2.13.1. Phải được thiết kế đảm bảo an toàn khi vận hành.
2.13.2. Đối với khoang khách không có điều hòa nhiệt độ, việc thông gió phải đáp ứng yêu cầu sau:
- Khi xe chuyển động với vận tốc 30 km/h, tại vị trí ngang đầu khách ngồi, vận tốc dòng khí không nhỏ hơn 3 m/s;
- Các cửa thông gió phải điều chỉnh được lưu lượng gió.
2.13.3. Lối đi dọc
2.13.3.1. Lối đi dọc theo thân xe của xe khách trên 16 chỗ ngồi phải có chiều rộng hữu ích không nhỏ hơn 300 mm, chiều cao hữu ích không nhỏ hơn 1700 mm. Không gian trên lối đi dọc của xe khách phải được thiết kế và cấu tạo để cho phép di chuyển một dưỡng đo gồm 02 khối hình trụ đồng tâm cùng với một khối nón cụt ngược nối giữa chúng. Kích thước hình trụ được quy định như Hình 3. Đối với các xe được phép lắp ghế gập trên lối đi dọc thì cho phép đo ở trạng thái ghế gập đang gấp khi không sử dụng.
2.13.3.2. Bậc có thể được lắp đặt trên lối đi dọc và phải có chiều rộng bằng chiều rộng của lối đi dọc và thỏa mãn những yêu cầu nêu tại Bảng 7 và Hình 6.

Hình 3 - Lối đi dọc
2.13.4. Trừ xe khách thành phố, các loại xe khách khác không được bố trí chỗ đứng.
2.13.5. Yêu cầu riêng đối với xe khách có bố trí giường nằm
2.13.5.1. Giường nằm phải được lắp đặt chắc chắn và bố trí dọc theo chiều chuyển động của xe; mỗi giường chỉ cho một người nằm và phải có dây đai an toàn đáp ứng các yêu cầu quy định tại mục 2.16.
2.13.5.2. Giường nằm phải được bố trí đảm bảo đủ không gian để người sử dụng có thể ra, vào thuận tiện; kích thước đệm nằm và kích thước lắp đặt khác phải đáp ứng các quy định về kích thước mô tả tại Hình 4.
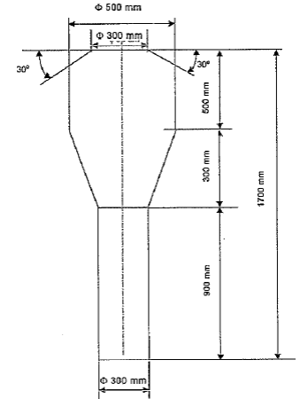
Trong đó:
- Khoảng cách giữa 2 giường D1 không nhỏ hơn 1650 mm;
- Chiều rộng đệm nằm R1 không nhỏ hơn 480 mm;
- Chiều rộng lối đi dọc R2 không nhỏ hơn 400 mm. Việc kiểm tra không gian trên lối đi dọc của xe khách có giường nằm phải cho phép di chuyển một dưỡng đo hình trụ Ф400 mm với kích thước chiều cao của hình trụ như mô tả tại Hình 3.
- C1 không nhỏ hơn 750 mm;
- C2 không nhỏ hơn 780 mm.

Hình 4 - Bố trí giường nằm trên xe khách
2.13.5.3. Khung xương của giường tại những phần có thể tiếp xúc hoặc có khả năng gây thương tích cho hành khách phải làm bằng các vật liệu tròn hoặc được bo tròn phù hợp; không được có các cạnh sắc, đầu nhọn có khả năng gây nguy hiểm cho người sử dụng.
2.13.5.4. Chiều dày của đệm giường nằm không được nhỏ hơn 75 mm.
2.13.5.5. Phải bố trí lối đi dọc giữa các dãy giường, số tầng giường nằm bố trí trong khoang hành khách trên cùng một dãy không được quá 2 tầng.
2.13.5.6. Không được bố trí chỗ ngồi cho hành khách trên xe khách giường nằm, trừ 01 ghế của người lái xe và 1 ghế của người hướng dẫn viên (nếu có).
2.13.5.7. Phải có thang leo để tiếp cận giường nằm ở tầng trên một cách dễ dàng. Thang leo phải có kết cấu chắc chắn, cố định trên xe một cách thích hợp để đảm bảo an toàn trong quá trình sử dụng. Chiều cao của bậc đầu tiên từ sàn phải ở nằm trong khoảng 250 mm đến 350 mm và chiều cao các bậc tính từ bậc thứ 2 trở đi không được vượt quá 250 mm. Có ít nhất một tay nắm được bố trí ở độ cao thích hợp cùng với thang để dễ dàng leo lên giường nằm phía trên. Tay nắm phải được làm tròn hoặc bo tròn và không có các cạnh sắc nhọn.
2.13.5.8. Giường nằm phải có các bộ phận, kết cấu để bảo vệ hành khách không bị rơi từ trên giường nằm khi xe hoạt động (gọi chung là thanh chắn). Thanh chắn này phải có kết cấu chắc chắn, có chiều cao tối thiểu 200 mm tính từ điểm cao nhất của mặt đệm giường nằm (tại từng vị trí đo). Thanh chắn phải được làm bằng các vật liệu được bo tròn phù hợp, không được có các cạnh sắc, góc nhọn có thể gây thương tích cho hành khách.
2.14. Ghế khách
2.14.1. Ghế phải được lắp đặt chắc chắn đảm bảo an toàn cho người ngồi khi xe vận hành trên đường trong điều kiện hoạt động bình thường.
2.14.2.3 Kích thước ghế ngồi
2.14.2.1. Chiều rộng đệm ngồi không nhỏ hơn 400 mm cho một người ngồi. Đối với các ghế lắp liền kề trên cùng một hàng của xe chở người loại M1 thì chiều rộng đệm ngồi tính cho 01 người trên hàng ghế đó cho phép nhỏ hơn 400 mm nhưng trong mọi trường hợp không nhỏ hơn 380 mm. Tuy nhiên, khoảng không gian dành cho khách ngồi của các ghế này đo tại các vị trí cách mặt đệm ngồi từ 270 mm đến 650 mm phải không nhỏ hơn 400 mm tính cho một người ngồi.
2.14.2.2. Chiều sâu đệm ngồi không nhỏ hơn 350 mm tính cho một người.
2.14.2.3. Chiều dày đệm ngồi và chiều dày đệm tựa lưng không nhỏ hơn 50 mm (không áp dụng đối với ghế khách của xe khách thành phố có bố trí hành khách đứng).
2.14.2.4. Đối với xe chở người, khoảng trống giữa hai hàng ghế (L) không nhỏ hơn 630 mm; đối với ghế lắp quay mặt vào nhau (L0) không nhỏ hơn 1250 mm (Hình 5).

Hình 5 - Bố trí ghế ngồi trên xe
2.14.2.5. Đối với xe khách, chiều cao khoảng không gian theo phương thẳng đứng trong phần không gian lắp đặt ghế và lối đi vào ghế tính từ điểm cao nhất của mặt đệm ngồi không nhỏ hơn 900 mm và không nhỏ hơn 1350 mm tính từ sàn xe nơi để chân của hành khách, tại các vị trí vòm che bánh xe và hàng ghế cuối cùng giá trị này cho phép giảm xuống nhưng không nhỏ hơn 1250 mm.
2.14.3. Đối với xe chở trẻ em, chiều rộng và chiều sâu đệm ngồi không nhỏ hơn 270 mm tính cho một người. Khoảng trống giữa hai hàng ghế (L) không nhỏ hơn 460 mm.
2.14.4. Chiều cao từ mặt sàn để chân người ngồi tới mặt đệm ngồi ghế khách (H) của xe khách phải nằm trong khoảng từ 380 mm đến 500 mm. Tại các vòm che bánh xe, nắp che khoang động cơ, chiều cao này có thể giảm xuống nhưng không được thấp hơn 350 mm.
2.14.5. Các ghế gập có thể lắp đặt trên lối đi dọc của xe khách đến 30 chỗ, trừ loại xe chở trẻ em. Đối với xe khách trên 30 chỗ, có thể lắp ghế gập dành cho hướng dẫn viên. Các kích thước về chiều rộng, chiều sâu đệm ngồi, chiều cao đệm tựa của ghế gập không được nhỏ hơn 75% kích thước giới hạn quy định tại 2.14.2.
2.15. Đệm tựa đầu
Ghế lái của xe con và xe khách từ 16 chỗ trở xuống phải được trang bị đệm tựa đầu.
2.16. Dây đai an toàn
2.16.1. Ghế lái của tất cả các loại xe phải được trang bị dây đai an toàn loại ba điểm trở lên.
2.16.2. Ghế khách phía ngoài cùng thuộc hàng ghế đầu tiên, cùng với dãy ghế người lái (trừ xe ô tô khách thành phố) phải được trang bị dây đai an toàn loại ba điểm trở lên. Các ghế nằm giữa ghế lái và ghế ngoài cùng của hàng ghế này phải được trang bị dây đai an toàn tối thiểu loại hai điểm.
2.16.3. Ghế khách không thuộc hàng ghế đầu tiên cùng với hàng ghế người lái xe của các xe (trừ xe ô tô khách thành phố), giường nằm phải được trang bị dây đai an toàn tối thiểu loại hai điểm.
2.16.3. Đai an toàn phải được lắp đặt phù hợp tại từng vị trí ngồi hoặc nằm, đảm bảo hoạt động tốt, có độ tin cậy cao và giảm thiểu rủi ro gây thương tích cho người sử dụng khi xảy ra tai nạn. Các dây đai an toàn không được có kết cấu dễ gây nguy hiểm cho người sử dụng.
2.16.5. Các bộ phận dây đai phải đáp ứng được các yêu cầu sau đây:
- Các bộ phận cứng trong dây đai an toàn như khóa, bộ phận điều chỉnh, không được có cạnh sắc gây ra mài mòn hoặc đứt dây đai do cọ xát;
- Khóa phải được thiết kế sao cho loại trừ được các khả năng sử dụng không đúng như không thể đóng ở trạng thái nửa chừng. Cách mở khóa phải dứt khoát;
- Bộ phận điều chỉnh đai phải tự động điều chỉnh để dây đai ôm vừa khít với người sử dụng hoặc nếu dùng bộ phận điều chỉnh bằng tay thì người sử dụng phải dễ dàng điều chỉnh khi đã ngồi vào ghế;
- Dây đai không bị xoắn ngay cả khi bị kéo căng và phải có khả năng hấp thụ và phân tán năng lượng. Chiều rộng dây đai không được nhỏ hơn 46 mm;
- Các điểm neo giữ đai phải được lắp đặt chắc chắn, phù hợp với loại đai an toàn và vị trí sử dụng.
2.16.6. Phải có các hướng dẫn sử dụng dây đai để đảm bảo an toàn cho người sử dụng trong sách hướng dẫn sử dụng kèm theo xe.
2.17. Cửa lên xuống
2.17.1. Kích thước hữu ích của cửa lên xuống của khách đối với các loại xe khách (không kể xe chở trẻ em) phải đáp ứng yêu cầu quy định tại Bảng 6.
Bảng 6 - Kích thước hữu ích nhỏ nhất của cửa lên xuống
|
Loại xe |
Kích thước hữu ích nhỏ nhất (mm) |
|
|
Chiều rộng(1) |
Chiều cao |
|
|
Xe khách từ 10 chỗ đến 16 chỗ (kể cả chỗ của người lái) |
650 |
1200 |
|
Xe khách trên 16 chỗ (kể cả chỗ của người lái) |
650 |
1650 |
|
Chú thích: (1) Kích thước này được giảm đi 100 mm khi đo ở vị trí tay nắm cửa. |
||
2.17.2. Khoang chở khách của xe khách phải được bố trí ít nhất một cửa lên xuống ở phía bên phải theo chiều tiến của xe (trừ xe khách thành phố BRT - Bus Rapid Transit hoặc loại hình vận tải tương tự). Cửa lên xuống của khách phải đảm bảo đóng chắc chắn khi xe chạy.
2.17.3. Chiều cao của bậc lên xuống cửa khách:
- Kích thước chiều cao và chiều sâu cho phép đối với các bậc lên xuống của cửa khách, cầu thang và các bậc bên trong xe (không áp dụng đối với xe khách thành phố BRT- Bus Rapid Transit hoặc loại hình vận tải tương tự) phải đáp ứng quy định trong Bảng 7 và ở Hình 6 dưới đây.
- Bề mặt bậc lên xuống phải được tạo nhám hoặc phủ vật liệu có ma sát cao để bảo đảm an toàn cho khách lên xuống.
- Kích thước chiều rộng và hình dạng bề mặt bậc phải đảm bảo sao cho khi đặt một dưỡng hình chữ nhật có kích thước 400 mm x 300 mm lên bề mặt bậc thứ nhất và một dưỡng hình chữ nhật có kích thước 400 mm x 200 mm lên bề mặt các bậc khác thì diện tích phần nhô ra phía ngoài của dưỡng so với bề mặt bậc không vượt quá 5% diện tích của dưỡng đó. Đối với cửa kép, mỗi nửa bậc lên xuống phải đáp ứng được yêu cầu này.

Hình 6 - Kích thước chiều cao và chiều sâu các bậc
Bảng 7 - Kích thước chiều cao và chiều sâu cho phép đối với các bậc
Đơn vị đo: mm
|
Bậc thứ nhất |
Chiều cao lớn nhất (D) |
500(1) |
|
|
Chiều sâu nhỏ nhất |
300(2) |
||
|
Các bậc khác |
Chiều cao (E) |
Lớn nhất |
350(3) |
|
Nhỏ nhất |
120 |
||
|
Chiều sâu hữu ích nhỏ nhất |
200 |
||
|
Chú thích: (1) 700 mm đối với cửa thoát khẩn cấp; (2) 230 mm đối với các xe chở không quá 22 người; (3) Chiều cao bậc trên lối đi dọc không được vượt quá 250 mm; Đối với xe chở không quá 22 người chiều cao bậc không được vượt quá 250 mm; Đối với các bậc tại cửa ở phía sau của cầu sau cùng thì chiều cao bậc không được vượt quá 300 mm; - Kích thước chiều cao bậc tính từ mặt đỗ xe được xác định khi xe ở trạng thái không tải, Trường hợp xe có hệ thống điều chỉnh chiều cao xe thì đo khi xe có chiều cao nhỏ nhất; - Kích thước chiều cao giữa các bậc (E) đối với từng bậc có thể không giống nhau. |
|||
- Độ dốc của bề mặt bậc đo theo mọi hướng không vượt quá 5%;
- Đối với cửa kép, các bậc lên xuống tại mỗi nửa của lối ra vào phải được xem xét như là các bậc riêng biệt.
2.18. Của thoát khẩn cấp
Xe khách phải có đủ cửa thoát khẩn cấp đáp ứng các yêu cầu sau:
2.18.1. Yêu cầu về kích thước:
- Cửa thoát khẩn cấp nếu là loại đóng mở được thì phải có kích thước nhỏ nhất là: rộng x cao = 550 mm x 1200 mm; Bậc của cửa thoát khẩn cấp phải thỏa mãn quy định tại Bảng 7 và Hình 6.
- Cửa sổ có thể được sử dụng làm cửa thoát khẩn cấp khi có diện tích không nhỏ hơn 0,4 m² và cho phép đặt lọt một dưỡng hình chữ nhật có kích thước cao 500 mm, rộng 700 mm;
- Cửa sổ phía sau có thể được sử dụng làm cửa thoát khẩn cấp khi cho phép đặt lọt một dưỡng hình chữ nhật có kích thước cao 350 mm, rộng 1550 mm với các góc của hình chữ nhật có thể được làm tròn với bán kính không quá 250 mm.
2.18.2. Số lượng cửa thoát khẩn cấp tối thiểu được quy định như Bảng 8.
2.18.3. Tại các cửa sử dụng làm cửa thoát khẩn cấp phải ghi rõ từ “CỬA THOÁT HIỂM" và/ hoặc “EMERGENCY EXIT”. Tại các vị trí gần các cửa sổ thoát khẩn cấp làm bằng kính, phải trang bị dụng cụ phá cửa thoát hiểm.
Bảng 8 - Số lượng cửa thoát khẩn cấp tối thiểu
|
Số lượng khách (1) |
17 ÷ 30 |
31 ÷ 45 |
46 ÷ 60 |
61 ÷ 75 |
76 ÷ 90 |
> 90 |
|
Số cửa thoát khẩn cấp tối thiểu (2) |
4 |
5 |
6 |
7 |
8 |
9 |
|
Chú thích: (1) Đối với xe hai tầng/xe nối toa số khách được hiểu là số lượng khách, lái xe và nhân viên phục vụ tại mỗi tầng/ mỗi toa (2) Cửa lên xuống của khách không được tính là cửa thoát khẩn cấp |
||||||
2.18.4. Lối đi tới các cửa thoát khẩn cấp, cửa sổ thoát khẩn cấp
2.18.4.1. Lối đi tới các cửa thoát khẩn cấp: Không gian tự do giữa lối đi dọc và cửa thoát khẩn cấp phải cho phép thông qua một khối trụ đứng đường kính 300 mm và cao 700 mm tính từ sàn và đỡ một khối hình trụ đứng thứ hai đường kính 550 mm, chiều cao toàn bộ của chúng là 1400 mm, đáy của khối trụ thứ nhất phải nằm trong hình chiếu của khối trụ thứ hai. Ở các nơi có ghế gập lắp dọc theo lối đi này, không gian tự do cho khối trụ phải được xác định khi ghế ở trạng thái gập (xem Hình 7).

Hình 7 - Lối đi tới cửa thoát khẩn cấp
2.18.4.2. Lối đi tới các cửa sổ thoát khẩn cấp: Lối đi phải đảm bảo khả năng di chuyển của dưỡng kiểm tra từ lối đi dọc ra bên ngoài xe qua mỗi ô cửa sổ thoát khẩn cấp. Hướng di chuyển của dưỡng kiểm tra phải là hướng mà hành khách mong muốn di chuyển khi sơ tán và dưỡng kiểm tra phải được giữ vuông góc với hướng di chuyển đó. Kích thước của dưỡng kiểm tra phải là một tấm dạng bản mỏng có kích thước 600 mm x 400 mm và có các góc lượn bán kính 200 mm. Tuy nhiên đối với cửa sổ thoát hiểm phía sau xe thì dưỡng phải có kích thước 1400 mm x 350 mm và bán kính góc lượn 175 mm.
2.19. Khoang chở hàng, khoang chở hành lý
2.19.1. Khoang chở hàng của xe phải có kết cấu vững chắc, đảm bảo an toàn cho hàng hóa và không được có các kết cấu để lắp đặt thêm các chi tiết, cụm chi tiết dẫn tới việc làm tăng thể tích chứa hàng, trừ các kết cấu sử dụng để lắp các nắp che thùng hàng.
2.19.2. Khoang chứa rác của xe chở rác phải có nắp đậy.
2.19.3. Khoang chứa hàng của xe chở hàng nguy hiểm phải được cách ly hoàn toàn với khoang lái.
2.19.4. Xe tải Van (xe tải thùng kín có khoang chở hàng liền với cabin) phải đáp ứng các yêu cầu quy định tại TCVN 7271. Riêng đối với xe ô tô tải VAN có 02 hàng ghế trở lên, tỷ lệ diện tích khoang chở hàng so với khoang chở người xác định theo quy định tại TCVN 7271 phải không nhỏ hơn 1,8 lần. Kích thước khoang chở người được xác định khi vị trí hàng ghế trước được đặt tại vị trí trung bình, góc nghiêng của lưng ghế là 25° (trường hợp góc nghiêng lưng ghế nhỏ hơn 25° thì đo tại vị trí tương ứng với góc nghiêng lớn nhất của ghế).
2.19.5. Chiều rộng toàn bộ của thùng chở hàng của xe tải không được vượt quá 10% chiều rộng toàn bộ của ca bin xe.
2.19.6. Khoang chở hành lý (không phải là hành lý xách tay) đối với xe khách (nếu có) phải được bố trí dọc hai bên sườn và/ hoặc phía sau xe, phía dưới sàn xe, có các cửa đóng mở dễ dàng, chống được bụi, nước và có kết cấu vững chắc đảm bảo an toàn khi xe chạy. Các khoang chở hành lý phải được chia thành từng khoang kín với kích thước tối đa mỗi khoang theo chiều dọc không được vượt quá 1500 mm theo chiều dọc xe và 1225 mm theo chiều ngang của xe; Đối với khoang chở hành lý phía sau xe thì kích thước lớn nhất theo bất kỳ hướng nào không được vượt quá 1500 mm. Vách ngăn của từng khoang chở hành lý phải có kết cấu vững chắc đảm bảo ngăn cản được sự dịch chuyển của hành lý khi xe vận hành. Khoang chở hành lý phải chịu được một khối lượng không nhỏ hơn khối lượng tính theo thể tích khoang chứa hành lý với giá trị khối lượng riêng tính theo thể tích khoang chứa hành lý bằng 100 kg/m³.
2.19.7. Yêu cầu đối với lắp đặt mâm kéo của xe kéo sơ mi rơ moóc:
2.19.7.1. Đối với xe đầu kéo được thiết kế kéo sơ mi rơ moóc thì chiều cao mặt đỡ của mâm kéo (h) ở trạng thái không lắp sơ mi rơ moóc không được vượt quá 1400 mm và chiều cao mặt đỡ mâm kéo ở trạng thái chất đầy tải phải nằm trong khoảng từ 1150 mm đến 1300 mm. Trường hợp xe đầu kéo được thiết kế kéo cả sơ mi rơ moóc chở container có chiều cao lớn hơn 2900 mm thì chiều cao mặt đỡ mâm kéo (h) ở trạng thái không lắp sơ mi rơ moóc không được vượt quá 1150 mm và chiều cao mặt đỡ mâm kéo ở trạng thái chất đầy tải phải nằm trong khoảng từ 1025 mm đến 1100 mm (xem hình 8);
2.19.7.2. Bán kính khoảng sáng quay vòng phía trước mâm kéo (d) không được nhỏ hơn 2040 mm (xem hình 8);
2.19.7.3. Khoảng cách l4 là khoảng cách theo phương ngang tạo ra bởi giữa một hình trụ tròn bán kính d có trục trùng với trục của mâm kéo và bề mặt hình nón có cùng trục quay. Bề mặt hình nón được tạo ra bởi một đường thẳng đứng nghiêng một góc của 6° hướng về phía trước của xe đầu kéo. Đường thẳng này được xác định vị trí sao cho bề mặt hình nón không chạm vào bất kỳ điểm nào của xe đầu kéo nằm phía trên mặt phẳng nằm ngang đi qua mâm kéo. Điểm X thuộc bề mặt này được xác định thuộc mặt phẳng trung tuyến dọc của xe đầu kéo và thuộc mặt phẳng nằm ngang, mặt phẳng nằm ngang này nằm phía trên, song song với mặt phẳng đi qua mâm kéo và cách một khoảng 250 mm. Tại điểm X, khoảng cách I4 (lx) phải không nhỏ hơn 80 mm;
2.19.7.4. Bán kính từ tâm trục mâm kéo của xe đến điểm xa nhất phía sau cùng của xe (d1) không được lớn hơn 2200 mm.


Hình 8 - Chiều cao lắp đặt mâm kéo và bán kính khoảng sáng quay vòng phía trước mâm kéo của xe đầu kéo kéo sơ mi rơ moóc
2.20. Kính an toàn trên xe
Kính chắn gió phải là kính an toàn nhiều lớp. Kính cửa của xe phải là kính an toàn. Kính sử dụng là cửa sổ thoát khẩn cấp, cửa thoát khẩn cấp phải là kính an toàn có độ bền cao. Các loại kính an toàn này phải đáp ứng các quy định trong QCVN 32 : 2011/BGTVT “Quy chuẩn kỹ thuật quốc gia về kính an toàn của xe ô tô” hoặc quy định UNECE No.43 "Quy định thống nhất về việc phê duyệt vật liệu kính an toàn và lắp đặt trên xe" (Uniform provisions concerning the approval of safety glazing materials and their installation on vehicles) phiên bản tương đương hoặc cao hơn.
2.21. Ống xả
2.21.1. Miệng thoát khí thải của ống xả không được hướng về phía trước và không được hướng về phía bên phải theo chiều tiến của xe.
2.21.2. Ống xả không được đặt ở vị trí có thể gây cháy xe hoặc hàng hóa trên xe và gây cản trở hoạt động của hệ thống khác.
2.22. Đèn chiếu sáng và tín hiệu
2.22.1. Xe phải trang bị các loại đèn chiếu sáng và tín hiệu sau đây: đèn chiếu sáng phía trước gồm có đèn chiếu xa (đèn pha) và đèn chiếu gần (đèn cốt), đèn báo rẽ, đèn cảnh báo nguy hiểm, đèn vị trí, đèn phanh, đèn lùi, đèn soi biển số sau.
2.22.2. Đèn chiếu sáng phía trước sử dụng trên xe phải đáp ứng các yêu cầu quy định trong QCVN 35 : 2010/BGTVT “Quy chuẩn kỹ thuật quốc gia về đặc tính quang học đèn chiếu sáng phía trước của phương tiện giao thông cơ giới đường bộ" hoặc một trong các quy định UNECE phiên bản tương đương hoặc cao hơn sau đây:
+ Quy định UNECE No.01 “Quy định thống nhất về việc phê duyệt đèn chiếu sáng phía trước của xe cơ giới phát ra chùm sáng gần và/ hoặc chùm sáng xa không đối xứng và được lắp đèn sợi đốt loại R2” (Uniform provisions concerning the approval of motor vehicle headlamps emitting an asymmetrical passing beam and/ or a driving beam and equipped with filament lamps of category R2);
+ UNECE No.05 “Quy định thống nhất về việc phê duyệt đèn chiếu sáng phía trước liền khối của xe lắp động cơ (SB) phát ra chùm sáng gần hoặc chùm sáng xa hoặc cả hai không đối xứng ở Châu Âu” (Uniform provisions concerning the approval of power-driven vehicle's "sealed beam" headlamps (SB) emitting a European asymmetrical passing beam or a driving beam or both);
+ UNECE No.08 “Quy định thống nhất về việc phê duyệt đèn chiếu sáng phía trước của xe cơ giới phát ra chùm sáng gần hoặc chùm sáng xa hoặc cả hai không đối xứng và lắp đèn sợi đốt halogen (H1, H2, H3, HB3, HB4, H7, H8, H9, HIR1, HIR2 and/or H11)” (Uniform provisions concerning the approval of motor vehicle headlamps emitting an asymmetrical passing beam or a driving beam or both and equipped with halogen filament lamps (H1, H2, H3, HB3, HB4, H7, H8, H9, HIR1, HIR2 and/or H11));
+ UNECE No.20 "Quy định thống nhất về việc phê duyệt đèn chiếu sáng phía trước của xe cơ giới phát ra chùm sáng gần hoặc chùm sáng xa hoặc cả hai không đối xứng và lắp đặt đèn sợi đốt halogen (đèn H4)” (Uniform provisions concerning the approval of motor vehicle headlamps emitting an asymmetricaI passing beam or a driving beam or both and equipped with halogen filament lamps (H4 Lampps));
+ UNECE No.98 “Quy định thống nhất về việc phê duyệt đèn chiếu sáng phía trước của xe cơ giới sử dụng nguồn sáng phóng điện trong khí” (Uniform provisions concerning the approval of motor vehicle headlamps equipped with gas-discharge light sources);
+ UNECE No.112 “Quy định thống nhất về việc phê duyệt đèn chiếu sáng phía trước của xe cơ giới phát ra chùm sáng gần hoặc chùm sáng xa hoặc cả hai không đối xứng và lắp đặt đèn sợi đốt và/ hoặc các môđun đèn đi ốt phát quang (LED)” (Uniform provisions concerning the approval of motor vehicle headlamps emitting an asymmetrịcal passing-beam or a driving-beam or both and equipped with filament lamps and/or light-emitting diode (LED) modules);
+ UNECE No.123 "Quy định thống nhất về việc phê duyệt hệ thống chiếu sáng thích ứng (AFS) cho xe cơ giới” (Uniform provisions concerning the approval of adaptive front-lighting systems (AFS) for motor vehicles).
2.22.3. Các đèn chiếu sáng và đèn tín hiệu phải được lắp đặt chắc chắn, bảo đảm duy trì các đặc tính quang học của chúng khi xe vận hành.
2.22.4. Các đèn sau đây phải được lắp thành cặp: đèn chiếu sáng phía trước, đèn báo rẽ, đèn vị trí, đèn phanh (có ít nhất 02 đèn phanh lắp thành cặp). Các đèn tạo thành cặp phải thoả mãn các yêu cầu sau:
a) Được lắp vào xe đối xứng qua mặt phẳng trung tuyến dọc xe;
b) Cùng màu.
2.22.5. Vị trí lắp đặt các loại đèn được quy định như Bảng 9.
Bảng 9 - Vị trí lắp đặt các loại đèn
Đơn vị: mm
|
TT |
Tên đèn |
Chiều cao tính từ mặt đỗ xe |
Khoảng cách giữa 2 mép trong của đèn đối xứng |
Khoảng cách từ mép ngoài của đèn đến mép ngoài của xe |
|
|
tới mép dưới của đèn |
tới mép trên của đèn |
||||
|
(1) |
(2) |
(3) |
(4) |
(5) |
(6) |
|
1 |
Đèn chiếu gần |
≥ 500 |
≤ 1200 (1500) |
≥ 600 (400) |
≤ 400 |
|
2 |
Đèn báo rẽ |
≥ 350 |
≤ 1500 (2100) |
≥ 600 (400) |
≤ 400 |
|
3 |
Đèn vị trí |
≥ 350 |
≤ 1500 (2100) |
≥ 600 (400) |
≤ 400 |
|
4 |
Đèn phanh |
≥ 350 |
≤ 1500 (2100) |
≥ 600 (400) |
- |
|
5 |
Đèn lùi |
≥ 250 |
≤ 1200 |
- |
- |
|
Chú thích: - Giá trị trong ngoặc tại cột (4) ứng với một số trường hợp đặc biệt khi hình dạng thân xe hoặc kết cấu của xe không cho phép lắp đặt đèn trong phạm vi chiều cao giới hạn. - Giá trị trong ngoặc tại cột (5) ứng với trường hợp xe có chiều rộng toàn bộ nhỏ hơn 1300 mm. |
|||||
2.22.6. Đèn phải phù hợp với yêu cầu quy định trong Bảng 10.
Bảng 10 - Màu, số lượng tối thiểu, cường độ sáng và chỉ tiêu kiểm tra bằng quan sát của các loại đèn
|
TT |
Tên đèn |
Màu |
Số lượng tối thiểu |
Cường độ sáng hoặc chỉ tiêu kiểm tra bằng quan sát |
||
|
Cường độ sáng (cd) |
Chỉ tiêu kiểm tra bằng quan sát |
|||||
|
1. |
Đèn chiếu sáng phía trước |
Đèn chiếu xa |
Trắng hoặc vàng |
2 |
≥ 12000 |
Chiều dài dải sáng ≥ 100 m, chiều rộng 4 m(1) |
|
Đèn chiếu gần |
- |
Chiều dài dải sáng không nhỏ hơn 50 m và phải đảm bảo quan sát được chướng ngại vật ở khoảng cách 40 m. |
||||
|
2. |
Đèn báo rẽ trước |
Vàng |
2 |
80 ÷ 700 |
Trong điều kiện ánh sáng ban ngày phải bảo đảm nhận biết được tín hiệu ở khoảng cách 20 m |
|
|
3. |
Đèn báo rẽ sau |
Vàng/ Đỏ |
2 |
40 ÷ 400 |
||
|
4. |
Đèn phanh |
Đỏ |
2 |
20 ÷ 100 |
||
|
5. |
Đèn lùi |
Trắng |
1 (2) |
80 ÷ 600 |
||
|
6. |
Đèn vị trí trước (3) |
Trắng hoặc vàng |
2 |
2 ÷ 60 |
Trong điều kiện ánh sáng ban ngày phải bảo đảm nhận biết được tín hiệu ở khoảng cách 10 m |
|
|
7. |
Đèn vị trí sau (đèn hậu) |
Đỏ |
2 |
1 ÷ 12 |
||
|
8. |
Đèn soi biển số sau |
Trắng |
1 |
2 ÷ 60 |
||
|
Chú thích: (1) Khi kiểm tra đèn lắp đặt trên xe ở trạng thái không tải và có 01 người lái bằng thiết bị: + Đối với đèn chiếu xa: Theo phương thẳng đứng, chùm sáng không được lệch lên trên quá 0%; không được lệch dưới quá 2% đối với đèn có chiều cao lắp đặt không lớn hơn 850 mm so với mặt đất hoặc không được lệch dưới quá 2,75% đối với đèn có chiều cao lắp đặt lớn hơn 850 mm so với mặt đất. Theo phương ngang, chùm sáng của đèn không được lệch phải quá 2%, không được lệch trái quá 0%; + Đối với đèn chiếu gần khi kiểm tra bằng thiết bị: Theo phương thẳng đứng, giao điểm của đường tối sáng và phần hình nêm nhô lên của chùm sáng không được lệch lên trên quá 0,5% so với đường nằm ngang đối với đèn có chiều cao lắp đặt không lớn hơn 850 mm tính từ mặt đất và không được lệch lên trên quá 1,25% đối với đèn có chiều cao lắp đặt lớn hơn 850 mm tính từ mặt đất hướng lên trên; không được lệch dưới quá 2% đối với đèn có chiều cao lắp đặt không lớn hơn 850 mm so với mặt đất hoặc không được lệch dưới quá 2,75% đối với đèn có chiều cao lắp đặt lớn hơn 850 mm so với mặt đất. Theo phương ngang, giao điểm của đường tối sáng và phần hình nêm nhô lên của chùm sáng của đèn không được lệch phải quá 2%, không được lệch trái quá 0%. (2) Nhưng không quá 2 đèn. (3) Đèn vị trí trước có thể được sử dụng kết hợp với các đèn khác. |
||||||
2.22.7. Các yêu cầu khác
2.22.7.1. Không được lắp đèn màu đỏ và các tấm phản quang ở phía trước xe. Không được lắp đèn có ánh sáng trắng hướng về phía sau (ngoại trừ đèn lùi).
2.22.7.2. Đối với đèn chiếu sáng phía trước:
+ Khi bật công tắc đèn chiếu gần thì tất cả các đèn chiếu xa phải tắt;
+ Phải có báo hiệu làm việc khi sử dụng đèn chiếu xa.
2.22.7.3. Đèn lùi phải bật sáng khi cần số ở vị trí số lùi và công tắc khởi động động cơ đang ở vị trí mà động cơ có thể hoạt động được. Đèn lùi phải tắt khi một trong hai điều kiện trên không thỏa mãn.
2.22.7.4. Đèn soi biển số phải sáng khi bật đèn chiếu sáng phía trước, không thể tắt và bật được bằng công tắc riêng.
2.22.7.5. Đối với đèn phanh:
+ Đèn phanh phải bật sáng khi người lái tác động vào hệ thống phanh chính;
+ Trong trường hợp dùng kết hợp với đèn hậu, đèn phanh phải có cường độ sáng rõ rệt hơn so với đèn hậu.
2.22.7.6. Đối với đèn báo rẽ:
+ Tất cả các đèn báo rẽ ở cùng một bên của xe phải nhấp nháy cùng pha. Tần số nhấp nháy từ 60 ÷ 120 lần/phút;
+ Thời gian từ khi bật công tắc đến khi đèn phát tín hiệu báo rẽ không quá 1,5 giây.
2.22.7.7. Các đèn cảnh báo nguy hiểm phải nháy đồng thời và cùng tần số. Đèn cảnh báo nguy hiểm có thể dùng kết hợp với đèn báo rẽ.
2.23. Tấm phản quang
2.23.1. Xe phải được trang bị tấm phản quang ở phía sau.
2.23.2. Hình dạng mặt phản quang không được là hình tam giác.
2.23.3. Ánh sáng phản chiếu của tấm phản quang phải được nhìn thấy rõ ràng từ khoảng cách 100 m phía sau xe khi được chiếu sáng bằng ánh sáng đèn pha của xe khác.
2.23.4. Màu tấm phản quang là màu đỏ.
2.24. Gương chiếu hậu
2.24.1. Xe phải được trang bị gương chiếu hậu cho phép người lái có thể nhận biết rõ ràng điều kiện giao thông về phía sau và hai bên xe.
2.24.2. Gương chiếu hậu lắp ngoài phải có vị trí sao cho người lái dễ dàng nhìn thấy được qua cửa sổ bên hoặc qua phần diện tích được quét của gạt nước trên kính chắn gió.
2.24.3. Gương chiếu hậu sử dụng trên xe phải là loại gương đáp ứng các yêu cầu quy định tại QCVN 33:2011/BGTVT “Quy chuẩn kỹ thuật quốc gia về gương chiếu hậu dùng cho xe ô tô” hoặc quy định UNECE No.46 “Quy định thống nhất về việc phê duyệt thiết bị nhìn gián tiếp và xe cơ giới lắp đặt các thiết bị này” (Uniform provisions concerning the approval of devices for indirect vision and of motor vehicles with regard to the installation of these devices) phiên bản tương đương hoặc cao hơn. Việc lắp đặt gương chiếu hậu theo quy định tại Phụ lục 3 của Quy chuẩn này.
2.25. Hệ thống gạt nước
Xe phải được trang bị hệ thống gạt nước để đảm bảo tầm nhìn của người lái qua kính chắn gió phía trước và phải đáp ứng các yêu cầu sau:
+ Phải có từ hai tần số gạt trở lên;
+ Một tần số gạt có giá trị không nhỏ hơn 45 lần/phút;
+ Một tần số gạt có giá trị nằm trong khoảng từ 10 đến 55 lần/phút;
+ Chênh lệch giữa tần số gạt cao nhất với một trong những tần số gạt thấp hơn phải không nhỏ hơn 15 lần/phút.
2.26. Còi
2.26.1. Còi bao gồm nhiều thiết bị riêng, mỗi thiết bị phát ra một tín hiệu âm thanh và hoạt động độc lập với nhau bởi một công tắc điều khiển riêng biệt thì được xem như một hệ thống còi. Còi (hoặc hệ thống còi) phải có âm thanh liên tục với âm lượng ổn định.
2.26.2. Âm lượng còi (khi đo ở khoảng cách 7 m tính từ đầu xe, micro của thiết bị đo được đặt gần với mặt phẳng trung tuyến dọc của xe với chiều cao nằm trong khoảng từ 0,5 m đến 1,5 m) không nhỏ hơn 93 dB(A), không lớn hơn 112 dB(A).
2.27. Đồng hồ tốc độ
2.27.1. Xe phải được trang bị đồng hồ tốc độ.
2.27.2. Đơn vị đo tốc độ trên đồng hồ là km/h.
2.27.3. Sai số cho phép của đồng hồ tốc độ phải nằm trong giới hạn từ -10% đến +20% ở tốc độ 40 km/h.
2.28. Bình chữa cháy, bộ dụng cụ sơ cứu
2.28.1. Bình chữa cháy: Các loại xe chở hàng dễ cháy nổ, xe khách từ 16 chỗ ngồi trở lên phải được trang bị bình chữa cháy.
2.28.2. Bộ dụng cụ sơ cứu: Các loại xe khách từ 16 chỗ ngồi trở lên phải có nơi để đặt một hay nhiều tủ hoặc túi cứu thương (chứa các dụng cụ sơ cứu). Thể tích của tủ hoặc túi cứu thương không được nhỏ hơn 7 dm³ và có kích thước nhỏ nhất không được nhỏ hơn 80 mm. Các vị trí đặt tủ hoặc túi cứu thương phải dễ dàng lấy để sử dụng trong trường hợp khẩn cấp.
2.29. Quy định về bảo vệ môi trường
2.29.1. Giới hạn khí thải
2.29.1.1. Khí thải của xe phải đáp ứng các yêu cầu quy định tại QCVN 05 : 2009/BGTVT "Quy chuẩn kỹ thuật quốc gia về khí thải xe ô tô sản xuất, lắp ráp và nhập khẩu mớ”, QCVN 86: 2015/BGTVT "Quy chuẩn kỹ thuật quốc gia về mức khí thải mức 4 đối với xe ô tô sản xuất; lắp ráp và nhập khẩu mới”.
2.29.1.2. Khi kiểm tra khí thải theo phương pháp thử nhanh (phương pháp thử được quy định tại tiêu chuẩn TCVN 6438 “Phương tiện giao thông đường bộ - Giới hạn lớn nhất cho phép của khí thải”) đáp ứng quy định sau:
+ Đối với xe lắp động cơ cháy cưỡng bức, khi kiểm tra ở chế độ không tải khí thải của xe phải thoả mãn yêu cầu sau:
- Cacbonmonoxit CO (% thể tích): ≤ 3,0;
- Hydrocacbon HC (ppm thể tích): ≤ 600 đối với động cơ 4 kỳ, ≤ 7800 đối với động cơ 2 kỳ, ≤ 3300 đối với động cơ đặc biệt.
+ Đối với xe lắp động cơ cháy do nén, độ khói của khí thải của xe khi kiểm tra ở chế độ gia tốc tự do phải ≤ 50% HSU.
2.29.2. Tiếng ồn do xe phát ra khi đỗ đo theo phương pháp quy định tại tiêu chuẩn TCVN 7880 “Phương tiện giao thông đường bộ. Tiếng ồn phát ra từ ô tô. Yêu cầu và phương pháp thử trong phê duyệt kiểu” không được vượt quá mức ồn tối đa cho phép quy định tại Bảng 11.
Bảng 11 - Mức ồn tối đa cho phép
Đơn vị: dB(A)
|
TT |
Loại xe |
Mức ồn tối đa cho phép |
|
1 |
Xe con |
103 |
|
2 |
Xe tải, xe chuyên dùng và xe khách có G ≤ 3500 kg |
103 |
|
3 |
Xe tải, xe chuyên dùng và xe khách có G > 3500 kg và P ≤ 150 kW |
105 |
|
4 |
Đối với xe tải, xe chuyên dùng và xe khách có G > 3500 kg và P > 150 kW |
107 |
|
Chú thích: - P là công suất lớn nhất của động cơ; - G là khối lượng toàn bộ thiết kế lớn nhất của xe. |
||
2.29.3. Không được sử dụng môi chất làm lạnh CFC trong thiết bị điều hoà không khí của xe.
2.30. Yêu cầu riêng đối với xe cho người khuyết tật
2.30.1. Cơ cấu điều khiển các hoạt động của xe do người khuyết tật điều khiển phải phù hợp với hệ vận động của người khuyết tật điều khiển xe.
2.30.2. Xe cho người khuyết tật tiếp cận sử dụng phải có các ký hiệu xe dùng cho người khuyết tật ở vị trí thích hợp để có thể nhận biết dễ dàng.
2.31. Cơ cấu chuyên dùng lắp đặt trên xe (nếu có) phải được lắp đặt chắc chắn và phải có các chỉ dẫn hoặc chú ý hoặc hướng dẫn sử dụng, vận hành các cơ cấu chuyên dùng để đảm bảo an toàn khi sử dụng.
3. QUY ĐỊNH VỀ QUẢN LÝ
3.1. Kiểm tra, thử nghiệm và cấp giấy chứng nhận
3.1.1. Phương thức kiểm tra, thử nghiệm và cấp giấy chứng nhận thực hiện theo quy định tại Thông tư số 30/2011/TT-BGTVT ngày 15 tháng 4 năm 2011 của Bộ trưởng Bộ Giao thông vận tải quy định về việc kiểm tra chất lượng an toàn kỹ thuật và bảo vệ môi trường trong sản xuất, lắp ráp xe cơ giới và Thông tư số 54/2014/TT-BGTVT ngày 20 tháng 10 năm 2014 sửa đổi, bổ sung một số điều của Thông tư số 30/2011/TT-BGTVT ngày 15 tháng 4 năm 2011 của Bộ trưởng Bộ Giao thông vận tải quy định về việc kiểm tra chất lượng an toàn kỹ thuật và bảo vệ môi trường trong sản xuất, lắp ráp xe cơ giới.
3.1.2. Tài liệu kỹ thuật và mẫu thử: Cơ sở sản xuất, lắp ráp, tổ chức, cá nhân nhập khẩu có trách nhiệm cung cấp các hồ sơ tài liệu và mẫu thử theo các quy định hiện hành của Bộ Giao thông vận tải.
3.1.3. Việc kiểm tra khả năng vượt dốc quy định tại mục 2.2.3 đối với xe ô tô chuyên dùng, xe đầu kéo và việc kiểm tra góc ổn định tĩnh ngang của các loại xe quy định tại mục 2.1.2.3 có thể sử dụng phương pháp tính toán.
3.1.4. Việc thử nghiệm xác định hiệu quả phanh chính và phanh đỗ khi thử trên đường được áp dụng khi kiểm tra, thử nghiệm sản phẩm mẫu. Việc xác định hiệu quả phanh chính và phanh đỗ khi thử trên băng thử được áp dụng khi kiểm tra xuất xưởng các sản phẩm sản xuất hàng loạt.
3.1.5. Việc kiểm tra khí thải theo phương pháp thử nhanh quy định tại mục 2.29.1.2 được áp dụng khi kiểm tra xuất xưởng các sản phẩm sản xuất hàng loạt.
3.1.6. Cơ sở sản xuất có trách nhiệm kiểm tra các sản phẩm sản xuất, lắp ráp hàng loạt đảm bảo đáp ứng được các quy định về độ trượt ngang theo quy định tại mục 2.4.7, hiệu quả phanh theo quy định tại mục 2.5.8, cường độ và độ lệch đèn chiếu sáng phía trước trên thiết bị theo quy định tại mục 2.22.6, sai số đồng hồ tốc độ theo quy định tại mục 2.27.3, khí thải theo quy định tại mục 2.29.1.2, mức tiếng ồn theo quy định tại 2.29.2. Việc kiểm tra tiếng ồn của các sản phẩm sản xuất, lắp ráp hàng loạt có thể thực hiện theo phương pháp kiểm tra xác suất. Cơ sở sản xuất phải đăng ký cụ thể với cơ quan quản lý chất lượng về phương thức và tỉ lệ lấy mẫu để kiểm tra xác suất.
3.1.7. Kiểm tra, thử nghiệm và cấp giấy chứng nhận đối với các xe có thông số về kích thước, khối lượng phân bố lên trục lớn hơn giới hạn quy định tại mục 2.1.1 như sau:
3.1.7.1. Đối với các xe có thông số về khối lượng lớn hơn giới hạn quy định tại mục 2.1.1 thì đơn vị kiểm tra, thử nghiệm phải tính toán, điều chỉnh để ghi nhận thông số đáp ứng yêu cầu quy định về khối lượng phương tiện được phép tham gia giao thông theo quy định.
3.1.7.2. Đối với các xe có thông số về kích thước và khối lượng phân bố lên trục lớn hơn giới hạn quy định tại mục 2.1.1 thì thực hiện kiểm tra, thử nghiệm theo quy chuẩn này và ghi nhận các thông số kỹ thuật xe theo đề nghị của cơ sở đăng ký thử nghiệm. Kết quả kiểm tra, thử nghiệm, cấp giấy chứng nhận ghi nhận phương tiện này chỉ hoạt động trong phạm vi hẹp, không tham gia giao thông. Trường hợp đặc biệt có nhu cầu tham gia giao thông như: di chuyển từ nơi sản xuất, nhập khẩu đến địa điểm tập kết; di chuyển đến cơ sở bảo dưỡng; sửa chữa; di chuyển đến cơ sở đăng kiểm; vận chuyển hàng hóa có khối lượng kết cấu đặc biệt không thể tháo rời thì phải được cấp phép của cơ quan quản lý đường bộ và tuân thủ các quy định liên quan.
3.1.8. Đối với các kiểu loại xe có các kết cấu mới hoặc sử dụng vật liệu mới thì phải cung cấp các tài liệu liên quan đến thiết kế, kết quả kiểm tra thử nghiệm hoặc tài liệu chuyển giao công nghệ có liên quan.
3.2. Đối với các kiểu loại xe đã được kiểm tra, thử nghiệm theo quy định tại 3.1 và có kết quả phù hợp với quy chuẩn này sẽ được cấp báo cáo kết quả thử nghiệm.
4. TỔ CHỨC THỰC HIỆN
4.1. Cục Đăng kiểm Việt Nam chịu trách nhiệm thực hiện Quy chuẩn này trong kiểm tra chất lượng an toàn kỹ thuật và bảo vệ môi trường đối với xe.
4.2. Lộ trình thực hiện
4.2.1. Đối với các kiểu loại xe sản xuất, lắp ráp đã được cấp giấy chứng nhận chất lượng an toàn kỹ thuật và bảo vệ môi trường và các loại xe nhập khẩu đã được kiểm tra, cấp chứng chỉ chất lượng an toàn kỹ thuật và bảo vệ môi trường trước thời điểm quy chuẩn này có hiệu lực được áp dụng sau 18 tháng kể từ khi Quy chuẩn kỹ thuật này có hiệu lực. Riêng quy định “Bình chứa khí nén phải đủ số lượng và đáp ứng các tiêu chuẩn Việt Nam TCVN 6153 ÷ TCVN 6156 Bình chịu áp lực hoặc các tiêu chuẩn tương ứng của nước ngoài” tại mục 2.5.7. Hệ thống phanh chính dẫn động khí nén phải đáp ứng các yêu cầu sau của QCVN 09:2011/BGTVT Quy chuẩn kỹ thuật quốc gia về chất lượng, an toàn kỹ thuật và bảo vệ môi trường đối với ô tô dừng áp dụng kể từ khi Quy chuẩn kỹ thuật này có hiệu lực.
4.2.2. Đối với các kiểu loại xe sản xuất, lắp ráp lần đầu cấp giấy chứng nhận chất lượng an toàn kỹ thuật và bảo vệ môi trường và các loại xe nhập khẩu chưa được kiểm tra, cấp chứng chỉ chất lượng an toàn kỹ thuật và bảo vệ môi trường được áp dụng từ ngày 01 tháng 01 năm 2017.
4.2.3. Đối với yêu cầu thử nghiệm vật liệu sử dụng trong kết cấu nội thất (mục 2.1.2.6), lốp (mục 2.3.2), vành hợp kim nhẹ (mục 2.3.5), kính ô tô (mục 2.20), đèn chiếu sáng phía trước (mục 2.22.2), gương chiếu hậu (mục 2.24.3), lắp đặt thùng nhiên liệu chứa nhiên liệu lỏng (mục 2.1.2.5) của kiểu loại xe chưa được cơ quan có thẩm quyền phê duyệt kiểu loại và cấp phép lưu hành được thực hiện theo lộ trình quy định trong các Quy chuẩn kỹ thuật tương ứng.
4.2.4. Việc kiểm tra, thử nghiệm hoặc miễn thử nghiệm về khí thải nêu tại mục 2.29.1.1 được thực hiện theo quy định tại các văn bản quy phạm pháp luật. Mức khí thải quy định tại mục 2.29.1.1 theo QCVN 86:2015/BGTVT được áp dụng từ 01/01/2017. Đối với các xe sản xuất, lắp ráp từ các loại xe đã được kiểm tra, chứng nhận chất lượng thì mức khí thải của kiểu loại xe sản xuất, lắp ráp được áp dụng theo mức khí thải của kiểu loại xe đã được kiểm tra, chứng nhận.
4.2.5. Quy định tại mục 2.29.3 sẽ được thực hiện theo lộ trình của Chính phủ về cắt giảm, loại trừ các chất làm suy giảm tầng ô-dôn.
4.3. Quy định tại mục 2.1.2.9 không áp dụng kiểm tra đối với xe nhập khẩu; Không áp dụng công thức tính toán để xác định số người cho phép chở quy định tại mục 2.1.2.8 đối với xe sản xuất, lắp ráp tại nước ngoài, tuy nhiên khối lượng toàn bộ cho phép lớn nhất của xe khi được xác định theo định nghĩa nêu tại TCVN 6529 “Phương tiện giao thông đường bộ - Khối lượng - Thuật ngữ định nghĩa và mã hiệu” với khối lượng tính toán một người theo quy định tại mục 2.1.2.7 không được lớn hơn khối lượng toàn bộ cho phép lớn nhất theo công bố của nhà sản xuất xe nước ngoài.
4.4. Quy định mục 2.19.7 không áp dụng đối với xe đầu kéo chỉ kéo sơ mi rơ moóc chuyên dùng.
4.5. Trong trường hợp các tiêu chuẩn được trích dẫn trong Quy chuẩn này có các Quy chuẩn mới thay thế tương ứng thì thực hiện theo Quy chuẩn mới. Trường hợp quy chuẩn được trích dẫn trong Quy chuẩn này được ban hành mới hoặc được bổ sung, sửa đổi thì sẽ áp dụng theo Quy chuẩn mới hoặc theo phiên bản bổ sung, sửa đổi. Lộ trình áp dụng được thực hiện theo lộ trình quy định trong các quy chuẩn.
Phụ lục 1
PHƯƠNG PHÁP XÁC ĐỊNH TẦN SỐ DAO ĐỘNG RIÊNG CỦA HỆ THỐNG TREO CỦA XE
1. Phạm vi, đối tượng áp dụng
Phụ lục này quy định phương pháp xác định tần số dao động riêng và hệ số tắt dần của hệ thống treo của xe 2 trục hoặc nhiều hơn 2 trục.
2. Điều kiện thử
2.1. Thiết bị và dụng cụ thử
2.1.1. Thiết bị đo tần số dao động có phạm vi đo tần số từ 0,3 Hz đến 100 Hz.
2.1.2. Dụng cụ thử: cân xe, dụng cụ đo nhiệt độ và độ ẩm, đồng hồ đo áp suất lốp, thước đo chiều dài và các dụng cụ phụ trợ khác.
2.2. Mẫu thử
2.2.1. Xe phải được chất đủ tải theo đúng thiết kế.
2.2.2. Hệ thống treo phải đúng theo thiết kế của xe.
2.2.3. Lốp xe phải mới và đúng kiểu loại của xe thiết kế; áp suất lốp phải phù hợp với quy định của nhà sản xuất.
2.3. Môi trường thử
Trời không mưa, nhiệt độ: 1 °C đến 50 °C, độ ẩm tương đối: 0% đến 85%.
3. Phương pháp tạo dao động
Có các phương pháp tạo dao động như sau:
3.1. Phương pháp 1 (chỉ áp dụng cho xe 2 trục):

Hình 1-1- Sơ đồ nguyên lý tạo dao động theo phương pháp 1
Cho xe rơi tự do từ độ cao h nằm trong phạm vi từ 60 mm đến 120 mm xuống, sao cho khi bánh xe chạm đất thì khung xe không chạm vào ụ hạn chế hành trình của hệ thống treo (Hình 1-1).
Trong trường hợp đặc biệt, có thể chọn độ cao ngoài phạm vi 60 mm đến 120 mm.
3.2. Phương pháp 2:
Nén khung xe xuống từ 60 mm đến 120 mm so với vị trí ban đầu sao cho không chạm vào ụ hạn chế hành trình của hệ thống treo. Ngừng nén một cách đột ngột để tạo ra dao động.
4. Chuẩn bị thử
4.1. Kiểm tra mẫu thử theo 2.2.
4.2. Xác định các thông số của mẫu thử.
4.3. Lắp đặt thiết bị đo
4.3.1. Vị trí lắp đầu đo
Đối với phần không được treo: lắp tại trục xe cần đo;
Đối với phần được treo: lắp trên sàn xe tại vị trí ngay phía trên của trục xe. Trường hợp không thể lắp đầu đo trực tiếp trên sàn xe thì có thể lắp ở vị trí lân cận đảm bảo mô tả được dao động của phần được treo cần đo.
4.3.2. Yêu cầu khi lắp đầu đo
Đầu đo phải được lắp đặt chắc chắn, đúng vị trí đảm bảo không bị va chạm với khung xe hoặc vật cứng trong quá trình đo.
4.3.3. Việc kết nối các đầu đo với các bộ phận khác của thiết bị phải đảm bảo dao động của xe không làm ảnh hưởng tới hoạt động của thiết bị.
4.3.4. Sau khi lắp thiết bị, kiểm tra sự hoạt động của thiết bị.
5. Tiến hành thử
Tiến hành thử 3 lần theo các bước sau:
5.1. Đưa xe vào vị trí thử, tắt máy và đưa tay số về vị trí trung gian (số “0”).
5.2. Tạo dao động cho xe theo một trong các phương pháp nêu tại 3.
5.3. Ghi và lưu tín hiệu dao động thu được. Thời gian lấy tín hiệu không nhỏ hơn 3s.
5.4. Xử lý kết quả thử theo 6 và lập báo cáo kết quả thử.
6. Xử lý kết quả thử
Trên đường cong dao động tắt dần đo được trên thân xe (Hình 1-2a) và trục xe (Hình 1-2b) do thiết bị đo dao động ghi lại, đọc giá trị chu kỳ dao động riêng T1 của thân xe và T2 của trục xe. Tính tần số dao động riêng của thân xe, trục xe và hệ số tắt dần của dao động thân xe như sau:
6.1. Tính tần số dao động riêng của thân xe và trục xe:

Trong đó:
f1: tần số dao động riêng của thân xe (Hz);
T1: chu kỳ dao động riêng của thân xe (s);
f2: tần số dao động riêng của trục xe (Hz);
T2: chu kỳ dao động riêng của trục xe (s);
Z(t): gia tốc dao động tự do tắt dần của thân xe (m/s²);
x(t): gia tốc dao động tự do tắt dần của trục xe (m/s²).

6.2. Hệ số tắt dần nửa chu kỳ D của dao động thân xe:

Trong đó: A1: giá trị biên độ của đỉnh thứ 2 đến đỉnh thứ 3;
A2: giá trị biên độ của đỉnh thứ 3 đến đỉnh thứ 4;
6.3. Hệ số tắt dần y của dao động thân xe:

Trong đó: p = 3,14;
ln: logarit tự nhiên.
Khi giá trị hệ số tắt dần nửa chu kỳ D nhỏ, (A3 không giảm một cách đột ngột), có thể lấy hệ số tắt dần toàn bộ chu kỳ D’:

Trong đó: A3: giá trị biên độ đỉnh thứ 4 đến đỉnh thứ 5.
Hệ số tắt dần y của dao động thân xe:

6.4. Trong quá trình xử lý kết quả thử, trường hợp có kết quả khác thường thì phải huỷ kết quả đó và tiến hành thử lại.
6.5. Kết quả thử là giá trị trung bình cộng của 3 lần thử.
Phụ lục 2
YÊU CẦU ĐỐI VỚI BÌNH CHỨA LPG, CNG
1. Đối với bình chứa LPG
1.1. Bình chứa LPG phải đủ số lượng và đáp ứng các yêu cầu quy định tại quy chuẩn kỹ thuật, tiêu chuẩn quốc gia của Việt Nam hoặc quy định UNECE No.67 “Quy định thống nhất về việc phê duyệt của: I. Phê duyệt trang thiết bị lắp đặt trên xe loại M và N lắp động cơ sử dụng nhiên liệu khí dầu mỏ hóa lỏng; II. Phê duyệt kiểu xe loại M và N lắp đặt các thiết bị đối với động cơ sử dụng nhiên liệu khí dầu mỏ hóa lỏng phù hợp với yêu cầu lắp đặt đặt các thiết bị này” (Uniform provisions concerning the approval of: I. Approval of specific equipment of vehides of category M and N using liquefied petroleum gases in their propulsion system; II. Approval of vehicles of category M and N fitted with specific equipment for the use of liquetied petroleum gases in their propulsion system with regard to the installation of such equipment) hoặc tiêu chuẩn tương ứng của nước ngoài.
1.2. Việc lắp đặt bình chứa phải phù hợp với các yêu cầu sau:
+ Bình chứa phải lắp đặt chắc chắn vào thân xe, không được lắp trong khoang khách và khoang động cơ, bảo đảm an toàn khi chịu các tác động bên ngoài và được thông gió hợp lý.
+ Không được có tiếp xúc giữa kim loại với kim loại, trừ các điểm lắp đặt cố định của bình chứa.
+ Trong trường hợp bình chứa và ống dẫn nhiên liệu được đặt ở vị trí có thể chịu ảnh hưởng của nhiệt từ ống xả, bầu giảm âm thì nó phải được bảo vệ bằng các vật liệu cách nhiệt thích hợp.
+ Cửa thông hơi của vỏ bọc kín khí của bình chứa tại nơi thoát ra khỏi xe phải hướng xuống dưới nhưng không được hướng luồng khí thông hơi vào vòm che bánh xe hoặc các nguồn nhiệt như ống xả.
2. Đối với bình chứa CNG
2.1. Bình chứa CNG phải đủ số lượng và đáp ứng các yêu cầu quy định tại quy chuẩn kỹ thuật, tiêu chuẩn quốc gia của Việt Nam hoặc quy định UNECE No.110 “Quy định thống nhất về việc phê duyệt của: I. Phê duyệt linh kiện của xe lắp động cơ sử dụng nhiên liệu khí thiên nhiên nén (CNG) hoặc khí thiên nhiên lỏng (LNG); II. Xe với các yêu cầu lắp đặt các linh kiện đã được phê duyệt kiểu loại sử dụng khí thiên nhiên nén (CNG) và/ hoặc khí thiên nhiên lỏng (LNG) trong động cơ của chúng” (Uniform provisions concerning the approval of: I. Specific components of motor vehicles using compressed natural gas (CNG) and/or liquefied natural gas (LNG) in their propulsion system; II. Vehicles with regard to the installation of specific components of an approved type for the use of compressed natural gas (CNG) and/or liquefied natural gas (LNG) in their propulsion system) hoặc tiêu chuẩn tương ứng của nước ngoài.
2.2. Việc lắp đặt bình chứa phải phù hợp với các yêu cầu sau:
+ Bình chứa phải lắp đặt chắc chắn trên xe và không được lắp trong khoang động cơ, bảo đảm an toàn khi chịu các tác động bên ngoài và được thông gió hợp lý;
+ Không được có tiếp xúc giữa kim loại với kim loại, trừ các điểm lắp đặt cố định của bình chứa.
Phụ lục 3
YÊU CẦU ĐỐI VỚI LẮP ĐẶT GƯƠNG CHIẾU HẬU
1. Yêu cầu chung
Xe phải được lắp ít nhất 02 gương lắp ngoài chính (loại II hoặc loại III), mỗi gương lắp ở một bên xe. Ngoài ra có thể lắp thêm gương loại IV (gương lắp ngoài góc nhìn rộng) với số lượng gương tùy ý; riêng loại xe có khối lượng toàn bộ không lớn hơn 7,5 tấn có thể lắp thêm loại V (gương lắp ngoài nhìn gần) với số lượng gương tùy ý.
Tất cả các gương chiếu hậu phải điều chỉnh được.
2. Yêu cầu về vị trí lắp gương
2.1. Gương phải được lắp ở vị trí sao cho khi ngồi ở chỗ lái xe bình thường, người lái phải nhìn rõ ràng đường hai bên về phía sau xe.
2.2. Gương phải được nhìn thấy qua cửa sổ bên cạnh hoặc qua phần được quét trên kính chắn gió bởi gạt mưa.
2.3. Khi xe đầy tải nếu chiều cao cạnh dưới của gương so với mặt đỗ xe nhỏ hơn 2 m thì điểm ngoài cùng của gương không được nhô ra quá mặt bên xe quá 200 mm.
2.4. Đối với gương loại V: không có bộ phận nào của gương hoặc vỏ bảo vệ có chiều cao so với mặt đỗ xe nhỏ hơn 2m khi xe đầy tải.
3. Yêu cầu về tầm nhìn đối với gương loại II, lIl
3.1. Gương lắp ngoài bên trái xe phải bảo đảm cho người lái nhìn thấy được phần đường nằm ngang, phẳng rộng ít nhất 2,5 m kể từ điểm ngoài cùng của mặt bên trái xe trở ra phía giữa đường và cách mắt người lái về phía sau xe 10 m.
3.2. Gương lắp ngoài bên phải xe phải bảo đảm cho người lái nhìn thấy được phần đường nằm ngang, phẳng rộng ít nhất:
+ Đối với xe con và xe tải (loại có trọng lượng toàn bộ không lớn hơn 2 tấn): 4 m tính từ mặt phẳng song song với mặt phẳng trung tuyến dọc của xe và đi qua điểm ngoài cùng ở bên phải của xe và cách điểm quan sát của người lái 20 m về phía sau (Hình 3-1);
+ Đối với các loại xe khác: 3,5 m tính từ mặt phẳng song song với mặt phẳng trung tuyến dọc của xe và đi qua điểm ngoài cùng ở bên phải của xe và cách điểm quan sát của người lái 30 m về phía sau. Ngoài ra, người lái cũng phải nhìn thấy phần đường rộng từ 0,75 m trở lên kéo dài từ điểm cách mặt phẳng thẳng đứng đi qua mắt người lái 4 m về phía sau (Hình 3-2).
TẦM NHÌN CỦA NGƯỜI LÁI QUA GƯƠNG CHIẾU HẬU


Bạn chưa Đăng nhập thành viên.
Đây là tiện ích dành cho tài khoản thành viên. Vui lòng Đăng nhập để xem chi tiết. Nếu chưa có tài khoản, vui lòng Đăng ký tại đây!
Bạn chưa Đăng nhập thành viên.
Đây là tiện ích dành cho tài khoản thành viên. Vui lòng Đăng nhập để xem chi tiết. Nếu chưa có tài khoản, vui lòng Đăng ký tại đây!








