- Tổng quan
- Nội dung
- Tiêu chuẩn liên quan
- Lược đồ
- Tải về
Tiêu chuẩn Quốc gia TCVN 12722:2020 Bề mặt sân chơi giảm chấn - Phương pháp thử để xác định độ giảm chấn
| Số hiệu: | TCVN 12722:2020 | Loại văn bản: | Tiêu chuẩn Việt Nam |
| Cơ quan ban hành: | Bộ Khoa học và Công nghệ | Lĩnh vực: | Công nghiệp |
|
Ngày ban hành:
Ngày ban hành là ngày, tháng, năm văn bản được thông qua hoặc ký ban hành.
|
02/10/2020 |
Hiệu lực:
|
Đã biết
|
| Người ký: | Đang cập nhật |
Tình trạng hiệu lực:
Cho biết trạng thái hiệu lực của văn bản đang tra cứu: Chưa áp dụng, Còn hiệu lực, Hết hiệu lực, Hết hiệu lực 1 phần; Đã sửa đổi, Đính chính hay Không còn phù hợp,...
|
Đã biết
|
TÓM TẮT TIÊU CHUẨN VIỆT NAM TCVN 12722:2020
Nội dung tóm tắt đang được cập nhật, Quý khách vui lòng quay lại sau!
Tải tiêu chuẩn Việt Nam TCVN 12722:2020
TIÊU CHUẨN QUỐC GIA
TCVN 12722:2020
BỀ MẶT SÂN CHƠI GIẢM CHẤN - PHƯƠNG PHÁP THỬ ĐỂ XÁC ĐỊNH ĐỘ GIẢM CHẤN
Impact attenuating playground surfacing - Methods of test to determination of impact attenuation
Lời nói đầu
TCVN 12722:2020 được xây dựng trên cơ sở tham khảo EN 1177:2018 Impact attenuating playground surfacing - Methods of test to determination of impact attenuation.
TCVN 12722:2020 do Ban kỹ thuật tiêu chuẩn quốc gia TCVN/TC 181 An toàn đồ chơi trẻ em biên soạn, Tổng cục Tiêu chuẩn Đo lường Chất lượng đề nghị, Bộ Khoa học và Công nghệ công bố.
Lời giới thiệu
Tiêu chuẩn này dựa trên các nguyên tắc an toàn được nêu trong TCVN 12721-1:2020 cho thiết bị sân chơi và cung cấp phương pháp đánh giá độ giảm chấn của các bề mặt sử dụng trong vùng chịu va đập như được định nghĩa trong TCVN 12721-1:2020. Tiêu chuẩn này nhằm giảm hậu quả của việc gặp phải rủi ro không mong muốn cho trẻ em, được xây dựng theo các nguyên tắc được nêu trong TCVN 12721-1:2020.
Chấn thương xảy ra trong quá trình sử dụng thiết bị sân chơi vì nhiều lý do và đại đa số là trẻ vị thành niên. Ngay cả khi có các tính năng bảo vệ như bề mặt giảm chấn vẫn có thể có rủi ro. Phần lớn các chấn thương nghiêm trọng hơn là do té ngã và có nhiều yếu tố ảnh hưởng đến cơ chế chấn thương trong khi ngã, không phụ thuộc vào bề mặt, ví dụ: hướng cơ thể, tư thế ngã, loãng xương, v.v..
Các vết thương nặng nhất có thể xảy ra là chấn thương ở đầu. Nghiên cứu gần đây đã chỉ ra rằng chấn thương ở cánh tay và chân thường xuyên xảy ra hơn và có thể bị ảnh hưởng bởi thời gian dao động tăng tốc. Ủy ban Châu Âu chịu trách nhiệm về các tiêu chuẩn lĩnh vực này duy trì đánh giá liên tục về nghiên cứu trong lĩnh vực này. Ủy ban này thừa nhận rằng có một mối quan hệ giữa rủi ro chấn thương cánh tay và chân và các loại bề mặt nhưng có quan điểm cho rằng những thương tích như vậy thường không thuộc loại nghiêm trọng nhất.
Do đó, Ủy ban Châu Âu đã chọn ưu tiên giảm khả năng chấn thương nghiêm trọng ở đầu do ngã từ thiết bị sân chơi, bởi vì mặc dù những chấn thương như vậy là tương đối hiếm gặp, chúng có thể gây ra hậu quả nghiêm trọng nhất. Mức độ nghiêm trọng của chấn thương do tác động lên đầu có thể được xác định theo Tiêu chuẩn chấn thương đầu (HIC) và mức HIC = 1 000 cùng với giới hạn trên của gia tốc cực đại, gmax = 200 g (g là trọng lực) được chọn làm giới hạn trên cho bề mặt khi được đánh giá theo tiêu chuẩn này.
Giới hạn giá trị HIC tối đa là 1 000 tương đương với 3 % khả năng chấn thương đầu nghiêm trọng (MAIS[1] 5), xác suất 18 % của chấn thương đầu nghiêm trọng (MAIS 4), xác suất nghiêm trọng 55 % (MAIS 3) chấn thương đầu, xác suất 89 % chấn thương đầu vừa phải (MAIS 2) và 99,5 % khả năng chấn thương đầu nhẹ (MAIS 1), thử nghiệm đối với một người đàn ông trưởng thành trung bình.
Giới hạn gmax đạt đến tối đa 200 g cũng như giới hạn HIC ở mức tối đa 1 000 có tính đến các tác động trong thời gian rất ngắn và theo nghiên cứu hiện tại về chấn thương cánh tay như một biện pháp cải tiến tiêu chuẩn.
Hai phương pháp thử va đập được cung cấp. Phương pháp đầu tiên là xác định chiều cao rơi tới hạn nhằm xác nhận đầy đủ và chi tiết về phạm vi phù hợp của sản phẩm. Phương pháp thứ hai mô tả phép thử rơi tại hiện trường, mà không xác định chiều cao rơi tới hạn để khởi động, khi cài đặt hoặc trong các giai đoạn sau đó, xác nhận theo yêu cầu về tính năng của bề mặt tại vị trí cụ thể đó tại thời điểm thử nghiệm.
Ủy ban EN dựa trên thảo luận trong ASTM Quốc tể kể từ năm 2014 về việc giảm ngưỡng HIC xuống 700 trong tiêu chuẩn tương ứng. Giá trị giới hạn hiện tại của HIC ≤ 1 000 đã được sử dụng ở Châu Âu kể từ năm 1998 và Ủy ban EN cho rằng hiện tại không có đủ bằng chứng để thay đổi giá trị tổng thực HIC. Do đó, giá trị HIC ≤ 1 000 được chọn giữ lại và cung cấp ngưỡng thứ hai 200 g làm tiêu chí chấp nhận trong tiêu chuẩn này ở thời điểm hiện tại.
Một loạt các vật liệu, cả tự nhiên và tổng hợp, có thể được sử dụng làm bề mặt giảm chấn với các thuộc tính và tính năng khác nhau của các vật liệu này. Bao gồm: cỏ được trồng trên đất, cát, dăm gỗ, vỏ cây và các sản phẩm cao su khác nhau có thể ở dạng gạch hoặc lớp phủ liên tục hoặc kết hợp các vật liệu này. Mặc dù các phương pháp được mô tả trong tiêu chuẩn này có thể được sử dụng để đánh giá tính năng giảm chấn của bất kỳ bề mặt nào trong số này, người dùng cần được lưu ý về trạng thái của một số vật liệu có thể thay đổi lớn và phụ thuộc vào điều kiện thử nghiệm phổ biến và kết quả thử nghiệm có thể sẽ thay đổi theo thời gian hoặc điều kiện khí hậu.
BỀ MẶT SÂN CHƠI GIẢM CHẤN - PHƯƠNG PHÁP THỬ ĐỂ XÁC ĐỊNH ĐỘ GIẢM CHẤN
Impact attenuating playground surfacing - Methods of test to determination of impact attenuation
1 Phạm vi áp dụng
Tiêu chuẩn này quy định thiết bị thử và các phương pháp thử va đập để xác định độ giảm chấn của bề mặt bằng cách đo gia tốc thử nghiệm trong quá trình va đập. Thiết bị thử phù hợp với tiêu chuẩn này được áp dụng cho các phép thử được thực hiện trong phòng thí nghiệm hoặc tại hiện trường bằng các phương pháp đã nêu.
CHÚ THÍCH Các phương pháp thử được mô tả trong tiêu chuẩn này cũng có thể áp dụng cho các vùng chịu va đập đối với thiết bị sân chơi được yêu cầu trong các tiêu chuẩn khác, ví dụ: cho các thiết bị thể dục ngoài trời và thiết bị nhào lộn.
2 Tài liệu viện dẫn
Các tài liệu viện dẫn sau rất cần thiết cho việc áp dụng tiêu chuẩn này. Đối với các tài liệu viện dẫn ghi năm công bố thì áp dụng phiên bản được nêu. Đối với các tài liệu viện dẫn không ghi năm công bố thì áp dụng phiên bản mới nhất, bao gồm cả các sửa đổi, bổ sung (nếu có).
TCVN 12721-1:2020, Thiết bị và bề mặt sân chơi - Phần 1: Yêu cầu an toàn chung và phương pháp thử.
TCVN ISO/IEC 17025 Yêu cầu chung về năng lực của phòng thử nghiệm và hiệu chuẩn.
EN 933-1, Tests for geometrical properties of aggregates - Part 1: Determination of particle size distribution - Sieving method (Các thử nghiệm về tính chất hình học của khối tập hợp - Phần 1: Xác định phân bố kích thước hạt - Phương pháp sàng).
3 Thuật ngữ và định nghĩa
Tiêu chuẩn này áp dụng các thuật ngữ và định nghĩa trong TCVN 12721 -1:2020 và các thuật ngữ, định nghĩa sau:
3.1
Giảm chấn (impact attenuation)
Tính chất của một bề mặt, làm tiêu tán động năng của một va đập bằng biến dạng cục bộ hoặc dịch chuyển theo cách giảm gia tốc của vật va đập.
3.2
Bề mặt giảm chấn, IAS (impact attenuating surfacing)
Bề mặt được dự định sử dụng để giảm nguy cơ chấn thương khi rơi xuống bề mặt này.
CHÚ THÍCH 1: sản phẩm hoặc vật liệu có khả năng vốn có để làm giảm chấn của người dùng rơi xuống bề mặt này.
3.3
Chiều cao rơi tới hạn, CFH (critical fall height)
Chiều cao rơi tự do lớn nhất (FHF), mà một bề mặt có thể cung cấp được mức giảm chấn thích hợp, được xác định theo Phương pháp thử 1 như nêu trong Điều 6 của tiêu chuẩn này.
3.4
Tiêu chí chấn thương đầu, HIC (head injury criterion)
Số đo mức độ nghiêm trọng của chấn thương đầu có khả năng xảy ra do một va đập, được xác định như nêu tại Điều 5 của tiêu chuẩn này.
3.5
Gia tốc cực đại (đỉnh), g max (peak acceleration)
Gia tốc lớn nhất, α được thử bằng một đầu giả trong một va đập, tính bằng đơn vị g (gia tốc trọng trường).
3.6
Phép đo va đập (impact measurement)
Giá trị HIC và gmax được tính từ gia tốc ghi được α (tính bằng g) của đầu giả rơi từ một chiều cao xuống một vị trí thử của bề mặt (xem 5.1).
3.7
Vị trí thử (test position)
Vị trí trên bề mặt được thử, được định vị theo phương thẳng đứng bên dưới tâm của đầu giả.
3.8
Chiều cao rơi (drop height)
Chiều cao rơi tự do, được đo giữa vị trí thử trên bề mặt và điểm thấp nhất của đầu giả rơi tự do trước khi thả; hoặc, trong trường hợp đầu giả được điều khiển, được tính từ phép đo vận tốc của đầu giả ngay trước khi va đập.
3.9
Phép thử rơi (drop test)
Quy trình đo va đập lên một vị trí thử của vùng chịu va đập.
CHÚ THÍCH 1: Số lần thả và chiều cao rơi của phép thử rơi được quy định riêng trong Phương pháp 1 cho các loại sản phẩm cụ thể (xem 6.2.4) và trong Phương pháp 2 cho tất cả các toại vật liệu bề mặt (xem 6.3.5).
3.10
Vật liệu rải nên (loose particulate material)
Vật liệu bao gồm các chất liệu riêng biệt, không kết dính.
CHÚ THÍCH 1: Cát, sỏi, vỏ cây và dăm gỗ là những ví dụ về vật liệu rải nền.
3.11
Vùng chịu va đập (impact area)
Khu vực người dùng có thể tiếp xúc sau khi rơi.
3.12
Vùng thử (test zone)
Phần chia nhỏ của vùng chịu va đập để kiểm tra xác nhận độ giảm chấn. Tất cả các vùng thử được kiểm tra tạo thành vùng chịu va đập của thiết bị (xem 5.2).
4 Thiết bị, dụng cụ
4.1 Sự phù hợp
Cùng một thiết bị và quy trình ghi được sử dụng cho hai phương pháp thử nghiệm được mô tả trong tiêu chuẩn này.
4.2 Các bộ phận của thiết bị
4.2.1 Yêu cầu chung
Thiết bị bao gồm: một đầu giả (4.2.2) được gắn với một hoặc nhiều gia tốc kế (4.2.2.3 a hoặc b), bộ xử lý tín hiệu tùy chọn (4.2.3), hệ thống thả rơi đầu giả (4.2.6), phương tiện để đo chiều cao rơi tự do một cách hiệu quả (4.2.5), hệ thống truyền tín hiệu (4.2.7) và thiết bị đo sự va đập (4.2.8).
Nếu sử dụng gia tốc kế đơn hướng, phải cung cấp một hệ thống điều khiển đầu giả (4.2.4).
Nguyên tắc hoạt động thiết bị xem Hình A.1.
4.2.2 Đầu giả
4.2.2.1 Đầu giả phải bao gồm:
a) hoặc quả cầu bằng hợp kim nhôm;
b) hoặc một vật hợp kim nhôm hình bán cầu.
4.2.2.2 Đầu giả phải có đường kính 160 mm ± 5 mm, nặng 4,6 kg ± 0,05 kg, với độ lệch tối đa so với bề mặt bán cầu 0,5 mm.
Nếu hợp kim làm đầu giả quá mềm, thì biến dạng bề mặt của nhôm có thể xảy ra khi thử nghiệm các vật liệu rải nền như sỏi hoặc bất kỳ phần tử cứng và rắn nào khác trong bề mặt giảm chấn. Điều này sẽ dẫn đến các sai số không thể chấp nhận được trong phép đo gmax và HIC. Khi thử nghiệm các vật liệu thuộc loại này, bề mặt va đập của đầu giả phải được kiểm tra thường xuyên. Nếu quan sát thấy đầu giả biến dạng thì phép thử đó được coi là không hợp lệ.
Trong trường hợp đầu giả có dây, khối lượng của bất kỳ đầu nối nào được nối trực tiếp hoặc nổi trên đầu giả và khối lượng 1,5 m dây hoặc cáp phải được tính đến khi xác định khối lượng của đầu giả.
4.2.2.3 Gia tốc kế phải được lắp vào như sau:
a) Gia tốc kế được đặt thẳng hàng để đo 3 trục đối với đầu giả rơi tự do, được lắp tại trọng tâm (± 5 mm theo trục dọc hoặc ngang) của đầu giả; hoặc
b) một gia tốc kế đơn hướng cho các đầu giả có điều khiển, được đặt thẳng hàng để đo theo trục thẳng đứng ± 5 ° và đặt ngay phía trên tâm đầu giả.
4.2.2.4 Bộ phận va đập của đầu giả bên dưới mặt phẳng lắp gia tốc kế phải đồng nhất và không có lỗ rỗng.
CHÚ THÍCH Điều này là để tránh sai số trong phép đo do dao động gây ra.
4.2.3 Bộ xử lý tín hiệu (tùy chọn)
Tùy thuộc vào công nghệ được sử dụng của gia tốc kế, có thể cần các phương pháp xử lý tín hiệu khác nhau. Các ví dụ bao gồm: bộ khuếch đại diện tích, cầu cân bằng và bộ khuếch đại hoặc bộ xử lý điện tử tích hợp.
4.2.4 Hệ thống điều khiển
Khi sử dụng gia tốc kế đơn hướng, phải trang bị bộ điều khiển đầu giả theo chiều thẳng đứng, bao gồm cả phương tiện để đo vận tốc của đầu giả ngay trước khi va đập (xem 4.2.5.2).
4.2.5 Thiết bị đo chiều cao rơi
Các phương pháp xác định chiều cao rơi tự do (FHF) của đầu giả một cách hiệu quả khi va đập lên bề mặt là:
4.2.5.1 Đối với phép thử va đập rơi tự do, đo chiều cao rơi hoặc tính chiều cao rơi từ thời gian đo được giữa khi thả và tiếp xúc của đầu giả với bề mặt.
Khi tính chiều cao rơi từ thời gian đo được giữa khi thả và tiếp xúc của đầu giả với bề mặt, cần đặc biệt chú ý đến sự chênh lệch thời gian có thể có giữa lúc bắt đầu đo và thời gian lúc bắt đầu thả đầu giả (ví dụ do nam châm vĩnh cửu gây ra trong hệ thống thả từ tính). Có thể cần so sánh chiều cao rơi đo được và chiều cao rơi tính được.
4.2.5.2 Đối với phép thử va đập có điều khiển, đo vận tốc của đầu giả ngay trước khi va đập và tính chiều cao rơi tự do lý thuyết.
Vận tốc của đầu giả ngay trước khi va đập được ghi lại để tính chiều cao rơi tương đương giả thiết đầu giả rơi tự do, cho phép hao hụt do ma sát.
Trong mọi trường hợp, chiều cao rơi tự do (FHF) thực tế phải được ghi lại.
4.2.6 Hệ thống thả rơi
Hệ thống thả rơi cho phép thử va đập rơi tự do phải không tạo ra mô men quay đáng kể hoặc bất kỳ lực nào khác lên đầu giả khi được thả.
CHÚ THÍCH: Một mômen quay hoặc các lực khác tác dụng lên đầu giả có thể gây ra gia tốc bổ sung trong gia tốc kế khi va đập, dẫn đến sai số không kiểm soát được của kết quả đối với phép đo theo chiều thẳng đứng.
4.2.7 Hệ thống truyền tín hiệu
Khi sử dụng cáp tín hiệu để truyền phải không gây ra bất kỳ cản trở, lực đẩy hoặc độ không ổn định nào cho đầu giả.
4.2.8 Thiết bị đo va đập
4.2.8.1 Thiết bị đo va đập phải bao gồm hệ thống đo gia tốc (4.2.8.2), dụng cụ ghi (4.2.8.3) và chương trình tính toán cho tiêu chí chấn thương đầu (HIC) (4.2.8.4).
4.2.8.2 Hệ thống đo phải có khả năng đo tất cả các tần số tín hiệu trong dải từ 20 Hz đến 1 000 Hz và đáp ứng đủ ở tất cả các tần số để giữ sai số biên độ dưới 5 %. Hệ thống đo phải có khả năng đo, ghi và hiển thị gia tốc và thời gian của mỗi va đập hoàn toàn (xem 5.1.3).
Đối với gia tốc kế áp điện, để đáp ứng đủ ở tần số thấp, tần số giới hạn dưới -3 dB cần nhỏ hơn hoặc bằng 0,3 Hz để giảm sai số do sự sụt tín hiệu, có thể thấy rõ nhất ở dạng quá tải đường nền phóng đại sau va đập. Sụt tín hiệu cũng dẫn đến việc ước lượng gmax và HIC thấp, đặc biệt đối với thời gian xung dài hơn. Gia tốc kế áp điện có hằng số thời gian từ 2s trở lên và xử lý tín hiệu phù hợp thường sẽ đáp ứng yêu cầu này. Các loại gia tốc kế khác không bị ảnh hưởng.
4.2.8.3 Dụng cụ ghi
Dụng cụ ghi phải có khả năng thu và ghi các tín hiệu gia tốc/thời gian được tạo ra trong một va đập với tốc độ lấy mẫu tối thiểu tại ít nhất là 20 kHz, bao gồm cả gia tốc cực đại (gmax) đã xảy ra trong mỗi lần va đập. Bộ xử lý tín hiệu và lọc tín hiệu phải phù hợp với gia tốc kế và kênh dữ liệu quy định.
Khi gia tốc kế đáp ứng ở tần số cao hơn - 3 dB và hệ thống xử lý tín hiệu của gia tốc kế ở tần số lớn hơn một phần tư tần số lấy mẫu thì phải sử dụng bộ lọc chống tần số giả có độ suy giảm ít nhất 30 dB ở một nửa tốc độ lấy mẫu.
4.2.8.4 Chương trình tính giá trị HIC đối với lịch sử thời gian gia tốc ghi được của mỗi lần va đập phù hợp với Điều 5.
4.3 Độ chính xác của thiết bị
4.3.1 Hiệu chuẩn bởi một phòng thử nghiệm
4.3.1.1 Thiết bị phải được hiệu chuẩn định kỳ, bởi một phòng thử nghiệm phù hợp với TCVN ISO/IEC 17025.
4.3.1.2 Tất cả các bộ phận của hệ thống đo gia tốc bao gồm gia tốc kế và bộ phận điện tử (tương tự và số) phải được hiệu chuẩn cho toàn bộ dải tần số từ 20 Hz đến 1 000 Hz. Việc hiệu chuẩn lại phải được thực hiện theo các khoảng thời gian được khuyến nghị bởi nhà sản xuất gia tốc kế hoặc ít nhất hai năm một lần. Việc hiệu chuẩn phải được lập thành hồ sơ (ví dụ: giấy chứng nhận hiệu chuẩn) và phải biểu thị độ không đảm bảo.
Độ không đảm bảo của hiệu chuẩn gia tốc kế không được lớn hơn 5 %.
4.3.1.3 Các hệ thống đo vận tốc cũng như các thuật toán để tính chiều cao rơi phải được hiệu chuẩn cho toàn dải vận tốc (chiều cao rơi lên đến 3,5 m).
Đối với các đầu giả rơi tự do, chiều cao rơi tính được phải được so sánh với chiều cao rơi thực tể đo được theo quy luật tự nhiên.
Trong mọi trường hợp, chiều cao rơi tự do (FHF) thực phải được đo với độ không đảm bảo không quá ± 1 %.
4.3.1.4 Thuật toán được sử dụng để tính HIC phải được kiểm tra, ví dụ, bằng cách áp dụng đường cong nửa hình sin và kết quả, khi so sánh với tính toán độc lập của đường cong này, phải không sai lệch quá ± 1 %.
CHÚ THÍCH Ví dụ về kiểm tra xác nhận được nêu trong Phụ lục C.
4.3.2 Kiểm tra của người vận hành
4.3.2.1 Người vận hành phải kiểm tra chức năng chính xác của thiết bị mà họ sử dụng ở khoảng thời gian thích hợp (tùy thuộc vào tần suất và loại thiết bị). Kết quả của bất kỳ kiểm tra nào phải được ghi lại trong suốt thời gian sử dụng của thiết bị (ví dụ: sử dụng nhật ký giám sát).
Các phép thử được nêu trong 4.3.2.2 và 4.3.2.3 là để kiểm tra bất kỳ sai lệch hoặc bất thường nào trong các bộ phận và không thay thế cho hiệu chuẩn hoặc kiểm tra xác nhận sự phù hợp của thiết bị với tiêu chuẩn này.
CHÚ THÍCH Ví dụ về chế độ kiểm tra chức năng chính xác của thiết bị được nêu trong Phụ lục F.
4.3.2.2 Thử nghiệm so sánh trên các bề mặt chuẩn
Tiến hành quy trình thử nghiệm để xác định chiều cao rơi tới hạn (CFH) (Điều 6 - Phương pháp 1) trên bề mặt chuẩn được làm sẵn với các tính chất không đổi trong các điều kiện như đã mô tả cho thử nghiệm trong phòng thí nghiệm (6.2.4.1).
Thực hiện một loạt ít nhất ba thử nghiệm rơi liên tiếp trên cùng một vị trí thử trên bề mặt chuẩn, sử dụng cùng một chiều cao rơi ± 2 cm cho tất cả các thử nghiệm rơi. Ghi lại kết quả HIC và gmax của mỗi phép thử rơi và xác định CFH.
Các giá trị tương ứng cho CFH đạt được phải không khác nhau quá ± 5 %.
Trong trường hợp sai lệch cao hơn, cần bảo dưỡng hoặc hiệu chuẩn lại.
CHÚ THÍCH Bề mặt chuẩn có thể là bất kỳ sản phẩm nào có các tính chất không đổi trong phạm vi chiều cao rơi được thử.
4.3.2.3 Kiểm tra độ không đảm bảo trên các bề mặt chuẩn
Thực hiện một loạt mười phép thử rơi liên tiếp từ cùng một chiều cao rơi và trên cùng một vị trí thử liên tục (trong vòng 15 min) trên bề mặt chuẩn.
Loại bỏ mọi kết quả không chính xác rõ ràng và tính độ lệch chuẩn của HIC và gmax đo được.
Độ lệch chuẩn dưới 5% của mười giá trị HIC tính được và giá trị gmax đo được được coi là thỏa mãn. Nếu không đạt độ lệch chuẩn ≤ 5 % thì phải thực hiện bảo dưỡng hoặc hiệu chuẩn và thực hiện kiểm tra xác nhận.
5 Cách tiến hành
5.1 Nguyên tắc của phép đo va đập
5.1.1 Yêu cầu chung
Cho đầu giả của thiết bị thử (xem 4.2.1) đập vào bề mặt được thử từ các chiều cao rơi khác nhau (phép thử rơi xem 3.9). Các tín hiệu phát ra từ gia tốc kế lắp trên đầu giả trong mỗi lần va đập được xử lý để đạt được mức độ nghiêm trọng từ năng lượng va đập đo được, được xác định là tiêu chí chấn thương đầu (HIC) và để xác định gia tốc cực đại (gmax).
Hình A.1 giới thiệu sơ đồ của một thiết bị thử để đo va đập.
Trong Phương pháp 1, chiều cao rơi tại đó đạt được HIC tối đa 1 000 và gmax 200 được sử dụng để xác định chiều cao rơi tới hạn của bề mặt, trong Phương pháp 2, chiều cao rơi để đo HIC và gmax có liên quan đến thiết bị được lắp đặt và được sử dụng để xác nhận tính năng của bề mặt ở vị trí cụ thể trên hiện trường này.
5.1.2 Đường cong gia tốc/thời gian
Đường cong thời gian/gia tốc cho mỗi va đập của phép thử rơi phải được hiển thị và kiểm tra xem có bất kỳ sự bất thường nào trước khi được xử lý và đánh giá (xem Hình B.1). Nếu bất kỳ một lần rơi nào cho kết quả bất thường, cần kiểm tra thêm bằng cách lặp lại các phép thử rơi tại cùng một vị trí thử hoặc, trong trường hợp có vật liệu rải nền, tại vị trí nền đất mới chưa được thử cho phần đường cong yêu cầu.
Nếu các thành phần tần số cao xuất hiện do kết quả dao động của đầu giả thử rơi, cần lọc tín hiệu bằng bộ lọc tiêu chuẩn. Đo cả khi dùng và không dùng bộ lọc và so sánh các giá trị HIC và gmax để quyết định xem dữ liệu thu thập được (đường cong thời gian/gia tốc) có hợp lệ không.
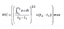
5.1.3 Tính kết quả
5.1.3.1 Giá trị tiêu chí chấn thương đầu (HIC) phải được tính và ghi lại cho mỗi đường cong thời gian/gia tốc theo công thức:
|
| (1) |
trong đó (xem thêm Hình B.1)
tstart là thời gian, bắt đầu một lần va đập, khi gia tốc của đầu giả lần đầu tiên vượt quá “không”;
tend là thời gian, kết thúc của một lần va đập, khi gia tốc của đầu giả lần đầu tiên trở về “không”;
a là gia tốc của đầu giả, tính bằng g (gia tốc sinh ra do trọng lực);
t1, t2 là hai giá trị trung gian bất kỳ nào của t giữa tstart và tend, t là thời gian tính bằng mili giây (ms).
Tốc độ lấy mẫu từ tstart và tend, tối thiểu phải là 20 kHz (xem 4.2.8.3).
Thử nghiệm đã chỉ ra rằng thời gian va đập lớn hơn hoặc bằng 3 ms, nghĩa là (t2 - t1) ≥ 3 ms được kỳ vọng cho các va đập trong giới hạn được xác định cho HIC (≤ 1 000) và cho giá trị lớn nhất (gmax ≤ 200g). Bằng quan sát cho thấy thời gian va đập ngắn hơn tương ứng có các va đập với các giá trị gmax cao hơn có xu hướng làm tăng rủi ro, bao gồm chấn thương ở cánh tay và chân; bề mặt như vậy phải được loại bỏ khi thử theo tiêu chuẩn này.
5.1.3.2 Đối với mỗi đường cong thời gian/gia tốc, phải ghi lại gia tốc cực đại (gmax) xuất hiện để xử lý tiếp.
5.2 Lựa chọn và xác định vị trí thử
5.2.1 Phải thực hiện các phép đo va đập ở tất cả các vùng thử có liên quan (3.12) của bề mặt, tới mức có thể thực hiện được, để xác định các vị trí thử có độ giảm chấn thấp nhất.
CHÚ THÍCH Các yêu cầu đối với giảm chấn trong các vùng chịu va đập được xác định cho chiều cao rơi tự do (FHF) và cho chuyển động cưỡng bức trên thiết bị sân chơi trong bộ TCVN 12721 (xem 4.2.8.1 và 4.2.8.5 TCVN 12721-1:2020) hoặc trong các tiêu chuẩn khác khi có yêu cầu bề mặt.
5.2.2 Khoảng cách giữa hai vị trí thử bất kỳ không được nhỏ hơn 250 mm và không có vị trí nào cách cạnh của mẫu thử, kết cấu hoặc khung thử một khoảng nhỏ hơn 250 mm.
CHÚ THÍCH Khoảng cách này là để tránh ảnh hưởng của các thử nghiệm trước đó và các cạnh ở chu vi mẫu thử đến vị trí thử.
5.2.3 Địa điểm chính xác của từng vị trí thử phải được tham chiếu đến các mẫu thử hoặc vật liệu liên quan đến cấu trúc và/hoặc hình dạng hình học của bề mặt và phải được nêu trong báo cáo thử nghiệm (xem thêm Điều 8 và Phụ lục D).
6 Phương pháp 1 - Xác định chiều cao rơi tới hạn (CFH)
6.1 Nguyên tắc
6.1.1 Các phép đo va đập phải được thực hiện theo cách tiến hành trong 5.1 bằng cách thực hiện phép thử rơi trên từng vị trí thử được chọn theo các quy trình như đã xác định để thử trong phòng thí nghiệm (6.2) và thử nghiệm tại hiện trường (6.3).
6.1.2 Mỗi phép thử rơi phải được thực hiện trong vòng 15 min. Phải ghi lại các giá trị của HIC và gmax cho mỗi phép thử rơi.
6.2 Thử trong phòng thí nghiệm
6.2.1 Thử nghiệm phải được thực hiện ở nhiệt độ 23 °C ± 5 °C.
6.2.2 Thử nghiệm phải được thực hiện trên bê tông phẳng, cứng chắc hoặc chất nền tương đương có đủ khối lượng, khối lượng riêng và độ dày lớp vật liệu bề mặt sao cho biến dạng bề mặt trong suốt quá trình thử không ảnh hưởng đáng kể đến kết quả thử.
Các nền khác với nền phẳng, cứng chắc có khả năng góp phần làm giảm chấn của vật liệu được thử chỉ áp dụng cho các báo cáo thử nghiệm với các giới hạn được xác định rõ ràng.
6.2.3 Lựa chọn dữ liệu để xác định chiều cao rơi tới hạn
6.2.3.1 Kết quả HIC và gmax (xem 5.1.3) của mỗi va đập phải được vẽ đồ thị và các đường cong từ HIC và gmax so với chiều cao rơi tương ứng phải được vẽ cho từng vị trí thử của mỗi vùng thử.
6.2.3.2 Để xác định chiều cao rơi tới hạn (CFH), nội suy các đường cong để có được chiều cao rơi tương đương với HIC là 1 000 và chiều cao rơi tương đương với gmax là 200 g khi sử dụng các phép đo va đập có ít nhất hai giá trị cho các giá trị HIC và gmax trên và dưới giá trị đích. Chiều cao rơi tới hạn là giá trị thấp hơn của hai giá trị chiều cao rơi này.
Bất cứ khi nào có thể cần chọn chiều cao rơi để có được các giá trị HIC đưa ra trong Bảng 1, phù hợp các điều kiện sau:
Bảng 1 - Giá trị HIC
| Số va đập | Giá trị HIC đích |
| Va đập 1 → m1 | 700 đến 800 |
| Va đập 2 → m2 | 850 đến 950 |
| Va đập 3 → m3 | 1050 đến 1150 |
| Va đập 4 → m4 | 1200 đến 1300 |
CHÚ THÍCH Ví dụ về các đường cong chính xác được minh họa trong Hình B.2 (HIC và gmax).
6.2.3.3 Đối với các vật liệu cho giá trị HIC thấp hơn 1 000 và gmax thấp hơn 200 g ở độ cao thử tối đa, chiều cao rơi tới hạn phải được quy định là > M (trong đó M là chiều cao rơi lớn nhất đo được).
CHÚ THÍCH Chiều cao rơi tự do tối đa (FHF) trên thiết bị sân chơi phù hợp với TCVN 12721-1:2020 là 3 m (xem 4.2.8.1 TCVN 12721-1:2020)
6.2.4 Cách tiến hành đối với các sản phẩm cụ thể
6.2.4.1 Thử viên lát (gạch lát), tẩm lát hoặc các sản phẩm tạo bề mặt được chế tạo sẵn khác.
Phải lắp đặt ít nhất bốn mẫu thử có tổng kích thước tối thiểu 1 m x 1 m theo hướng dẫn của nhà sản xuất, bao gồm tất cả các kết nối và chi tiết cố định vị trí được sử dụng để lắp đặt sân chơi.
Phải thực hiện và báo cáo kết quả của ít nhất chín phép thử rơi, mỗi phép thử tại ít nhất 4 chiều cao rơi tăng dần, mỗi phép thử rơi được thực hiện tại một vị trí thử khác nhau trên mẫu thử (xem thêm 5.2).
Tiến hành phép thử rơi ở các vị trí sau:
a) ở giữa của viên lát;
b) ở giữa mối nối của hai viên lát liền kề;
c) ở mạch nối tiếp nơi có nhiều viên lát nhất;
d) ở điểm bất kỳ không đồng nhất hoặc không liên tục khác, để đạt được giá trị thấp nhất cho chiều cao rơi tới hạn ở bất kỳ vị trí nào trên kết cấu;
e) nếu viên lát dạng đúc trong đó bề mặt mài mòn không được đỡ đồng đều, thử các vị trí trong đó bề mặt được đỡ nhiều nhất và ít nhất.
6.2.4.2 Bề mặt thử được chế tạo tại hiện trường
Một trong những điều sau đây phải được chuẩn bị mà không có đường nối hoặc mối nối nào:
a) ít nhất một mẫu thử có tổng kích thước tối thiểu là 1 m x 1 m, được chuẩn bị theo hướng dẫn của nhà sản xuất; hoặc
b) ít nhất chín mẫu thử, mỗi mẫu không nhỏ hơn 500 mm x 500 mm, được chuẩn bị theo hướng dẫn của nhà sản xuất.
Phải thực hiện và báo cáo kết quả của ít nhất chín phép thử rơi, mỗi phép thử tại ít nhất 4 chiều cao rơi tăng dần, mỗi phép thử rơi được thực hiện tại một vị trí thử khác nhau trên mẫu thử (xem thêm 5.2), nếu áp dụng ở các vị trí thử theo yêu cầu trong 6.2.4.1.
6.2.4.3 Sản phẩm thử gồm có nhiều hơn một thành phần
Toàn bộ hệ thống, bề mặt có lớp bên dưới với tổng kích thước tối thiểu là 1 m x 1 m, phải được thử và báo cáo dưới dạng sản phẩm tổng hợp cho phép tái lập phép thử.
Phải thực hiện và báo cáo kết quả của ít nhất chín phép thử rơi, mỗi phép thử tại ít nhất 4 chiều cao rơi tăng dần, mỗi phép thử rơi được thực hiện tại một vị trí thử khác nhau trên sản phẩm (xem thêm 5.2).
6.2.4.4 Sản phẩm thử được thiết kế để lắp đặt kết hợp với vật liệu tự nhiên
Các sản phẩm được lắp đặt kết hợp với các vật liệu tự nhiên dự kiến có ảnh hưởng đến tính năng của chúng (ví dụ: thảm cao su với cỏ hoặc cát), không thể được thử một cách đầy đủ trong phòng thí nghiệm và không thể theo báo cáo thử nghiệm trong 8.2 hoặc 8.3. Chiều cao rơi tới hạn của các sản phẩm này chỉ có thể được xác định riêng rẽ bằng thử nghiệm tại hiện trường, trên sản phẩm được lắp đặt hoàn chỉnh và có thể sẽ thay đổi theo thời gian hoặc điều kiện khí hậu.
6.2.4.5 Thử các bề mặt có vật liệu rải nền và bề mặt tự nhiên
6.2.4.5.1 Phải sử dụng khung thử không có đế, có kích thước bên trong không nhỏ hơn 1 m x 1 m.
CHÚ THÍCH 1: Các kích thước được nêu trên thường là phù hợp để tránh mọi ảnh hưởng của khung thử đến vật liệu rải nền. Vật liệu rải nền phải được đặt trong khung thử trên nền cứng phẳng và được phân bố đồng đều trong khung đến độ sâu do nhà cung cấp quy định.
Nén vật liệu theo phương pháp được nêu trong Phụ lục E.
Khi thử cát hoặc sỏi, xác định sự phân bố kích thước hạt bằng phép thử sàng theo EN 933-1 và ghi lại kết quả đối với "hệ số đồng nhất" (xem Bảng 4 và Phụ lục G TCVN 12721-1:2020).
Nếu có nghi ngờ về độ giảm chấn của vật liệu có thể bị ảnh hưởng bởi độ ẩm (ví dụ: cát) thì độ ẩm tại thời điểm thử nghiệm phải được đo và báo cáo cùng với phương pháp thử được sử dụng.
CHÚ THÍCH 2: Độ giảm chấn của một số vật liệu rải nền có thể bị ảnh hưởng đáng kể bởi độ ẩm của nó.
6.2.4.5.2 Phép thử rơi trên từng vị trí thử được chọn phải được báo cáo bằng một phép đo độ va đập từ chiều cao rơi xác định. Sau khi nén trong khung thử theo Phụ lục E, thả đầu giả từ ít nhất 4 độ cao rơi tăng dần, mỗi độ cao ở vị trí chưa được thử trước đó (xem thêm 5.2.2).
Nếu có nhiều hơn một độ sâu được quy định cho cùng một sản phẩm, khung phải được đổ đầy lại cho từng độ dày (độ sâu) riêng biệt. Vật liệu được thử trước đó phải được đưa ra khỏi khung thử và có thể sử dụng lại.
6.3 Thử nghiệm tại hiện trường
6.3.1 Phép thử chỉ được thực hiện khi nhiệt độ của bề mặt trong khoảng từ 5 °C đến 55 °C. Nhiệt độ cũng như tất cả các điều kiện khí hậu có liên quan hiện có trong suốt quá trình thử nghiệm, ví dụ: độ ẩm, hơi ẩm, v.v.. phải được đo và ghi lại.
6.3.2 Phép thử không được thực hiện trên các bề mặt bão hòa nước.
6.3.3 Phép thử không được tiến hành trên vùng thử nếu vùng thử nghiêng một góc > 10 ° so với phương ngang.
CHÚ THÍCH Hệ thống điều khiển sẽ cho kết quả không hợp lệ trên các bề mặt nghiêng và các đầu giả rơi tự do có thể gặp lực xoay quá mức.
6.3.4 Nếu vật liệu và/hoặc độ dày lớp chất nền và/hoặc sự tạo bề mặt khác nhau tồn tại trong vùng chịu va đập, thì mỗi thay đổi phải được coi là một vùng thử riêng biệt và được thử riêng.
Đối với bề mặt được chế tạo tại hiện trường, các phép thử rơi phải được thực hiện trên từng vùng thử được xác định.
6.3.5 Thả đầu giả từ ít nhất 4 chiều cao rơi tăng dần, mỗi chiều cao rơi ở vị trí chưa được thử trước đó không bị nén để đảm bảo rằng vật liệu ở cùng độ sâu tại mỗi vị trí thử và báo cáo kết quả thử.
CHÚ THÍCH Khi thử nghiệm cát hoặc sỏi tại hiện trường, không cần phải xác định sự phân bố kích thước hạt.
6.3.6 Khi thử nghiệm tại hiện trường, phải chọn vị trí thử khác nhau để đảm bảo có thể bao gồm cả tình huống vị trí xấu nhất (ví dụ: khu vực lối vào/ra của thiết bị) (xem thêm 5.2.1).
6.3.7 Báo cáo của các thử nghiệm tại hiện trường phải có thông báo “Vì tính năng của một số sản phẩm có thể bị ảnh hưởng rất lớn bởi các điều kiện phổ biến cho nên không sử dụng kết quả trong báo cáo này để biểu thị tính năng của cùng một sản phẩm trong các điều kiện khác hoặc tại các địa điểm khác”.
7 Phương pháp thử 2 - Xác định độ giảm chấn tại hiện trường
7.1 Nguyên tắc
7.1.1 Phải thực hiện các phép đo độ va đập theo quy trình trong 5.1 bằng cách tiến hành phép thử rơi trên từng vị trí thử được chọn của bề mặt để xác nhận sự phù hợp với các yêu cầu giảm chấn đối với thiết bị, dưới bề mặt được lắp đặt.
7.1.2 Phương pháp này không xác định độ cao rơi tới hạn.
CHÚ THÍCH Phép thử này để kiểm tra xác nhận bề mặt lắp đặt cụ thể tại hiện trường trong các điều kiện khí hậu và hiện trường cụ thể và không đại diện cho các bề mặt lắp đặt khác. Phương pháp này có thể được sử dụng để kiểm tra lắp đặt cuối cùng của bề mặt trước khi sử dụng (ví dụ: đối với các sân chơi như trong 5.2 TCVN 12721-1:2020) cũng như để thực hiện các kiểm tra tiếp theo trên bề mặt giảm chấn đang sử dụng (ví dụ: kiểm tra định kỳ hoặc kiểm tra sau khi thay đổi thiết bị sân chơi).
7.2 Lựa chọn và ghi lại vị trí thử
7.2.1 Bề mặt trong vùng chịu va đập được kiểm tra để xác định xem có đồng nhất hay bao gồm các vùng có tính năng va đập khác nhau hay không. Các vùng được thiết kế để có tính năng va đập khác nhau phải được xử lý làm các khu vực thử nghiệm riêng biệt (xem thêm 5.2.1).
7.2.2 Việc lựa chọn các vị trí thử của thiết bị sân chơi cụ thể phải phù hợp với các ví dụ được nêu trong Phụ lục D. Đối với bất kỳ thiết bị nào không được mô tả trong Phụ lục D, phải tiến hành ít nhất một phép thử trên mỗi diện tích 10 m2 trong vùng chịu va đập, trong cả hai trường hợp, phải bao gồm thử nghiệm tại vị trí được xác định trong 7.2.3.
Đối với thiết bị có vùng chịu va đập lớn hơn 100 m2, tiến hành một phép thử trên mỗi diện tích 20 m2.
7.2.3 Mỗi khu vực thử phải được kiểm tra thêm để xác định các điểm mài mòn nặng nhất, mọi dấu hiệu biến dạng hoặc hư hỏng. Nếu có thể, một đầu dò mỏng có thể được sử dụng để đo độ dày lớp vật liệu bề mặt và để xác định khu vực mỏng nhất. Mục đích của các kiểm tra này là để đảm bảo, theo thực tế, thử nghiệm được thực hiện tại vị trí có khả năng cung cấp sự bảo vệ ít nhất (trường hợp xấu nhất).
7.2.4 Địa điểm của từng vị trí thử trong vùng thử phải được xác định chính xác bằng bất kỳ phương tiện phù hợp nào, ví dụ: bằng cách đo từ các điểm cụ thể trên thiết bị sân chơi, bằng các hình ảnh được đánh dấu, v.v.. và được ghi lại.
7.3 Tiến hành thử
7.3.1 Ở mỗi vị trí thử được chọn, phải tiến hành một phép thử rơi từ chiều cao rơi ít nhất là bằng chiều cao rơi tự do (FHF) thực tế của thiết bị hoặc các yêu cầu khác được nêu trong các tiêu chuẩn (xem 5.2.1).
7.3.2 Nên đo chiều cao rơi tự do (FHF) tại hiện trường, vì kinh nghiệm đã chỉ ra rằng chiều cao rơi tự do (FHF) đo được tại hiện trường có thể khác với dự kiến của nhà sản xuất thiết bị do cách thức lắp đặt.
7.3.3 Lặp lại thử nghiệm với số lượng vị trí thử thích hợp trong các vùng thử.
7.4 Kết quả
7.4.1 Phải ghi lại cả giá trị tiêu chí chấn thương đầu (HIC) và gia tốc cực đại (gmax) của sự kiện va đập cho từng vị trí thử.
7.4.2 Nếu kết quả của phép thử rơi cho thấy HIC trong khoảng từ 950 đến 1 050 hoặc gmaxtừ 195 đến 205, cần tiến hành ba phép thử rơi tiếp theo trên ba vị trí thử tiếp theo (cách nhau tối thiểu 250 mm), mỗi phép thử từ cùng một chiều cao rơi và tính giá trị trung bình của 3 kết quả, HIC hoặc gmax cao nhất là kết quả của phép thử.
8 Báo cáo thử nghiệm
8.1 Yêu cầu chung
Báo cáo thử nghiệm chỉ được đưa ra cho các vật liệu bề mặt, kết cấu bộ phận và điều kiện thử được xác định rõ ràng khi được thử theo Phương pháp 1 của tiêu chuẩn này (xem 8.2 và 8.3). Đối với Phương pháp 2, phải đưa ra báo cáo kiểm tra (xem 8.4).
8.2 Phép thử trong phòng thí nghiệm theo Phương pháp 1
Báo cáo thử nghiệm đối với thử nghiệm trong phòng thí nghiệm phải bao gồm:
a) viện dẫn tiêu chuẩn này, nghĩa là TCVN 12722:2020, Phương pháp 1);
b) mô tả đầy đủ về sản phẩm được thử, kích thước, khối lượng, khối lượng riêng, khối lượng/đơn vị diện tích và bất kỳ tính chất nào khác có khả năng ảnh hưởng đến chiều cao rơi tới hạn của vật liệu; hoặc đối với chiều dày lớp vật liệu rải nền, kích thước hạt và kết quả của phép thử sàng theo EN 933-1 (đối với cát hoặc sỏi);
c) hình ảnh của vật liệu được thử, nêu rõ tỷ lệ của vật liệu rải nền;
d) phương pháp cố định được sử dụng để giữ lại các mẫu hoặc kích thước bên trong của vật chứa thử nghiệm được sử dụng và chiều dày lớp vật liệu rải nền;
e) sơ đồ thể hiện tất cả các vị trí thử;
f) điều kiện bề mặt tại thời điểm thử nghiệm, bao gồm nhiệt độ, tính bằng độ C và độ ẩm, nếu có liên quan (ví dụ: đối với cát), bao gồm cà phương pháp thử được sử dụng;
g) các kết quả từ mỗi phép thử rơi, đưa ra tất cả các chiều cao rơi được sử dụng và các giá trị HIC và gmax tương ứng cho mỗi thử nghiệm;
h) chiều cao rơi tới hạn đối với bề mặt được thử, biểu thị bằng mét đến hai chữ số sau dấu phẩy và công bố độ không đảm bảo là ± 7 %;
CHÚ THÍCH Độ không đảm bảo này dựa trên kết quả của thử nghiệm được thực hiện trong năm 2011.
i) các đường cong của HIC và gmax so với chiều cao rơi từ đó xác định chiều cao rơi tới hạn của bề mặt;
j) đường cong thời gian/gia tốc của một va đập với HIC ≥ 1 000 hoặc gmax ≥ 200 g hoặc giá trị cao nhất đo được đối với các giá trị HIC tối đa dưới 1 000 và gmax dưới 200 g.
CHÚ THÍCH 2 Phương pháp 1 dùng để đo chiều cao rơi tới hạn của bề mặt trong các điều kiện ít thuận lợi nhất. Báo cáo thử nghiệm có thể được sử dụng làm cơ sở cho việc lựa chọn bề mặt cho mọi tình huống trong điều kiện khí hậu bình thường.
8.3 Phép thử tại hiện trường theo Phương pháp 1
Báo cáo thử nghiệm cho phép thử tại hiện trường phải có thông báo:
"Thử nghiệm này được thực hiện tại hiện trường với các điều kiện khí hậu và điều kiện hiện trường xảy ra vào ngày thử nghiệm. Kết quả này không được sử dụng để biểu thị tính năng của sản phẩm trong bất kỳ điều kiện nào khác hoặc tại các địa điểm khác."
Báo cáo thử nghiệm phải bao gồm:
a) viện dẫn tiêu chuẩn này, nghĩa là TCVN 12722:2020, Phương pháp 1);
b) địa điểm hiện trường (ví dụ: theo địa chỉ bưu điện) và nếu có liên quan, chất nền của bề mặt được thử;
c) mô tả về sản phẩm được thử và mọi chuẩn áp dụng để nhận dạng sản phẩm;
d) hình ảnh của vật liệu được thử, nêu rõ tỷ lệ của vật liệu rải nền;
e) độ dày lớp vật liệu rải nền và các sản phẩm hình thành tại hiện trường;
f) nhận dạng và địa điểm của từng vị trí thử;
g) điều kiện bề mặt tại thời điểm thử, bao gồm nhiệt độ và độ ẩm, tuổi thọ của sản phẩm (nếu biết) và bất kỳ yếu tố nào khác có thể được coi là ảnh hưởng đến kết quả, ví dụ như độ ẩm (đối với trường hợp của vật liệu rải nền);
h) các kết quả từ mỗi phép thử rơi, đưa ra tất cả các giá trị chiều cao rơi và các giá trị HIC và gmax tương ứng cho mỗi phép thử;
i) chiều cao rơi tới hạn đối với bề mặt trên mỗi vị trí thử, tính bằng mét, lấy đến hai chữ số sau dấu phẩy, với công bố "Độ không đảm bảo của kết quả này trong điều kiện phòng thí nghiệm được kiểm soát là ± 7 %. Độ không đảm bảo của điều kiện thử tại hiện trường có thể lớn hơn"
CHÚ THÍCH Độ không đảm bảo này dựa trên kết quả của thử nghiệm được thực hiện vào năm 2011. Tuy nhiên, cần lưu ý rằng các thử nghiệm được thực hiện trong điều kiện phòng thí nghiệm có kiểm soát và do đó những kết quả thử nghiệm cụ thể tại hiện trường này có thể có phương sai lớn hơn
j) các đường cong của HIC và gmax so với chiều cao rơi, từ đó xác định chiều cao rơi tới hạn của bề mặt cho từng vị trí thử; và
k) đường cong thời gian/gia tốc của một va đập với HIC bằng hoặc lớn hơn 1 000 và gmax bằng hoặc lớn hơn 200 g hoặc, đối với các giá trị HIC tối đa dưới 1 000 và gmax dưới 200 g, giá trị cao nhất đo được.
8.4 Phép thử tại hiện trường theo Phương pháp 2
Báo cáo thử nghiệm cho phép thử tại hiện trường theo Phương pháp 2 phải có thông báo:
"Thử nghiệm này được thực hiện trên tại hiện trường với các điều kiện khí hậu và điều kiện hiện trường xảy ra vào ngày thử nghiệm, do đó không được giả định rằng có thể nhận được các kết quả tương tự trong các điều kiện thử khác."
Báo cáo thử nghiệm phải bao gồm:
a) viện dẫn tiêu chuẩn này, nghĩa là TCVN 12722:2020, Phương pháp 2);
b) địa điểm hiện trường (ví dụ: theo địa chỉ bưu điện) và, nếu có liên quan, chất nền của bề mặt được thử;
c) mô tả về sản phẩm được thử và mọi chuẩn áp dụng để nhận dạng sản phẩm, nếu có;
d) hình ảnh của vật liệu được thử, tỷ lệ của vật liệu rải nền;
e) độ dày lớp vật liệu rải nền và các sản phẩm được hình thành tại hiện trường;
f) nhận dạng và địa điểm của từng vị trí thử và chi tiết của thiết bị và chiều cao rơi tự do (FHF) hoặc các yêu cầu khác được nêu trong các tiêu chuẩn;
g) điều kiện bề mặt tại thời điểm thử, bao gồm nhiệt độ và độ ẩm bề mặt, tuổi thọ của sản phẩm (nếu biết) và bất kỳ yếu tố nào khác có thể được coi là có ảnh hưởng đến kết quả;
h) kết quả từ mỗi phép thử rơi, đưa ra tất cả các chiều cao rơi được sử dụng và các giá trị HIC và gmax tương ứng cho mỗi thử nghiệm;
i) đường cong thời gian/gia tốc của một va đập tại hiện trường.
j) Bao gồm các thông báo:
"Bề mặt giảm chấn phải có HIC bằng hoặc nhỏ hơn 1 000 và gmax không quá 200 từ một lần thả rơi ở chiều cao tương đương với chiều cao rơi tự do (FHF) của thiết bị trên bề mặt. Báo cáo này chỉ được sử dụng để xác nhận tính năng của bề mặt trong tình huống cụ thể tại thời điểm thử."
Phụ lục A
(Tham khảo)
Thiết bị thử để xác định độ giảm chấn

CHÚ DẪN
1 mẫu thử
2 đầu giả
3 bộ xử lý tín hiệu (nếu cần)
4 máy tính
5 gia tốc kế
Hình A.1 - Thiết bị thử để xác định độ giảm chấn
Phụ lục B
(Tham khảo)
Ví dụ điển hình về đường cong gia tốc theo thời gian và đường cong của giá trị HIC và gmax theo chiều cao rơi

CHÚ DẪN
a - tstart
b - tend
α - gia tốc (g)
t - thời gian (ms)
Hình B.1 - Đường cong điển hình của gia tốc theo thời gian

CHÚ DẪN
1 các phép đo va đập m1 đến m4 theo HIC ở chiều cao rơi H1 đến H4
2 chiều cao rơi tới hạn tại HIC = 1 000
3 chiều cao rơi tới hạn tại gmax = 200
m1 HIC = 700 đến 800
m2 HIC = 850 đến 950
m3 HIC= 1050 đến 1150
m4 HIC= 1200 đến 1300
m’1, m’2, m’3, m’4 các phép đo va đập m’i theo gmax tại chiều cao rơi Hi
H1, H2, H3, H4 các chiều cao rơi H1 đến H4 (m)
Hình B.2 - Ví dụ về các đường cong điển hình từ phép thử trên viên lát cao su đối với các giá trị HIC và gmax theo chiều cao rơi
Phụ lục C
(Tham khảo)
Kiểm tra xác nhận thuật toán sử dụng để tính HIC (xem 4.3.1.4)
Để một kiểm tra xác nhận hoàn chỉnh, các tính toán cần được xác nhận. Kiểm tra xác nhận này được thực hiện bằng công thức sau:
|
| (C.1) |
Trong đó:
V là điện áp đầu ra từ bộ xử lý để mô phỏng va đập;
A là biên độ đầy đủ (±) của tín hiệu;
t là thời gian (ms);
T là khoảng thời gian (ms).
CHÚ THÍCH: Để tính công thức (C.1), tín hiệu được đưa vào để mô phỏng va đập được đo bằng Vôn (V) tương ứng với gia tốc đo được α (tính bằng g) tùy thuộc vào quy trình áp dụng gia tốc kế.
Bảng dưới đây được lập ra với tần số 20 kHz bằng cách thay đổi các tham số A và T. Điều này cho phép mô phỏng ba đường cong "tiêu chuẩn" cho một va đập. Phần mềm tính toán phải "trong phạm vi sai số làm tròn" và giá trị "đích" của chỉ số HIC và Δt (t2- t1).
Chỉ số HIC và các khoảng xác nhận Δt đã được xác định bằng cách tính đến độ không đảm bảo 1% trên biên độ và tần số của bộ tạo sóng âm tần.
Bảng C.1 - Tính điện áp đầu ra đối với tần số 20 kHz
| Khoảng thời gian T, ms | Biên độ | Chỉ số HIC | Δt (t2- t1) |
| 10 | 100 | 295 đến 311 | 5,03-5,14 |
| 10 | 150 | 814 đến 856 | 5,03-5,14 |
| 10 | 200 | 1 671 đến 1 756 | 5,03-5,14 |
Phụ lục D
(Quy định)
Quy trình lựa chọn vị trí thử trong sản chơi đối với Phương pháp 2 (xem Điều 7)
D.1 Nguyên tắc
Mục đích là để xác định trong vùng chịu va đập của từng hạng mục thiết bị, các vùng thử và số lượng vị trí thử tối thiểu được kiểm tra theo Phương pháp thử 2 (xem 7.2).
Các bảng bên dưới thể hiện các kiểu đồ chơi (như được đề cập trong bộ TCVN 12721) địa điểm và số lượng vị trí thử trên vùng chịu va đập phải được chọn để thử nghiệm. Các kiểu đồ chơi không được nêu trong bảng này phải được thử theo cùng một nguyên tắc được mô tả. Trong mọi trường hợp, các phép đo phải được thực hiện tại các vị trí có độ dày lớp vật liệu bề mặt nhỏ nhất so với chiều cao rơi tự do [FHF] của bộ phận chơi tương ứng.
D.2 Tiêu chí lựa chọn vùng thử (3.12)
Vị trí của các vùng thử phụ thuộc vào thiết bị được lắp đặt và độ rơi hợp lý dự kiến.
Tùy thuộc vào loại thiết bị, cần phân biệt các vùng thử trong bề mặt giảm chấn [IAS] cho các chiều cao rơi tự do khác nhau từ các bộ phận của thiết bị.
Mỗi vùng thử được xác định sẽ phải chịu ít nhất một thử nghiệm sử dụng Phương pháp 2.
Phải thực hiện ít nhất 3 phép đo độ dày lớp vật liệu bề mặt trong mỗi vùng thử và thử nghiệm phải được thực hiện tại điểm có độ dày đo được nhỏ nhất tương ứng.
Báo cáo độ dày lớp vật liệu bề mặt tại điểm được thử cũng như địa điểm liên quan đến thiết bị (xem 7.2.2 và 7.2.3).
Thông tin về độ dày lớp vật liệu bề mặt được đo. Độ không đảm bảo của phép đo này chủ yếu liên quan đến bản chất của chất nền (ví dụ: vật liệu không liên kết).
Bảng D.1 đến D.4 nêu các ví dụ cho các vùng chịu va đập được xem xét cho các loại thiết bị cụ thể và số lượng vùng thử tối thiểu được thử.
Bảng D.1 - Ví dụ cho các vùng thử - Đu
| Đu | Vị trí và số lượng vị trí thử | Minh họa |
| Kiểu 1: Một trục quay | Một vị trí thử trên mỗi ghế (3 và 4) Chọn vị trí độ dày lớp vật liệu bề mặt nhỏ nhất (trên bề mặt giảm chấn ) để đo ở phía sau hay phía trước của ghế. 1: phía sau 2: phía trước |
Hình D.1 |
| Kiểu 2: Nhiều trục quay | Giống như Loại 1 |
|
| Kiểu 3: Một điểm treo | Vị trí thử ở mỗi bên của trục: 1: một vị trí trong phạm vi A (4) 2: một vị trí trong phạm vi B (5) Chọn vị trí độ dày lớp vật liệu bề mặt nhỏ nhất để đo 3: trục 4: phạm vi A xem 4.10.2.1 TCVN 12721-2 5: phạm vi B hoặc C xem 4.10.2.1 TCVN 12721-2 |
Hình D.2 |
| Kiểu 4: Đu tiếp xúc | Một vị trí thử ở khu vực thử trung tâm 2 Một vị trí thử cho mỗi ghế 1, 3, 4 và 5, chọn trên độ dày lớp vật liệu bề mặt nhỏ nhất để đo |
Hình D.3 |
Bảng D.2 - Ví dụ của các vùng thử - cầu trượt và cáp treo
| Cầu trượt | Vị trí và số lượng vị trí kiểm tra | Minh họa |
| Kiểu 1: Cầu trượt hở | 1: Cầu trượt 2: Vùng thử bên dưới cầu trượt 3: Ra khỏi vùng thử 4: Vùng thử bên dưới lối vào Một vị trí thử trong mỗi vùng thử 2, 3 và 4, chọn trên độ dày lớp vật liệu bề mặt nhỏ nhất để đo |
Hình D.4 |
| Kiểu 2: Cầu trượt dạng ống | 1: Cầu trượt dạng ống 2: Ra khỏi vùng thử 3: Vùng thử bên dưới lối vào Một vị trí thử trong mỗi vùng thử 2, 3, chọn trên độ dày lớp vật liệu bề mặt nhỏ nhất để đo |
Hình D.5 |
| Kiểu 3: Cáp treo | 1: Khu vực hệ thống treo: Một vùng thử 2: Vùng bắt đầu: Một vùng thử 3: Điểm cuối: Một vùng thử Một vị trí thử trong mỗi vùng thử 1, 2 và 3, chọn trên độ dày lớp vật liệu bề mặt nhỏ nhất để đo |
Hình D.6 |
Bảng D.3 - Ví dụ về vùng thử - Đồ chơi cưỡi, quay tròn
| Đồ chơi cưỡi, quay tròn | Vị trí và số lượng vị trí thử | Minh họa |
| Kiểu 1: Hình nấm quay tròn | 3 và 4: hai vị trí thử ở mỗi bên của một trục được xác định bên ngoài đồ chơi cưỡi, quay tròn Một vị trí thử trong mỗi vùng thử 3 và 4, chọn trên độ dày lớp vật liệu bề mặt nhỏ nhất để đo 1: trên cao 2: dưới thấp 5: trục được xác định |
Hình D.7 |
| Kiểu 2: Đĩa quay khổng lồ | 3 và 4: hai vị trí thử ở mỗi bên của một trục được xác định bên ngoài đồ chơi cưỡi, quay tròn Một vị trí thử trong mỗi vùng thử 3 và 4, chọn trên độ dày lớp vật liệu bề mặt nhỏ nhất để đo 1: trên cao 2: dưới thấp 5: trục được xác định |
Hình D.8 |
Bảng D.4 - Ví dụ về vùng thử - đồ chơi cưỡi, bập bênh và mạng không gian
| Đồ chơi cưỡi, quay tròn | Vị trí và số lượng vị trí thử | Minh họa |
| Kiểu 1: Đồ chơi bập bênh dọc trục | Một vị trí thử trong vùng thử chọn trên độ dày lớp vật liệu bề mặt nhỏ nhất để đo, đo độ dày lớp vật liệu bề mặt ở cả hai phía |
Hình D.10 |
| Kiểu 2: Đồ chơi cưỡi, bập bênh một điểm đỡ | Một vị trí thử trong vùng chịu va đập |
Hình D.10
Hình D.11 |
| Kiểu 3: Đồ chơi cưỡi, bập bênh nhiều điểm đỡ (Có hoặc không có chuyển động đa chiều) | Tiến hành như Kiểu 1 |
Hình D.12 |
| Kiểu 4: Đồ chơi cưỡi, bập bênh | Một vị trí thử trong vùng chịu va đập |
Hình D.13 |
| Kiểu 5: Bập bênh một điểm treo | Hai vị trí thử (1 và 2): một ở mỗi bên của một trục xác định Chọn trên độ dày lớp vật liệu bề mặt nhỏ nhất để đo |
Hình D.14 |
| Kiểu 6: Đồ chơi bập bênh có một trục đỡ bộ phận chơi ở trên cao | Vị trí kiểm tra 1 và 2: Mộ vị trí thử trên mỗi chỗ ngồi Chọn trên độ dày lớp vật liệu bề mặt nhỏ nhất để đo trong mỗi vũng thử (mũi tên 3 chỉ di chuyển ngang) |
Hình D.15 |
| Mạng không gian | Một vị trí thử bên ngoài kết cấu trên mỗi mặt (1, 3, 4 và 5) Một vị trí thử bên trong kết cấu (2) Chọn trên độ dày lớp vật liệu bề mặt nhỏ nhất để đo |
Hình D.16 |
Phụ lục E
(Quy định)
Phương pháp nén vật liệu rải nền giảm chấn (xem 6.2.4.5.1)
E.1 Yêu cầu chung
Tính năng của một số vật liệu rải nền hoặc hệ thống chứa vật liệu rải nền có thể bị ảnh hưởng đáng kể bởi sự nén trong sử dụng bình thường. Quy trình này mô tả cách các vật liệu này phải được nén chặt trước khi thử nghiệm. Phương pháp này được áp dụng cho thử nghiệm trong phòng thí nghiệm theo Phương pháp 1.
Thử nghiệm tại hiện trường được thực hiện ở bề mặt như thực tế mà không cần chuẩn bị cho cả Phương pháp 1 và Phương pháp 2.
E.2 Đo độ dày lớp vật liệu rải nền
Cào nhẹ bề mặt của vật liệu tại vị trí thử để tạo ra một lớp phẳng đồng đều.
Đo độ dày lớp vật liệu, ví dụ bằng cách đặt một tấm tròn cứng, đường kính ít nhất 200 mm, có độ dày đã biết trên bề mặt đã chuẩn bị và đo độ dày của lớp từ mặt dưới của tấm tròn cứng đến bề mặt, ví dụ: bằng thanh đầu dò đã được hiệu chuẩn có đường kính không quá 3 mm.
E.3 Thực hiện nén
Đặt một tấm tròn cứng vững có đường kính ít nhất 200 mm trên mẫu. Tác dụng một áp lực (2 ± 0,1) N/cm2 lên tấm tròn cứng trong (3 ± 1) s. Lặp lại việc này bổn lần nữa với cùng tải trọng, sao cho toàn bộ việc nén được hoàn thành trong vòng 1 min.
Kích thước của tấm tròn cứng được chọn phù hợp với khối lượng của người thử. Trong giới hạn (2 ± 0,1) N/cm2 với đường kính tấm tròn cứng cho phép tăng 5 mm được sử dụng với khối lượng cơ thể phù hợp với Bảng E.1.
Bảng E.1 - Kích thước các cỡ tấm tròn cứng có thể được sử dụng bởi người thử có khối lượng khác nhau
| Đường kính của tấm tròn cứng | Khối lượng người thử |
| mm | kg |
| 200 | 59,7 đến 66,0 |
| 205 | 62,7 đến 69,3 |
| 210 | 65,8 đến 72,7 |
| 215 | 69,0 đến 76,2 |
| 220 | 72,2 đến 79,8 |
| 225 | 75,5 đến 83,5 |
| 230 | 78,9 đến 87,2 |
| 235 | 82,4 đến 91,1 |
| 240 | 86,0 đến 95,0 |
| 245 | 89,6 đến 99,0 |
| 250 | 93,3 đến 103,1 |
| 255 | 97,0 đến 107,2 |
| 260 | 100,9 đến 111,5 |
| 265 | 104,8 đến 115,8 |
| 270 | 108,8 đến 120,2 |
Phụ lục F
(Tham khảo)
Ví dụ về chế độ kiểm tra chức năng của thiết bị thử HIC
Bảng F.1 - Ví dụ về chế độ kiểm tra chức năng chính xác của thiết bị thử HIC được sử dụng hàng tuần
| Nội bộ/bên ngoài | Loại kiểm tra | Thời gian |
| Tự kiểm tra | Kiểm tra so sánh trên các bề mặt chuẩn | Tháng 3 năm thứ nhất |
| Tự kiểm tra | Kiểm tra độ không đảm bảo | Tháng 3 năm thứ nhất |
| Tự kiểm tra | Kiểm tra so sánh trên các bề mặt chuẩn | Tháng 6 năm thứ nhất |
| Tự kiểm tra | Kiểm tra độ không đảm bảo | Tháng 6 năm thứ nhất |
| Tự kiểm tra | Kiểm tra so sánh trên các bề mặt chuẩn | Tháng 9 năm thứ nhất |
| Tự kiểm tra | Kiểm tra độ không đảm bảo | Tháng 9 năm thứ nhất |
| Hiệu chuẩn bởi một phòng thí nghiệm (xem 4.3.1) | Hệ thống đo gia tốc Hệ thống đo vận tốc Thuật toán | Tháng 12 năm thứ nhất |
| Tự kiểm tra | Kiểm tra so sánh trên các bề mặt chuẩn | Tháng 3 năm thứ hai |
| Tự kiểm tra | Kiểm tra độ không đảm bảo | Tháng 3 năm thứ hai |
| Tự kiểm tra | Kiểm tra so sánh trên các bề mặt chuẩn | Tháng 6 năm thứ hai |
| Tự kiểm tra | Kiểm tra độ không đảm bảo | Tháng 6 năm thứ hai |
| Tự kiểm tra | Kiểm tra so sánh trên các bề mặt chuẩn | Tháng 9 năm thứ hai |
| Tự kiểm tra | Kiểm tra độ không đảm bảo | Tháng 9 năm thứ hai |
| Hiệu chuẩn bởi một phòng thử nghiệm (xem 4.3.1) | Hệ thống đo gia tốc Hệ thống đo vận tốc Thuật toán | Tháng 12 năm thứ hai |
Mục lục
Lời nói đầu
Lời giới thiệu
3 Thuật ngữ và định nghĩa
4 Thiết bị, dụng cụ
4.1 Sự phù hợp
4.2 Các bộ phận của thiết bị
4.3 Độ chính xác của thiết bị
5 Cách tiến hành
5.1 Nguyên tắc của phép đo va đập
5.2 Lựa chọn và xác định vị trí thử
6 Phương pháp 1 - Xác định chiều cao rơi tới hạn (CFH)
6.1 Nguyên tắc
6.2 Thử trong phòng thí nghiệm
6.3 Thử nghiệm tại hiện trường
7 Phương pháp thử 2 - Xác định độ giảm chấn tại hiện trường
7.1 Nguyên tắc
7.2 Lựa chọn và ghi lại vị trí thử
7.3 Tiến hành thử
7.4 Kết quả
8 Báo cáo thử nghiệm
8.1 Yêu cầu chung
8.2 Phép thử trong phòng thí nghiệm theo Phương pháp 1
8.3 Phép thử tại hiện trường theo Phương pháp 1
8.4 Phép thử tại hiện trường theo Phương pháp 2
Phụ lục A (Tham khảo) Thiết bị thử để xác định độ giảm chấn
Phụ lục B (Tham khảo) Ví dụ điển hình về đường cong gia tốc theo thời gian và đường cong của giá trị HIC và gmax theo chiều cao rơi
Phụ lục C (Tham khảo) Kiểm tra xác nhận thuật toán sử dụng để tính HIC (xem 4.3.1.4)
Phụ lục D (Quy định) Quy trình lựa chọn vị trí thử trong sân chơi đối với Phương pháp 2 (xem Điều 7)
Phụ lục E (Quy định) Phương pháp nén vật liệu rải nền giảm chấn (xem 6.2.4.5.1)
Phụ lục F (Tham khảo) Ví dụ về chế độ kiểm tra chức năng của thiết bị thử HIC
[1] Thang chấn thương lớn nhất được viết tắt, lần đầu tiên được xây dựng bởi Hiệp hội vì sự tiến bộ y học của ngành ô tô và được sử dụng rộng rãi trong ngành công nghiệp ô tô như là một chỉ số về mức độ nghiêm trọng của các chấn thương liên quan đến đầu.
Bạn chưa Đăng nhập thành viên.
Đây là tiện ích dành cho tài khoản thành viên. Vui lòng Đăng nhập để xem chi tiết. Nếu chưa có tài khoản, vui lòng Đăng ký tại đây!

















