- Tổng quan
- Nội dung
- Tiêu chuẩn liên quan
- Lược đồ
- Tải về
Tiêu chuẩn quốc gia TCVN 14215:2024 Phân bón - Định lượng Saccharomyces sp. bằng kỹ thuật đếm khuẩn lạc
| Số hiệu: | TCVN 14215:2024 | Loại văn bản: | Tiêu chuẩn Việt Nam |
| Cơ quan ban hành: | Bộ Khoa học và Công nghệ | Lĩnh vực: | Công nghiệp , Nông nghiệp-Lâm nghiệp |
| Trích yếu: | Phân bón - Định lượng Saccharomyces sp. bằng kỹ thuật đếm khuẩn lạc | ||
|
Ngày ban hành:
Ngày ban hành là ngày, tháng, năm văn bản được thông qua hoặc ký ban hành.
|
31/12/2024 |
Hiệu lực:
|
Đã biết
|
| Người ký: | Đang cập nhật |
Tình trạng hiệu lực:
Cho biết trạng thái hiệu lực của văn bản đang tra cứu: Chưa áp dụng, Còn hiệu lực, Hết hiệu lực, Hết hiệu lực 1 phần; Đã sửa đổi, Đính chính hay Không còn phù hợp,...
|
Đã biết
|
TÓM TẮT TIÊU CHUẨN VIỆT NAM TCVN 14215:2024
TCVN 14215:2024: Định lượng Saccharomyces sp. trong phân bón bằng phương pháp đếm khuẩn lạc
Tiêu chuẩn Quốc gia TCVN 14215:2024 về phân bón - Định lượng Saccharomyces sp. bằng kỹ thuật đếm khuẩn lạc được Học viện Nông nghiệp Việt Nam biên soạn, do Bộ Nông nghiệp và Phát triển Nông thôn đề xuất và được Tổng cục Tiêu chuẩn Đo lường Chất lượng thẩm định. Văn bản này được công bố vào năm 2024, có hiệu lực thi hành từ ngày công bố, quy định các phương pháp xác định nồng độ của nấm men trong phân bón có chứa vi sinh vật.
Tiêu chuẩn xác định phạm vi áp dụng và phương pháp tính toán, trong đó bao gồm định danh Saccharomyces sp. thông qua đánh giá hình thái và phân tích trình tự gen. Việc định số lượng Saccharomyces sp. được thực hiện thông qua kỹ thuật đếm khuẩn lạc, sử dụng môi trường nuôi cấy như Dichloran Rose Bengal Chloramphenicol Agar (DRBC) và các hóa chất chuyên dụng tuân theo quy định của tiêu chuẩn.
Các thuật ngữ và định nghĩa được cụ thể hóa trong tiêu chuẩn, như nấm men, khuẩn lạc và môi trường chọn lọc, nhằm tạo ra sự nhất quán trong việc áp dụng tiêu chuẩn này. Đặc biệt, việc sử dụng các hóa chất đạt tiêu chuẩn cho phân tích vi sinh là điều kiện tiên quyết để đảm bảo độ tin cậy của kết quả.
Tiêu chuẩn cũng đưa ra hướng dẫn chi tiết về quy trình lấy mẫu và chuẩn bị mẫu thử, trong đó yêu cầu bảo quản mẫu thử theo đúng quy định để đảm bảo cho các tế bào nấm sống sót. Sau khi mẫu được cấy trên môi trường chọn lọc và được ủ ở nhiệt độ 25 °C, kỹ thuật viên cần đếm khuẩn lạc từ 48 đến 72 giờ để xác định mật độ nấm men Saccharomyces sp. bằng công thức cụ thể, kết quả được biểu thị bằng đơn vị hình thành khuẩn lạc trên gam hoặc mililit (CFU/g hoặc CFU/mL).
Để hỗ trợ cho việc phân tích, tỷ lệ đặc trưng của Saccharomyces sp. cũng được đánh giá thông qua nhiều bước, bao gồm cả phân tích trình tự gen để định danh chính xác loài nấm. Quy trình này nhằm kết hợp các dữ liệu về hình thái học cùng với kết quả từ kỹ thuật phân tích gen góp phần nâng cao độ chính xác trong việc xác định loài nấm trong mẫu thử.
Tóm lại, TCVN 14215:2024 là một tiêu chuẩn quan trọng trong việc định lượng và xác định nấm men Saccharomyces sp. trong phân bón, góp phần nâng cao chất lượng và độ tin cậy cho các sản phẩm phân bón chứa vi sinh vật tại Việt Nam.
Tải tiêu chuẩn Việt Nam TCVN 14215:2024
TIÊU CHUẨN QUỐC GIA
TCVN 14215:2024
PHÂN BÓN - ĐỊNH LƯỢNG SACCHAROMYCES SP. BẰNG KỸ THUẬT ĐẾM KHUẨN LẠC
Fertilizers - Enumeration of Saccharomyces sp. by colony count method
Lời nói đầu
TCVN 14215:2024 do Học viện Nông nghiệp Việt Nam biên soạn, Bộ Nông nghiệp và Phát triển Nông thôn đề nghị, Tổng cục Tiêu chuẩn Đo lường Chất lượng thẩm định, Bộ Khoa học và Công nghệ công bố.
PHÂN BÓN - ĐỊNH LƯỢNG SACCHAROMYCES SP. BẢNG KỸ THUẬT ĐẾM KHUẨN LẠC
Fertilizers - Enumeration of Saccharomyces sp. by colony count method
1 Phạm vi áp dụng
Tiêu chuẩn này áp dụng để định lượng Saccharomyces sp. trong phân bón chứa vi sinh vật bằng kỹ thuật đếm khuẩn lạc và định tính Saccharomyces sp. bằng phương pháp đánh giá hình thái và phân tích trình tự gen.
2 Tài liệu viện dẫn
Các tài liệu viện dẫn sau là rất cần thiết cho việc áp dụng tiêu chuẩn này. Đối với tài liệu viện dẫn ghi năm công bố thì áp dụng bản được nêu. Đối với tài liệu viện dẫn không ghi năm công bố thì áp dụng phiên bản mới nhất, bao gồm cả các bản sửa đổi, bổ sung (nếu có).
TCVN 4884:2005 (ISO 4833:2003) Thực phẩm, thực phẩm chức năng, thực phẩm bổ sung và thức ăn chăn nuôi - Định lượng vi sinh vật trên đĩa thạch - Kỹ thuật đếm khuẩn lạc ở 30 °C
TCVN 6404:2016 (ISO 7218:2007) Vi sinh vật trong thực phẩm và thức ăn chăn nuôi - Yêu cầu chung và hướng dẫn kiểm tra vi sinh vật
TCVN 7185: 2002 Phân hữu cơ vi sinh vật
TCVN 8275-1:2010 (ISO 21527-1:2008) Vi sinh vật trong thực phẩm và thức ăn chăn nuôi - Phương pháp định lượng nấm men và nấm mốc - Phần 1: Kỹ thuật đếm khuẩn lạc trong các sản phẩm có hoạt độ nước lớn hơn 0,95
TCVN 11133:2015 (ISO 22119:2011) Vi sinh vật trong thực phẩm, thức ăn chăn nuôi - Phản ứng chuỗi polymerase real-time (per real-time) để phát hiện vi sinh vật gây bệnh từ thực phẩm - Định nghĩa và yêu cầu chung vi sinh vật trong thực phẩm, thức ăn chăn nuôi
TCVN 11925 (ISO 20837) Phản ứng chuỗi polymerase (PCR) để phát hiện vi sinh vật gây bệnh từ thực phẩm
TCVN 12105.2018 Phân bón vi sinh vật - Lấy mẫu
3 Thuật ngữ và định nghĩa
Trong tiêu chuẩn này sử dụng các thuật ngữ, định nghĩa sau đây.
3.1
Nấm men (yeast)
Vi sinh vật hiếu khí ưa ẩm, ở nhiệt độ 25 °C dưới các điều kiện quy định trong tiêu chuẩn này, phát triển thành các khuẩn lạc tròn, bóng hoặc mờ trên bề mặt môi trường thạch, thường có mép viền đều và bề mặt lồi ít hoặc lồi nhiều.
CHÚ THÍCH: Nấm men trong môi trường có chất ức chế sinh trưởng có đường kính từ 1 mm đến 3 mm.
3.2
Môi trường chọn lọc Dichloran Rose Bengal Chloramphenicol Agar (DRBC) (Dichloran Rose Bengal Chloramphenicol agar selective media)
Môi trường DRBC Agar là công thức môi trường cho phân lập có chọn lọc nấm men. Môi trường DRBC agar là công thức biến đổi từ môi trường gốc Rose Bengal Chloramphenicol Agar bằng cách bổ sung thêm Dichloran là một tác nhân kháng nấm, được bổ sung vào môi trường để làm giảm đường kính của khuẩn lạc nấm khi phát triển rộng ra.
Rose Bengal có khả năng ức chế nấm lan rộng giúp dễ nhận biết và đếm khuẩn lạc nấm hơn. Chloramphenicol được bổ sung vào môi trường để ức chế sự phát triển nhanh của vi khuẩn qua đó có thể phân lập được các loại nấm phát triển chậm hơn.
3.3
Khuẩn lạc (colony)
Khối vi sinh vật (nấm men hoặc vi khuẩn) tích tụ tại một vị trí mà có thể nhìn thấy, phát triển trên hoặc trong môi trường dinh dưỡng từ một phần tử sống
4 Nguyên tắc
Mẫu sau khi được tiếp nhận ở phòng phân tích được bảo quản theo khuyến cáo của nhà sản xuất nhằm đảm bảo sức sống của các tế bào nấm trong phân bón.
Mẫu thử nghiệm phải được tiến hành đánh giá tại phòng thí nghiệm vi sinh đạt tiêu chuẩn.
Phương pháp định tính dựa trên đánh giá hình thái khuẩn lạc nấm phát triển trên môi trường có các yếu tố chọn lọc giúp cho việc quan sát dễ dàng hơn và bước phân tích trình tự gen các khuẩn lạc đại diện để định danh các loài nấm thuộc chi Saccharomyces làm tăng độ tin cậy của tiêu chuẩn.
Phương pháp định lượng sử dụng môi trường chọn lọc có bổ sung kháng sinh loại bỏ vi khuẩn nhiễm tạp, ngoài ra chất Dichloran hạn chế khuẩn lạc nấm lan rộng giúp kỹ thuật viên xác định mật độ thuận tiện hơn.
5 Môi trường, hóa chất
5.1 Yêu cầu chung
Sử dụng các loại hóa chất chuyên dùng cho phân tích vi sinh vật và theo khuyến cáo của nhà sản xuất. Chuẩn bị và khử trùng môi trường nuôi cấy theo TCVN 8128:2015, các hóa chất tách chiết DNA, PCR và giải trình tự gen phải đạt chất lượng sử dụng cho sinh học phân tử.
5.2 Nước
Nước sử dụng theo TCVN 8128:2015. Sử dụng nước cất hai lần để pha chế các loại hóa chất, dung dịch sử dụng cho phân tích phân tử, thực hiện phản ứng PCR,
5.3 Môi trường nuôi cấy
Sử dụng môi trường chọn lọc Dichloran Rose Bengal Chloramphenicol Agar (DRBC) theo TCVN 8275-:2010 (phần 1) gồm:
5.3.1 Thành phần
| Hóa chất | Lượng |
| Glucose | 10,0 g |
| Peptone | 5,0 g |
| K2HPO4 | 1,0 g |
| MgSO4.7H2O | 0,5 g |
| Rose Bengal (5 % khối lượng/thể tích) | 0,5 mL |
| Dichloran (2,6-dichloro-4-nitroaniline) (dạng dung dịch trong ethanol 0,2 % khối lượng/thể tích) | 1,0 mL |
| Chloramphenicol | 0,1 g |
| Nước cất | Lên thể tích đến 1000 mL |
| Agar | 15,0 g |
CHÚ THÍCH: Ưu tiên sử dụng các môi trường DRBC thương mại có bán sẵn.
5.3.2 Chuẩn bị
Cân và hòa tan môi trường có sẵn theo hướng dẫn của nhà sản xuất hoặc các thành phần đã liệt kê tại 5.3.1 trong bình thủy tinh (7.2.2). Không vặn nắp và hấp khử trùng môi trường ở điều kiện 121 °C, 15 min. Khi môi trường còn ấm (khoảng 55 °C đến 60 °C), phân phối đều 15 mL môi trường vào các đĩa petri vô trùng đã chuẩn bị sẵn (7.2.3) và để cho đông đặc. Khi bề mặt môi trường đã khô, đậy nắp và bảo quản lạnh ở 4 °C, sử dụng trong vòng một tuần. Các thao tác được tiến hành trong tủ cấy vi sinh vật (7.1.2).
5.4 Dung dịch pha loãng mẫu: NaCI 0,85 % (8,5 g/L)
5.5 Hoá chất tách chiết DNA
5.5.1 Đệm chiết tách DNA (lysis buffer)
Hỗn hợp đệm chiết gồm SDS 3 %, EDTA 10 mM và Tris 30 mM pH 8,0. Đệm chiết tách DNA được hấp khử trùng và bảo quản ở nhiệt độ phòng.
5.5.2 Các hoá chất khác
- Dung dịch Chloroform: Isoamylalcohol (tỷ lệ thể tích 24:1)
- Isopropanol 100 %
- Ethanol 70 %
- Đệm TE (10 mM Tris-HCI; 1 mM EDTA)
- Nước cất khử trùng
5.5.3. Mồi PCR
Cặp mồi ITS1&ITS4 cho PCR nhân dòng trình tự ITS để xác định Saccharomyces sp. được trình bày trong Bảng 1.
Bảng 1 - Cặp mồi ITS1&ITS4 cho PCR nhân đoạn trình tự ITS (Raja et al. 2017)
| Tên mồi | Trình tự mồi | Nồng độ gốc | Nhiệt độ gắn mồi |
| ITS1 | 5'-TCCGTAGGTGAACCTGCGG -3’ | 10 μM | 55 °C |
| ITS4 | 5’-TCCTCCGCTTATTGATATGC -3’ | 10 μM |
6 Chủng nấm chuẩn
Có thể sử dụng chủng nấm men Saccharomyces sp. làm đối chứng dương.
Ngoài ra, có thể tham khảo một số chủng nấm men chuẩn phổ biến: ATCC 18824, NBRC 10217, IFO 0565 hoặc các chủng chuẩn khác được xác nhận.
7 Thiết bị và dụng cụ
7.1 Thiết bị
7.1.1 Nồi hấp khử trùng, có khả năng duy trì nhiệt độ 121 °C ± 1 °C ở 1 atm.
7.1.2 Tủ cấy vi sinh vật, đảm bảo độ vô trùng.
7.1.3 Tủ ấm, có khả năng duy trì nhiệt độ ở 25 °C ± 1 °C.
7.1.4 Tủ lạnh, có thể duy trì nhiệt độ ổn định ở -20 °C ± 1 °C và 4 °C ± 1 °C.
7.1.5 Máy trộn, lắc có khả năng khuấy trộn mẫu đồng đều.
7.1.6 Máy đo pH, chính xác đến ± 0,1 đơn vị ở 25 °C.
7.1.7 Cân kỹ thuật (chính xác đến 0,01 g).
7.1.8 Kính hiển vi quang học có độ phóng đại 1000x.
7.1.9 Máy PCR cài đặt được chu kỳ nhiệt độ.
7.1.10 Bể ổn nhiệt.
7.1.11 Máy ly tâm.
7.1.12 Máy Vortex.
7.1.13 Hệ thống điện di agarose.
7.2 Dụng cụ
7.2.1 Pipet, có thể phân phối 1-10 μL, 10-100 μL, 100-1000 μL, 1-5 mL.
7.2.2 Chai, bình và ống nghiệm để đựng môi trường nuôi cấy và pha loãng dung dịch, có nút đậy kín hoặc nắp đậy thích hợp.
7.2.3 Đĩa petri, vô trùng, bằng chất dẻo hoặc thủy tinh không màu trong suốt, đường kính 90 mm, chiều sâu tối thiểu là 10 mm.
7.2.4 Que dàn mẫu, vô trùng, bằng thủy tinh hoặc kim loại.
7.2.5 Ống falcon 15 mL và 50 mL, vô trùng.
7.2.6 Bi nghiền: đường kính 0,5 cm đến 1 cm, bằng thép không gỉ hoặc gốm.
8 Cách tiến hành
8.1 Lấy mẫu và chuẩn bị mẫu
Thực hiện theo TCVN 12105:2018 về cách lấy mẫu, số lượng mẫu và bảo quản mẫu trước khi đưa đến phòng thí nghiệm. Không được làm đông lạnh hoặc phơi khô mẫu thử.
Chuẩn bị phần mẫu thử, huyền phù (dung dịch pha loãng ban đầu) và các dung dịch pha loãng tiếp theo TCVN 6404:2016 và tiêu chuẩn cụ thể liên quan đến sản phẩm.
Dùng cân kỹ thuật (7.1.7) cân 10 g mẫu rắn hoặc dùng pipet (7.2.1) với đầu tip vô trùng hút 10 mL mẫu dạng lỏng cho vào bình vô trùng (7.2.2) chứa 90 mL dung dịch NaCI 0,85 %. Đây được coi là độ pha loãng 10-1. Tiếp theo trộn đều mẫu trên máy lắc (7.1.5). Nên để pipet ở tư thế nằm ngang (không để đứng) khi được làm đầy với một thể tích của huyền phù hoặc dung dịch pha loãng thích hợp. Sau đó, mẫu được pha loãng ở các độ loãng từ 10-2 đến 10-8 bằng dung dịch NaCI 0,85 % (5.4).
8.2 Cấy và ủ mẫu
Dùng pipet với đầu típ vô trùng hút 100 μL dung dịch mẫu ở độ pha loãng từ 10-2 đến 10-8 cho vào mỗi đĩa petri (7.2.3) chứa môi trường chọn lọc. Dùng que dàn mẫu (7.2.4) dàn đều dịch cấy trên bề mặt đĩa thạch. Đậy nắp đĩa và để yên ở nhiệt độ phòng trong 15 min để dịch cấy hấp thụ vào bề mặt thạch rồi ủ đĩa ở 25 °C ± 1 °C trong 48 h đến 72 h trong tủ ấm (7.1.3) theo TCVN 6507-1:2005. Thực hiện đối với 03 độ pha loãng liên tiếp, mỗi độ pha loãng 03 đĩa.
8.3 Đếm khuẩn lạc
Đếm khuẩn lạc sau 48 h đến 72 h nuôi cấy ở 25 °C ± 1°C, chọn những đĩa ở tỷ lệ pha loãng có từ 10 khuẩn lạc đến 150 khuẩn lạc và tiến hành đếm số lượng khuẩn lạc xuất hiện trên đĩa theo TCVN 4884:2005.
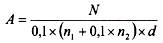
Dựa trên số lượng khuẩn lạc thu được của mỗi nhóm khuẩn lạc giả định là Saccharomyces sp. để tính mật độ của mỗi nhóm (A).
Xác định mật độ khuẩn lạc theo công thức (1)
|
| (1) |
trong đó
| A | là số tế bào (đơn vị hình thành khuẩn lạc) trong 1 g hay 1 mL mẫu, được tính bằng đơn vị CFU/g (/mL); |
| N | là tổng số khuẩn lạc giả định là Saccharomyces sp. đếm được trên tất cả các đĩa Petri được giữ lại ở hai độ pha loãng liên tiếp; |
| 0,1 | là thể tích mẫu cấy trên mỗi đĩa Petri, tính bằng mililit (mL); |
| n1 | là số đĩa Petri được giữ lại ở độ pha loãng thứ nhất; |
| n2 | là số đĩa Petri được giữ lại ở độ pha loãng thứ hai (nếu có); |
| d | là độ pha loãng tương ứng với dung dịch pha loãng thứ nhất được giữ lại. |
Làm tròn kết quả tính được đến một chữ số sau dấu phẩy. Biểu thị kết quả bằng cách lấy một trong các giá trị từ 1,0 đến 9,9 nhân với 10x, trong đó x là số mũ của 10.
8.4 Đánh giá đặc điểm hình thái
Quan sát hình thái hình thái 10 khuẩn lạc bằng mắt và hình thái tế bào bằng kính hiển vi (7.1.8) để kiểm tra các đặc điểm đặc trưng của nấm men thuộc chi Saccharomyces (xem Phụ lục A, Hình A.4): khuẩn lạc dạng tròn, mép trơn, đường kính 1 mm đến 3 mm trong môi trường có Dichloran (xem Phụ lục A, Hình A.1), bề mặt khuẩn lạc lồi bóng (xem Phụ lục A, Hình A.2) và trung tâm có màu đỏ đậm (xem Phụ lục A, Hình A.3).
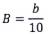
Xác định tỷ lệ khuẩn lạc là Saccharomyces sp. trên tổng số mẫu khuẩn lạc đánh giá (B) theo công thức (2)
|
| (2) |
trong đó
B là tỷ lệ khuẩn lạc có hình thái của Saccharomyces sp.;
b là số khuẩn lạc xác định là Saccharomyces sp.
8.5 Định tính Saccharomyces sp. bằng phương pháp phân tích trình tự ITS
Lựa chọn 5 khuẩn lạc được xác định bằng hình thái đặc trưng tiến hành lấy mẫu để tách chiết DNA và giải trình tự gen để kiểm tra.
8.5.1 Tách chiết DNA
Có thể sử dụng các phương pháp tách chiết DNA đảm bảo được chất lượng DNA thu được đủ tiêu chuẩn cho PCR. Định lượng DNA và kiểm tra độ tinh sạch theo TCVN 11925 (ISO 20837). Nồng độ DNA thu được nên tối thiểu là 50 ng/μL. Trong đó, ưu tiên sử dụng các bộ kít tách chiết DNA thương mại phù hợp với điều kiện thực tế của phòng thí nghiệm và thực hiện theo hướng dẫn của nhà sản xuất
Các khuẩn lạc mọc riêng rẽ trên đĩa được lấy bằng tăm tiệt trùng được hòa tan trong 200 μL lysis buffer trong ống dung tích 1,5 mL đến 2 mL đáy tròn, sau đó vortex (7.1.12) đều với bi nghiền (7.2.6) bằng thép hoặc gốm.
- Ủ ở 37 °C trong 1 h (30 min đảo ống một lần) trong bể ổn nhiệt (7.1.10);
- Thêm 60 μL SDS 20 %, ủ ở 65 °C trong 2 h;
- Thêm 300 LI Chloroform: isoamylalcohol sau đó đảo ống để trộn đều và ly tâm (7.1.11) 10000 r/min trong 10 min, thu dịch nổi vào một ống dung tích 1,5 mL mới;
- Thêm 300 μL isopropanol (để ở -20 °C), đảo ống nhẹ nhàng và ủ ở -20 °C trong 1 h;
- Ly tâm 12000 r/min trong 10 min, đổ dịch, thêm 500 μL cồn lạnh sau đó ly tâm 12000 r/min trong 10 min, đổ bỏ dịch nổi, lặp lại 1 lần nữa;
- Để khô DNA ở nhiệt độ phòng;
- Thêm 30 μL H2O nước khử trùng hoặc TE;
- DNA sau tách chiết bảo quản ở -20 °C cho các thử nghiệm tiếp theo;
- Tiến hành điện di trên gel agarose 1 % trên hệ thống điện di agarose (7.1.13) để kiểm tra kết quả tách chiết.
8.5.2 Giải trình tự đoạn ITS và định danh Saccharomyces sp.
Bước 1: Hỗn hợp phản ứng được chuẩn bị với các lượng cụ thể cho mỗi phản ứng như Bảng 2.
Bảng 2 - Thành phần phản ứng PCR
| Thành phần | Thể tích (μL) |
| H2O | 5 |
| ITS1 (10 μM) | 2 |
| ITS4 (10 μM) | 2 |
| PCR MasterMix 2X | 10 |
| DNA tổng số của mẫu (1-20 ng) | 1 |
| Tổng thể tích | 20 |
Bước 2: Chu trình nhiệt cho phản ứng PCR trên máy PCR (7.1.9).
| Bước | Nhiệt độ | Thời gian | Chu kỳ |
| 1 | 96 °C | 3 min | 1 |
|
| 95 °C | 45 s |
|
| 2 | 55 °C | 45 s | 35 |
|
| 72 °C | 2 min |
|
| 3 | 72 °C | 7 min | 1 |
| 4 | 4 °C | Lưu mẫu |
|
Bước 3: Kết quả phản ứng PCR được kiểm tra bằng điện di trên gel agarose 1 % theo TCVN 11925 (ISO 20837). Kích thước của sản phẩm PCR được so sánh với thang DNA chuẩn kích thước 100 bp. Sau chạy điện di, gel agarose được dưới tia UV của máy soi gel. Nếu mẫu phản ứng cho băng DNA đặc hiệu kích thước khoảng 800 bp đến 900 bp thì sử dụng mẫu đó tiếp tục giải trình tự và định danh. Nếu mẫu phản ứng không có sản phẩm PCR hoặc sản phẩm không đặc hiệu thì khẳng định mẫu khuẩn lạc đó không phải là Saccharomyces sp.
Bước 4. Giải trình tự và định danh
Sản phẩm PCR được giải trình tự và kiểm tra bằng phần mềm Chromas phiên bản 2.4. Trình tự tinh chỉnh của từng phân đoạn được so sánh với các loài Saccharomyces sp. tương tự đã được công bố trong cơ sở dữ liệu của NCBI GenBank bằng công cụ tìm kiếm BLAST, kết quả được xác định là Saccharomyces sp. khi trình tự đoạn gen ITS rDNA của Saccharomyces sp. giả định có độ tương đồng cao nhất với loài Saccharomyces sp. từ 93-100% (phụ lục hình 5). Cụ thể:
- Tại cửa sổ “choose search set = chọn bộ dữ liệu”, mục “Organism = sinh vật” lựa chọn “Fungi”;
- Tại cửa sổ “program selection = chọn chương trình”, chọn “highly similar sequences” để tìm các chuỗi có mức tương đồng cao;
- Các thông số khác để chế độ mặc định;
- Cuối cùng, bấm nút “BLAST” để tìm chuỗi.
Kết quả định tính các loài thuộc chi Saccharomyces dựa trên kết quả so sánh trình tự được công nhận như sau:
“Query coverage = tỷ lệ bao phủ”: đạt 90 % trở lên
“Percent identity = phần trăm tương đồng”: đạt từ 93 % đến 100 %
“E-value”: nhỏ hơn 1e-50
CHÚ THÍCH: Cần kết hợp với các kết quả đánh giá về hình thái khuẩn lạc và tế bào để xác định loài Saccharomyces sp.
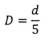
Xác định tỷ lệ khuẩn lạc có trình tự gen đặc hiệu cho Saccharomyces sp. (D) theo công thức (3).
|
| (3) |
trong đó:
D là tỷ lệ khuẩn lạc có trình tự gen đặc hiệu cho Saccharomyces sp.;
d là số khuẩn lạc xác định là Saccharomyces sp..
8.6 Tính mật độ và biểu thị kết quả
Số lượng Saccharomyces sp. trong mẫu kiểm định được tính toán theo công thức (4).
| M = A × B × D | (4) |
trong đó
| M | là mật độ nấm men Saccharomyces sp. Trong mẫu kiểm định, được tính bằng đơn vị hình thành khuẩn lạc trên gam hay mililit (CFU/g hoặc CFU/mL); |
| A | là mật độ nấm men giả định là Saccharomyces sp. Trong một đơn vị kiểm tra, được tính bằng đơn vị hình thành khuẩn lạc trên gam hay mililit (CFU/g hoặc CFU/mL); |
| B | là tỷ lệ khuẩn lạc có hình thái tế bào và khuẩn lạc đặc trưng của Saccharomyces sp.; |
| D | là tỷ lệ khuẩn lạc có trình tự gen cho Saccharomyces sp. |
Làm tròn kết quả tính được đến một chữ số sau dấu phẩy. Biểu thị kết quả bằng cách lấy một trong các giá trị từ 1,0 đến 9,9 nhân với 10x, trong đó x là số mũ của 10.
Biểu thị kết quả trong trường hợp số đếm thấp hoặc trường hợp đặc biệt theo quy định trong TCVN 6404:2016 (ISO 7218:2007 with amendment 1:2013).
9 Báo cáo thử nghiệm
Báo cáo thử nghiệm phải được viết phù hợp với các tiêu chuẩn TCVN hiện hành, bao gồm ít nhất các thông tin sau:
a) Các thông tin cần thiết để nhận biết đầy đủ về mẫu thử;
b) Phương pháp lấy mẫu theo TCVN 12105:2018;
c) Phương pháp thử nghiệm đã dùng, viện dẫn tiêu chuẩn này;
d) Các thao tác không quy định trong tiêu chuẩn này, hoặc các lưu ý, sự cố có thể ảnh hưởng đến kết quả;
e) Kết quả thử nghiệm thu được gồm: kết quả định danh bằng hình thái trên môi trường chọn lọc, kết quả phân tích trình tự đoạn ITS và kết luận về định lượng nấm trong mẫu thử.
Phụ lục A
(Tham khảo)
Hình thái khuẩn lạc, tế bào và phân tích trình tự gen trong định tính nấm men Saccharomyces sp.

Hình A.1 - Hình ảnh khuẩn lạc sau 3 ngày nuôi ở 25 °C

Hình A.2 - Hình ảnh khuẩn lạc lồi, bóng

Hình A.3 - Hình ảnh khuẩn lạc tròn, phần trung tâm màu đỏ đậm

Hình A.4 - Hình thái tế bào nấm men quan sát bằng kính hiển vi độ phóng đại 1000x

Hình A.5 - Hình ảnh điện di sản phẩm PCR nhân dòng đoạn ITS sử dụng cặp mồi ITS1&ITS4

Hình A.6 - Kết quả phân tích trình tự gen bằng công cụ BLAST và mã số trình tự đoạn ITS của một số chủng nấm thuộc loài Saccharomyces sp.
Thư mục tài liệu tham khảo
[1] White, & Bruns, Tom & Lee, Steven & Taylor, John. (1990). White, T. J., T. D. Bruns, S. B. Lee, and J. W. Taylor. Amplification and Direct Sequencing of Fungal Ribosomal RNA Genes for Phylogenetics. In: PCR Protocols, a Guide to Methods and ApμLications, 315-322.
[2] Larry R. Beuchat. Chapter 22. Media for detecting and enumerating yeasts and moulds (2003). Handbook of Culture media for Food Microbiology. Elsevier Science B.V.
[3] Raja Huzefa A., Andrew N. Miller, Cedric J. Pearce, and Nicholas H. Oberlies. (2017). Fungal Identification Using Molecular Tools: A Primer for the Natural Products Research Community. J. Nat. Prod. 2017, 80, 756-770. DOI: 10.1021/acs.jnatprod.6b01085
Bạn chưa Đăng nhập thành viên.
Đây là tiện ích dành cho tài khoản thành viên. Vui lòng Đăng nhập để xem chi tiết. Nếu chưa có tài khoản, vui lòng Đăng ký tại đây!