- Tổng quan
- Nội dung
- Tiêu chuẩn liên quan
- Lược đồ
- Tải về
Tiêu chuẩn quốc gia TCVN 14112:2024 Phân bón - Định lượng Bacillus pumilus bằng kỹ thuật đếm khuẩn lạc và real-time PCR
| Số hiệu: | TCVN 14112:2024 | Loại văn bản: | Tiêu chuẩn Việt Nam |
| Cơ quan ban hành: | Bộ Khoa học và Công nghệ | Lĩnh vực: | Công nghiệp , Nông nghiệp-Lâm nghiệp |
| Trích yếu: | Phân bón - Định lượng Bacillus pumilus bằng kỹ thuật đếm khuẩn lạc và real-time PCR | ||
|
Ngày ban hành:
Ngày ban hành là ngày, tháng, năm văn bản được thông qua hoặc ký ban hành.
|
14/08/2024 |
Hiệu lực:
|
Đã biết
|
| Người ký: | Đang cập nhật |
Tình trạng hiệu lực:
Cho biết trạng thái hiệu lực của văn bản đang tra cứu: Chưa áp dụng, Còn hiệu lực, Hết hiệu lực, Hết hiệu lực 1 phần; Đã sửa đổi, Đính chính hay Không còn phù hợp,...
|
Đã biết
|
TÓM TẮT TIÊU CHUẨN VIỆT NAM TCVN 14112:2024
Tiêu chuẩn quốc gia TCVN 14112:2024: Quy định phương pháp định lượng Bacillus pumilus trong phân bón
Tiêu chuẩn quốc gia TCVN 14112:2024 về phân bón được ban hành bởi Trường Đại học Khoa học Tự nhiên, cùng với sự đề nghị của Bộ Nông nghiệp và Phát triển Nông thôn, và đã được Tổng cục Tiêu chuẩn Đo lường Chất lượng thẩm định. Tiêu chuẩn này có hiệu lực từ ngày công bố và là quy định quan trọng về phương pháp định lượng vi sinh vật Bacillus pumilus trong phân bón và nguyên liệu sản xuất phân bón.
Tiêu chuẩn quy định cụ thể về các phương pháp xác định số lượng Bacillus pumilus thông qua kỹ thuật đếm khuẩn lạc và phương pháp real-time PCR. Phương pháp này không chỉ giúp định lượng chính xác mà còn khẳng định sự hiện diện của Bacillus pumilus trong mẫu phân bón.
Một trong những điểm đáng chú ý là phương pháp sử dụng môi trường nuôi cấy sinh màu Bacillus, từ đó cho phép nhận diện khuẩn lạc B. pumilus một cách nhanh chóng. Điều này rất quan trọng trong việc đảm bảo chất lượng phân bón có chứa loại vi sinh vật này.
Ngoài ra, tiêu chuẩn cũng đưa ra yêu cầu sử dụng các tài liệu viện dẫn liên quan, như TCVN 6404 về vi sinh vật trong thực phẩm và thức ăn chăn nuôi, giúp các cơ sở sản xuất và kiểm tra nắm rõ yêu cầu và quy chuẩn cần thiết trong quá trình thực hiện định lượng.
Đối với quy trình thử nghiệm, tiêu chuẩn cũng quy định rất cụ thể về các thiết bị, dụng cụ, và điều kiện thực hiện, từ việc hình thành khuẩn lạc trên môi trường đặc hiệu đến việc xác định kết quả qua phương pháp real-time PCR. Mỗi bước trong quy trình thử nghiệm phải được thực hiện đúng cách nhằm đảm bảo tính chính xác và độ tin cậy của kết quả.
Việc định lượng Bacillus pumilus trong phân bón không chỉ giúp tối ưu hóa quy trình sản xuất mà còn hỗ trợ người tiêu dùng trong việc chọn lựa sản phẩm chất lượng tốt, có lợi cho cây trồng. Tiêu chuẩn này cũng phản ánh rõ việc quản lý chất lượng trong ngành nông nghiệp, góp phần thúc đẩy sản xuất bền vững và an toàn cho môi trường.
Như vậy, TCVN 14112:2024 được ban hành nhằm tạo ra một nền tảng vững chắc cho việc quản lý, kiểm tra và đánh giá chất lượng phân bón có chứa Bacillus pumilus, điều này không chỉ mang lại lợi ích cho cơ sở sản xuất mà còn cho cả nông dân và người tiêu dùng.
Ngày ban hành và hiệu lực
Tiêu chuẩn TCVN 14112:2024 được ban hành và có hiệu lực tại thời điểm công bố; các quy định trong tiêu chuẩn này sẽ giúp thống nhất và nâng cao chất lượng kiểm tra vi sinh vật trong phân bón trên toàn quốc.
Tải tiêu chuẩn Việt Nam TCVN 14112:2024
TIÊU CHUẨN QUỐC GIA
TCVN 14112:2024
PHÂN BÓN - ĐỊNH LƯỢNG BACILLUS PUMILUS BẰNG KỸ THUẬT ĐẾM KHUẨN LẠC VÀ REAL-TIME PCR
Fertilizer- Enumeration of Bacillus pumilus - The plate count and real-time PCR method
Lời nói đầu
TCVN 14112:2024 do Trường Đại học Khoa học Tự nhiên biên soạn, Bộ Nông nghiệp và Phát triển Nông thôn đề nghị, Tổng cục Tiêu chuẩn Đo lường Chất lượng thẩm định, Bộ Khoa học và Công nghệ công bố.
PHÂN BÓN - ĐỊNH LƯỢNG BACILLUS PUMILUS BẰNG KỸ THUẬT ĐẾM KHUẨN LẠC VÀ REAL-TIME PCR
Fertilizer- Enumeration of Bacillus pumilus - The plate count and real-time PCR method
1 Phạm vi áp dụng
Tiêu chuẩn này quy định phương pháp định lượng B. pumilus trong phân bón hoặc nguyên liệu sản xuất phân bón bằng kỹ thuật đếm khuẩn lạc và real-time PCR.
Tiêu chuẩn này sử dụng quy trình real-time PCR cho phép thử khẳng định B. Pumilus.
2 Tài liệu viện dẫn
Các tài liệu viện dẫn sau là rất cần thiết cho việc áp dụng tiêu chuẩn này. Đối với các tài liệu viện dẫn ghi năm công bố thì áp dụng phiên bản được nêu. Đối với các tài liệu viện dẫn không ghi năm công bố thì áp dụng phiên bản mới nhất, bao gồm cả các sửa đổi, bổ sung (nếu có).
TCVN 6166, Phân bón vi sinh vật cố định nitơ.
TCVN 6404 (ISO 7218), Vi sinh vật trong thực phẩm và thức ăn chăn nuôi. Yêu cầu chung và hướng dẫn kiểm tra vi sinh vật.
TCVN 7682 (ISO 20838), Vi sinh vật trong thực phẩm và thức ăn chăn nuôi. Phản ứng chuỗi Polymeraza (PCR) để phát hiện sinh vật gây bệnh từ thực phẩm. Yêu cầu về khuếch đại và phát hiện đối với các phương pháp định tính.
TCVN 7715-2 (ISO 10272-2), Vi sinh vật trong thực phẩm và thức ăn chăn nuôi. Phương pháp phát hiện và định lượng Campylobacter spp. Phần 2: Kỹ thuật đếm khuẩn lạc.
TCVN 8128 (ISO 11133), Vi sinh vật trong thực phẩm, thức ăn chăn nuôi và nước. Chuẩn bị, sản xuất, bảo quản và thử hiệu năng của môi trường nuôi cấy.
TCVN 11133 (ISO 22119), Vi sinh vật trong thực phẩm và thức ăn chăn nuôi - Phản ứng chuỗi polymerase real-time (PCR real-time) để phát hiện vi sinh vật gây bệnh từ thực phẩm - Định nghĩa và yêu cầu chung.
TCVN 11134 (ISO 22174), Vi sinh vật trong thực phẩm và thức ăn chăn nuôi. Phản ứng chuỗi polymerase (PCR) để phát hiện vi sinh vật gây bệnh từ thực phẩm. Định nghĩa và yêu cầu chung.
TCVN 11925 (ISO 20837), Vi sinh vật trong thực phẩm và thức ăn chăn nuôi. Phản ứng chuỗi Polymerase (PCR) để phát hiện vi sinh vật gây bệnh từ thực phẩm. Yêu cầu về chuẩn bị mẫu để phát hiện định tính.
TCVN 12105, Phân bón vi sinh vật. Lấy mẫu.
3 Thuật ngữ, định nghĩa
Trong tiêu chuẩn này áp dụng các thuật ngữ, định nghĩa sau đây:
3.1
Môi trường nuôi cấy sinh màu Bacillus (Bacillus chromogenic medium - BM)
Môi trường nuôi cấy vi khuẩn thuộc nhóm Bacillus, giúp nhận dạng nhanh các loài Bacillus dựa trên màu sắc và hình dạng khuẩn lạc (colony-forming unit - CFU).
3.2
Khuẩn lạc B. pumilus giả định (Putative Bacillus pumilus CFU - PBC)
Là khuẩn lạc mang các đặc điểm phù hợp với các mô tả về khuẩn lạc của B. pumilus trên môi trường BM, khi tiến hành thử nghiệm theo tiêu chuẩn này và chưa qua phép thử khẳng định.
3.3
Phép thử khẳng định B. pumilus (Bacillus pumilus confirmation)
Là phương pháp kiểm tra định tính các khuẩn lạc B. pumilus giả định (3.2) là đúng hay sai, khi tiến hành thử nghiệm theo tiêu chuẩn này.
3.4
Bacillus pumilus (Bacillus pumilus)
Là vi sinh vật tạo thành khuẩn lạc B. pumilus giả định trên môi trường BM và được khẳng định đúng với phép thử khẳng định B. pumilus, khi tiến hành thử nghiệm theo tiêu chuẩn này.
3.5
Định lượng B. pumilus (B. pumilus enumeration)
Là xác định số lượng đơn vị hình thành khuẩn lạc B. pumilus (3.4) có trong một khối lượng hoặc thể tích cụ thể của phân bón, nguyên liệu sản xuất phân bón, khi tiến hành các thử nghiệm theo tiêu chuẩn này.
3.6
Real-time PCR
Là phản ứng tổng hợp chuỗi polymerase thời gian thực cho phép theo dõi sự gia tăng và định lượng DNA mục tiêu trong mẫu thử trong suốt thời gian thực tế diễn ra phản ứng nhờ vào công nghệ phát huỳnh quang.
3.7
Giá trị chu kỳ ngưỡng (Threshold cycle value - ct)
Là giá trị chu kỳ mà tại đó tín hiệu huỳnh quang được tạo ra vượt qua ngưỡng huỳnh quang nền, trong quy trình real-time PCR.
3.8
Đường cong nóng chảy và giá trị Tm (Melting curve analysis and Tm value)
Đường cong nóng chảy là đồ thị biểu diễn sự thay đổi của nhiệt độ trong các bước của quy trình real-time PCR. Đỉnh cao nhất của đường cong nóng chảy thể hiện giá trị Tm, đại diện cho mẫu nghiên cứu.
Giá trị Tm là điểm nhiệt độ mà tại đó 50 % sợi đôi ADN phân tách nhau và tạo thành sợi đơn.
4 Nguyên tắc
Định lượng B. pumilus trong phân bón, nguyên liệu sản xuất phân bón bằng phương pháp đếm PBC (3.2) trên đĩa thạch BM và xác định số lượng PBC (3.2) là đúng B. pumilus (3.4) bằng phương pháp real-time PCR.
Phép phân tích nhìn chung bao gồm:
a. Đếm số lượng khuẩn lạc B. pumilus giả định PBC (3.2), trên đĩa thạch BM;
b. Thực hiện phép thử khẳng định khuẩn lạc B. pumilus (3.3);
c. Khẳng định số lượng khuẩn lạc đúng B. pumilus (3.4) dựa theo giá trị Ct;
d. Từ số lượng khuẩn lạc đã khẳng định, áp dụng công thức tính để định lượng B. pumilus (3.5).
5 Thiết bị, dụng cụ
Cần sử dụng trang thiết bị và dụng cụ của phòng thử nghiệm vi sinh theo TCVN 6404 (ISO 7218).
Thiết bị và dụng cụ để thực hiện quy trình real-time PCR cần được trang bị theo TCVN 11133 (ISO 22119).
5.1 Thiết bị
Trang thiết bị của phòng thử nghiệm và các thiết bị, dụng cụ nêu trong TCVN 6404 (ISO 7218), TCVN 11133 (ISO 22119) và TCVN 11134 (ISO 22174) cần sử dụng các thiết bị, dụng cụ như sau:
5.1.1 Tủ cấy vô trùng, tủ cấy vi sinh, luồng không khí thổi theo chiều dọc.
5.1.2 Nồi hấp áp lực, có nhiệt độ hơi nước bão hòa trong buồng có khả năng duy trì nhiệt độ ở 121 °C ± 3 °C tương ứng áp suất tối thiểu 101,3 kPa.
5.1.3 Cân kỹ thuật, có độ chính xác đến ± 0,01 g.
5.1.4 Tủ ấm, thông gió đối lưu,có thể duy trì ở nhiệt độ từ 25 °C đến 40 °C, độ chính xác đến ± 1 °C.
5.1.5 Tủ lạnh, với ngăn đông duy trì nhiệt độ ổn định ở âm 20 °C ± 1 °C và ngăn lạnh duy trì nhiệt độ ổn định ở 4 °C ± 1 °C.
5.1.6 Bể ổn nhiệt, có khả năng điều chỉnh tự động về nhiệt độ, độ chính xác đến ± 1 °C.
5.1.7 Máy trộn mẫu (máy vortex), có khả năng khuấy trộn mẫu đồng đều.
5.1.8 Máy quang phổ, định lượng ADN/ARN có phạm vi bước sóng từ 200 nm đến 850 nm, độ chính xác bước sóng ± 1nm.
5.1.9 Máy đo pH, có độ chính xác đến ± 0,01 đơn vị pH ở nhiệt độ phòng.
5.1.10 Máy chu trình nhiệt (máy real-time PCR), phần nhiệt với khả năng luân nhiệt ở nhiệt độ khác nhau trong phạm vi từ 4 °C đến 115 °C một cách chính xác và quá trình luân nhiệt này được lặp đi lặp lại từ 30 đến 45 chu kỳ. Phần quang dùng để ghi nhận (detector) nhiều tín hiệu quang phát ra cùng lúc (theo mục 7.2.1 TCVN 11133).
5.1.11 Máy ly tâm, có thể ly tâm với gia tốc 6 000 g đến 20 000 g.
5.2 Dụng cụ
5.2.1 Ống ly tâm, 1,5 mL.
5.2.2 Bộ Pipet, cho các kích cỡ từ μl đến 10 μl, 20 μl đến 200 μl, 100 μL đến 1000 μl.
5.2.3 Đầu côn, 1 mL; 200 μl; 20 μl; 10 μl.
5.2.4 Ống real-time PCR, từ 100 μl đến 200 μl.
5.2.5 Bình thủy tinh có nút vặn, thể tích phù hợp (100 mL, 250 mL, 500 mL, 1000 mL).
5.2.6 Bình định mức, 500 mL, 1000 mL.
5.2.7 Que cấy vi sinh, bằng thủy tinh hoặc bằng chất dẻo hoặc bằng thép.
5.2.8 Ống falcon, có nắp vặn, vô trùng.
5.2.9 Đĩa Petri, đường kính từ 90 mm đến 100 mm.
5.2.10 Đèn cồn
5.2.11 Khay đá, giữ lạnh mẫu.
6 Môi trường, thuốc thử và vật liệu thử
6.1 Yêu cầu chung
Sử dụng môi trường BM hoàn chỉnh, tuân thủ chính xác hướng dẫn của nhà sản xuất [1, 4]. Chuẩn bị môi trường trong phòng thử nghiệm theo TCVN 8128 (ISO 11133).
Yêu cầu chung cho nước, thuốc thử và vật liệu thử cho quy trình real-time PCR theo TCVN 11133 (ISO 22119). Sử dụng thuốc thử thương mại cho quy trình real-time PCR với thuốc nhuộm SYBR Green (SYBR Green Master Mix). Việc pha chế, bảo quản và sử dụng thuốc thử phải tuân thủ theo hướng dẫn của nhà sản xuất.
6.2 Môi trường nuôi cấy sinh màu cho Bacillus (Chromogenic Bacillus agar)
Môi trường nuôi cấy sinh màu cho Bacillus của các hãng được cung cấp trên thị trường. Tùy thuộc vào điều kiện thực tế để lựa chọn hoá chất phù hợp và làm theo hướng dẫn của nhà sản xuất.
6.3 Dung dịch pha loãng
Chuẩn bị dung dịch pha loãng Natri clorua (NaCl) 0,85 % - 0,9 % theo TCVN 6166.
CHÚ THÍCH 1: Ưu tiên sử dụng dung dịch NaCl 0,9 % thương mại có sẵn.
6.4 Cặp mồi real-time PCR
Cặp mồi được thiết kế và kiểm tra tính đặc hiệu theo TCVN 7682 (ISO 20838).
Cặp mồi đặc hiệu khuếch đại đoạn ADN dài 61 bp, sử dụng cho phép thử khẳng định B. pumilus (3.3) bằng quy trình real-time PCR, với trình tự mồi (5' - 3') như sau:
qPCR.Bp.F: TCTAGGGACTTTGGACTGGTT
qPCR.Bp.R: TGGCAAATCTAATGATCCAGACG
6.5 Vật liệu ADN
Vật liệu ADN sử dụng trong phép thử khẳng định B. pumilus (3.3) bao gồm một ADN đối chứng dương (Positive control - PC), một ADN đối chứng âm (Negative control - NC) và ADN từ khuẩn lạc B. pumilus giả định (mẫu thử - Testing colony - TC).
6.5.1 Đối chứng dương
Chủng chuẩn B. pumilus tiếp nhận từ bộ sưu tập chủng của Liên đoàn thế giới các Bảo tàng giống vi sinh vật (WFCC) hoặc Tổ chức Bảo tàng giống vi sinh vật châu Âu (ECCO) theo TCVN 8128 (ISO 11133).
CHÚ THÍCH 1: Chủng chuẩn B. pumilus được ghi nhận trên Trung tâm Thông tin Công nghệ Sinh học Quốc gia Mỹ (NCBI) bao gồm ATCC:7061, ATCC:BAA-1126, BCRC:11706, CCM:2144, CCUG:26015, CCUG:26016, CIP:52.67, DSM:27, DSM:21631, DSM:19292, HAMBI:1826, IAM:12469, IFO:12092, JCM:2508, JCM:13350, BCCM/LMG:18928, BCCM/LMG:7132, MTCC:7306, NBRC:12092, NBRC:100820, NCCB:48024, NCIMB:9369, NCTC:10337, NRIC:1010, NRRL:NRS-272, VKM:B-508.
6.5.2 Đối chứng âm
Chủng chuẩn không phải là B. pumilus và loài đồng danh (synonym) B. altitudinis, B. safensis [2, 3], tiếp nhận từ bộ sưu tập chủng của Liên đoàn thế giới các Bảo tàng giống vi sinh vật (WFCC) hoặc Tổ chức Bảo tàng giống vi sinh vật châu Âu (ECCO) theo TCVN 8128 (ISO 11133).
6.5.3 Tách chiết ADN từ khuẩn lạc
Phương pháp này áp dụng cho tách chiết ADN vi khuẩn từ khuẩn lạc với đối chứng dương (6.5.1), đối chứng âm (6.5.2) và các khuẩn lạc B. pumilus giả định. Để ngăn ngừa nhiễm chéo, không thực hiện tách chiết ADN của đối chứng dương (6.5.1), đối chứng âm (6.5.2) và PBC (3.2) cùng thời điểm.
Các khuẩn lạc, mọc riêng rẽ trên đĩa nuôi cấy, được lấy bằng que cấy (5.2.7), hoà tan 1 khuẩn lạc trong 100 μl dung dịch pha loãng (6.3). Dùng máy trộn vortex (5.1.7), trộn đều, mạnh, tạo huyền phù tế bào vi khuẩn. Sau đó thực hiện tiếp quy trình tách chiết ADN vi khuẩn bằng phương pháp sốc nhiệt theo TCVN 11925 (ISO 20837).
Định lượng ADN và kiểm tra độ tinh sạch theo TCVN 11925 (ISO 20837). Nồng độ ADN thu được nên tối thiểu là 50 ng trong 1 μl dịch ADN.
ADN sau tách chiết cần được bảo quản trong ngăn lạnh tủ lạnh (5.1.5) trong vòng 24 h nếu sử dụng ngay cho phép thử khẳng định B. amyloliquefaciens, hoặc nếu chưa tiến hành phản ứng ngay thì cần lưu trữ trong ngăn đông tủ lạnh (5.1.5).
6.6 Thuốc thử để ngăn ngừa lây nhiễm chéo
Ngăn ngừa nhiễm chéo theo TCVN 7682:2007 (ISO 20838:2006).
6.7 Kít real-time PCR
Sử dụng thuốc thử thương mại cho quy trình real-time PCR với thuốc nhuộm SYBR Green (SYBR Green Master Mix). Việc pha chế, bảo quản và sử dụng thuốc thử phải tuân thủ theo hướng dẫn của nhà sản xuất.
7 Lấy mẫu và chuẩn bị mẫu thử
7.1 Lấy mẫu
Phân bón được lấy mẫu theo quy định (TCVN 12105:2018) Về cách lấy mẫu, số lượng mẫu và bảo quản mẫu trước khi đưa đến phòng thử nghiệm.
Mẫu sau khi được tiếp nhận ở phòng thử nghiệm được bảo quản theo khuyến cáo của nhà sản xuất nhằm đảm bảo sức sống của các tế bào vi khuẩn trong phân bón.
7.2 Chuẩn bị mẫu thử
Đối với mẫu phân bón dạng lỏng, lắc đều và dùng pipet (5.2.2) hút 10 mL, chính xác đến 10 μL vào bình thủy tinh có nắp vặn vô trùng thể tích 250 mL (5.2.5). Đối với mẫu phân bón dạng rắn, cân 10 gram vào vào bình thủy tinh có nắp vặn vô trùng thể tích 250 mL (5.2.5) bằng cân kỹ thuật (5.1.3). Bổ sung 90 mL dung dịch pha loãng NaCl 0,85 % vô trùng để thu được độ pha loãng 10-1. Vortex từ 5 min đến 10 min (nếu mẫu chưa đồng nhất, tiếp tục ủ mẫu khoảng từ 5 min đến 10 min rồi vortex). Mẫu sau đó được đun nóng ở 80 °C trong bể ổn nhiệt (5.1.6) trong 10 min để diệt các tế bào sinh dưỡng của vi sinh vật khác.
CHÚ THÍCH: (1) đối với một số mẫu phân bón có chất mang là tinh bột hoặc dạng lỏng không chứa bào tử thì bỏ qua bước đun nóng ở 80 °C. (2) Nếu mẫu phân bón có chứa thành phần là vô cơ thì mẫu ban đầu nên được pha loãng theo khuyến cáo của nhà sản xuất hoặc pha loãng trực tiếp thành 10-2 để tránh vi sinh vật bị ảnh hưởng sức sống. Mẫu pha loãng 10-1 được tiếp tục sử dụng để pha loãng ở các nồng độ thấp hơn. Mẫu phân bón được tiếp tục pha loãng từ 10-2 đến 10-8 trong dung dịch pha loãng NaCl 0,85 % với thể tích của mỗi nồng độ pha loãng là 10 mL đựng trong ống falcon vô trùng (5.2.8) hoặc bình thủy tinh thể tích phù hợp (5.2.5). Các mẫu pha loãng sẽ được sử dụng ngay để thực hiện ở Điều 8.1.
8 Cách tiến hành
8.1 Pha loãng mẫu thử và cấy trải mẫu trên đĩa thạch
Thực hiện pha loãng mẫu thử và cấy trải dung dịch mẫu đã pha loãng trên đĩa thạch BM (3.1) theo TCVN 6166, rồi chuyển các đĩa này vào tủ ấm (5.1.4) ở 37 °C ± 1 °C. Kiểm tra các đĩa nuôi cấy sau mỗi 24 h (trong 3 ngày), cho đến khi không thấy xuất hiện khuẩn lạc mới. Giữ lại các dĩa nuôi cấy có chứa ít hơn 200 khuẩn lạc trong tủ lạnh (5.1.5) để thực hiện việc nhận diện, đếm khuẩn lạc B. pumilus giả định (PBC) và thực hiện phép thử khẳng định B. pumilus.
8.2 Nhận diện khuẩn lạc
Khuẩn lạc B. pumilus trên môi trường BM có kích thước từ 2 mm đến 5 mm, dạng tròn, mép khuẩn lạc tạo thành nhiều thuỳ, răng cưa, xung quanh tạo vệt trong có viền màu xanh đậm điển hình, và khác biệt so với màu xanh của Bacillus subtilis (khuẩn lạc màu xanh, nhầy) sau 24 h đến 36 h nuôi cấy. (Tham khảo Phụ lục A).
8.3 Đếm khuẩn lạc Bacillus pumilus giả định
Đĩa nuôi cấy được giữ lại (8.1) đạt yêu cầu cho công tác định lượng B. pumilus là đĩa có chứa các PBC (3.2) tách rời nhau.
Trong đĩa nuôi cấy có thể xuất hiện các khuẩn lạc mọc lan không mang các đặc điểm như mô tả cho B. pumilus (8.2). Nếu số khuẩn lạc mọc lan ít hơn một phần tư đĩa, thì đếm PBC trên phần đĩa không bị ảnh hưởng và tính bằng cách ngoại suy số đếm lý thuyết của các PBC cho toàn bộ đĩa. Nếu số khuẩn lạc mọc lan nhiều hơn một phần tư đĩa, thì không đếm PBC trên đĩa này.
Thực hiện đếm tất cả PBC trong các đĩa nuôi cấy giữ lại (8.1), ở 2 độ pha loãng liên tiếp, mỗi độ pha loãng đếm trên 2 đĩa. Ưu tiên đếm từ đĩa có độ pha loãng thấp nhất và có tối thiểu 4 PBC.
8.4 Phép thử khẳng định Bacillus pumilus
Phép thử khẳng định B. pumilus (3.3) nhằm định tính các PBC được thực hiện bằng phương pháp real-time PCR. Trên mỗi đĩa đã đếm PBC, chọn 5 khuẩn lạc điển hình cho B. pumilus, nếu trên một đĩa có ít hơn 5 khuẩn lạc thì lấy tất cả để tách chiết ADN (6.5.3) làm vật liệu (khuôn mẫu ADN) cho phép thử khẳng định.
8.4.1 Quy trình real-time PCR
Thuốc thử và vật liệu cho quy trình real-time PCR cần được rã đông hoàn toàn và giữ trong khay đá lạnh. Mỗi quy trình real-time PCR, ngoài mẫu TC, cần tiến hành song song 1 mẫu PC (6.5.1), 1 NC (6.5.2), và 1 mẫu nước không chứa ADN/ARN (Bảng 1).
Bảng 1 - Hỗn hợp thuốc thử cho một mẫu tham gia quy trình real-time PCR
| STT | Thành phần | Nồng độ cuối | Ghi chú |
| 1 | Nước |
| thêm vào cho đủ tổng thể tích phản ứng |
| 2 | qPCR.Bp.F | 0,15 pM/μL |
|
| 3 | qPCR.Bp.R | 0,15 pM/μL |
|
| 4 | SYBR Green Master Mix | 1x |
|
| 5 | ADN | 2,5 ng/μL |
|
Đặt các ống real-time PCR đã hoàn thành bổ sung hỗn hợp thuốc thử vào máy chu trình nhiệt (5.1.10) và tiến hành cài đặt chu trình nhiệt 2 bước, với 30 chu kỳ, theo hướng dẫn của nhà sản xuất thuốc thử SYBR Green Master Mix. Nhiệt độ gắn mồi của cặp mồi đặc hiệu trong phép thử này là 60 °C.
CHÚ THÍCH 1: Tham khảo Bảng 2 cho quy trình real-time PCR với chu trình nhiệt 2 bước.
Bảng 2 - Chu trình nhiệt 2 bước cho quy trình real-time PCR
| Bước | Giai đoạn | Nhiệt độ (°C) | Thời gian | Số chu kỳ |
| 1 | Biến tính ban đầu | 95 | 10 min | 1 |
| 2 | Biến tính | 95 | 15 s | 30 |
| Gắn mồi và tổng hợp chuỗi | 60 | 60 s |
8.4.2 Phân tích kết quả
Quy trình real-time PCR đạt yêu cầu khi mẫu PC (6.5.1) cho giá trị Ct ≤ 28, mẫu NC (6.5.2) và mẫu nước cho giá trị Ct > 30 hoặc không có giá trị Ct.
Với mẫu TC có giá trị Ct ≤ 28, khuẩn lạc của mẫu thử được khẳng định là B. pumilus (3.4).
Với mẫu TC có giá trị Ct > 30 hoặc không có giá trị Ct, khuẩn lạc của mẫu thử được khẳng định là không phải B. pumilus.
Với mẫu thử có giá trị 28 < Ct ≤ 30, mẫu thử cần được kiểm tra lại nồng độ ADN, và cần thực hiện lại quy trình real-time PCR với chu trình nhiệt có bổ sung phân tích đường cong nóng chảy theo hướng dẫn của nhà sản xuất thuốc thử SYBR Green Master Mix. Phân tích kết quả quy trình realtime PCR với chu trình nhiệt có bổ sung phân tích đường cong nóng chảy, nếu giá trị Ct ≤ 30, Tm đạt từ 72 °C đến 80 °C, khác biệt ± 1 °C so với Tm của mẫu đối chứng dương, và thể hiện một đỉnh nóng chảy, thì khuẩn lạc của mẫu thử được khẳng định là B. pumilus (3.4) (Tham khảo Phụ lục B).
CHÚ THÍCH 1: Giá trị Tm phụ thuộc vào máy chu trình nhiệt (5.1.10) và thuốc thử SYBR Green Master Mix. Tuy nhiên pác mẫu thử được khẳng định là B. pumilus khi giá trị Ct ≤ 30 và giá trị Tm của mẫu TC và mẫu PC trong cùng một quy trình real-time PCR không khác biệt quá 1 °C.
CHÚ THÍCH 2: Tham khảo Bảng 3 cho quy trình real-time PCR với chu trình nhiệt có bổ sung phân tích đường cong nóng chảy
Bảng 3 - Chu trình nhiệt cho quy trình real-time PCR có phân tích đường cong nóng chảy
| Bước | Giai đoạn | Nhiệt độ (°C) | Thời gian | Số chu kỳ |
| 1 | Biến tính ban đầu | 95 | 10 min | 1 |
| 2 | Biến tính | 95 | 15 s | 40 |
| Gắn mồi | 60 | 30 s | ||
| Tổng hợp chuỗi | 72 | 30 s | ||
| 3 | Phân tích đường cong nóng chảy | 95 | 10 s |
|
| 65 | 20 s | 1 | ||
| 95 | 1 s |
|
8.5 Định lượng Bacillus pumilus và biểu thị kết quả
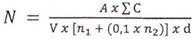
Phương pháp định lượng B. pumilus được thực hiện theo TCVN 7715-2 (ISO 10272-2) và được tính theo Công thức (1):
|
| (1) |
Trong đó
N số lượng CFU B. pumilus trong một đơn vị mẫu, ở dạng lỏng được tính bằng CFU trên mililit (CFU/mL), hoặc dạng khô được tính bằng CFU trên gam (CFU/g);
A phần trăm (%) số mẫu thử được khẳng định là B. pumilus (8.4.2) trên tổng số PBC tham gia phép thử (8.4).
(Ví dụ trong 5 PBC tham gia phép thử khẳng định B. pumilus (8.4), có 4 mẫu thử được khẳng định là B. pumilus (8.4.2) thì A được tính là (4/5) x 100 % = 80 %.)
∑C tổng các PBC đếm được trên tất cả các đĩa được giữ lại từ hai độ pha loãng liên tiếp, chỉ tính các đĩa có chứa tối thiểu 4 khuẩn lạc;
V thể tích dịch cấy trên mỗi đĩa, tính bằng mililit (mL);
n1, n2 số đĩa có PBC được đếm ở hai độ pha loãng liên tiếp;
d hệ số pha loãng tương ứng với độ pha loãng thứ nhất được giữ lại [d = 1 khi mẫu thử ở dạng lỏng, không pha loãng];
Kết quả định lượng B. pumilus được làm tròn đến hai chữ số sau dấu phẩy.
9 Báo cáo thử nghiệm
Báo cáo thử nghiệm thực hiện theo TCVN 6404 (ISO 7218), bao gồm ít nhất các thông tin sau:
a) mọi thông tin cần thiết để nhận biết đầy đủ về mẫu thử;
b) phương pháp lấy mẫu đã sử dụng, nếu biết;
c) phương pháp thử nghiệm đã dùng, viện dẫn tiêu chuẩn này;
d) các thao tác không quy định trong tiêu chuẩn này, cùng với các chi tiết bất thường nào khác có thể ảnh hưởng đến kết quả;
e) các kết quả thử nghiệm thu được.
Phụ lục A: Hình thái khuẩn lạc B. pumilus trên môi trường BM
(Tham khảo)

Hình A.1. Hình thái khuẩn lạc của các chủng thuộc loài B. pumilus trên môi trường BM sau 36 h nuôi cấy
1 - B. pumilus ATCC 14884; 2 - B. pumilus ATCC 7061

Hình A.2. Hình thái khuẩn lạc một số loài gần gũi thuộc chi Bacillus trên môi trường BM sau 36 h nuôi cấy
1 - B. subtilis ATCC 11010; 2 - B. licheniformis VTCC 10723; 3 - Hình thái khuẩn lạc của 3 loài thuộc chi Bacillus cùng nuôi trên môi trường BM sau 36 h nuôi cấy
Phụ lục B: Kết quả real-time PCR của B. pumilus
(Tham khảo)

Hình B.1 - Kết quả real-time PCR của B. pumilus với chu trình nhiệt 2 bước

Hình B.2 - Kết quả real-time PCR của B. pumilus với chu trình nhiệt có bổ sung phân tích đường cong nóng chảy
Thư mục tài liệu tham khảo
[1] Alippi, A.M., (2019). Data associated with the characterization and presumptive identification of Bacillus and related species isolated from honey samμLes by using HiCrome Bacillus agar. Data in brief, 25, p.104206.
[2] Dunlap, C. A. ,(2019). Taxonomy of registered Bacillus spp. strains used as plant pathogen antagonists. Biological control, 134, 82-86.
[3] Fu, X., Gong, L, Liu, Y., Lai, Q., Li, G., & Shao, Z. (2021). Bacillus pumilus group comparative genomics: toward pangenome features, diversity, and marine environmental adaptation. Frontiers in microbiology, 12, 571212.
[4] Kabir, M. S., Hsieh, Y. H., Simpson, S., Kerdahi, K., & Sulaiman, I. M., (2017). Evaluation of two standard and two chromogenic selective media for optimal growth and enumeration of isolates of 16 unique Bacillus species. Journal of food protection, 80(6), 952-962.
Bạn chưa Đăng nhập thành viên.
Đây là tiện ích dành cho tài khoản thành viên. Vui lòng Đăng nhập để xem chi tiết. Nếu chưa có tài khoản, vui lòng Đăng ký tại đây!