• Tổng quan
  • Nội dung
  • Tiêu chuẩn liên quan
  • Lược đồ
  • Tải về
Lưu
Đây là tiện ích dành cho tài khoản Tiêu chuẩn hoặc Nâng cao . Vui lòng Đăng nhập tài khoản để xem chi tiết.
Theo dõi VB
Đây là tiện ích dành cho tài khoản Tiêu chuẩn hoặc Nâng cao . Vui lòng Đăng nhập tài khoản để xem chi tiết.
Ghi chú
Báo lỗi
In

Tiêu chuẩn TCVN 13233-4:2025 Rô bốt - Tiêu chí tính năng và phương pháp thử liên quan đến rô bốt dịch vụ - Phần 4: Rô bốt hỗ trợ vùng lưng dưới

Ngày cập nhật: Thứ Ba, 26/08/2025 11:20 (GMT+7)
Số hiệu: TCVN 13233-4:2025 Loại văn bản: Tiêu chuẩn Việt Nam
Cơ quan ban hành: Đang cập nhật Lĩnh vực: Khoa học-Công nghệ , Công nghiệp
Trích yếu: ISO 18646-4:2021 Rô bốt - Tiêu chí tính năng và phương pháp thử liên quan đến rô bốt dịch vụ - Phần 4: Rô bốt hỗ trợ vùng lưng dưới
Ngày ban hành:
Ngày ban hành là ngày, tháng, năm văn bản được thông qua hoặc ký ban hành.
17/06/2025
Hiệu lực:
Đã biết
Tiện ích dành cho tài khoản Tiêu chuẩn hoặc Nâng cao. Vui lòng Đăng nhập tài khoản để xem chi tiết.
Người ký: Đang cập nhật
Tình trạng hiệu lực:
Cho biết trạng thái hiệu lực của văn bản đang tra cứu: Chưa áp dụng, Còn hiệu lực, Hết hiệu lực, Hết hiệu lực 1 phần; Đã sửa đổi, Đính chính hay Không còn phù hợp,...
Đã biết
Tiện ích dành cho tài khoản Tiêu chuẩn hoặc Nâng cao. Vui lòng Đăng nhập tài khoản để xem chi tiết.

TÓM TẮT TIÊU CHUẨN VIỆT NAM TCVN 13233-4:2025

Tiêu chuẩn quốc gia TCVN 13233-4:2025: Quy định về rô bốt hỗ trợ vùng lưng dưới

Tiêu chuẩn quốc gia TCVN 13233-4:2025, tương đương ISO 18646-4:2021, được ban hành ngày ____ và có hiệu lực từ ngày ____, nhằm quy định các tiêu chí tính năng và phương pháp thử nghiệm đối với rô bốt hỗ trợ vùng lưng dưới. Tiêu chuẩn này được biên soạn bởi Ban kỹ thuật tiêu chuẩn quốc gia TCVN/TC 299 Robot, dưới sự xác nhận của Bộ Khoa học và Công nghệ.

TCVN 13233 được chia thành bốn phần, trong đó phần 4 (TCVN 13233-4:2025) tập trung vào các rô bốt hỗ trợ vùng lưng dưới, đây là công cụ giúp giảm tải cho phần lưng dưới của người dùng thông qua các lực hỗ trợ. Tiêu chuẩn áp dụng cho tất cả các loại rô bốt có chức năng hỗ trợ lưng, không phụ thuộc vào phương pháp vận hành như điện, khí nén hoặc thủy lực.

Tiêu chuẩn quy định rõ về các phương pháp thử nghiệm nhằm đánh giá các chỉ tiêu đặc tính của rô bốt, bao gồm chỉ số mô men xoắn hỗ trợ (ATI) và giảm nén thắt lưng (LCR). Các chỉ số này được tính toán từ các phép thử trong điều kiện môi trường ổn định, với nhiệt độ từ 10°C đến 30°C và độ ẩm tương đối từ 0% đến 80%.

Rô bốt phải được lắp đặt hoàn chỉnh và thử nghiệm phải được tiến hành dưới các điều kiện vận hành bình thường mà nhà sản xuất quy định. Tiêu chuẩn không áp dụng cho rô bốt y tế mặc dù có thể tham chiếu từ các phương pháp thử hiện có cho việc thử nghiệm rô bốt y tế.

Ngoài ra, các thuật ngữ như rô bốt, rô bốt đeo và các khái niệm liên quan khác cũng được định nghĩa rõ ràng trong tiêu chuẩn, tạo cơ sở cho quá trình thử nghiệm và đánh giá hiệu quả hoạt động của rô bốt. Các vai trò và quyền hạn của các bên tham gia trong quá trình thử nghiệm cũng được chỉ rõ, nhằm đảm bảo tính minh bạch và chính xác trong quá trình thử nghiệm và đánh giá chất lượng rô bốt hỗ trợ vùng lưng dưới.

Tiêu chuẩn này có ý nghĩa quan trọng trong việc đảm bảo chất lượng và hiệu suất của các sản phẩm rô bốt khi đưa vào sử dụng trong thực tiễn, đồng thời tạo ra một khung pháp lý vững chắc cho các nhà sản xuất và người tiêu dùng trong lĩnh vực công nghệ rô bốt.

Tải tiêu chuẩn Việt Nam TCVN 13233-4:2025

Tải văn bản tiếng Việt (.pdf) Tiêu chuẩn Việt Nam TCVN 13233-4:2025 PDF (Bản có dấu đỏ)

Đây là tiện ích dành cho tài khoản thành viên. Vui lòng Đăng nhập để xem chi tiết. Nếu chưa có tài khoản, Đăng ký tại đây!

Tải văn bản tiếng Việt (.doc) Tiêu chuẩn Việt Nam TCVN 13233-4:2025 DOC (Bản Word)

Đây là tiện ích dành cho tài khoản thành viên. Vui lòng Đăng nhập để xem chi tiết. Nếu chưa có tài khoản, Đăng ký tại đây!

Tình trạng hiệu lực: Đã biết
Hiệu lực: Đã biết
Tình trạng hiệu lực: Đã biết

TIÊU CHUẨN QUỐC GIA

TCVN 13233-4:2025

ISO 18646-4:2021

RÔ BỐT - TIÊU CHÍ TÍNH NĂNG VÀ PHƯƠNG PHÁP THỬ LIÊN QUAN ĐẾN RÔ BỐT DỊCH VỤ - PHẦN 4: RÔ BỐT HỖ TRỢ VÙNG LƯNG DƯỚI

Robotics - Performance criteria and related test methods for service robots - Part 4: Lower-back support robots

Lời nói đầu

TCVN 13233-4:2025 hoàn toàn tương đương ISO 18646-4:2021

TCVN 13233-4:2025 do Ban kỹ thuật tiêu chuẩn quốc gia TCVN/TC 299 Robot biên soạn, Viện Tiêu chuẩn Chất lượng Việt Nam đề nghị, Ủy ban Tiêu chuẩn Đo lường Chất lượng Quốc gia thẩm định, Bộ Khoa học và Công nghệ công bố.

Bộ tiêu chuẩn TCVN 13233 (ISO 18646), Rô bốt - Tiêu chí tính năng và phương pháp thử liên quan đến rô bốt dịch vụ bao gồm các phần sau:

- TCVN 13233-1:2020 (ISO 18646-1:2016), Phần 1: Di động của rô bốt bánh xe.

- TCVN 13233-2:2020 (ISO 18646-2:2019), Phần 2: Điều khiển dẫn đường.

- TCVN 13233-3:2025 (ISO 18646-3:2025), Phần 3: Tay máy.

- TCVN 13233-4:2025 (ISO 18646-4:2025), Phần 4: Rô bốt hỗ trợ vùng lưng dưới.

 

RÔ BỐT - TIÊU CHÍ TÍNH NĂNG VÀ PHƯƠNG PHÁP THỬ LIÊN QUAN ĐẾN RÔ BỐT DỊCH VỤ - PHẦN 4: RÔ BỐT HỖ TRỢ VÙNG LƯNG DƯỚI

Robotics - Performance criteria and related test methods for service robots - Part 4: Lower-back support robots

1 Phạm vi áp dụng

Tiêu chuẩn này mô tả các phương pháp quy định và đánh giá đặc tính của rô bốt hỗ trợ vùng lưng dưới.

Tiêu chuẩn này áp dụng cho các rô bốt hỗ trợ vùng lưng dưới không phụ thuộc vào mục đích ứng dụng và phương pháp truyền động (ví dụ: điện, thủy lực và khí nén). Tiêu chuẩn này không áp dụng cho rô bốt y tế, mặc dù các phương pháp thử được quy định trong tiêu chuẩn này có thể được sử dụng cho rô bốt y tế.

Tiêu chuẩn này không nhằm mục đích kiểm tra hoặc xác nhận các yêu cầu về an toàn.

2 Tài liệu viện dẫn

Các tài liệu viện dẫn sau rất cần thiết cho áp dụng tiêu chuẩn này. Đối với các tài liệu viện dẫn ghi năm công bố thì chỉ áp dụng phiên bản đã nêu. Đối với các tài liệu viện dẫn không ghi năm công bố thì áp dụng phiên bản mới nhất, bao gồm cả các sửa đổi, nếu có.

TCVN 13228 (ISO 8373), Rô bốt - Từ vựng

TCVN 13231 (ISO 13482), Rô bốt và các bộ phận cấu thành rô bốt - Yêu cầu an toàn cho các rô bốt chăm sóc cá nhân

3 Thuật ngữ và định nghĩa

Tiêu chuẩn này sử dụng các thuật ngữ và định nghĩa sau:

3.1

Rô bốt (robot)

Cơ cấu dẫn động được lập trình với một mức độ tự động hóa nhất định chủ động để thực hiện chuyển động, thao tác hoặc định vị.

Chú thích 1: Rô bốt bao gồm hệ thống điều khiển và giao diện của hệ thống điều khiển.

Chú thích 2: Việc phân loại rô bốt thành rô bốt công nghiệp hoặc rô bốt dịch vụ được thực hiện theo mục đích sử dụng của nó.

[NGUỒN: TCVN 13228:2020 (ISO 8373: 2012), 2.6 đã sửa đổi Cụm từ “cơ cấu dẫn động khả lập trình trên hai hoặc nhiều trục” đã được thay thế bằng cụm từ “cơ cấu dẫn động được lập trình”.]

3.2

Rô bốt đeo (wearable robot)

Rô bốt bổ sung hoặc tăng cường khả năng cá nhân khi được gắn vào con người trong quá trình sử dụng.

Chú thích 1: Rô bốt đeo được gọi là rô bốt hỗ trợ vật lý loại hạn chế trong TCVN 13231:2020 (ISO 13482:2014).

3.3

Rô bốt hỗ trợ vùng lưng dưới (lower-back support robot)

Rô bốt đeo để giảm tải ở phần lưng dưới của người dùng bằng lực hỗ trợ hoặc mô men xoắn của nó.

3.4

Người dùng (user)

Người dùng rô bốt đeo trên cơ thể và trực tiếp nhận được lực hỗ trợ hoặc mô men xoắn của nó.

3.5

Phần giới hạn (restraint part)

Một phần của rô bốt đeo được gắn tương ứng vào một phần cơ thể của người dùng để truyền lực hỗ trợ hoặc mô men xoắn.

3.6

Mô men xoắn hỗ trợ (assistive torque)

Đầu ra mô men xoắn của rô bốt đeo hỗ trợ người dùng thực hiện các nhiệm vụ cần thiết.

3.7

Phần cơ thể gắn vào (Attached body part)

Một phần cơ thể của người dùng mà bộ phận giới hạn của rô bốt đeo được gắn vào.

3.8

Phương pháp nhập dữ liệu (Input method)

Giao diện cho phép người dùng kiểm soát lực hỗ trợ hoặc mô men xoắn của rô bốt đeo bằng tín hiệu đầu vào thích hợp.

3.8.1

Đầu vào sinh học (biological input)

Phương pháp nhập liệu trong đó các tín hiệu sinh học có mối tương quan với lực hoặc mô men xoắn mà người dùng tác dụng vào bộ phận cơ thể của mình dành cho mục đích hỗ trợ được sử dụng làm đầu vào.

Chú thích 1: Các tín hiệu sinh học bao gồm các tín hiệu điện sinh học như tín hiệu điện cơ.

3.8.2

Đầu vào động học (kinematic input)

Phương pháp nhập liệu trong đó chuyển động và/ hoặc tư thế của các bộ phận cơ thể của người dùng nhằm mục đích hỗ trợ được sử dụng làm đầu vào.

Chú thích 1: Đầu vào sinh học và đầu vào động học loại trừ lẫn nhau.

3.8.3

Đầu vào lệnh (command input)

Bất kỳ phương pháp đầu vào nào khác ngoài đầu vào sinh học hoặc đầu vào động học.

Chú thích 1: Đầu vào lệnh bao gồm việc sử dụng các thiết bị ra lệnh, công tắc thở hoặc đầu vào bằng giọng nói.

Chú thích 2: Đầu vào lệnh bao gồm việc sử dụng các tín hiệu sinh học không liên quan đến lực hoặc mô men xoắn mà người dùng tác dụng vào bộ phận cơ thể cần hỗ trợ.

Chú thích 3: Đầu vào lệnh bao gồm chuyển động và/ hoặc tư thế của các bộ phận cơ thể của người dùng không nhằm mục đích hỗ trợ.

3.9

Chỉ số mô men hỗ trợ ATI (assistive torque index)

Chỉ số mô men xoắn đầu ra của người dùng được giảm khi người dùng thực hiện một chuyển động cụ thể trong một khoảng thời gian cụ thể bằng cách sử dụng rô bốt hỗ trợ vùng lưng dưới.

Chú thích 1: ATI là một đại lượng tuyệt đối liên quan đến mô men xoắn trung bình trong khoảng thời gian cụ thể của một cấu hình chuyển động thử nghiệm cụ thể. Nó có thể hữu ích cho việc so sánh tương đối giữa các rô bốt.

3.10

Giảm nén thắt lưng LCR (lumbar compression reduction)

Số đo mức độ giảm của lực nén lên đĩa đệm thắt lưng của người dùng khi người dùng thực hiện chuyển động cụ thể trong một khoảng thời gian nhất định bằng cách sử dụng rô bốt hỗ trợ vùng lưng dưới.

3.11

Điều kiện vận hành bình thường (normal operating conditions)

Phạm vi các điều kiện môi trường và các thông số khác (chẳng hạn như sự không ổn định của nguồn cung cấp điện, trường điện từ) mà rô bốt dự kiến sẽ thực hiện theo quy định của nhà sản xuất.

Chú thích 1: Điều kiện môi trường bao gồm nhiệt độ và độ ẩm.

[NGUỒN: TCVN 13228:2020 (ISO 8373: 2012), 6.1]

3.12

Mức độ hỗ trợ (Rate of assistance)

Số đo độ giảm mô men xoắn bởi một rô bốt hỗ trợ vùng lưng dưới được tích hợp trong khoảng thời gian của một cấu hình chuyển động thử nghiệm cụ thể.

Chú thích 1: Tỷ lệ hỗ trợ là một lượng được chuẩn hóa liên quan đến mô men xoắn tích hợp trong khoảng thời gian của một cấu hình chuyển động thử nghiệm cụ thể. Nó có thể hữu ích cho việc so sánh tương đối giữa các cấu hình chuyển động thử nghiệm khác nhau trong rô bốt.

4 Điều kiện thử

4.1 Yêu cầu chung

Rô bốt hỗ trợ vùng lưng dưới phải được lắp ráp hoàn chỉnh, được sạc đầy và hoạt động. Tất cả các phép thứ tự chẩn đoán phải được hoàn thành một cách thỏa đáng. Cần đảm bảo rằng rô bốt hoạt động một cách an toàn trong suốt quá trình thử nghiệm.

Các phép thử phải được thực hiện trước bằng các bước chuẩn bị vận hành theo quy định của nhà sản xuất, bao gồm hiệu chuẩn bất kỳ cảm biến có liên quan nào ảnh hưởng đến kết quả thử nghiệm.

Tất cả các điều kiện được quy định trong Điều 4 phải được đáp ứng đối với các thử nghiệm được mô tả trong tiêu chuẩn này, trừ khi có quy định khác trong các điều cụ thể.

Mỗi phép thử được mô tả trong Điều 5 và Điều 6 của tiêu chuẩn này đều có cấu hình thử nghiệm khác nhau, đòi hỏi các thiết bị thử và quy trình thử riêng biệt.

4.2 Điều kiện môi trường

Các điều kiện môi trường dưới đây phải được duy trì trong tất cả các phép thử.

- Nhiệt độ môi trường: 10 °C đến 30 °C

- Độ ẩm tương đối: 0 % đến 80 %

Nếu các điều kiện môi trường nằm ngoài các điều kiện do nhà sản xuất đã quy định nhất định, thì điều này phải được công bố trong kết quả thử nghiệm.

4.3 Điều kiện hoạt động

Tất cả các đặc tính phải được đánh giá trong điều kiện hoạt động bình thường. Khi đặc tính được đánh giá trong điều kiện ngoài điều kiện hoạt động bình thường, những điều kiện này phải được quy định cùng với kết quả thử nghiệm.

5 Phương pháp thử cho chỉ số mô men xoắn hỗ trợ và giảm nén thắt lưng

5.1 Mục đích

Điều này mô tả phương pháp của việc quy định và đánh giá đặc tính của rô bốt hỗ trợ vùng lưng dưới.

CHÚ THÍCH: Cơ sở lý luận và các thử nghiệm xác thực được cung cấp trong Tài liệu tham khảo [6] chỉ tập trung vào mô men uốn và lực nén. Ở giai đoạn hiện tại của thị trường, chỉ có những sản phẩm được thiết kế để hỗ trợ chuyển động theo phương thẳng đứng. Để giữ cho thiết bị thử nghiệm và phương pháp thử nghiệm đơn giản, giới hạn của phương pháp thử nghiệm được coi là có thể chấp nhận được để đo đặc tính đại diện của các rô bốt.

5.2 Đặc điểm liên quan

5.2.1 Yêu cầu chung

Hai chỉ số đặc tính được giới thiệu cho phương pháp thử này: Chỉ số mô men xoắn hỗ trợ (ATI) và Giảm nén thắt lưng (LCR).

Nhờ mô men xoắn hỗ trợ của rô bốt, lực kéo giãn khớp hông và thân người dùng sẽ giảm đi, sau đó lực nén lên đĩa đệm thắt lưng cũng sẽ giảm đi. Trong điều kiện lý tưởng, lực nén ở thắt lưng có thể bắt nguồn từ mô men xoắn mờ rộng của khớp hông và tư thế của thân mình. Mô men xoắn mở rộng có thể được giảm bớt nhờ mô men xoắn hỗ trợ của rô bốt. Đối với rô bốt có những đặc điểm như vậy, lực nén thắt lưng không cần phải đo vì có thể suy ra từ mô men hỗ trợ và tư thế của thân.

Đối với một số rô bốt mà lực nén thắt lưng có thể tăng lên do cấu trúc cơ học, khối lượng và phân bổ khối lượng của rô bốt phía trên khớp thắt lưng và/ hoặc phương pháp kích hoạt (ví dụ: cơ nhân tạo trên da lưng của người dùng), lực nén thắt lưng nên được đo cùng với mô men xoắn hỗ trợ.

CHÚ THÍCH: Theo Tài liệu tham khảo [1], lực nén lên đĩa đệm thắt lưng có thể là nguyên nhân chính gây ra chấn thương lưng, do đó thường được sử dụng làm chỉ số để ước tính nguy cơ chấn thương lưng. Dựa trên cơ sở này, LCR được giới thiệu như một chỉ báo đặc tính của rô bốt.

5.2.2 Chỉ số mô men xoắn hỗ trợ (ATI)

Chỉ số mô men xoắn hỗ trợ (ATI) bao gồm 5 giá trị đại diện, , được tính theo các công thức sau với t 1 và t 2 được quy định trong Bảng 1. Chỉ số trên và chỉ số dưới của ATI lần lượt biểu thị giai đoạn chuyển động tham chiếu và khoảng thời gian tính bằng mill giây.

Trong đó

là mô men xoắn đầu ra thực tế của khớp hông của thiết bị thử nghiệm (xem 5.3.1) trong các chuyển động tham chiếu (không có rô bốt);

là mô men xoắn đầu ra thực tế của khớp hông của thiết bị thử nghiệm (xem 5.3.1) trong chuyển động tham chiếu (với rô bốt).

CHÚ THÍCH 1: Nhìn chung, mô men hỗ trợ của rô bốt ảnh hưởng đến thời gian chuyển động và lực hoặc mô men cần thiết của người dùng. Đây là nguyên nhân gây ra sự bất ổn định của kết quả thử nghiệm. Do đó, tiêu chuẩn này áp dụng thời gian trung bình trong một phạm vi thời gian cụ thể trong các chuyển động tham chiếu.

CHÚ THÍCH 2: Vì các chuyển động tham chiếu được xác định trong 5.3.2 là các chuyển động chống trọng lực, được mong đợi là luôn luôn âm và mối quan hệ luôn luôn áp dụng. Tuy nhiên, tiêu chuẩn này định nghĩa Ψ theo dạng tổng quát hơn để làm cho Ψ dương khi mô men xoắn cần thiết cho chuyển động tham chiếu và mô men xoắn của rô bốt cùng hướng. Xem Phụ lục A.

CHÚ THÍCH 3: Khi Ψ dương, mô men xoắn của rô bốt theo hướng chống trọng lực (mở rộng) có thể làm giảm mô men xoắn cần thiết của người dùng để đạt được các chuyển động tham chiếu. Hoặc trong một số trường hợp, người dùng phải đưa ra mô men xoắn theo hướng trọng lực (uốn cong) để chống lại mô men xoắn của rô bốt. Khi Ψ âm, mô men xoắn của rô bốt theo hướng trọng lực (uốn cong) có thể làm tăng mô men xoắn cần thiết của người dùng để đạt được các chuyển động tham chiếu. Xem Phụ lục A.

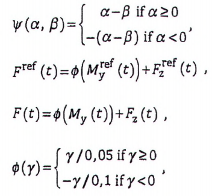
5.2.3 Giảm nén thắt lưng (LCR)

Giảm nén thắt lưng (LCR) gồm 5 giá trị đại diện được tính theo các công thức sau với t 1 và t 2 được quy định trong Bảng 1. Chỉ số trên và chỉ số dưới của LCR biểu thị một giai đoạn chuyển động tham chiếu và thời lượng tính bằng mili giây, tương ứng.

Trong đó

là lực nén thắt lưng thực tế của thiết bị thử nghiệm theo hướng trục z trong các chuyển động tham chiếu (không có rô bốt);

là lực nén thắt lưng thực tế của thiết bị thử nghiệm theo hướng trục z trong các chuyển động tham chiếu (với rô bốt);

là mô men uốn cong thắt lưng thực tế của thiết bị thử nghiệm quanh trục y trong các chuyển động tham chiếu (không có rô bốt);

là mô men uốn cong thắt lưng thực tế của thiết bị thử nghiệm quanh trục y trong chuyển động tham chiếu (với rô bốt).

Các trục của hệ tọa độ được thể hiện trong Hình 1.

CHÚ THÍCH 1: Nhìn chung, mô men xoắn hỗ trợ của rô bốt can thiệp vào thời gian chuyển động và lực nén lên đĩa đệm thắt lưng của người dùng. Đây là nguyên nhân gây ra sự bất ổn định của kết quả thử nghiệm. Do đó, tiêu chuẩn này áp dụng thời gian trung bình trong một phạm vi thời gian cụ thể trong các chuyển động tham chiếu.

CHÚ THÍCH 2: Con người sẽ làm cứng cơ của mình để chống lại sự thay đổi tư thế do mô men uốn cong thắt lưng quanh trục y. Sự căng cơ này được biết đến là nguồn lực nén lên các đĩa đệm thắt lưng. Ngược lại, thân của thiết bị kiểm tra không có cơ và cấu trúc cơ học của nó không cho phép bất kỳ thay đổi tư thế nào. Để bù đắp cho sự khác biệt này, công thức cho LCR sử dụng lực nén thắt lưng đã hiệu chỉnh lực F (t) và F ref (t) theo giả định rằng M y (t) và đều được hỗ trợ bởi các cơ dựng sống lưng ảo và các cơ thẳng bụng ảo. Tiêu chuẩn này áp dụng cánh tay mô men 0,05 m từ đĩa đệm thắt lưng L5/ S1 đến các cơ dựng sống lưng ảo và cánh tay mô men 0,1 m đến các cơ thẳng bụng ảo [4 ][5] .

CHÚ THÍCH 3: Trong quá trình chuyển động tham chiếu, trọng lượng của phần thân trên của thiết bị thử nghiệm được kỳ vọng sẽ luôn nén khớp thắt lưng cố định và Ψ(α, β) = α - β luôn được áp dụng. Tuy nhiên, tiêu chuẩn này định nghĩa Ψ theo dạng tổng quát hơn để áp dụng cho lực kéo và phù hợp với công thức của ATI.

CHÚ THÍCH 4: Khi Ψ dương, ứng suất thắt lưng của người dùng dự kiến sẽ giảm trong quá trình chuyển động tham chiếu. Khi Ψ âm, ứng suất thắt lưng của người dùng dự kiến sẽ tăng trong quá trình chuyển động tham chiếu.

Bảng 1 - Khoảng thời gian để tính toán ATI và LCR

ATI b

LCR b

Chuyển động tham chiếu

t 1 a

t 2 a

Hạ thấp

t d - 1 [s] c

t d [s] c

Hạ thấp

t d - 0,2 [s] c

t d [s] c

Giữ

Nâng lên

0 s

1 s

Nâng lên

0 s

0,2 s

a t 1 và t 2 xác định phạm vi thời gian khi mô men xoắn cần thiết của người dùng và ứng suất thắt lưng là lớn nhất giả sử thời gian bắt đầu của mỗi chuyển động tham chiếu là 0 (xem phụ lục A). Bởi vì quỹ đạo góc của chuyển động tham chiếu tăng hoặc giảm đơn điệu, ATI và LCR có thể được coi là giá trị trung bình trong một phạm vi góc cụ thể. Tuy nhiên, vì 1) mô men hỗ trợ có thể tạo ra các quỹ đạo góc khác nhau; 2) khó có thể xác định đồng thời các phạm vi góc liên quan của thân, khớp hông và khớp gối; và 3) số lượng điểm dữ liệu để tính toán trung bình có thể thay đổi, nên tiêu chuẩn này áp dụng giá trị trung bình theo thời gian để xác định ATI và LCR.

b ATI và LCR với mức trung bình 1 giây cũng có thể được coi là một dấu hiệu cho thấy rô bốt có thể tạo ra mô men xoắn hỗ trợ và giảm căng thẳng thắt lưng liên tục hay không. Mặt khác, ATI và LCR với mức trung bình 0,2 s có thể là dấu hiệu cho thấy rô bốt có thể giảm mức mô men xoắn cực đại cần thiết và lực nén lên đĩa đệm thắt lưng một cách nhạy bén đến mức nào (xem phụ lục A). Điều này là do thực tế là họ chỉ tập trung vào một khoảng thời gian ngắn. Tiêu chuẩn này áp dụng thời gian phản hồi 0,2 s để con người phản ứng với tải trọng đột ngột lên tủy sống thắt lưng [3 ] [9 ] .

c t d là khoảng thời gian thực tế của chuyển động tham chiếu.

5.3 Trang bị thử

5.3.1 Thiết bị thử nghiệm

Trang bị thử phải bao gồm một thiết bị thử nghiệm có cơ chế liên kết và kích hoạt mô phỏng người dùng mà một rô bốt được gắn vào và thử nghiệm. Rô bốt không được đưa vào trang bị thử. Tỷ lệ kích thước và sự phân bố khối lượng của nó phải tuân theo Hình 1. Trong hình này, chiều cao và khối lượng của người dùng đại diện do nhà sản xuất quy định được đặt là 100 %. Nhà sản xuất có thể xác định tất cả các giá trị khác không được chỉ ra trong Hình 1. Nếu nhà sản xuất xác định các giá trị khác về tỷ lệ chiều cao và khối lượng là phù hợp, chúng có thể được áp dụng.

Lực nén lên trục z thắt lưng và mô men uốn quanh trục y của thắt lưng được đo tại khớp thắt lưng cố định như thể hiện trong Hình 1. Khớp thắt lưng cố định chịu được tải với ít nhất trọng lượng của các bộ phận trên của thiết bị thử nghiệm.

Chỉ có khớp hông và khớp gối là khớp hoạt động. Nếu sử dụng thiết bị thử nghiệm có tay và bàn tay thay vì thiết bị kiểm tra có trọng lượng thay thế tại khớp vai, thì cánh tay của thiết bị kiểm tra phải hướng xuống dưới ở bất kỳ tư thế nào và mỗi cụm tay và bàn tay phải có 7,4 % khối lượng của người dùng đại diện.

Tỷ trọng của mỗi khối thiết bị thử nghiệm có thể được coi là không đổi.

CHÚ DẪN:

A khớp vai (cố định) C khớp hông (hoạt động)

B khớp thắt lưng (cố định) D khớp gối (hoạt động)

CHÚ THÍCH 1: Tỷ lệ kích thước được chỉ ra bằng đường nét đứt trên hai đầu mũi tên. Nó dựa trên tài liệu [2] ; nó chỉ ra rằng khoảng cách giữa khớp hông và đĩa đệm cột sống L5/S1 xấp xỉ bằng 83/1 610 (5,2 %) chiều cao cơ thể. Do đó, khớp thắt lưng cố định nằm ở phần thân trên của thiết bị thử nghiệm. Dữ liệu từ Tài liệu tham khảo [2] được lấy bằng cách đo mẫu xương của một người châu Âu trưởng thành trong bộ sưu tập của Đại học Tokyo (Số mẫu: P6). Đây không phải là giá trị trung bình của dân số cụ thể nhưng được sử dụng làm giá trị đại diện.

CHÚ THÍCH 2: Giả sử cánh tay và bàn tay hướng xuống dưới ở bất kỳ tư thế nào, khối lượng sẽ tập trung vào khớp vai.

CHÚ THÍCH 3: Sự phân bố khối lượng được chỉ ra trong một vùng của phân đoạn cơ thể hoặc bằng một mũi tên một đầu. Điều này trích từ IEC 60601-1:2012, Hình A.19.

Hình 1 - Tỷ lệ kích thước và phân bố khối lượng của thiết bị thử

Một ví dụ về việc triển khai thiết bị thử nghiệm được thể hiện ở Phụ lục D.

5.3.2 Chuyển động tham chiếu và quỹ đạo mục tiêu

Trong phép thử này, thiết bị thử nghiệm thực hiện các chuyển động tham chiếu mô phỏng việc hạ thấp, giữ và nâng phần thân trên. Các chuyển động tham chiếu được biểu thị bằng góc thân mục tiêu, các giá trị tỷ lệ phân phối giữa khớp hông và khớp gối k, và thời gian mục tiêu t d , phải do nhà sản xuất cung cấp.

Quỹ đạo mục tiêu của góc thân, θ t (t) được đưa ra dưới dạng đa thức bậc năm của thời gian.

Góc thân

dưới t = 0 là thời điểm bắt đầu của mỗi chuyển động tham chiếu và θ t (t) = 0 ở vị trí thẳng đứng.

Tập hợp của a n cho mỗi chuyển động tham chiếu được xác định để thỏa mãn góc ban đầu θ t (0), góc cuối θ t (td) và điều kiện hạn chế trong đó θ t Gt (0)=0, θ t (t d ) = 0, θ (0) = 0 và θ (t d ) = 0. lý tưởng nhất là θ t (0) = 0 và θ t (t d ) = để hạ xuống. Luôn luôn θ t (t) = để giữ. θ t (0) = và và θ t (t d ) =0 để nâng lên. Các quỹ đạo mục tiêu được minh họa trong Hình 2.

CHÚ DẪN

A quỹ đạo mục tiêu khi hạ thấp

B quỹ đạo mục tiêu khi giữ

C quỹ đạo mục tiêu khi nâng cao

Hình 2 - Quỹ đạo mục tiêu cho các chuyển động tham chiếu

Góc khớp hông, θ h (t), và góc khớp gối, θ k (t), được đưa ra như sau:

Góc khớp hông θ h (t) = kθ t (t)

Góc khớp gối θ k (t) = (1-k)θ t (t)

CHÚ THÍCH 1: Các công thức này sử dụng mối quan hệ θ t (t) = θ h (t) + θ k (t).

CHÚ THÍCH 2: Góc thân θ t (t) được định nghĩa là đa thức bậc năm của thời gian vì quỹ đạo của mỗi góc khi con người hạ, giữ và nâng tài gần như phù hợp với đa thức bậc năm của thời gian.

CHÚ THÍCH 3: Nếu là 50 ° như thể hiện trong bảng 2, k có thể là 1,5 vì k thực sự thu được từ phép đo chuyển động của con người thay đổi từ 1,3 đến 1,7 tùy thuộc vào từng cá nhân và trọng lượng của mỗi tải. t d có thể là 2 s.

CHÚ THÍCH 4: Nhìn chung, giữ một góc nhỏ ở khớp thân được ưa chuộng hơn để giảm áp lực thắt lưng trong quá trình hạ, giữ và nâng. Trong trường hợp này, k có thể lớn hơn 1,5 và t d để hạ và nâng có thể ngắn hơn 2 s. Ví dụ, nếu ... là 25 °, k thực sự thu được từ phép đo chuyển động của con người là khoảng 3,0 và t d để hạ và nâng là 1,5 s.

Bảng 2 cho thấy một ví dụ về chuyển động tham chiếu.

Bảng 2 - Ví dụ về chuyển động tham chiếu

Chuyển động tham chiếu

Góc thân θ t (t) a

Khoảng thời gian

Hạ thấp

0 ° đến 50 °

2 s

Giữ

50°

2 s

Nâng lên

50 ° đến 0 °

2 s

a Nhìn chung, tư thế của thân mình lớn tới 50 ° là không mong muốn vì áp lực lên đĩa đệm thắt lưng trở nên quá lớn. Tuy nhiên, điều này có thể xảy ra khi người dùng nâng vật nặng từ mặt đất hoặc nâng một người khác. Do đó, tư thế 50 ° của thân mình là tình huống mà người dùng cần lực mô men xoắn hỗ trợ của rô bốt. Đây là lý do tại sao cần đánh giá, tại 50 °, mức độ hỗ trợ mà người dùng nhận được từ rô bốt đối với người dùng và mức độ giảm mà rô bốt ảnh hưởng đến lực nén tại đĩa đệm thắt lưng.

Bộ điều khiển cho thiết bị thử nghiệm sẽ điều khiển quỹ đạo của nó trong các chuyển động tham chiếu trong sai số ± 5 °, có và không có rô bốt. Thời lượng thực tế của mỗi chuyển động tham chiếu có thể khác so với thời lượng mục tiêu t d để hạ xuống và nâng lên.

Đối với rô bốt có đầu vào sinh học, mô men xoắn thực tế của khớp hông của thiết bị thử nghiệm phải được đưa vào rô bốt làm đầu vào thay cho đầu vào từ người dùng.

Đối với rô bốt có đầu vào động học, không cần kết nối bổ sung nào giữa rô bốt và cơ sở thử nghiệm.

Đối với rô bốt có đầu vào bằng nhập lệnh, hoạt động điều khiển của nó được thực hiện theo hướng dẫn sử dụng trong các chuyển động tham chiếu và/hoặc khoảng thời gian giữa các chuyển động.

5.4 Quy trình thử

a) Các chuyển động tham chiếu, các thông số , k và t d và nếu cần, tải trọng bổ sung được nhà sản xuất quy định.

b) Thiết bị thử nghiệm thực hiện ba lần lặp lại các chuyển động tham chiếu mà không có rô bốt, theo thứ tự sau: hạ xuống, giữ nguyên và nâng lên.

c) Gắn rô bốt vào thiết bị thử nghiệm theo hướng dẫn sử dụng.

d) Giữ thiết bị thử ở vị trí thẳng nhất.

e) Bắt đầu hoạt động hỗ trợ của rô bốt theo hướng dẫn sử dụng.

f) Thiết bị thử nghiệm thực hiện ba lần lặp lại các chuyển động tham chiếu với rô bốt, theo thứ tự sau: hạ xuống, giữ nguyên và nâng lên.

g) Dừng hoạt động hỗ trợ của rô bốt theo hướng dẫn sử dụng.

h) Tháo rô bốt ra khỏi thiết bị thử nghiệm theo hướng dẫn sử dụng.

5.5 Kết quả thử

ATI và LCR tính toán sẽ được ghi trong báo cáo thử nghiệm cùng với các thông số, đặc trưng cho thiết bị thử nghiệm và chuyển động tham chiếu được sử dụng trong thử nghiệm.

- Chiều cao và khối lượng của người dùng đại diện được áp dụng cho thiết bị thử nghiệm

- , k và t d , được áp dụng để xác định các chuyển động tham chiếu

- Tỷ lệ lấy mẫu được áp dụng cho phép đo

Bảng ví dụ về kết quả thử nghiệm được thể hiện ở Phụ lục C.

6 Phương pháp thử đối với tỷ lệ hỗ trợ

6.1 Mục đích

Điều này mô tả phương pháp quy định và đánh giá đặc tính của rô bốt hỗ trợ vùng lưng dưới; thử nghiệm này đo mức hỗ trợ hoặc hỗ trợ lưng của rô bốt bằng cách so sánh mô men xoắn khớp hông của mô hình trước và sau khi đeo rô bốt.

6.2 Đặc điểm liên quan

Mức độ hỗ trợ hoặc trợ giúp lưng của rô bốt có thể được xác định là tỷ lệ hỗ trợ, R a như sau:

Trong đó

là mô men xoắn hông tham chiếu được đo trong chuyển động được quy định mà không đeo rô bốt;

là mô men xoắn hông được đo trong quá trình chuyển động được quy định khi rô bốt đang hoạt động;

t 1 là thời điểm ban đầu của chuyển động được quy định;

t 2 là thời điểm cuối cùng của chuyển động được quy định.

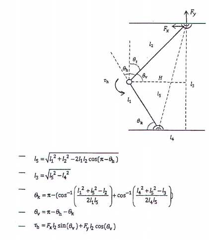
Mô men xoắn khớp hông có thể được tính như sau bằng cách sử dụng hình học tổng quát trong Hình 3.

Hình 3 - Đại lượng hình học để tính toán mô men xoắn

6.3 Trang bị thử

Trang bị thử nghiệm phải bao gồm một thiết bị thử nghiệm với một hình nộm mà một rô bốt hỗ trợ vùng lưng dưới có thể được gắn vào như thể hiện trong Hình 4a) và 4b). Hình nộm bao gồm thân và đùi. Thân và đùi phải được phủ bằng vật liệu tổng hợp để mô phỏng hình dạng cơ thể con người.

Phân bố khối lượng của thân được đặt ở mức 55,5 % tổng khối lượng của người dùng đại diện được nhà sản xuất xác định theo Hình 1.

Vị trí của cổ và khớp gối của hình nộm có thể được thay đổi thủ công dọc theo thanh trượt để nỏ có thể thực hiện một số tư thế như đứng, uốn cong eo (tư thế khom lưng), uốn cong eo & đầu gối (nửa ngồi xổm), uốn cong đầu gối (ngồi xổm) như thể hiện trong Hình 4c). Sau khi xác định được tư thế thử nghiệm dự định, vị trí của cổ và/hoặc khớp gối có thể được cố định trên thanh trượt để duy trì tư thế dự định.

CHÚ DẪN:

A

thân

K

thanh trượt đầu gối

B

đùi

M

động cơ

E

khớp hông có bộ mã hóa

N

thanh trượt cổ

F

cảm biến lực

R

hỗ trợ vùng lưng dưới robot

H

người nộm (trang phục hình người)

X

thanh trượt cố định hoặc khớp

Hình 4 - Sơ đồ khái niệm của thiết bị thử nghiệm

Tấm hoặc thanh trượt kết nối với đầu của hình nộm được điều khiển thông qua một cảm biến lực có thể di chuyển lên xuống dọc theo một vít me bi bằng cách điều khiển động cơ để nó có thể thực hiện bốn chuyển động được đề cập ở trên trong Hình 4. Hồ sơ vận tốc của tấm điều khiển để thực hiện tư thế thử nghiệm cụ thể (chuyển động) có thể được xác định bởi nhà sản xuất hoặc bằng các chuyển động tham chiếu trong 5.3.2. Hình 5 là hồ sơ vận tốc mẫu được sử dụng để hạ thân mình xuống trong tư thế ngồi xổm một nửa.

CHÚ DẪN:

θ i vị trí ban đầu

θ f vị trí kết thúc

t f thời gian kết thúc

θ h vị trí hông (được xác định trong Hình 3)

Hình 5 - Hồ sơ vận tốc mẫu được sử dụng để hạ thấp thân mình trong tư thế ngồi xổm một nửa

Cảm biến lực được lắp giữa khớp cổ và thanh trượt khớp cổ đo lực theo hướng x và y khi hình nộm hạ hoặc nâng thân lên. Tại khớp hông, một bộ encorder được lắp để đo góc quay của khớp hông.

Một ví dụ về việc triển khai thiết bị thử nghiệm được thể hiện ở Phụ lục D.

6.2.3 Quy trình thử

1) Chọn chuyển động thử nghiệm mong muốn trong bốn tư thế sau.

a) Đứng

b) Uốn eo (tư thế khom lưng)

c) Uốn eo và đầu gối (nửa ngồi xổm)

d) Uốn đầu gối [ngồi xổm)

2) Cố định vị trí khớp cổ và/hoặc khớp gối dọc theo thanh trượt như minh họa trong Hình 6, Hình 7 và Hình 8 tùy thuộc vào chuyển động thử nghiệm mong muốn. Lưu ý rằng "x" trong các hình này biểu thị khớp cố định và "-" là khớp trượt thụ động. Sau đó, thiết lập góc uốn cong hông và đầu gối ban đầu bằng cách điều khiển.

CHÚ DẪN:

F cảm biến tải trọng

M động cơ

x thanh trượt cố định hoặc khớp

Hình 6 - Uốn cong eo và đầu gối

CHÚ DẪN:

F cảm biến tải trọng

M động cơ

x thanh trượt cố định hoặc khớp

Hình 7 - Uốn cong eo

CHÚ DẪN:

F cảm biến tải trọng

M động cơ

x thanh trượt cố định hoặc khớp

Hình 8 - Uốn cong đầu gối

3) Thiết kế hồ sơ vận tốc tham chiếu của tấm điều khiển tùy thuộc vào chuyển động thử nghiệm.

4) Làm cho hình nộm nâng lên hoặc cúi xuống theo biên dạng vận tốc tham chiếu bằng cách điều khiển động cơ theo các giao thức sau:

a) Gập eo và đầu gối (nửa ngồi xổm):

i) đứng thẳng (tư thế ban đầu);

ii) ngồi bằng cách uốn cong đầu gối và khớp hông trong hai giây;

iii) giữ nguyên tư thế ngồi trong hai giây;

iv) đứng lên bằng cách duỗi thẳng đầu gối và khớp hông trong hai giây;

v) đứng thẳng (tư thế cuối cùng).

b) Uốn cong eo (tư thế khom lưng):

i) đứng thẳng (tư thế ban đầu);

ii) hạ thấp thân mình bằng cách uốn cong khớp hông trong hai giây;

iii) giữ nguyên tư thế hạ thấp thân mình trong hai giây;

iv) đứng dậy bằng cách duỗi thẳng khớp hông trong hai giây;

v) đứng thẳng (tư thế cuối cùng)

c) Gập đầu gối (tư thế ngồi xổm):

i) đứng thẳng (tư thế ban đầu);

ii) ngồi bằng cách gập khớp gối trong hai giây;

iii) giữ nguyên tư thế ngồi trong hai giây;

iv) đứng lên bằng cách duỗi thẳng khớp gối trong hai giây;

v) đứng thẳng (tư thế cuối cùng).

5) Tính toán mô men xoắn tại khớp hông trong quá trình chuyển động tham chiếu bằng cách sử dụng các công thức trong Hình 3 và ghi lại nó như mô men xoắn tham chiếu.

6) Gắn rô bốt vào hình nộm, lặp lại bước 4) và ghi lại mô men xoắn đã tính toán.

7) Tháo rô bôt ra khỏi hình nộm.

8) Tính tỷ lệ hỗ trợ bằng cách sử dụng (1).

9) Lặp lại các bước từ 4) đến 8) ba lần.

10) Tính toán mức trung bình của tỷ lệ hỗ trợ.

6.5 Kết quả thử

Mức độ hỗ trợ trung bình sẽ được ghi trong báo cáo thử nghiệm cùng với tất cả các thông số đặc trưng của hình nộm và chuyển động tham chiếu được sử dụng trong thử nghiệm.

 

Phụ lục A

(Tham khảo)

Khoảng thời gian của ATI và LCR

Điều 5.2 sử dụng các khoảng thời gian của Bảng 1 để tính toán ATIs và LCRs. Phụ lục này cung cấp hiểu biết tốt hơn về ATIs và LCRs bằng cách minh họa dữ liệu trong các chuyển động tham chiếu và các khoảng thời gian của ATIs và LCRs.

Hình A.1, Hình A.2 và Hình A.3 chỉ ra các ví dụ về dữ liệu thu được khi thiết bị thử nghiệm thực hiện các chuyển động tham chiếu: hạ, giữ và nâng phần thân trên, tương ứng, và Ψ sẽ được sử dụng để tính toán ATI và LCR trong 5.2.2 và 5.2.3.

Như thể hiện trong Hình A.1, Hình A.2 và Hình A.3, ATI và LCR với giá trị trung bình 1 giây , cũng có thể được coi là một dấu hiệu cho biết liệu rô bốt có thể tạo ra mô men xoắn hỗ trợ và giảm áp lực thắt lưng liên tục hay không. Mặt khác, ATI và LCR với mức trung bình 0,2 s có thể là dấu hiệu cho thấy mức độ phản ứng tốt của rô bốt để giảm mô men xoắn cực đại cần thiết và lực nén lên các đĩa đệm thắt lưng. đối với chuyển động hạ thấp cũng có thể được coi là một dấu hiệu cho biết liệu rô bốt có thể tạo ra mô men xoắn hỗ trợ và giảm áp lực ở vùng lưng dưới cho đến khi hoàn tất chuyển động hay không. đối với chuyển động nâng lên cũng có thể được coi là một dấu hiệu cho biết liệu rô bốt có thể tạo ra mô men xoắn hỗ trợ và giảm áp lực ở vùng lưng dưới khi bắt đầu chuyển động hay không.

CHÚ DẪN:

A

khoảng thời gian cho

E

khoảng thời gian cho

B

khoảng thời gian cho

F

khoảng thời gian cho

C

mô men xoắn [Nm]

G

lực [N]

D

thời gian [s]

 

 

Hình A.1 - Ví dụ về dữ liệu trong quá trình chuyển động hạ thấp và phạm vi thời gian của ATI và LCR

CHÚ DẪN:

A khoảng thời gian cho

B mô men xoắn [Nm]

C thời gian [s]

D khoảng thời gian cho

E lực [N]

Hình A.2 - Ví dụ về dữ liệu trong quá trình giữ chuyển động và phạm vi thời gian của ATI và LCR

 

CHÚ DẪN:

A

khoảng thời gian cho

E

khoảng thời gian cho

B

khoảng thời gian cho

F

khoảng thời gian cho

C

mô men xoắn [Nm]

G

lực [N]

D

thời gian [s]

 

 

Hình A.3 - Ví dụ về dữ liệu trong quá trình di chuyển nâng lên và phạm vi thời gian của ATI và LCR

 

Phụ lục B

(Tham khảo)

Ví dụ về rô bốt hỗ trợ vùng lưng dưới

Phụ lục này minh họa một ví dụ về rô bốt hỗ trợ vùng lưng dưới trong phạm vi của tiêu chuẩn này để giúp người đọc hiểu nội dung.

CHÚ DẪN:

1

khung trên

2

khung dưới

3

đai đùi

4

đai trên

5

đai dưới

6

khớp hông

7

còng

Hình B.1 - Ví dụ về rô bốt hỗ trợ vùng lưng dưới

 

Phụ lục C

(Tham khảo)

Bảng ví dụ về kết quả thử nghiệm

Bảng C.1 là bảng ví dụ về kết quả thử nghiêm được quy định trong Điều 5. Nó cũng có thể được dùng trong hướng dẫn sử dụng.

Bảng C.1 - Bảng ví dụ về kết quả thử nghiệm chuyển động tham chiếu

ATI

Nm

Nm

Nm

Nm

Nm

Kết quả thử nghiệm quy định tại Điều 5 bằng cách mô phỏng người dùng cao 170 cm và nặng 75 kg theo các điều kiện quy định tại Bảng 2 với tần số lấy mẫu dữ liệu 1 kHz.

LCR

kN

kN

kN

kN

kN

Kết quả thử nghiệm quy định tại Điều 5 bằng cách mô phỏng người dùng cao 170 cm và nặng 75 kg theo các điều kiện quy định tại Bảng 2 với tần số lấy mẫu dữ liệu 1 kHz.

 

Phụ lục D

(Tham khảo)

Ví dụ về việc triển khai một thiết bị thử

D.1 Ví dụ cho 5.3

Hình D.1 minh họa một ví dụ về việc triển khai thiết bị thử như được mô tả trong 5.3.

Hình D.1 - Ví dụ về việc triển khai thiết bị thử nghiệm như mô tả trong 5.3

Thiết bị thử được thể hiện trong Hình D.1 bao gồm các xương thép, trọng lượng thép để điều chỉnh phân phối khối lượng, và các tấm phủ in 3D để có thể gắn rô bốt hỗ trợ lưng dưới. Hai bộ truyền động loại 1,5 kW, có mô men xoắn tức thời tối đa và mô men xoắn liên tục tối đa lần lượt là 398 Nm và 133 Nm, được đặt bên dưới tấm đế. Công suất truyền động của một bộ truyền động được truyền đến khớp gối phải bằng dây curoa cam; bộ truyền động còn lại được kết nối với khớp hông trái thông qua một dây curoa cam bổ sung tại khớp gối trái.

Hình dạng của các tấm phủ in 3D thu được bằng cách đơn giản hóa hình dạng thân máy được mô tả trong Tài liệu tham khảo [10]. Các tấm phủ được tách ra ở eo để đo chính xác ứng suất thắt lưng bằng cách tránh phân bổ tài trọng lên các tấm phủ. Mô đun cảm biến lực mô men xoắn 2 trục được lắp vào khớp thắt lưng. Mô đun này bao gồm bốn cảm biến lực 1 trục giống hệt với tấm lực. Mô men xoắn của thiết bị thử nghiệm được suy ra từ dòng điện đầu ra của bộ truyền động. Góc của các khớp được đo bằng bộ mã hóa tích hợp trong bộ truyền động.

Đối với bộ điều khiển, thuật toán điều khiển PD chuẩn được sử dụng. Độ lợi P được đặt thành 5000 Nm/rad và độ lợi D được đặt thành 500 Nms/rad cho cả hai bộ truyền động. Các giá trị này được xác định bằng cách điều chỉnh thủ công trong mô phỏng sơ bộ. Chúng đáp ứng các yêu cầu về hiệu suất của bộ điều khiển (xem 5.3.2).

D.1 Ví dụ cho 6.3

Hình D.2 minh họa một ví dụ về việc triển khai thiết bị thử như được mô tả trong 6.3

A

thân

K

thanh trượt đầu gối

B

đùi

M

động cơ

C

bộ điều khiển

N

thanh trượt cổ

F

cảm biến lực

S

vít bi

Hình D.2 - Ví dụ về việc triển khai thiết bị thử nghiệm như mô tả trong 6.3

 

Thư mục tài liệu tham khảo

[1] WATERS T.R., PUTZ-ANDERSON V., GARG A., FINE L.j.", Revised NIOSH equation for the design and evaluation of manual lifting tasks," Ergonomics, vol. 36, no.7, pp.749-776,1993 (Công thức NIOSH đã sửa đổi để thiết kế và đánh giá các nhiệm vụ nâng thủ công, Công thái học, tập 36, số 7, trang 749-776, 1993).

[2] NAKAMURA Y., YAMANE K. SUWA G., KONDO 0., Koucm M., KAWACHI K., MOCHIMARU M-, "2008: Skeletal shape data of an adult male (AJST H20PR0-905)," 2008 (Dữ liệu hình dạng bộ xương của một nam giới trưởng thành (AJST H20PR0-905), 2008).

[3] WILDER D. et al. , "Response To Sudden Load By Patients With Back Pain," In Proceedings Of The First American Conference On Human Vibration, 2006 ("Phản ứng với tải trọng đột ngột của bệnh nhân bị đau lưng", trong Biên bản báo cáo của Hội nghị đầu tiên của Mỹ về rung động của con người, 2006).

[4] CHAFFIN D. B.", A computerized biomechanical model - Development of and use in studying gross body actions," journal of Biomechanics, Vol. 2, No.4, pp.429-441, 1969 (Mô hình cơ sinh học vi tính - Phát triển và sử dụng trong nghiên cứu các hoạt động của tổng cơ thể, Tạp chí Cơ sinh học, Tập 2, số 4, trang 429-441, 1969).

[5] JORGENSEN M. j. et al. ", Sagittal plane moment arms of the female lumbar region rectus abdominis in an upright neutral torso posture," Clinical Biomechanics, Vol. 20, No.3, pp.242-246, 2005 (Cánh tay mô men mặt phẳng đứng của vùng thắt lưng nữ thẳng bụng ở tư thế thân mình thẳng đứng, Cơ sinh học lâm sàng, Tập 20, số 3, trang 242-246, 2005).

[6] NABESHIMA C. et al.", Standard Performance Test of Wearable Robots for Lumbar Support," IEEE Robotics and Automation Letters, Vol. 3, Issue.3, pp.2182-2189, DOI: 10.1109/LRA.2018.2810860, 2018 (Tiêu chuẩn kiểm tra hiệu suất của rô bốt đeo để hỗ trợ thắt lưng", Thư của IEEE Rô bốt and Tự động hóa, Tập 3, Số 3, trang 2182-2189, DOI: 10.1109/LRA.2018.2810860, 2018).

[7] ASANO Y., MATSUMOTO K-, ]INBO H., Response to assist torque failure of physical-assistant robots," 2017 17th International Conference on Control, Automation and Systems (ICCAS), jeju, 2017, pp. 873-877 (Phản ứng với sự cố mô men xoắn hỗ trợ của rô bốt hỗ trợ vật lý, Hội nghị quốc tế lần thứ 17 về Kiểm soát, Tự động hóa và Hệ thống (ICCAS) năm 2017, jeju, 2017, tr. 873-877.).

[8] NAKAMURA Y. et al., "Skeletal shape data of an adult male," AIST H20PRO- 905, 2008 (Dữ liệu hình dạng bộ xương của một người đàn ông trưởng thành," AIST H20PRO- 905, 2008).

[9] IEC 60601-1:2012, Medical electrical equipment - Part 1: General requirementsfor basic safety and essential performance (Thiết bị điện y tế- Phần 1: Yêu cầu chung về an toàn cơ bản và hiệu suất thiết yếu).

Bạn chưa Đăng nhập thành viên.

Đây là tiện ích dành cho tài khoản thành viên. Vui lòng Đăng nhập để xem chi tiết. Nếu chưa có tài khoản, vui lòng Đăng ký tại đây!

* Lưu ý: Để đọc được văn bản tải trên Luatvietnam.vn, bạn cần cài phần mềm đọc file DOC, DOCX và phần mềm đọc file PDF.

văn bản cùng lĩnh vực

văn bản mới nhất

CHÍNH SÁCH BẢO VỆ DỮ LIỆU CÁ NHÂN
Yêu cầu hỗ trợYêu cầu hỗ trợ
Chú thích màu chỉ dẫn
Chú thích màu chỉ dẫn:
Các nội dung của VB này được VB khác thay đổi, hướng dẫn sẽ được làm nổi bật bằng các màu sắc:
Sửa đổi, bổ sung, đính chính
Thay thế
Hướng dẫn
Bãi bỏ
Bãi bỏ cụm từ
Bình luận
Click vào nội dung được bôi màu để xem chi tiết.
×