- Tổng quan
- Nội dung
- Tiêu chuẩn liên quan
- Lược đồ
- Tải về
Tiêu chuẩn TCVN 11206-5:2024 Kết cấu gỗ - Xác định các giá trị đặc trưng - Phần 5 Liên kết cơ học
| Số hiệu: | TCVN 11206-5:2024 | Loại văn bản: | Tiêu chuẩn Việt Nam |
| Cơ quan ban hành: | Bộ Khoa học và Công nghệ | Lĩnh vực: | Công nghiệp , Nông nghiệp-Lâm nghiệp |
| Trích yếu: | ISO 12122-5:2018 Kết cấu gỗ - Xác định các giá trị đặc trưng - Phần 5: Liên kết cơ học | ||
|
Ngày ban hành:
Ngày ban hành là ngày, tháng, năm văn bản được thông qua hoặc ký ban hành.
|
31/12/2024 |
Hiệu lực:
|
Đã biết
|
| Người ký: | Đang cập nhật |
Tình trạng hiệu lực:
Cho biết trạng thái hiệu lực của văn bản đang tra cứu: Chưa áp dụng, Còn hiệu lực, Hết hiệu lực, Hết hiệu lực 1 phần; Đã sửa đổi, Đính chính hay Không còn phù hợp,...
|
Đã biết
|
TÓM TẮT TIÊU CHUẨN VIỆT NAM TCVN 11206-5:2024
Tiêu chuẩn quốc gia TCVN 11206-5:2024 về Liên kết cơ học trong Kết cấu Gỗ
Ngày 31/12/2024, Bộ Khoa học và Công nghệ đã ban hành Tiêu chuẩn quốc gia TCVN 11206-5:2024 ISO 12122-5:2018 về "Kết cấu gỗ - Xác định các giá trị đặc trưng - Phần 5: Liên kết cơ học." Tiêu chuẩn này có hiệu lực ngay sau khi ban hành.
Tiêu chuẩn này quy định cách xác định các giá trị đặc trưng cho các liên kết cơ học giữa các kết cấu gỗ từ các thử nghiệm thực nghiệm trên mẫu đã được chọn. Nó bao gồm các phương pháp tính toán các thuộc tính liên quan như độ cứng vững và khả năng chịu lực của các liên kết. Tiêu chuẩn không áp dụng cho các liên kết dán bằng keo.
Phương pháp Thử nghiệm
Tiêu chuẩn xác định cách tiến hành thử nghiệm đối với các liên kết cơ học, bao gồm:
- Thử nghiệm chịu tải đơn điệu để thu thập dữ liệu về mô đun trượt và độ bền của kết nối.
- Thử nghiệm tải trọng theo chu kỳ để quyết định độ cứng vững trong điều kiện thay đổi tải trọng.
Dữ liệu Thử nghiệm và Đánh giá
Tiêu chuẩn yêu cầu thu thập và phân tích dữ liệu từ các thử nghiệm, với mục tiêu xác định được các giá trị đặc trưng:
- Độ cững vọng đặc trưng cho biết khả năng chịu lực của liên kết.
- Khả năng chịu lực đặc trưng được tính toán từ các thử nghiệm để đảm bảo độ tin cậy cao trong thiết kế.
Báo cáo Thử nghiệm
Các báo cáo phải tuân thủ các quy định, bao gồm đặc điểm kỹ thuật về vật liệu, phương pháp lấy mẫu, cùng với kích thước và điều kiện môi trường thử nghiệm.
Tiêu chuẩn này giúp đảm bảo các kết cấu gỗ liên kết một cách an toàn và hiệu quả, cung cấp cơ sở cho việc thiết kế và đánh giá sức mạnh của các liên kết trong xây dựng, góp phần nâng cao độ bền và sự tin cậy của các công trình.
Tải tiêu chuẩn Việt Nam TCVN 11206-5:2024
TIÊU CHUẨN QUỐC GIA
TCVN 11206-5:2024
ISO 12122-5:2018
KẾT CẤU GỖ - XÁC ĐỊNH CÁC GIÁ TRỊ ĐẶC TRƯNG - PHẦN 5: LIÊN KẾT CƠ HỌC
Timber structures - Determination of characteristic values - Part 5: Mechanical connections
Mục lục
Lời nói đầu
Lời giới thiệu
1 Phạm vi áp dụng
2 Tài liệu viện dẫn
3 Thuật ngữ và định nghĩa
4 Ký hiệu
5 Tập hợp chuẩn
6 Lấy mẫu
6.1 Phương pháp lấy mẫu
6.2 Cỡ mẫu
7 Ổn định mẫu
8 Dữ liệu thử nghiệm
8.1 Tổng quan
8.2 Phương pháp thử
8.2.1 Chịu tải đơn điệu của liên kết
8.2.2 Tải trọng theo chu kỳ của liên kết
8.3 Dữ liệu thử nghiệm tương thích với mô tả sản phẩm
8.4 Các dạng phá hủy
9 Đánh giá các giá trị đặc trưng đối với các tính chất kết cấu
9.1 Tính chất kết cấu
9.2 Độ cứng vững ban đầu đặc trưng của liên kết (chịu tải đơn điệu)
9.3 Độ cứng vững đặc trưng của liên kết (tải trọng theo chu kỳ)
9.4 Khả năng chịu lực đặc trưng của liên kết
9.4.1 Khả năng chịu lực đặc trưng
9.4.2 Tải trọng trong thử nghiệm đơn điệu
9.4.3 Tải trọng trong thử nghiệm chu kỳ
10 Báo cáo
Phụ lục A (tham khảo) Giải thích
Thư mục tài liệu tham khảo
Lời nói đầu
TCVN 11206-5:2024 hoàn toàn tương đương với ISO 12122-5:2018.
TCVN 11206-4:2020 do Trường Đại học Lâm nghiệp biên soạn, Bộ Nông nghiệp và Phát triển nông thôn đề nghị, Bộ Khoa học và Công nghệ thẩm định, công bố.
Bộ tiêu chuẩn TCVN 11206 (ISO 12122), Kết cấu gỗ - Xác định các giá trị đặc trưng, gồm các tiêu chuẩn sau:
- TCVN 11206-1:2015 (ISO 12122-1:2014), Phần 1: Yêu cầu cơ bản.
- TCVN 11206-2:2015 (ISO 12122-2:2014), Phần 2: Gỗ xẻ.
- TCVN 11206-3:2020 (ISO 12122-3:2016), Phần 3: Gỗ ghép thanh bằng keo.
- TCVN 11206-4:2020 (ISO 12122-4:2017), Phần 4: Sản phẩm gỗ kỹ thuật
- TCVN 11206-5:2024 (ISO 12122-5:2018), Phần 5: Liên kết cơ học
- TCVN 11206-6:2020 (ISO 12122-6:2017), Phần 6: các kết cấu và tổ hợp lớn
Lời giới thiệu
Tiêu chuẩn này đưa ra khung thiết lập các giá trị đặc trưng từ các kết quả thử nghiệm ở một mẫu rút ra từ một tập hợp chuẩn được xác định rõ ràng. Giá trị đặc trưng là sự ước lượng tính chất của tập hợp chuẩn với mức độ tin cậy thích hợp được quy định trong tiêu chuẩn này.
Tiêu chuẩn này được xây dựng trên cơ sở chấp nhận hoàn toàn để sử dụng cùng với TCVN 11206-1 (ISO 12122-1).
Tiêu chuẩn này cho phép đánh giá các giá trị đặc trưng từ thử nghiệm trên các liên kết được hình thành từ các kết cấu dùng trong thương mại.
Trong một số trường hợp, các giá trị đặc trưng được xác định theo tiêu chuẩn này có thể được sửa đổi để trở thành một giá trị thiết kế.
KẾT CẤU GỖ - XÁC ĐỊNH CÁC GIÁ TRỊ ĐẶC TRƯNG - PHẦN 5: LIÊN KẾT CƠ HỌC
Timber structures - Determination of characteristic values - Part 5: Mechanical connections
1 Phạm vi áp dụng
Tiêu chuẩn này quy định phương pháp xác định các giá trị đặc trưng đối với một tổng thể đã xác định của liên kết cơ học giữa các kết cấu gỗ, được tính toán từ các giá trị thử nghiệm trong tổng thể.
Tiêu chuẩn này đưa ra các phương pháp xác định:
a) mô đun trượt của các liên kết cơ học;
b) độ bền đặc trưng của các liên kết chịu tải đơn điệu hoặc liên tục.
Các liên kết về dán dính (từ keo) không áp dụng trong phạm vi của tiêu chuẩn này.
CHÚ THÍCH 1: Giả thiết rằng dạng phá hủy là giống nhau đối với tất cả các mẫu thử trong mẫu.
CHÚ THÍCH 2: Khi có các kết quả thử nghiệm, TCVN 11206-6 (ISO 12122-6) được sử dụng để xác định giá trị trung bình và giá trị phần vị chuẩn thứ 5
CHÚ THÍCH 3: Phụ lục A giải thích các điều của tiêu chuẩn này.
2 Tài liệu viện dẫn
Các tài liệu viện dẫn sau đây là cần thiết để áp dụng tiêu chuẩn này. Đối với các tài liệu viện dẫn ghi năm công bố thì áp dụng bản được nêu. Đối với các tài liệu viện dẫn không ghi năm công bố thì áp dụng phiên bản mới nhất, bao gồm cả các sửa đổi, bổ sung (nếu có).
TCVN 11206-1 (ISO 12122-1), Kết cấu gỗ - Xác định các giá trị đặc trưng - Phần 1: Yêu cầu cơ bản;
ISO 6891, Timber structures - Joints made with mechanical fasteners - General principles for the determination of strength and deformation characteristics (Kết cấu gỗ - Mối nối bằng Chốt cơ học - Nguyên tắc chung để xác định đặc trưng của độ bền và biến dạng)
ISO 16670, Timber structures - Joints made with mechanical fasteners - Quasi-static reversed- cyclic test method (Kết cấu gỗ - Mối nối bằng chót cơ học - Phương pháp kiểm tra tải trọng bán tĩnh - tuần hoàn).
3 Thuật ngữ và định nghĩa
Trong tiêu chuẩn này áp dụng các thuật ngữ và định nghĩa sau:
3.1
Liên kết cơ học (Mechanical connection)
Một tổ hợp từ một hoặc nhiều kết cấu gỗ được nối trực tiếp với nhau hoặc nối với nhau bằng các kết cấu được làm từ vật liệu khác.
CHÚ THÍCH 1: Các vật liệu khác bao gồm chốt thép, bu lông, đinh, vít, đinh neo và tấm.
3.2
Tải trọng thử nghiệm (Test load)
Tải trọng lớn nhất đạt được cho từng mẫu thử nghiệm đối với cả thử nghiệm một và nhiều chu kỳ.
3.3
Chuyển vị tới hạn (Ultimate displacement)
Chuyển vị liên quan đến tải trọng cực đại hoặc tải trọng lớn nhất hoặc tải trọng tới hạn. Fmax, được xác định theo ISO 16670.
4 Ký hiệu
| Fest | Tải trọng cực đại ước lượng, tính bằng N (Niu tơn); |
| Fmax | Tải trọng cực đại hoặc tải trọng lớn nhất hoặc tải trọng tới hạn, tính bằng N; |
| νy | Chuyển vị chảy dẻo (chỉ được xác định nếu có thể thiết lập điểm chảy dẻo rõ ràng). |
5 Tập hợp chuẩn
Ngoài các yêu cầu về xác định tập hợp chuẩn trong TCVN 11206-1 (ISO 12122-1), có thể bao gồm các thuộc tính sau của các liên kết:
a) vật liệu của các kết cấu liên kết;
b) kích thước của các kết cấu liên kết;
c) phương pháp lắp ráp;
d) kích thước của kết cấu, cụ thể là khoảng cách giữa các đầu, khoảng cách giữa các cạnh và khoảng cách của liên kết;
e) loại gỗ và khoảng khối lượng riêng của gỗ được sử dụng trong liên kết;
f) có hoặc không có các đặc điểm cụ thể (ví dụ: mắt (mối ghép ngón) trong hoặc gần liên kết;
g) các điều kiện tiếp xúc với độ ẩm (trước và sau khi chuẩn bị mẫu thử);
h) điều kiện độ ẩm khi mẫu được lắp đặt và thử nghiệm (ví dụ: lắp đặt khi khô và được thử nghiệm khô, lắp đặt ẩm và thử nghiệm khi ẩm, lắp đặt khô và thử nghiệm khi ẩm, lắp đặt khi ẩm và thử nghiệm khô).
CHÚ THÍCH: Khi khối lượng riêng của kết cấu gỗ phù hợp với TCVN 9081 (ISO 8970), điều này có thể được xem như một phần của tập hợp chuẩn.
6 Lấy mẫu
6.1 Phương pháp lấy mẫu
Phương pháp lấy mẫu phải phù hợp với mục tiêu lấy mẫu được quy định trong TCVN 11206-1 (ISO 12122-1).
Đại diện của mỗi một sự thay đổi trong mẫu phải xấp xỉ với đại diện của sự thay đổi tương tự trong tập hợp chuẩn.
Trong trường hợp tập hợp chuẩn bao gồm một phạm vi khoảng cách đầu, khoảng cách cạnh và khoảng cách liên kết, phương pháp lấy mẫu phải đảm bảo rằng khoảng khối lượng riêng được bao phủ trong từng biến động của kích thước.
CHÚ THÍCH Mức độ biến động chính là khoảng biến động tính chất riêng lẻ của các kết cấu gỗ tạo nên liên kết.
6.2 Cỡ mẫu
Cỡ mẫu phải phù hợp với các yêu cầu của TCVN 11206-1 (ISO 12122-1) và phải tính đến hệ số biến động dự kiến của kết cấu gỗ trong tập hợp chuẩn.
CHÚ THÍCH: TCVN 11206-1 (ISO 12122-1) đưa ra một số hướng dẫn về việc lựa chọn cỡ mẫu.
7 Ổn định mẫu
Môi trường bảo quản và thử nghiệm mẫu phải phản ánh việc ổn định phù hợp với sự xác định tập hợp chuẩn được nêu trong TCVN 11206-1 (ISO 12122-1).
Đối với các mẫu thử được tạo ra bằng cách liên kết bắt buộc vào gỗ (ví dụ: đinh và tấm có cắt răng), giữa quá trình lắp ráp và thử nghiệm các mẫu thử cần khoảng thời gian tối thiểu là bảy ngày để cho sợi ổn định.
CHÚ THÍCH 1 Cho phép thời gian ổn định ngắn hơn nếu tất cả các kết cấu gỗ khô tại thời điểm chế tạo và thử nghiệm.
Đối với tập hợp chuẩn trong đó các liên kết được lắp ráp ở trạng thái ẩm nhưng khô trong suốt quá trình sử dụng, phải ổn định thích hợp cho các mẫu thử nghiệm để mô phỏng các điều kiện này.
CHÚ THÍCH 2 Việc ổn định như vậy yêu cầu một khoảng thời gian trễ thích hợp giữa quá trình hình thành liên kết và thử nghiệm để đảm bảo rằng điều kiện sử dụng được lặp lại (có thể là vài ngày hoặc vài tuần).
8 Dữ liệu thử nghiệm
8.1 Tổng quan
Tiêu chuẩn này sử dụng dữ liệu thu được từ quá trình thực hiện thử nghiệm theo các tiêu chuẩn thử nghiệm có liên quan đến các liên kết cơ học. Tải trọng thử nghiệm của các liên kết được thực hiện ở dạng tuyến tính (nghĩa là tải trọng so với chuyển vị) hoặc dạng góc (tức là mô men so với chuyển động quay). Đối với mục đích của tiêu chuẩn này, mô men và chuyển động quay có thể được thay thế tương ứng cho lực và chuyển vị.
8.2 Phương pháp thử
8.2.1 Chịu tải đơn điệu của liên kết
Dữ liệu thử nghiệm phải được lấy từ:
a) các phép thử tuân theo các nguyên tắc của ISO 6891;
b) thử nghiệm theo tài liệu ISO liên quan đến liên kết; hoặc
c) một phương pháp thử nghiệm tiêu chuẩn phù hợp cho tập hợp chuẩn với điều kiện là có thể thiết lập các hệ số tương đương với tiêu chuẩn ISO có liên quan.
Việc lựa chọn các biến thử nghiệm phải phù hợp với mục tiêu của thử nghiệm và có thể yêu cầu một số điều chỉnh được quy định trong 8.3.
CHÚ THÍCH 1 Các phương pháp thử nghiệm liên quan đến nhiều biến số ảnh hưởng đến kết quả bao gồm hình dạng và tốc độ tải, định vị mẫu và phương pháp đo.
Tải trọng lớn nhất đối với từng mẫu thử nghiệm trong thử nghiệm một chiều, Fmax, phải được ghi lại (xem Hình 1).
CHÚ THÍCH 2 Nếu có thể thu được điểm chảy rõ ràng thì cũng có thể ghi lại trạng thái.

CHÚ DẪN
| F/Fest | Tải trọng chia cho tải trọng cực đại ước tính |
| Fmax | Tải trọng lớn nhất của mẫu thử, tính bằng niu tơn (N) |
| t | Thời gian |
| a | Chuyển vị kiểm soát. |
Hình 1 - Trình tự thử nghiệm đơn điệu
8.2.2 Tải trọng theo chu kỳ của liên kết
Dữ liệu thử nghiệm phải được lấy từ:
a) các phép thử tuân theo các nguyên tắc của ISO 16670;
b) thử nghiệm theo tiêu chuẩn ISO liên quan đến liên kết; hoặc
c) phương pháp thử tiêu chuẩn phù hợp với tập hợp chuẩn với điều kiện là có thể thiết lập các hệ số tương đương với tiêu chuẩn ISO liên quan
8.3 Dữ liệu thử nghiệm tương thích với mô tả sản phẩm
Khi giá trị đặc trưng được áp dụng cho hình dạng và cỡ chuẩn hoặc độ ẩm của thành phần liên kết, thì có thể cần phải thực hiện điều chỉnh về dữ liệu thử nghiệm. Mọi sự điều chỉnh đều phải phù hợp với TCVN 11206-1 (ISO 12122-1) và phải được ghi chi tiết trong báo cáo.
8.4 Các dạng phá hủy
Phải ghi lại các dạng phá hủy xảy ra trong các thử nghiệm.
Dữ liệu sẽ chỉ được đưa vào phân tích nếu dữ liệu đó thu được từ thử nghiệm có dạng phá hủy phù hợp với tính chất nhận được
CHÚ THÍCH Cùng một phương pháp thử có thể tạo ra các dạng phá hủy khác nhau trên các sản phẩm khác nhau. Giá trị đặc trưng có thể được ước lượng thấp hờn hoặc ước lượng cao hơn do các thử nghiệm tạo ra các dạng phá hủy hoàn toàn khác với các dạng mà phương pháp thử dự kiến tạo ra.
9 Đánh giá các giá trị đặc trưng đối với tính chất kết cấu
9.1 Tính chất kết cấu
Đối với các liên kết, việc xác định các giá trị đặc trưng đối với các tính chất kết cấu phải phù hợp với 9.2, 9.3 và 9.4.
Các tính chất trình bày trong Bảng 1 phải được tính toán từ dữ liệu thử nghiệm.
Bảng 1- Các giá trị đặc trưng cần tính toán
| Giá trị đặc trưng | Trung bình | Phân vị chuẩn thứ 5 | Phân vị chuẩn thứ 95 |
| Độ cứng vững |
|
|
|
| Tải trọng chảy dẻob |
|
|
|
| Tải trọng lớn nhất hoặc tải trọng tới hạn |
|
|
|
| Chuyển vy tới hạn |
|
|
|
| Chuyển vị chảy dẻob |
|
|
|
| a Đặc trưng bắt buộc cần tính toán. b Chỉ được báo cáo nếu thiết lập được điểm chảy dẻo rõ ràng. | |||
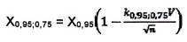
Giá trị đặc trưng dựa trên giá trị phân vị chuẩn thứ 95 là giới hạn độ tin cậy 75% nhánh cao hơn đối với thuộc tính phân vị chuẩn thứ 95 và có thể được xác định bằng cách khớp dữ liệu với phân bố theo công thức (1).
|
| (1) |
trong đó:
| X0,95;0,75 | là giá trị phân vị chuẩn thứ 95 với độ tin cậy 75%; |
| X0,95 | là phân vị chuẩn thứ 95 của dữ liệu thử nghiệm từ phân bố thích hợp; |
| k0,95;0,75 | là hệ số nhân để đưa ra giá trị phân vị chuẩn thứ 95 với độ tin cậy 75% và được xác định trong Công thức (2); |
| V | là hệ số biến động của dữ liệu thử nghiệm được xác định bằng cách chia độ lệch chuẩn của dữ liệu thử nghiệm cho giá trị trung bình của dữ liệu thử nghiệm; |
| n | là số lượng giá trị thử nghiệm. |
Trong đó k0,05;0,75 là hệ số nhân để đưa ra giá trị phân vị chuẩn thứ 5 với độ tin cậy 75 % và được định nghĩa trong TCVN 11206-1 (ISO 12122-1:2014), A.2.3.
9.2 Độ cứng vững ban đầu đặc trưng của liên kết (chịu tải đơn điệu)
Độ cứng vững đặc trưng được sử dụng để xác định, khả năng làm việc và được xác định theo TCVN 11206-1 (ISO 12122-1) bằng trung bình cộng của các giá trị thử nghiệm. Trong trường hợp sử dụng ở trạng thái giới hạn cực hạn, nó được xác định theo TCVN 11206-1 (ISO 12122-1) bằng cách sử dụng giá trị phân vị chuẩn thứ 5 được xác định từ kết quả thử nghiệm.
9.3 Độ cứng vững đặc trưng của liên kết (tải trọng theo chu kỳ)
Giá trị trung bình của độ cứng vững cho cả hai hướng tải có thể được sử dụng khi tính năng không đối xứng của kết nối nằm trong phạm vi 20% của giá trị độ cứng vững cận dưới. Nếu sự khác biệt vượt quá 20%, thì độ cứng vững cho hai hướng và các đánh giá sẽ được xem xét riêng.
CHÚ THÍCH: Các liên kết có thể thể hiện được lắp ghép bất đối xứng, đặc biệt nếu kết cấu vật lý của mối nối bất đối xứng.
9.4 Khả năng chịu lực đặc trưng của liên kết
9.4.1 Khả năng chịu lực đặc trưng
Phải đánh giá giới hạn tin cậy 75% nhánh thấp hơn của phép thử giá trị phân vị chuẩn thứ 5 thử nghiệm của các tải thử nghiệm.
CHÚ THÍCH: Các phương pháp phù hợp để đánh giá giá trị phân: vị chuẩn thứ 5 của dữ liệu thử nghiệm và ước lượng giới hạn độ tin cậy 75% nhánh thấp hơn được trình bày trong ISO TCVN 11206-1 (ISO 12122-1).
9.4.2 Tải trọng trong thử nghiệm đơn điệu
Tải trọng thử nghiệm, Fmax, trong mỗi thử nghiệm phải là tải trọng cực đại thu được trong thử nghiệm.
Khi tải chảy dẻo đã được đánh giá trong thử nghiệm, thì có thể tính được tải chảy dẻo đặc trưng cho kết nối.
9.4.3 Tải trọng trong thử nghiệm chu kỳ
Tải trọng thử nghiệm đối với mỗi thử nghiệm căn cứ vào đường cong chuẩn cho tất cả các chu kỳ thứ nhất, thứ hai và thứ ba trong thử nghiệm (Hình 2).
Nếu phản ứng của kết cấu theo theo từng hướng khác nhau, thì các tải trọng đặc trưng sẽ được báo cáo riêng cho từng hướng.

CHÚ DẪN
F tải trọng, tính bằng Niu Tơn (N)
v Chuyển vị, tính bằng mi li mét (mm)
1 Đường bao thứ nhất
2 Đường bao thứ hai
3 Đường bao thứ ba
Hình 2 - Đường bao được vẽ từ dữ liệu trễ
10 Báo cáo
Báo cáo phải tuân thủ các yêu cầu của TCVN 11206-1 (ISO 12122-1).
a) đặc điểm kỹ thuật của nguồn gốc, loại gỗ, khối lượng riêng và các tính chất độ bền liên quan của các tổ hợp gỗ, phương pháp lấy mẫu và ổn định);
b) phương pháp lấy mẫu phải chỉ ra phản hồi đối với từng thuộc tính đã xác định của tập hợp chuẩn được đưa ra tuân theo Điều 5 của TCVN 11206-1 (ISO 12122-1) hoặc quan trọng khác đối với mô tả của tập hợp chuẩn;
c) quy định kỹ thuật và lấy mẫu của bộ phận liên kết bao gồm kích thước và lớp phủ bề mặt;
d) mô tả các chi tiết chế tạo (ví dụ: thời gian trễ giữa chế tạo và kiểm tra, khoan lỗ trước và dung sai);
e) mô tả về dạng hình học của mối nối (ví dụ: kích thước của các kết cấu nối, số chốt, cách sắp
xếp và khoảng cách, chi tiết về các khoảng trống giữa các kết cấu) và hình dạng tải trọng;
f) ma trận thử nghiệm thể hiện số lần lặp lại cho từng nhóm thử nghiệm;
g) mô tả thiết bị thử nghiệm và sơ đồ bố trí thử nghiệm với vị trí của thiết bị đo, dung sai và bất kỳ hạn chế nào;
h) tốc độ nạp mẫu thử;
i) báo cáo các sai khác nào so với tiêu chuẩn này;
j) báo cáo về tốc độ lấy mẫu để thu thập dữ liệu;
k) mô tả các dạng phá hủy;
l) mô tả lịch trình dịch chuyển theo chu kỳ bao gồm tốc độ chuyển vị (đối với các thử nghiệm theo chu kỳ);
m) biểu đồ dữ liệu độ trễ (dữ liệu chuyển vị tải hoặc chuyển vị mô-men xoắn), và các đường bao được lập bảng, tải trọng cực đại, chuyển vị tới hạn, độ ẩm của gỗ tại thời điểm chế tạo và thử nghiệm, khối lượng riêng và dạng phá hủy (đối với thử nghiệm theo chu kỳ).
Phụ lục A
(tham khảo)
Giải thích
A.1 Giải thích về phạm vi áp dụng
Tiêu chuẩn này đưa ra phương pháp xác định các giá trị đặc trưng đối với liên kết giữa các kết cấu gỗ. Nó được sử dụng kết hợp với TCVN.11206-1 (ISO 12122-1).
Tiêu chuẩn đưa ra phương pháp thống nhất để đánh giá các giá trị đặc trưng phù hợp với các giá trị đặc trưng xác định được đối với các sản phẩm gỗ kết cấu khác.
Tiêu chuẩn không thiết lập các phương pháp để xác định các giá trị thiết kế. Các giá trị này có thể được xác định dựa trên các giá trị đặc trưng từ dữ liệu kiểm tra, nhưng đối với các liên kết còn phải kết hợp các hệ số an toàn thích hợp để tính toán đến bất kỳ hoặc tất cả các yếu tố sau:
- Sự thay đổi dự kiến về tính chất của gỗ qua một thời gian dài. Những thay đổi này có thể là do sự thay đổi về chất lượng nguồn gỗ, phương pháp sản xuất hoặc chất kết dính;
- Sự phức tạp của tập hợp chuẩn. Ví dụ, khi tập hợp chuẩn do nhiều nhà sản xuất nguồn nguyên liệu của họ trên một khu vực rộng lớn, khi đó việc lấy mẫu có thể không phản ánh hiệu quả tất cả sự kết hợp có thể có về chất lượng nguồn nguyên liệu và phương pháp sản xuất. Theo cách này, mẫu có thể không đại diện thực sự và có thể cho phép áp dụng các hệ số an toàn;
- Sự thay đổi trong tạo các liên kết. Các thay đổi này có thể bao gồm sự hiện diện hoặc tần suất xuất hiện của các đặc trưng của gỗ (ví dụ: mắt gỗ hoặc mối ghép ngón) ở vùng lân cận của liên kết; hoặc
- Các thay đổi dự đoán được trong kiểm soát chất lượng trên tập hợp chuẩn trong tương lai.
Các giá trị đặc trưng được đưa ra trong tiêu chuẩn này chỉ liên quan đến việc xác định các giá trị đặc trưng từ kết quả thử nghiệm trên toàn bộ các kết cấu. Bộ TCVN 11206 (ISO 12122) có phần giải thích chung. Tuy nhiên, trong nhiều trường hợp, các tính chất đặc trưng của liên kết được tìm thấy qua tính toán bằng cách sử dụng các mô hình quan hệ giữa các tính chất của các chốt riêng lẻ với các tính chất của liên kết được lắp ráp. Phạm vi áp dụng của tiêu chuẩn này không bao gồm các phương pháp đó.
A.2 Giải thích về tài liệu viện dẫn
Không có giải thích.
A.3 Giải thích về thuật ngữ và định nghĩa
Không có giải thích [Xem TCVN 11206-1 (ISO 12122-1)].
A.4 Giải thích về ký hiệu
Không có giải thích. [Xem TCVN 11206-1 (ISO 12122-1)].
A.5 Giải thích về tập hợp chuẩn
Các giá trị đặc trưng có thể được lấy để đại diện cho các tính chất của các liên kết được sử dụng làm mẫu. Tập hợp chuẩn là sự xác định tập hợp gốc có tính chất đặc trưng đã biết để áp dụng. TCVN 11206-1 (ISO 12122-1] đưa ra một số yêu cầu chung để xác định tập hợp chuẩn, nhưng có một số đặc trưng khác đã biết gây ảnh hưởng đến tính chất kết cấu của các liên kết:
- Các tính chất của gỗ làm nguyên liệu cho liên kết có thể ảnh hưởng đến các tính chất của liên kết cuối cùng. Điều này có nghĩa là sự xác định tập hợp chuẩn phải bao gồm tất cả các nguồn gỗ có thể tạo ra được sản phẩm. Điều này là bắt buộc trong quá trình lấy mẫu trên toàn bộ dải nguồn nguyên liệu thô để đảm bảo rằng mẫu thử thực sự đại diện cho tập hợp chuẩn. Trong một số trường hợp, các chi tiết gỗ có thể được chuẩn hóa [ví dụ, tuân theo TCVN 9081 (ISO 8970)] và, trong những trường hợp này, đây là một phần thiết yếu để xác định tập hợp chuẩn;
- Trường hợp gỗ tại thời điểm chế biến có độ ẩm khác với độ ẩm khi sử dụng, điều này có nghĩa là chế biến và kiểm tra ở các độ ẩm khác nhau; Độ ẩm khi chế biến và khi kiểm tra trở thành các thông số quan trọng trong việc xác định tập hợp chuẩn;
- Các hạn chế về đặc tính của gỗ được phép tại hoặc gần liên kết cũng có thể ảnh hưởng đến khả năng chịu lực của liên kết. Những giới hạn này (ví dụ: cỡ mắt và vị trí hoặc mối ghép ngón) sẽ được công bố như một phần của việc xác định tập hợp chuẩn. Khi một tập hợp chuẩn có thể được rút ra từ gỗ có nhiều đặc tính được phép, thì tất cả chúng phải được thể hiện trong mẫu thử;
- Khoảng cách giữa các đầu và cạnh, khoảng cách chốt rất quan trọng đối với độ bền của các liên kết cơ học. Đặc điểm kỹ thuật của các giới hạn đối với các kích thước này là một cân nhắc quan trọng trong việc xác định tập hợp chuẩn; và
- Phải quy định đầy đủ các đặc trưng của thành phần kim loại trong liên kết. Điều này bao gồm hạng kim loại, lớp phủ bề mặt và kích thước vật lý.
TCVN 11206-1 (ISO 12122-1) đề cập đến khoảng thời.gian sản xuất sản phẩm, ở một số vùng khí hậu, thời điểm trong năm có thể ảnh hưởng đến các tính chất của nguyên liệu thô hoặc quy trình chế biến đang sử dụng.
Danh mục trong TCVN 1:1206-1 (ISO 12122-1) và tiêu chuẩn này đều là các ví dụ, nhưng mục đích của Điều 5 là bất kỳ điều gì trong quá trình chế biến sản phẩm có thể gây ảnh hưởng đến các tính chất kết cấu đều phải được chỉ ra trong khi mô tả.
A.6 Giải thích về lấy mẫu
Trong trường hợp tập hợp chuẩn của các liên kết bao gồm nhiều nhà sản xuất hoặc quy trình khác nhau, cần chú ý để đảm bảo rằng tất cả mọi sự thay đổi về nguyên liệu thô và phương pháp sản xuất đều phải được đưa ra trong mẫu đại diện.
Có thể sử dụng danh mục các tính năng được mô tả trong tập hợp chuẩn (tại Điều 5 và Phụ lục A.5 TCVN 11206-1 (ISO 12122-1) để tạo ra một chương trình lấy mẫu bao gồm tất cả các biến động trong tập hợp chuẩn. Đặc biệt, khi một số biến động được bao gồm trồng tập hợp chuẩn, cần thận trọng khi lấy mẫu để đảm bảo rằng các biến động không tương quan với nhau. Ví dụ: nếu bao gồm một dải khoảng cách cạnh và một dải khối lượng riêng gỗ, thì điều quan trọng là phải đảm bảo rằng mỗi biến động trong dải khoảng cách cạnh có đầy đủ dải khối lượng riêng gỗ.
Hướng dẫn về cỡ mẫu được nêu trong TCVN 11206-1 (ISO 12122-1).
A.7 Giải thích về ổn định mẫu thử
Đối với nhiều liên kết trong đó chốt được đóng vào gỗ, cần có thời gian ổn định. Khoảng thời gian này cho phép biến dạng rão xung quanh chốt sau khi nó vừa được đóng và đại diện chính xác hơn tình trạng của liên kết khi sử dụng.
Các mẫu phải được bảo quản sao cho độ ẩm duy trì trong phạm vi yêu cầu đối với tập hợp chuẩn. Trường hợp các liên kết được chế tạo bằng gỗ có độ ẩm cao, nhưng gỗ được sấy khi sử dụng, thì việc ổn định cần phải phù hợp để đạt được các điều kiện sử dụng trước khi kiểm tra.
Mặt khác, áp dụng các yêu cầu của TCVN 11206-1 (ISO 12122-1).
A.8 Giải thích về việc thử nghiệm
A.8.1 Giải thích về phương pháp thử nghiệm
ISO 6891 và ISO 16670 đưa ra các phương pháp thử cho hầu hết các liên kết gỗ. Trong các trường hợp khác, các tính chất khác có thể được thử nghiệm phù hợp với tiêu chuẩn quốc tế và quốc gia khác đã được công nhận đối với gỗ.
A.8.2 Giải thích về dữ liệu thử nghiệm tương thích với mô tả sản phẩm
Các thử nghiệm được tiến hành trên các liên kết có kích thước thực. Tuy nhiên, có thể yêu cầu điều chỉnh dữ liệu thử nghiệm đối với cỡ đối chứng, độ ẩm chuẩn hoặc nhiệt độ chuẩn. Khi thực hiện điều chỉnh, phải tuân theo các yêu cầu của TCVN 11206 (ISO 12122).
Khi tổng hợp dữ liệu trên các kích thước khác nhau diễn ra, dữ liệu cần được hiệu chỉnh thành cỡ đối chứng. Để thực hiện điều này, phải tuân thủ đầy đủ các hướng dẫn về việc gộp nêu trong TCVN 11206 (ISO 12122).
A.8.3 Giải thích về dạng phá hủy
Khi thử nghiệm có mục đích nhằm đến một tính chất kết cấu cụ thể, nhưng lại tạo ra một dạng phá hủy khác, thì tính chất dự kiến có thể không được ước lượng chính xác bởi dữ liệu thử nghiệm.
Một ví dụ là thử nghiệm đối với độ bền phá hủy khi uốn khi tiến hành có thể gây ra sự phá hủy vỡ chốt. Trong trường hợp này, độ bền tính toán được từ thử nghiệm là giới hạn dưới của độ bền uốn thực của sản phẩm. Các dạng hình học khác nhau có thể được yêu cầu để loại bỏ các phá hủy vỡ chốt.
A.9 Giải thích về đánh giá các giá trị đặc trưng đối với các tính chất kết cấu
A.9.1 Giải thích về tính chất kết cấu
Các tính chất kết cấu cần xác định được đưa ra trong Bảng 1. Một số tính chất được xác định đơn giản (chẳng hạn như độ cứng vững trung bình). Những sản phẩm khác không có định nghĩa được xác định rõ ràng hoặc có sự khác biệt trong việc đưa ra tính chất giữa các vùng (chẳng hạn tải trọng chảy dẻo). Tiêu chuẩn này chỉ cho phép xác định các giá trị đặc trưng cho các đặc tính này nếu đã thiết lập được một điểm chảy dẻo rõ ràng.
Trong một số trường hợp, có thể yêu cầu ước lượng độ cứng vững và dải độ bền rộng hơn. Giá trị đặc trưng dựa trên phân vị chuẩn thứ 95 cung cấp thông tin này. Giới hạn độ tin cậy 75 % nhánh cao hơn đối với thuộc tính phân vị chuẩn thứ 95 là giá trị đặc trưng thể hiện độ tin cậy 75 % rằng 95% tập hợp dự kiến sẽ có tính chất thấp hơn giá trị đặc trưng. này. Giá trị có thể được tìm thấy bằng cách sử dụng các kỹ thuật tương tự với các giá trị đặc trưng khác:
1) Một phân bố (chuẩn hoặc loga chuẩn) phù hợp với dữ liệu thử nghiệm. Giá trị phân vị chuẩn thứ 95 của phân bổ thích hợp được tìm thấy.
2) Hệ số biến động của dữ liệu thử nghiệm thô được tính bằng tỷ lệ của độ lệch chuẩn so với trung bình của dữ liệu.
3) TCVN 11206-1 (ISO 12122-1) liệt kê các giá trị của k0,05;0,75 là một hàm của số lượng dữ liệu thử nghiệm, n. Các giá trị thích hợp được tìm thấy.
4) Công thức (2) dùng để tính k0,95;0,75 từ k0,05;0,75.
5) Giá trị này được sử dụng để đánh giá giá trị đặc trưng dựa trên phân vị chuẩn thứ 95 của dữ liệu thử nghiệm sử dụng Công thức (1).
A.9.2 Giải thích về độ cứng vững ban đầu đặc trưng (tải một chiều)
Không có giải thích [xem TCVN 11206-1 (iso 12122-1].
A.9.3 Giải thích về độ cứng vững đặc trưng (gia tải theo chu kỳ)
Không có giải thích [xem TCVN 11206-1 (ISO 12122-1)].
A.9.4 Giải thích về các giá trị đặc trưng của khả năng
Không có giải thích [xem TCVN 11206-1 (ISO 12122-1)].
A.10 Giải thích về báo cáo
Không có giải thích [Xem TCVN 11206-1 (ISO 12122-1)].
Thư mục tài liệu tham khảo
[1 ] ISO 8969, Timber structures - Testing of punched metal plate fasteners and joints.
[2] TCVN 9081 (ISO 8970), Kết cấu gỗ - Thử liên kết bằng chốt cơ học - Yêu cầu đối với khối lượng riêng của gỗ.
[3] TCVN 9082-1 (ISO 10984-1), Kết cấu gỗ - Chốt liên kết - Phần 1: Xác định mô men chảy.
[4] TCVN 9082-2 (ISO 10984-2), Kết cấu gỗ - Chốt liên kết - Phần 2: Xác định độ bền bám giữ.
[5] TCVN 13707-2 (ISO 13061-2), Tính chất vật lý và cơ học của gỗ - Phương pháp thử dành cho mẫu nhỏ không khuyết tật từ gỗ tự nhiên - Phần 2: Xác định khối lượng riêng cho các phép thử vật lý và cơ học
Bạn chưa Đăng nhập thành viên.
Đây là tiện ích dành cho tài khoản thành viên. Vui lòng Đăng nhập để xem chi tiết. Nếu chưa có tài khoản, vui lòng Đăng ký tại đây!