- Tổng quan
- Nội dung
- VB gốc
- Tiếng Anh
- Hiệu lực
- VB liên quan
- Lược đồ
-
Nội dung hợp nhất
Tính năng này chỉ có tại LuatVietnam.vn. Nội dung hợp nhất tổng hợp lại tất cả các quy định còn hiệu lực của văn bản gốc và các văn bản sửa đổi, bổ sung, đính chính... trên một trang. Việc hợp nhất văn bản gốc và những văn bản, Thông tư, Nghị định hướng dẫn khác không làm thay đổi thứ tự điều khoản, nội dung.
Khách hàng chỉ cần xem Nội dung hợp nhất là có thể nắm bắt toàn bộ quy định hiện hành đang áp dụng, cho dù văn bản gốc đã qua nhiều lần chỉnh sửa, bổ sung.
- Tải về
Thông tư 07/2006/TT-BCN của Bộ Công nghiệp về việc hướng dẫn mua, bán công suất phản kháng
| Cơ quan ban hành: | Bộ Công nghiệp |
Số công báo:
Số công báo là mã số ấn phẩm được đăng chính thức trên ấn phẩm thông tin của Nhà nước. Mã số này do Chính phủ thống nhất quản lý.
|
Đã biết
|
| Số hiệu: | 07/2006/TT-BCN | Ngày đăng công báo: |
Đã biết
|
| Loại văn bản: | Thông tư | Người ký: | Châu Huệ Cẩm |
|
Ngày ban hành:
Ngày ban hành là ngày, tháng, năm văn bản được thông qua hoặc ký ban hành.
|
27/10/2006 |
Ngày hết hiệu lực:
Ngày hết hiệu lực là ngày, tháng, năm văn bản chính thức không còn hiệu lực (áp dụng).
|
Đã biết
|
|
Áp dụng:
Ngày áp dụng là ngày, tháng, năm văn bản chính thức có hiệu lực (áp dụng).
|
Đã biết
|
Tình trạng hiệu lực:
Cho biết trạng thái hiệu lực của văn bản đang tra cứu: Chưa áp dụng, Còn hiệu lực, Hết hiệu lực, Hết hiệu lực 1 phần; Đã sửa đổi, Đính chính hay Không còn phù hợp,...
|
Đã biết
|
| Lĩnh vực: | Công nghiệp |
TÓM TẮT THÔNG TƯ 07/2006/TT-BCN
Thông tư 07/2006/TT-BCN: Quy định mua, bán công suất phản kháng cho các tổ chức và cá nhân
Thông tư 07/2006/TT-BCN do Bộ Công nghiệp ban hành ngày 27/10/2006, có hiệu lực sau 15 ngày kể từ ngày đăng công báo, thay thế Thông tư liên tịch số 09/2001/TTLB-BCN-BVGCP. Thông tư này hướng dẫn chi tiết việc mua, bán công suất phản kháng, ảnh hưởng trực tiếp đến các tổ chức và cá nhân mua bán điện.
Đối tượng áp dụng và điều kiện mua công suất phản kháng:
- Bên mua điện: Các tổ chức, cá nhân có hợp đồng mua điện để sử dụng hoặc bán lại, với công suất sử dụng cực đại từ 80 kW hoặc máy biến áp từ 100 kVA trở lên, và hệ số công suất cosj < 0,85, phải mua công suất phản kháng. Tuy nhiên, nếu bên bán điện không đảm bảo chất lượng điện theo quy định, bên mua không phải mua công suất phản kháng.
- Bên bán điện: Các đơn vị bán buôn và bán lẻ điện có giấy phép hoạt động trong lĩnh vực này.
Quy định về tính toán và thanh toán:
- Công suất phản kháng được xác định tại điểm đặt thiết bị đo đếm điện thông qua hệ số công suất trung bình, tính bằng lượng điện năng tác dụng và điện năng phản kháng trong một kỳ ghi chỉ số công tơ.
- Tiền mua công suất phản kháng được tính dựa trên công thức có liên quan đến hệ số bù đắp chi phí, với hệ số k được xác định theo bảng hệ số công suất trung bình.
- Bên mua điện phải thanh toán tiền mua công suất phản kháng cùng kỳ với tiền mua điện năng tác dụng, và việc xử lý nợ được thực hiện như nợ tiền mua điện năng tác dụng.
Thỏa thuận và giải quyết tranh chấp:
- Trường hợp bên mua điện có khả năng phát công suất phản kháng và bên bán điện có nhu cầu, hai bên có thể thỏa thuận mua bán thông qua hợp đồng. Nếu không thỏa thuận được, có thể kiến nghị Bộ Công nghiệp xem xét quyết định.
Thông tư này yêu cầu tất cả các đơn vị điện lực, bên mua và bán điện liên quan phải tuân thủ. Trong quá trình thực hiện, nếu có vướng mắc, cần phản ánh về Bộ Công nghiệp để được giải quyết kịp thời.
Văn bản này được thay thế bởi 15/2014/TT-BCT
Xem chi tiết Thông tư 07/2006/TT-BCN có hiệu lực kể từ ngày 01/12/2006
Tải Thông tư 07/2006/TT-BCN
THÔNG TƯ
CỦA BỘ CÔNG NGHIỆP SỐ 07/2006/TT-BCN NGÀY 27 THÁNG 10 NĂM 2006
Căn cứ Luật Điện lực ngày 03 tháng 12 năm 2004;
Căn cứ Nghị định số 55/2003/NĐ-CP ngày 28 tháng 5 năm 2003 của Chính phủ quy định chức năng, nhiệm vụ, quyền hạn và cơ cấu tổ chức của Bộ Công nghiệp;
Căn cứ Nghị định số 105/2005/NĐ-CP ngày 17 ngày 8 năm 2005 của Chính phủ quy định chi tiết và hướng dẫn thi hành một số điều của Luật Điện lực;
Sau khi thống nhất với Bộ Tài chính, Bộ Công nghiệp hướng dẫn thực hiện mua, bán công suất phản kháng quy định tại Điều 9 Nghị định số 105/2005/NĐ-CP như sau:
I. QUY ĐỊNH CHUNG
1. Bên mua điện để sản xuất, kinh doanh, dịch vụ có công suất sử dụng cực đại từ 80 kW hoặc máy biến áp có dung lượng từ 100 kVA trở lên và có hệ số công suất cosj < 0,85 phải mua công suất phản kháng.
Trường hợp bên bán điện không đảm bảo chất lượng điện theo quy định tại Nghị định số 105/2005/NĐ - CP ngày 17 ngày 8 năm 2005 của Chính phủ thì bên mua điện không phải mua công suất phản kháng khi hệ số công suất cosj < 0,85.
2. Tiền mua công suất phản kháng là số tiền bên mua điện phải trả cho bên bán điện để bù đắp các khoản chi phí mà bên bán điện phải đầu tư thêm nguồn công suất phản kháng hoặc thay đổi phương thức vận hành lưới điện do bên mua điện sử dụng quá lượng công suất phản kháng quy định.
3. Trong Thông tư này các từ ngữ dưới đây được hiểu như sau:
a) Bên mua điện là tổ chức, cá nhân có ký hợp đồng mua điện của bên bán điện để trực tiếp sử dụng hoặc bán lại cho tổ chức, cá nhân khác.
b) Bên bán điện là các đơn vị bán buôn và bán lẻ điện có giấy phép hoạt động điện lực trong lĩnh vực bán buôn và bán lẻ điện.
II. MUA, BÁN CÔNG SUẤT PHẢN KHÁNG
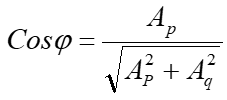
1. Việc mua công suất phản kháng của bên mua điện được xác định tại điểm đặt thiết bị đo đếm điện thông qua hệ số công suất trung bình.
Hệ số công suất trung bình được tính bằng lượng điện năng ghi được tại công tơ đo đếm điện năng tác dụng và điện năng phản kháng trong một kỳ ghi chỉ số công tơ.
Hệ số công suất trung bình (cosj) được xác định như sau:

Trong đó:
Ap: Điện năng tác dụng trong một chu kỳ ghi chỉ số công tơ (kWh);
Aq: Điện năng phản kháng trong một chu kỳ ghi chỉ số công tơ tương ứng (kVArh).
2. Trường hợp bên mua điện ký một Hợp đồng cho nhiều công tơ đo đếm điện tại một địa điểm được cấp chung cùng một đường dây trung thế hoặc cao thế thì điện năng tác dụng là tổng sản lượng điện năng tác dụng của các công tơ và điện năng phản kháng là tổng sản lượng điện năng phản kháng của các công tơ.
3. Trường hợp bên mua điện có sử dụng điện ngoài mục đích sản xuất, kinh doanh, dịch vụ thì việc xác định hệ số công suất như sau:
a. Khi có công tơ đo đếm riêng cho phần điện năng sử dụng để sản xuất, kinh doanh, dịch vụ thì chỉ áp dụng mua công suất phản kháng đối với phần điện năng sử dụng cho mục đích này.
b. Khi không có công tơ đo đếm riêng cho phần điện năng sử dụng để sản xuất, kinh doanh, dịch vụ mà chỉ có công tơ đo đếm điện năng chung, nếu hệ số công suất cosj < 0,85 thì bên mua điện vẫn phải mua công suất phản kháng cho cả phần điện năng chung đó.
4. Tiền mua công suất phản kháng được tính theo công thức :
Trong đó:

Tq: Tiền mua công suất phản kháng (chưa có thuế giá trị gia tăng);
Ta: Tiền mua điện năng tác dụng (chưa có thuế giá trị gia tăng);
k : Hệ số bù đắp chi phí do bên mua điện sử dụng quá lượng công suất phản kháng quy định (%).
Hệ số k được tính theo bảng sau:
|
Hệ số công suất trung bình (Cosj) |
k (%) |
Hệ số công suất trung bình (Cosj) |
k (%) |
|
0,85 0,84 0,83 0,82 0,81 0,80 0,79 0,78 0,77 0,76 0,75 0,74 0,73 0,72 |
0 1,19 2,41 3,66 4,94 6,25 7,59 8,97 10,39 11,84 13,33 14,86 16,44 18,06 |
0,71 0,70 0,69 0,68 0,67 0,66 0,65 0,64 0,63 0,62 0,61 0,60 dưới 0,60 |
19,72 21,43 23,19 25,00 26,87 28,79 30,77 32,81 34,92 37,10 39,34 41,67 44,07 |
5. Bên mua điện phải thanh toán tiền mua công suất phản kháng cùng kỳ với tiền mua điện năng tác dụng. Hoá đơn mua công suất phản kháng thực hiện theo mẫu đăng ký với Bộ Tài chính. Việc xử lý nợ tiền mua công suất phản kháng được thực hiện như xử lý nợ tiền mua điện năng tác dụng.
6. Trường hợp bên mua điện có khả năng phát công suất phản kháng lên hệ thống điện và bên bán điện có nhu cầu mua công suất phản kháng thì hai bên có thể thoả thuận việc mua bán công suất phản kháng thông qua hợp đồng. Trường hợp hai bên không thỏa thuận được thì kiến nghị Bộ Công nghiệp xem xét quyết định.
III. HIỆU LỰC THI HÀNH
1. Thông tư này có hiệu lực sau 15 ngày kể từ ngày đăng công báo và thay thế Thông tư liên tịch số 09/2001/TTLB-BCN-BVGCP ngày 31/10/2001 của Bộ Công nghiệp và Ban Vật giá Chính phủ về hướng dẫn mua bán công suất phản kháng.
2. Tất cả các đơn vị điện lực, các bên mua điện và bên bán điện có liên quan chịu trách nhiệm thi hành Thông tư này.
3. Trong quá trình thực hiện nếu có vướng mắc cần phản ánh về Bộ Công nghiệp để kịp thời xem xét, giải quyết./.
KT. BỘ TRƯỞNG
THỨ TRƯỞNG
Châu Huệ Cẩm
Bạn chưa Đăng nhập thành viên.
Đây là tiện ích dành cho tài khoản thành viên. Vui lòng Đăng nhập để xem chi tiết. Nếu chưa có tài khoản, vui lòng Đăng ký tại đây!
Bạn chưa Đăng nhập thành viên.
Đây là tiện ích dành cho tài khoản thành viên. Vui lòng Đăng nhập để xem chi tiết. Nếu chưa có tài khoản, vui lòng Đăng ký tại đây!