- Tổng quan
- Nội dung
- Tiêu chuẩn liên quan
- Lược đồ
- Tải về
Tiêu chuẩn TCVN 10687-50-3:2025 Hệ thống phát điện gió - Sử dụng Lidar lắp trên vỏ tuabin để đo gió
| Số hiệu: | TCVN 10687-50-3:2025 | Loại văn bản: | Tiêu chuẩn Việt Nam |
| Cơ quan ban hành: | Bộ Khoa học và Công nghệ | Lĩnh vực: | Công nghiệp , Điện lực |
| Trích yếu: | IEC 61400-50-3:2022 Hệ thống phát điện gió - Phần 50-3: Sử dụng Lidar lắp trên vỏ tuabin để đo gió | ||
|
Ngày ban hành:
Ngày ban hành là ngày, tháng, năm văn bản được thông qua hoặc ký ban hành.
|
18/07/2025 |
Hiệu lực:
|
Đã biết
|
| Người ký: | Đang cập nhật |
Tình trạng hiệu lực:
Cho biết trạng thái hiệu lực của văn bản đang tra cứu: Chưa áp dụng, Còn hiệu lực, Hết hiệu lực, Hết hiệu lực 1 phần; Đã sửa đổi, Đính chính hay Không còn phù hợp,...
|
Đã biết
|
TÓM TẮT TIÊU CHUẨN VIỆT NAM TCVN 10687-50-3:2025
TCVN 10687-50-3:2025 IEC 61400-50-3:2022 - Hệ thống phát điện gió: Sử dụng Lidar lắp trên vỏ tuabin để đo gió
Tiêu chuẩn quốc gia TCVN 10687-50-3:2025, tương đương với IEC 61400-50-3:2022, được ban hành ngày 18/07/2025 và có hiệu lực từ ngày 01/01/2026. Văn bản này chủ yếu quy định các quy trình và phương pháp đảm bảo sự nhất quán và hiệu quả trong việc đo gió bằng lidar lắp trên vỏ tuabin gió, phục vụ cho các thử nghiệm năng lượng gió và đánh giá tài nguyên gió.
Tiêu chuẩn này có phạm vi áp dụng rộng rãi cho tất cả các loại và kiểu lidar gió lắp trên vỏ tuabin, tập trung vào những thiết bị hướng về phía trước, trong khi mục đích sử dụng và điều kiện cụ thể của phép đo gió không được quy định tại đây. Đặc biệt, tiêu chuẩn này nhấn mạnh rằng việc áp dụng các phép đo này sẽ phục vụ cho các thử nghiệm đặc tính công suất theo quy định trong IEC 61400-12-1:2017.
Tiêu chuẩn TCVN 10687 bao gồm nhiều phần khác nhau liên quan đến tuabin gió và hệ thống phát điện gió, như TCVN 10687-1:2015 (Yêu cầu thiết kế), TCVN 10687-3-1:2025 và TCVN 10687-3-2:2025 (Yêu cầu thiết kế cho tuabin cố định và nổi ngoài khơi), cũng như các phần liên quan đến đo hiệu suất, hiệu quả năng lượng và các đặc tính khác của tuabin gió.
Trong nội dung chính, các thuật ngữ chuyên ngành được định nghĩa rõ ràng, bao gồm tỷ lệ sóng mang trên nhiễu, tốc độ gió tự do, tốc độ đường ngắm và xác định độ chính xác của phép đo. Việc ứng dụng lidar yêu cầu sự hiểu biết về các điều chỉnh cần thiết để tiến hành hiệu chuẩn và phân tích độ nhạy với các yếu tố môi trường tác động đến phép đo.
Ngoài ra, tiêu chuẩn cũng nêu rõ quy trình thực hiện các đợt đo cụ thể (SMC), trong đó nhấn mạnh việc cần thiết phải hiệu chuẩn từng thiết bị lidar trước khi bắt đầu áp dụng vào thực tiễn đo đạc. Mỗi thiết bị có vai trò và điều kiện làm việc khác nhau sẽ yêu cầu các yếu tố khác nhau trong việc hiệu chuẩn để đáp ứng được yêu cầu độ chính xác và độ tin cậy của dữ liệu thu thập.
Mặc dù TCVN 10687-50-3:2025 đưa ra hướng dẫn chi tiết về việc ứng dụng lidar trên vỏ tuabin gió, nhưng người sử dụng cũng cần cân nhắc rằng tiêu chuẩn này chỉ là một phần trong toàn bộ các quy định của IEC 61400 và không bao gồm các yêu cầu liên quan đến an toàn sức khỏe môi trường (HSE) hay các tác động khác có thể ảnh hưởng đến khả năng đo lường.
Các thông tin về thời gian có hiệu lực và các quy định chi tiết khác của TCVN 10687-50-3:2025 sẽ hỗ trợ cho người dân, doanh nghiệp và các cán bộ công chức trong việc áp dụng tiêu chuẩn này một cách hiệu quả, cải thiện năng lực và tính chính xác trong đo lường các thông số về gió phục vụ cho các hệ thống phát điện gió.
Tải tiêu chuẩn Việt Nam TCVN 10687-50-3:2025
TIÊU CHUẨN QUỐC GIA
TCVN 10687-50-3:2025
IEC 61400-50-3:2022
HỆ THỐNG PHÁT ĐIỆN GIÓ -
PHẦN 50-3: SỬ DỤNG LIDAR LẮP TRÊN VỎ TUABIN ĐỂ ĐO GIÓ
Wind energy generation systems -
Part 50-3: Use of nacelle-mounted lidars for wind measurements
Lời nói đầu
TCVN 10687-50-3:2025 hoàn toàn tương đương với IEC 61400-50-3:2022;
TCVN 10687-50-3:2025 do Ban kỹ thuật tiêu chuẩn Quốc gia TCVN/TC/E13 Năng lượng tái tạo biên soạn, Viện Tiêu chuẩn Chất lượng Việt Nam đề nghị, Ủy ban Tiêu chuẩn Đo lường Chất lượng Quốc gia thẩm định, Bộ Khoa học và Công nghệ công bố.
Bộ tiêu chuẩn TCVN 10687 (IEC 61400) gồm các phần sau:
- TCVN 10687-1:2015 (IEC 61400-1:2014), Tuabin gió - Phần 1: Yêu cầu thiết kế
- TCVN 10687-3-1:2025 (IEC 61400-3-1:2019), Hệ thống phát điện gió - Phần 3-1: Yêu cầu thiết kế đối với tuabin gió cố định ngoài khơi
- TCVN 10687-3-2:2025 (IEC 61400-3-2:2025), Hệ thống phát điện gió - Phần 3-2: Yêu cầu thiết kế đối với tuabin gió nổi ngoài khơi
- TCVN 10687-12-1:2023 (IEC 61400-12-1:2022), Hệ thống phát điện gió - Phần 12-1: Đo hiệu suất năng lượng của tuabin gió phát điện
- TCVN 10687-12-2:2023 (IEC 61400-12-2:2022), Hệ thống phát điện gió - Phần 12-2: Hiệu suất năng lượng của tuabin gió phát điện dựa trên phép đo gió trên vỏ tuabin
- TCVN 10687-12:2025 (IEC 61400-12:2022), Hệ thống phát điện gió - Phần 12: Đo đặc tính công suất của tuabin gió phát điện - Tổng quan
- TCVN 10687-12-3:2025 (IEC 61400-12-3:2022), Hệ thống phát điện gió - Phần 12-3: Đặc tính công suất - Hiệu chuẩn theo vị trí dựa trên phép đo
- TCVN 10687-12-4:2023 (IEC TR 61400-12-4:2020), Hệ thống phát điện gió - Phần 12-4: Hiệu chuẩn vị trí bằng số đối với thử nghiệm hiệu suất năng lượng của tuabin gió
- TCVN 10687-12-5:2025 (IEC 61400-12-5:2022), Hệ thống phát điện gió - Phần 12-5: Đặc tính công suất - Đánh giá chướng ngại vật và địa hình
- TCVN 10687-12-6:2025 (IEC 61400-12-6:2022), Hệ thống phát điện gió - Phần 12-6: Hàm truyền vỏ tuabin dựa trên phép đo của tuabin gió phát điện
- TCVN 10687-21:2018 (IEC 61400-21:2008), Tuabin gió - Phần 21: Đo và đánh giá đặc tính chất lượng điện năng của tuabin gió nối lưới
- TCVN 10687-22:2018, Tuabin gió - Phần 22: Hướng dẫn thử nghiệm và chứng nhận sự phù hợp
- TCVN 10687-24:2015 (IEC 61400-24:2010), Tuabin gió - Phần 24: Bảo vệ chống sét
- TCVN 10687-50:2025 (IEC 61400-50:2022), Hệ thống phát điện gió - Phần 50: Đo gió - Tổng quan
- TCVN 10687-50-1:2025 (IEC 61400-50-1:2022), Hệ thống phát điện gió - Phần 50-1: Đo gió - ứng dụng các thiết bị đo lắp trên cột khí tượng, vỏ tuabin và mũ hub
- TCVN 10687-50-2:2025 (IEC 61400-50-2:2022), Hệ thống phát điện gió - Phần 50-2: Đo gió - ứng dụng công nghệ cảm biến từ xa lắp trên mặt đất
- TCVN 10687-50-2:2025 (IEC 61400-50-2:2022), Hệ thống phát điện gió - Phần 50-3: Sử dụng lidar lắp trên vỏ tuabin để đo gió
Hệ thống phát điện gió -
Phần 50-3: Sử dụng lidar lắp trên vỏ tuabin để đo gió
Wind energy generation systems -
Part 50-3: Use of nacelle-mounted lidars for wind measurements
1 Phạm vi áp dụng
Tiêu chuẩn này mô tả các quy trình và phương pháp đảm bảo rằng các phép đo gió sử dụng lidar đo gió lắp trên vỏ tuabin được thực hiện và báo cáo một cách nhất quán và theo các thực tiễn tốt nhất. Tiêu chuẩn này không quy định mục đích hoặc trường hợp sử dụng của các phép đo gió. Tuy nhiên, vì tiêu chuẩn này là một phần của bộ IEC 61400, dự kiến các phép đo gió được sử dụng liên quan đến một số hình thức thử nghiệm năng lượng gió hoặc đánh giá tài nguyên gió.
Phạm vi của tiêu chuẩn này chỉ giới hạn ở các lidar đo gió lắp trên vỏ tuabin hướng về phía trước (tức là thể tích đo được nằm ở phía trước của rôto tuabin).
Tiêu chuẩn này áp dụng cho bất kỳ loại và kiểu lidar đo gió lắp trên vỏ tuabin nào. Phương pháp và các yêu cầu được cung cấp trong tiêu chuẩn này không phụ thuộc vào kiểu máy và loại thiết bị, cũng như nguyên lý do và sẽ cho phép áp dụng cho các loại lidar đo gió lắp trên vỏ tuabin mới.
Tiêu chuẩn này nhằm mục đích mô tả các phép đo gió sử dụng lidar đo gió lắp trên vỏ tuabin với chất lượng đủ cho trường hợp sử dụng thử nghiệm đặc tính công suất (theo IEC 61400-12-1:2017). Người sử dụng tiêu chuẩn này nên cân nhắc rằng các trường hợp sử dụng khác có thể có các yêu cầu cụ thể khác.
Tiêu chuẩn này chỉ cung cấp hướng dẫn về phép đo ở địa hình bằng phẳng và ngoài khơi như được định nghĩa trong IEC 61400-12-1:2017, Phụ lục B.
Các hiệu chỉnh cho vùng cảm ứng hoặc hiệu ứng tắc nghẽn không nằm trong phạm vi của tiêu chuẩn này. Tuy nhiên, hiệu chỉnh hoặc ước tính độ không đảm bảo do hiệu ứng tắc nghẽn có thể được áp dụng nếu trường hợp sử dụng yêu cầu, theo trách nhiệm của người dùng.
Mục đích của tiêu chuẩn này là cung cấp hướng dẫn về phép đo gió. Các yêu cầu của HSE (ví dụ: hoạt động laser) nằm ngoài phạm vi của tiêu chuẩn này mặc dù chúng rất quan trọng.
2 Tài liệu viện dẫn
Các tài liệu viện dẫn dưới đây là cần thiết để áp dụng tiêu chuẩn này. Đối với các tài liệu có ghi năm công bố, chỉ áp dụng các bản được nêu. Đối với các tài liệu không ghi năm công bố, áp dụng bản mới nhất (kể cả các sửa đổi).
IEC 61400-12-1:2017 [1], Wind energy generation systems - Part 12-1: Power performance measurements of electricity producing wind turbines (Hệ thống phát điện gió - Phần 12-1: Đo đặc tính công suất của tuabin gió phát điện)
IEC 61400-12-2:2013[2], Wind energy generation systems - Part 12-2: Power performance of electricityproducing wind turbines based on nacelle anemometry (Hệ thống phát điện gió - Phần 12-2: Đặc tính công suất của tuabin gió phát điện dựa trên phép đo gió trên vỏ tuabin)
3 Thuật ngữ và định nghĩa
Tiêu chuẩn này áp dụng các thuật ngữ và định nghĩa dưới đây.
3.1
Tỷ lệ sóng mang trên nhiễu CNR (carrier-to-noise ratio)
CNR
Thước đo chất lượng tín hiệu cho lidar xung được định nghĩa là tỷ số giữa công suất dòng điện dị tần và tổng công suất nhiễu trong băng thông phát hiện
Chú thích 1: Theo mặc định, CNR là băng tần rộng CNR (CNRwb). Chúng ta cũng có thể định nghĩa băng tần hẹp CNR (CNRnb) là tỷ lệ giữa công suất dòng điện không đồng tần và công suất nhiễu trong băng thông đỉnh Doppler. Điều này không phụ thuộc vào xử lý tín hiệu phổ. CNR khác với Tỷ lệ tín hiệu trên nhiễu (SNR). SNR là tỷ lệ giữa công suất đỉnh Doppler và độ lệch chuẩn công suất nhiễu.
Chú thích 2: SNR = CNRmb√n, với 1: số xung trung bình.
3.2
Lidar sóng liên tục (continuous wave lidar)
CW lidar
Một lidar truyền tín hiệu laser có biên độ và tần số không đổi và đồng thời nhận được ánh sáng tán xạ ngược.
3.3
Độ không đảm bảo tương quan (correlated uncertainties)
Một cặp thành phần không đảm bảo trong đó một lỗi chưa biết trên một trong các thành phần có tương quan ở một mức độ nào đó với lỗi trên thành phần còn lại.
Chú thích 1: Giá trị của hệ số tương quan có thể thay đổi trong khoảng từ -1 đến 1.
[NGUỒN: JCGM 100:2008; 5.2]
3.4
Tính sẵn có của dữ liệu (data availability)
Tỷ lệ giữa số điểm đo được chấp nhận trên cơ sở chất lượng dữ liệu được xác định trước và số điểm đo tối đa có thể thu được trong một khoảng thời gian đo nhất định.
3.5
Giá trị cuối cùng (final values)
Các giá trị do hệ thống lidar lắp trên vỏ tuabin cung cấp để sử dụng trong các ứng dụng đánh giá năng lượng gió như thử nghiệm đặc tính công suất WTG.
Chú thích 1: Do đó, độ chính xác của giá trị cuối cùng là xem xét chính khi sử dụng lidar lắp trên vỏ tuabin trong các ứng dụng năng lượng gió. Ví dụ về các giá trị cuối cùng bao gồm (nhưng không giới hạn ở) tốc độ gió ngang và hướng gió.
3.6
Tốc độ gió tự do (free wind speed)
Tốc độ gió sẽ có tại vị trí tuabin nếu tuabin không có ở đó.
3.7
Phát hiện đồng tần (homodyne detection)
Kỹ thuật đo trong đó tín hiệu nhận được được trộn với tín hiệu có cùng tần số với tín hiệu truyền đi.
Chú thích 1: Sản phẩm trộn ở tần số khác biệt chứa thông tin về độ lớn của độ dịch chuyển Doppler gây ra trong tín hiệu nhận được, nhưng không chứa thông tin về độ dịch chuyển Doppler đó là dương hay âm.
3.8
Phát hiện không đồng tần (heterodyne detection)
Kỹ thuật đo trong đó tín hiệu nhận được được trộn với tín hiệu có tần số khác với tín hiệu truyền đi.
Chú thích 1: Sản phẩm trộn ở tần số khác biệt chứa thông tin về cả độ lớn và dấu hiệu của sự dịch chuyển Doppler gây ra trong tín hiệu nhận được.
3.9
Các giá trị trung gian (intermediate values)
Đầu vào cho mô hình hoặc thuật toán tái tạo trường gió (WFR), cung cấp các giá trị cuối cùng làm đầu ra.
CHÚ THÍCH 1: Ví dụ về các giá trị trung gian bao gồm (nhưng không giới hạn ở) tốc độ đường ngắm (LOS).
3.10
Đường ngắm (line of sight)
LOS
Hướng xuất phát từ nguồn laser và được định hướng dọc theo trục của chùm tia laser truyền đi, tương ứng với đường truyền của chùm tia.
3.11
Tốc độ đường ngắm (line of sight speed/LOS speed)
Độ lớn của thành phần vận tốc gió trong LOS.
3.12
Cường độ luồng xoáy tốc độ LOS (LOS speed turbulence intensity)
Tỷ lệ của độ lệch chuẩn tốc độ LOS so với tốc độ LOS trung bình, được xác định từ tập hợp các mẫu dữ liệu đo của tốc độ LOS và được thực hiện trong một khoảng thời gian xác định.
CHÚ THÍCH: Xem Điều 6 để biết đặc điểm của luồng xoáy được đo bằng lidar.
3.13
Phép đo (measurement)
Quá trình thực nghiệm thu được một hoặc nhiều giá trị số lượng có thể được quy cho một đại lượng đo một cách hợp lý.
[NGUỒN: JCGM_200_2012; 2.1]
3.14
Độ chính xác của phép đo (measurement accuracy)
Mức độ gần nhau được chấp nhận giữa giá trị đại lượng đo được và giá trị đại lượng thực của đại lượng đo.
[NGUỒN: JCGM_200_2012; 2.13]
3.15
Sai lệch phép đo (measurement bias)
Ước tính sai số đo hệ thống.
[NGUỒN: JCGM_200_2012; 2.18]
3.16
Khoảng thời gian đo (measurement period)
Khoảng thời gian giữa lần đo đầu tiên và lần đo cuối cùng.
[NGUỒN: ISO 28902-1:2012, 3.10]
3.17
Độ không đảm bảo đo (measurement uncertainty)
Tham số không âm đặc trưng cho sự phân tán của các giá trị số lượng được quy cho một đại lượng đo, dựa trên thông tin được sử dụng.
[NGUỒN: JCGM_200_2012; 2.26]
3.18
Lidar lắp trên vỏ tuabin (nacelle-mounted lidar)
NML
Lidar đo gió lắp trên vỏ tuabin của máy phát điện WTG.
VÍ DỤ: Một lidar đặt trong bộ phận quay của WTG không được coi là lắp trên vỏ tuabin trong trường hợp nó tuân theo chuyển động quay của bộ phận quay quanh trục rôto.
Chú thích 1: Chỉ có thể coi lidar đo gió là lắp trên vỏ tuabin nếu lidar được cố định trong hệ quy chiếu của vỏ tuabin (nhưng không phải hệ quy chiếu của rôto).
3.19
Chiều dài đầu dò (probe length)
Phép đo phạm vi bán kính của thể tích đầu dò lidar, có thể được xác định theo khoảng cách giữa hai điểm mà độ nhạy bán kính của lidar bằng một nửa giá trị cực đại của nó: độ nhạy toàn chiều rộng ở một nửa cực đại (FWHM)
• Đối với lidar xung kết hợp: Chiều dài đầu dò là khoảng cách giữa các mức FWHM của Hàm trọng số phạm vi vận tốc (VRWF).
• Đối với lidar xung không kết hợp (lidar phát hiện trực tiếp): Chiều dài đầu dò là khoảng cách giữa các mức FWHM của xung laser, (giả sử không có phạm vi trung bình).
• Đối với lidar CW kết hợp: Chiều dài đầu dò là khoảng cách giữa các mức FWHM của hàm trọng số Lorentzian.
Chú thích 1: Hàm Velocity Range Weighting mô tả hiệu quả tương đối của việc thu thập thông tin về vận tốc theo hàm số của khoảng cách xung quanh phạm vi danh nghĩa. Một hàm trọng số lý tưởng sẽ là hàm Dirac tại 0 (tốc độ gió được đo tại một điểm). Tích phân của hàm trọng số (từ âm đến dương vô cực) bằng 1. VRWF là tích chập chuẩn hóa của cấu hình cổng phạm vi với cấu hình biên độ xung.
3.20
Thể tích dò (probe volume)
Thể tích nằm dọc theo đường truyền chùm tia laser trong đó các hạt tán xạ ánh sáng trở lại hệ thống lidar góp phần đáng kể vào tín hiệu nhận được.
3.21
Lidar xung (pulsed lidar)
Lidar truyền tín hiệu laser trong một khoảng thời gian ngắn (xung) theo các khoảng thời gian đều đặn và nhận ánh sáng tán xạ ngược giữa các xung.
3.22
Cảm biến từ xa (remote sensing)
Kỹ thuật đo gió trong đó dụng cụ đo ở xa vị trí cảm nhận được vectơ gió.
3.23
Góc lăn (roll angle)
Góc quay của lidar quanh trục dọc theo hướng thiết kế của lidar được xác định là nằm ngang.
Chú thích 1: Trục dọc đi qua gốc tọa độ lidar theo hướng đại diện cho hướng đo trung bình của lidar. Nhà sản xuất lidar phải ghi lại định nghĩa chính xác của trục dọc. Đối với lidar quét, người ta đề xuất rằng trục dọc được định nghĩa là vectơ đơn vị có cùng hướng với giá trị trung bình của các vectơ đơn vị mô tả quỹ đạo của chùm tia. Đối với lidar chùm tia cố định, người ta đề xuất rằng trục dọc được định nghĩa là vectơ đơn vị có cùng hướng với giá trị trung bình của các vectơ đơn vị mô tả các chùm tia cố định của lidar.
3.24
Trung bình vô hướng (scalar average)
Số vô hướng được tìm thấy bằng cách chia tổng dữ liệu vô hướng cho số mục trong tập dữ liệu.
3.25
Lidar quét (scanning lidar)
Lidar trong đó hướng của một chùm tia truyền đơn được quét.
Chú thích 1: Trong tiêu chuẩn này, có hai loại lidar quét được xem xét:
1) Lidar quét mẫu cố định: chùm tia được quét theo một quỹ đạo cố định, được xác định trước (quỹ đạo này thường là mặt phẳng hoặc hình nón);
2) lidar quét có thể lập trình: chùm tia được quét theo cách có thể lập trình.
Ngược lại, lidar dạng chùm cố định là lidar trong đó chùm tia laser được truyền theo nhiều hướng khác nhau nhưng cố định, được xử lý tuần tự hoặc đồng thời.
3.26
Đợt đo cụ thể (specific measurement campaign)
SMC
Việc triển khai một trường hợp sử dụng.
3.27
Góc nghiêng (tilt angle)
Góc quay của lidar quanh trục nghiêng theo hướng thiết kế của lidar được xác định là nằm ngang.
Chú thích: Trục nghiêng đi qua gốc tọa độ lidar, vuông góc với trục dọc và nằm ngang khi lidar ở hướng thiết kế được xác định là nằm ngang.
3.28
Cường độ luồng xoáy (turbulence intensity)
Tỷ lệ giữa độ lệch chuẩn tốc độ gió với tốc độ gió trung bình, được xác định từ cùng một tập hợp các mẫu dữ liệu đo được về tốc độ gió và được thực hiện trong một khoảng thời gian xác định.
[NGUỒN: IEC 61400-1:2019, 3.58]
3.29
Trường hợp sử dụng (use case)
Sự kết hợp của ba yếu tố sau:
• Yêu cầu dữ liệu: mục tiêu phát sinh từ ứng dụng và không phụ thuộc vào khả năng của thiết bị.
• Phương pháp đo: kỹ thuật lidar được lựa chọn để đáp ứng các yêu cầu về dữ liệu. Phạm vi của hướng dẫn này được giới hạn ở các phương pháp sử dụng lidar đo gió lắp trên vỏ tuabin và đánh giá độ chính xác của chúng trong các điều kiện vận hành được mô tả.
• Điều kiện vận hành: những tình huống có thể ảnh hưởng đến độ chính xác của phép đo.
[NGUỒN: CLIFTON, A. et al., 2018]
3.30
Vectơ trung bình (vector average)
Vectơ được tìm thấy bằng cách chia tổng các vectơ cho số mục trong tập dữ liệu.
3.31
Hướng gió (wind direction)
Hướng của thành phần nằm ngang của vận tốc gió
3.32
Tái tạo trường gió (wind field reconstruction)
WFR
Quá trình kết hợp các giá trị trung gian, chẳng hạn như tốc độ LOS liên quan đến nhiều LOSS, để lấy các giá trị cuối cùng có liên quan đến trường hợp sử dụng.
3.33
Lidar đo gió (wind lidar)
Thiết bị cảm biến từ xa truyền năng lượng từ nguồn laser vào khí quyển và phân tích tín hiệu phản xạ từ các hạt được gió mang theo để đo các đặc điểm của gió.
Chú thích 1: Từ "lidar" được sử dụng cho lidar đo gió trong toàn bộ tiêu chuẩn này.
Chú thích 2: Nguyên lý hoạt động của hầu hết các lidar đo gió đều dựa trên hiệu ứng Doppler, trong đó tần số ánh sáng bị tán xạ ngược bởi các hạt chuyển động theo gió bị dịch chuyển theo hiệu ứng Doppler.
3.34
Thiết bị đo gió WME (wind measurement equipment)
Cột khí tượng hoặc thiết bị cảm biến từ xa.
[NGUỒN: IEC 61400-12-1:2017, 3.29]
3.35
Độ trượt gió (wind shear)
Sự thay đổi tốc độ gió ngang theo độ cao.
Chú thích 1: Trong tiêu chuẩn này, trọng tâm là sự thay đổi tốc độ gió theo độ cao trên toàn bộ nhịp rôto tuabin.
3.36
Hệ số trượt gió (wind shear exponent)
Số mũ α của mô hình định luật lũy thừa của sự thay đổi tốc độ gió ngang theo độ cao so với mặt đất.
CHÚ THÍCH: Công thức định luật lũy thừa là:
|
| (1) |
trong đó
vz1 là tốc độ gió theo phương ngang ở độ cao z1
α là hệ số trượt gió.
3.37
Tốc độ gió (wind speed)
Độ lớn của vận tốc gió cục bộ.
Chú thích 1: Tốc độ gió ngang là độ lớn của phép chiếu vận tốc gió lên mặt phẳng nằm ngang.
3.38
Đổi hướng gió (wind veer)
Thay đổi hướng gió theo độ cao qua rôto WTG.
[NGUỒN: IEC 61400-12-1:2017, 3.32]
3.39
Vận tốc gió (wind velocity)
Vectơ chỉ theo hướng chuyển động của một khối không khí vô cùng nhỏ bao quanh điểm đang xét, độ lớn của vectơ bằng với tốc độ chuyển động của "gói" không khí này (tức là tốc độ gió tại địa phương).
Chú thích 1: Do đó, vectơ tại bất kỳ điểm nào cũng là đạo hàm theo thời gian của vectơ vị trí của "gói" không khí chuyển động qua điểm đó.
[NGUỒN: IEC 61400-1:2019, 3.73, có sửa đổi, "lượng rất nhỏ" được sửa thành "vô cùng nhỏ".]
3.40
Độ lệch góc quay (yaw misalignment)
Góc tạo ra do độ lệch ngang của trục rôto WTG so với hướng gió.
[NGUỒN: IEC 61400-1:2019, 3.77, có sửa đổi - "góc tạo ra do" đã được thêm vào]
4 Ký hiệu và chữ viết tắt
CHÚ THÍCH: Các ký hiệu này chỉ dùng trong tiêu chuẩn này và không nên nhầm lẫn với các tiêu chuẩn khác.
| Chữ viết tắt | Mô tả tiếng Anh | Mô tả tiếng Việt |
| CNR | carrier-to-noise ratio | tỷ số sóng mang trên nhiễu |
| CW | continuous wave | sóng liên tục |
| DLL | dynamic-link library | thư viện liên kết động |
| EV | environmental variable | biến môi trường |
| FWHM | full-width half-maximum | chiều rộng ở một nửa cực đại |
| HSE | health safety environment | môi trường an toàn cho sức khỏe |
| LOS | line of sight | đường ngắm |
| NML | Nacelle-mounted lidar | lidar lắp trên vỏ tuabin |
| RSS | residual sum of squares | tổng bình phương dư |
| SCADA | supervisory control and data acquisition | điều khiển giám sát và thu thập dữ liệu |
| SMC | specific measurement campaign | đợt đo cụ thể |
| SNR | signal-to-noise ratio | tỷ số tín hiệu trên nhiễu |
| VRWF | velocity range weighting function | hàm trọng số dải tốc độ |
| WFR | wind field reconstruction | tái tạo trường gió |
| WME | wind measurement equipment | thiết bị đo gió |
| WTG | wind turbine generator | máy phát điện gió |
| Biến số | Mô tả | Đơn vị |
| cj | thành phần độ không đảm bảo của tốc độ LOS, được tương quan giữa chùm tia trái và phải (Phụ lục A) | m/s |
| d | khoảng cách nằm ngang giữa điểm địa hình và cột khí tượng hiểu chuẩn (7.5.2.2) | m |
| D | đường kính rôto của WTG được thử nghiệm | m |
| Dn | đường kính rôto của tuabin gió lân cận | m |
| DirOffsetCorr | góc hiệu chỉnh giữa hướng chính bắc và góc hướng vỏ tuabin DirYaw,TR (D.2.4) | độ |
| DirTrueNorth | hướng vỏ tuabin so với hướng chính bắc (D.2.4) | độ |
| Dir1,Nac,TR | hướng gió tương đối lấy trung bình trong 10 min được báo cáo của tuabin từ cảm biến thứ nhất (D.2.4) | độ |
| Dir2,Nac,TR | hướng gió tương đối lấy trung bình trong 10 min được báo cáo của tuabin từ cảm biến thứ hai (D.2.4) | độ |
| DirYaw,TR | hướng gió tương đối lấy trung bình trong 10 min được báo cáo của tuabin (D.2.4) | độ |
| H | độ cao hub | m |
| h | ngưỡng độ cao đối với chướng ngại vật được xem là đáng kể | m |
| H0 | độ cao tại đó chùm tia 0 được nâng lên sau khi dịch chuyển nghiêng và lăn, cụ thể ở Phụ lục B |
|
| H1 | độ cao tại đó chùm tia 1 được nâng lên sau khi dịch chuyển nghiêng và lăn, cụ thể ở Phụ lục B | m |
| HOH | khoảng cách thẳng đứng giữa đầu quang của lidar và trục rôto | m |
| Href | độ cao trên mặt đất của thiết bị đo gió tham chiếu được sử dụng trong hiệu chuẩn lidar | m |
| i | nếu được sử dụng làm chỉ số: tham chiếu đến số bin tốc độ gió | - |
| k | hệ số bao phủ theo E.2.2 của IEC 61400-12-1:2017 | - |
| L0 | khoảng cách giữa gốc chùm tia và điểm phát hiện đối với chùm tia 0, cụ thể ở Phụ lục B | m |
| L1 | khoảng cách giữa gốc chùm tia và điểm phát hiện đối với chùm tia 1, cụ thể ở Phụ lục B | m |
| Le | khoảng cách đến chướng ngại vật lân cận (10.4.2) | m |
| lh | chiều cao của chướng ngại vật | m |
| Ln | khoảng cách đến tuabin lân cận (10.4.2) | m |
| lw | chiều rộng của chướng ngại vật | m |
| Lprobe | chiều dài đầu dò lidar | m |
| Lref | khoảng cách theo phương ngang giữa lidar và thiết bị tham chiếu (trong hiệu chuẩn) | m |
| Lu | khoảng cách theo phương ngang giữa mặt phẳng rôto và vị trí đo ở phía trước rôto | m |
| N | số lượng dữ liệu trong một bin | - |
| R | tổng khoảng cách giữa lidar và thiết bị đo tham chiếu trong bố trí hiệu chuẩn lidar (7.5.4) | m |
| r | khoảng cách giữa chướng ngại vật và cột khí tượng hiệu chuẩn | m |
| ri,j | mối tương quan giữa các thành phần độ không đảm bảo (Phụ lục A) | - |
| Rb | dải đo dọc theo LOS (7.5.4) | m |
| Rconf | dải đo lidar (được cấu hình) (7.5.4) | m |
| s | độ dốc địa hình trung bình (7.5.2.2) | % |
| ucal | độ không đảm bảo hiệu chuẩn của cảm biến tốc độ gió tham chiếu được sử dụng để đo Vhor | m/s |
| udaq | độ không đảm bảo của hệ thống thu thập dữ liệu | m/s |
| uHWS | độ không đảm bảo của tốc độ gió ngang tái tạo | m/s |
| Ui | biến dùng cho thành phần không đảm bảo |
|
| uinc | độ không đảm bảo do chùm tia nghiêng và dải đo | m/s |
| UL,i | các thành phần độ không đảm bảo của LOS trái, không tương quan, cụ thể ở (A.2) | m/s |
| ulgt | độ không đảm bảo liên quan đến lắp chóp thu sét, nếu có một cái | m/s |
| umast | độ không đảm bảo do lắp cảm biến tham chiếu được sử dụng để đo Vhor | m/s |
| uope | độ không đảm bảo phân cấp của cảm biến tham chiếu được sử dụng để đo Vhor | m/s |
| uope,lidar | độ không đảm bảo vận hành của lidar (9.3) | m/s |
| upos | độ không đảm bảo do định vị chùm tia | m/s |
| uR,i | các thành phần độ không đảm bảo của LOS phải, không tương quan, cụ thể ở (A.2) |
|
| urange | độ không đảm bảo của phạm vi đo | m |
| uresidual | độ không đảm bảo từ phần dư của hàm hiệu chuẩn (9.2.1) | m/s |
| usens | độ không đảm bảo của cảm biến tham chiếu trong bố trí hiệu chuẩn (7.6.2.2) | m/s |
| uprobe | độ không đảm bảo do sự biến đổi luồng gió ngang bên trong thể tích đầu dò lidar | m/s |
| uvert_pos | độ không đảm bảo do chênh lệch độ cao giữa cảm biến tham chiếu và LOS | m/s |
| uV,hor | độ không đảm bảo tốc độ gió ngang | m/s |
| uV,LOS | độ không đảm bảo của ước lượng tốc độ LOS | m/s |
| uVm | độ không đảm bảo của tốc độ gió đo được (A.4) | m/s |
| urfr | độ không đảm bảo của tốc độ gió tham chiếu | m/s |
| u<V>,WFR | độ không đảm bảo lan truyền của các độ không đảm bảo tốc độ LOS qua thuật toán WFR | m/s |
| uWFR,par | độ không đảm bảo do tham số trong thuật toán WFR (9.2.2) | m/s |
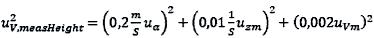
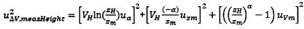
| u<v>,measHeight | độ không đảm bảo do thay đổi độ cao đo (9.4) | m/s |
| uZm | độ không đảm bảo của độ cao đo (A.4) | m |
| uα | độ không đảm bảo của hệ số trượt gió (A.4) | - |
| uθ | độ không đảm bảo của hướng gió | độ |
| uθ,LOS | độ không đảm bảo của ước lượng LOS | độ |
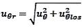
| uθ,r | độ không đảm bảo hướng gió tương đối | độ |
| uφ | độ không đảm bảo góc nâng chùm tia | độ |
|
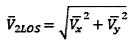
| tốc độ gió ngang từ phép đo bằng lidar và thuật toán WFR | m/s |
| V2LOS | tốc độ gió ngang tái tạo bằng phương pháp tái tạo 2 LOS | m/s |
| VH | tốc độ gió ngang được ngoại suy từ độ cao đo mong muốn | m/s |
| Vhor | tốc độ gió ngang được đo bằng thiết bị đo tốc độ gió tham chiếu trong khi hiệu chuẩn (Phụ lục A) | m/s |
| VL | tốc độ LOS của LOS bên trái khi được nhìn từ đằng sau lidar (A.1) | m/s |
| VLOS | tốc độ LOS | m/s |
| VLOS,norm | tốc độ LOS lidar chuẩn hóa (được sử dụng để xác định θLOS trong khi hiệu chuẩn | - |
| Vm | tốc độ gió ngang ở độ cao mà chùm tia được chỉ đến trong khi đo (A.4) | m/s |
| VNAC,TR | tốc độ gió lấy trung bình trong 10 min được báo cáo của tuabin | m/s |
| VR | tốc độ LOS của LOS bên phải khi nhìn từ phía sau lidar (A.1) | m/s |
| Vref | tốc độ gió tham chiếu, theo hướng LOS, được sử dụng khi hiệu chuẩn | m/s |
| Vx | thành phần tốc độ gió theo chiều dọc (A.1) | m/s |
| Vy | thành phần tốc độ gió theo chiều ngang (A.1) | m/s |
| W | tốc độ gió thẳng đứng đo bằng thiết bị đo tham chiếu trong khi hiệu chuẩn | m/s |
| XOH | khoảng cách nằm ngang giữa đầu quang của lidar và mặt phẳng rôto | m |
| z | chiều cao địa hình liên quan đến mặt phẳng tham chiếu (7.5.2.2) | m |
| zH | chiều cao đo mong muốn (A.4) | m |
| zm | chiều cao tại đó lidar thu được các giá trị đo (A.4) | m |
| α | hệ số trượt gió | - |
| β | góc giữa hai chùm tia trong mặt phẳng có chứa hai chùm tia (7.2.1.2) | độ |
| βmax | góc ngang lớn nhất giữa hai vị trí bất kỳ của chùm tia bên trong quỹ đạo/hình học (10.4.2) | độ |
| Y | góc mờ giữa hai chùm tia đối xứng so với mặt phẳng nằm ngang - cụ thể xem ví dụ trong Phụ lục B | độ |
| Yv | góc chiếu của γ lên mặt phẳng thẳng đứng - cụ thể xem ví dụ trong Phụ lục B | độ |
| ∆Diri,NAC | hiệu của góc giữa hai phép đo hướng gió từ các cảm biến dựa vào vỏ tuabin lấy trung bình trong bin tốc độ gió thứ i | độ |
| ∆V | hiệu giữa tốc độ LOS và tốc độ tham chiếu (7.6.4) | m/s |
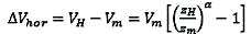
| ∆Vhor | hiệu chỉnh tốc độ gió do độ cao đo thay đổi (Phụ lục A) | độ |
| δ | góc giữa trục quang lidar và LOS được hiệu chuẩn (7.5.4) | độ |
| δv | sai số tương đối trên tốc độ LOS do góc luồng gió đi vào (7.5.5) |
|
| δcal | hiệu chỉnh thu được từ hiệu chuẩn thiết bị đo độ nghiêng (C.2) | độ |
| δH | góc thẳng đứng giữa mặt phẳng nằm ngang và hướng từ đầu quang của lidar với độ cao hub ở 2,5D (C.2) | độ |
| δNac | chênh lệch góc nghiêng của vỏ tuabin giữa hướng của nó trong khi WTG đang hoạt động bình thường và đứng yên (C.2) | độ |
| δope | góc nghiêng của vỏ tuabin khi WTG hoạt động bình thường (C.2) | độ |
| δStandStill | góc nghiêng của vỏ tuabin khi WTG đứng yên (C.2) | độ |
| δtot | góc nghiêng sơ bộ của đầu quang của lidar | độ |
| θ | hướng gió được đo bằng thiết bị đo hướng gió tham chiếu trong khi hiệu chuẩn lidar (Điều 7) | độ |
| θ0 | giá trị xấp xỉ của hướng θLOS | độ |
| θ2LOS | hướng gió ngang thu được từ thuật toán WFR 2-LOS | độ |
| θinduction | khu vực hướng gió bị loại trừ từ phép đo để tính đến ảnh hưởng của biến dạng luồng không khí trên thể tích dò của lidar trong vùng cảm ứng của tuabin lân cận hoặc các chướng ngại vật khác | độ |
| θLOS | hướng LOS | độ |
| θproj | góc chiếu (Điều 7) | độ |
| θr | hướng gió tương đối (θr = θ - θLOS) | độ |
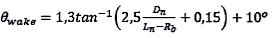
| θwake | khu vực hướng gió bị loại trừ từ phép đo để tính đến ảnh hưởng của luồng rẽ khí của tuabin lân cận hoặc các chướng ngại vật khác | độ |
| ρ | góc lăn | độ |
| σdev | độ lệch chuẩn của chênh lệch giữa tốc độ LOS và tốc độ gió tham chiếu (7.6.4) | độ |
| τ | góc nghiêng | độ |
| φ | góc nâng của chùm tia lidar trong khi hiệu chuẩn lidar (Điều 7) | độ |
| Ψ | góc giữa vectơ vận tốc gió và mặt phẳng nằm ngang (góc luồng gió đi vào), xem 7.5 | độ |
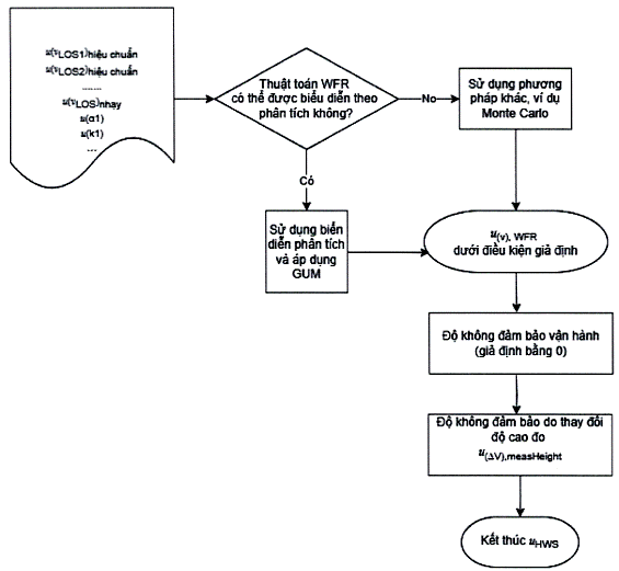
5 Tổng quan
5.1 Quy định chung
Tiêu chuẩn này áp dụng cho lidar đo gió lắp trên vỏ tuabin (NML) sử dụng nguyên lý đo sau: đại lượng đo cơ bản của lidar là tốc độ đường ngắm (LOS). Các đại lượng đo cần thiết, ví dụ, tốc độ và hướng gió ngang, được lấy từ nhiều phép đo tốc độ LOS, cùng với các tham số (như góc nghiêng và góc lăn lidar, góc giữa mỗi LOS và trục quang lidar) xác định hướng LOS và phạm vi đo.
Thuật toán được sử dụng để suy ra các số hạng đo yêu cầu được đề cập đến là tái tạo trường gió (WFR). Đầu ra của thuật toán WFR được gọi là giá trị trung gian (ví dụ tốc độ LOS, góc nghiêng và góc lăn lidar,v.v...). Đầu ra của thuật toán WFR là các giá trị cuối cùng (ví dụ tốc độ gió ngang).
5.2 Tổng quan về phương pháp đo
Phương pháp tổng thể bao gồm hai giai đoạn của đợt đo cụ thể (SMC), hiệu chuẩn lidar và tiến hành đợt đo.
Giai đoạn 1: Hiệu chuẩn và độ nhạy với các biến môi trường
Phương pháp hiệu chuẩn được mô tả trong Điều 7 của tiêu chuẩn này tuân theo phương pháp "hiệu chuẩn hộp trắng" để hiệu chuẩn và cung cấp các yếu tố không đảm bảo về các giá trị trung gian. Hiệu chuẩn cung cấp các yếu tố hiệu chuẩn và các yếu tố không đảm bảo về phép đo cụ thể cho từng thiết bị và do đó phải được thực hiện riêng cho từng lidar.
Các điều kiện môi trường trong quá trình SMC sẽ khác với các điều kiện trong quá trình hiệu chuẩn từng lidar. Đóng góp kết quả vào độ không đảm bảo của phép đo được đánh giá bằng cách phân tích mức độ nhạy cảm của độ chính xác của từng giá trị trung gian đối với các biến động này. Các độ nhạy này được cho là đặc trưng của kiểu lidar và áp dụng cho bất kỳ thiết bị nào thuộc kiểu đó. Việc xử lý các độ nhạy này được mô tả trong 8.2.
Vào thời điểm viết tiêu chuẩn này, không có đủ kinh nghiệm với NML để có thể đánh giá cách các điều kiện môi trường khác nhau ảnh hưởng đến WFR. Do đó, trong tiêu chuẩn này, áp dụng cách tiếp cận thực tế là gán giá trị bằng không cho thành phần này của độ không đảm bảo đo, với điều kiện là có cơ sở bằng chứng để chứng minh mức độ chính xác của phép đo đủ cho một loại lidar cụ thể. Các yêu cầu của cơ sở bằng chứng như vậy được mô tả trong 8.3.
Hiệu chuẩn và phân tích độ nhạy của các giá trị trung gian cung cấp các thành phần độ không đảm bảo chính phải được truyền qua các độ không đảm bảo trong các giá trị cuối cùng (ví dụ: tốc độ gió ngang) cho SMC.
Việc hiệu chuẩn đơn vị lidar lắp trên vỏ tuabin và phân tích độ nhạy của loại lidar lắp trên vỏ tuabin phải được thực hiện trước khi bắt đầu SMC.
1. Lưu ý rằng quy trình được mô tả trong tiêu chuẩn này khác với phương pháp được mô tả trong IEC 61400-12-1:2017 dành cho các cảm biến từ xa trên mặt đất, trong đó chỉ mô tả hiệu chuẩn và/hoặc xác minh các giá trị cuối cùng (ví dụ tốc độ gió ngang). Đánh giá sự đóng góp vào độ không đảm bảo đo do tác động của các điều kiện môi trường khác nhau đối với độ chính xác của phép đo tốc độ gió được gọi trong IEC 61400-12-1:2017 là "phân cấp", nhưng thuật ngữ đó không được sử dụng trong phiên bản hiện tại của tiêu chuẩn này vì không có "cấp" nào được quy định cho loại lidar.
Giai đoạn 2: Tiến hành đợt đo cụ thể
Yêu cầu dữ liệu của trường hợp sử dụng do SMC triển khai được cung cấp trong tiêu chuẩn có liên quan (ví dụ: IEC 61400-12-1:2017 để thử nghiệm đặc tính công suất). Việc thực hiện một đợt đo điển hình bằng NML theo 4 bước sau:
1) công tác chuẩn bị bao gồm đánh giá vị trí, khu vực đo và chuẩn bị lắp lidar trên vỏ tuabin;
2) các phép đo;
3) đánh giá độ không đảm bảo đo hoàn chỉnh;
4) báo cáo.
5.3 Tổng quan về tài liệu
Các điều chính của tiêu chuẩn này không phụ thuộc lẫn nhau. Do đó, có thể chỉ tham chiếu đến một số phần nhất định của các điều chính thay vì tất cả các điều để điều chỉnh tiêu chuẩn này cho một trường hợp sử dụng cụ thể. Tuy nhiên, các điều chính được trình bày theo trình tự hợp lý có thể áp dụng trong thực tế.
Điều 6 mô tả các yêu cầu mà lidar phải đáp ứng để các phương pháp khác nhau được mô tả trong tiêu chuẩn này có thể áp dụng được.
Điều 7 mô tả các quy trình và yêu cầu để hiệu chuẩn NML.
Điều 8 mô tả việc đánh giá độ nhạy của các giá trị trung gian đối với các điều kiện môi trường thay đổi. Mục này cũng mô tả các yêu cầu của cơ sở bằng chứng có thể hỗ trợ cho giả định không có đóng góp nào vào độ không đảm bảo đo do tác động của môi trường lên WFR.
Điều 9 mô tả cách thức các độ không đảm bảo về các giá trị trung gian (kết quả từ hiệu chuẩn theo Điều 7 và phân tích độ nhạy theo Điều 8) được truyền đến các giá trị cuối cùng (ví dụ: tốc độ và hướng gió ngang) thông qua thuật toán WFR. Một ví dụ về lidar 2-LOS được cho trong Phụ lục A.
Điều 10 mô tả các khía cạnh cụ thể của NML cần được xem xét trong giai đoạn chuẩn bị SMC.
Điều 11 mô tả quy trình đo, bao gồm các yêu cầu về lọc và cơ sở dữ liệu, cũng như yêu cầu về đầu ra cảm biến và hệ thống phụ trợ cần thiết để theo dõi các phép đo trong SMC.
Điều 12 đưa ra các yêu cầu tối thiểu về báo cáo dành riêng cho NML (các yêu cầu chung về báo cáo được cung cấp theo trường hợp sử dụng).
6 Yêu cầu về lidar
6.1 Yêu cầu chức năng
Để tương thích với tiêu chuẩn này, lidar đo gió lắp trên vỏ tuabin phải đáp ứng ít nhất các yêu cầu chức năng sau:
1) Lidar phải được báo cáo ít nhất một trong những thông tin sau:
a) tái tạo tốc độ gió theo phương ngang, hướng gió liên quan đến trục quang học lidar và ước tính cường độ luồng xoáy;
b) các giá trị trung gian mà từ đó có thể tái tạo tốc độ gió ngang, hướng gió và ước tính cường độ luồng xoáy;
2) Tốc độ LOS phải có sẵn để hỗ trợ quy trình hiệu chuẩn.
3) Lidar phải được trang bị một hoặc nhiều thiết bị đo độ nghiêng để đo các góc cần thiết cho thuật toán WFR với tốc độ lấy mẫu lớn hơn hoặc bằng tốc độ tái tạo tốc độ gió theo phương ngang.
4) Các phép đo góc nghiêng và góc lăn (và bất kỳ thông số nào khác cần thiết cho WFR) phải được báo cáo trong luồng dữ liệu.
5) Lidar phải có khả năng đo ở một hoặc nhiều khoảng cách đã biết (phạm vi) trước rôto. Khoảng cách đo phải đáp ứng các yêu cầu của trường hợp sử dụng. (Ví dụ, đối với các phép đo đặc tính công suất tuân thủ IEC 61400-12-1:2017, khoảng cách này phải nằm trong khoảng từ 2 đến 4 lần đường kính rôto của WTG đang được thử nghiệm, với khoảng cách được đo từ mặt phẳng rôto.).
6) Dữ liệu đo của lidar phải có dấu thời gian chính xác (± 2 s) so với tham chiếu đã biết. Các tham chiếu thời gian như vậy có thể được cung cấp bởi GPS hoặc bởi tham chiếu thời gian của tuabin chủ.
7) Thiết bị đo phải có khả năng căn chỉnh trong phạm vi độ không đảm bảo chuẩn 1 độ về độ xoay tự do.
8) Lidar phải được báo cáo mã kiểm soát chất lượng dữ liệu.
9) Các thông số trên phải có sẵn ít nhất là dưới dạng số liệu thống kê 10 min.
6.2 Yêu cầu về tài liệu
6.2.1 Tài liệu kỹ thuật
Để cung cấp thông tin kỹ thuật cần thiết để hỗ trợ hiệu chuẩn, độ nhạy của độ không đảm bảo và hoạt động của lidar, cần ghi lại những thông tin sau:
1) phương tiện đo tốc độ LOS (ví dụ lidar Doppler liên tục hoặc xung);
2) chiều dài đầu dò lidar - Lprobe như được định nghĩa trong 3.19;
3) số chùm tia - số chùm tia được xác định bởi số đường dẫn quang học có thể có trong một hệ thống. Đường dẫn quang học được xác định bởi chuỗi các thành phần quang học mà ánh sáng đi qua từ nguồn đến khí quyển.
Ví dụ, một thiết bị có chùm tia xuất phát từ một nguồn laser duy nhất được chuyển đổi hoặc chia thành các đường dẫn khác nhau (ví dụ: các ống thu quang khác nhau) có thiết kế song song được coi là thiết bị đa chùm tia. Một thiết bị có chùm tia xuất phát từ một nguồn laser duy nhất và định hướng theo nhiều hướng khác nhau bằng lăng kính hoặc gương chuyển động được coi là thiết bị chùm tia đơn;
4) lidar hoạt động theo hình học chùm tia cố định, mẫu quét cố định hay mẫu quét có thể lập trình;
5) mô tả về hình dạng chùm tia hoặc mẫu quét bao gồm các góc và góc liên quan dung sai;
6) hệ tọa độ nội bộ, bao gồm quy ước về dấu hiệu;
7) tốc độ quét, nghĩa là thời gian giữa các lần thực hiện hoàn tất toàn bộ mẫu quét;
8) đối với lidar quét, ước tính độ không đảm bảo về vị trí động (xem 7.2.2);
9) liệu thiết bị có đo ở một hay nhiều dải đo hay không và trong trường hợp sau, trình tự thời gian của các dải đo khác nhau (ví dụ: một dải đo sau mỗi khoảng thời gian 10 min, chuyển đổi tuần tự giữa các dải đo trong khoảng thời gian 10 min hoặc thu thập dữ liệu từ nhiều dải đo trong mỗi lần đo trong khoảng thời gian 10 min);
10) phương tiện mà các thiết bị phân biệt giữa các phạm vi khác nhau (ví dụ tập trung hoặc kiểm soát phạm vi);
11) mô tả chung về phương pháp tính tốc độ gió ngang, hướng gió tương đối và ước tính cường độ luồng xoáy từ tốc độ LOS đo được (phương pháp WFR);
12) thông tin về cách ước tính cường độ luồng xoáy liên quan đến phép đo điểm cường độ luồng xoáy (ví dụ như đo bằng thiết bị đo gió dạng cốc);
13) tốc độ gió ngang và hướng gió được tái tạo có sẵn trong luồng dữ liệu hoặc trong dữ liệu đã ghi;
14) cách giải thích mã kiểm soát chất lượng;
15) mô tả kỹ thuật về thiết bị đo độ nghiêng được sử dụng trong thiết bị và nguyên lý do của chúng (ví dụ nếu đó là thiết bị đo gia tốc hoặc cảm biến con quay hồi chuyển). Tiêu chuẩn này ít nhất phải bao gồm phạm vi đo, độ phân giải, độ chính xác và tốc độ lấy mẫu;
16) phiên bản phần mềm hiện tại của thiết bị;
17) danh sách các hạn chế về môi trường và vận hành đã biết của thiết bị (ví dụ độ nghiêng, nhiệt độ, v.v.).
6.2.2 Tài liệu hướng dẫn lắp đặt và vận hành
Để hỗ trợ việc lắp đặt và vận hành lidar trên WTG, tài liệu cũng phải mô tả:
1) kích thước và trọng lượng của các thành phần lidar chính và cách lắp đặt chúng;
2) nhu cầu về điện năng và mức tiêu thụ của lidar;
3) toàn bộ quy trình được sử dụng để gắn lidar vào vỏ tuabin WTG bao gồm danh sách các sửa đổi vĩnh viễn có thể cần thực hiện đối với WTG;
4) hệ thống và/hoặc quy trình được sử dụng để căn chỉnh trục quang lidar với hình chiếu của trục rôto lên mặt phẳng nằm ngang;
5) thông tin chi tiết về bất kỳ hệ thống cáp nào được yêu cầu;
6) yêu cầu kết nối dữ liệu;
7) yêu cầu đồng bộ hóa đồng hồ;
8) yêu cầu về các nguồn lực hoặc vật tư tiêu hao khác, chẳng hạn như chất lỏng rửa màn hiển thị;
9) bất kỳ quy trình nào để đảm bảo an toàn cho mắt hoặc chứng minh rằng không cần phải có quy trình nào như vậy.
7 Hiệu chuẩn và độ không đảm bảo của các giá trị trung gian lidar lắp trên vỏ tuabin
7.1 Tổng quan về phương pháp hiệu chuẩn
Phương pháp này bao gồm việc hiệu chuẩn các đầu vào cho thuật toán WFR của lidar. Quá trình này được chia thành năm bước: ba bước đầu tiên liên quan đến việc hiệu chuẩn các đại lượng vị trí chùm tia (quỹ đạo chùm tia, thiết bị đo độ nghiêng và phạm vi đo), và hai bước cuối cùng bao gồm việc hiệu chuẩn tốc độ LOS, VLOS, và đánh giá độ không đảm bảo của nó, uVLOS. Các quy trình hiệu chuẩn các đại lượng mô tả vị trí chùm tia là cụ thể đối với công nghệ lidar và hình học/quỹ đạo cụ thể của chùm tia lidar. Việc hiệu chuẩn và đánh giá độ không đảm bảo của VLOS mang tính tổng quát hơn, tuy nhiên các chi tiết (đặc biệt là việc xác định vị trí chùm tia) vẫn có thể phụ thuộc vào bản chất chính xác của công nghệ lidar.
Việc xác định vị trí chùm tia đòi hỏi phải định vị và phát hiện chính xác chùm tia lidar, điều này đạt được bằng cách:
• hiển thị chùm tia laser, ví dụ bằng thẻ cảm biến hồng ngoại hoặc camera hồng ngoại, hoặc;
• thực hiện thử nghiệm với mục tiêu cố định. Thử nghiệm mục tiêu cố định bao gồm chặn chùm tia bằng bề mặt phản xạ, sau đó đo vị trí của mục tiêu. Khi chùm tia bị chặn, mức tín hiệu được lidar đo được sẽ rất cao so với khi chùm tia không bị chặn. Đối với lidar đồng tần, cần có mục tiêu di chuyển vì lidar không thể phát hiện tốc độ bằng 0.
Việc hiệu chuẩn lidar lắp trên vỏ tuabin phải được thực hiện cho mọi lidar trước khi bắt đầu SMC. Khoảng thời gian mà hiệu chuẩn được coi là hợp lệ và số lượng SMC được phép trong khoảng thời gian đó phải được xác định theo hướng dẫn liên quan đến trường hợp sử dụng và theo khuyến nghị của nhà sản xuất. Bất kỳ thay đổi nào trong ví dụ như thành phần quang học hoặc chương trình cơ sở ảnh hưởng đến phép đo đều yêu cầu hiệu chuẩn mới.
7.2 Kiểm tra quỹ đạo/hình dạng chùm tia
7.2.1 Độ không đảm bảo về vị trí tĩnh
7.2.1.1 Phương pháp
Các góc xác định hình dạng chùm tia (đối với lidar có hình dạng chùm tia cố định) hoặc quỹ đạo chùm tia (đối với lidar quét) phải được đo như sau:
• đối với lidar có chùm tia cố định: góc giữa các LOS khác nhau;
• đối với lidar quét theo mẫu cố định và có thể lập trình: giá trị của các góc đặc trưng cho quỹ đạo quét (ví dụ: góc hình nón đối với lidar quét hình nón theo mẫu cố định; góc phương vị và góc độ cao đối với lidar quét theo mẫu lập trình).
Phải nêu rõ độ không đảm bảo của các góc đo được. Kết quả thử nghiệm (các góc đo được và độ không đảm bảo của chúng) phải tương thích với các giá trị và dung sai nêu trong thông số kỹ thuật của nhà sản xuất (tài liệu kỹ thuật được cung cấp theo điểm 4) của 6.2.1.
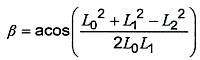
7.2.1.2 Ví dụ
Một ví dụ về xác minh hình dạng chùm tia được đưa ra trong Hình 1 cho lidar lắp trên vỏ tuabin hai chùm tia (hình dạng chùm tia cố định). Trong trường hợp này, việc xác minh hình dạng chùm tia bao gồm việc xác minh góc β giữa hai LOS (xem Hình 1). Khoảng cách Lo, L1, L2 được đo (ví dụ sử dụng máy kinh vĩ). Góc β giữa hai chùm tia trong Hình 1 được đưa ra bởi:
|
| (1) |
Độ không đảm bảo của góc đo được bắt nguồn từ độ không đảm bảo đo L0, L1, L2.

CHÚ THÍCH: Điểm A biểu thị điểm gốc của chùm tia và L0 và L1, là khoảng cách đến các vị trí chùm tia được phát hiện B và C.
Hình 1 - Ví dụ về góc mở β giữa hai chùm tia
7.2.2 Độ không đảm bảo về vị trí động
Đối với lidar quét, khi nó đo trong khi các chùm tia đang chuyển động (hoặc di chuyển nhanh rồi dừng lại), sẽ có thêm một độ không đảm bảo về vị trí do hệ thống điều khiển chuyển động không thể cung cấp vị trí chính xác. Độ không đảm bảo này được gọi là độ không đảm bảo về vị trí động. Ngoài phép đo tĩnh các góc mở và độ không đảm bảo của các phép đo này, độ không đảm bảo về vị trí động cho quỹ đạo phải được định lượng hoặc cung cấp.
7.3 Hiệu chuẩn thiết bị đo độ nghiêng
Mục đích của hiệu chuẩn thiết bị đo độ nghiêng là thiết lập mối quan hệ giữa các chỉ báo góc nghiêng (τindicated) và góc lăn (ρindicated) của thiết bị đo độ nghiêng lidar và các phép đo tham chiếu (τindicated, pindicated).
Quy trình bao gồm:
1) đọc các giá trị vị trí của thiết bị đo độ nghiêng được chỉ định, τindicated, ρindicated;
2) đo khoảng cách và độ chênh lệch chiều cao của vị trí các chùm tia so với điểm gốc của chùm tia (ví dụ: sử dụng máy kinh vĩ);
3) xác định góc nghiêng và góc lăn, τindicated, ρindicated và so sánh chúng với giá trị của thiết bị đo độ nghiêng.
Quy trình này phải được lặp lại đối với các kết hợp của ít nhất năm giá trị khác nhau của τindicated và ít nhất năm giá trị khác nhau của ρindicated. Phạm vi hiệu chuẩn phải bao phủ càng nhiều càng tốt phạm vi các giá trị góc nghiêng và góc lăn dự kiến trong SMC. Phạm vi hiệu chuẩn phải được báo cáo.
Phải nêu rõ độ không đảm bảo của góc nghiêng và góc lăn được đo.
Phụ lục B trình bày phương pháp đề xuất để đo góc nghiêng và góc lăn tại hiện trường cho ví dụ về lidar 2 chùm tia.
7.4 Kiểm tra phạm vi đo
Phạm vi đo phải được xác minh bằng một trong các phương pháp sau:
Quan sát trực quan mức độ tán xạ ngược ở các phạm vi khác nhau, từ mục tiêu có vị trí đã biết.
Thực hiện phân tích thống kê dữ liệu hiệu chuẩn tốc độ LOS: lidar được cấu hình theo nhiều phạm vi xung quanh khoảng cách mà thiết bị tham chiếu được đặt. Các mối tương quan giữa tốc độ gió tham chiếu và tốc độ LOS được đo ở các phạm vi khác nhau được phân tích. Mối tương quan cao nhất được mong đợi ở phạm vi gần nhất với thiết bị tham chiếu.
Phương pháp hiệu chuẩn tiêu điểm (dành cho lidar đồng tần có tiêu điểm cố định hoặc thay đổi), ví dụ, bằng cách đo đường kính chùm tia theo khoảng cách dọc theo LOS hoặc bằng cách đo cường độ tín hiệu phản hồi lidar phân tán từ mục tiêu di chuyển ở phạm vi hiệu chuẩn cố định khi tiêu điểm lidar được điều chỉnh.
Nên sử dụng phạm vi đã xác minh gần với phạm vi đo được sử dụng trong hiệu chuẩn tốc độ LOS (xem thêm 7.5.4 về các khuyến nghị về phạm vi hiệu chuẩn).
Việc xác minh phạm vi đo phải được thực hiện cho mỗi chùm tia. Những độ không đảm bảo phải được báo cáo.
7.5 Hiệu chuẩn tốc độ LOS
7.5.1 Tổng quan về phương pháp
Mục đích của hiệu chuẩn này là thiết lập mối quan hệ giữa tốc độ gió đo được bằng lidar trong một LOS, VLOS, và tốc độ tham chiếu dọc theo LOS, Vref, thu được từ các thiết bị tham chiếu được hiệu chuẩn có thể truy xuất. Tốc độ tham chiếu được đo tại điểm hội tụ đối với lidar CW hoặc tại tâm chiều dài đầu dò đối với lidar xung.
Với mục đích này, lidar được lắp đặt tại một vị trí thử nghiệm theo các yêu cầu được mô tả trong 7.5.2, trong một thiết lập theo 7.5.3 và phạm vi đo lidar được cấu hình như mô tả trong 7.5.4. Quy trình hiệu chuẩn tốc độ LOS được mô tả trong 7.5.5 đến 7.5.7.
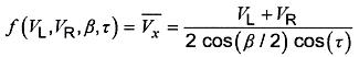
Vref là phép chiếu của vận tốc gió lên LOS và ở dạng tổng quát nhất được biểu thị
| Vref = Vhor · cosφ · cos(θ - θlos) + W ·sinφ | (3) |
trong đó
Vhor là tốc độ gió theo phương ngang, được đo bằng thiết bị đo tốc độ gió tham chiếu;
φ là góc nâng của chùm tia lidar so với mặt phẳng nằm ngang (xem Hình 4);
θ là hướng gió, được đo bằng dụng cụ tham chiếu hướng gió;
θlos là hướng LOS;
W là tốc độ gió thẳng đứng, được đo bằng thiết bị tham chiếu.
Vì ở địa hình bằng phẳng, thành phần thẳng đứng của vận tốc gió thường nhỏ hơn nhiều so với thành phần nằm ngang (W << Vhor), với góc nâng nhỏ và góc luồng không khí nhỏ (ví dụ: giữa -2° và +2°), nên tác động của thành phần thẳng đứng có thể bị bỏ qua và công thức (3) có thể được viết như sau:
| Vref = Vhor · cosφ · cosθr | (4) |
trong đó θr = θ – θlos là hướng gió so với LOS, tức là chênh lệch giữa hướng gió và LOS. Vref được thể hiện trong công thức (4) là tốc độ gió tham chiếu được sử dụng trong các điều sau.
CHÚ THÍCH: Định nghĩa của Vref trong công thức (4) yêu cầu tính trung bình vectơ của phép đo Vhor và θ.
Hiệu chuẩn tốc độ LOS phải được thực hiện cho từng chùm tia.
7.5.2 Yêu cầu về vị trí hiệu chuẩn
7.5.2.1 Định nghĩa
Lidar được thiết lập để đo ở phạm vi ngay cạnh cảm biến tham chiếu gắn trên cột (xem 7.5.3). Khoảng cách theo chiều ngang giữa lidar và tham chiếu là Lref . Độ cao của cảm biến tham chiếu so với địa hình là Href. Chiều dài đầu dò lidar là Lprobe với phần giữa của chiều dài này liền kề với cảm biến đo (lưu ý rằng lidar cũng cảm nhận gió trước và sau chiều dài đầu dò, xem 3.19). Mặt phẳng tham chiếu là mặt phẳng nằm ngang đi qua chân cột tham chiếu. Chiều cao địa hình z(r) được đo từ mặt phẳng này
(trong đó r là khoảng cách theo chiều ngang từ cột khí tượng theo hướng chùm tia). Hình 2 cung cấp sơ đồ biểu diễn bố trí hiệu chuẩn này.
Hai khu vực cụ thể có các yêu cầu cụ thể được đưa ra dưới đây, như thể hiện trong Hình 3. Khu vực cảm biến là một đĩa song song với mặt phẳng tham chiếu, tập trung tại cảm biến tham chiếu, có đường kính 2Lprobe. Khu vực luồng không khí vào là một khu vực được xác định bởi khu vực hướng gió được sử dụng trong hiệu chuẩn với bán kính Lref + 15 Lprobe và đỉnh tại lidar lắp trên vỏ tuabin.

Hình 2 - Bản phác thảo mặt bên của bố trí hiệu chuẩn

Hình 3 - Bản phác thảo mặt bằng của khu vực cảm biến và luồng không khí
7.5.2.2 Yêu cầu về địa hình
Vị trí hiệu chuẩn phải bằng phẳng và đáp ứng các yêu cầu sau:
• Độ dốc địa hình: bên trong một vòng tròn có tâm ở giữa chiều dài đầu dò và có bán kính 1 km hoặc 20Lprobe (giá trị lớn nhất của hai giá trị này), một mặt phẳng được lắp vào mô hình địa hình kỹ thuật số có độ phân giải 30 m hoặc nhỏ hơn. Độ dốc của mặt phẳng không được vượt quá 1 %.
• Độ dốc địa hình trung bình: đối với mỗi điểm bên trong khu vực luồng không khí vào, nhưng bên ngoài khu vực cảm biến, độ dốc, s, được tính như sau: s = z/d, trong đó z là độ cao địa hình so với mặt phẳng tham chiếu và d là khoảng cách theo phương ngang giữa điểm địa hình và cột hiệu chuẩn. Nên sử dụng mô hình địa hình kỹ thuật số có độ phân giải 30 m hoặc nhỏ hơn. Giá trị tuyệt đối của độ dốc địa hình trung bình, s, không được vượt quá 1 %.
Sự thay đổi độ cao:
- trong khu vực cảm biến, độ cao địa hình, z, không được thay đổi quá ±Href/20, tức là
[max z - min z] ≤ Href /20
- trong khu vực luồng không khí vào nhưng bên ngoài khu vực cảm biến, các biến thể về độ cao không được vượt quá các giới hạn sau:
[max z] ≤Href/10
[min z] ≤Href/10
trong đó độ cao địa hình tại vị trí cột hiệu chuẩn là z = 0.
7.5.2.3 Thay đổi độ gồ ghề
Không nên có sự thay đổi lớn về độ gồ ghề (thay đổi mục đích sử dụng đất hoặc loại đất) trong khu vực luồng không khí vào.
7.5.2.4 Các chướng ngại vật
Không được phép có chướng ngại vật (bao gồm cây cối và bụi rậm) có thể gây ra sóng lớn hoặc sóng nhỏ một phần trong khu vực cảm biến. Tầm quan trọng của chướng ngại vật được xác định theo chiều cao của nó, như sau:
Bên trong khu vực cảm biến, một chướng ngại vật được coi là đáng kể nếu chiều cao của chướng ngại vật lớn hơn Href/10.
Bên trong khu vực luồng không khí vào và bên ngoài khu vực cảm biến, một chướng ngại vật được coi là đáng kể nếu chiều cao chướng ngại vật lớn hơn h, trong đó h(r) là hàm tuyến tính của khoảng cách r đến cột khí tượng hiệu chuẩn, được xác định là:
|
| (5) |
để có thể:
h(r = Lprobe) = Href/10
h(r = 15Lprobe) = Href/3
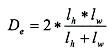
Các chướng ngại vật đáng kể được phép nếu khoảng cách đến bất kỳ điểm đo nào (cảm biến tham chiếu hoặc một phần thể tích đầu dò lidar) lớn hơn 20 đường kính tương đương rôto De, với:
|
| (6) |
trong đó lh và lw lần lượt là chiều cao và chiều rộng của chướng ngại vật.
Ví dụ, cột khí tượng thứ hai có chiều dài cạnh là 0,2 m và chiều cao là 30 m có đường kính tương đương là 0,4 m và do đó phải cách cột khí tượng còn lại ít nhất 8 m.
7.5.3 Yêu cầu bố trí
Thiết bị lidar phải được lắp đặt trên mặt đất hoặc trên một bệ cứng được nâng lên. Thiết kế của kết cấu đỡ và bệ phải ngăn ngừa độ lệch của lidar vượt quá ±0,1° hoặc độ cao thay đổi tối đa giữa LOS và thiết bị tham chiếu là ±1 % so với độ cao tham chiếu (giá trị nhỏ nhất của hai giá trị này).
Chùm tia được hiệu chuẩn phải được hưởng chính xác về phía các thiết bị đo tham chiếu được gắn trên cột khí tượng. Các thiết bị đo tham chiếu được sử dụng để đo Vhor và θ phải được hiệu chuẩn và tuân thủ các yêu cầu trong IEC 61400-12-1:2017 (Điều 7) liên quan đến hiệu chuẩn, lắp đặt và đặc điểm vận hành. Các thiết bị đo tham chiếu phải bao gồm:
• một thiết bị đo gió dạng cốc hoặc âm thanh 3D để đo Vhor
• một thiết bị đo gió âm thanh 3D hoặc thiết bị đo gió dạng cánh quạt để đo θ (để xác định hướng gió tương đối θr);
• phép đo tốc độ và hướng gió thứ cấp để kiểm soát chất lượng của thiết bị đo chính;
• phép đo góc luồng gió đi vào hoặc tốc độ gió thẳng đứng (để lọc).
Tùy chọn, các thiết bị tham chiếu cũng nên bao gồm (khuyến nghị):
• phép đo tốc độ gió theo phương ngang ở độ cao khác nhau, để đo trượt gió (cùng loại với cảm biến Vhor chính);
• cảm biến nhiệt độ, để lọc dữ liệu dưới ngưỡng nhiệt độ nhất định, để loại bỏ dữ liệu bị ảnh hưởng bởi sự tích tụ băng hoặc ma sát ổ trục trôi trên các cảm biến tham chiếu. Các cảm biến hoặc phương pháp thay thế để phát hiện lỗi hoặc sự xuống cấp của các thiết bị tham chiếu do đóng băng không bị loại trừ, nhưng phải được mô tả trong báo cáo hiệu chuẩn lidar;
• có thể cần đến cảm biến áp suất và độ ẩm để xác định độ nhạy của hiệu chuẩn đối với các biến môi trường và/hoặc để kiểm tra xem cảm biến Vhor có nằm trong giới hạn cấp hay không.
Các cảm biến phải được lắp đặt theo một trong những cách sau:
• trên cùng một cột khí tượng, có thể:
- lắp ở một đỉnh (IEC 61400-12-1: 2017, G.2),
- lắp cạnh nhau trên đỉnh (IEC 61400-12-1: 2017, G.3) hoặc
- lắp ở cạnh theo IEC 61400-12-1:2017, G.4 và các yêu cầu nghiêm ngặt hơn sau đây:
i) Vì thiết bị đo gió sẽ bị ảnh hưởng bởi sự hiện diện của cột khí tượng, cần lắp đặt và có thể là dây neo, nên phải sử dụng một thiết bị đo gió thứ hai ở cùng độ cao để suy ra giá trị hiệu chỉnh độ chặn của cột, theo Phụ lục S của IEC 61400-12-1:2017.
ii) Khoảng cách tối thiểu từ thiết bị đo gió đến tâm cột khí tượng phải đảm bảo rằng ảnh hưởng của cột khí tượng đến số liệu tốc độ gió của thiết bị đo gió phải nhỏ hơn 1 % đối với toàn bộ khu vực đo.
iii) Chênh lệch độ cao giữa cảm biến hướng gió và cảm biến tốc độ gió không được lớn hơn 2 m.
• trên hai cột riêng biệt, mỗi cột là một bố trí lắp trên đỉnh duy nhất (IEC 61400-12-1:2017, G.2), trong đó các cảm biến tốc độ gió và hướng gió tham chiếu ở cùng độ cao. Khoảng cách theo phương ngang giữa hai cột không được lớn hơn 10 m.
Cuối cùng, bố trí mặt bằng hiệu chuẩn phải đảm bảo rằng việc có mặt cột khí tượng không được ảnh hưởng đáng kể đến lưu lượng qua thể tích đầu dò lidar cần hiệu chuẩn (ví dụ: luồng gió thổi từ thiết bị đo gió dạng cốc, cột khí tượng hoặc cần lắp đặt không được ảnh hưởng đến điều kiện gió trong thể tích đầu dò), đối với phạm vi hướng gió trong khu vực đo được sử dụng trong đợt hiệu chuẩn.
Góc nâng chùm tia so với mặt phẳng nằm ngang φ phải càng nhỏ càng tốt và không được lớn hơn 10°.
Chùm tia phải được đặt gần thiết bị đo tốc độ gió tham chiếu. Độ cao của chùm tia phải nằm trong phạm vi 1 % chiều cao của thiết bị đo tốc độ gió tham chiếu và trong phạm vi khoảng cách ngang từ 2 m đến 5 m so với thiết bị đo tốc độ gió tham chiếu. Vị trí của chùm tia và độ không đảm bảo của nó phải được báo cáo.
7.5.4 Phạm vi hiệu chuẩn
Bố trí đo của hiệu chuẩn lidar phải càng giống với thiết lập đo trong ứng dụng sau này càng tốt.
Phạm vi đo, Rconf , được định nghĩa là khoảng cách giữa lidar và mặt phẳng vuông góc với trục quang học (ví dụ: trục đối xứng của quỹ đạo lidar, nếu có), sao cho:
| Rconf = R * cosδ | (7) |
trong đó
R là khoảng cách dọc theo LOS (không phải khoảng cách theo chiều ngang) từ gốc chùm tia laser đến thiết bị tham chiếu. R = Lref cosφ, trong đó Lref là khoảng cách theo chiều ngang giữa gốc chùm tia laser và thiết bị tham chiếu và φ là góc nâng của chùm tia laser (đối với LOS đã hiệu chuẩn);
δ là góc giữa trục quang và LOS đang được hiệu chuẩn.

Hình 4 - Bản phác thảo bố trí hiệu chuẩn
7.5.5 Yêu cầu dữ liệu hiệu chuẩn và lọc
Định nghĩa của Vref (công thức (4)) dựa trên các phép đo trung bình vectơ 10 min của Vhof, θ và φVhofsinθVhofcosθ . Bộ dữ liệu để phân tích phải được lọc theo các tiêu chí sau:
• Vhof phải nằm trong phạm vi mà thiết bị đo gió được hiệu chuẩn (thường là từ 4 m/s đến 16 m/s);
• θ phải nằm trong một cung liên tiếp xung quanh LOS (khuyến nghị θLOS ± 40° hoặc nhỏ hơn). Giới hạn cung phải được quyết định dựa trên đặc điểm của vị trí (xem 7.5.2), hình học cảm biến hướng và hướng không có nhiễu loạn luồng không khí từ chướng ngại vật tại vị trí. Một cung hẹp tương ứng tốt với các điều kiện vận hành bình thường của NML, vì hướng gió so với vị trí lệch của tuabin thường nhỏ. Tuy nhiên, một cung hẹp thường sẽ làm tăng thời gian cần thiết để thực hiện hiệu chuẩn.
• Phải có đủ chất lượng và số lượng dữ liệu trong khoảng thời gian trung bình. Các bộ lọc dựa trên ví dụ như VLOS khả dụng và/hoặc CNR trên ngưỡng nên được áp dụng, số liệu và ngưỡng cụ thể phụ thuộc vào loại lidar và phân bố khí dung tại vị trí.
• Đối với việc lựa chọn LOS trong lidar quét, LOS của lidar phải nằm trong một góc phương vị và/hoặc góc độ cao nhất định;
• Các khoảng thời gian xảy ra lỗi hoặc xuống cấp của thiết bị đo (ví dụ do đóng băng) sẽ bị loại bỏ.
• Có thể chứng minh rằng sai số tương đối của tốc độ LOS do góc luồng không khí vào & được đưa ra bởi:
| ϵv = tanψtanφ | (8) |
trong đó ψ là góc gió thổi vào và φ là góc nâng chùm tia. Góc gió thổi vào phải được lọc sao cho độ lớn của ϵv không vượt quá 0,002. Việc lọc theo góc gió thổi vào cũng được khuyến nghị bất kể góc nâng chùm tia lidar nếu độ chính xác của phép đo tốc độ gió theo phương ngang (vhof) giảm khi góc gió thổi vào tăng.
Các phép đo lidar và thiết bị tham chiếu phải được đồng bộ hóa theo thời gian. Dung sai đồng bộ hóa là ±1 %, tức là ±6 s cho khoảng thời gian trung bình 10 min, được chấp nhận theo IEC 61400-12-1:2017.
Dữ liệu phải được thu thập cho đến khi các yêu cầu được xác định trong 7.5.7 được đáp ứng.
7.5.6 Xác định LOS
7.5.6.1 Quy định chung
LOS phải được đánh giá. Điều này có thể được thực hiện theo hai bước. Đầu tiên, phản ứng lidar đối với hướng gió được lắp vào một hàm để thu được LOS gần đúng. Tiếp theo, một quy trình dựa trên tổng bình phương dư (RSS) được áp dụng, tạo ra giá trị cuối cùng của LOS. Ưu điểm của phương pháp này là các giá trị θLOS được thu được trong khung tham chiếu của cảm biến hướng gió tham chiếu.
7.5.6.2 Điều chỉnh đáp ứng lidar theo hướng gió
Phép xấp xỉ ban đầu của LOS được đánh giá bằng cách điều chỉnh tốc độ LOS lidar chuẩn hóa (VLOS,norm) với hàm của hướng gió (θ). Trong phân tích này, tất cả các khu vực hướng gió đều hợp lệ ngoại trừ các thông số kỹ thuật liên quan đến vị trí (ví dụ: bóng tháp, chướng ngại vật, luồng gió từ các tuabin lân cận, v.v.). Tốc độ LOS chuẩn hóa là:
|
| (9) |
Hàm phù hợp ffit là:
• cosin cho lidar không đồng tần: ffit,1 = A1 * |cos(θ – θ0)| + B1
• cosin chỉnh lưu cho lidar đồng tần: ffit,2 = A2 * |cos(θ – θ0)| + B2
Quá trình điều chỉnh mang lại ước tính tốt nhất của A1,2 B1,2 và θ0. Lý tưởng nhất là A1,2 = 1 và B1,2 = 0.
θ0 là gần đúng của θLOS. Hình 5 cho thấy một ví dụ về tốc độ gió chuẩn hóa so với hướng và kết quả của việc điều chỉnh cosin.

Hình 5 - Ví dụ về đáp ứng của lidar với hướng gió và điều chỉnh cosin
7.5.6.3 Tinh chỉnh LOS ước tính bằng cách sử dụng độ lệch
Một quy trình thống kê được sử dụng để tinh chỉnh ước tính của θLOS:
1) Đối với 20 giá trị của θproj (θproj,i i = 1,..., 20) có tâm quanh θ0 và gia số 0,1°:
a) Đánh giá Vref,i đối với tất cả dữ liệu 10 min như sau:
| Vref,i = Vhor · cosφ · cos (θ - θproj,i) | (10) |
b) Thực hiện hồi quy tuyến tính giữa VLOS và Vref,
| VLOS_fit,i = aVref,i + b | (11) |
![]()
2) Vẽ RSSi theo θproj,i (i = 1,....., 20).
3) Phù hợp với đa thức bậc hai (xem ví dụ trên Hình 6).
4) θLOS là góc chiếu cung cấp RSS tối thiểu. Đây là giá trị được sử dụng trong quy trình được mô tả trong phần còn lại của Điều 7, đặc biệt là để đánh giá Vref theo công thức (4):
Vref = Vhor·cosφ·cos(θ - θLOS).

Hình 6 - Ví dụ về đánh giá LOS sử dụng quy trình RSS: RSS theo θproj
7.5.7 Phân loại dữ liệu và yêu cầu cơ sở dữ liệu
Trước tiên, nên tạo biểu đồ phân tán của VLOS theo Vref cho toàn bộ tập dữ liệu đã lọc 10 min, để xác định các giá trị ngoại lai trực quan và điều tra các giá trị này khi cần thiết. Sau đó, dữ liệu hợp lệ được phân loại dựa trên Vref với chiều rộng bin là 0,5 m/s và các bin được căn giữa theo bội số của 0,5 m/s.
Một bin được coi là hoàn chỉnh nếu nó chứa tối thiểu năm điểm dữ liệu. Cơ sở dữ liệu được coi là hoàn chỉnh khi:
• 300 điểm dữ liệu hợp lệ đã được thu được từ quá trình hiệu chuẩn của mỗi chùm tia;
• tất cả các bin từ 4 m/s đến 12 m/s đều đã hoàn thành. Lưu ý rằng phạm vi tốc độ gió thông thường của hiệu chuẩn trong đường hầm gió là từ 4 đến 16m/s. Tuy nhiên, trong hiệu chuẩn lidar lắp trên vỏ tuabin, có thể mất nhiều thời gian để có được tốc độ gió lớn hơn 12m/s trong LOS cụ thể. Đôi khi, ngay cả việc hoàn thành lên đến 12 m/s cũng khó đạt được (ví dụ mùa gió yếu). Khi đó, phạm vi hiệu chuẩn có thể phải giảm xuống còn từ 4 m/s đến 10 m/s. Điều này phải được báo cáo là độ lệch so với quy trình này. Hơn nữa, một yếu tố không đảm bảo bổ sung phải được áp dụng cho tốc độ gió được tái tạo.
7.6 Độ không đảm bảo của phép đo tốc độ LOS
7.6.1 Quy định chung
Khi tốc độ LOS được hiệu chuẩn so với Vref, độ không đảm bảo của VLOS xuất phát từ sự kết hợp của độ không đảm bảo của Vref, độ không đảm bảo về mặt thống kê của độ lệch giữa VLOS và Vref và độ không đảm bảo do bỏ qua thành phần thẳng đứng của gió trong công thức (4).
7.6.2 Độ không đảm bảo của Vref
7.6.2.1 Quy định chung
Như được thể hiện trong công thức (12), tốc độ gió tham chiếu là một hàm của Vhor, (φ, θ và θLOS (trong đó θr= θ – θLOS là hướng gió so với LOS). Trong trường hợp tổng quát nhất, độ không đảm bảo của các đại lượng này có thể được coi là không tương quan và độ không đảm bảo kết hợp của Vref có thể được thể hiện như sau:
|
| (12) |
Các hệ số độ nhạy là:
|
| (13) |
|
| (14) |
|
| (15) |
Các yếu tố không đảm bảo và độ nhạy có thể được tính toán từ các giá trị trung bình của bin[3]. Đối với các đại lượng góc, khuyến nghị là tính trung bình các giá trị của góc, ví dụ:cos(avg(θr)).
Tất cả các độ không đảm bảo đều được thể hiện dưới dạng độ không đảm bảo chuẩn với hệ số bao phủ đơn vị (k = 1). Trong trường hợp ứng dụng yêu cầu độ không đảm bảo mở rộng, tham khảo E.2.2 của IEC 61400-12-1:2017.
7.6.2.2 Độ không đảm bảo của tốc độ gió ngang
Độ không đảm bảo của Vhor là sự kết hợp giữa độ không đảm bảo của cảm biến tốc độ gió tham chiếu và độ không đảm bảo do cảm biến tham chiếu không đo chính xác trong cùng một thể tích như LOS đang được hiệu chuẩn:
|
| (16) |
Độ không đảm bảo của cảm biến tham chiếu được sử dụng để đo tốc độ gió ngang phải được tính toán theo IEC 61400-12-1:2017:
|
| (17) |
trong đó các nguồn độ không đảm bảo liên quan đến cảm biến tốc độ gió tham chiếu như sau:
ucal là độ không đảm bảo hiệu chuẩn của cảm biến tham chiếu được sử dụng để đo Vhor - ucal là độ không đảm bảo chung và bao gồm không chỉ độ không đảm bảo trước khi hiệu chuẩn mà còn bao gồm độ không đảm bảo liên quan đến việc giám sát tại chỗ và/hoặc hiệu chuẩn sau khi hiệu chuẩn cảm biến;
uope là độ không đảm bảo khi vận hành của cảm biến tham chiếu được sử dụng để đo Vhor (còn gọi là phân loại);
umast là độ không đảm bảo do lắp đặt cảm biến tham chiếu được sử dụng để đo Vhor;
ulgt là độ không đảm bảo liên quan đến việc lắp đặt chóp thu sét, nếu có;
udaq là độ không đảm bảo thu thập dữ liệu của cảm biến tham chiếu được sử dụng để đo Vhor.
Độ không đảm bảo do vị trí tương đối và thể tích đo khác nhau của cảm biến tham chiếu so với thể tích dò LOS đã hiệu chuẩn được thể hiện như sau:
|
| (18) |
trong đó
uprobe là độ không đảm bảo do sự thay đổi của tốc độ gió trong thể tích dò lidar. Độ không đảm bảo này là kết quả của sự thay đổi theo chiều ngang của tốc độ gió dọc theo thể tích dò, chủ yếu là do tác động của địa hình và ngoài ra trong trường hợp LOS nghiêng, còn do trượt gió không tuyến tính trong phạm vi độ cao mà chiều dài đầu dò bao phủ. Nên ước tính độ không đảm bảo này phụ thuộc vào độ cao hiệu chuẩn và chiều dài đầu dò. Độ không đảm bảo này thường tăng khi độ cao hiệu chuẩn giảm và chiều dài đầu dò tăng. Trong trường hợp LOS nghiêng, ước tính độ không đảm bảo này cũng phải phụ thuộc vào trượt gió được đo tại cột khí tượng tham chiếu. Độ không đảm bảo này thường tăng khi góc nâng của LOS tăng. Ngoài ra, có thể ước tính uprobe từ các phép hiệu chuẩn được thực hiện ở nhiều phạm vi đo khác nhau xung quanh phạm vi khớp với cột khí tượng tham chiếu. Giá trị điển hình đối với uprobe là 0,1 % đối với LOS ngang và 0,2 % đối với LOS nghiêng.
uinc là độ không đảm bảo do góc nhìn nghiêng và phạm vi đo.
Sai số quan trọng nhất liên quan đến độ nghiêng LOS (ngoài các sai số căn chỉnh được xem xét trong uvert_pos) gây ra do sai số dải đo. Ngay cả khi LOS đi qua chính xác cảm biến tham chiếu, độ cao mà phép đo được thực hiện sẽ sai nếu có sai số dải đo. Do đó, đối với LOS nghiêng, sai số dải đo dẫn đến sai số chiều cao. Sử dụng mô hình luật lũy thừa đơn giản, độ không đảm bảo do độ nghiêng sẽ là
|
| (19) |
trong đó α là hệ số trượt gió, φ là góc nghiêng, urange là độ không đảm bảo về phạm vi và Href là chiều cao tham chiếu đo. urange có thể được ước tính từ xác minh phạm vi đo (xem 7.4).
Một độ không đảm bảo khác liên quan đến độ không đảm bảo về phạm vi có liên quan đến sự dịch chuyển theo chiều ngang của tâm thể tích đầu dò so với vị trí của phép đo tham chiếu. Các hiệu ứng địa hình có thể gây ra sự khác biệt về tốc độ gió ở cả hai vị trí và có thể góp phần vào độ không đảm bảo của phép đo tham chiếu. Độ không đảm bảo này có thể đáng kể trong trường hợp có độ không đảm bảo về phạm vi lớn so với chiều cao hiệu chuẩn và nên được ước tính tương tự như độ không đảm bảo của chiều dài đầu dò (uprobe).
uvert_pos là độ không đảm bảo do chênh lệch độ cao giữa cảm biến tham chiếu và LOS (lỗi căn chỉnh - Lưu ý rằng độ không đảm bảo này cũng đúng đối với chùm tia nằm ngang).
Ví dụ, khi mô hình hóa biên dạng trượt gió thẳng đứng bằng cách sử dụng luật lũy thừa và hệ số trượt gió α, với chiều cao tham chiếu của thiết bị đo Href, độ không đảm bảo uH ở vị trí chùm tia sẽ tương ứng với độ không đảm bảo về tốc độ gió là:
|
| (20) |
α có thể là hệ số trượt gió trung bình được đo trong quá trình hiệu chuẩn (nếu có phép đo trượt gió) hoặc là giá trị điển hình cho vị trí đó.
Có ba nguồn không đảm bảo trong việc định vị theo chiều thẳng đứng:
• Sai số độ cao do định hướng lidar không lý tưởng trong quá trình lắp đặt. Độ không đảm bảo là đáng kể, đặc biệt trong trường hợp độ cao hiệu chuẩn nhỏ Href
• Có thể có sự trôi có hệ thống của góc nghiêng của lidar, ví dụ do tải gió hệ thống hoặc trôi hệ thống theo thời gian. Độ không đảm bảo này phải được đánh giá trên cơ sở thay đổi phép đo độ nghiêng của lidar theo tốc độ gió và thời gian. Độ không đảm bảo này có thể dễ dàng chi phối, đặc biệt đối với lidar được lắp trên bệ hoặc có độ cao hiệu chuẩn thấp.
• Rung động của lidar. Độ không đảm bảo này thường không đáng kể và có thể bỏ qua.
Các thành phần phụ phát sinh từ hai nguồn đầu tiên phải được đánh giá riêng lẻ và được kết hợp với giả định rằng chúng độc lập với nhau.
7.6.2.3 Độ không đảm bảo về hướng gió tương đối
Độ không đảm bảo của hướng gió tương đối là
|
| (21) |
trong đó
uθ là độ không đảm bảo của cảm biến hướng gió trong khu vực đo. Độ không đảm bảo này được tính theo IEC 61400-12-1:2017, E.12 không bao gồm độ không đảm bảo về mốc phía bắc, hướng cần trục và độ nghiêng từ trường, vì LOS được tính trong hệ quy chiếu của cảm biến. Do đó, đây thường chỉ là độ không đảm bảo phát sinh từ phần dư của hiệu chuẩn cảm biến hướng gió.
Nguồn độ không đảm bảo thứ hai là sự trôi hệ thống có thể xảy ra của góc nghiêng của lidar trong quá trình hiệu chuẩn, ví dụ do tải gió hệ thống hoặc trôi hệ thống theo thời gian. Độ không đảm bảo này phải được đánh giá dựa trên việc theo dõi góc nghiêng của lidar trong quá trình hiệu chuẩn. Độ không đảm bảo này phải được coi là độc lập với độ không đảm bảo của góc nghiêng do lắp đặt lidar, nghĩa là cả hai giá trị độ không đảm bảo phải được kết hợp bằng phương pháp tổng bình phương.
uθlos là độ không đảm bảo của việc xác định LOS, liên quan đến đánh giá thống kê của θLOS. Đối với phương pháp được mô tả trong 7.5.6, độ không đảm bảo này được ước tính là 0,1°.
7.6.2.4 Độ không đảm bảo của góc nâng chùm tia
uφ đặc trưng cho độ không đảm bảo của góc được sử dụng trong phép chiếu thẳng đứng của tốc độ gió ngang lên LOS. Giá trị của nó được lấy từ:
• hiệu chuẩn thiết bị đo độ nghiêng - đối với thiết lập thử nghiệm trong đó lidar được lắp đặt trên một nền tảng và các giá trị đọc của thiết bị đo độ nghiêng, kết hợp với chiều cao lidar, được sử dụng để thu được giá trị độ cao chùm tia được sử dụng trong phép chiếu hoặc;
• độ không đảm bảo của phép đo trực tiếp φ - đối với thiết lập thử nghiệm trong đó lidar được lắp đặt trên mặt đất hoặc bệ rất ổn định và φ thu được bằng phép đo trực tiếp (ví dụ máy kinh vĩ).
7.6.3 Độ không đảm bảo của độ nghiêng luồng không khí
Thành phần thẳng đứng của vectơ gió bị bỏ qua trong quá trình đánh giá Vref (theo công thức (4)). Yếu tố bị bỏ qua được coi là độ không đảm bảo của Vref do độ nghiêng của luồng không khí:
| uψi = Wsinφi = Vhortanψisinφi | (22) |
trong đó:
uψi là độ không đảm bảo của LOS do độ nghiêng của luồng không khí
W là tốc độ gió thẳng đứng
φ là góc nâng của chùm tia
Vhor là tốc độ gió ngang
ψi là góc luồng không khí vào, ước tính là tan-1(W/Vhor)- Để ước tính uψi có thể sử dụng giá trị trung bình của bin chứa góc luồng không khí vào ψi.
7.6.4 Độ không đảm bảo của phép đo tốc độ LOS
Độ không đảm bảo đo VLOS được thể hiện cho mỗi vùng tốc độ gió như sau:
|
| (23) |
trong đó
là độ không đảm bảo của tốc độ gió tham chiếu được sử dụng trong hiệu chuẩn trong công thức (12);
σdev là độ lệch chuẩn của chênh lệch ∆V = (VLOS - Vref) trong một bin (∆V phải được tính cho mỗi khoảng thời gian 10 min, sau đó độ lệch chuẩn của nó (trong bin tốc độ LOS) được tính toán);
N là số lượng dữ liệu trong bin;
uψi là độ không đảm bảo của góc luồng không khí (xem 7.6.3).
Tất cả các thành phần không đảm bảo hiệu chuẩn LOS được tóm tắt trong Bảng 1, bao gồm cả loại không đảm bảo của chúng.
Bảng 1 - Tóm tắt các thành phần không đảm bảo hiệu chuẩn
| Số | Thành phần | Kiểu | Mô tả |
| Thiết bị đo gió chuẩn | |||
| 1 | Độ không đảm bảo hiệu chuẩn, ucal | B | Độ không đảm bảo hiệu chuẩn của cảm biến thiết bị đo gió chuẩn theo IEC 61400- 12-1:2017 |
| 2 | Đặc tính hoạt động, uope | B | Phân cấp thiết bị đo gió theo IEC 61400-12- 1:2017 |
| 3 | Lắp đặt, umast | B | Độ không đảm bảo lắp đặt của thiết bị đo gió |
| 4 | Chóp thu sét, ulgt | B | Độ không đảm bảo của thiết bị đo gió chuẩn do chóp thu sét |
| 4 | Thu thập dữ liệu, udaq | B | Độ không đảm bảo của hệ thống thu thập dữ liệu |
| Chiều dài đầu dò của lidar | |||
| 5 | Hiệu ứng vị trí, uprobe | B | Sự biến thiên luồng gió ngang trong thể tích đầu dò của lidar |
| Sai số chiều cao | Sai số đo do trượt gió | ||
| 6 | Hệ thống lắp đặt, uvert_pos | B | Chênh lệch độ cao giữa thiết bị đo gió chuẩn và LOS do hệ thống lắp đặt đầu quang |
| 7 | Dải đo, uinc | B | Chênh lệch độ cao giữa thiết bị đo gió chuẩn và LOS do sai số dải đo |
| Hướng gió tương đối | |||
| 8 | Cảm biến hướng gió tham chiếu, ug | B | Độ lệch khỏi tính tuyến tính và các độ không đảm bảo đo khác |
|
| Xác định đường ngắm, | B | Độ không đảm bảo do quy trình trong 7.5.6. |
| Sai số hình chiếu | Sai số tính theo góc được sử dụng trong phép chiếu | ||
| 9 | Hệ thống lắp đặt, uφ | B | Độ không đảm bảo hiệu chuẩn của thiết bị đo độ nghiêng hoặc độ không đảm bảo của phép đo trực tiếp φ (thiết bị đo góc). |
| 10 | Độ nghiêng luồng không khí, uψ | B | Độ không đảm bảo do bỏ qua thành phần Wsinφi |
| Phép đo hiệu chuẩn | |||
| 11 | Độ không đảm bảo thống kê | A | σdev/ |
7.7 Kết quả hiệu chuẩn
Giá trị trung bình của chênh lệch giữa VLOS và Vref trong bin, ∆V = VLOS - Vref, phải được tính cho mỗi bin. Kết quả hiệu chuẩn phải được báo cáo theo định dạng trong Bảng 2.
Tốc độ LOS lidar lắp trên vỏ tuabin có thể được hiệu chỉnh dựa trên kết quả hiệu chuẩn. Việc hiệu chỉnh là bắt buộc nếu độ lệch trung bình bin (ΔV ) lớn hơn độ không đảm bảo
đối với bất kỳ bin tốc độ gió nào. Việc hiệu chỉnh sẽ dựa trên hồi quy tuyến tính giữa tốc độ tham chiếu trung bình bin và tốc độ LOS lidar trung bình bin. Nếu |∆V| <
, việc hiệu chỉnh tốc độ LOS là tùy chọn.
Bảng 2 - Ví dụ bảng hiệu chuẩn
| i, số bin | Vref (m/s) | VLOS (m/s) | N | ΔV (m/s) | σΔV (m/s) | uVref (m/s) |
(m/s) |
| 7 | 4,04 | 4,13 | 13 | 0,10 | ... | 0,05 | ... |
| 8 | 4,51 | 4,57 | 20 | 0,06 | ... | 0,06 | ... |
| 9 | 4,98 | 5,05 | 31 | 0,07 | ... | 0,06 | ... |
| 10 | 5,45 | 5,51 | 12 | 0,06 | ... | 0,07 | ... |
| 11 | 5,98 | 6,08 | 22 | 0,10 | ... | 0,07 | ... |
| ... | ... | ... | ... | ... | ... | ... | ... |
| 23 | 12,01 | 12,05 | 30 | 0,04 | ... | 0,12 | ... |
| 24 | 12,47 | 12,58 | 6 | 0,11 | ... | 0,12 | ... |
| 25 | 12,95 | 13,01 | 14 | 0,06 | ... | 0,12 | ... |
| 26 | 13,53 | 13,63 | 20 | 0,11 | ... | 0,13 | ... |
| 27 | 13,95 | 14,01 | 12 | 0,05 | ... | 0,13 | ... |
| 28 | 14,49 | 14,56 | 7 | 0,08 | ... | 0,13 | ... |
| 29 | 15,01 | 15,05 | 5 | 0,04 | ... | 0,14 | ... |
Khi một số tốc độ LOS đã được hiệu chuẩn, một bảng chứa các độ không đảm bảo cho tất cả các đường ngắm đã hiệu chuẩn sẽ là một phần của kết quả. Bảng này sẽ báo cáo trong các cột khác nhau các độ không đảm bảo tương quan và không tương quan, tương ứng, giữa các đường ngắm khác nhau. Một ví dụ về nội dung bắt buộc để hiệu chuẩn N đường ngắm được đưa ra trong Bảng 3. Một ví dụ chi tiết cho hai đường ngắm được trình bày trong Phụ lục A.
Bảng 3 - Ví dụ về bảng hiệu chuẩn (n = 1...N; N là tổng số đường ngắm được hiệu chuẩn)
| i, số bin | ucorr,1 | uuncorr,1 | ... | ucorr,n | uuncorr,n | ... | ucorr,N | uuncorr,N |
|
|
|
|
|
|
|
|
|
|
là tổng bình phương của các số hạng không đảm bảo có tương quan giữa các chùm tia đối với LOS thứ n.
là tổng bình phương của các số hạng không tương quan giữa các chùm tia đối với LOS thứ n.
7.8 Yêu cầu báo cáo hiệu chuẩn
7.8.1 Báo cáo nội dung
Báo cáo hiệu chuẩn phải cung cấp thông tin được liệt kê trong 7.8.2 đến 7.8.6.
7.8.2 Thông tin chung về lidar
• thiết bị lidar: kiểu máy, năm sản xuất, số sê-ri, nhận dạng phần mềm, cấu hình chùm tia, hình dạng quét;
• (các) cổng phạm vi;
7.8.3 Kiểm tra hình dạng/quỹ đạo của chùm tia (theo 7.2)
• định nghĩa về góc(các góc), ví dụ góc hình nón, góc mở một nửa/toàn phần giữa hai LOSS đồng phẳng, v.v.
• mô tả cách bố trí phép đo;
• mô tả phương pháp đo góc;
• mô tả thiết bị đo;
• bảng kết quả: góc đo được, độ không đảm bảo được báo cáo và khả năng tương thích với thông số kỹ thuật của nhà sản xuất;
7.8.4 Hiệu chuẩn thiết bị đo độ nghiêng (theo 7.3)
• mô tả cách bố trí phép đo;
• mô tả phương pháp;
• mô tả thiết bị đo;
• bảng kết quả: chỉ dẫn về góc nghiêng (τindicated) và góc lăn (ρindicated), góc đo được (τindicated), (ρindicated) và các độ không đảm bảo được báo cáo;
• biểu đồ các góc nghiêng và góc lăn được chỉ định so với các góc nghiêng và góc lăn được đo;
7.8.5 Kiểm tra phạm vi cảm biến (theo 7.4)
• mô tả cách bố trí phép đo;
• mô tả phương pháp;
• mô tả thiết bị đo;
• kết quả xác minh phạm vi;
7.8.6 Hiệu chuẩn tốc độ LOS (cho mỗi LOS)
• mô tả vị trí (7.5.2), bao gồm hình ảnh toàn cảnh của vị trí;
• mô tả về thiết lập đo (7.5.3);
• mô tả về thiết bị tham chiếu, bao gồm: loại và số sê-ri của cảm biến, hiệu chuẩn, phác thảo bố trí cột đo;
• vị trí của lidar và thể tích đầu dò lidar so với thiết bị tham chiếu;
• phương pháp căn chỉnh LOS;
• mô tả về các thiết lập lidar, bao gồm phạm vi đo (7.5.4), cơ sở thời gian so với UTC và phương pháp đồng bộ hóa với các thiết bị tham chiếu;
• vị trí chùm tia được đo và độ không đảm bảo;
• thời gian bắt đầu và kết thúc thu thập dữ liệu;
• mô tả các bộ lọc được áp dụng cho cơ sở dữ liệu đo (7.5.5);
• mô tả phương pháp xác định LOS và LOS thu được (7.5.6);
• hàm hiệu chuẩn cho mỗi tốc độ LOS, với Vref là biến phụ thuộc (y) và VLOS là biến độc lập (x). Hàm hiệu chuẩn là hàm hồi quy bình phương tối thiểu thông thường. R2 cũng phải được báo cáo;
• biểu đồ phân tán và biểu đồ bin của VLOS theo Vref, và biểu đồ của (VLOS theo Vref) so với các biến có liên quan (ví dụ: Vref hoặc TI);
• một hình bao gồm cả hai biểu đồ của ΔV và
như một hàm của Vref;
• biểu đồ chuỗi thời gian về góc nghiêng và góc lăn của lidar cho mỗi hiệu chuẩn LOS;
• (các) bảng có kết quả hiệu chuẩn và độ không đảm bảo (7.7);
• (các) bảng có độ không đảm bảo cho tất cả các đường ngắm được hiệu chuẩn, báo cáo trong các cột khác nhau độ không đảm bảo có tương quan và không tương quan giữa các đường ngắm khác nhau.
8 Độ không đảm bảo do thay đổi điều kiện môi trường
8.1 Quy định chung
Hiệu chuẩn lidar (như trong Điều 7) thiết lập độ không đảm bảo về phép đo tốc độ gió do thiết bị thực hiện trong một tập hợp các điều kiện môi trường cụ thể. Các điều kiện môi trường trong SMC sẽ khác với các điều kiện gặp phải trong quá trình hiệu chuẩn, dẫn đến độ không đảm bảo về phép đo cao hơn.
Độ không đảm bảo bổ sung của phép đo này được đánh giá bằng cách phân tích ảnh hưởng của các biến môi trường (EV) đến độ chính xác của phép đo. Quá trình này bao gồm hai giai đoạn:
1) đánh giá sự đóng góp vào độ không đảm bảo của phép đo các giá trị trung gian do những thay đổi trong EV (xem 8.2);
2) thiết lập phạm vi điều kiện hoạt động mà theo đó EV có thể không ảnh hưởng đến mô hình WFR (xem 8.3).
Ảnh hưởng của EV này đối với độ chính xác của phép đo được dự kiến sẽ là đặc trưng của một mô hình lidar cụ thể (phần cứng và phần mềm) và cấu hình của nó trong các điều kiện hoạt động được xác định. Quy trình hai bước được mô tả ở trên phải được áp dụng cho từng mô hình lidar.
8.2 Giá trị trung gian không đảm bảo do thay đổi điều kiện môi trường
8.2.1 Tài liệu
Sự đóng góp vào độ không đảm bảo đo của mỗi giá trị trung gian do những thay đổi trong điều kiện môi trường phải được đánh giá cho mỗi EV đáng kể. Nhà sản xuất lidar sẽ cung cấp thông tin chi tiết về đánh giá này theo cách có thể xem xét độc lập.
8.2.2 Phương pháp
8.2.2.1 Quy định chung
Phương pháp đánh giá từng đóng góp độ không đảm bảo như vậy sẽ phụ thuộc vào EV và giá trị trung gian. Đánh giá có thể được thực hiện bằng thực nghiệm, thông qua thử nghiệm trong phòng thí nghiệm, bằng mô phỏng hoặc sử dụng phân tích lý thuyết.
Mỗi EV phải được đánh giá trên một phạm vi bao gồm ít nhất các giá trị dự kiến hoặc đo được trong các thử nghiệm tạo thành cơ sở bằng chứng (xem 8.3) hỗ trợ tính đầy đủ của mô hình WFR. Khi độ không đảm bảo do các thay đổi trong EV được đánh giá theo thực nghiệm, đánh giá đó có thể yêu cầu nhiều hơn một thử nghiệm để bao gồm phạm vi giá trị cần thiết.
8.2.2.2 Đánh giá độ không đảm bảo thông qua phân tích độ nhạy
Sự đóng góp vào độ không đảm bảo của phép đo giá trị trung gian do những thay đổi trong điều kiện môi trường có thể được đánh giá thông qua phân tích độ nhạy. Độ nhạy của độ chính xác của giá trị trung gian đối với EV được định nghĩa là tốc độ thay đổi của lỗi trong giá trị trung gian đối với những thay đổi trong EV đó.
Đóng góp liên quan đến độ không đảm bảo của giá trị trung gian được ước tính bằng cách nhân độ nhạy với một phạm vi phù hợp. Nếu EV được đo trong cả quá trình hiệu chuẩn và SMC thì sự khác biệt tuyệt đối giữa các giá trị trung bình của EV có thể được sử dụng làm phạm vi đó. Nếu EV không được đo thì phạm vi được sử dụng phải là ước tính của phạm vi tối đa (chẳng hạn như phạm vi được đưa ra trong Bảng L.3 của IEC 61400-12-1:2017) chia cho
(là tích của các ước số trong L.2.7 và L.4.4 của IEC 61400-12-1:2017).
8.2.2.3 Kiểm tra độ nhạy cho tốc độ LOS
Độ nhạy của tốc độ LOS đối với những thay đổi trong EV có thể được đánh giá thông qua một thử nghiệm độ nhạy tương tự như những thử nghiệm được mô tả trong L.2 của IEC 61400-12-1:2017 (mặc dù định nghĩa về độ nhạy trong tài liệu đó hơi khác so với định nghĩa nêu trên). Trong một thử nghiệm như vậy, tốc độ LOS được so sánh với phép đo tốc độ gió tham chiếu cho một phạm vi giá trị của mỗi EV. Các điều kiện thử nghiệm sau đây phải được đáp ứng trong một thử nghiệm như vậy:
• Vị trí và thiết lập phải tuân theo các yêu cầu từ 7.5.2 và 7.5.3. cần có tối thiểu 1.080 điểm dữ liệu bao phủ phạm vi tốc độ LOS từ 4 m/s đến 12 m/s với ít nhất 5 điểm dữ liệu trong mỗi bin (chiều rộng 0,5 m/s);
• Khi có thể, các thông số tham chiếu phải được đo bằng cảm biến tham chiếu (không phải lidar đang được thử nghiệm). Nếu lidar báo cáo phép đo cường độ tán xạ ngược, thì có thể sử dụng phép đo này để đánh giá mật độ khí dung.
8.2.3 Danh sách các biến môi trường cần xem xét
Danh sách tối thiểu các biến môi trường cần xem xét như sau:
• nhiệt độ không khí, áp suất, độ ẩm tương đối và mật độ;
• chiều cao chân mây;
• mật độ khí dung (ví dụ như đo bằng cường độ tán xạ ngược);
• cường độ luồng xoáy;
• sự thay đổi tốc độ gió tuyến tính trong thể tích đầu dò lidar;
• sự thay đổi không tuyến tính (ví dụ: luật lũy thừa) của tốc độ gió trong thể tích đầu dò lidar;
• dữ liệu có sẵn trong vòng 10 min.
Lưu ý rằng không phải tất cả các EV này đều ảnh hưởng đến mọi giá trị trung gian (ví dụ, độ chính xác hiệu chuẩn của cảm biến nghiêng không được mong đợi là nhạy cảm với mật độ khí dung). Danh sách các EV không đầy đủ và có thể mở rộng dựa trên cơ sở lý luận kỹ thuật phù hợp.
8.2.4 Ý nghĩa của sự đóng góp không đảm bảo
Nếu sự đóng góp vào độ không đảm bảo đo giá trị trung gian do EV gây ra nhỏ hơn một nửa độ không đảm bảo hiệu chuẩn (k=1) theo Điều 7, thì sự đóng góp đó có thể được coi là không đáng kể.
8.3 Cơ sở bằng chứng hỗ trợ tính đầy đủ của WFR
Không phụ thuộc vào độ nhạy của các giá trị trung gian, mô hình WFR có thể nhạy cảm với một số EV. Vì không có cách đơn giản hoặc đã được thiết lập nào để đánh giá độ nhạy như vậy, nên tiêu chuẩn này đưa ra tiêu chí về độ không nhạy của mô hình WFR đối với EV. Tiêu chí này dựa trên cơ sở bằng chứng bao gồm các phép so sánh giữa các phép đo tốc độ gió do lidar lắp trên vỏ tuabin thực hiện (giá trị cuối cùng, không phải giá trị trung gian) và các phép đo do tham chiếu hiệu chuẩn chấp nhận được thực hiện.
Cơ sở bằng chứng phải bao gồm tối thiểu năm thử nghiệm trong đó độ chính xác thỏa đáng của các giá trị cuối cùng đã được chứng minh. Đối với ít nhất hai trong số các thử nghiệm này, lidar đang thử nghiệm phải được lắp trên WTG hoạt động bình thường. Đối với các thử nghiệm còn lại, lidar có thể được lắp trên mặt đất hoặc trên một bệ cố định.
Một thử nghiệm thành công bao gồm:
• ít nhất 600 điểm dữ liệu trung bình 10 min;
• ít nhất 150 điểm dữ liệu 10 min trên 8 m/s;
• ít nhất 150 điểm dữ liệu 10 min dưới 8 m/s;
• để thử nghiệm lidar đo gió lắp trên vỏ tuabin của WTG:
• độ lệch trung bình theo từng bin so với phép đo tham chiếu phải nằm trong phạm vi không đảm bảo (hệ số bao phủ k=1) của phép đo tham chiếu đối với tất cả các bin có tối thiểu 6 cặp điểm dữ liệu 10 min;
• để thử nghiệm lidar lắp trên mặt đất hoặc trên bệ cố định:
• hồi quy tham số đơn giữa các phép đo sẽ thể hiện độ dốc hồi quy trong phạm vi 2 % của 1 và hệ số xác định (R2) ít nhất là 0,97.
Các công cụ tham chiếu được chấp nhận để sử dụng trong việc thiết lập cơ sở bằng chứng bao gồm:
• thiết bị đo gió dạng cốc có cấp tốt hơn 1,7A hoặc 1,7C được lắp đặt và vận hành theo tiêu chuẩn IEC 61400-12-1:2017 (Điều 7), hoặc
• lidar trên mặt đất được hiệu chuẩn và phân cấp theo IEC 61400-12-1:2017 Phụ lục L, hoặc
• một NML tham chiếu riêng tuân thủ theo tiêu chuẩn này.
Các yêu cầu sau đây áp dụng cho các thử nghiệm lắp trên vỏ tuabin trong cơ sở bằng chứng:
• Hoạt động NML sẽ bị giới hạn ở các khu vực mà phép đo không bị ảnh hưởng bởi WTG hoặc chướng ngại vật đang hoạt động, như được định nghĩa trong 10.4.1 của tiêu chuẩn này;
• Địa hình, đối với một khu vực nhất định, phải tuân thủ các yêu cầu của Bảng B.1 từ IEC 61400- 12-1:2017 đối với cả vị trí WTG và WME (như được mô tả thêm trong 10.4.2).
Mỗi yêu cầu sau đây phải được đáp ứng ít nhất bằng một trong các thử nghiệm trong cơ sở bằng chứng:
• Trong đợt đo mới, lidar được thử nghiệm được gắn trên WTG có đường kính rôto nằm trong phạm vi 30 % đường kính rôto của WTG.
• Phạm vi đo được sử dụng trong thử nghiệm nằm trong phạm vi 0,5 đường kính rôto (của WTG được sử dụng trong đợt đo mới) của phạm vi đo phải được sử dụng trong đợt đo mới.
• Chiều cao đo trong thử nghiệm nằm trong phạm vi 30 % chiều cao trục của tuabin trong đợt đo mới.
8.4 Yêu cầu báo cáo
Cơ sở bằng chứng hỗ trợ cho giả định không có đóng góp nào vào độ không đảm bảo về phép đo do tác động của môi trường lên WFR đối với một lidar cụ thể trong SMC phải được trích dẫn. Độ nhạy của các biến trung gian phải được ghi lại.
Nhà sản xuất lidar phải lập báo cáo phân tích độ nhạy có nội dung tối thiểu sau:
• tên nhà sản xuất lidar, loại model và số phiên bản;
• ngày báo cáo;
• báo cáo lịch sử phiên bản;
• tên tác giả, người đánh giá và người cho phép;
• mô tả về lidar;
• độ nhạy đối với các EV được liệt kê ở trên;
• mô tả phương pháp được sử dụng để đạt được các giá trị độ nhạy;
• phạm vi các biến trong đó độ nhạy được coi là hợp lệ;
• giá trị của bất kỳ độ nhạy bổ sung nào và phương pháp xác định chúng;
• tóm tắt cơ sở bằng chứng.
Nếu quan sát thấy bất kỳ sự khác biệt nào trong phép đo cho thấy đánh giá chưa đầy đủ về độ không đảm bảo, những sự khác biệt này phải được báo cáo cho tác giả của cơ sở bằng chứng và báo cáo phân tích độ nhạy, sau đó phải được sửa đổi thành:
• tinh chỉnh mô tả về các điều kiện hoạt động để loại trừ những điều kiện có sự khác biệt, biên soạn lại cơ sở bằng chứng và nếu cơ sở bằng chứng vẫn thỏa đáng, tiếp tục hạn chế các phép đo đối với những phép đo được cơ sở bằng chứng mới hỗ trợ;
• nếu hiệu ứng chỉ giới hạn ở các biến trung gian, hãy điều chỉnh các điều kiện trong đó sự khác biệt xảy ra trong quy trình phân tích độ nhạy bằng cách đưa thêm các EV bổ sung.
9 Độ không đảm bảo của các thông số gió được tái tạo
9.1 Độ không đảm bảo về tốc độ gió ngang
Độ không đảm bảo của tốc độ gió ngang phải được ước tính.
Việc hiệu chuẩn (theo Điều 7) và độ nhạy có thể có đối với EV (theo 8.2) cung cấp độ không đảm bảo của các giá trị trung gian: phép đo tốc độ LOS dọc theo các LOSS khác nhau và các đại lượng đặc trưng cho quỹ đạo chùm tia lidar (góc nghiêng, góc giữa trục quang lidar và mỗi LOS, góc nón, v.v.).
Độ không đảm bảo của tốc độ gió ngang ở độ cao đo mong muốn được tìm thấy bằng cách kết hợp bốn thuật ngữ (thể hiện trong Hình 7):
1) độ không đảm bảo của đầu ra thuật toán WFR độ không đảm bảo của các giá trị trung gian được kết hợp thông qua thuật toán WFR (xem 9.2).
2) độ không đảm bảo do tính phù hợp của thuật toán WFR, được coi là 0 m/s nếu các điều kiện được mô tả trong 8.3 được xác minh (xem 9.3).
3) độ không đảm bảo do sự thay đổi của chiều cao đo, do độ nghiêng và độ lăn của vỏ tuabin hoặc sự thay đổi chiều cao địa hình hoặc cả hai (xem 9.4).
4) khả năng không đảm bảo thêm do phép đo lidar không nhất quán (xem 9.5).

Hình 7 - Quá trình mức cao đối với việc lan truyền độ không đảm bảo tốc độ gió ngang
9.2 Lan truyền độ không đảm bảo thông qua thuật toán WFR
9.2.1 Lan truyền độ không đảm bảo giá trị trung gian u<V>,WFR
Độ không đảm bảo của các giá trị trung gian (được lấy theo Điều 7 và 8.2) được truyền đến tốc độ gió ngang thông qua thuật toán tái tạo được sử dụng trong SMC.
a) Nếu có thể áp dụng GUM (xem JCGM 100:2008) (ví dụ: thuật toán vi phân), thì nên sử dụng các phương trình hoặc phép tính gần đúng rõ ràng để truyền độ không đảm bảo của các giá trị trung gian đến độ không đảm bảo biến đổi cuối cùng theo phương pháp GUM (xem Phụ lục A).
b) Nếu GUM không thể áp dụng được hoặc tác giả của thuật toán không cung cấp các phương trình thì phải sử dụng các phương pháp truyền độ không đảm bảo đo khác (ví dụ: phương pháp Monte Carlo). Trong trường hợp đó, tác giả/chủ sở hữu thuật toán phải cung cấp:
• chính thuật toán (ví dụ: ở định dạng tập lệnh có thể đọc được) hoặc tệp thực thi (DLL);
• danh sách các đại lượng đầu vào của thuật toán;
• danh sách các đại lượng đầu ra.
Cần phải có ước tính về độ không đảm bảo của tất cả các đại lượng đầu vào. Nếu đại lượng đầu vào có thể được hiệu chuẩn (ví dụ: độ nghiêng của lidar và góc cuộn), thì đại lượng đó phải được hiệu chuẩn. Nếu đại lượng đầu vào không thể hiệu chuẩn được thì phải cung cấp ước tính độ không đảm bảo đo (ví dụ: độ không đảm bảo đo phạm vi).
Phần dư hiệu chuẩn phải được coi là thành phần độ không đảm bảo bổ sung uresidual khi áp dụng lidar. Phần dư hiệu chuẩn được xác định là độ lệch trung bình của bin (∆Vi) theo 7.7. Nếu tốc độ LOS được hiệu chỉnh dựa trên kết quả hiệu chuẩn thì phần dư phải được ước tính là hiệu giữa VLos,i được hiệu chỉnh bởi hàm hiệu chuẩn và Vref,i ("i" biểu thị chỉ số bin hiệu chuẩn).
9.2.2 Độ không đảm bảo của các tham số WFR khác uWFR,par
Nếu thuật toán tái tạo bao gồm các tham số khác ngoài các đại lượng đầu vào, tác giả của thuật toán sẽ chỉ ra chúng và cung cấp ước tính về tác động của độ không đảm bảo của chúng đối với các giá trị cuối cùng. Một ví dụ về các tham số như vậy sẽ là một tham số được áp dụng trong thuật toán; Hoặc, nếu sử dụng phép phù hợp để tối ưu hóa việc tái tạo tốc độ gió ngang, thì độ không đảm bảo phát sinh từ quy trình phù hợp cũng nên được coi là một tham số.
9.3 Độ không đảm bảo liên quan đến thuật toán WFR uope,lidar
Cần phải xem xét độ không đảm bảo đo tốc độ gió theo phương ngang phát sinh do sự thay đổi trong hiệu suất của thuật toán WFR dưới các EV khác nhau. Mục đích của 8.3 là cung cấp các tiêu chí để xem xét các giả định của mô hình là có thể chấp nhận được sao cho không cần thêm độ không đảm bảo nào nữa. Nếu các điều kiện được mô tả trong 8.3 được xác minh, thì thuật ngữ độ không đảm bảo này là null.
9.4 Độ không đảm bảo do thay đổi chiều cao đo u<∆V>,measHeight
Mỗi chùm tia hoặc LOS của lidar lắp trên vỏ tuabin đều thăm dò gió ở các độ cao khác nhau so với mặt đất do một hoặc cả hai cơ chế sau:
• Vỏ tua bin nghiêng và lăn dưới lực đẩy và mô men xoắn thay đổi do gió tác dụng lên rôto, khiến các chùm tia lidar nghiêng lên hoặc xuống hoặc lăn quanh trục rôto tua bin;
• Hệ thống lidar theo dõi chuyển động quay của vỏ tua bin sao cho nếu địa hình không hoàn toàn bằng phẳng hoặc tháp tua bin hơi nghiêng thì chiều cao của chùm tia lidar so với mặt đất sẽ thay đổi.
Nên hiệu chỉnh độ biến thiên chiều cao đo (xem 11.8) như một phần của thuật toán WFR hoặc trong quá trình xử lý sau. Trong mọi trường hợp, phải tính đến độ không đảm bảo của chiều cao đo.
• Nếu thuật toán WFR cung cấp đầu ra của các biến cuối cùng ở độ cao mà SMC yêu cầu, thì ước tính độ không đảm bảo được thực hiện như một phần của quá trình truyền từ các giá trị trung gian đến giá trị cuối cùng (9.2).
• Nếu WFR không tính đến chiều cao đo thực tế, nhưng chiều cao đo được hiệu chỉnh trong quá trình xử lý sau (xem 11.8), thì độ không đảm bảo còn lại từ hiệu chỉnh này phải được ước tính và ghi lại. Xem Phụ lục A.4 để biết ví dụ.
• Nếu chiều cao đo không được hiệu chỉnh, trong WFR hoặc trong quá trình xử lý hậu kỳ, thì độ không đảm bảo phải được ước tính là phạm vi hiệu chỉnh khả thi tối đa (ví dụ giả sử trượt gió theo hàm mũ với hệ số trượt gió bảo toàn) đối với tốc độ ngang được tái tạo chia cho căn bậc hai của ba.
9.5 Độ không đảm bảo do sự không nhất quán của phép đo lidar
Theo 11.9, nếu quan sát thấy độ lệch trong thời gian đo, phải áp dụng một thuật ngữ không đảm bảo bổ sung. Đánh giá không đảm bảo tương ứng phải được mô tả trong báo cáo.
9.6 Kết hợp các độ không đảm bảo
Bốn loại độ không đảm bảo nêu trên (9.2.1, 9.2.2, 9.4, 9.5 [4]) có thể được coi là hoàn toàn không tương quan và phải được thêm vào theo phương pháp tích phân.
Một ví dụ về ước tính độ không đảm bảo của tốc độ gió ngang đối với WFR sử dụng hai LOS được đưa ra trong Phụ lục A.
10 Chuẩn bị cho đợt đo cụ thể
10.1 Tổng quan về quy trình
Các yêu cầu của SMC (ví dụ: IEC 61400-12-1:2017 để đo hiệu suất năng lượng) và ý nghĩa của chúng đối với phép đo NML phải được chuẩn bị trước khi bắt đầu đợt đo. Điều này và Hình 8 mô tả các yêu cầu tối thiểu cần được xem xét trong quá trình chuẩn bị này.

Hình 8 - Sơ đồ quy trình
10.2 Danh sách kiểm tra trước đợt đo
Nên chuẩn bị danh sách kiểm tra trước đợt đo trước khi bắt đầu đợt đo. Danh sách kiểm tra này phải giải quyết tất cả thông tin được yêu cầu trong Điều 12 (định dạng báo cáo) trong phạm vi có thể xác định được trước đợt đo.
Thông tin tối thiểu nhưng không giới hạn trong danh sách kiểm tra phải là:
• yêu cầu về tài liệu (theo 6.2);
• giấy chứng nhận hiệu chuẩn lidar (theo Điều 7);
• báo cáo phân tích độ nhạy lidar (theo Điều 8);
• thông tin liên quan đến việc lắp đặt lidar trên WTG (xem 10.3.1);
• nhật ký thay đổi phần mềm liên quan đến báo cáo phân tích độ nhạy;
• mô tả và vị trí của các cảm biến bổ sung phải được sử dụng trong đợt đo nếu cần (xem 10.3.2);
• đánh giá khu vực đo (loại trừ luồng nước và chướng ngại vật, đánh giá địa hình) theo 10.4;
• mô tả về phương pháp đo (tuân theo các yêu cầu của SMC). Đặc biệt, cần đặc biệt chú ý đến việc đồng bộ hóa thời gian của dữ liệu lidar và dữ liệu tuabin (xem 11.4).
10.3 Bố trí đo
10.3.1 Chế độ đặt Lidar
Phải lắp lidar theo hướng dẫn của nhà sản xuất lidar. Việc định vị và cố định các bộ phận lidar khác nhau (ví dụ: đầu quang và bộ xử lý) trên hoặc trong vỏ tuabin phải tuân theo khuyến nghị của nhà sản xuất WTG.
Nên cân nhắc ít nhất những điểm sau trước ngày lắp đặt:
• Vị trí của lidar liên quan đến thiết bị đo trên tua bin phải được chọn sao cho ảnh hưởng giữa chúng được giảm thiểu. Nên đảm bảo rằng đầu đo quang của lidar không làm nhiễu thiết bị đo gió vỏ tuabin và cánh gió. Phải tuân thủ khoảng cách tối thiểu. Điều này phải được xác định với chủ sở hữu và nhà sản xuất WTG. Có thể kiểm tra sự thay đổi trong độ lệch trục quay tua bin trong quá trình đo (xem 11.2 và Phụ lục D).
• Thể tích đo lidar được xác định bởi vị trí đầu quang lidar trên vỏ tuabin, quỹ đạo chùm tia hoặc hình dạng chùm tia, và góc nghiêng và góc lăn của đầu quang lidar, cần có các đầu vào sau (xem Phụ lục C):
- khoảng cách theo chiều ngang từ đầu đo quang của lidar đến tâm rôto (tham chiếu cho khoảng cách theo chiều ngang);
- chiều cao của đầu đo quang của lidar tính từ tâm rôto;
- góc nghiêng và góc lăn của vỏ tua bin (do tháp bị uốn cong) phụ thuộc vào tốc độ gió trong quá trình vận hành WTG và khi đứng yên.
Nhà sản xuất WTG có thể cung cấp thông tin về kích thước của vỏ tuabin và độ cong của tháp tuabin hoặc ước tính thông qua các phép đo trong giai đoạn đầu.
• Trục quang lidar phải được căn chỉnh với hình chiếu ngang của trục rôto. Trong thực tế, điều này đòi hỏi phải xác định một đường tham chiếu trên vỏ tuabin.
Xem Phụ lục C để biết thêm các khuyến nghị và ví dụ.
10.3.2 Các cảm biến khác
Đối với một số SMC (ví dụ: phép đo đặc tính công suất và đánh giá tải), cần phải đo mật độ không khí.
Trong trường hợp đó, cảm biến áp suất không khí và nhiệt độ sẽ là một phần của thiết lập đo. Cảm biến độ ẩm tương đối được khuyến nghị theo IEC 61400-12-1:2017.
Vị trí lắp đặt thiết bị đo phải được lựa chọn theo cách đảm bảo đáp ứng được các điều kiện riêng lẻ sau đây.
Cảm biến nhiệt độ không khí và độ ẩm tương đối (nếu được đo) phải có tác động tối thiểu từ nhiệt tỏa ra hoặc tản ra từ quá trình chuyển đổi năng lượng. Để kiểm tra điều này, có thể đặt một cảm biến tham chiếu ở vị trí thứ hai.
Cảm biến áp suất không khí phải được đặt ở vị trí đảm bảo cảm biến tiếp xúc với bầu không khí.
Việc lắp đặt cảm biến phải tuân thủ các yêu cầu của IEC 61400-12-2:2013, 7.4.
10.3.3 Hiệu chuẩn theo vị trí vỏ tuabin
Vị trí vỏ tuabin (góc xoay) phải được hiệu chuẩn và hiệu chuẩn phải được theo dõi để phát hiện những thay đổi trong suốt đợt đo. Hiệu chuẩn phải được thực hiện theo sổ tay vận hành WTG hoặc theo hướng dẫn và quy trình của người kiểm tra. Trạng thái vận hành và tài liệu hiệu chuẩn lệch của WTG phải được báo cáo như mô tả trong 12.4.
10.4 Khu vực đo
10.4.1 Quy định chung
Phải xác định khu vực đo phù hợp, có tính đến vị trí của chướng ngại vật và địa hình.
10.4.2 Đánh giá ảnh hưởng từ WTG xung quanh và các chướng ngại vật
WTG nơi lắp lidar và chùm tia lidar, tại phạm vi đo, sẽ không bị ảnh hưởng bởi WTG hoặc chướng ngại vật lân cận. Các tiêu chí để xác định chướng ngại vật đáng kể (với chiều cao và khoảng cách từ tuabin nơi lắp lidar) giống hệt với IEC 61400-12-1:2017, Phụ lục A. Khu vực được định nghĩa như trong IEC 61400-12-1:2017, Phụ lục A sẽ bị hạn chế để chùm tia lidar (ở bất kỳ vị trí nào trong quỹ đạo/hình học) không bao giờ bị ảnh hưởng bởi luồng đuôi của tuabin hoặc chướng ngại vật lân cận (xem Hình 9).

Hình 9 - Bản phác thảo mặt bằng của các chùm tia NML ở thượng nguồn của WTG đang được đánh giá và luồng rẽ khí tuabin lân cận
Các chướng ngại vật phải được đánh giá theo IEC 61400-12-1:2017, A.3 (Bảng A. 1) thay thế L cho Rb bằng:
| Rb = Rconf/cos(βmax/2) | (24) |
trong đó Rconf là phạm vi đo và βmax là góc ngang lớn nhất giữa bất kỳ hai vị trí chùm tia nào trong quỹ đạo/hình dạng của chùm tia (góc mở hoàn toàn trong bối cảnh này).
Các khu vực bị loại trừ do luồng rẽ khí sau của mỗi WTG lân cận hoặc chướng ngại vật khác phải được tập trung vào hướng của chúng đến WTG nơi lắp lidar. Chiều rộng của khu vực được xác định theo giá trị tối đa giữa βmax và θwake, được xác định theo công thức (25), (26) hoặc (27) tùy theo trường hợp (xem Hình 10):
• Nếu Ln—Rb > 2Dn hoặc Le — Rb > 2De (tùy theo trường hợp), thì:
|
| (25) |
hoặc
|
| (26) |
• Nếu Ln - Rb ≤ 2Dn hoặc Le – Rb ≤ 2De , thì:
| θwake = 1,3tan-1(1,4) + 10o = 80,8 o | (27) |
trong đó
Dn là đường kính rôto của tuabin lân cận;
De là đường kính rôto của một chướng ngại vật đáng kể;
Ln là khoảng cách đến tâm tháp của tua bin lân cận;
Le là khoảng cách đến tâm của chướng ngại vật.
Đường kính rôto tương đương De phải được đánh giá theo công thức (A.1) của IEC 61400-12-1:2017
A.4. WTG dừng lại phải được coi là một hình trụ có chiều rộng bằng đường kính đế tháp và chiều cao bằng chiều cao đầu trên.
Hình 10 minh họa các công thức (25) đến (27).
Loại trừ khu vực được đưa ra bởi công thức này bao gồm các ảnh hưởng của luồng đuôi của tuabin hoặc chướng ngại vật lân cận lên WTG nơi lắp lidar và thể tích đầu dò lidar. Vì lidar đo gió lắp trên vỏ tuabin hướng về phía trước nên thể tích đầu dò lidar luôn ở thượng nguồn và không bao giờ nằm trong luồng đuôi của WTG nơi lắp lidar.

Hình 10 - Các khu vực cần loại trừ do ảnh hưởng của WTG lân cận và WTG đang hoạt động và các trở ngại đáng kể
Ngoài ra:
• Bất kỳ WTG nào đang hoạt động và ở gần phải cách xa tuabin nơi lắp lidar hơn gấp đôi đường kính rôto của nó (Ln > 2Dn) và bất kỳ chướng ngại vật đáng kể nào cũng phải cách xa tuabin nơi lắp lidar hơn hai đường kính tương đương (Le > 2De);
• Khoảng cách tối thiểu từ các thể tích đo lidar và mỗi tuabin hoặc chướng ngại vật lân cận phải bằng hai đường kính rôto hoặc hai đường kính tương đương nếu phù hợp. Khoảng cách này phải được đánh giá trên tâm [5] của các thể tích thăm dò như sau:
Trong những trường hợp mà — 2Dn < Ln — Rb < 2Dn hoặc — 2De < Le - Rb < 2De, khu vực bị loại trừ phải được lấy là khu vực lớn nhất giữa θwake và θinduction, trong đó luồng gió xoáy được tính theo công thức (28) hoặc (29).
|
| (28) |
|
| (29) |
Các công thức (25) đến (29) giả định rằng tuabin mà lidar được gắn vào không gặp phải lỗi lệch hướng hoặc lỗi này đã được sửa trước khi đợt đo bắt đầu.
Có thể đạt được việc kiểm tra tính nhất quán của độ lệch hướng của tuabin trong quá trình kiểm tra tính nhất quán của khu vực đo (11.3) bằng cách so sánh các hướng mà tại đó các chùm tia lidar bị nhiễu với hướng của các chướng ngại vật và tuabin lân cận.
Một ví dụ về tính toán khu vực đo với một tuabin lân cận và một chướng ngại vật khác được thể hiện trên Hình 11.

CHÚ THÍCH: Trong ví dụ này, tổng khu vực bị loại trừ là 24,07° đến 112,04°.
Hình 11 - Ví dụ về các khu vực cần loại trừ do luồng rẽ khí của tuabin lân cận và chướng ngại vật đáng kể
10.4.3 Đánh giá địa hình
Việc đánh giá độ cao của địa hình phải được tiến hành theo Phụ lục B của IEC 61400-12-1:2017 với các xem xét và sửa đổi sau:
• Vị trí tâm của khối thăm dò đối với hai LOSS có khoảng cách ngang lớn nhất phải được xem xét thay cho WME. Ở đây, mỗi khối đầu dò được coi là một phần đoạn một chiều (tức là kích thước của khối đầu dò vuông góc với LOS được giả định là không đáng kể).
• Đối với NML, "khoảng cách giữa WTG được thử nghiệm và thiết bị đo" gần đúng là Rb, như được xác định trong công thức (24).
• Phải áp dụng Bảng B.1 của IEC 61400-12-1:2017 để đánh giá môi trường xung quanh WTG nơi nắp được lắp trên đó và để đánh giá môi trường xung quanh khối đầu dò.
• Khối lượng đầu dò liên tục chuyển động theo chuyển động xoay của vỏ bọc. Do đó, việc đánh giá xung quanh thể tích dò phải được đánh giá cho các vị trí khác nhau có thể có trong khu vực đo như sau:
- khu vực định hướng đầy đủ được quét bởi các chùm lidar khi đo trong khu vực đo phải được rời rạc hóa 10° kể cả các điểm xa nhất của nó;
- đối với mỗi mẫu 10° của các hướng chùm tia có thể, Bảng B.1 của IEC 61400-12- 1:2017 phải được áp dụng với phạm vi đo lidar Rb, như minh họa trong Hình 12.

CHÚ THÍCH: Bảng B.1 từ IEC 61400-12-1:2017 được đánh giá tập trung vào các điểm WME1 đến WME7.
Hình 12 - Ví dụ về phân tách khu vực định hướng đầy đủ
• Nếu, đối với một khu vực đo nhất định, địa hình không tuân thủ đầy đủ các yêu cầu của Bảng B.1 từ IEC 61400-12-1:2017 đối với cả vị trí WTG hoặc WME, thì địa hình được định nghĩa là "địa hình phức tạp", ít nhất là đối với khu vực đo này và tiêu chuẩn này không áp dụng. Tuy nhiên, việc thu hẹp khu vực đo để đạt đến tình huống mà tất cả các tiêu chí của Bảng B. 1 từ IEC 61400-12-1:2017 đều được đáp ứng là được phép.
• Hồ sơ độ cao của địa hình tại khoảng cách R1 trong phạm vi khu vực được quét bởi các chùm tia lidar trong khi đo gió từ khu vực đo (cung từ các điểm WME1 đến WME7 trong ví dụ của Hình 12), phải được ghi lại. Nếu sự thay đổi độ cao dọc theo cung này vượt quá giới hạn do trường hợp sử dụng đưa ra hoặc gây ra bất kỳ vi phạm nào đối với các giả định của WFR, thì khu vực đo phải được giảm hoặc phải áp dụng hiệu chỉnh theo 11.8.
11 Quy trình đo
11.1 Quy định chung
Mục tiêu của quy trình đo là xác định một bộ tiêu chí rõ ràng để đảm bảo dữ liệu đo thu thập được bởi lidar đo gió lắp trên vỏ tuabin là chính xác, có thể lặp lại và tái tạo được.
11.2 Hoạt động WTG
Chế độ hoạt động của WTG trong suốt đợt đo phải được xác định bởi các yêu cầu của SMC và cấu hình máy không được thay đổi.
Hệ thống điều hướng phải hoạt động và vị trí vỏ tuabin phải được hiệu chuẩn theo 10.3.3.
Việc bảo trì bình thường của WTG phải được thực hiện trong suốt thời gian đo, nhưng công việc đó phải được ghi chú trong nhật ký thử nghiệm. Bất kỳ hoạt động bảo trì nào có thể ảnh hưởng đến phép đo tốc độ gió của lidar lắp trên vỏ tuabin hoặc phản ứng của tuabin đều phải được tránh.
Cần phải kiểm tra xem việc lắp đặt lidar lắp trên vỏ tuabin có ảnh hưởng đến hiệu suất hoạt động của WTG hay không (ví dụ: đưa vào một lỗi xoay). Phụ lục D mô tả các phương pháp để điều tra các tác động tiềm ẩn và cách chúng nên được ghi lại. Các phương pháp này cũng có thể được sử dụng để kiểm tra tính hợp lý của tín hiệu lệch hướng từ WTG.
Nên kiểm tra định kỳ tình trạng của nắp vỏ tuabin nơi lắp lidar và góc nghiêng để phát hiện khả năng xuống cấp của nắp mái (vì có khả năng thiết kế của nắp mái không tính đến tải của thiết bị lidar).
11.3 Kiểm tra tính nhất quán của khu vực đo hợp lệ
Cần phải kiểm tra xem không có chùm tia lidar/LOS nào bị nhiễu bởi luồng xoáy của tuabin lân cận hoặc chướng ngại vật đối với khu vực đo được xác định theo 10.4. Điều này có thể được phát hiện
• hoặc do sự thay đổi đột ngột của hướng gió tương đối ước tính bằng lidar (xem Hình 13);
• hoặc sự thay đổi đột ngột trong sự khác biệt giữa cường độ luồng xoáy LOS (được định nghĩa là tỷ số giữa độ lệch chuẩn 10 min và giá trị trung bình 10 min của tốc độ LOS) của các đường ngắm khác nhau theo hướng lệch (xem Hình 14).
Nếu phát hiện một trong các chùm tia bị nhiễu động do luồng rẽ khí, phạm vi đo khả dụng phải được giảm đi bằng cách loại bỏ khu vực nhiễu động quan sát được thêm, cộng thêm 5 độ ở mỗi đầu của phạm vi nhiễu động này.

Hình 13 - Hướng gió tương đối của lidar so với độ xoay tuabin đối với lidar lắp trên vỏ tuabin hai chùm tia [Wagner R, 2013]

CHÚ THÍCH” Mỗi chấm/ô vuông tương ứng với giá trị trung bình của một bin cho ví dụ chiều rộng bin là 10 độ, tuy nhiên chiều rộng bin 5 độ cũng có thể được áp dụng. Chấm xanh: chùm tia 1; ô vuông tím: chùm tia 2 [Wagner R, 2013],
Hình 14 - Ví dụ về cường độ luồng xoáy LOS so với độ lệch của tuabin, đối với lidar lắp trên vỏ tuabin hai chùm tia
11.4 Thu thập dữ liệu
Dữ liệu phải được thu thập liên tục ở tốc độ lấy mẫu theo hướng dẫn của nhà sản xuất lidar. Việc đưa lưỡi dao qua sẽ ảnh hưởng đến tốc độ lấy mẫu của các phép đo hợp lệ. Tính hợp lệ của mẫu phải tuân theo hướng dẫn của nhà sản xuất lidar, cần ghi lại số lượng mẫu phép đo hợp lệ được thu thập cho mỗi bản ghi. Vì tốc độ rôto sẽ ảnh hưởng đến số lượng mẫu hợp lệ trên mỗi bản ghi, nên cần phải vẽ biểu đồ số lượng mẫu trên mỗi bản ghi theo chức năng của tốc độ gió hoặc tốc độ rôto. Ngoài ra, nên ghi lại cách các điểm đo hợp lệ được phân bổ theo thời gian trên mỗi giá trị thống kê 10 min.
Hệ thống thu thập dữ liệu lidar lắp trên vỏ tuabin sẽ lưu trữ:
• dữ liệu được lấy mẫu
• hoặc số liệu thống kê 10 min (trung bình, độ lệch chuẩn, giá trị lớn nhất và nhỏ nhất) của dữ liệu hợp lệ và chỉ báo phục hồi dữ liệu hoặc dữ liệu hợp lệ.
Thông thường, cần phải tích hợp dữ liệu từ các hệ thống thu thập dữ liệu riêng biệt (ví dụ: tín hiệu tuabin cho hướng gió hoặc vị trí lệch hướng thường được yêu cầu và có thể không khả dụng để đo trực tiếp). Trong những trường hợp này, đồng hồ hệ thống thu thập dữ liệu lidar lắp trên vỏ tuabin phải được đồng bộ hóa với phần còn lại của các hệ thống thu thập dữ liệu trong vòng 1 % hoặc 6 s với điều kiện dữ liệu được thu thập theo chu kỳ 10 min. Việc đồng bộ hóa này phải được kiểm tra và duy trì trong suốt đợt đo.
Dữ liệu có thể bao gồm các giá trị trung gian (tức là tốc độ LOS) và/hoặc các giá trị cuối cùng (tức là tốc độ gió ngang). Có thể cần thêm dữ liệu dựa trên nhu cầu của SMC. Các tập dữ liệu được chọn sẽ dựa trên các khoảng thời gian 10 min.
11.5 Từ chối dữ liệu
Tiêu chí từ chối dữ liệu phải tuân theo các yêu cầu của SMC. Nguyên tắc chung là các tập dữ liệu phải được loại trừ khỏi cơ sở dữ liệu trong các trường hợp sau:
• WTG không ở chế độ hoạt động mong muốn của SMC;
• sự hỏng hóc hoặc xuống cấp của thiết bị đo;
• hướng gió bên ngoài khu vực đo như được định nghĩa trong 10.4;
• tính khả dụng của dữ liệu lidar thấp hơn ngưỡng (ví dụ: do lưỡi dao bay qua hoặc điều kiện khí quyển) để có thể mô tả đầy đủ giai đoạn 10 min.
Trong chấm đầu dòng cuối cùng ở trên, tính khả dụng có thể bị giới hạn ít nhất bởi khoảng cách đo, loại lidar và vị trí của lidar lắp trên vỏ tuabin. Hiện tại, không có hướng dẫn rõ ràng nào về giá trị khả dụng cố định. Thay vào đó, giá trị này sẽ do người dùng xác định để đảm bảo tính khả dụng của dữ liệu đủ cụ thể cho cấu hình và ứng dụng.
Tất cả các tiêu chí loại bỏ phải được báo cáo rõ ràng. Nếu có thể, cần thực hiện phân tích độ nhạy cho từng bộ lọc để xác định xem có bất kỳ ảnh hưởng hoặc sai lệch nào trong kết quả đo hay không. Ví dụ, nếu lidar lắp trên vỏ tuabin cung cấp giá trị khả dụng tín hiệu cho từng bản ghi, ngưỡng được sử dụng để lọc khả dụng tín hiệu phải được điều chỉnh để xác định xem có bất kỳ sai lệch nào được đưa vào tốc độ gió bằng cách sử dụng ngưỡng cụ thể hay không.
11.6 Cơ sở dữ liệu
Các yêu cầu về cơ sở dữ liệu phải tuân theo các yêu cầu đối với SMC (ví dụ IEC 61400-12-1:2017 đối với phép đo đặc tính công suất).
11.7 Ứng dụng thuật toán WFR
Thuật toán tái tạo nên được áp dụng cho tốc độ LOS trung bình 10 min [6].
Nên ghi lại càng nhiều thông tin liên quan đến vị trí quay của vỏ tuabin càng tốt. Thông tin này có thể bao gồm vị trí quay trung bình 10 min, độ lệch chuẩn của vị trí quay và hoạt động của động cơ quay[7].
11.8 Sự thay đổi về độ cao đo
Cần phải xem xét sự thay đổi về độ cao của chùm tia lidar lắp trên vỏ tuabin so với mặt đất hoặc mực nước biển trong quá trình đo. Bất kể địa hình nào, lidar di chuyển cùng vỏ tuabin phản ứng với lực đẩy của rôto có thể gây ra thay đổi về độ cao đo. Việc hiệu chỉnh các thay đổi về độ cao có thể là một phần của quy trình WFR hoặc có thể được áp dụng trong quá trình xử lý sau. Cần ghi lại cách định lượng và tính toán các thay đổi về địa hình và dịch chuyển vỏ tuabin.
• Nếu chênh lệch độ cao là không đổi giữa vị trí tuabin và vị trí đo trên toàn bộ khu vực đo, thì sự chênh lệch độ cao này cần được xem xét khi thiết lập độ nghiêng của lidar lắp trên vỏ tuabin theo 10.4.
• Nếu chênh lệch độ cao địa hình trên toàn bộ khu vực đo vượt quá giới hạn do trường hợp sử dụng đưa ra, lỗi về tốc độ gió phải được hiệu chỉnh, trực tiếp trong thuật toán WFR hoặc trên tốc độ gió trung bình 10 min được tái tạo. Phương pháp hiệu chỉnh phải được ghi lại và một điều khoản độ không đảm bảo bổ sung phải được áp dụng theo 9.4. Nếu các yêu cầu của trường hợp sử dụng được đáp ứng trong một phần của khu vực đo, khu vực đo có thể được điều chỉnh để đáp ứng các yêu cầu về độ cao đo. Xem thêm 10.4.
• Tương tự như các biến thể địa hình, các thay đổi về độ cao đo do độ nghiêng lidar vượt quá giới hạn của trường hợp sử dụng phải được hiệu chỉnh, trực tiếp trong WFR hoặc trên tốc độ gió được tái tạo. Phương pháp hiệu chỉnh phải được ghi lại và một thuật ngữ không đảm bảo bổ sung phải được áp dụng theo 9.4.
Trong mọi trường hợp, góc nghiêng lidar phải được theo dõi trong toàn bộ đợt đo và được báo cáo ít nhất là giá trị trung bình cho mỗi bin hướng là 10° và bin tốc độ gió ngang là 0,5 m/s.
11.9 Giám sát đo lidar
Tính nhất quán của phép đo tốc độ gió lidar trong toàn bộ thời gian đo phải được đánh giá và xác nhận. Nếu quan sát thấy độ lệch trong thời gian đo, phải áp dụng một điều khoản độ không đảm bảo bổ sung. Phương pháp giám sát và đánh giá độ không đảm bảo tương ứng phải được mô tả trong báo cáo. Thay cho việc giám sát, có thể tiến hành hiệu chuẩn lidar sau và so sánh với hiệu chuẩn trước theo các yêu cầu về độ chính xác của SMC.
12 Định dạng báo cáo - các bảng và số liệu liên quan cụ thể cho lidar đo gió lắp trên vỏ tuabin
12.1 Quy định chung
Báo cáo phải đáp ứng các yêu cầu của SMC (ví dụ: đối với thử nghiệm đặc tính công suất, báo cáo phải đáp ứng các yêu cầu từ IEC 61400-12-1:2017, Điều 10) và thông tin cụ thể về lidar đo gió lắp trên vỏ tuabin được liệt kê trong 12.2 đến 12.7. Bất kỳ sai lệch nào so với quy trình được mô tả trong tiêu chuẩn này phải được báo cáo.
12.2 Mô tả vị trí đợt đo cụ thể
a) Tọa độ WTG (bao gồm hệ thống tham chiếu và dữ liệu chuẩn; ví dụ: UTM, WGS 84);
b) tọa độ của tua bin giới hạn khu vực và các chướng ngại vật;
c) khu vực đo được chọn theo 10.4 và xác minh rằng kỳ vọng không bị ảnh hưởng bởi các tuabin hoặc chướng ngại vật khác được đáp ứng theo 11.3;
d) ngoài khơi: Thủy triều trung bình và chiều cao sóng, xác định mức nước biển bình thường tại vị trí;
e) trên bờ:
• kết quả đánh giá địa hình theo 10.4.3;
• cơ sở dữ liệu địa hình và độ phân giải;
• độ cao địa hình dọc theo cung có bán kính bằng phạm vi đo lidar Rb tại vị trí lidar đang đo (xem 10.4.3);
12.3 Thông tin lidar lắp trên vỏ tuabin
a) loại lidar lắp trên vỏ tuabin, số sê-ri, phiên bản phần mềm vận hành;
b) số chùm tia lidar lắp trên vỏ tuabin và mô tả hình học của các mẫu quét (bao gồm các góc liên quan);
c) mọi chi tiết về thiết lập lidar đo gió lắp trên vỏ tuabin, bao gồm vị trí trên vỏ tuabin, cấu hình phần mềm vận hành, phạm vi đo, góc nghiêng và góc lăn cũng như quá trình theo dõi chúng;
d) tham chiếu đến báo cáo hiệu chuẩn theo 7.8;
e) tham chiếu đến kết quả từ phân tích độ nhạy của các giá trị trung gian (8.2) và tham chiếu đến cơ sở bằng chứng hỗ trợ việc áp dụng đóng góp không đáng kể của độ không đảm bảo từ WFR theo 8.4;
f) mối quan hệ giữa cường độ luồng xoáy được báo cáo bởi lidar và TI được đo bằng thiết bị đo gió dạng cốc;
g) kết quả đánh giá tính nhất quán của phép đo tốc độ gió lidar và mô tả phương pháp được sử dụng (xem 11.9).
12.4 Thông tin WTG
Trừ khi có quy định khác trong yêu cầu báo cáo của SMC, thông tin sau đây về WTG phải được báo cáo.
a) nhãn hiệu, kiểu máy, năm sản xuất;
b) độ cao hub và độ cao tham chiếu được sử dụng để xác định độ cao hub;
c) đường kính rôto;
d) điều khiển tuabin (tức là điều khiển góc ngẩng hoặc điều khiển nghẽn gió) và tốc độ rôto theo tốc độ gió ngang;
e) góc nghiêng động dưới tải đẩy theo tốc độ gió;
f) xác định tín hiệu quay (phạm vi, số vòng quay, dấu đại số, độ lệch hướng Bắc tính bằng độ và phương pháp kiểm tra xác nhận điều này);
g) báo cáo hiệu chuẩn tín hiệu quay (xem 10.3.3);
h) định nghĩa về tham chiếu dấu thời gian;
i) định nghĩa các tín hiệu trạng thái được cung cấp;
j) kiểm tra xem việc lắp đặt lidar lắp trên vỏ tuabin có ảnh hưởng đến đặc tính hoạt động của WTG (ví dụ: gây ra sai số quay) theo 11.2 hay không;
12.5 Cơ sở dữ liệu
a) khoảng thời gian đo;
b) tính khả dụng của hệ thống trong khoảng thời gian đo;
c) nhật ký thay đổi
• thay đổi đối với lidar;
• thay đổi đối với tuabin;
• dịch vụ / bảo trì thường xuyên được tiến hành và quan sát.
d) tài liệu về đồng bộ hóa giữa các hệ thống thu thập dữ liệu riêng (ví dụ: tín hiệu tuabin hoặc SCADA và lidar đo gió lắp trên vỏ tuabin) bao gồm phương pháp đồng bộ hóa và giám sát trong suốt đợt đo (xem 11.4);
e) mô tả phân tích dữ liệu bao gồm:
• thông tin về tính hợp lệ của các mẫu lidar (xem 11.4):
i) tiêu chí được sử dụng để xác định tính hợp lệ của mẫu;
li) biểu đồ số lượng mẫu hợp lệ trên mỗi bản ghi theo tốc độ gió; biểu đồ theo tốc độ rôto cũng được khuyến nghị;
iii) nên ghi lại cách các mẫu hợp lệ được phân bổ theo thời gian trên mỗi giá trị thống kê 10 min;
• tất cả các tiêu chí loại bỏ dữ liệu phải được báo cáo rõ ràng (xem 11.5). Tổng số bộ dữ liệu bị xóa phải được báo cáo. Tùy chọn, số lượng bộ dữ liệu bị xóa bởi từng bộ lọc riêng lẻ và tích lũy bằng cách áp dụng các bộ lọc cũng có thể được báo cáo;
f) mô tả chung về phương pháp tính tốc độ gió ngang và hướng gió tương đối từ tốc độ LOS đo được (phương pháp WFR);
g) các điều kiện môi trường (các biến số được xác định là không đáng kể theo 8.2) sau khi lọc;
h) mô tả phương pháp giám sát để đánh giá tính nhất quán của các phép đo lidar (11.9) và nếu quan sát thấy sự không nhất quán dẫn đến độ không đảm bảo bổ sung, phép tính độ không đảm bảo liên quan đến phương pháp này.
12.6 Đồ thị
a) biểu đồ phân tán góc nghiêng lidar theo hàm số của tốc độ gió ngang (bao gồm trung bình, độ lệch chuẩn, giá trị nhỏ nhất và giá trị lớn nhất);
b) biểu đồ phân tán góc lăn lidar theo hàm số của tốc độ gió ngang (bao gồm trung bình, độ lệch chuẩn, giá trị nhỏ nhất và giá trị lớn nhất);
c) nếu có liên quan, biểu đồ phân tán độ lệch của độ cao WFR so với độ cao đo mong muốn theo hàm số của tốc độ gió ngang (bao gồm trung bình, độ lệch chuẩn, tối thiểu và tối đa).
12.7 Độ không đảm bảo
Đánh giá chi tiết về độ không đảm bảo của các biến cuối cùng của lidar (theo Điều 9) phải được báo cáo. Xem ví dụ trong Phụ lục A.
Phụ lục A
(tham khảo)
Ví dụ về tính độ không đảm bảo của các tham số được tái tạo cho WFR với hai đường ngắm
A.1 Giới thiệu về trường hợp ví dụ
Trong phụ lục này, một phần tích độ không đảm bảo được trình bày cho lidar sử dụng phương pháp WFR dựa trên phép đo tốc độ gió từ hai LOS. WFR này là ứng dụng điển hình của lidar hình học chùm cố định nhưng cũng được sử dụng trong các loại lidar quét khác. Tuy nhiên, trong trường hợp sau, độ độ không đảm bảo định vị động cũng phải được xem xét, điều này được bỏ qua ở đây.
Trong ví dụ này, giả định rằng lidar đã được hiệu chuẩn theo Điều 7 trước khi triển khai và hai LOS đã được hiệu chuẩn lần lượt bằng cùng một thiết bị tham chiếu (thiết bị đo gió dạng cốc để đo tốc độ gió ngang và cánh gió để đo hướng gió).
Trong các dấu ngoặc đơn dưới đây biểu thị giá trị trung bình trong chuỗi thời gian 10 min và gạch ngang phía trên chỉ ra biến số biểu thị giá trị trung bình 10 min nhưng không được tính là giá trị trung bình từ dữ liệu tần số cao. Công thức của phương pháp WFR 2-LOS để tính tốc độ gió ngang là:
|
| (A.1) |
|
| (A.2) |
Tốc độ gió ngang
được tính là trung bình bình phương của các thành phần tốc độ gió theo phương dọc và ngang:
|
| (A.3) |
Hướng gió tương đối θ2LOS được tính là hàm atan hai biến số của các thành phần tốc độ gió theo phương dọc và phương ngang.:
|
| (A.4) |
Các biến biểu thị các đại lượng sau:
Vx là thành phần tốc độ gió theo chiều dọc;
Vy là thành phần tốc độ gió ngang;
Vl là tốc độ LOS cho LOS bên trái, nhìn từ phía sau lidar;
VR là tốc độ LOS cho LOS bên phải;
β là góc giữa hai LOS;
τ là góc nghiêng;
p là góc lăn.
A.2 Sự lan truyền độ không đảm bảo thông qua thuật toán WFR
Trong trường hợp này, thuật toán WFR là phân tích và rõ ràng, do đó phương pháp GUM có thể được áp dụng. Công thức chung để kết hợp các độ không đảm bảo theo GUM là:
|
| (A.5) |
trong đó f(xy,x2,...,xN) là hàm kết hợp các biến phụ thuộc, xi, và Ui là các độ không đảm bảo của chúng. Dạng này cho phép có mối tương quan khác không giữa các thành phần độ không đảm bảo, được ký hiệu là ri,j. Các số hạng này là quan trọng trong trường hợp này vì nhiều thành phần độ không đảm bảo ở LOS bên trái có tương quan với các thuật ngữ tương ứng của chúng ở LOS bên phải.
Trong ví dụ này, tốc độ gió theo phương ngang được tính xấp xỉ bằng thành phần dọc của vectơ gió, thành phần ngang được bỏ qua, tương đương với sai số lệch hướng bằng không. Do đó, f được cho bởi:
|
| (A.6) |
Độ không đảm bảo của 1/2 góc mở β/2 và góc nghiêng có thể được bỏ qua vì chúng nhỏ hơn rất nhiều so với độ không đảm bảo của các độ không đảm bảo về tốc độ LOS. Công thức không bao gồm bất kỳ tham số nào có thể có độ không đảm bảo riêng của nó (
= 0).
Do đó, độ không đảm bảo kết hợp chỉ phụ thuộc vào các số hạng được bao gồm trong độ không đảm bảo của phép đo tốc độ dọc theo cả LOS. Các số hạng độ không đảm bảo khác nhau được coi là có tương quan hoàn toàn (ri,j = 1) hoặc không tương quan (ri,j = 0). Ngoài ra, các số hạng độ không đảm bảo có tương quan được coi là có cùng giá trị cho cả hai LOS trong khi các số hạng không tương quan có thể có các giá trị khác nhau cho mỗi LOS. Giải thích cho từng số hạng độ không đảm bảo được đưa ra trong Bảng A.1.
Dựa trên những cân nhắc này, độ không đảm bảo của mỗi LOS có thể được phân tích thành các số hạng không đảm bảo không tương quan và tương quan hoàn toàn.
|
| (A.7) |
và
|
| (A.8) |
trong đó các thành phần độ không đảm bảo UL,i và UR,i không tương quan và không bằng nhau giữa các LOS và các thành phần độ không đảm bảo Cj có tương quan và được cho là bằng nhau giữa các LOS. Các chỉ số 'L' và 'R' biểu thị LOS bên trái và bên phải. Lưu ý rằng không có thành phần nào có tương quan trong một chùm tia.
Độ không đảm bảo kết hợp của tốc độ gió được tái tạo uV,WFR là
|
| (A.9) |
Từ công thức này, có thể thấy được tầm quan trọng của việc xác định các số hạng độ không đảm bảo có tương quan vì chúng đóng góp gấp đôi trọng số so với các số hạng không tương quan. Do đó, điều quan trọng là phải thực hiện các phép tính tổng riêng biệt của các số hạng có tương quan và không tương quan trong các thành phần độ không đảm bảo trong việc hiệu chuẩn và độ nhạy của các giá trị trung gian đối với EV để chúng có thể được kết hợp chính xác. Điều quan trọng nữa là các phép tính tổng được thực hiện với các hệ số độ nhạy chính xác đã được áp dụng để tất cả các thành phần độ không đảm bảo được chia tỷ lệ theo tốc độ LOS.
Bảng A.1 - Các thành phần độ không đảm bảo và mối tương quan của chúng giữa các LOS khác nhau
| Ký hiệu trong công thức (A.9) | Thành phần độ không đảm bảo | Sự tương quan của độ không đảm bảo giữa các LOS | Giải thích |
| C1 | Độ không đảm bảo hiệu chuẩn, ucal | 1 | Độ không đảm bảo của thiết bị đo gió dạng cốc tham chiếu - giả định là hoàn toàn tương quan vì cùng một thiết bị đo gió dạng cốc đã được sử dụng để hiệu chuẩn cả hai tốc độ LOS. |
| C2 | Đặc tính hoạt động, uope | 1 | |
| C3 | Lắp đặt, umast | 1 | |
| C4 | Thu thập dữ liệu, udaq | 1 | |
| C5 | Ảnh hưởng vị trí, uprobe | 1 | Độ không đảm bảo do ảnh hưởng của vị trí tham chiếu - giả định là hoàn toàn tương quan vì cả hai LOS đã được hiệu chuẩn tại cùng một vị trí. |
| UL,1; UR,1 | Sai số chiều cao, uvert_pos | 0 | Độ không đảm bảo do chiều cao của chùm tia so với chiều cao của các thiết bị đo tham chiếu - giả định là không tương quan vì chúng đặc trưng cho mỗi lần hiệu chuẩn LOS. |
| C6 | Dải đo, uinc | 1 | Độ không đảm bảo do phạm vi đo tham chiếu - giả định là hoàn toàn tương quan vì cấu hình phạm vi đã được giữ nguyên trong suốt quá trình hiệu chuẩn cả hai LOS. |
| C7 | Cảm biến hướng gió tham chiếu, uθ | 1 | Độ không đảm bảo do cánh quạt tham chiếu - giả định là hoàn toàn tương quan vì cùng một cánh quạt đã được sử dụng để hiệu chuẩn cả hai tốc độ LOS. |
| UL,2; UR,2 | Xác định đường ngắm, | 0 | Độ không đảm bảo của LOS là đặc trưng cho mỗi lần hiệu chuẩn LOS - đặc biệt ở đây vì chúng ta giả định rằng chúng đã được hiệu chuẩn lần lượt và đầu quang lidar đã phải di chuyển giữa quá trình hiệu chuẩn của hai LOS. |
| UL,3; UR,3 | Sai số do phép chiếu, uφ | 0 | Độ không đảm bảo của từng phép hiệu chuẩn LOS đối với góc nâng chùm tia là riêng biệt - đặc biệt trong trường hợp này, vì giả định rằng các phép hiệu chuẩn đã được thực hiện lần lượt, và đầu đo quang của lidar đã được di chuyển giữa hai lần hiệu chuẩn của hai LOS. |
| UL,4; UR,4 | Phần dư sau hiệu chuẩn, uresidual | 0 | Hàm hiệu chuẩn được xác định riêng biệt cho mỗi lần hiệu chuẩn chùm tia. |
| Lưu ý rặng bảng này sẽ khác nếu sử dụng một bố trí hiệu chuẩn khác (ví dụ nếu cả hai LOS đều được hiệu chuẩn đồng thời bằng cách sử dụng hai bộ thiết bị tham chiếu khác nhau). | |||
Lưu ý rằng những độ không đảm bảo phát sinh từ hiệu chuẩn được đưa ra dưới dạng hàm số của tốc độ LOS và chúng cần được chuyển đổi thành hàm số của tốc độ gió ngang.
A.3 Độ không đảm bảo vận hành của lidar và thuật toán WFR
Loại lidar trong ví dụ này được giả định là đáp ứng mọi tiêu chí từ 8.3 để có cơ sở cho việc bỏ qua sự đóng góp vào độ không đảm bảo của phép đo do tác động của môi trường lên WFR uope,lidar = 0)
A.4 Đóng góp độ không đảm bảo từ sự thay đổi của độ cao đo
Theo 11.8, cần phải xem xét các thay đổi về độ cao của chùm tia lidar lắp trên vỏ tuabin so với mặt đất hoặc mực nước biển trong quá trình đo và ước tính độ không đảm bảo liên quan. Trong ví dụ này, thuật toán WFR (các công thức (A.1) đến (A.4)) không tính đến sự thay đổi độ cao đo (tức là cả hai LOS đều được cho là đo ở cùng độ cao độc lập với các thay đổi góc nghiêng hoặc góc quay của vỏ tuabin). Do đó, độ không đảm bảo phải được ước tính trong quá trình xử lý sau.
Giả sử không có sự chênh lệch độ cao giữa các LOS tại bất kỳ thời điểm nào, thì mỗi giá trị 10 min của tốc độ gió ngang Vm được tái tạo có thể được chia tỷ lệ thành độ cao đo mong muốn (ví dụ độ cao trục) với giả thiết rằng biên dạngn trượt gió theo hàm mũ VH = Vm
đưa ra hiệu chỉnh có thể có của:
|
| (A.10) |
trong đó zH là độ cao đo mong muốn và zm là độ cao đo thực tế. Hệ số trượt gió α nên được lấy từ các phép đo nếu có, nếu không, có thể giả định một hằng số hợp lý cho địa hình, ví dụ α = 0,1 cho các ứng dụng ngoài khơi.
• Nếu tốc độ gió ngang không được hiệu chỉnh theo độ cao, độ không đảm bảo phải được tính từ phạm vi hiệu chỉnh tối đa có thể, tức là sử dụng ước tính thận trọng về hệ số trượt gió trong công thức (A.10):
|
| (A.11) |
• Nếu tốc độ gió ngang được hiệu chỉnh theo độ cao, độ không đảm bảo còn lại của phép hiệu chỉnh có thể xác định được theo GUM bằng cách lấy đạo hàm của ∆V trong (A.10) theo độ trượt gió, độ cao đo và tốc độ gió đo được.
|
| (A.12) |
trong đó uα là độ không đảm bảo của trượt gió, uZm là độ không đảm bảo của độ cao đo thực tế và uVm là độ không đảm bảo của tốc độ gió đo được (uVm = uV,WFR). Ví dụ, trong một ứng dụng điển hình, người ta có thể có zH = 100m, zm = 98m, α = 0,1, và Vm = 10 m/s, điều này đưa ra độ không đảm bảo còn lại do thay đổi độ cao đo sau khi các phép đo được hiệu chỉnh
.
Độ không đảm bảo của độ cao đo uzm có thể bắt nguồn từ độ không đảm bảo của phép đo góc nghiêng ur
| uzm = uτRconf/(cosτ)2 | (A.13) |
trong đó Rconf là phạm vi đo.
Độ không đảm bảo do góc lăn của đầu đo quang lidar nhỏ hơn rất nhiều độ không đảm bảo do góc nghiêng. Do đó, có thể bỏ qua số hạng độ không đảm bảo này.
A.5 Kiểm tra tính nhất quán của tốc độ gió
Trong ví dụ này, giả định rằng việc kiểm tra tính nhất quán của phép đo tốc độ gió bằng lidar theo 11.9 không cho thấy bất kỳ độ lệch nào trong khoảng thời gian đo và không cần phải thêm độ không đảm bảo.
A.6 Độ không đảm bảo đo tổng hợp
Kết hợp tất cả các thành phần lại với nhau, độ không đảm bảo của tốc độ gió ngang được tái tạo, trong ví dụ này là:
|
| (A.13) |
Phụ lục B
(tham khảo)
Phương pháp đề xuất để đo góc nghiêng và góc lăn
Quy trình dưới đây đưa ra đồng thôi việc hiệu chuẩn thiết bị đo độ nghiêng và giá trị góc mở giữa hai chùm tia [8]. Hình B.1 chỉ ra bố trí hình học của hai chùm tia lidar được cân bằng chính xác trên mặt phẳng nằm ngang (màu xám, các điểm ABC) và sau một độ dịch chuyển nghiêng τ và một độ dịch chuyển lăn ρ (màu đỏ, các điểm A'B'C). Điểm A là gốc của các chùm tia (tại ống thu quang của lidar), điểm B là vị trí phát hiện được của chùm tia 0 ở khoảng cách L0 và điểm C là vị trí phát hiện được của chùm tia 1 ở khoảng cách L1. Khoảng cách theo chiều ngang giữa hai vị trí chùm tia phát hiện được B và C là L2. Góc mở (hoàn toàn) của các chùm tia lidar là β. Do nghiêng (góc τ) và lăn (góc p), các vị trí chùm tia 0 và chùm tia 1 được nâng lên với độ cao H0 và H1 tương ứng.

CHÚ DẪN
| A: | nguồn phát chùm tia |
| B và C: | vị trí phát hiện của chùm tia 0 và chùm tia 1 |
Hình B.1 - Cặp chùm tia lidar nghiêng và lăn (màu đỏ) được hiển thị liên quan đến vị trí tham chiếu (màu xám)
Vì độ dịch chuyển do nghiêng và lăn được giả định là tương đối nhỏ (vì lý do thực tế), CC' và BB' được ước tính là vuông góc với mặt phẳng ABC. Khi đó, độ dịch chuyển do nghiêng và lăn được xác định bởi:
|
| (B.1) |
|
| (B.2) |
Đối với bố trí hình học Lidar chỉ bao gồm hai chùm tia nằm ngang, các góc nghiêng và góc lăn đo được là:
| τmeasured = τ | (B.3) |
| ρmeasured = ρ | (B.4) |
Đối với bố trí hình học Lidar gồm hai chùm tia dưới và hai chùm tia trên, với một mặt phẳng đối xứng thẳng đứng và một mặt phẳng đối xứng nằm ngang, các góc nghiêng và góc lăn đo được là:

Trong đó, γv là phép chiếu của γ (góc mở giữa hai chùm tia đối xứng theo mặt phẳng nằm ngang) lên mặt phẳng đối xứng thẳng đứng của lidar, như được mô tả trong Hình B.2.

CHÚ THÍCH: γv là hình chiếu trên mặt phẳng YZ của góc mở (γ) giữa LOS 1 và 2.
Hình B.2 - Góc mở giữa hai chùm tia đối xứng với mặt phẳng nằm ngang (γ) và hình chiếu của nó lên mặt phẳng đối xứng thẳng đứng của lidar (γv)
Quy trình này cũng có thể được áp dụng cho các lidar quét hình học cố định bằng cách phát hiện chùm tia ở hai vị trí phương vị khác nhau của mẫu quét.
Phụ lục C
(tham khảo)
Khuyến nghị lắp đặt lidar trên vỏ tuabin
C.1 Vị trí đầu đo quang của lidar trên vỏ tuabin
Nên xem xét các bước sau đây trước ngày lắp đặt để xác định vị trí lắp đầu đo quang của lidar và bộ xử lý, trong trường hợp lidar có bộ xử lý riêng, bên ngoài và bên trong vỏ tuabin.
Vị trí của lidar liên quan đến thiết bị đo trên tuabin nên được chọn sao cho ảnh hưởng giữa chúng được giảm thiểu. Một danh sách không đầy đủ các khuyến nghị để tránh những sự can thiệp như vậy được cung cấp dưới đây:
• Để tránh nhiễu ảnh hưởng đến lidar, nên lắp lidar như sau:
- lắp càng gần vị trí trung tâm càng tốt để tránh sự khác biệt về khả năng sử dụng các chùm tia ở phía bên trái và bên phải theo quỹ đạo/hình học;
- đảm bảo rằng tất cả các LOS được sử dụng cho WFR đều không có chướng ngại vật (ngoại trừ việc cánh đi qua là điều không thể tránh khỏi), xem Hình C. 1 và Hình C.2.

Hình C.1 - Ví dụ về vị trí tốt (trái) và xấu (phải) cho lidar 2 chùm tia

Hình C.2 - Ví dụ về vị trí tốt (trái) và xấu (phải) cho lidar 4 chùm tia
• Trước khi lắp đặt lidar, khuyến nghị là các hướng dẫn công việc nên được lập bởi OEM hoặc một chuyên gia tư vấn độc lập. Trong trường hợp hướng dẫn công việc do một chuyên gia tư vấn độc lập lập, hướng dẫn công việc phải được OEM hoặc chủ sở hữu tuabin chấp thuận. Hướng dẫn công việc sẽ đảm bảo:
• sự an toàn của nhân viên thực hiện lắp đặt lidar và nhân viên thực hiện bảo trì tuabin;
• tính toàn vẹn của cấu trúc tuabin;
• tính toàn vẹn của hiệu suất tuabin (ví dụ: Đầu đo quang của lidar không được làm nhiễu tuabin).
C.2 Đầu đo quang của lidar nghiêng trước cho lidar chùm cố định
Đối với hầu hết các trường hợp sử dụng, trục quang lidar phải hướng đến độ cao hub ở 2,5 D phía trước rôto, thường đòi hỏi phải nghiêng đầu đo quang xuống một chút (như minh họa trong Hình C.3) để bù cho:
1) Độ cao của đầu đo quang so với độ cao hub (HOH):

trong đó
XOH là khoảng cách theo phương ngang giữa đầu đo quang của lidar và mặt phẳng rôto
Lu là khoảng cách theo phương ngang giữa mặt phẳng rôto và vị trí đo phía trước rôto;
HOH là khoảng cách thẳng đứng giữa đầu đo quang của lidar và trục rôto.
2) Sự chênh lệch về góc nghiêng của vỏ tuabin khi tuabin vận hành và khi tuabin đứng yên (điều này có thể xác định được từ mô phỏng số hoặc phép đo): δNac = δope - δStandStill
3) Hiệu chỉnh được xác định từ việc hiệu chuẩn thiết bị đo độ nghiêng: δCal.
Tổng góc nghiêng trước được xác định bởi:
δtot = δH + δNac + δCal

Hình C.3 - Bản phác thảo đầu đo quang của lidar nghiêng trước xuống dưới để đo ở độ cao hub (ví dụ cho lidar hai chùm tia)
Độ nghiêng trước như vậy chủ yếu liên quan đến lidar lắp trên vỏ tuabin 2 chùm tia chỉ có thể đo ở một độ cao và không được trang bị bù chuyển động vỏ tuabin theo thời gian thực. Đối với lidar lắp trên vỏ tuabin có thể đo tốc độ gió ở 2 độ cao trở lên (ví dụ lidar hình học chùm tia cố định có hơn 2 chùm tia hoặc lidar quét hình nón), độ nghiêng trước thực tế của lidar phải được báo cáo để tính toán hiệu chỉnh độ trượt gió theo phương thẳng đứng và điều kiện gió ở độ cao đo mong muốn.
C.3 Điểm gắn cho lidar
Ít nhất các khuyến nghị sau đây phải được xem xét khi xác định các điểm gắn:
Trước khi lắp lidar, cần tính toán phản lực và mômen tác động lên nắp trên của vỏ tuabin. Cần kiểm tra để đảm bảo rằng hệ số dự phòng an toàn tương ứng có đáp ứng được thông lệ tốt nhất của ngành hay không.
Các điểm gắn lidar phải được đặt ở vị trí của kết cấu mà tính chất vật liệu của chúng không bị suy giảm/ảnh hưởng bởi chính vị trí đó.
Không nên lắp đặt lidar ở nơi có điểm neo an toàn vì yêu cầu về khả năng tiếp cận bảo dưỡng.
Phụ lục D
(tham khảo)
Đánh giá ảnh hưởng của lidar lắp trên vỏ tuabin đến đáp ứng của tuabin
D.1 Quy định chung
Sự có mặt của lidar trên vỏ tuabin có thể ảnh hưởng đến các cảm biến đo tốc độ gió và hướng gió, thường được đặt ở phía sau của vỏ tuabin. Các tín hiệu này thường được sử dụng trong điều khiển tua bin, ví dụ như để quay theo hướng gió chủ đạo, do đó có thể có trường hợp lidar ảnh hưởng đến các phép đo bằng cảm biến trên vỏ tuabin ở mức độ ảnh hưởng đến tính năng của tuabin. Tầm quan trọng của tác động từ việc lắp đặt lidar phụ thuộc vào trường hợp sử dụng.
Giá trị ảnh hưởng phụ thuộc vào vị trí và kích thước của cả thiết bị đo lắp trên vỏ tuabin và lidar. Việc tuân theo hướng dẫn về vị trí và lắp đặt của Điều 10 sẽ không gây ra ảnh hưởng (hoặc ảnh hưởng không đáng kể); tuy nhiên, nên kiểm tra tính nhất quán để xác minh điều này bằng một trong các phương pháp được mô tả bên dưới, tùy thuộc vào trường hợp cụ thể. Nếu phát hiện thấy sự thay đổi đáng kể sau khi lắp lidar, cần tìm vị trí mới cho lidar hoặc, trong trường hợp không thể thực hiện được, cần xem xét sự khác biệt giữa hai giai đoạn như một độ không đảm bảo bổ sung của phép đo tốc độ gió. Sự khác biệt cần được báo cáo trong báo cáo đo.
D.2 Các phương pháp khuyến nghị để kiểm tra tính nhất quán
D.2.1 Quy định chung
Tiêu chuẩn này mô tả ba cách tiếp cận khác nhau có thể được lựa chọn dựa trên thông tin và chế độ đặt có sẵn:
• Phương pháp tiếp cận dựa trên tài liệu: Phương pháp tiếp cận này được khuyến nghị trong trường hợp nhà sản xuất WTG có đủ kinh nghiệm với một mô hình WTG nhất định kết hợp với một loại cảm biến cụ thể. Trong trường hợp này, phải công bố tài liệu hướng dẫn công việc để xác định vị trí và thông số lắp đặt của lidar.
• Phương pháp tiếp cận dựa trên dữ liệu trong việc đặt WTG cạnh nhau trong một trang trại gió: Phương pháp tiếp cận này sử dụng đặc tính hiệu suất tương đối của WTG trước và sau khi lắp đặt lidar để phát hiện ảnh hưởng của nó lên thiết bị đo vỏ tuabin. Hai WTG cùng loại được tiếp xúc với cùng điều kiện gió và do đó, đặc tính hiệu suất tương đối, bất kể sự thay đổi trong điều kiện luồng không khí vào, chỉ nên cho thấy những thay đổi nhỏ. Phương pháp này được kỳ vọng là phương pháp tiếp cận mặc định, trừ khi có đủ kinh nghiệm để áp dụng phương pháp tiếp cận dựa trên tài liệu.
• Phương pháp tiếp cận dựa trên dữ liệu sử dụng đường cong công suất tương đối của WTG được đánh giá trước và sau khi lắp đặt lidar: phương pháp tiếp cận này được đề xuất cho các tình huống không có tài liệu và các tuabin lân cận, ví dụ như trong thử nghiệm nguyên mẫu. Phương pháp này đòi hỏi phải xem xét sự thay đổi trong điều kiện luồng không khí vào và thu thập dữ liệu từ các cảm biến tốc độ gió và hướng gió. Điều này có thể yêu cầu lắp đặt thêm thiết bị đo trên vỏ tuabin. Do đó, kịch bản này dự kiến chỉ được sử dụng nếu không thể áp dụng hai phương pháp tiếp cận trước.
D.2.2 Cách tiếp cận dựa trên tài liệu
Đối với những trường hợp cụ thể (ví dụ: kích thước vỏ tuabin WTG, vị trí đặt thiết bị đo gió, vị trí lidar), các tài liệu liên quan như ảnh và bản vẽ có thể được sử dụng làm bằng chứng cho thấy không có sự nhiễu loạn nào đối với các thiết bị vỏ tuabin và do đó không ảnh hưởng đến đặc tính của WTG.
D.2.3 Phương pháp tiếp cận dựa trên dữ liệu sử dụng WTG lân cận
D.2.3.1 Quy định chung
Ý tưởng chung của phương pháp này là so sánh các thông số (hoặc đại lượng thay thế) khác nhau của WTG được lắp lidar và WTG tham chiếu không lắp lidar, trước và sau khi lắp lidar.
Các tín hiệu SCADA 10 min sau đây là cần thiết từ cả WTG tham chiếu và WTG lắp lidar, cho cả khoảng thời gian trước và sau khi lắp đặt lidar:
• công suất tác dụng (kW): trung bình & tối thiểu;
• tín hiệu khả dụng của WTG;
• nhiệt độ môi trường (°C): trung bình;
• vị trí vỏ tuabin (°): tín hiệu vị trí vỏ tuabin trung bình phải được hiệu chuẩn và hiệu chỉnh (nếu cần) để cung cấp giá trị tương đối so với hướng chính Bắc;
• tốc độ gió vỏ tuabin (m/s): trung bình;
• hướng gió vỏ tuabin (°): trung bình.
D.2.3.2 Lựa chọn WTG tham chiếu
WTG tham chiếu phải có vùng không bị nhiễu loạn, tương tự như WTG có lidar. Thiết bị cũng phải chạy theo cùng một chế độ đặt vận hành trước và sau khi lắp đặt lidar, và những chế độ đặt này phải không thay đổi đối với cả WTG tham chiếu và WTG có lidar. Chỉ hoạt động không bị hạn chế của cả WTG thử nghiệm và WTG tham chiếu mới được đưa vào phân tích.
D.2.3.3 Kiểm tra ảnh hưởng đến công suất đầu ra của WTG
Mối quan hệ giữa WTG tham chiếu và WTG có lidar phải được đánh giá hai lần (ví dụ như hồi quy tuyến tính; xem Hình D.1):
i) một lần trước khi lắp đặt lidar (tức là khi không có lidar)
ii) và một lần sau khi lắp đặt lidar.
Các điểm hợp lệ cho các bộ dữ liệu đồng thời của cả WTG tham chiếu và WTG lắp lidar phải đáp ứng các tiêu chí sau:
• hướng gió trung bình trong khu vực không bị nhiễu động chung;
• công suất trung bình trong khoảng 3 % đến 97 % công suất danh định;
• khả năng sử dụng WTG 100 % trong vòng 10 min;
• công suất tối thiểu > 0 kW;
• nhiệt độ môi trường trung bình > 2 °C.
Hình D.1 cho thấy một ví dụ về so sánh dữ liệu công suất hoạt động đồng thời giữa hai tua bin lân cận, trong đó không có sự thay đổi nào trong mối quan hệ trước và sau. Có ít kinh nghiệm trong việc áp dụng phương pháp này và do đó không có tiêu chí cụ thể nào được đề xuất trong tiêu chuẩn này.

Hình D.1 - Ví dụ về báo cáo so sánh song song
D.2.3.4 Kiểm tra ảnh hưởng đến vị trí vỏ tuabin của WTG
Để kiểm tra xem việc lắp đặt lidar có ảnh hưởng đến đáp ứng quay của WTG hay không, tỷ lệ công suất điện của hai WTG nên được vẽ đồ thị dưới dạng hàm số của tín hiệu vị trí vỏ tuabin của cùng một tuabin, trong hai khoảng thời gian: trước và sau khi lắp đặt. Một ví dụ về mối quan hệ như vậy được cho trên Hình D.2. Đối với cả hai khoảng thời gian, phạm vi chia bin phải được giữ nguyên và số lượng điểm trong khu vực quan tâm, cũng như phân bố điểm, phải tương đương nhau.
Trong trường hợp lắp đặt lidar ảnh hưởng đến đáp ứng quay của tuabin, vị trí của đỉnh tỷ lệ sẽ thay đổi so với vị trí đỉnh trước khi lắp đặt lidar. Do đó, nếu đỉnh vẫn giữ nguyên vị trí sau khi lắp đặt lidar, có thể kết luận rằng đáp ứng của tuabin không thay đổi và lidar không can thiệp vào các cảm biến được sử dụng để định hướng tuabin. Sự thay đổi vị trí đỉnh theo thứ tự từ 1° đến 2° độ theo bất kỳ hướng nào đều nằm trong phạm vi không đảm bảo thực nghiệm của phương pháp và do đó không được coi là thay đổi.

Hình D.2 - Ví dụ về tỷ lệ công suất giữa hai tua bin lân cận
D.2.3.5 Kiểm tra ảnh hưởng đến cảm biến tốc độ gió và hướng gió của WTG
Một cách tiếp cận thay thế để xác định xem việc lắp đặt lidar có ảnh hưởng đến các chỉ số của bất kỳ cảm biến tốc độ/hướng gió nào của tuabin hay không là kiểm tra mối quan hệ của hai tín hiệu thiết bị đo gió/hướng gió cho một phạm vi tốc độ gió cụ thể là hàm số của vị trí vỏ tuabin trong khu vực tự do, trước và sau khi lắp đặt lidar. Mối quan hệ giữa các cảm biến liên quan sẽ duy trì tương tự trước và sau khi lắp đặt lidar nếu không có ảnh hưởng nào từ lidar đã lắp đặt lên bất kỳ cảm biến nào.
D.2.4 Phương pháp tiếp cận dựa trên dữ liệu chỉ sử dụng WTG đang được đánh giá
D.2.4.1 Quy định chung
Phương pháp này nhằm phát hiện sự thay đổi đáng kể trong sự khác biệt giữa hướng gió tương đối được đo bằng hai cảm biến hướng gió vỏ tuabin, trước và sau khi lắp đặt lidar trên vỏ tuabin. Phương pháp này được mô tả trong Hình D.3.

Hình D.3 - Sơ đồ quá trình chung
Phương pháp tiếp cận này dựa trên giả định rằng nguồn duy nhất gây ảnh hưởng bất lợi đến việc điều khiển tuabin bắt nguồn từ sự thay đổi hướng gió tương đối được báo cáo bởi các cảm biến hướng gió trên vỏ tuabin.
D.2.4.2 Tín hiệu yêu cầu
Cách tiếp cận này đòi hỏi các tín hiệu được báo cáo của tuabin dưới đây, được chỉ ra bởi chỉ số TR (không áp dụng thêm hiệu chỉnh):
• thiết bị đo gió lắp trên vỏ tuabin đo tốc độ gió, VNAC,TR [m/s];
• hướng gió vỏ tuabin thứ nhất, Dir1,Nac,TR [°];
• hướng gió vỏ tuabin thứ hai, Dir2,Nac,TR [°];
• vị trí vỏ tuabin, DirYaM,TR [°].
Hai tín hiệu Dirk,Nac,TR được hiểu là các tín hiệu hướng gió liên quan đến hướng của vỏ tuabin. Độ lớn điển hình trong quá trình vận hành là khoảng ± 5°. Nhiều thiết kế WTG mặc định cung cấp một tín hiệu duy nhất có nguồn gốc từ hai cảm biến đối với Dirk,Nac,TR. Vì phương pháp này nhằm mục đích phát hiện sự thay đổi hướng luồng không khí có hệ thống, nên phương pháp này yêu cầu tín hiệu riêng của từng cảm biến hướng gió vỏ tuabin.
Quá trình xử lý tín hiệu phải giữ nguyên trước và sau khi lắp đặt lidar.
Vì tín hiệu vị trí vỏ tuabin được sử dụng để chọn các mẫu 10 min trong phạm vi đo, nên tín hiệu vị trí vỏ tuabin phải được hiệu chuẩn và hiệu chỉnh để cung cấp dưới dạng giá trị so với hướng chính Bắc, cho mỗi mẫu 10 min:
| DirTrueNorth = (DirYaw,TR + DirOffsetCorr )mod360o | (D.1) |
trong đó DirOffsetCorr là góc bù để hiệu chỉnh DirYaw,TR so với hướng chính Bắc.
Nên hiệu chuẩn tín hiệu vị trí vỏ tuabin một tháng trước khi lắp đặt NML. Vì bộ mã hóa góc quay có thể bị trôi, nên nên kiểm tra lại tính hợp lệ của việc hiệu chuẩn ngay trước hoặc/và ngay sau khi lắp đặt NML.
D.2.4.3 Đường cơ sở
Bộ dữ liệu đường cơ sở cần được thu thập trước khi lắp đặt lidar. Bộ dữ liệu được chọn phải đáp ứng các tiêu chí sau:
• DirTrueNorth trong khu vực đo (Trong trường hợp có nghi ngờ về độ chính xác của việc căn chỉnh hướng Bắc, nên giảm khu vực này.);
• phạm vi tốc độ gió tối thiểu: 6 m/s đến 10 m/s;
• số lượng mẫu tối thiểu: 12 mẫu (tức là 2 h) cho mỗi bin 0,5 m/s.
Đường cơ sở được lấy bằng cách áp dụng các bước sau vào dữ liệu được chọn:
1) đối với mỗi mẫu 10 min trong bộ dữ liệu được chọn, hãy đánh giá sự khác biệt giữa hai cảm biến hướng gió vỏ tuabin:
∆DirNac = Dir1,Nac,TR = Dir2,Nac,TR
2) phân loại dữ liệu theo từng bin tốc độ gió 0,5 m/s;
3) đối với mỗi bin, đánh giá:
• giá trị trung bình bin tốc độ gió vỏ tuabin, vi,Nac,TR,before,
• giá trị trung bình bin của hiệu giữa hai cảm biến hướng gió vỏ tuabin, ∆Diri,Nac ,
• độ lệch chuẩn của bin giữa sự khác biệt giữa hai cảm biến hướng gió vỏ tuabin, σi,∆Dir,before ;
4) Vẽ đồ thị ∆Diri,Nac,before theo vi,Nac,before , với σi,∆Dir,before dưới dạng thanh sai số (xem ví dụ trên Hình D.4).
Hàm số ∆Diri,Nac,before lý tưởng nhất phải là giá trị hằng số gần bằng 0 độ.
D.2.4.4 Đánh giá ảnh hưởng của lidar
Sau khi lidar được lắp đặt, việc thu thập dữ liệu từ hệ thống SCADA vẫn tiếp tục không thay đổi (tức là dữ liệu lidar không được sử dụng làm luồng dữ liệu đưa vào bộ điều khiển tuabin). Một bộ dữ liệu mới phải được chọn theo cùng tiêu chí như đường cơ sở. ∆Diri,Nac,after, σi,∆Dir,after và vi,Nac,TR,after, cần được đánh giá theo cùng quy trình như các tham số tương ứng của đường cơ sở. Các kết quả với giá trị trung bình bin và độ lệch chuẩn trước và sau khi lắp đặt lidar được thể hiện bằng một biểu đồ duy nhất (xem ví dụ trong Hình D.4).
Lidar được xem là không ảnh hưởng đến các cảm biến hướng gió trên vỏ tuabin nếu cả hai tiêu chí sau được đáp ứng đối với ít nhất 90 % bin đo tốc độ gió:
• Chênh lệch trung bình bin, ∆Diri,Nac trước và sau khi lắp đặt lidar, không khác nhau quá 4°:
|
| (D.2) |
Chênh lệch trung bình theo bin sau khi lắp đặt lidar, ∆Diri,Nac,after nằm trong ∆Diri,Nac,before ± σi,∆Dir,before.
Trong sơ đồ ví dụ ở Hình D.4, không có thay đổi có hệ thống nào được xác định. Các chi tiết cụ thể dự kiến sẽ thay đổi tùy theo thiết kế tuabin.

Hình D.4 - Ví dụ về hàm ∆DirNac được phân loại đối với một thiết lập mà lidar không ảnh hưởng đáng kể đến các tín hiệu được báo cáo của hai cảm biến hướng gió trên vỏ tuabin
Thư mục tài liệu tham khảo
[1] IEC 61400-1:2019, Wind energy generation systems - Part 1: Design requirements
[1] ISO 28902-1:2012, Air quality - Environmental meteorology - Part 1: Ground-based remote sensing of visual range by lidar
[2] JCGM 100:2008, Evaluation of measurement data - Guide to the expression of uncertainty in measurement, (GUM 1995 with minor corrections),
(https://www.bipm.org/utils/common/documents/jcgm/JCGM_100_2008_E.pdf)
[3] JCGM 101:2008, Evaluation of measurement data - Supplement 1 to the GUM - Propagation of distributions using a Monte Carlo method
[4] JCGM 200:2012, International Vocabulary of Metrology - Basic and General Concepts and Associated Terms (VIM 3rd edition), (https://www.bipm.org/en/publications/guides/vim.html)
[4] CLIFTON, A. et al., 2018. IEA Wind Task 32: Wind Lidar. Identifying and Mitigating Barriers to the Adoption of Wind Lidar, Remote Sensing, Volume 10, Number 3, 2018
[5] WAGNER R, 2013, WAGNER R, RIVERA RL, ANTONIOU I, DAVOUST S, FRIIS PEDERSEN T, COURTNEY M et al. Procedure for wind turbine power performance measurement with a two-beam nacelle lidar. DTU Wind Energy, 2013. 28 p. (DTU Wind Energy E; No. 0019)
Mục lục
Lời nói đầu
1 Phạm vi áp dụng
2 Tài liệu viện dẫn
3 Thuật ngữ và định nghĩa
4 Ký hiệu và chữ viết tắt
5 Tổng quan
5.1 Quy định chung
5.2 Tổng quan về phương pháp đo
5.3 Tổng quan về tài liệu
6 Yêu cầu về lidar
6.1 Yêu cầu chức năng
6.2 Yêu cầu về tài liệu
7 Hiệu chuẩn và độ không đảm bảo của các giá trị trung gian lidar lắp trên vỏ tuabin
7.1 Tổng quan về phương pháp hiệu chuẩn
7.2 Kiểm tra quỹ đạo/hình dạng chùm tia
7.3 Hiệu chuẩn thiết bị đo độ nghiêng
7.4 Kiểm tra phạm vi đo
7.5 Hiệu chuẩn tốc độ LOS
7.6 Độ không đảm bảo của phép đo tốc độ LOS
7.7 Kết quả hiệu chuẩn
7.8 Yêu cầu báo cáo hiệu chuẩn
8 Độ không đảm bảo do thay đổi điều kiện môi trường
8.1 Quy định chung
8.2 Giá trị trung gian không đảm bảo do thay đổi điều kiện môi trường
8.3 Cơ sở bằng chứng hỗ trợ tính đầy đủ của WFR
8.4 Yêu cầu báo cáo
9 Độ không đảm bảo của các thông số gió được tái tạo
9.1 Độ không đảm bảo về tốc độ gió ngang
9.2 Lan truyền độ không đảm bảo thông qua thuật toán WFR
9.3 Độ không đảm bảo liên quan đến thuật toán WFR uope,lidar
9.4 Độ không đảm bảo do thay đổi chiều cao đo u<∆V>,measHeight
9.5 Độ không đảm bảo do sự không nhất quán của phép đo lidar
9.6 Kết hợp các độ không đảm bảo
10 Chuẩn bị cho đợt đo cụ thể
10.1 Tổng quan về quy trình
10.2 Danh sách kiểm tra trước đợt đo
10.3 Bố trí đo
10.4 Khu vực đo
11 Quy trình đo
11.1 Quy định chung
11.2 Hoạt động WTG
11.3 Kiểm tra tính nhất quán của khu vực đo hợp lệ
11.4 Thu thập dữ liệu
11.5 Từ chối dữ liệu
11.6 Cơ sở dữ liệu
11.7 Ứng dụng thuật toán WFR
11.8 Sự thay đổi về độ cao đo
11.9 Giám sát đo lidar
12 Định dạng báo cáo - các bảng và số liệu liên quan cụ thể cho lidar đo gió lắp trên vỏ tuabin
12.1 Quy định chung
12.2 Mô tả vị trí đợt đo cụ thể
12.3 Thông tin lidar lắp trên vỏ tuabin
12.4 Thông tin WTG
12.5 Cơ sở dữ liệu
12.6 Đồ thị
12.7 Độ không đảm bảo
Phụ lục A (tham khảo) Ví dụ về tính độ không đảm bảo của các tham số được tái tạo cho WFR với hai đường ngắm
Phụ lục B (tham khảo) Phương pháp đề xuất để đo góc nghiêng và góc lăn
Phụ lục C (tham khảo) Khuyến nghị lắp đặt lidar trên vỏ tuabin
Phụ lục D (tham khảo) Đánh giá ảnh hưởng của lidar lắp trên vỏ tuabin đến đáp ứng của tuabin
Thư mục tài liệu tham khảo
[1] Hệ thống tiêu chuẩn quốc gia đã có TCVN 10687-12-1:2023 hoàn toàn tương đương với IEC 61400-12-1:2022.
[2] Hệ thống tiêu chuẩn quốc gia đã có TCVN 10687-12-2:2023 hoàn toàn tương đương với IEC 61400-12-2:2022.
[3] Về lý thuyết, tính toán độ không đảm bảo và hệ số nhạy cho tất cả các giá trị 10 min rồi tính trung bình sẽ chính xác hơn. Khuyến nghị trên được sử dụng cho mục đích thực tế để cho phép tái tạo kết quả hiệu chuẩn độ không đảm bảo mà không cần cơ sở dữ liệu.
[4] Nếu kiểm tra tính nhất quán được áp dụng cho các biến trung gian thì độ không đảm bảo liên quan phải được truyền qua thuật toán WFR theo 9.2.1.
[5] Lưu ý rằng lidar đo bằng thể tích thăm dò. Ở đây, phép tính gần đúng thực tế được thực hiện bằng cách chỉ xem xét tâm của thể tích thăm dò. Theo 11.3, khu vực đo kết quả phải được xác nhận bằng phân tích tính nhất quán của dữ liệu được đo trong SMC và giảm nếu cần thiết.
[6] Ở một số cấu hình lidar lắp trên vỏ tuabin nhất định (ví dụ: cấu hình hai chùm tia đơn giản), việc cố gắng tính toán tốc độ trung bình từ tốc độ gió được tái tạo tức thời (trung bình vô hướng) sẽ dẫn đến lỗi vì bất kỳ sự khác biệt về tốc độ nào giữa các vị trí quét sẽ luôn dẫn đến tình trạng lidar quá tốc độ rõ ràng. Ở tốc độ quét chùm tia của lidar (cỡ 1/s), trong bất kỳ luồng xoáy nào, sẽ luôn có sự khác biệt đáng kể về tốc độ giữa các vị trí quét chùm tia (cách nhau khoảng cách cỡ 100 m). Khi cường độ luồng xoáy tăng lên, cỡ của lỗi do hiệu ứng này có thể trở nên khá đáng kể (cỡ %). Thay vào đó, nên tái tạo tốc độ gió theo phương ngang dựa trên các giá trị trung bình 10 min của LOS tốc độ. Khi tính trung bình trong khoảng thời gian dài hơn này, sẽ hợp lý hơn nhiều khi cho rằng tốc độ gió trung bình cảm nhận được là giống hệt nhau và không xảy ra hiện tượng vượt quá tốc độ.
[7] Đối với lidar lắp trên vỏ tuabin ghi lại giá trị trung bình của vectơ, độ lệch hướng quay không đổi trong chu kỳ trung bình không ảnh hưởng đến tốc độ gió trung bình. Tương tự như vậy, độ lệch hướng quay trung bình (chênh lệch giữa độ lệch hướng quay của tuabin và hướng gió) không ảnh hưởng đến tốc độ gió trung bình của vectơ. Tuy nhiên, giả sử cường độ không đổi tốc độ gió, sự biến động của hướng gió xung quanh giá trị trung bình dẫn đến lý thuyết đánh giá thấp vectơ trung bình. Độ lớn của sai số phụ thuộc vào biên độ của các biến động và thời gian kéo dài của chúng. Tình huống xấu nhất là một bước thay đổi trong sự sai lệch của tuabin ở giữa chu kỳ trung bình (ví dụ: thay đổi theo hướng gió nhưng độ trễ trong việc quay của tuabin). Các tính toán đơn giản đã chỉ ra rằng đối với sự thay đổi bước 10 độ ở vị trí lệch xảy ra giữa chu kỳ trung bình 10 min, giá trị trung bình vectơ được báo cáo sẽ là 0,4 % thấp hơn giá trị đúng. Do đó, khuyến nghị là càng nhiều thông tin càng tốt liên quan đến vị trí quay của vỏ tuabin được ghi lại.
[8] Đối với một số kiểu lidar, các góc giữa các LOS có thể được xác định với cùng một bố trí thử nghiệm và đo được sử dụng để hiệu chuẩn thiết bị đo góc nghiêng; trong các trường hợp khác, yêu cầu thử nghiệm riêng rẽ.
Bạn chưa Đăng nhập thành viên.
Đây là tiện ích dành cho tài khoản thành viên. Vui lòng Đăng nhập để xem chi tiết. Nếu chưa có tài khoản, vui lòng Đăng ký tại đây!







