- Tổng quan
- Nội dung
- Tiêu chuẩn liên quan
- Lược đồ
- Tải về
Tiêu chuẩn TCVN 10687-12-3:2025 Hệ thống phát điện gió - Đặc tính công suất - Hiệu chuẩn theo vị trí dựa trên phép đo
| Số hiệu: | TCVN 10687-12-3:2025 | Loại văn bản: | Tiêu chuẩn Việt Nam |
| Cơ quan ban hành: | Bộ Khoa học và Công nghệ | Lĩnh vực: | Công nghiệp , Điện lực |
| Trích yếu: | IEC 61400-12-3:2022 Hệ thống phát điện gió - Phần 12-3: Đặc tính công suất - Hiệu chuẩn theo vị trí dựa trên phép đo | ||
|
Ngày ban hành:
Ngày ban hành là ngày, tháng, năm văn bản được thông qua hoặc ký ban hành.
|
18/07/2025 |
Hiệu lực:
|
Đã biết
|
| Người ký: | Đang cập nhật |
Tình trạng hiệu lực:
Cho biết trạng thái hiệu lực của văn bản đang tra cứu: Chưa áp dụng, Còn hiệu lực, Hết hiệu lực, Hết hiệu lực 1 phần; Đã sửa đổi, Đính chính hay Không còn phù hợp,...
|
Đã biết
|
TÓM TẮT TIÊU CHUẨN VIỆT NAM TCVN 10687-12-3:2025
Tiêu chuẩn quốc gia TCVN 10687-12-3:2025 quy định phương pháp hiệu chuẩn đặc tính công suất của tuabin gió
Ngày 18/07/2025, Bộ Khoa học và Công nghệ đã công bố Tiêu chuẩn quốc gia TCVN 10687-12-3:2025, hoàn toàn tương đương với IEC 61400-12-3:2022, nhằm hướng dẫn việc đo lường và phân tích để hiệu chuẩn theo vị trí cho tuabin gió. Tiêu chuẩn này có hiệu lực từ ngày công bố.
Tiêu chuẩn này quy định các quy trình đo và phân tích giúp xác định hiệu suất công suất của các tuabin gió tại các địa điểm cụ thể, đảm bảo tính chính xác và nhất quán trong việc đo đạc. Đối tượng áp dụng gồm các đơn vị sản xuất, mua, vận hành tuabin gió và các đơn vị có trách nhiệm lập kế hoạch hoặc quản lý, nhằm đáp ứng yêu cầu về đặc tính công suất của tuabin gió.
Mục đích tiêu chuẩn
Tiêu chuẩn này giải quyết các vấn đề liên quan đến định nghĩa và đo lường đặc tính công suất của tuabin gió, giúp các bên liên quan có được thông tin chính xác về hiệu năng của thiết bị. Các quy trình sẽ tạo điều kiện cho các bên tham gia trong việc phát triển và quản lý hệ thống phát điện gió một cách hiệu quả.
Phương pháp đo lường và hiệu chuẩn
Tiêu chuẩn đưa ra các phương pháp hiệu chuẩn được thiết kế để bóc tách ảnh hưởng của các yếu tố như địa hình và tình hình khí quyển đến tốc độ gió tại các vị trí lắp đặt tuabin gió. Việc này thực hiện thông qua việc lắp đặt các cột khí tượng và thiết bị đo tương ứng tại vị trí tham chiếu và địa điểm lắp đặt tuabin.
Có hai phương pháp đánh giá cho việc hiệu chuẩn theo vị trí:
- Phương pháp có tác động của độ trượt gió, điều chỉnh tốc độ gió cho mỗi hướng gió khác nhau.
- Phương pháp không đáng kể về độ trượt gió, chỉ dựa vào trị số độ dốc và giao điểm cho từng hướng gió.
Yêu cầu về thiết bị đo lường
Các thiết bị đo gió, bao gồm cột khí tượng, cần phải đạt tiêu chuẩn chất lượng và được hiệu chuẩn theo quy định. Những thiết bị này phải được bố trí một cách tương đồng để đảm bảo kết quả đo đạc chính xác nhất.
Điều kiện thử nghiệm và thu thập dữ liệu
Dữ liệu cần phải được thu thập liên tục trong khoảng thời gian quy định, bao gồm các thông số như tốc độ gió, hướng gió, cùng với các điều kiện khí quyển tại địa điểm thử nghiệm. Các thông số bất thường sẽ được loại bỏ khỏi cơ sở dữ liệu để bảo đảm tính chính xác của kết quả đo.
Lưu ý về độ không đảm bảo
Tiêu chuẩn cũng chỉ ra rằng các điều kiện khí quyển như độ không ổn định và luồng xoáy có thể ảnh hưởng đến kết quả đo, vì vậy cần thực hiện hiệu chuẩn một cách thường xuyên và theo đúng mùa để giảm thiểu sai số do điều kiện môi trường.
Kết quả của các phép đo sẽ cung cấp thông tin để dự báo và xác định tính khả thi trong hoạt động của các tuabin gió trong điều kiện thực tế.
Tải tiêu chuẩn Việt Nam TCVN 10687-12-3:2025
TIÊU CHUẨN QUỐC GIA
TCVN 10687-12-3:2025
IEC 61400-12-3:2022
HỆ THỐNG PHÁT ĐIỆN GIÓ - PHẦN 12-3: ĐẶC TÍNH CÔNG SUẤT - HIỆU CHUẨN THEO VỊ TRÍ DỰA TRÊN PHÉP ĐO
Wind energy generation systems - Part 12-3: Power performance - Measurement based site calibration
Lời nói đầu
TCVN 10687-12-3:2025 hoàn toàn tương đương với IEC 61400-12-3:2022;
TCVN 10687-12-3:2025 do Ban kỹ thuật tiêu chuẩn Quốc gia TCVN/TC/E13 Năng lượng tái tạo biên soạn, Viện Tiêu chuẩn Chất lượng Việt Nam đề nghị, Ủy ban Tiêu chuẩn Đo lường Chất lượng Quốc gia thẩm định, Bộ Khoa học và Công nghệ công bố.
Bộ TCVN 10687 (IEC 61400) gồm các phần sau:
- TCVN 10687-1:2015 (IEC 61400-1:2014), Tuabin gió - Phần 1: Yêu cầu thiết kế
- TCVN 10687-3-1:2025 (IEC 61400-3-1:2019), Hệ thống phát điện gió - Phần 3-1: Yêu cầu thiết kế đối với tuabin gió cố định ngoài khơi
- TCVN 10687-3-2:2025 (IEC 61400-3-2:2025), Hệ thống phát điện gió - Phần 3-2: Yêu cầu thiết kế đối với tuabin gió nổi ngoài khơi
- TCVN 10687-12:2025 (IEC 61400-12:2022), Hệ thống phát điện gió - Phần 12: Đo đặc tính công suất của tuabin gió phát điện - Tổng quan
- TCVN 10687-12-1:2023 (IEC 61400-12-1:2022), Hệ thống phát điện gió - Phần 12-1: Đo hiệu suất năng lượng của tuabin gió phát điện
- TCVN 10687-12-2:2023 (IEC 61400-12-2:2022), Hệ thống phát điện gió - Phần 12-2: Hiệu suất năng lượng của tuabin gió phát điện dựa trên phép đo gió trên vỏ tuabin
- TCVN 10687-12-3:2025 (IEC 61400-12-3:2022), Hệ thống phát điện gió - Phần 12-3: Đặc tính công suất - Hiệu chuẩn theo vị trí dựa trên phép đo
- TCVN 10687-12-4:2023 (IEC TR 61400-12-4:2020), Hệ thống phát điện gió - Phần 12-4: Hiệu chuẩn vị trí bằng số đối với thử nghiệm hiệu suất năng lượng của tuabin gió
- TCVN 10687-12-5:2025 (IEC 61400-12-5:2022), Hệ thống phát điện gió - Phần 12-5: Đặc tính công suất - Đánh giá chướng ngại vật và địa hình
- TCVN 10687-12-6:2025 (IEC 61400-12-6:2022), Hệ thống phát điện gió - Phần 12-6: Hàm truyền vỏ tuabin dựa trên phép đo của tuabin gió phát điện
- TCVN 10687-21:2018 (IEC 61400-21:2008), Tuabin gió - Phần 21: Đo và đánh giá đặc tính chất lượng điện năng của tuabin gió nối lưới
- TCVN 10687-22:2018, Tuabin gió - Phần 22: Hướng dẫn thử nghiệm và chứng nhận sự phù hợp
- TCVN 10687-24:2015 (IEC 61400-24:2010), Tuabin gió - Phần 24: Bảo vệ chống sét
- TCVN 10687-50:2025 (IEC 61400-50:2022), Hệ thống phát điện gió - Phần 50: Đo gió - Tổng quan
- TCVN 10687-50-1:2025 (IEC 61400-50-1:2022), Hệ thống phát điện gió - Phần 50-1: Đo gió - ứng dụng các thiết bị đo lắp trên cột khí tượng, vỏ tuabin và mũ hub
- TCVN 10687-50-2:2025 (IEC 61400-50-2:2022), Hệ thống phát điện gió - Phần 50-2: Đo gió - Ứng dụng công nghệ cảm biến từ xa lắp trên mặt đất
- TCVN 10687-50-3:2025 (IEC 61400-50-3:2022), Hệ thống phát điện gió - Phần 50-3: Sử dụng lidar lắp trên vỏ tuabin để đo gió
Lời giới thiệu
Mục đích của tiêu chuẩn này là cung cấp một phương pháp luận để đảm bảo tính nhất quán, chính xác và tái lập của phép đo và phân tích việc hiệu chuẩn theo vị trí sử dụng để xác định đặc tính công suất của các tuabin gió. Tiêu chuẩn này dự kiến được áp dụng cho:
a) đơn vị sản xuất tuabin gió để đáp ứng các yêu cầu về đặc tính công suất đã được xác định rõ ràng và/hoặc đáp ứng một hệ thống công bố khả thi;
b) đơn vị mua tuabin gió trong việc xác định các yêu cầu về đặc tính công suất;
c) đơn vị vận hành tuabin gió khi được yêu cầu kiểm tra xác nhận các thông số kỹ thuật về đặc tính công suất đã nêu hoặc được yêu cầu đều đáp ứng đối với các tổ máy mới hoặc đã được tân trang lại;
d) đơn vị lập kế hoạch hoặc đơn vị quản lý tuabin gió mà có thể cần xác định chính xác và công bằng các đặc tính đặc tính công suất của tuabin gió để đáp ứng các quy định hoặc yêu cầu cấp phép đối với hệ thống lắp đặt mới hoặc sửa đổi.
Tiêu chuẩn này đưa ra hướng dẫn đo, phân tích và báo cáo về hiệu chuẩn theo vị trí để sử dụng tiếp theo trong phép thử đặc tính công suất cho tuabin gió. Tiêu chuẩn này sẽ mang lại lợi ích cho các bên tham gia vào quá trình sản xuất, lập kế hoạch, lắp đặt và cấp phép, vận hành, sử dụng, và quản lý tuabin gió. Các kỹ thuật đo và phân tích chính xác được khuyến nghị trong tiêu chuẩn này phải được tất cả các bên áp dụng để đảm bảo rằng việc phát triển và vận hành liên tục các tuabin gió được thực hiện trong môi trường trao đổi thông tin nhất quán và chính xác liên quan đến đặc tính công suất của tuabin gió. Tiêu chuẩn này trình bày các quy trình đo và báo cáo được kỳ vọng sẽ mang lại kết quả chính xác mà những người khác có thể nhân rộng. Trong khi đó, người sử dụng các tiêu chuẩn này cần nhận thức được sự khác biệt về đặc tính công suất hoặc phép đo đặc tính công suất phát sinh từ những thay đổi lớn về độ trượt gió và cường độ luồng xoáy. Không phải tất cả các phương pháp thử nghiệm được quy định trong bộ TCVN 10687-12 (IEC 61400-12) đều cho phép định lượng tác động của độ trượt gió và luồng xoáy. Do đó, người dùng nên xem xét ảnh hưởng của những khác biệt này, phương pháp/tiêu chuẩn thử nghiệm thích hợp nhất và tiêu chí lựa chọn dữ liệu liên quan đến mục đích thử nghiệm trước khi ký hợp đồng đo đặc tính công suất.
HỆ THỐNG PHÁT ĐIỆN GIÓ - PHẦN 12-3: ĐẶC TÍNH CÔNG SUẤT - HIỆU CHUẨN THEO VỊ TRÍ DỰA TRÊN PHÉP ĐO
Wind energy generation systems - Part 12-3: Power performance - Measurement based site calibration
1 Phạm vi áp dụng
Tiêu chuẩn này quy định một quy trình đo và phân tích để suy ra việc hiệu chỉnh tốc độ gió do tác động của địa hình và áp dụng cho thử nghiệm đặc tính công suất của các tuabin gió thuộc tất cả các loại và kích thước được kết nối với lưới điện như mô tả trong TCVN 10687-12-1 (IEC 61400-12-1). Quy trình này áp dụng cho việc đánh giá đặc tính công suất của các tuabin gió cụ thể tại các địa điểm cụ thể.
2 Tài liệu viện dẫn
Các tài liệu viện dẫn sau rất cần thiết cho việc áp dụng tiêu chuẩn này. Đối với các tài liệu viện dẫn ghi năm công bố thì áp dụng phiên bản được nêu. Đối với các tài liệu viện dẫn không ghi năm công bố thì áp dụng phiên bản mới nhất, bao gồm cả các sửa đổi, bổ sung (nếu có).
TCVN 9595-3:2013 (ISO/IEC Guide 98-3:2008), Độ không đảm bảo đo - Phần 3: Hướng dẫn trình bày độ không đảm bảo đo (GUM:1995)
TCVN 10687-12-1 (IEC 61400-12-1), Hệ thống phát điện gió - Phần 12-1: Đo hiệu suất năng lượng của tuabin gió phát điện
TCVN 10687-12-5 (IEC 61400-12-5), Hệ thống phát điện gió - Phần 12-5: Hiệu suất năng lượng - Đánh giá chướng ngại vật và địa hình
TCVN 10687-50-1 (IEC 61400-50-1), Hệ thống phát điện gió - Phần 50-1: Đo gió - ứng dụng của các thiết bị đo lắp trên cột khí tượng, vỏ tuabin và mũ hub
3 Thuật ngữ và định nghĩa
Tiêu chuẩn này áp dụng các thuật ngữ và định nghĩa dưới đây.
3.1
Độ chính xác (accuracy)
Mức độ gần nhau được chấp nhận giữa kết quả của phép đo và giá trị thực của đại lượng đo.
3.2
Độ ổn định của khí quyển (atmospheric stability)
Thước đo xu hướng của gió để thúc đẩy hoặc kìm hãm sự trộn lẫn không khí theo chiều thẳng đứng.
Chú thích 1: Bầu khí quyển ổn định được đặc trưng bởi độ dốc cao của nhiệt độ theo độ cao, độ trượt gió lớn, sự đổi hướng có thể có của gió và luồng xoáy thấp liên quan đến các điều kiện không ổn định. Khí quyển trung tính và không ổn định nói chung dẫn đến độ dốc thấp hơn của nhiệt độ và độ trượt gió thấp.
3.3
Địa hình phức tạp (complex terrain)
Địa hình xung quanh vị trí thử nghiệm có các tính chất biến động đáng kể về địa thế và các chướng ngại vật có thể gây ra sai lệch luồng không khí.
Chú thích 1: Để đánh giá các chướng ngại vật và địa hình, xem TCVN 10687-12-5 (IEC 61400-12-5).
3.4
Bộ dữ liệu (data set)
Tập hợp các dữ liệu được lấy mẫu trong một khoảng thời gian liên tục.
3.5
Hằng số khoảng cách (distance constant)
Chỉ số về thời gian đáp ứng của thiết bị đo gió, được xác định là chiều dài của không khí sẽ đi qua thiết bị đo để chỉ ra 63 % giá trị cuối cùng đối với đầu vào tốc độ gió theo bước.
3.6
Sai lệch luồng không khí (flow distortion)
Thay đổi luồng không khí do chướng ngại vật, sự thay đổi địa hình hoặc các tuabin gió khác gây ra dẫn đến tốc độ gió tại vị trí đo gió khác với tốc độ gió tại vị trí của tuabin gió.
3.7
Độ cao hub (hub height)
<của tuabin gió> Độ cao của tâm diện tích quét của rôto tuabin gió so với mặt đất tại tháp.
Chú thích 1: Đối với tuabin gió trục thẳng đứng, độ cao hub được xác định là độ cao của tâm diện tích quét của rôto so với mặt đất tại tháp.
3.8
Đường cong công suất đo được (measured power curve)
Bảng và đồ thị thể hiện công suất đầu ra ròng đã được đo, hiệu chỉnh và chuẩn hóa của một tuabin gió là hàm của tốc độ gió đo được, được đo bằng quy trình đo đã xác định rõ ràng.
3.9
Khu vực đo (measurement sector)
Khu vực có các hướng gió mà từ đó các dữ liệu được chọn để xây dựng đường cong công suất đo được.
3.10
Phương pháp bin (method of bins)
Quy trình giảm dữ liệu bằng cách nhóm các dữ liệu thử nghiệm cho một tham số nhất định thành các khoảng (bin).
Chú thích 1: Đối với từng bin, số lượng các bộ dữ liệu hoặc tổng của chúng được ghi lại, và giá trị tham số trung bình trong từng bin được tính toán.
3.11
Đặc tính công suất (power performance)
Thước đo khả năng của một tuabin gió để tạo ra công suất điện và năng lượng điện.
3.12
Tốc độ gió tương đương qua rôto (rotor equivalent wind speed)
Tốc độ gió tương ứng với thông lượng động năng đi qua diện tích quét của rôto khi có tính đến sự biến động của tốc độ gió theo chiều cao.
3.13
Độ không đảm bảo chuẩn (Standard uncertainty)
Độ không đảm bảo của kết quả đo được thể hiện như là độ lệch chuẩn.
3.14
Vị trí thử nghiệm (test site)
Vị trí của tuabin gió càn thử nghiệm và môi trường bao quanh tuabin.
3.15
Độ không đảm bảo đo (uncertainty in measurement)
Tham số, cùng với kết quả của phép đo, đặc trưng cho sự phân tán của các giá trị mà được gán một cách hợp lý cho đối tượng đo.
3.16
Thiết bị đo gió (wind measurement equipment)
Cột khí tượng hoặc thiết bị cảm biến từ xa.
3.17
Độ trượt gió (wind shear)
Sự thay đổi tốc độ gió theo độ cao qua rôto tuabin gió.
3.18
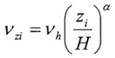
Hệ số trượt gió (wind shear exponent)
Số mũ α của lũy thừa xác định sự thay đổi tốc độ gió theo độ cao.
Chú thích 1: Tham số này được sử dụng làm thước đo độ lớn của trượt gió để hiệu chuẩn theo vị trí và có thể áp dụng cho một số trường hợp khác. Công thức định luật lũy thừa là:
|
| (1) |
trong đó:
| vh | là tốc độ gió ở độ cao hub; |
| H | là độ cao hub (m); |
| vzi | là tốc độ gió ở độ cao zi; |
| α | là hệ số trượt gió. |
3.19
Đổi hướng gió (wind veer)
Thay đổi hướng gió theo độ cao của rôto tuabin gió.
4 Ký hiệu, đơn vị và chữ viết tắt
| Ký hiệu hoặc chữ viết tắt | Mô tả | Đơn vị |
| BinSize | Cỡ bin của bin hướng gió |
|
| dj,k | Độ lệch trong khoảng thời gian 10 min thứ j của fold thứ k | [W] |
| dstd,k | Độ lệch chuẩn của độ lệch hiệu chuẩn theo vị trí trong fold thứ k | [W] |
|
| Giá trị trung bình của độ lệch trong fold thứ k | [W] |
| F(WD,α) | Hiệu chỉnh luồng không khí hiệu chuẩn theo vị trí được xác định trong 9.2 |
|
| ƒ | Số bậc tự do của hiệu chuẩn theo vị trí |
|
| H | Độ cao hub của tuabin gió | [m] |
| k | Các fold trong phương pháp kiểm tra chéo k-fold |
|
| L | Khoảng cách giữa tuabin gió và thiết bị đo gió | [m] |
| Nk | Số bộ dữ liệu trong fold thứ k |
|
| R | Bán kính cánh quạt | [m] |
| Residual | Phần dư hiệu chuẩn theo vị trí | [m/s] |
| RSD | Thiết bị cảm biến từ xa |
|
| r | Hệ số tương quan |
|
| sVT | Độ không đảm bảo chuẩn loại A của hiệu chuẩn theo vị trí | [m/s] |
| sVT,i | Độ không đảm bảo chuẩn loại A của hiệu chuẩn theo vị trí trong bin i | [m/s] |
| sVT,k | Độ không đảm bảo chuẩn loại A của tham số tự nhất quán hiệu chuẩn theo vị trí của fold thứ k đối với hướng gió bin j | [m/s] |
| sccpj,j-1 | Tham số tự nhất quán hiệu chuẩn theo vị trí cho hướng gió bin j sử dụng hiệu chỉnh hiệu chuẩn theo vị trí trong bin j - 1 | [°] |
| sccpj,j+1 | Tham số tự nhất quán hiệu chuẩn theo vị trí cho hướng gió bin j sử dụng hiệu chỉnh hiệu chuẩn theo vị trí trong bin j + 1 | [°] |
| sVT | Độ không đảm bảo chuẩn loại A của hiệu chuẩn theo vị trí |
|
| udVT,i | Độ không đảm bảo chuẩn loại B đối với thu thập dữ liệu | [m/s] |
| udVT,i,j | Độ không đảm bảo liên quan đến thu thập dữ liệu tín hiệu tốc độ gió |
|
| uVT,class,i | Độ không đảm bảo chuẩn loại B đối với đặc tính hoạt động của thiết bị đo gió | [m/s] |
| uVT,class,i,j | Độ không đảm bảo liên quan đến phân loại các cảm biến |
|
| uVT,coc,i,j | Độ không đảm bảo chuẩn loại B đối với sự thay đổi trong hiệu chỉnh hướng gió bin j | [°] |
| uVT,i,j | Độ không đảm bảo từ hiệu chuẩn theo vị trí |
|
| uVT,lgt,i | Độ không đảm bảo liên quan đến kim thu lôi | [m/s] |
| uVT,mnt,i | Độ không đảm bảo chuẩn loại B đối với các ảnh hưởng do lắp thiết bị đo gió | [m/s] |
| uVT,mnt,i,j | Độ không đảm bảo liên quan đến việc lắp các cảm biến |
|
| uVT,precal,i | Độ không đảm bảo chuẩn loại B đối với hiệu chuẩn thiết bị đo gió | [m/s] |
| uVT,precal,i,j | Độ không đảm bảo liên quan đến hiệu chuẩn các thiết bị đo gió |
|
| uVT,postcal,i,j | Độ không đảm bảo liên quan đến hiệu chuẩn sau hoặc hiệu chuẩn tại chỗ của các thiết bị đo gió |
|
| uVT,rmv,i,j | Độ không đảm bảo chuẩn loại B đối với việc loại bỏ cảm biến hướng gió giữa hiệu chuẩn theo vị trí và thử nghiệm đặc tính công suất | [°] |
| uVT,sv,i | Thành phần độ không đảm bảo liên quan đến sự biến đổi theo mùa |
|
| uVT,sv,i,j | Độ không đảm bảo liên quan đến sự biến đổi theo mùa giữa hiệu chuẩn theo vị trí và thử nghiệm đặc tính công suất |
|
| uw,i | Độ không đảm bảo chuẩn loại B đối với cảm biến hướng gió | [°] |
| VPM | Tốc độ gió của cột khí tượng tham chiếu | [m/s] |
| VTurb_measured | Tốc độ gió tại vị trí của tuabin gió đo được | [m/s] |
| VTurb_predicted | Tốc độ gió tại vị trí của tuabin gió dự đoán | [m/s] |
| vh | Tốc độ gió tại độ cao hub | [m/s] |
| vzi | Tốc độ gió tại độ cao zi |
|
| WD | Bin hướng gió | [°] |
| WME | Thiết bị đo gió |
|
| α | Hệ số trượt gió theo định luật lũy thừa |
|
5 Quy định chung
Nhìn chung, tốc độ gió đo được ở phía hướng đến tuabin gió có thể giả định là giống như tại vị trí đặt tuabin nếu tuabin không có ở đó. Tuy nhiên, giả định này sẽ không đúng khi có các tác động của địa hình. Ngoài ra, điều kiện khí quyển cũng có thể gây ra ảnh hưởng đến tốc độ gió. Đối với phép đo đặc tính công suất được thực hiện theo TCVN 10687-12-1 (IEC 61400-12-1), tốc độ gió được đo tại một vị trí tham chiếu cách tuabin thử nghiệm từ 2 đến 4 lần đường kính cánh quạt, trong khi tốc độ gió thực sự cần thiết là tốc độ gió mà tuabin sẽ trải qua nếu không có tuabin ở đó. Ở địa hình phức tạp, tốc độ gió tại vị trí tham chiếu và vị trí tuabin có thể khác nhau một chút do ảnh hưởng của địa hình. Do đó, việc hiệu chuẩn theo vị trí xác định số lượng và có thể giảm thiểu tác động của địa hình lên phép đo tốc độ gió. Địa hình có thể gây ra sự khác biệt có hệ thống trong phép đo tốc độ gió giữa vị trí lắp thiết bị đo gió trên cột khí tượng tham chiếu và một thiết bị đo gió khác được lắp ở độ cao tương đương so với mặt đất tại tâm rôto tuabin tại vị trí tuabin. Ngoài ra, mối quan hệ giữa tốc độ gió tại cột khí tượng tham chiếu và tốc độ gió tại vị trí tuabin cũng có thể bị ảnh hưởng bởi sự bất ổn định của khí quyển và/hoặc profin trượt gió. Độ trượt gió, là sự thay đổi của tốc độ gió theo độ cao so với mặt đất, cũng có thể là một yếu tố ảnh hưởng đến mối quan hệ này, vì các profin trượt gió khác nhau có thể tạo ra một mối quan hệ khác biệt giữa các điểm đo, đặc biệt nếu tuabin và cột khí tượng ở các độ cao khác nhau.
Xem xét theo mùa: độ ổn định khí quyển, luồng xoáy và trượt gió có thể liên quan đến các điều kiện theo mùa khác nhau. Cũng có những mối lo ngại do tác động của sự thay đổi độ gồ ghề do sự thay đổi của thực vật trong khu vực thử nghiệm hoặc các thay đổi độ gồ ghề trực tiếp gây ra bởi các đặc tính bề mặt khác nhau theo mùa (nước/đất so với băng/đất, tuyết, cây trồng, v.v.). Với những xem xét này, hiệu chuẩn theo vị trí và phép đo đường cong công suất nên được thực hiện trong cùng một mùa hoặc các mùa. Nếu các phép đo được thực hiện trong các mùa khác nhau, độ không đảm bảo bổ sung sẽ được áp dụng như ở 11.4.
Kết quả của hiệu chuẩn theo vị trí bao gồm:
a) bảng về hiệu chỉnh luồng không khí ở tất cả các hướng trong các khu vực đo như được định nghĩa trong TCVN 10687-12-1 (IEC 61400-12-1) và
b) ước lượng độ không đảm bảo chuẩn của việc hiệu chỉnh luồng không khí này phải được xác định theo các nguyên tắc của TCVN 9595-3:2013 (ISO/IEC Guide 98-3:2008).
Có hai phương pháp khác nhau để đánh giá hiệu chuẩn theo vị trí. Chỉ yêu cầu một phương pháp và chọn bằng cách đánh giá dữ liệu để xác định độ trượt gió như ở 9.2. Kết quả cho mỗi phương pháp là:
- 9.3, Hiệu chuẩn theo vị trí với ảnh hưởng do trượt gió: Việc hiệu chỉnh luồng không khí bao gồm một ma trận các bin hướng gió và bin độ trượt gió, trong đó một hệ số sửa đổi tỷ lệ tốc độ gió được tính cho mỗi điểm trong ma trận.
- 9.4, Hiệu chuẩn theo vị trí với ảnh hưởng do trượt gió không đáng kể: Việc hiệu chỉnh luồng không khí bao gồm một giá trị độ dốc và một giá trị giao điểm cho từng bin hướng gió. Hệ số xác định, r2, giá trị của phép hồi quy cũng phải được ghi vào báo cáo.
Quy trình này áp dụng tốc độ gió tại độ cao hub. Điều này nhằm đảm bảo rằng quy trình này không yêu cầu các cột khí tượng có độ cao đỉnh, chi phí cao và có thể không thực tế, vì có thể các thiết bị cảm biến từ xa sẽ không phù hợp cho các phép đo ở địa hình phức tạp. Tuy nhiên, khi đường cong công suất được suy ra theo định nghĩa tốc độ gió tương đương qua rôto (REWS) của tốc độ gió thì quy trình này sẽ được lặp lại cho mỗi cặp độ cao đo thay vì chỉ cho độ cao hub.
Một yếu tố quan trọng trong thử nghiệm đặc tính công suất là đo tốc độ gió. Tiêu chuẩn này yêu cầu sử dụng các thiết bị đo gió dạng cốc, thiết bị đo gió âm thanh hoặc thiết bị cảm biến từ xa (RSD) kết hợp với các thiết bị đo gió để đo gió. Mặc dù các quy trình hiệu chuẩn/xác nhận và phân loại phù hợp đã được tuân thủ, bản chất của nguyên lý đo của các thiết bị này có thể khiến chúng hoạt động khác nhau. Những thiết bị này rất bền và đã được coi là phù hợp cho loại thử nghiệm này, với giới hạn của một số thiết bị đối với các loại địa hình nhất định.
6 Tổng quan về quy trình
Trước khi lắp đặt tuabin gió (hoặc sau khi tháo dỡ nếu tuabin đã có sẵn), hai cột khí tượng cần được dựng lên. Một cột khí tượng là cột khí tượng tham chiếu, cũng được sử dụng cho thử nghiệm đặc tính công suất. Cột khí tượng thứ hai là cột khí tượng tại vị trí tuabin gió.
Quy trình này nhằm mục đích mô tả sự tương quan của tốc độ gió giữa hai vị trí. Các khuyến nghị thêm về việc chọn các vị trí này được cho ở 7.1.
Lưu đồ trên Hình 1 đưa ra tổng quan về quá trình chuẩn bị và phân tích.

Hình 1 - Lưu đồ hiệu chuẩn theo vị trí
7 Bố trí thử nghiệm
7.1 Xem xét khi chọn tuabin gió thử nghiệm và vị trí của cột khí tượng
7.1.1 Quy định chung
Cột khí tượng tham chiếu phải là cột khí tượng được sử dụng để đo đường cong công suất. Cột khí tượng của tuabin gió phải được đặt càng gần càng tốt với vị trí nơi tuabin thử nghiệm sẽ được đặt hoặc đã được đặt, và không được cách quá 0,2 H so với đường tâm của tuabin gió, trong đó H là độ cao hub của tuabin gió. Khuyến nghị rằng cột khí tượng của tuabin gió và cột khí tượng tham chiếu phải cùng loại và có hình dạng cần lắp đặt giống nhau để đảm bảo tác động lắp đặt của chúng lên thiết bị đo gió (WME) là tương tự nhau.
Có một số yếu tố có thể ảnh hưởng đến việc hiệu chuẩn theo vị trí. Các yếu tố quan trọng nhất là địa hình, vị trí cột khí tượng và điều kiện khí quyển bao gồm độ trượt gió, luồng xoáy và độ ổn định. Những yếu tố này có thể thay đổi đáng kể từ vị trí này sang vị trí khác, nhưng chúng thường có mối tương quan với nhau.
Vị trí tuabin gió thử nghiệm cần được chọn để tối ưu hóa việc thu thập dữ liệu hợp lệ và cung cấp một mối tương quan tốt giữa cột khí tượng tham chiếu và cột khí tượng của tuabin gió. Mục đích của việc hiệu chuẩn theo vị trí là đo sự thay đổi trong lớp biên vì gió di chuyển theo địa hình, mà thường kèm theo luồng không khí, trong khi các chướng ngại vật tạo ra luồng rẽ khí xoáy, bị ảnh hưởng bởi các cạnh sắc và các bề mặt thẳng đứng có thể tạo ra sự phân tách luồng không khí. Thêm vào đó, một số đặc điểm địa hình như vách đá hoặc đồi dốc cũng có thể làm cho luồng không khí bị phân tách, dẫn đến mối tương quan kém. Để hướng dẫn, cần được xem xét loại địa hình khi chọn vị trí tuabin gió thử nghiệm và vị trí cột khí tượng tham chiếu. Các loại địa hình được đưa ra trong tiêu chuẩn này là các mô tả định tính mang tính chất tham khảo để hỗ trợ việc chọn vị trí tuabin gió thử nghiệm và cột khí tượng tham chiếu, cũng như đưa ra tổng quan về những gì có thể xảy ra khi thực hiện các phép đo trong các loại địa hình này. Ví dụ về các loại địa hình này được minh họa trên Hình 2.
7.1.2 Loại A:
Địa hình loại A là loại địa hình ít phức tạp nhất. Địa hình loại A thường không có sự thay đổi đáng kể về độ cao liên quan đến độ cao hub của tuabin gió hoặc các sườn dốc đặc biệt trên các khoảng cách dài. Ví dụ về địa hình loại A bao gồm địa hình đáp ứng các yêu cầu của TCVN 10687-12-5 (IEC 61400-12-5), các đồi có độ dốc nhỏ và có thể là các tuabin gió nằm trên một ngọn đồi hướng ra đồng bằng.
Khi thực hiện hiệu chuẩn theo vị trí tại các vị trí loại A, điều kiện trượt gió tại cột khí tượng tham chiếu có thể khác với điều kiện trượt gió tại vị trí tuabin gió thử nghiệm. Nếu như vậy, kết quả hiệu chuẩn theo vị trí sẽ có thể phụ thuộc vào độ trượt gió và hướng gió.
7.1.3 Loại B:
Địa hình loại B là địa hình từ trung bình đến phức tạp. Địa hình loại B bao gồm núi, dãy núi, đồi lớn và các khu vực đồi với địa hình dốc vừa phải đến dốc, có sự thay đổi đáng kể về độ cao so với độ cao hub của tuabin gió. Thông thường, trượt gió tại các vị trí loại B là thấp và khá đồng đều, mặc dù đôi khi trượt gió âm có thể xảy ra. Do đó, trượt gió không được xem là yếu tố ảnh hưởng đáng kể như ở các vị trí loại A. Tuy nhiên, tại các vị trí loại B, kết quả hiệu chuẩn theo vị trí thường phụ thuộc vào cả tốc độ gió và hướng gió, đặc biệt nếu sự khác biệt về độ cao giữa cột khí tượng tham chiếu và tuabin gió thử nghiệm lớn hơn 10 m. Do đó, một phép điều chỉnh hồi quy tuyến tính là thích hợp cho các vị trí loại B.
Thành phần gió theo phương thẳng đứng được tạo ra bởi địa hình tại các vị trí loại B có thể có ảnh hưởng lớn đến độ không đảm bảo, tùy thuộc vào đáp ứng của các thiết bị đo gió với luồng gió hướng lên. Đo gió theo phương thẳng đứng có thể được sử dụng để đánh giá góc hướng lên của luồng gió, sau đó có thể được sử dụng kết hợp với báo cáo phân loại thiết bị đo gió để tính toán đặc tính vận hành của thiết bị đo gió loại S với phạm vi tham số ảnh hưởng do người sử dụng xác định, như trong TCVN 10687-50-1 (IEC 61400-50-1).
7.1.4 Loại C:
Địa hình loại C bao gồm các địa hình cực trị nhất từ quan điểm của phép đo. Các địa điểm loại C thường có đặc điểm địa hình dốc, ví dụ như núi hoặc hẻm núi, có thể gây ra sự phân tách luồng không khí ngay phía gió hướng lên của tuabin gió thử nghiệm và tạo ra một vùng tái tuần hoàn tại địa điểm của tuabin gió thử nghiệm. Quy mô của sự phân tách luồng không khí được xác định bởi đặc điểm địa hình và có thể làm gián đoạn mối tương quan tốc độ gió giữa tuabin gió thử nghiệm và cột khí tượng tham chiếu ngay cả khi đặc điểm địa hình này nằm cách tuabin gió thử nghiệm hơn 16L. L là khoảng cách giữa tuabin gió và thiết bị đo gió. Địa hình loại C thường quá phức tạp đến mức mối tương quan giữa gió tại cột khí tượng tham chiếu và tuabin gió thử nghiệm có thể rất kém. Việc hiệu chỉnh luồng không khí có thể khác biệt đáng kể giữa các bin hướng gió liền kề. Dữ liệu từ tuabin gió thử nghiệm tại các địa điểm loại C sẽ có sự phân tán rất cao và độ không đảm bảo cao trong kết quả.

Hình 2 - Các loại địa hình
Để cải thiện mối tương quan, cột khí tượng tham chiếu nên được đặt sao cho có độ cao và điều kiện gió tương tự như của tuabin gió thử nghiệm. Ví dụ, nếu tuabin gió thử nghiệm được đặt trên một ngọn đồi, thì cột khí tượng tham chiếu được khuyến nghị đặt trên ngọn đồi cạnh tuabin gió thay vì ở độ cao thấp hơn phía trước tuabin gió.
7.2 Thiết bị đo
Bố trí thử nghiệm yêu cầu tối thiểu các phép đo tốc độ gió tại độ cao hub, hướng gió gần độ cao hub và trượt gió tại cả hai cột khí tượng.
WME sử dụng trong hiệu chuẩn theo vị trí phải đáp ứng các yêu cầu của thiết bị và hướng dẫn lắp đặt theo TCVN 10687-50-1 (IEC 61400-50-1). Các thiết bị đo gió phải cùng loại với các đặc tính vận hành giống nhau và phải được hiệu chuẩn trong cùng đường hầm gió. Thiết bị đo gió phải cùng loại với các đặc tính vận hành giống nhau đối với phép đo đường cong công suất như đối với việc hiệu chuẩn theo vị trí.
Tùy thuộc vào các đặc điểm của vị trí, cần có các phép đo bổ sung để cung cấp thêm thông tin về điều kiện của vị trí và do đó không mang tính quy định. Các phép đo này cũng có thể được sử dụng để cải thiện chất lượng tổng thể của việc hiệu chuẩn theo vị trí và phép đo đường cong công suất bằng cách xác định các điều kiện khí quyển bất thường có tương quan với các giá trị ngoại lai, hoặc có thể được sử dụng để xác định phân loại thiết bị đo đúng và, kết hợp với báo cáo phân loại thiết bị, lượng hóa độ không đảm bảo chuẩn do các đặc tính vận hành của thiết bị đo gió tại vị trí:
a) Khuyến nghị thực hiện phép đo tốc độ gió theo phương thẳng đứng (ví dụ: sử dụng thiết bị đo gió siêu âm 3D) trong phạm vi 10 % độ cao hub hoặc trong phạm vi 5 m đối với các tuabin gió cỡ nhỏ để không vi phạm hướng dẫn lắp đặt cho các cảm biến lắp trên đỉnh. Phép đo này có thể được sử dụng để xác định đúng cấp đối với phân loại thiết bị đo và kết hợp với báo cáo phân loại thiết bị, lượng hóa độ không đảm bảo do các đặc tính vận hành.
b) Khuyến nghị thực hiện phép đo đổi hướng gió với hướng gió thấp được đo trong phạm vi 10 m của phép đo tốc độ gió tại điểm thấp nhất của cánh quạt.
c) Nếu điều kiện đóng băng có thể có trong đợt hiệu chuẩn theo vị trí, khuyến nghị sử dụng cảm biến nhiệt độ hoặc các phương pháp phát hiện đóng băng khác gần độ cao hub.
Ngoài ra, để tránh đưa vào sai lệch trong phép đo hướng gió do độ không đảm bảo của việc lắp đặt cảm biến hướng gió, không nên tháo dỡ cột khí tượng tham chiếu và các cảm biến hướng gió của nó giữa quá trình hiệu chuẩn theo vị trí và phép đo đường cong công suất. Nếu tháo dỡ hoặc thay cảm biến hướng gió chính thì phải bổ sung vào một thành phần không đảm bảo (xem 11.3.2). Nếu tháo dỡ rồi lắp lại cột khí tượng tham chiếu giữa quá trình hiệu chuẩn theo vị trí và phép đo đường cong công suất thì các thiết bị đo phải được lắp theo cùng một cấu hình và với cùng một góc giàn trong cả hai giai đoạn để có các ảnh hưởng lắp đặt tương tự.
8 Thu thập dữ liệu và tiêu chí loại bỏ
Dữ liệu phải được thu thập liên tục với cùng một tần suất lấy mẫu như trong phép đo công suất. Bộ dữ liệu phải được tạo ra từ các khoảng thời gian 10 min dựa trên dữ liệu đo liên tục. Giá trị trung bình, độ lệch chuẩn, giá trị tối thiểu và tối đa cho mỗi khoảng thời gian 10 min phải được tính toán và lưu giữ.
Cỡ bin hướng gió phải là 10°.
Bộ dữ liệu phải được loại bỏ khỏi cơ sở dữ liệu trong các trường hợp sau:
a) Thiết bị thử nghiệm bị hỏng hoặc suy giảm chất lượng (ví dụ do đóng băng);
b) Hướng gió bên ngoài khu vực đo như được xác định trong phép đo đặc tính công suất;
c) Tốc độ gió trung bình tại cột khí tượng của tuabin gió nhỏ hơn 4 m/s hoặc lớn hơn 16 m/s;
d) Bất kỳ điều kiện khí quyển đặc biệt nào được xem là ảnh hưởng đến kết quả hiệu chuẩn theo vị trí và được chọn là tiêu chí loại bỏ;
e) Các điều kiện khí quyển đặc biệt được sử dụng làm tiêu chí loại bỏ trong phép đo đặc tính công suất có ảnh hưởng đến việc hiệu chuẩn theo vị trí.
Bất kỳ điều kiện khí quyển đặc biệt nào được lọc trong quá trình hiệu chuẩn theo vị trí cũng sẽ được lọc trong quá trình thử nghiệm đường cong công suất.
9 Phân tích
9.1 Quy định chung
Việc hiệu chuẩn theo vị trí đo mối quan hệ giữa tốc độ gió tại hai điểm cụ thể trong không gian. Địa hình là yếu tố ảnh hưởng tĩnh đến mối quan hệ này (địa hình không thay đổi theo thời gian), tuy nhiên độ trượt gió là một yếu tố động trong mối quan hệ này, vì có thể gradient tốc độ gió sẽ thay đổi rõ rệt theo độ cao hoặc có thể không thay đổi nếu vị trí chỉ có trượt gió ổn định trong phạm vi hạn chế.
Bước đầu tiên trong phân tích là đánh giá các điều kiện trượt gió tại vị trí. Các phép tính và đồ thị mô tả ở 9.2 phải được thực hiện đầu tiên để đánh giá, sau đó, dựa theo các kết quả đầu ra, thực hiện theo 9.3 hoặc 9.4 để hoàn thành việc tính toán hiệu chỉnh luồng không khí. Khi việc hiệu chỉnh luồng không khí đã được tính toán theo 9.3 hoặc 9.4, tiếp tục quy trình với các tính toán bổ sung ở 9.5, là đầu vào cho các phép tính độ không đảm bảo ở Điều 10 và kiểm tra chất lượng ở Điều 11.
9.2 Đánh giá điều kiện trượt gió tại vị trí
9.2.1 Tính toán trượt gió và vẽ đồ thị đặc trưng
Đối với từng điểm dữ liệu 10 min, thực hiện các phép tính sau:
a) tỷ lệ tốc độ gió, là tốc độ gió tại cột khí tượng của tuabin gió chia cho tốc độ gió tại cột khí tượng tham chiếu;
b) hệ số trượt gió tại cả hai cột khí tượng phải được tính bằng cách sử dụng công thức định luật lũy thừa (xem 3.17);
c) thời gian trong ngày sử dụng đồng hồ 24 h phải được xác định từ dấu thời gian và điều chỉnh theo giờ địa phương tại vị trí. Mọi điều chỉnh theo đồng hồ địa phương để tăng thêm giờ ban ngày vào mùa hè so với mùa đông (ví dụ như giờ mùa hè) phải được ghi lại nếu áp dụng cho dấu thời gian thu thập dữ liệu.
Phương pháp phân tích sẽ phụ thuộc vào việc trượt gió có phải là yếu tố đáng kể tại vị trí hay không. Trượt gió cao, hoặc các giá trị độ trượt gió theo dải rộng, thường là do chu kỳ ban ngày và ban đêm của bầu khí quyển ổn định vào ban đêm và không ổn định vào ban ngày. Để minh họa các điều kiện trượt gió tại vị trí và hỗ trợ đánh giá độ trượt gió, các đồ thị phân tán sau đây được tạo ra cho cả dữ liệu tại vị trí tuabin gió và cột khí tượng tham chiếu từ cơ sở dữ liệu đã lọc:
- Đồ thị phân tán hệ số trượt gió theo thời gian trong ngày;
- Đồ thị phân tán hệ số trượt gió theo hướng gió;
- Đồ thị phân tán hệ số trượt gió theo với tốc độ gió;
- Đồ thị phân tán tốc độ gió theo thời gian trong ngày.
Lưu ý rằng thời gian trong ngày cần được sử dụng cẩn thận vì sự tương quan với giờ mặt trời mọc và lặn địa phương thường có ảnh hưởng mạnh đến tính ổn định của bầu khí quyển. Đặc biệt đối với các bộ dữ liệu trong thời gian dài và ở vĩ độ cao, sự tương quan giữa mặt trời mọc, lặn và thời gian trong ngày trở nên khá yếu.
Đối với vị trí có những hiệu ứng này, thường thì hệ số trượt gió quan sát được vào ban ngày sẽ thấp vì mặt trời làm nóng mặt đất gây ra luồng xoáy và pha trộn các lớp khí, còn ban đêm thì trượt gió sẽ cao. Do đó, có thể có một dải rộng các hệ số trượt gió và sự thay đổi rõ rệt của hệ số trượt gió từ ban ngày sang ban đêm tại các vị trí này.
9.2.2 Đánh giá tầm quan trọng của trượt gió
Bất kể sự ổn định của bầu khí quyển, trượt gió phải được xem là yếu tố quan trọng nếu hơn 25 % điểm dữ liệu có hệ số trượt gió lớn hơn 0,25.
Độ trượt gió được xác nhận là một tham số quan trọng nếu sự tương quan tốc độ gió được cải thiện sau khi phân nhóm theo hướng gió và độ trượt gió theo phương pháp 1 tại 9.3; nếu không, việc hiệu chuẩn theo vị trí có thể được đánh giá theo phương pháp 2 - phương pháp hồi quy tuyến tính được mô tả ở 9.4.
Việc phân chia khu vực đo để áp dụng các phương pháp khác nhau cho các khu vực khác nhau là được phép. Điều này có thể hữu ích nếu, ví dụ, địa hình từ một phần của khu vực đo là loại A và từ hướng khác là loại B.
Mục tiêu là đảm bảo rằng việc hiệu chuẩn theo vị trí không bị sai lệch do điều kiện trượt gió bất thường; hoặc phương pháp hiệu chuẩn theo vị trí đã tính đến tác động của trượt gió, hoặc các điều kiện bất thường đã được lọc ra. Kết quả hiệu chuẩn theo vị trí sử dụng phương pháp ở 9.3 hoặc 9.4 có thể được đánh giá bằng phương pháp ở 9.5, trong đó việc hiệu chỉnh luồng không khí của hiệu chuẩn theo vị trí được áp dụng cho tốc độ gió tại cột khí tượng tham chiếu và sau đó so với tốc độ gió tại cột khí tượng của tuabin gió. Việc so sánh các giá trị dư của hiệu chuẩn theo vị trí với độ trượt gió hoặc các chỉ số ổn định bầu khí quyển khác sẽ cho thấy phương pháp được chọn có hiệu chỉnh chính xác tốc độ gió tại cột khí tượng tham chiếu với tất cả các điều kiện hay không, hoặc có cần các bước bổ sung để cải thiện chất lượng và giảm độ không đảm bảo hay không. Cụ thể:
a) Tham số tự nhất quán [công thức (4)] được lấy trung bình bin theo tốc độ gió cần nằm trong phạm vi từ 0,98 đến 1,02 trong dải tốc độ gió từ 4 m/s đến 16 m/s ở từng khu vực.
b) Một phép hồi quy tuyến tính của VTurbine Predicted [công thức (2)] theo VTurbine Measured cần có giá trị R2 > 0,95 ở từng khu vực.
9.2.3 Thiết lập tính tương quan của trượt gió giữa các địa điểm
Nếu trượt gió được xác định là yếu tố quan trọng tại vị trí và có yêu cầu lọc độ trượt gió tại vị trí tuabin gió thì phải thiết lập sao cho độ trượt gió tại vị trí tuabin gió có thể được dự đoán từ độ trượt gió đo được tại cột khí tượng tham chiếu. Phương pháp đơn giản nhất để đạt được điều này là vẽ đồ thị độ trượt gió tại vị trí tuabin so với độ trượt gió tại cột khí tượng tham chiếu và tính toán hồi quy bình phương tối thiểu thông thường. Việc này phải được thực hiện bằng cơ sở dữ liệu đã lọc. Lưu ý rằng đường hồi quy này có thể được sử dụng trong quá trình đo đường cong công suất để dự đoán độ trượt gió tại vị trí tuabin.
Nếu độ trượt gió tại vị trí tuabin và độ trượt gió tại cột khí tượng tham chiếu không có sự tương quan trong tất cả các trường hợp, thì các bước phải được thực hiện sao cho dữ liệu là tương quan cho tất cả các trường hợp. Ví dụ, sự không tương quan có thể xảy ra khi có sự khác biệt đáng kể về độ cao giữa cột khí tượng tham chiếu và vị trí tuabin gió cùng với độ trượt gió cao, điều này thường có sự tương quan với thời gian trong ngày. Trong các trường hợp này, phương pháp đề xuất để có kết quả tương quan là lọc dữ liệu theo thời gian trong ngày để loại bỏ dữ liệu trượt gió cao vào ban đêm, mặc dù các phương pháp khác để loại bỏ dữ liệu không tương quan là được phép. Bộ lọc thời gian trong ngày có thể được thiết lập bằng các đồ thị hệ số trượt gió theo thời gian trong ngày. Việc giảm khu vực đo sao cho chỉ các hướng có điều kiện luồng không khí tương tự được xem xét, lọc hoặc chia nhỏ quá trình hiệu chuẩn theo vị trí theo mùa, hoặc các phương pháp khác để có được bộ dữ liệu hoàn toàn tương quan có thể được sử dụng. Các đồ thị hệ số trượt gió theo hướng gió có thể có ích trong việc xác định các khu vực cần sử dụng.
Bất kỳ bộ lọc bổ sung nào được áp dụng cho kết quả hiệu chuẩn theo vị trí cũng phải được áp dụng cho phép đo đường cong công suất. Nếu sử dụng bộ lọc thời gian trong ngày thì bộ lọc này có thể được điều chỉnh theo mùa để phản ánh ngày dài hơn vào mùa hè và ngày ngắn hơn vào mùa đông. Chỉ dữ liệu từ cột khí tượng tham chiếu được sử dụng cho bộ lọc bổ sung vì sẽ không thể lọc trên dữ liệu tại vị trí tuabin gió trong quá trình đo đường cong công suất.
Trượt gió, luồng xoáy và tốc độ gió thường có sự tương quan với nhau. Các đồ thị của hệ số trượt gió theo hướng gió, hệ số trượt gió theo tốc độ gió và tốc độ gió theo thời gian trong ngày có thể được sử dụng để đánh giá tác động tiềm ẩn của những bộ lọc này đối với dữ liệu đường cong công suất về mặt giảm thiểu dữ liệu ở các tốc độ gió nhất định. Ví dụ, nếu việc áp dụng bộ lọc theo thời gian trong ngày dẫn đến việc mất hầu hết dữ liệu ở các tốc độ gió cao, thì có thể bộ lọc này sẽ không thực tế. Trong trường hợp cực trị, có thể thực hiện nhiều hiệu chuẩn theo vị trí, mỗi hiệu chuẩn có giá trị cho một dải điều kiện khí quyển cụ thể.
9.3 Phương pháp 1: Các bin hướng gió và trượt gió
Để xác định liệu các phép hiệu chỉnh luồng không khí trong hiệu chuẩn theo vị trí có bị ảnh hưởng bởi trượt gió tại vị trí hay không thì phải phân loại dữ liệu thành các bin theo hướng gió và trượt gió. Cỡ bin hướng gió phải là 10° và không được nhỏ hơn độ không đảm bảo của cảm biến hướng gió. Tại các cạnh của khu vực đo, dữ liệu được lọc theo quy mô của khu vực đo. Ví dụ, khi khu vực đo kết thúc ở 43°, việc hiệu chuẩn theo vị trí tại cạnh của khu vực đo được đánh giá từ 35° đến 43°. Yêu cầu việc chọn cách xác định trung tâm bin hướng gió (ví dụ như bin được định tâm theo các bội số của 10° hoặc bin bắt đầu từ các bội số của 10°) được áp dụng nhất quán từ hiệu chuẩn theo vị trí đến phép đo đường cong công suất. Các bin trượt gió phải được tăng dần theo bước 0,05 của hệ số trượt gió, được định tâm theo các bội số của 0,05.
Tỷ lệ tốc độ gió trong từng bin hướng gió và trượt gió phải được tính trung bình.
Các tiêu chí hoàn thành cho các bin hướng gió và trượt gió như sau:
a) Đối với từng bin hướng gió, tổng số điểm dữ liệu qua tất cả các bin trượt gió trong bin hướng gió đó phải đạt ít nhất 144 (24 h dữ liệu). Các bin trượt gió chưa hoàn thành có thể được bao gồm trong tổng số này. Ngoài ra, từng bin hướng gió phải có ít nhất 6 h trên 8 m/s và 6 h dưới 8 m/s.
b) Từng bin trượt gió trong một bin hướng gió hoàn thành phải chứa ít nhất 3 điểm dữ liệu.
c) Các bin trượt gió trong các khu vực hướng gió chưa hoàn thành có ít nhất 6 h dữ liệu cũng có thể được coi là hoàn thành.
Nếu sau khi hoàn thành ma trận, phát hiện thấy các phép hiệu chỉnh luồng không khí của hiệu chuẩn theo vị trí không thay đổi với độ trượt gió tăng, thì có thể loại bỏ các bin trượt gió, và dữ liệu chỉ được đánh giá dựa trên bin hướng gió theo phương pháp ở 9.4. Mức độ thay đổi sẽ được đánh giá so với độ không đảm bảo thống kê của hiệu chuẩn theo vị trí.
Nếu sự biến động giữa các bin trượt gió gây ra mức độ biến động trong các phép hiệu chỉnh luồng không khí của hiệu chuẩn theo vị trí cao hơn gấp đôi độ không đảm bảo thống kê của hiệu chuẩn theo vị trí trong một hoặc nhiều bin hướng gió, thì các bin trượt gió sẽ được bao gồm trong phân tích cùng với các bin hướng gió.
Nếu sự biến động giữa các bin trượt gió gây ra mức độ biến động trong các phép hiệu chỉnh luồng không khí của hiệu chuẩn theo vị trí thấp hơn hai lần độ không đảm bảo thống kê của hiệu chuẩn theo vị trí trong một hoặc nhiều bin hướng gió thì các bin trượt gió có thể được loại bỏ, và dữ liệu chỉ được đánh giá theo bin hướng gió theo phương pháp ở 9.4.
Trong phép đo đường cong công suất, dữ liệu phải được phân loại theo các bin hướng gió. Đối với từng điểm dữ liệu 10 min, hệ số trượt gió tại cột khí tượng tham chiếu được tính toán. Phép hiệu chỉnh luồng không khí áp dụng cho tốc độ gió của cột khí tượng tham chiếu phải là tỷ lệ tốc độ gió nội suy đến giá trị độ trượt gió đo được từ giá trị trung bình của các bin trượt gió và hệ số trượt gió đo được cho bin hướng gió đó. Cho phép ngoại suy các hệ số trượt gió trong các bin trượt gió hoàn thành cuối cùng; ví dụ, nếu bin trượt gió hoàn thành cuối cùng là bin trượt gió 0,6, cho phép ngoại suy cho các giá trị hệ số trượt gió đo được giữa 0,600 và 0,625 (trong đó 0,625 là mép trên của bin trượt gió 0,6 với bước 0,05 và phạm vi từ 0,575 đến 0,625). Cho phép nội suy giữa hai bin trượt gió hoàn thành thông qua một bin trượt gió chưa hoàn thành. Không cho phép nội suy giữa các bin hướng gió.
9.4 Phương pháp 2: Phương pháp hồi quy tuyến tính khi trượt gió không phải là yếu tố ảnh hưởng đáng kể
Các bộ dữ liệu được phân loại thành các bin hướng gió. Kích thước của các bin hướng gió sẽ là 10°. Yêu cầu việc chọn cách định tâm bin hướng gió (ví dụ như bin được xác định trung tâm theo các bội số của 10° hoặc bin bắt đầu từ các bội số của 10°) được áp dụng nhất quán từ hiệu chuẩn theo vị trí đến phép đo đường cong công suất. Tại các cạnh của khu vực đo, dữ liệu được lọc theo quy mô của khu vực đo. Ví dụ, khi khu vực đo kết thúc ở 43°, việc hiệu chuẩn theo vị trí tại cạnh của khu vực đo được đánh giá từ 35° đến 43°.
Đối với từng bin hướng gió, một phép hồi quy tuyến tính bình phương tối thiểu được thực hiện với tốc độ gió tại vị trí tuabin gió là biến phụ thuộc và tốc độ gió tại cột khí tượng tham chiếu là biến độc lập. Do đó, sẽ có một hệ số góc và một hệ số chặn cho từng bin hướng gió.
Từng bin hướng gió phải có ít nhất 24 h dữ liệu tổng và phải có ít nhất 6 h dữ liệu với tốc độ gió trên 8 m/s và ít nhất 6 h dữ liệu với tốc độ gió dưới 8 m/s. cần có một sự phân bố rộng của các tốc độ gió trong bin để có sự tương quan tốt (xem 11.2), vì vậy khuyến nghị là dữ liệu với tốc độ gió ít nhất lên đến 11 m/s. Lưu ý rằng các điểm ngoại lai có trọng số cao trong phương pháp hồi quy bình phương tối thiểu. Các điểm ngoại lai có tác động đáng kể đến hồi quy cần phải được tìm kiếm và ghi lại.
Để minh họa sự tương quan giữa tốc độ gió tại cột khí tượng tham chiếu và vị trí tuabin gió, các đồ thị sau đây phải được thiết lập cho từng bin hướng gió hoàn thành trong khu vực đo:
a) Tốc độ gió tại vị trí tuabin gió theo tốc độ gió tại cột khí tượng tham chiếu, bao gồm việc chỉ ra phép hồi quy tuyến tính và hệ số tương quan (thường được gọi là giá trị R2).
Trên một trục đơn, vẽ các đồ thị sau (xem Hình B.9 để tham khảo):
b) Tỷ lệ tốc độ gió theo tốc độ gió tại cột khí tượng tham chiếu;
c) Các giá trị trung bình bin của tỷ lệ tốc độ gió trong các bin tốc độ gió 0,5 m/s;
d) Một đường cong y = m + b/x, trong đó m là hệ số góc của phép hồi quy tuyến tính, b là hệ số chặn và x là tốc độ gió tại cột khí tượng tham chiếu, và y là tốc độ gió tại vị trí tuabin gió chuẩn hóa với tốc độ gió tại cột khí tượng tham chiếu, tức là y = tỷ lệ tốc độ gió;
e) Một đường thẳng nằm ngang chỉ ra giá trị trung bình của tất cả các tỷ lệ tốc độ gió trong bin hướng gió.
9.5 Các phép tính bổ sung
Các phép hiệu chỉnh luồng không khí trong hiệu chuẩn theo vị trí phải được áp dụng vào dữ liệu cột khí tượng tham chiếu để tính toán tốc độ gió tại vị trí tuabin gió dự đoán cho từng điểm dữ liệu. Điều này sẽ được thực hiện bằng cách sử dụng cơ sở dữ liệu đã lọc.
|
| (2) |
trong đó:
| VTurb_predicted | là tốc độ gió dự đoán tại vị trí tuabin gió; |
| F(WD,α) | là phép hiệu chỉnh luồng không khí trong hiệu chuẩn theo vị trí xác định ở 9.3; |
| VPM | là tốc độ gió tại cột khí tượng tham chiếu; |
| WD | là bin hướng gió; |
| α | là hệ số trượt gió, nếu có. |
Phần dư của hiệu chuẩn theo vị trí phải được tính toán như dưới đây cho từng điểm dữ liệu 10 min là hiệu của tốc độ gió tại vị trí tuabin gió dự đoán và tốc độ gió tại vị trí tuabin gió đo được.
|
| (3) |
Tham số tự nhất quán phải được tính cho từng điểm dữ liệu 10 min như sau: chia tốc độ gió dự đoán tại vị trí tuabin gió cho tốc độ gió đo được tại cột khí tượng của tuabin gió.
|
| (4) |
Phần dư và tham số tự nhất quán được sử dụng để đánh giá sự biến thiên và bất kỳ sự sai lệch nào trong kết quả. Trung bình của phần dư và tham số tự nhất quán phản ánh sự sai lệch trung bình, trong đó giá trị trung bình của 0 và 1,0 tương ứng với sự sai lệch bằng không. Độ lệch chuẩn của các tham số này là chỉ số về sự biến thiên xung quanh sai lệch trung bình và được sử dụng để tính toán độ không đảm bảo thống kê của phép hiệu chuẩn theo vị trí.
Ngoài tính toán độ không đảm bảo thống kê, được dựa trên sự biến thiên về sai lệch trung bình là “0”, các tham số này còn được dùng để tính toán độ không đảm bảo bổ sung trong một số trường hợp cụ thể được liệt kê trong Điều 11 dựa trên việc đánh giá độ sai lệch trung bình được ước tính từ các trường hợp này, phản ánh sự dịch chuyển của trung bình của các tham số này ra khỏi 0 và 1,0 tương ứng.
10 Độ không đảm bảo của hiệu chuẩn theo vị trí
10.1 Độ không đảm bảo loại A của hiệu chuẩn theo vị trí
10.1.1 Phân tích K-fold của hiệu chuẩn theo vị trí
Hiệu chuẩn theo vị trí tạo ra một mô hình để dự đoán tốc độ gió tại vị trí tuabin gió dựa trên tốc độ gió tại cột khí tượng. Để tránh nguy cơ đánh giá thấp độ không đảm bảo loại A do việc quá điều chỉnh mô hình đối với dữ liệu, độ không đảm bảo loại A phải được tính bằng cách sử dụng phương pháp kiểm tra tính hợp lệ chéo k-fold với k=10. Lưu ý rằng trong ngành công nghiệp gió, k có nhiều nghĩa khác nhau, tuy nhiên việc sử dụng thuật ngữ "k" ở đây nhất quán trong thống kê, vì phương pháp được áp dụng được gọi là "kiểm tra tính hợp lệ chéo K-fold".
Bộ dữ liệu đã được lọc cuối cùng phải được chia thành k fold đều nhau (phần chia) dựa trên dấu thời gian.
Đối với từng fold (k = từ 1 đến 10):
a) Các giá trị hiệu chỉnh luồng không khí trong hiệu chuẩn theo vị trí phải được tính theo Điều 9 chỉ sử dụng dữ liệu từ 9 fold còn lại.
b) Các giá trị hiệu chỉnh luồng không khí trong hiệu chuẩn theo vị trí phải được sử dụng để tính toán tốc độ gió dự đoán tại vị trí tuabin gió bằng cách sử dụng tốc độ gió tại cột khí tượng đo được trong fold thứ k.
c) Tốc độ gió dự đoán tại vị trí tuabin gió trong fold thứ k phải được so sánh với tốc độ gió thực tế đo được tại vị trí tuabin gió trong fold thứ k theo cả phần dư và tham số tự nhất quán được xác định ở 9.5.
d) Độ không đảm bảo thống kê cho fold thứ k phải được xác định theo 10.1.2.
Độ không đảm bảo tổng loại A là căn bậc hai của tổng bình phương độ không đảm bảo được tính toán cho mỗi fold chia cho căn bậc hai của k:
|
| (5) |
Giá trị k = 10 được chọn để tăng khả năng có đủ thông tin trong các bộ dữ liệu còn lại để bao trùm dải tốc độ gió có trong bộ dữ liệu đang được đánh giá, tuy nhiên, các giá trị k khác cũng được phép, miễn là k ≥ 2.
Các fold được phân chia theo dấu thời gian thay vì được chọn ngẫu nhiên vì kỳ vọng rằng sự thay đổi trong mối quan hệ giữa tốc độ gió giữa hai địa điểm có thể tương quan với các sự kiện khí tượng mà bản thân các fold lại tương quan với thời gian, và do đó, các fold dựa trên thời gian có nhiều khả năng phát hiện tốt hơn những thay đổi giữa các điều kiện trong quá trình hiệu chuẩn theo vị trí và các giai đoạn thời gian đo đường cong công suất.
10.1.2 Độ không đảm bảo thống kê của phép hiệu chuẩn theo vị trí cho từng fold
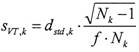
Đối với mỗi fold trong kiểm tra chéo k-fold, độ lệch giữa tốc độ gió đã được hiệu chỉnh tại vị trí tuabin gió và tốc độ gió đo được tại vị trí tuabin gió sẽ được tính cho từng giai đoạn 10 min, và độ lệch chuẩn của độ lệch tốc độ gió trên tất cả các giai đoạn 10 min được tính như sau:
|
| (6) |
trong đó:
| dj,k | là độ lệch trong giai đoạn 10 min thứ j của fold thứ k, theo công thức (3). |
|
| là giá trị trung bình của các độ lệch trong fold thứ k. |
| Nk | là số lượng bộ dữ liệu trong fold thứ k; |
| dstd,k | là độ lệch chuẩn của các độ lệch hiệu chuẩn theo vị trí trong fold thứ k. |
Chỉ những dữ liệu đã được đưa vào đánh giá hiệu chuẩn theo vị trí mới được đưa vào tính toán độ lệch chuẩn.
Độ không đảm bảo thống kê, loại A, của fold thứ k là:
|
| (7) |
trong đó:
ƒ là số bậc tự do của hiệu chuẩn theo vị trí.
Số bậc tự do ƒ được xác định là số giai đoạn 10 min trong phép hiệu chuẩn theo vị trí trừ đi tổng số tham số của thuật toán hiệu chuẩn theo vị trí. Trong trường hợp các phép hiệu chuẩn theo vị trí là tỷ lệ tốc độ gió trung bình theo từng bin hướng gió, số tham số của thuật toán hiệu chuẩn theo vị trí theo hướng gió theo phân khu vực (thường là các khu vực rộng 10°). Trong trường hợp các giá trị hiệu chỉnh luồng không khí trong hiệu chuẩn theo vị trí ở dạng hồi quy tuyến tính (độ dốc và độ lệch), số lượng tham số của thuật toán hiệu chuẩn theo vị trí là 2 cho từng phân khu vực hướng gió. Giá trị của ƒ sau đó là Nk trừ đi hai lần số lượng các bin hướng gió. Trong trường hợp các giá trị hiệu chỉnh luồng không khí trong hiệu chuẩn theo vị trí ở dạng tỷ lệ tốc độ gió trung bình theo bin hướng gió và trượt gió, ƒ là Nk trừ đi tổng số lượng tất cả các bin trượt gió trong tất cả các phân khu vực hướng gió.
10.2 Độ không đảm bảo của phép hiệu chuẩn theo vị trí loại B
10.2.1 Quy định chung
Các thành phần độ không đảm bảo sau đây cần được coi là độc lập với nhau khi đánh giá độ không đảm bảo chuẩn kết hợp loại B.
10.2.2 Thiết bị đo gió - Hiệu chuẩn trước
Thành phần độ không đảm bảo này bao gồm độ không đảm bảo liên quan đến việc hiệu chuẩn các cảm biến trước khi thử nghiệm.
Ký hiệu của thành phần độ không đảm bảo này là uVT,precal,i.
Độ không đảm bảo này được nêu trong TCVN 10687-50-1 (IEC 61400-50-1).
Độ không đảm bảo chuẩn của việc hiệu chuẩn thiết bị đo gió phải được lấy từ các phép hiệu chuẩn. Nếu các phép hiệu chuẩn thiết bị đo gió tại cột khí tượng tham chiếu và vị trí tuabin gió được thực hiện trong cùng một đường hầm gió, các độ không đảm bảo ước tính có thể có sự tương quan nhất định; điều này cũng đúng với các phép hiệu chuẩn thiết bị đo gió được sử dụng trong thử nghiệm đặc tính công suất. Một cách tiếp cận thực tế là đưa vào độ lớn của một độ không đảm bảo của một phép hiệu chuẩn nếu các phép hiệu chuẩn được thực hiện trong cùng một đường hầm gió. Nếu các phép hiệu chuẩn được thực hiện trong các đường hầm gió khác nhau hoặc các thiết bị đo gió khác nhau được sử dụng, các độ không đảm bảo này là độc lập và cần được tính toán như vậy.
Hướng dẫn cụ thể được đưa ra như sau. Nếu thiết bị đo gió tham chiếu không được thay thế giữa phép hiệu chuẩn theo vị trí và thử nghiệm đường cong công suất, độ không đảm bảo hiệu chuẩn của nó sẽ bị hủy bỏ hoàn toàn. Lúc này chỉ có độ không đảm bảo của thiết bị đo gió tại cột khí tượng tuabin gió là có liên quan. Nếu thiết bị đo gió tham chiếu được thay thế giữa phép hiệu chuẩn theo vị trí và thử nghiệm đường cong công suất với một thiết bị đo gió được hiệu chuẩn trong cùng một đường hầm gió như thiết bị đo gió đầu tiên, phần lớn độ không đảm bảo của thiết bị đo gió tham chiếu sẽ bị hủy bỏ nếu đường hầm gió cho kết quả tái lập cao. Nếu thiết bị đo gió tham chiếu được thay thế giữa phép hiệu chuẩn theo vị trí và thử nghiệm đường cong công suất với một thiết bị đo gió được hiệu chuẩn trong một đường hầm gió khác so với thiết bị đo gió đầu tiên, độ không đảm bảo của cả hai phép hiệu chuẩn thiết bị đo gió sẽ có liên quan.
10.2.3 Thiết bị đo gió - Hiệu chuẩn sau
Thành phần độ không đảm bảo này bao gồm độ không đảm bảo liên quan đến việc hiệu chuẩn tại hiện trường [TCVN 10687-50-1 (IEC 61400-50-1)] và/hoặc việc hiệu chuẩn sau của cảm biến [TCVN 10687- 50-1 (IEC 61400-50-1)] trong và/hoặc sau khi phép hiệu chuẩn theo vị trí.
Ký hiệu của thành phần độ không đảm bảo này là uVT,postcal,i.
Độ không đảm bảo này được nêu trong TCVN 10687-50-1 (IEC 61400-50-1).
10.2.4 Thiết bị đo gió - Phân loại
Thành phần độ không đảm bảo này bao gồm độ không đảm bảo liên quan đến việc phân loại các cảm biến cho phép hiệu chuẩn theo vị trí theo TCVN 10687-50-1 (IEC 61400-50-1).
Ký hiệu của thành phần độ không đảm bảo này là uVT,class,i
Độ không đảm bảo này gần như giống với uVS,class,i, với sự khác biệt là trong tiêu chuẩn này, nó được áp dụng cho việc đo tốc độ gió trên hai cột khí tượng. Một số yếu tố ảnh hưởng trong việc phân loại sẽ ảnh hưởng tương tự lên cả hai cảm biến, gây ra sự tương quan trong phản hồi vận hành và giảm sự khác biệt giữa các tín hiệu. Tuy nhiên, các yếu tố ảnh hưởng chính như luồng xoáy, trượt gió và luồng không khí hướng lên có thể khác nhau giữa hai vị trí đo và vì vậy độ không đảm bảo của thành phần này phải được đặt bằng độ không đảm bảo liên quan đến phân loại thiết bị đo gió tại cột khí tượng của tuabin gió.
Độ lớn của độ không đảm bảo này sẽ được lấy từ báo cáo phân loại. Loại địa hình mà cảm biến được sử dụng phải phù hợp với loại địa hình của phân loại cảm biến (Loại A, B hoặc S).
Tham chiếu đến báo cáo phân loại cần được bao gồm trong báo cáo hiệu chuẩn theo vị trí. Nếu không có tham chiếu như vậy, độ không đảm bảo mặc định sẽ là loại 3,4A (đối với địa hình không phức tạp) hoặc loại 4,5B (đối với địa hình phức tạp).
Phạm vi đo của các tham số ảnh hưởng được sử dụng cho phân loại theo TCVN 10687-50-1 (IEC 61400-50-1) phải được báo cáo cho cùng một bộ dữ liệu được sử dụng cho báo cáo phép hiệu chuẩn theo vị trí. Nếu luồng không khí không được đo, việc tuân thủ với cấp chính xác phải được lập luận từ độ dốc địa hình địa phương đối với các hướng gió đã trải qua, giả sử rằng góc đứng của gió là 2/3 độ dốc trung bình của địa hình trong phạm vi 5D của tuabin gió ở phía hướng gió đến tuabin.
10.2.5 Thiết bị đo gió - Lắp đặt
Thành phần độ không đảm bảo này bao gồm độ không đảm bảo liên quan đến việc lắp đặt các cảm biến theo TCVN 10687-50-1 (IEC 61400-50-1) trong phép hiệu chuẩn theo vị trí. Độ không đảm bảo chuẩn của việc lắp đặt thiết bị đo gió tại vị trí tuabin gió cũng như lắp đặt thiết bị đo gió tại cột khí tượng tham chiếu phải được tính đến trong việc đánh giá độ không đảm bảo của phép hiệu chuẩn theo vị trí.
Ký hiệu của thành phần độ không đảm bảo này là uVT,mnt,i.
Độ không đảm bảo này gần như giống với uVT,mnt,i với sự khác biệt là trong tiêu chuẩn này, nó được áp dụng cho việc đo tốc độ gió trên hai cột khí tượng. Nếu các cảm biến có cùng loại, bố trí các cột khí tượng là giống nhau và hướng gió là giống nhau, có thể giả thiết rằng có sự tương quan cao giữa các ảnh hưởng của việc lắp đặt từ cả hai cột khí tượng đối với cả hai cảm biến, điều này sẽ giảm độ không đảm bảo. Tuy nhiên, ngay cả khi có cùng loại cảm biến và bố trí cột khí tượng, hướng gió mà hai cột khí tượng trải qua đồng thời thường không giống nhau. Vì ảnh hưởng từ cột khí tượng đến các cảm biến phụ thuộc vào hướng, sự tương quan thực tế của ảnh hưởng từ việc lắp đặt giữa hai cột khí tượng sẽ bị hạn chế và ảnh hưởng từ việc lắp đặt cần được tính đến.
Độ không đảm bảo mặc định cho thành phần độ không đảm bảo này đối với từng cách trong ba cách lắp đặt có thể (lắp đặt trên đỉnh, lắp đặt cạnh nhau trên đỉnh hoặc lắp đặt bên hông) được xác định trong TCVN 10687-50-1 (IEC 61400-50-1).
10.2.6 Thiết bị đo gió - Thu thập dữ liệu
Thành phần độ không đảm bảo này bao gồm độ không đảm bảo liên quan đến việc thu thập dữ liệu từ tín hiệu của các cảm biến tốc độ gió theo TCVN 10687-50-1 (IEC 61400-50-1) trong phép hiệu chuẩn theo vị trí.
Ký hiệu của thành phần độ không đảm bảo này là udVT,i.
Độ không đảm bảo này gần như giống với udVS,i, với sự khác biệt là ở đây nó được áp dụng cho việc đo tốc độ gió trên hai cột khí tượng. Vì việc thu thập dữ liệu từ cả hai tín hiệu được giả định là độc lập, độ không đảm bảo này cần được tính hai lần.
Độ không đảm bảo mặc định cho thành phần độ không đảm bảo này là từ 0,1 % đến 0,2 % của toàn bộ kênh đo tốc độ gió.
10.2.7 Thiết bị đo gió - Chóp thu sét
Thành phần không đảm bảo này liên quan đến sự không đảm bảo do chóp thu sét lắp trên đỉnh và ảnh hưởng của nó đối với thiết bị đo gió lắp trên đỉnh khi không thể đáp ứng các yêu cầu trong TCVN 10687-50-1 (IEC 61400-50-1) đối với việc lắp chóp thu sét.
Ký hiệu đối với độ không đảm bảo này là uVT,lgt,i.
Thành phần không đảm bảo này về cơ bản giống với uVS,lgt,i, nhưng trong tiêu chuẩn này, nó được áp dụng cho việc đo tốc độ gió trên hai cột. Nếu các cảm biến cùng loại, bố trí cột giống nhau và hướng gió giống nhau, có thể giả định rằng có sự tương quan cao giữa ảnh hưởng của việc lắp các cảm biến từ cả hai cột, từ đó làm giảm độ không đảm bảo. Tuy nhiên, ngay cả khi các cảm biến và bố trí cột giống nhau, hướng gió mà cả hai cột nhận được cùng lúc sẽ không giống nhau. Vì ảnh hưởng từ chóp thu sét lên các cảm biến nhạy với hướng gió, mối tương quan thực tế giữa các ảnh hưởng từ việc lắp trên cả hai cột bị hạn chế và cần phải tính đến ảnh hưởng của chóp thu sét [khi không thể đáp ứng yêu cầu đối với chóp thu sét trong TCVN 10687-50-1 (IEC 61400-50-1)].
Tham khảo TCVN 10687-50-1 (IEC 61400-50-1) để biết chi tiết về thành phần này.
10.3 Kết hợp các yếu tố không đảm bảo trong việc đo tốc độ gió do biến dạng luồng không khí trong quá trình hiệu chuẩn theo vị trí uVT,i
Các thành phần không đảm bảo sau đây được kết hợp để tính toán độ không đảm bảo loại B cho một lần hiệu chuẩn theo vị trí:
![]()
trong đó :
| uVT,i,j | là độ không đảm bảo từ hiệu chuẩn theo vị trí |
| uVT,precal,i,j | là độ không đảm bảo liên quan đến hiệu chuẩn các thiết bị đo gió |
| uVT,postcal,i,j | là độ không đảm bảo liên quan đến hiệu chuẩn sau hoặc hiệu chuẩn tại chỗ của các thiết bị đo gió |
| uVT,class,i,j | là độ không đảm bảo liên quan đến phân loại các cảm biến |
| uVT,mnt,i,j | là độ không đảm bảo liên quan đến việc lắp các cảm biến |
| uVT,coc,i,j | là độ không đảm bảo liên quan đến sự thay đổi của giá trị hiệu chỉnh giữa các bin |
| uVT,rmv,i,j | là độ không đảm bảo liên quan đến việc loại bỏ cảm biến hướng gió giữa hiệu chuẩn theo vị trí và thử nghiệm đặc tính công suất |
| uVT,sv,i,j | là độ không đảm bảo liên quan đến sự biến đổi theo mùa giữa hiệu chuẩn theo vị trí và thử nghiệm đặc tính công suất |
| udVT,i,j | là độ không đảm bảo liên quan đến thu thập dữ liệu tín hiệu tốc độ gió |
| sVT | là độ không đảm bảo chuẩn loại A của hiệu chuẩn theo vị trí |
Để có được độ không đảm bảo trong một bin tốc độ gió trên tất cả các khu vực hướng gió, cần sử dụng giá trị trung bình có trọng số:
|
| (9) |
10.4 Độ không đảm bảo kết hợp
Các thành phần không đảm bảo loại A và B cần được xem như là độc lập với nhau khi tính toán sự không đảm bảo kết hợp của việc hiệu chuẩn theo vị trí.
Có thể thu hẹp khu vực đo đạc với mục tiêu giảm sự không đảm bảo bằng cách loại bỏ các bin hướng gió có sự không đảm bảo cao.
11 Kiểm tra chất lượng và các các độ không đảm bảo bổ sung
11.1 Kiểm tra hội tụ
Kiểm tra hội tụ phải được thực hiện sử dụng tham số tự nhất quán từ công thức (4) cho từng bin hướng gió. Đồ thị minh họa cho mục đích này vẽ trung bình tích lũy của tham số tự nhất quán so với số giờ cho từng bin hướng gió. Các giá trị trung bình này phải hội tụ trong phạm vi 0,5 % so với giá trị trung bình cuối cùng trong vòng 16 h dữ liệu hoặc 25 % tổng số điểm dữ liệu trong bin đó. Nếu các tiêu chí này không đạt được, có thể áp dụng các bước bổ sung như lọc thêm để giải thích và chỉnh sửa sự không hội tụ. Nếu các bước này không dẫn đến hội tụ, có thể thực hiện kiểm tra tính nhất quán theo Phụ lục A trong quá trình đo đặc tính công suất để đánh giá xem sự không hội tụ có phải là vấn đề không. Nếu các tiêu chí kiểm tra tính nhất quán trong thử nghiệm đường cong công suất không đạt, thì bin dữ liệu đó phải bị loại khỏi khu vực đo.
Phương pháp kiểm tra chéo Mold được sử dụng để tính toán độ không đảm bảo vệ mặt thống kê cho hiệu chuẩn theo vị trí cần phản ánh độ không đảm bảo thử nghiệm cao hơn đối với bất kỳ trường hợp không hội tụ nào, do đó không phạt về độ không đảm bảo nào cho lần kiểm tra này.
11.2 Kiểm tra sự tương quan đối với hồi quy tuyến tính (xem 9.4)
Đối với từng bin hướng gió, mức độ tương quan phải được đánh giá dựa trên hệ số tương quan của đường hồi quy, thường được biết đến là giá trị r. Đánh giá này phải được đưa vào báo cáo.
11.3 Thay đổi trong hiệu chỉnh giữa các bin hướng gió liền kề
11.3.1 Quy định chung
Khuyến nghị rằng các bin hướng gió từ các khu vực đo bị loại bỏ khi hiệu chỉnh luồng không khí thay đổi quá 2 % giữa các bin liền kề.
Ký hiệu của thành phần không đảm bảo này là uVT,coc,i (COC là viết tắt của "thay đổi trong hiệu chỉnh").
Điều này sẽ được đánh giá bằng cách áp dụng phương pháp tham số tự nhất quán từ 9.5 như sau:
a) Đánh giá dữ liệu và tính toán hiệu chỉnh luồng không khí trong hiệu chuẩn theo vị trí.
b) Dịch chuyển các giá trị hiệu chỉnh luồng không khí trong hiệu chuẩn theo vị trí theo một khu vực hướng gió để áp dụng các giá trị hiệu chỉnh hoặc hồi quy vào bin hướng gió liền kề. Ví dụ, nếu hiệu chỉnh lưu lượng áp dụng cho bin 290° là 1,024x + 0,1, thì thay vào đó áp dụng hiệu chỉnh này cho bin 280°.
c) Sử dụng các hiệu chỉnh luồng không khí trong hiệu chuẩn theo vị trí từ bước trước và dữ liệu hiệu chuẩn theo vị trí, tính toán tốc độ gió dự đoán tại vị trí tua bin gió cho mỗi chu kỳ 10 min, sau đó tính toán tham số tự nhất quán bằng công thức (4).
d) Tính trung bình các tham số tự nhất quán cho mỗi bin hướng gió. Nếu trung bình nhỏ hơn 0,98 hoặc lớn hơn 1,02, thì các bin hướng gió đó phải được loại bỏ. Nếu các bin hướng gió đó không bị loại bỏ, thì độ không đảm bảo trong các bin đó sẽ được tăng lên theo giá trị 1 trừ đi tham số tự nhất quán trung bình nhân với 100 % và chia cho 2 và căn bậc hai của 3. Nếu một khu vực áp dụng điều này từ cả hai khu vực liền kề, thì mức tăng độ không đảm bảo là trung bình của hai khu vực.
Phương pháp này phải được áp dụng bằng cách cộng và trừ vào bin hướng gió, ví dụ áp dụng kết quả của bin 290° cho cả bin 280° và bin 300°. Điều chỉnh độ không đảm bảo cho các bin không ở mép phải là tác động trung bình của việc di chuyển một bin liền kề theo từng hướng.
|
| (10) |
trong đó:
| uVT,coc,i | là độ không đảm bảo chuẩn do sự thay đổi trong hiệu chỉnh hướng gió bin j |
| sccpj,j-1 | là tham số tự nhất quán hiệu chuẩn theo vị trí cho hướng gió bin j sử dụng hiệu chỉnh hiệu chuẩn theo vị trí trong bin j - 1 |
| sccpj,j+1 | là tham số tự nhất quán hiệu chuẩn theo vị trí cho hướng gió bin j sử dụng hiệu chỉnh hiệu chuẩn theo vị trí trong bin j + 1 |
Đối với các phân khu vực ở mép của khu vực đo, độ không đảm bảo chỉ được đánh giá bằng cách áp dụng phép hiệu chỉnh từ phân khu vực lân cận tương ứng.
11.3.2 Loại bỏ cảm biến hướng gió giữa quá trình hiệu chuẩn tại hiện trường và thử nghiệm đặc tính công suất
Nếu cảm biến hướng gió bị loại bỏ giữa quá trình hiệu chuẩn theo vị trí và thử nghiệm đặc tính công suất, có thể đưa vào lỗi do độ không đảm bảo trong việc căn chỉnh cảm biến hướng gió giữa hai lần lắp đặt. Thành phần không đảm bảo bổ sung cho từng bin hướng gió phải được áp dụng.
Ký hiệu cho thành phần không đảm bảo này là uVT,mnv,i.
Thành phần không đảm bảo này phải được tính cho từng bin hướng gió như sau:
a) Đối với từng bin hướng gió, áp dụng phương pháp trong 11.3, ngoại trừ độ không đảm bảo phải được áp dụng ngay cả khi giá trị trung bình của các tham số tự nhất quán là giữa 0,98 và 1,02.
b) Xác định độ không đảm bảo tương đối trong phép đo hướng gió.
c) Nhân kết quả của mục a) với tỷ lệ giữa độ không đảm bảo tương đối trong phép đo cánh gió với tổng cỡ bin hướng gió.
Ví dụ, cánh gió bị hỏng và được thay thế bằng một mô hình tương tự giữa hiệu chuẩn theo vị trí và phép đo đường cong công suất. Độ không đảm bảo trong việc căn chỉnh cánh gió được xác định là 3° và cỡ bin là 10°. Nhân sự thay đổi trong hiệu chỉnh giữa các bin liền kể từ 11.3 với 3/10. Độ không đảm bảo này được áp dụng cùng với bất kỳ độ không đảm bảo nào được áp dụng do 11.3.
|
| (11) |
trong đó:
| uw,i | là độ không đảm bảo hướng gió được tính từ TCVN 10687-12-1 (IEC 61400-12-1): |
| BinSize | là cỡ bin của bin hướng gió bin j, ví dụ bằng 10° |
Lưu ý rằng uw,i có thể được đánh giá trên cơ sở tương đối, tức là các thành phần không đảm bảo có tương quan đầy đủ giữa hiệu chuẩn theo vị trí và phép đo đường cong công suất có thể bị bỏ qua. Ví dụ, nếu cột khí tượng vẫn ở nguyên vị trí và chỉ có cảm biến được chế tạo và có model giống nhau được thay thế và lắp trên cùng một cần trục thì có thể bỏ qua uWVbo,i và uWVoe,i.
11.4 Hiệu chuẩn theo vị trí và đo đặc tính công suất trong các mùa khác nhau
Các thay đổi theo mùa trong điều kiện gió và sự thay đổi trong độ gồ ghề bề mặt do thực vật, mưa (tuyết và băng) và đóng băng của các vùng nước có thể gây ra sự phụ thuộc theo mùa khi hiệu chỉnh luồng không khí trong hiệu chuẩn theo vị trí. Vì vậy, khuyến khích việc thực hiện hiệu chuẩn theo vị trí và đo đặc tính công suất trong cùng một mùa, ví dụ như cả hai đều xảy ra vào mùa hè. Để đánh giá tác động có thể có của điều này, các bước sau đây phải được thực hiện.
So sánh các điều kiện gió trung bình tại cột khí tượng tham chiếu trong quá trình hiệu chuẩn theo vị trí (trượt gió, luồng xoáy, góc luồng gió hướng lên) với các điều kiện gió trung bình tại cùng cột khí tượng trong quá trình đo đặc tính công suất đối với các hướng gió trong khu vực đo. Độ không đảm bảo bổ sung phải được tính cho các hiệu ứng theo mùa nếu bất kỳ điều kiện nào trong số các điều kiện đối với bin hướng gió khác nhau nhiều hơn các số lượng sau đây:
a) 0,05 đối với hệ số trượt gió;
b) 3 % đối với cường độ luồng xoáy:
c) nếu đo góc luồng gió hướng lên, khuyến nghị giới hạn thay đổi góc hướng lên theo phương thẳng đứng là +/-2°.
Ký hiệu cho thành phần không đảm bảo này là uVT,sv,i. Độ không đảm bảo bổ sung cho các hiệu ứng theo mùa phải được tính bằng một phần ba độ lớn của giá trị hiệu chỉnh luồng không khí trong hiệu chuẩn tại vị trí.
Phụ lục A
(tham khảo)
Kiểm tra xác nhận kết quả
Một phương pháp để kiểm tra xác nhận kết quả từ phép đo đặc tính công suất có hoặc không có hiệu chuẩn theo vị trí là sử dụng dữ liệu công suất điện đo được để suy ra tốc độ gió đại diện cho tuabin gió trong mỗi khoảng thời gian 10 min có trong phép đo đường cong công suất. Tốc độ gió này được so sánh với tốc độ gió đo được bởi thiết bị đo gió hoặc RSD. Lý tưởng là tỷ lệ này không nên thay đổi theo hướng gió. Các bin hướng gió mà tỷ lệ thay đổi mạnh cần được kiểm tra và có thể loại trừ. Nếu đường cong công suất là một hàm của tốc độ gió tương đương qua rôto, tốc độ gió tương đương qua rôto nên được áp dụng để kiểm tra tính nhất quán.
a) Đường cong công suất nghịch đảo được định nghĩa là tốc độ gió lấy trung bình bin, hàm của công suất đầu ra đối với các bộ dữ liệu đã được sử dụng để đánh giá đường cong công suất. Đối với các tuabin gió điều khiển chủ động, tốc độ gió chuẩn hóa theo mật độ không khí được sử dụng để đánh giá đường cong công suất nghịch đảo. Đối với các tuabin gió không điều khiển chủ động, công suất đầu ra chuẩn hóa theo mật độ không khí được áp dụng để đánh giá đường cong công suất nghịch đảo. Nếu đã thực hiện hiệu chuẩn theo vị trí, tốc độ gió đã hiệu chuẩn theo vị trí và, nếu cần thiết, tốc độ gió chuẩn hóa theo mật độ không khí nên được sử dụng cho phân tích bin. Các kết quả sử dụng cần bao gồm dữ liệu công suất trong đó công suất tối đa không đạt được công suất danh định danh nghĩa đo được và tốc độ gió chuẩn hóa vượt quá 4 m/s.
b) Đường cong công suất nghịch đảo (RPC) được áp dụng để đánh giá tốc độ gió đại diện cho rôto của tuabin gió từ phép đo công suất hoạt động cho mỗi khoảng thời gian 10 min mà tuabin gió thử nghiệm đang hoạt động. Để làm điều này, tốc độ gió được nội suy tuyến tính giữa các bin của RPC theo công suất hoạt động đo được. Kết quả là tốc độ gió đại diện cho rôto của tuabin gió. Đối với các tuabin gió điều khiển chủ động, kết quả là tốc độ gió môi trường chuẩn hóa theo mật độ không khí đại diện cho rôto của tuabin gió. Đối với các tuabin gió không điều khiển chủ động, công suất đầu ra chuẩn hóa theo mật độ không khí cần được sử dụng để đánh giá tốc độ gió môi trường.
c) Tỷ lệ của hai tốc độ gió (suy ra/đo được) được tính trung bình bin dưới dạng hàm của hướng gió trong các khu vực 5°.
d) Tốc độ gió suy ra và đo được được kỳ vọng sẽ thích hợp đối với khu vực đo, vì vậy tỷ lệ này sẽ gần bằng 1. Độ lệch so với 1 có thể xảy ra do các ảnh hưởng về vị trí, sai sót trong quy trình hiệu chuẩn theo vị trí, hoặc ảnh hưởng của các biến số môi trường đối với đường cong công suất. Các khu vực mà tốc độ gió xác định qua cột khí tượng không đại diện cho tuabin gió thử nghiệm có thể được nhận diện rõ ràng qua sự biến thiên của tỷ lệ trung bình bin. Độ lệch lớn hơn cần được phân tích thêm. Những khu vực này phải được loại trừ khỏi phép thử đường cong công suất cuối cùng nếu xác định nguyên nhân là do ảnh hưởng của vị trí.
e) Đường cong công suất cần được đánh giá lại với các khu vực còn lại. Kiểm tra tính tự nhất quán có thể được lặp lại với RPC đã được tính lại. Nếu cần thiết, khu vực đo phải được điều chỉnh theo kết quả thử nghiệm lặp lại.
Ví dụ về kết quả của thử nghiệm kiểm tra xác nhận được thể hiện trên Hình A.1.

Các thanh sai số chỉ ra độ không đảm bảo chuẩn loại A của các tỷ lệ trung bình bin vp và vmast. Phạm vi chấp nhận được cho các tỷ lệ là từ 0,98 đến 1,02 đối với L < 3 lần đường kính rôto và từ 0,97 đến 1,03 đối với L từ 3 đến 4 lần đường kính rôto.
Hình A.1 - Ví dụ về kết quả của thử nghiệm kiểm tra xác nhận
Phụ lục B
(tham khảo)
Ví dụ về hiệu chuẩn theo vị trí
B.1 Ví dụ A
B.1.1 Mô tả địa điểm:
Phép đo đường cong công suất được thực hiện trên một địa điểm nằm ở đỉnh đồi (địa hình loại B). Đỉnh đồi vuông góc với hướng gió chính, đối diện với một vùng đồng bằng và đỉnh đồi cao hơn khoảng 40 m đến 60 m so với vùng đồng bằng. Các tuabin gió có độ cao hub là 80 m và được bố trí thành một hàng duy nhất dọc theo đỉnh đồi.
Loại địa hình giữa loại A và loại B. Địa hình tương đối phẳng phía gió thượng nguồn của đỉnh đồi có thể dẫn đến sự chênh lệch gió lớn do độ ổn định khí quyển, tuy nhiên, địa hình gần khu vực tuabin gió lại gần với một vị trí loại B, nơi mà góc luồng gió hướng lên cao có thể là một mối quan tâm. Vì vậy, vị trí tuabin gió thử nghiệm và cột khí tượng được lựa chọn sao cho giảm thiểu tối đa góc luồng gió hướng lên có thể xảy ra (dốc địa hình cục bộ tháp) và giảm thiểu sự khác biệt về độ cao giữa hai vị trí (điều này sẽ tối đa hóa sự tương quan của các điều chỉnh tốc độ gió với các biên dạng trượt gió khác nhau) càng nhiều càng tốt, tùy thuộc vào bố trí tuabin gió và các ràng buộc về địa hình.
B.1.2 Thiết lập hiệu chuẩn theo vị trí:
Cột khí tượng tham chiếu được đặt trên đỉnh đồi, gần tuabin gió thử nghiệm nhưng ở độ cao thấp hơn khoảng 10 m so với độ cao của tuabin gió.
Ngoài các thiết bị đo gió dạng cốc ở độ cao hub lắp trên đỉnh theo cấu hình cạnh nhau, các phép đo độ trượt gió cũng được thực hiện qua các thiết bị đo gió được đặt ở độ cao 43 m trên cả hai cột khí tượng. Một thiết bị đo gió âm thanh 3D được lắp trên từng cột khí tượng để đánh giá đặc điểm hoạt động của các thiết bị đo gió ở độ cao hub nhằm định lượng độ không đảm bảo ở mức độ phức tạp địa hình đã cho.
B.1.3 Đánh giá hiệu chuẩn theo vị trí:
Dữ liệu được thu thập trong vài tháng. Các dữ liệu thu thập được lọc dựa trên khu vực đo, các tốc độ gió từ 4 m/s đến 16 m/s được ghi nhận tại cột khí tượng tham chiếu, sự cố cảm biến và sự đóng băng của thiết bị đo gió.
Đối với từng khoảng thời gian 10 min, các phép tính sau được thực hiện theo 9.2:
a) Tỷ lệ giữa tốc độ gió ở độ cao hub tại vị trí tuabin gió và tốc độ gió ở độ cao hub tại cột khí tượng tham chiếu;
b) Các hệ số trượt gió tại từng cột khí tượng được tính từ công thức định luật lũy thừa sử dụng các phép đo tốc độ gió tại độ cao 80 m và 43 m;
c) Một thẻ đại diện cho thời gian trong ngày trên đồng hồ 24 h được tính từ dấu thời gian;
d) Góc luồng gió hướng lên được tính toán từ tốc độ gió theo phương thẳng đứng và ngang từ các thiết bị đo gió âm thanh tại từng cột khí tượng.
B.1.4 Bước 1: Kiểm tra tầm quan trọng của độ trượt gió tại vị trí theo 9.2.2:
Đối với các dữ liệu đã được lọc, hệ số trượt gió tại từng cột khí tượng được vẽ theo thời gian trong ngày.

Hình B.1 - Hệ số trượt gió theo thời gian trong ngày, Ví dụ A
Từ Hình B.1, có thể thấy rằng độ trượt gió cao vào ban đêm và thấp vào ban ngày. Đây là đặc trưng của một địa điểm có chu kỳ ổn định khí quyển theo nhịp ngày đêm. Vào ban đêm, khí quyển hình thành các lớp nhiệt (khí quyển ổn định). Các lớp này làm giảm cường độ luồng xoáy và dẫn đến độ trượt gió thay đổi cao. Trong khi đó, vào ban ngày, mặt đất được mặt trời làm nóng, tạo ra sự trộn lẫn hỗn loạn dẫn đến biên dạng tốc độ gió đồng đều hơn (độ trượt gió thấp) và cường độ luồng xoáy cao hơn.
Cũng có thể thấy rằng các giá trị độ trượt gió tương tự đang xảy ra tại cả vị trí tuabin gió và cột khí tượng tham chiếu.
B.1.5 Bước 2: Kiểm tra xác nhận sự tương quan của độ trượt gió tại vị trí tuabin gió và cột khí tượng tham chiếu - Ví dụ A
Để kiểm tra xác nhận rằng các giá trị hệ số trượt gió có sự tương quan giữa vị trí tuabin gió và cột khí tượng tham chiếu, cần vẽ đồ thị của các hệ số trượt gió tại vị trí tuabin gió so với các hệ số trượt gió tại cột khí tượng tham chiếu (xem Hình B.2).

Hình B.2 - Hệ số trượt gió tại vị trí tuabin gió theo cột khí tượng tham chiếu,
Ví dụ A, trong đó trục màu = tốc độ gió (m/s)
Hệ số trượt gió tại cột khí tượng tham chiếu là chỉ báo khá tốt về hệ số trượt gió tại vị trí tuabin gió.
B.1.6 Bước 3: Tính toán kết quả theo 9.2.3
Các phép tính sau đây được thực hiện cho từng bộ dữ liệu 10 min dựa trên các phép đo tại cột khí tượng tham chiếu:
a) Các bin trượt gió được phân chia vào các giá trị bội số nguyên của 0,05 của hệ số trượt gió (-0,025 đến 0,025; 0,025 đến 0,075; 0,075 đến 0,125, v.v.).
Có thể tạo ra một ma trận của hệ số trượt gió và hướng gió. Đối với từng điểm trong ma trận này, các phép tính sau đây được thực hiện:
b) Giá trị hiệu chỉnh từng điểm trong ma trận được tính dưới dạng trung bình của các tỷ lệ tốc độ gió trong bin ma trận đó;
c) Đếm số lượng tất cả các điểm dữ liệu hợp lệ trong bin ma trận đó.
Bảng B.1 và Bảng B.2 lần lượt thể hiện các giá trị hiệu chỉnh luồng không khí trong hiệu chuẩn theo vị trí và số lượng bin. Hình B.3 là minh họa của các kết quả này.

Hình B.3 - Tỷ lệ tốc độ gió và số điểm dữ liệu theo hệ số trượt gió và bin hướng gió - tỷ lệ tốc độ gió (đường liền), sổ điểm dữ liệu (đường chấm)
B.1.7 Bước 4: Kiểm tra chất lượng và các độ không đảm bảo bổ sung
B.1.7.1 Độ không đảm bảo đặc tính hoạt động của thiết bị đo gió:
Góc luồng gió hướng lên đã được ghi lại, điều này cho phép ước tính độ không đảm bảo đặc tính hoạt động của thiết bị đo gió tại các điều kiện tại vị trí theo 7.2. Góc luồng gió hướng lên tối đa cho tất cả các điểm dữ liệu trong tất cả các bin hướng gió là 3° tại cột khí tượng tham chiếu và 1° tại cột khí tượng của tuabin gió. Tất cả các tham số khác đều nằm trong phạm vi đặc tính hoạt động của thiết bị đo gió Loại A, do đó, độ không đảm bảo đặc tính hoạt động của thiết bị đo gió Loại A có thể được sử dụng cho cả hai vị trí. Cấp chính xác là 1,4A.
Bảng B.1 - Các giá trị hiệu chỉnh luồng không khí trong hiệu chuẩn theo vị trí (tỷ lệ tốc độ gió)
|
| Bin hướng gió | ||||
| Bin trượt gió | 170 | 180 | 190 | 200 | 210 |
| 0,05 | 1,035 | 1,046 | 1,028 | 1,031 | 1,037 |
| 0,10 | 1,031 | 1,029 | 1,05 | 1,05 | 1,064 |
| 0,15 | 1,023 | 1,033 | 1,039 | 1,04 | 1,047 |
| 0,20 | 1,028 | 1,041 | 1,032 | 1,059 | 1,102 |
| 0,25 | 1,031 | 1,051 | 1,073 | 1,044 | 1,052 |
| 0,30 | 1,047 | 1,06 | 1,06 | 1,064 | 1,076 |
| 0,35 | 1,049 | 1,066 | 1,062 | 1,078 | 1,06 |
| 0,40 | 1,054 | 1,061 | 1,058 | 1,061 | 1,06 |
| 0,45 | 1,055 | 1,058 | 1,059 | 1,055 | 1,067 |
| 0,50 | 1,066 | 1,07 | 1,067 | 1,064 | 1,063 |
| 0,55 | 1,072 | 1,053 | 1,079 | 1,058 | 1,081 |
| 0,60 | 1,076 | 1,074 | 1,08 | INC | 1,091 |
| 0,65 | 1,086 | 1,076 | INC | INC | 1,019 |
| 0,70 | 1,076 | 1,096 | 1,118 | INC | INC |
| 0,75 | 1,086 | INC | INC | INC | INC |
| 0,80 | 1,092 | 1,136 | INC | INC | INC |
Bảng B.2 - Đếm dữ liệu hiệu chuẩn theo vị trí
|
| Bin hướng gió | ||||
| Bin trượt gió | 170 | 180 | 190 | 200 | 210 |
| 0,05 | 26 | 20 | 12 | 8 | 8 |
| 0,10 | 64 | 57 | 50 | 25 | 15 |
| 0,15 | 93 | 87 | 71 | 45 | 21 |
| 0,20 | 31 | 40 | 40 | 28 | 14 |
| 0,25 | 31 | 30 | 12 | 18 | 18 |
| 0,30 | 32 | 33 | 41 | 13 | 15 |
| 0,35 | 60 | 39 | 28 | 20 | 15 |
| 0,40 | 56 | 36 | 19 | 14 | 9 |
| 0,45 | 27 | 35 | 15 | 15 | 10 |
| 0,50 | 35 | 28 | 25 | 9 | 5 |
| 0,55 | 37 | 15 | 13 | 6 | 5 |
| 0,60 | 19 | 22 | 11 | 2 | 3 |
| 0,65 | 11 | 3 | 2 | 1 | 3 |
| 0,70 | 14 | 3 | 3 | 3 | 0 |
| 0,75 | 9 | 1 | 1 | 0 | 0 |
| 0,80 | 12 | 3 | 0 | 0 | 0 |
B.1.7.2 Kiểm tra hội tụ:
Kiểm tra hội tụ cho thấy dữ liệu đã hội tụ trong phạm vi 0,5 % của giá trị cuối cùng (hoặc trong phạm vi từ 0,995 đến 1,005 như được minh họa trong Hình B.4) đối với bin 190° sử dụng hơn 50 h dữ liệu và đáp ứng yêu cầu bao phủ ít nhất 16 h hoặc 25 % số điểm dữ liệu trong tất cả các bin.

Hình B.4 - Kiểm tra hội tụ dữ liệu đối với bin 190°
B.1.7.3 Thay đổi trong hiệu chỉnh giữa các bin:
Độ lớn của sự thay đổi trong các giá trị hiệu chỉnh luồng không khí nằm trong phạm vi 0,02 giữa tất cả các bin liền kề.
B.1.7.4 Điều chỉnh van gió:
Không có điều chỉnh van gió nào được thực hiện giữa các phép đo, vì vậy không cần thêm độ không đảm bảo.
B.1.7.5 Độ không đảm bảo theo mùa:
Phép đo đường cong công suất được thực hiện trong cùng một mùa và việc so sánh cho thấy không có sự thay đổi điều kiện nào vượt quá giới hạn của 11.4, vì vậy không cần thêm độ không đảm bảo để tính đến các ảnh hưởng theo mùa.
B.2 Ví dụ B
B.2.1 Mô tả vị trí:
Vị trí này giống với vị trí trong ví dụ A (địa hình loại B), ngoại trừ địa hình địa phương gần tuabin gió có độ dốc hơi cao hơn.
B.2.2 Thiết lập hiệu chuẩn theo vị trí:
Khác với ví dụ A, không thể đặt cột khí tượng tham chiếu trên đỉnh đồi. Cột khí tượng tham chiếu được đặt ở chân đồi (trên vùng đồng bằng), cách tuabin gió thử nghiệm 3 lần đường kính rôto, phía thượng nguồn của đỉnh đồi. Sự chênh lệch độ cao giữa tuabin gió thử nghiệm và cột khí tượng tham chiếu là 45 m.
B.2.3 Bước 1: Kiểm tra tầm quan trọng của độ trượt gió tại vị trí:
Đối với dữ liệu đã được lọc, hệ số trượt gió tại mỗi cột khí tượng được vẽ theo thời gian trong ngày (xem Hình B.5).

Hình B.5 - Hệ số trượt gió theo thời gian trong ngày, ví dụ B
Tương tự như ví dụ A, độ trượt gió vào ban đêm cao hơn so với ban ngày, cho thấy một chu kỳ ổn định khí quyển theo nhịp ngày đêm. Tuy nhiên, độ trượt gió tại vị trí tuabin gió có vẻ khác biệt đáng kể so với độ trượt gió tại cột khí tượng tham chiếu. Điều này sẽ gặp vấn đề do sự thay đổi độ cao giữa hai vị trí, và hợp lý để giả định rằng mối quan hệ giữa tốc độ gió ở độ cao trục sẽ bị ảnh hưởng bởi sự thay đổi trong biên dạng trượt gió.
B.2.4 Bước 2A: Kiểm tra xác nhận sự tương quan của độ trượt gió tại vị trí tuabin gió và cột khí tượng tham chiếu, ví dụ B

Hình B.6 - Hệ số trượt gió tại vị trí tuabin gió so với cột khí tượng tham chiếu, ví dụ B
Không có sự tương quan đối với các giá trị độ trượt gió lớn hơn 0,25. Điều này gợi ý rằng sự tương quan của việc hiệu chỉnh luồng không khí trong hiệu chuẩn theo vị trí không đồng nhất trong các điều kiện khí quyển ổn định. Để minh họa/kiểm tra xác nhận điều này, có thể sử dụng các đồ thị được cho ở 9.4 (xem Hình B.7).

Đường màu đỏ là đường hồi quy tuyến tính được ép qua gốc (hoành độ bằng không), còn đường màu đen là đường hồi quy tuyến tính hai tham số (hoành độ khác không).
Hình B.7 - Phân tích hồi quy tuyến tính giữa tốc độ gió tại vị trí tuabin gió và cột khí tượng tham chiếu ở độ cao hub cho bin 330°
Hồi quy tuyến tính cho thấy có một giao điểm đáng kể trong hồi quy tuyến tính. Ngoài ra, cũng có sự phân tán cao ở các tốc độ gió thấp.


Hình B.8 - Tỷ lệ tốc độ gió theo tốc độ gió cho bin 330°
Đồ thị tỷ lệ tốc độ gió theo tốc độ gió (xem Hình B.8) cho thấy sự phụ thuộc mạnh của giá trị hiệu chỉnh luồng không khí vào tốc độ gió do giao điểm cao. Cũng cần lưu ý rằng độ lớn tổng của hiệu chỉnh luồng không khí khá cao, trung bình là 19 %.
Để minh họa, đồ thị tỷ lệ tốc độ gió theo độ trượt gió cho các bin gió khác nhau được thể hiện trên Hình B.9.

Hình B.9 - Tỷ lệ tốc độ gió theo độ trượt gió cho bin 330°
Các đồ thị này là những minh họa hữu ích về tác động của điều kiện tại vị trí và thiết lập thử nghiệm đến hiệu chuẩn theo vị trí. Hình B.9 cho thấy rằng giá trị hiệu chỉnh thay đổi hơn 5% giữa các giá trị từ 0,20 đến 0,25, và Hình B.6 chỉ ra rằng độ trượt gió tại cột khí tượng tham chiếu không phải là một chỉ báo tốt về độ trượt gió tại vị trí tuabin gió đối với các giá trị lớn hơn 0,25. Có thể rằng các điều chỉnh sử dụng phương pháp ma trận hướng gió-độ trượt gió sẽ không đáng tin cậy. Độ trượt gió đã được chứng minh là có ảnh hưởng đáng kể và độ trượt gió tại hai vị trí này không có sự tương quan tốt, vì vậy cần phải lọc thêm để cải thiện sự tương quan.
B.2.5 Bước 2B: cố gắng loại bỏ dữ liệu độ trượt gió không có sự tương quan
Các giá trị độ trượt gió thấp có vẻ như có sự tương quan giữa hai vị trí. Các giá trị độ trượt gió thấp xảy ra vào ban ngày (khi khí quyển không ổn định), vì vậy từ các biểu đồ, một bộ lọc theo thời gian trong ngày được áp dụng để chọn tất cả dữ liệu ban ngày từ 07:00 đến 19:00.
Các biểu đồ theo 9.3 được hiển thị cho bộ dữ liệu đã được lọc lại (xem Hình B.10, Hình B.11 và Hình B.12).

Hình B.10 - Hệ số trượt gió tại vị trí tuabin gió so với cột khí tượng tham chiếu sau khi lọc

Hình B.11 - Đường hồi quy tuyến tính giữa tốc độ gió tại vị trí tuabin gió và cột khí tượng tham chiếu ở độ cao hub cho bin 330°, sau khi lọc

Hình B.12 - Tỷ lệ tốc độ gió theo tốc độ gió cho bin 330°, sau khi lọc
B.2.6 Bước 3: Tính toán kết quả
Bước trước đã loại bỏ tất cả dữ liệu có độ ổn định khí quyển cao, chỉ giữ lại dữ liệu ban ngày với sự không ổn định khí quyển. Các giá trị độ trượt gió bao gồm một phạm vi nhỏ của các hệ số trượt gió (0,10 đến 0,20). Điều này loại bỏ sự phụ thuộc của việc hiệu chỉnh luồng không khí trong hiệu chuẩn theo vị trí vào độ trượt gió, do đó phương pháp hồi quy tuyến tính có thể được sử dụng thay vì phương pháp ma trận hướng gió-độ trượt gió.
Đối với mỗi bin hướng gió, một đường hồi quy tuyến tính giữa tốc độ gió tại vị trí tuabin gió và tốc độ gió tại cột khí tượng tham chiếu được tính toán cùng với giá trị r2 của hồi quy. số lượng các điểm dữ liệu hợp lệ trong từng bin hướng gió cũng được ghi lại.
B.2.7 Bước 4: Các độ không đảm bảo bổ sung
B.2.7.1 Độ không đảm bảo vệ đặc tính hoạt động của thiết bị đo gió:
Không có phép đo tốc độ gió theo phương thẳng đứng, do đó độ không đảm bảo vệ đặc tính hoạt động của thiết bị đo gió sẽ được sử dụng theo loại B. Phân loại đặc tính hoạt động của thiết bị đo gió là 5,4B.
B.2.7.2 Kiểm tra hội tụ (xem Hình B.13):

Hình B.13 - Kiểm tra sự hội tụ dữ liệu cho bin 330°
B.2.7.3 Kiểm tra sự tương quan cho hồi quy tuyến tính:
Theo 11.2 (xem Bảng B.3).
Bảng B.3 - Các giá trị r2 cho mỗi bin hướng gió
| Tâm bin | giá trị r2 | Giá trị trung bình độ lệch tuyệt đối (m/s) | Độ lệch chuẩn (m/s) |
| 320 | 0,978 | 0, 00 | 0,33 |
| 330 | 0,988 | 0,00 | 0,26 |
| 340 | 0,979 | 0,00 | 0,26 |
| 350 | 0,981 | 0,00 | 0,23 |
B.2.7.4 Thay đổi trong điều chỉnh giữa các bin:
Theo 11.3 (xem Bảng B.4).
Bảng B.4 - Độ không đảm bảo bổ sung do thay đổi giữa các bin cho ví dụ B
| Tâm bin | Độ lớn của thay đổi giữa các bin (bên trái) | Độ lớn của thay đổi giữa các bin (bên phải) | Độ không đảm bảo bổ sung (%) |
| 320 | 1,019 | - | 0 % (bên trong giới hạn) |
| 330 | 1,009 | 0,981 | 0 % (bên trong giới hạn) |
| 340 | 1,013 | 0,988 | 0 % (bên trong giới hạn) |
| 350 | - | 0,992 | 0 % (bên trong giới hạn) |
B.2.7.5 Điều chỉnh van gió:
Van gió được giữ nguyên vị trí, vì vậy không cần độ không đảm bảo bổ sung theo 11.3.2.
B.2.7.6 Độ không đảm bảo theo mùa:
Việc hiệu chuẩn theo vị trí được thực hiện vào mùa đông, trong khi phép đo đường cong công suất được thực hiện qua nhiều mùa, bao gồm cả mùa hè. Lưu ý rằng bộ lọc theo thời gian trong ngày cần được điều chỉnh do sự thay đổi thời gian mặt trời mọc và lặn. So sánh các giá trị hệ số trượt gió (xem Hình B.14) cho thấy sự thay đổi lớn hơn 0,05 (0,15 so với 0,22), điều này vượt quá giới hạn ở 11.4, vì vậy độ không đảm bảo bổ sung do các phép đo được thực hiện trong các mùa khác nhau là cần thiết theo 11.4.

Hình B.14 - Trượt gió trong hiệu chuẩn theo vị trí so với trượt gió trong phép đo đường cong công suất
Thành phần hiệu chỉnh theo mùa chiếm một phần ba độ lớn của hiệu chỉnh tổng. Điều này có thể được tính cho mỗi điểm dữ liệu như sau:
| U = 1/3 x abs(VTurb_predicted - VRM_measured) | (B.1) |
trong đó:
| U | là độ không đảm bảo chuẩn trong một điểm dữ liệu; |
| VTurb_predicted-i | là tốc độ gió dự đoán của tuabin gió áp dụng hiệu chỉnh luồng không khí trong hiệu chuẩn theo vị trí; |
| VRM_measured-i | là tốc độ gió đo được từ cột khí tượng tham chiếu dùng để dự đoán tốc độ gió tại tuabin gió. |
Các độ không đảm bảo trong suốt phép đo đặc tính công suất có thể sau đó được trung bình theo bin đối với tốc độ gió và hướng gió tại cột khí tượng tham chiếu để tính toán độ không đảm bảo tổng thể.
B.3 Ví dụ C
B.3.1 Mô tả vị trí:
Vị trí nằm trong một địa hình rất phức tạp. Vị trí là một khu vực trên đỉnh núi trong một dãy núi. Vị trí này là một khu vực trên sườn núi vuông góc với hướng gió chính, với địa hình dốc xuống mạnh mẽ phía trước và phía sau sườn núi. Gió ở đây rất đơn hướng, hầu hết các cơn gió đều đến từ một khu vực 30°. Có một sườn núi khác cách khu vực này 3 km về phía gió, cao hơn một vài trăm mét so với sườn núi nơi vị trí này nằm. Do đó, vị trí này được xem là địa hình loại C vì có thể nằm trong khu vực tái lưu thông từ sườn núi phía gió.
B.3.2 Thiết lập hiệu chuẩn theo vị trí:
Cột khí tượng được đặt cách tuabin gió thử nghiệm 2,5 lần đường kính rôto trên cùng một sườn núi và ở độ cao rất tương tự (trong phạm vi 5 m). Đo độ trượt gió được thực hiện bằng các thiết bị đo gió lắp thấp hơn trên các cột khí tượng. Không có phép đo tốc độ gió theo phương thẳng đứng được thực hiện.
B.3.3 Bước 1: Kiểm tra tầm quan trọng của độ trượt gió tại vị trí:
Các giá trị hệ số trượt gió thấp và đôi khi là âm. Tất cả các giá trị độ trượt gió nằm trong khoảng từ -0,05 đến 0,20 và không có mối tương quan rõ ràng với thời gian trong ngày hoặc các điều kiện đo khác. Cường độ luồng xoáy rất cao. Điều này cho thấy bầu khí quyển trung tính đến không ổn định và do đó độ trượt gió không được coi là yếu tố đáng kể đối với hiệu chuẩn theo vị trí, vì vậy phương pháp hồi quy tuyến tính có thể được sử dụng.
B.3.4 Bước 2: Kiểm tra xác nhận sự tương quan của độ trượt gió tại vị trí tuabin gió và cột khí tượng tham chiếu, ví dụ C
Bỏ qua vì độ trượt gió đã được xác định là thấp. Không có bầu khí quyển ổn định tại vị trí này.
B.3.5 Bước 3: Tính toán kết quả
Với từng bin hướng gió, phải tính đường hồi quy tuyến tính giữa tốc độ gió tại vị trí tuabin gió và tốc độ gió tại cột khí tượng tham chiếu, cùng với giá trị r2 của phép hồi quy. Số lượng điểm dữ liệu hợp lệ tổng cộng trong từng bin hướng gió cũng được ghi lại. Sự phân tán dữ liệu rất cao và độ lớn của sự thay đổi trong hiệu chỉnh luồng không khí giữa các bin cũng rất lớn.
B.3.6 Bước 4: Kiểm tra chất lượng và độ không đảm bảo
Dữ liệu xác nhận rằng địa điểm này nằm trong khu vực tái lưu thông của sườn núi phía gió. Sự phân tán dữ liệu rất cao và kết quả không hội tụ, điều này chỉ ra rằng mặc dù cột khí tượng tham chiếu và tuabin gió thử nghiệm nằm cạnh nhau trên cùng một sườn núi, ở độ cao tương tự với địa hình địa phương tương tự, nhưng sự tương quan tốc độ gió giữa hai vị trí là rất kém. Điều này sẽ có hậu quả tiêu cực đối với độ chính xác và độ không đảm bảo của đường cong công suất được đo tại địa điểm này.
B.3.7 Độ không đảm bảo do đặc tính hoạt động của thiết bị đo gió:
Không có phép đo tốc độ gió theo phương thẳng đứng, vì vậy độ không đảm bảo đặc tính hoạt động loại B sẽ được sử dụng. Phân loại đặc tính hoạt động của thiết bị đo gió là 5,4B.
B.3.8 Kiểm tra sự hội tụ:
Dữ liệu không vượt qua kiểm tra sự hội tụ đối với tất cả các bin hướng gió. Dữ liệu không hội tụ đến trong phạm vi 0,5% giá trị cuối cùng cho đến khi 75% dữ liệu thu thập được đã được bao gồm. Một ví dụ kiểm tra cho một trong các bin hướng gió được hiển thị trong Hình B.15.

Hình B.15 - Kiểm tra sự hội tụ cho bin 270°
B.3.9 Thay đổi độ lớn của điều chỉnh giữa các bin:
Tất cả các bin liền kề đều có sự thay đổi độ lớn khoảng 10 %. Độ không đảm bảo bổ sung được tính toán như sau.
Bảng B.5 - Độ không đảm bảo bổ sung do sự thay đổi giữa các bin cho ví dụ C
| Tâm bin | Độ lớn của thay đổi giữa các bin (bên trái) | Độ lớn của thay đổi giữa các bin (bên phải) | Độ không đảm bảo bổ sung (%) |
| 260 | 1,137 | 1,176 | 4,52% |
| 270 | 1,093 | 0,912 | 2,61 % |
| 280 | 1,023 | 0,946 | 1,11 % |
B.3.10 Điều chỉnh van gió:
Không có điều chỉnh van gió nào được thực hiện, vì vậy không cần thêm độ không đảm bảo.
B.3.11 Điều chỉnh độ không đảm bảo theo mùa:
Việc hiệu chuẩn theo vị trí và thử nghiệm đặc tính công suất được thực hiện trong các mùa khác nhau (mùa thu và mùa hè), tuy nhiên giá trị độ trượt gió và cường độ luồng xoáy không thay đổi quá giới hạn cho phép giữa các mùa. Không có phép đo tốc độ gió thẳng đứng để đánh giá góc luồng gió hướng lên, tuy nhiên, với việc vị trí nằm trong khu vực tái lưu thông, một phạm vi rộng các góc lên gió được kỳ vọng và không có lý do gì để kỳ vọng sự phụ thuộc vào mùa. Vị trí nằm trong khí hậu nóng với ít thực vật, vì vậy không kỳ vọng có sự thay đổi đáng kể trong độ gồ ghề bề mặt.
Không cần thêm độ không đảm bảo cho sự thay đổi theo mùa.
Thư mục tài liệu tham khảo
[1] TCVN 10687-12-4 (IEC TR 61400-12-4), Hệ thống phát điện gió - Phần 12-4: Hiệu chuẩn theo vị trí bằng số đối với thử nghiệm đặc tính công suất của tuabin gió
[2] TCVN 10687-50 (IEC 61400-50), Hệ thống phát điện gió - Phần 50: Đo gió - Tổng quan
Mục lục
Lời nói đầu
Lời giới thiệu
1 Phạm vi áp dụng
2 Tài liệu viện dẫn
3 Thuật ngữ và định nghĩa
4 Ký hiệu, đơn vị và từ viết tắt
5 Quy định chung
6 Tổng quan về quy trình
7 Bố trí thử nghiệm
7.1 Xem xét khi chọn tuabin gió thử nghiệm và vị trí của cột khí tượng
7.2 Thiết bị đo
8 Thu thập dữ liệu và tiêu chí loại bỏ
9 Phân tích
9.1 Quy định chung
9.2 Đánh giá điều kiện trượt gió tại vị trí
9.3 Phương pháp 1: Các bin hướng gió và trượt gió
9.4 Phương pháp 2: Phương pháp hồi quy tuyến tính khi trượt gió không phải là yếu tố ảnh hưởng đáng kể
9.5 Các phép tính bổ sung
10 Độ không đảm bảo của hiệu chuẩn theo vị trí
10.1 Độ không đảm bảo loại A của hiệu chuẩn theo vị trí
10.2 Độ không đảm bảo của phép hiệu chuẩn theo vị trí loại B
10.3 Kết hợp các yếu tố không đảm bảo trong việc đo tốc độ gió do biến dạng luồng không khí trong quá trình hiệu chuẩn theo vị trí uVT,i
10.4 Độ không đảm bảo kết hợp
11 Kiểm tra chất lượng và các các độ không đảm bảo bổ sung
11.1 Kiểm tra hội tụ
11.2 Kiểm tra sự tương quan đối với hồi quy tuyến tính (xem 9.4)
11.3 Thay đổi trong hiệu chỉnh giữa các bin hướng gió liền kề
11.4 Hiệu chuẩn theo vị trí và đo đặc tính công suất trong các mùa khác nhau
Phụ lục A_(tham khảo), Kiểm tra xác nhận kết quả
Phụ lục B_(tham khảo), Ví dụ về hiệu chuẩn theo vị trí
Thư mục tài liệu tham khảo
Bạn chưa Đăng nhập thành viên.
Đây là tiện ích dành cho tài khoản thành viên. Vui lòng Đăng nhập để xem chi tiết. Nếu chưa có tài khoản, vui lòng Đăng ký tại đây!






