- Tổng quan
- Nội dung
- Tiêu chuẩn liên quan
- Lược đồ
- Tải về
Tiêu chuẩn TCVN 10687-50-1:2025 Hệ thống phát điện gió - Phần 50-1: Đo gió - Ứng dụng các thiết bị đo lắp trên cột khí tượng, vỏ tuabin và mũ hub
| Số hiệu: | TCVN 10687-50-1:2025 | Loại văn bản: | Tiêu chuẩn Việt Nam |
| Cơ quan ban hành: | Bộ Khoa học và Công nghệ | Lĩnh vực: | Công nghiệp , Điện lực |
| Trích yếu: | IEC 61400-50-1:2022 Hệ thống phát điện gió - Phần 50-1: Đo gió - Ứng dụng các thiết bị đo lắp trên cột khí tượng, vỏ tuabin và mũ hub | ||
|
Ngày ban hành:
Ngày ban hành là ngày, tháng, năm văn bản được thông qua hoặc ký ban hành.
|
18/07/2025 |
Hiệu lực:
|
Đã biết
|
| Người ký: | Đang cập nhật |
Tình trạng hiệu lực:
Cho biết trạng thái hiệu lực của văn bản đang tra cứu: Chưa áp dụng, Còn hiệu lực, Hết hiệu lực, Hết hiệu lực 1 phần; Đã sửa đổi, Đính chính hay Không còn phù hợp,...
|
Đã biết
|
TÓM TẮT TIÊU CHUẨN VIỆT NAM TCVN 10687-50-1:2025
Tiêu chuẩn quốc gia TCVN 10687-50-1:2025: Quy định quan trọng cho thiết bị đo gió trong hệ thống phát điện gió
Tiêu chuẩn quốc gia TCVN 10687-50-1:2025 được ban hành nhằm quy định các phương pháp và yêu cầu kỹ thuật trong việc đo gió bằng các thiết bị lắp trên cột khí tượng, vỏ tuabin và mũ hub. Tiêu chuẩn này tương đương với IEC 61400-50-1:2022, được biên soạn bởi Ban kỹ thuật tiêu chuẩn Quốc gia TCVN/TC/E13 và công bố bởi Bộ Khoa học và Công nghệ. Tiêu chuẩn có hiệu lực từ năm 2025 và không thay thế bất kỳ văn bản pháp luật nào trước đó.
Tiêu chuẩn TCVN 10687-50-1:2025 được áp dụng cho những thiết bị đo gió phục vụ cho việc đánh giá công nghệ tuabin gió cũng như các quy trình thử nghiệm liên quan đến năng lượng gió. Các thiết bị đo này bao gồm, nhưng không giới hạn ở, các thiết bị đo dạng cốc và âm thanh. Tiêu chuẩn quy định cụ thể về khả năng chịu đựng và độ chính xác của thiết bị, như việc xác định độ không đảm bảo trong phép đo tốc độ gió.
Một điểm đáng chú ý là tiêu chuẩn đưa ra các yêu cầu cho việc lắp đặt, hiệu chuẩn và phân cấp thiết bị đo gió, nhằm đảm bảo chúng hoạt động chính xác trong môi trường tự nhiên. Báo cáo kết quả và các yêu cầu về quy trình hiệu chuẩn cũng được quy định rõ ràng. Đặc biệt, tiêu chuẩn này không áp dụng cho các thiết bị cảm ứng từ xa đo gió đặt ở vị trí cách xa hệ thống lắp đặt.
Tiêu chuẩn này cung cấp một bộ quy tắc rõ ràng cho các đối tượng liên quan đến ngành năng lượng gió, gồm:
- Lắp đặt thiết bị đo gió: Yêu cầu về cách thức và vị trí lắp đặt nhằm đảm bảo chính xác trong đo đạc.
- Hiệu chuẩn thiết bị: Các quy trình hiệu chuẩn trong điều kiện đường hầm gió phải được thực hiện để tối ưu hóa độ chính xác của thiết bị.
- Phân cấp thiết bị: Thiết bị đo gió được phân cấp thành nhiều loại khác nhau tùy theo điều kiện địa hình và khí hậu nơi chúng đang hoạt động.
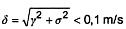
Đồng thời, tiêu chuẩn cũng chỉ rõ các yếu tố có thể ảnh hưởng đến độ chính xác của phép đo gió như nhiệt độ khí quyển, mật độ không khí, và luồng xoáy.
Với những quy định chi tiết và chặt chẽ nêu trên, TCVN 10687-50-1:2025 hướng tới việc nâng cao chất lượng và độ tin cậy của các phép đo gió, từ đó góp phần vào sự phát triển bền vững của năng lượng gió ở Việt Nam, đồng thời cung cấp cơ sở pháp lý nhằm hỗ trợ các dự án năng lượng tái tạo trong tương lai.
Tải tiêu chuẩn Việt Nam TCVN 10687-50-1:2025
TIÊU CHUẨN QUỐC GIA
TCVN 10687-50-1:2025
IEC 61400-50-1:2022
HỆ THỐNG PHÁT ĐIỆN GIÓ –
PHẦN 50-1: ĐO GIÓ –
ỨNG DỤNG CÁC THIẾT BỊ ĐO LẮP TRÊN CỘT KHÍ TƯỢNG, VỎ TUABIN VÀ MŨ HUB
Wind energy generation systems -
Part 50-1: Wind measurement -
Application of meteomological mast, nacelle and spinner mounted instruments
Lời nói đầu
TCVN 10687-50-1:2025 hoàn toàn tương đương với IEC 61400-50-1:2022;
TCVN 10687-50-1:2025 do Ban kỹ thuật tiêu chuẩn Quốc gia TCVN/TC/E13 Năng lượng tái tạo biên soạn, Viện Tiêu chuẩn Chất lượng Việt Nam đề nghị, Ủy ban Tiêu chuẩn Đo lường Chất lượng Quốc gia thẩm định, Bộ Khoa học và Công nghệ công bố.
Bộ TCVN 10687 (IEC 61400) gồm các phần sau:
- TCVN 10687-1:2015 (IEC 61400-1:2014), Tuabin gió - Phần 1: Yêu cầu thiết kế
- TCVN 10687-3-1:2025 (IEC 61400-3-1:2019), Hệ thống phát điện gió - Phần 3-1: Yêu cầu thiết kế đối với tuabin gió cố định ngoài khơi
- TCVN 10687-3-2:2025 (IEC 61400-3-2:2025), Hệ thống phát điện gió - Phần 3-2: Yêu cầu thiết kế đối với tuabin gió nổi ngoài khơi
- TCVN 10687-12:2025 (IEC 61400-12:2022), Hệ thống phát điện gió - Phần 12: Đo đặc tính công suất của tuabin gió phát điện - Tổng quan
- TCVN 10687-12-1:2023 (IEC 61400-12-1:2022), Hệ thống phát điện gió - Phần 12-1: Đo hiệu suất năng lượng của tuabin gió phát điện
- TCVN 10687-12-2:2023 (IEC 61400-12-2:2022), Hệ thống phát điện gió - Phần 12-2: Hiệu suất năng lượng của tuabin gió phát điện dựa trên phép đo gió trên vỏ tuabin
- TCVN 10687-12-3:2025 (IEC 61400-12-3:2022), Hệ thống phát điện gió - Phần 12-3: Đặc tính công suất - Hiệu chuẩn theo vị trí dựa trên phép đo
- TCVN 10687-12-4:2023 (IEC TR 61400-12-4:2020), Hệ thống phát điện gió - Phần 12-4: Hiệu chuẩn vị trí bằng số đối với thử nghiệm hiệu suất năng lượng của tuabin gió
- TCVN 10687-12-5:2025 (IEC 61400-12-5:2022), Hệ thống phát điện gió - Phần 12-5: Đặc tính công suất - Đánh giá chướng ngại vật và địa hình
- TCVN 10687-12-6:2025 (IEC 61400-12-6:2022), Hệ thống phát điện gió - Phần 12-6: Hàm truyền vỏ tuabin dựa trên phép đo của tuabin gió phát điện
- TCVN 10687-21:2018 (IEC 61400-21:2008), Tuabin gió - Phần 21: Đo và đánh giá đặc tính chất lượng điện năng của tuabin gió nối lưới
- TCVN 10687-22:2018, Tuabin gió - Phần 22: Hướng dẫn thử nghiệm và chứng nhận sự phù hợp
- TCVN 10687-24:2015 (IEC 61400-24:2010), Tuabin gió - Phần 24: Bảo vệ chống sét
- TCVN 10687-50:2025 (IEC 61400-50:2022), Hệ thống phát điện gió - Phần 50: Đo gió - Tổng quan
- TCVN 10687-50-1:2025 (IEC 61400-50-1:2022), Hệ thống phát điện gió - Phần 50-1: Đo gió - ứng dụng các thiết bị đo lắp trên cột khí tượng, vỏ tuabin và mũ hub
- TCVN 10687-50-2:2025 (IEC 61400-50-2:2022), Hệ thống phát điện gió - Phần 50-2: Đo gió - ứng dụng công nghệ cảm biến từ xa lắp trên mặt đất
- TCVN 10687-50-3:2025 (IEC 61400-50-3:2022), Hệ thống phát điện gió - Phần 50-3: Sử dụng lidar lắp trên vỏ tuabin để đo gió
HỆ THỐNG PHÁT ĐIỆN GIÓ -
PHẦN 50-1: ĐO GIÓ - ỨNG DỤNG CÁC THIẾT BỊ ĐO LẮP TRÊN CỘT KHÍ TƯỢNG, VỎ TUABIN VÀ MŨ HUB
Wind energy generation systems -
Part 50-1: Wind measurement - Application of meteorological mast, nacelle and spinner mounted instruments
1 Phạm vi áp dụng
Tiêu chuẩn này quy định các phương pháp và các yêu cầu đối với việc ứng dụng thiết bị đo gió (và các tham số có liên quan như hướng gió, cường độ luồng xoáy). Các phép đo như vậy được yêu cầu làm đầu vào cho một số quy trình đánh giá và thử nghiệm về năng lượng gió và công nghệ tuabin gió (ví dụ như việc đánh giá tài nguyên và thử nghiệm đặc tính công suất của tuabin) được mô tả trong các tiêu chuẩn khác thuộc bộ tiêu chuẩn TCVN 10687 (IEC 61400). Tiêu chuẩn này được áp dụng cụ thể cho việc sử dụng thiết bị đo gió được lắp trên cột khí tượng, vỏ tuabin hoặc mũ hub, đo gió tại vị trí lắp đặt thiết bị đo. Tiêu chuẩn này không áp dụng cho các thiết bị cảm ứng từ xa đo gió tại vị trí cách xa thiết bị được lắp đặt (ví dụ như lidar biên dạng thẳng đứng hoặc lidar hướng về phía trước). Tiêu chuẩn này quy định như sau:
a) các tham số phân cấp cho các thiết bị đo gió dạng cốc và âm thanh có thể đánh giá độ không đảm bảo trong phép đo tốc độ gió đối với một loại và một model thiết bị đo gió cụ thể khi ở một loại các điều kiện môi trường nhất định;
b) quy trình và yêu cầu để phân cấp các thiết bị đo gió dạng cốc và âm thanh, ví dụ như một phần của thử nghiệm điển hình đối với một model và một kiểu thiết bị đo gió cụ thể.
c) các quy trình và yêu cầu đối với việc hiệu chuẩn thiết bị đo gió trong đường hầm gió;
d) phương pháp bổ sung hoặc thay thế để kiểm tra tính nhất quán của hiệu chuẩn thiết bị đo gió tại hiện trường bằng cách tiến hành việc so sánh tại hiện trường với một thiết bị đo gió khác.
e) các yêu cầu đối với việc lắp thiết bị đo gió và các thiết bị đo khác trên cột khí tượng;
f) đánh giá độ không đảm bảo của phép đo tốc độ gió;
g) các yêu cầu về báo cáo.
2 Tài liệu viện dẫn
Các tài liệu viện dẫn dưới đây là cần thiết để áp dụng tiêu chuẩn này. Đối với các tài liệu có ghi năm công bố, chỉ áp dụng các bản được nêu. Đối với các tài liệu không ghi năm công bố, áp dụng bản mới nhất (kể cả các sửa đổi).
TCVN 9595-3:2013 (ISO/IEC Guide 98-3:2008), Độ không đảm bảo đo - Phần 3: Hướng dẫn trình bày độ không đảm bảo đo (GUM:1995)
ISO 2533:1975, Standard atmosphere (Khí quyển tiêu chuẩn)
ISO 3966, Measurement of fluid flow in closed conduits - Velocity area method using pitot static tubes (Đo lưu lượng chất lỏng trong ống kín - Phương pháp diện tích vận tốc sử dụng ống Pitot tĩnh)
3 Thuật ngữ và định nghĩa
Tiêu chuẩn này áp dụng các thuật ngữ và định nghĩa dưới đây.
3.1
Độ chính xác (accuracy)
Mức độ gần nhau được chấp nhận giữa kết quả của phép đo và giá trị thực của đại lượng đo.
3.2
Bộ dữ liệu (data set)
Tập hợp các dữ liệu được lấy mẫu trong một khoảng thời gian liên tục.
3.3
Hằng số khoảng cách (distance constant)
Chỉ số về thời gian đáp ứng của thiết bị đo gió, được xác định bằng chiều dài mà luồng không khí sẽ đi qua thiết bị để nó đạt 63 % giá trị cuối cùng khi có một thay đổi đột ngột trong tốc độ gió.
3.4
Sai lệch luồng không khí (flow distortion)
Thay đổi luồng không khí do chướng ngại vật, sự thay đổi địa hình hoặc các tuabin gió khác gây ra, dẫn đến tốc độ gió tại vị trí đo gió khác với tốc độ gió tại vị trí của tuabin gió.
3.5
Độ cao hub (hub height)
<của tuabin gió> Độ cao của tâm diện tích quét của rôto tuabin gió so với mặt đất tại tháp.
Chú thích 1: Đối với tuabin gió trục thẳng đứng, độ cao hub được xác định là độ cao của tâm diện tích quét của rôto so với mặt đất tại tháp.
3.6
Khoảng thời gian đo (measurement period)
Khoảng thời gian trong đó cơ sở dữ liệu quan trọng theo thống kê được thu thập cho thử nghiệm đặc tính công suất.
Chú thích 1: Thử nghiệm đặc tính công suất là một ví dụ về trường hợp sử dụng.
3.7
Khu vực đo (measurement sector)
Khu vực có các hướng gió mà từ đó các dữ liệu được chọn để xây dựng đường cong công suất đo được.
Chú thích 1: Thử nghiệm đặc tính công suất là một ví dụ về trường hợp sử dụng.
3.8
Chướng ngại vật (obstacle)
Chướng ngại làm cản gió và gây sai lệch luồng không khí.
Chú thích 1: Tòa nhà và cây cối là các ví dụ về chướng ngại vật.
3.9
Đặc tính công suất (power performance)
Thước đo khả năng của một tuabin gió để tạo ra công suất điện và năng lượng điện.
3.10
Độ không đảm bảo chuẩn (standard uncertainty)
Độ không đảm bảo của kết quả đo được thể hiện như là độ lệch chuẩn.
3.11
Thiết bị đo gió (wind measurement equipment)
Dụng cụ đo khí tượng lắp đặt trên cột hoặc thiết bị cảm biến từ xa..
3.12
Độ trượt gió (wind shear)
Sự thay đổi tốc độ gió theo độ cao qua rôto tuabin gió.
3.13
Hệ số trượt gió (wind shear exponent)
α
Số mũ của lũy thừa xác định sự thay đổi của tốc độ gió theo độ cao.
Chú thích 1: Tham số này được sử dụng làm thước đo độ lớn của trượt gió và có thể áp dụng cho một số trường hợp khác. Công thức định luật lũy thừa là:
|
| (1) |
Trong đó:
Vh là tốc độ gió ở độ cao hub;
H là độ cao hub (m);
Vzi là tốc độ gió ở độ cao zi;
α là hệ số trượt gió.
4 Ký hiệu, đơn vị và chữ viết tắt
| Ký hiệu hoặc chữ viết tắt | Mô tả | Đơn vị |
| A | diện tích quét của rôto tuabin gió | m2 |
| B | áp suất khí quyển | Pa |
| B10min | áp suất không khí trung bình đo được trong 10 min | Pa |
| Ch | hệ số đầu ống pitot |
|
| CQA | hệ số mômen khí động tổng quát |
|
| CT | hệ số lực đẩy |
|
| c | hệ số độ nhạy của tham số (vi phân từng phần) |
|
| CB,i | hệ số độ nhạy của áp suất không khí trong bin i | W/Pa |
| Cd,i | hệ số độ nhạy của hệ thống thu thập dữ liệu trong bin i |
|
| Cindex | hệ số độ nhạy của tham số chỉ số |
|
| Ck,i | hệ số độ nhạy của thành phần k trong bin I |
|
| CT,i | hệ số độ nhạy của nhiệt độ không khí trong bin i | W/K |
| CV,i | hệ số độ nhạy của tốc độ gió trong bin i | Ws/m |
| Cp,i | hệ số độ nhạy hiệu chỉnh mật độ không khí trong bin i | Wm3/kg |
| d | đường kính cột khí tượng | m |
| e | độ lệch tâm |
|
| F(V) | hàm phân bố xác suất tích lũy Rayleigh dùng cho tốc độ gió |
|
|
| hàm đáp ứng góc nghiêng và góc quay dùng cho thiết bị đo gió âm thanh |
|
|
| hàm hiệu chỉnh do nhiễm nhiễu giữa thiết bị đo gió bao gồm cả ống lắp và luồng đường hầm gió |
|
| H | độ cao hub của tuabin gió | m |
| h | chiều cao của chướng ngại vật | m |
| l | quán tính của rôto đo gió dạng cốc | kg-m2 |
| KB,t | độ nhạy của máy đo áp suất không khí | N/m2V |
| KB,s | độ khuếch đại của máy đo áp suất không khí |
|
| KB,d | chuyển đổi mẫu của máy đo áp suất không khí |
|
| KT,t | độ nhạy của bộ chuyển đổi nhiệt độ | K/A |
| KT,s | độ khuếch đại của bộ chuyển đổi nhiệt độ | A/V |
| KT,d | độ chuyển đổi lấy mẫu của bộ chuyển đổi nhiệt độ |
|
| Kp,t | độ nhạy của bộ chuyển đổi áp suất |
|
| Kp,s | độ khuếch đại của bộ chuyển đổi áp suất |
|
| Kp,d | độ chuyển đổi lấy mẫu của bộ chuyển đổi áp suất |
|
| k | số cấp |
|
| kb | hệ số hiệu chỉnh chặn |
|
| kc | hệ số hiệu chỉnh đường hầm gió |
|
| kf | hệ số hiệu chỉnh đường hầm gió cho các đường hầm khác (chỉ được sử dụng trong việc đánh giá độ không đảm bảo) |
|
| ki | hệ số hiệu chỉnh do sự nhiễm nhiễu giữa thiết bị đo gió (có cả ống lắp đặt) và vỏ ngoài phần thử nghiệm, cũng bao gồm cả các ảnh hưởng lưu lượng do các ống lắp đặt mở rộng qua vỏ. |
|
| kn | số cấp của n số mẫu thiết bị đo gió (n = 1, ..., 5 hoặc hơn) |
|
| kp | hệ số hiệu chỉnh do nhiễm nhiễu tạo ra bởi thiết bị đo gió (gồm cả ống lắp đặt) trên vận tốc đo được bởi ống pitot |
|
| kp | hiệu chỉnh độ ẩm về mật độ |
|
| Lm | khoảng cách giữa các chân liền kề của cột khí tượng dạng giàn | m |
| L | khoảng cách giữa tuabin gió và thiết bị đo gió | m |
| M | số lượng các thành phần không đảm bảo trong từng bin |
|
| MA | số lượng các thành phần không đảm bảo loại A |
|
| MB | số lượng các thành phần không đảm bảo loại B |
|
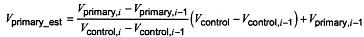
| m | độ dốc của đường hồi quy giữa Vcontrol và Vprimary_est |
|
| m | độ dốc của đường hồi quy giữa V1 và V2 |
|
| N | số bin |
|
| Nh | số giờ trong một năm ≈ 8 760 | h |
| Ni | số bộ dữ liệu 10 min trong bin tốc độ gió i |
|
| n | số lượng số đo độ cao sẵn có (n ≥ 3) |
|
| nh | số lượng số đo độ cao |
|
| Pw | áp suất hơi | Pa |
| p | độ sai lệch do lệch trục |
|
| QA | mômen khí động lực | N·m |
| QF | mômen ma sát | N·m |
| R | bán kính rôto | m |
| ra | bán kính hiệu dụng của phép đo góc |
|
| R0 | hằng số khí của không khí khô (287,05) | J/kgK |
| Rd | khoảng cách đến tâm cột khí tượng | m |
| Rw | hằng số khí của hơi nước (461,5) | J/kgK |
| REWS | tốc độ gió tương đương của rôto |
|
| RSD | thiết bị cảm biến từ xa |
|
| r | hằng số tương quan |
|
| s | thành phần độ không đảm bảo chuẩn loại A |
|
| sA | độ không đảm bảo chuẩn loại A của chuỗi thời gian đo tốc độ gió trong đường hầm gió |
|
| Sk,i | độ không đảm bảo chuẩn loại A của thành phần k trong bin i |
|
| Si | các độ không đảm bảo loại A kết hợp trong bin i |
|
| s | độ vững chắc của cột khí tượng |
|
| T | nhiệt độ tuyệt đối | K |
| Tl | cường độ luồng xoáy |
|
| T10min | nhiệt độ không khí tuyệt đối đo được được lấy trung bình trong 10 min | K |
| t | thời gian | s |
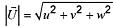
| U | tốc độ gió | m/s |
| Ud | tổn hao tốc độ gió tại đường tâm | m/s |
| Ueq | tốc độ gió theo chiều ngang tương đương | m/s |
| Ui | tốc độ gió trong bin i | m/s |
| Uj | tốc độ gió trong bin j | m/s |
| Usonic | thiết bị đo gió bằng sóng âm |
|
| Ut | tốc độ gió tại ngưỡng | m/s |
|
| vectơ tốc độ gió tức thời |
|
| u | thành phần độ không đảm bảo chuẩn loại B |
|
| UB,i | độ không đảm bảo chuẩn loại B của áp suất không khí trong bin i | Pa |
| Uc,i | độ không đảm bảo chuẩn kết hợp của công suất trong bin i | W |
| UdVS,i | độ không đảm bảo liên quan đến thu thập dữ liệu của tín hiệu tốc độ gió trong bin i |
|
| Ui | độ không đảm bảo kết hợp loại B trong bin i |
|
| uindex | độ không đảm bảo chuẩn loại B của tham số chỉ số |
|
| Uk,i | độ không đảm bảo chuẩn loại B của thành phần k trong bin i |
|
| UM,cc,i | độ không đảm bảo liên quan đến phép đo trong khí hậu lạnh trong bin i |
|
| UV,i | độ không đảm bảo chuẩn loại B của tốc độ gió trong bin i | m/s |
| UVHW,i | độ không đảm bảo trên phần cứng được sử dụng và là một trong các giá trị UVS,I, UVR,I hoặc UREWS,I trong bin i |
|
| UVN,i | độ không đảm bảo liên quan đến phương pháp được áp dụng |
|
| UVS,class,i | độ không đảm bảo liên quan đến phân cấp của các cảm biến bin i |
|
| UVS,lgt,i | độ không đảm bảo liên quan đến sai lệch luồng không khí từ chóp thu sét bin i |
|
| UVS,mnt,i | độ không đảm bảo liên quan đến lắp đặt cảm biến bin i |
|
| UVS,postcal,i | độ không đảm bảo liên quan đến sai lệch luồng không khí từ đất bin i |
|
| UVS,precal,i | độ không đảm bảo trên phần cứng được sử dụng và là một trong các giá trị UVS,i, UVR,i hoặc UREWS,i trong bin i |
|
| Uv2,i | đánh giá độ không đảm bảo tốc độ gió |
|
| u(t) | tốc độ gió đo được bằng thiết bị đo gió dạng cố tại thời điểm t bằng cách sử dụng hàm hiệu chuẩn ban đầu |
|
| Ut | tốc độ gió tại đường hầm gió |
|
| ∆U | chênh lệch giữa tốc độ gió tại đường hầm gió và tốc độ gió hiển thị của thiết bị đo gió dạng cốc, ở thời điểm bắt đầu phép đo đáp ứng theo bậc, thời gian t0 |
|
| V | tốc độ gió | m/s |
| Vave | tốc độ gió trung bình theo năm tại độ cao hub | m/s |
| Vcontrol | tốc độ gió của thiết bị đo gió điều khiển |
|
| Vcontrol,i | tốc độ gió của thiết bị đo gió điều khiển trong bin i |
|
| Vi | tốc độ gió chuẩn hóa và trung bình trong bin i | m/s |
| Vn | tốc độ gió chuẩn hóa | m/s |
| Vn,i,j | tốc độ gió chuẩn hóa của bộ dữ liệu j trong bin i | m/s |
| Vprimary,i | tốc độ gió của thiết bị đo gió sơ cấp trong bin i |
|
| Vprimary_est | tốc độ gió của thiết bị đo gió sơ cấp được thiết lập |
|
| V10min | tốc độ gió đo được được lấy trung bình trong 10 min | m/s |
| V1 | tốc độ gió từ một cảm biến |
|
| V2 | tốc độ gió từ cảm biến thứ hai |
|
| v | thành phần tốc độ gió theo chiều ngang | m/s |
|
| tốc độ gió trung bình tại vị trí thiết bị đo gió | m/s |
|
| tốc độ gió trung bình tại vị trí tham chiếu |
|
| veq | tốc độ gió tương đương đo được | m/s |
| WME | thiết bị đo gió |
|
| w | thành phần tốc độ gió thẳng đứng | [m/s] |
| wi | hàm trọng số để xác định đường bao độ lệch xác định |
|
| α | hệ số trượt gió từ luật lũy thừa | o |
| α | hệ số đầu ống pitot tĩnh |
|
| α | góc cần đo (giá trị hiệu chuẩn) |
|
| αCL | đường tâm đường hầm gió |
|
| αDigital | độ không đảm bảo do tín hiệu đầu ra digital |
|
| αdir | các độ không đảm bảo trong việc xác định hướng gió |
|
| αinci.1 | ảnh hưởng của góc giữa các trục quay |
|
| αitem | độ không đảm bảo do lắp đặt cảm biến hướng gió |
|
| αincl.2 | độ không đảm bảo do khả năng sai vị trí của cảm biến hướng gió |
|
| αsensor | độ không đảm bảo trong hiệu chuẩn cảm biến chỉnh hướng gió tham chiếu |
|
| αset | căn chỉnh đường trung tâm với dấu hướng Bắc của cảm biến hướng gió |
|
| αΩ | độ không đảm bảo |
|
| ɛi | độ lệch tính bằng m/s đối với sự kết hợp tham số ảnh hưởng i |
|
| ɛmax,i | độ lệch tối đa đối với mọi tốc độ gió trong bin i trong dải tốc độ gió | m/s |
| θ | khu vực bị nhiễu | o |
| K | hằng số von Karman bằng 0,4 |
|
| λ | tỷ lệ tốc độ |
|
| λ0 | tỷ lệ tốc độ đối với CQA = 0 |
|
| p | mật độ không khí | kg/m3 |
|
| hằng số thời gian cần được xác định để đáp ứng theo bậc ( |
|
| p0 | mật độ không khí tham chiếu | kg/m3 |
| p10min | mật độ không khí thu được được lấy trung bình trong 10 min | kg/m3 |
| σP,i | độ lệch chuẩn của dữ liệu công suất chuẩn hóa trong bin i | w |
| σ10min | độ lệch chuẩn của tham số lấy trung bình trong 10 min |
|
| σu/σv/σw | độ lệch chuẩn của tốc độ gió theo chiều dọc/chiều ngang/chiều thẳng đứng |
|
| Φ | độ ẩm tương đối (dải từ 0 % đến 100 %) |
|
| ω | vận tốc góc | S-1 |
| ∆Pref | áp suất vi sai trung bình |
|
5 Tổng quan về phương pháp đo đặc tính công suất
Tiêu chuẩn này xác định các phương pháp và các yêu cầu để thực hiện các phép đo gió bằng cách sử dụng các thiết bị như thiết bị đo gió (dạng cốc và âm thanh) được lắp trên cột khí tượng, vỏ tuabin gió (Phụ lục C) và mũ hub tuabin gió (Phụ lục D). Các yêu cầu về hiệu chuẩn, phân cấp và lắp đặt được mô tả. Phép đo gió được thực hiện theo tiêu chuẩn này có thể sử dụng được cho nhiều mục đích trong lĩnh vực năng lượng gió (ví dụ như phép đo đặc tính công suất, đánh giá khu vực, phép đo tải, phép đo độ ồn) được mô tả trong các tiêu chuẩn khác của bộ TCVN 10687 (IEC 61400). Cần tham khảo các tiêu chuẩn cụ thể liên quan đến trường hợp sử dụng dự định để đo tốc độ gió để biết các giới hạn và yêu cầu bổ sung (ví dụ: chiều cao đo so với độ cao hub của tuabin trong các phép đo đặc tính công suất) đối với các phép đo gió được thực hiện bằng các sử dụng các cơ cấu cảm biến từ xa được lắp trên mặt đất) ví dụ như lidar và sodar) tham khảo TCVN 10687-50-2 (IEC 61400-50-2) [1][1]. Mặc dù các phép đo gió được định nghĩa trong tiêu chuẩn này chủ yếu liên quan đến phép đo tốc độ gió, ví dụ như quy trình xác định việc hiệu chuẩn cảm biến hướng gió được cung cấp trong Phụ lục A.
6 Phân cấp thiết bị đo gió dạng cốc và âm thanh
6.1 Quy định chung
Thiết bị đo gió dạng cốc và âm thanh là các thiết bị đo gió có thể được sử dụng trong nhiều phép đo liên quan đến năng lượng gió. Để đảm bảo tính liên kết chuẩn, các thiết bị đo gió phải được hiệu chuẩn trong một đường hầm gió theo Điều 8. Việc hiệu chuẩn đường hầm gió được thực hiện trong các điều kiện môi trường được kiểm soát với luồng không khí phẳng và luồng xoáy thấp. Tuy nhiên, trong quá trình đo và vận hành tại hiện trường, các thiết bị đo này phải chịu luồng xoáy và các điều kiện môi trường có thể có khác biệt đáng kể so với điều kiện hiệu chuẩn trong đường hầm gió. Các điều kiện tại hiện trường có thể ảnh hưởng đáng kể đến đặc tính của thiết bị đo và làm cho đầu ra của thiết bị đo bị sai lệch so với các hiệu chuẩn trong đường hầm gió. Nếu xác định được dải tham số bị ảnh hưởng khi vận hành tại hiện trường thì có thể phân tích được các sai lệch hệ thống và có thể đưa ra một chương trình phân cấp các sai lệch của đầu ra thiết bị đo.
Các tham số ảnh hưởng đã biết đối với các phép đo của thiết bị đo gió dạng cốc là luồng xoáy, nhiệt độ không khí, mật độ không khí và góc luồng gió hướng lên trung bình. Các tham số ảnh hưởng đã biết đối với các phép đo của thiết bị đo gió âm thanh bao gồm hướng gió, góc luồng gió hướng lên và nhiệt độ không khí. Các tham số ảnh hưởng này phải được xem xét khi phân cấp. Ngoài ra, các yếu tố môi trường khác cũng có thể làm ảnh hưởng đến thiết bị đo. Nếu các tham số ảnh hưởng như vậy được xác định là gây ra các sai lệch mang tính hệ thống thì chúng phải được phân tích và đưa vào chương trình phân cấp. Ngoài ra, phải đánh giá tác động tổng hợp tất cả các tham số ảnh hưởng. Các sai lệch mang tính hệ thống do các tham số ảnh hưởng gây ra phải được phân tích theo các quy trình được mô tả ở Điều 7, để đưa ra các quy định kỹ thuật phân cấp cho các loại thiết bị đo gió. Tối thiểu năm mẫu của loại thiết bị đo gió phải được đánh giá. Việc sửa đổi một loại thiết bị đo gió có thể làm ảnh hưởng đến đầu ra thì yêu cầu phải thực hiện một đánh giá mới. Sự thay đổi về hình dạng của một loại thiết bị đo gió, nguyên tắc đo, thuật toán phần mềm để tính toán đầu ra, các chế độ đặt phần mềm hoặc các hình dạng kết cấu đỡ cũng yêu cầu thực hiện đánh giá mới.
Phương pháp phân cấp chỉ xem xét hoạt động bình thường của các cảm biến. Phương pháp này không xét đến các yếu tố như ăn mòn, hỏng hóc hoặc đóng băng.
6.2 Phân cấp
Việc phân cấp một kiểu thiết bị đo gió được chia thành năm cấp tùy thuộc vào mục đích sử dụng, cấp A, B, C và D được dựa trên các phạm vi địa hình và khí hậu được xác định trước (xem Bảng 1). Cấp A và C phải được sử dụng cho địa hình đáp ứng các yêu cầu trong TCVN 10687-12-5 (IEC 61400-12-5) và ở địa hình loại A trong TCVN 10687-12-3 (IEC 61400-12-3). Cấp B và D phải được sử dụng cho địa hình không đáp ứng các yêu cầu trong TCVN 10687-12-5 (IEC 61400-12-5). Cấp B và D cũng có thể được sử dụng cho địa hình loại B trong TCVN 10687-12-3 (IEC 61400-12-3). Nếu có thông tin về phạm vi của các tham số ảnh hưởng trong quá trình đó thì có thể sử dụng cấp S.
Cấp S là một cấp đặc biệt, trong đó phạm vi của các tham số ảnh hưởng có thể được xác định bởi người sử dụng, xem Bảng 1. Cấp này có thể dùng trong điều kiện khí hậu đặc biệt như khí hậu lạnh. Cấp S cũng có thể được sử dụng cho việc đánh giá độ không đảm bảo trong một đợt đo khi phạm vi của các tham số ảnh hưởng được xác định trong quá trình đo. Có thể sử dụng cấp S cho các phép đo ở địa hình loại A, B và C, xem TCVN 10687-12-3 (IEC 61400-12-3). Số phân cấp k phải được sử dụng để xác định độ không đảm bảo của các đặc tính vận hành tốc độ gió, như liệt kê tại 11.3.4. TCVN 10687-12-5 (IEC 61400-12-5) cung cấp phương pháp đánh giá địa hình để xác định xem sai lệch luồng không khí do địa hình có đáng kể. Đối với việc phân cấp các máy đó gió dạng cốc và âm thanh, việc đánh giá địa hình này hỗ trợ xác định việc phân cấp A, B, C và D.
Cấp A: Được kết hợp với địa hình để đáp ứng với yêu cầu của TCVN 10687-12-5 (IEC 61400-12-5) và với phạm vi tham số ảnh hưởng chung cho loại địa hình này.
Cấp B: Được kết hợp với địa hình không đáp ứng với yêu cầu của TCVN 10687-12-5 (IEC 61400- 12-5) và với phạm vi tham số ảnh hưởng chung cho loại địa hình này
Cấp C: tương tự như cấp A nhưng với nhiệt độ xuống đến -20 °C.
Cấp D: tương tự như cấp B nhưng với nhiệt độ xuống đến -20 °C.
Đối với địa hình và khí hậu sai khác so với các cấp từ A đến D, có thể quy định khí hậu cho cấp S.
Cấp S: Được kết hợp với các điều kiện sai khác so với cấp A, B, C và D. Ở cấp này, người sử dụng xác định phạm vi tham số ảnh hưởng. Điều này có thể do các điều kiện địa hình hoặc khí hậu đặc biệt hoặc do người sử dụng xác định.
6.3 Phạm vi tham số ảnh hưởng
Phạm vi tối thiểu của tham số ảnh hưởng đối với phân cấp thiết bị đo gió dạng cốc và âm thanh được liệt kê trong Bảng 1.
6.4 Phân cấp thiết bị đo gió dạng cốc và âm thanh
Việc phân cấp thiết bị đo gió được xác định dựa trên mức độ sai lệch hệ thống so với các giá trị hiệu chuẩn (hiệu chuẩn theo Điều 8) trong đó các sai lệch hệ thống được xác định đối với các giá trị thay đổi trong phạm vi của các tham số ảnh hưởng. Đối với thiết bị đo gió âm thanh và đối với thiết bị đo gió dạng cốc nhạy với hướng gió, phải xác định một hướng gió tham chiếu được sử dụng cho việc hiệu chuẩn theo Điều 8 cho loại thiết bị đo. Sai lệch hệ thống phải được tính toán đối với tất các các giá trị có liên quan đến việc xác định cấp, trong phạm vi từ giá trị nhỏ nhất đến lớn nhất đối với từng tham số. Số cấp kn của n số mẫu thiết bị đo gió phải được xác định bằng sai lệch hệ thống lớn nhất so với giá trị hiệu chuẩn trong đường hầm gió, có trọng số theo hàm tốc độ gió ɛi:
|
| (2) |
trong đó
kn là số cấp của n số mẫu thiết bị đo gió (n = 1, ..., 5 hoặc hơn);
wi là hàm trọng số tính bằng m/s để xác định đường bao độ lệch, xem Công thức (3);
ɛi là sai lệch tính bằng m/s đối với i kết hợp tham số ảnh hưởng.
CHÚ THÍCH: Số cấp là 1 tương ứng với 1 % tại 10 m/s nhưng nhiều hơn 1 % khi nhỏ hơn 10 m/s và nhỏ hơn 1 % khi lớn hơn 10 m/s
Hàm trọng số wi tính trung bình sai lệch ảnh hưởng tuyệt đối và tương đối:
| wi = 5 m/s + 0,5.Ui | (3) |
trong đó
Ui là tốc độ gió tính bằng m/s đối với i kết hợp tham số ảnh hưởng.
Bảng 1 - Phạm vi tham số ảnh hưởng (trung bình 10 min) của cấp A, B, C, D và S
| Tham số | Cấp A | Cấp B | Cấp C | Cấp D | Cấp Sa |
| Địa hình đáp ứng các yêu cầu theo TCVN 10687-12-5 (IEC 61400-12-5) | Địa hình không đáp ứng các yêu cầu theo TCVN 10687- 12-5 (IEC 61400-12-5) | Địa hình đáp ứng các yêu cầu theo TCVN 10687-12-5 (IEC 61400-12-5) | Địa hình không đáp ứng các yêu cầu theo TCVN 10687- 12-5 (IEC 61400-12-5) | Cấp đặc biệt với phạm vi được ấn định bởi người sử dụng | |
| Phạm vi | Phạm vi | Phạm vi | Phạm vi | Phạm vi | |
| Tốc độ gió, V (m/s) | 4 đến 16 | 4 đến 16 | 4 đến 16 | 4 đến 16 | 4 đến 16 |
| Cường độ luồng xoáy | 0,03 đến (0,12 + 0,48 /V) | 0,03 đến (0,12 + 0,96 /V) | 0,03 đến (0,12 + 0,48/V) | 0,03 đến (0,12 + 0,96/V) | Được ấn định bởi người sử dụng |
| Kết cấu luồng xoáy b σu/σv/σw | 1/0,8/0,5c | 1/0,8/0,5 c | 1/0,8/0,5 c | 1/0,8/0,5 c | Được ấn định bởi người sử dụng hoặc 1/0,8/0,5 c |
| Nhiệt độ không khí (°C) | 0 đến 40 | -10 đến 40 | -20 đến 40 | -20 đến 40 | Được ấn định bởi người sử dụng |
| Mật độ không khí (kg/m3) | 0,9 đến 1,35 | 0,9 đến 1,35 | 0,9 đến 1,35 | 0,9 đến 1,35 | Được ấn định bởi người sử dụng |
| Góc luồng hướng lên trung bình (°) | -3 đến 3 | -15 đến 15 | -3 đến 3 | -15 đến 15 | Được ấn định bởi người sử dụng |
| Hướng giód (°) | Cốc và âm thanh: 0 đến 360° | Cốc và âm thanh: 0 đến 360° | Cốc và âm thanh: 0 đến 360° | Cốc và âm thanh: 0 đến 360° | Cốc: 0 đến 360° Âm thanh: được ấn định bởi người sử dụng |
| a Các phạm vi tham số ảnh hưởng được xác định trong một đợt đo cụ thể bao gồm một vài tham số được đo như một phần của phép đo: tốc độ gió, luồng xoáy, nhiệt độ không khí, mật độ không khí. Góc luồng gió hướng lên có thể được xác định bằng cách lắp một thiết bị đo gió âm thanh bi-vane hoặc ba chiều trên cột khí tượng. b Đối với việc tạo ra gió nhân tạo, xem ví dụ tại 7.4. c Một phổ luồng xoáy Kaimal không đẳng hướng với quy mô chiều dài luồng xoáy là 350 m. d nếu một thiết bị đo gió dạng cốc là loại nhạy theo hướng gió (cần được điều tra trên tối thiểu một mẫu) thì tính định hướng, phải được đưa vào phân cấp. Đối với thiết bị đo gió âm thanh, tính định hướng luôn phải được đưa vào phân cấp nhưng đối với cấp S, phạm vi hướng gió có thể do người sử dụng chỉ định. | |||||
Đối với năm mẫu thiết bị đo gió được thử nghiệm cho việc phân cấp, cấp được xác định bằng trung bình của các giá trị k cộng với một nửa dải, chia cho
, giả định phân bố hình chữ nhật (xem Công thức (4)).
|
| (4) |
Việc phân cấp, tham khảo một cấp cụ thể, được biểu diễn là kA, kB hoặc kC, ví dụ 1,7A hoặc 2,5S. Độ không đảm bảo chuẩn về các đặc tính vận hành (xem 11.3.4) của thiết bị đo gió dạng cốc và âm thanh có thể thu được từ việc giả định phân cấp về một phần bố độ không đảm bảo hình chữ nhật mà trong trường hợp này, độ không đảm bảo chuẩn cần được sử dụng trong việc đánh giá độ không đảm bảo tốc độ gió là:
| uv2,j = (0,05 m/s + 0,005·Uj)·k/ | (5) |
Ví dụ về việc phân cấp được mô tả trong Điều 7.
6.5 Định dạng báo cáo
Báo cáo về phân cấp cảm biến tốc độ gió phải chỉ ra tất cả các chi tiết liên quan của cảm biến, bao gồm tất cả các chế độ đặt. Tài liệu cấp của một thiết bị đo gió âm thanh phải chỉ ra cấu hình được lập trình mà việc phân cấp đó có hiệu lực.
Tài liệu liên quan phải được cung cấp cùng với thông tin chi tiết về các quy trình đã thực hiện, các phép đo được thực hiện làm cơ sở cho việc phân cấp cũng như tài liệu về các tiện ích và thiết bị đo được sử dụng.
7 Đánh giá thiết bị đo gió dạng cốc và âm thanh
7.1 Quy định chung
Việc đánh giá phép đo gió để phân cấp phải dựa trên các thử nghiệm đường hầm gió có thể truy nguyên, các thử nghiệm tại phòng thử khác và các mô hình kết hợp các đặc tính của thiết bị đo gió. Phương pháp đánh giá toàn diện cũng cần bao gồm các thử nghiệm kiểm tra xác nhận tại hiện trường.
Việc đánh giá một loại thiết bị đo gió dạng cốc hoặc âm thanh phải bao gồm các quy trình kiểm tra xác nhận để xác định sự ảnh hưởng của các đặc tính cơ bản sau (cũng ghi trong Bảng 1):
a) đặc tính đáp ứng theo góc nghiêng;
b) đặc tính đáp ứng theo góc xoay;
c) ảnh hưởng của nhiệt độ lên tính năng của thiết bị đo gió.
Ngoài ra, đối với thiết bị đo gió dạng cốc cần đánh giá thêm đặc tính sau:
d) ảnh hưởng động lực do các đặc tính mômen của rôto.
Điều 7.2 mô tả các quy định để đo các đặc tính của thiết bị đo gió. Điều 7.3 mô tả phương pháp để phân cấp thiết bị đo gió dạng cốc kèm theo ví dụ và 7.4 mô tả phương pháp phân cấp thiết bị đo gió âm thanh. Việc đánh giá thực tế phải dựa trên các phương pháp luận tại 7.3 và 7.4 nhưng cũng có thể dựa trên các phương pháp đánh giá khác, miễn là chúng bao gồm các quy trình kiểm tra xác nhận để kết hợp ảnh hưởng của các tham số theo Bảng 1. Điều 7.5 đưa ra một phương pháp nhằm so sánh các thiết bị đo gió tại hiện trường.
7.2 Phép đo các đặc tính của thiết bị đo gió
7.2.1 Phép đo trong đường hầm gió đối với các đặc tính đáp ứng góc nghiêng của thiết bị đo gió dạng cốc
Đáp ứng góc nghiêng là tốc độ gió đo được tại các góc của luồng không khí bị nghiêng so với tốc độ gió đo được tại luồng không khí không bị nghiêng. Đáp ứng góc nghiêng của một thiết bị đo gió dạng cốc phải được đo trong một đường hầm gió đáp ứng các yêu cầu được mô tả trong Điều 8. Ngoài ra, phải ghi vào tài liệu rằng đường hầm gió là đủ cao để thu được các đặc tính đáp ứng góc nghiêng chính xác.
Trạng thái của một thiết bị đo gió bị ảnh hưởng mạnh bởi không gian trống xung quanh và đặc biệt là phía dưới và phía trên thiết bị đo gió. Điều quan trọng là cơ chế nghiêng phải được thiết kế sao cho tâm của phần cảm biến của thiết bị đo gió được cố định nhưng vẫn có thể xoay tự do và mặt phẳng đáy của đường hầm gió phải được đóng lại để ngăn chặn các ảnh hưởng bất lợi của luồng không khí. Do đó, rôto không thể thực hiện chuyển động tịnh tiến mà chỉ có thể nghiêng mặt phẳng rôto.
Đáp ứng góc nghiêng có thể được đo bằng hai phương pháp khác nhau, một phương pháp sử dụng quét còn phương pháp còn lại sử dụng các vị trí cố định.
Việc xác định đáp ứng của thiết bị đo gió đối với luồng không khí nghiêng gần như tĩnh cần được thực hiện với sự hỗ trợ của thiết bị điều chỉnh góc nghiêng tự động được lắp đặt trong đường hầm gió. Trong quá trình đo, thiết bị đo gió được nghiêng từ từ ra phía trước và phía sau với tốc độ quét rất chậm (nhỏ hơn 0,05°/s) sao cho sự ảnh hưởng đến kết quả do vận tốc góc có thể được bỏ qua. Phương pháp quét chỉ có thể được sử dụng nếu tốc độ gió trong đường hầm gió vẫn duy trì trong phạm vi 0,5 % tốc độ gió danh nghĩa ở tất cả các góc nghiêng.
Tại luồng không khí không nghiêng, góc nghiêng phải được cố định và thực hiện phép đo trong 300 s để đảm bảo rằng dữ liệu đủ để thu thập được bin “không” (0,5°). Dữ liệu bin “không” này được sử dụng để chuẩn hóa đáp ứng góc nghiêng.
Góc nghiêng, tốc độ gió trong đường hầm gió và đầu ra của thiết bị đo gió phải được ghi lại đồng thời và tính trung bình. Điều này có thể có ý nghĩa để kết hợp độ phân giải tốt hơn cho thuật toán tính trung bình bin để tính toán cho các độ dốc cao hơn trong đáp ứng góc nghiêng theo các mức “không”.
Đáp ứng góc nghiêng cần được xác định bằng các phép đo liên tiếp ở vị trí cố định, trong đó đáp ứng tại mỗi góc được xác định theo hiệu chỉnh trong đường hầm gió ở Điều 8 tại tốc độ gió dánh nghĩa được chọn trong dải tốc độ gió.
Các khuyến nghị về ma trận đo:
a) Xác định góc luồng gió: góc dương đối với luồng gió hướng lên trên rôto cốc;
b) dải góc nghiêng và các bước: tối thiểu từ -30° đến +30° (ví dụ: ±0°, ±1°, ±2°, ±3°, ±4°, ±6°, ±8°, ..., ±30°);
c) dải tốc độ gió và các bước: 4 m/s đến 16 m/s (ví dụ: 4 m/s, 8 m/s, 12 m/s và 16 m/s);
d) dải trung bình trong bin đối với phương pháp quét: chiều rộng tối đa trong bin 2°.
Một ví dụ về đáp ứng góc nghiêng (bao gồm cả dạng cosin “lý tưởng”) được cho trên Hình 1.

Hình 1 - Đáp ứng góc nghiêng Vα/Vα=0 của một thiết bị đo gió dạng cốc bằng một hàm của góc luồng không khí α so với đáp ứng cosin
7.2.2 Phép đo đường hầm gió cho các đặc tính có hướng của thiết bị đo gió dạng cốc
Thiết kế của thiết bị đo gió dạng cốc cụ thể (hình dạng vỏ ngoài không đối xứng, các cổng cáp không đối xứng, v.v...) có thể có ảnh hưởng bất lợi đến tín hiệu tốc độ gió của thiết bị đo gió liên quan đến hướng luồng nằm ngang và hướng tham chiếu được sử dụng để hiệu chuẩn (độ nhạy về hiện tượng xoay). Ảnh hưởng này là không mong muốn do thường không thể hiệu chỉnh được. Nó có thể góp phần đáng kể vào tổng độ không đảm bảo trong phép đo tốc độ gió. Phép đo nhạy về hiện tượng xoay phải được thực hiện ở tốc độ gió 4 m/s, 8 m/s, 12 m/s và 16 m/s.
7.2.3 Phép đo đường hầm gió cho các đặc tính mômen của rôto thiết bị đo gió dạng cốc
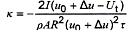
Đáp ứng động của thiết bị đo gió dạng cốc về gió được tính theo Công thức (6), trong đó I là mômen quán tính khối lượng, ω là vận tốc góc, t là thời gian, QA là mômen khí động lực của rôto và QF là mômen do ma sát (chủ yếu do ổ trục).
|
| (6) |
Mômen thực, QA - QF trên động cơ thiết bị đo gió dạng cốc và do đó các đặc tính mômen rôto có thể được đo trong đường hầm gió.
Mômen khí động lực có thể được đo bằng cách tác động rôtô để quay ở một vận tốc góc tạm thời cụ thể khi đo mômen bằng một cảm biến mômen.
Mômen khí động lực của rôto trên thiết bị đo gió dạng cốc bằng với mômen tác dụng trên trục, được đo bằng cảm biến mômen trừ đi mômen do ma sát. Các phép đo gần với vận tốc góc cân bằng cần phải rất chính xác và chi tiết. Ví dụ về phép đo mômen, trong đó tốc độ đường hầm gió được giữ không đổi ở 8 m/s và tốc độ quay của rôto đã bị thay đổi, được biểu diễn trên Hình 2.

Hình 2 - Phép đo mômen đường hầm gió QA - QF là hàm số của vận tốc góc của một rôto thiết bị đo gió dạng cốc ở 8 m/s
7.2.4 Phép đo đường hầm gió về đáp ứng theo bậc của thiết bị đo gió dạng cốc
Ngoài ra, đặc tính mômen của rôto cũng có thể được đo bằng phương pháp đáp ứng theo bậc trong một đường hầm gió. Phương pháp này không chính xác bằng phương pháp ở 7.2.3 do phải giả định rằng đặc tính mômen tuyến tính trên cả hai phía của tỷ lệ tốc độ cân bằng (hệ số mômen bằng không, xem 7.3.2)
Đáp ứng theo bậc là một phương pháp mà trong đó một thiết bị đo gió dạng cốc, trong một đường hầm gió có tốc độ luồng không khí không đổi, bị ép quay ở tốc độ quay tạm thời cân bằng, cao hơn hoặc thấp hơn tốc độ gió cân bằng, trong đó, sự phục hồi về vận tốc góc cân bằng được giám sát. Vùng phục hồi gần cân bằng là phần quan trọng của quá trình phục hồi này. Khuyến nghị sử dụng dữ liệu từ vùng phục hồi trong khoảng 50 % đến 98 % tốc độ rôto cân bằng trong quá trình thử nghiệm tăng tốc và từ 15 % đến 102 % trong các thử nghiệm giảm tốc khi điều chỉnh các đường hệ số mômen.
Phương pháp để ép thiết bị đo gió làm việc ở trạng thái cân bằng tạm thời có thể được thực hiện bằng cách lắp một trục mỏng vào đỉnh của rôto thiết bị đo gió dạng cốc và kéo dài nó đến động cơ thông qua một lỗ trong vách đường hầm gió. Khi bắt đầu đầu đo sự tăng tốc hoặc giảm tốc, tốc độ quay được kiểm soát bằng một động cơ và động cơ này không được lắp liền về mặt cơ học với rôto.
Ngoài ra, có thể sử dụng một hoặc nhiều luồng khí nén để đạt được trạng thái cân bằng tạm thời cho phía bên này hoặc phía bên kia của rôto thiết bị đo gió dạng cốc. Tuy nhiên, luồng không khí hướng lên trong đường hầm gió không được bị nhiễu loạn.
Các trạng thái khởi động cân bằng tạm thời nên nằm ngoài phạm vi quay dùng cho việc phân tích (từ 50 % đến 150 % tốc độ quay cân bằng) nhằm đảm bảo thiết bị kích thích không làm ảnh hưởng đến dữ liệu được sử dụng cho việc điều chỉnh.
Trong trường hợp các đặc tính mômen có thể được biểu diễn bằng mối quan hệ tuyến tính trên cả hai phía của trạng thái cân bằng mômen (mômen bằng không) thì đáp ứng theo bậc có thể được tính theo Công thức (7):
|
| (7) |
Trong đó
u(t) là tốc độ gió đo được bằng thiết bị đo gió dạng cốc tại thời điểm t bằng cách sử dụng hàm hiệu chuẩn ban đầu;
ut là tốc độ gió trong đường hầm gió;
∆u là độ chênh lệch giữa tốc độ gió trong đường hầm gió và tốc độ gió được chỉ định của thiết bị đo gió dạng cốc, tại thời điểm bắt đầu phép đo đáp ứng theo bậc, tại thời gian t0;
t là thời gian;
là hằng số thời gian cần được xác định cho đáp ứng theo bậc (
dùng cho đáp ứng theo bậc từ giá trị thấp hơn còn
dùng cho đáp ứng theo bậc từ giá trị cao hơn)
Trong quá trình điều chỉnh dữ liệu cho hai hằng số chưa biết
và t0, việc thiết lập lại công thức và sử dụng hồi quy tuyến tính để xác định hằng số thời gian
là phương pháp hữu ích:
|
| (8) |
Ví dụ về việc sử dụng các kết quả phương pháp đáp ứng theo bậc để xác định mômen tuyến tính từ hằng số thời gian được mô tả thêm tại 7.3.2.
7.2.5 Phép đo nhiệt độ dẫn đến các tác động lên tính năng của thiết bị đo gió
7.2.5.1 Yêu cầu chung
Cần đánh giá ảnh hưởng của nhiệt độ lên hiệu suất của thiết bị đo gió dạng cốc.
7.2.5.2 Phép đo mômen ma sát trong thiết bị đo gió dạng cốc
Các ảnh hưởng phụ thuộc vào nhiệt độ do ma sát của ổ trục phải được đánh giá bằng thử nghiệm bánh đà trong buồng khí hậu [2].
Phép đo mômen ma sát phải được thực hiện bằng cách thay rôto của thiết bị đo gió dạng cốc bằng một bánh đà và đo gia tốc từ tốc độ quay tương ứng với vận tốc 20 m/s. Có hai mômen tác động lên rôto: mômen ma sát trong ổ trục và mômen ma sát với không khí trên bánh đà (phải được trừ đi mômen đo được). Có thể có mômen ma sát do các nguyên nhân khác ngoài ma sát ổ trục, ví dụ như ma sát do quá trình phát tín hiệu. Mômen này cũng phải được đưa vào phép đo mômen ma sát. Các thử nghiệm phải được thực hiện tại nhiệt độ từ -20 °C đến +40 °C ở thang chia tối thiểu 5 °C. Đối với từng nhiệt độ, ma sát có thể được biểu diễn bằng một phép tính đa thức bậc hai với ba hằng số F0, F1 và F2.
| QF = F0 + F1ω+ F2ω2 | (9) |

Hình 3 - Ví dụ về mômen ma sát ổ trục QF là hàm của nhiệt độ trong dải vận tốc góc ω
7.2.5.3 Thử nghiệm đường hầm gió tại nhiệt độ và tốc độ gió khác
Ảnh hưởng của các tác động về nhiệt độ lên toàn bộ thiết bị đo gió (cả thiết bị đo gió dạng cốc và thiết bị đo gió âm thanh) có thể được kiểm tra bằng thử nghiệm đường hầm gió khí hậu. Thử nghiệm được thực hiện tại các nhiệt độ theo bảng 1 từ - 20 °C đến + 40 °C ở thang đo chia 5 °C. Các thử nghiệm phải được tiến hành ở tốc độ gió 4 m/s, 8 m/s, 12 m/s và 16 m/s. Khi đó có thể xác định được các chênh lệch về tốc độ gió so với hiệu chuẩn của thiết bị đo gió. Kết quả của các thử nghiệm trong đường hầm gió không được bị ảnh hưởng bởi các tác động không mong muốn (ví dụ, sự tích tụ sương muối trên rôto của thiết bị đo gió). Các kết quả cần được so sánh với các giá trị mô phỏng được tính bằng mô hình thiết bị đo gió dạng cốc tại 7.3.2.
7.2.6 Phép đo đường hầm gió của các đặc tính có hướng của máy đo gió âm thanh
Ảnh hướng về hướng lên đầu ra của thiết bị đo gió âm thanh phải được đo trong một đường hầm gió đáp ứng các yêu cầu được mô tả trong Điều 8.
Việc xác định đáp ứng của thiết bị đo gió đối với luồng không khí nghiêng và/hoặc quay gần như tĩnh, phải được thực hiện với sự hỗ trợ của thiết bị tự động điều chỉnh góc nghiêng và quay, được lắp đặt trong đường hầm gió. Trong quá trình đo, thiết bị đo gió được bố trị ở một góc nghiêng cố định. Hướng quay có thể được quy định đối với các vị trí quay cố định bằng các phép đo trong mức thời gian trung bình 30 s, hoặc có thể quay liên tục với tốc độ quét khoảng 1 °/s.
CHÚ THÍCH: Việc sử dụng các hướng quay cố định cải thiện độ chính xác của phép đo, trong khi sử dụng phương pháp quét chậm là một lợi thế để phát hiện ra các thay đổi chi tiết có thể xảy ra.
Việc quay phải được thực hiện trong phạm vi đo được xác định trước của thiết bị đo gió âm thanh. Góc nghiêng của thiết bị đo gió âm thanh phải được cố định tại các góc nghiêng sau: + 0°, + 2°, ± 5°, ± 15°, ± 20°, ± 30°. Các góc nghiêng cần được thêm vào hoặc bỏ bớt nếu có các bằng chứng rõ ràng cho thấy rằng chúng là cần thiết hoặc không cần thiết. Các phép đo phải được thực hiện đối với các tốc độ gió; 4 m/s, 8 m/s, 12 m/s và 16 m/s. Đối với mỗi hướng, độ lệch của tốc độ gió được thiết bị đo gió âm thanh ghi nhận so với hiệu chuẩn ban đầu tại hướng tham chiếu phải được xác định.
7.3 Phương pháp phân cấp thiết bị đo gió dạng cốc dựa trên các thử nghiệm trong đường hầm gió và phòng thí nghiệm và mô hình thiết bị đo gió dạng cốc
7.3.1 Phương pháp
Phương pháp phân cấp phải sử dụng mô hình thiết bị đo gió dạng cốc thích hợp để xác định các sai lệch do các tham số ảnh hưởng theo Bảng 1. Mô hình thiết bị đo gió dạng cốc phải được kiểm tra xác nhận đảm bảo có thể bao gồm đầy đủ tất cả các tham số ảnh hưởng. Phương pháp này phải dựa trên các phép đo trong đường hầm gió và phòng thí nghiệm được mô tả trong 7.2. Ngoài ra, phương pháp phải sử dụng một máy tạo gió nhân tạo để tạo ra dữ kiện gió đầu vào theo miền thời gian ba chiều đối với mô hình thiết bị đo gió dạng cốc. Sai lệch ɛi phải được xác định từ chênh lệch giữa giá trị trung bình trong 10 min của đầu vào tốc độ gió nằm ngang từ bộ tạo gió nhân tạo và giá trị trung bình trong 10 min của đáp ứng từ mô hình thiết bị đo gió dạng cốc.
7.3.2 Ví dụ về một mô hình thiết bị đo gió dạng cốc
7.3.2.1 Yêu cầu chung
Mô hình thiết bị đo gió dạng cốc lấy ví dụ là một mô hình vật lý mô phỏng đáp ứng của thiết bị đo gió dạng cốc trong miền thời gian, xem thư mục tài liệu tham khảo [2] và [3]. Một số tính chất vật lý của thiết bị đo gió dạng cốc phải được đo và sử dụng trong quá trình đánh giá. Gồm có: mômen rôto I, diện tích cản gió của một cốc A và bán kính R tính từ tâm trục đến tâm của cốc.
Đáp ứng của thiết bị đo gió dạng cốc đối với luồng gió ba chiều phải được xác định từ công thức vi phân cân bằng mômen, trong đó, mômen trên rôto bao gồm mômen khí động học trừ đi mômen do ma sát (vế phải của phương trình), xem Công thức (6).
Từ phương trình vi phân này, xác định được vận tốc góc của thiết bị đo gió dạng cốc ω và bằng cách sử dụng các giá trị hiệu chuẩn trong đường hầm gió, đáp ứng từ mômen khí động học và mômen do ma sát do sự thay đổi của gió được xác định. Mômen khí động học QA là một hàm của vectơ gió tức thời
= {u,v,w} như đã xác định bởi máy tạo gió nhân tạo. Từ véc tơ gió, góc luồng gió hướng lên và độ lớn của véc tơ gió được xác định:
|
| (10) |
|
| (11) |
Tốc độ gió ngang tương đương được xác định bằng cách nhân độ lớn của véc tơ gió với đáp ứng góc được đo trong đường hầm gió tại góc của luồng hướng lên tức thời:
|
| (12) |
Tại đó
là đáp ứng góc nghiêng của thiết bị đo gió dạng cốc được thể hiện trên Hình 1.
Mômen khí động học có thể được thể hiện bằng đường cong mômen tổng quát đã được kiểm tra xác nhận là có giá trị đối với tất cả các tốc độ gió và tất cả các tốc độ quay [2]:
|
| (13) |
Trong đó
p là mật độ không khí;
A là diện tích của một cốc;
R là bán kính cho một cốc;
Ueq là tốc độ gió nằm ngang tương đương;
CQA là hệ số mômen rôto khí động học tổng quát.
Hệ số mômen rôto khí động học tổng quát được xác định từ các phép đo mômen đường ống gió trong 7.2.3 hoặc 7.2.4, trong trường hợp này, Ueq được chia cho tốc độ gió trong ống gió:
|
| (14) |
Hệ số mômen rôto khí động học tổng quát là một hàm của tỷ số tốc độ:
|
| (15) |
Trong đó
Ut là tốc độ gió ngưỡng (được xác định là phần bù hiệu chuẩn còn lại khi đã trừ ảnh hưởng của ma sát; nếu ma sát bằng không khi tốc độ gió ngưỡng bằng với phần bù hiệu chuẩn).
Trong trường hợp hệ số mômen rôto có thể được đặc trưng bởi hai đường tuyến tính trên hai phía của cân bằng mômen thì cả hai hằng số thời gian tương ứng có thể được xác định thông qua các phép đo đáp ứng theo bậc trong đường hầm gió, xem 7.2.4 và [4]. Khi đó, các đặc tính mômen tuyến tính có thể được xác định từ các giá trị
, đối với các tỷ số tốc độ thấp và cao, theo Công thức (16):
|
| (16) |
Khi đó hệ số mômen rôto khí động học tổng quát được tính như sau:
| đối với λ ≤ λ0: CQA = Klow (λ - λ0) và đối với λ > λ0: CQA = khigh (λ - λ0) | (17) |
Trong đó
λ0 là tỷ số tốc độ đối với CQA = 0.
Một ví dụ về hệ số mômen rôto được thể hiện trên Hình 4.

Hình 4 - Ví dụ về hệ số mômen rôto CQA là hàm của tỷ số tốc độ λ được xác định từ đáp ứng theo bước với
bằng -55 và
bằng -65
Mômen do ma sát là hàm của nhiệt độ và tốc độ quay như đã tìm được từ các phép đo mômen trong 7.2.5.2:
| QF = QF (T, ω) | (18) |
7.3.2.2 Thay đổi dải tham số ảnh hưởng và ví dụ về việc phân cấp
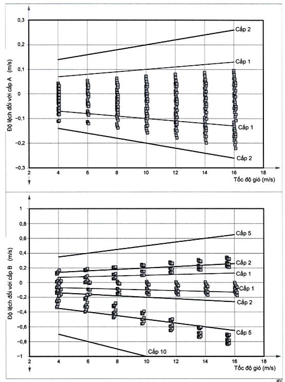
Các dải giá trị của tham số ảnh hưởng phải được thay đổi bằng cách sử dụng mô hình luồng xoáy để tạo ra các tốc độ gió mô phỏng theo chuỗi thời gian 10 min, ba chiều với tần suất lấy mẫu ở tối thiểu 10 Hz. Khi đặt mô hình thiết bị đo gió dạng cốc vào môi trường có gió mô phỏng như vậy, các đáp ứng của thiết bị đo gió dạng cốc được xác định và độ lệch so với tốc độ gió ngang của luồng gió mô phỏng được phát hiện. Độ lệch đối với tất cả các tổ hợp của dải giá trị tham số ảnh hưởng có thể được xác định thông qua phương pháp Monte Carlo. Các độ lệch xác định cấp như được thể hiện trong công thức (2). Ví dụ về sự phân cấp thiết bị đo gió dạng cốc được thể hiện trên Hình 5 và với các đặc tính được thể hiện trên Hình 3 và Hình 4 và dữ liệu được trình bày trong Bảng 2 và Bảng 3. Các dữ liệu khác liên quan đến việc phân cấp được trình bày trong Bảng 4.
Độ lệch đối với các cấp A, B, C và D của tất cả các tham số ảnh hưởng được thể hiện trên Hình 5 và Hình 6. Các cấp thu được là 1,68A, 6,65B, 8,01C và 9,94D.
Bảng 2 - Đáp ứng góc nghiêng của thiết bị đo gió dạng cốc
| Tốc độ gió, V (m/s) | 4 | 8 | 12 | 16 |
| Góc, α (độ) | Vα/Vα=0 | Vα/Vα=0 | Vα/Vα=0 | Vα/Vα=0 |
| -30 | 0,967 005 | 0,935 689 | 0,921 815 | 0,913 545 |
| -28 | 0,968 769 | 0,943 307 | 0,932 028 | 0,925 304 |
| -26 | 0,971 484 | 0,951 098 | 0,942 067 | 0,936 683 |
| -24 | 0,974 941 | 0,958 908 | 0,951 805 | 0,947 569 |
| -22 | 0,978 933 | 0,966 583 | 0,961 111 | 0,957 850 |
| -20 | 0,983 253 | 0,973 974 | 0,969 863 | 0,967 413 |
| -18 | 0,987 695 | 0,980 930 | 0,977 934 | 0,976 148 |
| -16 | 0,992 055 | 0,987 304 | 0,985 199 | 0,983 945 |
| -14 | 0,996 131 | 0,992 948 | 0,991 538 | 0,990 698 |
| -12 | 0.999 722 | 0,997 717 | 0,996 829 | 0,996 301 |
| -10 | 1,002 628 | 1,001 468 | 1,000 954 | 1,000 648 |
| -8 | 1,004 651 | 1,004 057 | 1,003 793 | 1,003 637 |
| -6 | 1,005 594 | 1,005 344 | 1,005 233 | 1,005 166 |
| -4 | 1,005 262 | 1,005 188 | 1,005 155 | 1,005 136 |
| -3 | 1,004 558 | 1,004 526 | 1,004 513 | 1,004 505 |
| -2 | 1,003 462 | 1,003 452 | 1,003 448 | 1,003 446 |
| -1 | 1,001 951 | 1,001 950 | 1,001 949 | 1,001 949 |
| 0 | 1,000 000 | 1,000 000 | 1,000 000 | 1,000 000 |
| 1 | 0,997 595 | 0,997 594 | 0,997 593 | 0,997 593 |
| 2 | 0,994 750 | 0,994 740 | 0,994 736 | 0,994 734 |
| 3 | 0,991 490 | 0,991 458 | 0,991 445 | 0,991 437 |
| 4 | 0.987 838 | 0,987 764 | 0,987 731 | 0,987 712 |
| 6 | 0,979 458 | 0,979 208 | 0,979 097 | 0,979 030 |
| 8 | 0,969 803 | 0,969 209 | 0,968 945 | 0,968 789 |
| 10 | 0.959 068 | 0,957 908 | 0,957 394 | 0,957 088 |
| 12 | 0,947 450 | 0,945 445 | 0,944 557 | 0,944 029 |
| 14 | 0,935 147 | 0,931 964 | 0,930 554 | 0,929 714 |
| 16 | 0,922 359 | 0,917 608 | 0,915 503 | 0,914 249 |
| 18 | 0,909 287 | 0,902 522 | 0,899 526 | 0,897 740 |
| 20 | 0,896 133 | 0,886 854 | 0,882 743 | 0,880 293 |
| 22 | 0,883 101 | 0,870 751 | 0,865 279 | 0,862 018 |
| 24 | 0,870 397 | 0,854 364 | 0,847 261 | 0,843 025 |
| 26 | 0,858 228 | 0,837 842 | 0,828 811 | 0,823 427 |
| 28 | 0,846 801 | 0,821 339 | 0,810 060 | 0,803 336 |
| 30 | 0,836 325 | 0,805 009 | 0,791 135 | 0,782 865 |
Bảng 3 - Hệ số ma sát của thiết bị đo gió dạng cốc
| Nhiệt độ (°C) | F0 (N·m) | F1 (N·m·s) | F2 (N·m·s2) |
| -20 | 2,000E-04 | 2,000E-05 | -8,000E-08 |
| -18 | 1,563E-04 | 1,563E-05 | -5,714E-08 |
| -15 | 1,163E-04 | 1,163E-05 | -4,000E-08 |
| -10 | 7,692E-05 | 7,692E-06 | -3,077E-08 |
| -5 | 5,556E-05 | 5,556E-06 | -2,222E-08 |
| 0 | 4,348E-05 | 4,348E-06 | -1,739E-08 |
| 5 | 3,571E-05 | 3,571E-06 | -1,429E-08 |
| 10 | 3,030E-05 | 3,030E-06 | -1,212E-08 |
| 15 | 2,632E-05 | 2,632E-06 | -1,053E-08 |
| 20 | 2,326E-05 | 2,326E-06 | -9,302E-09 |
| 25 | 2,083E-05 | 2,083E-06 | -8,333E-09 |
| 30 | 1,887E-05 | 1,887E-06 | -7,547E-09 |
| 35 | 1,724E-05 | 1,724E-06 | -6,897E-09 |
| 40 | 1,587E-05 | 1,587E-06 | -6,349E-09 |
Bảng 4 - Dữ liệu liên quan đến việc phân cấp của thiết bị đo gió dạng cốc
| Danh sách phân cấp | Giá trị |
| Đường kính cốc | 75 mm |
| Diện tích cốc A | 0,004 417 87 m2 |
| Bán kính đến tâm cốc R | 65 mm |
| Quán tính của rôto I | 0,000 2 kg-m2 |
| Tỷ lệ tốc độ cân bằng λ0 | 0,3 |
| Nhiệt độ hiệu chuẩn | 20 °C |
| Áp suất khí quyển hiệu chuẩn | 101 3 hPa |
| Mật độ không khí hiệu chuẩn | 1,203 821 kg/m3 |
| Mật độ luồng xoáy hiệu chuẩn | 0,003 |
| Kết cấu luồng xoáy hiệu chuẩn | đẳng hướng σu/σv/σw = 1/1/1 |
| Hệ số hiệu chuẩn A và B | 0,679 55 và 0,258 70 |
| Hệ số ma sát hiệu chuẩn F0, F1 và F2 tại 20 °C | xem Bảng 3 đối với 20 °C |
| Hệ số mômen của các độ dốc | -5,0 và -6,5 |

Hình 5 - Độ lệch phân cấp của thiết bị đo gió dạng cốc, cấp 1,69A (cao hơn) và cấp 6,56B (thấp hơn)

Hình 6 - Độ lệch phân cấp của thiết bị đo gió dạng cốc, cấp 8,01C (cao hơn) và cấp 9,94D (thấp hơn)
7.4 Phương pháp phân cấp thiết bị đo gió âm thanh dựa trên các thử nghiệm đường hầm gió và mô hình thiết bị đo gió âm thanh
Phương pháp phân cấp sử dụng mô hình thiết bị đo gió âm thanh để xác định các độ lệch do các tham số ảnh hưởng. Phương pháp dựa trên các phép đo trong đường hầm gió và phòng thử nghiệm như mô tả tại 7.2.6 và 7.2.5.3. Ngoài ra, phương pháp phân cấp thiết bị đo gió âm thanh sử dụng một máy phát gió nhân tạo tương tự như máy phát dùng cho mô hình thiết bị đo gió dạng cốc, xem 7.3.2, để tạo ra dữ liệu gió đầu vào ba chiều theo thời gian cho mô hình thiết bị đo gió âm thanh.
Đáp ứng của thiết bị đo gió âm thanh là hàm của vectơ gió tức thời
= {u,v,w} được xác định bằng máy tạo gió nhân tạo. Từ vectơ gió, góc luồng không khí hướng lên và lượng vô hướng của vectơ gió được xác định bằng công thức (10) và (11). Khi đó đáp ứng được tính bằng nội suy trong dữ liệu đo được từ phép đo trong đường hầm gió:
|
| (19) |
Trong đó
là hàm đáp ứng góc nghiêng và góc quay đối với thiết bị đo gió âm thanh
Độ sai lệch được xác định từ sự chênh lệch giữa giá trị đáp ứng của mô hình thiết bị đo gió âm thanh và các giá trị trung bình của dữ liệu gió nhân tạo, xem 7.3.2.2. Các tham số ảnh hưởng liên quan là các đáp ứng góc nghiêng và quay và các ảnh hưởng do nhiệt độ.
7.5 Phép đo so sánh tại hiện trường tự do
Trong phép đo so sánh tại một hiện trường tự do, có thể so sánh được hai thiết bị đo gió. Có thể sử dụng phép đo so sánh để kiểm tra xác nhận các phương pháp được sử dụng trong phân cấp các thiết bị có nhất quán không, xem 7.3 và 7.4. Việc so sánh các thiết bị đo gió đòi hỏi cả hai thiết bị phải được hiệu chuẩn trong cùng một đường hầm gió. Việc bố trí trong hiện trường cần tuân thủ theo các quy trình lắp đặt đối với hai thiết bị đo gió lắp ở đỉnh như mô tả tại 10.3, bằng cách sử dụng khoảng cách tối đa giữa chúng. Một thiết bị đo gió âm thanh 3 D (u, v và w được hiệu chuẩn) phải được lắp trên một cần ở phía dưới hai cảm biến để đo phạm vi tham số ảnh hưởng của môi trường (góc luồng gió, luồng xoáy, phổ luồng xoáy), dùng cho phân tích phân cấp đợt đo cấp S. Ngoài ra, nhiệt độ không khí phải được đo trên cùng một cần để xác định dải nhiệt độ và phải đo được áp suất không khí để xác định dải mật độ không khí. Ghi lại vết thời gian của thiết bị đo gió âm thanh 3D trong khi các phép đo trung bình 10 min trong một khu vực vuông góc với cần lắp đặt được chấp nhận đối với hai thiết bị đo gió đang được so sánh. Dữ liệu cơ sở được chấp nhận (ở tối thiểu 180 h) phải được thu thập trong dải tốc độ gió từ 4 m/s đến 16 m/s và dải cường độ luồng xoáy (ví dự như từ 0,04 đến 0,14). Khi đó, việc so sánh của hai thiết bị đo gió nên được thực hiện bằng cách xác định phân cấp S của hai thiết bị đo gió từ các thử nghiệm trong phòng thử nghiệm và so sánh chúng với các phép đo tại hiện trường.
8 Quy trình hiệu chuẩn trong đường hầm gió đối với các thiết bị đo gió
8.1 Yêu cầu chung
Các yêu cầu chung đối với việc hiệu chuẩn các thiết bị đo gió được tóm tắt như sau.
a) Hiệu chuẩn thiết bị đo gió phải được thực hiện trong một đường hầm gió thích hợp cho việc hiệu chuẩn thiết bị đo gió.
b) Tất cả các bộ chuyển đổi và thiết bị đo liên quan đến hiệu chuẩn thiết bị đo gió đều phải có hiệu chuẩn có thể liên kết chuẩn theo chuẩn quốc tế. Chứng nhận và báo cáo hiệu chuẩn phải có đầy đủ các thông tin liên kết chuẩn liên quan (ví dụ như bao gồm các chi tiết về các chứng chỉ công nhận nếu có).
c) Tốc độ gió tham chiếu phải được đo bằng ống pitot tĩnh là loại NPL có đầu hình elip theo ISO 3966. Ống pitot tĩnh phải được hiệu chuẩn trong dải tốc độ gió thích hợp và phải được dẫn chứng. Ngoài ra, tốc độ gió tham chiếu có thể được đo bằng LDA (thiết bị đo gió bằng laze Doppler) cùng với độ không đảm bảo được dẫn chứng đầy đủ.
d) Tính nhất quán của việc thiết lập phải được kiểm tra xác nhận bằng cách hiệu chuẩn so sánh hàng ngày đối với “thiết bị đo gió kiểm tra chất lượng” của phòng thí nghiệm.
e) Chất lượng luồng gió phải được kiểm tra xác nhận theo yêu cầu tại 8.2.
f) Tính lặp lại của hiệu chuẩn phải được kiểm tra xác nhận theo yêu cầu tại 8.2.
g) Việc hiệu chuẩn thiết bị đo gió phải được hỗ trợ bằng một bản đánh giá toàn diện về độ không đảm bảo hiệu chuẩn được thực hiện theo TCVN 9595-3:2013 (ISO/IEC Guide 98-3:2008).
8.2 Yêu cầu đối với đường hầm gió
Việc có mặt của thiết bị đo gió không ảnh hưởng đáng kể đến phạm vi luồng gió trong đường hầm gió. Trong quá trình đo, thiết bị đo gió sẽ bị ảnh hưởng ở mức độ nhất định bởi các hiệu ứng chặn và hiệu ứng đường biên trong đường hầm gió. Tỷ lệ diện tích chặn (BR) - được xác định bằng tỷ lệ giữa diện tích nhô ra của thiết bị đo gió, vuông góc với hướng luồng gió, (bao gồm cả hệ thống lắp đặt và diện tích nhô ra của rôto mũ hub) với tổng diện tích phần thử nghiệm - không được vượt quá 0,05.
Hiệu ứng chặn phải luôn được tính đến theo 8.4.3.
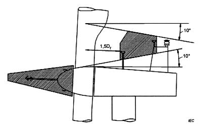
Khuyến nghị rằng vùng thử nghiệm trong đường hầm gió có chiều cao tối thiểu là 1,0 m và chiều rộng tối thiểu là 1,0 m.
Luồng gió trong diện tích mặt cắt ngang, nơi đặt thiết bị đo gió, phải đảm bảo tính đồng nhất. Sự đồng nhất của luồng gió cần được đo bằng các thiết bị cảm biến vận tốc, ví dụ như ống Pitot, các sợi dây nóng hoặc máy đo vận tốc Doppler laze, để đo các đặc tính luồng gió theo hướng dọc, hướng ngang và hướng thẳng đứng. Trên dải tốc độ gió hiệu chuẩn, sự khác biệt lớn nhất về vận tốc trung bình giữa hai điểm bất kỳ trong thể tích đo, không được nhỏ hơn 0,2 %. Giá trị trung bình này phải được tính trong tối thiểu năm phút và thể tích đo phải bao phủ thể tích hoạt động của thiết bị đo gió với khoảng mở rộng 50 % theo mọi hướng, như được biểu diễn trên Hình 7. Tính đồng nhất của luồng gió phải được thử nghiệm trong khoảng thời gian tối thiểu năm phút đối với từng tốc độ gió xấp xỉ 4 m/s, 8m/s, 12 m/s và 16 m/s.

Thể tích cũng mở rộng 1,5 × b theo chiều sâu (dọc theo luồng gió).
Hình 7 - Xác định thể tích thử nghiệm tính đồng nhất của luồng gió
Sự ổn định của luồng gió phải được đo tại vị trí trung tâm của thể tích mà tính đồng nhất đã được kiểm tra xác nhận. Luồng gió có thể được coi là ổn định nếu mười giá trị trung bình trong thời gian 30 s nằm trong phạm vi ±5 % giá trị trung bình của chúng.
Thiết bị đo gió dạng cốc rất nhạy với độ dốc của gió theo phương ngang. Độ dốc của gió theo phương ngang khác nhau có thể xuất hiện tùy thuộc vào độ nhiễm nhiễu của lưới chắn và cơ cấu làm mịn. Do đó, việc kiểm tra độ dốc gió theo phương ngang bằng hai ống Pitot giống nhau là cần thiết. Hai ống này cần được đặt chính xác tại vị trí dự kiến lắp đặt thiết bị đo gió, với đầu đo mở rộng bao phủ khu vực có các cốc quay của thiết bị đo gió dạng cốc. Một tập hợp các phép đo phải được thực hiện và hồi quy tuyến tính giữa các áp suất động đo được bởi hai ống Pitot phải được tính toán. Độ chênh lệch về tốc độ gió phải nhỏ hơn 0,2 % trong khoảng thời gian ít nhất năm phút. Ảnh hưởng của loại cốc đo gió cần hiệu chuẩn (bao gồm cả ống lắp đặt) đối với tốc độ luồng gió đo được bằng ống Pitot phải được kiểm tra xác nhận là nhỏ hơn ±0,2 %.
Cường độ luồng xoáy theo trục ở tốc độ gió tại vị trí của thiết bị đo gió phải thấp hơn 2 %. Cường độ luồng xoáy phải bao gồm các biến động về tốc độ gió dọc theo phương luồng gió với tần số lên đến 10 Hz. Dữ liệu về các phép đo luồng xoáy phải được thu thập trong 60 s tại mỗi tốc độ gió, với tần suất lấy mẫu ít nhất là 20 Hz. Việc đánh giá luồng xoáy phải được thực hiện tối thiểu đối với các tốc độ gió 7 m/s, 10 m/s và 13 m/s bằng thiết bị phù hợp để đo các biến động về tốc độ gió với tần số cắt tối thiểu là 20 Hz. Các sai lệch so với các yêu cầu ở trên phải được đánh giá thông qua các thử nghiệm thích hợp và phải được xem xét trong quá trình đánh giá độ không đảm bảo.
Hệ số hiệu chuẩn đường hầm gió, thể hiện mối quan hệ giữa các điều kiện tại vị trí đo tham chiếu và các điện kiện tại vị trí của thiết bị đo gió, phải được đánh giá bằng cách sử dụng các ống pitot trong một dải tốc độ từ 4 m/s đến 16 m/s.
Thiết lập hiệu chuẩn phải trải qua một quá trình kiểm tra chi tiết về độ lặp lại của hiệu chuẩn thiết bị đo gió. Cơ sở hiệu chuẩn phải chỉ định các thiết bị đo gió tham chiếu có kích thước đại diện để sử dụng trong các thử nghiệm này. Độ lệch chuẩn và độ lệch tối đa của đầu ra thiết bị đo gió kiểm soát chất lượng trong dải tốc độ gió hiệu chuẩn, phải lần lượt nhỏ hơn 0,2 % và 0,6 % so với giá trị trung bình.
8.3 Các yêu cầu đối với việc thiết lập thiết bị đo và hiệu chuẩn
Thiết bị ổn định tín hiệu bên ngoài chuyên dụng như bộ chuyển đổi tần số-điện áp, v.v..., phải được hiệu chuẩn riêng rẽ khỏi thiết bị đo gió, nhằm đảm bảo việc hiệu chuẩn thiết bị đo gió cần được thực hiện và báo cáo một cách độc lập với thiết bị ổn định tín hiệu.
Độ phân giải của hệ thống thu thập dữ liệu tối thiểu phải là 0,02 m/s. Đối với thiết bị đo điện áp loại tương tự, tín hiệu phải được cách ly đủ để ngăn ngừa sự suy giảm do thiết bị ghi có trở kháng thấp.
Bố trí lắp đặt có thể ảnh hưởng đáng kể đến tính năng thiết bị đo, đặc biệt khi tỷ lệ giữa đường kính ống với đường kính rôto cao. Do đó, trong quá trình hiệu chuẩn, thiết bị đo gió phải được lắp ở đỉnh của một ống để giảm thiểu hiện tượng sai lệch luồng không khí và chỉ một thiết bị đo gió có thể được hiệu chỉnh tại một thời điểm, ống này phải có cùng đường kính với ống mà thiết bị đo gió có thể được lắp vào khi sử dụng trong môi trường tự do. Khoảng cách theo phương thẳng đứng giữa rôto của thiết bị đo gió và các ranh giới cao hơn và ranh giới thấp hơn của vùng thử nghiệm trong đường hầm gió, không được nhỏ hơn 0,5 m. Đối với thiết bị đo gió nhạy với hướng luồng gió phương ngang, cần xác định và ghi lại hướng tham chiếu và đồng thời sử dụng hướng này trong suốt quá trình hiệu chuẩn. Thiết bị đo gió phải được đặt trong vùng thử nghiệm sao cho vuông góc với phạm vi luồng gió trong đường hầm gió có độ chính xác nhất có thể. Độ lệch lớn nhất của ống có lắp thiết bị đo gió là 0,2°. Hình 1 biểu diễn ví dụ về đáp ứng góc nghiêng của một thiết bị đo gió dạng cốc điển hình.
Điều quan trọng là đảm bảo rằng thiết bị đo gió không bị ảnh hưởng bởi sự xuất hiện của bất kỳ thiết bị đo tốc độ gió tham chiếu nào. Ngược lại, sự xuất hiện của thiết bị đo gió cũng không được làm ảnh hưởng đến luồng không khí trong vùng của thiết bị đo tham chiếu. Nếu phát hiện ra các ảnh hưởng làm sai lệch luồng không khí thì phải bố trí lại vị trí của ống pitot. Ảnh hưởng này có thể được đánh giá bằng cách tháo ra và lắp lại thiết bị đo gió cũng như thiết bị đo tham chiếu, sau đó thì kiểm tra xem đầu ra của thiết bị đo còn lại có thay đổi.
Ống pitot tĩnh phải được đặt trong vùng thử nghiệm sao cho thẳng hàng với hướng luồng không khí trung bình. Sai lệch tối đa cho phép là 0,5°.
CHÚ THÍCH: Việc lắp lệch ống pitot tĩnh có thể dẫn đến sai số trong phép đo áp suất vi sai. Việc căn chỉnh ống pitot trong phạm vi 0,5° so với hướng luồng không khí trung bình đảm bảo sai số trong số đọc áp suất vi sai sẽ nhỏ hơn 0,1 % đối với ống pitot loại NPL (chú dẫn Hình A.5, ISO 3966:2020).
Trong quá trình hiệu chuẩn, tín hiệu đầu ra của thiết bị đo gió phải được kiểm tra để đảm bảo rằng nó không bị nhiễm nhiễu hoặc phải chịu các tạp.
8.4 Quy trình hiệu chuẩn
8.4.1 Quy trình chung đối với thiết bị đo gió dạng cốc và âm thanh
Quy trình này liên quan đến việc hiệu chuẩn phép đo tốc độ gió phương ngang bằng thiết bị đo gió dạng cốc và âm thanh. Thiết bị đo gió phải vận hành trong tối thiểu 5 min ở tốc độ khoảng 10 m/s trước khi bắt đầu quy trình hiệu chuẩn. Hiệu chuẩn phải được thực hiện trong điều kiện cả khi tốc độ gió tăng và giảm, trong phạm vi từ 4 m/s đến 16 m/s với khoảng hiệu chuẩn là 1 m/s hoặc nhỏ hơn. Nếu trong quá trình hiệu chuẩn hệ thống gia nhiệt được bật thì điều này phải được ghi chú trong chứng nhận hiệu chuẩn.
CHÚ THÍCH: Các khoảng hiệu chuẩn 1 m/s cũng có thể được thực hiện với bước nhảy 2 m/s, ví dụ như: 4 m/s, 6 m/s, 8 m/s, 10 m/s, 12 m/s, 14 m/s, 16 m/s, 15 m/s, 13 m/s, 11 m/s, 9 m/s, 7 m/s, 5 m/s.
Tần suất lấy mẫu phải ít nhất là 1 Hz và khoảng thời gian lấy mẫu tối thiểu là 30 s. Khoảng thời gian lấy mẫu có thể bị tăng khi hiệu chuẩn các thiết bị đo gió có độ phân giải thấp. Điều quan trọng là phải đảm bảo rằng thiết bị đo gió và số đọc tốc độ gió tham chiếu được ghi nhận trong cùng một khoảng thời gian. Trước khi thu thập dữ liệu tại từng tốc độ gió, cần phải có đủ thời gian để điều kiện luồng gió ổn định được thiết lập, xem 8.2. Điều này có thể mất 1 min nhưng thời gian này sẽ khác nhau tùy vào từng tổ chức thực hiện.
8.4.2 Quy trình dùng cho hiệu chuẩn thiết bị đo gió âm thanh
Thiết bị đo gió âm thanh được thiết kế để đo các thành phần gió 2D và 3D. Trong trường hợp việc đo gió phục vụ cho mục đích đo tốc độ gió ngang (ví dụ để đo đặc tính công suất) thì thiết bị đo gió âm thanh phải được cài đặt để đo tốc độ gió ngang, tốt nhất là bằng cái đặt nội bộ hoặc xử lý dữ liệu sau đo.
Trong quá trình hiệu chuẩn, toàn bộ thiết bị đo gió dạng âm thanh phải được đặt trong vùng thử nghiệm của đường hầm gió. Phần hoạt động của thiết bị đo gió âm thanh phải được đặt nằm bên trong thể tích vùng thử nghiệm. Hướng quay của thiết bị phải được đặt theo hướng quay hiệu chuẩn tham chiếu, xem 8.3.1. Thông thường, việc đặt hướng quay sao cho giảm thiểu sai lệch luồng không khí do các giá đỡ của bộ thu phát âm thanh gây ra sẽ có hiệu quả cao hơn.
Các tham số đặt của thiết bị đo gió âm thanh trong quá trình hiệu chuẩn phải được ghi lại trong chứng nhận hiệu chuẩn hoặc trong phụ lục của chứng nhận hiệu chuẩn. Việc hiệu chuẩn chỉ tiến hành khi sử dụng và hiệu chuẩn, thiết bị có chế độ đặt cảm biến và định dạng đầu ra tín hiệu giống hệt nhau.
Trong thử nghiệm này, thiết bị đo gió âm thanh phải được hiệu chuẩn tại các mức tốc độ gió thay đổi theo 8.4.1. Nếu cần, có thể thực hiện hiệu chuẩn ở các vị trí quay bổ sung (tức là góc quay có nhiễu loại luồng không khí tối đa do các giá đỡ gây ra). Việc hiệu chuẩn ở các vị trí quay bổ sung nên được thực hiện ở tốc độ 10 m/s để kiểm soát chất lượng theo sự phù hợp với các kết quả phân cấp.
Tín hiệu trạng thái của thiết bị đo gió âm thanh (nếu có) phải được giám sát trong suốt quá trình hiệu chuẩn. Tín hiệu trạng thái phải được sử dụng để loại bỏ dữ liệu sai.
8.4.3 Xác định tốc độ gió tại vị trí của thiết bị đo gió
Mật độ gió p phải được tính dựa trên nhiệt độ trung bình của không khí trong đường hầm gió T, độ ẩm tương đối Φ và áp suất khí quyển B, sử dụng công thức (20) (độ không đảm bảo chuẩn nhỏ hơn 10-3 kg/m3):
|
| (20) |
Trong đó:
B là áp suất không khí [Pa];
T là nhiệt độ môi trường [K];
Φ là độ ẩm tương đối (phạm vi từ 0 đến 1);
R0 là hằng số khí của không khí khô [287,05 J/kgK];
Rw là hằng số khí của hơi nước [461,5 J/kgK];
Pw là áp suất hơi [Pa].
Áp suất hơi Pw phụ thuộc vào nhiệt độ trung bình của không khí.
| Pw =0,000 020 5·exp(0,063 184 6·T) | (21) |
Tốc độ trung bình của luồng không khí tại vị trí của thiết bị đo gió được tính từ chênh lệch áp suất trung bình ΔPref tại vị trí tham chiếu bằng cách sử dụng công thức (22):
|
| (21) |
Trong đó
α là hệ số của đầu ống pitot tĩnh;
kc là hệ số hiệu chuẩn đường hầm gió, thể hiện mối liên quan giữa điều kiện tại vị trí đo tham chiếu và điều kiện tại vị trí của thiết bị đo gió;
là hàm hiệu chỉnh do miễn nhiệm giữa thiết bị đo gió có ống lắp và luồng không khí trong đường hầm gió;
kb là hệ số hiệu chỉnh nhiễm nhiễu do chặn;
ki là hệ số hiệu chỉnh do nhiễm nhiễu giữa thiết bị đo gió (bao gồm cả ống lắp) và đường bao cùng thử nghiệm, cũng như ảnh hưởng của luồng không khí do lắp các ống lắp xuyên qua đường bao;
kp là hệ số hiệu chỉnh do nhiễm nhiễu của thiết bị đo gió (bao gồm cả ống lắp) trên vận tốc đo được bởi ống pitot;
là tốc độ gió trung bình vị trí thiết bị đo gió;
là tốc độ gió trung bình tại vị trí tham chiếu;
n là số lượng mẫu trong khoảng thời gian lấy mẫu.
Hàm hiệu chỉnh
nên bằng 1 khi khu vực thử nghiệm không có thiết bị đo gió và ống đỡ. Ảnh hưởng của hàm hiệu chỉnh đối với kết quả hiệu chuẩn phải được đánh giá và được nêu trong báo cáo thiết lập cơ sở hiệu chuẩn và tính toán độ không đảm bảo.
8.5 Phân tích dữ liệu
Phân tích hồi quy tuyến tính phải được thực hiện trên dữ liệu hiệu chuẩn để ước tính các tham số hồi quy như sau: độ lệch, hệ số góc, hệ số hồi quy và độ không đảm bảo chuẩn. Giá trị tốc độ gió phải được phân tích hồi quy dựa trên đầu ra của thiết bị đo gió.
Nếu hệ số tương quan, r, đối với dữ liệu, là nhỏ hơn 0,999 95 thì cần phải kiểm tra xem nguyên nhân có phải do tính phi tuyến tính của thiết bị đo gió hay do lý do nào khác. Nếu do tính phi tuyến tính của thiết bị đo gió thì điều này phải được ghi vào giấy chứng nhận hiệu chuẩn.
8.6 Phân tích độ không đảm bảo
Điều quan trọng là phải xác định độ không đảm bảo của tốc độ gió phương ngang tác động lên thiết bị đo gió. Thực hiện phân tích độ không đảm bảo theo TCVN 9595-3:2013 (ISO/IEC Guide 98-3:2008), bao gồm cả độ không đảm bảo loại A và loại B. Mức độ không đảm bảo tổng thể phải được đánh giá theo phương pháp thống kê và cần phải xét đến:
a) độ không đảm bảo đo trong tốc độ luồng không khí (ống pitot, bộ biến đổi, đánh giá mật độ không khí, v.v...);
b) hệ số hiệu chuẩn đường hầm gió;
c) hệ số hiệu chỉnh trong đường hầm gió thông qua hàm hiệu chỉnh
được xác định theo công thức (22);
d) ảnh hưởng của kích thước mặt cắt ngang đường hầm gió;
e) độ chính xác của phép đo đầu ra thiết bị đo gió;
f) ảnh hưởng của việc căn chỉnh thiết bị đo gió không theo phương thẳng đứng đối với từng loại thiết bị đo gió trong việc đánh giá độ không đảm bảo;
g) độ không đảm bảo mang tính thống kê do sự phân tán ngắn hạn của đầu ra thiết bị đo gió (bao gồm sự thay đổi của tín hiệu đo được của thiết bị đo gió, tức là biến động vận tốc góc của rôto, sai số do quá trình tạo tín hiệu, sai số lấy mẫu, trên toàn bộ khoảng thời gian trung bình);
h) độ không đảm bảo do sai lệch giữa kết quả của đường hầm gió thực hiện hiệu chuẩn và kết quả trung bình của các đường hầm gió khác, được xác định thông qua thử nghiệm thành thạo, trong phạm vi chưa được đề cập bởi các thành phần không đảm bảo khác;
i) độ không đảm bảo do quá trình tuyến tính của biểu thức hiệu chuẩn.
8.7 Định dạng báo cáo
Tài liệu liên quan phải cung cấp thông tin về quy trình đã thực hiện và phòng thử nghiệm đã sử dụng để hiệu chuẩn thiết bị đo gió (báo cáo dựa trên thiết lập của phòng thử nghiệm) và dựa trên riêng từng hiệu chuẩn thiết bị đo gió. Báo cáo về thiết lập hiệu chuẩn của phòng thử nghiệm phải có tối thiểu thông tin dưới đây:
a) mô tả về đường hầm gió (bao gồm vùng thử nghiệm, buồng cài đặt, bộ làm thẳng luồng không khí, bố trí quạt);
b) sơ đồ đường hầm gió thể hiện vị trí của thiết bị đo gió và (các) ống pitot trong khu vực thử nghiệm;
c) phép đo chất lượng luồng không khí;
d) đánh giá ảnh hưởng của việc chặn;
e) ảnh hưởng của chiều cao lắp đặt của thiết bị đo gió;
f) ảnh hưởng của tấm đế;
g) ảnh hưởng của vị trí lắp đặt đến phép đo tham chiếu;
h) ảnh hưởng của hàm hiệu chỉnh;
i) phép đo luồng xoáy;
j) chứng nhận về thiết bị đo;
k) quy trình đo;
l) quy trình đánh giá dữ liệu;
m) bằng chứng về độ lặp lại của việc hiệu chuẩn thiết bị đo gió;
n) phân tích độ không đảm bảo;
o) các sai lệch so với các yêu cầu trên.
Báo cáo hiệu chuẩn của một thiết bị đo gió phải có tối thiểu thông tin sau:
1) chế tạo, kiểu và số seri của thiết bị đo gió cần thử nghiệm và số seri của cốc nếu được vận chuyển riêng;
2) yêu cầu kỹ thuật của hướng quay trong quá trình hiệu chuẩn (thiết bị nhạy với góc quay);
3) đường kính ống của hệ thống lắp đặt;
4) chế tạo, kiểu và số seri của bộ chuyển đổi bên ngoài;
5) tên và địa chỉ khách hàng;
6) các chữ ký của người thực hiện hiệu chuẩn, kiểm tra kết quả và phê duyệt giấy chứng nhận;
7) tên của đường hầm gió;
8) điều kiện môi trường trong quá trình hiệu chuẩn (nhiệt độ xung quanh, áp suất không khí và độ ẩm);
9) tham số hồi quy (độ lệch, độ dốc và hệ số hồi quy);
10) độ không đảm bảo do tuyến tính hóa (độ phân tán của các phần dư);
11) độ không đảm bảo do hàm hiệu chỉnh
;
12) trình bày dữ liệu dưới dạng bảng và đồ thị (sai lệch do đường hồi quy tuyến tính được khuếch đại) của tất cả các điểm hiệu chuẩn và kết quả hồi quy;
13) độ không đảm bảo tương ứng với từng điểm đo;
14) tham chiếu đến báo cáo thiết lập hiệu chuẩn tương ứng của phòng thử nghiệm;
15) ngày hiệu chuẩn;
16) ảnh chụp thiết bị đo gió và cách lắp đặt trong đường hầm gió.
8.8 Ví dụ về tính độ không đảm bảo
Do việc đo vận tốc luồng không khí tại vị trí của thiết bị đo gió trong thực tế là không thể và do cảm biến trong đường hầm gió trải nghiệm phạm vi luồng không khí nhỏ hơn đáng kể so với ngoài khí quyển tự do nên cần có các hiệu chỉnh. Việc tối ưu hóa đường hầm gió liên quan đến việc hiệu chỉnh cũng như xác định hệ số hiệu chỉnh là yếu tố quan trọng đối với việc tính toán độ không đảm bảo.
Tốt nhất là việc tính độ không đảm bảo nên được áp dụng độc lập với từng điều kiện hiệu chuẩn tốc độ gió được sử dụng trong một thử nghiệm hiệu chuẩn. Trong ví dụ này, lấy một điểm hiệu chuẩn mang tính lý thuyết là 10 m/s, sử dụng một đường hầm gió có vận tốc không khí danh định ở 25 m/s.
Bảng 5 đề cập đến từng nguồn không đảm bảo, trước tiên là các nguồn không đảm bảo loại B.
Để tránh việc lặp lại, nội dung đánh giá chi tiết về phép đo áp suất khí quyển đã được bỏ lại vì có thể được đề cập đến theo cách tương tự như phép đo nhiệt độ.
Bảng 5 - Ví dụ về đánh giá độ không đảm bảo hiệu chuẩn về thiết bị đo gió
| Nguồn sai số ui | Mô tả | Giá trị ui | Giá trị nhạy ci | uici m/s |
| uf, hệ số hiệu chỉnh đường hầm gió, f | Độ không đảm bảo trên hệ số hiệu chỉnh |
|
|
|
| ut, hệ số hiệu chỉnh đường hầm gió, kc | Hiệu chỉnh đường hầm gió có thể được thực hiện bằng cách sử dụng hai ống pitot, một ống đặt tại vị trí tham chiếu cố định còn một ống ở vị trí đặt thiết bị đo gió cần thử nghiệm. Bằng cách hoán đổi hai hệ thống ống pitot, tất cả các sai số loại B có thể bị bỏ qua và có thể áp dụng phân tích hồi quy tiêu chuẩn để tạo ra một hệ số hiệu chỉnh (điểm chặn bị ép đi qua gốc tọa độ) và độ không đảm bảo chuẩn loại A có liên quan. Giả định rằng hệ số hiệu chuẩn có giá trị là 1,02 và độ không đảm bảo chuẩn là 0,01. | 0,01 | Ct = 0,5 v/kc = 0,5 × 10/1,02 = 4,90 m/s | 0,049 |
| uB, hệ số hiệu chuẩn chặn, ks | Nếu một vật thể rắn được đặt trong luồng không khí của đường hầm gió thì luồng không khí sẽ bị ảnh hưởng tùy thuộc vào mối liên quan giữa kích thước vật thể và diện tích đường hầm gió. Tùy thuộc vào kích thước không gian của mẫu, vận tốc luồng không khí có thể tăng lên trong một khu vực đo khép kín do nguyên lý bảo toàn. Trong một khu vực đo mở, luồng không khí sẽ được mở rộng, tương ứng với việc giảm tốc độ luồng không khí. Giả định rằng ảnh hưởng của chặn không khí là đã biết, giá trị độ không đảm bảo phù hợp là 0,1 %. Báo cáo về thiết lập hiệu chuẩn của phòng thử nghiệm phải nêu các tính toán được áp dụng và giá trị ước tính của hệ số hiệu chuẩn và độ không đảm bảo liên quan. | 0,01 | Cf = v/kb = 10 m/s/1,001 ≈ 10 m/s | 0,01 |
| uki, hệ số hiệu chỉnh vị trí, ki | Một thiết bị đo gió cần một khoảng không gian trống nhất định (tùy thuộc vào kích thước của ống lắp đặt và thiết bị đo gió) ở phía trên và phía dưới để trải nghiệm các điều kiện luồng không khí tương tự như trong khí quyển tự do. Do đó, tâm của khu vực đo không nhất thiết phải là vị trí tốt nhất dành cho mẫu thử. Nếu đường hầm gió có kích thước nhỏ và do đó ống lắp đặt quá ngắn thì có thể xảy ra sai số lên đến 2 %. Chỉ khi ống lắp đặt đạt đến một chiều dài nhất định thì ảnh hưởng này mới bắt đầu giảm xuống. Chiều dài không gian này lên đến xấp xỉ 50 cm phía trên tấm đế. Giả định rằng ảnh hưởng về vị trí là đã biết, giá trị độ không đảm bảo phù hợp là 0,1 %. | 0,001 | Cp = v/kp = 10 m/s/1,001 ≈ 10 m/s | 0,01 |
| up, hệ số hiệu chỉnh vị trí, kp | Luồng không khí xung quan thiết bị đo gió gây ra một số ảnh hưởng lên luồng không khí xung quanh ống pitot hiệu chuẩn. Giả định rằng tác động của ảnh hưởng là đã biết, giá trị độ không đảm bảo của tác động này phù hợp là 0,1 % | 0,001 |
|
|
| uFD, hệ số hiệu chỉnh luồng không khí kFD | Hầu hết, các thiết bị đo gió được lắp trên cột đo có chiều dài đáng kể - một tình trạng mà không thể tái tạo được trong đường hầm gió. Nếu một thiết bị đo gió được lắp trên một đoạn ống và nếu đoạn ống này được lắp trong đường hầm gió có khu vực đo mở thì luồng gió có thể thoát xuống dưới. Điều này có nghĩa là có tổn hao động lực đối với thiết bị đo gió và do đó có sai số hệ thống. Bằng cách lắp đặt một tấm đế, tổn hao này có thể bị giảm đáng kể. Giả định rằng tấm đễ đã được lắp đặt, giá trị độ không đảm bảo chuẩn phù hợp là 0,1 %; nếu không, ảnh hưởng này phải được kiểm tra. | 0,001 | CFD = v/kFD = 10 m/s/1,001 ≈ 10 m/s | 0,01 |
| up,t bộ chuyển đổi áp suất, Kp,t | Chứng nhận hiệu chuẩn đối với bộ chuyển đổi áp suất thể hiện độ không đảm bảo lớn nhất claf 0,5 Pa trong phạm vi từ 0 đến 500 Pa | 0,5 Pa | Cp,t - 0,5 v/Kp,t = 0,5 × 10/5000 = 0,001 | 0,000 5 |
| up,s, hệ số khuếch đại trong điều chỉnh tín hiệu của bộ chuyển đổi áp suất, Kp,s và up,d hệ số chuyển đổi lấy mẫu dữ liệu của bộ chuyển đổi áp suất, Kp,d | Việc hiệu chuẩn thiết bị được dùng để đo đầu ra của bộ chuyển đổi áp suất, biểu diễn độ không đảm bảo lớn nhất là 0,000 15 V trong phạm vi từ 0 đến 10 V | 0,000 15 V | Cp,s = 0,5 v/Kp,s = 0,5 × 10/0,01 = 500 | 0,010 |
| uT,t bộ chuyển đổi nhiệt độ môi trường, KT,t, uT,s hệ số khuếch đại trong điều chỉnh tín hiệu nhiệt độ, KT,s và uT,d hệ số chuyển đổi dạng tương tự tín hiệu nhiệt độ, KT,d | Việc hiệu chuẩn thiết bị được dùng để đo nhiệt độ cho thấy độ không đảm bảo lớn nhất là 0,1 °C trong phạm vi từ 10 °C đến 30 °C. | 0,1 °C | CT,t = 0,5 v/KT,t
không áp dụng
không áp dụng | 0,001 |
| uh hệ số đầu của ống pitot, Ch | Hệ số đầu của ống pitot tùy thuộc vào góc phản gió. Hai nguồn lỗi có thể có, một là có liên quan đến độ chính xác mà ống pitot được căn chỉnh theo hướng luồng không khí trung bình và một là do sự thay đổi của luồng xoáy trong hướng luồng không khí tức thời. Giả định rằng hệ số đầu danh nghĩa, Ch, là 0,997 và cũng giả định rằng nó có thể suy ra được độ lệch chuẩn trên góc phản gió là 2°. Theo các tiêu chuẩn liên quan, điều này dẫn đến sự thay đổi 0,1 % trong hệ số đầu. | 0,000 997 | Ch = -0,5 v/Ch = -0,5 × 10/0,997 = -5,015 | 0,005 |
| upcal hiệu chuẩn ống pitot | Từ chứng nhận hiệu chuẩn của ống pitot, có thể sử dụng độ không đảm bảo là 0,25 % trong phạm vi từ 4 m/s đến 16 m/s | 0,002 5 | Cph = -0,5 v/Ch = -0,5 × 10/0,997 = -5,015 |
|
| uB,t độ nhạy của máy đo khí quyển, KB,t, uB,s hệ số khuếch đại điều chỉnh tín hiệu, KB,s và uB,d hệ số chuyển đổi dạng tương tự của tín hiệu máy đo khí quyển KB,d | Hiệu chuẩn máy đo khí quyển cho thấy độ không đảm bảo lớn nhất là 0,5 hPa trong phạm vi từ 900 hPa đến 1 100 hPa. | 0,5 hPa | CB,t = -0,5 V/kB,t |
|
| SA độ không đảm bảo mang tính thống kê ở giá trị trung bình của tốc độ gió trong một cuỗi thời gian | Giả định rằng cường độ luồng xoáy là 2 % và sử dụng tần suất lấy mẫu 2 Hz trong 30 s để lấy 60 mẫu. Độ không đảm bảo chuẩn trong giá trị trung bình là 10 m/s thì được tính bằng | 0,026 | 1 | 0,026 |
| uP, hệ số hiệu chỉnh độ ẩm theo mật độ, kp hoặc uΦ, độ ẩm tương đối, Φ | Việc hiệu chuẩn của thiết bị đo độ ẩm tương đối cho thấy độ không đảm bảo nhỏ hơn 2 % trong phạm vi từ 10 % đến 95 %. Giá trị 2 % được chọn để tính toán.
Tại 15 °C, Pw = 1 700 Pa và giả định B = 1 013 mbar = 101 300 Pa, kp được đánh giá là bằng 0,997 và cΦ (tại 10 m/s) là 0,032. | uΦ = 0,02 % RH | Cp = 0,032 | 0,001 |
Độ không đảm bảo chuẩn tổng hợp có thể được tính bằng cách lấy căn bậc hai trung bình của các độ không đảm bảo thành phần trong cột bên tay phải. Đối với các giá trị đã được xử lý, con số này lên đến 0,06 m/s.
Ví dụ cho thấy rằng độ không đảm bảo loại B có khả năng chiếm ưu thế. Việc kéo dài thời gian hiệu chuẩn có thể giúp giảm độ không đảm bảo loại B nhưng sẽ không ảnh hưởng đến loại B. Ngoài ra, các nguồn độ không đảm bảo loại B, mặc dù không tương quan với nhau trong một tốc độ gió cụ thể nhưng lại hoàn toàn tự tương quan giữa các tốc độ gió, điều này có nghĩa là có thể thu được các giá trị hiệu chuẩn tương đối chính xác (các đường thẳng tốt), trong khi vẫn còn độ không đảm bảo đáng kể.
9 So sánh các thiết bị đo gió tại hiện trường
9.1 Quy định chung
Trong trường hợp, cần phải chứng minh rằng thiết bị đo gió không làm thay đổi hiệu chuẩn của nó trong quá trình đo thì có thể áp dụng hai phương pháp. Thiết bị đo gió có thể được hiệu chuẩn trong một đường hầm gió sau khi kết thúc thời gian đo để xem có sai lệch so với hiệu chuẩn trước đó. Ngoài ra (hoặc hơn nữa) có thể tiến hành việc so sánh tại hiện trường bằng cách thực hiện so sánh thiết bị đo gió chính với một thiết bị đo gió kiểm soát được lắp đặt gần thiết bị đo gió chính trong suốt thời gian đo. Phương pháp này không nhận biết được sự suy giảm dần dần của hiệu chuẩn thiết bị đo gió nếu thiết bị đo gió kiểm soát suy giảm ở một mức tương tự. Việc so sánh tại hiện trường cần được lặp lại định kỳ để phát hiện sớm các vấn để.
9.2 Điều kiện quan trọng
Trong suốt thời gian đo, hai thiết bị đo gió được lắp đặt trên cột khí tượng theo Điều 10. Thiết bị đo gió chính là thiết bị được sử dụng cho phép đo quan tâm. Thiết bị đo gió còn lại là thiết bị đo gió kiểm soát và được sử dụng cho việc so sánh tại hiện tường. Các thiết bị đo gió được lắp đặt theo ba kiểu khác nhau:
a) kiểu 1: lắp ở đỉnh cột theo 10.2;
b) kiểu 2: lắp ở đỉnh cột khác theo 10.3;
c) kiểu 3: cả hai thiết bị đo gió được lắp ở cạnh bên của cột theo 10.4.
9.3 Phương pháp phân tích
Hai dữ liệu có thể được so sánh bằng cách sử dụng các giá trị trung bình 10 min được ghi lại trong suốt thời gian đo. Dữ liệu đầu tiên gồm dữ liệu ngay sau khi lắp đặt các thiết bị đo gió. Dữ liệu thứ hai gồm dữ liệu ở phần cuối của thời gian đo. Từng dữ liệu phải đáp ứng các yêu cầu sau:
a) Bao trùm phạm vi tốc độ gió từ 4 m/s đến 12 m/s.
b) Hướng gió phải nằm trong vùng đo hợp lệ.
c) Mỗi bin tốc độ gió phải có tối thiểu ba điểm dữ liệu. Có thể có hai lựa chọn bin dữ liệu như sau:
1) Lựa chọn bin 1: các bin tốc độ gió có chiều rộng 1 m/s, tâm các khoảng giá trị là 1 m/s, dựa trên tốc độ gió của thiết bị đo gió kiểm soát từ một pin hướng gió không lớn hơn +15°.
2) Lựa chọn bin 2: các bin tốc độ gió có chiều rộng 4 m/s, tâm các khoảng giá trị là 2 m/s, 6m/s, 10 m/s và 14 m/s dựa trên tốc độ của thiết bị đo gió kiểm soát và các bin hướng gió là 10°.
Khoảng tốc độ gió từ 0 m/s đến 16 m/s này chỉ áp dụng cho bước phân tích sơ bộ còn phân tích cuối cùng phải dựa trên dải tốc độ từ 4 m/s đến 12 m/s.
d) bao gồm phần hướng gió mà cột khí tượng không bị ảnh hưởng bởi các luồng rẽ khí của các tuabin gió bất kỳ và thiết bị đo gió không bị ảnh hưởng bởi các luồng rẽ khí của cột khí tượng, như sau:
1) Trong trường hợp lắp đặt thiết bị đo gió cạnh nhau (kiểu 2) và chỉ sử dụng bin tốc độ gió cho một phần hướng gió (lựa chọn 1) thì phần hướng gió phải bao gồm hướng gió ở 90 o so với hướng cần và ở hướng gió được chấp nhận.
2) Trong trường hợp của thiết bị đo gió lắp ở đỉnh (kiểu 1), (các) bin hướng gió phải nằm ngoài luồng rẽ khí của cột khí tượng. Do đó, các đường kết nối nằm ngang (xem Hình 8 và Hình 9) giữa tâm của thiết bị đo gió kiểm soát với phần bất kỳ của cột khí tượng phải có khoảng cách góc tối thiểu là 45° so với biên của (các) bin.
e) Thời gian đo tối đa phải là tám tuần.
(Các) bin hướng gió được sử dụng cho việc phân tích phải được nêu rõ trong báo cáo.
Nếu áp dụng các bin tốc độ gió 1 m/s và một bin hướng gió 30° (lựa chọn 1) thì hồi quy tuyến tính được thực hiện trên máy đo chính là biến số lệ thuộc và thiết bị đo gió kiểm soát là biến số độc lập. Phép hồi quy này được sử dụng để tính tốc độ gió ước lượng của thiết bị đo gió chính, gọi là Vprimary_est.
| Vprimary_est = m . Vcontrol + b | (23) |
Trong đó
m là độ dốc của hồi quy liên kết giữa Vcontrol với Vprimary_est;
b là offset của hồi quy liên kết giữa Vcontrol với Vprimary_est;
Vcontrol là tốc độ gió của thiết bị đo gió điều khiển.
Mục đích là nhằm quan sát sự thay đổi theo thời gian về cách hoạt động của thiết bị đo gió, chứ không thuần tuý là hiệu chuẩn.
Nếu áp dụng các bin tốc độ gió có độ rộng 4 m/s và bin hướng gió 10° (lựa chọn bin 2) thì có thể sử dụng phép nội suy tuyến tính từng phần giữa các bin tốc độ gió theo ừng pin hướng gió từ dữ liệu đầu tiên để ước tính tốc độ gió của thiết bị đo gió chính dựa trên Công thức (24):
|
| (24) |
Trong trường hợp này, chỉ dữ liệu của thiết bị đo gió kiểm soát thuộc các bin tốc độ gió đã có trong cơ sở dữ liệu đầu tiên trong từng bin hướng gió mới được sử dụng để đánh giá so sánh tại hiện trường theo cơ sở dữ liệu thứ hai. Công thức (24) có thể được sử dụng để ngoại suy dữ liệu đến ranh giới/biên của các bin tốc độ gió đã có. Nếu trong một bin hướng gió chỉ có một bin tốc độ gió thì tỷ lệ giữa giá trị trung bình các bin tốc độ gió đo được bởi thiết bị đo gió chính và thiết bị đo gió kiểm soát, phải được sử dụng như hệ số hiệu chính cho phép đo của thiết bị đo gió kiểm soát.
9.4 Tiêu chí đánh giá
Áp dụng hồi quy hoặc nội suy tuyến tính từng đoạn từ cơ sở dữ liệu đầu tiên vào các phép đo thiết bị đo gió kiểm soát của cơ sở dữ liệu thứ hai để thu được tốc độ gió ước tính của thiết bị đo gió chính trong từng khoảng thời gian 10 min.
Tính trung bình các sai khác (độ lệch có hệ thống) giữa tốc độ gió đo được và tốc độ gió ước tính của thiết bị đo gió chính trong bin tốc độ gió rộng 1 m/s, lấy tâm xung quanh các giá trị 1 m/s. Độ lệch có hệ thống là:
|
| (25) |
Tính độ không đảm bảo chuẩn của các sai khác về tốc độ gió (độ lệch mang tính thống kê) giữa tốc độ gió ước tính với tốc độ gió đo được của thiết bị đo gió chính đối với từng bin tốc độ gió. Độ không đảm bảo chuẩn của các sai khác tốc độ gió là độ lệch chuẩn của các sai khác tốc độ gió chia cho căn bậc hai của số lượng điểm dữ liệu đo được. Độ không đảm bảo chuẩn bằng:
|
| (26) |
Nếu căn bậc hai của tổng bình phương trung bình độ sai khác (độ lệch có hệ thống) và độ không đảm bảo chuẩn của các sai khác tốc độ gió (độ lệch mang tính thống kê) không được vượt quá 0,1 m/s trong bất kỳ bin nào trong khoảng từ 4 m/s đến 12 m/s, thì thử nghiệm tại hiện trường được xem là đạt.
|
| (27) |
Nếu giá trị δ lớn hơn 0,1 m/s trong ít nhất một bin và không lớn hơn 0,2 m/s trong tất cả các bin từ 4 m/s đến 12 m/s, thì độ không đảm bảo hiệu chuẩn thiết bị đo gió uV1,i tối thiểu phải được tăng đến giá trị tối đa của δ trong phạm vi tốc độ gió từ 4 m/s đến 12 m/s. Nếu giá trị δ lớn hơn 0,2 m/s ở bin bất kỳ từ 4 m/s đến 12 m/s thì thử nghiệm tại hiện trường cần được chuyển sang khoảng thời gian sớm hơn cho đến khi δ không còn vượt quá 0,2 m/s. Dữ liệu đợt đo sau khoảng thời gian này phải bị loại và độ không đảm bảo hiệu chuẩn thiết bị đo gió uV1,i của dữ liệu đợt đo còn lại phải được xử lý như khi không có dữ liệu nào bị loại bỏ.
CHÚ THÍCH: Thử nghiệm tại hiện trường có thể được lặp lại thường xuyên trong suốt đợt đo để hỗ trợ việc xác định sự suy giảm không liên tục của thiết bị đo gió.

Hình 8 - Ví dụ về khu vực hướng hợp lệ của thiết bị đo gió kiểm soát đối với một thiết bị đo gió lắp ở đỉnh cột khí tượng dạng lưới tam giác

Hình 9 - Ví dụ về khu vực hướng hợp lệ của thiết bị đo gió kiểm soát đối với một thiết bị đo gió lắp ở đỉnh cột khí tượng dạng ống
10 Lắp đặt các thiết bị trên cột khí tượng
10.1 Yêu cầu chung
Việc bố trí các thiết bị phù hợp lên cột khí tượng là rất quan trọng nhằm đảm bảo độ chính xác của phép đo gió (trong trường hợp thiết bị được lắp trên vỏ tua bin gió thay vì lắp trên cột khí tượng, tham khảo hướng dẫn trong Phụ lục C). Bố trí thiết bị đo gió trên cột khí tượng phải bao gồm ít nhất một thiết bị đo gió lắp ở đỉnh và một thiết bị đo gió kiểm soát. Mục đích của thiết bị đo gió kiểm soát là nhằm đưa ra phương pháp kiểm tra tính nhất quán tại hiện trường của thiết bị đo gió chính như mô tả trong Điều 9. Trước khi sử dụng một thiết bị đo gió đã được phân cấp theo các yêu cầu của mục đích sử dụng (ví dụ như trong phép đo đặc tính công suất), khuyến nghị là cần kiểm tra hình dạng hình học của thiết bị đo gió với mô tả hình học tương ứng với loại thiết bị đo gió đã được phân cấp. Cụ thể, thiết bị đo gió phải được bố trí sao cho giảm thiểu sai lệch luồng không khí, đặc biệt là từ các ảnh hưởng của cột và cần. Khi cần giảm thiểu sai lệch luồng không khí trên dải hướng gió rộng thì điều này có thể đạt được bằng cách sử dụng một thiết bị đo gió lắp ở đỉnh. Tuy nhiên, việc bố trí hai thiết bị đo gió lắp ở đỉnh cạnh nhau sẽ tạo ra phương pháp kiểm tra tính nhất quán của thiết bị đo gió có tính dự phòng và tốt hơn, với mức sai lệch luồng không khí được tăng lên không đáng kể nếu đảm bảo đủ khoảng cách theo chiều ngang giữa hai thiết bị đo gió và kết cấu lắp đặt ổn định. Khi thiết bị đo gió được lắp lên các cần bên tại các độ cao thấp hơn đỉnh của cột khí tượng, sai lệch luồng không khí từ cả cột khí tượng và cần là đáng kể và phải được tính đến. Bất kể kiểu bố trí lắp đặt nào, kết cấu của cần phải đủ ổn định để tranh các rung lắc đáng kể. Ngoài các thiết bị khác trên cột khí tượng cần được lắp sát với chiều cao lắp của thiết bị đo gió chính (thiết bị đo gió kiểm soát, chong chóng gió, cảm biến nhiệt độ và áp suất) nên được bố trí sao cho tránh gây nhiễu lên thiết bị đo gió chính.
10.2 Thiết bị đo gió lắp ở đỉnh
Để giảm thiểu sai lệch luồng không khí trong phép đo tốc độ gió trên một dải hướng gió rộng, cấu hình lý tưởng là chỉ một thiết bị đo gió được lắp ở đỉnh. Nếu cấu hình này được chấp nhận thì phải đáp ứng tất cả các yêu cầu của 10.21. Tuy nhiên, cần xem xét cẩn thận xem cấu hình này có thể đảm bảo đủ độ tin cậy khi kiểm tra tính nhất quán của thiết bị đo gió thông qua một thiết bị đo gió ở độ cao thấp hơn. Điều này đặc biệt quan trọng khi cột khí tượng có diện tích mặt cắt ngang lớn và do thiết bị đo gió ở độ cao thấp hơn có thể chịu được các ảnh hưởng đáng kể từ các nhiễu của cột khí tượng hơn so với các thiết bị đo gió lắp ở đỉnh hoặc trong các trường hợp có sự thay đổi lớn về trượt gió.
Thiết bị đo gió phải được đỡ sao cho các cốc của thiết bị đo gió cần hơn ít nhất 1,5 m so với cột khí tượng và các nguồn gây nhiễu luồng không khí bất kỳ khác và sao cho không có bộ phận nào của kết cấu đỡ hoặc cột khí tượng nhô ra ngoài nửa hình nón 11:1 có đỉnh trùng với các cốc của thiết bị đo gió.
CHÚ THÍCH 1: Trong trường hợp thiết bị đo gió là loại thiết bị đo gió được cho phép khác với thiết bị đo gió dạng cốc (ví dụ thiết bị đo gió âm thanh) thì các “cốc” có nghĩa là “các phần từ đo của cảm biến” trong Điều 10.
CHÚ THÍCH 2: Hình nón được xác định dựa trên đường kính đáy nón bằng với chiều rộng đặc trưng (chiều rộng tối đa của cột khí tượng hoặc phần nhô ra trong khoảng cách 4 m bên dưới các cốc) của cột khí tượng và chiều cao của nón bằng 11 lần bán kính của đáy nón.
Thiết bị đo gió phải được lắp lên một ống đứng tròn có đường kính ngoài (±1,5 mm) tương đương với ống đã đã được sử dụng trong hiệu chuẩn (và phân cấp) nhưng không được có đường kính lớn hơn thân của thiết bị đo gió. Tổng chiều dài của ống và thiết bị đo gió (được đo đến cốc đo gió) phải tối thiểu là 0,75 m. Ngoài ra, thiết bị đo gió phải vững chắc, cần thiết thì có thể lắp thêm một ống đứng đồng tâm có đường kính lớn hơn để tạo ra kết cấu ổn định. Ống bổ sung này không được lớn hơn đường kính của thân thiết bị đo gió trong phạm vi 1,5 m bên dưới cốc đo gió. Giá đỡ nối thiết bị đo gió với ống đứng phải rắn chắc, nhẵn và cân đối. Nếu thiết bị đo gió được thiết kế để đi cáp bên trong ống đỡ thì cáp phải đi bên trong ống đứng. Đối với các cấu hình khác (ví dụ như kiểu đuôi lợn) cáp cần được quấn xoắn ốc xung quanh ống đứng (khoảng ba vòng mỗi mét hoặc theo cách tương tự như đã sử dụng trong hiệu chuẩn và phân cấp). Thiết bị đo gió cần được hiệu chuẩn cùng với phụ kiện và cấu hình đi dây cáp tương tự như khi được sử dụng tại hiện trường. Độ nghiêng của thiết bị đo gió (và ống lắp) so với phương thẳng đứng phải nhỏ hơn 2°. Khuyến nghị nên kiểm tra xác nhận điều này bằng phép đo. Không có thiết bị đo nào khác được đặt gần các cốc của thiết bị đo gió ở phạm vi dưới 1,5 m hoặc nằm ngoài phạm vi nửa nón 11:1 ở một khoảng ít nhất 4 m bên dưới các cốc đo gió. Trong trường hợp này, thiết bị đo gió kiểm soát dùng cho thiết bị đo gió lắp ở đỉnh phải là thiết bị đo gió lắp cạnh bên được bố trí bên dưới các cốc đo gió tối thiểu 4 m hoặc không quá 6 m và phải tuân thủ các yêu cầu đối với thiết bị đo gió cạnh bên theo 10.4. Hình 10 biểu diễn một ví dụ về cấu hình lắp đặt thiết bị đo gió lắp ở đỉnh.
Kích thước tính bằng mét

Hình 10 - Ví dụ về thiết bị đo gió lắp ở đỉnh và các yêu cầu về lắp đặt
10.3 Các thiết bị đo gió lắp ở đỉnh cạnh nhau
Trong các cấu hình bố trí cạnh nhau, tất cả các điều kiện lắp đặt trong 10.2 phải được đáp ứng, cùng với các yêu cầu bổ sung được quy định trong điều này. Các thiết bị đo gió dạng cốc phải được lắp phía trên cần lắp đặt ở khoảng cách tối thiểu là 20 lần đường kính của cần lắp đặt, nhưng khuyến nghị nên lắp cao đến khoảng cách 25 lần đường kính của cần lắp đặt. Cần lắp đặt gồm cả phần nằm ngang và các đoạn thân thẳng đứng, phải có tiết diện tròn. Các thiết bị đo gió phải cách nhau tối thiểu 2,5 m và tối đa không quá 4 m. Không có bộ phận nào của cột khí tượng vượt quá một nửa hình nón có tỷ lệ 11:1, với đỉnh của hình nón trùng với điểm nằm giữa các cốc của hai thiết bị đo gió lắp ở đỉnh (đỉnh cần của nó không thuộc phạm vi của yêu cầu này với điều kiện là nó đáp ứng tiêu chí về kích thước đã đề cập ở trên). Không được đặt bất kỳ thiết bị đo nào khác gần với các cốc đo gió quá 1,5 m hoặc nằm ra ngoài một nửa hình nón có tỷ lệ 11:1 trong phạm vi tối thiểu 4 m phía dưới cốc đo gió. Hình 11 minh họa ví dụ về cấu hình cạnh nhau, cần lắp đặt nên được lắp đồng tâm với trục của cột khí tượng hoặc được đặt ở giữa trên phía ngược gió của cột khí tượng.
CHÚ THÍCH: “Ngược gió” phụ thuộc vào từng trường hợp sử dụng. Ví dụ, trong trường hợp của phép đo đặc tính công suất, khi chỉ liên quan đến đến phần hướng gió tương đối hẹp thì “ngược gió” là hướng đặt thiết bị sao cho thiết bị nằm ở phía ngược gió của cột khí tượng so với tuabin. Tuy nhiên, trong phép đo đánh giá về nguồn gió, “ngược gió” có thể được hiểu là phía của cột khí tượng hướng về khu vực có hướng gió dự kiến là chiếm ưu thế.
Ảnh hưởng của một thiết bị đo gió lên một thiết bị đo gió khác phải được đánh giá và khu vực đo cần lắp đặt được giới hạn để đảm bảo độ không đảm bảo tổng thể của phép đo tốc độ gió nằm trong các giới hạn mong muốn. Phải xác định độ không đảm bảo do sai lệch luồng không khí từ các thiết bị khác, cột khí tượng và các cần lắp đặt.
Kích thước tính bằng mét

Hình 11 - Ví dụ về các thiết bị đo gió chính lắp ở đỉnh khác và thiết bị đo gió kiểm soát được bố trí cạnh nhau và chóng chóng gió và các thiết bị đo gió khác nằm trên cần
10.4 Thiết bị đo lắp cạnh bên
10.4.1 Yêu cầu chung
Thiết bị lắp cạnh bên như thiết bị đo gió và các cảm biến hướng gió bị ảnh hưởng bởi sai lệch luồng không khí do cột khí tượng, cần và các dây chằng kết nối. Ảnh hưởng của một cần ống tròn lên thiết bị đo là 0,5 % khi thiết bị được đặt ở một khoảng phân cách là 20 lần đường kính cần tính từ phía trên cần. Sai lệch luồng không khí tại vị trí cốc đo gió do các cần đỡ gây ra nên được giữ ở thấp hơn 0,5 %. Thiết bị đo gió phải được lắp trên một ống tròn thẳng đứng có đường kính ngoài giống với đường kính được sử dụng trong quá trình hiệu chuẩn (và phân cấp) (sai số ± 0,1 mm), nhưng không lớn hơn đường kính của thân thiết bị đo gió. Cảm biến hướng gió nên được lắp cách xa cột khí tượng ít nhất một nửa khoảng cách được khuyến nghị dành cho các thiết bị đo gió. Khoảng phân cách thẳng đứng giữa các thiết bị lắp cạnh bên với cần phía trên phải tối thiểu là 20 lần đường kính cần. Áp dụng yêu cầu về khoảng phân cách này khi một thiết bị đo gió lắp cạnh bên được sử dụng làm thiết bị đo gió kiểm soát dành cho thiết bị đo gió lắp cạnh bên kia ở độ cao khác nhau cũng như trong trường hợp các thiết bị đo gió lắp cạnh bên ở độ cao khác nhau được dùng cho phép đo trượt gió. Trong trường hợp thiết bị đo gió lắp cạnh bên được sử dụng như một thiết bị đo gió kiểm soát cho thiết bị đo gió lắp cạnh bên kia thì khoảng phân cách thẳng đứng giữa chúng phải nằm trong khoảng từ 4 m đến 6 m, với điều kiện cả hai cần bên nằm cùng một phía của cột khí tượng và hướng cùng một hướng. Ngoài ra, cần bên của thiết bị đo gió kiểm soát có thể được lắp ở cùng độ cao với thiết bị đo gió lắp cạnh bên kia nhưng phải quay theo hướng khác sao cho đáp ứng các yêu cầu về sai lệch luồng không khí tại cả hai vị trí của thiết bị đo gió trong khu vực đo.
Thiết bị đo gió làm việc theo luồng rẽ khí của cột khí tượng bị nhiễu nghiêm trọng, tùy thuộc vào mục đích sử dụng của phép đo gió, có thể không được phép sử dụng các phép đo bị ảnh hưởng bởi luồng rẽ khí (ví dụ như trong thử nghiệm đặc tính công suất). Nếu sử dụng các phép đo này thì cần đánh giá ảnh hưởng của chúng lên độ không đảm bảo trong toàn bộ phép đo tốc độ gió. Sai lệch luồng không khí ở phía trước cột khí tượng cũng có thể đáng kể. Phải có phân cách đủ giữa thiết bị đo gió và cột khí tượng để đảm bảo sai lệch luồng không khí do cột khí tượng thấp hơn 1 %. Hướng dẫn về khoảng cách thích hợp giữa thiết bị đo gió và cột khí tượng được cho trong 10.4.2 và 10.4.3.
Các luồng rẽ khí từ các dây chằng của cột khí tượng có thể ảnh hưởng nghiêm trọng lên các thiết bị đo gió ở khoảng cách đáng kinh ngạc, cần phải tránh đặt các thiết bị đo gió ở phía dưới các dây chằng trong các khu vực có hướng gió quan trọng.
Mức nhiễu và độ không đảm bảo có thể chấp nhận được phần lớp phụ thuộc vào quyết định của người sử dụng, tuy nhiên thực hành tốt được khuyến nghị là tránh các sai lệch luồng không khí do cột khí tượng và cần gây ra vượt quá lần lượt 1 % và 0,5 %.
Cho phép có sự hiệu chỉnh các thiết bị đo gió lắp cạnh bên đối với sai lệch luồng không khí do cột khí tượng và được mô tả chi tiết trong 10.4.4 và Phụ lục B.
Cột khí tượng có thể có kết cấu hình trụ hoặc dạng lưới. Khoảng phân cách yêu cầu giữa thiết bị đo gió và cột khí tượng phụ thuộc vào loại cột khí tượng và độ rắn chắc của kết cấu.
10.4.2 Cột khí tượng hình trụ
Một ước tính về sự nhiễu luồng gió xung quanh cột khí tượng hình trụ có thể được xác định Hình 12, cho thấy biểu đồ iso-speed của luồng không khí xung quanh một cột khí tượng hình trụ dựa theo phân tích Navier-Stoke. Có thể thấy rằng nhiễu tối thiểu có thể xảy ra cột khí tượng quay mặt về hướng luồng không khí ở góc 45°. Nhìn chung, có thể quan sát thấy hiện tượng giảm tốc ở hướng gió đến của cột khí tượng, tăng tốc khi gần nó và luồng rẽ khí phía sau nó. Do độ phức tạp của luồng không khí trong vùng bị ảnh hưởng bởi luồng rẽ khí phía sau cột khí tượng, Hình 12 chỉ chính xác đối với khu vực hướng gió đến, nơi có mức nhiễu thấp nhất, như được biểu diễn bằng vùng tô màu xanh lục.

............... đường phân chia vùng màu
CHÚ THÍCH: Tốc độ luồng không khí được chuẩn hóa theo tốc độ gió trong trường tự do (từ bên trái); phân tích được thực hiện bằng tính toán hai chiều Navier-Stokes mà trong đó vùng tô màu xanh lục nằm bên trái được coi là chính xác còn vùng tô màu đỏ ở bên phải được coi là không chính các do sai số trong việc mô phỏng luồng không khí trong và phía sau cùng phân cách.
Hình 12 - Biểu đồ iso-speed của tốc độ gió cục bộ xung quanh cột khí tượng hình trụ
Từ Hình 12 có thể thấy rõ ràng thiết bị đo gió được lắp trong khu vực ± 45° so với hướng gió ở phía gió đến của cột khí tượng, sai lệch lớn nhất của tốc độ gió so với luồng không khí tự do xảy ra khi thiết bị đo gió nằm trực tiếp ở phía gió đến của cột khí tượng. Hình 13 biểu diễn tốc độ gió tương đối dưới dạng hàm của khoảng cách phía trước cột khí tượng.
CHÚ THÍCH: Sai lệch tốc độ gió có thể lớn hơn nhiều do với các giá trị được thể hiện trên Hình 13 nếu gió tiếp cận từ các góc lớn hơn 45° so với đường thẳng hàng giữa thiết bị đo gió và cột khí tượng.

Khoảng cách đến tâm được phân chia bằng đường kính của cột khí tượng Rd/d
Hình 13 - Tốc độ gió tương đối tại đường chính giữa như hàm số của khoảng cách Rd từ tâm của cột khí tượng hình trụ và đường kính của cột khí tượng d
Tốc độ gió tương đối 99,5 % được xem là xảy ra tại Rd/d bằng 8,2. Giá trị tương đường đối với tốc độ giá tương đối 99 % là 6,1.
10.4.3 Cột khí tượng dạng lưới
Phân tích về luồng không khí xung quanh kết cấu dạng lưới có thể dựa trên sự kết hợp giữa lý thuyết và phân tích về Navier-Stokers và đĩa dẫn động. Mức nhiễu của luồng không khí do cột khí tượng gây ra phụ thuộc vào độ vững chắc của cột khí tượng, lực cản của các thành phần kết cấu, hướng gió và khoảng cách từ điểm đo đến cột khí tượng. Hình 14 biểu diễn các kích thước cần quan tâm trên hình chiếu bằng của cột khí tượng dạng lưới tam giác.

CHÚ THÍCH: Hình vẽ thể hiện sự suy giảm tốc độ gió trên trục trung tâm và mô tả đĩa dẫn động của cột khí tượng, với khoảng cách giữa các chân cột Lm và khoảng cách Rd từ tâm của cột khí tượng đến điểm quan sát.
Hình 14 - Biểu diễn về cột khí tượng dạng lưới ba chân
Sự sai lệch luồng không khí là một hàm của hệ số lực đẩy giả định, CT, vốn phụ thuộc vào độ vững chắc của cột khí tượng và lực cản của từng thành phần kết cấu. CT có thể được xem là tổng lực cản trên mỗi đơn vị chiều cao của cột khí tượng, chia cho áp suất động và khoảng cách giữa các chân cột Lm.
Khoảng cách giữa các chân cột phải đại diện cho chiều rộng của mặt cột. Đối với các chân cột có đường kính đáng kể (đường kính chân cột lớn hơn 5 % chiều rộng mặt cột), cần cộng thêm một đường kính chân cột vào khoảng cách nằm giữa tâm các chân để xác định khoảng cách các chân cột.
Hình 15 biểu diễn luồng không khí được tính toán xung quanh một cột khí tượng dạng lưới có CT bằng 0,5. Ở khoảng cách điển hình của thiết bị đo gió, Rd > 2 × Lm, nhiễu luồng không khí này ít bị ảnh hưởng bởi hưởng của cột khí tượng (mặc dù mặt hoặc góc của cột được hưởng về phía gió) và do đó có thể giả định rằng ảnh hưởng này là tương đương. Tuy nhiên, Hình 15 chỉ chính xác đối với vùng hướng gió đến có mức nhiễu thấp nhất, như được chỉ ra trên vùng tô màu xanh lục.

.............. đường phân chia vùng màu
CHÚ THÍCH: Tốc độ luồng không khí được chuẩn hóa bởi tốc độ gió trong trường tự do (từ bên trái); phân tích được thực hiện bằng tính toàn hai chiều Navier-Stokes và lý thuyết về đĩa dẫn động, trong đó, vùng tô màu xanh lục bên trái được coi là chính xác còn vùng tô màu đỏ ở bên phải được coi là không chính xác do việc mô phỏng luồng không khí trong và phía sau vùng phân cách.
Hình 15 - Biểu đồ iso-speed của tốc độ luồng không khí cục bộ xung quanh cột khí tượng dạng lưới tam giác có CT bằng 0,5

Khoảng cách đến tâm của cột khí tượng chia cho khoảng cách đến chân cột khí tượng Rd/Lm
Hình 16 - Tốc độ gió tương đối trên trục trung tâm dưới dạng hàm của khoảng cách Rd từ tâm của cột khí tượng dạng lưới tam giác có khoảng cách chân cột Lm với các giá trị CT khác nhau
Khi hướng luồng không khí vuông góc với mặt của cột khí tượng, sai lệch tối thiểu đạt được khi thiết bị đo gió được đặt ở góc 90° so với hướng luồng không khí. Ngoài ra, sai lệch luồng không khí có thể được xác định bằng cách xem xét sự thiếu hụt của hướng đón gió như một hàm về hoàng cách. Hình 16 cho thấy tốc độ gió tương đối trên trục trung tâm được tính toán đối với các cột dạng lưới có các giá trị Tc khác nhau. Tuy nhiên, lưu ý rằng sai lệch tốc độ gió có thể cao hơn so với các sai lệch thể hiện trên Hình 16 nếu gió tiếp cận từ các góc lớn hơn 100° so với đường thẳng dóng đến cần thiết bị đo gió.
Công thức (28) có thể được sử dụng để ước tính sự suy giảm ủa tốc độ gió trên trục trung tâm Ud như một hàm của CT và Rd/Lm:
|
| (28) |
CT có thể được ước tính từ các bộ luật xây dựng địa phương hoặc trong phạm vi được quy định, từ Bảng 6. Trong bảng này, độ vững chắc S được định nghĩa là tỷ lệ giữa diện tích hình chiếu của tất cả các thành phần kết cấu trên một mặt của cột khí tượng với tổng diện tích tiếp xúc.
Bảng 6 - Phương pháp ước tính CT đối với nhiều loại cột khí tượng dạng lưới khác nhau
| Loại cột | Phần kế hoạch | Biểu thức đối với CT | Phạm vi có hiệu lực |
| Mặt cắt ngang hình vuông, các thành phần có các gờ nhọn |
| 4,4(1 - S)S | 0,1 < S < 0,5 |
| Mặt cắt ngang hình vuông, các thành phần được làm tròn |
| 2,6(1 -S)S | 0,1 < S < 0,3 |
| Mặt cắt ngang hình tam giác, các thành phần được làm tròn |
| 2,1(1 -S)S | 0,1 <S<0,3 |
Ngoài ra, nếu mức suy giảm lớn nhất của tốc độ gió trên trục trung tâm đã được dự kiến thì khoảng cách Rd có thể được tính từ Công thức (29):
|
| (29) |
Đối với các cột khí tượng dạng lưới có CT là 0,5 và mức suy giảm tốc độ gió tại trục trung tâm là 99,5 %, Rd phải gấp 5,7 lần khoảng cách giữa các chân cột khí tượng Lm, mức suy giảm tốc độ gió là 99 % thì khoảng cách Rd giảm xuống còn 3,7 lần khoảng cách giữa các chân cột khí tượng.
Các công thức và biểu đồ trên đại diện cho một mô hình hình học lý tưởng của cột khí tượng và các điều kiện luồng không khí. Sự nhiễm nhiễu của luồng không khí sẽ phức tạp hơn đáng kể trong các trường hợp có kết cấu đỡ thứ cấp, ví dụ như khung lưới, giằng chéo, thang cáp, các mặt bích và các cơ cấu gá đỡ, cũng có mặt hoặc ở gần độ cao của thiết bị đo gió hoặc khi hướng luồng không khí không song song với trục đối xứng mặt cắt ngang của cột khí tượng. Hình 17 mô phỏng luồng không khí mô phỏng bằng CFD (từ bên trái), trong đó vị trí tương đối và do đó ảnh hưởng của giằng chéo lên sai lệch luồng không khí thay đổi theo độ cao. Lưu ý rằng sai lệch luồng không khí là không đối xứng nhưng vị trí tối ưu để giảm thiểu sai lệch luồng không khí vẫn là tại góc 90° so với hướng luồng không khí.


Đối với hướng luồng không khí, xem mũi tên màu đỏ ở góc dưới bên trái của mỗi hình minh họa.
Hình 17 - Sai lệch luồng không khí được mô phỏng đối với hai hướng gió khác nhau xung quanh cột khí tượng dạng lưới tam giác (CT = 0,27)
10.4.4 Hiệu chỉnh sai lệch luồng không khí đối với thiết bị đo gió lắp cạnh bên
Hiệu chỉnh các thiết bị đo gió lắp cạnh bên đối với các sai lệch luồng không khí do cột khí tượng được xác định và mô tả thêm trong Phụ lục B. Cơ sở kỹ thuật đối với việc hiệu chỉnh và ảnh hưởng của hiệu chỉnh phải được ghi chép. Các cần phải có cùng hướng lắp đặt để đảm bảo sự tương đồng về sai lệch luồng không khí giữa các độ cao khác nhau. Thiết kế của cột khí tượng và cần nên tạo ra ảnh hưởng sai lệch luồng không khí tương tự tại cảm biến, với chênh lệch tối đa cho phép trong sai lệch tốc độ gió là 1 % giữa tất cả các độ cao khác nhau. Kích thước mặt cắt ngang của cột khí tượng nên đồng nhất ở từng độ cao, do vậy trong trường hợp các cột khí tượng đứng tự do mà diện tích mặt cắt ngang của cột khí tượng lớn hơn tại các độ cao thấp hơn thì cần đặc biệt lưu ý tuân thủ các khuyến nghị trong 10.4.2 và 10.4.3. Một lựa chọn thay thế là lắp đặt một thiết bị đo gió thứ hai tại mỗi độ cao đo trên một cần riêng biệt và giới hạn vùng đo sao cho các phép đo tốc độ gió không bị sai lệch quá 1 %.
10.5 Bảo vệ chống sét
Một chóp thu sét (cột thu lôi) có thể bảo vệ các thiết bị đo lắp ở đỉnh. Nếu lắp đặt bảo vệ chống sét thì cần thực hiện một số các biện pháp. Chóp thu sét cần được lắp tại đỉnh của cột khí tượng theo cách sau:
a) thiết bị đo gió được đặt cách chóp thu sét theo phương ngang ít nhất 30 lần đường kính của chóp thu sét, và
b) thiết bị đo gió không được nằm trong luồng rẽ khí của chóp thu sét khi có gió trong vùng có hướng quan trọng nhất.
CHÚ THÍCH: Các vùng hướng gió quan trọng nhất phụ thuộc vào mục đích sử dụng của các phép đo gió.
Trong trường hợp không thể đáp ứng các điều kiện này, cần phải đánh giá ảnh hưởng của sai lệch luồng không khí lên thiết bị đo gió và bổ sung thêm độ không đảm bảo đo.
10.6 Lắp đặt các thiết bị đo khí tượng khác
Thiết bị đo gió kiểm soát nên được đặt càng gần với thiết bị đo gió chính càng tốt, trong khi vẫn đảm bảo các yêu cầu về khoảng phân cách tối thiểu theo các điều từ 10.2 đến 10.4, nhằm đảm bảo mối tương quan tốt giữa hai thiết bị đo trong quá trình thử nghiệm. Mối tương quan này cần được xác thực để đảm bảo rằng thiết bị đo gió chính không bị thay đổi hiệu chuẩn trong quá trình thử nghiệm (xem Điều 9). Tuy nhiên, thiết bị đo gió kiểm soát không được gây nhiễu cho thiết bị đo gió chính và cũng không được nằm ở trong vùng nhiễu luồng không khí của các thiết bị đo khác.
Cảm biến hướng gió phải được lắp phía dưới thiết bị đo gió một khoảng từ 4 m đến 10 m. Nó được lắp sao cho các ảnh hưởng sai lệch luồng không khí được giảm thiểu trong khu vực đo. Khoảng cách nằm ngang của cảm biến hướng gió với cột khí tượng nên bằng ít nhất một nửa khoảng cách được yêu cầu đối với một thiết bị đo gió.
Cảm biến nhiệt độ, độ ẩm và áp suất cần được lắp theo các yêu cầu của tiêu chuẩn sử dụng cụ thể (ví dụ như tiêu chuẩn về đặc tính công suất) nhưng trong bất kỳ trường hợp nào cũng phải đặt phía dưới thiết bị đo gió chính một khoảng tối thiểu là 1,5 m tuân thủ các yêu cầu về lắp đặt được xác định trong 10.2 và 10.3. Cảm biến nhiệt độ phải được lắp trong tấm chắn bức xạ. Cảm biến áp suất có thể được đặt trong một hộp chịu được thời tiết. Tuy nhiên, cần đảm bảo rằng hộp được thông gió thích hợp sao cho các số đọc áp suất không bị ảnh hưởng bởi sự phân bố áp suất xung quanh hộp.
Trong trường hợp ở độ cao mà tại đó áp suất khí quyển được đo không phải là độ cao quan tâm (ví dụ ở độ cao của vỏ tuabin gió) thì áp suất khí quyển phải được điều chỉnh theo độ cao quan tâm theo ISO 2533:1975. Hơn nữa, nhiệt độ không khí phải được điều chỉnh theo độ cao quan tâm, giả định rằng khí quyển thay đổi theo ISO 2533:1975.
Ví dụ về các bố trí phù hợp cho các thiết bị đo khí tượng khác và các thiết bị đo gió lắp ở đỉnh được biểu diễn trên Hình 10 và Hình 11.
10.7 Hệ thống thu thập dữ liệu
Hệ thống thu thập dữ liệu kỹ thuật số có tốc độ lấy mẫu trên mỗi kênh tối thiểu 1 Hz phải được sử dụng để thu thập các số đo và lưu trữ dữ liệu được lấy mẫu hoặc số liệu thống kê của bộ dữ liệu như được quy định theo mục đích sử dụng cụ thể.
Hiệu chuẩn và độ chính xác của chuỗi hệ thống dữ liệu (truyền dẫn, ổn định tín hiệu và ghi dữ liệu) phải được kiểm tra xác nhận bằng cách đưa các tín hiệu đã biết từ một nguồn đã hiệu chuẩn, truy nguyên được tại các đầu của bộ chuyển đổi và so sánh các đầu vào này với các số đọc được ghi lại. Theo hướng dẫn, độ không đảm bảo của hệ thống thu thập dữ liệu phải không đáng kể so với độ không đảm bảo của cảm biến.
11 Độ không đảm bảo của phép đo tốc độ gió
11.1 Độ không đảm bảo loại B: Tốc độ gió - Giới thiệu
Độ không đảm bảo đo của tốc độ gió bao gồm hai thành phần, mỗi thành phần lại gồm nhiều thành phần con. Hai thành phần này là:
a) độ không đảm bảo liên quan đến việc sử dụng phần cứng cảm biến (thiết bị đo gió dạng cốc, thiết bị đo gió âm thanh);
b) độ không đảm bảo liên quan đến phương pháp được áp dụng.
Ký hiệu cho thành phần không đảm bảo này là uV,i.
Có thể có các thành phần bổ sung khác trong độ không đảm bảo đo của tốc độ gió, tùy thuộc vào mục đích sử dụng cụ thể. Để biết thêm chi tiết, tham khảo tiêu chuẩn áp dụng cho từng trường hợp thích hợp.
Các thành phần độ không đảm bảo này cùng với các thành phần con được nêu trong các điều từ 11.2 đến 11.4.
11.2 Độ không đảm bảo loại B: Tốc độ gió - Phần cứng
Độ không đảm bảo của tốc độ gió liên quan đến phần cứng gồm thành phần sau, thành phần này lại gồm nhiều thành phần con:
a) độ không đảm bảo liên quan đến việc sử dụng cảm biến được đặt trên cột khí tượng (thiết bị đo gió dạng cốc và thiết bị đo gió âm thanh).
Ký hiệu dùng cho thành phần độ không đảm bảo này là uVHW,l.
11.3 Độ không đảm bảo loại B: Tốc độ gió - cảm biến lắp trên cột khí tượng
11.3.1 Yêu cầu chung
Thành phần không đảm bảo này đề cập đến độ không đảm bảo liên quan đến việc sử dụng thiết bị đo gió dạng cốc và thiết bị đo gió âm thanh gắn trên cột khí tượng (lắp ở đỉnh hoặc lắp cạnh bên).
Ký hiệu cho thành phần độ không đảm bảo này là uVS,i (V là viết tắt của tốc độ gió còn S là viết tắt của cảm biến).
Thành phần độ không đảm bảo này gồm sáu thành phần con:
a) độ không đảm bảo liên quan đến việc hiệu chuẩn cảm biến trước khi bắt đầu đợt đo;
b) độ không đảm bảo liên quan đến việc hiệu chuẩn cảm biến trong quá trình và sau đợt đo;
c) độ không đảm bảo liên quan đến các đặc tính vận hành được xác định theo phân cấp cảm biến;
d) độ không đảm bảo liên quan đến việc lắp đặt cảm biến;
e) độ không đảm bảo liên quan đến việc lắp đặt chóp thu sét;
f) độ không đảm bảo liên quan đến việc thu thập dữ liệu tín hiệu từ cảm biến.
11.3.2 Hiệu chuẩn trước
Thành phần không đảm bảo này bao gồm độ không đảm bảo liên quan đến hiệu chuẩn các cảm biến trước khi thử nghiệm. Thành phần này bao gồm sự biến thiên của các thử nghiệm lặp lại đối với một phòng thử nghiệm cũng như sự biến thiên của các thử nghiệm lặp lại giữa các phòng thử nghiệm khác nhau.
Ký hiệu cho thành phần không đảm bảo này là uVS,precal,i.
Độ không đảm bảo này cũng được nêu trong Điều 8.
Đối với một đợt đo cụ thể, phải sử dụng các giá trị được chỉ ra trong hiệu chuẩn của các cảm biến được sử dụng, để tính toán độ không đảm bảo.
11.3.3 Hiệu chuẩn sau
Thành phần độ không đảm bảo này bao gồm độ không đảm bảo liên quan đến hiệu chuẩn tại chỗ và/hoặc hiệu chuẩn sau của cảm biến trong và/hoặc sau khi hoàn thành đợt đo cụ thể (ví dụ như thử nghiệm đặc tính công suất).
Ký hiệu dùng cho thành phần độ không đảm bảo này là uVS,postcal,i.
Độ không đảm bảo này cũng được nêu trong Điều 9.
Nếu cả hiệu chuẩn tại hiện trường được thực hiện trong đợt đo cụ thể và hiệu chuẩn sau, được thực hiện sau đợt đo cụ thể thì độ lớn của thành phần độ không đảm bảo này phải được lấy từ kết quả hiệu chuẩn sau.
Nếu thực hiện hiệu chuẩn sau thì độ lớn của thành phần độ không đảm bảo này phải là chênh lệch lớn nhất giữa hiệu chuẩn trước và hiệu chuẩn sau trong dải tốc độ gió từ 4 m/s đến 12 m/s, lên đến tối đa 0,2 m/s.
Do bản chất vốn có của độ không đảm bảo của hiệu chuẩn, có thể xuất hiện các khác biệt nhỏ giữa hiệu chuẩn trước và hiệu chuẩn sau. Giá trị hiệu chuẩn ước tính tốt nhất cho một cảm biến cụ thể sẽ là trung bình của các lần hiệu chuẩn đã thực hiện; trong việc giới hạn một số lượng rất lớn các giá trị hiệu chuẩn, giá trị trung bình sẽ hội tụ về trung tâm của phân bố.
Do chỉ sử dụng hiệu chuẩn trước để xác định tốc độ gió từ cảm biến do đó có thể sử dụng chênh lệch tối đa làm phần đóng góp bổ sung vào độ không đảm bảo.
Nếu chỉ thực hiện hiệu chuẩn tại hiện trường theo Điều 9 thì độ lớn của thành phần độ không đảm bảo này phải là giá trị tối đa của trong phạm vi tốc độ gió là từ 4 m/s đến 12 m/s , lên đến tối đa là 0,2 m/s.
11.3.4 Phân cấp
Thành phần độ không đảm bảo này bao gồm độ không đảm bảo liên quan đến các đặc tính vận hành của cảm biến, như được xác định thông qua sự phân cấp cảm biến.
Ký hiệu cho thành phần độ không đảm bảo này là uVS,class,i.
Độ không đảm bảo này cũng được nêu trong Điều 6.
Độ lớn của độ không đảm bảo này phải được tính từ báo cáo phân cấp. Kiểu địa hình mà cảm biến được sử dụng phải phù hợp với kiểu địa hình theo phân cấp của cảm biến (kiểu A, B và S).
Việc tham khảo báo cao phân cấp phải được đưa vào báo cáo đo trong trường hợp sử dụng.
Phạm vi đo được của các tham số ảnh hưởng được sử dụng cho phân cấp như được nêu trong Điều 6 phải được báo cáo dựa trên cùng bộ dữ liệu được sử dụng cho báo cáo đợt đo. Nếu không đo được luồng gió hướng lên thì phải có chứng minh về sự phù hợp với cấp chính xác bằng cách tham chiếu đến độ dốc địa hình cục bộ đối với các hướng gió đã trải qua bằng cách điều chỉnh phù hợp một mặt phẳng với địa hình trong khoảng cách bằng năm lần chiều cao đo, tương ứng với vị trí của WME theo IEC 61400-1:2019 [5], 11.2.1.
Trong trường hợp các phép đo gió từ nhiều nguồn và cột khí tượng được kết hợp để thu được các kết quả (ví dụ, sử dụng thiết bị đo gió của cột tham chiếu và cột tuabin gió để thu được hiệu chuẩn tại hiện trường theo TCVN 10687-12-3 (IEC 61400-12-3) hoặc việc đánh giá nguồn nhiều cột liên quan đến các phép đo gió từ nhiều cột được phân bố trên một địa điểm trong nlắp hạn đến cột tham chiếu tại địa điểm đo trong dài hạn), độ không đảm bảo vận hành của thiết bị đo gió tham chiếu phải được bao gồm trong thành phần độ không đảm bảo của phép đo tốc độ gió phụ thuộc. Điều này có thể là không có, có một số hoặc tất cả các độ không đảm bảo của thiết bị đo gió tham chiếu từ đợt đo đồng thời trên cột khí tượng (ví dụ như hiệu chuẩn địa điểm), tùy thuộc vào việc liệu phạm vi đo được của các tham số ảnh hưởng mà cảm biến tham chiếu gặp phải trên cột khí tượng tham chiếu trong đợt đo đồng thời có khác biệt đáng kể so với phạm vi của các tham số ảnh hưởng mà cảm biến tham chiếu trên cột khí tượng tham chiếu gặp phải trong giai đoạn không đồng thời của đợt đo.
Mặc dù, một nửa độ không đảm bảo vận hành của thiết bị đo gió trên cột tham chiếu và toàn bộ độ không đảm bảo của thiết bị đo gió trên cột phụ trong đợt đo đồng thời trên cột khí tượng và một nửa độ không đảm bảo vận hành của thiết bị đo gió trong giai đoạn không đồng thời của đợt đo phải được tính đến. Các độ không đảm bảo này phải được thêm vào bằng phương pháp căn bậc hai của tổng bình phương.
11.3.5 Lắp đặt
Thành phần không đảm bảo này bao gồm độ không đảm bảo liên quan đến việc lắp đặt cảm biến.
Ký hiệu đối với thành phần không đảm bảo này là uVS,mnt,i.
Độ Không đảm bảo này cũng được nêu trong Điều 10.
Thành phần độ không đảm bảo này có ba giá trị mặc định tương ứng với ba cách bố trí lắp đặt cho phép theo Điều 10 (thiết bị đo gió đơn lắp ở đỉnh, thiết bị đo gió lắp ở đỉnh lắp cạnh nhau và thiết bị đo gió lắp cạnh bên)
Đối với cách bố trí chỉ một thiết bị đo gió lắp ở đỉnh, độ lớn mặc định đối với thành phần độ không đảm bảo này là 0,5 % tốc độ gió đo được.
Đối với các thiết bị đo gió lắp ở đỉnh cạnh nhau, độ lớn mặc định đối với thành phần độ không đảm bảo này là 1,0 %.
Đối với thiết bị đo gió lắp cạnh bên, độ lớn mặc định đối với thành phần độ không đảm bảo này là một trong các giá trị sau:
a) 1,5 % tín hiệu đo được đối với các tín hiệu không được hiệu chỉnh luồng không khí;
b) căn bậc hai của nửa giá trị hiệu chỉnh trung bình được áp dụng cho tín hiệu tốc độ gió và 0,5 % tín hiệu đo được, đối với các tín hiệu được hiệu chỉnh luồng không khí theo 10.4.4. Các ảnh hưởng của luồng rẽ khí phải được loại trừ khi áp dụng hiệu chỉnh.
Nguyên tắc hiệu chỉnh tương tự cũng có thể được áp dụng cho hai thiết bị đo gió lắp ở đỉnh trong một cấu hình dạng khung thành, có độ lớn mặc định tương tự đối với tín hiệu được hiệu chỉnh luồng không khí.
11.3.6 Chóp thu sét
Thành phần độ không đảm bảo này bao gồm độ không đảm bảo có liên quan đến chóp thu sét có thể được lắp ở đỉnh và ảnh hưởng của nó đối với thiết bị đo gió lắp ở đỉnh khi các yêu cầu trong 10.5 về lắp đặt chóp thu sét không thể đáp ứng được.
Ký hiệu cho thành phần độ không đảm bảo này là uVS,lgt,i.
Trong trường hợp không đáp ứng các yêu cầu của 10.5, độ lớn mặc định của thành phần kông đảm bảo này là 0,1 % đến 0,2 % tín hiệu tốc độ gió.
11.3.7 Thu thập dữ liệu
Thành phần độ không đảm bảo này bao gồm độ không đảm bảo liên quan đến thu thập dữ liệu của tín hiệu tốc độ gió.
Ký hiệu cho thành phần độ không đảm bảo này là udVS,i.
Độ lớn mặc định đối với thành phần độ không đảm bảo này là 0,1 % đến 0,2 % trong toàn bộ phạm vi của tín hiệu tốc độ gió đo được.
Xem xét phạm vi tốc độ gió 30 m/s của kênh đo và độ không đảm bảo của hệ thống thu thập dữ liệu là 0,1 % của phạm vi này, độ không đảm bảo chuẩn từ việc thu thập dữ liệu là 0,03 m/s.
11.4 Độ không đảm bảo loại B: Phương pháp - Khí hậu lạnh
Thành phần độ không đảm bảo này bao gồm độ không đảm bảo liên quan đến ảnh hưởng của phép đo trong điều kiện khí hậu lạnh đối với việc phân cấp thiết bị đo gió.
Ký hiệu cho thành phần độ không đảm bảo này là uM,cc,i.
Nếu dải nhiệt độ mở rộng được yêu cầu thì thành phần độ không đảm bảo đối với việc phân cấp cảm biến phải dựa trên báo cáo phân cấp C, D hoặc S; điều này cũng bao gồm trong thành phần độ không đảm bảo uVS,class,i.
Mặc dù khuyến nghị sử dụng hệ thống phát hiện băng tuyết nhưng không thể tránh được tuyết và bằng sẽ tích tụ trên cấu trúc lắp đặt và ảnh hưởng đến tốc độ gió đo được. Ảnh hưởng này bao gồm trong thành phần độ không đảm bảo như đã nêu trong điều này.
Lưu ý rằng các yếu tố trên cũng cần được xem xét đối với phép đo loại B “chuẩn”, do loại B mở rộng nhiệt độ xuống đến -10 °C, trong khi tuyết và băng thường xuất hiện ở khoảng 0 °C. Nếu phép đo chịu ảnh hưởng của tuyết và/hoặc băng trong nhiều ngày thì phải thêm thành phần độ không đảm bảo này. Ngược lại nếu ảnh hưởng của tuyết và/hoặc băng là không đáng kể thì thành phần độ không đảm bảo này có thể được đặt bằng không (0).
Độ lớn mặc định của thành phần độ không đảm bảo này là từ 0,5 % đến 1 % tốc độ gió.
11.5 Độ không đảm bảo kết hợp
11.5.1 Yêu cầu chung
Trong điều này, các công thức và việc xem xét thêm để kết hợp các thành phần độ không đảm bảo với mức độ tổng hợp được trình bày và mô tả. Một ví dụ là tính toán độ không đảm bảo hiệu chuẩn vị trí dựa trên các thành phần không đảm bảo của độ không đảm bảo hiệu chuẩn vị trí.
11.5.2 Kết hợp các độ không đảm bảo trong phép đo tốc độ gió (uV,i)
Các thành phần độ không đảm bảo sau đây được kết hợp để tính độ không đảm bảo loại B đối với tốc độ gió, uV,i:
|
| (30) |
Trong đó
uVHW,i là độ không đảm bảo trên phần cứng được sử dụng và là một trong các uVS,I, uVR,I hoặc uREWS,i;
uVM,i là độ không đảm bảo liên quan đến phương pháp được áp dụng.
11.5.3 Kết hợp các độ không đảm bảo trong phép đo tốc độ gió từ thiết bị đo gió dạng cốc hoặc thiết bị đo gió âm thanh (uVS,I)
Các thành phần độ không đảm bảo sau đây được kết hợp để tính độ không đảm bảo loại B đối với các phép đo tốc độ gió từ thiết bị đo gió dạng cốc hoặc âm thanh, uVS,i:
|
| (31) |
Trong đó
uVS,precal,i là độ không đảm bảo liên quan đến hiệu chuẩn trước;
uVS,postcal,i là độ không đảm bảo liên quan đến hiệu chuẩn sau:
uVS,class,i là độ không đảm bảo liên quan đến phân cấp của cảm biến;
uvs,mnt,i là độ không đảm bảo liên quan đến lắp đặt cảm biến;
uVS,lgt,i là độ không đảm bảo liên quan đến sai lệch luồng không khí do chóp thu sét;
udVS,i là độ không đảm bảo liên quan đến thu thập dữ liệu của tín hiệu tốc độ gió.
12 Báo cáo thử nghiệm
Báo cáo thử nghiệm phải có các thông tin sau:
a) Mô tả vị trí đặt thiết bị đo gió;
1) Hình ảnh của tất cả các vùng đo, chụp từ vị trí thiết bị đo gió (WME);
2) Bản đồ vị trí thử nghiệm, thể hiện khu vực xung quanh trong bán kính ít nhất 20 lần chiều cao đo trên cùng của thiết bị đo gió và chỉ rõ địa hình, khu vực của thiết bị đo gió, các chướng ngại vật quan trọng, các tuabin gió hiện có và khu vực đo (trong trường hợp sử dụng cụ thể giới hạn phạm vi đo này nhỏ hơn 360°);
3) Bảng tọa độ và độ cao của WME và các chướng ngại vật quan trọng, được xem xét trong việc đánh giá các chướng ngại vật.
b) Bản mô tả thiết bị đo:
1) Nhận dạng tất cả các WME và hệ thống thu thập dữ liệu, bao gồm tài liệu về hiệu chuẩn của các cảm biến, thiết bị đo gió, đường truyền và hệ thống thu thập dữ liệu;
2) Sơ đồ bố trí các cột khí tượng thể hiện kích thước của cột và cách lắp thiết bị để chứng minh sự phù hợp với Điều 10;
3) mô tả phương pháp đảm bảo hiệu chuẩn của WME được duy trì trong suốt thời gian đo và tài liệu về các kết quả cho thấy sự duy trì của việc hiệu chuẩn.
c) Bản mô tả về quy trình đo:
1) tài liệu về các bước thực hiện, điều kiện thử nghiệm, tần suất lấy mẫu, thời gian trung bình và thời gian đo, gồm:
- tài liệu về hiệu chuẩn, hiệu chỉnh hoặc các hàm truyền được áp dụng bởi bộ ghi dữ liệu và/hoặc trong quá trình hậu kiểm
2) Nhật ký thử nghiệm ghi lại tất cả các sự kiện quan trọng trong đợt đo, gồm:
- danh sách về các hoạt động bảo trì đã diễn ra trong quá trình thử nghiệm;
3) Danh sách đầy đủ của tất cả các tiêu chí lọc được sử dụng để tạo ra kết quả báo cao, gồm:
- tham số, phép đo hoặc khoảng thời gian hoặc sự kết hợp của các tham số này được áp dụng bộ lọc;
- phạm vi hoặc tiêu chí lô gic của bộ lọc;
- lý do áp dụng bộ lọc;
- thứ tự áp dụng các bộ lọc cùng với số lượng các điểm loại bỏ trong từng bước lọc. Ngoài ra, số lượng các điểm dữ liệu mà bộ lọc sẽ loại bỏ khỏi cơ sở dữ liệu của chính nó;
- số lượng bộ dữ liệu ban đầu trong cơ sở dữ liệu và số lượng bộ dữ liệu cuối sau khi đã áp dụng tất cả các bộ lọc.
d) Dữ liệu đo được phải được trình bày cả dưới dạng bảng và đồ thị nhằm thống kê các tham số khí tượng quan trong:
1) biểu đồ phân tán của tốc độ gió trung bình và cường độ luồng xoáy theo hướng gió;
2) biểu đồ phân tán của cường độ luồng xoáy theo tốc độ gió và phải thể hiện giá trị trung bình của cường độ luồng xoáy trong từng bin tốc độ gió.
e) Độ không đảm bảo đo (xem Điều 11):
1) các giả định về độ không đảm bảo trên tất cả các thành phần độ không đảm bảo phải được cung cấp.
f) Độ lệch từ quy trình:
1) bất kỳ độ lệch nào so với các yêu cầu của tiêu chuẩn này phải được ghi rõ trong từng điều. Từng độ lệch phải có các lý do kỹ thuật và ước tính ảnh hưởng của độ lệch lên kết quả thử nghiệm.
Phụ lục A
(tham khảo)
Quy trình hiệu chuẩn đường hầm gió đối với cảm biến hướng gió
A.1 Yêu cầu chung
Các yêu cầu chung đối với việc hiệu chuẩn các thiết bị cảm biến hướng gió, bao gồm chong chóng gió và thiết bị đo gió âm thanh hoạt động như thiết bị cảm biến hướng gió, được tóm tắt như sau:
a) Việc hiệu chuẩn cảm biến hướng gió phải được thực hiện trong một đường hầm gió đang hoạt động, phù hợp để hiệu chuẩn cảm biến hướng gió.
b) Tất cả các bộ chuyển đổi và thiết bị đo liên quan đến việc hiệu chuẩn cảm biến hướng gió phải có liên kết chuẩn hiệu chuẩn. Chứng chỉ và báo cáo hiệu chuẩn phải có đầy đủ thông tin về liên kết chuẩn có liên quan (ví dụ: bao gồm chi tiết về các chứng nhận nếu có). Tất cả các tiêu chuẩn tham chiếu được sử dụng trong quá trình hiệu chuẩn cảm biến hướng gió phải được nêu rõ trong báo cáo thử nghiệm của đợt hiệu chuẩn.
c) Trước mỗi đợt hiệu chuẩn (khi một lô cảm biến hướng gió được hiệu chuẩn), tính toàn vẹn của hệ thống thử nghiệm phải được kiểm tra xác nhận bằng cách hiệu chuẩn so sánh "cảm biến kiểm soát chất lượng hướng gió" của cơ sở hiệu chuẩn.
d) Các phép đo chất lượng luồng không khí phải được thực hiện theo Điều A.2.
e) Tính lặp lại của quá trình hiệu chuẩn phải được kiểm tra xác nhận theo Điều A.2.
f) Việc hiệu chuẩn cảm biến hướng gió phải được hỗ trợ bằng việc đánh giá đầy đủ về độ không đảm bảo hiệu chuẩn, được thực hiện theo TCVN 9595-3 (Guide ISO/IEC 98-3).
A.2 Yêu cầu đối với đường hầm gió
Đường hầm gió phải đáp ứng các yêu cầu quy định trong Điều 8.
Sự có mặt của cảm biến hướng gió không được ảnh hưởng đáng kể đến hướng của luồng không khí trong đường hầm gió. Khi cảm biến hướng gió được đặt trong đường hầm gió để hiệu chuẩn, nó có thể gây ra sự chuyển hướng luồng không khí, điều này không xảy ra khi cảm biến hoạt động ở hiện trường ngoài trời. Để giữ cho các ảnh hưởng này ở mức có thể chấp nhận được, tỷ lệ chặn được định nghĩa là tỷ lệ giữa diện tích bề mặt phía trước của cảm biến hướng gió khi cánh định hướng phù hợp với luồng không khí, cộng với hệ thống lắp của nó, so với tổng diện tích mặt cắt ngang của khu vực thử nghiệm - không được vượt quá 0 đối với phần thử nghiệm mở và 0,05 đối với phần thử nghiệm kín.
Ngoài ra, cần tập trung đặc biệt vào việc kiểm tra xác nhận rằng hướng ngang của luồng không khí trong đường hầm gió phải song song với đường trung tâm của khu vực thử nghiệm. Độ đồng đều của phạm vi luồng không khí (theo yêu cầu tại Điều 8) và hướng luồng không khí phải được đánh giá trước khi hiệu chuẩn cảm biến hướng gió. Hướng luồng không khí phải được khảo sát tương ứng với đường trung tâm của khu vực thử nghiệm tại vị trí đại diện của cảm biến hướng gió bằng cách sử dụng thiết bị đo luồng không khí nhạy với hướng (ví dụ; máy đo góc xoay hình nón hai lỗ). Hướng luồng không khí theo phương ngang đo được phải song song với đường trung tâm của khu vực thử nghiệm trong phạm vi sai số 0,2°, và sai số này phải được tính đến trong quá trình đánh giá dữ liệu.
Cơ sở thử nghiệm phải trải qua kiểm tra chi tiết về tính lặp lại của hiệu chuẩn cảm biến hướng gió. Cơ sở thử nghiệm phải chỉ định ít nhất một cảm biến hướng gió tham chiếu để sử dụng trong các thử nghiệm này. Các cảm biến hướng gió tham chiếu này chỉ được sử dụng để kiểm tra hiệu suất của cơ sở hiệu chuẩn này và các cơ sở hiệu chuẩn cảm biến hướng gió khác. Việc kiểm tra tính lặp lại phải bao gồm ít nhất 10 lần hiệu chuẩn cảm biến kiểm soát chất lượng hướng gió. Các thử nghiệm tính tái lặp không được thực hiện liên tiếp. Điều này được thực hiện trong khoảng thời gian dài hơn sẽ mang tính đại diện hơn. Điều này sẽ tạo ra sự thay đổi lớn hơn của các điều kiện khí quyển trong quá trình thử nghiệm. Sai lệch tối đa giữa các lần hiệu chuẩn của cùng một cảm biến tham chiếu phải nhỏ hơn 0,5° ở tốc độ gió 8 m/s trên toàn bộ phạm vi đo của cảm biến hướng gió, ngoại trừ vùng phía Bắc (chong chóng gió), nơi thường có các điều kiện không xác định. Quy trình này phải được lặp lại sau bất kỳ sửa đổi hoặc hiệu chuẩn lại nào của cơ sở thử nghiệm.
Giá trị trung bình của hiệu chuẩn cảm biến hướng gió tham chiếu của cơ sở thử nghiệm (được xác định từ các thử nghiệm tính lặp lại như đã mô tả ở trên) phải phù hợp với kết quả trung bình của các cơ sở hiệu chuẩn khác, với độ lệch của hướng luồng không khí tương đương không vượt quá 1° trên toàn bộ phạm vi đo, ngoại trừ vùng phía Bắc, tại tốc độ gió 8 m/s.
A.3 Yêu cầu về thiết bị và thiết lập hiệu chuẩn
Thiết bị ổn định tín hiệu bên ngoài chuyên dụng, chẳng hạn như bộ khuếch đại tín hiệu, phải được hiệu chuẩn riêng biệt với cảm biến hướng gió để quá trình hiệu chuẩn của cảm biến hướng gió có thể xác định và báo cáo một cách độc lập với thiết bị ổn định tín hiệu. Hệ thống thu thập dữ liệu được sử dụng phải có độ phân giải ít nhất là 12 bit. Trong trường hợp của thiết bị đo điện áp tương tự, tín hiệu phải được đệm một cách phù hợp để ngăn ngừa sự suy giảm gây ra bởi thiết bị ghi có trở kháng thấp. Các hiệu ứng này dễ bị bỏ qua vì tín hiệu vẫn có thể được ghi nhận một cách đáng tin cậy. Hệ thống đo góc tham chiếu phải thuộc loại đo trực tiếp (mã hóa góc trực tiếp, đếm số gia tăng, đo đại lượng tỷ lệ như phương pháp từ tính, cảm ứng hoặc chiết áp). Trục của hệ thống đo góc tham chiếu phải được kết nối với trục của cơ cấu quay của cảm biến hướng gió thông qua một khớp nối không có độ rơ. Khớp nối này phải có độ bền xoắn cao và có độ linh hoạt khi uốn cong để giảm thiểu tối đa các sai số do lắp ráp (sai lệch về độ đồng tâm và góc giữa hai trục quay). Các trục quay phải được căn chỉnh đồng tâm và đồng trục, vỏ của hệ thống đo góc tham chiếu phải được cố định chắc chắn sao cách không có độ rơ. Cảm biến đo góc tham chiếu phải được đặt trong đường hầm gió một cách chính xác nhất có thể và không được gây nhiễu đến cảm biến hướng gió đang thử nghiệm. Độ lệch tối đã được phép là 0,1°.
Trong quá trình hiệu chuẩn, cảm biến hướng gió phải được lắp ở đỉnh một ống để giảm thiểu sai lệch luồng không khí. Ống này phải có cùng kích thước với ống mà cảm biến hướng gió sẽ được lắp đặt khi hoạt động trong môi trường khí quyển tự do. Điều quan trọng là phải đảm bảo rằng phạm vi luồng không khí xung quanh cảm biến hướng gió không bị ảnh hưởng bởi sự có mặt của bất kỳ thiết bị đo tốc độ gió tham chiếu nào. Ngược lại, sự có mặt của cảm biến hướng gió cũng không được làm ảnh hưởng đáng kể đến hướng luồng không khí.
Cảm biến hướng gió phải được lắp đặt tại khu vực thử nghiệm sao cho vuông góc với phạm vi luồng không khí trong đường hầm gió một cách chính xác nhất có thể. Độ lệch tối đã được phép là 0,2°. Cánh định hướng của cảm biến cũng phải được căn chỉnh theo đường chuẩn hoặc dấu hướng Bắc, và được cố định bằng giá đỡ có thể điều chỉnh cho đến khi quá trình hiệu chuẩn bắt đầu. Việc căn chỉnh chính xác cảm biến hướng gió và cánh định hướng có thể được thực hiện bằng các thiết bị phù hợp, chẳng hạn như công cụ cơ khí hoặc dụng cụ quang học (ví dụ: thước đo cân bằng laser 2D). Tín hiệu đầu ra của cảm biến hướng gió phải được kiểm tra trong quá trình hiệu chuẩn để đảm bảo không có nhiễu hoặc tạp. Việc xác định tốc độ luồng không khí trong đường hầm gió phải tuân thủ theo Điều 8.
Cảm biến hướng gió phải được căn chỉnh theo đường chuẩn (đường trung tâm) của đường hầm gió. Chỉ báo tham chiếu cơ học (thường là dấu hướng Bắc) của cảm biến hướng gió phải được căn chỉnh chính xác với đường chuẩn của đường hầm gió. Không được phép thực hiện căn chỉnh góc của cảm biến hướng gió chỉ bằng cách sử dụng tín hiệu đầu ra điện của nó. Việc này có thể dẫn đến sai lệch góc giữa dấu tham chiếu bên ngoài và giá trị chỉ thị từ bộ chuyển đổi góc bên trong của cảm biến hướng gió. Độ lệch này sẽ rất khó phát hiện sau đó, vì việc căn chỉnh chong chóng trên cột khí tượng, thường dựa theo dấu hướng Bắc. Để đảm bảo căn chỉnh góc chính xác trong quá trình hiệu chuẩn, cần sử dụng phương pháp đo phù hợp đối với dấu tham chiếu bên ngoài.

Hình A.1 - Ví dụ về thiết lập hiệu chuẩn cảm biến hướng gió trong đường hầm gió
A.4 Quy trình hiệu chuẩn
Nhìn chung, cảm biến hướng gió phải được định vị theo hướng phù hợp bằng một cơ cấu xoay thích hợp (ví dụ: bàn xoay, trong khi hướng và tốc độ của luồng không khí vẫn không thay đổi. Sau đó, tín hiệu đầu ra của cảm biến hướng gió được đánh giá dựa trên hệ thống đo góc tham chiếu được lắp đặt tại cơ cấu quay. Hình A.1 minh họa một ví dụ về thiết lập hiệu chuẩn trong đường hầm gió.
Quy trình hiệu chuẩn cảm biến hướng gió được thực hiện như sau:
Cảm biến hướng gió được quay với tốc độ xoay không đổi hoặc theo từng bước. Góc quay được chỉ báo (giá trị đo được của cảm biến hướng gió) được ghi lại đồng thời với góc quay tham chiếu (giá trị đo được của cơ chế quay). Tốc độ quay được lựa chọn sao cho đạt được sự cân bằng giữa độ chính xác đo và thời gian đo hợp lý. Tốc độ quay khuyến nghị là 0,57s. Đối với quy trình quay theo từng bước, cần đảm bảo bước tăng phải nhỏ hơn 3° để tránh bỏ sót dữ liệu sai lệch về hướng. Tần số lấy mẫu phải đủ cao (thường là 1 Hz hoặc nhanh hơn) để đảm bảo sai số lấy mẫu nằm trong giới hạn cho phép. Nhiệt độ của cảm biến hướng gió không được thay đổi đáng kể trong quá trình hiệu chuẩn để giảm thiểu độ không đảm bảo bổ sung do ảnh hưởng của nhiệt độ lên hướng chỉ báo. Trước khi hiệu chuẩn, phải có thời gian ổn định >1 min để giảm thiểu độ sai lệch nhiệt độ giữa cảm biến hướng gió và luồng không khí trong đường hầm gió.
Quá trình hiệu chuẩn phải bao gồm ít nhất hai lần quét góc quay hoàn chỉnh (bao gồm cả bước nhảy hướng Bắc) đối với mỗi quy trình nêu trên. Hai lần quét này phải được thực hiện theo hai hướng ngược nhau để kiểm tra hiệu ứng trễ có thể có. Dữ liệu phải có độ chồng lấn về góc ít nhất là 10° ở điểm bắt đầu và điểm kết thúc của mỗi lần quét. Một trình tự hiệu chuẩn có thể bao gồm quét theo chiều kim đồng hồ từ -10° đến 370° và quét theo chiều ngược kim đồng hồ từ 370° đến -10°.
Việc hiệu chuẩn phải được thực hiện ở tốc độ gió không đổi (8 ± 0,8) m/s. Tốc độ gió trung bình không được thay đổi trong suốt quá trình hiệu chuẩn cảm biến hướng gió.
A.5 Phân tích dữ liệu
Chỉ vectơ gió theo phương ngang mới được xem xét khi đánh giá dữ liệu cảm biến hướng gió. Việc đánh giá tín hiệu hướng gió, đối với cả chong chóng gió và thiết bị đo gió âm thanh, phải được thực hiện bằng phương pháp trung bình vector, như mô tả trong tiêu chuẩn ISO 16622 [6].
Tất cả dữ liệu liên quan phải được đánh giá dưới dạng dữ liệu trung bình theo bin. Dữ liệu của cảm biến góc quay tham chiếu được sử dụng làm cơ sở để xác định khoảng bin (bin interval) cho cơ sở dữ liệu còn lại. Độ rộng của mỗi khoảng bin phải có độ phân giải tối thiểu là 10°, được căn giữa tại các góc như 5°, 15°, v.v... của thiết bị quay. Độ rộng của bin cần được giảm xuống để đánh giá chính xác hơn hành vi của một số loại cảm biến nhất định (ví dụ: thiết bị đo gió âm thanh) hoặc để phản ánh tốt hơn đặc điểm của cảm biến (ví dụ: tính phi tuyến quá mức).
A.6 Phân tích độ không đảm bảo
Điều quan trọng là phải xác định độ không đảm bảo của hướng luồng không khí theo phương ngang khi thực hiện hiệu chuẩn cảm biến hướng gió.
Việc phân tích độ không đảm bảo phải được thực hiện theo TCVN 9595-3 (ISO/IEC Guide 98-3), để thể hiện độ không đảm bảo bao gồm cả độ không đảm bảo loại A và loại B. Tổng độ không đảm bảo đo phải được đánh giá theo phương pháp thống kê và phải tính đến các yếu tố sau:
a) độ không đảm bảo của hệ thống đo góc tham chiếu (bộ chuyển đổi góc tham chiếu, ghép nối và hệ thống lắp đặt, bộ chuyển đổi điện, chuyển đổi số, v.v...);
b) độ không đảm bảo hướng luồng không khí được cảm biến bởi một cảm biến hướng gió, bao gồm việc đánh giá về khả năng lệch luồng không khí do có cảm biến hướng gió;
c) độ không đảm bảo do quá trình lắp đặt cảm biến hướng gió (căn chỉnh giữa dấu hướng Bắc và fin so với đường trung tâm của đường hầm gió);
d) độ không đảm bảo loại A do sự phân tán ngắn hạn (tín hiệu của cảm biến hướng gió có thể thay đổi theo thời gian do điều kiện luồng không khí không ổn định);
e) độ không đảm bảo loại A do sự phân tán dài hạn (phân tán/lệch của các kết quả hiệu chuẩn của cảm biến hướng gió tham chiếu theo thời gian qua nhiều lần hiệu chuẩn);
f) độ không đảm bảo khi đo tín hiệu điện của cảm biến hướng gió (bộ chuyển đổi điện, chuyển đổi số, v.v...).
A.7 Định dạng báo cáo
Tài liệu liên quan phải cung cấp thông tin về quy trình được thực hiện và cơ sở được sử dụng để hiệu chuẩn cảm biến hướng gió (báo cáo thử nghiệm về đợt hiệu chuẩn) cũng như thông tin về việc hiệu chuẩn của từng cảm biến hướng gió (báo cáo hiệu chuẩn cảm biến hướng gió). Báo cáo thử nghiệm về thiết lập cơ sở hiệu chuẩn phải chứa tối thiểu các thông tin sau:
1) mô tả đường hầm gió (bao gồm: khu vực thử nghiệm, buồng ổn định luồng không khí, bộ làm thẳng luồng không khí, cách bố trí quạt);
2) bản vẽ sơ đồ đường hầm gió, cho thấy vị trí chính xác của cảm biến hướng gió và (các) ống Pitot trong khu vực thử nghiệm;
3) phép đo chất lượng luồng không khí;
4) phép đo luồng xoáy;
5) chứng chỉ của thiết bị đo;
6) quy trình đo;
7) quy trình đánh giá dữ liệu;
8) bằng chứng về độ lặp lại trong hiệu chuẩn cảm biến hướng gió;
9) phân tích độ không đảm bảo;
10) các sai lệch so với yêu cầu trong tiêu chuẩn này.
Báo cáo hiệu chuẩn của từng cảm biến hướng gió phải bao gồm tối thiểu thông tin dưới đây:
a) chế tạo, kiểu, số sê-ri của cảm biến hướng gió và số sê-ri của fin nếu có thể tách rời;
b) đường kính ống của hệ thống lắp đặt;
c) chế tạo, kiểu, số sê-ri về bộ chuyển đổi bên ngoài, nếu được sử dụng (ví dụ: bộ chuyển đổi tần số - điện áp);
d) tên và địa chỉ của khách hàng
e) chữ ký của người thực hiện hiệu chuẩn, kiểm tra kết quả và phê duyệt;
f) tên của đường hầm gió sử dụng để hiệu chuẩn
g) điều kiện môi trường trong quá trình hiệu chuẩn (nhiệt độ không khí, áp suất khí quyển, độ ẩm)
h) các tham số hồi quy (bù đắp và độ dốc), được trình bày dưới dạng bảng và biểu đồ của tất cả các điểm hiệu chuẩn;
i) thông tin về độ rộng vùng chết hướng Bắc của cảm biến;
j) bảng chứa các thông tin sau:
1) số bin;
2) hướng (luồng không khí) tham chiếu trung bình trong mỗi bin;
3) tín hiệu hướng trung bình đo được từ cảm biến trong mỗi bin;
4) độ không đảm bảo trong mỗi bin;
5) tốc độ luồng không khí trong đường hầm gió trong mỗi bin;
k) biểu đồ thể hiện:
1) tín hiệu của cảm biến hướng gió dưới dạng hàm của góc quay tham chiếu trong từng bin;
2) biểu đồ phân tán giữa tín hiệu cảm biến hướng gió và góc quay tham chiếu nếu sử dụng phương pháp quét;
3) biểu đồ phân tán của phần dư giữa tín hiệu cảm biến và góc quay tham chiếu;
4) phần dư trên mỗi bin (độ lệch giữa tín hiệu đo được của cảm biến hướng gió và kết quả của hàm hiệu chuẩn cảm biến hướng gió).
5) độ không đảm bảo tại mỗi điểm đo.
l) tham chiếu đến báo cáo đợt hiệu chuẩn tương ứng và ngày hiệu chuẩn.
m) ảnh chụp cảm biến hướng gió và hệ thống lắp trong đường hầm gió.
n) tốc độ quay góc, độ rộng bin và số lượng điểm dữ liệu thu thập được trên mỗi bin.
A.8 Ví dụ về tính toán độ không đảm bảo đo
A.8.1 Quy định chung
Việc xác định độ không đảm bảo đo dựa trên giả định rằng ba nguồn chính đóng góp vào tổng độ không đảm bảo:
a) xác định hướng luồng không khí trong đường hầm gió (loại B);
b) độ không đảm bảo do cảm biến hướng gió được hiệu chuẩn gây ra (chong chóng gió hoặc thiết bị đo gió âm thanh) (loại B);
c) độ lặp lại (loại A).
Trong phần sau, chỉ các độ không đảm bảo loại B được xem xét. Để xác định tổng độ không đảm bảo, cũng phải bao gồm cả thành phần độ không đảm bảo loại A.
A.8.2 Độ không đảm bảo đo do việc xác định hướng luồng không khí trong đường hầm gió
Để đánh giá độ không đảm bảo đo khi xác định hướng luồng không khí, cần xem xét các độ không đảm bảo thành phần sau
A.8.3 Việc đóng góp của độ không đảm bảo do các độ không đảm bảo trong khi xác định đường tâm hình học (αCL) của đường hầm gió
Giả sử đường tâm được xác định bằng phương pháp hình học đơn giản và các đường đo có độ chính xác ±2 mm trong khu vực thử nghiệm có kích thước 1,00 m × 2,00 m, thì độ không đảm bảo của đường trung tâm hình học là 0,1o. Nếu chấp nhận phân bố hình chữ nhật thì độ không đảm bảo đóng góp vào tổng độ không đảm bảo chuẩn là 0,06°.
A.8.4 Đóng góp của độ không đảm bảo khi xác định hướng luồng không khí (αdir)
A.8.4.1 Tổng quan
Hiệu chuẩn hướng luồng không khí được thực hiện bằng đầu dò kiểu hình nêm. Một đường hầm gió được thiết kế tốt hậy như không có sai lệch về hướng không khí so với đường tâm hình học. Đóng góp vào độ không đảm bảo đo được coi là 0,1°. Nếu chấp nhận phân bố hình chữ nhật, thì độ không đảm bảo đóng góp vào tổng độ không đảm bảo chuẩn là 0,06°.
A.8.4.2 Đóng góp của độ không đảm bảo khi hiệu chuẩn cảm biến tham chiếu (αsensor)
Góc tham chiếu được xác định bằng cảm biến quay điện tử. Độ không đảm bảo do hiệu chuẩn cảm biến này được giả định là 0,35°. Nếu giả định là phân bố hình chữ nhật, thì độ không đảm bảo đóng góp vào tổng độ không đảm bảo chuẩn là 0,2°.
A.8.4.3 Đóng góp của độ không đảm bảo khi căn chỉnh đường tâm với dấu hướng Bắc của cảm biến hướng gió (αset)
Bằng cách sử dụng tia laser, có thể căn chỉnh cảm biến hướng gió (bao gồm dấu hướng Bắc, cánh định hướng, đường tâm của đường hầm gió). Giả sử chùm tia laser có độ lệch tối đa 1 mm so với đường tâm, thì đóng góp của độ không đảm bảo đo là nhỏ hơn 0,1°. Giả định rằng một đóng góp vào tổng độ không đảm bảo là 0,1°. Giả định là phân bố hình chữ nhật thì đóng góp vào tổng độ không đảm bảo chuẩn là 0,06°.
A.8.4.4 Đóng góp của độ không đảm bảo do ảnh hưởng của góc giữa các trục quay (αincl.1)
Khi lắp đặt bộ tham chiếu lên bộ truyền động quay, có thể xảy ra sai số về góc giữa trục quay của bộ truyền động quay và trục quay của bộ tham chiếu (độ nghiêng của đối tượng được hiệu chuẩn so với độ nghiêng của thiết bị hiệu chuẩn). Các trục quay không thẳng hàng nhưng khớp nối giữa các trục của đối tượng tham chiếu và trục của đối tượng được hiệu chuẩn giúp bù đắp sai số trong một giới hạn nhất định đối với ảnh hưởng về vị trí của mặt phẳng đo góc. Sai số góc có thể được tính toán theo Công thức (A.1):
| δαincl.1 = 0,125·(2·p/ra)2 . sinα | (A1) |
Trong đó: theo VDI/VDE 2648 [7],
α là góc cần đo (giá trị hiệu chuẩn);
p là độ lệch trục dọc (axial run-out deviation);
ra là bán kính hiệu dụng của phép đo góc.
Nếu giả sử độ lệch giữa các mặt phẳng đo là 1 mm và bán kính cảm biến quay là 50 mm thì trong trường hợp cực đại với α = 90° độ không đảm bảo là 0,01°.
A.8.4.5 Đóng góp của độ không đảm bảo do độ lệch tâm giữa cảm biến hướng gió và bộ tham chiếu αExz
Khi lắp cảm biến hướng gió lên bộ truyền động quay của bộ tham chiếu, có thể xảy ra lệch tâm, tức là sai lệch song song giữa các trục quay tương ứng. Các trục quay không đồng trục. Sai số góc có thể xảy ra do sai lệch song song này, có thể được tính toán theo Phương trình (A.2):
| δαExz = 2·(e/ra)·sin(α/2) | (A.2) |
Trong đó, theo VDI/VDE 2648 [7],
α là góc cần đo (giá trị hiệu chuẩn);
e là độ lệch tâm;
ra là bán kính hiệu dụng của phép đo góc.
Với giả định độ lệch tâm giữa các trục quay là 0,2 mm và bán kính là 50 mm, trường hợp cực trị với α = 180° thì độ không đảm bảo là 0,2°.
A.8.4.6 Đóng góp vào độ không đảm bảo do cảm biến hướng gió
Cảm biến hướng gió có thể có các loại tín hiệu đầu ra khác nhau. Một số cảm biến dạng số có khả năng hiển thị trực tiếp góc phương vị theo độ. Thông thường, mẫu là một cảm biến hướng gió có tín hiệu đầu ra dạng tương tự (dòng điện hoặc điện áp) hoặc cảm biến biến trở.
A.8.4.7 Đóng góp vào độ không đảm bảo do tín hiệu đầu ra dạng số (αDigital)
Một nửa độ phân giải của tín hiệu dạng số được giả định là đóng góp vào độ không đảm bảo đo.
A.8.4.8 Đóng góp vào độ không đảm bảo do tín hiệu đầu ra dạng tương tự αAnalog
Các cảm biến có tín hiệu đầu ra dạng tương tự (thường là 10 V hoặc 20 mA) được cho là có đóng góp vào độ không đảm bảo thông qua độ phân giải của quá trình chuyển đổi tương tự - số. Giả sử hệ thống đo có độ phân giải 12 bít, thì đóng góp vào độ không đảm bảo là 360°/4 096 = 0,1°. Với giả định phân bố hình chữ nhật, thì đóng góp vào tổng độ không đảm bảo chuẩn là 0,06°.
A.8.4.9 Đóng góp vào độ không đảm bảo do việc xác định điện trở của cảm biến hướng gió αΩ
Điện trở của chong chóng gió kiểu biến trở chỉ có thể được xác định bằng phép đo điện áp/dòng điện cho trước. Khi xác định điện trở của chong chóng gió kiểu biến trở (thường là vài kQ) bằng phép đo gián tiếp thông qua điện áp và dòng điện không đổi, có thể xảy ra các độ không đảm bảo sau:
| a) sai số phần trăm của điện trở shunt trong thiết bị đo | 0,030% |
| b) dòng điện lỗi qua hệ thống đo | 0,020% |
| c) độ phân giải của bộ chuyển đổi tương tự - số | 0,025% |
| d) độ không đảm bảo đo giả định | 0,05% (~0,16°) |
Giả sử phân bố hình chữ nhật, thì đóng góp vào tổng độ không đảm bảo chuẩn là 0,1°.
A.8.4.10 Đóng góp vào độ không đảm bảo do lắp đặt cảm biến hướng gió (αitem)
Các cảm biến hướng gió thông thường có đường kính khoảng 50 mm. Dấu chỉ hướng Bắc của cảm biến thường có bề rộng khoảng 1 mm, tương đương với 2°. Khi căn chỉnh dấu hướng Bắc với tia laser, giả định độ không đảm bảo là 0,25 mm, thì đóng góp vào độ không đảm bảo là 0,25°. Nếu giả định phân bố hình chữ nhật, thì đóng góp vào tổng độ không đảm bảo chuẩn là 0,15°.
A.8.4.11 Đóng góp của độ không đảm bảo do sai lệch vị trí cảm biến hướng gió (αincl.2)
Khi lắp đặt cảm biến hướng gió lên bộ truyền động quay và bộ tham chiếu, có thể xảy ra lỗi góc trong góc căn chỉnh trục quay. Sai số góc được giả định là 0,05°.
A.8.4.12 Kết quả tính toán độ không đảm bảo
Để xác định tổng độ không đảm bảo chuẩn, độ không đảm bảo thành phần đã được liệt kê trong Bảng A.1 và Bảng A.2.
Bảng A.1 - Đóng góp vào độ không đảm bảo trong hiệu chuẩn cảm biến hướng gió
| Yếu tố | Phân cấp độ không đảm bảo | Phân bố độ không đảm bảo | Hệ số nhạy | Độ không đảm bảo đoa | Độ không đảm bảo chuẩnb | Đóng góp vào độ không đảm bảoc | Đơn vị |
| Khả năng tái lập | A | 1 | - | - |
| 0,1 | độ |
| Xác định đường trung tâm hình học | B | 2 | 1 | 0,1 |
| 0,06 | độ |
| Xác định hướng dòng chảy | B | 2 | 1 | 0,1 |
| 0,06 | độ |
| Cảm biến đo góc quay tham chiếu | B | 1 | 1 | 0,35 |
| 0,2 | độ |
| Góc nghiêng | B | 2 | 1 | 0,01 |
| 0,01 | độ |
| Độ lệch tâm | B | 2 | 1 | 0,2 |
| 0,12 | độ |
| 1 = phân bố chuẩn; 2 = phân bố chữ nhật a Đây là giá trị được gán cho thành phần được biểu diễn bởi các ký hiệu viết tắt như CL, DIR, REF, v.v. b Đây là phương pháp đánh giá độ không đảm bảo chuẩn từ các thành phần không đảm bảo (CL, DIR, REF, v.v.) và loại phân bố. c Đây là kết quả số của việc đánh giá độ không đảm bảo chuẩn | |||||||
Việc tính toán độ không đảm bảo chuẩn của phép đo, tính bằng độ, trong xác định hướng luồng không khí được thực hiện bằng phương pháp cộng dồn bậc hai.
| uFlow_dir = (uCL2 + uDIR2 + uREF2 + uincl.12 + uEXZ12)0,5 | (A.3) |
| uFlow_dir = (0,062 + 0,062 + 0,22+ 0,012 + 0,122)0,5 = 0,25 | (A.4) |
Bảng A.2 - Đóng góp vào độ không đảm bảo và tổng độ không đảm bảo chuẩn trong hiệu chuẩn cảm biến hướng gió
| Yếu tố | Loại bất định | Đóng góp độ | Hệ số độ nhạy | Độ không đảm bảo đoa | Đánh giá độ không đảm bảo chuẩnb | Đóng góp vào độ không đảm bảoc | Đơn vị |
| Tín hiệu đầu ra số | B | 2 | 1 | Một nữa độ phân giải số |
| - | độ |
| Hoặc tín hiệu đầu ra tương tự | B | 2 | 1 | 0,1 |
| 0,06 | độ |
| Hoặc cảm biến điện thế | B | 1 | 1 | 0,2 |
| 0,12 | độ |
| Lắp đặt cảm biến | B | 1 | 1 | 0,25 |
| 0,15 | độ |
| Góc nghiêng | B | 2 | 1 | 0,01 |
| 0,01 | độ |
| Độ lệch tâm | B | 1 | 1 | 0,2 |
| 0,12 | độ |
| 1 = phân bố chuẩn; 2 = phân bố hình chữ nhật a Đây là giá trị được ấn định cho thành phần được biểu diễn bằng các chữ viết tắt LSB, ANALOG, Ω, v.v.... b Đây là phương pháp đánh giá độ không đảm bảo chuẩn từ thành phần độ không đảm bảo (LSB, ANALOG, Ω, v.v.) và loại phân bố. c Đây là kết quả bằng số về việc đánh giá độ không đảm bảo chuẩn | |||||||
Tổng độ không đảm bảo chuẩn, tính bằng độ, ví dụ đối với một chong chóng gió đo điện thế là:
| uTotal = (uFlow_dir2 + uΩ2 + uMounting2 + ulncl.22 + uExz22)0,5 | (A.5) |
| uTotal = (0,252 + 0,122 + 0,152+ 0,012 + 0,122)0,5 = 0,34 | (A.6) |
Các thành phần đóng góp vào tổng độ không đảm bảo chuẩn từ các nguồn không đảm bảo riêng lẻ dẫn đến tổng độ không đảm bảo chuẩn là 0,34° với k = 1 đối với một chong chóng gió đo điện thế. Thông thường, giá trị này được nhân với hệ số phủ k = 2.
Phụ lục B
(tham khảo)
Hiệu chỉnh sai lệch luồng không khí cho cột dạng lưới
Phụ lục này cung cấp hướng dẫn về một phương pháp khả thi xác định hiệu chỉnh đối với sai lệch luồng không khí của các thiết bị đo gió lắp cạnh bên. Trong phụ lục này, biểu diễn một phương pháp tiếp cận chi tiết hơn đối với một cột khí tượng dạng lưới. Một phương pháp tương tự cũng có thể áp dụng cho các cấu hình cột khác, tuy nhiên có thể cần thực hiện các điều chỉnh cụ thể để phù hợp với sự khác biệt về kết cấu. Các phương pháp khác nhằm xác định hiệu chỉnh, cũng có thể được áp dụng, nhưng cần phải được ghi chép một cách đầy đủ chi tiết để bên thứ ba có thể tái lập các kết quả dựa trên thông tin được báo cáo.
Điểm khởi đầu là thực hiện hồi quy tuyến tính giữa hai thiết bị đo gió được lắp đặt trên các cần khác nhau nhưng ở cùng độ cao đo. Phần dư của phép hồi quy có thể được xác định và vẽ biểu đồ theo hướng gió trong toàn bộ phạm vi từ 0° đến 360°. Các bộ lọc khác có thể được áp dụng để đảm bảo chất lượng dữ liệu. Biểu đồ này thường sẽ thể hiện hai đặc điểm sau:
a) Đối với các hướng gió cụ thể, sẽ có thể quan sát thấy các sai lệch luồng không khí lớn, cho thấy sự xuất hiện của vùng luồng luồng rẽ khí do cột, dây giằng hoặc các cảm biến khác gây ra.
b) Thường có thể quan sát thấy sóng hình sin thay đổi chậm với chu kỳ 360°
Một ví dụ được minh họa trên Hình B.1. Ví dụ này áp dụng cho thiết kế kiểu “khung thành” ở đỉnh cột khí tượng, nhưng nó minh họa đáp ứng tín hiệu mong đợi. Như thể hiện trên biểu đồ, việc vẽ thêm luồng rẽ khí dự kiến từ bố trí hình học cũng có thể mang lại lợi ích vì điều này giúp diễn giải biểu đồ một cách chính xác hơn. Cần lưu ý khi có quá nhiều luồng rẽ khí và/hoặc luồng rẽ khí quá mạnh do cột, dây chống hoặc các cảm biến khác gây ra, vì chúng có thể che khuất sóng hình sin cần quan sát và làm cho phương pháp này trở nên không thực tế hoặc không thể áp dụng được.

Hình B.1 - Ví dụ về sai lệch luồng không khí của cột khí tượng
Sóng hình sin thể hiện sự sai lệch luồng không khí do cột khí tượng và các phần cứng khác tại cùng độ cao đo để hiệu chỉnh. Việc hiệu chỉnh được thực hiện bằng cách tìm ra các giá trị thích hợp cho các tham số trong Công thức (B.1).
| V1 = m·V2 + Asin(WD + Centre) | (B.1) |
Trong đó
V1 là tốc độ gió từ cảm biến thứ nhất
V2 là tốc độ gió từ cảm biến thứ hai
m là hệ số góc của phương trình hồi quy giữa V1 và V2
B là hệ số bù của phương trình hồi quy giữa V1 và V2
A là tham số tỷ lệ cần xác định
WD là hướng gió
Tâm là hướng gió mà tại đó phần dư được kỳ vọng bằng không
Trong ví dụ trên, khi các góc của cần lắp đặt là 92° và 272°, tâm là 182°. Các Hình 12, Hình 15 và Hình 17 có thể có ích trong việc đánh giá các hướng mà tại đó sai lệch luồng không khí có mức độ bằng nhau tại cả hai vị trí cảm biến. Các nghiệm trong phạm vi đo (hoặc gần nhất với phạm vi đo) là hữu ích nhất.
A là một tham số tỷ lệ cần được xác định. Để tìm A, có thể sử dụng phương pháp lặp. Đầu tiên, đặt A bằng 0 và chọn một điểm khác trong tập dữ liệu (tránh dữ liệu trong vùng có luồng rẽ khí), chúng ta có thể xác định giá trị hiện tại của phần dư. Từ biểu đồ trên, chúng ta thấy giá trị phần dư tại 150° là 0,03, và tại 182° là 0. Khi đó đặt tâm = 182° và yêu cầu giá trị phần dư bằng 0 cho V1 tại 150°. Điều này xác định được giá trị A là 0,06 (lưu ý dấu âm đối với sin tại góc 150° + 180° = 330°). Việc kiểm tra thêm các điểm khác được khuyến nghị để đảm bảo giá trị A được xác định chính xác và không bị ảnh hưởng bởi dữ liệu ngoại lai ngẫu nhiên.
A phản ánh độ lớn của tổng ảnh hưởng do sai lệch luồng không khí tác động lên cả hai thiết bị đo gió. Do đó, tốc độ gió của mỗi thiết bị đo gió phải được hiệu chỉnh bằng một nửa biên độ A, theo công thức (B.2) và (B.3).
|
| (B.2) |
|
| (B.3) |
Việc hiệu chỉnh sai lệch luồng không khí được trình bày ở đây không đưa sai lệch luồng không khí về giá trị bằng không, mà chỉ chuẩn hóa theo hướng mà mức độ sai lệch luồng không khí là như nhau tại cả hai thiết bị đo gió. Hướng mà tại đó sai lệch luồng không khí bằng không có thể được ước tính từ các biểu đồ vận tốc luồng không khí trong 10.4, và việc hiệu chỉnh cuối cùng cho luồng không khí có thể được điều chỉnh tương ứng.
Vận tốc gió sau khi được hiệu chỉnh mới có thể được sử dụng để tính lại phần dư, sau đó vẽ lại trên cùng một biểu đồ để thể hiện mức độ cải thiện. Hình B.2 cho thấy rằng phần dư của tín hiệu đã hiệu chỉnh (màu đỏ) rõ ràng là ít phụ thuộc hơn vào hướng gió so với phần dư của tín hiệu ban đầu (màu xanh lam).

Hình B.2 - Phần dư sai lệch luồng không khí so với hướng gió
Phụ lục C
(tham khảo)
Lắp thiết bị trên vỏ tuabin
C.1 Quy định chung
Việc bố trí thích hợp các thiết bị trên vỏ tuabin đóng vai trò quan trọng trong việc đảm bảo độ chính xác trong thử nghiệm tuabin gió. Đặc biệt, thiết bị đo gió cần được lắp đặt sao cho giảm thiểu sai lệch luồng không khí, đặc biệt từ ảnh hưởng do cần gây ra. Thiết bị đo gió trên vỏ tuabin cần được bố trí sao cho ít bị ảnh hưởng bởi cài đặt của tuabin và giảm thiểu tác động của sai lệch luồng không khí do địa hình phức tạp xung quanh. Các thiết bị và đối tượng khác trên vó tuabin cần được lắp đặt sao cho không gây nhiễu loạn đến thiết bị đo gió.
C.2 Phương pháp lắp đặt thiết bị đo gió được khuyến nghị
Phương pháp lắp đặt ưu tiên cho thiết bị đo gió là lắp thẳng đứng trên đỉnh một ống tròn, không có thiết bị đo hoặc dụng cụ đo nào gần đó. Tất cả các yêu cầu của điều này cần được tuân thủ nhằm đảm bảo việc lắp đặt không gây sai lệch đáng kể đến phép đo gió. Thiết bị đo gió nên được lắp trên ống tròn thẳng đứng có đường kính ngoài giống với đường kính được sử dụng trong quá trình hiệu chuẩn, dây cáp dẫn nên được luồn bên trong ống. Độ lệch góc so với phương thẳng đứng không quá 2°, nên sử dụng máy đo độ nghiêng để kiểm tra độ thẳng đứng trong quá trình lắp đặt. Đường kính ống không được lớn hơn đường kính thân của thiết bị đo gió. Giá đỡ kết nối thiết bị đo gió với ống tròn thẳng đứng phải có thiết kế gọn gàng, bề mặt nhẵn và đối xứng.
C.3 Vị trí lắp đặt thiết bị đo gió được khuyến nghị
Thiết bị đo gió nên được bố trí trên mặt phẳng đối xứng của vỏ tuabin. Vị trí lắp đặt nên ở nơi có độ rung và chuyển động nhỏ. Vị trí lý tưởng là lắp thiết bị đo gió trên phần kéo dài theo trục trung tâm của tháp tuabin.
Một cảm biến gió được lắp trên vỏ tuabin cần được nằm ở lớp biên của vỏ tuabin, được xác định bằng đường 10° trong Hình C.1 và nó cũng nằm ngoài vùng ảnh hưởng của xoáy khí gần gốc cánh, gây ra bởi sự thay đổi từ gốc cánh quạt hình trụ sang cánh quạt có biên dạng khí động học, được biểu thị bởi đường viền trên của vùng màu xám trên. Ngoài ra, cảm biến gió cần được lắp cách ít nhất 1,5 lần đường kính gốc cánh quạt (1,5Dr) về phía sau so với tâm gốc cánh, và không lắp trên phía xuôi gió của rào chắn hoặc trong vùng có luồng rẽ khí của các cảm biến khác hoặc đèn cảnh báo. Không đặt cảm biến trong phạm vi 1 m tính từ đầu xuôi gió của vỏ tuabin. Nếu cảm biến gió được lắp trên mũ hub, nó nên được đặt tại tâm trục quay và lắp trên một thanh kéo dài từ mũ hub ở khoảng cách thích hợp theo kinh nghiệm kỹ thuật. Nếu thiết bị đo gió hoạt động dựa trên nguyên lý do luồng không khí đi qua mũ hub, nó có thể được lắp trực tiếp trên bề mặt mũ hub. Dù bằng cách nào, cảm biến phải được lắp ít nhất 0,6Dr phía trước tâm gốc cánh quạt.
Hình C.1 thể hiện các vị trí khuyến nghị để lắp đặt thiết bị đo gió. Trong Hình C.1,Dr à đường kính gốc cánh.

Thiết bị đo gió nên được lắp đặt bên trong các khu vực được đánh dấu bằng đường gạch chéo.
Hình C.1 - Lắp đặt thiết bị đo gió trên đỉnh vỏ tuabin
Phụ lục D
(tham khảo)
Thiết bị đo gió trên mũ hub
Mặc dù thiết bị đo gió trên mũ hub bao gồm tập hợp các cảm biến âm thanh 1-D, nhưng không thể áp dụng quy trình hiệu chuẩn dành cho thiết bị đo gió âm thanh, do quy trình hiệu chuẩn này chỉ áp dụng cho thiết bị đo gió âm thanh 2-D hoặc 3-D được lắp đặt theo tiêu chuẩn. Quy trình hiệu chuẩn được mô tả trong phụ lục này được sử dụng khi các thiết bị đo gió âm thanh 1-D được lắp tại mũ hub của tuabin gió.
Trong nội dung của phụ lục này, thiết bị đo gió trên mũ hub được hiểu là một bố trí gồm ba thiết bị đo gió âm thanh 1-D được lắp trên bề mặt mũ hub của tuabin gió.
Các cảm biến được bố trí đối xứng trên bề mặt mũ hub trong một mặt phẳng ngược gió với cách quạt. Mỗi cảm biến 1-D được đặt giữa các gốc cánh quạt và đo luồng khí đi qua mũ hub. Theo C.3, khoảng cách tối thiểu của các cảm biến là 0,6Dr, trong đó Dr là đường kính gốc của cánh rôto.
Khi có luồng không khí dọc trục và điểm dừng luồng không khí nằm tại tâm của mũi mũ hub, tất cả các cảm biến âm thanh đo được cùng một tốc độ gió. Khi có luồng không khí lệch hướng, điểm dừng luồng không khí di chuyển khỏi tâm của mũi mu hub. Khi đó, cảm biến âm thanh gần điểm dừng luồng không khí hơn sẽ ghi nhận tốc độ gió giảm, trong khi cảm biến ở xa hơn sẽ ghi nhận được tốc độ gió tăng. Điều này dẫn đến sự thay đổi dạng hình sin trong tốc độ gió mà mỗi cảm biến âm thanh đo được trong quá trình quay của mũ hub. Thiết bị đo gió trên mũ hub sử dụng thuật toán để chuyển đổi các tốc độ gió đo được từ ba cảm biến âm thanh sang các tham số: tốc độ gió ngang, độ lệch góc quay và góc nghiêng của luồng không khí. Thuật toán này sử dụng hai hằng số của thiết bị đo gió trên mũ hub, k1 và k2. Hai hằng số này đặc trưng cho thiết kế của mũ hub và gốc cánh vị trí lắp đặt cảm biến âm thanh trên mũ hub. Hai hằng số này cần được hiệu chuẩn để đo chính xác tốc độ gió tại mũ hub. Chúng được coi là đại diện cho phép đo tốc độ gió tự do khi tuabin gió dừng hoạt động và rôto hướng thẳng vào gió. Trong quá trình vận hành, các phép đo thể hiện tốc độ gió tại mũ hub. Khi tua-bin gió dừng hoạt động và rotor hướng thẳng vào gió, hằng số này sẽ tương ứng với tốc độ gió tự do. Trong quá trình vận hành, các phép đo phản ánh tốc độ gió tại mũ hub, nhưng bị ảnh hưởng bởi tốc độ gió cảm ứng gây ra bởi cánh quạt rôto và điều này khiến các phép đo tại mũ hub sai lệch so với tốc độ gió tự do.
Tham khảo tài liệu [8] về quy trình hiệu chuẩn và ứng dụng của thiết bị đo gió trên mũ hub.
Thư mục tài liệu tham khảo
[1] TCVN 10687-50-2 (IEC 61400-50-2), Hệ thống phát điện gió - Phần 50-2: Đo gió - Ứng dụng công nghệ cảm biến từ xa lắp trên mặt đất
[2] J-Å Dahlberg, T.F. Pedersen, P. Busche, ACCUWIND - Methods for classification of cup anemometers, Risø-R-1555(EN), May 2006
[3] T.F. Pedersen, J-Å Dahlberg, P. Busche, ACCUWIND - Classification of five cup anemometers according to IEC 61400-12-1, Risø-R-1556(EN), May 2006
[4] T.F. Pedersen, Quantification of linear torque characteristics of cup anemometers with step responses, Risø-l-3131(EN), February 2011
[5] IEC 61400-1:2019, Wind energy generation systems- Part 1: Design requirements
[6] ISO 16622, Meteorology - Sonic anemometers/thermometers - Acceptance test methods for mean wind measurements
[7] VDI/VDE 2648, Transducers and measuring systems for measurement of angle
[8] F.Ormel, OMC clarification sheet - Use of spinner anemometers, IECRE, November 2015
Mục lục
Lời nói đầu
1 Phạm vi áp dụng
2 Tài liệu viện dẫn
3 Thuật ngữ và định nghĩa
4 Ký hiệu, đơn vị và chữ viết tắt
5 Tổng quan về phương pháp đo đặc tính công suất
6 Phân cấp thiết bị đo gió dạng cốc và âm thanh
6.1 Quy định chung
6.2 Phân cấp
6.3 Phạm vi tham số ảnh hưởng
6.4 Phân cấp thiết bị đo gió dạng cốc và âm thanh
6.5 Định dạng báo cáo
7 Đánh giá thiết bị đo gió dạng cốc và âm thanh
7.1 Quy định chung
7.2 Phép đo các đặc tính của thiết bị đo gió
7.3 Phương pháp phân cấp thiết bị đo gió dạng cốc dựa trên các thử nghiệm trong đường hầm gió và phòng thí nghiệm và mô hình thiết bị đo gió dạng cốc
7.4 Phương pháp phân cấp thiết bị đo gió âm thanh dựa trên các thử nghiệm đường hầm gió và mô hình thiết bị đo gió âm thanh
7.5 Phép đo so sánh tại hiện trường tự do
8 Quy trình hiệu chuẩn trong đường hầm gió đối với các thiết bị đo gió
8.1 Yêu cầu chung
8.2 Yêu cầu đối với đường hầm gió
8.3 Các yêu cầu đối với việc thiết lập thiết bị đo và hiệu chuẩn
8.4 Quy trình hiệu chuẩn
8.5 Phân tích dữ liệu
8.6 Phân tích độ không đảm bảo
8.7 Định dạng báo cáo
8.8 Ví dụ về tính độ không đảm bảo
9 So sánh các thiết bị đo gió tại hiện trường
9.1 Quy định chung
9.2 Điều kiện quan trọng
9.3 Phương pháp phân tích
9.4 Tiêu chí đánh giá
10 Lắp đặt các thiết bị trên cột khí tượng
10.1 Yêu cầu chung
10.2 Thiết bị đo gió lắp ở đỉnh
10.3 Các thiết bị đo gió lắp ở đỉnh cạnh nhau
10.4 Thiết bị đo lắp cạnh bên
10.5 Bảo vệ chống sét
10.6 Lắp đặt các thiết bị đo khí tượng khác
11 Độ không đảm bảo của phép đo tốc độ gió
11.1 Độ không đảm bảo loại B: Tốc độ gió - Giới thiệu
11.2 Độ không đảm bảo loại B: Tốc độ gió - Phần cứng
11.3 Độ không đảm bảo loại B: Tốc độ gió - cảm biến lắp trên cột khí tượng
11.4 Độ không đảm bảo loại B: Phương pháp - Khí hậu lạnh
11.5 Độ không đảm bảo kết hợp
12 Báo cáo thử nghiệm
Phụ lục A (tham khảo) - Quy trình hiệu chuẩn đường hầm gió đối với cảm biến hướng gió
Phụ lục B (tham khảo) - Hiệu chỉnh sai lệch luồng không khí cho cột dạng lưới
Phụ lục C (tham khảo) - Lắp thiết bị trên vỏ tuabin
Phụ lục D (tham khảo) - Thiết bị đo gió trên mũ hub
Thư mục tài liệu tham khảo
[1] Số trong ngoặc là số thứ tự trong Thư mục tài liệu tham khảo.
Bạn chưa Đăng nhập thành viên.
Đây là tiện ích dành cho tài khoản thành viên. Vui lòng Đăng nhập để xem chi tiết. Nếu chưa có tài khoản, vui lòng Đăng ký tại đây!

