- Tổng quan
- Nội dung
- VB gốc
- Tiếng Anh
- Hiệu lực
- VB liên quan
- Lược đồ
-
Nội dung hợp nhất
Tính năng này chỉ có tại LuatVietnam.vn. Nội dung hợp nhất tổng hợp lại tất cả các quy định còn hiệu lực của văn bản gốc và các văn bản sửa đổi, bổ sung, đính chính... trên một trang. Việc hợp nhất văn bản gốc và những văn bản, Thông tư, Nghị định hướng dẫn khác không làm thay đổi thứ tự điều khoản, nội dung.
Khách hàng chỉ cần xem Nội dung hợp nhất là có thể nắm bắt toàn bộ quy định hiện hành đang áp dụng, cho dù văn bản gốc đã qua nhiều lần chỉnh sửa, bổ sung.
- Tải về
Nghị định 58/2024/NĐ-CP về một số chính sách đầu tư trong lâm nghiệp
| Cơ quan ban hành: | Chính phủ |
Số công báo:
Số công báo là mã số ấn phẩm được đăng chính thức trên ấn phẩm thông tin của Nhà nước. Mã số này do Chính phủ thống nhất quản lý.
|
Đã biết
|
| Số hiệu: | 58/2024/NĐ-CP | Ngày đăng công báo: |
Đã biết
|
| Loại văn bản: | Nghị định | Người ký: | Trần Lưu Quang |
| Trích yếu: | Về một số chính sách đầu tư trong lâm nghiệp | ||
|
Ngày ban hành:
Ngày ban hành là ngày, tháng, năm văn bản được thông qua hoặc ký ban hành.
|
24/05/2024 |
Ngày hết hiệu lực:
Ngày hết hiệu lực là ngày, tháng, năm văn bản chính thức không còn hiệu lực (áp dụng).
|
Đang cập nhật |
|
Áp dụng:
Ngày áp dụng là ngày, tháng, năm văn bản chính thức có hiệu lực (áp dụng).
|
Đã biết
|
Tình trạng hiệu lực:
Cho biết trạng thái hiệu lực của văn bản đang tra cứu: Chưa áp dụng, Còn hiệu lực, Hết hiệu lực, Hết hiệu lực 1 phần; Đã sửa đổi, Đính chính hay Không còn phù hợp,...
|
Đã biết
|
| Lĩnh vực: | Chính sách , Đầu tư , Nông nghiệp-Lâm nghiệp | ||
TÓM TẮT NGHỊ ĐỊNH 58/2024/NĐ-CP
Ngày 24/5/2024, Chính phủ ban hành Nghị định 58/2024/NĐ-CP về một số chính sách đầu tư trong lâm nghiệp. Dưới đây là một số nội dung đáng chú ý của Nghị định này:
1. Tổ chức, hộ gia đình, cá nhân, cộng đồng dân cư tham gia trồng cây phân tán được hỗ trợ bình quân 15.000.000 đồng/ha trồng cây phân tán (quy đổi 1.000 cây/ha) để mua cây giống, phân bón và chi phí một phần nhân công trồng, chăm sóc.
2. Mức hỗ trợ cho tổ chức, hộ gia đình, cá nhân đầu tư sản xuất giống cây trồng lâm nghiệp như sau:
- Hỗ trợ 50% tổng mức đầu tư đối với một dự án hoặc công trình (xây dựng rừng giống, vườn giống, vườn cây lâm nghiệp đầu dòng; xây dựng trung tâm sản xuất giống cây rừng chất lượng cao; xây dựng vườn ươm giống) nhưng tối đa theo mức quy định.
- Tối đa 55.000.000 đồng/ha đối với xây dựng rừng giống trồng mới có diện tích từ 2,0 ha trở lên, vườn giống trồng mới có diện tích từ 1,0 ha trở lên; tối đa 25.000.000 đồng/ha đối với xây dựng rừng giống chuyển hóa có diện tích từ 1,0 ha trở lên, vườn cây lâm nghiệp đầu dòng có diện tích từ 500 m2 trở lên;
- Tối đa 5.000.000 đồng đối với một dự án hoặc công trình xây dựng trung tâm sản xuất giống cây rừng chất lượng cao có quy mô sản xuất tối thiểu 1 triệu cây/năm;
- Tối đa 300.000.000 đồng đối với một dự án hoặc công trình xây dựng một vườn ươm giống cây lâm nghiệp bằng phương pháp nuôi cấy mô với diện tích đất xây dựng vườn ươm tối thiểu 0,5 ha.
3. Nhà nước có chính sách đầu tư cho những hoạt động mang tính chất chuyên ngành khác, bao gồm:
- Theo dõi, giám sát diễn biến tài nguyên rừng và đa dạng sinh học;
- Quản lý thông tư về lâm nghiệp và cơ sở dữ liệu về rừng;
- Sưu tập tiêu bản thực vật rừng, động vật rừng;...
Nghị định có hiệu lực từ ngày 15/7/2024.
Xem chi tiết Nghị định 58/2024/NĐ-CP có hiệu lực kể từ ngày 15/07/2024
Tải Nghị định 58/2024/NĐ-CP
|
CHÍNH PHỦ |
CỘNG HÒA XÃ HỘI CHỦ NGHĨA VIỆT NAM |
NGHỊ ĐỊNH
Về một số chính sách đầu tư trong lâm nghiệp
___________
Căn cứ Luật Tổ chức Chính phủ ngày 19 tháng 6 năm 2015; Luật sửa đổi, bổ sung một số điều của Luật Tổ chức Chính phủ và Luật Tổ chức chính quyền địa phương ngày 22 tháng 11 năm 2019;
Căn cứ Luật Lâm nghiệp ngày 15 tháng 11 năm 2017;
Căn cứ Luật Ngân sách nhà nước ngày 25 tháng 6 năm 2015;
Căn cứ Luật Đầu tư công ngày 13 tháng 6 năm 2019;
Căn cứ Luật Đầu tư ngày 17 tháng 6 năm 2020;
Căn cứ Luật Xây dựng ngày 18 tháng 6 năm 2014; Luật sửa đổi, bổ sung một số điều của Luật Xây dựng ngày 17 tháng 6 năm 2020:
Theo đề nghị của Bộ trưởng Bộ Nông nghiệp và Phát triển nông thôn:
Chính phủ ban hành Nghị định về một số chính sách đầu tư trong lâm nghiệp.
Chương I
QUY ĐỊNH CHUNG
Điều 1. Phạm vi điều chỉnh
Nghị định này quy định một số chính sách về đầu tư bảo vệ và phát triển rừng, chế biến lâm sản.
Điều 2. Đối tượng áp dụng
Cơ quan nhà nước, tổ chức, hộ gia đình, cá nhân, cộng đồng dân cư có liên quan đến hoạt động bảo vệ và phát triển rừng, chế biến lâm sản.
Điều 3. Giải thích từ ngữ
Trong Nghị định này, các từ ngữ dưới đây được hiểu như sau:
1. Đầu tư là việc sử dụng ngân sách nhà nước, các nguồn vốn hợp pháp khác cho các chương trình, dự án và hoạt động đầu tư khác để thực hiện bảo vệ và phát triển rừng, chế biến lâm sản theo quy định của pháp luật.
2. Hỗ trợ đầu tư là việc sử dụng ngân sách nhà nước, các nguồn vốn hợp pháp khác hỗ trợ một phần vốn đầu tư để thực hiện bảo vệ và phát triển rừng, chế biến lâm sản theo quy định của pháp luật.
3. Hỗ trợ sau đầu tư là việc sử dụng ngân sách nhà nước, các nguồn vốn hợp pháp khác hỗ trợ cho tổ chức, hộ gia đình, cá nhân, cộng đồng dân cư đã thực hiện hoạt động bảo vệ và phát triển rừng, chế biến lâm sản được cơ quan có thẩm quyền nghiệm thu kết quả thực hiện.
4. Khu lâm nghiệp ứng dụng công nghệ cao là khu công nghệ cao thuộc lĩnh vực nông nghiệp theo quy định của pháp luật về công nghệ cao; là khu nghiên cứu, ứng dụng phát triển và sản xuất các sản phẩm công nghệ cao, công nghệ mới trong lĩnh vực lâm nghiệp, gồm: giống cây lâm nghiệp, cơ giới hóa trong trồng rừng, chăm sóc và khai thác rừng, chế biến lâm sản và sản xuất các sản phẩm phụ trợ ngành chế biến gỗ và lâm sản.
5. Công trình lâm sinh là công trình nông nghiệp và phát triển nông thôn được tạo thành từ việc thực hiện hoạt động đầu tư lâm sinh gồm: khoanh nuôi xúc tiến tái sinh tự nhiên, khoanh nuôi xúc tiến tái sinh tự nhiên có trồng bổ sung, nuôi dưỡng rừng tự nhiên, làm giàu rừng tự nhiên, cải tạo rừng tự nhiên, trồng rừng, chăm sóc rừng trồng, nuôi dưỡng rừng trồng; xây dựng các hạng mục công trình kết cấu hạ tầng kỹ thuật cần thiết phục vụ bảo vệ và phát triển rừng.
6. Xã khu vực II là xã thuộc địa bàn có điều kiện kinh tế - xã hội khó khăn; xã khu vực III là xã thuộc địa bàn có điều kiện kinh tế - xã hội đặc biệt khó khăn vùng đồng bào dân tộc thiểu số và miền núi theo quy định về tiêu chí của Thủ tướng Chính phủ.
7. Vùng đất ven biển bao gồm các xã, phường, thị trấn có biển.
8. Cộng đồng dân cư theo quy định tại khoản 24 Điều 2 Luật Lâm nghiệp.
Điều 4. Nguyên tắc đầu tư trong lâm nghiệp
1. Nhà nước bảo đảm nguồn lực cho hoạt động quản lý, bảo vệ và phát triển rừng đặc dụng, rừng phòng hộ; cấp kinh phí bảo vệ và phát triển rừng sản xuất là rừng tự nhiên trong thời gian đóng cửa rừng phù hợp với khả năng cân đối vốn từ ngân sách nhà nước trong kế hoạch trung hạn và hằng năm.
2. Nhà nước khuyến khích và tạo điều kiện thuận lợi để tổ chức, cá nhân tự đầu tư, huy động vốn hợp pháp để thực hiện dự án đầu tư bảo vệ và phát triển rừng, chế biến lâm sản.
Chương II
MỘT SỐ CHÍNH SÁCH VỀ BẢO VỆ
VÀ PHÁT TRIỂN RỪNG, CHẾ BIẾN LÂM SẢN
Mục 1
CHÍNH SÁCH ĐỐI VỚI RỪNG ĐẶC DỤNG
Điều 5. Cấp kinh phí bảo vệ rừng đặc dụng
1. Đối tượng:
a) Ban quản lý rừng đặc dụng;
b) Ban quản lý rừng phòng hộ;
c) Cộng đồng dân cư;
d) Các đối tượng khác theo quy định tại các khoản 2, 3, 4 Điều 8 Luật Lâm nghiệp.
2. Mức kinh phí:
a) Đối tượng quy định tại điểm a, điểm b khoản 1 Điều này, được Nhà nước cấp kinh phí bảo vệ rừng bình quân 150.000 đồng/ha/năm trên tổng diện tích rừng đặc dụng được giao, ngoài kinh phí sự nghiệp thường xuyên cho các hoạt động của bộ máy ban quản lý rừng.
b) Đối tượng quy định tại điểm c, điểm d khoản 1 Điều này được Nhà nước cấp kinh phí bảo vệ rừng bình quân 500.000 đồng/ha/năm trên tổng diện tích rừng được giao.
c) Kinh phí bảo vệ rừng đối với xã khu vực II, III bằng 1,2 lần mức bình quân, vùng đất ven biển bằng 1,5 lần mức bình quân quy định tại điểm a, điểm b khoản này.
d) Chi phí lập hồ sơ lần đầu về bảo vệ rừng cho đối tượng tại điểm c khoản 1 Điều này là 50.000 đồng/ha; kinh phí quản lý, kiểm tra, nghiệm thu bảo vệ rừng là 7% trên tổng kinh phí chi cho bảo vệ rừng hằng năm.
3. Nội dung chi:
a) Đối tượng quy định tại điểm a khoản 1 Điều này thực hiện các nội dung sau:
Khoán bảo vệ rừng đối với hộ gia đình, cá nhân, cộng đồng dân cư tại địa phương theo quy định tại Điều 19 Nghị định này;
Chi phí tiền công cho lực lượng chuyên trách bảo vệ rừng, thuộc đối tượng không được hưởng lương do ngân sách nhà nước cấp; thuê lao động bảo vệ rừng;
Mua sắm, sửa chữa trang thiết bị phục vụ bảo vệ rừng và các công cụ hỗ trợ, bảo hộ lao động cho lực lượng bảo vệ rừng;
Hỗ trợ các lực lượng tham gia truy quét, tuần tra, kiểm tra, giám sát công tác bảo vệ rừng; tập huấn chuyên môn nghiệp vụ cho lực lượng chuyên trách bảo vệ rừng; tổ chức ký quy ước, cam kết bảo vệ rừng, phòng cháy, chữa cháy rừng; hỗ trợ đào tạo nâng cao nhận thức cộng đồng về bảo vệ rừng; tuyên truyền giáo dục pháp luật trong cộng đồng dân cư;
Chi xây dựng phương án phòng cháy và chữa cháy rừng; diễn tập chữa cháy rừng; trực ngoài giờ phòng cháy, chữa cháy rừng trong các tháng mùa khô và chi các hội nghị phục vụ công tác bảo vệ rừng;
Hỗ trợ chi phí đi lại, hướng dẫn, kiểm tra, giám sát, họp với cộng đồng dân cư để triển khai hoạt động quy định tại Điều 8 Nghị định này;
Thực hiện các hoạt động bảo vệ rừng khác theo quy định của pháp luật về lâm nghiệp.
b) Đối tượng quy định tại điểm b khoản 1 Điều này thực hiện khoán bảo vệ rừng đối với hộ gia đình, cá nhân, cộng đồng dân cư tại địa phương theo quy định tại Điều 19 Nghị định này và chi cho các nội dung sau:
Thuê lao động bảo vệ rừng; chi cho lực lượng chuyên trách bảo vệ rừng thuộc đối tượng không được hưởng lương do ngân sách nhà nước cấp;
Mua sắm, sửa chữa trang thiết bị phục vụ bảo vệ rừng và các công cụ hỗ trợ, bảo hộ lao động cho lực lượng bảo vệ rừng;
Hỗ trợ các lực lượng tham gia truy quét, tuần tra, kiểm tra, giám sát công tác bảo vệ rừng; tập huấn chuyên môn nghiệp vụ cho lực lượng chuyên trách bảo vệ rừng; tổ chức ký quy ước, cam kết bảo vệ rừng, phòng cháy, chữa cháy rừng; hỗ trợ đào tạo nâng cao nhận thức cộng đồng về bảo vệ rừng; tuyên truyền giáo dục pháp luật trong cộng đồng dân cư;
Chi xây dựng phương án phòng cháy và chữa cháy rừng; diễn tập chữa cháy rừng; trực ngoài giờ phòng cháy, chữa cháy rừng trong các tháng mùa khô và chi các hội nghị phục vụ công tác bảo vệ rừng;
Thực hiện các hoạt động bảo vệ rừng khác theo quy định của pháp luật về lâm nghiệp.
c) Đối tượng quy định tại điểm c khoản 1 Điều này thực hiện các hoạt động bảo vệ rừng do chủ rừng quyết định theo quy định của pháp luật về lâm nghiệp.
d) Đối tượng quy định tại điểm d khoản 1 Điều này: đối với doanh nghiệp nhà nước thực hiện khoán bảo vệ rừng cho hộ gia đình, cá nhân, cộng đồng dân cư tại địa phương theo quy định tại Điều 19 Nghị định này và các hoạt động bảo vệ rừng khác do chủ rừng quyết định theo quy định của pháp luật về lâm nghiệp. Đối với các tổ chức khác thực hiện công tác quản lý, bảo vệ rừng theo phương án quản lý rừng bền vững và do chủ rừng quyết định theo quy định của pháp luật về lâm nghiệp.
đ) Căn cứ vào ngân sách nhà nước được phân bổ hàng năm, đối tượng quy định tại khoản 1 Điều này ưu tiên thực hiện các nội dung chi bảo vệ rừng cho khu vực có nguy cơ cao về xâm hại tài nguyên rừng; khu rừng có giá trị đa dạng sinh học cao cần được bảo vệ.
4. Trình tự thực hiện:
a) Đối lượng quy định tại điểm a, điểm b khoản 1 Điều này, thực hiện như sau:
Căn cứ dự toán kinh phí quản lý, bảo vệ rừng được giao hàng năm, Bộ trưởng Bộ Nông nghiệp và Phát triển nông thôn quyết định cấp kinh phí cụ thể cho từng ban quản lý rừng trực thuộc Bộ; Chủ tịch Ủy ban nhân dân cấp tỉnh quyết định cấp kinh phí cụ thể cho từng ban quản lý rừng tại địa phương;
Căn cứ dự toán được cấp có thẩm quyền giao, ban quản lý rừng lập hồ sơ và phê duyệt thiết kế, dự toán kinh phí cho nội dung chi quy định tại khoản 3 Điều này theo quy định tại các Điều 28, 30 và 32 Nghị định này.
b) Đối tượng quy định tại điểm c khoản 1 Điều này, thực hiện như sau:
Phương thức cấp kinh phí: căn cứ diện tích rừng được giao, kết quả bảo vệ rừng giữa chủ rừng là cộng đồng dân cư với Ủy ban nhân dân cấp xã. Thời hạn thực hiện theo năm, hoặc theo kế hoạch 3 năm, hoặc 5 năm;
Hằng năm, Ủy ban nhân dân cấp xã cùng với Kiểm lâm làm việc tại địa bàn có trách nhiệm nghiệm thu, đánh giá kết quả thực hiện bảo vệ rừng cho cộng đồng dân cư;
Trường hợp bên nhận kinh phí bảo vệ rừng để xảy ra mất rừng hoặc phá rừng hoặc không thực hiện theo kế hoạch được duyệt thi lập biên bản xác định diện tích rừng đã mất hoặc bị suy giảm, xác định rõ nguyên nhân và xử lý theo quy định của pháp luật hiện hành;
Kết quả nghiệm thu hằng năm là căn cứ để thanh toán, quyết toán kinh phí.
c) Đối tượng quy định tại điểm d khoản 1 Điều này: đối với doanh nghiệp thực hiện theo quy định tại Nghị định số 32/2019/NĐ-CP ngày 10 tháng 4 năm 2019 của Chính phủ quy định giao nhiệm vụ, đặt hàng hoặc đấu thầu cung cấp sản phẩm dịch vụ công sử dụng ngân sách nhà nước từ nguồn kinh phí chi thường xuyên. Đối với tổ chức khác được Nhà nước cấp thông qua dự toán kinh phí được cấp có thẩm quyền phê duyệt.
Điều 6. Cấp kinh phí khoanh nuôi xúc tiến tái sinh tự nhiên, khoanh nuôi xúc tiến tái sinh tự nhiên có trồng bổ sung thuộc quy hoạch rừng đặc dụng
1. Đối tượng: chủ rừng là tổ chức, cộng đồng dân cư thực hiện khoanh nuôi xúc tiến tái sinh tự nhiên, khoanh nuôi xúc tiến tái sinh tự nhiên có trồng bổ sung.
2. Nội dung và mức kinh phí:
a) Khoanh nuôi xúc tiến tái sinh tự nhiên: mức kinh phí bình quân 1.000.000 đồng/ha/năm trong thời gian 6 năm. Đối với vùng đất ven biển bằng 1,5 lần mức bình quân;
b) Khoanh nuôi xúc tiến tái sinh tự nhiên có trồng bổ sung: mức kinh phí bình quân 2.000.000 đồng/ha/năm trong 3 năm đầu và 1.000.000 đồng/ha/năm cho 3 năm tiếp theo;
c) Chi phí lập hồ sơ lần đầu cho khoanh nuôi xúc tiến tái sinh tự nhiên là 50.000 đồng/ha; chi phí lập hồ sơ thiết kế, dự toán khoanh nuôi xúc tiến tái sinh tự nhiên có trồng bổ sung được xác định bằng dự toán được duyệt; kinh phí quản lý, kiểm tra, nghiệm thu khoanh nuôi xúc tiến tái sinh tự nhiên, khoanh nuôi xúc tiến tái sinh tự nhiên có trồng bổ sung là 7% trên tổng kinh phí chi cho khoanh nuôi xúc tiến tái sinh tự nhiên, khoanh nuôi xúc tiến tái sinh tự nhiên có trồng bổ sung hằng năm.
3. Phê duyệt thiết kế, dự toán khoanh nuôi xúc tiến tái sinh tự nhiên, khoanh nuôi xúc tiến tái sinh tự nhiên có trồng bổ sung rừng đặc dụng thực hiện theo quy định tại Điều 32 Nghị định này.
Điều 7. Đầu tư trồng rừng, nuôi dưỡng rừng tự nhiên, làm giàu rừng đặc dụng
1. Đối tượng: chủ rừng là tổ chức, cộng đồng dân cư thực hiện trồng rừng, nuôi dưỡng rừng tự nhiên, làm giàu rừng đặc dụng.
2. Mức đầu tư: theo định mức kinh tế kỹ thuật, thiết kế, dự toán công trình lâm sinh được cơ quan nhà nước có thẩm quyền phê duyệt.
3. Trình tự, thủ tục lập, thẩm định, phê duyệt thiết kế, dự toán đầu tư trồng rừng, nuôi dưỡng rừng tự nhiên, làm giàu rừng đặc dụng thực hiện theo quy định tại các Điều 29, 30 và 31 Nghị định này.
Điều 8. Hỗ trợ kinh phí để phát triển sinh kế, cải thiện đời sống người dân vùng đệm của các khu rừng đặc dụng
1. Đối tượng và mức hỗ trợ: cộng đồng dân cư thuộc vùng đệm của khu rừng đặc dụng được hỗ trợ bình quân là 50.000.000 đồng/cộng đồng dân cư/năm.
2. Nội dung hỗ trợ:
Căn cứ vào nguồn kinh phí được hỗ trợ, cộng động dân cư xác định nội dung hỗ trợ theo thứ tự ưu tiên sau:
a) Hoạt động khuyến nông, khuyến lâm, giống cây trồng, giống vật nuôi; thiết bị chế biến nông lâm sản quy mô nhỏ;
b) Vật liệu xây dựng cho các công trình công cộng của cộng đồng dân cư như công trình nước sạch, điện chiếu sáng, thông tin liên lạc, đường giao thông thôn, nhà văn hóa và các công trình khác.
3. Điều kiện được hỗ trợ:
a) Cộng đồng dân cư có quá trình bảo vệ rừng tốt, không để xảy ra các vụ vi phạm nghiêm trọng trong công tác bảo vệ rừng;
b) Có kế hoạch, dự toán được duyệt; có cam kết bảo vệ rừng với ban quản lý rừng đặc dụng;
c) Không trùng lặp nội dung hỗ trợ với dự án được đầu tư, hỗ trợ từ ngân sách nhà nước khác được cấp có thẩm quyền phê duyệt.
4. Trình tự thực hiện hỗ trợ:
a) Lập kế hoạch, dự toán và phê duyệt kinh phí hỗ trợ:
Hằng năm, Trưởng thôn tổ chức họp với cộng đồng dân cư về đề xuất nội dung, kế hoạch, dự toán kinh phí đề nghị hỗ trợ và thống nhất tại biên bản họp theo Mẫu số 01 và lập kế hoạch, dự toán kinh phí hỗ trợ theo Mẫu số 02 Phụ lục kèm theo Nghị định này, gửi Ủy ban nhân dân cấp xâ và ban quản lý rừng đặc dụng;
Ban quản lý rừng đặc dụng chủ trì, phối hợp với Ủy ban nhân dân cấp xã họp với cộng đồng dân cư có đề nghị hỗ trợ và thống nhất đồng phê duyệt kế hoạch, dự toán kinh phí hỗ trợ của cộng đồng dân cư.
b) Thực hiện hỗ trợ:
Cộng đồng dân cư tự tổ chức thực hiện các nội dung kế hoạch, dự toán hỗ trợ kinh phí được duyệt. Đối với các nội dung cộng đồng dân cư không tự tổ chức thực hiện được, đề nghị Ủy ban nhân dân cấp xã hoặc ban quản lý rừng đặc dụng hỗ trợ thực hiện;
Trưởng hợp có nhu cầu điều chỉnh kế hoạch và kinh phí hỗ trợ, cộng đồng dân cư đề nghị ban quản lý rừng đặc dụng, Ủy ban nhân dân cấp xã xem xét, điều chỉnh.
c) Nghiệm thu, giám sát thực hiện:
Cộng đồng dân cư tự tổ chức giám sát thực hiện kế hoạch, kinh phí hỗ trợ theo quy định của pháp luật về dân chủ ở cơ sở;
Sau khi hoàn thành các nội dung kế hoạch được phê duyệt hỗ trợ hoặc kết thúc năm, ban quản lý rừng đặc dụng phối hợp với Ủy ban nhân dân cấp xã tổ chức nghiệm thu. Kết quả nghiệm thu được thể hiện trong biên bản nghiệm thu. Thành phần tham gia nghiệm thu gồm đại diện ban quản lý rừng đặc dụng, Ủy ban nhân dân cấp xã và đại diện cộng đồng dân cư. Nội dung nghiệm thu, bao gồm:
Đối với các hoạt động khuyến nông, khuyến lâm: nghiệm thu theo kế hoạch, dự toán hỗ trợ;
Đối với hỗ trợ giống cây, giống con, thiết bị chế biến nông, lâm sản quy mô nhỏ: nghiệm thu theo kế hoạch, dự toán hỗ trợ và theo hóa đơn hoặc biên nhận (trong trường hợp không có hóa đơn) và danh sách ký nhận của các hộ gia đình, cá nhân hay tổ hợp lác (nếu có);
Đối với hỗ trợ vật liệu xây dựng các công trình công cộng thôn: nghiệm thu số lượng, khối lượng vật tư hỗ trợ theo kế hoạch, dự toán. Riêng đối với các công trình đồng hỗ trợ, bổ sung ký xác nhận vật liệu của ban quản lý dự án công trình.
Mục 2
CHÍNH SÁCH ĐỐI VỚI RỪNG PHÒNG HỘ
Điều 9. Cấp kinh phí bảo vệ rừng phòng hộ
1. Đối tượng:
a) Ban quản lý rừng phòng hộ;
b) Ban quản lý rừng đặc dụng;
c) Doanh nghiệp nhà nước;
d) Hộ gia đình, cá nhân, cộng đồng dân cư;
đ) Ủy ban nhân dân cấp xã đang quản lý diện tích rừng chưa giao, chưa cho thuê;
e) Các đối tượng khác theo quy định tại khoản 3, khoản 4 Điều 8 Luật Lâm nghiệp.
2. Mức kinh phí:
a) Đối tượng quy định tại điểm a khoản 1 Điều này được Nhà nước cấp kinh phí bảo vệ rừng bình quân 500.000 đồng/ha/năm trên tổng diện tích rừng phòng hộ được giao, ngoài kinh phí sự nghiệp thường xuyên cho các hoạt động của bộ máy ban quản lý rừng.
b) Đối tượng quy định tại điểm b khoản 1 Điều này được Nhà nước cấp kinh phí bảo vệ rừng theo quy định tại điểm a khoản 2 Điều 5 Nghị định này.
c) Đối tượng quy định tại các điểm c, d và e khoản 1 Điều này được Nhà nước cấp kinh phí bảo vệ rừng theo quy định tại điểm b khoản 2 Điều 5 Nghị định này.
d) Đối tượng quy định tại điểm đ khoản 1 Điều này được Nhà nước cấp kinh phí quản lý, bảo vệ rừng bình quân 150.000 đồng/ha/năm trên tổng diện tích rừng được giao.
đ) Kinh phí bảo vệ rừng đối với xã khu vực II, III bằng 1,2 lần mức bình quân, vùng đất ven biển bằng 1,5 lần mức bình quân quy định tại các điểm a, b, c và d khoản này.
e) Chi phí lập hồ sơ lần đầu về bảo vệ rừng cho đối tượng tại điểm d khoản 1 Điều này là 50.000 đồng/ha; kinh phí quản lý, kiểm tra, nghiệm thu bảo vệ rừng là 7% trên tổng kinh phí chi cho bảo vệ rừng hằng năm.
3. Nội dung chi:
a) Đối tượng quy định tại điểm a khoản 1 Điều này thực hiện các nội dung theo quy định tại điểm b khoản 3 Điều 5 Nghị định này.
b) Đối tượng quy định tại điểm b khoản 1 Điều này thực hiện các nội dung theo quy định tại điểm a khoản 3 Điều 5 Nghị định này.
c) Đối tượng quy định tại điểm c khoản 1 Điều này thực hiện khoán bảo vệ rừng cho hộ gia đình, cá nhân, cộng đồng dân cư tại địa phương theo quy định tại Điều 19 Nghị định này và các hoạt động bảo vệ rừng khác do chủ rừng quyết định theo quy định của pháp luật về lâm nghiệp.
d) Đối tượng quy định tại điểm d khoản 1 Điều này thực hiện các hoạt động theo quy định tại điểm c khoản 3 Điều 5 Nghị định này.
đ) Đối tượng quy định tại điểm d khoản 1 Điều này thực hiện các hoạt động sau:
Duy trì hoạt động thường xuyên của tổ, đội quần chúng bảo vệ rừng; tuyên truyền, phổ biến, giáo dục pháp luật về bảo vệ rừng;
Hợp đồng lao động bảo vệ rừng và phòng cháy, chữa cháy rừng và các hoạt động khác trong công tác quản lý, bảo vệ rừng; tổ chức thực hiện các hoạt động chống chặt phá rừng;
Chi xây dựng phương án phòng cháy và chữa cháy rừng, diễn tập chữa cháy rừng;
Chi công tác quản lý, kiểm tra, giám sát về bảo vệ rừng; chi lập và nhận hồ sơ đề nghị giao rừng, cho thuê rừng và giao đất, cho thuê đất lâm nghiệp đối với các tổ chức, hộ gia đình, cá nhân và cộng đồng dân cư theo thẩm quyền.
e) Đối tượng quy định tại điểm e khoản 1 Điều này thực hiện công tác quản lý, bảo vệ rừng theo phương án quản lý rừng bền vững và do chủ rừng quyết định theo quy định của pháp luật về lâm nghiệp.
g) Căn cứ vào ngân sách nhà nước được phân bổ hằng năm, đối tượng quy định tại khoản 1 Điều này ưu tiên thực hiện các nội dung chi bảo vệ rừng đối với khu vực có nguy cơ cao về xâm hại tài nguyên rừng và khu vực rừng xung yếu cần được bảo vệ.
4. Trình tự thực hiện:
a) Đối tượng quy định tại điểm a, điểm b khoản 1 Điều này thực hiện theo quy định tại điểm a khoản 4 Điều 5 Nghị định này.
b) Đối tượng quy định tại điểm c, e khoản 1 Điều này thực hiện theo quy định tại điểm c khoản 4 Điều 5 Nghị định này.
c) Đối tượng quy định tại điểm d khoản 1 Điều này thực hiện theo quy định tại điểm b khoản 4 Điều 5 Nghị định này.
d) Đối tượng quy định tại điểm đ khoản 1 Điều này thực hiện như sau:
Trước ngày 30 tháng 5 hằng năm, Ủy ban nhân dân cấp xã xây dựng kế hoạch và dự toán kinh phí bảo vệ rừng đối với diện tích rừng chưa giao, chưa cho thuê năm sau và đưa vào trong dự toán kinh phí ngân sách xã cùng năm, trình cấp có thẩm quyền phê duyệt, phân bổ kinh phí hằng năm theo quy định của Luật Ngân sách nhà nước từ nguồn kinh phí sự nghiệp.
Điều 10. Cấp kinh phí khoanh nuôi xúc tiến tái sinh tự nhiên, khoanh nuôi xúc tiến tái sinh tự nhiên có trồng bổ sung thuộc quy hoạch rừng phòng hộ
1. Đối tượng: Chủ rừng là tổ chức, hộ gia đình, cá nhân, cộng đồng dân cư thực hiện khoanh nuôi xúc tiến tái sinh tự nhiên, khoanh nuôi xúc tiến tái sinh tự nhiên có trồng bổ sung.
2. Nội dung và mức kinh phí thực hiện theo quy định tại khoản 2 Điều 6 Nghị định này.
3. Phê duyệt thiết kế, dự toán khoanh nuôi xúc tiến tái sinh tự nhiên, khoanh nuôi xúc tiến tái sinh tự nhiên có trồng bổ sung rừng phòng hộ thực hiện theo quy định tại Điều 32 Nghị định này.
Điều 11. Đầu tư trồng rừng, nuôi dưỡng rừng tự nhiên, làm giàu rừng phòng hộ
1. Đối tượng: chủ rừng là tổ chức, hộ gia đình, cá nhân, cộng đồng dân cư thực hiện trồng rừng, nuôi dưỡng rừng tự nhiên, làm giàu rừng phòng hộ.
2. Mức đầu tư trồng rừng, nuôi dưỡng rừng tự nhiên, làm giàu rừng phòng hộ theo quy định tại khoản 2 Điều 7 Nghị định này.
3. Trình tự, thủ tục lập, thẩm định, phê duyệt thiết kế, dự toán đầu tư trồng rừng, nuôi dưỡng rừng tự nhiên, làm giàu rừng phòng hộ thực hiện theo quy định tại các Điều 29, 30 và 31 Nghị định này.
Mục 3
CHÍNH SÁCH ĐỐI VỚI RỪNG SẢN XUẤT
Điều 12. Hỗ trợ kinh phí bảo vệ rừng sản xuất là rừng tự nhiên trong thời gian đóng cửa rừng
1. Đối tượng:
a) Ban quản lý rừng đặc dụng;
b) Ban quản lý rừng phòng hộ;
c) Doanh nghiệp nhà nước được Nhà nước giao rừng sản xuất là rừng tự nhiên trước ngày 01 tháng 01 năm 2019;
d) Hộ gia đình, cá nhân, cộng đồng dân cư;
đ) Ủy ban nhân dân cấp xã đang quản lý diện tích rừng chưa giao, chưa cho thuê;
e) Các đối tượng khác theo quy định tại khoản 2, khoản 3 Điều 8 Luật Lâm nghiệp.
2. Mức kinh phí:
a) Đối tượng quy định tại các điểm a, b và đ khoản 1 Điều này được Nhà nước cấp kinh phí bảo vệ rừng bình quân 150.000 đồng/ha/năm trên tổng diện tích rừng sản xuất là rừng tự nhiên được giao.
b) Đối tượng quy định tại các điểm c, d và e khoản 1 Điều này được Nhà nước cấp kinh phí bảo vệ rừng bình quân 500.000 đồng/ha/năm trên tổng diện tích rừng sản xuất là rừng tự nhiên được giao.
c) Kinh phí bảo vệ rừng đối với xã khu vực II, III bằng 1, 2 lần mức bình quân, xà vùng đất ven biển bằng 1,5 lần mức bình quân quy định tại điểm a, b khoản này.
d) Chi phí lập hồ sơ lần đầu về bảo vệ rừng cho đối tượng tại điểm d khoản 1 Điều này là là 50.000 đồng/ha; kinh phí quản lý, kiểm tra, nghiệm thu bảo vệ rừng là 7% trên tổng kinh phí chi cho bảo vệ rừng hằng năm.
3. Nội dung chi:
a) Đối tượng quy định tại điểm a khoản 1 Điều này thực hiện các nội dung theo quy định tại điểm a khoản 3 Điều 5 Nghị định này.
b) Đối tượng quy định tại điểm b khoản 1 Điều này thực hiện các nội dung theo quy định tại điểm b khoản 3 Điều 5 Nghị định này.
c) Đối tượng quy định tại điểm c, e khoản 1 Điều này thực hiện các nội dung theo quy định tại điểm d khoản 3 Điều 5 Nghị định này.
d) Đối tượng quy định tại điểm d khoản 1 Điều này thực hiện các nội dung theo quy định tại điểm c khoản 3 Điều 5 Nghị định này.
đ) Đối tượng quy định tại điểm đ khoản 1 Điều này thực hiện các nội dung theo quy định tại điểm đ khoản 3 Điều 9 Nghị định này.
e) Căn cứ vào ngân sách nhà nước được phân bổ hằng năm, đối tượng quy định tại khoản 1 Điều này ưu tiên thực hiện các nội dung chi bảo vệ rừng cho khu vực có nguy cơ cao về xâm hại tài nguyên rừng.
4. Trình tự thực hiện:
a) Đối tượng quy định tại điểm a, điểm b khoản 1 Điều này thực hiện theo quy định tại điểm a khoản 4 Điều 5 Nghị định này.
b) Đối tượng quy định tại điểm c, e khoản 1 Điều này thực hiện theo quy định tại điểm c khoản 4 Điều 5 Nghị định này.
c) Đối tượng quy định tại điểm d khoản 1 Điều này thực hiện theo quy định tại điểm b khoản 4 Điều 5 Nghị định này.
d) Đối tượng quy định tại điểm đ khoản 1 Điều này thực hiện theo quy định tại điểm d khoản 4 Điều 9 Nghị định này.
Điều 13. Hỗ trợ khoanh nuôi xúc tiến tái sinh tự nhiên có trồng bổ sung thuộc quy hoạch rừng sản xuất là rừng tự nhiên
1. Đối tượng: chủ rừng là tổ chức, hộ gia đình người dân tộc Kinh thuộc diện hộ nghèo, hộ gia đình đồng bào dân tộc thiểu số, cá nhân, cộng đồng dân cư đang sinh sống ổn định tại xã biên giới, hải đảo, vùng đồng bào dân tộc thiểu số và miền núi theo quy định của Thủ tướng Chính phủ thực hiện khoanh nuôi xúc tiến tái sinh tự nhiên có trồng bổ sung thuộc quy hoạch rừng sản xuất là rừng tự nhiên.
2. Mức hỗ trợ bình quân 8.000.000 đồng/ha. Chi phí lập hồ sơ thiết kế, dự toán khoanh nuôi xúc tiến tái sinh tự nhiên có trồng bổ sung được xác định bằng dự toán được duyệt; kinh phí quản lý, kiểm tra, nghiệm thu khoanh nuôi xúc tiến tái sinh tự nhiên có trồng bổ sung là 7% trên tổng kinh phí chi cho khoanh nuôi xúc tiến tái sinh tự nhiên có trồng bổ sung hằng năm.
3. Phê duyệt thiết kế, dự toán khoanh nuôi xúc tiến tái sinh tự nhiên có trồng bổ sung thực hiện theo quy định tại Điều 32 Nghị định này.
Điều 14. Hỗ trợ đầu tư trồng rừng sản xuất và phát triển lâm sản ngoài gỗ
1. Đối tượng: chủ rừng là hộ gia đình người dân tộc Kinh thuộc diện hộ nghèo, hộ gia đình đồng bào dân tộc thiểu số, cộng đồng dân cư đang sinh sống ổn định tại xã biên giới, hải đảo, vùng đồng bào dân tộc thiểu số và miền núi theo quy định của Thủ tướng Chính phủ thực hiện trồng rừng sản xuất, trồng cây lâm sản ngoài gỗ trên diện tích đất được giao, được cho thuê thuộc quy hoạch đất rừng sản xuất.
2. Mức hỗ trợ:
a) Hỗ trợ một lần bình quân 15.000.000 đồng/ha/chu kỳ để mua cây giống, vật tư, phân bón đối với trồng cây lấy gỗ, cây lâm sản ngoài gỗ theo chu kỳ kinh doanh của loài cây trồng.
b) Hỗ trợ chi phí cho công tác khuyến lâm: 500.000 đồng/ha/4 năm (1 năm trồng và 3 năm chăm sóc).
c) Hỗ trợ một lần chi phí khảo sát, thiết kế; chi phí quản lý, kiểm tra, nghiệm thu theo dự toán được duyệt.
3. Điều kiện được hỗ trợ:
a) Có đất trồng rừng sản xuất được cấp có thẩm quyền giao đất, cho thuê đất hoặc được cấp giấy chứng nhận quyền sử dụng đất hoặc đã sử dụng đất ổn định theo quy định của pháp luật về đất đai, không có tranh chấp; không hỗ trợ đầu tư cho các diện tích đã được nhà nước đầu tư hoặc đã dùng vốn tín dụng đầu tư của Nhà nước; không hỗ trợ lặp lại trong một chương trình, dự án;
b) Cây giống để trồng rừng của chủ rừng phải có đủ hồ sơ theo quy định của Chính phủ về quản lý giống cây trồng lâm nghiệp.
4. Phương thức hỗ trợ: hỗ trợ đầu tư hoặc hỗ trợ sau đầu tư theo dự án được cấp có thẩm quyền phê duyệt.
Ủy ban nhân dân cấp tỉnh giao cơ quan chuyên môn về lĩnh vực lâm nghiệp hoặc Ủy ban nhân dân cấp huyện lập và làm chủ đầu tư dự án hỗ trợ đầu tư trồng rừng sản xuất và phát triển lâm sản ngoài gỗ trên địa bàn, trình Ủy ban nhân dân cấp tỉnh phê duyệt.
Quy định làm chủ đầu tư dự án hỗ trợ đầu tư trồng rừng sản xuất và phát triển lâm sản ngoài gỗ trong trường hợp được Ủy ban nhân dân cấp tỉnh giao theo quy định tại khoản 4 Điều 14 Nghị định 58/2024/NĐ-CP thuộc thẩm quyền của Ủy ban nhân dân cấp xã thực hiện theo quy định tại khoản 5 Điều 12 Nghị định 131/2025/NĐ-CP.
Điều 15. Hỗ trợ tín dụng đầu tư trồng rừng gỗ lớn
1. Đối tượng: chủ rừng là doanh nghiệp, hộ gia đình, cá nhân trồng rừng gỗ lớn trên diện tích đất lâm nghiệp được giao, được thuê.
2. Đối với chủ rừng là hộ gia đình, cá nhân
Được ngân sách địa phương hỗ trợ lãi suất vay thương mại như sau:
a) Mức hỗ trợ: bằng chênh lệch lãi suất vay thương mại so với lãi suất cho vay tín dụng đầu tư của Nhà nước, tính trên số vốn vay dư nợ thực tế tại thời điểm xem xét hỗ trợ;
b) Thời gian hỗ trợ lãi suất: tính từ ngày bắt đầu giải ngân theo hợp đồng tín dụng đầu tư với ngân hàng thương mại, tối đa 12 năm;
c) Số vốn vay được hỗ trợ lãi suất: không quá 70% tổng vốn vay tại ngân hàng thương mại;
d) Điều kiện được hỗ trợ:
Có đất trồng rừng sản xuất được cấp có thẩm quyền giao đất, cho thuê đất hoặc được cấp giấy chứng nhận quyền sử dụng đất hoặc đã sử dụng đất ổn định theo quy định của pháp luật về đất đai, không có tranh chấp;
Chưa được hỗ trợ lãi suất từ ngân sách nhà nước, hỗ trợ từ các chính sách khác.
đ) Trình tự, thủ tục hỗ trợ lãi suất:
Chủ rừng gửi trực tiếp, qua dịch vụ bưu chính hoặc qua môi trường mạng 01 bộ hồ sơ đến Ủy ban nhân dân cấp huyện. Hồ sơ gồm: văn bản đề nghị hỗ trợ lãi suất vay vốn ngân hàng theo Mẫu số 03 Phụ lục kèm theo Nghị định này; bản thiết kế trồng rừng, chăm sóc năm thứ nhất theo Mẫu số 04 Phụ lục kèm theo Nghị định này; bản sao hợp đồng tín dụng đã ký giữa chủ rừng và ngân hàng thương mại;
Trường hợp hồ sơ không hợp lệ, Ủy ban nhân dân cấp huyện có trách nhiệm trả lời bằng văn bản cho chủ rừng trong thời hạn 02 ngày làm việc kể từ ngày nhận được hồ sơ;
Trong thời hạn 20 ngày, kể từ khi nhận được hồ sơ hợp lệ, Ủy ban nhân dân cấp huyện chủ trì, phối hợp với các cơ quan có liên quan tổ chức xác minh hồ sơ đề nghị hỗ trợ lãi suất và lập biên bản xác minh điều kiện hỗ trợ lãi suất tín dụng theo Mẫu số 05 Phụ lục kèm theo Nghị định này, trình Ủy ban nhân dân cấp tỉnh quyết định. Trường hợp không hỗ trợ, Ủy ban nhân dân cấp tỉnh có văn bản trả lời và nêu rõ lý do;
Việc tiếp nhận hồ sơ đề nghị hỗ trợ tín dụng đầu tư trồng rừng gỗ lớn đối với chủ rừng là hộ gia đình, cá nhân theo quy định tại điểm đ khoản 2 Điều 15 Nghị định 58/2024/NĐ-CP thuộc thẩm quyền của Ủy ban nhân dân cấp xã thực hiện theo quy định tại khoản 6 Điều 12 Nghị định 131/2025/NĐ-CP.
e) Hội đồng nhân dân cấp tỉnh quyết định mức hỗ trợ chênh lệch lãi suất cụ thể phù hợp với điều kiện kinh tế - xã hội của địa phương;
g) Việc lập dự toán, thanh quyết toán tiền hỗ trợ lãi suất thực hiện theo quy định của Luật Ngân sách nhà nước và pháp luật có liên quan khác.
3. Đối với chủ rừng là doanh nghiệp
Được hưởng chính sách hỗ trợ đầu tư; trình tự, thủ tục về hỗ trợ đầu tư thực hiện theo quy định của Chính phủ về chính sách khuyến khích doanh nghiệp đầu tư vào nông nghiệp, nông thôn và các quy định về chính sách tín dụng phục vụ phát triển nông nghiệp, nông thôn.
Điều 16. Hỗ trợ kinh phí xây dựng phương án quản lý rừng bền vững và cấp chứng chỉ quản lý rừng bền vững
1. Đối tượng: chủ rừng có rừng trồng sản xuất, trừ chủ rừng là doanh nghiệp có vốn đầu tư nước ngoài.
2. Mức hỗ trợ và hình thức hỗ trợ:
a) Mức hỗ trợ: hỗ trợ một lần xây dựng phương án quản lý rừng bền vững và cấp chứng chỉ quản lý rừng bền vững tối đa 400.000 đồng/ha.
h) Hình thức hỗ trợ: hỗ trợ sau đầu tư.
3. Điều kiện được hỗ trợ:
a) Có dự án quản lý rừng bền vững và cấp chứng chỉ quản lý rừng bền vững được Ủy ban nhân dân cấp tỉnh phê duyệt;
b) Có diện tích rừng trồng sản xuất được cấp chứng chỉ quản lý rừng bền vững.
4. Trình tự hỗ trợ:
a) Sở Nông nghiệp và Phát triển nông thôn xây dựng dự án quản lý rừng bền vững và cấp chứng chỉ quản lý rừng bền vững trên địa bàn tỉnh, trong đó xác định rõ quy mô, địa điểm, diện tích, danh sách chủ rừng, nguồn kinh phí hỗ trợ trình Ủy ban nhân dân cấp tỉnh phê duyệt;
b) Hằng năm, Ủy ban nhân dân cấp tỉnh giao dự toán kinh phí hỗ trợ xây dựng phương án quản lý rừng bền vững và cấp chứng chỉ quản lý rừng bền vững theo dự án được duyệt quy định tại điểm a khoản này cho Sở Nông nghiệp và Phát triển nông thôn để cấp kinh phí hỗ trợ cho chủ rừng là tổ chức và giao dự toán kinh phí hỗ trợ xây dựng phương án quản lý rừng bền vững và cấp chứng chỉ quản lý rừng bền vững cho Ủy ban nhân dân cấp huyện để cấp kinh phí hỗ trợ cho chủ rừng là hộ gia đình, cá nhân, cộng đồng dân cư thông qua Ủy ban nhân dân cấp xã;
Cấp kinh phí hỗ trợ xây dựng phương án quản lý rừng bền vững và cấp chứng chỉ quản lý rừng bền vững cho chủ rừng là hộ gia đình, cá nhân, cộng đồng dân cư theo quy định tại điểm b khoản 4 Điều 16 Nghị định 58/2024/NĐ-CP thuộc thẩm quyền của Ủy ban nhân dân cấp xã thực hiện theo quy định tại khoản 7 Điều 12 Nghị định 131/2025/NĐ-CP.
c) Đối với chủ rừng là tổ chức: sau khi có diện tích rừng được cấp chứng chỉ quản lý rừng bền vững, gửi đề nghị hỗ trợ kinh phí xây dựng phương án quản lý rừng bền vững và cấp chứng chỉ quản lý rừng bền vững theo Mẫu số 06 Phụ lục kèm theo Nghị định này đến Sở Nông nghiệp và Phát triển nông thôn;
Sở Nông nghiệp và Phát triển nông thôn kiểm tra hồ sơ và cấp kinh phí hỗ trợ cho chủ rừng và thanh quyết toán kinh phí hỗ trợ theo quy định của Luật Ngân sách nhà nước. Trường hợp không cấp kinh phí hỗ trợ cho chủ rừng, Sở Nông nghiệp và Phát triển nông thôn có văn bản trả lời và nêu rõ lý do.
d) Đối với chủ rừng là hộ gia đình, cá nhân, cộng đồng dân cư cùng thống nhất hình thành nhóm hộ và cử thành viên đại diện: sau khi rừng được tổ chức chứng nhận cấp chứng chỉ quản lý rừng bền vững, đại diện nhóm hộ gửi đề nghị hỗ trợ kinh phí xây dựng phương án quản lý rừng bền vững và cấp chứng chỉ quản lý rừng bền vững theo Mẫu số 07 Phụ lục kèm theo Nghị định này đến Ủy ban nhân cấp xã;
Ủy ban nhân dân cấp xã căn cứ dự toán kinh phí được Ủy ban nhân dân cấp huyện giao hàng năm, kiểm tra hồ sơ và cấp kinh phí hỗ trợ cho đại diện nhóm hộ và thanh quyết toán kinh phí hỗ trợ theo quy định của Luật Ngân sách nhà nước. Trường hợp không cấp kinh phí hỗ trợ cho đại diện nhóm hộ, Ủy ban nhân dân cấp xã có văn bản trả lời và nêu rõ lý do.
Điều 17. Hỗ trợ đầu tư xây dựng đường lâm nghiệp và đường băng cản lửa tại những khu rừng sản xuất
1. Xây dựng đường lâm nghiệp
a) Đối tượng, điều kiện hỗ trợ: khu vực trồng rừng sản xuất có quy mô tập trung từ 500 ha trở lên;
b) Mức hỗ trợ đầu tư xây dựng đường lâm nghiệp tối đa 450.000.000 đồng/km;
c) Trình tự hỗ trợ đầu tư xây dựng đường lâm nghiệp theo quy định tại khoản 5 Điều 27 Nghị định này.
2. Xây dựng đường băng cản lửa
a) Đối tượng, điều kiện hỗ trợ: đường băng cản lửa tại khu rừng sản xuất có quy mô tập trung từ 500 ha trở lên;
b) Mức hỗ trợ đầu tư xây dựng đường băng cản lửa tối đa 100.000.000 đồng/km;
c) Trình tự hỗ trợ đầu tư đường băng cản lửa theo quy định tại khoản 5 Điều 27 Nghị định này.
Điều 18. Hỗ trợ đầu tư phát triển hợp tác, liên kết trồng rừng sản xuất gắn với chế biến và tiêu thụ lâm sản
1. Đối tượng áp dụng: chủ rừng hợp tác, liên kết với doanh nghiệp chế biến, thương mại lâm sản.
2. Điều kiện để được hỗ trợ:
Các bên tham gia liên kết được hỗ trợ phải đáp ứng các điều kiện sau đây:
a) Các bên tham gia hợp tác, liên kết có hợp đồng, dự án liên kết trồng rừng sản xuất gắn với chế biến và tiêu thụ lâm sản theo quy định tại các Điều 4, 5 và 6 Nghị định số 98/2018/NĐ-CP ngày 05 tháng 7 năm 2018 của Chính phủ về chính sách khuyến khích phát triển, hợp tác, liên kết trong sản xuất và tiêu thụ sản phẩm nông sản;
b) Dự án liên kết gắn trồng rừng sản xuất với chế biến, tiêu thụ lâm sản phù hợp với quy hoạch phát triển kinh tế xã hội của địa phương;
c) Thời gian liên kết tối thiểu là 7 năm.
3. Nội dung, mức hỗ trợ và trình tự, thủ tục hỗ trợ đầu tư thực hiện theo quy định tại các Điều 7, 8, 9 và 12 Nghị định số 98/2018/NĐ-CP.
Mục 4
MỘT SỐ CHÍNH SÁCH CHUNG
VỀ BẢO VỆ, PHÁT TRIỂN RỪNG VÀ CHẾ BIẾN LÂM SẢN
Điều 19. Khoán bảo vệ rừng
1. Đối tượng quy định tại điểm a, điểm b khoản 1 Điều 5, các điểm a, b và c khoản 1 Điều 9, các điểm a, b và c khoản 1 Điều 12 ưu tiên thực hiện khoán bảo vệ rừng: diện tích rừng tiếp giáp khu dân cư cho hộ gia đình đồng bào dân tộc thiểu số, hộ gia đình người dân tộc Kinh thuộc diện hộ nghèo tại xã khu vực II, III, hộ gia đình, cá nhân, cộng đồng dân cư tại địa phương; diện tích rừng tiếp giáp với khu vực có nguy cơ cao về xâm hại tài nguyên rừng.
2. Điều kiện, hạn mức khoán bảo vệ rừng thực hiện theo quy định tại Điều 4, khoản 2 Điều 6 Nghị định số 168/2016/NĐ-CP ngày 27 tháng 12 năm 2016 của Chính phủ quy định về khoán rừng, vườn cây và diện tích mặt nước trong các ban quản lý rừng đặc dụng, rừng phòng hộ và công ty trách nhiệm hữu hạn một thành viên nông, làm nghiệp Nhà nước.
3. Mức kinh phí khoán bảo vệ rừng:
a) Mức kinh phí khoán bảo vệ rừng đặc dụng, rừng phòng hộ, rừng sản xuất là rừng tự nhiên từ ngân sách nhà nước bình quân 500.000 đồng/ha/năm. Đối với diện tích rừng thuộc xã khu vực II, III bằng 1,2 lần mức bình quân, vùng đất ven biển bằng 1.5 lần mức bình quân.
b) Chi phí lập hồ sơ lần đầu cho khoán bảo vệ rừng là 50.000 đồng/ha; kinh phí quản lý, kiểm tra, nghiệm thu bảo vệ rừng là 7% trên tổng kinh phí chi cho bảo vệ rừng hàng năm.
4. Nguồn kinh phí khoán bảo vệ rừng được sử dụng từ nguồn kinh phí Nhà nước cấp cho chủ rừng quy định tại khoản 2 Điều 5; khoản 2 Điều 9 và khoản 2 Điều 12 Nghị định này và các nguồn kinh phí hợp pháp khác.
5. Phương thức khoán bảo vệ rừng thực hiện thông qua hợp đồng khoán bảo vệ rừng hằng năm. Hằng năm, bên khoán có trách nhiệm nghiệm thu, đánh giá kết quả thực hiện hợp đồng đối với bên nhận khoán theo quy định của Bộ Nông nghiệp và Phát triển nông thôn.
Điều 20. Kinh phí chữa cháy rừng
1. Đối tượng:
a) Chủ rừng theo quy định Điều 8 của Luật Lâm nghiệp;
b) Ủy ban nhân dân cấp xã đang quản lý diện tích rừng chưa giao, chưa cho thuê;
c) Cơ quan Kiểm lâm các cấp, các cơ quan, tổ chức, cá nhân và các lực lượng tham gia chữa cháy rừng.
2. Nội dung và mức chi:
a) Chi tiền ăn đối với các lực lượng và những người tham gia chữa cháy rừng (bao gồm cả người hưởng lương và người không hưởng lương từ ngân sách nhà nước) theo lệnh điều động, huy động của người có thẩm quyền tối đa bằng 0,4 ngày lương tối thiểu vùng/suất ăn;
b) Người được điều động, huy động trực tiếp chữa cháy rừng và phục vụ chữa cháy rừng theo lệnh điều động, huy động được hưởng chế độ, chính sách theo quy định tại Điều 34 Nghị định số 136/2020/NĐ-CP ngày 24 tháng 11 năm 2020 của Chính phủ quy định chi tiết một số điều và biện pháp thi hành Luật Phòng cháy và chữa cháy và Luật sửa đổi, bổ sung một số điều của Luật Phòng cháy và chữa cháy. Thời gian chữa cháy rừng được tính kể từ khi người tham gia chữa cháy rừng nhận được lệnh điều động, huy động tham gia chữa cháy đến khi đám cháy được dập tắt và có thông báo kết thúc thời gian chữa cháy của người có thẩm quyền huy động;
Khi chữa cháy rừng ở cách xa nơi cư trú, không có điều kiện đi, về hằng ngày thì được cấp huy động bố trí nơi ăn, nghỉ, hỗ trợ phương tiện, chi phí đi lại hoặc thanh toán tiền tàu xe một lần đi và về theo quy định chế độ công tác của Bộ Tài chính; được hỗ trợ tiền ăn theo mức do Ủy ban nhân dân cấp tỉnh quy định.
c) Chi cho việc mua nước uống cho người tham gia chữa cháy rừng, mua nhiên liệu (xăng, dầu), sửa chữa, bồi thường thiệt hại khi phương tiện, thiết bị được huy động, thuê để chữa cháy rừng. Đối với phương tiện, thiết bị của chủ sở hữu (trừ chủ rừng) được huy động tham gia chữa cháy rừng được thanh toán chi phí nhiên liệu, sửa chữa hoặc bồi thường thiệt hại (nếu bị hư hỏng) theo quy định hiện hành.
3. Nguồn kinh phí:
a) Kinh phí cho các khoản quy định tại các điểm a, b và c khoản 2 Điều này được sử dụng nguồn dự phòng ngân sách nhà nước theo quy định của Luật Ngân sách nhà nước, Luật Phòng, chống thiên tai và các nguồn lực tài chính hợp pháp khác theo thẩm quyền;
b) Căn cứ vào hoạt động chữa cháy rừng và các chế độ, chính sách, Ủy ban nhân dân cấp tỉnh, Ủy ban nhân dân cấp huyện, Ủy ban nhân dân cấp xã quyết định cấp kinh phí từ nguồn ngân sách của địa phương và nguồn tài chính hợp pháp khác để xử lý các nhu cầu kinh phí cho chữa cháy rừng trên địa bàn ngoài dự toán chi hằng năm đã được phê duyệt;
c) Căn cứ vào hoạt động chữa cháy rừng và các chế độ, chính sách, các bộ, ngành quyết định cấp kinh phí từ nguồn ngân sách của Bộ và nguồn tài chính hợp pháp khác để xử lý các nhu cầu kinh phí cho chữa cháy rừng đối với diện tích rừng do các bộ, ngành quản lý và đối với các đơn vị trực thuộc được huy động tham gia chữa cháy rừng ngoài dự toán chi hằng năm đã được phê duyệt.
4. Cấp có thẩm quyền quyết định điều động, huy động lực lượng tham gia chữa cháy rừng có trách nhiệm thanh toán kinh phí từ nguồn ngân sách nhà nước cho lực lượng tham gia chữa cháy rừng do cấp huy động. Chủ rừng có trách nhiệm thanh toán kinh phí từ nguồn kinh phí của đơn vị cho lực lượng do chủ rừng huy động.
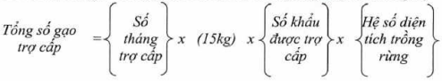
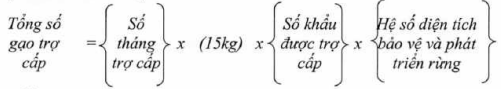
Điều 21. Trợ cấp gạo bảo vệ và phát triển rừng
1. Đối tượng và nội dung trợ cấp: hộ gia đình nghèo, hộ gia đình đồng bào dân tộc thiểu số tại xã khu vực II và III thực hiện bảo vệ rừng, khoanh nuôi xúc tiến tái sinh có trồng bổ sung, trồng rừng phòng hộ, trồng rừng sản xuất và phát triển lâm sản ngoài gỗ, trồng rừng để thay đổi tập quán du canh du cư, thực hiện trồng rừng thay thế nương rẫy và đối tượng khác do Thủ tướng Chính phủ quyết định.
2. Mức trợ cấp: 15 kg gạo/khẩu/tháng trong thời gian chưa tự túc được lương thực. Chủ tịch Ủy ban nhân dân cấp tỉnh quyết định đối tượng được trợ cấp, mức trợ cấp, hình thức trợ cấp cụ thể theo diện tích, số khẩu phù hợp với thực tế của địa phương và thời gian trợ cấp nhưng tối đa 7 năm, đảm bảo các nguyên tắc sau:
a) Mức trợ cấp gạo cho hộ gia đình thực hiện trồng rừng thay thế nương rẫy trong năm căn cứ vào diện tích trồng rừng thực tế và thời gian chưa tự túc được lương thực không quá 6 tháng nhưng tối đa không quá 450 kg/năm;
b) Mức gạo trợ cấp cho hộ gia đình thực hiện bảo vệ và phát triển rừng trong năm căn cứ vào diện tích thực hiện bảo vệ và phát triển rừng và trong thời gian chưa tự túc được lương thực không quá 4 tháng nhưng tối đa không quá 300 kg/năm;
c) Đối với hộ gia đình thực hiện tất cả hoạt động trồng rừng thay thế nương rẫy và hoạt động bảo vệ và phát triển rừng thì được hưởng theo mức trợ cấp cho hoạt động cao hơn;
d) Cách tính mức trợ cấp gạo cụ thể theo Mẫu số 08 Phụ lục kèm theo Nghị định này.
3. Điều kiện được trợ cấp gạo:
Đối tượng quy định tại khoản 1 Điều này được trợ cấp gạo bảo vệ và phát triển rừng, phải đảm bảo một trong các điều kiện sau:
a) Có giấy chứng nhận quyền sử dụng đất hoặc quyết định giao đất, cho thuê đất của cấp có thẩm quyền hoặc đã sử dụng đất ổn định theo quy định của pháp luật về đất đai, không có tranh chấp; thực hiện bảo vệ rừng theo quy định tại các Điều 5, 9 và 12; khoanh nuôi xúc tiến tái sinh tự nhiên có trồng bổ sung theo quy định tại các Điều 6, 10 và 13; trồng rừng phòng hộ theo quy định tại Điều 11 và trồng rừng sản xuất và phát triển lâm sản ngoài gỗ theo quy định tại Điều 14 Nghị định này, hằng năm được cấp có thẩm quyền nghiệm thu kết quả thực hiện;
b) Có hợp đồng khoán bảo vệ rừng theo quy định tại khoản 5 Điều 19; thực hiện khoán bảo vệ rừng theo quy định tại Điều 19 Nghị định này, hằng năm được cấp có thẩm quyền nghiệm thu kết quả thực hiện.
4. Loại gạo trợ cấp theo quy chuẩn kỹ thuật quốc gia về gạo dự trữ quốc gia hiện hành.
5. Thực hiện trợ cấp gạo từ nguồn kinh phí từ các chương trình, dự án:
a) Ủy ban nhân dân cấp tỉnh giao nhiệm vụ cho chủ đầu tư dự án hoặc tổ chức, đơn vị trực thuộc xây dựng dự án về trợ cấp gạo thực hiện bảo vệ rừng, khoanh nuôi xúc tiến tái sinh có trồng bổ sung, trồng rừng phòng hộ, trồng rừng sản xuất và phát triển lâm sản ngoài gỗ, trồng rừng thay thế nương rẫy; tổ chức cấp gạo cho từng hộ gia đình trong vùng dự án theo định kỳ tại mỗi thôn nơi hộ gia đình cư trú. Căn cứ vào điều kiện thực tế tại địa phương, Chủ tịch Ủy ban nhân dân cấp tỉnh quyết định số lần trợ cấp nhưng tối đa 3 tháng một lần;
b) Căn cứ vào dự án về trợ cấp gạo được duyệt, chủ đầu tư dự án hoặc tổ chức, đơn vị được giao trợ cấp gạo lập danh sách các hộ gia đình tham gia, số lượng gạo trợ cấp cho từng hộ gia đình theo Mẫu số 09, Mẫu số 10 Phụ lục kèm theo Nghị định này;
c) Trợ cấp gạo được thực hiện khi hộ gia đình bắt đầu thực hiện bảo vệ rừng, khoanh nuôi xúc tiến tái sinh có trồng bổ sung, trồng rừng phòng hộ, trồng rừng sản xuất và phát triển lâm sản ngoài gỗ, trồng rừng thay thế nương rẫy, được lập hồ sơ theo Mẫu số 11, Mẫu số 12 Phụ lục kèm theo Nghị định này.
6.Thực hiện trợ cấp gạo từ nguồn dự trữ quốc gia:
a) Ủy ban nhân dân cấp tỉnh tổng hợp danh sách, số lượng gạo hỗ trợ, thời gian hỗ trợ, báo cáo Bộ Nông nghiệp và Phát triển nông thôn, Ủy ban Dân tộc và Bộ Tài chính; trên cơ sở đề nghị của địa phương và ý kiến của Bộ Tài chính, Ủy ban Dân tộc, Bộ Nông nghiệp và Phát triển nông thôn chủ trì báo cáo Thủ tướng Chính phủ xem xét, quyết định hỗ trợ gạo cho địa phương;
Nhiệm vụ, quyền hạn của Thủ tướng Chính phủ trong việc quyết định hỗ trợ gạo quy định tại điểm a khoản 6 Điều 21 Nghị định 58/2024/NĐ-CP được phân cấp cho Chủ tịch Ủy ban nhân dân cấp tỉnh thực hiện theo quy định tại Điều 24 Nghị định 136/2025/NĐ-CP.
b) Căn cứ quyết định của Thủ tướng Chính phủ, Bộ Tài chính giao Tổng cục Dự trữ Nhà nước xuất cấp gạo dự trữ quốc gia hỗ trợ cho các địa phương theo đúng quy định. Chủ đầu tư hoặc tổ chức, đơn vị được giao trợ cấp gạo tổ chức cấp gạo cho các hộ gia đình theo quy định tại khoản 5 Điều này.
Điều 22. Hỗ trợ đầu tư cơ sở sản xuất giống cây trồng lâm nghiệp
1. Đối tượng nhận hỗ trợ: tổ chức, hộ gia đình, cá nhân đầu tư sản xuất giống cây trồng lâm nghiệp.
2. Nội dung hỗ trợ:
a) Xây dựng rừng giống, vườn giống, vườn cây lâm nghiệp đầu dòng;
b) Xây dựng trung tâm sản xuất giống cây rừng chất lượng cao;
c) Xây dựng vườn ươm giống.
3. Mức hỗ trợ:
a) Hỗ trợ 50% tổng mức đầu tư đối với một dự án hoặc công trình được quy định tại khoản 2 Điều này nhưng tối đa theo mức quy định tại các điểm b, c và d khoản này;
b) Tối đa 55.000.000 đồng/ha đối với xây dựng rừng giống trồng mới có diện tích từ 2,0 ha trở lên, vườn giống trồng mới có diện tích từ 1,0 ha trở lên; tối đa 25.000.000 đồng/ha đối với xây dựng rừng giống chuyển hóa có diện tích từ 1,0 ha trở lên, vườn cây lâm nghiệp đầu dòng có diện tích từ 500 m2 trở lên;
c) Tối đa 5.000.000.000 đồng đối với một dự án hoặc công trình xây dựng trung tâm sản xuất giống cây rừng chất lượng cao có quy mô sản xuất tối thiểu 1 triệu cây/năm;
d) Tối đa 300.000.000 đồng đối với một dự án hoặc công trình xây dựng mới vườn ươm giống cây lâm nghiệp bằng phương pháp nuôi cấy mô với diện tích đất xây dựng vườn ươm tối thiểu 0,5 ha.
4. Điều kiện hỗ trợ: có dự án đầu tư riêng hoặc được lập chung trong các dự án bảo vệ và phát triển rừng được cơ quan nhà nước có thẩm quyền phê duyệt.
5. Trình tự, thủ tục lập, thẩm định, quyết định thiết kế, dự toán dự án hỗ trợ sản xuất giống cây trồng lâm nghiệp theo quy định tại khoản 5 Điều 27 Nghị định này.
Điều 23. Hỗ trợ trồng cây phân tán
1. Đối tượng: tổ chức, hộ gia đình, cá nhân, cộng đồng dân cư tham gia trồng cây phân tán.
2. Mức hỗ trợ: bình quân 15.000.000 đồng/ha trồng cây phân tán (quy đổi 1.000 cây/ha) để hỗ trợ mua cây giống, phân bón và chi phí một phần nhân công trồng, chăm sóc; tổ chức các hoạt động quản lý, kiểm tra, giám sát thực hiện trồng cây phân tán.
3. Hình thức hỗ trợ, tiêu chuẩn cây giống thực hiện theo kế hoạch trồng cây phân tán được cơ quan nhà nước có thẩm quyền phê duyệt.
4. Điều kiện hỗ trợ: tổ chức, hộ gia đình, cá nhân, cộng đồng dân cư có đất và nhu cầu trồng cây phân tán.
5. Trình tự hỗ trợ:
Sở Nông nghiệp và Phát triển nông thôn rà soát, tổng hợp nhu cầu hỗ trợ trồng cây phân tán của đối tượng quy định tại khoản 1 Điều này, đáp ứng điều kiện hỗ trợ tại khoản 4 Điều này trên địa bàn tỉnh, xây dựng kế hoạch trồng cây phân tán kèm theo dự toán kinh phí hỗ trợ trồng cây phân tán, trình Ủy ban nhân dân cấp tỉnh phê duyệt; tổ chức triển khai kế hoạch, nghiệm thu, tổng hợp kết quả thực hiện, báo cáo Ủy ban nhân dân cấp tỉnh và Bộ Nông nghiệp và Phát triển nông thôn theo quy định.
Điều 24. Hỗ trợ đầu tư Khu lâm nghiệp ứng dụng công nghệ cao
Doanh nghiệp nhỏ và vừa đầu tư xây dựng, sản xuất kinh doanh và dịch vụ trong Khu lâm nghiệp ứng dụng công nghệ cao được hưởng hỗ trợ về công nghệ, thông tin, tư vấn, phát triển nguồn nhân lực, hỗ trợ khởi nghiệp sáng tạo, tham gia cụm liên kết ngành và chuỗi giá trị và trình tự, thủ tục hưởng hỗ trợ thực hiện theo quy định tại Nghị định số 80/2021/NĐ-CP ngày 26 tháng 8 năm 2021 của Chính phủ quy định chi tiết và hướng dẫn thi hành một số điều của Luật Hỗ trợ doanh nghiệp nhỏ và vừa.
Điều 25. Những hoạt động mang tính chất chuyên ngành khác
1. Nhà nước có chính sách đầu tư cho những hoạt động mang tính chất chuyên ngành khác, bao gồm:
a) Theo dõi, giám sát diễn biến tài nguyên rừng và đa dạng sinh học; điều tra, kiểm kê rừng; kiểm tra, theo dõi, giám sát, đánh giá kết quả thực hiện chiến lược, chương trình, đề án ngành lâm nghiệp;
b) Quản lý thông tin về lâm nghiệp và cơ sở dữ liệu về rừng;
c) Sưu tập tiêu bản thực vật rừng, động vật rừng;
d) Nghiên cứu khoa học, đào tạo, phát triển nguồn nhân lực, khuyến lâm;
đ) Xây dựng và triển khai phương án quản lý rừng bền vững rừng đặc dụng, rừng phòng hộ, rừng sản xuất là rừng tự nhiên;
e) Giao rừng, xác định ranh giới và cắm mốc ranh giới rừng;
g) Duy trì và phát triển rừng giống, vườn thực vật quốc gia;
h) Điều tra cơ bản về lâm nghiệp;
i) Bảo vệ và cứu hộ thực vật rừng, động vật rừng nguy cấp, quý, hiếm;
k) Xây dựng, bảo trì, bảo dưỡng, nâng cấp, cải tạo kết cấu hạ tầng phục vụ cho bảo vệ và phát triển rừng đặc dụng, rừng phòng hộ theo quy định tại khoản 6 Điều 87 Nghị định 156/2018/NĐ-CP ngày 16 tháng 11 năm 2018 của Chính phủ quy định chi tiết thi hành một số điều của Luật Lâm nghiệp;
l) Mua sắm, sửa chữa phương tiện, trang bị, thiết bị, công cụ hỗ trợ: bảo vệ rừng; phòng cháy và chữa cháy rừng; quan trắc, cảnh báo nguy cơ cháy rừng; phòng, trừ sinh vật gây hại rừng;
m) Điều tra, thu thập và đánh giá nguồn gen giống cây trồng lâm nghiệp; xây dựng ngân hàng gen, dữ liệu nguồn gen giống cây trồng lâm nghiệp; nghiên cứu chọn, tạo, khảo nghiệm giống cây trồng lâm nghiệp;
n) Quy hoạch lâm nghiệp quốc gia.
2. Việc thực hiện các hoạt động quy định tại khoản 1 Điều này theo dự án, kế hoạch được cấp có thẩm quyền phê duyệt, theo thứ tự ưu tiên phù hợp với khả năng ngân sách của ngành và địa phương.
3. Trình tự, thủ tục đối với hoạt động sử dụng nguồn vốn đầu tư phát triển, nguồn vốn kinh phí sự nghiệp thực hiện theo quy định tại khoản 5 Điều 27 Nghị định này.
Chương III
CƠ CHẾ VÀ NGUỒN VỐN
Điều 26. Nguồn vốn thực hiện
1. Ngân sách trung ương:
a) Bố trí trong dự toán chi ngân sách nhà nước hằng năm của các bộ, cơ quan ngang bộ, cơ quan thuộc Chính phủ, cơ quan khác ở trung ương có liên quan để thực hiện các hoạt động theo quy định tại Nghị định này;
b) Cân đối ngân sách và bổ sung có mục tiêu ngân sách hằng năm cho các địa phương chưa tự cân đối được ngân sách và các địa phương khác theo quy định của pháp luật để thực hiện các hoạt động theo quy định tại Nghị định này;
c) Nguồn vốn đầu tư phát triển từ ngân sách trung ương được giao chi tiết theo ngành, lĩnh vực, do các bộ, cơ quan trung ương và địa phương cân đối trên tổng thể kế hoạch đầu tư công trung hạn và hằng năm được giao.
2. Ngân sách địa phương:
a) Đối với các địa phương tự cân đối được ngân sách, trừ các địa phương khác theo quy định của pháp luật, toàn bộ kinh phí thực hiện các hoạt động theo quy định tại Nghị định này được bố trí từ nguồn ngân sách địa phương;
b) Đối với các địa phương chưa tự cân đối được ngân sách và các địa phương khác theo quy định của pháp luật, kinh phí thực hiện các hoạt động theo quy định tại Nghị định này được tổ trí từ nguồn ngân sách địa phương, kết hợp với ngân sách trung ương hỗ trợ và các nguồn lực khác để thực hiện có hiệu quả các hoạt động theo quy định tại Nghị định này.
3. Nguồn vốn khác: dịch vụ môi trường rừng, ODA và các nguồn vốn hợp pháp khác thực hiện các hoạt động bảo vệ và phát triển rừng theo quy định tại Nghị định này.
Điều 27. Cơ chế đầu tư, hỗ trợ đầu tư
1. Nguồn vốn từ ngân sách nhà nước đầu tư, hỗ trợ đầu tư cho các hoạt động đảm bảo theo đúng quy định của pháp luật về ngân sách nhà nước và pháp luật về đầu tư công:
a) Các hoạt động ưu tiên sử dụng nguồn vốn đầu tư phát triển bao gồm: trồng rừng, nuôi dưỡng rừng tự nhiên, làm giàu rừng đặc dụng theo quy định tại Điều 7; trồng rừng, nuôi dưỡng rừng tự nhiên, làm giàu rừng phòng hộ theo quy định tại Điều 11; trồng rừng sản xuất và phát triển lâm sản ngoài gỗ theo quy định tại Điều 14; xây dựng đường lâm nghiệp và xây dựng đường băng cản lửa tại những khu rừng sản xuất theo quy định tại Điều 17; đầu tư cơ sở sản xuất giống cây trồng lâm nghiệp theo quy định tại Điều 22; đầu tư khu lâm nghiệp ứng dụng công nghệ cao theo quy định tại Điều 24; những hoạt động mang tính chất chuyên ngành khác theo quy định tại Điều 25 Nghị định này;
b) Các hoạt động ưu tiên sử dụng nguồn vốn chi thường xuyên bao gồm: bảo vệ rừng đặc dụng theo quy định tại Điều 5; phát triển sinh kế, cải thiện đời sống người dân vùng đệm của các khu rừng đặc dụng theo quy định tại Điều 8; bảo vệ rừng phòng hộ theo quy định tại Điều 9; bảo vệ rừng sản xuất là rừng tự nhiên trong thời gian đóng cửa rừng theo quy định tại Điều 12; khoanh nuôi xúc tiến tái sinh tự nhiên, khoanh nuôi xúc tiến tái sinh tự nhiên có trồng bổ sung theo quy định tại các Điều 6, 10 và 13; hỗ trợ tín dụng đầu tư trồng rừng gỗ lớn theo quy định tại Điều 15; xây dựng phương án quản lý rừng bền vững và cấp chứng chỉ quản lý rừng bền vững theo quy định tại Điều 16; chữa cháy rừng theo quy định tại Điều 20; trợ cấp gạo bảo vệ và phát triển rừng theo quy định tại Điều 21; hỗ trợ trồng cây phân tán theo quy định tại Điều 23; những hoạt động mang tính chất chuyên ngành khác theo quy định tại Điều 25 Nghị định này.
2. Nguồn kinh phí từ chi trả dịch vụ môi trường rừng thực hiện chi trả theo quy định tại Nghị định số 156/2018/NĐ-CP ngày 16 tháng 11 năm 2018 của Chính phủ quy định chi tiết thi hành một số điều của Luật Lâm nghiệp; được sử dụng kinh phí chi trả cho bảo vệ rừng, khoán bảo vệ rừng ngoài nguồn kinh phí hỗ trợ từ ngân sách nhà nước theo mức đầu tư, hỗ trợ đầu tư quy định tại Nghị định này.
3. Hội đồng nhân dân cấp tỉnh căn cứ mức đầu tư, hỗ trợ đầu tư, mức khoán bảo vệ rừng quy định tại các Điều 5, 6, 7, 9, 10, 11, 12, 13, 14, 16, 19, 21, 22 và 23 quyết định mức đầu tư, hỗ trợ đầu tư cụ thể phù hợp với điều kiện kinh tế - xã hội của địa phương.
4. Các bộ, ngành có liên quan căn cứ mức đầu tư, hỗ trợ đầu tư quy định tại các Điều 5, 6, 7, 9, 10, 11, 12, 13, 14, 19 và 22 quyết định mức đầu tư, hỗ trợ đầu tư cụ thể đối với chủ rừng trực thuộc.
5. Trình tự lập, thẩm định, quyết định chủ trương đầu tư, quyết định phê duyệt dự án đầu tư đối với các hoạt động quy định tại điểm a khoản 1 Điều này, thực hiện theo quy định của pháp luật về đầu tư, pháp luật đầu tư công và pháp luật có liên quan khác. Đối với hoạt động đầu tư lâm sinh thuộc dự án đầu tư đã được phê duyệt, việc lập, thẩm định, phê duyệt thiết kế, dự toán thực hiện theo quy định tại Chương IV Nghị định này. Đối với các hạng mục công trình khác, việc lập, thẩm định, phê duyệt thiết kế, dự toán thực hiện theo quy định của pháp luật đầu tư công và pháp luật về xây dựng. Trình tự lập dự toán, thanh, quyết toán kinh phí cho các hoạt động quy định tại điểm b khoản 1 Điều này, thực hiện theo quy định của Luật Ngân sách nhà nước và các văn bản quy phạm pháp luật hướng dẫn thi hành.
6. Kế hoạch vốn ngân sách nhà nước phân giao cho các dự án công trình lâm sinh thực hiện theo chu kỳ các biện pháp kỹ thuật lâm sinh. Thời gian thực hiện thanh toán, kế hoạch vốn năm trước đối với dự án trồng rừng chậm nhất không quá 30 tháng 6 năm sau.
7. Kinh phí cấp cho bảo vệ rừng, khoán bảo vệ rừng theo hồ sơ thiết kế bảo vệ rừng và khoán bảo vệ rừng, hợp đồng khoán bảo vệ rừng, được cấp và sử dụng kinh phí theo định mức quy định tại Nghị định này, thực hiện trong năm ngân sách.
Chương IV
LẬP, THẨM ĐỊNH, PHÊ DUYỆT THIẾT KẾ,
DỰ TOÁN ĐẦU TƯ CÔNG TRÌNH LÂM SINH, BẢO VỆ RỪNG
Điều 28. Nguyên tắc lập hồ sơ thiết kế, dự toán
1. Đối với các công trình lâm sinh là một trong các hạng mục của dự án đầu tư đã được phê duyệt, chủ đầu tư lập thiết kế, dự toán công trình lâm sinh, trình cấp có thẩm quyền phê duyệt. Đối với dự án chi yêu cầu lập báo cáo kinh tế kỹ thuật, việc lập thiết kế, dự toán công trình lâm sinh được thực hiện đồng thời với việc lập báo cáo kinh tế kỹ thuật.
2. Đối với công trình lâm sinh là xây dựng các hạng mục công trình kết cấu hạ tầng kỹ thuật cần thiết phục vụ bảo vệ và phát triển rừng thì việc lập thiết kế, dự toán thực hiện theo quy định của pháp luật về xây dựng.
3. Đối với công trình lâm sinh không thuộc khoản 2 Điều này thì việc lập thiết kế, dự toán thực hiện theo quy định tại các Điều 29, 30, 31 và 32 Nghị định này.
4. Đối với khoanh nuôi xúc tiến tái sinh tự nhiên, khoanh nuôi xúc tiến tái sinh tự nhiên có trồng bổ sung, bảo vệ rừng sử dụng kinh phí ngân sách nhà nước: đơn vị sử dụng kinh phí ngân sách nhà nước lập thiết kế, dự toán một lần cho nhiều năm hoặc lập thiết kế, dự toán hằng năm theo kế hoạch ngân sách được giao.
5. Việc lập hồ sơ thiết kế, dự toán do chủ đầu tư, đơn vị sử dụng kinh phí ngân sách nhà nước tự thực hiện hoặc thuê tổ chức tư vấn thực hiện.
Điều 29. Dự toán
1. Dự toán đối với công trình lâm sinh, trừ quy định tại khoản 2 Điều này
a) Chi phí xây dựng công trình lâm sinh:
Chi phí trực tiếp gồm chi phí vật liệu, chi phí nhân công, chi phí máy và thiết bị thi công;
Chi phí gián tiếp gồm chi phí chung, chi phí nhà tạm để ở và điều hành thi công và chi phí cho một số công việc không xác định được khối lượng từ thiết kế. Chi phí gián tiếp được xác định bằng định mức tỷ lệ phần trăm (%) theo quy định của pháp luật về xây dựng;
Thu nhập chịu thuế tính trước: được tính bằng tỷ lệ phần trăm (%) tổng chi phí trực tiếp và chi phí gián tiếp theo quy định của pháp luật về xây dựng;
Thuế giá trị gia tăng thực hiện theo quy định hiện hành.
b) Chi phí thiết bị, gồm: mua sắm công cụ, máy móc, thiết bị công nghệ (kể cả thiết bị công nghệ cần sản xuất, gia công), lắp đặt và thí nghiệm, hiệu chỉnh thiết bị, vận chuyển, bảo hiểm thiết bị, đào tạo và chuyển giao công nghệ phục vụ công trình lâm sinh;
c) Chi phí quản lý: được tính trên cơ sở định mức tỷ lệ phần trăm (%) của tổng chi phí xây dựng và chi phí thiết bị hoặc được xác định bằng dự toán chi tiết, gồm: chi phí tổ chức quản lý công trình lâm sinh từ giai đoạn chuẩn bị đến khi kết thúc, nghiệm thu đưa vào khai thác sử dụng;
d) Chi phí tư vấn đầu tư xây dựng: được xác định bằng định mức tỷ lệ phần trăm (%) theo quy định của pháp luật xây dựng hoặc được xác định bằng dự toán chi tiết trên cơ sở phạm vi, khối lượng công việc, kế hoạch thực hiện, gồm: khảo sát; lập thiết kế, dự toán; giám sát và các chi phí tư vấn khác có liên quan;
đ) Chi phí dự phòng, chi phí khác.
e) Đối với các chi phí quản lý, chi phí tư vấn đầu tư xây dựng, chi phí dự phòng, chi phí khác được áp dụng định mức tỷ lệ phần trăm (%) đối với loại công trình nông nghiệp và phát triển nông thôn.
2. Dự toán đối với khoanh nuôi xúc tiến tái sinh tự nhiên, khoanh nuôi xúc tiến tái sinh tự nhiên có trồng bổ sung bảo vệ rừng
a) Chi phí khoanh nuôi xúc tiến tái sinh tự nhiên có trồng bổ sung, khoanh nuôi xúc tiến tái sinh tự nhiên, bảo vệ rừng, lập hồ sơ và các chi phí khác áp dụng theo quy định tại khoản 2 và khoản 3 Điều 5, khoản 2 Điều 6, khoản 2 và khoản 3 Điều 9, khoản 2 Điều 10, khoản 2 và khoản 3 Điều 12 và khoản 3 Điều 13 Nghị định này.
b) Đối với khoanh nuôi xúc tiến tái sinh tự nhiên có trồng bổ sung, khoanh nuôi xúc tiến tái sinh tự nhiên, bảo vệ rừng thực hiện bằng hình thức khoán cho hộ gia đình, cá nhân và cộng đồng dân cư: mức kinh phí khoản cho các đối tượng nhận khoán, chi phí lập hồ sơ và các chi phí khác áp dụng theo quy định tại khoản 2 Điều 6, khoản 2 Điều 10, khoản 2 Điều 13 và khoản 3 Điều 19 Nghị định này.
Điều 30. Hồ sơ đề nghị phê duyệt thiết kế, dự toán
1. Tờ trình đề nghị phê duyệt thiết kế, dự toán theo Mẫu số 13 Phụ lục kèm theo Nghị định này.
2. Thuyết minh thiết kế bao gồm dự toán và bản đồ thiết kế công trình lâm sinh theo Mẫu số 14 Phụ lục kèm theo Nghị định này.
3. Bản sao quyết định phê duyệt dự án đầu tư hoặc kế hoạch vốn được giao đối với hoạt động sử dụng kinh phí ngân sách nhà nước và các tài liệu khác có liên quan.
Điều 31. Thẩm định, phê duyệt thiết kế, dự toán công trình lâm sinh sử dụng vốn đầu tư công
1. Cơ quan thẩm định thiết kế, dự toán công trình lâm sinh:
a) Đối với các dự án do Bộ trưởng Bộ Nông nghiệp và Phát triển nông thôn quyết định đầu tư: cơ quan quản lý chuyên ngành về lâm nghiệp được giao chủ trì thẩm định thiết kế, dự toán công trình lâm sinh;
b) Đối với các dự án do các bộ, ngành trung ương khác quyết định đầu tư: cơ quan chuyên môn trực thuộc chủ trì thẩm định thiết kế, dự toán công trình lâm sinh;
c) Đối với các dự án do Chủ tịch Ủy ban nhân dân cấp tỉnh quyết định đầu tư: Sở Nông nghiệp và Phát triển nông thôn chủ trì thẩm định thiết kế, dự toán công trình lâm sinh;
d) Đối với công trình lâm sinh thuộc dự án do Chủ tịch Ủy ban nhân dân cấp huyện, cấp xã quyết định đầu tư: Phòng chức năng cấp huyện hoặc cơ quan Kiểm lâm cấp huyện chủ trì thẩm định thiết kế, dự toán công trình lâm sinh.
Tổ chức thẩm định thiết kế, dự toán công trình lâm sinh hoặc thẩm định điều chỉnh thiết kế, dự toán công trình lâm sinh sử dụng vốn đầu tư công theo quy định tại điểm d khoản 1 Điều 31 Nghị định 58/2024/NĐ-CP thuộc thẩm quyền của Chủ tịch Ủy ban nhân dân cấp xã thực hiện theo quy định tại khoản 6 Điều 13 Nghị định 131/2025/NĐ-CP.
2. Trình tự thẩm định thiết kế, dự toán công trình lâm sinh:
a) Chủ đầu tư nộp trực tiếp hoặc qua dịch vụ bưu chính hoặc qua môi trường mạng (cổng dịch vụ công quốc gia, cổng dịch vụ công cấp bộ, cấp tỉnh) 01 bộ hồ sơ theo quy định tại Điều 30 Nghị định này đến cơ quan chủ trì thẩm định quy định tại khoản 1 Điều này;
b) Cơ quan chủ trì thẩm định kiểm tra tính hợp lệ của hồ sơ; trả giấy tiếp nhận hoặc không tiếp nhận ngay cho chủ đầu tư đối với trường hợp nộp trực tiếp; sau 02 ngày làm việc đối với các trường hợp nộp qua dịch vụ bưu chính hoặc qua môi trường mạng;
c) Trong thời hạn 15 ngày kể từ ngày nhận được hồ sơ hợp lệ, cơ quan chủ trì thẩm định tổ chức thẩm định và có báo cáo kết quả thẩm định theo Mẫu số 15 Phụ lục ban hành kèm theo Nghị định này; thông báo kết quả thẩm định đến chủ đầu tư.
3. Cơ quan phê duyệt thiết kế, dự toán công trình lâm sinh:
Chủ đầu tư phê duyệt thiết kế dự toán công trình lâm sinh sau khi có ý kiến thẩm định của cơ quan chuyên môn được giao thẩm định theo quy định tại khoản 1 Điều này. Nội dung phê duyệt thiết kế dự toán công trình lâm sinh theo quy định tại Mẫu số 16 Phụ lục ban hành kèm theo nghị định này.
Điều 32. Phê duyệt thiết kế khoanh nuôi xúc tiến tái sinh tự nhiên có trồng bổ sung, khoanh nuôi xúc tiến tái sinh tự nhiên, bảo vệ rừng sử dụng kinh phí ngân sách nhà nước
1. Hồ sơ phê duyệt thiết kế, dự toán theo quy định tại Điều 30 Nghị định này.
2. Đơn vị sử dụng kinh phí ngân sách nhà nước tự thẩm định hoặc thuê tư vấn thẩm định thiết kế khoanh nuôi xúc tiến tái sinh tự nhiên có trồng bổ sung, khoanh nuôi xúc tiến tái sinh tự nhiên, bảo vệ rừng.
3. Đơn vị sử dụng kinh phí ngân sách nhà nước tự phê duyệt thiết kế khoanh nuôi xúc tiến tái sinh tự nhiên có trồng bổ sung, khoanh nuôi xúc tiến tái sinh tự nhiên, bảo vệ rừng.
4. Việc lập, phê duyệt dự toán khoanh nuôi xúc tiến tái sinh tự nhiên có trồng bổ sung, khoanh nuôi xúc tiến tái sinh tự nhiên, bảo vệ rừng theo quy định của Luật Ngân sách nhà nước và quy định của pháp luật khác có liên quan.
Điều 33. Điều chỉnh thiết kế, dự toán
Từ ngày 01/7/2025 đến hết ngày 28/02/2027, tổ chức thẩm định thiết kế, dự toán công trình lâm sinh hoặc thẩm định điều chỉnh thiết kế, dự toán công trình lâm sinh sử dụng vốn đầu tư công theo quy định tại Điều 33 Nghị định số 58/2024/NĐ-CP thuộc thẩm quyền của Chủ tịch Ủy ban nhân dân cấp xã thực hiện theo quy định tại khoản 6 Điều 13 Nghị định 131/2025/NĐ-CP.
1. Điều chỉnh thiết kế, dự toán trong các trường hợp:
a) Khi dự án đầu tư có yêu cầu điều chỉnh thiết kế, dự toán công trình lâm sinh;
b) Khi có thay đổi về kinh phí được bố trí hàng năm đối với công trình khoanh nuôi xúc tiến tái sinh tự nhiên, bảo vệ rừng sử dụng kinh phí ngân sách nhà nước;
c) Trong quá trình thực hiện có yêu cầu phải điều chỉnh thiết kế để bảo đảm chất lượng.
2. Hồ sơ điều chỉnh thiết kế, dự toán theo quy định tại Điều 30 Nghị định này; thẩm định và phê duyệt điều chỉnh thiết kế, dự toán theo quy định tại Điều 31 và Điều 32 Nghị định này.
3. Trường hợp chi điều chỉnh cơ cấu các khoản mục chi phí, không làm thay đổi giá trị dự toán đã được phê duyệt bao gồm cả chi phí dự phòng, chủ đầu tư hoặc đơn vị sử dụng kinh phí ngân sách nhà nước quyết định điều chỉnh và báo cáo người quyết định đầu tư hoặc cơ quan giao kinh phí về nội dung điều chỉnh dự toán.
4. Chủ đầu tư hoặc đơn vị sử dụng kinh phí ngân sách nhà nước xác định dự toán điều chỉnh làm cơ sở để điều chỉnh giá trị hợp đồng.
Điều 34. Xử lý rủi ro trong giai đoạn đầu tư
1. Nguyên nhân rủi ro:
a) Rủi ro thiên tai theo quy định của pháp luật về phòng, chống thiên tai;
b) Nguyên nhân rủi ro khác do chủ đầu tư hoặc đơn vị sử dụng ngân sách lập hồ sơ xác định, báo cáo cấp có thẩm quyền xem xét, quyết định.
2. Xử lý rủi ro:
a) Việc thống kê, đánh giá và báo cáo tình hình thiệt hại do thiên tai gây ra, được thực hiện theo quy định của pháp luật;
b) Chủ đầu tư hoặc đơn vị sử dụng kinh phí ngân sách nhà nước lập biên bản đánh giá tình hình thiệt hại, xác định nguyên nhân, báo cáo cấp có thẩm quyền xem xét, quyết định điều chỉnh dự án đầu tư hoặc điều chỉnh kế hoạch vốn được giao; điều chỉnh thiết kế và dự toán theo quy định tại Điều 33 Nghị định này.
Chương V
TỔ CHỨC THỰC HIỆN VÀ ĐIỀU KHOẢN THI HÀNH
Điều 35. Trách nhiệm của các bộ, cơ quan ngang bộ
1. Bộ Nông nghiệp và Phát triển nông thôn
a) Chủ trì, phối hợp với Bộ Kế hoạch và Đầu tư, Bộ Tài chính và các cơ quan liên quan hướng dẫn, kiểm tra các địa phương tổ chức triển khai thực hiện Nghị định này;
b) Ban hành các tiêu chuẩn, định mức kinh tế - kỹ thuật để thực hiện Nghị định này.
2. Bộ Kế hoạch và Đầu tư
a) Chủ trì, phối hợp với Bộ Tài chính, Bộ Nông nghiệp và Phát triển nông thôn cân đối, bố trí vốn đầu tư phát triển để thực hiện theo quy định tại Nghị định này;
b) Phối hợp với Bộ Nông nghiệp và Phát triển nông thôn, Bộ Tài chính hướng dẫn, kiểm tra các tổ chức, cá nhân thực hiện theo quy định tại Nghị định này.
3. Bộ Tài chính
Chủ trì cân đối, bố trí kinh phí sự nghiệp hằng năm theo quy định của Luật Ngân sách nhà nước và các văn bản pháp luật có liên quan; phối hợp với Bộ Kế hoạch và Đầu tư trình cấp có thẩm quyền xem xét, quyết định kế hoạch vốn đầu tư trung hạn và hằng năm đảm bảo thực hiện theo quy định của Luật Ngân sách nhà nước và Luật Đầu tư công.
4. Các bộ, cơ quan ngang bộ khác có liên quan thực hiện theo chức năng, nhiệm vụ được giao.
Điều 36. Trách nhiệm của Ủy ban nhân dân cấp tỉnh
1. Chỉ đạo, tổ chức triển khai thực hiện, kiểm tra, đánh giá và định kỳ báo cáo kết quả thực hiện quy định tại Nghị định này.
2. Bố trí vốn ngân sách địa phương và lồng ghép các nguồn vốn (ngân sách trung ương, ngân sách địa phương và các nguồn vốn khác) đảm bảo thực hiện đúng mục tiêu, hiệu quả việc bảo vệ và phát triển rừng trên địa bàn tỉnh theo quy định của Nghị định này và văn bản pháp luật hiện hành có liên quan.
3. Giao Sở Nông nghiệp và Phát triển nông thôn chủ trì, phối hợp với các cơ quan liên quan tăng cường công tác tuyên truyền, phổ biến nội dung chính sách quy định tại Nghị định này.
4. Trên cơ sở định mức trồng rừng hiện hành, chỉ đạo hoặc ủy quyền cơ quan chuyên môn hướng dẫn lập dự toán công trình lâm sinh phù hợp với điều kiện của địa phương.
Điều 37. Hiệu lực thi hành
1. Nghị định này có hiệu lực thi hành từ ngày 15 tháng 7 năm 2024.
2. Các văn bản, quy định sau đây hết hiệu lực thi hành kể từ ngày Nghị định này có hiệu lực thi hành:
a) Các điểm a, d, đ, e, g và h khoản 1 Điều 91 Nghị định số 156/2018/NĐ-CP ngày 16 tháng 11 năm 2018 của Chính phủ quy định chi tiết thi hành một số điều của Luật Lâm nghiệp;
b) Chương II, Điều 20 và Phụ lục I, III Thông tư số 15/2019/TT-BNNPTNT ngày 30 tháng 10 năm 2019 của Bộ trưởng Bộ Nông nghiệp và Phát triển nông thôn hướng dẫn một số nội dung quản lý đầu tư công trình lâm sinh.
3. Trường hợp văn bản quy phạm pháp luật được viện dẫn tại Nghị định này được sửa đổi, bổ sung hoặc thay thế bởi văn bản khác thì áp dụng văn bản sửa đổi, bổ sung hoặc thay thế đó.
Điều 38. Quy định chuyển tiếp
1. Đối với các chương trình, dự án, hoạt động đầu tư đã được phê duyệt theo các văn bản pháp luật hiện hành trước ngày Nghị định này có hiệu lực thi hành thi được tiếp tục thực hiện theo chương trình, dự án đã được phê duyệt, mức đầu tư, hỗ trợ đầu tư, trình tự, thủ tục thực hiện theo quy định tại Nghị định này.
2. Đối với chương trình, dự án, hoạt động đầu tư được xây dựng theo các văn bản pháp luật hiện hành đã nộp hồ sơ nhưng chưa được phê duyệt trước ngày Nghị định này có hiệu lực thi hành thì thực hiện theo quy định tại Nghị định này.
Điều 39. Trách nhiệm thi hành
Các Bộ trưởng, Thủ trưởng cơ quan ngang bộ, Thủ trưởng cơ quan thuộc Chính phủ, Chủ tịch Ủy ban nhân dân cấp tỉnh và cơ quan, tổ chức, cá nhân có liên quan chịu trách nhiệm thi hành Nghị định này.
|
Nơi nhận: |
TM. CHÍNH PHỦ
Trần Lưu Quang |
Phụ lục
(Kèm theo Nghị định số 58/2024/NĐ-CP
ngày 24 tháng 5 năm 2024 của Chính phủ)
_______________
|
Mẫu số 01 |
Biên bản cuộc họp cộng đồng dân cư |
|
Mẫu số 02 |
Kế hoạch, dự toán kinh phí hỗ trợ |
|
Mẫu số 03 |
Đề nghị hỗ trợ lãi suất vay vốn ngân hàng |
|
Mẫu số 04 |
Thiết kế trồng, chăm sóc rừng năm thứ nhất |
|
Mẫu số 05 |
Biên bản xác minh điều kiện hỗ trợ lãi suất tín dụng |
|
Mẫu số 06 |
Đề nghị hỗ trợ kinh phí xây dựng phương án quản lý rừng bền vững và cấp chứng chỉ quản lý rừng bền vững (đối với chủ rừng là tổ chức) |
|
Mẫu số 07 |
Đề nghị hỗ trợ kinh phí xây dựng phương án quản lý rừng bền vững và cấp chứng chỉ quản lý rừng bền vững (đối với nhóm hộ) |
|
Mẫu số 08 |
Cách tính mức trợ cấp gạo bảo vệ và phát triển rừng |
|
Mẫu số 09 |
Danh sách hộ gia đình đăng ký thực hiện bảo vệ rừng, khoanh nuôi xúc tiến tái sinh tự nhiên có trồng bổ sung, trồng rừng phòng hộ, trồng rừng sản xuất và phát triển lâm sản ngoài gỗ, trồng rừng thay thế nương rẫy |
|
Mẫu số 10 |
Danh sách đối tượng, nhu cầu trợ cấp gạo |
|
Mẫu số 11 |
Danh sách hộ gia đình nhận trợ cấp gạo |
|
Mẫu số 12 |
Sổ theo dõi trợ cấp gạo |
|
Mẫu số 13 |
Tờ trình về việc phê duyệt thiết kế, dự toán |
|
Mẫu số 14 |
Đề cương thuyết minh thiết kế |
|
Mẫu số 15 |
Báo cáo kết quả thẩm định thiết kế, dự toán |
|
Mẫu số 16 |
Quyết định về việc phê duyệt thiết kế, dự toán công trình |
Mẫu số 01
CỘNG HÒA XÃ HỘI CHỦ NGHĨA VIỆT NAM
Độc lập - Tự do - Hạnh phúc
________________________
BIÊN BẢN CUỘC HỌP CỘNG ĐỒNG DÂN CƯ
(Địa điểm), ngày…….tháng ....năm ....
______________
1. Ngày tổ chức cuộc họp: …………………………………………………………..
2. Chủ trì cuộc họp: Trưởng thôn: ………………………………………………………
3. Số lượng người tham dự: ………………………………………………………………
4. Thời gian bắt đầu: ……………………………………………………………………….
5. Nội dung cuộc họp:
- Trưởng thôn tuyên bố lý do, nêu mục đích, yêu cầu, nội dung cuộc họp; giới thiệu người để cuộc họp biểu quyết cử làm thư ký.
- Trưởng thôn trình bày dự kiến kế hoạch, dự toán kinh phí thôn thực hiện trong năm và dự toán đề nghị Ban quản lý khu rừng đặc dụng hỗ trợ.
- Những người tham gia cuộc họp thảo luận: (ghi ý kiến thảo luận của từng người).
- Trưởng thôn tổng hợp chung các ý kiến của những người tham gia cuộc họp: đề xuất phương án biểu quyết.
- Trưởng thôn thống nhất hình thức biểu quyết (hình thức giơ tay hoặc bỏ phiếu kín).
- Kết quả biểu quyết: biểu quyết theo từng nội dung, xác định 30 người đồng ý/tổng 30 người tham dự cuộc họp.
○ Nội dung 1: số người đồng ý/tổng 30 người tham dự cuộc họp.
○ Nội dung 2: số người đồng ý/tổng 30 người tham dự cuộc họp.
○ ……………………………………….
- Trưởng thôn công bố những nội dung đề nghị ban quản lý rừng đặc dụng hỗ trợ (những nội dung được trên 50% tổng số người tham dự cuộc họp hoặc đại diện hộ gia đình trong thôn biểu quyết đồng ý).
6. Thời gian kết thúc: ………………………………………………………………..
Biên bản này đã được đọc to cho mọi người tham dự cuộc họp nghe, được lập thành 03 bản: 01 bản gửi Ban quản lý khu rừng đặc dụng; 01 bản gửi Ủy ban nhân dân cấp xã; 01 bản lưu tại thôn.
|
THƯ KÝ (Ký và ghi rõ họ tên)
|
TRƯỞNG THÔN (Ký và ghi rõ họ tên) |
Mẫu số 02
|
Thôn: ………………. |
CỘNG HÒA XÃ HỘI CHỦ NGHĨA VIỆT NAM |
KẾ HOẠCH, DỰ TOÁN KINH PHÍ HỖ TRỢ
Năm: ………..
_________
Phần I
KẾ HOẠCH, DỰ TOÁN HỖ TRỢ CỘNG ĐỒNG DÂN CƯ
|
Nội dung |
Thời gian thực hiện |
Tổng kinh phí dự kiến (1.000 đồng) |
Nguồn kinh phí (1.000 đồng) |
Dự kiến hình thức tổ chức thực hiện |
Ghi chú |
||
|
Ban QL RĐD hỗ trợ |
Đóng góp của cộng đồng |
Nguồn khác |
|||||
|
1 |
2 |
3=4+5+6 |
4 |
5 |
6 |
7 |
8 |
|
1. Đầu tư nâng cao năng lực phát triển sản xuất |
|
|
|
|
|
|
|
|
- Giống cây |
|
|
|
|
|
|
|
|
- ………………… |
|
|
|
|
|
|
|
|
- ………………… |
|
|
|
|
|
|
|
|
2. Hỗ trợ vật liệu xây dựng cho các công trình công cộng |
|
|
|
|
|
|
|
|
- Nước sạch |
|
|
|
|
|
|
|
|
- ………….. |
|
|
|
|
|
|
|
|
- ………….. |
|
|
|
|
|
|
|
|
Tổng cộng: |
|
|
|
|
|
|
|
Phần II
DỰ TOÁN KINH PHÍ HỖ TRỢ
|
Nội dung |
Đơn vị tính |
Số lượng/ khối lượng |
Đơn giá (1.000 đồng) |
Thành tiền (1.000 đồng) |
Ghi chú |
|
1 |
2 |
3 |
4 |
5=3*4 |
6 |
|
1. Đầu tư nâng cao năng lực phát triển sản xuất |
|
|
|
|
|
|
- Giống cây |
|
|
|
|
|
|
- ………………. |
|
|
|
|
|
|
- ………………. |
|
|
|
|
|
|
2. Hỗ trợ vật liệu xây dựng cho các công trình công cộng |
|
|
|
|
|
|
- Nước sạch |
|
|
|
|
|
|
- ……………… |
|
|
|
|
|
|
- ……………… |
|
|
|
|
|
|
Tổng cộng: |
|
|
|
|
|
|
TRƯỞNG THÔN (Ký và ghi rõ họ tên)
|
ĐỒNG PHÊ DUYỆT ĐẠI DIỆN UBND CẤP XÃ (Ký, họ tên, đóng dấu) |
ĐẠI DIỆN BAN QUẢN LÝ KHU RỪNG ĐẶC DỤNG (Ký, họ tên, đóng dấu) |
HƯỚNG DẪN LẬP BIỂU
Phần 1. Kế hoạch, dự toán hỗ trợ cộng đồng dân cư
Kế hoạch, dự toán do cộng đồng dân cư lập vào Quý I hằng năm trên cơ sở: (i) Thông báo của ban quản lý rừng đặc dụng và (ii) Kết quả cuộc họp thôn được thể hiện trong Biên bản họp cộng đồng dân cư.
1. Cột 1- Nội dung: là các nội dung được hỗ trợ cho cộng đồng dân cư vùng đệm theo quy định tại Nghị định số .../20../NĐ-CP…, đáp ứng các tiêu chí sau:
- Phù hợp với kế hoạch phát triển kinh tế - xã hội của xã/phường/thị trấn;
- Phù hợp với quy hoạch rừng đặc dụng;
- Được trên 50% tổng số đại diện hộ gia đình trong cộng đồng dân cư tán thành trong biên bản họp cộng đồng dân cư.
Các nội dung được ghi theo thứ tự ưu tiên từ trên xuống theo 2 nội dung (1. Đầu tư nâng cao năng lực phát triển sản xuất; 2. Hỗ trợ vật liệu xây dựng cho các công trình công cộng) và không quá 3 hoạt động trong 1 năm.
2. Cột 2- Thời gian thực hiện: dự kiến thời gian thực hiện nội dung công việc theo quý trong năm.
3. Từ cột 3 đến cột 6 là tổng kinh phí dự kiến để thực hiện nội dung hoạt động và dự kiến huy động nguồn kinh phí.
- Cột 3 - Tổng kinh phí dự kiến: được xác định bằng tổng các cột 4, cột 5 và cột 6.
- Cột 4- Ghi số kinh phí đề nghị Ban quản lý rừng đặc dụng hỗ trợ. Tổng kinh phí không vượt quá 40.000.000 đồng/năm.
- Cột 5- Ghi dự kiến giá trị đóng góp của cộng đồng dân cư bằng tiền. Trường hợp đóng góp bằng ngày công lao động hay vật tư thì phải quy đổi thành tiền theo đơn giá tại địa phương.
- Cột 6- Nguồn kinh phí khác: ghi số kinh phí dự kiến được huy động từ các nguồn khác như hỗ trợ của các tổ chức, cá nhân... cho cộng đồng dân cư.
4. Cột 7- Dự kiến hình thức tổ chức thực hiện, ghi:
- Thôn tự thực hiện; thực hiện theo hợp đồng (cộng đồng dân cư ký hợp đồng với tổ chức, cá nhân); hay đồng tài trợ cho công trình khác.
- Đối với các nội dung cộng đồng dân cư không tự tổ chức thực hiện được: cộng đồng dân cư đề nghị Ủy ban nhân dân cấp xã hoặc ban quản lý rừng đặc dụng hỗ trợ thực hiện.
5. Cột 8 - Ghi chú: giải thích thêm những gì chưa rõ.
Phần II. Dự toán kinh phí hỗ trợ
Phần này ghi những nội dung cụ thể thôn đề nghị Ban quản lý rừng đặc dụng hỗ trợ.
1. Cột 1- Nội dung: là các nội dung được ghi tại Phần I.
2. Cột 2- Đơn vị tính: ghi đơn vị tính, ví dụ:
- Mua giống cây là cây;
- Mua giống con là con;
- Vật liệu xây dựng công trình: sắt, thép là kg; cát là m3; xi măng là kg; gạch là viên ....
- ………..
3. Cột 3- Số lượng/khối lượng:
- Mua giống cây là số lượng cây;
- Mua giống con là số lượng con;
- Vật liệu xây dựng công trình: là khối lượng vật liệu như sắt, thép; cát; xi măng; gạch ....
- ……
4. Cột 4- Đơn giá: là đơn giá dự kiến tại địa phương được tính theo đơn vị 1.000 đồng.
5. Cột 5- Thành tiền bằng số liệu cột 3 (số lượng/khối lượng) nhân với (x) cột 4 (đơn giá). Tổng cộng cột này bằng tổng cộng cột 4 Phần I.
6. Cột 6- Ghi chú: giải thích thêm những gì chưa rõ.
Mẫu số 03
CỘNG HÒA XÃ HỘI CHỦ NGHĨA VIỆT NAM
Độc lập - Tự do - Hạnh phúc
_____________
…., ngày .... tháng .... năm….
ĐỀ NGHỊ HỖ TRỢ LÃI SUẤT VAY VỐN NGÂN HÀNG
_____________
Kính gửi: Ủy ban nhân dân huyện, thị xã,….
Tôi tên là:………………Sinh ngày: ………………
Căn cước công dân/Căn cước số: ………………
Nơi cấp: ……………cấp ngày…./tháng…/năm…
Địa chỉ thường trú: ………………………………
Địa chỉ hiện tại: ………………………………
Số điện thoại: ………………………………
Tôi là bền vay trong Hợp đồng vay tín dụng số……….. được ký kết vào ngày……/……/…… giữa Tôi và Ngân hàng với số tiền là: ….. đồng. Nội dung hợp đồng có ghi rõ số tiền vay và mức lãi suất hàng tháng mà tôi phải trả là:…....... đồng. Tôi đã sử dụng số tiền vay để đầu tư vào trồng rừng, phát triển lâm sản ngoài gỗ.
Sau khi nghiên cứu chính sách hỗ trợ lãi suất vay vốn ngân hàng thương mại quy định tại Nghị định số…../NĐ-CP ngày … tháng … năm … của Chính phủ về một số chính sách đầu tư trong lâm nghiệp, Tôi đề nghị Ủy ban nhân dân cấp tỉnh xem xét, quyết định được hỗ trợ lãi suất vay vốn ngắn hàng theo Nghị định số…./NĐ-CP ngày … tháng … năm …. của Chính phủ, cụ thể:
Tổng số vốn đề nghị được vay có hỗ trợ lãi suất:.............................................
Thời gian vay vốn có hỗ trợ lãi suất:…………….
Tôi xin cam kết sử dụng vốn vay đúng mục đích và chịu hoàn toàn trách nhiệm trước pháp luật nếu để xảy ra vi phạm./.
Tôi xin chân thành cảm ơn!
NGƯỜI ĐỀ NGHỊ
Mẫu số 04
THIẾT KẾ TRỒNG, CHĂM SÓC RỪNG NĂM THỨ NHẤT
Tiểu khu:………………….
Khoảnh:…………………..
|
Biện pháp kỹ thuật |
Lô thiết kế |
||
|
Lô ... |
Lô ... |
… |
|
|
I. Xử lý thực bì: |
|
|
|
|
1. Phương thức |
|
|
|
|
2. Phương pháp |
|
|
|
|
3. Thời gian xử lý |
|
|
|
|
Il. Làm đất: |
|
|
|
|
1. Phương thức: |
|
|
|
|
- Cục bộ - Toàn diện |
|
|
|
|
2. Phương pháp (cuốc đất theo hố, kích thước hố, lấp hố...): |
|
|
|
|
- Thủ công - Cơ giới - Thủ công kết hợp cơ giới |
|
|
|
|
3. Thời gian làm đất |
|
|
|
|
III. Bón lót phân: |
|
|
|
|
1. Loại phân |
|
|
|
|
2. Liều lượng bón |
|
|
|
|
3. Thời gian bón |
|
|
|
|
IV. Trồng rừng: |
|
|
|
|
1. Loài cây trồng |
|
|
|
|
2. Phương thức trồng |
|
|
|
|
3. Phương pháp trồng |
|
|
|
|
4. Công thức trồng |
|
|
|
|
5. Thời vụ trồng |
|
|
|
|
6. Mật độ trồng: |
|
|
|
|
- Cự ly hàng (m) |
|
|
|
|
- Cự ly cây (m) |
|
|
|
|
7. Tiêu chuẩn cây giống (chiều cao, đường kính cổ rễ, tuổi) |
|
|
|
|
8. Số lượng cây giống, hạt giống (kể cả trồng dặm) |
|
|
|
|
V. Chăm sóc, bảo vệ năm đầu: |
|
|
|
|
1. Lần thứ nhất: (tháng … đến tháng….) |
|
|
|
|
- Nội dung chăm sóc: |
|
|
|
|
+... |
|
|
|
|
2. Lần thứ 2, thứ 3...: Nội dung chăm sóc như lần thứ nhất hoặc tùy điều kiện chỉ vận dụng nội dung thích hợp |
|
|
|
|
3. Bảo vệ: |
|
|
|
|
- ….. |
|
|
|
…., ngày .... tháng .... năm…
CHỦ RỪNG
Mẫu số 05
CỘNG HÒA XÃ HỘI CHỦ NGHĨA VIỆT NAM
Độc lập - Tự do - Hạnh phúc
________________
...., ngày… tháng... năm….
BIÊN BẢN
Xác minh điều kiện hỗ trợ lãi suất tín dụng theo Nghị định số ..../.../NĐ-CP
ngày … tháng .... năm …của Chính phủ
____________________
Hôm nay, ngày … tháng … năm…, chúng tôi gồm có:
A. THÀNH PHẦN
- Ông/Bà:…………….đại điện Phòng
- Ông/Bà:…………..đại diện Phòng
- …………………………
- …………………………
- Ông/Bà: …………………………
B. NỘI DUNG KIỂM TRA
Tiến hành xác minh việc đáp ứng các điều kiện về hỗ trợ lãi suất tín dụng theo quy định tại Nghị định số…/…../NĐ-CP ngày … tháng... năm….của Chính phủ về một số chính sách đầu tư trong lâm nghiệp, cụ thể:
1. Cơ sở pháp lý để thực hiện trồng rừng gỗ lớn
…………………………
2. Kiểm tra thực tế việc trồng rừng, hồ sơ, tài liệu liên quan
- Họ, tên chủ rừng đề nghị được hỗ trợ:……………..
- Tên khu rừng trồng gỗ lớn:………………..
- Địa điểm rừng trồng gỗ lớn: ……………..
- Diện tích rừng trồng gỗ lớn, phát triển lâm sản ngoài gỗ: ………(có bản đồ, sơ đồ đính kèm);
- Loại rừng: ……………..
- Loài cây trồng: ……………..
- Năm trồng: ……………..
- Mật độ hiện tại: ……………..
- Tổng số vốn vay tại ngân hàng thương mại:….. đồng.
- Tổng số vốn đề nghị được vay có hỗ trợ lãi suất:…..đồng.
- Thời gian vay vốn có hỗ trợ lãi suất: ……………..
3. Hộ gia đình, cá nhân đã được hỗ trợ từ chính sách ưu đãi hoặc hỗ trợ khác nhưng chưa được hỗ trợ cho việc trồng rừng gỗ lớn, phát triển lâm sản ngoài gỗ:
……………..……………..……………..……………..……………..
……………..……………..……………..…………………………....
4. Các vấn đề khác có liên quan
Biên bản kết thúc vào hồi...ngày...tháng…năm….; đã được các thành phần tham gia nhất trí thông qua và lập thành 02 bản: 01 bản gửi chủ rừng; 01 bản lưu hồ sơ hỗ trợ lãi suất.
|
CHỦ RỪNG |
TỔ XÁC MINH |
Mẫu số 06
|
CƠ QUAN/ĐƠN VỊ CHỦ QUẢN |
CỘNG HÒA XÃ HỘI CHỦ NGHĨA VIỆT NAM |
ĐỀ NGHỊ HỖ TRỢ KINH PHÍ
XÂY DỰNG PHƯƠNG ÁN QUẢN LÝ RỪNG BỀN VỮNG
VÀ CẤP CHỨNG CHỈ QUẢN LÝ RỪNG BỀN VỮNG
(Đối với chủ rừng là tổ chức)
____________________
Kính gửi: Sở Nông nghiệp và Phát triển nông thôn tỉnh/thành phố……..
Căn cứ Nghị định số …/…/NĐ-CP ngày … tháng … năm … của Chính phủ về một số chính sách đầu tư trong lâm nghiệp;
Căn cứ Quyết định số…./QĐ-UBND ngày … tháng … năm ...của Ủy ban nhân dân tỉnh/thành phố.....về phê duyệt dự án quản lý rừng bền vững và cấp chứng chỉ quản lý rừng bền vững;
….(Tên chủ rừng) …. kính đề nghị Sở Nông nghiệp và Phát triển nông thôn xem xét cấp kinh phí hỗ trợ xây dựng phương án quản lý rừng bền vững và cấp chứng chỉ quản lý rừng bền vững, cụ thể như sau:
1. Tên chủ rừng:…………………………………….
2. Địa chỉ: ………………….………………….
3. Số điện thoại liên hệ: ………………….; Email: ………………….
4. Số tài khoản: ………………….tại ngân hàng………………….; họ và tên chủ tài khoản hoặc người được ủy quyền theo quy định của pháp luật: ………………….
5. Tổng diện tích rừng trồng sản xuất được xây dựng phương án quản lý rừng bền vững và cấp chứng chỉ quản lý rừng bền vững:………..ha.
6. Loại chứng chỉ quản lý rừng bền vững được cấp: (FSC hoặc VFCS hoặc VFCS/PEFC).
7. Tổng kinh phí đề nghị hỗ trợ xây dựng phương án quản lý rừng bền vững và cấp chứng chỉ quản lý rừng bền vững: Số tiền được hỗ trợ (đồng/ha) x Diện tích rừng được hỗ trợ (ha) = ….. đồng (bằng chữ:………………….).
8. Hồ sơ đề nghị hỗ trợ xây dựng phương án quản lý rừng bền vững và cấp chứng chỉ quản lý rừng bền vững kèm theo văn bản này gồm:
- Bản sao hợp đồng, biên bản nghiệm thu, thanh lý hợp đồng giữa chủ rừng với tổ chức tư vấn xây dựng phương án quản lý rừng bền vững và tổ chức đánh giá cấp chứng chỉ quản lý rừng bền vững;
- Bản sao chứng chỉ quản lý rừng bền vững do tổ chức cấp chứng chỉ rừng cấp.
….(Tên chủ rừng)... kính đề nghị Sở Nông nghiệp và Phát triển nông thôn tỉnh/thành phố…..xem xét cấp kinh phí hỗ trợ xây dựng phương án quản lý rừng bền vững và cấp chứng chỉ quản lý rừng bền vững cho đơn vị theo quy định.
|
Nơi nhận: |
CHỦ RỪNG |
Khoản 1 Điều 52 Nghị định số 42/2026/NĐ-CP thay thế cụm từ “Nông nghiệp và Phát triển nông thôn” bằng cụm từ “Nông nghiệp và Môi trường” tại điểm c khoản 4 Điều 16 Nghị định số 58/2024/NĐ-CP. Tuy nhiên, điểm c khoản 4 Điều 16 Nghị định số 58/2024/NĐ-CP viện dẫn đến Mẫu số 06. Do đó, cụm từ “Nông nghiệp và Phát triển nông thôn” tại Mẫu số 06 được thay thế bằng cụm từ “Nông nghiệp và Môi trường” theo quy định tại khoản 1 Điều 52 Nghị định số 42/2026/NĐ-CP.
CỘNG HÒA XÃ HỘI CHỦ NGHĨA VIỆT NAM
Độc lập - Tự do - Hạnh phúc
______________
(Xã…), ngày ... tháng ...năm…
ĐỀ NGHỊ HỖ TRỢ KINH PHÍ
XÂY DỰNG PHƯƠNG ÁN QUẢN LÝ RỪNG BỀN VỮNG
VÀ CẤP CHỨNG CHỈ QUẢN LÝ RỪNG BỀN VỮNG
(Đối với nhóm hộ)
________________
Kính gửi: Ủy ban nhân dân xã/phường/thị trấn………..
Căn cứ Nghị định số…./20.../NĐ-CP ngày ... tháng ... năm .... của Chính phủ về một số chính sách đầu tư trong lâm nghiệp;
Căn cứ Quyết định số…/QĐ-UBND ngày ... tháng ...năm ... của Ủy ban nhân dân tỉnh/thành phố….về phê duyệt dự án quản lý rừng bền vững và chứng chỉ quản lý rừng bền vững;
...(Tên nhóm hộ) ... kính đề nghị Ủy ban nhân dân xã/phường/thị trấn………xem xét cấp kinh phí hỗ trợ xây dựng phương án quản lý rừng bền vững và cấp chứng chỉ quản lý rừng bền vững, cụ thể như sau:
1. Tên nhóm hộ:………………Địa chỉ: ………………
2. Họ và tên người đại diện nhóm hộ: ………………Địa chỉ: ………
3. Căn cước công dân/Căn cước số: ……………nơi cấp………………cấp ngày………………
Số điện thoại liên hệ: ………………Email (nếu có): ………………
4. Số tài khoản: ………………tại ngân hàng………………; họ và tên chủ tài khoản người đại diện nhóm hộ: ………………
5. Tổng diện tích rừng trồng sản xuất được xây dựng phương án quản lý rừng bền vững và cấp chứng chỉ quản lý rừng bền vững: ….ha.
6. Loại chứng chỉ quản lý rừng bền vững được cấp: (FSC hoặc VFCS hoặc VFCS/PEFC).
7. Tổng kinh phí đề nghị hỗ trợ xây dựng phương án quản lý rừng bền vững và cấp chứng chỉ quản lý rừng bền vững: Số tiền được hỗ trợ (đồng/ha) x Diện tích rừng được hỗ trợ (ha) =…đồng (bằng chữ:…………).
8. Hồ sơ đề nghị hỗ trợ xây dựng phương án quản lý rừng bền vững và cấp chứng chỉ quản lý rừng bền vững kèm theo văn bản này gồm:
- Bản sao hợp đồng, biên bản nghiệm thu, thanh lý hợp đồng giữa người đại diện nhóm hộ với tổ chức tư vấn xây dựng phương án quản lý rừng bền vững và tổ chức đánh giá cấp chứng chỉ quản lý rừng bền vững;
- Bản sao chứng chỉ quản lý rừng bền vững do tổ chức cấp chứng chỉ rừng cấp.
...(Tên nhóm hộ)... kính đề nghị Ủy ban nhân dân xã/phường/thị trấn……………… xem xét cấp kinh phí hỗ trợ xây dựng phương án quản lý rừng bền vững và cấp chứng chỉ quản lý rừng bền vững cho nhóm hộ theo quy định.
|
Nơi nhận: |
NGƯỜI ĐẠI DIỆN NHÓM HỘ |
Mẫu số 08
CÁCH TÍNH MỨC TRỢ CẤP GẠO BẢO VỆ VÀ PHÁT TRIỂN RỪNG
1. Cách tính số gạo trợ cấp
a) Đối với trợ cấp gạo cho hộ gia đình thực hiện trồng rừng thay thế nương rẫy

Trong đó:
- Số tháng trợ cấp không quá 6 tháng;
- Số khẩu được trợ cấp là số khẩu trong hộ gia đình thực hiện trồng rừng thay thế nương rẫy;
- Hệ số diện tích trồng rừng được lấy theo Mục 2 Mẫu này.
b) Đối với trợ cấp gạo cho hộ gia đình thực hiện bảo vệ và phát triển rừng, không thuộc điểm a khoản này

Trong đó:
- Số tháng trợ cấp không quá 4 tháng;
- Số khẩu được trợ cấp là số khẩu trong hộ gia đình thực hiện bảo vệ và phát triển rừng;
- Hệ số diện tích bảo vệ và phát triển rừng được lấy theo Mục 2 Mẫu này.
2. Hệ số diện tích thực hiện
|
TT |
Diện tích thực hiện |
Hệ số |
|
|
Trồng rừng thay thế nương rẫy |
Bảo vệ và phát triển rừng |
||
|
1 |
Trên 1,0 ha |
Trên 15 ha |
1 |
|
2 |
Từ 0,8 - 1,0 ha |
Từ 10- 15 ha |
0,9 |
|
3 |
Từ 0,5 - 0,8 ha |
Từ 5 - 10 ha |
0,8 |
|
4 |
Dưới 0,5 ha |
Dưới 5 ha |
0,7 |
3. Ví dụ về cách tính khối lượng gạo trợ cấp
a) Đối với trợ cấp gạo cho hộ gia đình thực hiện trồng rừng thay thế nương rẫy
Ví dụ 1: Hộ gia đình A có 5 khẩu thực hiện trồng rừng thay thế nương rẫy là 0,6 ha. Xác định tổng mức gạo trợ cấp đối với hộ gia đình này như sau:
- Xác định số gạo trợ cấp: 6 tháng x 15 kg x 5 khẩu x 0,8 = 360 kg/năm.
- Tổng số gạo trợ cấp cho gia đình A trong năm là 360 kg/năm.
Ví dụ 2: Hộ gia đình A có 4 khẩu thực hiện trồng rừng thay thế nương rẫy là 1,5 ha. Xác định tổng mức gạo trợ cấp đối với hộ gia đình này như sau:
- Xác định số gạo trợ cấp: 6 tháng x15 kg x 4 khẩu x 1 = 360 kg/năm.
- Tổng số gạo trợ cấp cho gia đình A trong năm là 360 kg/năm.
Ví dụ 3: Hộ gia đình A có 6 khẩu thực hiện trồng rừng thay thế nương rẫy là 2 ha. Xác định tổng mức gạo trợ cấp đối với hộ gia đình này như sau:
- Xác định số gạo trợ cấp: 6 tháng x 15 kg x 6 khẩu x 1 = 540 kg/năm.
Số gạo vượt so với định mức (450 kg/năm)
Do đó, Chủ tịch Ủy ban nhân dân cấp tỉnh quyết định số tháng trợ cấp phù hợp, đảm bảo tổng số gạo trợ cấp cho gia đình A trong năm không vượt quá 450 kg/năm.
b) Đối với trợ cấp gạo cho hộ gia đình thực hiện bảo vệ và phát triển rừng, không thuộc điểm a khoản này
Ví dụ 4: Hộ gia đình B có 6 khẩu thực hiện bảo vệ và phát triển rừng là 4 ha. Xác định tổng mức gạo trợ cấp đối với hộ gia đình này như sau:
- Xác định số gạo trợ cấp: 4 tháng x 15 kg x 6 khẩu x 0,7 = 252 kg/năm.
- Tổng số gạo trợ cấp cho gia đình B trong năm là 252 kg/năm.
Ví dụ 5: Hộ gia đình B có 5 khẩu thực hiện bảo vệ và phát triển rừng là 12 ha. Xác định tổng mức gạo trợ cấp đối với hộ gia đình này như sau:
- Xác định số gạo trợ cấp: 4 tháng x 15 kg x 5 khẩu x 0,9 = 270 kg/năm.
- Tổng số gạo trợ cấp cho gia đình B trong năm là 270 kg/năm.
Ví dụ 6: Hộ gia đình B có 6 khẩu thực hiện bảo vệ và phát triển rừng là 16 ha. Xác định tổng mức gạo trợ cấp đối với hộ gia đình này như sau:
- Xác định số gạo trợ cấp: 4 tháng x 15 kg x 6 khẩu x 1 = 360 kg/năm.
Số gạo vượt so với định mức (300 kg/năm)
Do đó, Chủ tịch Ủy ban nhân dân cấp tỉnh quyết định số tháng trợ cấp phù hợp, đảm bảo tổng số gạo trợ cấp cho gia đình B trong năm không vượt quá 300 kg/năm.
Mẫu số 09
|
Huyện…. Xã………. _____________ |
CỘNG HÒA XÃ HỘI CHỦ NGHĨA VIỆT NAM Độc lập- Tự do - Hạnh phúc _____________ |
DANH SÁCH
HỘ GIA ĐÌNH ĐĂNG KÝ THỰC HIỆN BẢO VỆ RỪNG, KHOANH NUÔI XÚC TIẾN TÁI SINH TỰ NHIÊN
CÓ TRỒNG BỔ SUNG, TRỒNG RỪNG PHÒNG HỘ, TRỒNG RỪNG SẢN XUẤT VÀ PHÁT TRIỂN LÂM SẢN NGOÀI GỖ, TRỒNG RỪNG THAY THẾ NƯƠNG RẪY
Thôn….
_____________________
|
TT |
Tên chủ hộ gia đình |
Dân tộc |
Số khẩu |
Diện tích được bảo vệ rừng |
Diện tích nhận khoán bảo vệ rừng |
Diện tích rừng được khoanh nuôi XTTS tự nhiên có trồng bổ sung |
Diện tích trồng rừng |
Số lượng gạo hỗ trợ năm … (kg) |
Ghi chú |
|||||||||||||||||||
|
Diện tích (ha) |
Vị trí (ghi Lô, Khoảnh, Tiểu khu) |
Loại rừng (đánh dấu “X” vào ô tương ứng) |
Diện tích (ha) |
Vị trí (ghi Lô, Khoảnh, Tiểu khu) |
Loại rừng (đánh dấu “X” vào ô tương ứng) |
Diện tích (ha) |
Vị trí (ghi Lô, Khoảnh, Tiểu khu) |
Trạng thái đất LN được giao |
Diện tích (ha) |
Vị trí (ghi Lô, Khoảnh, Tiểu khu) |
Trạng thái đất LN được giao |
|||||||||||||||||
|
Rừng PH |
RSX là RTN |
Rừng tự nhiên |
Rừng trồng |
Tổng |
KN mới |
KN chuyển tiếp |
Tổng |
PH |
SX |
Phát triển LSNG |
||||||||||||||||||
|
ĐD |
PH |
SX |
ĐD |
PH |
SX |
|||||||||||||||||||||||
|
1 |
2 |
3 |
4 |
5 |
6 |
7 |
8 |
9 |
10 |
11 |
12 |
13 |
14 |
15 |
16 |
17 |
18 |
19 |
20 |
21 |
22 |
23 |
24 |
25 |
26 |
27 |
28 |
29 |
|
|
Tổng |
|
|
|
|
|
|
|
|
|
|
|
|
|
|
|
|
|
|
|
|
|
|
|
|
|
|
|
|
|
|
|
|
|
|
|
|
|
|
|
|
|
|
|
|
|
|
|
|
|
|
|
|
|
|
|
|
|
|
|
|
|
|
|
|
|
|
|
|
|
|
|
|
|
|
|
|
|
|
|
|
|
|
|
|
|
|
|
|
|
|
|
|
|
|
|
|
|
|
|
|
|
|
|
|
|
|
|
|
|
|
|
|
|
|
|
|
|
|
|
…, ngày ... tháng … năm… |
Mẫu số 10
|
UBND TỈNH…. _____________ |
CỘNG HÒA XÃ HỘI CHỦ NGHĨA VIỆT NAM Độc lập- Tự do - Hạnh phúc _____________ |
DANH SÁCH ĐỐI TƯỢNG, NHU CẦU TRỢ CẤP GẠO
Năm……….
________________
|
TT |
Tên Dự án, chủ hộ gia đình |
Thôn |
Dân tộc |
Số khẩu |
Đối tượng (nếu thuộc hộ nghèo thì đánh dấu “X”) |
Diện tích được bảo vệ rừng |
Diện tích nhận khoán bảo vệ rừng |
Diện tích rừng được khoanh nuôi XTTS tự nhiên có trồng bổ sung |
Diện tích trồng rừng |
Hỗ trợ năm thứ… |
Số lượng gạo hỗ trợ năm … (kg) |
Ghi chú |
|||||||||||||||||||
|
Diện tích (ha) |
Vị trí (ghi Lô, Khoảnh, Tiểu khu) |
Loại rừng (đánh dấu “X” vào ô tương ứng) |
Diện tích (ha) |
Vị trí (ghi Lô, Khoảnh, Tiểu khu) |
Loại rừng (đánh dấu “X” vào ô tương ứng) |
Diện tích (ha) |
Vị trí (ghi Lô, Khoảnh, Tiểu khu) |
Trạng thái đất LN được giao |
Diện tích (ha) |
Vị trí (ghi Lô, Khoảnh, Tiểu khu) |
Trạng thái đất LN được giao |
||||||||||||||||||||
|
|
|
Rừng PH |
RSX là RTN |
Rừng tự nhiên |
Rừng trồng |
Tổng |
KN mới |
KN chuyển tiếp |
Tổng |
PH |
SX |
Phát triển LSNG |
|||||||||||||||||||
|
|
|
ĐD |
PH |
SX |
ĐD |
PH |
SX |
|
|||||||||||||||||||||||
|
1 |
2 |
3 |
4 |
5 |
6 |
7 |
8 |
9 |
10 |
11 |
12 |
13 |
14 |
15 |
16 |
17 |
18 |
19 |
20 |
21 |
22 |
23 |
24 |
25 |
26 |
27 |
28 |
29 |
30 |
31 |
32 |
|
|
Tổng (A+B+…) |
|
|
|
|
|
|
|
|
|
|
|
|
|
|
|
|
|
|
|
|
|
|
|
|
|
|
|
|
|
|
|
A |
Dự án (tên dự án, số QĐ đầu tư) |
|
|
|
|
|
|
|
|
|
|
|
|
|
|
|
|
|
|
|
|
|
|
|
|
|
|
|
|
|
|
|
I |
Huyện…. |
|
|
|
|
|
|
|
|
|
|
|
|
|
|
|
|
|
|
|
|
|
|
|
|
|
|
|
|
|
|
|
1 |
Xã…. |
|
|
|
|
|
|
|
|
|
|
|
|
|
|
|
|
|
|
|
|
|
|
|
|
|
|
|
|
|
|
|
|
Nguyễn Văn A |
|
|
|
|
|
|
|
|
|
|
|
|
|
|
|
|
|
|
|
|
|
|
|
|
|
|
|
|
|
|
|
|
…. |
|
|
|
|
|
|
|
|
|
|
|
|
|
|
|
|
|
|
|
|
|
|
|
|
|
|
|
|
|
|
|
2 |
Xã.... |
|
|
|
|
|
|
|
|
|
|
|
|
|
|
|
|
|
|
|
|
|
|
|
|
|
|
|
|
|
|
|
|
…. |
|
|
|
|
|
|
|
|
|
|
|
|
|
|
|
|
|
|
|
|
|
|
|
|
|
|
|
|
|
|
|
B |
Dự án (tên dự án, số QĐ đầu tư)... |
|
|
|
|
|
|
|
|
|
|
|
|
|
|
|
|
|
|
|
|
|
|
|
|
|
|
|
|
|
|
|
|
Lặp lại tương tự như Mục A) |
|
|
|
|
|
|
|
|
|
|
|
|
|
|
|
|
|
|
|
|
|
|
|
|
|
|
|
|
|
|
|
|
…, ngày .... tháng … năm…. |
Mẫu số 11
CỘNG HÒA XÃ HỘI CHỦ NGHĨA VIỆT NAM
Độc lập- Tự do - Hạnh phúc
_____________
DANH SÁCH
HỘ GIA ĐÌNH ….. NHẬN TRỢ CẤP GẠO
Tháng….năm....
|
TT |
Tên chủ hộ gia đình |
Dân tộc |
Số khẩu |
Diện tích được bảo vệ rừng |
Diện tích nhận khoán bảo vệ rừng |
Diện tích rừng được khoanh nuôi XTTS tự nhiên có trồng bổ sung |
Diện tích trồng rừng |
Số lượng gạo hỗ trợ năm … (kg) |
Ký nhận hoặc điểm chỉ |
||||||||||||||
|
Diện tích (ha) |
Vị trí (ghi Lô, Khoảnh, Tiểu khu) |
Loại rừng (đánh dấu “X” vào ô tương ứng) |
Diện tích (ha) |
Vị trí (ghi Lô, Khoảnh, Tiểu khu) |
Loại rừng (đánh dấu “X” vào ô tương ứng) |
Diện tích (ha) |
Vị trí (ghi Lô, Khoảnh, Tiểu khu) |
Diện tích (ha) |
Vị trí (ghi Lô, Khoảnh, Tiểu khu) |
||||||||||||||
|
Rừng PH |
RSX là RTN |
Rừng tự nhiên |
Rừng trồng |
TRPH |
TRSX |
Phát triển LSNG |
|||||||||||||||||
|
ĐD |
PH |
SX |
ĐD |
PH |
SX |
||||||||||||||||||
|
1 |
2 |
3 |
4 |
5 |
6 |
7 |
8 |
9 |
10 |
11 |
12 |
13 |
14 |
15 |
16 |
17 |
18 |
19 |
20 |
21 |
22 |
23 |
24 |
|
|
|
|
|
|
|
|
|
|
|
|
|
|
|
|
|
|
|
|
|
|
|
|
|
|
|
|
|
|
|
|
|
|
|
|
|
|
|
|
|
|
|
|
|
|
|
|
|
|
|
|
|
|
|
|
|
|
|
|
|
|
|
|
|
|
|
|
|
|
|
|
|
|
|
|
|
|
|
|
|
|
|
|
|
|
|
|
|
|
|
|
|
|
|
|
|
|
|
|
|
|
Tổng cộng |
|
|
|
|
|
|
|
|
|
|
|
|
|
|
|
|
|
|
|
|
|
|
…, ngày .... tháng ... năm ...
CHỦ ĐẦU TƯ/ĐƠN VỊ
(Họ tên, chữ ký)
Mẫu số 12
CỘNG HÒA XÃ HỘI CHỦ NGHĨA VIỆT NAM
Độc lập - Tự do - Hạnh phúc
________________
SỔ THEO DÕI TRỢ CẤP GẠO
Cho chủ hộ tham gia…......... theo quy định tại Nghị định số…..của Chính phủ
Cấp cho ông (bà):…….
Địa chỉ: Thôn … Xã … Huyện …. Tỉnh …
Số sổ:…..
___________________
BẢNG THEO DÕI TRỢ CẤP GẠO
|
Ngày cấp |
Duyệt cấp |
Diện tích thực hiện |
Thực cấp |
||||||||||||||
|
Số khẩu |
Diện tích đăng ký (ha) |
Số lượng gạo hỗ trợ (kg) |
Diện tích rừng được bảo vệ (ha) |
Diện tích được nhận khoán bảo vệ rừng (ha) |
Diện tích rừng được KNXTTS tự nhiên có trồng bổ sung (ha) |
Diện tích rừng đã được trồng (ha) |
Số lượng gạo thực cấp (kg) |
Họ và tên người giao gạo |
Họ và tên người nhận gạo |
Chữ ký của người nhận gạo |
|||||||
|
Bảo vệ rừng |
Khoán bảo vệ rừng |
Khoanh nuôi XTTS có trồng bổ sung |
Trồng rừng |
Tổng |
Rừng phòng hộ |
Rừng sản xuất |
Phát triển LSNG |
||||||||||
|
1 |
2 |
3 |
4 |
5 |
6 |
7 |
8 |
9 |
10 |
11 |
12 |
13 |
14 |
15 |
16 |
17 |
18 |
|
|
|
|
|
|
|
|
|
|
|
|
|
|
|
|
|
|
|
|
|
|
|
|
|
|
|
|
|
|
|
|
|
|
|
|
|
|
|
|
|
|
|
|
|
|
|
|
|
|
|
|
|
|
|
|
|
|
|
|
|
|
|
|
|
|
|
|
|
|
|
|
|
|
|
|
Mẫu số 13
|
CƠ QUAN TRÌNH |
CỘNG HÒA XÃ HỘI CHỦ NGHĨA VIỆT NAM |
TỜ TRÌNH
Về việc phê duyệt thiết kế, dự toán
______________
Kính gửi:…………….
Các căn cứ pháp lý:
…………….…………….…………….…………….
…………….…………….…………….…………….
…………….…………….…………….…………….
Cơ quan trình phê duyệt thiết kế, dự toán với các nội dung chính sau:
1. Tên công trình lâm sinh hoặc hoạt động bảo vệ rừng
2. Dự án (nếu là dự án đầu tư)
3. Chủ đầu tư hoặc đơn vị sử dụng kinh phí nhà nước
4. Địa điểm
5. Mục tiêu
6. Nội dung và quy mô
7. Các giải pháp thiết kế chủ yếu
8. Tổng mức đầu tư:
Trong đó:
a) Chi phí xây dựng
b) Chi phí thiết bị
c) Chi phí quản lý
d) Chi phí tư vấn đầu tư xây dựng
đ) Chi phí khác
e) Chi phí dự phòng
……………………
……………………
9. Dự toán chi tiết và tiến độ giải ngân:
|
STT |
Nguồn vốn |
Tổng số |
Năm 20.. |
Năm 20.. |
Năm 20.. |
|
|
Tổng |
|
|
|
|
|
|
|
|
|
|
|
|
|
|
|
|
|
|
10. Thời gian, tiến độ thực hiện:
|
STT |
Hạng mục |
Đơn vị tính |
Năm 20.. |
Năm 20.. |
Năm 20.. |
|
|
|
|
|
|
|
|
|
|
|
|
|
|
11. Tổ chức thực hiện
12. Các nội dung khác:
Cơ quan trình phê duyệt thiết kế, dự toán.
|
Nơi nhận: - ……; - Lưu:….. |
CƠ QUAN TRÌNH (Ký, ghi rõ họ tên, chức vụ và đóng dấu)
|
Mẫu số 14
ĐỀ CƯƠNG THUYẾT MINH THIẾT KẾ
I. NỘI DUNG THUYẾT MINH CHUNG
1. Tên công trình: Xác định tên công trình cụ thể là trồng rừng, nuôi dưỡng rừng, cải tạo rừng, ... hoặc bảo vệ rừng.
2. Dự án: Tên dự án, số quyết định phê duyệt, ngày tháng năm ban hành, cấp ban hành.
3. Mục tiêu: Xác định rõ mục tiêu xây dựng nhằm mục đích phòng hộ, đặc dụng, sản xuất...
4. Địa điểm xây dựng: Theo đơn vị hành chính, theo hệ thống đơn vị tiểu khu, khoảnh, lô.
5. Chủ quản đầu tư: Cấp quyết định đầu tư hoặc cấp giao ngân sách.
6. Chủ đầu tư hoặc đơn vị được giao kinh phí ngân sách nhà nước.
7. Căn cứ pháp lý và tài liệu liên quan: Những tài liệu liên quan trực tiếp đến công trình gồm:
- Văn bản pháp lý;
- Quy hoạch phát triển kinh tế - xã hội của địa phương hoặc quy hoạch ngành liên quan;
- Dự án đầu tư được phê duyệt đối với công trình sử dụng vốn đầu tư công;
- Kế hoạch bố trí kinh phí hằng năm đối với công trình sử dụng kinh phí ngân sách nhà nước;
- Các tài liệu liên quan khác.
8. Điều kiện tự nhiên, kinh tế - xã hội
a) Vị trí địa lý: Khu đất/rừng thuộc tiểu khu, khoảnh, lô;
b) Đặc điểm địa hình, đất đai, thực bì;
c) Tình hình khí hậu, thủy văn và các điều kiện tự nhiên khác trong vùng: xác định các yếu tố ảnh hưởng như đến yếu tố mùa vụ, việc lựa chọn biện pháp kỹ thuật...;
d) Điều kiện kinh tế - xã hội: Khái quát những nét cơ bản, liên quan trực tiếp đến hoạt động thực thi công trình lâm sinh, bảo vệ rừng.
9. Nội dung thiết kế: Nêu nội dung thiết kế từng công trình cụ thể theo quy định tại Mục II Phụ lục này.
10. Thời gian thực hiện, gồm: Thời gian khởi công và hoàn thành; nội dung hoạt động từng năm (nếu công trình kéo dài nhiều năm); chi tiết các hoạt động theo tháng (nếu công trình thực hiện một năm).
|
STT |
Hạng mục |
ĐVT (ha/lượt ha) |
Khối lượng |
Kế hoạch thực hiện |
||
|
Năm... |
Năm... |
Năm... |
||||
|
1 |
|
|
|
|
|
|
|
|
|
|
|
|
|
|
|
2 |
|
|
|
|
|
|
|
|
|
|
|
|
|
|
11. Dự toán vốn đầu tư, nguồn vốn
a) Dự toán vốn đầu tư: Việc tính toán vốn đầu tư được tiến hành theo từng lô. Những lô có điều kiện tương tự được gộp thành một nhóm. Tổng vốn cho từng công trình lâm sinh được tính thông qua việc tính toán chi phí trực tiếp cho từng lô, sau khi nhân với diện tích sẽ tổng hợp và tính các chi phí cần thiết khác.
|
STT |
Hạng mục |
Số tiền (1.000 đ) |
|
|
TỔNG (I+II+...+VI) |
|
|
I |
Chi phí xây dựng |
|
|
1 |
Chi phí trực tiếp |
|
|
1.1 |
Chi phí nhân công |
|
|
|
Xử lý thực bì |
|
|
|
Đào hố |
|
|
|
Vận chuyển cây con thủ công |
|
|
|
Phát đường ranh cản lửa |
|
|
|
Trồng dặm |
|
|
|
…. |
|
|
|
…. |
|
|
1.2 |
Chi phí máy |
|
|
|
Đào hố bằng máy |
|
|
|
Vận chuyển cây con bằng cơ giới |
|
|
|
Ủi đường ranh cản lửa |
|
|
|
…. |
|
|
|
…. |
|
|
1.3 |
Chi phí vật tư, cây giống |
|
|
|
Cây giống (bao gồm cả trồng dặm) |
|
|
|
Phân bón |
|
|
|
Thuốc bảo vệ thực vật |
|
|
|
….. |
|
|
|
….. |
|
|
2 |
Chi phí gián tiếp |
|
|
|
…….. |
|
|
|
…….. |
|
|
3 |
Thu nhập chịu thuế tính trước |
|
|
|
…….. |
|
|
|
…….. |
|
|
4 |
Thuế giá trị gia tăng |
|
|
|
…….. |
|
|
|
…….. |
|
|
II |
Chi phí thiết bị |
|
|
|
…….. |
|
|
|
…….. |
|
|
III |
Chi phí quản lý |
|
|
|
…….. |
|
|
|
…….. |
|
|
IV |
Chi phí tư vấn đầu tư xây dựng |
|
|
|
…….. |
|
|
|
…….. |
|
|
V |
Chi phí khác |
|
|
|
…….. |
|
|
|
…….. |
|
|
VI |
Chi phí dự phòng |
|
|
|
…….. |
|
|
|
…….. |
|
b) Nguồn vốn đầu tư:
- Vốn ngân sách nhà nước;
- Vốn khác (vay ngân hàng, liên doanh, liên kết,...).
c) Tiến độ giải ngân:
|
STT |
Nguồn vốn |
Tổng |
Năm 1 |
Năm 2 |
…….. |
Năm kết thúc |
|
|
Tổng vốn |
|
|
|
|
|
|
1 |
Vốn ngân sách nhà nước |
|
|
|
|
|
|
2 |
Vốn khác |
|
|
|
|
|
12. Tổ chức thực hiện
- Phân công trách nhiệm của từng tổ chức, cá nhân tham gia các công việc cụ thể;
- Nguồn nhân lực thực hiện: Xác định rõ tổ chức hoặc hộ gia đình của thôn, xã hoặc cộng đồng dân cư thực hiện.
II. NỘI DUNG THIẾT KẾ CỤ THỂ
1. Công tác chuẩn bị:
a) Thu thập tài liệu có liên quan:
- Bản đồ địa hình có hệ tọa độ gốc VN 2.000 với tỷ lệ 1/5.000 hoặc 1/10.000;
- Báo cáo nghiên cứu khả thi, bản đồ hiện trạng và quy hoạch của dự án được phê duyệt;
- Định mức kinh tế kỹ thuật thực hiện các biện pháp lâm sinh và định mức kinh tế kỹ thuật xây dựng cơ bản khác có liên quan của trung ương và địa phương;
- Tài liệu, văn bản khác có liên quan đến công tác thiết kế.
b) Dụng cụ kỹ thuật, văn phòng phẩm, bao gồm: Máy định vị GPS, thiết bị đo vẽ, dao phát, phiếu điều tra thu thập số liệu...
c) Chuẩn bị lương thực, thực phẩm, phương tiện, tư trang...
d) Lập kế hoạch thực hiện: về nhân sự, kinh phí, thời gian thực hiện.
2. Công tác ngoại nghiệp:
a) Sơ bộ khảo sát, xác định hiện trường khu thiết kế.
b) Đánh giá hiện trạng, xác định đối tượng cần thực hiện các biện pháp lâm sinh.
c) Xác định ranh giới tiểu khu, khoảnh (hoặc ranh giới khu thiết kế), lô trên thực địa.
d) Đo đạc các đường ranh giới tiểu khu, khoảnh, lô thiết kế; lập bản đồ thiết kế ngoại nghiệp và đóng cọc mốc trên các đường ranh giới.
đ) Cắm mốc: Tại điểm các đường ranh giới tiểu khu, đường khoảnh, đường lô giao nhau và trên đường ranh giới lô khi thay đổi góc phương vị phải cắm cọc mốc, trên mốc ghi số hiệu tiểu khu, khoảnh, lô và diện tích lô.
e) Khảo sát các yếu tố tự nhiên:
- Địa hình: Độ cao (tuyệt đối, tương đối), hướng dốc, độ dốc.
- Đất đai: Đá mẹ; loại đất, đặc điểm của đất; độ dày tầng đất mặt; thành phần cơ giới: nhẹ, trung bình, nặng; tỷ lệ đá lẫn: %; độ nén chặt: tơi xốp, chặt, cứng rắn; đá nổi: %; tình hình xói mòn mặt: yếu, trung bình, mạnh.
- Thực bì: Loại thực bì; loài cây ưu thế; chiều cao trung bình (m); tình hình sinh trưởng (tốt, trung bình, xấu); độ che phủ; cấp thực bì.
- Cự ly vận chuyển cây con (m) và phương tiện vận chuyển.
- Cự ly đi làm (m) và phương tiện đi lại.
g) Thiết kế công trình phòng chống cháy rừng (nếu có).
h) Thu thập các tài liệu về dân sinh kinh tế xã hội.
i) Điều tra trữ lượng rừng:
Áp dụng đối với các lô rừng thiết kế chăm sóc rừng trồng, trồng lại rừng, nuôi dưỡng rừng trồng, cải tạo rừng tự nhiên, nuôi dưỡng rừng tự nhiên và làm giàu rừng tự nhiên.
Phương pháp và nội dung điều tra thực hiện theo quy định tại khoản 1 và khoản 2 Điều 11 Thông tư số 33/2018/TT-BNN-PTNT ngày 16 tháng 11 năm 2018 của Bộ trưởng Bộ Nông nghiệp và Phát triển nông thôn quy định về điều tra, kiểm kê và theo dõi diễn biến rừng và Thông tư số 16/2023/TT-BNNPTNT ngày 15 tháng 12 năm 2023 của Bộ trưởng Bộ Nông nghiệp và Phát triển nông thôn sửa đổi, bổ sung một số điều của Thông tư số 33/2018/TT-BNNPTNT.
k) Điều tra cây tái sinh:
Áp dụng đối với việc thiết kế các công trình lâm sinh, bao gồm: trồng rừng; cải tạo rừng tự nhiên; nuôi dưỡng rừng tự nhiên; làm giàu rừng tự nhiên; khoanh nuôi xúc tiến tái sinh tự nhiên, khoanh nuôi xúc tiến tái sinh tự nhiên có trồng bổ sung.
Phương pháp và nội dung điều tra thực hiện theo quy định tại Điều 14 Thông tư số 33/2018/TT-BNN-PTNT ngày 16/11/2018 của Bộ trưởng Bộ Nông nghiệp và Phát triển nông thôn quy định về điều tra, kiểm kê và theo dõi diễn biến rừng và Thông tư số 16/2023/TT-BNNPTNT ngày 15 tháng 12 năm 2023 của Bộ trưởng Bộ Nông nghiệp và Phát triển nông thôn sửa đổi, bổ sung một số điều của Thông tư số 33/2018/TT-BNNPTNT.
l) Điều tra xác định độ tàn che đối với rừng gỗ và tỷ lệ che phủ đối với rừng tre nứa, cau dừa:
Áp dụng đối với việc thiết kế các công trình lâm sinh, bao gồm: nuôi dưỡng rừng trồng; cải tạo rừng tự nhiên; nuôi dưỡng rừng tự nhiên; làm giàu rừng tự nhiên; khoanh nuôi xúc tiến tái sinh tự nhiên; khoanh nuôi xúc tiến tái sinh tự nhiên có trồng bổ sung.
Phương pháp điều tra thực hiện theo các hướng dẫn kỹ thuật chuyên ngành.
m) Hoàn chỉnh tài liệu ngoại nghiệp.
n) Xác định các công trình kết cấu hạ tầng phụ trợ để xây dựng các giải pháp thi công.
3. Công tác nội nghiệp:
a) Xác định biện pháp kỹ thuật cụ thể trong từng lô rừng.
b) Tính toán sản lượng khai thác tận dụng đối với công trình cải tạo rừng tự nhiên.
c) Dự toán chi phí đầu tư cho 01 ha, từng lô hoặc nhóm lô, xây dựng kế hoạch thi công trong từng năm và toàn bộ thời gian thực hiện.
(Các số liệu điều tra, tính toán được thống kê theo hệ thống biểu quy định tại Mục III).
d) Xây dựng bản đồ thiết kế trên nền địa hình theo hệ quy chiếu VN 2.000 với tỷ lệ 1/5.000 hoặc 1/10.000. Trình bày và thể hiện nội dung bản đồ áp dụng TCVN 11565:2016 về Bản đồ hiện trạng rừng và TCVN 11566:2016 về Bản đồ quy hoạch lâm nghiệp.
(i) Đối với những lô có trồng rừng thể hiện cụ thể các thông tin sau:
Tử số là số hiệu lô (6) - Trồng rừng (TR) - Loài cây trồng (Keo lai);
Mẫu số là diện tích lô tính bằng ha (24,8).
Thí dụ:
6-TR-Keolai
24,8
(ii) Đối với những lô không trồng rừng, thì chỉ thể hiện thông tin về số lô và diện tích.
đ) Xây dựng báo cáo thuyết minh cụ thể cho từng công trình lâm sinh.
III. HỆ THỐNG BIỂU KÈM THEO THUYẾT MINH THIẾT KẾ
Biểu 1: Khảo sát các yếu tố tự nhiên, sản xuất
Tiểu khu:…………….
Khoảnh: ………….
|
Hạng mục |
Khảo sát |
||
|
Lô... |
Lô... |
Lô.... |
|
|
l. Địa hình1 (+) |
|
|
|
|
- Độ cao (tuyệt đối, tương đối) |
|
|
|
|
- Hướng dốc |
|
|
|
|
- Độ dốc |
|
|
|
|
2. Đất (++) |
|
|
|
|
a. Vùng đồi núi. |
|
|
|
|
- Đá mẹ |
|
|
|
|
- Loại đất, đặc điểm của đất. |
|
|
|
|
- Độ dày tầng đất: mét |
|
|
|
|
- Thành phần cơ giới: nhẹ, trung bình, nặng |
|
|
|
|
- Tỷ lệ đá lẫn: %, |
|
|
|
|
- Độ nén chặt: tơi xốp, chặt, cứng rắn. |
|
|
|
|
- Đá nổi: % (về diện tích) |
|
|
|
|
- Tình hình xói mòn mặt: yếu, trung bình, mạnh |
|
|
|
|
b. Vùng ven sông, ven biển: |
|
|
|
|
- Vùng bãi cát: |
|
|
|
|
+ Thành phần cơ giới: cát thô, cát mịn, cát pha. |
|
|
|
|
+ Tình hình di động của cát: di động, bán di động, cố định. |
|
|
|
|
+ Độ dày tầng cát. |
|
|
|
|
+ Thời gian bị ngập nước. |
|
|
|
|
+ Loại nước: ngọt, mặn, lợ. |
|
|
|
|
- Vùng bãi lầy: |
|
|
|
|
+ Độ sâu tầng bùn. |
|
|
|
|
+ Độ sâu ngập nước. |
|
|
|
|
+ Loại nước: ngọt, mặn, lợ. |
|
|
|
|
+ Thời gian bị ngập nước, chế độ thủy triều. |
|
|
|
|
3. Thực bì |
|
|
|
|
- Loại thực bì. |
|
|
|
|
- Loài cây ưu thế. |
|
|
|
|
- Chiều cao trung bình (m). |
|
|
|
|
- Tình hình sinh trưởng (tốt, trung bình, xấu). |
|
|
|
|
- Độ che phủ. |
|
|
|
|
- Mật độ cây tái sinh mục đích (cây/ha)2 (*) |
|
|
|
|
- Gốc cây mẹ có khả năng tái sinh chồi (gốc/ha) (**) |
|
|
|
|
- Cây mẹ có khả năng gieo giống tại chỗ (cây/ha) (***) |
|
|
|
|
4. Hiện trạng rừng3 |
|
|
|
|
- Trạng thái rừng. |
|
|
|
|
- Trữ lượng rừng (m3/ha). |
|
|
|
|
- Chiều cao trung bình (m). |
|
|
|
|
- Đường kính trung bình (m) |
|
|
|
|
- Độ tàn che. |
|
|
|
|
- Khác (nếu có) |
|
|
|
|
5. Cự ly vận chuyển cây con (m) và phương tiện vận chuyển (+++) |
|
|
|
|
6. Cự ly đi làm (m) và phương tiện đi lại |
|
|
|
Biểu 2: Các chỉ tiêu về sinh khối rừng4
Tiểu khu:…………..
Khoảnh:……………
|
Chỉ tiêu |
Lô |
Lô |
Lô |
Lô |
Lô |
|
1. Phân bố số cây theo cấp đường kính |
|
|
|
|
|
|
8 cm - 20 cm |
|
|
|
|
|
|
21 cm - 30 cm |
|
|
|
|
|
|
31 cm - 40 cm |
|
|
|
|
|
|
> 40 cm |
|
|
|
|
|
|
Tổng số |
|
|
|
|
|
|
2. Tổ thành theo số cây |
|
|
|
|
|
|
Loài 1 |
|
|
|
|
|
|
Loài 2 |
|
|
|
|
|
|
Loài 3 |
|
|
|
|
|
|
…. |
|
|
|
|
|
|
Tổng số |
|
|
|
|
|
|
3. Tổ thành theo trữ lượng gỗ |
|
|
|
|
|
|
Loài 1 |
|
|
|
|
|
|
Loài 2 |
|
|
|
|
|
|
Loài 3 |
|
|
|
|
|
|
….. |
|
|
|
|
|
|
Tổng số |
|
|
|
|
|
|
4. Tổ thành theo nhóm gỗ |
|
|
|
|
|
|
Nhóm gỗ I |
|
|
|
|
|
|
Nhóm gỗ II |
|
|
|
|
|
|
Nhóm gỗ III |
|
|
|
|
|
|
.... |
|
|
|
|
|
|
Tổng số |
|
|
|
|
|
(Tổ thành theo loài cây xác định cho 10 loài từ cao nhất trở xuống)
Biểu 3: Sản lượng gỗ tận thu trong các lô rừng cải tạo5
Tiểu khu:……………..
Khoảnh:………………
|
Chỉ tiêu |
Lô |
Lô |
Lô |
Lô |
Tổng số |
|
1. Sinh khối |
|
|
|
|
|
|
- Trữ lượng cây đứng bình quân/ha |
|
|
|
|
|
|
- Diện tích lô |
|
|
|
|
|
|
- Trữ lượng cây đứng/lô |
|
|
|
|
|
|
2. Sản lượng tận thu/lô |
|
|
|
|
|
|
- Gỗ lớn |
|
|
|
|
|
|
- Gỗ nhỏ |
|
|
|
|
|
|
- Củi |
|
|
|
|
|
|
3. Sản lượng tận thu theo nhóm gỗ |
|
|
|
|
|
|
Nhóm gỗ I |
|
|
|
|
|
|
Nhóm gỗ II |
|
|
|
|
|
|
Nhóm gỗ III |
|
|
|
|
|
|
.... |
|
|
|
|
|
|
Tổng số |
|
|
|
|
|
Biểu 4: Thiết kế trồng, chăm sóc rừng năm thứ nhất6
Tiểu khu:……………………
Khoảnh:…………………….
|
Biện pháp kỹ thuật |
Lô thiết kế |
||
|
Lô ... |
Lô... |
…. |
|
|
I. Xử lý thực bì: |
|
|
|
|
1. Phương thức |
|
|
|
|
2. Phương pháp |
|
|
|
|
3. Thời gian xử lý |
|
|
|
|
II. Làm đất: |
|
|
|
|
1. Phương thức: |
|
|
|
|
- Cục bộ - Toàn diện |
|
|
|
|
2. Phương pháp (cuốc đất theo hố, kích thước hố, lấp hố...): |
|
|
|
|
- Thủ công - Cơ giới - Thủ công kết hợp cơ giới |
|
|
|
|
3. Thời gian làm đất |
|
|
|
|
III. Bón lót phân: |
|
|
|
|
1. Loại phân |
|
|
|
|
2. Liều lượng bón |
|
|
|
|
3. Thời gian bón |
|
|
|
|
IV. Trồng rừng: |
|
|
|
|
1. Loài cây trồng |
|
|
|
|
2. Phương thức trồng |
|
|
|
|
3. Phương pháp trồng |
|
|
|
|
4. Công thức trồng |
|
|
|
|
5. Thời vụ trồng |
|
|
|
|
6. Mật độ trồng: |
|
|
|
|
- Cự ly hàng (m) |
|
|
|
|
- Cự ly cây (m) |
|
|
|
|
7. Tiêu chuẩn cây giống (chiều cao, đường kính cổ rễ, tuổi) |
|
|
|
|
8. Số lượng cây giống, hạt giống (kể cả trồng dặm) |
|
|
|
|
V. Chăm sóc, bảo vệ năm đầu: |
|
|
|
|
1. Lần thứ nhất: (tháng….đến tháng….) |
|
|
|
|
- Nội dung chăm sóc: |
|
|
|
|
+ ... |
|
|
|
|
2. Lần thứ 2, thứ 3...: Nội dung chăm sóc như lần thứ nhất hoặc tùy điều kiện chỉ vận dụng nội dung thích hợp |
|
|
|
|
3. Bảo vệ: |
|
|
|
|
- ……. |
|
|
|
Biểu 5: Thiết kế chăm sóc, bảo vệ rừng trồng năm thứ 2, 3...7
Tiểu khu:…………
Khoảnh:……….
|
Hạng mục |
Vị trí tác nghiệp |
||
|
Lô |
Lô |
Lô |
|
|
I. Đối tượng áp dụng (rừng trồng năm thứ II, III) |
|
|
|
|
II. Chăm sóc: 1. Lần thứ nhất (tháng ... đến ... tháng ...) a) Trồng dặm. b) Phát thực bì: toàn diện, theo băng, theo hố hoặc không cần phát). c) Làm cỏ, xới đất, vun gốc, cày bừa đất. d) Bón phân: (loại phân bón, liều lượng, kỹ thuật bón...). …………… 2. Lần thứ 2, thứ 3,...: nội dung chăm sóc tương tự như lần thứ nhất hoặc tùy điều kiện chỉ vận dụng nội dung thích hợp. |
|
|
|
|
III. Bảo vệ: 1. Tu sửa đường băng cản lửa. 2. Phòng chống người, gia súc phá hoại …………………………… …………………………… |
|
|
|
Biểu 6: Thiết kế biện pháp tác động8
Tiểu khu:……………………….
Khoảnh:…………………….
|
Biện pháp kỹ thuật |
Lô thiết kế |
||
|
Lô... |
Lô... |
….. |
|
|
1. Phát dọn dây leo bụi rậm |
|
|
|
|
2. Cuốc xới đất theo rạch, theo đám |
|
|
|
|
3. Tỉa dặm cây mục đích từ chỗ dầy sang chỗ thưa |
|
|
|
|
4. Tra dặm hạt trồng bổ sung các loài cây mục đích |
|
|
|
|
5. Sửa lại gốc chồi và tỉa chồi |
|
|
|
|
6. Phát dọn, vun xới quanh cây mục đích cây trồng bổ sung |
|
|
|
|
7. Bài cây |
|
|
|
|
8. Chặt bỏ cây cong queo, sâu bệnh, cây phi mục đích |
|
|
|
|
9. Các biện pháp tác động cụ thể khác theo các hướng dẫn kỹ thuật của từng loài cây, từng đối tượng đầu tư. |
|
|
|
|
10. Vệ sinh rừng sau tác động |
|
|
|
Biểu 7: Thiết kế trồng cây bổ sung9
Tiểu khu:……………………….
Khoảnh:………………….
|
Biện pháp kỹ thuật |
Lô thiết kế |
||
|
Lô ... |
Lô ... |
|
|
|
I. Xử lý thực bì |
|
|
|
|
1. Phương thức |
|
|
|
|
2. Phương pháp |
|
|
|
|
3. Thời gian xử lý |
|
|
|
|
II. Làm đất |
|
|
|
|
1. Phương thức: |
|
|
|
|
- Cục bộ |
|
|
|
|
2. Phương pháp (cuốc đất theo hố, kích thước hố, lấp hố...): |
|
|
|
|
- Thủ công |
|
|
|
|
3. Thời gian làm đất |
|
|
|
|
III. Bón lót phân |
|
|
|
|
1. Loại phân |
|
|
|
|
2. Liều lượng bón |
|
|
|
|
3. Thời gian bón |
|
|
|
|
IV. Trồng cây bổ sung |
|
|
|
|
1. Loài cây trồng |
|
|
|
|
2. Phương thức trồng |
|
|
|
|
3. Phương pháp trồng |
|
|
|
|
4. Công thức trồng |
|
|
|
|
5. Thời vụ trồng |
|
|
|
|
6. Mật độ trồng: |
|
|
|
|
- Cự ly hàng (m) |
|
|
|
|
- Cự ly cây (m) |
|
|
|
|
7. Tiêu chuẩn cây giống (chiều cao, đường kính cổ rễ, tuổi) |
|
|
|
|
8. Số lượng cây giống, hạt giống (kể cả trồng dặm) |
|
|
|
|
V. Chăm sóc, bảo vệ năm đầu |
|
|
|
|
1. Lần thứ nhất: (tháng … đến tháng….) |
|
|
|
|
- Nội dung chăm sóc: |
|
|
|
|
+... |
|
|
|
|
2. Lần thứ 2, thứ 3...: Nội dung chăm sóc như lần thứ nhất hoặc tùy điều kiện chỉ vận dụng nội dung thích hợp |
|
|
|
|
3. Bảo vệ: |
|
|
|
|
- ... |
|
|
|
Biểu 8: Dự toán chi phí trực tiếp cho trồng rừng10
|
1. Tiểu khu:………………. |
4. Diện tích (ha):…….. |
|
2. Khoảnh:…………………. |
5. Chi phí (1.000 đ):…… |
|
3. Lô:…………………… |
|
|
TT |
Hạng mục |
Đơn vị tính |
Định mức |
Khối lượng |
Đơn giá |
Thành tiền |
Căn cứ xác định định mức, đơn giá |
|
(1) |
(2) |
(3) |
(4) |
(5) |
(6) |
(7) |
(8) |
|
A |
Tổng = B* Diện tích lô |
|
|
|
|
|
|
|
B |
Dự toán/ha (I+II) |
|
|
|
|
|
|
|
I |
Chi phí trồng rừng |
|
|
|
|
|
|
|
1 |
Chi phí nhân công |
|
|
|
|
|
|
|
|
Xử lý thực bì |
|
|
|
|
|
|
|
|
Đào hố |
|
|
|
|
|
|
|
|
Lấp hố |
|
|
|
|
|
|
|
|
Vận chuyển cây con thủ công |
|
|
|
|
|
|
|
|
Vận chuyển và bón phân |
|
|
|
|
|
|
|
|
Phát đường ranh cản lửa |
|
|
|
|
|
|
|
|
Trồng dặm |
|
|
|
|
|
|
|
|
... |
|
|
|
|
|
|
|
2 |
Chi phí máy thi công |
|
|
|
|
|
|
|
|
Đào hố bằng máy |
|
|
|
|
|
|
|
|
Vận chuyển cây con bằng cơ giới |
|
|
|
|
|
|
|
|
Ủi đường ranh cản lửa |
|
|
|
|
|
|
|
|
Chi phí trực tiếp khác |
|
|
|
|
|
|
|
3 |
Chi phí vật liệu |
|
|
|
|
|
|
|
|
Cây giống (bao gồm cả trồng dặm) |
|
|
|
|
|
|
|
|
Phân bón |
|
|
|
|
|
|
|
|
Thuốc bảo vệ thực vật |
|
|
|
|
|
|
|
|
... |
|
|
|
|
|
|
|
II |
Chi phí chăm sóc và bảo vệ rừng trồng |
|
|
|
|
|
|
|
1 |
Năm thứ hai |
|
|
|
|
|
|
|
|
Công chăm sóc, bảo vệ |
|
|
|
|
|
|
|
|
Vật tư |
|
|
|
|
|
|
|
|
…….. |
|
|
|
|
|
|
|
2 |
Năm thứ ... |
|
|
|
|
|
|
|
|
Công chăm sóc, bảo vệ |
|
|
|
|
|
|
|
|
Vật tư |
|
|
|
|
|
|
|
|
……………. |
|
|
|
|
|
|
Biểu 9: Tổng hợp khối lượng thực hiện
|
STT |
Hạng mục |
ĐVT (ha/lượt ha) |
Khối lượng |
Kế hoạch thực hiện |
Ghi chú |
||
|
Năm... |
Năm... |
Năm... |
|
||||
|
1 |
|
|
|
|
|
|
|
|
|
|
|
|
|
|
|
|
|
2 |
|
|
|
|
|
|
|
|
|
|
|
|
|
|
|
|
|
|
|
|
|
|
|
|
|
|
|
|
|
|
|
|
|
|
|
|
|
|
|
|
|
|
|
|
|
|
|
|
|
|
|
|
|
|
|
|
|
|
|
|
|
______________________
1 (+, ++, +++) Áp dụng đối với các công trình lâm sinh có trồng cây.
2 (*), (**), (***) Áp dụng đối với các công trình lâm sinh: khoanh nuôi xúc tiến tái sinh tự nhiên, khoanh nuôi xúc tiến tái sinh tự nhiên có trồng bổ sung.
(*) Áp dụng đối với các công trình lâm sinh, gồm: nuôi dưỡng rừng tự nhiên, làm giàu rừng tự nhiên, cải tạo rừng, trồng rừng.
3 Áp dụng đối với bảo vệ rừng, các công trình lâm sinh: trồng lại rừng, chăm sóc rừng trồng, nuôi dưỡng rừng trồng, cải tạo rừng tự nhiên, nuôi dưỡng rừng tự nhiên, làm giàu rừng tự nhiên.
4 Áp dụng đối với các công trình lâm sinh, gồm: cải tạo rừng tự nhiên, nuôi dưỡng rừng tự nhiên, làm giàu rừng tự nhiên.
5 Áp dụng đối với các công trình lâm sinh, gồm: cải tạo rừng tự nhiên, nuôi dưỡng rừng tự nhiên, làm giàu rừng tự nhiên.
6 Áp dụng đối với các công trình lâm sinh, gồm: trồng rừng, cải tạo rừng tự nhiên, làm giàu rừng tự nhiên.
7 Áp dụng đối với các công trình lâm sinh, gồm: trồng rừng, cải tạo rừng tự nhiên.
8 Áp dụng đối với các công trình lâm sinh gồm: nuôi dưỡng rừng trồng, nuôi dưỡng rừng tự nhiên, làm giàu rừng tự nhiên.
9 Áp dụng đối với các công trình lâm sinh, gồm: làm giàu rừng tự nhiên, khoanh nuôi xúc tiến tái sinh có trồng bổ sung.
10 Áp dụng đối với các công trình lâm sinh có trồng cây.
Mẫu số 15
|
CƠ QUAN THẨM ĐỊNH _____________ Số:……. |
CỘNG HÒA XÃ HỘI CHỦ NGHĨA VIỆT NAM _____________ …., ngày .... tháng .... năm... |
BÁO CÁO
Kết quả thẩm định thiết kế, dự toán
________________
Kính gửi: ... (Người có thẩm quyền phê duyệt) ...
Các căn cứ………………………;
Sau khi thẩm định, (Tên cơ quan thẩm định) báo cáo kết quả thẩm định dự toán….như sau:
1. Tóm tắt các nội dung chủ yếu
a) Tên công trình, chủ đầu tư;
b) Dự án;
c) Địa điểm xây dựng;
d) Mục tiêu;
đ) Nội dung và quy mô;
e) Các giải pháp thiết kế chủ yếu;
g) Dự toán;
h) Tiến độ thực hiện.
2. Kết quả thẩm định thiết kế
a) Đánh giá sự phù hợp với các nội dung đã được duyệt tại Quyết định đầu tư, sự phù hợp với quy hoạch sử dụng đất, quy hoạch lâm nghiệp, với nhu cầu sử dụng đất...;
b) Đánh giá tính xác thực về hiện trạng của đối tượng thiết kế;
c) Đánh giá sự phù hợp của các giải pháp thiết kế;
d) Đánh giá về chất lượng hồ sơ thiết kế, việc tuân thủ các quy chuẩn quốc gia và áp dụng tiêu chuẩn kỹ thuật có liên quan;
đ) Đánh giá năng lực của tổ chức, cá nhân lập thiết kế, dự toán công trình lâm sinh;
e) Đánh giá mức độ ảnh hưởng của công trình đến các khu di tích lịch sử, văn hóa hoặc tín ngưỡng của cộng đồng dân cư trên cơ sở ý kiến bằng văn bản của các cơ quan liên quan và các quy định khác của pháp luật có liên quan;
g) Năng lực của đơn vị thực hiện công trình: kinh nghiệm và nguồn nhân lực;
h) Năng lực của tư vấn giám sát thi công (nếu có);
i) Các vấn đề rủi ro có thể xảy ra trong quá trình thực hiện làm ảnh hưởng đến kết quả đầu tư.
3. Kết quả thẩm định dự toán
a) Đánh giá sự phù hợp của phương pháp xác định dự toán công trình với đặc điểm, tính chất, yêu cầu kỹ thuật, công nghệ của công trình;
b) Kiểm tra sự đầy đủ của các khối lượng sử dụng để xác định dự toán công trình;
c) Đánh giá sự hợp lý, phù hợp về việc áp dụng định mức, đơn giá, chế độ chính sách theo quy định, hướng dẫn của Nhà nước để tính toán, xác định các chi phí trong dự toán công trình;
d) Xác định giá trị dự toán công trình lâm sinh sau khi thực hiện thẩm định; phân tích nguyên nhân tăng, giảm;
đ) Đánh giá khả năng huy động vốn đáp ứng tiến độ thực hiện công trình;
e) Kết quả thẩm định dự toán được tổng hợp như sau: Trong đó:
- Chi phí xây dựng
- Chi phí thiết bị
- Chi phí quản lý
- Chi phí tư vấn đầu tư xây dựng
- Chi phí khác
- Chi phí dự phòng
Tổng cộng:
4. Kết luận:
a) Đánh giá, nhận xét:
b) Những kiến nghị:
|
Nơi nhận: -……; - Lưu:…… |
ĐẠI DIỆN CƠ QUAN THẨM ĐỊNH (Ký, ghi rõ họ tên, chức vụ và đóng dấu) |
Mẫu số 16
|
CƠ QUAN, ĐƠN VỊ PHÊ DUYỆT _____________ Số:……./QĐ-…. |
CỘNG HÒA XÃ HỘI CHỦ NGHĨA VIỆT NAM _____________ …., ngày .... tháng .... năm... |
QUYẾT ĐỊNH
Về việc phê duyệt thiết kế, dự toán công trình
__________________
(TÊN CƠ QUAN, ĐƠN VỊ PHÊ DUYỆT)
Căn cứ chức năng, nhiệm vụ và cơ cấu tổ chức của…..;
Các căn cứ………………………;
Xét đề nghị của ... tại Tờ trình số ... của (tên) ngày… tháng... năm... và hồ sơ kèm theo;
Theo đề nghị của (Tên cơ quan thẩm định) tại Báo cáo kết quả thẩm định số .... ngày ... tháng ... năm…
QUYẾT ĐỊNH:
Điều 1. Phê duyệt thiết kế, dự toán……..với các nội dung chủ yếu sau:
1. Tên công trình, chủ đầu tư
- Tên công trình
- Dự án (nếu công trình thuộc dự án đầu tư)
- Chủ đầu tư (nếu là dự án đầu tư)
2. Địa điểm
3. Mục tiêu
4. Nội dung và quy mô
5. Giải pháp thiết kế chủ yếu
6. Dự toán:
Trong đó:
a) Chi phí xây dựng
b) Chi phí thiết bị
c) Chi phí quản lý
d) Chi phí tư vấn đầu tư xây dựng
đ) Chi phí khác, gồm:
e) Chi phí dự phòng
…………………..
7. Nguồn vốn đầu tư và tiến độ giải ngân
8. Thời gian thực hiện dự án
9. Các nội dung khác
Điều 2. Tổ chức thực hiện.
Điều 3. Trách nhiệm của các cơ quan liên quan thi hành Quyết định.
|
Nơi nhận: - Như Điều 3; - Các cơ quan có liên quan; - Lưu: ...... |
CƠ QUAN, ĐƠN VỊ PHÊ DUYỆT |
Bạn chưa Đăng nhập thành viên.
Đây là tiện ích dành cho tài khoản thành viên. Vui lòng Đăng nhập để xem chi tiết. Nếu chưa có tài khoản, vui lòng Đăng ký tại đây!
Bạn chưa Đăng nhập thành viên.
Đây là tiện ích dành cho tài khoản thành viên. Vui lòng Đăng nhập để xem chi tiết. Nếu chưa có tài khoản, vui lòng Đăng ký tại đây!