- Tổng quan
- Nội dung
- Tiêu chuẩn liên quan
- Lược đồ
- Tải về
Tiêu chuẩn 14 TCN 137:2005 Đất xây dựng công trình thủy lợi - Phương pháp xác định các đặc trưng nén lún một chiều của đất trong phòng thí nghiệm
| Số hiệu: | 14 TCN 137:2005 | Loại văn bản: | Tiêu chuẩn ngành |
| Cơ quan ban hành: | Đang cập nhật | Lĩnh vực: | Xây dựng , Nông nghiệp-Lâm nghiệp |
| Trích yếu: | Đất xây dựng công trình thủy lợi - Phương pháp xác định các đặc trưng nén lún một chiều của đất trong phòng thí nghiệm | ||
|
Ngày ban hành:
Ngày ban hành là ngày, tháng, năm văn bản được thông qua hoặc ký ban hành.
|
2005 |
Hiệu lực:
|
Đang cập nhật |
| Người ký: | Đang cập nhật |
Tình trạng hiệu lực:
Cho biết trạng thái hiệu lực của văn bản đang tra cứu: Chưa áp dụng, Còn hiệu lực, Hết hiệu lực, Hết hiệu lực 1 phần; Đã sửa đổi, Đính chính hay Không còn phù hợp,...
|
Đã biết
|
TÓM TẮT TIÊU CHUẨN NGÀNH 14 TCN 137:2005
Nội dung tóm tắt đang được cập nhật, Quý khách vui lòng quay lại sau!
TIÊU CHUẨN NGÀNH
14 TCN 137:2005
ĐẤT XÂY DỰNG CÔNG TRÌNH THUỶ LỢI
PHƯƠNG PHÁP XÁC ĐỊNH CÁC ĐẶC TRƯNG NÉN LÚN MỘT CHIỀU CỦA ĐẤT TRONG PHÒNG THÍ NGHIỆM
Soils. Laboratory methods of determination of compressibility in confined condition
1. QUY ĐỊNH CHUNG
1.1. Tiêu chuẩn này quy định phương pháp xác định các đặc trưng nén lún một chiều của đất trong phòng thí nghiệm, dùng cho xây dựng công trình thuỷ lợi.
1.2. Phạm vi áp dụng
Tiêu chuẩn này áp dụng cho các loại đất dính sau đây:
- Các loại đất hạt mịn không chứa sỏi sạn, có kết cấu nguyên trạng hoặc mẫu chế bị có độ ẩm và độ chặt theo yêu cầu;
- Đất cát có lượng chứa hạt bụi hạt sét bằng 10% hoặc hơn, không chứa sỏi sạn, có kết cấu nguyên trạng hoặc mẫu chế bị có độ chặt và độ ẩm theo yêu cầu.
Ghi chú: Nói chung, đối với các đất hạt mịn và đất cát có chứa sỏi sạn, đất sỏi sạn, đất cuội dăm, tiêu chuẩn này không phù hợp, mà phải áp dụng tiêu chuẩn thí nghiệm phù hợp đối với đất hạt to. Riêng đối với các đất hạt mịn và đất cát nói ở trên có chứa sỏi sạn, có thể tham khảo áp dụng "phương pháp thí nghiệm mẫu nhỏ quy đổi" ở phụ lục C.
1.3. Thuật ngữ:
Các đặc trưng nén lún một chiều của đất được hiểu là các đặc trưng về biến dạng theo phương thẳng đứng, không nở hông, khi đất bị áp lực nén tác dụng vuông góc lên bề mặt. Các đặc trưng nén lún một chiều của đất có thể xác được bằng thí nghiệm mẫu ở trong phòng, gồm: hệ số nén lún (av), hệ số nén lún thể tích (mV), chỉ số nén lún (CC), chỉ số đàn hồi (CS), mô đun biến dạng không nở hông (E), áp lực tiền cố kết (PC), hệ số cố kết (CV).
Ghi chú: Tiêu chuẩn này giới hạn xác định các đặc trưng nén lún một chiều của mẫu đất ở giai đoạn cố kết sơ cấp (cố kết thấm), chưa xét đến giai đoạn cố kết thứ cấp (cố kết từ biến). Khi yêu cầu xét với cả giai đoạn cố kết thứ cấp, phải tiến hành thí nghiệm mẫu theo tiêu chuẩn phù hợp khác.
1.4. Phương pháp thí nghiệm: có hai phương pháp thí nghiệm nén lún một chiều.
1.4.1. Phương pháp nén lún ổn định (phương pháp chỉ định).
1.4.2. Phương pháp nén nhanh (còn gọi là phương pháp nén lún ổn định giả định), thường áp dụng đối với công trình thuỷ lợi nhỏ và cần được sự thoả thuận của chủ nhiệm thiết kế hoặc của cơ quan có thẩm quyền.
1.5. Mẫu đất dùng thí nghiệm
1.5.1. Mẫu đất lấy về dùng thí nghiệm nén lún phải đảm bảo yêu cầu về khối lượng và chất lượng theo tiêu chuẩn 14 TCN 124 - 2002;
1.5.2. Mẫu đất thí nghiệm có hình trụ tròn, có chiều cao lớn hơn kích thước hạt lớn nhất của đất ít nhất là 10 lần, tỷ số giữa chiều cao và đường kính tiết diện của mẫu trong khoảng 1/3 đến 2/5. Thường mẫu thí nghiệm có đường kính tiết diện 62 đến 75mm và chiều cao 20 đến 25 mm là thoả mãn cho thí nghiệm nén lún đối với đất không chứa sỏi sạn;
1.5.3. Mẫu thí nghiệm được chuẩn bị từ mẫu đất kết cấu nguyên trạng, có độ ẩm bão hoà hoặc chưa bão hoà, hoặc mẫu chế bị có độ ẩm và độ chặt theo yêu cầu, tuỳ theo mục đích sử dụng đất làm nền công trình hoặc đắp công trình. Đối với đất dùng cho xây dựng công trình thuỷ lợi, nói chung, cần thí nghiệm nén lún với mẫu đất thí nghiệm đã được làm bão hoà nước. Vì vậy, nếu đất chưa bão hoà nước, thì cần làm bão hoà nước trước cho mẫu thí nghiệm.
Ghi chú: Nước dùng để làm bão hoà mẫu đất thí nghiệm cũng như để chế bị mẫu đất thí nghiệm phải đảm bảo sạch và đã được khử khoáng, hoặc dùng nước máy. Và việc làm bão hoà nước cho mẫu thí nghiệm phải đảm bảo ngăn chặn hoàn toàn sự trương nở của đất.
2. THIẾT BỊ, DỤNG CỤ
2.1. Thiết bị nén lún một chiều được mô tả khái quát ở hình A.1 phụ lục A, gồm các bộ phận sau:
2.1.1. Bàn máy vững chắc, mặt bàn bằng phẳng, đảm bảo các bộ phân hộp nén, đo lún và bộ phận gây áp lực nén được lắp đặt lên đó an toàn và hoạt động chuẩn xác ;
2.1.2. Bộ phận hộp nén được chế tạo bằng đồng hoặc thép không gỉ; các chi tiết được gia công có độ chính xác và độ bóng cao, đảm bảo có thể lắp khít với nhau một cách dễ dàng, gồm: hộp ngoài (1); vòng bảo vệ (2); dao vòng chứa mẫu (3); vòng chụp định hướng (4); các viên đá xốp thấm nước (5); tấm nén cứng chắc, mặt đáy có rãnh thoát nước, có đầu bi tròn ở đỉnh làm điểm tiếp nhận tải trọng nén (6) ;
2.1.3. Bộ phận đo lún gồm các chi tiết sau: cọc dẫn đo lún (7); giá lắp đồng hồ đo lún (8); đồng hồ đo lún (9);
2.1.4. Bộ phận gây áp lực nén thẳng đứng lên mẫu gồm các cụm chi tiết: Khung truyền tải, đòn bẩy kích tăng tải trọng nén, quang chất các quả cân tạo lực nén và các quả cân được chế tạo có khối lượng chuẩn theo thiết kế;
2.1.5. Một trụ bằng thép đặc biệt, bề mặt nhẵn bóng, có kích thước bằng kích thước mẫu thí nghiệm, dùng để hiệu chỉnh lượng biến dạng của máy ở các cấp áp lực nén tác dụng.
2.2. Các thiết bị, dụng cụ khác:
- Thiết bị, dụng cụ xác định độ ẩm của đất theo tiêu chuẩn 14 TCN 125 - 2002;
- Bộ dụng cụ chế bị mẫu thí nghiệm từ đất bị phá huỷ kết cấu, như phụ lục C của tiêu chuẩn 14 TCN 132 - 2005;
- Thiết bị, dụng cụ thích hợp để làm bão hoà nước cho mẫu đất thí nghiệm (nên dùng bình bão hòa và máy hút chân không);
- Các cân kỹ thuật có độ chính xác đến 0,01g; 0,1g và 1g ;
- Dao cắt đất. Dao gạt phẳng. Muôi xúc đất. Khay đựng đất ;
- Đồng hồ bấm giây và đồng hồ chỉ giờ;
- Nước sạch đã khử khoáng hoặc nước máy .
3. PHƯƠNG PHÁP THÍ NGHIỆM NÉN LÚN ỔN ĐỊNH
3.1. Nguyên tắc chung
3.1.1. Phạm vi áp dụng: theo điều 1.2.
3.1.2. Mẫu đất thí nghiệm: theo điều 1.5.
3.1.3. Thiết bị, dụng cụ: theo điều 2.
3.1.4. Yêu cầu kỹ thuật :
3.1.4.1. Mẫu đất thí nghiệm phải đảm bảo phản ánh đúng thành phần và kết cấu, độ ẩm của đất;
3.1.4.2. Mỗi mẫu thí nghiệm phải được tiến hành nén lún với ít nhất là 4 đến 5 cấp áp lực thẳng đứng có trị số khác nhau; nên áp dụng cấp áp lực đầu tiên có trị số xấp xỉ độ bền kiến trúc của đất (theo dự đoán), trị số của cấp áp lực tiếp theo sau lớn gấp đôi của cấp trước đó. Thông thường, có thể áp dụng các cấp áp lực nén thí nghiệm đối với mẫu đất như sau:
- Đối với đất kết cấu kém chặt, hoặc trạng thái mềm yếu: 12,5; 25; 50; 100 và 200 kiloniutơn trên mét vuông (KN/m2) ;
- Đối với đất kết cấu chặt vừa, hoặc trạng thái dẻo mềm đến dẻo cứng: 25; 50; 100; 200 và 400KN/m2 hoặc 50; 100; 200; 300 và 400 KN/m2 ;
- Đối với đất kết cấu chặt, hoặc trạng thái nửa cứng đến cứng: 50; 100; 200; 400 và 600 KN/m2 hoặc 100; 200; 300; 400 và 600 KN/m2.
Ghi chú: 1 KN/m2 bằng 0,01 KG/cm2; 100 KN/m2 bằng 1 KG/cm2.
3.1.4.3. Thí nghiệm được tiến hành với từng cấp áp lực nén theo thứ tự từ nhỏ đến lớn. Mỗi cấp áp lực nén tác dụng lên mẫu được giữ nguyên trong 24 giờ, thời gian để các loại đất bình thường đạt tới lún ổn định của giai đoạn cố kết thấm. Đối với đất sét mềm nhão, sau 24 giờ có thể vẫn còn biến dạng lún đáng kể, được quy định lấy lượng lún sau mỗi giờ tiếp theo không vượt quá 0.005mm làm tiêu chuẩn ổn định lún.
3.2. Quy trình
3.2.1. Hiệu chuẩn thiết bị, dụng cụ:
Máy nén và các dụng cụ thí nghiệm phải được hiệu chỉnh theo định kỳ 6 tháng đến 1 năm một lần. Và trước khi sử dụng chúng để thí nghiệm mẫu, cũng phải kiểm tra và hiệu chuẩn. Phải đảm bảo bàn máy năm ngang, hệ thống đòn bẩy gia tải ở trạng thái thăng bằng, các chi tiết của hộp nén sạch sẽ và có thể lắp ráp chúng dễ dàng, dao vòng chứa mẫu tròn trĩnh và không bị xước, các viên đá xốp thấm thoát nước tốt, đồng hồ đo lún nhạy cảm, có bảng hiệu chính biến dạng của máy.
Ghi chú: Để hiệu chỉnh biến dạng của máy dưới tác dụng của các cấp áp lực nén, thay thế mẫu đất thí nghiệm bằng trụ thép chuẩn có kích thước bằng kích thước mẫu, rồi tiến hành tương tự như thí nghiệm nén mẫu với từng cấp áp lực. Mỗi cấp áp lực nén tác dụng được giữ nguyên trong 2 ¸ 3 phút hoặc cho đến khi kim đồng hồ đo biến dạng ổn định, đọc lượng biến dạng của máy chính xác đến 0,01mm, lặp lại ít nhất là 3 lần thử để lấy kết quả trung bình.
3.2.2. Chuẩn bị mẫu thí nghiệm
3.2.2.1. Chuẩn bị mẫu thí nghiệm từ mẫu đất kết cấu nguyên trạng được tiến hành theo trình tự sau:
- Cẩn thận bóc bỏ lớp bọc mẫu, lấy ra mẫu đất và đặt thẳng đứng cho bề mặt lên trên ;
- Ghi số hiệu mẫu đất và mô tả đất tóm tắt vào sổ thí nghiệm ;
- Ghi số hiệu mẫu thí nghiệm, dao vòng lấy mẫu và số hiệu máy nén vào sổ thí nghiệm ;
- Cắt bỏ 5 ¸ 7 mm đất đầu mẫu, gạt bằng bề mặt, rồi đặt thẳng đứng dao vòng lấy mẫu có đầu vát sắc mép lên trung tâm mặt mẫu. Sau đó, gọt dần đất thừa xung quanh dao vòng, rồi ấn dao vòng cho ngập đều vào đất. Cứ tiếp tục như vậy cho đến khi được trụ đất nhô cao hơn cao dao vòng 3 ¸ 4 mm;
- Gọt và gạt bằng bề mặt mẫu đất sát ngang với mặt dao vòng. Sau đó, cắt gọt và gạt bằng mặt dưới của mẫu ;
- Lau sạch mặt ngoài dao vòng, rồi cân khối lượng dao vòng và đất chính xác đến 0,1g; đồng thời lấy mẫu đất đại biểu để xác định độ ẩm theo tiêu chuẩn 14 TCN 125 - 2002;
- Làm bão hoà nước cho mẫu thí nghiệm đảm bảo yêu cầu kỹ thuật theo điều 1.5.3.
3.2.2.2. Chuẩn bị mẫu thí nghiệm từ đất bị phá huỷ kết cấu được tiến hành theo trình tự sau:
- Đem mẫu đất bị phá huỷ kết cấu phơi khô gió ở trong phòng, rồi dùng chày gỗ, cối và chày đầu bọc cao su để nghiền rời đất ;
- Sàng đất qua sàng lỗ 2 mm, đảm bảo sau khi sàng còn lại các hạt trên sàng đều sạch ; loại bỏ các hạt trên sàng, nếu nó có khối lượng đáng kể thì phải xác định hàm lượng và ghi chú vào báo cáo kết qủa thí nghiệm;
- Đựng đất lọt sàng 2 mm vào khay, trộn đều, rồi lấy mẫu để xác định độ ẩm khô gió theo tiêu chuẩn 14 TCN 125 - 2002;
- Cân lấy một lượng đất lọt sàng đã được chuẩn bị ở độ ẩm khô gió, md (g), cho vào khay đựng để chế bị mẫu. Lượng đất md tính theo công thức sau:
md = gc.yc x V (1 + 0.01 Wkg)
Trong đó: gc.yc - Khối lượng thể tích khô yêu cầu chế bị của mẫu thí nghiệm, g/cm3;
V - Thể tích khuôn chế bị mẫu, bằng thể tích dao vòng chứa mẫu thí nghiệm nén, cm3;
Wkg - Độ ẩm khô gió của đất, %;
- Lấy một lượng nước máy hoặc nước sạch đã khử khoáng, mn (cm3), chế vào mẫu đất đã lấy. Lượng nước mn tính theo công thức sau:

Trong đó: Wyc - Độ ẩm yêu cầu chế bị của mẫu, % ;
Wkg - Độ ẩm khô gió của đất, % ;
gc.yc và V như trên.
- Trộn đều đất với nước, rồi đặt vào bình giữ ẩm để ủ ẩm cho đất qua đêm hoặc sau 8 ¸ 10 giờ mới đem ra chế bị mẫu ;
- Đem ra mẫu đất đã được ủ ẩm, trộn lại thật đều, rồi cho đất vào khuôn, đầm chặt tạo mẫu trong khuôn có kích thước bằng kích thước mẫu thí nghiệm nén (tham khảo phụ lục C tiêu chuẩn 14TCN132-2005) ;
- Dùng Pit tông đẩy mẫu đất ra khỏi khuôn, rồi lắp vào dao vòng chứa mẫu thí nghiệm nén. Sau đó, làm bão hoà nước cho mẫu đất như nói ở trên.
3.2.3. Tiến hành nén mẫu, theo dõi và ghi chép số liệu theo trình tự sau:
3.2.3.1. Lắp mẫu vào hộp nén: Lắp vòng bảo vệ (2) vào hộp ngoài (1); đặt một tấm đá xốp thấm nước vào vòng bảo vệ sao cho sát với đáy của hộp ngoài; đặt lên bề mặt mỗi đầu của mẫu đất một tờ giấy thấm đã tẩm ướt, rồi lắp dao vòng chứa mẫu trong đó vào vòng bảo vệ (2); lắp vòng chụp định hướng (4) lên vòng bảo vệ; đặt một tấm đá xốp thấm nước lên bề mặt mẫu đất, rồi đặt tấm nén có đầu bi tròn (6) lên bề mặt mẫu đất (xem hình A.1, phụ lục A). Sau đó, đặt hộp nén vào vị trí mà đỉnh đầu bi của tấm nén tiếp xúc chính tâm với dầm trên của khung truyền tải.
Ghi chú: Việc lắp mẫu và các chi tiết của hộp nén phải đảm bảo bề mặt của chúng tiếp xúc với với nhau hoàn toàn; viên đá thấm bên trên cùng với tờ giấy thấm và tấm nén phải nằm lọt đều trên bề mặt của mẫu đất.
3.2.3.2. Lắp đặt bộ phận gây áp lực nén thẳng đứng tác dụng lên mẫu theo trình tự: đặt khung truyền tải lên đỉnh đầu bi của tấm nén, rồi điều chỉnh cho đòn bẩy nằm ngang bằng cách dịch chuyển quả đối trọng đến vị trí thích hợp. Sau đó, đặt một quả cân có khối lượng khoảng 100g lên đầu mút đòn bẩy (chỗ treo quang chất tải) để làm cho mẫu đất và tấm nén, các viên đá thấm đảm bảo tiếp xúc hoàn toàn với nhau;
3.2.3.3. Lắp thẳng đứng đồng hồ đo lún vào giá đỡ, rồi điều chỉnh sao cho đuôi đồng hồ đặt đúng tâm bề mặt của cọc dẫn và có thể dịch chuyển cùng với cọc dẫn được 5 ¸ 6 mm khi đất bị lún. Sau đó, chỉnh cho kim đồng chỉ vào số không (số 0);
3.2.3.4. Chất tải trọng nén tác dụng lên mẫu đất và quan trắc lún theo trình tự sau:
1. Tuỳ theo kết cấu, trạng thái của đất mà áp dụng các cấp áp lực nén có trị số phù hợp như điều 3.1.4.2 ;
2. Nhẹ nhàng đặt tải trọng của cấp áp lực thứ nhất vào quang chất tải, lấy ra qua cân đặt ở đầu mút đòn bẩy đã dùng để làm cho các bộ phận của thiết bị tiếp xúc với nhau hoàn toàn, đồng thời bấm đồng hồ giây và theo dõi, ghi lượng lún của mẫu đất theo thời gian:
Sau 10; 20; 30; 40; 50 giây ;
Sau 1; 2; 4; 8; 15; 30 phút ;
Sau 1; 2; 3; 4; 6; 8; 12 và 24 giờ kể từ khi chất tải ;
Ghi chú:
1. Đối với đất sét mềm yếu, sau 24 giờ vẫn cần tiép tục theo dõi và ghi lượng lún của đất cho đến khi lượng lún sau một giờ không quá 0,005 mm mới kết thúc.
2. Sau khi chất tải xong, chế nước máy hoặc nước sạch đã khử khoáng vào hộp nén cho đến gần ngang với bề mặt mẫu đất.
3. Trong thời gian nén mẫu, tuyệt đối không được đụng chạm vào hộp nén, đồng hồ đo lún và bộ phận gia tải; cũng không được có chấn động, dù là nhẹ, làm ảnh hưởng đến thí nghiệm mẫu.
3. Lặp lại như khoản 1 điều 3.2.3.4 để thí nghiệm nén mẫu với các cấp áp lực tiếp theo cho đến hết. Sau đó, tiến hành theo khoản 2 điều 3.2.3.4;
Ghi chú: Nếu có yêu cầu xác định chỉ số đàn hồi của đất sau khi đã nén mẫu với các cấp áp lực, thì khi đã đo xong lượng lún ổn định của đất dưới cấp áp lực cuối cùng, tiến hành dỡ tải từng cấp một, theo dõi và ghi lượng biến dạng nở của đất theo thời gian cho đến khi biến dạng nở ổn định. Thời gian để biến dạng nở của đất đạt đến ổn định khi dỡ mỗi cấp tải trọng là 24 giờ, như đối với biến dạng lún. Cứ như thế tiếp tục dỡ tải đối với các cấp áp lực tiếp theo cho đến hết.
4. Hút ra hết nước trong hộp chứa mẫu, xoay giá đỡ đồng hồ đo lún ra khỏi cọc dẫn và rút cọc dẫn ra ngoài, dỡ ra hết các quả cân ở quang chất tải, rồi nhắc khung truyền tải ra khỏi tấm nén. Sau đó, lấy dao vòng chứa mẫu ra ngoài, dùng khăn sạch thấm hết nước ở trên bề mặt hai đầu mẫu đất, đùn mẫu đất ra khỏi dao vòng, rồi lấy đất ở vùng trung tâm mẫu để xác định độ ẩm theo tiêu chuẩn 14 TCN 125 - 2002; thu dọn và làm vệ sinh thiết bị, kết thúc thí nghiệm.
3.3. Chỉnh lý số liệu và tính toán kết quả
3.3.1. Kiểm tra và ghi chép đầy đủ các số liệu thí nghiệm vào các bảng ghi chép thí nghiệm (tham khảo bảng ghi chép thí nghiệm ở phụ lục B);
3.3.2. Tính độ ẩm tự nhiên của mẫu đất thí nghiệm, W0 tính bằng phần trăm (%), theo công thức 3.1:
Trong đó:Dhi - lượng biến dạng lún ổn định tích lũy của mẫu đất sau khi cố kết dưới cấp áp lực nén Pi đào đó (bằng lượng lún đọc được trên đồng hồ đo lún trừ đi biến dạng của máy dưới cấp áp lực Pi đang xét), tính bằng mm;
h0 - chiều cao ban đầu của mẫu đất (mm).
3.3.7. Tính hệ số rỗng của đất sau khi mẫu đất được cố kết dưới cấp áp lực nén Pi nào đó, ei, theo công thức 3.7:
ei=e0-Dei(3.7)
Trong đó: Các ký hiệu như trên.
Biểu thị trị số của e0 , Dei và ei chính xác đến 0,001.
3.3.8. Vẽ biểu đồ nén lún, đường cong quan hệ giữa hệ số rỗng e và áp lực nén P (tham khảo ở hình B.1 phụ lục B). Trục tung biểu thị hệ số rỗng, trục hoành biểu thị áp lực nén P (KN/m2).
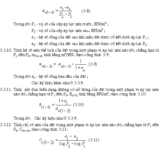
3.3.9. Tính hệ số nén lún của đất trong một phạm vi áp lực nén nào đó, chẳng hạn từ P1 đến P2, aV(1-2) tính bằng m2/KN, theo công thức 3.8:

Trong đó:log P1 - lôgarit thập phân của trị số áp lực nén P1 ;
Log P2 - lôgarit thập phân của trị số áp lực nén P2 ;
e1 và e2 - như ký hiệu ở điều 3.3.9.
Ghi chú: Khi tính chỉ số nở CS (nếu có yêu cầu), lấy trị số hệ số rỗng trên nhánh nở.
3.3.13. Xác định trị số của áp lực tiền cố kết đất nguyên trạng, PC tính bằng KN/m2. Để xác định áp lực tiền cố kết, vẽ đường cong quan hệ giữa hệ số rỗng (e) và logarit áp lực nén (log P) (tham khảo hình B.2 phụ lục B). Trên đường cong này, đầu tiên tìm điểm 0 ở đoạn đầu, tại đó ứng với bán kính của đường cong e - log P là nhỏ nhất (Rmin). Qua điểm 0, vẽ đường nằm ngang OA và đường tiếp tuyến OB của đường cong, rồi vẽ đường phân giác OD của góc AOB. Đường OD và đường kéo dài đoạn thẳng CF ở phần cuối đường quan hệ e - log P cắt nhau tại điểm E. Hoành độ của điểm E là log Pc, từ đó tính ra trị số của Pc là áp lực tiền cố kết của đất.

Trong đó: h1 - chiều dày mẫu đất trước khi nén mẫu với áp lực đang xét (cm);
h2 - chiều dày mẫu đất sau khi cố kết dưới áp lực đang xét (cm).
Ghi chú: Nếu nhiệt độ trung bình ở phòng thí nghiệm trong thời gian thí nghiệm chênh lệch hơn ± 20C so với 200C, thì giá trị CV nhận được cần hiệu chỉnh để đưa về trị ứng với nhiệt độ 200C bằng cách nhân với hệ số hiệu chỉnh Rt thích hợp tra cứu ở hình B.4 phụ lục B.
3.4. Báo cáo thí nghiệm
Phải khẳng định kết quả thí nghiệm được thực hiện phù hợp với tiêu chuẩn này, gồm các thông tin sau:
- Tên công trình. Hạng mục công trình ;
- Số hiệu hố thăm dò. Số hiệu mẫu đất và vị trí lấy mẫu ;
- Đặc điểm của đất (mô tả tóm tắt về nguồn gốc, thành phần, kết cấu, chất lẫnv.v…).
- Mẫu thí nghiệm số ……….., kích thước ………….. ; kết cấu ……………..;
- Phương pháp thí nghiệm áp dụng ;
- Các chỉ tiêu vật lý của đất và các đặc trưng nén lún một chiều của đất (hệ số nén lún aV , hệ số nén thể tích mV , chỉ số nén CC, mô đun biến dạng không có nở hông E, áp lực tiền cố kết PC , hệ số cố kết CV); kèm theo có các bảng, biểu ghi chép thí nghiệm và biểu thị kết quả ;
- Các thông tin khác có liên quan.
4. PHƯƠNG PHÁP THÍ NGHIỆM NÉN NHANH
4.1. Nguyên tắc chung
4.1.1. Điều kiện áp dụng: như điều 1.4.2.
4.1.2. Phạm vi áp dụng: như điều 1.2.
4.1.3. Mẫu đất thí nghiệm: như điều 1.5.
4.1.4. Yêu cầu kỹ thuật: như điều 3.1.4.1 đến 3.1.4.2. Và khi thí nghiệm nén nhanh, ở cấp áp lực đầu tiên và cấp áp lực trung gian được duy trì trong 2 giờ - đối với đất loại cát, trong 3 giờ - đối với đất bụi và đất sét; chỉ ở cấp áp lực cuối cùng được duy trì trong 24 giờ để đất các loại bình thường đạt đến ổn định lún (riêng đối với đất sét mềm yếu, sau 24 giờ vẫn tiếp tục quan trắc lún cho đến khi lượng lún sau một giờ không vượt quá 0,005mm). Trước khi tính toán các đặc trưng nén lún của đất, phải hiệu chỉnh lượng lún sau 2giờ (hoặc 3giờ) của mẫu đất dưới cấp áp lực nén đầu tiên và các cấp trung gian về lượng lún tích lũy ổn định, theo điều 4.4.
4.2. Quy trình
4.2.1. Hiệu chuẩn thiết bị, dụng cụ: theo điều 3.2.1 ;
4.2.2. Chuẩn bị mẫu thí nghiệm: theo điều 3.2.2 ;
4.2.3. Tiến hành nén mẫu, theo dõi và ghi chép số liệu theo trình tự sau:
4.2.3.1. Lắp ráp mẫu vào hộp nén, lắp ráp các bộ phận của thiết bị vào vị trí làm việc theo điều 3.2.3.1 đến 3.2.3.3 ;
4.2.3.2. Chất tải trọng nén tác dụng lên mẫu và quan trắc lún theo trình tự sau:
1. Tùy theo kết cấu, trạng thái của đất mà áp dụng các cấp áp lực nén phù hợp theo điều 3.1.4.2;
2. Nhẹ nhàng đặt tải trọng của cấp áp lực thứ nhất vào quang chất tải, lấy ra qua cân đặt ở đầu đòn bẩy đã dùng để làm cho các bộ phận của thiết bị tiếp xúc với nhau hoàn toàn, đồng thời bấm đồng hồ giây và theo dõi, ghi lượng lún của mẫu đất theo thời gian sau 10; 20; 30; 40; 50 giây; 1; 2; 4; 8; 15; 30 phút; 1 và 2 giờ - đối với đất cát và 3 giờ - đối với đất bụi và đất sét, kể từ khi chất tải. Sau đó, tiếp tục theo khoản 3 điều 4.2.3.2.
Ghi chú:
1. Sau khi chất tải xong, chế nước máy hoặc nước sạch đã khử khoáng vào hộp nén cho đến gần ngang với bề mặt mẫu đất.
2. Trong thời gian nén mẫu, tuyệt đối không được đụng chạm vào hộp nén, đồng hồ đo lún và bộ phận gia tải; cũng không được có chấn động, dù là nhẹ, ảnh hưởng đến thí nghiệm mẫu.
3. Lặp lại như khoản 2 điều 4.2.3.2 để thí nghiệm nén mẫu với các cấp áp lực trung gian tiếp theo; sau đó, tiếp tục theo khoản 4 điều 4.2.3.2;
4. Đối với cấp áp lực nén cuối cùng, lặp lại theo khoản 2 điều 4.2.3.2, rồi vẫn tiếp tục duy trì áp lực nén và ghi lượng biến dạng lún của mẫu đất sau 4; 6; 8; 12 và 24 giờ kể từ khi tăng tải. Sau đó, tiến hành theo khoản 5 điều 4.2.3.2.
Ghi chú: Đối với đất sét mềm yếu, sau 24 giờ vẫn tiếp tục quan trắc lún theo ghi chú 1 khoản 2 điều 3.2.3.4.
5. Hút ra hết nước trong hộp chứa mẫu, dỡ tải, lấy ra mẫu đất và lấy mẫu xác định độ ẩm, rồi thu dọn và làm vệ sinh thiết bị theo như khoản 4 điều 3.2.3.4, kết thúc thí nghiệm.
4.3. Chỉnh lý số liệu và tính toán kết quả
4.3.1. Tính hiệu chỉnh lượng lún tích luỹ của mẫu đất dưới tác dụng của cấp áp lực nén đầu tiên và các cấp áp lực trung gian sau 2 giờ (hoặc 3 giờ, tùy loại đất) về lượng lún tích lũy ổn định gần đúng sau 24 giờ, theo công thức sau:
Dh'i = K x Dhi
Trong đó:
Ah'i - lượng lún tích lũy của mẫu đất dưới cấp áp lực đầu tiên hoặc dưới cấp áp lực trung gian nào đó đã được hiệu chỉnh về lượng lún tích lũy ổn định gần đúng sau 24 giờ, mm;
Dhi - lượng lún tích lũy của mẫu đất dưới cấp áp lực đầu tiên hoặc dưới cấp áp lực trung gian nào đó, sau 2 giờ (hoặc sau 3 giờ, tùy loại đất) đọc được trên đồng hồ đo lún và đã trừ lượng biến dạng của máy dưới cấp áp lực đang xét, mm;
K - hệ số hiệu chỉnh, tính được theo công thức sau:
với Dhc - lượng lún tích lũy của mẫu đất dưới cấp áp lực cuối cùng, sau 2 gờ (hoặc 3 giờ, tùy loại đất) đọc được trên đồng hồ đo lún và đã trừ lượng biến dạng của máy dưới cấp áp lực này, mm; Dh'c - lượng lún tích lũy ổn định (sau 24 giờ) của mẫu đất cũng dưới áp lực cuối cùng đọc được trên đồng hồ đo lún và đã trừ lượng biến dạng của máy, mm.
4.3.2. Tính độ ẩm tự nhiên của mẫu đất thí nghiệm, W0 (%) theo công thức 3.1 điều 3.3.2;
4.3.3. Tính khối lượng thể tích của mẫu đất ở độ ẩm tự nhiên, gW (g/cm3), theo công thức 3.2 và tính khối lượng thể tích khô của đất gC (g/cm3), theo công thức 3.3 điều 3.3.3;
4.3.4. Tính hệ số rỗng ban đầu của mẫu đất thí nghiệm, e0, theo công thức 3.4 điều 3.3.4;
4.3.5. Tính độ bão hòa nước ban đầu của mẫu đất thí nghiệm, Sr (%), theo công thức 3.5 điều 3.3.5 ;
4.3.6. Tính lượng giảm hệ số rỗng của đất sau khi mẫu đất được cố kết dưới cấp áp lực nén Pi nào đó, Dei , theo công thức 3.6 điều 3.3.6 ;
4.3.7. Tính hệ số rỗng của đất sau khi mẫu đất được cố kết dưới cấp áp lực nén Pi nào đó, ei , theo công thức 3.7 điều 3.3.7 ;
4.3.8. Vẽ biểu đồ nén lún, đường cong quan hệ giữa hệ số rỗng e và áp lực P (tham khảo ở hình B.1 phụ lục B) ;
4.3.9. Tính hệ số nén lún của đất trong một phạm vi áp lực nén nào đó, chẳng hạn từ P1 đến P2 , aV(1-2) (m2/KN), theo công thức 3.8 điều 3.3.9;
4.3.10. Tính hệ số nén thể tích của đất trong một phạm vi áp lực nén nào đó, chẳng hạn từ P1 đến P2, mV(1-2) (m2/KN), theo công thức 3.9 điều 3.3.10;
4.3.11. Tính mô đun biến dạng không có nở hông của đất trong một phạm vi áp lực nén nào đó, chẳng hạn từ P1 đến P2, E1-2 (KN/m2), theo công thức 3.10 điều 3.3.11;
4.4. Báo cáo thí nghiệm
Phải khẳng định kết quả thí nghiệm được tiến hành phù hợp với tiêu chuẩn này, gồm các thông tin sau:
- Tên công trình. Hạng mục công trình; số hiệu hố thăm dò ;
- Số hiệu mẫu đất và vị trí lấy mẫu ;
- Đặc điểm mẫu đất (thành phần, kết cấu, độ ẩm ban đầu, khối lượng thể tích khô ban đầu, khối lượng riêng, hệ số rỗng v.v…) ;
- Phương pháp thí nghiệm áp dụng ;
- Số hiệu mẫu thí nghiệm, kích thước mẫu, kết cấu ;
- Các đặc trưng nén lún một chiều của đất, kèm theo có các bảng biểu ghi chép thí nghiệm ;
- Các thông tin khác có liên quan.


Bảng B.1. Bảng ghi chép thí nghiệm nén lún một chiều
- Công trình :...............................................................Hạng mục..................................
- Số hiệu hố thăm dò :....................................................................................................
- Số hiệu mẫu đất và độ sâu lấy mẫu : ..........................................................................
- Phương pháp thí nghiệm : ...........................................................................................
- Số hiệu mẫu thí nghiệm : ............................................................................................
| Dao vòng số
| Dung tích (cm3) | Khối lượng (g) | Khối lượng đất + dao vòng (g) | Khối lượng thể tích đất ẩm gw (g/cm3) | Hộp số | Khối lượng (g) | Khối lượng hộp + đất ẩm (g) | Khối lượng hộp + đất khô (g) | Độ ẩm của đất W (%) | Khối lượng thể tích đất khô gC (g/cm3) |
|
|
|
|
|
|
|
|
|
|
|
|
|
|
|
|
|
|
|
|
|
|
|
|
|
|
|
|
|
|
|
|
|
|
|
|
|
|
|
|
|
|
|
|
|
|
|
|
|
|
|
|
|
|
|
|
|
|
|
|
|
|
|
|
|
|
|
|
|
|
|
|
|
|
|
|
|
|
|
|
|
|
|
|
|
|
|
|
|
|
|
|
|
|
|
|
|
|
|
|
|
|
|
|
|
|
|
|
Ngày........ tháng...... năm .......
Người thí nghiệm.....................
Người kiểm tra.........................
Bảng B.2. Bảng ghi chép thí nghiệm nén lún một chiều
- Công trình :...............................................................Hạng mục..................................
- Số hiệu hố thăm dò :....................................................................................................
- Số hiệu mẫu đất và độ sâu lấy mẫu : ..........................................................................
- Phương pháp thí nghiệm : ...........................................................................................
- Số hiệu mẫu thí nghiệm : ..............................Dao vòng số............., đường kính trong D..........mm, chiều cao h..............mm; tiết diện............... cm2.

Ngày........ tháng...... năm .......
Người thí nghiệm.....................
Người kiểm tra.........................
Bảng B.3. Bảng ghi chép thí nghiệm nén lún một chiều
- Công trình :...............................................................Hạng mục..................................
- Số hiệu hố thăm dò :....................................................................................................
- Số hiệu mẫu đất và độ sâu lấy mẫu : ..........................................................................
- Phương pháp thí nghiệm : ...........................................................................................
- Số hiệu mẫu thí nghiệm : ..............................Dao vòng số............., đường kính trong D..........mm, chiều cao h..............mm; tiết diện ngang F............... cm2.
- Độ ẩm của đất W0 ..........% độ bão hòa Sr ................%.
- Khối lượng thể tích đất ẩm gW .......g/cm3. Khối lượng thể tích đất khô gC.......g/cm3.
- Khối lượng riêng rd.........g/cm3. Hệ số rỗng e0.........Độ bão hòa Sr........%.
Ngày........ tháng...... năm .......
Người thí nghiệm.....................
Người kiểm tra.........................

Phụ lục C
PHƯƠNG PHÁP THÍ NGHIỆM MẪU NHỎ QUY ĐỔI ĐỂ XÁC ĐỊNH
CÁC ĐẶC TRƯNG NÉN LÚN MỘT CHIỀU CỦA ĐẤT CHỨA NHIỀU SỎI SẠN (THAM KHẢO)
C.1. QUY ĐỊNH CHUNG
C.1.1. Phương pháp thí nghiệm này được tham khảo áp dụng để xác định gần đúng (thiên về an toàn) các đặc trưng nén lún một chiều của đất chứa nhiều sỏi sạn (cỡ hạt từ 2 đến 60mm) dùng cho xây dựng công trình thủy lợi, khi mà thiết bị thí nghiệm nén với kích thước có hạn đã không phù hợp để thí nghiệm đối với đất có chứa sỏi sạn.
C.1.2. Phạm vi áp dụng:
Đất hạt mịn và đất cát có lượng chứa hạt sét và hạt bụi bằng 10% hoặc hơn, chứa sỏi sạn có thể tới cận 50%, trong đó lượng sỏi sạn hạt to (hạt 20 đến 60mm) có thể tới 20%, có độ chặt tự nhiên hoặc đầm chặt theo yêu cầu.
C.1.3. Thuật ngữ: như điều 1.3.
C.1.4. Phương pháp thí nghiệm:
Thí nghiệm theo phương pháp nén lún ổn định đối với mẫu được chế bị từ vật liệu hạt nhỏ 2mm của đất, ở độ ẩm thích hợp, có khối lượng thể tích khô bằng khối lượng thể tích khô của chính nó ở trong khối đất chứa sỏi sạn, đã được làm bão hòa nước hoàn toàn sau khi chế bị; Sau đó, tính toán quy đổi các đặc trưng nén lún của mẫu đất chứa sỏi sạn theo các công thức kinh nghiệm đúc rút được từ kết quả nghiên cứu sự ảnh hưởng của hạt to đến tính nén lún của đất, trên cơ sở phát triển hợp lý định luật nén của cơ học đất đối với đất chứa hạt to.
Ghi chú:
1. Khi áp dụng phương pháp này để xác định các đặc trưng nén lún một chiều của đất dính có chứa sỏi sạn kết cấu nguyên trạng, xét ở trạng thái bão hoà nước, với giả thiết độ bền liên kết kiến trúc của đất không đáng kể, có thể bỏ qua (thiên về an toàn).
2. Cũng có thể thí nghiệm theo phương pháp nén nhanh đối với mẫu đất được chế bị nói ở trên, với điều kiện ở điều 1.4.2.
3. Phương pháp thí nghiệm này từ kết quả đề tài khoa học cấp Bộ: "Nghiên cứu phương pháp thí nghiệm thích hợp đối với vật liệu đất hỗn hợp chứa nhiều hạt thô để đắp đập đất đồng chất", được nghiệm thu năm 2000, đoạt giải ba Giải thưởng sáng tạo khoa học công nghệ Việt Nam năm 2000, do Tiến sĩ Phạm Văn Thìn (Viện khoa học Thuỷ lợi) làm chủ nhiệm đề tài.
C.1.5. Mẫu đất dùng thí nghiệm
Mẫu đất lấy về dùng cho thí nghiệm này phải đảm bảo tính đại biểu và chất lượng yêu cầu theo tiêu chuẩn 14 TCN 124 - 2002.
C.2. THIẾT BỊ, DỤNG CỤ
Như điều 2 tiêu chuẩn này.
C.3. QUY TRÌNH
C.3.1. Thu thập đầy đủ các thông tin cần thiết cảu đất chứa sỏi sạn, gồm: Thành phần hạt của đất; khối lượng riêng của đất chứa sỏi sạn, của hợp phần hạt nhỏ hơn 2mm và của hợp phần sỏi sạn; đất nguyên trạng hay đất bị phá hủy kết cấu; nếu là đất bị phá hủy kết cấu, thì cần biết khối lượng thể tích khô đầm chặt yêu cầu.
C.3.2. Hiệu chuẩn thiết bị, dụng cụ: như điều 3.2.1.
C.3.3. Chuẩn bị mẫu thí nghiệm từ vật liệu hạt nhỏ hơn 2mm của đất chứa sỏi sạn:
C.3.3.1. Lấy mẫu đại biểu để xác định khối lượng thể tích tự nhiên của đất chứa sỏi sạn kết cấu nguyên trạng, theo tiêu chuẩn 14 TCN 126 - 2002; đồng thời lấy mẫu xác định độ ẩm của đất, theo tiêu chuẩn 14 TCN 125 - 2002; sau đó tính khối lượng thể tích khô của đất chứa sỏi sạn, gc.hh (g/cm3) , theo công thức C.3.1:
(C.3.1)
Trong đó: gW.hh - khối lượng thể tích tự nhiên của đất chứa sỏi sạn, g/cm3 ;
Whh - độ ẩm của đất chứa sỏi sạn, %.
C.3.3.2. Đem phần mẫu đất nguyên trạng còn lại, cũng như mẫu đất bị phá hủy kết cấu, phơi khô gió trong phòng, rồi dùng dụng cụ thích hợp để nghiền rời đất; không đập vỡ các hạt sỏi sạn vốn có. Sau đó, sàng đất qua sàng lỗ 2mm, đảm bảo các hạt nằm lại trên sàng đều sạch (không còn các hạt bụi, hạt sét bám dính) ;
C.3.3.3. Đựng phần đất lọt sàng 2mm vào khay, trộn đều, rồi lấy mẫu xác định độ ẩm khô gió theo tiêu chuẩn 14 TCN 125 - 2002 ;
C.3.3.4. Chế bị mẫu thí nghiệm từ vật liệu hạt nhỏ hơn 2mm của đất chứa sỏi sạn, tiến hành theo trình tự sau:
C.3.3.4.1. Tính khối lượng thể tích khô của mẫu đất cần chế bị để thí nghiệm, gcd (g/cm3), theo công thức C.3.2:
(C.3.2)
Trong đó: mG - hàm lượng sỏi sạn, theo kết quả phân tích thành phần hạt, % ;
rG - khối lượng riêng của sỏi sạn, g/cm3 ;
gc.hh - khối lượng thể tích khô của đất chứa sỏi sạn, được xác định ở C3.3.1 - đối với đất nguyên trạng, hoặc theo yêu cầu đầm chặt - đối với đất bị phá hủy kết cấu, g/cm3 .
C.3.3.4.2. Tính khối lượng vật liệu hạt nhỏ hơn 2mm ở độ ẩm khô gió để chế bị mẫu thí nghiệm, mkg (g), theo công thức C.3.3:
mkg = gc.d x V (1 + 0.01 Wkg) (C.3.3)
Trong đó: V - dung tích khuôn chế bị mẫu thí nghiệm có kích thước bằng kích thước mẫu thí nghiệm nén, cm3;
Wkg - độ ẩm khô gió của vật liệu đất hạt nhỏ hơn 2mm, %;
gc.d - như xác định được theo C3.3.4.1;
Sau đó, cân lấy một lượng đất mkg chính xác đến 1g, rồi cho vào khay đựng;
C.3.3.4.3. Lấy một lượng mn (cm3) nước máy hoặc nước sạch đã khử khoáng chế vào mẫu đất đã lấy đựng trong khay. Lượng nước mn tính theo công thức C.3.4:
(C.3.4)
Trong đó: Wcb - độ ẩm chế bị của đất, theo kinh nghiệm được lấy bằng độ ẩm đầm nén tốt nhất của đất đó (nếu có) hoặc lấy bằng độ ẩm ở giới hạn dẻo Wp; %;
Wkg - độ ẩm khô gió của đất, % ;
rG - khối lượng riêng của hạt sỏi sạn, g/cm3 ;
V và gc.d : như ký hiệu ở C3.3.4.2.
Ghi chú: Cũng có thể chế vào mẫu đất một lượng nước vừa đủ làm ẩm đất để đầm chặt tạo mẫu, bằng cách dò dần: Vừa chế nước vào đất vừa trộn đều đất với nước, cho đến khi thấy đất sẫm màu và hình thành vón kết; nếu lấy đất vào lòng bàn tay và nắm chặt, thì đất dính chặt thành cục mà lòng bàn tay không bị ướt bẩn là được.
Trộn đều đất với nước trong khay đựng, rồi đặt vào bình giữ ẩm để ủ ẩm cho đất qua đêm hoặc sau 8 ¸ 10 giờ mới đem ra chế bị mẫu ;
C.3.3.4.4. Lấy ra mẫu đất đã ủ ẩm, trộn lại thật đều, rồi cho vào khuôn có kích thước bằng kích thước mẫu thí nghiệm và đầm chặt đất trong khuôn. Sau đó, dùng pít tông đẩy mẫu đất ra khỏi khuôn, rồi lắp mẫu vào dao vòng chứa mẫu thí nghiệm nén, làm bão hòa nước cho mẫu đảm bảo kìm hãm hoàn toàn sự trương nở của đất.
C.3.4. Tiến hành nén mẫu, theo dõi và và ghi chép số liệu, theo trình tự sau:
C.3.4.1. Dựa vào kết cấu của đất mà lựa chọn áp dụng các cấp áp lực nén phù hợp theo 3.1.4.2 của phương pháp thí nghiệm nén lún ổn định;
C.3.4.2. Tiến hành lắp ráp mẫu vào máy, rồi nén lún đất dưới từng cấp áp lực và ghi chép số liệu theo như 3.2.3 của phương pháp thí nghiệm nén lún ổn định.
Ghi chú: Nếu tiến hành nén mẫu theo phương pháp nén nhanh, thì theo điều 4.2.3 của phương pháp thí nghiệm nén nhanh.
C.4. CHỈNH LÝ SỐ LIỆU VÀ TÍNH TOÁN KẾT QUẢ
C.4.1. Tính hiệu chỉnh lượng lún tích lũy của mẫu thí nghiệm đất hạt nhỏ hơn 2mm, sau khi cố kết dưới cấp áp lực nén Pi nào đó, Dhi (mm), theo công thức C.4.1:
Dhi =SDhi - Dhmi (C.4.1)
Trong đó: SDhi - trị số lượng lún tích lũy của mẫu đất sau khi cố kết dưới áp lực nén Pi đang xét, đọc được trên đồng hồ đo lún, mm ;
Dhmi - lượng biến dạng của máy cũng dưới áp lực nén Pi, xác định được khi hiệu chỉnh máy, mm ;
Theo công thức trên, tính toán hiệu chỉnh lượng lún của mẫu sau khi cố kết dưới các cấp áp lực nén áp dụng.
Ghi chú: Nếu thí nghiệm theo phương pháp nén nhanh, thì phải hiệu chỉnh lượng lún tích lũy của mẫu đất thí nghiệm sau khi cố kết dưới các cấp áp lực nén, theo 4.3.1 của phương pháp thí nghiệm nén nhanh.
C.4.2. Tính lượng lún đơn vị (Si.đ) của mẫu thí nghiệm đất hạt nhỏ hơn 2mm, sau khi cố kết dưới cấp áp lực nén Pi nào đó, theo công thức C.4.2:

Si.đ = (C.4.3)
Trong đó: mG - hàm lượng sỏi sạn, % ;
rG - khối lượng riêng của sỏi sạn, g/cm3 ;
gc.hh - khối lượng thể tích khô của đất chứa sỏi sạn, g/cm3.
C.4.4. Tính quy đổi lượng lún đơn vị Si.hh tương ứng của mẫu đất chứa sỏi sạn sau khi cố kết dưới áp lực nén Pi nào đó, theo công thức C.4.4:
Si.hh = Si.d x hd (C.4.4)
Trong đó: Si.d - như tính được ở C4.2 ;
hd - như tính được ở C4.3.
Theo công thức trên, tính quy đổi lượng lún đơn vị tương ứng của mẫu đất chứa sỏi sạn sau khi cố kết dưới các cấp áp lực nén áp dụng.
C.4.5. Tính hệ số rỗng ban đầu e0.hh của mẫu đất chứa sỏi sạn, theo công thức C.4.5:

Trong đó: rd - khối lượng riêng của hợp phần đất hạt nhỏ hơn 2mm, g/cm3 ;
rG - khối lượng riêng của sỏi sạn, g/cm3 ;
mG - hàm lượng sỏi sạn, % ;
gc.hh - khối lượng thể tích khô của đất chứa sỏi sạn, g/cm3.
C.4.6. Tính quy đổi hệ số rỗng ei.hh tương ứng của mẫu đất chứa sỏi sạn sau khi cố kết dưới áp lực nén Pi nào đó, theo công thức C.4.7:
ei.hh = eo.hh - (1+ eo.hh) Si.hh (C.4.7)
Trong đó: Si.hh - như tính được ở C4.4;
eo.hh - như tính được ở C4.5.
Biểu thị trị số e0.hh và ei.hh chính xác đến 0,001.
C.4.7. Vẽ biểu đồ quan hệ giữa hệ số rỗng ehh và áp lực nén P, trục tung biểu thị ehh , trục hoành biểu thị P (tương tự như hình B.1 phụ lục B).
C.4.8. Tính quy đổi hệ số nén tương ứng của mẫu đất chứa sỏi sạn trong một phạm vi áp lực nén nào đó, chẳng hạn từ P1 đến P2, aV (1-2) (m2/KN), theo công thức C.4.8:

Ghi chú: Nếu nhiệt độ trung bình ở phòng thí nghiệm trong thời gian thí nghiệm chênh lệch hơn ± 20C so với 200C, thì giá trị CV tìm được cần hiệu chỉnh về trị số ứng với nhiệt độ 200C bằng cách nhân với hệ số hiệu chỉnh Rt tra cứu được ở hình B.4 phụ lục B.
C.5. BÁO CÁO THÍ NGHIỆM
Phải đảm bảo kết quả thí nghiệm được tiến hành phù hợp với phụ lục này, bao gồm các thông tin sau:
- Tên công trình. Hạng mục công trình ;
- Số liệu hố thăm dò. Số liệu mẫu đất và vị trí lấy mẫu ;
- Đặc điểm của đất (mô tả tóm tắt về nguồn gốc, thành phần, kết cấu v.v...) ;
- Phương pháp thí nghiệm áp dụng ;
- Mẫu thí nghiệm số ..................... ; kích thước ................... ; kết cấu .................... ;
- Phương pháp chuẩn bị mẫu .......................... ;
- Các đặc trưng nén lún một chiều quy đổi của mẫu đất chứa sỏi sạn (hệ số nén aV; hệ số nén thể tích mV; mô đun biến dạng E; hệ số cố kết CV ;
- Các biểu bảng ghi chép thí nghiệm ;
- Các thông tin khác có liên quan.
Bạn chưa Đăng nhập thành viên.
Đây là tiện ích dành cho tài khoản thành viên. Vui lòng Đăng nhập để xem chi tiết. Nếu chưa có tài khoản, vui lòng Đăng ký tại đây!