- Tổng quan
- Nội dung
- VB gốc
- Tiếng Anh
- Hiệu lực
- VB liên quan
- Lược đồ
-
Nội dung hợp nhất
Tính năng này chỉ có tại LuatVietnam.vn. Nội dung hợp nhất tổng hợp lại tất cả các quy định còn hiệu lực của văn bản gốc và các văn bản sửa đổi, bổ sung, đính chính... trên một trang. Việc hợp nhất văn bản gốc và những văn bản, Thông tư, Nghị định hướng dẫn khác không làm thay đổi thứ tự điều khoản, nội dung.
Khách hàng chỉ cần xem Nội dung hợp nhất là có thể nắm bắt toàn bộ quy định hiện hành đang áp dụng, cho dù văn bản gốc đã qua nhiều lần chỉnh sửa, bổ sung.
- Tải về
Quyết định 18/2008/QĐ-BCT Hợp đồng mua bán điện mẫu áp dụng cho các nhà máy điện nhỏ
| Cơ quan ban hành: | Bộ Công Thương |
Số công báo:
Số công báo là mã số ấn phẩm được đăng chính thức trên ấn phẩm thông tin của Nhà nước. Mã số này do Chính phủ thống nhất quản lý.
|
Đã biết
|
| Số hiệu: | 18/2008/QĐ-BCT | Ngày đăng công báo: |
Đã biết
|
| Loại văn bản: | Quyết định | Người ký: | Đỗ Hữu Hào |
|
Ngày ban hành:
Ngày ban hành là ngày, tháng, năm văn bản được thông qua hoặc ký ban hành.
|
18/07/2008 |
Ngày hết hiệu lực:
Ngày hết hiệu lực là ngày, tháng, năm văn bản chính thức không còn hiệu lực (áp dụng).
|
Đã biết
|
|
Áp dụng:
Ngày áp dụng là ngày, tháng, năm văn bản chính thức có hiệu lực (áp dụng).
|
Đã biết
|
Tình trạng hiệu lực:
Cho biết trạng thái hiệu lực của văn bản đang tra cứu: Chưa áp dụng, Còn hiệu lực, Hết hiệu lực, Hết hiệu lực 1 phần; Đã sửa đổi, Đính chính hay Không còn phù hợp,...
|
Đã biết
|
| Lĩnh vực: | Thuế-Phí-Lệ phí, Công nghiệp, Điện lực |
TÓM TẮT QUYẾT ĐỊNH 18/2008/QĐ-BCT
Nội dung tóm tắt đang được cập nhật, Quý khách vui lòng quay lại sau!
Tải Quyết định 18/2008/QĐ-BCT
|
BỘ CÔNG THƯƠNG Số: 18/2008/QĐ-BCT |
CỘNG HOÀ XÃ HỘI CHỦ NGHĨA VIỆT NAM Hà Nội, ngày 18 tháng 7 năm 2008 |
QUYẾT ĐỊNH
BAN HÀNH QUY ĐỊNH VỀ BIỂU GIÁ CHI PHÍ TRÁNH ĐƯỢC VÀ HỢP ĐỒNG MUA BÁN ĐIỆN MẪU ÁP DỤNG CHO CÁC NHÀ MÁY ĐIỆN NHỎ SỬ DỤNG NĂNG LƯỢNG TÁI TẠO
Căn cứ Nghị định số 189/2007/NĐ-CP ngày 27 tháng 12 năm 2007 của Chính phủ quy định chức năng, nhiệm vụ, quyền hạn và cơ cấu tổ chức của Bộ Công Thương;
Căn cứ Luật Điện lực ngày 03 tháng 12 năm 2004;
Căn cứ Nghị định số 105/2005/NĐ-CP ngày 17 tháng 8 năm 2005 của Chính phủ quy định chi tiết và hướng dẫn thi hành một số điều của Luật Điện lực;
Theo đề nghị của Cục trưởng Cục Điều tiết điện lực,
QUYẾT ĐỊNH:
Điều 1. Ban hành kèm theo Quyết định này Quy định về biểu giá chi phí tránh được và Hợp đồng mua bán điện mẫu áp dụng cho các nhà máy điện nhỏ sử dụng năng lượng tái tạo.
Điều 2. Quyết định này có hiệu lực thi hành từ ngày 01 tháng 01 năm 2009.
Điều 3. Cục trưởng Cục Điều tiết điện lực, Chánh Văn phòng Bộ, Chánh Thanh tra Bộ, các Vụ trưởng, Cục trưởng có liên quan thuộc Bộ, Uỷ ban nhân dân các tỉnh, thành phố trực thuộc Trung ương, Tổng Giám đốc Tập đoàn Điện lực Việt Nam và các tổ chức, cá nhân hoạt động điện lực chịu trách nhiệm thi hành Quyết định này./.
|
Nơi nhận: |
KT. BỘ TRƯỞNG |
QUY ĐỊNH
VỀ BIỂU GIÁ CHI PHÍ TRÁNH ĐƯỢC CHO CÁC NHÀ MÁY ĐIỆN NHỎ SỬ DỤNG NĂNG LƯỢNG TÁI TẠO
(Ban hành kèm theo Quyết định số 18/2008/QĐ-BCT ngày 18 tháng 7 năm 2008 của Bộ trưởng Bộ Công Thương)
Chương I.
QUY ĐỊNH CHUNG
Điều 1. Phạm vi và đối tượng áp dụng
1. Quy định này quy định về điều kiện, trình tự và thủ tục xây dựng, sửa đổi, bổ sung và hủy bỏ biểu giá phát điện áp dụng cho các nhà máy điện nhỏ sử dụng năng lượng tái tạo đấu nối với lưới điện quốc gia.
2. Quy định này áp dụng đối với các tổ chức, cá nhân mua, bán điện từ các nhà máy điện nhỏ sử dụng năng lượng tái tạo.
Điều 2. Giải thích từ ngữ
Trong Quy định này, các từ ngữ dưới đây được hiểu như sau:
1. Bên bán là tổ chức, cá nhân có giấy phép hoạt động điện lực trong lĩnh vực phát điện từ các nhà máy điện nhỏ sử dụng năng lượng tái tạo.
2. Bên mua là đơn vị phân phối điện có giấy phép hoạt động điện lực trong lĩnh vực phân phối và bán lẻ điện, có lưới điện mà các nhà máy điện nhỏ sử dụng năng lượng tái tạo sẽ đấu nối và áp dụng Hợp đồng mua bán điện mẫu cho nguồn điện nhỏ sử dụng năng lượng tái tạo do Bộ Công Thương ban hành để mua điện với Bên bán.
3. Biểu giá chi phí tránh được là biểu giá được tính theo các chi phí tránh được của hệ thống điện quốc gia khi có một (01) kWh công suất phát từ nhà máy điện nhỏ sử dụng năng lượng tái tạo được phát lên lưới điện phân phối.
4. Chi phí tránh được là chi phí sản xuất 1kWh của tổ máy phát có chi phí cao nhất trong hệ thống điện quốc gia, chi phí này có thể tránh được nếu Bên mua mua 1kWh từ một nhà máy điện nhỏ sử dụng năng lượng tái tạo thay thế.
5. Điện năng dư là lượng điện năng sản xuất trong mùa mưa vượt quá lượng điện năng với hệ số phụ tải trong mùa mưa là 0,85.
6. Điện năng thanh cái là toàn bộ điện năng sản xuất trừ đi lượng điện tự dùng bên trong phạm vi nhà máy.
7. Đơn vị điều độ hệ thống điện quốc gia là đơn vị điện lực thực hiện hoạt động chỉ huy, điều khiển các đơn vị phát điện, truyền tải điện, phân phối điện thực hiện quá trình vận hành hệ thống điện quốc gia theo quy trình, quy phạm kỹ thuật và phương thức vận hành đã được quy định.
8. Hệ số phụ tải là tỷ số giữa lượng điện năng sản xuất thực tế với lượng điện năng có thể sản xuất ở chế độ vận hành 100% công suất định mức trong một khoảng thời gian nhất định (năm, mùa, tháng, ngày).
9. Hợp đồng mua bán điện mẫu là mẫu hợp đồng mua bán điện do Bộ Công Thương ban hành áp dụng cho các nhà máy điện nhỏ sử dụng năng lượng tái tạo áp dụng biểu giá chi phí tránh được.
10. Mùa mưa được tính từ ngày 01 tháng 7 đến ngày 31 tháng 10.
11. Mùa khô được tính từ ngày 01 tháng 11 đến ngày 30 tháng 6 năm sau.
12. Năm lấy số liệu tính toán biểu giá áp dụng cho năm N được tính từ ngày 01 tháng 7 của năm (N-2) tới ngày 30 tháng 6 của năm (N-1).
13. Năng lượng tái tạo là năng lượng được sản xuất từ các nguồn như thủy điện nhỏ, gió, mặt trời, địa nhiệt, thủy triều, sinh khối, khí chôn lấp rác thải, khí của nhà máy xử lý rác thải và khí sinh học.
14. Nhà máy đủ điều kiện là nhà máy phát điện sử dụng năng lượng tái tạo đáp ứng các điều kiện được quy định tại khoản 1 Điều 8 của Quy định này.
15. Yêu cầu kỹ thuật là các tiêu chuẩn kỹ thuật, quy trình, quy phạm, quy định liên quan đến việc đấu nối với lưới điện phân phối.
Chương II.
BIỂU GIÁ CHI PHÍ TRÁNH ĐƯỢC
Điều 3. Cấu trúc biểu giá
1. Biểu giá chi phí tránh được được tính theo thời gian sử dụng trong ngày và các mùa trong năm được quy định chi tiết tại Phụ lục 1 của Quy định này, bao gồm 7 thành phần như sau:
a) Giờ cao điểm mùa khô;
b) Giờ bình thường mùa khô;
c) Giờ thấp điểm mùa khô;
d) Giờ cao điểm mùa mưa;
e) Giờ bình thường mùa mưa;
g) Giờ thấp điểm mùa mưa;
h) Điện năng dư.
2. Các chi phí tương ứng với 7 thành phần biểu giá được quy định chi tiết tại Phụ lục 1 kèm theo Quy định này, bao gồm:
a) Chi phí điện năng phát điện tránh được;
b) Chi phí tổn thất truyền tải tránh được;
c) Chi phí thiệt hại môi trường địa phương tránh được (theo quy định hiện hành, thành phần này chưa được tính);
d) Chi phí công suất phát điện tránh được (chỉ được trả trong thời gian cao điểm của mùa khô).
3. Biểu giá chi phí tránh được áp dụng cho miền Bắc, miền Trung và miền Nam được Cục Điều tiết điện lực công bố hàng năm.
4. Thời gian sử dụng điện trong ngày áp dụng cho biểu giá chi phí tránh được phù hợp với quy định trong biểu giá bán lẻ điện hiện hành.
5. Bên bán sử dụng Hợp đồng mua bán điện mẫu phải lắp đặt các công tơ 3 giá để đo đếm điện năng sử dụng cho thanh toán tiền điện.
6. Phương pháp tính toán biểu giá chi phí tránh được được quy định chi tiết tại Phụ lục 2 của Quy định này.
Điều 4. Trách nhiệm đấu nối
1. Bên bán chịu trách nhiệm đầu tư, vận hành và bảo dưỡng đường dây và trạm biến áp tăng áp (nếu có) từ nhà máy điện của Bên bán đến điểm đấu nối với lưới điện của Bên mua.
2. Điểm đấu nối với lưới điện của bên mua là điểm gần nhất đấu nối vào lưới điện hiện có của Bên mua. Điểm đấu nối do Bên bán và Bên mua thoả thuận. Trường hợp không thoả thuận được điểm đấu nối, các bên lập các phương án, trình Cục Điều tiết điện lực xem xét, giải quyết.
3. Trường hợp điểm đấu nối khác với điểm đặt thiết bị đo đếm, Bên bán chịu phần tổn thất điện năng trên đường dây đấu nối. Phương pháp tính toán tổn thất trên đường dây đấu nối được hướng dẫn tại Phụ lục 3 của Quy định này.
Điều 5. Cơ chế chia sẻ rủi ro
1. Bên bán khi ký Hợp đồng mua bán điện với Bên mua sử dụng Hợp đồng mua bán điện mẫu có quyền lựa chọn áp dụng hay không áp dụng biểu giá theo cơ chế chia sẻ rủi ro quy định trong Hợp đồng mua bán điện mẫu.
2. Cơ chế chia sẻ rủi ro là cơ chế áp dụng biểu giá chi phí tránh được công bố hàng năm cùng với các mức giá sàn và giá trần xác định trước từ biểu giá chi phí tránh được của năm ký Hợp đồng mua bán điện. Giá bán điện của các năm sau khi ký hợp đồng sẽ bằng giá chí phí tránh được áp dụng cho năm đó nếu giá đó nằm trong khoảng giữa giá sàn và giá trần. Nếu giá chi phí tránh đuợc của năm đó cao hơn giá trần thì sẽ áp dụng giá trần và nếu giá chi phí tránh đuợc năm đó thấp hơn giá sàn thì sẽ áp dụng giá sàn trong thanh toán tiền điện đã phát được.
3. Giá sàn của từng thành phần của biểu giá được tính bằng 90% giá của thành phần đó trong biểu giá chi phí tránh được áp dụng cho năm ký Hợp đồng mua bán điện.
4. Giá trần của từng thành phần của biểu giá được tính bằng 110% giá của thành phần đó trong biểu giá chi phí tránh được áp dụng cho năm ký Hợp đồng mua bán điện.
5. Thời hạn áp dụng tối đa biểu giá với cơ chế chia sẻ rủi ro là 12 năm kể từ năm ký hợp đồng mua bán điện. Bên bán có thể lựa chọn thời hạn áp dụng ngắn hơn. Sau thời hạn áp dụng cơ chế chia sẻ rủi ro, giá dùng trong thanh toán tiền điện từ Hợp đồng mua bán điện sẽ là giá chi phí tránh được được công bố áp dụng cho từng năm.
6. Khi áp dụng cơ chế này, trong Hợp đồng mua bán điện cần quy định cụ thể biểu giá chi phí tránh được của năm ký Hợp đồng mua bán điện, thời hạn áp dụng cơ chế chia sẻ rủi ro, giá sàn và giá trần tương ứng với từng thành phần của biểu giá theo cơ chế chia sẻ rủi ro quy định tại Bảng 2 Phụ lục 1 của Quy định này.
Điều 6. Xây dựng biểu giá
1. Biểu giá chi phí tránh được được xây dựng và công bố hàng năm cho mỗi giai đoạn 5 năm tiếp theo.
2. Đơn vị điều độ hệ thống điện quốc gia có trách nhiệm thực hiện tính toán biểu giá chi phí tránh được hàng năm theo phương pháp được quy định tại Phụ lục 2, trình Cục Điều tiết điện lực thẩm định, ban hành.
Chương III.
THỰC HIỆN BIỂU GIÁ
Điều 7. Hợp đồng mua bán điện mẫu
1. Việc sử dụng Hợp đồng mua bán điện mẫu là bắt buộc trong mua bán điện áp dụng biểu giá chi phí tránh được giữa các nhà máy điện đủ điều kiện với Bên mua.
2. Hợp đồng mua bán điện được ký trước thời điểm áp dụng Hợp đồng mua bán điện mẫu sẽ tiếp tục có hiệu lực theo thời hạn ghi trong hợp đồng. Bên bán và Bên mua có thể thoả thuận để chuyển sang áp dụng biểu giá chi phí tránh được và Hợp đồng mua bán điện mẫu thay cho Hợp đồng mua bán điện đã ký.
Điều 8. Điều kiện áp dụng biểu giá đối với Bên bán
1. Nhà máy phát điện đủ tiêu chuẩn áp dụng Biểu giá chi phí tránh được và Hợp đồng mua bán điện mẫu phải có đủ các điều kiện sau:
a) Công suất đặt của một nhà máy nhỏ hơn hoặc bằng 30MW. Trường hợp Bên bán có nhiều nhà máy thủy điện bậc thang trên cùng một dòng sông, tổng công suất đặt của các nhà máy này phải nhỏ hơn hoặc bằng 60MW;
b) Toàn bộ điện năng được sản xuất từ năng lượng tái tạo.
2. Nhà máy đủ điều kiện được áp dụng Biểu giá chi phí tránh được; khi phân tích kinh tế, tài chính dự án không phải thực hiện các quy định về khung giá mua bán điện theo “Quy định tạm thời nội dung tính toán phân tích kinh tế, tài chính đầu tư và khung giá mua bán điện các dự án nguồn điện” ban hành kèm theo Quyết định số 2014/QĐ-BCN ngày 13 tháng 6 năm 2007 của Bộ Công nghiệp và các văn bản thay thế quy định này.
Điều 9. Trình tự, thủ tục lập và áp dụng biểu giá chi phí tránh được
1. Thủ tục lập biểu giá chi phí tránh được hàng năm như sau:
a) Đơn vị điều độ hệ thống điện quốc gia có trách nhiệm cập nhật cơ sở dữ liệu để phục vụ cho việc tính toán biểu giá theo chi phí tránh được;
b) Hàng năm trước ngày 31 tháng 8, Đơn vị điều độ hệ thống điện quốc gia dự thảo biểu giá chi phí tránh được cho năm tiếp theo trình Cục Điều tiết điện lực thẩm định ban hành;
c) Trước ngày 01 tháng 12 hàng năm, Cục Điều tiết điện lực thẩm định và phê duyệt biểu giá chi phí tránh được do Đơn vị điều độ hệ thống điện quốc gia lập.
2. Cục Điều tiết điện lực có trách nhiệm công bố biểu giá chi phí tránh được cho năm tiếp theo trên trang thông tin điện tử của Cục Điều tiết điện lực và của Bộ Công Thương chậm nhất 2 ngày kể từ ngày Biểu giá mới được ban hành.
3. Trong trường hợp biểu giá chi phí tránh được không được công bố đúng thời hạn, thì tạm thời vẫn áp dụng biểu giá chi phí tránh được của năm trước. Biểu giá chi phí tránh được mới sau khi công bố được áp dụng trong cả năm. Phần chênh lệch do thanh toán theo biểu giá cũ và biểu giá mới sẽ được các bên hoàn lại trong lần thanh toán đầu tiên áp dụng biểu giá mới.
Chương IV.
TỔ CHỨC THỰC HIỆN
Điều 10. Trách nhiệm của Cục Điều tiết điện lực
1. Xây dựng, sửa đổi, bổ sung phương pháp lập biểu giá chi phí tránh được trình Bộ trưởng Bộ Công Thương ban hành.
2. Chỉ đạo đơn vị điều độ hệ thống điện quốc gia lập biểu giá chi phí tránh được hàng năm để đảm bảo công bố biểu giá đúng thời hạn.
3. Thẩm định và ban hành biểu giá chi phí tránh được do Đơn vị Điều độ hệ thống điện quốc gia lập.
4. Bảo mật các thông tin liên quan đến chi phí của nhà máy điện dùng để tính biểu giá chi phí tránh được.
Điều 11. Trách nhiệm của Bên bán (các đơn vị phát điện)
1. Bên bán có trách nhiệm bán toàn bộ lượng điện năng thanh cái của nhà máy cho Bên mua, khi áp dụng Biểu giá chi phí tránh được và Hợp đồng mua bán điện mẫu. Trong trường hợp vì mục đích cung cấp điện cho các làng, xã chưa có điện lân cận nhà máy điện theo đề nghị của chính quyền địa phương, Bên bán có thể bán một phần sản lượng với giá thoả thuận phù hợp với quy định của pháp luật cho đơn vị phân phối điện tại địa phương nhưng phải thoả thuận trước bằng văn bản với Bên mua.
2. Bên bán có trách nhiệm gửi một bản Hợp đồng mua bán điện đã ký về Cục Điều tiết điện lực chậm nhất là 30 ngày kể từ ngày ký.
Điều 12. Trách nhiệm của Bên mua
1. Bên mua có trách nhiệm thỏa thuận, ký kết hợp đồng với Bên bán theo Hợp đồng mua bán điện mẫu và theo biểu giá chi phí tránh được nếu Bên bán đáp ứng các yêu cầu quy định tại Điều 8 của Quyết định này và các quy định tại các văn bản pháp luật có liên quan khác.
2. Bên mua có trách nhiệm mua toàn bộ lượng điện năng Bên bán phát lên lưới, trừ phần điện năng bán cho đơn vị phân phối điện tại địa phương theo quy định tại khoản 1 Điều 11 của Quy định này.
Điều 13. Trách nhiệm của các đơn vị điện lực khác
1. Đơn vị điều độ hệ thống điện quốc gia có trách nhiệm lập biểu giá chi phí tránh được hàng năm và bảo mật thông tin liên quan đến chi phí của nhà máy điện dùng để tính biểu giá.
2. Các nhà máy nhiệt điện được Cục Điều tiết điện lực chỉ định có trách nhiệm cung cấp các số liệu cần thiết cho Đơn vị điều độ hệ thống điện quốc gia để phục vụ yêu cầu tính biểu giá chi phí tránh được./.
PHỤ LỤC 1
BIỂU GIÁ
(Ban hành kèm theo Quyết định số 18/2008/QĐ-BCT ngày 18 tháng 7 năm 2008 của Bộ trưởng Bộ Công Thương)
Bảng 1. Biểu giá chi phí tránh được
|
|
Mùa khô |
Mùa mưa |
||||||
|
|
Giờ cao điểm |
Giờ bình thường |
Giờ thấp điểm |
Giờ cao điểm |
Giờ bình thường |
Giờ thấp điểm |
Phần điện năng dư |
|
|
Điện năng |
|
|
|
|
|
|
|
|
|
1. Chi phí điện năng phát điện tránh được |
X |
X |
X |
X |
X |
X |
X |
|
|
2. Chi phí tổn thất truyền tải tránh được |
X |
X |
X |
X |
X |
X |
X |
|
|
3. Chi phí thiệt hại môi trường địa phương tránh được |
0 |
0 |
0 |
0 |
0 |
0 |
0 |
|
|
Tổng chi phí điện năng tránh được |
X |
X |
X |
X |
X |
X |
X |
|
|
Công suất |
|
|
|
|
|
|
|
|
|
4. Chi phí công suất phát điện tránh được |
X |
NA |
NA |
NA |
NA |
NA |
NA |
|
|
Tổng chi phí công suất tránh được |
X |
0 |
0 |
0 |
0 |
0 |
0 |
|
|
Tổng cộng |
X |
X |
X |
X |
X |
X |
X |
|
Ghi chú: X = được áp dụng, có giá trị khác 0; 0 = tạm thời không áp dụng, hiện tại lấy giá trị bằng 0; NA = không áp dụng.
Bảng 2. Biểu giá trần và giá sàn khi áp dụng cơ chế chia sẻ rủi ro
|
|
Mùa khô |
Mùa mưa |
|||||
|
|
Giờ cao điểm |
Giờ bình thường |
Giờ thấp điểm |
Giờ cao điểm |
Giờ bình thường |
Giờ thấp điểm |
Phần phát dư |
|
Biểu giá trong năm ký hợp đồng [N] |
x1 |
x2 |
x3 |
x4 |
x5 |
x6 |
x7 |
|
Giá trần (áp dụng đến [tháng] của năm [N+k]) |
1.1x1 |
1.1x2 |
1.1x3 |
1.1x4 |
1.1x5 |
1.1x6 |
1.1x7 |
|
Giá sàn (áp dụng đến [tháng] của năm [N+k]) |
0.9x1 |
0.9x2 |
0.9x3 |
0.9x4 |
0.9x5 |
0.9x6 |
0.9x7 |
Trong đó, k là thời hạn áp dụng cơ chế chia sẻ rủi ro tính theo năm, kể từ năm ký Hợp đồng mua bán điện (không quá 12 năm).
PHỤ LỤC 2
PHƯƠNG PHÁP TÍNH TOÁN BIỂU GIÁ CHI PHÍ TRÁNH ĐƯỢC
(Ban hành kèm theo Quyết định số 18/2008/QĐ-BCT ngày 18 tháng 7 năm 2008 của Bộ trưởng Bộ Công Thương)
1. Chi phí điện năng tránh được (dòng 1 của Biểu giá)
Các bước tính chi phí điện năng tránh được như sau:
a. Tính toán chi phí nhiên liệu trung bình tháng (đồng/kWh) của từng nhà máy nhiệt điện trong hệ thống cho năm lấy số liệu tính toán biểu giá, trừ các nhà máy điện BOT, IPP đã ký hợp đồng bao tiêu và các nhà máy điện chạy dầu. Tổng chi phí nhiên liệu trong tháng của các nhà máy nhiệt điện và điện năng thanh cái được lấy từ báo cáo vận hành hàng ngày của hệ thống điện.
Đối với các nhà máy điện có giá nhiên liệu biến đổi theo giá nhiên liệu thế giới, giá nhiên liệu dùng để tính toán chi phí biến đổi sẽ chịu mức trần bằng 110% giá nhiên liệu tính toán trung bình trong năm trước năm lấy số liệu tính toán biểu giá của nhà máy đó (hoặc trung bình của tất cả các nhà máy điện có giá nhiên liệu biến đổi theo giá nhiên liệu thế giới, nếu nhà máy điện này được đưa vào vận hành trong năm lấy số liệu tính toán).
b. Với mỗi giờ của năm lấy số liệu tính toán biểu giá, xếp hạng theo thứ tự tăng dần của chi phí biến đổi của các nhà máy nhiệt điện (trừ các nhà máy BOT, IPP đã ký hợp đồng mua bán điện bao tiêu) để xác định nhà máy có chi phí biên. Chi phí biến đổi được xác định dựa trên chi phí nhiên liệu trung bình tháng của các nhà máy nhiệt điện.
c. Tổng công suất phát lớn nhất của hệ thống trong năm lấy số liệu tính toán ký hiệu là (P).
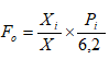
d. Công suất tham chiếu P* được tính bằng Fa x P, với Fa là hệ số điều chỉnh phần năng lượng biên của biểu đồ phụ tải, do Đơn vị điều độ hệ thống điện quốc gia đề xuất và được chọn trong khoảng [Fo; 0,4].
Trong đó:

Xi là sản lượng điện của các nhà máy điện tua bin khí chu trình hỗn hợp (trừ các nhà máy điện BOT) có giá khí biến đổi theo giá nhiên liệu thế giới trong năm lấy số liệu tính toán biểu giá.
X là tổng sản lượng điện của các nhà máy điện tua bin khí chu trình hỗn hợp (trừ các nhà máy điện BOT) trong năm lấy số liệu tính toán biểu giá.
Pi là giá khí trung bình (USD/mmBTU) của các nhà máy điện tua bin khí chu trình hỗn hợp có giá khí biến đổi theo giá nhiên liệu thế giới trong năm lấy số liệu tính toán biểu giá.
Với mỗi giờ của năm lấy số liệu tính toán biểu giá, giá điện năng cMj được tính bằng chi phí trung bình của các nhà máy đắt nhất và được tính theo công suất tham chiếu P* (đã loại trừ các nhà máy tại điểm b khoản này ở trên).
Ví dụ, nếu P*=1000MW, và nếu trong một số giờ j nhà máy đắt nhất được huy động 600MW với chi phí biến đổi là c1, và nhà máy đắt thứ hai được huy động 500MW với chi phí biến đổi là c2, chi phí (tránh được) biên trung bình cho giờ đó, với công suất tham chiếu P*, cMj được tính theo công thức:

f. Giá điện năng được điều chỉnh theo tốc độ tăng tương ứng của chi phí nhiên liệu trong năm tính toán. Tốc độ tăng giá nhiên liệu hàng năm được xác định theo thứ tự ưu tiên sau:
- Theo các hợp đồng cung cấp nhiên liệu cho các nhà máy chạy đỉnh trong hệ thống;
- Theo giá thị trường, với nguồn tham khảo rõ ràng và đáng tin cậy, được Cục Điều tiết điện lực cho phép áp dụng;
- Do Đơn vị điều độ hệ thống điện quốc gia đề xuất và được Cục Điều tiết điện lực cho phép áp dụng.
g. Với mỗi khoảng thời gian tương ứng với sáu thành phần thời gian phân biệt theo mùa và theo thời gian sử dụng điện trong ngày của biểu giá, giá trung bình hàng năm được tính là trung bình của cMj trong mỗi khoảng thời gian đó.
h. Giá điện năng dư được tính bằng 50% giá trong các giờ thấp điểm vào mùa mưa.
2. Tổn thất truyền tải tránh được (dòng 2 của biểu giá)
Cách tính tổn thất truyền tải tránh được như sau:
a. Với mỗi giờ trong năm, điều kiện vận hành hệ thống được xác định trên cơ sở luồng công suất của đường dây 500kV đi qua ranh giới phân biệt phụ tải giữa 3 miền (Bắc-Trung và Trung-Nam).
b. Nếu nhà máy đủ điều kiện kết nối với lưới điện trong một miền đang nhận điện từ miền khác thì sẽ được nhận thanh toán tổn thất truyền tải (do tránh được tổn thất truyền tải trên đường dây 500kV); Nếu nhà máy kết nối với lưới điện trong một miền đang cấp điện sang miền khác thì sẽ bị phạt thanh toán tổn thất truyền tải (do làm tăng tổn thất truyền tải). Bảng 2 Phụ lục 1 thể hiện 13 trạng thái vận hành trên đường dây 500kV và các điều kiện thưởng/phạt thanh toán tương ứng.
Bảng 3. Thưởng/phạt thanh toán tổn thất truyền tải tương ứng với các trạng thái vận hành hệ thống
|
|
Trạng thái |
Nhà máy điện nối với lưới điện của miền |
|
|---|---|---|---|
|
|
|
miền Bắc |
miền Trung |
|
1 |
Cả 3 miền cân bằng |
Phạt |
Phạt |
|
2 |
Miền Bắc cân bằng; Trung>Nam |
Phạt |
Phạt |
|
3 |
Miền Bắc cân bằng; Nam>Trung |
Phạt |
Thưởng |
|
4 |
Bắc>Nam; miền Trung cân bằng |
Phạt |
Phạt |
|
5 |
Bắc>Nam; Trung>Nam |
Phạt |
Phạt |
|
6 |
Bắc>Trung; miền Nam cân bằng |
Phạt |
Thưởng |
|
7 |
Bắc>Trung; Bắc>Nam |
Phạt |
Thưởng |
|
8 |
Bắc>Trung; Nam>Trung |
Phạt |
Thưởng |
|
9 |
Nam>Bắc; miền Trung cân bằng |
Thưởng |
Phạt |
|
10 |
Trung>Bắc; miền Nam cân bằng |
Thưởng |
Phạt |
|
11 |
Trung>Bắc; Trung>Nam |
Thưởng |
Thưởng |
|
12 |
Trung>Bắc; Nam>Bắc |
Thưởng |
Phạt |
|
13 |
Nam>Bắc; Nam>Trung |
Thưởng |
Phạt |
Ghi chú:
Bắc>Nam: tải từ Bắc vào Nam; Bắc>Trung: tải từ Bắc vào Trung
Nam>Bắc: tải từ Nam ra Bắc; Nam>Trung: tải từ Nam ra Trung
Trung>Bắc: tải từ Trung ra Bắc; Trung>Nam: tải từ Trung vào Nam
c) Do trên đường dây 500kV luôn có một luồng công suất truyền tải nào đó, “cân bằng” trong bảng trên không có nghĩa là bằng 0 mà bằng một luồng công suất (bất kể theo hướng nào) trên một giá trị ngưỡng. Ngưỡng này được quy định tùy thuộc vào điều kiện về điều chỉnh điện áp và ổn định hệ thống điện. Khi luồng công suất trên đường dây 500kV truyền tải qua ranh giới phân biệt phụ tải miền nhỏ hơn ngưỡng này thì được xem là cân bằng.
d) Với mỗi giờ trong năm, giá tổn thất truyền tải tránh được T được tính như sau:
Trường hợp nhà máy điện (NMĐ) nối lưới ở miền Bắc:
TB = CM (1 + λB)(1 ± λ500) - CM
Trường hợp NMĐ nối lưới ở miền Trung:
TT = CM (1 + λT)(1 ± λ500) - CM
Trường hợp NMĐ nối lưới ở miền Nam:
TN = CM (1 + λN) - CM
Trong đó:
|
CM |
= |
Chi phí nhiên liệu trung bình trong tháng của tổ máy nhiệt điện chạy khí chạy đỉnh (đắt nhất) trong hệ thống (đồng/kWh). |
|
λB, λT, λN |
= |
Lần lượt là tỷ lệ tổn thất trên hệ thống truyền tải điện miền Bắc, Trung, Nam đến cấp điện áp 220kV, bao gồm cả tổn thất trạm biến áp. |
|
λ500 |
= |
Tỷ lệ tổn thất trung bình trên hệ thống đường dây 500kV (gồm cả tổn thất trạm biến áp) |
|
TB, TT, TN |
= |
Lần lượt là giá tổn thất truyền tải tránh được ở miền Bắc, Trung và Nam (đồng/kWh). |
e) Dấu trong biểu thức 1 ± λ500 là dương hay âm được xác định theo Bảng 2 Phụ lục 1: Nếu “phạt” thì mang dấu âm, nếu “thưởng” thì mang dấu dương.
g) Các giá trị T được tính trung bình cho tất cả các giờ liên quan trong biểu giá.
3. Giá công suất tránh được (dòng 5) của biểu giá
Giá công suất tránh được được tính theo chi phí của tổ máy tua bin khí chu trình hỗn hợp (CCGT) xác định theo Quy hoạch phát triển điện lực Quốc gia áp dụng cho năm tính giá.
Ví dụ cách tính chi phí công suất tránh được cho năm 2008 trong Bảng 4 Phụ lục 2 sau.
Bảng 4. Ví dụ tính toán chi phí công suất tránh được
|
|
Đơn vị |
Giá trị |
Ghi chú |
|---|---|---|---|
|
Chi phí đầu tư năm cơ sở, C2005 |
$/kW |
600 |
Theo Quy hoạch phát triển điện lực Quốc gia, áp dụng cho năm tính giá (ví dụ năm tính giá là 2008 và năm cơ sở là 2005) |
|
Chỉ số giá thiết bị năm cơ sở , MUV2005 |
|
107,83 |
Chỉ số giá thiết bị năm cơ sở (MUV2005) do Ngân hàng Thế giới công bố trên trang web www.worldbank.org |
|
MUV năm 2007, MUV2007 |
|
108,73 |
|
|
Chi phí đầu tư đã điều chỉnh cho năm 2007, C2007 |
$/kW |
605,0 |
C2007 = C2005 [MUV2007/MUV2005] |
|
Đời sống kinh tế tố máy CCGT, n |
năm |
20 |
Theo Quy hoạch phát triển điện lực Quốc gia áp dụng cho năm tính giá |
|
Hệ số chiết khấu i (WACC) |
% |
10% |
|
|
Hệ số hoàn vốn đều CRF(n,I) |
|
0,117 |
|
|
Chi phí đầu tư hàng năm |
$/kW/năm |
71,1 |
Ca=C2007 . CRF(n,I) |
|
Chi phí O&M cố định năm cơ sở |
$/kW/năm |
21,6 |
Theo Quy hoạch phát triển điện lực Quốc gia |
|
Hệ số CPI năm cơ sở 2005 |
|
100,0 |
Chỉ số giá tiêu dùng do Tổng cục thống kê công bố |
|
Hệ số CPI năm 2007 |
|
102,0 |
|
|
Chi phí O&M cố định năm 2007 (fixedO&M) |
$/kW/năm |
22,0 |
Theo Quy hoạch phát triển điện lực Quốc gia áp dụng cho năm tính giá |
|
Tổng chi phí hàng năm |
$/kW/năm |
93,1 |
C=Ca + fixedO&M |
|
Tổn thất trạm biến áp (SL) |
|
2,5% |
|
|
Suất sự cố (FOR) |
|
5,0% |
Theo Quy hoạch phát triển điện lực Quốc gia áp dụng cho năm tính giá |
|
Chi phí công suất tránh được |
$/kW/năm |
100,3 |
AGC= C/(1-FOR)(1-SL) |
|
Tỷ giá hối đoái |
đồng/$US |
16.500 |
Tỷ giá hối đoái trung bình năm 2007 (theo Ngân hàng Nhà nước Việt Nam) |
|
Chi phí công suất tránh được (AGC) |
đồng/kW/ năm |
1.654.244 |
|
Chi phí công suất tránh được điều chỉnh theo tổn thất truyền tải theo công thức sau:
AGC* = AGC (1+λj) (1-λ500j)
Trong đó:
|
AGC* |
: |
Chi phí công suất phát điện tránh được, điều chỉnh theo tổn thất truyền tải |
|
λj |
: |
tỷ lệ tổn thất truyền tải trung bình trên lưới 220kV miền j nơi đặt nhà máy điện [trong các giờ cao điểm, mùa khô]. |
|
λ500j |
: |
Tỷ lệ tổn thất trung bình trên đường dây 500kV (gồm cả tổn thất trạm biến áp, áp dụng cho miền j) [trong các giờ cao điểm mùa khô, như tính toán ở trên] |
|
AGC |
: |
Chi phí công suất tránh được |
Giá trị AGC* được thu hồi vào các giờ cao điểm của mùa khô (hd).
Giá công suất phát điện tránh được (đồng/kWh) trong dòng 4 của biểu giá được xác định theo công thức:
Chi phí công suất phát điện tránh được [đồng/kWh] = AGC*/hd.
PHỤ LỤC 3
PHƯƠNG PHÁP TÍNH TOÁN TỔN THẤT TRÊN ĐƯỜNG DÂY TRONG TRƯỜNG HỢP ĐIỂM ĐO ĐẾM KHÔNG TRÙNG VỚI ĐIỂM ĐẤU NỐI
(Ban hành kèm theo Quyết định số 18/2008/QĐ-BCT ngày 18 tháng 7 năm 2008 của Bộ trưởng Bộ Công Thương)
1. Trường hợp điểm đo đếm khác với điểm đấu nối và khi các bên không có thỏa thuận khác, thì lượng điện năng Bên mua nhận tại điểm đấu nối (đo bằng kWh) trong giai đoạn lập hóa đơn sẽ được điều chỉnh theo hệ số tổn thất trung bình, được tính theo các công thức dưới đây.
2. Các hệ số sau được dùng trong việc tính toán:
P là công suất đặt của nhà máy [MW];
Cos φ là hệ số công suất của nhà máy;
A là sản lượng điện năng trung bình hàng năm của nhà máy [kWh/năm];
U là điện thế định mức tại thanh cái nhà máy [kV];
R là điện trở tổng của đường dây truyền tải điện [Ω], được xác định từ tài liệu kỹ thuật của nhà sản xuất cho các dây dẫn sử dụng cho đường dây ở nhiệt độ 25oC;
L là hệ số tổn thất trung bình của đường dây truyền tải;
T là hệ số tổn thất của máy biến áp tăng áp (nếu công tơ được đặt về phía sơ cấp của máy biến áp tăng áp); hệ số tổn thất này sẽ có giá trị bằng 0 nếu công tơ được đặt phía thứ cấp của máy biến áp tăng áp;
X là lượng điện năng theo chỉ số của công tơ đặt tại nhà máy trong giai đoạn lập hóa đơn [kWh];
XL là lượng điện năng nhận tại điểm đấu nối trong giai đoạn lập hóa đơn, sau khi trừ đi tổn thất trên đường dây truyền tải và tổn thất máy biến áp tăng áp [kWh].
3. Công thức tính toán hệ số tổn thất trung bình của đường dây truyền tải như sau:
Trong đó:

4. Lượng điện năng Bên mua phải thanh toán cho Bên bán, XL, được tính theo công thức sau:

5. Các giá trị của hệ số tổn thất có thể tính toán theo các công thức trên hoặc có thể theo thỏa thuận khác, các hệ số này được đưa vào Hợp đồng mua bán điện mẫu và được xem như là các hệ số điều chỉnh hóa đơn.
HỢP ĐỒNG MUA BÁN ĐIỆN MẪU
ÁP DỤNG BIỂU GIÁ CHI PHÍ TRÁNH ĐƯỢC
GIỮA
BÊN BÁN
(NHÀ MÁY ĐIỆN NHỎ SỬ DỤNG NĂNG LƯỢNG TÁI TẠO)
VÀ
BÊN MUA
(CÔNG TY ĐIỆN LỰC)
(Ban hành kèm theo Quyết định số 18/2008/QĐ-BCT
ngày 18 tháng 7 năm 2008 của Bộ trưởng Bộ Công Thương)
MỤC LỤC
Điều 1. Định nghĩa
Điều 2. Giao nhận và mua bán điện
Điều 3. Đấu nối, đo đếm và vận hành
Điều 4. Lập hoá đơn và thanh toán
Điều 5. Bất khả kháng
Điều 6. Thời hạn hợp đồng, các hành vi vi phạm hợp đồng, bồi thường thiệt hại và đình chỉ thực hiện hợp đồng
Điều 7. Giải quyết tranh chấp
Điều 8. Uỷ thác, chuyển nhượng và tái cơ cấu
Điều 9. Các thoả thuận khác
Điều 10. Cam kết thực hiện
Phụ lục A: Biểu giá mua bán điện
Phụ lục B: Thông số kỹ thuật của nhà máy điện
Phụ lục C: Yêu cầu đấu nối hệ thống
Phụ lục D: Giá phân phối điện
CỘNG HÒA XÃ HỘI CHỦ NGHĨA VIỆT NAM
Độc lập - Tự do - Hạnh phúc
-------
HỢP ĐỒNG MUA BÁN ĐIỆN
Căn cứ Luật Điện lực ngày 03 tháng 12 năm 2004;
Căn cứ Luật Thương mại ngày 14 tháng 6 năm 2005;
Căn cứ Quy định về biểu giá chi phí tránh được do Bộ Công Thương ban hành kèm theo Quyết định số ngày tháng năm 2008;
Căn cứ nhu cầu mua, bán điện của hai bên,
Hôm nay, ngày ……. tháng ……. năm ……. , tại ……………. .
Chúng tôi gồm:
Bên bán: ________________________________________________
Địa chỉ: __________________________________________________
Điện thoại: ____________________Fax: ________________________
Mã số thuế: _______________________________________________
Tài khoản: ___________________ Ngân hàng ____________________
_________________________________________________________
Đại diện: _________________________________________________
Chức vụ: ___________________________ được sự ủy quyền của ____________________________________________ theo văn bản ủy quyền
số _______________________, ngày _____ tháng _____ năm _______
Bên mua: __________________________________________________
Địa chỉ: ____________________________________________________
Điện thoại: ____________________Fax: __________________________
Mã số thuế: _________________________________________________
Tài khoản: ___________________ Ngân hàng _____________________
Đại diện: ___________________________________________________
Chức vụ: ___________________________ được sự ủy quyền của ____________________________________________ theo văn bản ủy quyền
số _______________________, ngày _____ tháng _____ năm _______
Cùng nhau thỏa thuận ký Hợp đồng mua bán điện để mua, bán điện theo Biểu giá chi phí tránh được với các nội dung sau:
Điều 1. Định nghĩa
Trong Hợp đồng này, các từ ngữ dưới đây được hiểu như sau:
1. Bên bán: tổ chức, cá nhân có giấy phép hoạt động điện lực trong lĩnh vực hoạt động phát điện từ các nhà máy điện nhỏ sử dụng năng lượng tái tạo.
2. Bên mua: đơn vị phân phối điện có giấy phép hoạt động trong lĩnh vực phân phối và bán lẻ điện, có lưới điện mà nhà máy điện nhỏ sử dụng năng lượng tái tạo sẽ đấu nối vào.
3. Bên cho vay: các cá nhân, tổ chức cho Bên bán hoặc Bên mua vay để thực hiện Hợp đồng này. Danh sách Bên cho vay được các bên thông báo cho nhau theo Điều 9 của Hợp đồng này.
4. Bên hoặc các bên: Bên bán, Bên mua hoặc cả hai bên hoặc đơn vị tiếp nhận các quyền và nghĩa vụ của một bên hoặc các bên trong Hợp đồng này.
5. Biểu giá chi phí tránh được: biểu giá được tính theo các chi phí tránh được của hệ thống điện quốc gia do Cục Điều tiết điện lực công bố hàng năm.
6. Điểm đấu nối: vị trí mà đường dây của Bên bán đấu nối vào hệ thống điện của Bên mua.
7. Điểm giao nhận điện: điểm đo đếm sản lượng điện bán ra của Bên bán.
8. Điện năng dư : lượng điện năng sản xuất trong mùa mưa vượt quá lượng điện năng đã xác định với hệ số phụ tải trong mùa mưa được quy định trước.
9. Điện năng mua bán: điện năng của nhà máy điện phát ra theo khả năng phát lớn nhất có thể của nhà máy, trừ đi lượng điện năng cần thiết cho tự dùng của nhà máy điện, được Bên bán đồng ý bán và giao cho Bên mua hàng năm, theo quy định trong Phụ lục B của Hợp đồng này.
10. Giờ bình thường: khoảng thời gian sử dụng điện trong ngày theo quy định trong biểu giá bán lẻ điện.
11. Giờ cao điểm: khoảng thời gian sử dụng điện trong ngày theo quy định trong biểu giá bán lẻ điện.
12. Giờ thấp điểm: khoảng thời gian sử dụng điện trong ngày theo quy định trong biểu giá bán lẻ điện.
13. Hợp đồng: bao gồm văn bản này và các Phụ lục kèm theo.
14. Lãi suất cơ bản: lãi suất cho vay thị trường liên ngân hàng Việt Nam VNIBOR thời hạn một tháng tại thời điểm thanh toán.
15. Mùa khô: khoảng thời gian trong năm theo quy định trong biểu giá chi phí tránh được.
16. Mùa mưa: khoảng thời gian trong năm theo quy định trong biểu giá chi phí tránh được.
17. Năm hợp đồng: 12 tháng tính từ ngày đầu tiên của tháng 01 và kết thúc vào ngày cuối cùng của tháng 12 năm đó, trừ trường hợp đối với năm hợp đồng đầu tiên được tính bắt đầu từ ngày vận hành thương mại và kết thúc vào ngày cuối cùng của tháng 12 của năm đó. Năm hợp đồng cuối cùng kết thúc vào ngày cuối cùng của thời hạn Hợp đồng.
18. Năng lượng tái tạo: năng lượng được sản xuất từ các nguồn như thuỷ điện nhỏ, gió, mặt trời, địa nhiệt, thuỷ triều, sinh khối, khí chôn lấp rác thải, khí của nhà máy xử lý rác thải và khí sinh học.
19. Ngày đến hạn thanh toán: mười lăm (15) ngày kể từ ngày Bên mua nhận được hóa đơn thanh toán tiền điện của Bên bán.
20. Ngày vận hành thương mại: ngày Bên bán thông báo cho Bên mua về việc có thể bắt đầu giao điện năng phù hợp với các nội dung của Hợp đồng này hoặc là ngày mà Bên bán bắt đầu giao điện năng cho Bên mua phù hợp với Hợp đồng này và Bên mua phải thanh toán cho lượng điện năng giao đó.
21. Nhà máy điện: tất cả các thiết bị phát điện, thiết bị bảo vệ, thiết bị đấu nối và các thiết bị phụ trợ có liên quan; đất sử dụng cho công trình điện lực và công trình phụ trợ để phục vụ sản xuất điện năng theo Hợp đồng này của Bên bán.
22. Nhà máy điện nhỏ: nhà máy điện sản xuất điện từ năng lượng tái tạo có công suất lắp đặt bằng hoặc nhỏ hơn ba mươi (30) MW hoặc ngưỡng công suất khác do Bộ Công Thương quy định.
23. Quy chuẩn ngành điện: những quy định, tiêu chuẩn, thông lệ được áp dụng trong ngành điện do các tổ chức có thẩm quyền của Việt Nam ban hành hoặc các quy định, tiêu chuẩn của các tổ chức quốc tế, các nước trong vùng ban hành phù hợp với quy định pháp luật, khuyến nghị của nhà sản xuất thiết bị, có tính đến điều kiện vật tư, nguồn lực, nhiên liệu, kỹ thuật chấp nhận được đối với ngành điện Việt Nam tại thời điểm nhất định.
24. Trường hợp khẩn cấp: chỉ điều kiện hoặc tình huống có thể dẫn đến gián đoạn dịch vụ cung cấp điện cho khách hàng của Bên mua, bao gồm các trường hợp có thể gây ra hỏng hóc lớn trong hệ thống điện của Bên mua, có thể đe dọa đến tính mạng, tài sản hoặc làm ảnh hưởng đến khả năng kỹ thuật của nhà máy điện.
Điều 2. Giao nhận và mua bán điện
1. Giao nhận điện
Kể từ ngày vận hành thương mại, Bên bán đồng ý giao và bán điện năng cho Bên mua, Bên mua đồng ý mua điện năng của Bên bán theo quy định của Hợp đồng này. Bên mua có trách nhiệm cho nhà máy điện của Bên bán đấu nối vào lưới điện của Bên mua sau khi Bên bán đã thực hiện xong các yêu cầu bổ sung sửa đổi của Bên mua và hợp tác với Bên bán để hoàn tất việc chạy thử, nghiệm thu nhà máy điện.
Bên bán được hưởng và không chuyển giao cho Bên mua các lợi ích liên quan đến môi trường theo pháp luật và các điều ước quốc tế liên quan đến quyền sở hữu hoặc hoạt động phát điện của nhà máy điện.
2. Giá mua bán điện
Giá mua bán điện theo Hợp đồng này được áp dụng theo theo Biểu giá chi phí tránh được do Cục Điều tiết điện lực công bố hàng năm.
Giá phân phối điện được quy định tại Phụ lục D của Hợp đồng này.
3. Mua bán điện
Bên bán đồng ý vận hành nhà máy điện với công suất khả dụng của thiết bị và phù hợp với Quy chuẩn ngành điện. Bên bán không phải chịu trách nhiệm pháp lý đối với thiệt hại trực tiếp của Bên mua do Bên bán không cung cấp đủ điện năng mua bán trong trường hợp không do lỗi của Bên bán. Trường hợp nếu không có sự đồng ý bằng văn bản của Bên mua mà Bên bán giảm điện năng mua bán với mục đích bán điện cho bên thứ ba, hoặc với mục đích sản xuất các dạng năng lượng khác tại nhà máy điện thay vì sản xuất điện năng mua bán thì Bên bán không được miễn trách nhiệm pháp lý.
4. Dự báo
a) Trước hoặc vào ngày thực hiện Hợp đồng này, Bên bán cung cấp cho Bên mua biểu đồ khả năng phát trung bình năm tại thanh cái nhà máy theo từng tháng phù hợp với thiết kế cơ sở của nhà máy điện. Đối với nhà máy thủy điện, Bên bán cung cấp thêm các biểu đồ khả năng phát theo số liệu thủy văn của các năm quá khứ.
b) Trước ngày 01 tháng 12 của năm hợp đồng, Bên bán cung cấp cho Bên mua dự báo năm về tình hình vận hành, bao gồm:
- Dự báo sản lượng điện và công suất khả dụng hàng tháng;
- Lịch ngừng máy.
c) Trường hợp công suất, điện năng cung cấp thực tế và thời gian giao nhận điện cho Bên mua khác so với dự báo thì Bên bán không phải chịu trách nhiệm pháp lý với Bên mua và không bị giảm các khoản thanh toán hoặc bị phạt. Trường hợp dự báo năm do Bên bán cung cấp cho Bên mua sai khác nhiều hơn năm phần trăm (5%) so với biểu đồ khả năng phát theo từng tháng theo điểm a Khoản này thì Bên bán phải giải trình bằng văn bản cho Bên mua về sự sai khác đó, kể cả các số liệu thủy văn hoặc các số liệu khác có liên quan làm cơ sở cho dự báo trên;
d) Bên bán phải cung cấp dự báo điện năng ngày cho đơn vị điều độ hệ thống điện khi đơn vị điều độ hệ thống điện yêu cầu.
5. Ngừng máy
a) Bên bán thông báo cho Bên mua dự kiến lịch ngừng máy và thời gian ngừng máy để sửa chữa định kỳ trước ba tháng. Bên mua phải trao đổi với Bên bán trước thời điểm ngừng máy nếu có yêu cầu thay đổi thời gian ngừng máy. Bên bán có trách nhiệm xem xét để thực hiện theo yêu cầu hợp lý của Bên mua và phù hợp với Quy chuẩn ngành điện.
b) Bên bán phải thông báo sớm nhất cho Bên mua việc ngừng máy không theo lịch, kể cả dự kiến thời gian ngừng.
6. Vận hành lưới điện
Bên mua và Bên bán vận hành và bảo dưỡng lưới điện và các thiết bị đấu nối với nhà máy điện theo phạm vi quản lý tài sản phù hợp với Quy định về lưới điện phân phối và Quy chuẩn ngành điện để đảm bảo việc mua, bán điện năng theo Hợp đồng. Bên mua phải trao đổi và thống nhất với Bên bán về cân bằng phụ tải và ổn định điện áp cho lưới điện phân phối để đảm bảo khả năng tải tối đa của lưới điện phân phối.
7. Gián đoạn trong hoạt động nhận và mua điện
Bên mua không phải thực hiện nghĩa vụ mua hoặc nhận điện trong các trường hợp sau đây:
a) Nhà máy điện vận hành, bảo dưỡng không phù hợp với Quy định về lưới điện phân phối và Quy chuẩn ngành điện;
b) Trong thời gian Bên mua lắp đặt thiết bị, sửa chữa, thay thế, kiểm định hoặc kiểm tra lưới điện phân phối có liên quan trực tiếp tới đấu nối của nhà máy điện;
c) Lưới điện phân phối hoặc các hệ thống đấu nối trực tiếp với lưới điện phân phối của Bên mua có sự cố;
d) Lưới điện phân phối của Bên mua cần hỗ trợ để phục hồi khả năng hoạt động phù hợp với Quy định về lưới điện phân phối và Quy chuẩn ngành điện.
8. Gián đoạn trong hoạt động giao và bán điện
Bên bán có thể ngừng hoặc giảm lượng điện bán và giao cho Bên mua trong trường hợp lắp đặt thiết bị, sửa chữa, thay thế, kiểm định, kiểm tra hoặc thực hiện sửa chữa Nhà máy điện mà ảnh hưởng trực tiếp đến việc giao điện năng cho Bên mua.
Trước khi tiến hành ngừng hoặc giảm lượng điện giao cho Bên mua, Bên bán phải thông báo trước cho Bên mua ít nhất mười (10) ngày, trong thông báo phải nêu rõ lý do, dự tính thời gian bắt đầu và thời gian gián đoạn giao điện.
9. Phối hợp
Bên mua có trách nhiệm giảm thiểu thời gian giảm hoặc ngừng việc nhận điện trong các trường hợp tại khoản 7 Điều này. Trừ trường hợp khẩn cấp, khi thực hiện tạm giảm hoặc ngừng việc nhận điện, Bên mua phải thông báo trước cho Bên bán ít nhất mười (10) ngày, nêu rõ lý do, thời điểm dự kiến bắt đầu và thời gian gián đoạn. Trong trường hợp cần thiết, Bên mua phải chuyển cho Bên bán các lệnh điều độ về vận hành nhận được từ đơn vị điều độ hệ thống điện liên quan đến vận hành nhà máy và Bên bán phải tuân thủ các lệnh đó, trừ trường hợp các lệnh đó làm thay đổi đặc điểm phải huy động của nhà máy.
10. Hệ số công suất
Bên bán đồng ý vận hành nhà máy điện đồng bộ với lưới điện của Bên mua để giao điện tại điểm giao nhận, tại mức điện áp và hệ số công suất không thấp hơn 0,85 như quy định trong Phụ lục C. Trừ khi Bên mua yêu cầu khác, nhà máy điện của Bên bán phải vận hành với hệ số công suất xác định theo Quy định về lưới điện phân phối tại điểm giao nhận cho Bên mua.
11. Vận hành đồng bộ
Bên bán có trách nhiệm thông báo cho Bên mua bằng văn bản ít nhất ba mươi (30) ngày trước khi hòa đồng bộ lần đầu tiên các tổ máy phát điện tại nhà máy điện của Bên bán với lưới điện của Bên mua. Bên bán phải phối hợp vận hành với Bên mua tại lần hoà đồng bộ đầu tiên và các lần hoà đồng bộ sau.
12. Tiêu chuẩn
Bên bán và Bên mua phải tuân thủ các quy định có liên quan đến giao, nhận điện theo các Quy định về lưới điện phân phối, Quy định về đo đếm điện và các văn bản quy phạm pháp luật có liên quan đến ngành điện.
13. Thay đổi ngày vận hành thương mại
Trong thời hạn từ sáu (06) tháng đến mười hai (12) tháng trước ngày vận hành thương mại được ghi trong Phụ lục B, Bên bán phải xác nhận lại chính thức việc thay đổi ngày vận hành thương mại. Các bên phải có sự hợp tác, Bên mua không được từ chối nếu không có lý do chính đáng.
Điều 3. Đấu nối, đo đếm và vận hành
1. Trách nhiệm tại điểm giao nhận điện
Bên bán có trách nhiệm đầu tư, lắp đặt các trang thiết bị để truyền tải và giao điện cho Bên mua tại điểm giao nhận điện. Bên mua có trách nhiệm hợp tác với Bên bán thực hiện việc lắp đặt này.
2. Đấu nối
a) Bên bán có trách nhiệm đầu tư, xây dựng, vận hành và bảo dưỡng các thiết bị đấu nối để đấu nối nhà máy với lưới điện phân phối phù hợp với Quy định về lưới điện phân phối và các quy định khác có liên quan. Bên bán phải chịu chi phí để nâng cấp hệ thống đo đếm tại trạm biến áp để đo điện năng tác dụng và phản kháng theo 2 chiều trên đường dây phân phối nối với nhà máy điện theo quy định tại Phụ lục C của Hợp đồng này.
b) Bên mua có quyền xem xét thiết kế, kiểm tra tính đầy đủ của thiết bị bảo vệ. Bên mua phải thông báo cho Bên bán kết quả thẩm định bằng văn bản trong thời hạn ba mươi (30) ngày kể từ ngày nhận được toàn bộ hồ sơ kỹ thuật liên quan đến thiết kế. Bên mua phải thông báo bằng văn bản tất cả các lỗi thiết kế được phát hiện. Bên bán phải thực hiện các sửa đổi bổ sung do Bên mua đề xuất phù hợp với Quy định về lưới điện phân phối.
3. Tiêu chuẩn đấu nối
Các thiết bị của Bên bán và của Bên mua phải được lắp đặt, vận hành và đấu nối theo Quy định về lưới điện phân phối.
4. Kiểm tra việc thực hiện tiêu chuẩn đấu nối
Khi có thông báo trước theo quy định, mỗi bên có quyền kiểm tra thiết bị đấu nối của bên kia để đảm bảo việc thực hiện theo Quy định về lưới điện phân phối. Việc kiểm tra này không được làm ảnh hưởng đến hoạt động của bên được kiểm tra. Trong trường hợp thiết bị của bên được kiểm tra không đáp ứng các điều kiện vận hành và bảo dưỡng, bên kiểm tra phải thông báo cho bên được kiểm tra những điểm cần hiệu chỉnh.
5. Máy phát kích từ
Nếu nhà máy điện của Bên bán có máy phát kích từ, Bên bán phải lắp đặt tụ điện hiệu chỉnh hệ số công suất riêng cho từng máy phát. Các tụ điện đó phải được đóng và cắt đồng thời với mỗi máy phát kích từ. Trị số định mức KVAr của các tụ điện phải đảm bảo giá trị tiêu chuẩn cao nhất nhưng không vượt quá yêu cầu không tải KVAr của các máy phát. Bên bán phải thanh toán cho Bên mua chi phí điện tiêu thụ để vận hành máy phát kích từ trong trường hợp điện tiêu thụ lấy từ lưới điện của Bên mua theo giá điện bán lẻ ở cấp điện áp tương ứng. Khoản thanh toán này được quy định tại Điều 4 của Hợp đồng này.
6. Đo đếm
a) Bên bán phải:
- Lắp đặt và bảo dưỡng thiết bị đo đếm chính và thiết bị đo đếm dự phòng được sử dụng để đo đếm điện năng và lập hoá đơn;
- Cung cấp địa điểm lắp đặt thiết bị đo đếm, nếu điểm đấu nối tại nhà máy điện.
b) Thiết bị đo đếm phải:
- Phù hợp với Quy định về đo đếm và các quy định liên quan khác;
- Có khả năng lưu giữ và ghi lại điện năng tác dụng và phản kháng và theo hai chiều;
- Có khả năng truyền các dữ liệu đến các địa điểm theo yêu cầu của Bên mua;
- Được niêm phong kẹp chì, có khả năng ghi và lưu trữ dữ liệu lớn.
7. Đọc chỉ số công tơ
Hàng tháng (hoặc theo chu kỳ ghi chỉ số do hai bên thoả thuận), Bên mua và Bên bán cùng đọc chỉ số công tơ.
Sau khi đã thông báo theo quy định, Bên mua được vào nhà máy điện hoặc nơi lắp đặt thiết bị đo đếm để đọc chỉ số, kiểm tra công tơ và thực hiện các hoạt động khác liên quan đến việc thực hiện các nghĩa vụ của Hợp đồng này. Việc Bên mua vào nhà máy phải đảm bảo không ảnh hưởng đến hoạt động bình thường của Bên bán. Các nhân viên hoặc Kiểm tra viên điện lực do Bên mua cử đến khi vào nhà máy điện phải tuân thủ các quy định về an toàn và nội quy của nhà máy điện.
8. Độ chính xác của thiết bị đo đếm
Tất cả các thiết bị đo đếm điện năng mua bán của nhà máy điện phải được kiểm định hàng năm phù hợp với Quy định về đo đếm điện, chi phí kiểm định do Bên bán chi trả. Trường hợp cần thiết, một bên có thể đề xuất kiểm định độ chính xác của bất cứ thiết bị đo đếm nào, chi phí kiểm định sẽ do bên đề xuất thanh toán. Kết quả kiểm định thiết bị đo đếm phải được thông báo cho bên kia biết khi được yêu cầu. Trường hợp thiết bị đo đếm có sai số lớn hơn mức cho phép trong các quy định về đo đếm, Bên bán chịu trách nhiệm hiệu chỉnh hoặc thay thế và hoàn trả khoản tiền thu thừa cho Bên mua cộng với tiền lãi của khoản tiền thu thừa tính theo lãi suất cơ bản và chi phí kiểm định thiết bị đo đếm điện. Mỗi bên được thông báo trước và có quyền cử người tham gia dỡ niêm phong, kiểm tra, kiểm định và niêm phong kẹp chì công tơ. Trường hợp một bên cho rằng công tơ bị hỏng hoặc không hoạt động thì bên đó phải thông báo ngay cho bên kia, bên có công tơ phải kiểm tra và sửa chữa.
9. Kiểm định thiết bị đo đếm
Việc kiểm tra, kiểm định thiết bị đo đếm hoặc xác nhận độ chính xác của thiết bị đo đếm phải thực hiện theo Quy định về đo đếm do tổ chức có thẩm quyền hoặc được uỷ quyền thực hiện. Việc kiểm định được tiến hành trước khi sử dụng thiết bị đo đếm lần đầu để ghi điện năng mua bán của nhà máy điện. Tất cả thiết bị đo đếm được niêm phong, kẹp chì và khoá lại sau khi kiểm định và Bên mua có quyền chứng kiến quá trình này.
10. Chuyển quyền sở hữu điện
Tại điểm giao nhận điện, quyền sở hữu điện được chuyển từ Bên bán sang Bên mua. Tại điểm này, Bên mua có quyền sở hữu, kiểm soát và chịu trách nhiệm về lượng điện đã nhận. Điện năng được truyền tải bằng dòng điện xoay chiều 3 pha, tần số 50 Hz với mức điện áp quy định trong Phụ lục C của Hợp đồng này.
11. Vận hành
Bên bán phải vận hành nhà máy điện phù hợp với Quy định về lưới điện phân phối, Quy chuẩn ngành điện và các quy định có liên quan.
Điều 4. Lập hoá đơn và thanh toán
1. Lập hoá đơn
Hàng tháng (hoặc theo chu kỳ ghi chỉ số do hai bên thoả thuận), Bên mua và Bên bán cùng đọc chỉ số công tơ vào ngày đã thống nhất để xác định lượng điện năng giao nhận trong tháng. Bên bán sẽ ghi chỉ số công tơ theo mẫu quy định có xác nhận của đại diện Bên mua và gửi kết quả đọc chỉ số công tơ cùng hóa đơn (kể cả giá phân phối mà Bên bán có trách nhiệm thanh toán cho Bên mua) bằng văn bản (hoặc bằng fax có công văn gửi sau hoặc bằng bản sao gửi qua thư) cho Bên mua trong vòng mười (10) ngày làm việc sau khi đọc chỉ số công tơ.
2. Thanh toán
Bên mua thanh toán cho Bên bán toàn bộ lượng điện năng đã nhận không muộn hơn ngày đến hạn thanh toán theo biểu giá quy định tại Phụ lục A của Hợp đồng này. Đối với bất cứ khoản tiền nào đã được các bên thống nhất mà không được thanh toán trong thời hạn nêu trên thì phải trả lãi bằng lãi suất cơ bản được tính hàng tháng cho toàn bộ khoản tiền chậm trả tính từ ngày sau ngày đến hạn thanh toán.
Bên bán phải thanh toán cho Bên mua giá phân phối điện theo Hợp đồng (nếu có).
Trường hợp Bên mua không cùng đọc chỉ số công tơ theo quy định tại khoản 1 của Điều này, Bên mua vẫn phải thực hiện nghĩa vụ thanh toán cho Bên bán lượng điện năng giao và nhận theo quy định.
3. Ước tính lượng điện năng bán
Trường hợp không có đủ dữ liệu cần thiết để xác định lượng điện năng hoặc khoản thanh toán Bên mua nợ Bên bán, trừ các trường hợp nêu tại khoản 4 Điều này, Bên bán phải ước tính các dữ liệu đó và điều chỉnh khoản thanh toán đúng với thực tế trong các lần thanh toán tiếp theo.
4. Thứ tự áp dụng và thay thế chỉ số công tơ
Để xác định lượng điện năng Bên mua đã nhận và chấp nhận trong một kỳ thanh toán, việc ghi sản lượng điện, lập hoá đơn và thanh toán phải dựa trên các số liệu ước tính theo thứ tự sau:
a) Chỉ số công tơ chính tại nhà máy điện trong kỳ thanh toán, có cấp chính xác phù hợp với quy định tại khoản 8 Điều 3 của Hợp đồng này;
b) Chỉ số công tơ dự phòng tại nhà máy điện, khi công tơ dự phòng được sử dụng để đo đếm lượng điện năng giao nhận phải có cấp chính xác phù hợp với quy định tại khoản 8 Điều 3 của Hợp đồng này;
c) Khi tất cả các công tơ không ghi lại chính xác lượng điện năng giao nhận, phải ước tính sản lượng điện giao nhận theo các số liệu trung bình tháng (nếu có) của nhà máy điện trong cùng kỳ thanh toán của năm trước năm hợp đồng và phải được điều chỉnh hợp lý cho giai đoạn lập hoá đơn cụ thể theo các số liệu có sẵn tương ứng ảnh hưởng đến việc phát điện của nhà máy điện như lượng mưa, lưu lượng nước về, lượng nhiên liệu tiêu thụ thực tế, suất hao nhiệt trung bình, số giờ vận hành, thời gian vận hành của tổ máy phát điện và lượng điện tự dùng (gọi chung là “các Thông số vận hành") trong thời gian công tơ bị hỏng.
Khi không có các số liệu tin cậy, phải ước tính sản lượng điện giao nhận theo lượng điện năng trung bình tháng của nhà máy điện của sáu (06) kỳ thanh toán ngay trước khi công tơ hư hỏng (hoặc ít hơn nếu nhà máy điện vận hành chưa được sáu tháng) và phải được điều chỉnh theo thời gian ngừng máy hoặc theo các Thông số vận hành.
5. Tranh chấp hóa đơn
Trường hợp một bên không đồng ý với toàn bộ hoặc một phần của hóa đơn về sản lượng điện hoặc lượng tiền thanh toán thì có quyền thông báo bằng văn bản tới bên kia trong thời hạn một (01) năm kể từ khi nhận được hóa đơn hợp lệ.
Trường hợp việc giải quyết tranh chấp theo Điều 7 của Hợp đồng này mà Bên bán đúng thì Bên mua phải thanh toán cho Bên bán khoản tiền tranh chấp cộng với phần lãi tính theo lãi suất cơ bản, ghép lãi hàng tháng từ ngày đến hạn thanh toán đến ngày thanh toán số tiền tranh chấp.
Nếu Bên mua đúng thì Bên bán phải hoàn lại số tiền tranh chấp đã nhận trước đó cộng với phần lãi tính theo lãi suất cơ bản, ghép lãi hàng tháng từ ngày nhận được khoản thanh toán đến ngày thanh toán khoản tiền tranh chấp.
Tất cả các thanh toán trong mục này phải được thực hiện trong thời hạn mười lăm (15) ngày kể từ ngày có quyết định giải quyết tranh chấp cuối cùng theo Điều 7 của Hợp đồng này.
Điều 5. Bất khả kháng
1. Bất khả kháng
Bất khả kháng theo Hợp đồng này là các sự kiện xảy ra nằm ngoài khả năng kiểm soát và không phải do không thực hiện, vô ý, thiếu trách nhiệm trong thực hiện nghĩa vụ Hợp đồng của một bên, bao gồm các sự kiện sau:
a) Quyết định của cơ quan có thẩm quyền ảnh hưởng đến khả năng thực hiện nghĩa vụ của một Bên;
b) Sau ngày vận hành thương mại, Bên bán không thể có được các giấy phép hoặc phê duyệt của cơ quan Nhà nước có thẩm quyền mặc dù đã nỗ lực hợp lý;
c) Thiên tai, hoả hoạn, cháy nổ, lũ lụt, sóng thần, bệnh dịch hay động đất;
d) Bạo động, nổi loạn, chiến sự, chống đối, phá hoại, cấm vận, bao vây, phong toả, bất cứ hành động chiến tranh nào hoặc hành động thù địch cộng đồng cho dù chiến tranh có được tuyên bố hay không;
đ) Quốc hữu hóa, sung công hoặc tịch thu tài sản của Bên bán theo quyết định của cơ quan Nhà nước có thẩm quyền;
e) Những nguyên nhân khác nằm ngoài khả năng kiểm soát và không phải do lỗi của bên viện dẫn sự kiện bất khả kháng.
2. Những trường hợp không được viện dẫn bất khả kháng:
a) Sự vi phạm các nghĩa vụ Hợp đồng của một trong các bên trong Hợp đồng này trước thời điểm xảy ra sự kiện bất khả kháng;
b) Việc chậm thanh toán tiền điện;
c) Không có khả năng thực hiện nghĩa vụ do không thực hiện đúng Quy chuẩn ngành điện.
3. Thoả thuận về sự kiện bất khả kháng
Trong trường hợp có sự kiện bất khả kháng, bên viện dẫn bất khả kháng phải:
a) Nhanh chóng gửi thông báo bằng văn bản tới bên kia về sự kiện bất khả kháng, nêu rõ lý do, đưa ra những bằng chứng đầy đủ chứng minh về sự kiện bất khả kháng đó và đưa ra dự kiến về thời gian và tầm ảnh hưởng của sự kiện bất khả kháng tới khả năng thực hiện các nghĩa vụ của mình;
b) Nỗ lực với tất cả khả năng của mình để thực hiện nghĩa vụ theo Hợp đồng;
c) Nhanh chóng thực hiện các hành động cần thiết để khắc phục sự kiện bất khả kháng và cung cấp bằng chứng để chứng minh việc đã nỗ lực hợp lý để khắc phục sự kiện bất khả kháng;
d) Thực hiện các biện pháp cần thiết để giảm thiểu tác hại tới các bên trong Hợp đồng;
đ) Nhanh chóng thông báo tới các bên về sự chấm dứt của sự kiện bất khả kháng.
4. Hệ quả của sự kiện bất khả kháng
Trường hợp không thể thực hiện một phần hoặc toàn bộ nghĩa vụ của mình theo Hợp đồng này vì sự kiện bất khả kháng, bên vi phạm sẽ được miễn phần trách nhiệm liên quan tới việc không thực hiện được nghĩa vụ theo Hợp đồng do sự kiện bất khả kháng gây ra.
5. Thời hạn của sự kiện bất khả kháng
Trường hợp do sự kiện bất khả kháng mà một bên không thực hiện nghĩa vụ theo Hợp đồng này trong thời hạn một (01) năm, bên kia có quyền đơn phương chấm dứt Hợp đồng sau sáu mươi (60) ngày kể từ ngày thông báo bằng văn bản, trừ khi nghĩa vụ đó được thực hiện trong thời hạn này; miễn là Bên mua không lựa chọn chấm dứt Hợp đồng theo sự kiện bất khả kháng được nêu tại điểm b và điểm đ khoản 1 Điều này .
Điều 6. Thời hạn hợp đồng, các hành vi vi phạm hợp đồng, bồi thường thiệt hại và đình chỉ thực hiện hợp đồng
1. Thời hạn của Hợp đồng
Hợp đồng này có hiệu lực thực hiện sau khi ký kết và chấm dứt sau hai mươi (20) năm kể từ ngày vận hành thương mại. Sau khi chấm dứt Hợp đồng, các nội dung của Hợp đồng này tiếp tục có hiệu lực trong một thời gian cần thiết để các bên thực hiện việc lập hoá đơn lần cuối, điều chỉnh hoá đơn, thanh toán, các quyền và nghĩa vụ trong Hợp đồng này.
2. Các hành vi vi phạm hợp đồng của Bên bán
a) Bên bán không thực hiện được ngày vận hành thương mại như quy định trong Phụ lục B trong thời hạn ba (03) tháng, trừ trường hợp bất khả kháng;
b) Bên bán bị rơi vào tình trạng vỡ nợ, giải thể hoặc phá sản;
c) Bên bán không thực hiện hoặc tuân thủ các nội dung của Hợp đồng trong thời gian sáu mươi (60) ngày kể từ khi có thông báo bằng văn bản của Bên mua.
Trường hợp Bên bán hoặc Bên cho vay của Bên bán đã cố gắng khắc phục hành vi vi phạm trong thời hạn sáu mươi (60) ngày trên nhưng việc khắc phục không thể hoàn thành trong thời hạn đó thì Bên bán hoặc Bên cho vay của Bên bán được kéo dài thời hạn khắc phục tới tối đa là một (01) năm kể từ ngày có thông báo bằng văn bản về hành vi vi phạm của Bên bán. Bên bán phải tiếp tục hoàn thành khắc phục vi phạm trong thời gian ngắn nhất, trừ các trường hợp được nêu tại Điều 5 của Hợp đồng này;
d) Bên bán không thanh toán khoản tiền thanh toán không tranh chấp theo Hợp đồng khi đến hạn và việc không thanh toán này tiếp tục kéo dài hơn chín mươi (90) ngày mà không có lý do chính đáng;
đ) Bên bán phủ nhận hiệu lực của một phần hoặc toàn bộ Hợp đồng;
e) Vi phạm nghiêm trọng các cam kết của Bên bán theo Điều 10 của Hợp đồng này.
3. Các hành vi vi phạm Hợp đồng của Bên mua
a) Bên mua bị rơi vào tình trạng phá sản, giải thể hoặc bị phát mãi tài sản;
b) Bên mua không thực hiện hoặc tuân thủ các nội dung của Hợp đồng trong thời hạn sáu mươi (60) ngày kể từ khi có thông báo bằng văn bản của Bên bán.
Trường hợp Bên mua hoặc Bên cho vay của Bên mua đã cố gắng khắc phục hợp lý hành vi vi phạm trong thời hạn sáu mươi (60) ngày nhưng việc khắc phục không thể hoàn thành trong thời hạn đó thì Bên mua hoặc bên cho vay của Bên mua được phép kéo dài thời hạn khắc phục tối đa là một (01) năm kể từ ngày có thông báo bằng văn bản về hành vi vi phạm của Bên mua. Bên mua phải tiếp tục hoàn thành khắc phục vi phạm trong thời gian ngắn nhất, trừ các trường hợp được nêu tại Điều 5 của Hợp đồng này.
c) Bên mua không thanh toán khoản tiền thanh toán không tranh chấp theo Hợp đồng khi đến hạn và việc không thanh toán này tiếp tục kéo dài hơn chín mươi (90) ngày mà không có lý do chính đáng;
d) Bên mua phủ nhận hiệu lực của một phần hoặc toàn bộ Hợp đồng;
đ) Vi phạm nghiêm trọng các cam kết của Bên mua tại Điều 10 của Hợp đồng này.
4. Quy trình khắc phục và giải quyết vi phạm hợp đồng, quyền của Bên cho vay
a) Trường hợp có sự kiện vi phạm hợp đồng, bên bị vi phạm phải gửi thông báo bằng văn bản cho bên vi phạm và Bên cho vay của bên vi phạm. Bên vi phạm và Bên cho vay của bên vi phạm phải hợp tác để giải quyết sự kiện vi phạm hợp đồng.
b) Bên cho vay của bên vi phạm có quyền thông báo bằng văn bản đến bên bị vi phạm về dự kiến khắc phục vi phạm. Bên cho vay sẽ có một khoảng thời gian hợp lý tuỳ theo trường hợp tính từ khi có thông báo để thực hiện nghĩa vụ theo hợp đồng thay bên vi phạm. Bên cho vay của bên vi phạm có quyền chỉ định bên thứ ba hoặc thay thế bên vi phạm để khắc phục vi phạm Hợp đồng. Trong trường hợp này, việc thay thế không được làm tăng gánh nặng tài chính của bên bị vi phạm. Bên bị vi phạm phải chấp nhận việc thay thế hoặc chỉ định bên thứ ba của Bên cho vay của bên vi phạm.
5. Bồi thường thiệt hại
a) Bên có hành vi vi phạm hợp đồng có nghĩa vụ bồi thường thiệt hại do hành vi vi phạm gây ra cho bên bị vi phạm. Giá trị bồi thường bao gồm giá trị tổn thất thực tế, trực tiếp mà bên bị vi phạm phải chịu do bên vi phạm gây ra và khoản lợi trực tiếp mà bên bị vi phạm được hưởng nếu không có hành vi vi phạm.
b) Bên bị vi phạm phải chứng minh tổn thất, mức độ tổn thất do hành vi vi phạm gây ra và khoản lợi trực tiếp mà bên bị vi phạm đáng lẽ được hưởng nếu không có hành vi vi phạm.
6. Đình chỉ thực hiện Hợp đồng
Trường hợp sự kiện vi phạm hợp đồng không giải quyết được theo khoản 4 Điều này, bên bị vi phạm có thể tiếp tục yêu cầu bên vi phạm khắc phục vi phạm hoặc có thể đình chỉ thực hiện Hợp đồng bằng cách gửi thông báo đến bên vi phạm. Sau khi bên bị vi phạm lựa chọn đình chỉ thực hiện hợp đồng theo điều kiện của Hợp đồng này, các bên không phải thực hiện nghĩa vụ Hợp đồng, trừ các trường hợp được nêu trong khoản 1 của Điều này và bên bị vi phạm có quyền yêu cầu bên vi phạm bồi thường thiệt hại.
Trường hợp Bên bán là bên bị vi phạm lựa chọn đình chỉ thực hiện Hợp đồng, giá trị bồi thường thiệt hại được tính bằng giá trị sản lượng điện phát thực tế của Bên bán trong thời gian một năm trước đó tính đến thời điểm đình chỉ thực hiện Hợp đồng.
Điều 7. Giải quyết tranh chấp
1. Giải quyết tranh chấp bằng thương lượng
Trường hợp có tranh chấp xảy ra giữa các bên trong Hợp đồng này, thì bên đưa ra tranh chấp sẽ thông báo cho bên kia bằng văn bản về nội dung tranh chấp. Các bên sẽ dàn xếp giải quyết tranh chấp trong vòng sáu mươi (60) ngày sau đó.
Việc giải quyết tranh chấp liên quan đến thanh toán tiền được thực hiện trong thời hạn mười lăm (15) ngày.
Sau thời hạn nêu trên, các bên có thể thực hiện giải quyết tranh chấp theo thủ tục được quy định tại khoản 2 của Điều này hoặc theo quy định của pháp luật. Cơ chế giải quyết tranh chấp này không áp dụng với những tranh chấp không phát sinh trực tiếp từ Hợp đồng này giữa một bên trong Hợp đồng với các bên thứ ba.
2. Chuyển tranh chấp tới Cục Điều tiết điện lực
Sau thời hạn được quy định tại khoản 1 Điều này mà tranh chấp không được giải quyết bằng sự thoả thuận giữa các bên, các bên có quyền gửi văn bản tới Cục Điều tiết điện lực đề nghị Cục giải quyết tranh chấp. Các bên phải tuân thủ và thực hiện theo quyết định bằng văn bản của Cục Điều tiết điện lực.
3. Giải quyết tại Tòa án kinh tế
Trường hợp một trong các bên không đồng ý với quyết định của Cục Điều tiết điện lực, có thể chuyển vụ việc để giải quyết tại Toà án kinh tế của Việt Nam theo quy định của pháp luật .
Điều 8. Uỷ thác, chuyển nhượng và tái cơ cấu
1. Uỷ thác và chuyển nhượng
Trong trường hợp Hợp đồng này được uỷ thác hoặc chuyển nhượng thực hiện, quy định về quyền và nghĩa vụ trong Hợp đồng tiếp tục có hiệu lực đối với đại diện theo pháp luật, đại diện theo uỷ quyền của các bên.
Trong trường hợp Bên bán chuyển nhượng hoặc uỷ thác việc thực hiện Hợp đồng phải được sự chấp thuận bằng văn bản của Bên mua, trừ trường hợp Bên bán uỷ quyền một phần hoặc toàn bộ cho Bên cho vay nhằm mục đích vay, mua trang thiết bị hoặc xây dựng nhà máy điện. Nếu phần ủy thác của Bên bán có giá trị xấp xỉ giá trị các thiết bị có thể vận hành thì đó là việc ủy thác hợp lệ theo Hợp đồng này.
Bên ủy thác hay chuyển nhượng phải thông báo ngay bằng văn bản tới bên kia về việc ủy thác hay chuyển nhượng.
2. Tái cơ cấu
Trong trường hợp tái cơ cấu ngành điện ảnh hưởng tới các quyền hoặc nghĩa vụ của Bên bán hoặc Bên mua trong Hợp đồng này, thì việc thực hiện hợp đồng sẽ được chuyển sang cho các đơn vị tiếp nhận. Bên mua có trách nhiệm xác nhận và bảo đảm bằng văn bản về việc các đơn vị tiếp nhận thực hiện nghĩa vụ mua điện hoặc phân phối điện và các quyền lợi và nghĩa vụ khác theo Hợp đồng này.
3. Lựa chọn tham gia thị trường điện
Bên bán có quyền lựa chọn tham gia thị trường điện phù hợp với các quy định về thị trường điện cạnh tranh. Trong trường hợp này, Bên bán phải thông báo bằng văn bản trước một trăm hai mươi (120) ngày cho Bên mua, Cục Điều tiết điện lực và được đơn phương chấm dứt Hợp đồng.
Điều 9. Các thoả thuận khác
1. Sửa đổi Hợp đồng
Các bên không được tự ý sửa đổi, bổ sung Hợp đồng này, trừ trường hợp có thoả thuận bằng văn bản.
2. Trách nhiệm hợp tác
Bên bán có nghĩa vụ thực hiện các thủ tục pháp lý liên quan tới nhà máy điện. Bên mua có trách nhiệm hợp tác với Bên bán để có được giấy phép, sự phê chuẩn, sự cho phép và phê duyệt cần thiết từ các cơ quan Nhà nước có thẩm quyền liên quan tới địa điểm nhà máy, nhiên liệu, kiểm soát những nguồn tài nguyên, đầu tư, truyền dẫn hoặc bán điện năng, sở hữu và vận hành nhà máy điện, kể cả việc cung cấp các tài liệu bổ sung hoặc các tài liệu ở dạng lưu trữ và thực hiện các hoạt động cần thiết hợp lý khác để thực hiện thoả thuận của các bên.
3. Hợp đồng hoàn chỉnh
Hợp đồng này là thoả thuận hoàn chỉnh cuối cùng giữa các bên tham gia và thay thế các nội dung đã thảo luận, thông tin, thư tín trao đổi trước khi ký kết liên quan tới Hợp đồng này.
4. Luật áp dụng
Việc giải thích và thực hiện Hợp đồng này được thực hiện theo quy định của pháp luật Việt Nam.
5. Sự không thực hiện quyền
Việc một bên không thực hiện quyền của mình theo Hợp đồng này tại bất kì thời điểm nào sẽ không làm ảnh hưởng việc thực thi các quyền theo Hợp đồng về sau. Các bên đồng ý rằng việc tuyên bố không thực hiện quyền của một bên đối với bất kỳ cam kết hoặc điều kiện nào theo Hợp đồng, hoặc bất kỳ sự vi phạm hợp đồng, sẽ không được xem như là bên đó từ bỏ quyền tương tự về sau.
6. Tính độc lập của các nội dung hợp đồng
Trường hợp có nội dung nào trong Hợp đồng này được cho là không phù hợp với quy định của pháp luật hoặc vô hiệu theo phán quyết của toà án, thì các nội dung khác của Hợp đồng vẫn có hiệu lực, nếu phần còn lại thể hiện đầy đủ nội dung mà không cần tới phần bị vô hiệu.
7. Thông báo
Bất kỳ thông báo, hoá đơn hoặc các trao đổi thông tin khác cần thiết trong quá trình thực hiện Hợp đồng này phải nêu rõ ngày lập và sự liên quan đến Hợp đồng. Các thông báo, hoá đơn hoặc trao đổi thông tin phải được lập bằng văn bản và được chuyển bằng các dịch vụ bưu điện hoặc fax. Trường hợp gửi bằng fax thì phải gửi bản gốc đến sau bằng dịch vụ bưu điện với bưu phí đã được trả trước. Thông báo, hoá đơn hoặc các trao đổi thông tin phải được gửi tới các địa chỉ sau:
a) Bên bán: Tổng giám đốc, ________________,
________________, ______________________, Việt Nam;
b) Bên mua: _______________, ______________,
________________, ______________________, Việt Nam;
c) Trong các thông báo, kể cả thông báo chỉ định bên cho vay, các bên có thể nêu rõ địa chỉ người gửi hoặc người nhận khác theo hình thức quy định tại Khoản này.
d) Mỗi thông báo, hoá đơn hoặc các loại trao đổi thông tin khác được gửi bằng thư, giao nhận và truyền tin theo các cách trên được xem là đã được giao và nhận tại thời điểm chúng được giao tới địa chỉ người nhận hoặc tại thời điểm bị từ chối nhận bởi bên nhận với địa chỉ nêu trên.
8. Bảo mật
Bên mua đồng ý bảo mật các thông tin của nhà máy trong phụ lục Hợp đồng, trừ trường hợp các thông tin này đã được Bên bán hoặc Cục Điều tiết điện lực công bố trước đó.
Điều 10. Cam kết thực hiện
Hai bên cam kết thực hiện Hợp đồng này như sau:
1. Mỗi bên được thành lập hợp pháp để hoạt động kinh doanh tại Việt Nam;
2. Việc ký kết và thực hiện Hợp đồng này của mỗi bên được thực hiện đúng theo điều kiện và nội dung của Giấy phép hoạt động điện lực do cơ quan có thẩm quyền cấp và các quy định của pháp luật có liên quan;
3. Các bên không có hành vi pháp lý hoặc hành chính ngăn cản hoặc làm ảnh hưởng bên kia thực hiện Hợp đồng này;
4. Hợp đồng này quy định nghĩa vụ hợp pháp và bắt buộc đối với các bên theo các nội dung của Hợp đồng;
5. Việc ký kết và thực hiện của một bên trong Hợp đồng này không vi phạm với bất kỳ điều khoản nào của Hợp đồng khác hoặc là một phần văn bản của một Hợp đồng khác mà bên đó là một bên tham gia.
Hợp đồng này được lập thành 09 bản có giá trị như nhau, mỗi bên giữ 04 bản, Bên bán có trách nhiệm gửi một bản Hợp đồng mua bán điện tới Cục Điều tiết điện lực.
|
ĐẠI DIỆN BÊN BÁN (Chức danh)
(Đóng dấu và chữ ký)
(Họ tên đầy đủ) |
ĐẠI DIỆN BÊN MUA (Chức danh)
(Đóng dấu và chữ ký)
(Họ tên đầy đủ) |
PHỤ LỤC A
BIỂU GIÁ MUA BÁN ĐIỆN
(Được Cục Điều tiết điện lực công bố hàng năm)
PHỤ LỤC B
THÔNG SỐ KỸ THUẬT CỦA NHÀ MÁY ĐIỆN
Phần A. Các thông số chung
Tên nhà máy điện: __________________________________________
Địa điểm nhà máy điện: ______________________________________
Công suất định mức: ______________________________________kW
Công suất bán cho Bên mua: tối thiểu _______kW; tối đa ________kW
Công suất tự dùng của nhà máy điện: tối thiểu ____kW; tối đa ____ kW
Điện năng sản xuất hàng năm dự kiến: _______________________kWh
Ngày hoàn thành xây dựng nhà máy điện: ________________________
Ngày vận hành thương mại dự kiến của nhà máy điện: ______________
Điện áp phát lên lưới phân phối: _______________________________V
Điểm đấu nối vào lưới phân phối: ______________________________
Điểm đặt thiết bị đo đếm: _____________________________________
Phần B. Thông số vận hành của công nghệ cụ thể
Loại nhiên liệu: _____________________________________________
Công nghệ phát điện: _________________________________________
Đặc tính vận hành thiết kế: ____________________________________
Lưu lượng về hoặc lượng nhiên liệu/tháng:________________________
Thể tích bồn chứa nhiên liệu (hoặc thể tích hồ chứa):________________
Thời gian không có lưu lượng về/nhiên liệu: _______________________
PHỤ LỤC C
YÊU CẦU ĐẤU NỐI HỆ THỐNG
(Được áp dụng riêng lẻ cho từng dự án phụ thuộc vào đặc điểm kỹ thuật của dự án, bao gồm sơ đồ một sợi của thiết bị đấu nối, và liệt kê đặc điểm của hệ thống đo đếm, điện áp)
PHỤ LỤC D
GIÁ PHÂN PHỐI ĐIỆN
Bạn chưa Đăng nhập thành viên.
Đây là tiện ích dành cho tài khoản thành viên. Vui lòng Đăng nhập để xem chi tiết. Nếu chưa có tài khoản, vui lòng Đăng ký tại đây!
Bạn chưa Đăng nhập thành viên.
Đây là tiện ích dành cho tài khoản thành viên. Vui lòng Đăng nhập để xem chi tiết. Nếu chưa có tài khoản, vui lòng Đăng ký tại đây!
