- Tổng quan
- Nội dung
- Tiêu chuẩn liên quan
- Lược đồ
- Tải về
Tiêu chuẩn TCVN 10736-27:2017 Xác định bụi sợi lắng đọng trong không khí
| Số hiệu: | TCVN 10736-27:2017 | Loại văn bản: | Tiêu chuẩn Việt Nam |
| Cơ quan ban hành: | Bộ Khoa học và Công nghệ | Lĩnh vực: | Tài nguyên-Môi trường |
|
Ngày ban hành:
Ngày ban hành là ngày, tháng, năm văn bản được thông qua hoặc ký ban hành.
|
2017 |
Hiệu lực:
|
Đã biết
|
| Người ký: | Đang cập nhật |
Tình trạng hiệu lực:
Cho biết trạng thái hiệu lực của văn bản đang tra cứu: Chưa áp dụng, Còn hiệu lực, Hết hiệu lực, Hết hiệu lực 1 phần; Đã sửa đổi, Đính chính hay Không còn phù hợp,...
|
Đã biết
|
TÓM TẮT TIÊU CHUẨN VIỆT NAM TCVN 10736-27:2017
Nội dung tóm tắt đang được cập nhật, Quý khách vui lòng quay lại sau!
Tải tiêu chuẩn Việt Nam TCVN 10736-27:2017
TIÊU CHUẨN QUỐC GIA
TCVN 10736-27:2017
ISO 16000-27:2014
KHÔNG KHÍ TRONG NHÀ - PHẦN 27: XÁC ĐỊNH BỤI SỢI LẮNG ĐỌNG TRÊN BỀ MẶT BẰNG PHƯƠNG PHÁP KÍNH HIỂN VI ĐIỆN TỬ QUÉT (SEM) (PHƯƠNG PHÁP TRỰC TIẾP)
Indoor air -Part 27: Determination of settled fibrous dust on surfaces by SEM (scanning electron microscopy) (direct method)
Lời nói đầu
TCVN 10736-27:2017 hoàn toàn tương đương với ISO 16000-27:2014.
TCVN 10736-27:2017 do Ban kỹ thuật tiêu chuẩn quốc gia TCVN/TC 146 Chất lượng không khí biên soạn, Tổng cục Tiêu chuẩn Đo lường Chất lượng đề nghị, Bộ Khoa học và Công nghệ công bố.
Bộ TCVN 10736 (ISO 16000) Không khí trong nhà gồm các phần sau:
- TCVN 10736-1: 2015 (ISO 16000-1:2004) Phần 1: Các khía cạnh chung của kế hoạch lấy mẫu;
- TCVN 10736-2:2015 (ISO 16000-2:2004) Phần 2: Kế hoạch lấy mẫu formaldehyt;
- TCVN 10736-3:2015 (ISO 16000-3:2011) Phần 3: Xác định formaldehyt và hợp chất cacbonyl khác trong không khí trong nhà và không khí trong buồng thử - Phương pháp lấy mẫu chủ động;
- TCVN 10736-4:2015 (ISO 16000-4:2011) Phần 4: Xác định formaldehyt - Phương pháp lấy mẫu khuếch tán;
- TCVN 10736-5:2015 (ISO 16000-5:2007) Phần 5: Kế hoạch lấy mẫu đối với hợp chất hữu cơ bay hơi (VOC);
- TCVN 10736-6:2016 (ISO 16000-6:2011) Phần 6: Xác định hợp chất hữu cơ bay hơi trong không khí trong nhà và trong buồng thử bằng cách lấy mẫu chủ động trên chất hấp phụ Tenax TA®, giải hấp nhiệt và sắc ký khí sử dụng MS hoặc MS-FID;
- TCVN 10736-7:2016 (ISO 16000-7:2007) Phần 7: Chiến lược lấy mẫu để xác định nồng độ sợi amiăng truyền trong không khí;
- TCVN 10736-8:2016 (ISO 16000-8:2007) Phần 8: Xác định thời gian lưu trung bình tại chỗ của không khí trong các tòa nhà để xác định đặc tính các điều kiện thông gió;
- TCVN 10736-9:2016 (ISO 16000-9:2006) Phần 9: Xác định phát thải của hợp chất hữu cơ bay hơi từ các sản phẩm xây dựng và đồ nội thất - Phương pháp buồng thử phát thải;
- TCVN 10736-10:2016 (ISO 16000-10:2006) Phần 10: Xác định phát thải của hợp chất hữu cơ bay hơi từ các sản phẩm xây dựng và đồ nội thất- Phương pháp ngăn thử phát thải;
- TCVN 10736-11:2016 (ISO 16000-11:2006) Phần 11: Xác định phát thải của hợp chất hữu cơ bay hơi từ các sản phẩm xây dựng và đồ nội thất - Lấy mẫu, bảo quản mẫu và chuẩn bị mẫu thử;
- TCVN 10736-12:2016 (ISO 16000-12:2008) Phần 12: Chiến lược lấy mẫu đối với polycloro biphenyl (PCB), polycloro dibenzo-p-dioxin (PCDD), polycloro dibenzofuran (PCDF) và hydrocacbon thơm đa vòng (PAH);
- TCVN 10736-13:2016 (ISO 16000-13:2008) Phần 13: Xác định tổng (pha khí và pha hạt) polycloro biphenyl giống dioxin (PCB) và polycloro dibenzo-p-dioxin/polycloro dibenzofuran (PCDD/PCDF) - Thu thập mẫu trên cái lọc được hỗ trợ bằng chất hấp phụ;
- TCVN 10736-14:2016 (ISO 16000-14:2009) Phần 14: Xác định tổng (pha khí và pha hạt) polycloro biphenyl giống dioxin (PCB) và polycloro dibenzo-p-dioxin/polycloro dibenzofuran (PCDD/PCDF) - Chiết, làm sạch và phân tích bằng sắc ký khí phân giải cao và khối phổ.
- TCVN 10736-15:2017 (ISO 16000-15:2008) Phần 15: Cách thức lấy mẫu nitơ dioxit (NO2).
- TCVN 10736-16:2017 (ISO 16000-16:2008) Phần 16: Phát hiện và đếm nấm mốc - Lấy mẫu bằng cách lọc.
- TCVN 10736-17:2017 (ISO 16000-17:2008) Phần 17: Phát hiện và đếm nấm mốc - Phương pháp nuôi cấy.
- TCVN 10736-18:2017 (ISO 16000-18:2011) Phần 18: Phát hiện và đếm nấm mốc - Lấy mẫu bằng phương pháp va đập.
- TCVN 10736-19:2017 (ISO 16000-19:2012) Phần 19: Cách thức lấy mẫu nấm mốc.
- TCVN 10736-20:2017 (ISO 16000-20:2014) Phần 20: Phát hiện và đếm nấm mốc - Xác định số đếm bào tử tổng số.
- TCVN 10736-21:2017 (ISO 16000-21:2013) Phần 21: Phát hiện và đếm nấm mốc - Lấy mẫu từ vật liệu.
- TCVN 10736-23:2017 (ISO 16000-23:2009) Phần 23: Thử tính năng để đánh giá sự giảm nồng độ formaldehyt do vật liệu xây dựng hấp thu.
- TCVN 10736-24:2017 (ISO 16000-24:2009) Phần 24: Thử tính năng để đánh giá sự giảm nồng độ hợp chất hữu cơ bay hơi (trừ fomaldehyt) do vật liệu xây dựng hấp thu.
- TCVN 10736-25:2017 (ISO 16000-25:2011) Phần 25: Xác định phát thải của hợp chất hữu cơ bán bay hơi từ các sản phẩm xây dựng - Phương pháp buồng thử nhỏ.
- TCVN 10736-26:2017 (ISO 16000-26:2012) Phần 26: Cách thức lấy mẫu cacbon dioxit (CO2)
- TCVN 10736-27:2017 (ISO 16000-27:2014) Phần 27: Xác định bụi sợi lắng đọng trên bề mặt bằng kính hiển vi điện tử quét (SEM) (phương pháp trực tiếp)
- TCVN 10736-28:2017 (ISO 16000-28:2012) Phần 28: Xác định phát thải mùi từ các sản phẩm xây dựng sử dụng buồng thử.
- TCVN 10736-29:2017 (ISO 16000-29:2014) Phần 29: Phương pháp thử các thiết bị đo hợp chất hữu cơ bay hơi (VOC).
- TCVN 10736-30:2017 (ISO 16000-30:2014) Phần 30: Thử nghiệm cảm quan của không khí trong nhà.
- TCVN 10736-31:2017 (ISO 16000-31:2014) Phần 31: Đo chất chống cháy và chất tạo dẻo trên nền hợp chất phospho hữu cơ-este axit phosphoric.
- TCVN 10736-32:2017 (ISO 16000-32:2014) Phần 32: Khảo sát tòa nhà để xác định sự xuất hiện của các chất ô nhiễm.
- TCVN 10736-33:2017 (ISO 16000-33:2017) Phần 33: Xác định phtalat bằng sắc ký khí/khối phổ (GC/MS).
Lời giới thiệu
Các phương pháp tiêu chuẩn hóa để đo mức phơi nhiễm amiăng sử dụng các phương pháp phân tích khác nhau là có sẵn và được sử dụng rộng rãi (ISO 10312, ISO 13794, ISO 14966). Phương pháp tiêu chuẩn hóa (ISO 22262-1) xác định hàm lượng amiăng trong vật liệu thô (sản phẩm,...) cũng được thiết lập. Tiêu chuẩn này được dựa trên các quy trình được mô tả trong VDI 3877 Phần 1[6] và lấp đầy lỗ hổng còn lại trong mô tả một phương pháp đo amiăng trong bụi lắng đọng trên bề mặt.
Hiện có những quy định của chính phủ ở nhiều nước về mức phơi nhiễm amiăng và hàm lượng amiăng trong các sản phẩm. Hàm lượng amiăng trong bụi lắng đọng là nguồn được thảo luận rộng rãi. Các nỗ lực pháp lý dựa trên kết quả đo chỉ được biết trong vài trường hợp. Lý do đối với việc này là do nhiều nước thiếu các phương pháp đo tiêu chuẩn và được chấp nhận, những khó khăn và các bằng chứng tranh cãi về rủi ro tiềm ẩn. Mối tương quan chung được chấp nhận giữa hàm lượng amiăng và nồng độ sợi amiăng truyền trong không khí do sự sắp xếp lại bụi không được thiết lập.
Sai khác đáng kể giữa các mẫu truyền trực tiếp để xác định nồng độ bề mặt với các mẫu lọc cho phép đo không khí là trong sự xuất hiện phổ biến hơn của cấu thể sợi có kích thước lớn hơn kích thước của các sợi phế nang. Phân tích các mẫu không khí được thực hiện để xác định nồng độ sợi hô hấp; việc phân tích các mẫu bụi truyền trực tiếp được thực hiện dựa theo nguy cơ (sợi tiềm tàng) tạo ra các sợi hô hấp. Các mẫu bụi bề mặt thường được lấy liên quan đến sự giảm trừ amiăng hoặc các sự kiện khác, khi dự đoán sự phát tán bụi có chứa amiăng và phải được đánh giá.
Phương pháp có thể được sử dụng để xác định sự nhiễm bẩn bề mặt của các cấu thể sợi khác giống như các sợi khoáng thủy tinh nhân tạo.
KHÔNG KHÍ TRONG NHÀ - PHẦN 27: XÁC ĐỊNH BỤI SỢI LẮNG ĐỌNG TRÊN BỀ MẶT BẰNG PHƯƠNG PHÁP KÍNH HIỂN VI ĐIỆN TỬ QUÉT (SEM) (PHƯƠNG PHÁP TRỰC TIẾP)
Indoor air -Part 27: Determination of settled fibrous dust on surfaces by SEM (scanning electron microscopy) (direct method)
1 Phạm vi áp dụng
Tiêu chuẩn này quy định phương pháp xác định chỉ số nồng độ số lượng bụi có cấu thể dạng sợi với đường kính bằng hoặc lớn hơn 0,2 µm, lắng đọng trên các bề mặt và chúng được phân loại thành các nhóm chất cụ thể (ví dụ: amiăng chrysotin, amphybon và các sợi vô cơ khác). Phương pháp này chủ yếu áp dụng cho khu vực trong nhà, nhưng cũng thích hợp cho các tình huống nhất định ngoài trời. Kỹ thuật lấy mẫu để thu bụi lắng đọng sử dụng băng dính đã được quy định. Phương pháp này kết hợp phương pháp phân tích để đánh giá các mẫu thu được bằng kính hiển vi điện tử quét. Kết quả có thể được biểu thị bằng số cấu thể amiăng trên một đơn vị diện tích và/hoặc được phân thành bốn loại khác nhau. Độ nhạy phân tích phụ thuộc vào diện tích được kiểm tra và có thể thấp đến 10 cấu thể/cm2.
Đối với mục đích của tiêu chuẩn này, amiăng hoặc cấu thể dạng sợi được xác định là amiăng hoặc hạt có chứa sợi (vô cơ/hữu cơ khác) mà không quan tâm đến đường kính.
Việc sử dụng phương pháp lấy mẫu mô tả bị hạn chế, phụ thuộc vào cấu thể và kiểu bề mặt (độ thô nhám và độ cong) và độ dày của lớp bụi. Nếu lớp bụi quá dày, thì lớp bụi có thể được lấy mẫu bằng phương pháp khác và cuối cùng được phân tích như mẫu dạng bột.[3][4]
Giả định rằng bụi lắng đọng có đường kính hạt chủ yếu là dưới 1 mm.
2 Tài liệu viện dẫn
Các tài liệu viện dẫn sau là rất cần thiết cho việc áp dụng tiêu chuẩn. Đối với các tài liệu viện dẫn ghi năm công bố thì áp dụng phiên bản được nêu. Đối với các tài liệu viện dẫn không ghi năm công bố thì áp dụng phiên bản mới nhất, bao gồm cả các sửa đổi, bổ sung (nếu có).
ISO 22262-1, Air quality - Bulk materials - Part 1: Sampling and qualitative determination of asbestos in commercial bulk materials (Chất lượng không khí - Vật liệu thô - Phần 1: Lấy mẫu và xác định định tính amiăng trong vật liệu thô thương mại)
3 Thuật ngữ, định nghĩa
Trong tiêu chuẩn này sử dụng các thuật ngữ và định nghĩa sau:
3.1
Giảm bớt (abatement)
Hoạt động được thực hiện để kiểm soát phát thải tiềm tàng của các sợi amiăng từ vật liệu xây dựng có chứa amiăng bằng cách loại bỏ, bao bọc hoặc bao kín vật liệu hoặc bằng cách sửa chữa vật liệu bị hư hỏng.
3.2
Lấy mẫu môi trường xung quanh (ambient sampling)
Lấy mẫu không khí để xác định nồng độ sợi amiăng trong không khí tại vùng lân cận của bên ngoài tòa nhà.
3.3
Độ nhạy phân tích (analytical sensitivity)
Nồng độ cấu thể amiăng tính được, tương đương với việc đếm một cấu thể amiăng trong phép phân tích.
3.4
Amiăng (asbestos)
Thuật ngữ áp dụng cho một nhóm khoáng chất silicat thuộc nhóm secpentin và amphybol được kết tinh trong dạng amiăng, làm cho chúng dễ dàng tách thành các sợi dài, mảnh, dẻo, bền khi được nghiền hoặc được xử lý.
CHÚ THÍCH: Các số đăng ký Chemical Abstracts Service Registry của các loại amiăng phổ biến nhất là: chrysotil (12001-29-5), crocidolit (12001-28-4), amiăng grunerit (amosit) (12172-73-5), amiăng anthophyllit (77536-67-5), amiăng tremotit (77536-68-6) và amiăng actinolit (77536-66-4).
3.5
Cấu thể (sợi) amiăng (asbestos (fibrous) structure)
Thuật ngữ áp dụng cho một sợi amiăng riêng lẻ, sợi vô cơ hoặc hữu cơ hoặc nhóm bất kỳ đã liên kết hoặc chồng chéo của những sợi hoặc các bó sợi (amiăng) có hoặc không có hạt khác
3.6
Tỉ số hình dạng (aspect ratio)
Tỷ số chiều dài với chiều rộng của một hạt
3.7
Mẫu trắng (blank)
Băng dính chưa sử dụng được dùng để phân tích làm mẫu kiểm soát.
3.8
Bó (bundle)
Cấu thể gồm ba hoặc nhiều sợi sắp xếp song song với các sợi có đường kính gần như nhau.
3.9
Búi (cluster)
Cấu thể trong đó có hai hoặc nhiều sợi hoặc bó sợi, được định hướng ngẫu nhiên trong nhóm kết nối.
3.10
Nhiễu xạ electron (electron diffraction)
Kỹ thuật trong kính hiển vi điện tử trong đó cấu trúc tinh thể của một vùng nhỏ của mẫu được kiểm tra.
3.11
Phân tích tia X phân tán năng lượng (energy-dispersive X-ray analysis)
Việc xác định thành phần nguyên tố thông qua việc đo năng lượng và cường độ của tia X bằng cách sử dụng detector trạng thái rắn và hệ thống phân tích đa kênh.
3.14
Sợi (fibre)
Bụi có tỷ số chiều dài/đường kính hơn 3: 1 và trong tiêu chuẩn này thì bằng hoặc lớn hơn 0,2 µm.
3.15
Chuẩn bị gián tiếp (indirect preparation)
Phương pháp trong đó mẫu đi qua một hoặc nhiều bước trung gian trước khi được lọc lần cuối; các bụi được tách ra khỏi môi trường ban đầu và lắng đọng trên một cái lọc thứ hai trước khi phân tích.
3.16
Giới hạn phát hiện (limit of detection)
Số cấu thể sợi mà nhỏ hơn hoặc bằng xác suất lớn hơn 95 % lượng tải cấu thể sợi thực tế, nếu không có cấu thể amiăng được phát hiện trong quá trình phân tích.
3.17
Phóng đại (magnification)
Tỷ số giữa kích thước của một đối tượng trong ảnh kính hiển vi và kích thước thực tế của đối tượng.
CHÚ THÍCH: Thông tin phóng đại liên quan đến màn hình mà trên đó việc đánh giá được thực hiện.
3.18
Ma trận sợi (matrix)
Cấu thể trong đó một hoặc nhiều sợi hoặc bó sợi liên kết được gắn, hoặc một phần bị che khuất bởi hạt đơn hoặc một nhóm kết nối các hạt không phải dạng sợi.
3.19
Mẫu trắng quá trình (process blank)
Băng dính (không được đưa vào hiện trường) được xử lý phù hợp với toàn bộ quá trình chuẩn bị và quy trình phân tích.
3.20
Cấu thể (structure)
Một sợi, bó sợi, búi hoặc ma trận sợi.
3.21
Sợi khoáng nhân tạo (man-made vitreous mineral fibre) (MMVF)
Sợi thủy tinh nhân tạo còn gọi là sợi khoáng nhân tạo (MMMF) và sợi bông thủy tinh tổng hợp (SVF), là nhóm các vật liệu dạng sợi vô cơ không kết tinh, thường là nhôm silicat hoặc canxi silicat, có nguồn gốc từ đá, đất sét, xỉ và thủy tinh.
4 Các ký hiệu và chữ viết tắt
4.1 Ký hiệu
n Số lượng cấu thể đếm được
λU Giới hạn tin cậy dưới 95 % của số đếm cấu thể được thực hiện bằng SEM hoặc TEM
λo Giới hạn tin cậy trên 95 % của số đếm cấu thể được thực hiện bằng SEM hoặc TEM
α Mức ý nghĩa thống kê
B Mức nền của phổ tia X
D Đối với số đếm cấu thể n, thì giá trị của phân bố
với 2n bậc tự do và mức ý nghĩa (1 - α/2)
E Đối với số đếm sợi x, thì giá trị phân bố
với 2(x + 1) bậc tự do và mức ý nghĩa α/2
A Diện tích được đánh giá trên mẫu (băng dính) bằng SEM
P Chiều cao pic trong phổ tia X
Si Kết quả đếm của một cấu thể sợi loại i
Sw,I Kết quả số đếm trọng số của một cấu thể sợi riêng loại i
Z Số nguyên tử
4.2 Các từ viết tắt
| ATS | mẫu lấy bằng băng dính/đánh giá bằng SEM |
| ED | nhiễu xạ electron |
| EDXA | phân tích tia X phân tán năng lượng |
| FWHM | nửa chiều rộng của pic Mn Kα của detector tia X |
| PCM | kính hiển vi quang học phản pha |
| SEM | kính hiển vi điện tử quét |
| TEM | đo hiển vi điện tử truyền qua |
| UTW | cửa sổ siêu mỏng của detector tia X |
| MMVF | sợi thủy tinh nhân tạo. |
5 Nguyên tắc
Bụi được thu thập trên phương tiện dính (ví dụ băng dính), được ép vào bề mặt cần lấy mẫu. Phương tiện lấy mẫu, hoặc một phần của phương tiện này được chuẩn bị như là một mẫu để kiểm tra bằng SEM/EDXA. Mẫu được kiểm tra bằng SEM mà không cần phải điều chỉnh theo bụi đã được thu thập. Trong quá trình này, các cấu thể dạng sợi được đo theo tiêu chí xác định về các vùng được chọn ngẫu nhiên trên toàn bộ mẫu, được đếm và phân loại theo bản chất. Phổ EDXA được sử dụng để phân loại cấu thể sợi thành các loại theo thành phần. Nồng độ bụi sợi trên bề mặt được tính từ số lượng cấu thể được đếm và phân loại và diện tích mẫu được phân tích. Sau khi áp dụng các hệ số trọng số khác nhau đối với các cấu thể sợi theo kích thước của chúng, lượng sợi được báo cáo là một trong bốn loại sợi có trên bề mặt được lấy mẫu.
6 Thiết bị và vật liệu
6.1 Thiết bị và vật liệu dùng để lấy mẫu và chuẩn bị mẫu băng dính
6.1.1 Dụng cụ dùng để lấy mẫu
Dụng cụ lấy mẫu:
- Băng dính
- Băng nhôm hoặc đồng, băng acrylic (trong suốt) hoặc băng dính carbon phía sau bằng nhôm hoặc đồng;
- Các miếng carbon
- Đường kính: 13 mm hoặc 25 mm;
- Dụng cụ đựng mẫu sạch, có thể đậy kín được sử dụng để vận chuyển mẫu về phòng thí nghiệm.
CHÚ THÍCH: Tùy thuộc vào việc sử dụng, miếng carbon có thể được gắn trực tiếp vào khay mẫu SEM.
6.1.2 Dụng cụ của kính hiển vi điện tử thông thường và phụ kiện
Nhíp, dao hoặc kéo để cắt các mẫu có kích thước phù hợp cho SEM, băng có hai mặt dính (carbon) hoặc sơn keo carbon dính, các mẫu vật SEM, vàng hoặc carbon thích hợp để phủ mẫu trong máy tráng phủ hoặc bộ làm bay hơi.
6.1.3 Kính hiển vi soi nổi, để kiểm tra trực quan bụi lắng trong mẫu, độ phóng đại khoảng 20x.
6.1.4 Máy phủ màng hoặc bộ bay hơi chân không để phủ vàng hoặc carbon.
6.2 Thiết bị và vật liệu dùng cho phân tích
6.2.1 Kính hiển vi điện tử quét, có điện áp tăng tốc ít nhất 20 kV, cần thiết cho việc đếm và nhận dạng cấu thể dạng sợi.
6.2.2 SEM được trang bị một máy phân tích tia X phân tán năng lượng, khả năng đạt được độ phân giải tốt hơn so với 170 eV (FWHM) trên pic Mn-Kα. Tính năng kết hợp riêng rẽ SEM và detector tia X trạng thái rắn phụ thuộc vào một số yếu tố hình học. Theo đó, tính năng yêu cầu của sự kết hợp SEM và máy phân tích tia X được xác định theo cường độ tia X đo thu được từ sợi chrysotil có chiều rộng 0,2 µm, dưới những điều kiện hoạt động sử dụng trong phân tích. Một số detector tia X thể rắn ít nhạy trong vùng năng lượng thấp, vì vậy việc phát hiện natri trong crocidolit là một tiêu chí tính năng bổ sung. Detector UTW (siêu mỏng hoặc không có cửa sổ) là ưu thế, nhưng không bắt buộc trừ khi phép phân tích bao gồm việc xác định các sợi có Z ≤ 11. Việc kết hợp thiết bị phải đáp ứng các yêu cầu tối thiểu về khả năng nhìn thấy các sợi, như trong Phụ lục B.
6.2.3 Mẫu thử độ phân giải. Mẫu thử nghiệm có các sợi chrysotil rộng ≤ 0,2 µm đã lắng đọng, cần thiết cho việc điều chỉnh các điều kiện hoạt động của SEM.
6.2.4 Mẫu thử hiệu chuẩn độ phóng đại, mẫu thử yêu cầu để hiệu chuẩn độ phóng đại của SEM. Chất chuẩn phóng đại SRM484e là một ví dụ của mẫu đáp ứng yêu cầu.
7 Lấy mẫu
7.1 Kế hoạch đo
Trong hầu hết các quốc gia, việc ước tính rủi ro do các sợi amiăng được dựa trên việc xác định mức độ tiếp xúc. Vì vậy, các phép đo amiăng trong bụi lắng có thể chỉ cung cấp thông tin bổ sung, ví dụ, thành công của nỗ lực làm sạch hoặc phát tán ô nhiễm amiăng. Việc lập kế hoạch đo phải được điều chỉnh cho phù hợp với công việc cần thực hiện. Vùng mẫu cần kiểm tra nhỏ so với diện tích bề mặt cần khảo sát. Kế hoạch lấy mẫu, bao gồm cả số lượng và sự phân bố của các vùng lấy mẫu, cần được thiết kế để giảm thiểu độ không đảm bảo về mặt thống kê trong kết quả cuối cùng. Độ chụm yêu cầu sẽ xác định số lượng mẫu. Nếu cần so sánh ô nhiễm amiăng trên hai bề mặt khác nhau, thì cần sử dụng các phép thử thống kê.
Trong kế hoạch đo, tất cả các dữ liệu có sẵn (như các nguồn hoặc kết quả đo không khí đã biết) cần được tính đến. Điều này bao gồm tất cả các nguồn sử dụng đã biết của các vật liệu có chứa amiăng và bản chất của bề mặt được kiểm tra.
Ngoài ra, khi lập kế hoạch đo, cần tính đến các lớp bụi dày hơn mà không thể định lượng được như trong 8.2.1 và 8.2.2.1. Những phép đo này có thể yêu cầu quy trình lấy mẫu khác hoặc có thể cần được lấy như mẫu dạng bột.
Sự lắng đọng của bụi chịu ảnh hưởng của nhiều yếu tố. Ngoài ra, tần suất làm sạch bề mặt cần lấy mẫu cũng là một yếu tố quan trọng. Những ảnh hưởng khác nhau như hướng của bề mặt, chuyển động của không khí trong vùng và những yếu tố khác không được đề cập, có thể quan trọng trong đánh giá kết quả phải được xem xét, nếu cần, được ghi lại trong báo cáo lấy mẫu.
7.2 Mục đích của phép đo và các vị trí lấy mẫu
Như đã đề cập ở trên, các mục đích của phép đo thường là một phần của kế hoạch và thực hiện công việc giảm thiểu amiăng, nhưng các phép đo cũng có thể được quan tâm để lập văn bản về hiện trạng đó. Việc xác định các sợi thủy tinh nhân tạo trong bụi lắng đọng cũng có thể là một phần của mục đích đo trong quá trình xây dựng, ví dụ, phát sinh khiếu nại liên quan đến kích ứng da thường được gây ra bởi các sợi tương đối dày. Việc xác định hàm lượng sợi vô cơ (amiăng, MMVF) của các mẫu bụi lắng đọng chủ yếu trả lời cho các câu hỏi sau đây:
- Có phải bụi sợi vô cơ (amiăng/MMVF) có mặt tại các vị trí nhất định?
- Nồng độ cấu thể sợi xác định trên một diện tích bề mặt lớn như thế nào?
- Diện tích giới hạn cần lớn đến mức nào?
- Kích thước của khu vực yêu cầu phải nỗ lực làm sạch là bao nhiêu?
Các phép đo cũng bị ảnh hưởng bởi thiết bị và kế hoạch bị thay đổi theo thiết bị sau. Khi đã xác định được mục tiêu của phép đo thì quyết định việc lựa chọn và số điểm lấy mẫu. Các tình huống có thể là mẫu được lấy không chỉ theo hướng ngang, mà còn theo hướng bề mặt thẳng đứng. Khi phân tích các kết quả, cần xem xét đến sự khác biệt liên quan đến hạt lắng đọng trên mẫu được lấy theo hướng ngang và theo hướng dọc. Các kết quả không thể so sánh trực tiếp với nhau. Các mẫu được lấy theo hướng dọc thường có các hạt sợi và không phải sợi thấp hơn.
Cần lưu ý rằng các mẫu thu thập được bằng băng dính là rất nhỏ so với diện tích của tòa nhà được kiểm tra, do đó các mẫu có thể không đại diện.
Các mục tiêu của phép đo và các điểm lấy mẫu có liên quan được tóm tắt trong Bảng 1.
Bảng 1 - Mục tiêu đo trong phân tích bụi bề mặt
| Mục tiêu | Vị trí lấy mẫu | Ý kiến | |
| 1 | Nhận biết hư hỏng đối với các sản phẩm chứa amiăng trong trường hợp: - xử lý không đúng cách và - sự cố, ví dụ: do thời tiết xấu hoặc do hỏa hoạn | Các bề mặt đã được làm sạch ngay trước khi biến cố | Nếu cần, phân tích các mẫu từ các khu vực không được làm sạch trước khi thực hiện sửa chữa trong tòa nhà. |
| 2 | Phân tích sự nhiễm sợi amiăng, ví dụ trước khi phá dỡ tu sửa, đặc biệt liên quan đến công việc được thực hiện tại các khu vực đã lâu không dùng cho các hoạt động. | Bề mặt phủ bụi thấy rõ, cần xem xét bụi lắng qua thời gian dài (trong quá trình xây dựng, sự cố, sử dụng tòa nhà bình thường) - Dưới lớp vữa láng nền, - Trong khoảng trống trong các bức tường và hốc, - trong trần nhà, - trong các khu vực lắp đặt, và - Đặc biệt là trên các dây cáp điện, bề mặt kim loại, các tấm và các bề mặt lắng đọng nhẵn khác, khi áp dụng với các đặc tính tĩnh điện |
|
| 3 | Khoanh vùng các vùng bị ô nhiễm | - ở các khoảng cách so le; - trong các phòng liền kề với các sản phẩm hư hỏng. | Cần tính đến chuyển động của không khí. |
|
| Xác định ô nhiễm sợi amiăng tiềm ẩn của các sản phẩm không nhìn thấy hư hỏng hoặc các sản phẩm có chứa amiăng được đặt tại các vị trí bị che lấp. | Trong bụi lắng đọng đã lâu tìm thấy trong các khu vực chưa được làm sạch cung cấp lịch sử của tòa nhà; ví dụ. - phía sau hoặc trên các bộ tản nhiệt, - trong các kênh thông gió, - trên nóc các tủ, - trên ngưỡng cửa, - trên dầm nhà, - trên các phương tiện máy móc được lắp đặt trên cao - tại các lối đi được sửa lại. |
|
| 5 | Kiểm tra độ sạch của bề mặt của nội thất, các dụng cụ, hệ thống thông gió (các bộ phận áp suất âm, v.v...sau khi làm giảm bớt) | - tại vị trí cho thấy còn sót bụi; - tại vị trí sạch đại diện, nếu cần |
|
| 6 | Đánh giá trong các vùng đã sử dụng amiăng, ví dụ: trong các hội trường của nhà máy và các địa điểm sản xuất, trong đó thường sử dụng các sản phẩm amiăng hoặc đã từng sản xuất amiăng. | - bụi lắng đọng cũ; - vết nứt hoặc lỗ hổng trên sàn; - dưới lớp phủ sàn và phủ tường; - lắp đặt máy móc thiết bị tại các vị trí cao, ví dụ: cần cẩu. | Lấy mẫu theo dạng bột, nếu yêu cầu (xem Phụ lục D). |
| 7 | Phân tán amiăng hoặc các chất hạt chứa amiăng ngoài trời. Sau vụ cháy, nổ hoặc phát thải khác từ bụi chứa amiăng. | - đường đi; - các bề mặt làm kín; - bề mặt nhà xưởng. |
|
7.3 Số lượng mẫu
Nên tổ chức lấy một lượng mẫu tiếp xúc lớn hơn so với lượng mẫu cuối cùng cần để phân tích. Trong trường hợp này, cần có các mẫu bổ sung để phân tích khi chưa lường trước hoặc nghi ngờ phát sinh về tính đại diện của mẫu. Các mẫu không được phân tích phải được lưu giữ làm mẫu dự phòng, số lượng mẫu tiếp xúc cần lấy phụ thuộc vào mục tiêu của phép đo. Nếu các vùng được lấy mẫu bao gồm các vùng đã làm sạch bằng biện pháp giảm bớt, ví dụ, số lượng và phân bố không gian của các mẫu tiếp xúc lớn hơn so với thử nghiệm mẫu ngẫu nhiên để đánh giá quy trình làm sạch.
Việc phân bố các hạt bụi trên bề mặt nhìn chung là không đồng nhất. Đặc biệt, nếu các nguồn ô nhiễm bụi sợi ở gần; Việc phân bố các hạt bụi rất khác nhau tùy thuộc vào khoảng cách, hướng của dòng không khí và kích thước của các hạt phát ra. Số lượng mẫu khác nhau cần thiết cho việc đánh giá tình huống phụ thuộc vào vấn đề quan tâm (xem Bảng 1).
Số lượng mẫu phụ thuộc vào sự khác nhau của diện tích bề mặt cần phân tích. Bảng 2 liệt kê số lượng tối thiểu của mẫu cần lấy trong phòng phụ thuộc vào không gian sàn nhà.
Bảng 2 - Số lượng mẫu tối thiểu trên không gian phụ thuộc vào diện tích sàn
| Diện tích m2 | Số lượng mẫu tối thiểu |
| < 30 | 3 |
| 30 đến 100 | S |
| 100 đến 500 | 7 |
| 500 đến 1000 | 10 |
| >1000 | >10 |
CHÚ THÍCH: Trong Tài liệu tham khảo [7] số lượng mẫu cần để so sánh hai môi trường phụ thuộc vào chênh lệch dự kiến trên bề mặt đã lấy mẫu được tính trên cơ sở thống kê.
7.4 Yêu cầu đối với bề mặt lấy mẫu
Việc lấy mẫu chỉ thực hiện trên bề mặt khô. Trong suốt thời gian lấy mẫu, đảm bảo rằng dụng cụ lấy mẫu được tiếp xúc với bề mặt trên toàn bộ diện tích của mẫu. Chỉ sử dụng phương pháp này trên các bề mặt tương đối nhẵn, đặc biệt nếu sử dụng dụng cụ dính cứng (ví dụ như miếng carbon trên các mẩu mẫu SEM). Khi lấy mẫu thì các bề mặt công trình xây dựng như bê tông, các hốc hoặc các lỗ có thể xuất hiện trong khu vực lấy mẫu. Các lỗ và các hốc cần được tránh. Các bề mặt thô ráp ít phù hợp để lấy mẫu bằng phương pháp này.
7.5 Quy trình lấy mẫu
7.5.1 Cỡ mẫu
Dụng cụ lấy mẫu phải bao trùm lên một diện tích ít nhất là 1 cm2. Có thể chuẩn bị toàn bộ bề mặt kết dính với các chất hạt để kiểm tra bằng SEM.
7.5.2 Phương pháp
7.5.2.1 Các lớp bụi mỏng hoặc không thể nhìn thấy
Để phân tích bụi lắng, dụng cụ lấy mẫu được ép mặt dính xuống vị trí cần lấy mẫu và sau đó cẩn thận nhấc ra. Dụng cụ lấy mẫu có thể được ép một lần vào vị trí cần lấy mẫu để bảo đảm tham chiếu chéo với điểm lấy mẫu. Tránh chuyển động đẩy khi lấy mẫu tiếp xúc. Nếu sử dụng băng dính để lấy mẫu thì cắt một dải dài khoảng 5 cm ra khỏi cuộn. Sau khi loại bỏ lớp bảo vệ của băng dính, dải băng dính được ép vào điểm cần lấy mẫu và nhấc ra. Trong thời gian lấy mẫu, cẩn thận không làm biến dạng miếng băng dính.
Dải băng dính đã lấy mẫu được đặt vào hộp vận chuyển. Hộp vận chuyển có hình tròn trong suốt với đường kính khoảng 70 mm và chiều cao ít nhất là 10 mm phù hợp với mục đích này. Dải băng được dán vào đáy hộp bằng cách uốn cong hai đầu để vùng chứa mẫu hướng lên trên. Băng được ép xuống mà không để tiếp xúc với nắp hộp. Khi sử dụng miếng carbon trên khay mẫu, nên thực hiện vận chuyển theo hướng dẫn của nhà sản xuất. Khay lấy mẫu thường được cố định ở đáy của hộp vận chuyển và có nắp trong suốt được đặt làm lớp bảo vệ trên.
Trong quá trình vận chuyển mẫu, chú ý không làm thay đổi mẫu hạt do tiếp xúc với hộp vận chuyển.
Cách khác để vận chuyển là đóng gói mẫu vào túi gồm hai phần khác nhau. Ví dụ, một phía để dán nhãn, phía thứ hai là giấy phủ plastic (không kết dính). Cả hai phần lớn hơn so với băng dính. Mẫu băng được đặt trong túi để mặt dính đối mặt với mặt không dính là phần phủ plastic. Túi sau đó được đóng lại bằng cách ấn hai phần với nhau. Khi thực hiện theo cách này, cần đảm bảo rằng không có lớp bụi cần phân tích bị dính vào phần phủ plastic.
Mẫu phải được dán nhãn rõ ràng hoặc được ghi trực tiếp trên hộp hoặc có nhãn cố định. Các chữ phải bền mầu (không thấm nước).
7.5.2.2 Các lớp bụi dày
Để xác định hàm lượng sợi của các lớp bụi nặng hơn và để ghi lại sự lắng đọng của bụi theo thời gian, cần phương pháp lấy mẫu khác. Cần đến nhiều mảnh của dụng cụ lấy mẫu cho việc phân tích để ghi lại các lớp bụi. Số lượng mẫu được định hướng theo độ dày của lớp bụi. Việc lấy mẫu được thực hiện nhiều lần tại cùng một điểm cho đến khi tất cả các bụi đã được thu thập. Mỗi miếng của dụng cụ lấy mẫu cần được ép nhanh một lần vào điểm lấy mẫu.
7.6 Báo cáo lấy mẫu
Ghi lại các chi tiết cho từng mẫu và bao gồm ít nhất các thông tin sau:
- Tên của mẫu;
- Mô tả chính xác điểm lấy mẫu cho mỗi mẫu:
- Tòa nhà;
- Phòng và kích thước phòng (diện tích sàn);
- Vị trí trong phòng (ngang/dọc);
- Loại bề mặt (vật liệu, cấu thể).
Nếu thông tin này không đủ các chi tiết của mẫu, thì lập một sơ đồ bổ sung, chụp ảnh hoặc ghi chú trên sơ đồ của tòa nhà.
Ngoài ra, ghi lại
- Ngày lấy mẫu,
- Tên của người lấy mẫu,
- Mục tiêu của phép đo (ví dụ theo bảng 1) và
- Lý do chọn các điểm lấy mẫu.
Nếu có các thông tin khác liên quan đến mẫu, thì ghi lại trong báo cáo lấy mẫu.
| Lấy mẫu theo TCVN 10736-27 (ISO 16000-27) Ngày tháng …………………………………………….Tên ......................................................... Tòa nhà: ............................................................................................................................ Mục tiêu phép đo: .............................................................................................................. Số lượng mẫu/tên ………………………………….Điểm lấy mẫu: ............................................. Hướng (ngang/dọc): …………………………………Kiểu bề mặt: ............................................ Phòng:…………………………………………………. Diện tích sàn của phòng:.......................... Sơ đồ: Biểu đồ: Hình ảnh: Thông tin khác: (ví dụ: lý do chọn điểm lấy mẫu) |
Hình 1 - Ví dụ về báo cáo lấy mẫu
8 Phân tích (SEM)
8.1 Điều chỉnh SEM
8.1.1 Độ phóng đại và điện áp tăng tốc
Thực hiện đếm cấu thể sợi sử dụng hai độ phóng đại khác nhau. Độ phóng đại nhỏ hơn nằm trong khoảng từ 300x đến 400x. Độ phóng đại cao hơn là 1 000x.
Để nhận dạng bằng EDXA có thể cần đến độ phóng đại cao hơn (5 000x hoặc cao hơn) phụ thuộc vào độ rộng của cấu thể. Điện áp tăng tốc cho SEM là cả hai để đếm và EDXA 15 hoặc 20 kV.
Chỉnh SEM sao cho các sợi có chiều rộng khoảng 0,2 µm có thể nhìn thấy ở độ phóng đại 1000x (xem Phụ lục B).
Các mẫu không được nghiêng một góc lớn hơn 20° khi đếm các cấu thể amiăng.
8.2 Quy trình
8.2.1 Chuẩn bị mẫu
Khi sử dụng băng dính, phần chất hạt của một phần băng dính được sử dụng để lấy mẫu đầu tiên được quan sát dưới kính hiển vi soi nổi để xác định độ đồng đều được đáp ứng. Chọn một phần có chiều dài ít nhất 1 cm, nếu cần dùng kéo cắt và cố định để chuẩn bị. Tùy thuộc vào mục tiêu của phép đo, tro hóa plasma mẫu để loại bỏ vật liệu hữu cơ bất kỳ, nếu cần. Sau đó mẫu được phủ vàng hoặc carbon.
CHÚ THÍCH: Khi phủ mẫu bằng carbon hoặc vàng, phải chú ý không làm nóng mẫu làm phần dính bắt đầu tan chảy. Sau khi phủ, các vết nứt có thể được quan sát thấy một phần trên bề mặt. Điều này có thể làm cho việc phân tích khó hơn, nhưng nhìn chung là không đáng kể vì lớp keo dính không bị thay đổi đáng kể do quá nhiệt.
8.2.2 Kiểm tra bằng SEM
8.2.2.1 Diện tích mẫu cần kiểm tra
Đầu tiên, kiểm tra ít nhất 10 mm2 bề mặt mẫu (tối thiểu là 25 trường ảnh) về cấu thể sợi ở độ phóng đại thấp (300x đến 400x). Sau đó, phân tích 1 mm2 bề mặt mẫu ở độ phóng đại 1000 lần. Việc phân tích có thể được kết thúc nếu tìm thấy 60 cấu thể sợi (xem Điều 9). Các cấu thể sợi nhìn thấy thêm ở độ phóng đại cao hơn [EDX] và kết cấu có chiều dài < 5 µm không được tính đến. Các trường ảnh kiểm tra phải được lấy ngẫu nhiên và chọn trên toàn bộ bề mặt của mẫu tiếp xúc (khoảng 1 cm2), tránh sự chồng chéo trường ảnh.
8.2.2.2 Quy tắc đếm cấu thể sợi
- Tất cả các cấu thể sợi (có chứa các sợi có thể nhìn thấy của dạng cần nghiên cứu (amiăng hoặc MMVF) được đếm và chia thành bốn loại sợi đơn, bó sợi, búi sợi và ma trận sợi (xem Điều 3).
- Nếu một cấu thể sợi bao gồm nhiều hơn một phần tám trường ảnh, điều này được ghi chú trong hình thức đếm sợi.
- Tất cả các cấu thể sợi vượt ngoài trường ảnh đều được đếm.
CHÚ THÍCH: Việc xác định kích thước (chiều dài/chiều rộng) của cấu thể đếm được (amiăng) có thể được thực hiện, nhưng không phải là bắt buộc.
|
|
|
| Búi sợi, gồm nhiều hơn tám | Búi sợi |
|
|
|
| Sợi đơn lẻ | Ma trận sợi |
|
|
|
| Bó sợi | Ma trận sợi |
|
|
|
| Búi sợi | Ma trận sợi, gồm nhiều hơn tám |
Hình 2 - Một số ví dụ áp dụng nguyên tắc đếm sợi
8.3 Phân loại sợi bằng EDXA.
8.3.1 Tiêu chí phân loại chung
Các sợi được phân loại theo phổ EDXA. Thứ nhất, chiều cao pic, P, và mức nền, B, được đánh giá bằng tỷ số:
(P + B)/B và chia thành một trong ba loại sau đây:
- Loại A: (P + B)/B ≥ 4
- Loại B: 2 ≤ (P + B)/B < 4
- Loại C: (P + B)/B <2 và phát hiện đáng kể (P> 3 √B)
Sợi được phân loại là vô cơ nếu phổ EDXA chứa một tín hiệu của loại A hoặc B, có tính đến duy nhất các nguyên tố với số nguyên tử Z ≥ 11 (nghĩa là từ Na trở đi).
CHÚ THÍCH: Các số đưa ra ở trên đối với tỷ lệ (P + B)/B phụ thuộc từ độ phân giải năng lượng của detector. Đối với độ phân giải 130 eV hoặc ít hơn: có thể sử dụng 6 thay cho 4 và 3 thay cho 2.
- Các tiêu chí được liệt kê trong Bảng 3 dùng để giải thích quang phổ. Có thể trên cơ sở các tiêu chí này chỉ phân biệt được giữa sợi silicat với chrysotile hoặc phổ giống amphibole và các loại sợi khác đã được đề cập.
Bảng 3 - Các tiêu chí để giải thích phổ EDX
| Loại sợi | Tiêu chí |
| Chrysotila | Pic của Mg và Si: loại A hoặc B Pic của Fe, Mn và Al: loại C (các pic khác có thể phụ thuộc vào các chất kết dính hoặc liền kề, ví dụ như Ca, Cl) |
| Amiăng Amphibolb (amosit, crocidolit) | Pic của Si và Fe: loại A hoặc B Pic của Mn, Mg, Na: có thể loại C (các pic khác có thể phụ thuộc vào các chất kết dính hoặc liền kề, ví dụ như Ca, Cl) |
| Canxi sunphat (thạch cao) | Phân biệt pic của Ca, S có mặt (có thể có các pic khác nếu sulfat canxi không tinh khiết) |
| Sợi vô cơ khác | Sợi có quang phổ không đáp ứng các tiêu chí trên nhưng chứa ít nhất một pic của nguyên tố loại A hoặc B trên Z ≥ 11 |
| Sợi hữu cơ | Sợi có quang phổ không chứa pic nguyên tố loại A hoặc B đối với Z ≥ 11 |
| a Tiêu chí này cũng được amiăng amphibol và anthophylit, sợi bột talc thỏa mãn, tuy nhiên, chúng thường được phân biệt với chrysotil qua tỉ số Mg/Si thấp hơn. b Nếu loại amiăng amphibol actinoli và tremolit có trong mẫu, cần chú ý rằng pic Ca phải hoàn toàn trong nhóm A hoặc B mà Mg (tremolit) có thể bổ sung hoặc thay cho Fe (actinolit). Nếu sợi anthophylit xuất hiện, trong trường hợp biến thể giàu Mg pic A hoặc B phải có Si và Mg. Fe sau đó chỉ xảy ra như một cấu phần phụ. Hàm lượng Mg giảm vì hàm lượng Fe tăng. Nói chung cần chú ý biến thể amiăng amphibol tremolit, actinolit và anthophylit đã được dùng chỉ ở mức độ nhỏ trong sản phẩm công nghiệp. Các sợi có tỉ số Mg/Si thấp hơn chrysotil có thể là hạt bột talc có sợi hoặc các sợi amiăng amphybol anthophylit. Có thể phân biệt chrysotil với bột talc hoặc anthophylit bằng phân tích định lượng nguyên tố. Bột talc và sợi anthophylit có thể được phân biệt dựa trên sự khác nhau trong cấu thể tinh thể của chúng thông qua nhiễu xạ electron sử dụng kính hiển vi điện tử truyền qua. | |
Điều quan trọng là trong quá trình tiếp nhận quang phổ EDXA từ một sợi, thì việc tán xạ chùm electron có thể dẫn đến phát xạ tia X từ các hạt đính kèm hoặc gần sợi đang được phân tích. Do đó, phổ EDXA thu được có thể chứa các pic tia X từ các nguyên tố không có mặt trong các loại amiăng. Trong những trường hợp này, cần cố gắng để có được quang phổ EDXA từ một vài vị trí trên sợi, càng xa các hạt dính hoặc hạt liền kề càng tốt, để giảm thiểu tối đa sự tham gia của các hạt khác.
8.3.2 Tiêu chí phân loại bổ sung đối với các loại amiăng
8.3.2.1 Secpentin (chrysotil)
Phân loại sợi là secpentin (chrysotil) nếu
a) Các pic Mg và Si rõ ràng, với (P + B)/B > 2 và
b) Các pic bất kỳ của Fe, Mn, Al là nhỏ, với P/B < 1.
CHÚ THÍCH : Tùy thuộc vào cấu tạo của các hạt liền kề hoặc đính kèm, các pic khác như: Ca hoặc Cl cũng có thể nhìn thấy được.
CHÚ THÍCH 2: Anthophyllit và talc cả hai đều có phổ EDXA phù hợp với đặc điểm này, nhưng tỷ số chiều cao pic Mg/Si đối với các nguyên tố này là thấp hơn so với secpentin. Để tránh phân loại sai talc hoặc anthophyllit là secpentin, thì điều quan trọng là phải tính đến tỷ số chiều cao pic của Mg/Si và hiệu chuẩn detector EDXA sử dụng các mẫu serpentine và talc đã biết.
8.3.2.2 Amosit
Phân loại sợi là amosit nếu
a) Các pic Si và Fe rõ ràng, với (P + B)/B> 2 và
b) Pic bất kỳ của Na, Mg và/hoặc Mn là nhỏ.
CHÚ THÍCH: Tùy thuộc vào các hạt bất kỳ liền kề hoặc đính kèm, mà các pic khác như: Ca hoặc Cl cũng có thể nhìn thấy được.
8.3.2.3 Crocidolit
Phân loại sợi là crocidolit nếu
a) Các pic Na, Si, Fe và rõ ràng, với (P + B)/B> 2 và
b) Pic bất kỳ của Mg là nhỏ và pic bất kỳ của Mn là nhỏ với P/B < 1.
CHÚ THÍCH: Tùy thuộc vào các hạt liền kề hoặc đính kèm, mà các pic khác như: Ca hoặc Cl cũng có thể nhìn thấy được.
8.3.2.4 Tremolit hoặc actinolit
Phân loại sợi là tremolit hoặc actinolit nếu
a) Các pic Mg, Si, và Ca rõ ràng, với (P + B)/B> 2 và
b) Pic từ Fe có thể có mặt, nhưng pic bất kỳ của Na rất mờ, với P/B <1.
CHÚ THÍCH: Tùy thuộc vào các hạt liền kề hoặc đính kèm, mà pic khác như: Ca hoặc Cl cũng có thể nhìn thấy được.
8.3.2.5 Anthophyllit hoặc talc
Phân loại sợi là anthophyllit/talc nếu
a) Các pic Mg và Si rõ ràng, với (P + B)/B> 2 và
b) Tỷ số chiều cao (hoặc diện tích) pic Mg/Si phù hợp với tỷ số chiều cao (hoặc diện tích) pic thu được trên các sợi anthophyllit hoặc talc đối chứng và pic bất kỳ của Fe, Ca là nhỏ
CHÚ THÍCH: Khi sử dụng các tiêu chí xác định phân tích bổ sung này, xem Bảng 3.
8.3.2.6 Phổ EDXA đối chứng từ các chuẩn của các loại amiăng khác nhau
Đối với loại sợi bất kỳ nào, thì chiều cao tương đối của các pic trong phổ EDXA thay đổi theo các đặc tính của detector tia X. Cụ thể, hiệu quả phát hiện đối với các pic tia X từ các nguyên tố có số nguyên tử thấp là cao hơn đối với các detector cửa sổ siêu mỏng so với khi sử dụng các detector berili chuẩn. Bởi vì mỗi loại detector EDXA có các đặc tính hiệu suất khác nhau, nên cần có phổ đối chứng cho từng hệ thống SEM-EDXA, sử dụng các chất chuẩn của các loại amiăng. Một loạt phổ như vậy thu được sử dụng detector cửa sổ siêu mỏng như ví dụ trong Hình 3. Các phổ này được sử dụng cho mục đích so sánh trong việc phân loại các loại sợi. Vì hiệu suất của detector EDXA có thể thay đổi theo thời gian, nên tại các khoảng thời gian thích hợp cần thu được phổ tham chiếu mới và đặc biệt là sau khi bảo dưỡng detector.

a) Chrysotil (không phủ vàng)

b) Amosit (không phủ vàng)
Hình 3 - Phổ EDXA từ sợi của các loại amiăng đối chứng (tiếp theo)

c) Crocidolit (không phủ vàng)

d) Tremolit (không phủ vàng)
Hình 3 - Phổ EDXA từ sợi của các loại amiăng đối chứng (tiếp theo)

e) Actinolit (không phủ vàng)

f) Anthophyllit (không phủ vàng)
Chú dẫn
| X | KeV |
| Y | số đếm |
Hình 3 - Phổ EDXA từ sợi của các loại amiăng đối chứng (kết thúc)
8.3.2.7 Các biện pháp phòng ngừa bổ sung trong quá trình thu được phổ EDXA
Trong quá trình thu được phổ EDXA, cần chú ý để bảo đảm bảo rằng chùm điện tử ổn định, điểm tới nằm trên cấu thể và chùm tia không lệch ra khỏi cấu thể trong khi phân tích. Cũng cần đảm bảo rằng điểm tới của chùm electron càng xa càng tốt khỏi sợi đính kèm hoặc liền kề và/hoặc các hạt, để có được phổ từ cấu thể với nhiễu tối thiểu. Trong một số trường hợp không thể phân loại được cấu thể rõ ràng. Điều này có thể do nhiễu của các hạt hoặc các loại sợi khác hoặc do tỷ số pic với nền không đủ. Trong trường hợp này, ghi lại dữ liệu đối với các cấu thể này bằng dấu sao và nêu rõ lý do về hình thức đếm cấu thể.
8.3.3 Phân loại khác nhau của các loại sợi khác
8.3.3.1 Sợi sản phẩm vô cơ
Các sợi có thể được phân loại là sợi sản phẩm chỉ khi nguồn gốc của các sợi này có thể được đặc trưng cho sản phẩm có mặt trên các vùng lân cận của vị trí lấy mẫu. Khi đó, phổ của các sợi trên cái lọc thống nhất với phổ của sản phẩm.
Để cung cấp chứng chỉ lượng lớn mẫu vật liệu phải được thực hiện theo ISO 22262-1. Phổ EDX của một vài sợi mảnh lấy từ các nơi khác nhau của mẫu vật liệu lớn phải được so sánh với nhau. Nếu phổ tương đối đồng nhất với các pic nguyên tố trùng khớp với nhau và mẫu cường độ được phát hiện, có thể thu được danh mục các nguyên tố đặc trưng từ những phổ này. Danh mục thu được của các nguyên tố đặc trưng tìm thấy trên các sợi vật liệu về nguyên tắc có thể được sử dụng để phân loại sợi trên cái lọc thu nhận mẫu.
Để phân định là sợi sản phẩm, phổ nguyên tố được ghi lại đối với 10 sợi mảnh trong một mẫu phân tán của mỗi mẫu vật liệu. Một nguyên tố nằm trong trong danh mục các nguyên tố trong sản phẩm trong loại A nếu được tìm thấy nhiều hơn tám trong số 10 sợi này với một tỷ số tín hiệu/nền ≥ 3:1. Nếu phát hiện được nhiều hơn sáu sợi loại A hoặc loại B, nghĩa là có tỷ số tín hiệu/nền ≥ 1:1, nhưng không thỏa mãn điều kiện kết luận nguyên tố A, thì được coi là nguyên tố B.
Đối với việc so sánh phổ trên cái lọc thu nhận mẫu, nên sử dụng quy trình sau đây: Trong danh mục nguyên tố của sợi sản phẩm mỗi pic nguyên tố được phân thành các loại A, B, hoặc C phụ thuộc vào mối quan hệ (P + B)/B. Dựa trên hệ thống phân loại này sợi có nguồn gốc từ mẫu không khí và thuộc loại "các sợi vô cơ khác" có thể được phân loại là sợi sản phẩm nếu phổ EDX tuân thủ các điều kiện sau đây.
a) Các nguyên tố có các pic thuộc loại A trong phổ đối chứng phải được phát hiện với một mẫu cường độ theo loại B.
b) Các nguyên tố được phân thành loại B trong phổ đối chứng ít nhất là một phần ba phải được phát hiện. Nếu ít hơn ba nguyên tố này được phát hiện trong phổ đối chứng của lượng lớn vật liệu thì sợi được phân loại là sợi sản phẩm ngay cả khi không sợi nào trong số này được phân vào loại B. Tuy nhiên, ít nhất một nguyên tố phải đáp ứng tiêu chí loại C. Ví dụ, các phổ EDX của sợi thủy tinh từ lượng lớn mẫu có thể chỉ ra các nguyên tố Na, Mg, Al, Si, K, Ca, trong khi pic Na hoặc Al hoặc Mg có thể không có. Trong mọi trường hợp các pic khác biệt của Si và Ca được phát hiện.
Các quy định của tiêu chí trên để phân loại "sợi vô cơ khác" như sợi sản phẩm là một quy ước mà có thể dẫn đến cả đánh giá quá cao và quá thấp về nồng độ sợi sản phẩm thực tế.
8.3.3.2 Sợi hữu cơ
Việc phân biệt giữa các loại sợi hữu cơ khác nhau là không thể. Thông tin trước đó là cần thiết cho việc này. Cũng có thể hữu ích trong một số trường hợp nếu các chất ban đầu đã biết là có sẵn cho các tính chất hình thái có thể tạo thuận tiện cho việc xác định các dạng sợi cần tìm trong Tài liệu tham khảo [8].
Những điểm sau đây phải được tuân thủ để phát hiện sợi hữu cơ.
- Thực hiện tro hóa mẫu không lạnh.
- Điện áp gia tốc cho phép phải được thử nghiệm trên mẫu thực tế. Điện áp tăng tốc này phải được bảo đảm trong trường hợp sợi có chiều rộng 0,2 µm hoặc nếu sợi mảnh này không có mặt trong mẫu, các sợi mảnh nhất có mặt cần được xác định.
- Các detector không có cửa sổ hoặc cửa sổ siêu mảnh cần được sử dụng sao cho có thể phát hiện các nguyên tố nhẹ từ Z = 6 (carbon) trở lên. Cần lưu ý trong kết nối này một số detector nguyên tố nhẹ làm mờ pic nitơ.
- Sợi được phân loại là sợi hữu cơ nếu các pic chính trong các yếu tố trong phổ EDX cho thấy các nguyên tố có Z <11, đặc biệt là C (trừ sợi carbon) là 0 và có thể có mặt các nguyên tố F, Cl, hoặc S.
9 Tính toán và biểu thị kết quả
Cùng với phép phân tích định tính hoàn toàn (sự có mặt của một loại sợi nhất định: có/không), thì các kết quả đếm liên quan đến diện tích cái lọc được phân tích có thể tính được là cấu thể sợi trên cm2. Để lấy khả năng cao hơn của các bó, búi và ma trận sợi phát thải các loại sợi, các cấu thể này được tính nhiều hơn (xem Bảng 4).
Bảng 4 - Các trọng số
| Kiểu cấu thể sợi | Trọng số |
| Sợi đơn | 1 |
| Bó sợi | 5 (10a) |
| Búi sợi | 5 (10a) |
| Ma trận sợi | 5 (10a) |
| a Với độ bao phủ 1/8 diện tích trường ảnh bởi cấu thể sợi ở độ phóng đại 300 đến 400x. Một cấu thể được tính chỉ một lần: hoặc 5 hoặc 10. | |
|
| (1) |
Trong đó:
ZW là kết quả đếm được, 1/cm2;
SW,i là số kết quả đếm của loại cấu thể sợi đơn kiểu i;
A là diện tích mẫu được phân tích, cm2
Cùng với kết quả đếm trọng số, thì số lượng các cấu thể sợi thực tế tìm thấy và tổng diện tích trường ảnh được phân tích cũng cần được đưa ra. Điều này hữu ích cho phân tích về sau (ví dụ thống kê).
Do sự thay đổi đáng kể về chiều rộng sợi có thể gây ra, ví dụ, do tính không đồng nhất của sự phân bố sợi trên bề mặt không thể tránh khỏi, thì các sai lệch hoàn toàn ngẫu nhiên trong phép phân tích, bốn loại được đặc trưng bởi kết quả đếm trọng số được áp dụng (xem Bảng 5). Phép phân tích và biểu thị kết quả được phân theo các loại sợi (amiăng, MMVF).
CHÚ THÍCH: Các số lượng (trọng số) cấu thể được tìm thấy ở hai độ phóng đại được bổ sung cũng như diện tích được kiểm tra.
Bảng 5 - Phân thành các loại (kiểu sợi amiăng, MMVF, sợi khác)
| Phép phân tích | Kết quả đếm trọng số Zw 1/cm2 | Loại |
| Không phát hiện được kiểu loại sợi | 0 | 0 |
| Phát hiện được kiểu loại sợi | > 0 đến 100 | 1 |
| Bề mặt phủ dạng sợi | > 100 đến 500 | 2 |
| Bề mặt phủ đầy dạng sợi | > 500 | 3 |
Khuyến khích sử dụng việc phân loại ở trên thay số mật độ cấu thể "chính xác", do sự tán xạ đáng kể mật độ cấu thể được đo, ảnh hưởng ngẫu nhiên hoặc do sự không đồng nhất trong chất tải bề mặt bụi. Trọng số cấu thể là một quy ước và được xem xét, cấu thể đa sợi (đặc biệt là trong trường hợp amiăng có nguy cơ) sinh ra một số lượng lớn các sợi, ví dụ: nếu tiếp tục chia ra bảng các ảnh hưởng cơ học.
10 Báo cáo phân tích
Báo cáo phân tích ít nhất phải có các thông tin sau đây:
- Hai độ phóng đại cho SEM (ví dụ: 300x và 1000x);
- Vùng mẫu được phân tích ở độ phóng đại cụ thể;
- Số lượng trường ảnh tìm thấy của cấu thể sợi và các đặc điểm nhận dạng liên quan (cấu thể sợi, amiăng amphibol, chrysotil, MMVF).
CHÚ THÍCH: Nếu trong cấu thể sợi tìm thấy các loại khác nhau của amiăng, thì cấu thể này được báo cáo là chỉ có một loại amiăng hoặc chú thích hợp lý trong cột nhận xét. Điều này ngăn ngừa các cấu thể dạng sợi bị tính hai lần.
Ví dụ về biên bản đếm được đưa ra trong Phụ lục A.
11 Độ không đảm bảo đo
11.1 Khái quát
Kinh nghiệm cho thấy việc kiểm tra các bề mặt trong phòng hoặc trong tòa nhà, trong đó có các sản phẩm không chứa amiăng được hoặc đã được sử dụng cho kết quả "không phát hiện có amiăng" trong phần lớn các trường hợp khi áp dụng phương pháp đo quy định và nồng độ amiăng của không khí xung quanh không bị ảnh hưởng bởi các nguồn phát thải ở các vùng lân cận của các tòa nhà. Lý do là nồng độ amiăng thường có mặt rất thấp trong không khí xung quanh, vì vậy mà ngay cả các bề mặt chưa được làm sạch trong thời gian dài không có ô nhiễm bất kỳ nào của amiăng được phát hiện.
Các giá trị đo được xác định, cùng với mẫu ngẫu nhiên liên quan đến độ lệch (11.2), thông qua một loạt các yếu tố ảnh hưởng có thể biến đổi không phải luôn được biết đến với độ chính xác và thường dẫn đến độ lệch của các giá trị quá thấp. Như vậy, với một số loại bề mặt, ví dụ bêtông, dự kiến có độ nhám mịn, các hốc và lỗ làm cho chất tải hạt không đồng nhất của các mẫu. Tương tự như vậy, giả định rằng có thể không phải tất cả các sợi trên bề mặt đã được lấy ra bằng các chất kết dính.
Mặc dù vậy, phát hiện dương tính các sợi theo hướng dẫn này là chỉ thị rất nhạy về ô nhiễm bề mặt. Cả hai chỉ thị hướng hữu dụng (sợi như tổ ong) và các yếu tố là hữu ích vì các chỉ thị phát thải sợi trong tương lai và tính hiệu quả của chế độ làm sạch cần được quan tâm. Vì vậy, trọng số đối với "các cấu thể đa sợi" (bó sợi, búi, ma trận sợi) đã được đưa vào. Cách tiếp cận này làm cho phép phân tích dễ dàng hơn đáng kể và đảm bảo lợi thế của mẫu tiếp xúc, còn gọi là đơn giản hóa của việc lấy mẫu. Trong trường hợp này, ưu tiên lấy một phạm vi rộng các mẫu ngẫu nhiên (nhiều mẫu đơn) hơn so với việc lấy các mẫu đơn gần nhau.
11.2 Độ lệch liên quan đến mẫu ngẫu nhiên
Việc lắng đọng các cấu thể sợi trên bề mặt phụ thuộc vào phân bố ngẫu nhiên. Sai lệch liên quan đến mẫu ngẫu nhiên không thể tránh khỏi tạo thành là chính trong cấu thể của nó với độ lệch dự kiến liên quan đến các phép đo không khí.
Nếu một phần diện tích nhỏ được quan sát (ví dụ, diện tích được phân tích sau này) và trình tự thời gian lắng đọng được chia thành các khoảng thời gian rất nhỏ ti, sau đó bắt đầu từ một điểm thời gian trở đi (bắt đầu lắng đọng), cấu thể được lắng đọng tại thời điểm tn và tại một thời điểm tn+x một cấu thể khác được lắng đọng v.v... Sau thời gian T (thời điểm lấy mẫu kết dính), có thể quan sát thấy số lượng các cấu thể sợi cho phân bố Poisson, nếu so sánh các kết quả từ các diện tích có kích thước tương tự (kích thước mẫu) trong vùng bề mặt lớn hơn (có lắng đọng đồng đều) được đánh giá. Giả định rằng mẫu tiếp xúc đã lấy ra được các cấu thể sợi từ bề mặt mà không làm thay đổi bản chất đáng kể, khi đó kết quả đếm tương ứng không trọng số cũng sẽ hiển thị phân bố Poisson theo hướng dẫn này (xem thêm ISO 14966). Các thông số ảnh hưởng đến độ lệch liên quan đến mẫu ngẫu nhiên và việc tính các khoảng tin cậy được tóm tắt trong Phụ lục C.
11.3 Sai lệch trong phân tích và trọng số của các kết quả đếm
Các độ lệch đếm có thể được dự kiến nhỏ hơn so với phép phân tích cái lọc do các quy tắc đếm tương đối đơn giản để phát hiện các cấu thể dạng sợi (không có chiều dài hoặc giới hạn trung bình và không tách các cấu thể đa sợi thành sợi đơn và phân cỡ). Tuy nhiên các độ lệch gây ra bởi việc sử dụng hai độ phóng đại. Với độ phóng đại nhỏ hơn (300x đến 400x), dự kiến các sợi đơn có riêng đường kính nhỏ hơn khoảng 0,6 µm sẽ không phát hiện được. Các sợi amiăng lớn hơn có chứa cấu thể (d > 0,6 µm) được đếm hiệu quả hơn ở chính những độ phóng đại nhỏ được sử dụng. Việc này dẫn đến một giá trị số lượng định hướng hơn, được nhấn mạnh nếu hệ số trọng số được dùng.
Việc sử dụng hai độ phóng đại khác nhau liên quan đến việc đếm phân biệt các búi dẫn đến những sai lệch do độ phân giải tốt hơn ở độ phóng đại cao hơn, vì các sợi đơn có thể được phân biệt với nhau rõ hơn. Các trọng số đồng nhất trong những trường hợp khác lại ngược lại điều này. Các trọng số là quy ước. Các sai lệch tạo thành không thể được định lượng chính xác như một kết quả. Hạn chế này cần được tính đến qua việc phân loại chung thành bốn loại mức độ ô nhiễm bề mặt.
Trên một tập hợp bốn mẫu, các kết quả sau đây đã thu được bởi bốn phòng thí nghiệm từ ba quốc gia khác nhau (xem bảng 6), sử dụng phương pháp này.
Bảng 6 - So sánh kết quả / kết quả đếm trọng số (amiăng)/phân thành các loại
|
| Nồng độ sợi (cm-2)/loại | |||
| Mẫu | Phòng thí nghiệm 1 | Phòng thí nghiệm 2 | Phòng thí nghiệm 4 | Phòng thí nghiệm 4 |
| 1 | ND/0 | ND/0 | ND/0 | ND/0 |
| 2 | 2300/3 | 1240/3 | 1482/3 | 2250/3 |
| 3 | 45/1 | 63/1 | 82/1 | 92/1 |
| 4 | 18/1 | ND/0 | ND/0 | ND/0 |
| ND = không phát hiện được | ||||
Độ lệch có thể thay đổi tùy thuộc vào loại sợi và hạt của mẫu.
11.4 Giới hạn phát hiện
Giới hạn phát hiện đối với các mục đích của hướng dẫn này được hiểu là mật độ cấu thể sợi (cm-2) mà dưới đó, có xác suất 95 % mật độ thực tế được coi là hợp lệ khi không có cấu thể dạng sợi được phát hiện trong kiểm tra bằng SEM. Giới hạn phát hiện phụ thuộc vào diện tích mẫu kiểm tra F, với điều kiện là các hướng dẫn quy định trong tiêu chuẩn này được tuân thủ, giới hạn phát hiện được xác định như sau: Đối với n = 0 hoặc Sw = 0 (không có cấu thể sợi được tìm thấy), giới hạn trên được làm tròn lên đến số nguyên λ0 = 4 đối với khoảng tin cậy 97,5 %.
CHÚ THÍCH: Ngược lại với ISO 14966, ở đây phép tính được thực hiện cho giá trị 0 với khoảng tin cậy 97,5 % và được làm tròn lên. Phương pháp này có một vài biến số ảnh hưởng có thể định lượng được nhưng có khó khăn trong tính toán.
Từ giới hạn phát hiện này, tính được D:
| | (2) |
Trong đó:
F là diện tích mẫu được kiểm tra, cm2.
Đối với diện tích mẫu của 0,11 cm2 được phân tích theo phương pháp này, thì giới hạn phát hiện 36 cm-2 tồn tại cho các cấu thể sợi.
12 Ứng dụng và hướng dẫn sử dụng
12.1 Yêu cầu chung
Trong thực tế, một loạt các câu hỏi phát sinh mà chỉ một phần đề cập ở phần sau. Việc chuyển đổi từ các phương pháp trước đây được sử dụng nhiều nhất sang phương pháp quy định trong tiêu chuẩn này có thể dẫn đến các kết quả khác. Điều này không chỉ áp dụng việc phân loại và phân tích các kết quả cuối cùng, mà còn thu được kết quả đếm được. Trước đó mẫu được kiểm tra ban đầu thường ở các độ phóng đại khác nhau và sau đó phân tích chính xác hơn của các vùng được tải rõ thực hiện ở độ phóng đại cao hơn. Hậu quả là nồng độ sợi thấp hơn (<100 cm-2) thường được ước tính là cao hơn so với nồng độ phát hiện bằng phương pháp này. Tuy nhiên, tùy thuộc vào phương pháp và tiêu chí phân tích, quá trình kiểm tra thường kết thúc sớm khi số lượng cấu thể có liên quan đã được tìm thấy, có thể dẫn đến đánh giá thấp hơn trong dải trên khi thực hiện theo tiêu chuẩn này.
Sự phân biệt rõ ràng giữa các búi, bó và ma trận sợi không phải luôn có thể. Trong những trường hợp này người phân tích phải quyết định. Tuy nhiên việc xác định không có ý nghĩa quan trọng đối với kết quả cuối cùng vì cả hai cấu thể có trọng số như nhau.
Các quy tắc đếm và các định nghĩa tương ứng đã được chủ định giữ riêng để không làm ảnh hưởng đến lợi thế thực tế của các mẫu tiếp xúc, đó là sự dễ dàng của việc lấy mẫu, có yêu cầu quá cao về độ chụm như đã đề cập trong 11.1. Giả định rằng độ lệch phát sinh từ việc lấy mẫu ngẫu nhiên trong kết quả cuối cùng là chiếm ưu thế trong mọi trường hợp, do đó phép phân tích chi tiết và phức tạp đối với các mẫu đơn là không có lợi.
12.2 Yêu cầu đối với mẫu
Diện tích mẫu cần được phân tích theo phương pháp này là 1 cm2. Kích thước này đã được chọn vì đầu mẩu SEM trên một số thiết bị chỉ cho phép cỡ mẫu chỉ hơi lớn hơn 1 cm2. Cỡ mẫu này có lợi thế trong vùng diện tích nhỏ như vậy có mặt các hạt đều hơn dẫn đến phương sai nhỏ hơn của các kết quả đơn lẻ. Nếu việc lấy mẫu được thực hiện bằng băng dính, thì tổng diện tích mẫu có sẵn là lớn hơn hẳn. Khả năng ở đây là tạo ra hai hoặc ba mẫu đơn lẻ. Cho dù điều này là hữu ích, nhưng vẫn phụ thuộc vào điều tra cụ thể cần biết.
Nếu yêu cầu các kết quả thống kê đối với một dự án, thì bề mặt được lấy mẫu không nên có các khuyết tật lớn như các hốc hoặc các lỗ trong vùng mẫu được lấy và bề mặt lấy mẫu cần phải nhẵn vì băng dính có thể thay đổi trong bộ thu thập mẫu, cần sử dụng cùng loại băng dính cho cùng vị trí hoặc nếu cần so sánh giữa các vị trí.
Khi sử dụng dụng cụ cứng như vật liệu kết dính (ví dụ: miếng carbon gắn trên đầu mẩu SEM), đặc biệt quan trọng đối với kết quả hợp lệ trong vùng lấy mẫu là không có các hạt các lớn trên bề mặt. Điều này thường dẫn đến không chỉ việc các hạt bám vào bề mặt của mẫu tiếp xúc mà còn một phần lớn của bề mặt mẫu không tiếp xúc được với vật liệu dính.
12.3 Tổng hợp các kết quả đối với nhiều mẫu đơn lẻ
Việc xác định giá trị trung bình trên nhiều mẫu của một diện tích bề mặt là thích hợp nếu cần so sánh sự ô nhiễm của hai bề mặt. Yêu cầu đối với điều này là sự ô nhiễm trong các vùng cụ thể có thể được giả định là đồng nhất.
Các kết quả riêng lẻ từ một diện tích bề mặt cộng lại, đầu tiên các cấu thể đếm được không trọng số Si được cộng với nhau và được áp dụng cho tổng diện tích cần phân tích. Điều này tương ứng với giá trị trung bình Sm cho diện tích này.
|
| (3) |
Trong đó:
F là diện tích mẫu được kiểm tra, tính bằng cm2.
Để thực hiện việc này, trước tiên cộng các cấu thể sợi đơn lẻ được tách ra từ các cấu thể đa sợi sao cho kết quả cuối cùng có thể tính được, nếu yêu cầu.
Các giá trị trung bình của hai diện tích cần được so sánh với nhau, cần thực hiện các phép kiểm tra dựa trên tổng của các cấu thể tìm được ΣSi (xem 11.2) và không theo cơ sở của mật độ cấu thể sợi trung bình Sm tính được theo Công thức (3).
Nếu các diện tích đã được phân tích trong các mẫu từ hai diện tích có kích thước khác nhau, thì tổng các cấu thể ΣSi,1 từ diện tích Fx có diện tích đã phân tích lớn hơn cần được chuyển đổi tương ứng và được làm tròn đến số nguyên:
|
| (4) |
Trong đó
ΣSi,1 là tổng các cấu thể từ diện tích Fi;
ΣS’i,1 là tổng các cấu thể đã chuẩn hóa;
F1 là diện tích 1;
F2 là diện tích 2
Phụ lục A
(Tham khảo)
Ví dụ về biên bản đếm cấu thể SEM
|
| Trang: | |||
| Mẫu số: Ngày tháng: Tên: | ||||
| Độ phóng đại: | Diện tích trường ảnh (mm2); | |||
| Cấu thể số | Trường ảnh số | Loại | Cấu thể | Trọng số |
| 1 |
|
|
|
|
| 2 |
|
|
|
|
| 3 |
|
|
|
|
| 4 |
|
|
|
|
| 5 |
|
|
|
|
| 6 |
|
|
|
|
| 7 |
|
|
|
|
| 8 |
|
|
|
|
| 9 |
|
|
|
|
| 10 |
|
|
|
|
| 11 |
|
|
|
|
| 12 |
|
|
|
|
| 13 |
|
|
|
|
| 14 |
|
|
|
|
| 15 |
|
|
|
|
| 16 |
|
|
|
|
| 17 |
|
|
|
|
| 18 |
|
|
|
|
| 19 |
|
|
|
|
| 20 |
|
|
|
|
| Tóm tắt: các cấu thể đếm được/tổng kết quả Σ |
|
| ||
| Các chữ viết tắt | ||
| Kiểu loại (sợi amiăng): | Cấu thể: | Lưu ý: |
| C là chrysotil | F là sợi |
|
| A là amosit | B là bó |
|
| CR là crocidolit | C là búi |
|
| AC là actinolit | M là ma trận sợi |
|
| TR là tremolit |
|
|
| AN là anthophyllit |
|
|
| Các loại sợi khác quy định kiểu loại và nhãn | ||
Phụ lục B
(Quy định)
Quy trình hiệu chuẩn và điều chỉnh SEM
B.1 Hiệu chuẩn kính hiển vi điện tử quét
Mẫu SEM được kiểm tra ở điện áp gia tốc khoảng 15 kV đến 20 kV và độ phóng đại 300x đến 400x hoặc 1000x. Để nhận dạng sợi trong SEM, nên dùng điện áp gia tốc 15 kV đến 20 kV.
Độ phóng đại trên màn hình phải được hiệu chuẩn bằng chuẩn phóng đại thương mại đã được chứng nhận. Điều quan trọng để nhận ra rằng giá trị phóng đại hiển thị trên một số kiểu SEM là có thể áp dụng cho các ảnh hiển vi tạo ra bởi hệ thống ghi và không phải màn hình quan sát (màn hình CRT). Việc kiểm tra SEM được thực hiện trực tiếp trên màn hình quan sát và việc hiệu chuẩn độ phóng đại phải liên quan đến màn hình quan sát.
Chỉnh SEM sao cho các sợi có chiều rộng khoảng 0,2 µm chỉ có thể nhìn thấy ở độ phóng đại 1 000x.
Việc điều chỉnh này được thực hiện bằng cách chọn một sợi trên mẫu đã chuẩn bị hoặc trên mẫu thử nghiệm, mà chỉ có thể nhìn thấy ở độ phóng đại xấp xỉ 1 000x được sử dụng để đếm cấu thể. Chiều rộng của sợi này sau đó được khẳng định bằng cách đo ở độ phóng đại 10000x. Thực hiện việc chỉnh này thường xuyên trước mỗi dãy phân tích.
Vị trí của detector tia X sao cho nó nằm đối diện góc khối lớn nhất có thể ở bề mặt mẫu.
CHÚ THÍCH 1: Trên màn hình CRT kích thước 25 cm x 16 cm, 25 trường ảnh ở độ phóng đại 1 000x tương ứng với diện tích 1 mm2 trên mẫu vật.
CHÚ THÍCH 2: Chiều rộng của đường quét (hoặc chiều rộng pixel đối với SEM có hình ảnh kỹ thuật số) trên mẫu và đường kính chùm electron là các yếu tố quyết định độ phân giải trong SEM. Với điều kiện là chiều rộng đường quét hoặc chiều rộng pixel không vượt quá 0,25 µm, không cho biến dạng hình ảnh liên quan đến độ phân giải của sợi dày 0,2 µm dài hơn 5 µm được quan sát.
B.2 Điều chỉnh hệ thống EDXA
Cần sử dụng góc khối lớn nhất của hệ thống detector EDXA. Các thông số vận hành của SEM và hệ thống detector tia X cần được chọn sao cho các phổ tia X chấp nhận được về thống kê có thể thu được từ sợi chrysotile chiều rộng 0,2 µm trên mẫu thử trong thời gian tối đa 100 s.
Các tiêu chí để chấp nhận thống kê yêu cầu, đối với chiều cao pic P và mức nền B:
|
| (B.1) |
với tối thiểu là 30 xung trong kênh tương ứng với chiều cao pic tối đa cho từng pic magie và silicon và
| (P + B) / B> 2 | (B.2) |
cho từng pic magie và silicon.
Phụ lục C
(Tham khảo)
Độ lệch liên quan đến mẫu ngẫu nhiên
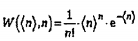
Độ lệch liên quan đến mẫu ngẫu nhiên có thể được mô tả bằng phân bố Poisson:
|
| (C.1) |
Trong đó:
W là xác suất;
(n) là giá trị trung bình của các cấu thể sợi trên diện tích bề mặt được xem xét;
n là kết quả số đếm (số cấu thể đếm được).
Đối với kết quả đếm, khoảng tin cậy 95 % giá trị trung bình dẫn đến kết quả số đếm được tính như sau:
|
| (C.2) |
Trong đó:
λ0 và λU là các giới hạn trên và dưới của khoảng tin cậy 95 % giá trị trung bình (n).
Các giới hạn tin cậy có thể tính được bằng cách sử dụng phân bố ![]()
Giới hạn tin cậy dưới là
λU = D/2
Giới hạn tin cậy trên là
λ0 = E/2
Trong đó:
λ0 và λU là các giới hạn trên và dưới của khoảng tin cậy 95 % của giá trị trung bình (n).
D là giá trị
với 2n bậc tự do và mức ý nghĩa (1 - α/2);
E là giá trị
với 2 (n + 1) bậc tự do và mức ý nghĩa α/2.
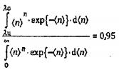
Đối với khoảng tin cậy 95 %, sử dụng α = 0,05. Trong đó n là viết tắt của số đếm cấu thể STR. λU và λ0 được làm tròn theo số nguyên.
Đối với kết quả số đếm bằng 0, trường hợp đặc biệt λ0 tính được đối với xác suất α = 0,1 được áp dụng.
Trong khi giới hạn trên tính được như trên, với trung bình số đếm giả định n, là đặc biệt quan trọng liên quan đến các phép đo không khí đối với các phép thử giá trị giới hạn, câu hỏi thường được phát sinh liên quan đến các mẫu tiếp xúc là liệu hai kết quả đếm và ô nhiễm vùng bề mặt khác nhau đáng kể?. Nếu giả định xác suất sai lỗi 5 %, thì có thể nói rằng độ lệch liên quan đến mẫu ngẫu nhiên mà hai kết quả đếm khác nhau đáng kể nếu λ'0 của kết quả đếm nhỏ hơn n1 nhỏ hơn λ'u của kết quả số đếm lớn hơn n2, theo đó các giới hạn trên và giới hạn dưới cụ thể đối với xác suất α = 0,1 (λ'u của số đếm lớn hơn n2) và α = 0,9 (λ'0 của kết quả số đếm nhỏ hơn n1) được tính bằng cách sử dụng phân bố
(xem ở trên).
Như đã đề cập ở trên, độ lệch trong việc lấy mẫu, cũng như các ảnh hưởng gây nhiễu dẫn đến sự phân bố cấu thể khác trên bề mặt, rất khó để định lượng. Do biến dạng, sau đó sự phối hợp của giá trị trung bình và bình phương của biến thiên điển hình với phân bố Poisson bị mất. Trong hình C.1 đưa ra ví dụ về các độ lệch từ phân bố Poisson lý tưởng nếu giả định hai tham số phân bố nhị thức âm. Thông số được giả định trong Hình là r = 7 là thước đo độ lệch từ phân bố Poisson.
CHÚ THÍCH: r tượng trưng cho một trong hai thông số xác định phân bố nhị thức âm (r > 0 và giả định đây là một số nguyên). Tham số thứ hai là p và có giá trị: 0 < P < 1. Đối với r →∞, phân bố nhị thức âm đưa vào phân bố Poisson.
Do đó, trong thực tế nên tính toán sử dụng các giới hạn trên và giới hạn dưới trong khoảng gần đúng đầu tiên theo bảng ở cuối Phụ lục này là bước đầu tiên trong câu hỏi về sự khác biệt của hai giá trị nhiễm bẩn bề mặt. Quy trình này ít nhất từng phần có tính đến sự mở rộng phân bố Poisson thông qua các ảnh hưởng gây nhiễu.
Hai bề mặt cần được so sánh chặt chẽ hơn liên quan đến ô nhiễm các sợi vô cơ, các phương pháp kiểm tra thống kê phải được đưa ra theo yêu cầu và các điều kiện tiên quyết cần thiết, như số lượng mẫu và phân bố không gian trong kế hoạch đo phải được tính đến.

CHÚ DẪN:
| X kết quả đếm (cấu thể) |
|
| Y xác suất của kết quả đếm |
|
Hình C.1 - Ví dụ tăng độ phân tán do ảnh hưởng nhiễu
Bảng C.1 - Các giới hạn tin cậy trên và giới hạn tin cậy dưới đối với phân bố Poisson
| 1-33 | 34-66 | 67-99 | ||||||
| Số lượng cấu thể | 95 % λU | 95 % λ0 | Số lượng cấu thể | 95 % λU | 95 % λ0 | Số lượng cấu thể | 95 % λU | 95 % λ0 |
| 1 | 0 | 6 | 34 | 24 | 48 | 67 | 52 | 85 |
| 2 | 0 | 7 | 35 | 24 | 49 | 68 | 53 | 86 |
| 3 | 1 | 9 | 36 | 25 | 50 | 69 | 54 | 87 |
| 4 | 1 | 10 | 37 | 26 | 51 | 70 | 55 | 88 |
| 5 | 2 | 12 | 38 | 27 | 52 | 71 | 55 | 90 |
| 6 | 2 | 13 | 39 | 28 | 53 | 72 | 56 | 91 |
| 7 | 3 | 14 | 40 | 29 | 54 | 73 | 57 | 92 |
| 8 | 3 | 16 | 41 | 29 | 56 | 74 | 58 | 93 |
| 9 | 4 | 17 | 42 | 30 | 57 | 75 | 59 | 94 |
| 10 | 5 | 18 | 43 | 31 | 58 | 76 | 60 | 95 |
| 11 | 5 | 20 | 44 | 32 | 59 | 77 | 61 | 96 |
| 12 | 6 | 21 | 45 | 33 | 60 | 78 | 62 | 97 |
| 13 | 7 | 22 | 46 | 34 | 61 | 79 | 63 | 98 |
| 14 | 8 | 23 | 47 | 35 | 63 | 80 | 63 | 100 |
| 15 | 8 | 25 | 48 | 35 | 64 | 81 | 64 | 101 |
| 16 | 9 | 26 | 49 | 36 | 65 | 82 | 65 | 102 |
| 17 | 10 | 27 | 50 | 37 | 66 | 83 | 66 | 103 |
| 18 | 11 | 28 | 51 | 38 | 67 | 84 | 67 | 104 |
| 19 | 11 | 30 | 52 | 39 | 68 | 85 | 68 | 105 |
| 20 | 12 | 31 | 53 | 40 | 69 | 86 | 69 | 106 |
| 21 | 13 | 32 | 54 | 41 | 70 | 87 | 70 | 107 |
| 22 | 14 | 33 | 55 | 41 | 72 | 88 | 71 | 108 |
| 23 | 15 | 35 | 56 | 42 | 73 | 89 | 71 | 110 |
| 24 | 15 | 36 | 57 | 43 | 74 | 90 | 72 | 111 |
| 25 | 16 | 37 | 58 | 44 | 75 | 91 | 73 | 112 |
| 26 | 17 | 38 | 59 | 45 | 76 | 92 | 74 | 113 |
| 27 | 18 | 39 | 60 | 46 | 77 | 93 | 75 | 114 |
| 28 | 19 | 40 | 61 | 47 | 78 | 94 | 76 | 115 |
| 29 | 19 | 42 | 62 | 48 | 79 | 95 | 77 | 116 |
| 30 | 20 | 43 | 63 | 48 | 81 | 96 | 78 | 117 |
| 31 | 21 | 44 | 64 | 49 | 82 | 97 | 79 | 118 |
| 32 | 22 | 45 | 65 | 50 | 83 | 98 | 80 | 119 |
| 33 | 23 | 46 | 66 | 51 | 84 | 99 | 80 | 121 |
CHÚ THÍCH Đối với kết quả đếm “0”, xem 11.4.
Phụ lục D
(Tham khảo)
Ví dụ: sử dụng phương pháp này trong môi trường trong nhà
D.1 Mục tiêu đo và số lượng mẫu
Số lượng mẫu băng dính phụ thuộc vào mục đích đo. Ví dụ dưới đây minh họa một tình huống trong đó diện tích yêu cầu làm sạch được phác họa sau khi lấy ra các tấm có chứa amiăng trộn với amiăng phun xung quanh đầu vào cáp (0,6 x 0,6 m), trong một phòng với diện tích sàn khoảng 400 m2.
Đầu vào cáp là rất gần với trần nhà. Sàn nhà đã được làm sạch thường xuyên để khả năng nhiễm có thể phát hiện được. Để ước tính diện tích bị nhiễm, quyết định lấy mẫu băng dính từ trần nhà có bề mặt bê tông và các điểm lấy mẫu cách đều nhau 5 m.
D.2 Kết quả
Trong Hình D.1 sơ đồ cho thấy các điểm lấy mẫu cùng với các kết quả được phân loại như trong Bảng 5. Đối với việc phân định, các quy tắc sau đây đã được thiết lập:
a) Tính tổng theo hướng ngang và hướng dọc.
b) Nếu tổng số có trong một hướng lớn hơn số điểm lấy mẫu, bao gồm vùng đại diện trong quá trình làm sạch đến điểm mà hai giá trị liền kề "các giá trị zero" (không phát hiện có amiăng) được đo. (Xem cột 1, có giá trị bằng 7, nhưng chỉ có hàng 1 đến hàng 3, vì hàng 4 và 5 trong cột này bằng 0).

CHÚ DẪN:
| X tổng (hướng ngang) Y tổng (hướng dọc) | 1 cáp vào |
Hình D.1 - Sơ đồ vị trí lấy mẫu và các kết quả
Diện tích trong quá trình làm sạch cần được đánh dấu bằng dòng màu xám đậm.
Trong ví dụ này, tất cả các mẫu băng dính đã được đánh giá. Ban đầu các mẫu trên các đường nằm ngang và thẳng đứng (9 mẫu) được đánh giá đầu tiên, trước khi quyết định phân tích tiếp mẫu. Trong ví dụ này, việc đánh giá ban đầu phải đầy đủ để đạt được kết quả minh họa.
Thư mục tài liệu tham khảo
[1] ISO 14966, Ambient air - Determination of numerical concentration of inorganic fibrous particles - Scanning electron microscopy method
[2] ASTM D 6480 - 05(20 10) Standard Test MethodforWipe Sampling of Surfaces, Indirect Preparation, and Analysis for Asbestos Structure Number Surface Loading by Transmission Electron Microscopy
[3] ASTM D 5755 - 09, Standard test Method for Microvacuum Sampling and Indirect Analysis of Dust by Transmission Electron Microscopy for Asbestos Structure Number Surface loading
[4] VDI 3866 part 5: 2004-10, Detemnination of asbestos in technical products; Scanning electron microscopy method
[5] VDI 3492:0 6:2013, Indoor air measurement, ambient air measurement - Measurement of inorganic fibrous particles, scanning electron microscopy method
[6] VDI 3877 part 1; 2011-09, Indoor air measurement- Measurement of fibrous dust settled on surfaces, Sampling and analysis (SEM/EDXA)
[7] ASTM D7390 - 07 Standard Guide for Evaluating Asbestos in Dust on Surfaces by Comparison Between two Environments
[8] LATZKE P., & HESSE R. Textile Fasern. Deutscher Fachverlag, 1988, Frankfurt am Main, Germany.
Bạn chưa Đăng nhập thành viên.
Đây là tiện ích dành cho tài khoản thành viên. Vui lòng Đăng nhập để xem chi tiết. Nếu chưa có tài khoản, vui lòng Đăng ký tại đây!










