- Tổng quan
- Nội dung
- VB gốc
- Tiếng Anh
- Hiệu lực
- VB liên quan
- Lược đồ
-
Nội dung hợp nhất
Tính năng này chỉ có tại LuatVietnam.vn. Nội dung hợp nhất tổng hợp lại tất cả các quy định còn hiệu lực của văn bản gốc và các văn bản sửa đổi, bổ sung, đính chính... trên một trang. Việc hợp nhất văn bản gốc và những văn bản, Thông tư, Nghị định hướng dẫn khác không làm thay đổi thứ tự điều khoản, nội dung.
Khách hàng chỉ cần xem Nội dung hợp nhất là có thể nắm bắt toàn bộ quy định hiện hành đang áp dụng, cho dù văn bản gốc đã qua nhiều lần chỉnh sửa, bổ sung.
- Tải về
Thông tư 01/2022/TT-BTNMT hướng dẫn Luật Bảo vệ môi trường về ứng phó với biến đổi khí hậu
| Cơ quan ban hành: | Bộ Tài nguyên và Môi trường |
Số công báo:
Số công báo là mã số ấn phẩm được đăng chính thức trên ấn phẩm thông tin của Nhà nước. Mã số này do Chính phủ thống nhất quản lý.
|
Đang cập nhật |
| Số hiệu: | 01/2022/TT-BTNMT | Ngày đăng công báo: | Đang cập nhật |
| Loại văn bản: | Thông tư | Người ký: | Lê Công Thành |
|
Ngày ban hành:
Ngày ban hành là ngày, tháng, năm văn bản được thông qua hoặc ký ban hành.
|
07/01/2022 |
Ngày hết hiệu lực:
Ngày hết hiệu lực là ngày, tháng, năm văn bản chính thức không còn hiệu lực (áp dụng).
|
Đang cập nhật |
|
Áp dụng:
Ngày áp dụng là ngày, tháng, năm văn bản chính thức có hiệu lực (áp dụng).
|
Đã biết
|
Tình trạng hiệu lực:
Cho biết trạng thái hiệu lực của văn bản đang tra cứu: Chưa áp dụng, Còn hiệu lực, Hết hiệu lực, Hết hiệu lực 1 phần; Đã sửa đổi, Đính chính hay Không còn phù hợp,...
|
Đã biết
|
| Lĩnh vực: | Tài nguyên-Môi trường |
TÓM TẮT THÔNG TƯ 01/2022/TT-BTNMT
Ngày 07/01/2022, Bộ Tài nguyên và Môi trường ban hành Thông tư 01/2022/TT-BTNMT về việc quy định chi tiết thi hành Luật Bảo vệ môi trường về ứng phó với biến đổi khí hậu.
Theo đó, nội dung đánh giá tác động của biến đổi khí hậu bao gồm: Đánh giá tác động của biến đổi khí hậu đến hệ thống tự nhiên gồm tài nguyên đất, tài nguyên nước, tài nguyên khoáng sản, tài nguyên rừng, đa dạng sinh học, tài nguyên biển, đảo và các tài nguyên, yếu tố môi trường khác; Đánh giá tác động của biến đổi khí hậu đến hệ thống kinh tế gồm hoạt động sản xuất, kinh doanh, dịch vụ, cơ sở hạ tầng; Đánh giá tác động của biến đổi khí hậu đến hệ thống xã hội.
Bên cạnh đó, Bộ quản lý lĩnh vực thành lập và tổ chức họp Hội đồng thẩm định kết quả kiểm kê khí nhà kính cấp lĩnh vực; thành phần Hội đồng thẩm định gồm đại diện các Bộ quản lý lĩnh vực, Bộ Tài nguyên và Môi trường, các Bộ có liên quan và các chuyên gia có chuyên môn phù hợp.
Cụ thể, các thành viên Hội đồng thẩm định đánh giá kết quả kiểm kê khí nhà kính theo các nội dung chính sau: Sự đầy đủ về nội dung, thông tin, dữ liệu kiểm kê khí nhà kính; Sự phù hợp về việc xác định các nguồn phát thải, bể hấp thụ khí nhà kính; Sự phù hợp của phương pháp kiểm kê khí nhà kính; Đánh giá sự chính xác và độ tin cậy của kết quả kiểm kê khí nhà kính.
Thông tư có hiệu lực từ ngày ký.
Văn bản này được sửa đổi, bổ sung bởi 19/2023/TT-BTNMT
Xem chi tiết Thông tư 01/2022/TT-BTNMT có hiệu lực kể từ ngày 07/01/2022
Tải Thông tư 01/2022/TT-BTNMT
|
BỘ TÀI NGUYÊN VÀ MÔI TRƯỜNG _________ Số: 01/2022/TT-BTNMT |
CỘNG HÒA XÃ HỘI CHỦ NGHĨA VIỆT NAM Hà Nội, ngày 07 tháng 01 năm 2022 |
THÔNG TƯ
Quy định chi tiết thi hành Luật Bảo vệ môi trường về ứng phó với biến đổi khí hậu
___________
Căn cứ Luật Bảo vệ môi trường ngày 17 tháng 11 năm 2020;
Căn cứ Nghị định số 36/2017/NĐ-CP ngày 04 tháng 4 năm 2017 của Chính phủ quy định chức năng, nhiệm, vụ, quyền hạn và cơ cấu tổ chức của Bộ Tài nguyên và Môi trường;
Căn cứ Nghị định số 06/2022/NĐ-CP ngày 07 tháng 01 năm 2022 của Chính phủ quy định giảm nhẹ phát thải khí nhà kính và bảo vệ tầng ô-dôn;
Theo đề nghị của Cục trưởng Cục Biến đổi khí hậu và Vụ trưởng Vụ Pháp chế;
Bộ trưởng Bộ Tài nguyên và Môi trường ban hành Thông tư quy định chi tiết thi hành Luật Bảo vệ môi trường về ứng phó với biến đổi khí hậu.
Chương I
QUY ĐỊNH CHUNG
Điều 1. Phạm vi điều chỉnh
Thông tư này quy định chi tiết điểm g khoản 2 Điều 27, điểm c khoản 3 Điều 90, điểm c khoản 4 Điều 91, điểm b khoản 3 và khoản 6 Điều 92 Luật Bảo vệ môi trường; điểm d khoản 4 Điều 10, khoản 5 và khoản 6 Điều 11, điểm d khoản 5 Điều 22 và khoản 4 Điều 28 Nghị định số 06/2022/NĐ-CP ngày 07 tháng 01 năm 2022 của Chính phủ quy định giảm nhẹ phát thải khí nhà kính và bảo vệ tầng ô-dôn.
Điều 2. Đối tượng áp dụng
Thông tư này áp dụng đối với các Cơ quan, tổ chức, cá nhân có liên quan đến các hoạt động ứng phó với biến đổi khí hậu; hoạt động kiểm kê khí nhà kính và giảm nhẹ phát thải khí nhà kính; hoạt động liên quan đến các chất làm suy giảm tầng ô-dôn, chất gây hiệu ứng nhà kính được kiểm soát thuộc Nghị định thư Montreal về các chất làm suy giảm tầng ô-dôn.
Điều 3. Giải thích từ ngữ
Trong nội dung Thông tư này, các từ ngữ dưới đây được hiểu như sau:
1. Đánh giá tác động của biến đổi khí hậu là việc xác định mức độ ảnh hưởng tích cực, tiêu cực, ngắn hạn và dài hạn; tính dễ bị tổn thương, rủi ro và tổn thất, thiệt hại do biến đổi khí hậu đến hệ thống tự nhiên, kinh tế, xã hội trong phạm vi không gian và thời gian xác định.
2. Hiểm họa là khả năng xảy ra các sự kiện, hiện tượng khí hậu bất thường gây thiệt hại về người, tài sản, cơ sở vật chất, hoạt động kinh tế, xã hội, tài nguyên và môi trường.
3. Phơi bày là sự hiện diện của con người, hoạt động kinh tế - xã hội, hệ sinh thái, tài nguyên, cơ sở hạ tầng, công trình văn hóa ở những khu vực có thể chịu ảnh hưởng tiêu cực của biến đổi khí hậu.
4. Mức độ nhạy cảm là mức độ mà hệ thống tự nhiên, kinh tế, xã hội bị ảnh hưởng bởi các tác động tiêu cực hoặc tích cực của biến đổi khí hậu.
5. Khả năng thích ứng là sự điều chỉnh trong hệ thống tự nhiên, hoạt động kinh tế, xã hội và thể chế, chính sách, nguồn lực nhằm giảm nhẹ các tác động tiêu cực và tận dụng các cơ hội do tác động của biến đổi khí hậu.
6. Tính dễ bị tổn thương là xu hướng của hệ thống tự nhiên, kinh tế, xã hội bị ảnh hưởng tiêu cực do tác động của biến đổi khí hậu. Tính dễ bị tổn thương được cấu thành bởi mức độ nhạy cảm và khả năng thích ứng với những tác động tiêu cực của biến đổi khí hậu.
7. Rủi ro là hậu quả tiềm tàng của hiểm họa do biến đổi khí hậu gây ra cho con người, tài sản, cơ sở vật chất, hoạt động kinh tế, xã hội, tài nguyên và môi trường. Rủi ro là kết quả của sự tương tác giữa tính dễ bị tổn thương, phơi bày và hiểm họa do biến đổi khí hậu.
8. Tổn thất và thiệt hại là những mất mát, thiệt hại về kinh tế và phi kinh tế đối với hệ thống tự nhiên, kinh tế, xã hội do các tác động tiêu cực của biến đổi khí hậu gây ra.
9. Bể hấp thụ khí nhà kính là các hệ thống tự nhiên hoặc nhân tạo có khả năng hấp thụ và lưu trữ khí nhà kính từ khí quyển. Các bể hấp thụ khí nhà kính chính là rừng (thông qua quá trình quang hợp của thực vật) và đại dương (thông qua quá trình quang hợp của sinh vật biển và hoạt động của các dòng hải lưu).
10. Tiềm năng làm nóng lên toàn cầu (GWP) là khả năng hấp thụ nhiệt trong khí quyển của khí nhà kính theo thời gian (thường là 100 năm) so với CO2.
11. Tiềm năng làm suy giảm tầng ô-dôn (ODP) là mức độ phá hủy tầng ô-dôn mà một chất có thể gây ra.
Chương II
ĐÁNH GIÁ TÁC ĐỘNG, TÍNH DỄ BỊ TỔN THƯƠNG, RỦI RO, TỔN THẤT VÀ THIỆT HẠI DO BIẾN ĐỔI KHÍ HẬU
Điều 4. Yêu cầu thực hiện đánh giá
1. Việc đánh giá tác động, tính dễ bị tổn thương, rủi ro, tổn thất và thiệt hại do biến đổi khí hậu (gọi tắt là đánh giá tác động của biến đổi khí hậu) phải đảm bảo khách quan, có cơ sở khoa học; phản ánh đầy đủ, nhất quán thông tin, phương pháp sử dụng và kết quả đánh giá.
2. Việc đánh giá tác động của biến đổi khí hậu phải thực hiện đầy đủ nội dung, trình tự đánh giá theo quy định tại Thông tư này.
Điều 5. Thông tin, dữ liệu phục vụ đánh giá
1. Kịch bản biến đổi khí hậu cập nhật do Bộ Tài nguyên và Môi trường công bố, gồm các bản đồ và thông tin, dữ liệu theo không gian, thời gian như sau:
a) Nhiệt độ: bao gồm nhiệt độ trung bình năm, trung bình theo mùa và nhiệt độ tối cao, tối thấp;
b) Lượng mưa: bao gồm lượng mưa trung bình năm, trung bình theo mùa; lượng mưa một ngày lớn nhất, năm ngày lớn nhất và số ngày mưa lớn hơn 50 mm;
c) Các hiện tượng khí hậu cực đoan: bao gồm bão và áp thấp nhiệt đới, gió mùa, rét đậm, rét hại, nắng nóng, hạn hán và các hiện tượng khí hậu cực đoan khác;
d) Nước biển dâng: bao gồm nước biển dâng khu vực ven biển và hải đảo, mực nước cực trị (nước dâng do bão, thủy triều ven bờ biển, nước dâng do bão kết hợp với thủy triều), nguy cơ ngập do nước biển dâng;
đ) Các thông tin khác có liên quan.
2. Thông tin, dữ liệu quan trắc khí tượng, thủy văn, hải văn và các hiện tượng cực đoan liên quan trong quá khứ và hiện tại.
3. Chiến lược, quy hoạch, kế hoạch phát triển kinh tế - xã hội, ngành, lĩnh vực.
4. Các quy định về định mức kinh tế - kỹ thuật, đơn giá, suất đầu tư do cơ quan có thẩm quyền ban hành.
5. Số liệu thống kê và các tài liệu khác có liên quan.
Điều 6. Nội dung đánh giá
1. Nội dung đánh giá tác động của biến đổi khí hậu bao gồm:
a) Đánh giá tác động của biến đổi khí hậu đến hệ thống tự nhiên, gồm tài nguyên đất, tài nguyên nước, tài nguyên khoáng sản, tài nguyên rừng, đa dạng sinh học, tài nguyên biển, đảo và các tài nguyên, yếu tố môi trường khác;
b) Đánh giá tác động của biến đổi khí hậu đến hệ thống kinh tế, gồm hoạt động sản xuất, kinh doanh, dịch vụ, cơ sở hạ tầng thuộc các lĩnh vực nông nghiệp, lâm nghiệp, giao thông vận tải, xây dựng và đô thị, công nghiệp, năng lượng, thông tin và truyền thông, du lịch, thương mại và dịch vụ, các hoạt động khác có liên quan;
c) Đánh giá tác động của biến đổi khí hậu đến hệ thống xã hội, gồm phân bố dân cư, nhà ở và điều kiện sống, dịch vụ y tế, sức khỏe, văn hóa, giáo dục, đối tượng dễ bị tổn thương, giới và giảm nghèo.
2. Việc đánh giá tác động của biến đổi khí hậu theo lĩnh vực, khu vực cụ thể cần căn cứ nội dung đánh giá được quy định tại khoản 1 Điều này để áp dụng cho phù hợp với phạm vi đánh giá.
Điều 7. Trình tự thực hiện đánh giá
1. Xác định phạm vi đánh giá
a) Phạm vi không gian là phạm vi địa lý xác định cho khu vực đánh giá tác động của biến đổi khí hậu;
b) Phạm vi thời gian là giai đoạn thực hiện đánh giá, bao gồm khoảng thời gian trong quá khứ và tương lai. Khoảng thời gian trong quá khứ ít nhất là 5 năm tính từ thời điểm đánh giá, khoảng thời gian trong tương lai được xác định theo mục tiêu đánh giá.
2. Xác định đối tượng đánh giá bao gồm: các đối tượng thuộc hệ thống tự nhiên, hệ thống kinh tế, hệ thống xã hội quy định tại khoản 1 Điều 6 Thông tư này.
3. Phân tích kịch bản biến đổi khí hậu
Trên cơ sở kịch bản biến đổi khí hậu cập nhật do Bộ Tài nguyên và Môi trường công bố, căn cứ phạm vi và đối tượng đánh giá đã xác định, thực hiện:
a) Bổ sung, chi tiết hóa thông tin, dữ liệu cho phạm vi, đối tượng đánh giá;
b) Phân tích các đặc trưng, xu hướng thay đổi của khí hậu;
c) Xác định, phân tích các yếu tố khí hậu quan trọng đối với đối tượng đánh giá;
d) Tính toán bổ sung các thông số liên quan khác phục vụ đánh giá.
4. Phân tích dự báo phát triển kinh tế - xã hội
Phân tích các chiến lược, quy hoạch, kế hoạch phát triển kinh tế - xã hội, ngành, lĩnh vực và các tài liệu liên quan khác để xác định:
a) Mục tiêu, định hướng phát triển trong tương lai của khu vực, lĩnh vực đánh giá;
b) Nội dung, phạm vi không gian về kế hoạch phát triển trong tương lai liên quan đến đối tượng đánh giá.
5. Lựa chọn phương pháp đánh giá
a) Đánh giá ảnh hưởng của biến đổi khí hậu áp dụng phương pháp định lượng và phương pháp định tính. Phương pháp định lượng gồm mô hình dự báo, chồng xếp bản đồ, đánh giá nhanh, thống kê thực nghiệm. Phương pháp định tính gồm ma trận đánh giá, lập bảng liệt kê, phương pháp mạng lưới, điều tra phỏng vấn, phương pháp chuyên gia, đánh giá có sự tham gia;
b) Đánh giá tính dễ bị tổn thương, rủi ro do biến đổi khí hậu áp dụng phương pháp điều tra phỏng vấn, tham vấn, thống kê thực nghiệm, mô hình hóa, chồng xếp bản đồ;
c) Đánh giá tổn thất, thiệt hại do biến đổi khí hậu áp dụng phương pháp xác định tổn thất, thiệt hại về kinh tế và phi kinh tế. Phương pháp xác định tổn thất, thiệt hại về kinh tế gồm các phương pháp: điều tra khảo sát, thống kê, phân tích chi phí - lợi ích. Phương pháp xác định tổn thất, thiệt hại phi kinh tế gồm: mô hình dự báo, phân tích chỉ số rủi ro tổng hợp, đánh giá có sự tham gia;
d) Việc lựa chọn, áp dụng phương pháp đánh giá quy định tại điểm a, b, c khoản này phải phù hợp với đối tượng và phạm vi đánh giá; khả năng đáp ứng các yêu cầu về thông tin và mức độ sẵn có của dữ liệu.
6. Đánh giá ảnh hưởng của biến đổi khí hậu
a) Nhận diện, sàng lọc và xác định các loại ảnh hưởng của biến đổi khí hậu dựa trên đối tượng đánh giá, kịch bản biến đổi khí hậu và các nội dung cần thực hiện; gồm các ảnh hưởng tích cực, tiêu cực, ngắn hạn và dài hạn;
b) Điều tra, thu thập, tổng hợp thông tin phục vụ việc xác định ảnh hưởng của biến đổi khí hậu trong quá khứ gồm thông tin về hệ thống tự nhiên, kinh tế, xã hội của đối tượng đánh giá quy định tại khoản 1 Điều 6 Thông tư này.
c) Điều tra, thu thập, tổng hợp thông tin để dự báo ảnh hưởng của biến đổi khí hậu trong tương lai gồm dữ liệu, bản đồ của các yếu tố trong kịch bản biến đổi khí hậu; thông tin và bản đồ thể hiện quy hoạch, kế hoạch phát triển (bản đồ sử dụng đất, kế hoạch phát triển đô thị và dân cư, kế hoạch phát triển cơ sở hạ tầng) và thông tin khác có liên quan;
d) Phân tích, xác định ảnh hưởng tích cực, tiêu cực, ngắn hạn và dài hạn của biến đổi khí hậu đối với đối tượng đánh giá.
7. Đánh giá tính dễ bị tổn thương, rủi ro do biến đổi khí hậu
a) Xác định hiểm họa đối với đối tượng đánh giá trên cơ sở phân tích ảnh hưởng tiêu cực của biến đổi khí hậu;
b) Xác định các chỉ số thành phần phản ánh hiểm họa, mức độ phơi bày, mức độ nhạy cảm và khả năng thích ứng phù hợp với phạm vi và đối tượng đánh giá, bảo đảm tính đại diện và khả thi.
Các chỉ số thành phần của hiểm họa được xác định dựa trên các yếu tố thay đổi khí hậu (nhiệt độ, lượng mưa, nước biển dâng, hiện tượng khí hậu cực đoan) có thể gây ra các tác động tiêu cực đến đối tượng đánh giá.
Các chỉ số thành phần của mức độ phơi bày được xác định dựa trên mức độ tiếp xúc (vị trí) của đối tượng đánh giá với các tác động tiêu cực của biến đổi khí hậu.
Các chỉ số thành phần của mức độ nhạy cảm được xác định dựa trên các yếu tố khí hậu có ảnh hưởng lớn tới đối tượng đánh giá.
Các chỉ số thành phần của khả năng thích ứng được xác định dựa trên năng lực của tổ chức, năng lực kỹ thuật, tài chính và các yếu tố khác;
c) Điều tra, thu thập, tổng hợp thông tin liên quan để xác định các chỉ số thành phần của mức độ nhạy cảm, khả năng thích ứng, hiểm họa và mức độ phơi bày;
d) Chuẩn hóa giá trị các chỉ số thành phần đã lựa chọn trong khoảng giá trị từ 0 đến 1. Từng chỉ số thành phần được chuẩn hóa theo phạm vi không gian đánh giá và dựa trên mối quan hệ đồng biến hoặc nghịch biến giữa chỉ số thành phần cần chuẩn hóa với chỉ số tính dễ bị tổn thương hoặc chỉ số rủi ro để áp dụng công thức tính chuẩn hóa cho phù hợp;
đ) Xác định trọng số của từng chỉ số thành phần dựa trên mức độ quan trọng của chỉ số thành phần đó;
e) Xác định tính dễ bị tổn thương dựa trên mức độ nhạy cảm và khả năng thích ứng; xác định rủi ro dựa trên hiểm họa, mức độ phơi bày và tính dễ bị tổn thương. Chi tiết về lựa chọn, xác định các chỉ số phản ánh tính dễ bị tổn thương, rủi ro do biến đổi khí hậu được hướng dẫn tại Phụ lục I.1 ban hành kèm theo Thông tư này;
g) Tổng hợp, phân cấp tính dễ bị tổn thương, rủi ro dựa trên kết quả tính toán có giá trị trong khoảng từ 0 đến 1 và phân thành 05 cấp: rất thấp, thấp, trung bình, cao hoặc rất cao;
h) Lập bản đồ phân cấp tính dễ bị tổn thương, rủi ro do biến đổi khí hậu cho từng đối tượng đánh giá với từng loại hiểm họa theo quy định kỹ thuật về đo đạc, bản đồ.
8. Đánh giá tổn thất, thiệt hại do biến đổi khí hậu
a) Xác định các chỉ số tổn thất, thiệt hại về kinh tế và phi kinh tế đối với hệ thống tự nhiên, kinh tế, xã hội theo nguyên tắc: tổn thất, thiệt hại có thể nhận diện, mang tính trực tiếp, đo đếm được về khối lượng và mức độ tổn thất, thiệt hại.
Chỉ số tổn thất, thiệt hại về kinh tế áp dụng đối với hệ thống kinh tế gồm các chỉ số thành phần về hoạt động sản xuất, thương mại và dịch vụ, cơ sở hạ tầng, nhà ở và tài sản, thu nhập, việc làm và các loại khác.
Chỉ số tổn thất, thiệt hại phi kinh tế áp dụng đối với các hệ thống tự nhiên, xã hội. Đối với hệ thống tự nhiên, các chỉ số thành phần gồm mất đất do ngập lụt, sạt lở đất, nhiễm mặn, mất đa dạng sinh học, suy giảm dịch vụ hệ sinh thái và các loại khác. Các chỉ số thành phần đối với xã hội gồm thiệt hại về người, sức khỏe, tri thức truyền thống, di sản văn hóa và các loại khác;
b) Điều tra, thu thập, tổng hợp thông tin, dữ liệu về tổn thất, thiệt hại do biến đổi khí hậu trong quá khứ. Thông tin, dữ liệu điều tra, thu thập gồm thời gian xảy ra, khối lượng, quy mô, mức độ thiệt hại, chi phí khắc phục và thông tin khác có liên quan;
c) Điều tra, thu thập, tổng hợp thông tin, dữ liệu về tổn thất, thiệt hại do biến đổi khí hậu trong tương lai căn cứ mốc thời gian theo mục tiêu đánh giá. Thông tin, dữ liệu điều tra, thu thập gồm dự báo về khối lượng, quy mô, mức độ tổn thất, thiệt hại;
d) Tính toán, phân tích tổn thất, thiệt hại về kinh tế trong quá khứ và tương lai theo đối tượng, các chỉ số tổn thất, thiệt hại đã xác định.
Giá trị tổn thất, thiệt hại đối với từng chỉ số thành phần tính theo công thức tổng quát sau:
L = D x C
Trong đó: L là giá trị tổn thất, thiệt hại tính bằng tiền (VND);
D là khối lượng tổn thất, thiệt hại;
C là giá, chi phí phục hồi, khắc phục đối với một đơn vị tổn thất, thiệt hại về điều kiện bình thường trước khi bị tác động của biến đổi khí hậu.
Giá trị tổn thất, thiệt hại tính toán trong quá khứ và tương lai phải được quy về thời điểm đánh giá dựa trên tỷ lệ chiết khấu phù hợp. Tỷ lệ chiết khấu phù hợp được cân nhắc dựa trên tỷ lệ sinh lời thực tế, tỷ lệ lạm phát và tỷ lệ bù đắp rủi ro. Giá trị các tỷ lệ này cần tính trung bình căn cứ trên số liệu của giai đoạn tối thiểu là 05 năm trước thời điểm đánh giá;
đ) Phân tích tổn thất, thiệt hại phi kinh tế trong quá khứ và tương lai theo đối tượng và chỉ số tổn thất, thiệt hại thông qua việc mô tả, đánh giá đối với các loại tổn thất, thiệt hại đã xác định;
e) Tổng hợp kết quả tính toán, xác định tổn thất, thiệt hại về kinh tế và phi kinh tế đối với đối tượng đánh giá;
g) Chi tiết về xác định tổn thất và thiệt hại do biến đổi khí hậu được hướng dẫn tại Phụ lục I.2 ban hành kèm theo Thông tư này.
9. Xây dựng báo cáo đánh giá tác động của biến đổi khí hậu.
Điều 8. Báo cáo đánh giá
1. Báo cáo đánh giá tác động của biến đổi khí hậu được lập theo mẫu quy định tại Phụ lục I.3 ban hành kèm theo Thông tư này.
2. Nội dung chính của báo cáo đánh giá tác động của biến đổi khí hậu gồm:
a) Mục tiêu, nội dung, đối tượng, phạm vi và phương pháp đánh giá;
b) Đặc điểm khu vực và đối tượng đánh giá;
c) Phân tích kịch bản biến đổi khí hậu;
d) Phân tích dự báo phát triển kinh tế - xã hội và tài liệu khác có liên quan;
đ) Kết quả đánh giá ảnh hưởng của biến đổi khí hậu, tính dễ bị tổn thương, rủi ro và tổn thất, thiệt hại do biến đổi khí hậu;
e) Đề xuất giải pháp thích ứng với biến đổi khí hậu.
2. Cơ quan, tổ chức thực hiện đánh giá có trách nhiệm công bố báo cáo đánh giá tác động của biến đổi khí hậu trên trang thông tin điện tử của mình.
Chương III
THẨM ĐỊNH KẾT QUẢ KIỂM KÊ KHÍ NHÀ KÍNH VÀ THẨM ĐỊNH GIẢM NHẸ PHÁT THẢI KHÍ NHÀ KÍNH
Điều 9. Yêu cầu khi thực hiện thẩm định
1. Đảm bảo khách quan, có cơ sở khoa học khi đánh giá kết quả kiểm kê khí nhà kính và kết quả giảm nhẹ phát thải khí nhà kính cấp lĩnh vực và cấp cơ sở.
2. Thực hiện đúng quy trình và phản ánh đầy đủ nội dung thẩm định theo quy định tại Thông tư này.
Điều 10. Quy trình thẩm định kết quả kiểm kê khí nhà kính cấp lĩnh vực
1. Bộ quản lý lĩnh vực thành lập và tổ chức họp Hội đồng thẩm định kết quả kiểm kê khí nhà kính cấp lĩnh vực. Thành phần Hội đồng thẩm định gồm: đại diện Bộ quản lý lĩnh vực, Bộ Tài nguyên và Môi trường , các Bộ có liên quan và các chuyên gia có chuyên môn phù hợp.
2. Các thành viên Hội đồng thẩm định đánh giá kết quả kiểm kê khí nhà kính theo các nội dung chính như sau:
a) Sự đầy đủ về nội dung, thông tin, dữ liệu kiểm kê khí nhà kính;
b) Sự phù hợp về việc xác định các nguồn phát thải, bể hấp thụ khí nhà kính;
c) Sự phù hợp của phương pháp kiểm kê khí nhà kính, hệ số phát thải áp dụng, phương pháp kiểm soát chất lượng, đảm bảo chất lượng và hệ thống thông tin, dữ liệu về phát thải khí nhà kính của Bộ quản lý lĩnh vực;
d) Đánh giá sự chính xác và độ tin cậy của kết quả kiểm kê khí nhà kính.
3. Trong thời hạn 05 ngày làm việc, Hội đồng thẩm định thông qua và gửi Bộ quản lý lĩnh vực biên bản họp với các nội dung chính như sau:
a) Đánh giá về quá trình thực hiện và kết quả kiểm kê khí nhà kính;
b) Những tồn tại, hạn chế của kết quả kiểm kê khí nhà kính;
c) Các yêu cầu, khuyến nghị liên quan đến việc hoàn thiện kết quả kiểm kê khí nhà kính trên cơ sở ý kiến của các thành viên hội đồng;
d) Kết luận của Hội đồng thẩm định.
4. Bộ quản lý lĩnh vực tổ chức hiệu chỉnh kết quả kiểm kê khí nhà kính theo kết luận của Hội đồng thẩm định, làm cơ sở xây dựng báo cáo của Bộ quản lý lĩnh vực phục vụ kiểm kê khí nhà kính cấp quốc gia.
Điều 11. Quy trình thẩm định giảm nhẹ phát thải khí nhà kính cấp lĩnh vực
1. Bộ quản lý lĩnh vực thành lập và tổ chức họp Hội đồng thẩm định giảm nhẹ phát thải khí nhà kính cấp lĩnh vực. Thành phần Hội đồng thẩm định gồm: đại diện Bộ quản lý lĩnh vực, Bộ Tài nguyên và Môi trường , các Bộ có liên quan và các chuyên gia có chuyên môn phù hợp.
2. Các thành viên Hội đồng thẩm định đánh giá báo cáo giảm nhẹ phát thải khí nhà kính theo các nội dung chính như sau:
a) Sự phù hợp của chính sách, biện pháp quản lý nhằm giảm nhẹ phát thải khí nhà kính của lĩnh vực với chiến lược, quy hoạch, kế hoạch phát triển của lĩnh vực;
b) Độ tin cậy, tính đầy đủ của thông tin, dữ liệu về kiểm kê khí nhà kính và kịch bản phát triển thông thường trong kỳ kế hoạch;
c) Sự phù hợp của các phương pháp định lượng giảm nhẹ phát thải khí nhà kính của các chính sách, biện pháp quản lý giảm nhẹ phát thải khí nhà kính;
d) Sự chính xác và độ tin cậy của kết quả giảm nhẹ phát thải khí nhà kính và so sánh với kịch bản phát triển thông thường trong kỳ kế hoạch;
đ) Khả năng tính hai lần đối với kết quả giảm nhẹ phát thải khí nhà kính.
3. Trong thời hạn 05 ngày làm việc, Hội đồng thẩm định thông qua và gửi Bộ quản lý lĩnh vực biên bản họp với các nội dung chính như sau:
a) Đánh giá về quá trình thực hiện và kết quả giảm nhẹ phát thải khí nhà kính;
b) Những tồn tại, hạn chế của báo cáo giảm nhẹ phát thải khí nhà kính;
c) Các yêu cầu, khuyến nghị liên quan đến việc hoàn thiện báo cáo giảm nhẹ phát thải khí nhà kính trên cơ sở ý kiến của các thành viên hội đồng;
d) Kết luận của Hội đồng thẩm định.
4. Bộ quản lý lĩnh vực lập báo cáo thẩm định giảm nhẹ phát thải khí nhà kính cấp lĩnh vực theo mẫu quy định tại Phụ lục II.1 ban hành kèm theo Thông tư này, gửi kèm theo báo cáo giảm nhẹ phát thải khí nhà kính cấp lĩnh vực đã được hoàn thiện theo kết luận của Hội đồng thẩm định đến Bộ Tài nguyên và Môi trường .
5. Bộ quản lý lĩnh vực có trách nhiệm quản lý, lưu giữ hồ sơ thẩm định và báo cáo thẩm định giảm nhẹ phát thải khí nhà kính cấp lĩnh vực.
Điều 12. Quy trình thẩm định kết quả kiểm kê khí nhà kính cấp cơ sở
1. Trong thời hạn 05 ngày làm việc kể từ ngày nhận được báo cáo kiểm kê khí nhà kính cấp cơ sở, Ủy ban nhân dân cấp tỉnh giao cơ quan chuyên môn trực thuộc (sau đây gọi là cơ quan thẩm định) thực hiện thẩm định các thông tin và kết quả kiểm kê khí nhà kính do cơ sở cung cấp.
2. Cơ quan thẩm định đánh giá kết quả kiểm kê khí nhà kính cấp cơ sở theo các nội dung chính như sau:
a) Sự đầy đủ về nội dung, thông tin, dữ liệu của báo cáo kiểm kê khí nhà kính;
b) Sự phù hợp về việc xác định các nguồn phát thải, bể hấp thụ khí nhà kính trình bày trong báo cáo kiểm kê khí nhà kính cấp cơ sở;
c) Sự phù hợp của phương pháp kiểm kê khí nhà kính, hệ số phát thải áp dụng, phương pháp kiểm soát chất lượng, đảm bảo chất lượng kiểm kê khí nhà kính và hệ thống thông tin, dữ liệu về phát thải khí nhà kính của cơ sở;
d) Sự chính xác của kết quả kiểm kê khí nhà kính cấp cơ sở.
3. Trong thời hạn 20 ngày làm việc, cơ quan thẩm định thông báo kết quả thẩm định, bao gồm yêu cầu hiệu chỉnh, bổ sung (nếu có) đối với báo cáo kiểm kê khí nhà kính tới các cơ sở. Trường hợp phải hiệu chỉnh, bổ sung, cơ sở tổ chức hoàn thiện báo cáo kết quả kiểm kê khí nhà kính theo thông báo kết quả thẩm định.
4. Cơ sở gửi báo cáo kết quả kiểm kê khí nhà kính đã hoàn thiện cho cơ quan thẩm định và Bộ Tài nguyên và Môi trường .
5. Trong quá trình thẩm định, cơ quan thẩm định có quyền:
a) Mời tổ chức, cá nhân có chuyên môn, năng lực, kinh nghiệm phù hợp tham gia thực hiện thẩm định;
b) Yêu cầu chủ cơ sở cung cấp các số liệu hoạt động, thông tin liên quan phục vụ kiểm kê khí nhà kính của cơ sở (nếu cần thiết);
c) Yêu cầu thực hiện kiểm tra thực tế, lấy mẫu đại diện tại cơ sở (nếu cần thiết).
6. Cơ quan thẩm định có trách nhiệm quản lý, lưu giữ hồ sơ thẩm định và gửi báo cáo kết quả kiểm kê khí nhà kính đã được cơ sở hoàn thiện về Bộ quản lý lĩnh vực để cập nhật vào cơ sở dữ liệu trực tuyến về kiểm kê khí nhà kính trong phạm vi lĩnh vực quản lý.
Điều 13. Quy trình thẩm định giảm nhẹ phát thải khí nhà kính cấp cơ sở
1. Đơn vị thẩm định tổ chức thực hiện thẩm định giảm nhẹ phát thải khí nhà kính khi nhận được báo cáo giảm nhẹ phát thải khí nhà kính của cơ sở.
2. Đơn vị thẩm định đánh giá giảm nhẹ phát thải khí nhà kính cấp cơ sở theo các nội dung chính như sau:
a) Độ tin cậy, tính đầy đủ của thông tin, dữ liệu trong báo cáo giảm nhẹ phát thải khí nhà kính;
b) Sự phù hợp của biện pháp giảm nhẹ phát thải khí nhà kính, phương pháp định lượng mức giảm nhẹ phát thải khí nhà kính và hệ thống thông tin, dữ liệu của cơ sở được trình bày trong báo cáo giảm nhẹ phát thải khí nhà kính;
c) Kết quả thực hiện giảm nhẹ phát thải khí nhà kính theo kế hoạch giảm nhẹ phát thải khí nhà kính của cơ sở và hạn ngạch phát thải khí nhà kính được cấp cho cơ sở.
3. Đơn vị thẩm định lập và gửi báo cáo thẩm định giảm nhẹ phát thải khí nhà kính tới cơ sở theo mẫu quy định tại Phụ lục II.2 ban hành kèm theo Thông tư này.
4. Sau khi nhận được báo cáo thẩm định giảm nhẹ phát thải khí nhà kính, cơ sở gửi báo cáo giảm nhẹ phát thải khí nhà kính đã được hoàn thiện kèm theo báo cáo thẩm định giảm nhẹ phát thải khí nhà kính đến Bộ Tài nguyên và Môi trường , Bộ quản lý lĩnh vực.
Điều 14. Quy trình thẩm định báo cáo tổng hợp giảm nhẹ phát thải khí nhà kính
1. Bộ Tài nguyên và Môi trường thành lập Hội đồng thẩm định báo cáo tổng hợp giảm nhẹ phát thải khí nhà kính. Hội đồng thẩm định có số lượng thành viên ít nhất là 09 người, bao gồm Chủ tịch hội đồng, Phó Chủ tịch hội đồng, Ủy viên thư ký, 02 Ủy viên phản biện và ít nhất 04 Ủy viên hội đồng. Các Ủy viên hội đồng là đại diện cơ quan quản lý nhà nước có liên quan thuộc các Bộ: Công Thương, Giao thông vận tải , Nông nghiệp và Phát triển nông thôn, Tài nguyên và Môi trường , Xây dựng và các chuyên gia có chuyên môn phù hợp.
2. Các thành viên Hội đồng thẩm định nghiên cứu báo cáo tổng hợp giảm nhẹ phát thải khí nhà kính và đánh giá theo các nội dung chính như sau:
a) Sự đầy đủ về nội dung, thông tin, dữ liệu của báo cáo báo cáo tổng hợp giảm nhẹ phát thải khí nhà kính;
b) Sự phù hợp của chính sách, biện pháp quản lý nhằm giảm nhẹ phát thải khí nhà kính trong các lĩnh vực với chiến lược, quy hoạch, kế hoạch phát triển của quốc gia;
c) Sự phù hợp của các phương pháp định lượng giảm nhẹ phát thải khí nhà kính của các chính sách, biện pháp quản lý giảm nhẹ phát thải khí nhà kính;
d) Kết quả giảm nhẹ phát thải khí nhà kính và so sánh với kịch bản phát triển thông thường của quốc gia trong kỳ kế hoạch;
đ) Khả năng tính hai lần đối với kết quả giảm nhẹ phát thải khí nhà kính.
3. Trong thời hạn 10 ngày làm việc kể từ ngày tổ chức họp thẩm định, Hội đồng thẩm định có trách nhiệm thông qua và gửi Bộ Tài nguyên và Môi trường biên bản họp với các nội dung chính như sau:
a) Đánh giá chung về báo cáo tổng hợp giảm nhẹ phát thải khí nhà kính và kết quả giảm nhẹ phát thải khí nhà kính của Bộ quản lý lĩnh vực;
b) Những tồn tại, hạn chế của báo cáo tổng hợp giảm nhẹ phát thải khí nhà kính;
c) Các yêu cầu, khuyến nghị liên quan đến việc hoàn thiện báo cáo tổng hợp giảm nhẹ phát thải khí nhà kính dựa trên cơ sở ý kiến của các thành viên hội đồng thẩm định;
d) Kết luận của Hội đồng thẩm định.
4. Bộ Tài nguyên và Môi trường tổ chức hoàn thiện báo cáo tổng hợp giảm nhẹ phát thải khí nhà kính theo kết luận của Hội đồng thẩm định.
5. Hội đồng thẩm định tổ chức họp khi có sự tham gia (hiện diện trực tiếp tại phiên họp hoặc tham gia họp trực tuyến) từ hai phần ba trở lên số lượng thành viên Hội đồng thẩm định, trong đó bắt buộc phải có Chủ tịch hội đồng hoặc Phó Chủ tịch hội đồng, Ủy viên thư ký và ít nhất 01 Ủy viên phản biện.
6. Chủ tịch hội đồng có trách nhiệm:
a) Điều hành các cuộc họp Hội đồng hoặc ủy quyền cho Phó Chủ tịch hội đồng;
b) Xử lý các ý kiến được nêu trong cuộc họp của Hội đồng, kết luận cuộc họp Hội đồng và chịu trách nhiệm về các kết luận của Hội đồng;
c) Ký biên bản cuộc họp Hội đồng và chịu trách nhiệm về tính đầy đủ, trung thực của các nội dung ghi trong biên bản cuộc họp Hội đồng.
Chương IV
DANH MỤC, HƯỚNG DẪN SỬ DỤNG, THU GOM, VẬN CHUYỂN, TÁI CHẾ, TÁI SỬ DỤNG VÀ XỬ LÝ CÁC CHẤT ĐƯỢC KIỂM SOÁT
Điều 15. Danh mục các chất được kiểm soát
1. Danh mục các chất được kiểm soát cấm sản xuất, nhập khẩu và tiêu thụ theo điểm d khoản 5 Điều 22 Nghị định số 06/2022/NĐ-CP được quy định tại Phụ lục III.1 kèm theo Thông tư này.
Khoản 1 Điều 15 Thông tư số 01/2022/TT-BTNMT bị ngưng hiệu lực thi hành theo quy định tại Điều 1 Thông tư 38/2024/TT-BTNMT.
2. Danh mục các chất làm suy giảm tầng ô-dôn được kiểm soát theo điểm b khoản 3 Điều 92 Luật Bảo vệ môi trường được quy định tại Phụ lục III.2 kèm theo Thông tư này.
3. Danh mục các chất gây hiệu ứng khí nhà kính được kiểm soát theo điểm b khoản 3 Điều 92 Luật Bảo vệ môi trường được quy định tại Phụ lục III.3 kèm theo Thông tư này.
4. Danh mục các sản phẩm, thiết bị, hàng hóa có chứa hoặc sản xuất từ chất được kiểm soát theo điểm b khoản 3 Điều 92 Luật Bảo vệ môi trường được quy định tại Phụ lục III.4 kèm theo Thông tư này.
Khoản 4 Điều 15 Thông tư số 01/2022/TT-BTNMT bị ngưng hiệu lực thi hành theo quy định tại Điều 1 Thông tư 38/2024/TT-BTNMT.
Điều 16. Hướng dẫn sử dụng các chất được kiểm soát
1. Tổ chức sản xuất, xuất khẩu, nhập khẩu, tiêu thụ các chất được kiểm soát tuân thủ biện pháp quản lý như sau:
a) Đăng ký sử dụng chất được kiểm soát;
b) Giấy phép nhập khẩu, xuất khẩu;
c) Hạn ngạch sản xuất, nhập khẩu.
Chi tiết về biện pháp quản lý và thời hạn áp dụng đối với từng chất được kiểm soát quy định tại Phụ lục III ban hành kèm theo Thông tư này.
2. Tổ chức xuất khẩu, nhập khẩu sản phẩm, hàng hóa, thiết bị có chứa các chất được kiểm soát phải ghi rõ thông tin về chất được kiểm soát khi thực hiện thủ tục hải quan.
3. Tổ chức xuất khẩu, nhập khẩu các chất được kiểm soát có cùng mã HS phải ghi rõ thông tin từng chất khi thực hiện thủ tục hải quan.
Điều 17. Thu gom, vận chuyển, tái chế, tái sử dụng và xử lý các chất được kiểm soát
1. Tổ chức, cơ sở sử dụng thiết bị, sản phẩm có chửa hoặc sử dụng chất được kiểm soát quy định tại khoản 6 Điều 92 Luật Bảo vệ môi trường bao gồm:
a) Tổ chức, cơ sở có hoạt động sản xuất chất được kiểm soát thuộc đối tượng quy định tại điểm a khoản 1 Điều 24 Nghị định số 06/2022/NĐ-CP;
b) Tổ chức, cơ sở sản xuất, nhập khẩu thiết bị, sản phẩm có chứa hoặc sản xuất từ các chất được kiểm soát thuộc đối tượng quy định tại điểm c khoản 1 Điều 24 Nghị định số 06/2022/NĐ-CP;
c) Tổ chức, cơ sở sở hữu thiết bị có chứa các chất được kiểm soát: máy điều hòa không khí có năng suất lạnh danh định lớn hơn 26,5 kW (90.000 BTU/h) và có tổng năng suất lạnh danh định của các thiết bị lớn hơn 586 kW (2.000.000 BTU/h); thiết bị lạnh công nghiệp có công suất điện lớn hơn 40 kW thuộc đối tượng quy định tại điểm d khoản 1 Điều 24 Nghị định số 06/2022/NĐ-CP;
d) Tổ chức, cơ sở thực hiện dịch vụ lắp đặt, bảo trì, sửa chữa, bảo dưỡng thiết bị lạnh và điều hòa không khí.
2. Tổ chức, cơ sở quy định tại khoản 1 Điều này tuân thủ quy định về thu gom, vận chuyển, lưu giữ, tái chế, tái sử dụng và xử lý các chất được kiểm soát theo quy định tại Điều 28 Nghị định số 06/2022/NĐ-CP.
3. Kỹ thuật viên thực hiện lắp đặt, vận hành, bảo dưỡng, sửa chữa thiết bị có chứa các chất được kiểm soát theo quy định tại khoản 4 Điều 28 Nghị định số 06/2022/NĐ-CP phải có bằng tốt nghiệp trình độ trung cấp trở lên thuộc một trong các ngành, nghề sau:
a) Công nghệ kỹ thuật nhiệt;
b) Công nghệ điện tử và năng lượng tòa nhà;
c) Công nghệ cơ khí, sưởi ấm và điều hòa không khí;
d) Lắp đặt thiết bị lạnh;
đ) Bảo trì và sửa chữa thiết bị nhiệt;
e) Kỹ thuật máy lạnh và điều hoà không khí;
g) Vận hành, sửa chữa thiết bị lạnh;
h) Cơ điện lạnh thuỷ sản.
Điều 18. Xử lý các chất được kiểm soát
1. Các chất được kiểm soát sau khi được thu gom không thể tái chế, tái sử dụng thì phải được xử lý và không để phát tán ra môi trường.
2. Tổ chức, cá nhân xử lý các chất được kiểm soát thực hiện theo quy định pháp luật về quản lý chất thải nguy hại.
Chương V
ĐIỀU KHOẢN THI HÀNH
Điều 19. Quy định chuyển tiếp
Kết quả đánh giá tác động của biến đổi khí hậu được thực hiện trước ngày Thông tư này có hiệu lực thi hành được xem xét, thẩm định theo quy định tại Thông tư số 08/2016/TT-BTNMT ngày 16 tháng 5 năm 2016 của Bộ trưởng Bộ Tài nguyên và Môi trường quy định về đánh giá tác động của biến đổi khí hậu và đánh giá khí hậu quốc gia.
Điều 20. Hiệu lực thi hành
1. Thông tư này có hiệu lực thi hành kể từ ngày 07 tháng 01 năm 2022.
2. Bãi bỏ quy định tại Điều 5 Thông tư số 08/2016/TT-BTNMT ngày 16 tháng 5 năm 2016 của Bộ trưởng Bộ Tài nguyên và Môi trường quy định về đánh giá tác động của biến đổi khí hậu và đánh giá khí hậu quốc gia.
Điều 21. Tổ chức thực hiện
1. Các Bộ, cơ quan ngang Bộ, cơ quan thuộc Chính phủ, Ủy ban nhân dân tỉnh, thành phố trực thuộc Trung ương và tổ chức, cá nhân có liên quan chịu trách nhiệm thi hành Thông tư này.
2. Trong quá trình thực hiện, nếu có khó khăn, vướng mắc, đề nghị các cơ quan, tổ chức, cá nhân liên quan kịp thời phản ánh về Bộ Tài nguyên và Môi trường để nghiên cứu, hướng dẫn, sửa đổi, bổ sung./.
|
Nơi nhận: |
KT. BỘ TRƯỞNG THỨ TRƯỞNG
Lê Công Thành |
Phụ lục I
HƯỚNG DẪN ĐÁNH GIÁ TÁC ĐỘNG, TÍNH DỄ BỊ TỔN THƯƠNG, RỦI RO, TỔN THẤT VÀ THIỆT HẠI DO BIẾN ĐỔI KHÍ HẬU
(Ban hành kèm theo Thông tư số 01/2022/TT-BTNMT ngày 07 tháng 01 năm 2022 của Bộ trưởng Bộ Tài nguyên và Môi trường)
|
Phụ lục I.1 |
Hướng dẫn lựa chọn, xác định các chỉ số phản ánh tính dễ bị tổn thương, rủi ro do biến đổi khí hậu |
|
Phụ lục I.2 |
Hướng dẫn xác định tổn thất và thiệt hại do biến đổi khí hậu |
|
Phụ lục I.3 |
Cấu trúc báo cáo đánh giá tác động của biến đổi khí hậu |
Phụ lục I.1
HƯỚNG DẪN LỰA CHỌN, XÁC ĐỊNH CÁC CHỈ SỐ PHẢN ÁNH TÍNH DỄ BỊ TỔN THƯƠNG, RỦI RO DO BIẾN ĐỔI KHÍ HẬU
I. Nhận diện, sàng lọc các ảnh hưởng và xây dựng chuỗi ảnh hưởng của biến đổi khí hậu
1. Nhận diện và sàng lọc các ảnh hưởng của biến đổi khí hậu
Các ảnh hưởng tiềm tàng của biến đổi khí hậu đối với đối tượng đánh giá có thể gây ra bởi một hoặc nhiều hiểm họa kết hợp đồng thời. Do đó, trong bước này cần nhận diện và liệt kê được các hiểm họa đối với đối tượng đánh giá trong phạm vi đã xác định. Các hiểm họa do biến đổi khí hậu bao gồm thay đổi nhiệt độ, thay đổi lượng mưa, các hiện tượng khí hậu cực đoan và nước biển dâng.
Sử dụng các công cụ như ma trận để phân tích ảnh hưởng của biến đổi khí hậu và bắt đầu thực hiện phân tích với những ảnh hưởng trong điều kiện khí hậu hiện tại (Bảng 1). Sau đó, tiến hành đánh giá sàng lọc ảnh hưởng của các hiểm họa đến đối tượng bị ảnh hưởng theo các mức độ khác nhau (ví dụ: cao, trung bình, thấp thông qua phương pháp cho điểm, bảng 2).
Bảng 1. Ví dụ về ma trận để nhận diện ảnh hưởng của biến đổi khí hậu đối với lĩnh vực nông nghiệp tại khu vực ven biển
|
Hiểm họa
Đối tượng bị ảnh hưởng |
Mức độ xảy ra nhanh, bất thường |
Mức độ xảy ra chậm hoặc thường xuyên |
||
|
Tăng mức độ nghiêm trọng của bão |
Thay đổi lượng mưa |
Thay đổi nhiệt độ |
Mực nước biển dâng cao |
|
|
Chăn nuôi |
Có thể ảnh hưởng tương đối hệ thống chuồng trại và vật nuôi |
Ảnh hưởng rất thấp |
Có thể ảnh hưởng tới sản lượng chăn nuôi |
Tùy thuộc vào nơi chăn nuôi, có thể ảnh hưởng đến hoạt động chăn nuôi |
|
Trồng trọt |
Có thể gây thiệt hại lớn tới cây trồng |
Có thể ảnh hưởng đến năng suất cây trồng |
Có thể ảnh hưởng đến năng suất cây trồng |
Có thể thu hẹp diện tích canh tác và ảnh hưởng tới năng suất cây trồng |
|
Thủy sản |
Gây thiệt hại rất lớn |
Có thể ảnh hưởng tới năng suất nuôi trồng |
Có thể ảnh hưởng tới năng suất nuôi trồng |
Có thể thu hẹp diện tích nuôi trồng |
|
Thủy lợi |
Có thể ảnh hưởng tới hệ thống tưới tiêu và đê điều |
Ảnh hưởng thấp |
Ảnh hưởng rất thấp |
Có thể ảnh hưởng tới hệ thống tưới tiêu và đê điều |
|
Diêm nghiệp |
Có thể ảnh hưởng tới hoạt động sản xuất muối |
Không có ảnh hưởng trực tiếp |
Có thể ảnh hưởng tới năng suất muối |
Thu hẹp diện tích và ảnh hưởng lớn tới hoạt động sản xuất muối |
Bảng 2. Ví dụ về tổng hợp kết quả đánh giá sàng lọc ảnh hưởng của biến đổi khí hậu đối với trong lĩnh vực nông nghiệp tại khu vực ven biển
|
Hiểm họa
Đối tượng bị ảnh hưởng |
Mức độ xảy ra nhanh, bất thường |
Mức độ xảy ra chậm hoặc thường xuyên |
||
|
Tăng mức độ nghiêm trọng của bão |
Thay đổi lượng mưa |
Thay đổi nhiệt độ |
Mực nước biển dâng cao |
|
|
Chăn nuôi |
3 |
1 |
2 |
2 |
|
Trồng trọt |
4 |
3 |
3 |
3 |
|
Thủy sản |
5 |
2 |
2 |
2 |
|
Thủy lợi |
3 |
2 |
1 |
3 |
|
Diêm nghiệp |
3 |
0 |
3 |
4 |
|
Ghi chú: Mức đánh giá sàng lọc ảnh hưởng có giá trị từ 0 đến 5, trong đó “0” là không bị ảnh hưởng; “1” là mức ảnh hưởng thấp nhất và “5” là mức ảnh hưởng cao nhất. |
||||
Nên lựa chọn những ảnh hưởng của biến đổi khí hậu quan trọng phù hợp với mục tiêu và phạm vi đánh giá. Trong trường hợp nguy cơ ảnh hưởng được xác định ở mức rất thấp hoặc thấp, chỉ cần đánh giá tác động của biến đổi khí hậu ở mức sàng lọc sơ bộ. Trong trường hợp nguy cơ ảnh hưởng được xác định ở mức cao, cần thực hiện các bước tiếp theo trong trình tự đánh giá tác động của biến đổi khí hậu bao gồm: xây dựng chuỗi ảnh hưởng; đánh giá tính dễ bị tổn thương, rủi ro để từ đó tổng hợp, phân cấp tính dễ bị tổn thương, rủi ro do biến đổi khí hậu (Hình 1).

Hình 1. Sơ đồ tổng quát mô tả nhận diện, sàng lọc các ảnh hưởng của biến đổi khí hậu và xác định tính dễ bị tổn thương, rủi ro do biến đổi khí hậu
2. Xây dựng chuỗi ảnh hưởng của biến đổi khí hậu
Sau khi sàng lọc các ảnh hưởng của biến đổi khí hậu, cần xây dựng chuỗi ảnh hưởng dựa trên kiến thức hiện có. Xây dựng chuỗi ảnh hưởng là bước khởi đầu để xác định tính dễ bị tổn thương, rủi ro. Chuỗi ảnh hưởng giúp hiểu rõ, hệ thống hóa và xếp hạng những yếu tố làm tăng tính dễ bị tổn thương, rủi ro của đối tượng đánh giá. Chúng chỉ rõ những hiểm họa nào có khả năng gây ra các tác động trực tiếp hoặc gián tiếp do biến đổi khí hậu. Do đó, chuỗi ảnh hưởng là công cụ quan trọng để thảo luận, tham vấn những vấn đề về khí hậu, kinh tế - xã hội, tài nguyên hoặc các chỉ số cần được xem xét, phân tích trong quá trình xác định tính dễ bị tổn thương, rủi ro. Quá trình này giúp tạo điều kiện thuận lợi để xác định các hành động thích ứng phù hợp.
Việc xây dựng chuỗi ảnh hưởng cần được thực hiện độc lập để xem xét các ảnh hưởng có thể định lượng được hay không và cần lưu ý đến sự phụ thuộc lẫn nhau giữa các chuỗi ảnh hưởng đã được xây dựng. Có nhiều cách khác nhau để xây dựng chuỗi ảnh hưởng. Đơn giản nhất là bắt đầu với các ảnh hưởng tiềm tàng từ quá trình nhận diện, sàng lọc ảnh hưởng của biến đổi khí hậu (như lượng mưa giảm khiến lượng nước tưới tiêu giảm, dẫn đến năng suất nông nghiệp giảm, hình 2). Trong bước này, cần hiểu được tổng thể các ảnh hưởng liên quan đến biến đổi khí hậu. Trong trường hợp có nhiều lĩnh vực được đánh giá, thì ảnh hưởng của biến đổi khí hậu cần được thu thập cho từng lĩnh vực riêng biệt. Cần lưu ý tới yếu tố khí hậu đã tác động như thế nào đến đối tượng đánh giá liên quan trong quá khứ và có quan sát thấy xu hướng mới hoặc thay đổi nào trong các hiện tượng thời tiết gần đây hay không?
Trong những trường hợp phức tạp hơn, cần tập hợp các ảnh hưởng theo các chủ đề liên quan để tạo thành các nhóm ảnh hưởng đến đối tượng đánh giá. Lưu ý tập trung vào những ảnh hưởng có tác động nhiều nhất đến đối tượng đánh giá. Các hiểm họa cần được thu thập và xác định đầu tiên (như lượng mưa giảm), sau đó cần xác định các ảnh hưởng trung gian có liên quan (như nguồn nước bị cạn kiệt). Các hiểm họa của biến đổi khí hậu như lượng mưa giảm, nhiệt độ tăng hay nước biển dâng dẫn tới xâm nhập mặn khiến chất lượng nguồn nước tưới tiêu bị suy giảm, gây ra giảm năng suất cây trồng và gia tăng dịch bệnh (Hình 3).
Để dễ hiểu, việc xây dựng chuỗi ảnh hưởng cần tập trung vào các mối quan hệ phù hợp giữa các yếu tố rủi ro khác nhau. Lưu ý, việc này tạo thành một quá trình lặp đi lặp lại và các khía cạnh mới có thể xuất hiện trong suốt quá trình xây dựng một chuỗi ảnh hưởng.
Các ví dụ tại hình 2, hình 3 và hình 4 minh họa sơ đồ phân tích các chuỗi ảnh hưởng theo các mức độ khác nhau (đơn giản, trung bình, phức tạp) trong nông nghiệp.

Hình 2. Ví dụ về phân tích chuỗi ảnh hưởng đơn giản trong nông nghiệp

Hình 3. Ví dụ về chuỗi ảnh hưởng trung bình trong nông nghiệp

Hình 4. Ví dụ về chuỗi ảnh hưởng phức tạp trong nông nghiệp
II. Xác định các chỉ số thành phần của hiểm họa, mức độ phơi bày, mức độ nhạy cảm và khả năng thích ứng
1. Yêu cầu chung
Chỉ số thành phần là các tham số có tính đại diện, cung cấp thông tin, dữ liệu về trạng thái hoặc điều kiện cụ thể của các chỉ số. Các chỉ số thành phần có thể được đo lường trực tiếp (như diện tích đất trồng trọt, năng suất cây trồng) hoặc gián tiếp (như tỷ lệ nhiễm sâu bệnh, gián tiếp gây thiệt hại cho cây trồng).
Việc xác định tính dễ bị tổn thương, rủi ro được thực hiện thông qua các các chỉ số và chỉ số thành phần có thể là định lượng, bán định lượng hoặc định tính (bằng cách so sánh các giá trị của chỉ số với các ngưỡng tới hạn hoặc các ước tính trước đó). Trong trường hợp thông tin định lượng hoặc các ngưỡng tới hạn không thể được xác định, có thể sử dụng thông tin định tính và việc đánh giá các chỉ số sẽ phụ thuộc chủ yếu vào đánh giá của chuyên gia.
Cần chọn ít nhất một chỉ số thành phần cho mỗi yếu tố rủi ro liên quan, các giá trị của chỉ số thành phần có thể được tổng hợp theo các chỉ số (hiểm họa, mức độ phơi bày, mức độ nhạy cảm và khả năng thích ứng) định lượng, bán định lượng hoặc định tính và sau đó có thể tổng hợp để xác định tính dễ bị tổn thương, rủi ro. Ví dụ, khi xác định mức độ phơi bày của một đối tượng đánh giá, cần xem xét các yếu tố rủi ro chính mà đối tượng đánh giá có khả năng bị ảnh hưởng bởi hiểm họa, như khu vực canh tác/trồng trọt. Khi xác định mức độ nhạy cảm của đối tượng đánh giá sẽ hữu ích khi xem xét các thuộc tính ảnh hưởng đến mức độ nhạy cảm dưới các tác động tiêu cực tiềm tàng, như loại cây trồng được canh tác (Bảng 3).
Bảng 3. Ví dụ về các yếu tố rủi ro liên quan và các chỉ số thành phần khác nhau
| Chỉ số | Yếu tố rủi ro | Chỉ số thành phần |
| Hiểm họa | Lượng mưa | Tổng lượng mưa trong ba tháng liên tiếp |
| Mức độ phơi bày | Khu vực canh tác/trồng trọt | Diện tích canh tác/trồng trọt theo loại cây trồng |
| Mức độ nhạy cảm | Loại cây trồng | Phần trăm diện tích canh tác các loại cây nhạy cảm với hạn hán |
| Khả năng thích ứng | Khả năng chuyển đổi sang cây trồng có khả năng chống chịu | Khả năng tài chính của các hộ nông dân để đầu tư vào các loại cây trồng mới |
Các chỉ số thành phần của hiểm họa được xác định bằng cách trả lời các câu hỏi sau: (i) “Những hiểm họa nào có thể ảnh hưởng đến đối tượng đánh giá”; (ii) “Những hiểm họa nào sẽ được lựa chọn để xác định thông tin liên quan cần thiết phục vụ việc đánh giá”.
Các chỉ số thành phần của mức độ phơi bày được xác định bằng cách trả lời các câu hỏi sau: (i) "Ai hoặc cái gì có khả năng bị phơi bày trước hiểm họa và các tác động liên quan là gì"; (ii) "Yếu tố không gian nào góp phần vào mức độ phơi bày". Thông thường cần ít yếu tố để thể hiện chỉ số thành phần của mức độ phơi bày so với với các chỉ số thành phần của hiểm họa hoặc mức độ nhạy cảm trong đánh giá tính dễ bị tổn thương, rủi ro.
Các chỉ số thành phần của mức độ nhạy cảm được xác định tương tự như cách xác định chỉ số thành phần của mức độ phơi bày. Câu hỏi hướng dẫn là: “Những đặc điểm hoặc thuộc tính hiện có của đối tượng đánh giá khiến nó dễ bị ảnh hưởng bởi các tác động tiêu cực đã xác định là gì?”. Những đặc điểm hoặc thuộc tính này có thể là đặc điểm tự nhiên, sinh học, kinh tế - xã hội hoặc các đặc điểm khác (quản lý, hành chính).
Các chỉ số thành phần của khả năng thích ứng được xác định dựa trên các yếu tố: năng lực tổ chức, năng lực kỹ thuật, năng lực tài chính và các năng lực khác. Tất cả các yếu tố này đều có tiềm năng góp phần giảm thiểu tính dễ bị tổn thương, rủi ro do biến đổi khí hậu. Lưu ý, cần tích hợp kiến thức địa phương, thiết lập sự đồng thuận giữa các chuyên gia và các bên liên quan khác trong quá trình xác định khả năng thích ứng. Trong một số trường hợp, việc xác định khả năng thích ứng sẽ cung cấp thông tin có giá trị để phân biệt mức độ dễ bị tổn thương, rủi ro giữa các kịch bản thích ứng, như không thực hiện thích ứng, thích ứng hạn chế dựa trên năng lực hiện tại hoặc tăng cường thích ứng dựa trên khả năng thích ứng bổ sung. Việc so sánh như trên sẽ nhấn mạnh tầm quan trọng của các biện pháp thích ứng trong việc giảm thiểu tính dễ bị tổn thương, rủi ro. Điều này đặc biệt quan trọng đối với trường hợp đánh giá tính dễ bị tổn thương, rủi ro được thiết kế để hỗ trợ sự phát triển, cũng như giám sát và đánh giá các can thiệp thích ứng.
Bảng 4 cung cấp ví dụ về các chỉ số và chỉ số thành phần của hiểm họa, mức độ phơi bày, mức độ nhạy cảm và khả năng thích ứng để xác định tính dễ bị tổn thương, rủi ro do biến đổi khí hậu.
Bảng 4. Ví dụ về các chỉ số để xác định tính dễ bị tổn thương, rủi ro
| Chỉ số | Yếu tố rủi ro | Các chỉ số thành phần |
| Hiểm họa | Nhiệt độ | Số đêm có nhiệt độ trung bình trên 25°C. |
| Lượng mưa | Số tháng có lượng mưa dưới 50 mm. | |
| Gió | - Tăng tốc độ gió trung bình; - Số cơn bão có tốc độ gió trên một mức độ nguy hiểm xác định. | |
| Mức độ phơi bày | Vị trí của cơ sở hạ tầng | Phân bố cơ sở hạ tầng giao thông ở vùng thường xuyên bị lũ lụt, ở vùng có nguy cơ sạt lở đất |
| Mức độ phơi bày của khu vực canh tác | Phần trăm diện tích canh tác/tổng diện tích. | |
| Mức độ phơi bày của hệ sinh thái | Phân bố của hệ sinh thái, loài ở khu vực có nguy cơ bị ảnh hưởng | |
| Mức độ phơi bày của công nghiệp | - Tỷ lệ phần trăm của các loại hình kinh doanh dễ bị tổn thương ở các khu vực có nguy cơ; - Diện tích các khu công nghiệp bị ảnh hưởng bởi nước biển dâng hoặc bão. | |
| Mức độ nhạy cảm | Nhu cầu sử dụng nước | Nhu cầu sử dụng nước trong các giai đoạn phát triển |
| Các điều kiện về đất | Khả năng giữ nước của đất | |
| Sản xuất công nghiệp | Có hệ thống cảnh báo sớm | |
| Các đối tượng dễ bị tổn thương (dân cư) | Phần trăm dân số dễ bị tổn thương (người già, trẻ em, người làm việc ngoài trời) | |
| Khả năng thích ứng | Năng lực tài chính | Khả năng tài chính để đầu tư vào các loại cây trồng mới, công nghệ... |
| Năng lực công nghệ | Mức độ sẵn có của các công nghệ thích ứng phù hợp (hệ thống tưới tiêu) | |
| Năng lực tổ chức | Nhu cầu đào tạo trong thích ứng với biến đổi khí hậu | |
| Nguồn lực để lập kế hoạch và hoạt động thích ứng với biến đổi khí hậu |
2. Lựa chọn chỉ số thành phần
Các chỉ số thành phần cần đưa ra cụ thể và được lựa chọn thông qua việc xem xét các yêu cầu sau:
- Phạm vi không gian;
- Phạm vi thời gian;
- Tính đại diện;
- Khả năng lặp lại (để lặp lại các đánh giá tính dễ bị tổn thương, rủi ro tiếp theo);
- Tính khả thi.
Các chỉ số thành phần cung cấp thông tin về các ngưỡng giới hạn nên được xem xét đưa vào đánh giá. Ví dụ, loại cây trồng cần lượng mưa trung bình năm là 1.000 mm.
Việc lựa chọn các chỉ số thành phần là một quá trình lặp đi lặp lại. Do đó, việc tham vấn chuyên gia hoặc tổ chức các cuộc họp, hội thảo lấy ý kiến sẽ giúp việc lựa chọn các chỉ số thành phần phù hợp với từng yếu tố dễ bị tổn thương, rủi ro. Trên thực tế, tính sẵn có và chất lượng dữ liệu hoặc các hạn chế về nguồn lực (thời gian và tài chính) có thể hạn chế số lượng các chỉ số thành phần được lựa chọn.
a) Lựa chọn chỉ số thành phần của hiểm họa
Đối với các chỉ số thành phần hiểm họa, thông tin, dữ liệu chủ yếu là các thông số về khí hậu có thể đo lường trực tiếp hoặc được mô hình hóa như nhiệt độ hoặc lượng mưa trung bình. Cần xem xét các loại hiểm họa (lũ lụt, nhiệt độ tăng, mực nước biển dâng, nắng nóng) và bản chất của hiểm họa (cực trị, thay đổi giá trị trung bình hoặc độ biến thiên).
Tùy thuộc vào loại hiểm họa và đối tượng chịu tác động để lựa chọn các chỉ số thành phần phù hợp. Ví dụ, đánh giá rủi ro do thay đổi nhiệt độ tới nông nghiệp, các chỉ số thành phần cơ bản của hiểm họa gồm: sự thay đổi của nhiệt độ trung bình năm; nhiệt độ tối cao; nhiệt độ tối thấp; số ngày nắng nóng trên 35 độ và 37 độ; và số ngày rét đậm và rét hại. Căn cứ vào yêu cầu đánh giá, cần chi tiết không gian đánh giá (cấp tỉnh, huyện , xã hoặc vùng/khu vực...) để lựa chọn chỉ số thành phần hiểm họa cho phù hợp. Ví dụ, yêu cầu đánh giá rủi ro chi tiết đến cấp huyện, thì các chỉ số thành phần của hiểm họa tương ứng phải chi tiết đến cấp huyện .
b) Lựa chọn chỉ số thành phần của mức độ nhạy cảm và mức độ phơi bày
Các chỉ số thành phần của mức độ nhạy cảm và mức độ phơi bày, tốt nhất là thông tin, dữ liệu về đặc điểm tự nhiên, sinh học hoặc kinh tế - xã hội được đo lường trực tiếp hoặc các mô hình như mô hình nhân khẩu học, mô hình thủy văn. Trong nhiều trường hợp, có thể xác định các chỉ số thành phần này dựa trên sự sẵn có của các số liệu thống kê quốc gia, các quan sát trong quá khứ, đánh giá của chuyên gia (thay thế cho dữ liệu số), hoặc kết hợp giữa các cách này. Tùy thuộc vào đối tượng chịu tác động để lựa chọn các chỉ số thành phần của mức độ nhạy cảm, mức độ phơi bày cho phù hợp.
Đối với mức độ nhạy cảm: ví dụ, trong trường hợp đánh giá tính dễ bị tổn thương do biến đổi khí hậu đến đối tượng dân cư, các chỉ số thành phần của mức độ nhạy cảm thường được lựa chọn là mật độ hoặc tốc độ tăng dân số, tỷ lệ hoặc số lượng người dễ bị tổn thương (phụ nữ, người già, trẻ em, người nghèo, người dân tộc thiểu số, người khuyết tật...).
Đối với mức độ phơi bày: Số liệu chỉ số thành phần của mức độ phơi bày phải thỏa mãn yêu cầu chi tiết không gian trong đánh giá rủi ro. Ví dụ các chỉ số thành phần của mức độ phơi bày cho lĩnh vực nông nghiệp với lũ lụt gồm diện tích đất nông nghiệp bị ngập, diện tích nuôi trồng thủy sản bị ảnh hưởng, số lượng gia súc và gia cầm bị ảnh hưởng, tổng chiều dài hệ thống kênh mương bị bị ảnh hưởng do lũ lụt.
c) Lựa chọn chỉ số thành phần của khả năng thích ứng
Các chỉ số thành phần của khả năng thích ứng được xác định bằng phương pháp định tính, định lượng hoặc kết hợp cả 02 phương pháp. Việc xác định khả năng thích ứng cần được thực hiện riêng đối với từng chủ thể thích ứng biến đổi khí hậu, trong đó cần xem xét các yếu tố: năng lực tổ chức, năng lực kỹ thuật, năng lực tài chính và các năng lực khác:
- Năng lực tổ chức là mức độ mà một cơ quan, tổ chức có thể đưa yếu tố thích ứng với biến đổi khí hậu vào quá trình ra quyết định và xác định, thực hiện các hoạt động thích ứng có ý nghĩa, đồng thời theo dõi, cập nhật và cải thiện các hoạt động thích ứng theo thời gian. Việc đánh giá năng lực của một cơ quan, tổ chức để đối phó với các tác động tiềm tàng của biến đổi khí hậu giúp đánh giá thực tế về rủi ro mà cơ quan, tổ chức đang phải đối mặt và sự cần thiết của việc bổ sung các biện pháp thích ứng. Nội dung này đặc biệt quan trọng trong trường hợp so sánh đối tượng đánh giá có nguy cơ tổn thương, rủi ro (ví dụ, các ngành hoặc vùng/khu vực khác nhau) với các mức độ thích ứng khác nhau.
- Năng lực kỹ thuật là mức độ mà công nghệ hiện có hoặc công nghệ mới có thể góp phần nâng cao khả năng thích ứng với biến đổi khí hậu trong tương lai. Năng lực kỹ thuật được xem như một thành phần của năng lực tổ chức, nhưng trong một số trường hợp, tốt nhất nên đánh giá một cách riêng biệt. Năng lực kỹ thuật là hệ quả của một số yếu tố, những yếu tố này có thể bao gồm: năng lực phục hồi công nghệ; mức độ mà một công nghệ phụ thuộc vào các công nghệ khác và có thể bị tác động bởi biến đổi khí hậu; mức độ sẵn có và khả thi về kỹ thuật có thể ứng phó làm giảm rủi ro trong tương lai.
- Năng lực tài chính là mức độ có thể huy động các nguồn tài chính để đảm bảo các hành động thích ứng sẽ được xác định, thực hiện và cập nhật theo thời gian. Năng lực tài chính được xem như một bộ phận cấu thành của năng lực tổ chức. Tuy nhiên, năng lực tài chính sẽ rất hữu ích nếu được xác định một cách riêng biệt. Năng lực tài chính là hệ quả của một số yếu tố khác nhau, những yếu tố này có thể bao gồm: mức độ phân bổ đủ ngân sách cho các hành động thích ứng; mức độ đảm bảo sử dụng đủ vốn để thực hiện các hành động thích ứng.
3. Lập danh sách các chỉ số thành phần
Các chỉ số thành phần lựa chọn cần được mô tả cùng với thông tin khác có liên quan. Đối với mỗi chỉ số thành phần cần bao gồm các nội dung chính như sau:
- Mô tả ngắn gọn về chỉ số thành phần;
- Chỉ số (ví dụ hiểm họa, mức độ phơi bày, mức độ nhạy cảm) và yếu tố rủi ro (ví dụ: lượng mưa, khu vực trồng trọt, loại cây trồng) mà chỉ số thành phần thể hiện;
- Giải thích ngắn gọn lý do chọn chỉ số thành phần;
- Phạm vi không gian (tỉnh, huyện , xã hoặc vùng/khu vực...) của các dữ liệu chỉ số thành phần. Đơn vị đo hoặc độ phân giải không gian cần thiết của các dữ liệu chỉ số thành phần;
- Phạm vi thời gian của các dữ liệu chỉ số thành phần;
- Giải thích điểm số (cao hoặc thấp) tương ứng với làm giảm hoặc tăng tính dễ bị tổn thương, rủi ro;
- Các nguồn dữ liệu hiện có và tiềm năng (nếu có).
III. Thu thập và quản lý dữ liệu
1. Thu thập dữ liệu
Thu thập dữ liệu trong quá khứ và tương lai để thực hiện đánh giá là cần thiết. Đối với quá khứ, các dữ liệu đo đạc thường có sẵn. Đối với tương lai, các kịch bản biến đổi khí hậu và dự báo khí hậu được sử dụng để mô tả các chỉ số thành phần của hiểm họa, mức độ nhạy cảm và mức độ phơi bày.
Các phương pháp khác nhau có thể được sử dụng để thu thập dữ liệu cần thiết cho việc xác định hiểm họa, mức độ phơi bày, mức độ nhạy cảm và khả năng thích ứng, gồm:
- Đánh giá của chuyên gia: kiến thức chuyên môn, kiến thức địa phương là những nguồn thông tin quan trọng phục vụ đánh giá. Nhận định của các chuyên gia nên được sử dụng và bổ sung với dữ liệu định lượng nếu có.
- Điều tra phỏng vấn: dữ liệu điều tra phỏng vấn thường được tổng hợp (ví dụ, từ cấp cộng đồng đến cấp tỉnh), nội suy hoặc ngoại suy trước khi chúng được đưa vào đánh giá. Ví dụ, thông tin về thu nhập hộ gia đình, giáo dục và kỹ thuật tưới tiêu thường được thu thập bằng điều tra phỏng vấn.
- Mô hình hóa: các mô hình có thể được sử dụng trong đánh giá để ước tính các hiểm họa hiện tại và tương lai (ví dụ thay đổi nhiệt độ hoặc lượng mưa), mức độ nhạy cảm hoặc mức độ phơi bày cũng như ảnh hưởng của biến đổi khí hậu tại thời điểm hiện tại và tiềm tàng trong tương lai (ví dụ như dòng chảy đối với một lượng mưa nhất định, thay đổi năng suất cây trồng do thay đổi nhiệt độ).
Đối với dữ liệu trong tương lai, có thể khai thác từ các nguồn:
- Kịch bản biến đổi khí hậu: kết quả của các mô hình mô phỏng biến đổi khí hậu thường được sử dụng để xem xét sự thay đổi của khí hậu có thể xảy ra trong tương lai. Tuy nhiên, khi áp dụng vào các trường hợp cụ thể, ví dụ như mô hình dự báo thu hoạch mùa vụ, cần phải sử dụng các phương pháp downscaling (tức là hạ thấp độ phân giải không gian và thời gian) liên quan đến khu vực có nguy cơ tổn thương, rủi ro. Các dự báo về khí hậu vốn không có tính chắc chắn và chính xác tuyệt đối, do đó cần tham khảo ý kiến của chuyên gia về tính không chắc chắn liên quan đến các kịch bản và việc hạ thấp độ phân giải.
- Thông tin, dữ liệu về mức độ nhạy cảm và mức độ phơi bày: phải phù hợp với dự báo khí hậu, vì mức độ phơi bày có mối liên kết chặt chẽ với sự phát triển nên mức độ nhạy cảm và mức độ phơi bày trong hệ thống kinh tế - xã hội cần được xác định cùng thời điểm. Bên cạnh đó, tính không chắc chắn cũng cần được tính đến.
- Kết hợp thông tin, dữ liệu: kịch bản biến đổi khí hậu, mức độ nhạy cảm và mức độ phơi bày cần được kết hợp để phân tích các tác động tiềm tàng của biến đổi khí hậu trong tương lai.
2. Đánh giá chất lượng thông tin, dữ liệu và kết quả đầu ra
Kiểm tra chất lượng thông tin, dữ liệu và kết quả đầu ra là việc cần phải được thực hiện, bao gồm thông tin, dữ liệu định lượng và định tính.
Đối với thông tin, dữ liệu định lượng, cần phải kiểm tra các yếu tố sau:
- Chất lượng và định dạng của thông tin, dữ liệu;
- Phạm vi không gian (tỉnh, huyện , xã hoặc vùng/khu vực...) và thời gian;
- Thông tin, dữ liệu không có sẵn;
- Các giá trị bất thường trong thông tin, dữ liệu và nguồn gốc của chúng.
Đối với thông tin, dữ liệu định tính, cần phải kiểm tra các yếu tố sau:
- Thông tin, dữ liệu thể hiện quan điểm của các bên quan tâm;
- Giải thích chính xác các từ ngữ hoặc thuật ngữ sử dụng trong đánh giá định tính (có thể khác nhau giữa các ngôn ngữ hoặc giữa các khu vực).
Thông tin, dữ liệu đầu vào và kết quả đầu ra là định lượng hay định tính, đều có thể mang tính không chắc chắn. Sự không chắc chắn trong đánh giá chủ yếu do các lý do như sau: các mô hình và các kịch bản được sử dụng, dữ liệu và bản chất của các chỉ số thành phần đã chọn. Đánh giá mức độ tin cậy của các kết quả cần phải được thực hiện để phục vụ việc giải thích các kết quả. Việc đánh giá mức độ tin cậy đối với từng tác động của biến đổi khí hậu cần được thực hiện với những phân cấp tối thiểu như “thấp”, “trung bình” hoặc “cao”.
3. Quản lý dữ liệu
Chi tiết về dữ liệu được sử dụng trong đánh giá phải được lập thành văn bản. Việc nhận thức không đầy đủ về dữ liệu hiện có hoặc không đủ kiến thức về dữ liệu hiện có, có thể dẫn đến việc thu thập dữ liệu bị trùng lặp.
Tập dữ liệu nên được lưu trữ để tránh mất dữ liệu. Dữ liệu lớn phải được ghi lại một cách có hệ thống kết hợp với các mô tả về nội dung, đặc điểm của các bộ dữ liệu khác nhau và hướng dẫn cho việc diễn giải các giá trị.
IV. Tổng hợp các chỉ số hiểm họa, mức độ phơi bày, mức độ nhạy cảm và khả năng thích ứng
Tổng hợp các chỉ số hiểm họa, mức độ phơi bày, mức độ nhạy cảm và khả năng thích ứng cho từng đơn vị không gian (tỉnh, huyện , xã hoặc vùng/khu vực...) có thể sử dụng các phương pháp khác nhau tùy thuộc yêu cầu về mức độ tổng hợp.
Phương pháp định tính hoặc bán định lượng là phương pháp đơn giản để áp dụng. Cách tiếp cận của 02 phương pháp này là sử dụng bảng xếp hạng với thang đo gồm 03 bước hoặc 05 bước (định dạng thang đo phải cụ thể cho từng trường hợp). Việc chấm điểm trên thang đánh giá nên được căn cứ vào thông tin, dữ liệu và các kiến thức tốt nhất hiện có (từ tài liệu, kiến thức chuyên môn, đánh giá của các chuyên gia hoặc các nguồn đáng tin cậy khác).
Phương pháp định lượng có thể được sử dụng để thực hiện việc chuẩn hóa tất cả dữ liệu. Sau khi chuẩn hóa cần xác định trọng số của các chỉ số thành phần:
1. Chuẩn hóa các chỉ số thành phần
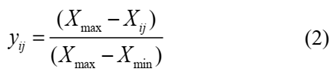
Thuật ngữ “chuẩn hóa” đề cập đến việc chuyển đổi các giá trị chỉ số đo trên các thang đo và đơn vị tính khác nhau thành các giá trị không có đơn vị trên một thang đo chung. Phạm vi giá trị tiêu chuẩn thường sử dụng để chuẩn hóa là từ 0 đến 1. Các chỉ số thành phần chuẩn hóa cần được kết hợp với các giá trị ngưỡng đối với các tổn thương, rủi ro trọng yếu của đối tượng đang được xem xét, đánh giá.
Các chỉ số thành phần của hiểm họa, mức độ phơi bày, mức độ nhạy cảm và khả năng thích ứng phải được chuẩn hóa riêng biệt theo phạm vi không gian đánh giá và cần phải xác định mối quan hệ là đồng biến hoặc nghịch biến giữa chỉ số thành phần cần chuẩn hóa với chỉ số tính dễ bị tổn thương hoặc chỉ số rủi ro để áp dụng công thức tính chuẩn hóa cho phù hợp. Việc xác định mối quan hệ giữa các chỉ số thành phần với chỉ số tính dễ bị tổn thương hoặc chỉ số rủi ro có thể được xác định dựa trên các tài liệu tham khảo, tham vấn chuyên gia hoặc kinh nghiệm từ cộng đồng.
Lưu ý: Các chỉ số thành phần của mức độ nhạy cảm có quan hệ đồng biến với chỉ số tính dễ bị tổn thương - tức là làm gia tăng tính dễ bị tổn thương; còn chỉ số thành phần của khả năng thích ứng lại có quan hệ nghịch biến với chỉ số tính dễ bị tổn thương - tức là làm giảm tính dễ bị tổn thương. Các chỉ số thành phần của hiểm họa, mức độ phơi bày và tính dễ bị tổn thương đều có quan hệ đồng biến với chỉ số rủi ro.
Trong trường hợp tương quan giữa chỉ số thành phần của hiểm họa, mức độ phơi bày, mức độ nhạy cảm và khả năng thích ứng và chỉ số tính dễ bị tổn thương hoặc chỉ số rủi ro là đồng biến, áp dụng công thức chuẩn hóa sau:

Trong trường hợp tương quan giữa chỉ số thành phần của hiểm họa, mức độ phơi bày, mức độ nhạy cảm và khả năng thích ứng và chỉ số tính dễ bị tổn thương hoặc chỉ số rủi ro là nghịch biến, áp dụng công thức chuẩn hóa sau:

Trong đó: i là chỉ số chạy của đơn vị không gian gian (đơn vị không gian có thể là tỉnh, huyện , xã hoặc vùng/khu vực,...), j là chỉ số chạy của chỉ số thành phần;
yij là giá trị chuẩn hóa tại đơn vị không gian thứ i của chỉ số thành phần thứ j;
Xij là giá trị của chỉ số thành phần;
Xmin là giá trị nhỏ nhất của chỉ số thành phần thứ j trong toàn bộ đơn vị không gian;
Xmax là giá trị lớn nhất của chỉ số thành phần thứ j trong toàn bộ đơn vị không gian.
2. Tính trọng số các chỉ số thành phần
Sau khi thực hiện chuẩn hóa các chỉ số thành phần, trọng số của từng chỉ số thành phần cần được tính toán và áp dụng. Trọng số của từng chỉ số thành phần phản ánh mức độ quan trọng quan trọng và sự ảnh hưởng của nó đến tính toán chỉ số về hiểm họa, mức độ phơi bày, mức độ nhạy cảm và khả năng thích ứng.
Có nhiều cách tính trọng số của từng chỉ số thành phần, tùy thuộc vào mục đích, tính sẵn có của số liệu, nguồn nhân lực, khả năng tài chính,... để lựa chọn các phương pháp tính trọng số cho phù hợp. Một số phương pháp tính trọng số có thể được áp dụng như sau:
- Phương pháp chuyên gia: Các trọng số của các chỉ số thành phần được xác định dựa trên đánh giá của chuyên gia.
- Phương pháp bất cân bằng trọng số: Tính toán trọng số dựa trên độ lệch chuẩn của từng chỉ số thành phần.
- Phương pháp phân tích thứ bậc (Analytic Hierarchy Process - AHP): là một phương pháp định lượng, dùng để đánh giá các phương án và chọn phương án thỏa mãn các tiêu chí cho trước. Các chỉ số thành phần sẽ được so sánh với nhau theo từng cặp trong một ma trận và được tính toán bằng cách cộng tổng các giá trị của ma trận theo cột, sau đó lấy từng giá trị của ma trận chia cho số tổng của cột tương ứng. Trọng số của từng chỉ số thành phần tương ứng sẽ bằng bình quân các giá trị theo từng hàng ngang.
3. Tính toán các chỉ số hiểm họa, mức độ phơi bày, mức độ nhạy cảm và khả năng thích ứng.
Sau khi tính chuẩn hóa và áp dụng trọng số đối với các chỉ số thành phần, các chỉ số tại các đơn vị không gian được tính toán theo công thức tổng quát sau:

Trong đó: Mi là chỉ số tính toán (hiểm họa (ký hiệu là Hi), mức độ phơi bày (ký hiệu là Ei), mức độ nhạy cảm (ký hiệu là Si), khả năng thích ứng (ký hiệu là ACi));
i là chỉ số chạy của đơn vị không gian;
j là chỉ số chạy của chỉ số thành phần;
n là tổng chỉ số thành phần;
m là tổng số đơn vị không gian;
wj là trọng số của chỉ số thành phần thứ j trong toàn bộ đơn vị không gian;
yij là giá trị chuẩn hóa của chỉ số thành phần thứ j, được tính theo công thức (1) hoặc công thức (2).
Tính toán tính dễ bị tổn thương tại các đơn vị không gian (ký hiệu là Vi):

Tính toán rủi ro tại các đơn vị không gian (ký hiệu là Ri):

Kết quả tổng hợp đánh giá tính dễ bị tổn thương, rủi ro do biến đổi khí hậu được trình bày dưới dạng bản đồ so sánh (có hoặc không có lớp phủ) hoặc biểu đồ so sánh và kèm theo mô tả về khu vực chịu ảnh hưởng cao của biến đổi khí hậu và khả năng thích ứng thấp. Lưu ý trong trường hợp, khả năng thích ứng cao có thể đủ tiềm năng ứng phó với các hiểm họa do biến đổi khí hậu, do đó, kết quả tổng thể từ đánh giá tính dễ bị tổn thương, rủi ro sẽ là thấp, mặc dù có hiểm họa tiềm tàng cao.
Phụ lục I.2
HƯỚNG DẪN XÁC ĐỊNH TỔN THẤT VÀ THIỆT HẠI DO BIẾN ĐỔI KHÍ HẬU
I. Xác định chỉ số tổn thất, thiệt hại về kinh tế và phi kinh tế đối với hệ thống tự nhiên và kinh tế - xã hội
Xác định chỉ số tổn thất, thiệt hại đối với các đối tượng đánh giá là bước quan trọng đầu tiên cần thực hiện. Để xác định chỉ số tổn thất, thiệt hại cần thực hiện qua các bước sau:
1. Nhận diện các loại tổn thất, thiệt hại do biến đổi khí hậu
Trong bước này, dựa trên các kết quả, tài liệu về đánh giá tác động của biến đổi khí hậu trong khu vực, lĩnh vực đánh giá để xác định sơ bộ các loại tổn thất, thiệt hại cần tính toán. Các đánh giá sơ bộ cần được thực hiện bởi nhóm chuyên gia đa ngành, sử dụng các sơ đồ, ma trận trong xác định tác động của biến đổi khí hậu và các loại tổn thất, thiệt hại. Đánh giá sơ bộ cần được tổng hợp thành bảng và mô tả các loại tổn thất, thiệt hại. Bảng 5 dưới đây là ví dụ nhận diện các loại tổn thất, thiệt hại cho khu vực A.
Bảng 5. Nhận diện các loại tổn thất, thiệt hại do tác động của biến đổi khí hậu
|
TT |
Các yếu tố tác động |
Mô tả tổn thất, thiệt hại tiềm tàng |
|
1 |
Thay đổi nhiệt độ: Ví dụ nắng nóng và rét cực đoan kéo dài gây hạn hán, rét hại |
- Giảm diện tích canh tác do hạn hán; cây trồng, vật nuôi bị chết do hạn hán hoặc rét đậm rét hại; - Giảm năng suất cây trồng, vật nuôi dẫn đến giảm sản lượng; - Tăng chi phí đầu vào liên quan đến giống, phân bón, thuốc bảo vệ thực vật và thú y; hệ thống thủy lợi và vật tư che chắn bảo vệ cây trồng, vật nuôi; - Hư hại kết cấu hạ tầng công trình xây dựng và giao thông, thủy lợi do sóng nhiệt cực đoan. |
|
2 |
Thay đổi lượng mưa: Ví dụ gia tăng mưa cực đoan gây ngập lụt, sạt lở đất, lũ quét hoặc giảm lượng mưa cực đoan gây hạn hán |
- Giảm diện tích trồng trọt, nuôi trồng thủy sản do ngập úng hoặc hạn hán; - Lũ quét, sạt lở gây mất đất sản xuất, phá hủy hoàn toàn hoặc làm hư hỏng đường giao thông, cơ sở hạ tầng thủy lợi, viễn thông, trường học, trạm y tế, hệ thống cấp nước sinh hoạt; - Đình trệ lưu thông hàng hóa, các dịch vụ xã hội; Gia tăng giá nhu yếu phẩm và các đầu vào phục vụ sản xuất, đầu tư; - Gây thiệt hại về nhà cửa, tài sản, sức khỏe và tính mạng của người dân và các hộ gia đình; - Phá hủy hoặc làm suy giảm hệ sinh thái và đa dạng sinh học. |
|
3 |
Nước biển dâng |
- Gây mất đất do ngập lụt, giảm diện tích đất canh tác và ao đầm nuôi trồng thủy sản do đất, nước nhiễm mặn; - Giảm năng suất cây trồng và thủy sản do xâm nhập mặn; - Mất đất, nhà cửa do sạt lở ở các vùng cửa sông, ven biển; - Mất rừng ngập mặn và suy giảm hệ sinh thái rừng ngập mặn. |
|
4 |
Các hiện tượng khí hậu cực đoan: Ví dụ áp thấp nhiệt đới, bão, lốc xoáy , giông lốc, mưa lớn bất thường kéo dài |
- Phá hủy hoặc làm hư hỏng nhà xưởng, tài sản, máy móc và nguyên vật liệu của các nhà máy, cơ sở sản xuất; - Gây hư hại cơ sở hạ tầng giao thông, thông tin liên lạc, công trình xây dựng, công trình cấp nước và vệ sinh môi trường; - Gây đắm tàu thuyền, mất vật tư và sản phẩm hải sản; đình trệ các hoạt động giao thông vận tải đường thủy và đường không; - Phá hủy hoặc gây thiệt hại về cây trồng, vật nuôi, nhà ở; gây chết người hoặc thương tích; - Đình trệ một số hoạt động sản xuất kinh doanh dẫn đến giảm doanh thu của các doanh nghiệp, thu nhập của người lao động. |
Dựa trên kết quả nhận diện sơ bộ, tiến hành tham vấn với các chuyên gia và các bên liên quan ở khu vực, lĩnh vực đánh giá để hoàn thiện việc nhận diện đầy đủ các loại tổn thất, thiệt hại trong phạm vi đánh giá.
2. Phân loại và xây dựng chỉ số tổn thất, thiệt hại
Bước này cần xác định và phân loại các chỉ số tổn thất, thiệt hại sẽ tiến hành đánh giá. Các chỉ số cần phản ánh được các loại tổn thất, thiệt hại do tác động của biến đổi khí hậu và phân chia theo các chỉ số tổn thất, thiệt hại về kinh tế và phi kinh tế; các chỉ số tổn thất, thiệt hại sử dụng đánh giá cho quá khứ và tương lai. Việc lựa chọn các chỉ số tổn thất, thiệt hại để đánh giá cần căn cứ vào khả năng thu thập và mức độ tin cậy của số liệu để tính toán nhằm đảm bảo độ chính xác của kết quả đánh giá. Bảng 6 là ví dụ về xác định một số chỉ số tổn thất, thiệt hại để đánh giá tại khu vực A.
Bảng 6. Xác định một số chỉ số tổn thất, thiệt hại để đánh giá
|
TT |
Chỉ số tổn thất, thiệt hại |
Đánh giá |
|||
|
Tổn thất, thiệt hại về kinh tế |
Tổn thất, thiệt hại phi kinh tế |
Giai đoạn quá khứ |
Giai đoạn tương lai |
||
|
1 |
Khối lượng cây trồng, vật nuôi bị thiệt hại |
x |
|
x |
x |
|
2 |
Giảm năng suất và sản lượng của cây trồng, vật nuôi |
x |
|
x |
|
|
3 |
Khối lượng cơ sở vật chất, tài sản, nguyên vật liệu trồng trọt và chăn nuôi bị hư hỏng |
x |
|
x |
|
|
4 |
Tăng chi phí đầu vào phục hồi diện tích cây trồng, ao nuôi,..bị ảnh hưởng |
x |
|
x |
|
|
5 |
Khối lượng đường giao thông, phương tiện giao thông bị phá hủy hoàn toàn hoặc một phần |
x |
|
x |
|
|
6 |
Số lượng nhà ở bị ảnh hưởng |
x |
|
x |
|
|
7 |
Chi phí phát sinh do nhà ở bị phá hủy, hư hỏng |
x |
|
x |
|
|
8 |
Diện tích đất bị mất lụt |
|
x |
x |
x |
|
9 |
Khối lượng rừng ngập mặn, hệ sinh thái và đa dạng sinh học bị mất hoặc suy giảm |
|
x |
x |
x |
|
10 |
Số người bị ảnh hưởng đến tính mạng và sức khỏe |
|
x |
x |
|
|
11 |
Dân cư bị ảnh hưởng |
|
|
x |
x |
II. Điều tra, thu thập số liệu
Sau khi xác định được các chỉ số tổn thất, thiệt hại, tiến hành lập kế hoạch và tổ chức thực hiện điều tra thu thập số liệu. Với từng chỉ số tổn thất, thiệt hại đã xác định, tiến hành xác định thông tin cần thu thập, các nguồn thông tin sẵn có và thông tin cần điều tra bổ sung. Bảng 7 dưới đây là ví dụ xác định thông tin cần thu thập để tính toán các chỉ số tổn thất, thiệt hại. Bảng này cần lập riêng cho các chỉ số tổn thất, thiệt hại sẽ đánh giá cho giai đoạn quá khứ và tương lai.
Cần thiết kế các mẫu thu thập thông tin đảm bảo thông tin thu thập là đầy đủ để tính toán các chỉ số tổn thất, thiệt hại. Lưu ý, đối với các chỉ số tổn thất, thiệt hại đánh giá trong quá khứ, cần dựa vào các số liệu thống kê, kết quả điều tra, khảo sát bổ sung. Đối với các chỉ số tổn thất, thiệt hại trong tương lai, cần dựa vào báo cáo kết quả đánh giá tác động của biến đổi khí hậu trong tương lai và kết quả đánh giá tổn thất, thiệt hại trong quá khứ.
Bảng 7. Xác định thông tin cần thu thập cho các chỉ số tổn thất, thiệt hại
|
TT |
Chỉ số tổn thất, thiệt hại |
Thông tin cần thu thập |
Nguồn thông tin dự kiến |
|
1 |
Khối lượng cây trồng, vật nuôi bị thiệt hại |
- Diện tích bị phá hủy hoàn toàn; - Diện tích bị hư hại một phần. |
Thống kê của Bộ Nông nghiệp và Phát triển nông thôn và địa phương; điều tra, khảo sát bổ sung |
|
2 |
Giảm năng suất và sản lượng của cây trồng, vật nuôi |
Năng suất giảm bình quân (tấn/ha); sản lượng giảm/vụ; giá lúa tại thời điểm xảy ra hạn hán. |
Thống kê của Bộ Nông nghiệp và Phát triển nông thôn và địa phương; điều tra, khảo sát bổ sung |
|
3 |
Khối lượng cơ sở vật chất, tài sản, nguyên vật liệu trồng trọt và chăn nuôi bị hư hỏng |
Số km công trình tưới tiêu bị hư hại; số máy móc bị hư hại; số con giống bị mất/chết,... |
Thống kê của Bộ Nông nghiệp và Phát triển nông thôn và địa phương; điều tra, khảo sát bổ sung |
|
4 |
Tăng chi phí đầu vào phục hồi diện tích cây trồng, ao nuôi bị ảnh hưởng; giảm thu do chất lượng kém |
- Đầu tư giống, phân bón, nhân công phục hồi diện tích bị hư hại một phần; - Giảm giá thành do chất lượng sản phẩm; - Đơn giá điện, nhân công vận hành hệ thống thủy nông tăng thêm. |
Thống kê của Bộ Nông nghiệp và Phát triển nông thôn và địa phương; điều tra, khảo sát bổ sung |
|
5 |
Khối lượng đường giao thông, phương tiện giao thông bị phá hủy hoàn toàn hoặc một phần |
- Khối lượng đường giao thông bị phá hủy hoàn toàn và thiệt hại một phần; - Số lượng phương tiện giao thông bị hư hỏng, cuốn trôi; - Chi phí phát sinh do đình trệ giao thông; - Chi phí phát sinh do phải di chuyển quãng đường xa hơn. |
Thống kê của Bộ Giao thông vận tải và địa phương; điều tra, khảo sát bổ sung |
|
6 |
Số lượng nhà ở bị ảnh hưởng |
- Số lượng nhà ở bị phá hủy hoàn toàn theo loại nhà; - Số lượng nhà bị hư hỏng một phần theo loại nhà. |
Thống kê của Bộ Nông nghiệp và Phát triển nông thôn , Bộ Xây dựng và địa phương; điều tra, khảo sát bổ sung |
|
7 |
Chi phí phát sinh do nhà ở bị phá hủy, hư hỏng |
Chi phí phát sinh do di dời, thuê nơi ở tạm thời, dọn dẹp/tháo dỡ, phục hồi hệ thống điện, nước,... |
Thống kê của Bộ Nông nghiệp và Phát triển nông thôn , Bộ Xây dựng và địa phương; điều tra, khảo sát bổ sung |
|
8 |
Diện tích đất bị mất |
- Diện tích đất bị mất do ngập, lụt và sạt lở; - Diện tích đất bị mất do nước biển dâng. |
Thống kê của Bộ Tài nguyên và Môi trường và địa phương; điều tra, khảo sát bổ sung. |
|
9 |
Khối lượng rừng ngập mặn, hệ sinh thái và đa dạng sinh học bị mất hoặc suy giảm |
- Diện tích rừng bị mất, loại rừng, chất lượng rừng; - Số loài bị ảnh hưởng . |
Thống kê của , chủ rừng; báo cáo đánh giá; khảo sát. |
|
10 |
Số người bị ảnh hưởng đến tính mạng và sức khỏe |
- Số người bị chết và mất tích (theo giới); - Số người bị thương tích (theo giới); - Số người bị bệnh tật liên quan (theo giới). |
Thống kê của Bộ Nông nghiệp và Phát triển nông thôn , Bộ Y tế và địa phương; điều tra, khảo sát bổ sung. |
|
11 |
Dân cư bị ảnh hưởng |
- Số hộ gia đình bị ảnh hưởng - Số người/tỷ lệ bị ảnh hưởng (theo giới, khu vực). |
Thống kê của địa phương và điều tra, khảo sát. |
III. Tính toán, phân tích tổn thất và thiệt hại
Thông tin sau khi thu thập sẽ được tổng hợp, kiểm tra kỹ lưỡng để loại bỏ các lỗi hoặc thông tin không rõ ràng trước khi đưa vào phân tích. Giả sử tại khu vực A, dựa trên kết quả điều tra, tiến hành tính toán và tổng hợp số liệu về tổn thất, thiệt hại cho giai đoạn quá khứ (2016-2020) tại bảng 8 và cho tương lai (cho các năm 2025, 2030, 2040) tại bảng 9. Giá trị tổn thất, thiệt hại quy về thời điểm đánh giá với tỷ lệ chiết khấu áp dụng là 10%.
Bảng 8. Ước tính tổn thất, thiệt hại giai đoạn 2016-2020
|
TT |
Chỉ số tổn thất, thiệt hại |
Đơn vị tính |
2016 |
2017 |
2018 |
2019 |
2020 |
Tổng |
|
I |
Tổn thất, thiệt hại về kinh tế |
|||||||
|
1 |
Khối lượng cây trồng, vật nuôi bị thiệt hại |
Tỷ đồng |
80,5 |
88,5 |
65,0 |
76,5 |
99,0 |
409,5 |
|
2 |
Giảm năng suất và sản lượng của cây trồng, vật nuôi |
Tỷ đồng |
12,5 |
18,5 |
15,0 |
16,5 |
19,0 |
81,5 |
|
3 |
Khối lượng cơ sở vật chất, tài sản, nguyên vật liệu trồng trọt và chăn nuôi bị hư hỏng |
Tỷ đồng |
16,0 |
14,0 |
13,4 |
18,5 |
25,0 |
86,9 |
|
4 |
Tăng chi phí đầu vào phục hồi diện tích cây trồng, ao nuôi,..bị ảnh hưởng; giảm thu do chất lượng kém |
Tỷ đồng |
15,0 |
7,5 |
4,5 |
10,0 |
8,0 |
45,0 |
|
5 |
Khối lượng đường giao thông, phương tiện giao thông bị phá hủy hoàn toàn hoặc một phần |
Tỷ đồng |
25,0 |
22,5 |
33,5 |
53,0 |
44,0 |
178,0 |
|
6 |
Số lượng nhà ở bị ảnh hưởng |
Tỷ đồng |
30,0 |
10,0 |
15,0 |
17,0 |
20,0 |
92,0 |
|
7 |
Chi phí phát sinh do nhà ở bị phá hủy, hư hỏng |
Tỷ đồng |
3,5 |
1,5 |
2,0 |
2,5 |
3,0 |
12,5 |
|
II |
Tổn thất, thiệt hại phi kinh tế |
|||||||
|
1 |
Diện tích đất bị mất |
Ha |
10,0 |
12,0 |
8,0 |
15,0 |
25,0 |
70,0 |
|
2 |
Khối lượng rừng ngập mặn, hệ sinh thái và đa dạng sinh học bị mất hoặc suy giảm |
Ha |
15,0 |
10,0 |
5,0 |
12,0 |
20,0 |
62,0 |
|
3 |
Số người bị thiệt mạng |
Người |
120,0 |
100,0 |
80,0 |
140,0 |
90,0 |
530,0 |
|
4 |
Dân cư bị ảnh hưởng |
Triệu người |
2,0 |
3,0 |
1,0 |
2,4 |
1,5 |
9,9 |
Bảng 9. Ước tính tổn thất, thiệt hại trong tương lai
|
TT |
Chỉ số tổn thất, thiệt hại |
Đơn vị tính |
2025 |
2030 |
2040 |
|
1 |
Khối lượng cây trồng, vật nuôi bị thiệt hại |
Tỷ đồng |
350,0 |
430,0 |
550,0 |
|
2 |
Giảm năng suất và sản lượng cây trồng, vật nuôi |
Tỷ đồng |
100,0 |
135,0 |
240,5 |
|
3 |
Diện tích đất bị mất |
Ha |
65,0 |
95,0 |
110,0 |
|
4 |
Mất và suy thoái rừng ngập mặn |
Ha |
20,0 |
30,0 |
35,0 |
|
5 |
Dân cư bị ảnh hưởng |
Triệu người |
4,0 |
5,0 |
7,0 |
IV. Tổng hợp, phân tích tổn thất, thiệt hại
Kết quả tính toán tổn thất, thiệt hại trước hết cần được tổng hợp theo các chỉ số đánh giá cho cả giai đoạn quá khứ và tương lai, kinh tế và phi kinh tế. Kết quả tổng hợp có thể được trình bày bằng bảng, biểu đồ, đồ thị để thể hiện thực trạng và xu hướng của tổn thất, thiệt hại. Dựa trên kết quả đã được tổng hợp, phân tích tổn thất, thiệt hại về kinh tế và phi kinh tế; phân tích theo ngành, lĩnh vực để đánh giá, so sánh trong từng ngành, lĩnh vực hoặc giữa các ngành, lĩnh vực; phân tích theo chuỗi thời gian để xác định xu hướng. Ngoài ra, cần phân tích mức độ tổn thất, thiệt hại đến tổng sản phẩm trong nước (GDP) hoặc tổng sản phẩm trên địa bàn tỉnh, thành phố trực thuộc Trung ương (GRDP).
Ví dụ nêu trên về phân tích tổn thất, thiệt hại cho khu vực A trong giai đoạn quá khứ và tương lai do biến đổi khí hậu cho thấy:
1. Tổn thất, thiệt hại trong quá khứ:
- Tổng giá trị tổn thất, thiệt hại về kinh tế trong giai đoạn 2016-2020 tại khu vực A là 905,4 tỷ đồng. Giá trị tổn thất, thiệt hại năm 2017 và 2018 thấp hơn so với năm 2016 nhưng có xu hướng gia tăng trong năm 2019 và 2020; trong đó lĩnh vực nông nghiệp chịu tổn thất, thiệt hại cao nhất so với các lĩnh vực khác, với mức bình quân 124,6 tỷ/năm; tiếp đến là tổn thất, thiệt hại trong lĩnh vực giao thông vận tải, với mức 35,6 tỷ/năm.
-Tổn thất, thiệt hại phi kinh tế trong giai đoạn 2016-2020 gồm: 70 ha đất bị mất do ngập lụt, sạt lở và nước biển dâng; 62 ha rừng ngập mặn bị mất, hệ sinh thái tự nhiên bị suy giảm và đặc biệt làm cho 530 người thiệt mạng.
2. Tổn thất, thiệt hại trong tương lai:
- Tổn thất, thiệt hại về kinh tế vào năm 2030, cây trồng, vật nuôi bị thiệt hại được ước tính là 430 tỷ đồng và sẽ tăng lên thành 550 tỷ đồng vào năm 2040 nếu không có các giải pháp thích ứng phù hợp và kịp thời.
- Tổn thất, thiệt hại phi kinh tế vào năm 2040 có thể mất 110 ha đất trồng trọt, mất và suy thoái 35 ha rừng ngập mặn và gây ảnh hưởng đến 7 triệu người.
Phụ lục I.3
CẤU TRÚC BÁO CÁO ĐÁNH GIÁ TÁC ĐỘNG CỦA BIẾN ĐỔI KHÍ HẬU
MỤC LỤC
DANH MỤC TỪ VIẾT TẮT VÀ KÝ HIỆU
DANH MỤC CÁC BẢNG
DANH MỤC CÁC HÌNH
TÓM TẮT KẾT QUẢ ĐÁNH GIÁ
ĐẶT VẤN ĐỀ
Phần 1. MỤC TIÊU, NỘI DUNG, ĐỐI TƯỢNG, PHẠM VI VÀ PHƯƠNG PHÁP ĐÁNH GIÁ
1.1. Mục tiêu.
1.2. Nội dung, đối tượng, phạm vi và phương pháp.
1.3. Căn cứ và dữ liệu sử dụng.
Phần 2. ĐẶC ĐIỂM KHU VỰC VÀ ĐỐI TƯỢNG ĐÁNH GIÁ
2.1. Đặc điểm điều kiện tự nhiên.
2.2. Đặc điểm kinh tế - xã hội.
2.3. Các đặc trưng của khu vực, đối tượng đánh giá.
Phần 3. PHÂN TÍCH KỊCH BẢN BIẾN ĐỔI KHÍ HẬU VÀ CÁC TÀI LIỆU SỬ DỤNG TRONG ĐÁNH GIÁ
3.1. Phân tích kịch bản biến đổi khí hậu:
3.1.1. Thay đổi khí hậu trong quá khứ;
3.2.2. Kịch bản biến đổi khí hậu.
3.2. Phân tích dự báo phát triển kinh tế - xã hội và các tài liệu khác có liên quan:
3.2.1. Mục tiêu, định hướng phát triển trong tương lai của khu vực, lĩnh vực đánh giá;
3.2.2. Nội dung, phạm vi không gian về kế hoạch phát triển trong tương lai liên quan đến đối tượng đánh giá.
Phần 4. KẾT QUẢ ĐÁNH GIÁ
4.1. Đánh giá ảnh hưởng của biến đổi khí hậu:
4.1.1. Ảnh hưởng tích cực, tiêu cực đối với hệ thống tự nhiên, kinh tế, xã hội;
4.1.2. Ảnh hưởng ngắn hạn, dài hạn đối với hệ thống tự nhiên, kinh tế, xã hội.
4.2. Đánh giá tính dễ bị tổn thương, rủi ro do biến đổi khí hậu:
4.2.1. Các hiểm họa;
4.2.2. Mức độ phơi bày;
4.2.3. Mức độ nhạy cảm;
4.2.4. Khả năng thích ứng;
4.2.5. Tính dễ bị tổn thương và các rủi ro.
4.3. Đánh giá tổn thất, thiệt hại do biến đổi khí hậu:
4.3.1. Tổn thất, thiệt hại về kinh tế và phi kinh tế trong quá khứ;
4.3.2. Ước tính tổn thất, thiệt hại về kinh tế và phi kinh tế trong tương lai.
4.4. Đề xuất các giải pháp thích ứng với biến đổi khí hậu.
Phần 5. KẾT LUẬN VÀ KIẾN NGHỊ
5.1. Kết luận.
5.2. Kiến nghị.
TÀI LIỆU THAM KHẢO
CÁC PHỤ LỤC
Phụ lục II
MẪU BÁO CÁO THẨM ĐỊNH GIẢM NHẸ PHÁT THẢI KHÍ NHÀ KÍNH
(Ban hành kèm theo Thông tư số 01/2022/TT-BTNMT ngày 07 tháng 01 năm 2022 của Bộ trưởng Bộ Tài nguyên và Môi trường)
|
Phụ lục II.1 |
Mẫu báo cáo thẩm định giảm nhẹ phát thải khí nhà kính cấp lĩnh vực |
|
Phụ lục II. 2 |
Mẫu báo cáo thẩm định giảm nhẹ phát thải khí nhà kính cấp cơ sở |
Phụ lục II.1
MẪU BÁO CÁO THẨM ĐỊNH GIẢM NHẸ PHÁT THẢI KHÍ NHÀ KÍNH CẤP LĨNH VỰC
|
(1) (được đóng dấu treo của cơ quan thẩm định) |
CỘNG HÒA XÃ HỘI CHỦ NGHĨA VIỆT NAM (địa danh), ngày ... tháng ... năm ... |
BÁO CÁO THẨM ĐỊNH GIẢM NHẸ PHÁT THẢI KHÍ NHÀ KÍNH CẤP LĨNH VỰC THUỘC PHẠM VI QUẢN LÝ CỦA BỘ ...
NĂM 20..
I. THÔNG TIN CHUNG
1. Thông tin về các biện pháp giảm nhẹ phát thải khí nhà kính được thực hiện theo kế hoạch giảm nhẹ phát thải khí nhà kính cấp lĩnh vực: mô tả tóm tắt về các biện pháp giảm nhẹ phát thải khí nhà kính, mục tiêu giảm nhẹ phát thải khí nhà kính, phương pháp thu thập số liệu, phương pháp tính toán, các tiêu chí giám sát và kết quả thực hiện.
2. Thông tin về việc tổ chức thực hiện và tổ chức giám sát các biện pháp giảm nhẹ phát thải khí nhà kính: mô tả chi tiết về quá trình tổ chức thực hiện và tổ chức giám sát các biện pháp giảm nhẹ phát thải khí nhà kính.
II. NỘI DUNG THẨM ĐỊNH
1. Thẩm định kết quả giảm nhẹ phát thải khí nhà kính
a) Phân tích tính phù hợp của chính sách, biện pháp giảm nhẹ phát thải khí nhà kính của lĩnh vực với chiến lược, quy hoạch, kế hoạch phát triển của lĩnh vực.
b) Đánh giá độ tin cậy, tính đầy đủ, độ không chắc chắn của thông tin, dữ liệu về kiểm kê khí nhà kính trong kỳ kế hoạch của lĩnh vực.
c) Đánh giá kịch bản phát triển thông thường trong kỳ kế hoạch.
d) Kết quả kiểm tra phương pháp định lượng giảm nhẹ phát thải khí nhà kính của các chính sách, biện pháp giảm nhẹ phát thải khí nhà kính.
đ) Đánh giá độ tin cậy, độ không chắc chắn của kết quả giảm nhẹ phát thải khí nhà kính.
e) Đánh giá tính bổ sung của các chính sách, biện pháp quản lý giảm nhẹ phát thải khí nhà kính của lĩnh vực.
g) Phân tích, xác định khả năng tính hai lần đối với kết quả giảm nhẹ phát thải khí nhà kính của lĩnh vực.
g) Xác nhận kết quả giảm nhẹ phát thải khí nhà kính định lượng của lĩnh vực theo các năm trong kỳ kế hoạch (xác nhận kết quả của từng biện pháp và của toàn bộ lĩnh vực).
2. Đánh giá báo cáo giảm nhẹ phát thải khí nhà kính cấp lĩnh vực
|
TT |
Tiêu chí đánh giá |
Phù hợp /Có |
Không phù hợp / Không |
|
1 |
Hình thức báo cáo |
|
|
|
|
Báo cáo giảm nhẹ phát thải khí nhà kính cấp lĩnh vực theo mẫu số 01 Phụ lục III Nghị định số 06/2022/NĐ-CP |
|
|
|
2 |
Nội dung báo cáo |
|
|
|
2.1 |
Sự đầy đủ của thông tin về các biện pháp giảm nhẹ phát thải khí nhà kính |
|
|
|
2.2 |
Sự phù hợp của chính sách, biện pháp giảm nhẹ phát thải khí nhà kính |
|
|
|
2.3 |
Sự phù hợp của phương pháp định lượng giảm nhẹ phát thải khí nhà kính |
|
|
|
2.4 |
Sự phù hợp của hệ thống thông tin, dữ liệu về phát thải khí nhà kính và biện pháp giảm nhẹ phát thải khí nhà kính |
|
|
III. Kết luận và kiến nghị
Phụ lục II.2
MẪU BÁO CÁO THẨM ĐỊNH GIẢM NHẸ PHÁT THẢI KHÍ NHÀ KÍNH CẤP CƠ SỞ
|
(1) Số: ........... V/v báo cáo thẩm định giảm nhẹphát thải khí nhà kính của (2) |
CỘNG HÒA XÃ HỘI CHỦ NGHĨA VIỆT NAM (địa danh), ngày ... tháng ... năm ... |
Kính gửi: (2).
(1) nhận được hồ sơ đề nghị thẩm định giảm nhẹ phát thải khí nhà kính của (2) kèm theo Văn bản số ... ngày ... tháng ... năm ... của (2). Căn cứ kết quả thực hiện kế hoạch thẩm định giảm nhẹ phát thải khí nhà kính, (1) thông báo về kết quả thẩm định như sau:
1. Thông tin chung
a) Thông tin về tổ chức thực hiện thẩm định (tên tổ chức, địa chỉ, số điện thoại, thư điện tử).
b) Thời gian thực hiện thẩm định tại cơ sở.
c) Thời gian thực hiện lấy mẫu đại diện (nếu cần thiết) tại cơ sở.
2. Về các nội dung thực hiện thẩm định
a) Các ranh giới và phạm vi hoạt động của (2).
b) Cơ sở hạ tầng, công nghệ và toàn bộ quá trình hoạt động của (2).
c) Các nguồn phát thải khí nhà kính, bể hấp thụ khí nhà kính và các loại khí nhà kính của (2).
d) Mức phát thải khí nhà kính dự kiến của (2) khi không áp dụng công nghệ, biện pháp giảm nhẹ phát thải khí nhà kính.
đ) Các công nghệ, biện pháp giảm nhẹ phát thải khí nhà kính đã được thực hiện.
e) Phương pháp xác định mức giảm nhẹ phát thải khí nhà kính của các công nghệ, biện pháp giảm nhẹ phát thải khí nhà kính.
g) Độ tin cậy, độ không chắc chắn của mức giảm nhẹ phát thải khí nhà kính của (2).
h) Mức giảm nhẹ phát thải khí nhà kính của các biện pháp giảm nhẹ phát thải khí nhà kính áp dụng tại (2).
3. Đánh giá kết quả tính toán mức giảm nhẹ phát thải khí nhà kính của (2)
a) Phương pháp xác định mức phát thải dự kiến khi không áp dụng các công nghệ, biện pháp giảm nhẹ phát thải khí nhà kính, mức giảm nhẹ phát thải khí nhà kính và hệ số phát thải được áp dụng.
b) Hệ thống thông tin, cơ sở dữ liệu về phát thải khí nhà kính và giảm nhẹ phát thải khí nhà kính của (2).
c) Mức giảm nhẹ phát thải khí nhà kính đạt được trong giai đoạn ... của (2).
d) Đánh giá kết quả thực hiện kế hoạch giảm nhẹ phát thải khí nhà kính của cơ sở và hạn ngạch phát thải khí nhà kính được cấp cho (2).
3. Các nội dung cần chỉnh sửa, bổ sung và hoàn thiện trong báo cáo giảm nhẹ phát thải khí nhà kính của (2)
a) Về kết quả mức nhẹ giảm phát thải khí nhà kính.
b) Về việc xác định các nguồn phát thải, bể hấp thụ đã được trình bày trong báo cáo giảm phát thải khí nhà kính.
c) Về phương pháp tính toán mức giảm phát thải khí nhà kính, hệ số phát thải đã được áp dụng.
d) Về phương pháp kiểm soát chất lượng, đảm bảo chất lượng kiểm kê khí nhà kính.
đ) Về hệ thống thông tin, cơ sở dữ liệu về phát thải khí nhà kính và giảm phát thải khí nhà kính.
4. Đề nghị (2)
4.1. Trường hợp cần phải chỉnh sửa, bổ sung:
Đề nghị (2) chỉnh sửa, bổ sung hoặc giải trình; hoàn thiện báo cáo giảm nhẹ phát thải khí nhà kính của (2) theo nội dung nêu trên và gửi Thông báo này kèm theo báo cáo giảm nhẹ phát thải khí nhà kính đã được chỉnh sửa, bổ sung, hoàn thiện tới các cơ quan có thẩm quyền theo quy định tại Nghị định số 06/2022/NĐ-CP.
4.2. Trường hợp không cần phải chỉnh sửa bổ sung:
Đề nghị (2) gửi báo cáo này kèm theo báo cáo giảm nhẹ phát thải khí nhà kính tới các cơ quan có thẩm quyền theo quy định tại Nghị định số 06/2022/NĐ-CP.
(1) thông báo để (2) biết và thực hiện./.
GIÁM ĐỐC (3)
(ký, ghi họ tên, chức vụ, đóng dấu)
Ghi chú:
(1) Tên đơn vị thẩm định;
(2) Tên đầy đủ, chính xác của cơ sở phải thực hiện kiểm kê khí nhà kính;
(3) Thủ trưởng hoặc người đứng đầu đơn vị thẩm định (1).
Phụ lục III
DANH MỤC, HƯỚNG DẪN SỬ DỤNG CÁC CHẤT ĐƯỢC KIỂM SOÁT
(Ban hành kèm theo Thông tư số 01/2022/TT-BTNMT ngày 07 tháng 01 năm 2022 của Bộ trưởng Bộ Tài nguyên và Môi trường)
|
Phụ lục III.1 |
Danh mục các chất được kiểm soát cấm sản xuất, nhập khẩu và tiêu thụ |
|
Phụ lục III.2 |
Danh mục các chất làm suy giảm tầng ô-dôn được kiểm soát |
|
Phụ lục III.3 |
Danh mục các chất gây hiệu ứng khí nhà kính được kiểm soát |
|
Phụ lục III.4 |
Danh mục các sản phẩm, thiết bị, hàng hóa có chứa hoặc sản xuất từ chất được kiểm soát |
Phụ lục III.1 ban hành kèm theo Thông tư số 01/2022/TT-BTNMT bị ngưng hiệu lực thi hành theo quy định tại Điều 1 Thông tư 38/2024/TT-BTNMT.
Phụ lục III.1
DANH MỤC CÁC CHẤT ĐƯỢC KIỂM SOÁT CẤM SẢN XUẤT, NHẬP KHẨU VÀ TIÊU THỤ
|
Mã hàng hóa (HS) |
Mã hóa chất (CAS) |
Mô tả hàng hóa |
Tiền tố và ký hiệu |
Tên hóa học |
Công thức hóa học |
Số hiệu môi chất lạnh |
Tiềm năng làm suy giảm tầng ô- dôn (ODP)* |
Tiềm năng nóng lên toàn cầu (GWP)** |
|
2903.77.00 |
75-69-4 |
Các dẫn xuất halogen hóa của hydrocarbon mạch hở, chứa hai hoặc nhiều halogen khác nhau: perhalogen hóa chỉ với flo và clo |
CFC-11 |
Trichlorofluoromethane |
CFCl3 |
R-11 |
1 |
4750 |
|
2903.77.00 |
75-71-8 |
Các dẫn xuất halogen hóa của hydrocarbon mạch hở, chứa hai hoặc nhiều halogen khác nhau: perhalogen hóa chỉ với flo và clo |
CFC-12 |
Dichlorodifluoromethane |
CF2Cl2 |
R-12 |
1 |
10900 |
|
2903.77.00 |
76-13-1 |
Các dẫn xuất halogen hóa của hydrocarbon mạch hở, chứa hai hoặc nhiều halogen khác nhau: perhalogen hóa chỉ với flo và clo |
CFC-113 |
1,1,2-Trichloro-1,2,2- trifluoroethane |
|
R-113 |
0,8 |
6130 |
|
2903.77.00 |
76-14-2 |
Các dẫn xuất halogen hóa của hydrocarbon mạch hở, chứa hai hoặc nhiều halogen khác nhau: perhalogen hóa chỉ với flo và clo |
CFC-114 |
1,2-Dichloro-1,1,2,2-tetrafluoroethane |
C^Ch |
R-114 |
1 |
10000 |
|
2903.77.00 |
76-15-3 |
Các dẫn xuất halogen hóa của hydrocarbon mạch hở, chứa hai hoặc nhiều halogen khác nhau: perhalogen hóa chỉ với flo và clo |
CFC-115 |
1-chloro-1,1,2,2,2-pentafluoroethane |
C2F5Cl |
R-115 |
0,6 |
7370 |
|
2903.77.00 |
75-72-9 |
Các dẫn xuất halogen hóa của hydrocarbon mạch hở, chứa hai hoặc nhiều halogen khác nhau: perhalogen hóa chỉ với flo và clo |
CFC-13 |
Chloro(trifluoro)methane |
CF3Cl |
R-13 |
1 |
14400 |
|
2903.77.00 |
354-56-3 |
Các dẫn xuất halogen hóa của hydrocarbon mạch hở, chứa hai hoặc nhiều halogen khác nhau: perhalogen hóa chỉ với flo và clo |
CFC-111 |
1,1,1,2,2-Pentachloro-2-fluoroethane |
C2FCl5 |
R-111 |
1 |
|
|
2903.77.00 |
76-12-0 |
Các dẫn xuất halogen hóa của hydrocarbon mạch hở, chứa hai hoặc nhiều halogen khác nhau: perhalogen hóa chỉ với flo và clo |
CFC-112 |
Tetrachloro-1,2- difluoroethane |
C2F2CU |
R-112 |
1 |
|
|
2903.77.00 |
|
Các dẫn xuất halogen hóa của hydrocarbon mạch hở, chứa hai hoặc nhiều halogen khác nhau: perhalogen hóa chỉ với flo và clo |
CFC-211 |
Heptachlorofluoropropane |
C3FCl7 |
R-211 |
1 |
|
|
2903.77.00 |
|
Các dẫn xuất halogen hóa của hydrocarbon mạch hở, chứa hai hoặc nhiều halogen khác nhau: perhalogen hóa chỉ với flo và clo |
CFC-212 |
Hexachlorodifluoropropan |
C3F2Cl6 |
R-212 |
1 |
|
|
2903.77.00 |
|
Các dẫn xuất halogen hóa của hydrocarbon mạch hở, chứa hai hoặc nhiều halogen khác nhau: perhalogen hóa chỉ với flo và clo |
CFC-213 |
Pentachlorotrifluoropropane |
C3F3Q5 |
R-213 |
1 |
|
|
2903.77.00 |
|
Các dẫn xuất halogen hóa của hydrocarbon mạch hở, chứa hai hoặc nhiều halogen khác nhau: perhalogen hóa chỉ với flo và clo |
CFC-214 |
Tetrachlorotetrafluoropropane |
C3F4CU |
R-214 |
1 |
|
|
2903.77.00 |
|
Các dẫn xuất halogen hóa của hydrocarbon mạch hở, chứa hai hoặc nhiều halogen khác nhau: perhalogen hóa chỉ với flo và clo |
CFC-215 |
Trichloropentafluoropropane |
C3F5Cl3 |
R-215 |
1 |
|
|
2903.77.00 |
1652-80-8 |
Các dẫn xuất halogen hóa của hydrocarbon mạch hở, chứa hai hoặc nhiều halogen khác nhau: perhalogen hóa chỉ với flo và clo |
CFC-216 |
Dichlorohexafluoropropane |
C^6Ci2 |
R-216 |
1 |
|
|
2903.77.00 |
422-86-6 |
Các dẫn xuất halogen hóa của hydrocarbon mạch hở, chứa hai hoặc nhiều halogen khác nhau: perhalogen hóa chỉ với flo và clo |
CFC-217 |
Chloroheptafluoropropane |
C3F7Cl |
R-217 |
1 |
|
|
2903.76.00 |
353-59-3 |
Các dẫn xuất halogen hóa của hydrocarbon mạch hở, chứa hai hoặc nhiều halogen khác nhau: Bromochlorodifluoromethane. |
Halon- 1211 |
Bromochlorodifluoromethane |
CF2BrCl |
R12B1 |
3 |
1890 |
|
2903.76.00 |
75-63-8 |
Các dẫn xuất halogen hóa của hydrocarbon mạch hở, chứa hai hoặc nhiều halogen khác nhau: Bromotrifluoromethane. |
Halon- 1301 |
Bromotrifluoromethane |
CF3Br |
R13B1 |
10 |
7140 |
|
2903.76.00 |
124-73-2 |
Các dẫn xuất halogen hóa của hydrocarbon mạch hở, chứa hai hoặc nhiều halogen khác nhau: Dibromotetrafluoroethane |
Halon- 2402 |
1,2-Dibromotetrafluoroethane |
C2F4Br2 |
R114B2 |
6 |
1640 |
|
2903.14.00 |
56-23-5 |
Các dẫn xuất clo hóa của hydrocarbon mạch hở, no: Carbon tetraclorua |
Carbon tetrachlori de |
Carbon tetrachloride |
CCl4 |
R-10 |
1,1 |
1400 |
|
2903.19.20 |
71-55-6 |
Các dẫn xuất clo hóa của hydrocarbon mạch hở, no: Metyl cloroform (1,1,1-trichloroethane) |
Methyl chlorofor m |
1,1,1 -trichloroethane |
C2H3Cl3 |
R-140a |
0,1 |
146 |
|
2903.73.00 |
1717-00-6 |
Gas lạnh R141b (Dichlorofluoroethanes) |
HCFC-141b |
Dichlorofluoroethanes |
CH3CF Cl2 |
R-141b |
0,11 |
725 |
|
3827.32.00 |
|
HCFC-141 trộn sẵn trong polyol |
HCFC-141 trộn sẵn trong polyol |
HCFC-141 pre-blended polyol |
|
|
|
|
|
3827.11.90 |
|
Gas lạnh R502, R500, R501, R503, R504 và các hợp chất CFC khác |
Ghi chú: (*) Chỉ số tiềm năng làm suy giảm tầng ô-dôn theo Nghị định thư Montreal.
(**) Chỉ số tiềm năng nóng lên toàn cầu theo Bản sửa đổi, bổ sung Kigali.
(***) Áp dụng từ ngày 01/01/2023.
Phụ lục III.2
DANH MỤC CÁC CHẤT LÀM SUY GIẢM TẦNG Ô-DÔN ĐƯỢC KIỂM SOÁT
|
Mã hàng hóa (HS) |
Mã hóa chất (CAS) |
Mô tả hàng hóa |
Tiền tố và ký hiệu |
Tên hóa học |
Công thức hóa học |
Số hiệu môi chất lạnh |
Tiềm năng làm suy giảm tầng ô-dôn (ODP)* |
Tiềm năng nóng lên toàn cầu (GWP) ** |
Quy định quản lý |
|
2903.61.00 |
|
Methyl bromide ( Bromomethane) |
Methyl bromide |
Bromomethane |
CH3Br |
|
0,6 |
2 |
1. Đăng ký sử dụng chất được kiểm soát theo mẫu số 01 Phụ lục VI ban hành kèm theo Nghị định số 06/2022/NĐ-CP. 2. Thuộc danh mục thuốc bảo vệ thực vật hạn chế sử dụng, chỉ nhập khẩu cho mục đích khử trùng và kiểm dịch hàng xuất khẩu. 3. Xuất khẩu, nhập khẩu theo giấy phép do cấp. 4. Thực hiện báo cáo hàng năm theo mẫu số 02 Phụ lục VI ban hành kèm theo Nghị định số 06/2022/NĐ-CP. |
|
2903.71.00 |
75-45-6 |
Gas lạnh R22 (Chlorodifluoromethane) |
HCFC-22 |
Chlorodifluoromethane |
CHF2Cl |
R-22 |
0,055 |
1810 |
1. Đăng ký sử dụng chất được kiểm soát theo mẫu số 01 Phụ lục VI ban hành kèm theo Nghị định số 06/2022/NĐ-CP. 2. Nhập khẩu theo hạn ngạch được phân bổ hằng năm. 3. Thực hiện báo cáo hàng năm theo mẫu số 02 Phụ lục VI ban hành kèm theo Nghị định số 06/2022/NĐ-CP. |
|
2903.72.00 |
306-83-2 |
Gas lạnh R123 (Dichlorotrifluoroethanes) |
HCFC-123 |
Dichlorotrifluoroethanes |
C2HF3Cl2 |
R-123 |
0,06 |
77 |
|
|
2903.73.00 |
430-57-9 |
Gas lạnh R141 (Dichlorofluoroethane s) |
HCFC-141 |
Dichlorofluoroethanes |
C2H3FCl2 |
R-141 |
0,07 |
|
|
|
2903.74.00 |
338-65-8 |
Gas lạnh R142 (Chlorodiflouroethane s) |
HCFC-142 |
Chlorodiflouroethanes |
C2H3F2Cl |
R-142 |
0,07 |
|
|
|
2903.74.00 |
75-68-3 |
Gas lạnh R142b (1-chloro-1,1- difluoroethane) |
HCFC-142b |
1-chloro-1,1- difluoroethane |
CH3CF2Cl |
R-142b |
0,065 |
2310 |
|
|
2903.75.00 |
|
Gas lạnh R225 (Dichloropentafluoropropanes) |
HCFC-225 |
Dichloropentafluoropropanes |
C3HF5Cl2 |
R-225 |
0,07 |
|
|
|
2903.75.00 |
|
Gas lạnh R225ca (1,1-dichloro- 2,2,3,3,3- pentafluoropropane) |
HCFC- 225ca |
1,1-dichloro-2,2,3,3,3- pentafluoropro pane |
CF3CF2C HCI2 |
R- 225ca |
0,025 |
122 |
|
|
2903.75.00 |
|
Gas lạnh R225cb (1,3-dichloro- 1,2,2,3,3- pentafluoropropane) |
HCFC- 225cb |
1.3- dichloro-1.2.2.3.3- pentafluoropro pane |
CF2ClCF2 CHClF |
R- 225cb |
0,033 |
595 |
|
|
2903.79.00 |
|
Loại khác (Gas lạnh HCFC-21, HCFC-31, HCFC-121, HCFC-122, HCFC-124 và các HCFC khác) |
|||||||
Ghi chú: (*) Chỉ số tiềm năng làm suy giảm tầng ô-dôn theo Nghị định thư Montreal;
(**) Chỉ số tiềm năng nóng lên toàn cầu theo Bản sửa đổi, bổ sung Kigali.
Phụ lục III.3
DANH MỤC CÁC CHẤT GÂY HIỆU ỨNG KHÍ NHÀ KÍNH ĐƯỢC KIỂM SOÁT
|
Mã hàng hóa (HS) |
Mã hóa chất (CAS) |
Mô tả hàng hóa |
Tiền tố và ký hiệu |
Tên hóa học |
Công thức hóa học |
Số hiệu môi chất lạnh |
Tiềm năng nóng lên toàn cầu (GWP)** |
Quy định quản lý |
|||||||
|
CÁC CHẤT HFC NGUYÊN CHẤT |
|||||||||||||||
|
2903.45.00 |
359-35-3 |
Gas lạnh R134 (1,1,2,2- Tetrafluorethane) |
HFC-134 |
1,1,2,2- Tetrafluorethane |
CHF2CHF2 |
R-134 |
1100 |
1. Đăng ký sử dụng chất được kiểm soát theo mẫu số 01 Phụ lục VI ban hành kèm theo Nghị định số 06/2022/NĐ-CP. 2. Nhập khẩu theo hạn ngạch được phân bổ hằng năm từ năm 2024. 3. Thực hiện báo cáo hàng năm theo mẫu số 02 Phụ lục VI ban hành kèm theo Nghị định số 06/2022/NĐ- CP. |
|||||||
|
2903.45.00 |
811-97-2 |
Gas lạnh R134a (1,1,1,2- Tetrafluoroethane) |
HFC-134a |
1,1,1,2- Tetrafluoroethane |
CH2FCF3 |
R-134a |
1430 |
||||||||
|
2903.44.00 |
430-66-0 |
Gas lạnh R143 (1,1,2-Trifluoroethane) |
HFC-143 |
1,1,2- Trifluoroethane |
ch2fchf2 |
R-143 |
353 |
||||||||
|
2903.47.00 |
460-73-11 |
Gas lạnh R245fa (1,1,1,3,3- Pentafluoropropane) |
HFC-245fa |
1,1,1,3,3- Pentafluoropropane |
CHF2CH2CF3 |
R-245fa |
1030 |
||||||||
|
2903.48.00 |
|
Gas lạnh R365mfc (1,1,1,3,3- Pentafluorobutane) |
HFC- 365mfc |
1,1,1,3,3- Pentafluorobutane |
CF3CH2CF2CH3 |
R-365mfc |
794 |
||||||||
|
2903.46.00 |
431-89-0 |
Gas lạnh R227ea (1,1,1,2,3,3,3- Heptafluoropropane) |
HFC-227ea |
1,1,1,2,3,3,3- Heptafluoropropane |
CF3CHFCF3 |
R-227ea |
3220 |
1. Đăng ký sử dụng chất được kiểm soát theo mẫu số 01 Phụ lục VI ban hành kèm theo Nghị định số 06/2022/NĐ-CP. 2. Nhập khẩu theo hạn ngạch được phân bổ hằng năm từ năm 2024. 3. Thực hiện báo cáo hàng năm theo mẫu số 02 Phụ lục VI ban hành kèm theo Nghị định số 06/2022/Nđ- CP. |
|||||||
|
2903.46.00 |
|
Gas lạnh R236cb (1,1,1,2,2,3- Hexafluoropropane) |
HFC-236cb |
1,1,1,2,2,3- Hexafluoropropane |
CH2FCF2CF3 |
R-236cb |
1340 |
||||||||
|
2903.46.00 |
431-63-0 |
Gas lạnh R236ea (1,1,1,2,3,3- Hexafluoropropane) |
HFC-236ea |
1,1,1,2,3,3- Hexafluoropropane |
CHF2CHFCF3 |
R-236ea |
1370 |
||||||||
|
2903.46.00 |
690-39-1 |
Gas lạnh R236fa (1,1,1,3,3,3- Hexafluoropropane) |
HFC-236fa |
1,1,1,3,3,3- Hexafluoropropane |
CF3CH2CF3 |
R-236fa |
9810 |
||||||||
|
2903.47.00 |
679-86-7 |
Gas lạnh R245ca (1,1,2,2,3- Pentafluoropropane) |
HFC-245ca |
1,1,2,2,3- Pentafluoropropane |
ch2fcf2chf2 |
R-245ca |
693 |
||||||||
|
2903.48.00 |
|
Gas lạnh R43-10mee (1,1,1,2,2,3,4,5,5,5- Decafluoropentane) |
HFC-43- 10mee |
1,1,1,2,2,3,4,5,5,5- Decafluoropentane |
CF3CHFCHFC F2CF3 |
R-43- 10mee |
1640 |
||||||||
|
2903.42.00 |
75-10-5 |
Gas lạnh R32 (Difluoromethane) |
HFC-32 |
Difluoromethane |
CH2F2 |
R-32 |
675 |
1. Đăng ký sử dụng chất được kiểm soát theo mẫu số 01 Phụ lục VI ban hành kèm theo Nghị định số 06/2022/NĐ-CP. 2. Nhập khẩu theo hạn ngạch được phân bổ hằng năm từ năm 2024. 3. Thực hiện báo cáo hàng năm theo mẫu số 02 Phụ lục VI ban hành kèm theo Nghị định số 06/2022/Nđ- CP. |
|||||||
|
2903.44.00 |
354-33-6 |
Gas lạnh R125 (Pentafluoroethane) |
HFC-125 |
Pentafluoroethane |
CHF2CF3 |
R-125 |
3500 |
||||||||
|
2903.44.00 |
420-46-2 |
Gas lạnh R143a (Trifluoroethane) |
HFC-143a |
Trifluoroethane |
CH3CF3 |
R-143a |
4470 |
||||||||
|
2903.43.00 |
593-53-3 |
Gas lạnh R41 (Fluoromethane) |
HFC-41 |
Fluoromethane |
CH3F |
R-41 |
92 |
||||||||
|
2903.43.00 |
624-72-6 |
Gas lạnh R152 (1,2-Difluoroethane) |
HFC-152 |
1,2-Difluoroethane |
ch2fch2f |
R-152 |
53 |
||||||||
|
2903.43.00 |
75-37-6 |
Gas lạnh R152a (1.1 -Difluoroethane) |
HFC-152a |
1.1 -Difluoroethane |
CH3CHF2 |
R-152a |
124 |
||||||||
|
2903.41.00 |
75-46-7 |
Gas lạnh R23 (Trifluoromethane) |
HFC-23 |
Trifluoromethane |
CHF3 |
R-23 |
14800 |
||||||||
|
2903.49.00 |
|
Loại khác (các chất HFC nguyên chất khác) |
|||||||||||||
|
CÁC CHẤT HFC HỢP CHẤT |
|||||||||||||||
|
3827.31.00 |
Gas lạnh R401A (R-22/152a/124) |
R-401A |
R-22/152a/124 |
53,0/13,0/34,0 |
R-401A |
1182 |
1. Đăng ký sử dụng chất được kiểm soát theo mẫu số 01 Phụ lục VI ban hành kèm theo Nghị định số 06/2022/NĐ-CP. 2. Nhập khẩu theo hạn ngạch được phân bổ hằng năm từ năm 2024. 3. Thực hiện báo cáo hàng năm theo mẫu số 02 Phụ lục VI ban hành kèm theo Nghị định số 06/2022/NĐ-CP. |
||||||||
|
3827.31.00 |
Gas lạnh R401B (R-22/152a/124) |
R-401B |
R-22/152a/124 |
61,0/11,0/28,0 |
R-401B |
1288 |
|||||||||
|
3827.61.10 |
Gas lạnh R404A (R-125/143a/134a) |
R-404A |
R-125/143a/134a |
44,0/52,0/4,0 |
R-404A |
3922 |
|||||||||
|
3827.32.00 |
Gas lạnh R406A (R-22/600a/142b) |
R-406A |
R-22/600a/142b |
55,0/4,0/41,0 |
R-406A |
1943 |
|||||||||
|
3827.63.90 |
Gas lạnh R407A (R-32/125/134a) |
R-407A |
R-32/125/134a |
20,0/40,0/40,0 |
R-407A |
2107 |
|||||||||
|
3827.64.00 |
Gas lạnh R407C (R-32/125/134a) |
R-407C |
R-32/125/134a |
23,0/25,0/52,0 |
R-407C |
1774 |
|||||||||
|
3827.64.00 |
Gas lạnh 407F (R-32/125/134a) |
R-407F |
R-32/125/134a |
30,0/30,0/40,0 |
R-407F |
1825 |
|||||||||
|
3827.64.00 |
Gas lạnh 407H (R-32/125/134a) |
R-407H |
R-32/125/134a |
32.5/15.0/52.5 |
R-407H |
1495 |
|||||||||
|
3827.31.00 |
Gas lạnh 408A (R-125/143a/22) |
R-408A |
R-125/143a/22 |
7,0/46,0/47,0 |
R-408A |
3 152 |
|||||||||
|
3827.32.00 |
Gas lạnh 409A (R-22/124/142b) |
R-409A |
R-22/124/142b |
60,0/25,0/15,0 |
R-409A |
1585 |
1. Đăng ký sử dụng chất được kiểm soát theo mẫu số 01 Phụ lục VI ban hành kèm theo Nghị định số 06/2022/NĐ-CP. 2. Nhập khẩu theo hạn ngạch được phân bổ hằng năm từ năm 2024. 3. Thực hiện báo cáo hàng năm theo mẫu số 02 Phụ lục VI ban hành kèm theo Nghị định số 06/2022/NĐ-CP. |
||||||||
|
3827.63.10 |
Gas lạnh R410A (R32/125) |
R-410A |
R32/125 |
50,0/50,0 |
R-410A |
2088 |
|||||||||
|
3827.31.00 |
Gas lạnh 415B (R-22/152a) |
R-415B |
R-22/152a |
25,0/75,0 |
R-415B |
546 |
|||||||||
|
3827.63.90 |
Gas lạnh 417A (R-125/134a/600) |
R-417A |
R-125/134a/600 |
46,6/50,0/3,4 |
R-417A |
2346 |
|||||||||
|
3827.62.00 |
Gas lạnh 422A (R-125/134a/600a) |
R-422A |
R-125/134a/600a |
85,1/11,5/3,4 |
R-422A |
3143 |
|||||||||
|
3827.62.00 |
Gas lạnh 422D (R-125/134a/600a) |
R-422D |
R-125/134a/600a |
65,1/31,5/3,4 |
R-422D |
2729 |
|||||||||
|
3827.64.00 |
Gas lạnh 427A (R-32/125/143a/134a) |
R-427A |
R-32/125/143a/134a |
15,0/25,0/10,0/5 0,0 |
R-427A |
2138 |
|||||||||
|
3827.63.90 |
Gas lạnh 438A (R-32/125/134a/600/601a) |
R-438A |
R- 32/125/134a/600/601a |
8,5/45,0/44,2/1, 7/0,6 |
R-438A |
2265 |
|||||||||
|
3827.65.00 |
Gas lạnh 448A (R-32/125/1234yf/134a/1234 ze(E)) |
R-448A |
R- 32/125/1234yf/134a/123 4ze(E) |
26.0/26.0/20.0/2 1.0/7.0 |
R-448A |
1387 |
|||||||||
|
3827.65.00 |
Gas lạnh 449A (R-32 /125 /1234yf /134a) |
R-449A |
R-32 /125 /1234yf /134a |
24.3/24.7/25.3/2 5.7 |
R-449A |
1397 |
1. Đăng ký sử dụng chất được kiểm soát theo mẫu số 01 Phụ lục VI ban hành kèm theo Nghị định số 06/2022/NĐ-CP. 2. Nhập khẩu theo hạn ngạch được phân bổ hằng năm từ năm 2024. 3. Thực hiện báo cáo hàng năm theo mẫu số 02 Phụ lục VI ban hành kèm theo Nghị định số 06/2022/NĐ-CP. |
||||||||
|
3827.65.00 |
Gas lạnh 449B (R-32/125/1234yf/134a) |
R-449B |
R-32/125/1234yf/134a |
25.2/24.3/23.2/2 7.3 |
R-449B |
1412 |
|||||||||
|
3827.68.00 |
Gas lạnh 450A (R-134a/1234ze(E)) |
R-450A |
R-134a/1234ze(E) |
42.0/58.0 |
R-450A |
605 |
|||||||||
|
3827.63.90 |
Gas lạnh 452A (R-32/125/1234yf) |
R-452A |
R-32/125/1234yf |
11.0/59.0/30.0 |
R-452A |
2140 |
|||||||||
|
3827.68.00 |
Gas lạnh 452B (R-32/125/1234yf) |
R-452B |
R-32/125/1234yf |
67.0/7.0/26.0 |
R-452B |
698 |
|||||||||
|
3827.68.00 |
Gas lạnh 454A (R-32/1234yf) |
R-454A |
R-32/1234yf |
35.0/65.0 |
R-454A |
239 |
|||||||||
|
3827.68.00 |
Gas lạnh 454B (R-32/1234yf) |
R-454B |
R-32/1234yf |
68.9/31.1 |
R-454B |
466 |
|||||||||
|
3827.68.00 |
Gas lạnh 454C (R-32/1234yf) |
R-454C |
R-32/1234yf |
21.5/78.5 |
R-454C |
148 |
|||||||||
|
3827.68.00 |
Gas lạnh 466A (R-32/125/131I) |
R-466A |
R-32/125/131I |
49.0/11.5/39.5 |
R-466A |
733 |
|||||||||
|
3827.61.20 |
Gas lạnh R507A (R-125/143a) |
R-507A |
R-125/143a |
50,0/50,0 |
R-507A |
3985 |
|||||||||
|
3827.51.00 |
Gas lạnh R508B (R-23/116) |
R-508B |
R-23/116 |
46,0/54,0 |
R-508B |
13396 |
1. Đăng ký sử dụng chất được kiểm soát theo mẫu số 01 Phụ lục VI ban hành kèm theo Nghị định số 06/2022/NĐ-CP. 2. Nhập khẩu theo hạn ngạch được phân bổ hằng năm từ năm 2024. 3. Thực hiện báo cáo hàng năm theo mẫu số 02 Phụ lục VI ban hành kèm theo Nghị định số 06/2022/NĐ-CP. |
||||||||
|
3827.68.00 |
Gas lạnh 513A (R-1234yf/134a) |
R-513A |
R-1234yf/134a |
56.0/44.0 |
R-513A |
631 |
|||||||||
|
3827.68.00 |
Gas lạnh 513B (R-1234yf/134a) |
R-513B |
R-1234yf/134a |
58.5/41.5 |
R-513B |
596 |
|||||||||
|
3827.39.90 |
Loại khác (R-402B, R-403A, R-403B, R-409B, R-411A, R-412A, R-415A, R-416A, R-418A, R-420A, R-509A và các hợp chất HCFC khác) |
||||||||||||||
|
3827.59.00 |
Loại khác (R-508A và các hợp chất chứa HFC-23 có hoặc không chứa perfluorocarbon khác) |
||||||||||||||
|
3827.69.00 |
Loại khác (R-407B, R-419A, R-421A, R-421B, R-422B, R-422C, R-423A, R-424A, R-425A, R-426A, R-428A và các hợp chất HFC khác) |
||||||||||||||
Ghi chú: (*) Thành phần danh nghĩa theo % khối lượng, dung sai của môi chất lạnh thành phần được xác định theo TCVN 6739:2015;
(**) Chỉ số tiềm năng nóng lên toàn cầu theo Bản sửa đổi, bổ sung Kigali.
Phụ lục III.4 ban hành kèm theo Thông tư số 01/2022/TT-BTNMT bị ngưng hiệu lực thi hành theo quy định tại Điều 1 Thông tư 38/2024/TT-BTNMT.
Phụ lục III.4
DANH MỤC CÁC SẢN PHẨM, THIẾT BỊ, HÀNG HÓA CÓ CHỨA HOẶC SẢN XUẤT TỪ CHẤT ĐƯỢC KIỂM SOÁT
|
TT |
Sản phẩm, thiết bị, hàng hóa |
Mã hàng hóa (HS) |
Mô tả chi tiết hàng hóa có chứa chất được kiểm soát |
Quy định quản lý |
|
1. |
Máy điều hòa không khí, gồm có một quạt chạy bằng mô tơ và các bộ phận làm thay đổi nhiệt độ và độ ẩm, kể cả loại máy không điều chỉnh độ ẩm một cách riêng biệt. |
84.15 |
|
|
|
1.1 |
- Loại sử dụng cho người, trong xe có động cơ: |
8415.20 |
|
|
|
1.1.1 |
- - Công suất làm mát không quá 26,38 kW |
8415.20.10 |
ĐHKK chứa gas lạnh HCFC-22 |
Cấm nhập khẩu |
|
8415.20.10 |
ĐHKK chứa gas lạnh HFC-134a |
|
||
|
1.1.2 |
- - Loại khác |
8415.20.90 |
ĐHKKLK chứa gas lạnh HFC-134a |
|
|
8415.20.90 |
ĐHKKLK chứa gas lạnh HCFC-22 |
|
||
|
2 |
Tủ lạnh, tủ kết đông và thiết bị làm lạnh hoặc kết đông khác, loại dùng điện hoặc loại khác; bơm nhiệt trừ máy điều hòa không khí thuộc nhóm 84.15. |
84.18 |
|
|
|
2.1 |
- Tủ kết đông, loại cửa trên, dung tích không quá 800 lít: |
8418.30 |
|
|
|
2.1.1 |
- - Dung tích không quá 200 lít |
8418.30.10 |
TKĐ8 chứa gas lạnh HFC-134a |
|
|
2.1.2 |
- - Loại khác |
8418.30.90 |
TKĐK8 chứa gas lạnh HFC-134a |
|
|
2.2 |
- Tủ kết đông, loại cửa trước, dung tích không quá 900 lít: |
8418.40 |
|
|
|
2.2.1 |
- - Dung tích không quá 200 lít |
8418.40.10 |
TKĐ9 chứa gas lạnh HFC-134a |
|
|
2.2.2 |
- - Loại khác |
8418.40.90 |
TKĐK9 chứa gas lạnh HFC-134a |
|
|
2.3 |
- Loại có kiểu dáng nội thất khác (tủ, tủ ngăn, quầy hàng, tủ bày hàng và loại tương tự) để bảo quản và trưng bày, có lắp thiết bị làm lạnh hoặc kết đông: |
8418.50 |
|
|
|
2.3.1 |
- - Quầy hàng, tủ bày hàng và các loại tương tự, có lắp thiết bị làm lạnh, dung tích trên 200 lít: |
|
|
|
|
2.3.1.1 |
- - - Phù hợp dùng trong y tế, phẫu thuật hoặc phòng thí nghiệm |
8418.50.11 |
QH1 chứa gas lạnh HFC-134a |
|
|
8418.50.11 |
QH1 chứa gas lạnh HFC-23 |
|
||
|
8418.50.11 |
QH1 chứa gas lạnh R-404A |
|
||
|
8418.50.11 |
QH1 chứa gas lạnh R-508B |
|
||
|
8418.50.11 |
QH1 chứa gas lạnh R-507A |
|
||
|
2.3.1.2 |
- - - Loại khác |
8418.50.19 |
QH2 chứa gas lạnh HFC-134a |
|
|
8418.50.19 |
QH2 chứa gas lạnh HFC-23 |
|
||
|
8418.50.19 |
QH2 chứa gas lạnh R-404A |
|
||
|
8418.50.19 |
QH2 chứa gas lạnh R-508B |
|
||
|
8418.50.19 |
QH2 chứa gas lạnh R-507A |
|
||
|
2.3.2 |
- - Loại khác: |
|
|
|
|
2.3.2.1 |
- - - Phù hợp dùng trong y tế, phẫu thuật hoặc phòng thí nghiệm |
8418.50.91 |
QH3 chứa gas lạnh HFC-134a |
|
|
8418.50.91 |
QH3 chứa gas lạnh HFC-23 |
|
||
|
8418.50.91 |
QH3 chứa gas lạnh R-404A |
|
||
|
8418.50.91 |
QH3 chứa gas lạnh R-508B |
|
||
|
8418.50.91 |
QH3 chứa gas lạnh R-507A |
|
||
|
2.3.2.2 |
- - - Loại khác |
8418.50.99 |
QH4 chứa gas lạnh HFC-134a |
|
|
8418.50.99 |
QH4 chứa gas lạnh HFC-23 |
|
||
|
8418.50.99 |
QH4 chứa gas lạnh R-404A |
|
||
|
8418.50.99 |
QH4 chứa gas lạnh R-508B |
|
||
|
8418.50.99 |
QH4 chứa gas lạnh R-507A |
|
||
|
2.4 |
- Thiết bị làm lạnh hoặc kết đông khác; bơm nhiệt: |
|
|
|
|
2.4.1 |
- - Loại khác |
8418.69 |
|
|
|
2.4.1.1 |
Thiết bị làm lạnh đồ uống |
8418.69.10 |
TBLĐU chứa gas lạnh HFC-134a |
|
|
2.4.1.2 |
- - - Thiết bị cấp nước lạnh (cold water dispenser) |
8418.69.30 |
TBLCN chứa gas lạnh HFC-134a |
|
|
2.4.1.3 |
- - - Thiết bị làm lạnh nước có công suất làm lạnh trên 21,10 kW: |
|
|
|
|
2.4.1.3.1 |
- - - - Dùng cho máy điều hoà không khí |
8418.69.41 |
TBLM chứa gas lạnh HFC-134a |
|
|
8418.69.41 |
TBLM chứa gas lạnh HCFC-22 |
|
||
|
8418.69.41 |
TBLM chứa gas lạnh R-410A |
|
||
|
8418.69.41 |
TBLM chứa gas lạnh R-407C |
|
||
|
2.4.1.3.2 |
- - - - Loại khác |
8418.69.49 |
TBLM2 chứa gas lạnh HFC-134a |
|
|
8418.69.49 |
TBLM2 chứa gas lạnh HCFC-22 |
|
||
|
8418.69.49 |
TBLM2 chứa gas lạnh R-410A |
|
||
|
8418.69.49 |
TBLM2 chứa gas lạnh R-407C |
|
||
|
2.4.1.4 |
- - - Thiết bị sản xuất đá vảy |
8418.69.50 |
TBLĐ chứa gas lạnh HFC-134a |
|
|
8418.69.50 |
TBLĐ chứa gas lạnh HCFC-22 |
|
||
|
8418.69.50 |
TBLĐ chứa gas lạnh R-404A |
|
||
|
8418.69.50 |
TBLĐ chứa gas lạnh R-507A |
|
||
|
2.4.1.5 |
- - - Loại khác |
8418.69.90 |
TBLK chứa gas lạnh HFC-134a |
|
|
8418.69.90 |
TBLK chứa gas lạnh HCFC-22 |
|
|
3 |
Máy điều hòa không khí, gồm có một quạt chạy bằng mô tơ và các bộ phận làm thay đổi nhiệt độ và độ ẩm, kể cả loại máy không điều chỉnh độ ẩm một cách riêng biệt. |
84.15 |
|
|
|
3.1 |
- Loại thiết kế để lắp vào cửa sổ, tường, trần hoặc sàn, kiểu một khối (lắp liền trong cùng một vỏ, một cục) hoặc "hệ thống nhiều khối chức năng" (cục nóng, cục lạnh tách biệt): |
8415.10 |
|
|
|
3.1.1 |
- - Công suất làm mát không quá 26,38 kW |
8415.10.10 |
MĐHKK chứa gas lạnh HCFC-22 |
Cấm nhập khẩu |
|
8415.10.10 |
MĐHKK chứa gas lạnh HFC-32 |
|
||
|
8415.10.10 |
MĐHKK chứa gas lạnh HFC-410A |
|
|
3.1.2 |
- - Loại khác |
8415.10.90 |
MĐHKKK chứa gas lạnh HCFC-22 |
|
|
8415.10.90 |
MĐHKKK chứa gas lạnh HFC-32 |
|
||
|
8415.10.90 |
MĐHKKK chứa gas lạnh HFC-410A |
|
|
4 |
Thiết bị cơ khí (hoạt động bằng tay hoặc không) để phun bắn, phun rải hoặc phun áp lực các chất lỏng hoặc chất bột; bình dập lửa, đã hoặc chưa nạp; súng phun và các thiết bị tương tự; máy phun bắn hơi nước hoặc cát và các loại máy phun bắn tia tương tự. |
84.24 |
|
|
|
4.1 |
- Bình dập lửa, đã hoặc chưa nạp: |
8424.10 |
|
|
|
4.1.1 |
- - Loại sử dụng cho phương tiện bay |
8424.10.10 |
BDL chứa HFC-227ea |
|
|
8424.10.10 |
BDL chứa HFC-23 |
|
||
|
4.1.2 |
- - Loại khác |
8424.10.90 |
BDLK chứa HFC-227ea |
|
|
8424.10.90 |
BDLK chứa HFC-23 |
|
||
|
5 |
Các hỗn hợp chứa các dẫn xuất đã halogen hoá của metan, etan hoặc propan chưa được chi tiết hoặc ghi ở nơi khác |
38.27 |
|
|
|
5.1 |
- Chứa chlorofluorocarbon (CFC), có hoặc không chứa hydrochlorofluorocarbon (HCFC), perfluorocarbon (PFC) hoặc hydrofluorocarbon (HFC); chứa hydrobromofluorocarbon (HBFC); chứa carbon tetrachloride; chứa 1,1,1- trichloroethane (methyl chloroform) |
|
|
|
|
5.1.1 |
- - Chứa chlorofluorocarbon (CFC), chứa hoặc không chứa hydrochlorofluorocarbon (HCFC), perfluorocarbon (PFC) hoặc hydrofluorocarbon (HFC) |
3827.11 |
|
|
|
5.1.1.1 |
- - - Dầu dùng cho máy biến điện (máy biến áp và máy biến dòng) và bộ phận ngắt mạch, có hàm lượng nhỏ hơn 70% tính theo trọng lượng là dầu có nguồn gốc từ dầu mỏ hoặc các loại dầu thu được từ các khoáng bi-tum |
3827.11.10 |
|
|
|
5.1.1.2 |
- - - Loại khác |
3827.11.90 |
|
Cấm nhập khẩu |
|
5.1.2 |
- - Chứa hydrobromofluorocarbon (HBFC) |
3827.12.00 |
|
Cấm nhập khẩu |
|
5.1.3 |
- - Chứa carbon tetrachloride |
3827.13.00 |
|
Cấm nhập khẩu |
|
5.1.4 |
- - Chứa 1,1,1-trichloroethane (methyl chloroform) |
3827.14.00 |
|
Cấm nhập khẩu |
|
5.2 |
- Chứa bromochlorodifluoromethane (Halon- 1211), bromotrifluoromethane (Halon-1301) hoặc dibromotetrafluoroethane (Halon-2402) |
3827.20.00 |
|
Cấm nhập khẩu |
|
5.3 |
- Chứa hydrochlorofluorocarbon (HCFC), chứa hoặc không chứa perfluorocarbon (PFC) hoặc hydrofluorocarbon (HFC), nhưng không chứa chlorofluorocarbon (CFC): |
|
|
|
|
5.3.1 |
- - Chứa các chất thuộc phân nhóm 2903.41 đến 2903.48 |
3827.31.00 |
|
|
|
5.3.2 |
- - Loại khác, có chứa các chất thuộc các phân nhóm từ 2903.71 đến 2903.75 |
3827.32.00 |
|
|
|
5.3.3 |
- - Loại khác |
3827.39 |
|
|
|
5.3.3.1 |
- - - Dầu dùng cho máy biến điện (máy biến áp và máy biến dòng) và bộ phận ngắt mạch, có hàm lượng nhỏ hơn 70% tính theo trọng lượng là dầu có nguồn gốc từ dầu mỏ hoặc các loại dầu thu được từ các khoáng bi-tum |
3827.39.10 |
|
|
|
5.3.3.2 |
- - - Loại khác |
3827.39.90 |
|
|
|
5.4 |
- Chứa metyl bromide (bromomethane) hoặc bromochloromethane |
3827.40.00 |
|
|
|
5.5 |
- Chứa trifluoromethane (HFC-23) hoặc perfluorocarbon (PFC) nhưng không chứa chlorofluorocarbon (CFC) hoặc hydrochlorofluorocarbon (HCFC) |
|
|
|
|
5.5.1 |
- - Chứa trifluoromethane (HFC-23) |
3827.51.00 |
|
|
|
5.5.2 |
- - Loại khác |
3827.59.00 |
|
|
|
5.6 |
- Chứa các hydrofluorocarbon (HFC) khác nhưng không chứa chlorofluorocarbon (CFC) hoặc hydrochlorofluorocarbon (HCFC): |
|
|
|
|
5.6.1 |
- - Chứa từ 15 % trở lên tính theo khối lượng là 1,1,1-trifluoroethane (HFC-143a) |
3827.61.00 |
|
|
|
5.6.1.1 |
- - - Chứa hỗn hợp của HFC-125, HFC-143 và HFC-134a (HFC-404a) |
3827.61.10 |
|
|
|
5.6.1.2 |
- - - Chứa hỗn hợp của HFC-125 và HFC-143a (HFC-507a) |
3827.61.20 |
|
|
|
5.6.1.3 |
- - - Loại khác |
3827.61.90 |
|
|
|
5.6.2 |
- - Loại khác, chưa được chi tiết tại các phân nhóm trên, chứa từ 55% trở lên tính theo khối lượng là pentafluoroetan (HFC- 125) nhưng không chứa dẫn xuất flo hóa chưa no của các hydrocacbon (HFO) mạch vòng |
3827.62.00 |
|
|
|
5.6.3 |
- - Loại khác, chưa được chi tiết tại phân nhóm trên, chứa từ 40% trở lên tính theo khối lượng là pentafluoroethane (HFC-125) |
3827.63.00 |
|
|
|
5.6.3.1 |
- - - Chứa hỗn hợp của HFC-32 và HFC-125 (HFC-410A) |
3827.63.10 |
|
|
|
5.6.3.2 |
- - - Loại khác |
3827.63.90 |
|
|
|
5.6.4 |
- - Loại khác, chưa được chi tiết tại các phân nhóm trên, chứa từ 30% trở lên tính theo khối lượng là 1,1,1,2-tetrafluoroetan (HFC-134a) nhưng không chứa dẫn xuất flo hóa chưa no của các hydrocacbon (HFO) mạch vòng |
3827.64.00 |
|
|
|
5.6.5 |
- - Loại khác, chưa được chi tiết tại các phân nhóm trên, chứa từ 20% trở lên tính theo khối lượng là difluorometan (HFC-32) và 20% trở lên tính theo khối lượng là pentafluoroetan (HFC- 125) |
3827.65.00 |
|
|
|
5.6.6 |
- - Loại khác, chưa được chi tiết tại các phân nhóm trên, chứa các chất thuộc phân nhóm 2903.41 đến 2903.48 |
3827.68.00 |
|
|
|
5.6.7 |
- - Loại khác |
3827.69.00 |
|
|
|
5.7 |
- Loại khác |
3827.90.00 |
|
|
Bạn chưa Đăng nhập thành viên.
Đây là tiện ích dành cho tài khoản thành viên. Vui lòng Đăng nhập để xem chi tiết. Nếu chưa có tài khoản, vui lòng Đăng ký tại đây!
Bạn chưa Đăng nhập thành viên.
Đây là tiện ích dành cho tài khoản thành viên. Vui lòng Đăng nhập để xem chi tiết. Nếu chưa có tài khoản, vui lòng Đăng ký tại đây!