- Tổng quan
- Nội dung
- VB gốc
- Tiếng Anh
- Hiệu lực
- VB liên quan
- Lược đồ
-
Nội dung hợp nhất
Tính năng này chỉ có tại LuatVietnam.vn. Nội dung hợp nhất tổng hợp lại tất cả các quy định còn hiệu lực của văn bản gốc và các văn bản sửa đổi, bổ sung, đính chính... trên một trang. Việc hợp nhất văn bản gốc và những văn bản, Thông tư, Nghị định hướng dẫn khác không làm thay đổi thứ tự điều khoản, nội dung.
Khách hàng chỉ cần xem Nội dung hợp nhất là có thể nắm bắt toàn bộ quy định hiện hành đang áp dụng, cho dù văn bản gốc đã qua nhiều lần chỉnh sửa, bổ sung.
- Tải về
Thông tư 111/2015/TT-BTC phát hành trái phiếu Chính phủ tại thị trường trong nước
| Cơ quan ban hành: | Bộ Tài chính |
Số công báo:
Số công báo là mã số ấn phẩm được đăng chính thức trên ấn phẩm thông tin của Nhà nước. Mã số này do Chính phủ thống nhất quản lý.
|
Đã biết
|
| Số hiệu: | 111/2015/TT-BTC | Ngày đăng công báo: |
Đã biết
|
| Loại văn bản: | Thông tư | Người ký: | Trần Xuân Hà |
|
Ngày ban hành:
Ngày ban hành là ngày, tháng, năm văn bản được thông qua hoặc ký ban hành.
|
28/07/2015 |
Ngày hết hiệu lực:
Ngày hết hiệu lực là ngày, tháng, năm văn bản chính thức không còn hiệu lực (áp dụng).
|
Đã biết
|
|
Áp dụng:
Ngày áp dụng là ngày, tháng, năm văn bản chính thức có hiệu lực (áp dụng).
|
Đã biết
|
Tình trạng hiệu lực:
Cho biết trạng thái hiệu lực của văn bản đang tra cứu: Chưa áp dụng, Còn hiệu lực, Hết hiệu lực, Hết hiệu lực 1 phần; Đã sửa đổi, Đính chính hay Không còn phù hợp,...
|
Đã biết
|
| Lĩnh vực: | Tài chính-Ngân hàng |
TÓM TẮT THÔNG TƯ 111/2015/TT-BTC
Theo Thông tư số 111/2015/TT-BTC ngày 28/07/2015 của Bộ Tài chính hướng dẫn phát hành trái phiếu Chính phủ tại thị trường trong nước, tổ chức, cá nhân có thể mua trái phiếu Chính phủ bằng tiền mặt trực tiếp tại địa điểm phát hành do Kho bạc Nhà nước công bố. Trường hợp mua trái phiếu bằng chuyển khoản, người mua thực hiện chuyển tiền vào tài khoản của Kho bạc Nhà nước theo thông báo của Kho bạc Nhà nước; trái phiếu sẽ được phát hành trên cơ sở giấy chuyển tiền và giấy báo có của ngân hàng.
Về đấu thầu phát hành trái phiếu, Thông tư quy định, để được đăng ký mới thành viên đấu thầu, các ngân hàng thương mại, công ty tài chính, công ty chứng khoán, công ty bảo biểm, quỹ đầu tư và các định chế tài chính khác phải có vốn điều lệ thực góp tối thiểu bằng mức vốn pháp định theo quy định của pháp luật; có thời gian hoạt động tối thiểu là 03 năm; là thành viên thị trường trái phiếu Chính phủ chuyên biệt tại Sở Giao dịch chứng khoán; đã tham gia mua hoặc môi giới mua, bán trái phiếu trên thị trường sơ cấp hoặc trên thị trường thứ cấp với số lượng tối thiểu theo quy định trong 01 năm liền kề trước thời điểm nộp đơn đề nghị trở thành thành viên đấu thầu. Thông tin kết quả đấu thầu trái phiếu Chính phủ phải được công bố trên website Sở Giao dịch chứng khoán ngay trong ngày phát hành.
Cũng theo Thông tư này, trái phiếu sau khi được niêm yết sẽ được giao dịch chậm nhất vào ngày làm việc thứ hai sau ngày thanh toán tiền mua trái phiếu. Riêng với các đợt trái phiếu phát hành theo phương thức bán lẻ trong năm 2015 trước ngày 15/09/2015, việc đăng ký, lưu ký tại Trung tâm Lưu ký chứng khoán và niêm yết tại Sở Giao dịch chứng khoán thực hiện theo đề nghị của Kho bạc Nhà nước đối với từng đợt phát hành.
Thông tư này có hiệu lực thi hành kể từ ngày 15/09/2015.
Xem chi tiết Thông tư 111/2015/TT-BTC có hiệu lực kể từ ngày 15/09/2015
Tải Thông tư 111/2015/TT-BTC
|
BỘ TÀI CHÍNH ------------- Số: 111/2015/TT-BTC |
CỘNG HOÀ XÃ HỘI CHỦ NGHĨA VIỆT NAM Độc lập - Tự do - Hạnh phúc ------------------------- Hà Nội, ngày 28 tháng 07 năm 2015 |
THÔNG TƯ
Hướng dẫn phát hành trái phiếu Chính phủ tại thị trường trong nước
------------------------
Căn cứ Luật Quản lý nợ công ngày 17 tháng 6 năm 2009;
Căn cứ Luật Chứng khoán ngày 29 tháng 6 năm 2006 và Luật sửa đổi, bổ sung một số điều của Luật chứng khoán ngày 24 tháng 11 năm 2010;
Căn cứ Luật Ngân sách Nhà nước ngày 16 tháng 12 năm 2002;
Căn cứ Nghị định số 215/2013/NĐ-CP ngày 23/12/2013 quy định chức năng, nhiệm vụ, quyền hạn và cơ cấu tổ chức của Bộ Tài chính;
Căn cứ Nghị định số 01/2011/NĐ-CP ngày 05/01/2011 về phát hành trái phiếu Chính phủ, trái phiếu được Chính phủ bảo lãnh và trái phiếu chính quyền địa phương;
Theo đề nghị của Vụ trưởng Vụ Tài chính các ngân hàng và tổ chức tài chính,
Bộ trưởng Bộ Tài chính ban hành Thông tư hướng dẫn phát hành trái phiếu Chính phủ tại thị trường trong nước.
Chương I
QUY ĐỊNH CHUNG
Điều 1. Phạm vi và đối tượng áp dụng
1. Phạm vi áp dụng:
a) Thông tư này hướng dẫn chi tiết về việc phát hành trái phiếu Chính phủ (sau đây gọi tắt là trái phiếu) tại thị trường trong nước;
b) Phương thức, quy trình, thủ tục tổ chức mua lại, hoán đổi trái phiếu, sửa đổi đăng ký, lưu ký, niêm yết trái phiếu mua lại, hoán đổi được thực hiện theo văn bản hướng dẫn khác của Bộ Tài chính.
2. Đối tượng áp dụng của Thông tư này là Kho bạc Nhà nước và các tổ chức, cá nhân có liên quan đến việc phát hành trái phiếu tại thị trường trong nước.
Điều 2. Giải thích thuật ngữ
Ngoài các thuật ngữ đã được giải thích tại Nghị định số 01/2011/NĐ-CP, trong Thông tư này, các thuật ngữ được hiểu như sau:
1. “Trái phiếu phát hành lần đầu” là loại trái phiếu mới, được phát hành lần đầu tiên trên thị trường sơ cấp.
2. “Trái phiếu phát hành bổ sung” là trái phiếu được phát hành bổ sung cho một mã trái phiếu đang lưu hành, có cùng lãi suất danh nghĩa và cùng ngày đáo hạn với trái phiếu đang lưu hành.
3. “Ngày phát hành trái phiếu” là ngày thanh toán tiền mua trái phiếu. Đối với mã trái phiếu phát hành lần đầu, ngày phát hành trái phiếu đồng thời là ngày trái phiếu bắt đầu có hiệu lực.
4. “Ngày tổ chức phát hành trái phiếu” là ngày tổ chức đấu thầu trái phiếu đối với trái phiếu phát hành theo phương thức đấu thầu và là ngày Kho bạc Nhà nước ký hợp đồng bảo lãnh phát hành trái phiếu đối với trái phiếu phát hành theo phương thức bảo lãnh.
5. “Ngày thanh toán tiền mua trái phiếu” là ngày người mua trái phiếu thanh toán tiền mua trái phiếu cho chủ thể phát hành.
6. “Lãi suất danh nghĩa của trái phiếu” là tỷ lệ phần trăm (%) lãi hàng năm tính trên mệnh giá trái phiếu mà chủ thể phát hành phải thanh toán cho chủ sở hữu trái phiếu vào các kỳ trả lãi theo các điều kiện, điều khoản của trái phiếu.
7. “Lãi suất phát hành trái phiếu” là lãi suất trúng thầu, lãi suất bảo lãnh phát hành do Kho bạc Nhà nước quyết định trên cơ sở kết quả đấu thầu, bảo lãnh phát hành trái phiếu theo quy định tại Thông tư này; hoặc là lãi suất do Bộ Tài chính công bố trong trường hợp phát hành theo phương thức đại lý và bán lẻ qua hệ thống Kho bạc Nhà nước.
8. “Kỳ hạn còn lại của trái phiếu” là thời gian còn lại thực tế tính từ ngày phát hành bổ sung trái phiếu đến ngày trái phiếu đáo hạn.
9. “Phát hành ngang mệnh giá” là việc phát hành trái phiếu với mức giá ngang bằng mệnh giá trái phiếu.
10. “Phát hành thấp hơn mệnh giá” là việc phát hành trái phiếu với mức giá thấp hơn mệnh giá trái phiếu.
11. “Phát hành cao hơn mệnh giá” là việc phát hành trái phiếu với mức giá cao hơn mệnh giá trái phiếu.
12. “Trái phiếu không thanh toán lãi định kỳ” là loại trái phiếu được phát hành thấp hơn mệnh giá, không thanh toán lãi định kỳ mà chỉ thanh toán một lần cả gốc và lãi tại ngày đáo hạn.
13. “Đấu thầu đơn giá” là phương thức xác định kết quả đấu thầu mà theo đó, mức lãi suất phát hành trái phiếu là mức lãi suất trúng thầu cao nhất và được áp dụng chung cho các thành viên trúng thầu.
14. “Đấu thầu đa giá” là phương thức xác định kết quả đấu thầu mà theo đó, mức lãi suất phát hành trái phiếu đối với mỗi thành viên trúng thầu đúng bằng mức lãi suất dự thầu của thành viên đó.
15. “Ngày đăng ký cuối cùng của trái phiếu” là ngày Trung tâm Lưu ký chứng khoán Việt Nam xác định danh sách chủ sở hữu trái phiếu để thanh toán lãi, gốc trái phiếu.
Điều 3. Chủ thể phát hành
1. Chủ thể phát hành trái phiếu là Bộ Tài chính.
2. Bộ Tài chính ủy quyền cho Kho bạc Nhà nước tổ chức phát hành trái phiếu theo quy định tại Thông tư này.
Điều 4. Điều khoản và điều kiện trái phiếu
Ngoài các điều khoản và điều kiện trái phiếu được quy định tại Điều 6 Nghị định số 01/2011/NĐ-CP, Bộ Tài chính hướng dẫn cụ thể các điều khoản, điều kiện của trái phiếu như sau:
1. Kỳ hạn
a) Tín phiếu kho bạc có các kỳ hạn chuẩn là 13 tuần, 26 tuần và 52 tuần;
b) Trái phiếu kho bạc và công trái xây dựng tổ quốc có các kỳ hạn chuẩn là 2 năm, 3 năm, 5 năm, 7 năm, 10 năm, 15 năm, 20 năm và 30 năm;
c) Bộ Tài chính quy định việc phát hành các kỳ hạn chuẩn khác của trái phiếu trong trường hợp cần thiết;
d) Căn cứ quy định tại điểm a, điểm b, điểm c khoản này và mục tiêu quản lý ngân quỹ, Kho bạc Nhà nước quy định các kỳ hạn cụ thể của trái phiếu cho từng đợt phát hành.
2. Mệnh giá
a) Trái phiếu có mệnh giá là một trăm nghìn (100.000) đồng. Các mệnh giá khác là bội số của một trăm nghìn (100.000) đồng;
b) Bộ Tài chính quy định cụ thể mệnh giá của trái phiếu ngoại tệ đối với mỗi đợt phát hành theo Đề án phát hành trái phiếu ngoại tệ được Thủ tướng Chính phủ phê duyệt.
3. Phương thức phát hành
Trái phiếu được phát hành theo các phương thức phát hành sau: đấu thầu phát hành, bảo lãnh phát hành, đại lý phát hành và bán lẻ qua hệ thống Kho bạc Nhà nước.
4. Hình thức
a) Trái phiếu phát hành theo phương thức đấu thầu và bảo lãnh được phát hành theo hình thức bút toán ghi sổ hoặc dữ liệu điện tử;
b) Trái phiếu phát hành theo phương thức đại lý phát hành và bán lẻ được phát hành theo hình thức chứng chỉ, bút toán ghi sổ hoặc dữ liệu điện tử.
5. Lãi suất danh nghĩa trái phiếu
a) Lãi suất danh nghĩa trái phiếu có thể là lãi suất cố định hoặc lãi suất thả nổi theo thông báo của Kho bạc Nhà nước tại thời điểm phát hành;
b) Trường hợp lãi suất danh nghĩa của trái phiếu là lãi suất thả nổi, Bộ Tài chính thông báo lãi suất tham chiếu và cách xác định giá bán trái phiếu tại từng đợt phát hành.
6. Thanh toán lãi, gốc trái phiếu
- Đối với trái phiếu thanh toán lãi định kỳ phát hành theo phương thức đấu thầu và bảo lãnh phát hành, tiền lãi trái phiếu được thanh toán sau theo định kỳ sáu (06) tháng một lần hoặc mười hai (12) tháng một lần và tiền gốc trái phiếu được thanh toán một lần vào ngày trái phiếu đáo hạn;
- Đối với trái phiếu không thanh toán lãi định kỳ phát hành theo phương thức đấu thầu và bảo lãnh phát hành, chủ thể phát hành không thanh toán lãi định kỳ mà chỉ thanh toán một lần cả gốc và lãi tại ngày đáo hạn;
- Đối với trái phiếu phát hành theo phương thức đại lý phát hành và bán lẻ thông qua hệ thống Kho bạc Nhà nước, tiền lãi trái phiếu được thanh toán sau theo định kỳ sáu (06) tháng một lần hoặc mười hai (12) tháng một lần; tiền gốc trái phiếu được thanh toán một lần vào ngày đáo hạn hoặc thanh toán trước hạn theo quy định của từng đợt phát hành.
7. Phát hành bổ sung trái phiếu
Kho bạc Nhà nước quyết định việc phát hành bổ sung trái phiếu nhằm đảm bảo thanh khoản cho thị trường. Kỳ hạn còn lại của mã trái phiếu tại thời điểm phát hành bổ sung phải từ một (01) năm trở lên.
Điều 5. Lãi suất phát hành trái phiếu
1. Bộ Tài chính quy định khung lãi suất phát hành trái phiếu trong từng thời kỳ hoặc từng đợt phát hành.
2. Căn cứ vào khung lãi suất quy định tại Khoản 1 Điều này, Kho bạc Nhà nước lựa chọn và quyết định lãi suất phát hành trái phiếu đối với từng đợt phát hành trái phiếu.
Chương II
XÂY DỰNG KẾ HOẠCH VÀ TỔ CHỨC PHÁT HÀNH TRÁI PHIẾU
Điều 6. Xây dựng và công bố kế hoạch phát hành trái phiếu
1. Hàng năm, căn cứ vào chỉ tiêu huy động vốn cho ngân sách nhà nước và cho đầu tư phát triển đã được Quốc hội phê duyệt, kế hoạch điều hành ngân sách nhà nước, Kho bạc Nhà nước xây dựng và thông báo kế hoạch phát hành trái phiếu dự kiến cho cả năm.
2. Hàng quý, căn cứ vào kế hoạch phát hành trái phiếu cho cả năm và kế hoạch điều hành ngân sách nhà nước hàng quý, Kho bạc Nhà nước xây dựng và thông báo kế hoạch phát hành trái phiếu dự kiến cho từng quý.
3. Kế hoạch phát hành trái phiếu hàng năm, hàng quý được công bố trên trang tin điện tử của Bộ Tài chính, Kho bạc Nhà nước và Sở Giao dịch chứng khoán.
Điều 7. Tổ chức phát hành trái phiếu
1. Căn cứ vào kế hoạch phát hành trái phiếu được thông báo, Kho bạc Nhà nước tổ chức phát hành trái phiếu theo quy định tại Thông tư này và các văn bản pháp luật có liên quan.
2. Việc phát hành tín phiếu kho bạc theo phương thức đấu thầu qua Sở Giao dịch Ngân hàng Nhà nước hoặc bán trực tiếp cho Ngân hàng Nhà nước được thực hiện theo văn bản hướng dẫn của Bộ Tài chính và Ngân hàng Nhà nước.
3. Đối với phát hành công trái xây dựng tổ quốc, trái phiếu bằng ngoại tệ (nếu có), Bộ Tài chính xây dựng Đề án trình Thủ tướng Chính phủ phê duyệt trước khi thực hiện. Đề án phát hành bao gồm các nội dung cơ bản sau:
a) Mục đích phát hành;
b) Các điều kiện, điều khoản: hình thức, kỳ hạn, đồng tiền, mệnh giá, lãi suất, thời gian phát hành và phương thức thanh toán lãi, gốc; khối lượng dự kiến phát hành;
c) Đối tượng mua;
d) Phương án tổ chức phát hành.
4. Đối với trái phiếu phát hành theo phương thức bán lẻ thông qua hệ thống Kho bạc Nhà nước hoặc đại lý phát hành, Kho bạc Nhà nước xây dựng phương án phát hành, trình Bộ Tài chính phê duyệt trước khi tổ chức thực hiện.
Điều 8. Lịch biểu phát hành trái phiếu
1. Đối với trái phiếu phát hành theo phương thức đấu thầu hoặc bảo lãnh:
a) Ngày tổ chức phát hành là ngày thứ Tư hàng tuần. Trong một số trường hợp, để đảm bảo sự phát triển của thị trường trái phiếu và nhu cầu quản lý ngân quỹ, Kho bạc Nhà nước có thể quyết định ngày tổ chức phát hành trái phiếu khác với ngày thứ Tư hàng tuần.
b) Ngày thanh toán tiền mua trái phiếu là ngày làm việc liền kề sau ngày tổ chức phát hành trái phiếu.
c) Căn cứ vào quy định tại điểm a và điểm b Khoản này, Kho bạc Nhà nước công bố lịch biểu dự kiến phát hành trái phiếu theo phương thức đấu thầu, bảo lãnh cho năm tiếp theo trên trang tin điện tử của Bộ Tài chính, Kho bạc Nhà nước và Sở Giao dịch chứng khoán trước ngày 31 tháng 12 của năm trước liền kề.
2. Đối với trái phiếu phát hành theo phương thức đại lý, bán lẻ qua hệ thống Kho bạc Nhà nước:
a) Căn cứ vào kế hoạch phát hành trái phiếu theo phương án do Bộ Tài chính quyết định, Kho bạc Nhà nước thông báo khung thời gian phát hành và tổ chức thực hiện theo quy định tại Thông tư này.
b) Ngày thanh toán tiền mua trái phiếu là ngày nhà đầu tư mua trái phiếu tại đại lý phát hành hoặc tại Kho bạc Nhà nước.
Điều 9. Thành viên đấu thầu
1. Hàng năm, căn cứ điều kiện trở thành thành viên tham gia đấu thầu phát hành trái phiếu (sau đây gọi tắt là thành viên đấu thầu) và tiêu chí đánh giá hoạt động của thành viên đấu thầu quy định tại Điều 10, Điều 11 và Điều 14 Thông tư này, Bộ Tài chính lựa chọn và công bố danh sách thành viên đấu thầu. Danh sách thành viên đấu thầu được công bố trước ngày 31 tháng 12 hàng năm trên trang tin điện tử của Bộ Tài chính, Kho bạc Nhà nước và Sở Giao dịch chứng khoán.
2. Bảo hiểm xã hội Việt Nam và Bảo hiểm tiền gửi Việt Nam được công nhận là thành viên đấu thầu, cụ thể như sau:
a) Được tham gia dự thầu trực tiếp không cạnh tranh lãi suất;
b) Được tham gia dự thầu cạnh tranh lãi suất thông qua thành viên đấu thầu khác;
c) Bảo hiểm xã hội Việt Nam và Bảo hiểm tiền gửi Việt Nam không phải tuân thủ các quy định về quyền lợi và nghĩa vụ của thành viên đấu thầu quy định tại Điều 10 Thông tư này.
Điều 10. Quyền lợi và nghĩa vụ của thành viên đấu thầu
1. Thành viên đấu thầu có các quyền lợi sau:
a) Là đối tượng duy nhất được tham gia vào các đợt phát hành trái phiếu Chính phủ, trái phiếu được Chính phủ bảo lãnh và trái phiếu chính quyền địa phương theo phương thức đấu thầu. Thành viên đấu thầu được tham gia đấu thầu để mua trái phiếu cho chính mình hoặc mua cho khách hàng;
b) Được Kho bạc Nhà nước ưu tiên lựa chọn làm tổ chức bảo lãnh chính đối với các đợt phát hành trái phiếu theo phương thức bảo lãnh nếu đáp ứng được các điều kiện quy định tại Điều 25 Thông tư này;
c) Được Kho bạc Nhà nước ưu tiên lựa chọn làm đại lý đối với các đợt phát hành trái phiếu theo phương thức đại lý;
d) Được tham gia trao đổi định kỳ với Bộ Tài chính về công tác phát hành trái phiếu và định hướng chính sách phát triển thị trường trái phiếu;
đ) Được đăng ký mua thêm trái phiếu ngay sau phiên đấu thầu theo thông báo của Kho bạc Nhà nước nếu đáp ứng được các điều kiện quy định tại Khoản 2 Điều 22 Thông tư này.
2. Thành viên đấu thầu có các nghĩa vụ sau:
a) Tham gia dự thầu tại các phiên đấu thầu trái phiếu Chính phủ với tần suất và mức lãi suất đăng ký hợp lý theo quy định của Bộ Tài chính trong từng thời kỳ;
b) Tham gia mua trái phiếu Chính phủ hàng năm với khối lượng tối thiểu do Bộ Tài chính quy định trong từng thời kỳ;
c) Thanh toán đầy đủ, đúng thời hạn tiền mua trái phiếu đã trúng thầu;
d) Công bố lãi suất hoặc giá tham chiếu chào mua, chào bán trên thị trường trái phiếu Chính phủ chuyên biệt theo quy định của Sở Giao dịch chứng khoán;
đ) Thực hiện chế độ báo cáo theo quy định tại Điều 44 Thông tư này.
3. Căn cứ vào tình hình thị trường, kế hoạch phát hành trái phiếu và các quy định tại Khoản 1 và Khoản 2 Điều này, Bộ Tài chính hướng dẫn cụ thể quyền lợi và nghĩa vụ của thành viên đấu thầu trong từng thời kỳ.
Điều 11. Điều kiện đăng ký mới thành viên đấu thầu
1. Là các ngân hàng thương mại, công ty tài chính, công ty chứng khoán, công ty bảo hiểm, quỹ đầu tư và các định chế tài chính khác được thành lập và hoạt động hợp pháp tại Việt Nam.
2. Có vốn điều lệ thực góp tối thiểu bằng mức vốn pháp định theo quy định của pháp luật liên quan.
3. Có thời gian hoạt động tối thiểu là ba (03) năm. Trường hợp tổ chức nhận sáp nhập hoặc hình thành sau chia, tách, hợp nhất thì thời gian hoạt động được tính cả thời gian trước khi chia, tách, sáp nhập hoặc hợp nhất.
4. Là thành viên thị trường trái phiếu Chính phủ chuyên biệt tại Sở Giao dịch chứng khoán.
5. Tham gia mua hoặc môi giới mua, bán trái phiếu trên thị trường sơ cấp hoặc trên thị trường thứ cấp với khối lượng tối thiểu theo quy định của Bộ Tài chính tại điểm b Khoản 2 Điều 10 Thông tư này trong một (01) năm liền kề trước thời điểm nộp đơn đề nghị trở thành thành viên đấu thầu. Khối lượng mua trái phiếu trên thị trường sơ cấp bao gồm khối lượng mua thông qua thành viên đấu thầu, tổ hợp bảo lãnh, đại lý phát hành và mua trái phiếu phát hành theo phương thức bán lẻ.
Điều 12. Hồ sơ đăng ký mới thành viên đấu thầu
1. Đơn đề nghị trở thành thành viên đấu thầu theo mẫu quy định tại Phụ lục 1 Thông tư này.
2. Bản sao Giấy phép kinh doanh (Bản sao được cấp từ sổ gốc, bản sao có chứng thực của cơ quan nhà nước có thẩm quyền hoặc bản sao không có chứng thực xuất trình cùng bản chính để đối chiếu).
3. Báo cáo tài chính của ba (03) năm liền kề trước năm đăng ký trở thành thành viên đấu thầu. Báo cáo tài chính phải được kiểm toán bởi tổ chức kiểm toán độc lập hoạt động hợp pháp tại Việt Nam.
4. Báo cáo tài chính quý tính đến thời điểm gần nhất khi có đơn đề nghị.
5. Báo cáo về sự tham gia trên thị trường trái phiếu tối thiểu trong một (01) năm liền kề trước thời điểm nộp đơn theo các mẫu báo cáo quy định tại Phụ lục 2 Thông tư này.
6. Bản sao văn bản công nhận thành viên thị trường trái phiếu Chính phủ chuyên biệt tại Sở Giao dịch chứng khoán.
Điều 13. Quy trình, thủ tục công nhận tổ chức đăng ký mới trở thành thành viên đấu thầu
1. Việc công nhận tổ chức đăng ký trở thành thành viên đấu thầu được Bộ Tài chính xem xét và công bố định kỳ hàng năm.
2. Các tổ chức đủ điều kiện quy định tại Điều 11 Thông tư này có nhu cầu trở thành thành viên đấu thầu cho năm sau gửi một (01) bộ hồ sơ theo quy định tại Điều 12 Thông tư này đến Bộ Tài chính. Thời gian nhận hồ sơ là từ ngày 01 đến ngày 10 tháng 11 hàng năm.
3. Trong vòng năm (05) ngày làm việc kể từ ngày nhận được hồ sơ, Bộ Tài chính kiểm tra tính đầy đủ, hợp lệ của hồ sơ và đề nghị tổ chức bổ sung hồ sơ (nếu có).
4. Sau khi nhận được bộ hồ sơ đầy đủ, Bộ Tài chính xem xét, đánh giá theo các tiêu chí quy định tại Điều 11 Thông tư này. Căn cứ vào kết quả xem xét hồ sơ, Bộ Tài chính thông báo danh sách các tổ chức được lựa chọn làm thành viên đấu thầu theo quy định tại Khoản 1 Điều 9 Thông tư này. Trường hợp hồ sơ không đủ điều kiện, Bộ Tài chính có công văn thông báo cho tổ chức nộp hồ sơ và nêu rõ lý do.
Điều 14. Đánh giá duy trì tư cách thành viên đấu thầu hàng năm
1. Hàng năm, Bộ Tài chính đánh giá hoạt động của thành viên đấu thầu để xem xét, quyết định duy trì tư cách thành viên đấu thầu trong năm tiếp theo. Nội dung đánh giá gồm:
a) Các điều kiện của thành viên đấu thầu quy định tại Khoản 1, Khoản 2 và Khoản 4 Điều 11 Thông tư này;
b) Các nghĩa vụ của thành viên đấu thầu quy định tại Khoản 2 và Khoản 3 Điều 10 Thông tư này.
2. Quy trình đánh giá duy trì tư cách thành viên đấu thầu:
a) Từ ngày 01 đến ngày 10 tháng 11 hàng năm, thành viên đấu thầu có trách nhiệm gửi Bộ Tài chính báo cáo về kết quả tham gia thị trường trái phiếu trong kỳ đánh giá từ ngày 01 tháng 11 năm liền kề đến ngày 31 tháng 10 năm hiện hành. Nội dung báo cáo thực hiện theo quy định tại Khoản 2 Điều 44 Thông tư này;
b) Căn cứ vào báo cáo của các thành viên đấu thầu quy định tại điểm a khoản này và cơ sở dữ liệu của Bộ Tài chính, Bộ Tài chính đánh giá tình hình hoạt động của các thành viên đấu thầu theo quy định tại Khoản 1 Điều này. Các thành viên đấu thầu đáp ứng đầy đủ điều kiện, nghĩa vụ được tiếp tục duy trì tư cách thành viên đấu thầu trong năm tiếp theo và được Bộ Tài chính công bố trong danh sách thành viên đấu thầu theo quy định tại Khoản 1 Điều 9 Thông tư này. Đối với những thành viên đấu thầu không đáp ứng đầy đủ điều kiện, nghĩa vụ để tiếp tục duy trì làm thành viên đấu thầu, Bộ Tài chính có văn bản thông báo và nêu rõ lý do.
Điều 15. Đánh giá xếp hạng thành viên đấu thầu hàng năm
1. Hàng năm, Bộ Tài chính đánh giá xếp hạng về mức độ tích cực tham gia thị trường trái phiếu của thành viên đấu thầu. Việc đánh giá được xác định theo các tiêu chí: tình hình tài chính doanh nghiệp, sự tham gia trên thị trường sơ cấp, sự tham gia trên thị trường thứ cấp trái phiếu của thành viên đấu thầu. Tiêu chí cụ thể được quy định tại Phụ lục 3 Thông tư này. Tỷ trọng đánh giá của từng tiêu chí do Bộ Tài chính quy định trong từng thời kỳ căn cứ vào sự phát triển của thị trường trái phiếu.
2. Quy trình đánh giá xếp hạng thành viên đấu thầu:
Căn cứ vào báo cáo hàng năm của thành viên đấu thầu, cơ sở dữ liệu của Bộ Tài chính, các tiêu chí xếp hạng và tỷ trọng đánh giá của từng tiêu chí đã được công bố, Bộ Tài chính thực hiện đánh giá và xếp hạng thành viên đấu thầu. Kết quả đánh giá xếp hạng thành viên đấu thầu được công bố trên trang tin điện tử của Bộ Tài chính và Sở Giao dịch chứng khoán.
Điều 16. Những thay đổi phải thông báo cho Bộ Tài chính
Trong thời hạn mười (10) ngày làm việc, kể từ ngày có thay đổi về những nội dung sau đây thành viên đấu thầu phải thông báo bằng văn bản đến Bộ Tài chính:
1. Bị thu hồi hoặc bị rút Giấy phép kinh doanh.
2. Bị chia, tách, hợp nhất, sáp nhập, chuyển đổi doanh nghiệp, tạm ngừng kinh doanh, giải thể, phá sản.
3. Bị rút tư cách hoặc tự nguyện chấm dứt tư cách thành viên thị trường trái phiếu Chính phủ chuyên biệt tại Sở Giao dịch chứng khoán.
4. Hoạt động kinh doanh bị kiểm soát đặc biệt bởi cơ quan Nhà nước có thẩm quyền theo quy định của pháp luật liên quan.
Điều 17. Loại bỏ tư cách thành viên đấu thầu
1. Bộ Tài chính xem xét loại bỏ tư cách thành viên của thành viên đấu thầu trong các trường hợp sau:
a) Bị thu hồi hoặc bị rút Giấy phép kinh doanh;
b) Tạm ngừng kinh doanh, hoặc bị giải thể, phá sản;
c) Hoạt động kinh doanh bị kiểm soát đặc biệt bởi cơ quan Nhà nước có thẩm quyền;
d) Có đơn đề nghị không làm thành viên đấu thầu;
đ) Không đáp ứng đủ điều kiện để tiếp tục duy trì làm thành viên đấu thầu theo thông báo của Bộ Tài chính quy định tại Điều 14 Thông tư này.
2. Bộ Tài chính thông báo bằng văn bản đối với các tổ chức bị loại bỏ tư cách thành viên đấu thầu và công bố thông tin trên trang tin điện tử của Bộ Tài chính, Kho bạc Nhà nước và Sở Giao dịch chứng khoán.
Chương III
CÁC PHƯƠNG THỨC PHÁT HÀNH TRÁI PHIẾU
Mục 1
ĐẤU THẦU PHÁT HÀNH TRÁI PHIẾU
Điều 18. Hình thức đấu thầu và phương thức xác định giá trúng thầu
1. Đấu thầu trái phiếu được thực hiện theo một (01) trong hai (02) hình thức, gồm:
a) Đấu thầu cạnh tranh lãi suất;
b) Đấu thầu kết hợp cạnh tranh lãi suất và không cạnh tranh lãi suất.
2. Kết quả đấu thầu trái phiếu được xác định theo một (01) trong hai (02) phương thức sau:
a) Đấu thầu đơn giá;
b) Đấu thầu đa giá.
Căn cứ vào sự phát triển của thị trường, Kho bạc Nhà nước báo cáo Bộ Tài chính chấp thuận chủ trương trước khi áp dụng phương thức đấu thầu đa giá. Nội dung chấp thuận của Bộ Tài chính bao gồm: thời gian tổ chức đấu thầu và kỳ hạn trái phiếu dự kiến phát hành theo phương thức đấu thầu đa giá.
3. Kho bạc Nhà nước thông báo cụ thể về hình thức đấu thầu, phương thức xác định kết quả đấu thầu đối với mỗi đợt đấu thầu phát hành trái phiếu.
Điều 19. Nguyên tắc tổ chức đấu thầu
1. Giữ bí mật mọi thông tin dự thầu của thành viên đấu thầu.
2. Thực hiện công khai, bình đẳng về quyền lợi và nghĩa vụ giữa các thành viên đấu thầu theo đúng quy định của pháp luật.
3. Trường hợp đợt đấu thầu được tổ chức theo hình thức kết hợp cạnh tranh lãi suất và không cạnh tranh lãi suất theo quy định tại điểm b Khoản 1 Điều 18 Thông tư này, tổng khối lượng trái phiếu phát hành cho thành viên dự thầu không cạnh tranh lãi suất đảm bảo không vượt quá 30% tổng khối lượng trái phiếu gọi thầu trong phiên đấu thầu.
Điều 20. Quy trình, thủ tục tổ chức đấu thầu
1. Tối thiểu bốn (04) ngày làm việc trước ngày tổ chức phát hành trái phiếu, căn cứ đề nghị của Kho bạc Nhà nước, Sở Giao dịch chứng khoán gửi thông báo phát hành trái phiếu tới toàn bộ thành viên đấu thầu và công bố thông tin trên trang tin điện tử của Sở Giao dịch chứng khoán. Nội dung thông báo bao gồm:
a) Mã trái phiếu dự kiến phát hành do Trung tâm Lưu ký chứng khoán Việt Nam cấp;
b) Kỳ hạn trái phiếu, khối lượng gọi thầu dự kiến đối với từng mã trái phiếu trong đó nêu rõ trái phiếu được phát hành lần đầu hoặc được phát hành bổ sung. Đối với trường hợp trái phiếu phát hành bổ sung, thông báo phải nêu rõ điều kiện, điều khoản của trái phiếu đang lưu hành;
c) Ngày tổ chức phát hành, ngày phát hành, ngày thanh toán tiền mua, ngày thanh toán lãi và ngày đáo hạn đối với từng mã trái phiếu;
d) Phương thức thanh toán tiền lãi, gốc trái phiếu;
đ) Hình thức đấu thầu;
e) Phương thức xác định kết quả đấu thầu;
g) Lãi suất tham chiếu và cách xác định giá bán trái phiếu đối với trường hợp trái phiếu có lãi suất danh nghĩa là lãi suất thả nổi.
h) Tài khoản nhận tiền mua trái phiếu của Kho bạc Nhà nước.
2. Chậm nhất vào 10 giờ 30 phút ngày tổ chức phát hành, các thành viên đấu thầu gửi Sở Giao dịch chứng khoán thông tin dự thầu theo quy trình và mẫu đăng ký dự thầu do Sở Giao dịch chứng khoán quy định. Mỗi thành viên đấu thầu và mỗi khách hàng của thành viên đấu thầu dự thầu cạnh tranh lãi suất được phép đặt tối đa năm (05) mức dự thầu trên một phiếu dự thầu đối với mỗi mã trái phiếu gọi thầu, mỗi mức đặt thầu bao gồm lãi suất dự thầu (tính đến 2 chữ số thập phân) và khối lượng trái phiếu dự thầu tương ứng. Đối với trường hợp mua trái phiếu cho khách hàng, thành viên đấu thầu phải cung cấp đầy đủ tên khách hàng, mức lãi suất và khối lượng dự thầu tương ứng của mỗi khách hàng.
3. Chậm nhất mười lăm (15) phút sau thời gian đăng ký dự thầu cuối cùng quy định tại Khoản 2 Điều này, Sở Giao dịch chứng khoán mở thầu, tổng hợp thông tin dự thầu và gửi cho Kho bạc Nhà nước.
4. Căn cứ vào thông tin dự thầu tổng hợp nhận từ Sở Giao dịch chứng khoán, Kho bạc Nhà nước xác định mức lãi suất phát hành đối với mỗi mã trái phiếu gọi thầu và thông báo cho Sở Giao dịch chứng khoán để xác định kết quả đấu thầu trái phiếu theo quy định tại Điều 21 Thông tư này.
5. Kết thúc phiên phát hành trái phiếu, Sở Giao dịch chứng khoán thông báo kết quả đấu thầu cho thành viên đấu thầu bằng dữ liệu điện tử thông qua hệ thống đấu thầu trái phiếu điện tử.
6. Kết thúc phiên phát hành trái phiếu, Sở Giao dịch chứng khoán thông báo toàn bộ kết quả phát hành trái phiếu (gồm kết quả đấu thầu quy định tại Khoản 5 Điều này và kết quả phát hành thêm trái phiếu ngay sau phiên đấu thầu quy định tại Điều 22 Thông tư này, nếu có) cho Kho bạc Nhà nước, Trung tâm Lưu ký chứng khoán Việt Nam theo nội dung quy định tại Phụ lục 4 Thông tư này. Đồng thời, thực hiện công bố thông tin về kết quả phát hành trái phiếu theo quy định tại Khoản 1 và Khoản 2 Điều 45 Thông tư này trên trang tin điện tử của Sở Giao dịch chứng khoán.
Điều 21. Xác định kết quả đấu thầu
1. Căn cứ để xác định lãi suất trúng thầu, lãi suất danh nghĩa, khối lượng trúng thầu và giá bán trái phiếu:
a) Khối lượng trái phiếu gọi thầu;
b) Lãi suất và khối lượng trái phiếu dự thầu;
c) Khung lãi suất phát hành trái phiếu theo quy định tại Điều 5 Thông tư này.
2. Phương pháp xác định lãi suất trúng thầu:
a) Đối với phương thức đấu thầu đơn giá
Lãi suất trúng thầu là mức lãi suất dự thầu cao nhất, áp dụng chung tất cả các thành viên đấu thầu (cạnh tranh và không cạnh tranh lãi suất) và được xét chọn theo thứ tự từ thấp đến cao của lãi suất dự thầu, thỏa mãn đồng thời hai (02) điều kiện sau:
- Trong khung lãi suất do Bộ Tài chính quy định;
- Khối lượng trái phiếu phát hành tính lũy kế đến mức lãi suất trúng thầu không vượt quá khối lượng trái phiếu gọi thầu.
b) Đối với phương thức đấu thầu đa giá
- Lãi suất trúng thầu áp dụng cho mỗi thành viên trúng thầu cạnh tranh lãi suất là mức lãi suất dự thầu của thành viên đấu thầu đó và được xét chọn theo thứ tự từ thấp đến cao của lãi suất dự thầu, thỏa mãn đồng thời hai (02) điều kiện sau:
+ Bình quân gia quyền các mức lãi suất trúng thầu không vượt quá khung lãi suất do Bộ Tài chính quyết định;
+ Khối lượng trái phiếu phát hành tính lũy kế đến mức lãi suất trúng thầu cao nhất không vượt quá khối lượng trái phiếu gọi thầu.
- Lãi suất trúng thầu áp dụng cho các thành viên đặt thầu dưới hình thức không cạnh tranh lãi suất là bình quân gia quyền của các mức lãi suất trúng thầu, được làm tròn xuống tới hai (02) chữ số thập phân.
3. Phương pháp xác định khối lượng trái phiếu trúng thầu cho từng thành viên đấu thầu:
a) Đối với trái phiếu được đấu thầu dưới hình thức cạnh tranh lãi suất:
Khối lượng trái phiếu phát hành cho mỗi thành viên dự thầu cạnh tranh lãi suất tương đương với khối lượng trái phiếu dự thầu của thành viên đó. Trường hợp tại mức lãi suất trúng thầu cao nhất, khối lượng trái phiếu dự thầu tính lũy kế đến mức lãi suất trúng thầu cao nhất vượt quá khối lượng trái phiếu gọi thầu thì sau khi đã trừ đi khối lượng trái phiếu dự thầu ở các mức lãi suất thấp hơn, phần dư còn lại của khối lượng trái phiếu gọi thầu được phân bổ cho các thành viên dự thầu tại mức lãi suất trúng thầu cao nhất theo tỷ lệ tương ứng với khối lượng trái phiếu dự thầu. Khối lượng trái phiếu phân bổ cho các thành viên được làm tròn xuống hàng 10.000 (mười nghìn) đơn vị trái phiếu.
b) Đối với trái phiếu được đấu thầu dưới hình thức kết hợp cạnh tranh lãi suất và không cạnh tranh lãi suất:
- Khối lượng trái phiếu phát hành cho mỗi thành viên dự thầu cạnh tranh lãi suất tương đương với khối lượng trái phiếu dự thầu của thành viên đó. Trường hợp tại mức lãi suất trúng thầu cao nhất, khối lượng trái phiếu dự thầu tính lũy kế đến mức lãi suất trúng thầu cao nhất vượt quá khối lượng trái phiếu gọi thầu thì sau khi đã trừ đi khối lượng trái phiếu dự thầu ở các mức lãi suất thấp hơn và khối lượng trái phiếu phát hành cho các thành viên dự thầu không cạnh tranh lãi suất, phần dư còn lại được phân bổ cho các thành viên dự thầu tại mức lãi suất trúng thầu cao nhất theo tỷ lệ tương ứng với khối lượng trái phiếu dự thầu và được làm tròn xuống hàng 10.000 (mười nghìn) đơn vị trái phiếu.
- Khối lượng trái phiếu phát hành cho mỗi thành viên dự thầu không cạnh tranh lãi suất tương đương với khối lượng trái phiếu dự thầu của thành viên đó. Trường hợp tổng khối lượng dự thầu vượt quá giới hạn quy định tại Khoản 3 Điều 19 Thông tư này, khối lượng trái phiếu phát hành cho mỗi thành viên dự thầu không cạnh tranh lãi suất được phân bổ theo tỷ lệ tương ứng với khối lượng trái phiếu dự thầu của thành viên đó và được làm tròn xuống hàng 10.000 (mười nghìn) đơn vị trái phiếu.
- Trường hợp tất cả các thành viên dự thầu cạnh tranh lãi suất không trúng thầu, trái phiếu sẽ không được phát hành cho các thành viên dự thầu không cạnh tranh lãi suất.
4. Ví dụ minh họa xác định lãi suất trúng thầu, lãi suất danh nghĩa và phân bổ khối lượng trúng thầu tại Phụ lục 5 Thông tư này.
5. Số tiền bán trái phiếu được xác định bằng số lượng trái phiếu bán cho chủ sở hữu trái phiếu nhân với giá bán một (01) trái phiếu.

Trong đó:
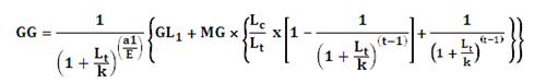
GG = Giá bán một (01) trái phiếu (được làm tròn về đơn vị đồng)
MG = Mệnh giá trái phiếu
a = Số ngày kể từ ngày thanh toán tiền mua trái phiếu của chủ sở hữu trái phiếu cho đến ngày thanh toán tiền lãi kế tiếp theo giả định
E = Số ngày trong kỳ trả lãi theo giả định khi việc thanh toán xảy ra
t = Số kỳ trả lãi giả định kể từ ngày thanh toán tiền mua trái phiếu đến ngày trái phiếu đáo hạn
Lt = Lãi suất phát hành trái phiếu cho chủ sở hữu trái phiếu (%/năm)
7. Xác định giá bán một (01) trái phiếu có lãi suất danh nghĩa cố định, thanh toán lãi định kỳ và có các kỳ trả lãi bằng nhau:
GG = 
GG = 
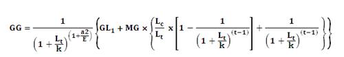
8. Xác định giá bán một (01) trái phiếu có lãi suất danh nghĩa cố định, thanh toán lãi định kỳ và có kỳ trả lãi đầu tiên ngắn hơn hoặc dài hơn so với các kỳ trả lãi tiếp theo
- Công thức tính số tiền lãi của một (01) trái phiếu đối với kỳ trả lãi đầu tiên trong trường hợp kỳ trả lãi đầu tiên ngắn hơn so với các kỳ trả lãi tiếp theo:

- Công thức tính số tiền lãi của một (01) trái phiếu đối với kỳ trả lãi đầu tiên trong trường hợp kỳ trả lãi đầu tiên dài hơn so với các kỳ trả lãi tiếp theo:

- Công thức tính số tiền lãi của một (01) trái phiếu đối với các kỳ trả lãi tiếp theo:

Trong đó:
GL1 = Số tiền thanh toán lãi của một (01) trái phiếu đối với kỳ trả lãi đầu tiên (được làm tròn đến đơn vị đồng)
GLn = Số tiền thanh toán lãi của một (01) trái phiếu đối với các kỳ trả lãi tiếp theo (được làm tròn đến đơn vị đồng)
MG = Mệnh giá trái phiếu
Lc = Lãi suất danh nghĩa trái phiếu (%/năm). Đối với trái phiếu phát hành lần đầu, lãi suất danh nghĩa trái phiếu là bình quân gia quyền các mức lãi suất trúng thầu trái phiếu áp dụng đối với các thành viên trúng thầu cạnh tranh lãi suất và được làm tròn xuống tới 1 chữ số thập phân. Đối với trái phiếu phát hành bổ sung, Lc là lãi suất danh nghĩa của trái phiếu đang lưu hành và được phát hành bổ sung.
k = Số lần thanh toán lãi định kỳ trong 1 năm
a1 = Số ngày thực tế giữa ngày thanh toán tiền mua trái phiếu và ngày thanh toán tiền lãi trái phiếu đầu tiên kể từ ngày thanh toán tiền mua trái phiếu
a2 = Số ngày từ ngày thanh toán tiền mua trái phiếu của chủ sở hữu trái phiếu đến ngày thanh toán tiền lãi thông thường theo giả định
E = Số ngày trong kỳ trả lãi thông thường theo giả định khi việc thanh toán xảy ra
- Trường hợp trái phiếu thanh toán lãi định kỳ và có kỳ trả lãi đầu tiên ngắn hơn so với các kỳ trả lãi tiếp theo, giá bán một (01) trái phiếu được xác định như sau:

- Trường hợp trái phiếu thanh toán lãi định kỳ và có kỳ trả lãi đầu tiên dài hơn so với các kỳ trả lãi tiếp theo, giá bán một (01) trái phiếu được xác định như sau:

GG = Giá bán một (01) trái phiếu (được làm tròn đến đơn vị đồng)
GL1 = Số tiền thanh toán lãi của một (01) trái phiếu đối với kỳ trả lãi đầu tiên, được làm tròn đến đơn vị đồng (theo công thức nêu tại điểm a nêu trên)
MG = Mệnh giá trái phiếu
Lt = Lãi suất phát hành trái phiếu cho chủ sở hữu trái phiếu (%/năm)
Lc = Lãi suất danh nghĩa trái phiếu (%/năm), là bình quân gia quyền các mức lãi suất trúng thầu trái phiếu áp dụng đối với các thành viên trúng thầu cạnh tranh lãi suất và được làm tròn xuống tới 1 chữ số thập phân. Đối với trái phiếu phát hành bổ sung.
k = Số lần thanh toán lãi định kỳ trong 1 năm
a1 = Số ngày thực tế giữa ngày thanh toán tiền mua trái phiếu và ngày thanh toán tiền lãi trái phiếu đầu tiên kể từ ngày thanh toán tiền mua trái phiếu
a2 = Số ngày từ ngày thanh toán tiền mua trái phiếu của chủ sở hữu trái phiếu đến ngày thanh toán tiền lãi thông thường theo giả định
E = Số ngày trong kỳ trả lãi thông thường giả định khi việc thanh toán xảy ra
t = Số lần thanh toán lãi giữa ngày thanh toán tiền mua trái phiếu của chủ sở hữu trái phiếu và ngày đến hạn của trái phiếu
- Đối với trái phiếu phát hành bổ sung:
+ Trường hợp ngày thanh toán tiền mua trái phiếu trước hoặc vào ngày đăng ký cuối cùng để nhận được tiền lãi trái phiếu của kỳ trả lãi đầu tiên, giá bán một (01) trái phiếu được xác định theo công thức như đối với trái phiếu phát hành lần đầu có kỳ trả lãi đầu tiên ngắn hơn hoặc dài hơn so với các kỳ trả lãi tiếp theo.
+ Trường hợp ngày thanh toán tiền mua trái phiếu sau ngày đăng ký cuối cùng để nhận được tiền lãi trái phiếu của kỳ trả lãi đầu tiên, giá bán một (01) trái phiếu được xác định theo công thức như đối với trường hợp trái phiếu có các kỳ trả lãi bằng nhau và được phát hành bổ sung theo quy định tại Khoản 7 Điều này.
Điều 22. Phát hành thêm trái phiếu ngay sau phiên đấu thầu
1. Căn cứ vào kết quả trúng thầu quy định tại Điều 20 Thông tư này, Kho bạc Nhà nước quyết định việc phát hành thêm hoặc không phát hành thêm trái phiếu ngay sau phiên đấu thầu và thông báo cho Sở Giao dịch chứng khoán theo quy định tại Khoản 2 Điều này.
2. Quy trình thủ tục phát hành thêm trái phiếu ngay sau phiên đấu thầu:
a) Nguyên tắc phát hành thêm trái phiếu ngay sau phiên đấu thầu:
- Chỉ áp dụng đối với các mã trái phiếu có kết quả trúng thầu tại phiên đấu thầu lúc 10 giờ 30 phút theo thông báo kết quả đấu thầu quy định tại Khoản 5 Điều 20 Thông tư này.
- Khối lượng phát hành thêm do Kho bạc Nhà nước quyết định nhưng tối đa không quá 30% khối lượng gọi thầu đối với mỗi mã trái phiếu theo thông báo phát hành trái phiếu quy định tại Khoản 1 Điều 20 Thông tư này.
- Lãi suất phát hành trái phiếu đối với mỗi mã trái phiếu gọi thầu thêm được xác định bằng lãi suất trúng thầu trong trường hợp đấu thầu đơn giá hoặc bằng bình quân gia quyền các mức lãi suất trúng thầu trong trường hợp đấu thầu đa giá và được làm tròn xuống tới 2 chữ số thập phân.
b) Kho bạc Nhà nước thông báo cho Sở Giao dịch chứng khoán về quyết định phát hành thêm trái phiếu ngay sau phiên đấu thầu. Nội dung thông báo bao gồm: mã trái phiếu phát hành thêm, khối lượng phát hành thêm, lãi suất phát hành thêm và thời gian đăng ký mua thêm. Thời gian thông báo về việc phát hành thêm trái phiếu ngay sau phiên đấu thầu được thực hiện cùng với thời gian thông báo lãi suất phát hành trái phiếu theo quy định tại Khoản 4 Điều 20 Thông tư này.
c) Sở Giao dịch chứng khoán thông báo việc phát hành thêm trái phiếu ngay sau phiên đấu thầu cho thành viên đấu thầu bằng dữ liệu điện tử thông qua hệ thống đấu thầu trái phiếu điện tử.
d) Điều kiện được tham gia đăng ký mua thêm trái phiếu ngay sau phiên đấu thầu:
- Là thành viên đấu thầu theo quy định của Bộ Tài chính;
- Trúng thầu đối với bất kỳ mã trái phiếu nào tại phiên đấu thầu theo quy định tại Khoản 5 Điều 20 Thông tư này.
đ) Thành viên đáp ứng điều kiện quy định tại điểm d khoản này được lựa chọn thực hiện hoặc không thực hiện việc đăng ký mua thêm trái phiếu ngay sau phiên đấu thầu. Thành viên có thể đăng ký mua thêm trái phiếu cho chính mình hoặc mua cho khách hàng.
e) Khối lượng đăng ký mua thêm của mỗi thành viên đấu thầu (bao gồm cho chính mình và cho các khách hàng) đối với mỗi mã trái phiếu không được vượt quá khối lượng phát hành thêm ngay sau phiên đấu thầu theo thông báo của Kho bạc Nhà nước theo quy định tại điểm b và c khoản này.
g) Thông tin đăng ký mua thêm trái phiếu bao gồm:
- Mã trái phiếu đăng ký mua thêm;
- Khối lượng đăng ký mua thêm tương ứng với mỗi mã trái phiếu;
- Tên khách hàng.
h) Nguyên tắc xác định khối lượng phát hành thêm cho các thành viên đấu thầu:
- Trong trường hợp khối lượng đăng ký mua thêm nhỏ hơn hoặc bằng khối lượng phát hành thêm ngay sau phiên đấu thầu theo thông báo của Kho bạc Nhà nước theo quy định tại điểm b khoản này, khối lượng phát hành thêm cho mỗi thành viên đấu thầu bằng với khối lượng đăng ký mua thêm của thành viên đấu thầu đó.
- Trong trường hợp khối lượng đăng ký mua thêm vượt quá khối lượng phát hành thêm ngay sau phiên đấu thầu theo thông báo của Kho bạc Nhà nước theo quy định tại điểm b khoản này, tỷ lệ phân bổ trái phiếu cho từng thành viên đấu thầu được tính theo tỷ lệ khối lượng đăng ký mua thêm của mỗi thành viên đấu thầu trên tổng khối lượng đăng ký mua thêm đối với mỗi mã trái phiếu.
- Khối lượng phát hành thêm cho từng thành viên đấu thầu được làm tròn xuống hàng 10.000 (mười nghìn) đơn vị trái phiếu.
i) Trên cơ sở thông tin đăng ký mua thêm, thông báo phát hành thêm trái phiếu của Kho bạc Nhà nước và nguyên tắc xác định khối lượng phát hành thêm, Sở Giao dịch chứng khoán xác định khối lượng phát hành thêm cho từng thành viên đấu thầu và thông báo cho Kho bạc Nhà nước.
k) Kết thúc phiên phát hành trái phiếu, Sở Giao dịch chứng khoán thông báo kết quả phát hành thêm trái phiếu cho các thành viên đăng ký mua thêm trái phiếu ngay sau phiên đấu thầu bằng dữ liệu điện tử thông qua Hệ thống đấu thầu trái phiếu điện tử.
Mục 2
BẢO LÃNH PHÁT HÀNH TRÁI PHIẾU
Điều 23. Nguyên tắc tổ chức bảo lãnh phát hành trái phiếu
1. Bảo lãnh phát hành trái phiếu được tổ chức với sự tham gia của một hoặc nhiều tổ chức bảo lãnh phát hành (tổ hợp bảo lãnh).
2. Kho bạc Nhà nước lựa chọn tổ chức bảo lãnh chính để đại diện cho tổ hợp bảo lãnh thực hiện đàm phán và thống nhất về khối lượng, kỳ hạn, lãi suất và phí bảo lãnh phát hành trái phiếu cho từng đợt phát hành trái phiếu theo quy định tại Thông tư này.
3. Loại trái phiếu phát hành theo phương thức bảo lãnh là các trái phiếu có kỳ hạn từ 5 năm trở lên do Bộ Tài chính quy định.
Điều 24. Quyền lợi và nghĩa vụ của tổ chức bảo lãnh chính
1. Quyền lợi
a) Là đại diện hợp pháp duy nhất về quyền lợi và nghĩa vụ của tổ hợp bảo lãnh để đàm phán và thống nhất với Kho bạc Nhà nước về đợt bảo lãnh phát hành trái phiếu;
b) Được quyền phân phối trái phiếu của đợt bảo lãnh phát hành theo hợp đồng bảo lãnh ký kết với Kho bạc Nhà nước;
c) Được hưởng phí bảo lãnh trên cơ sở đàm phán thống nhất với Kho bạc Nhà nước theo quy định tại Thông tư này;
d) Được quyền lựa chọn thành viên của tổ hợp bảo lãnh và quyết định mức phí bảo lãnh trả cho các thành viên này.
2. Nghĩa vụ
a) Có trách nhiệm phân phối hết khối lượng trái phiếu trong thời gian quy định tại hợp đồng bảo lãnh ký kết với Kho bạc Nhà nước. Trường hợp khối lượng trái phiếu không được phân phối hết cho nhà đầu tư, tổ chức bảo lãnh chính có trách nhiệm mua toàn bộ khối lượng trái phiếu còn lại;
b) Thực hiện thanh toán tiền mua trái phiếu theo quy định tại Khoản 1 Điều 35 Thông tư này;
c) Báo cáo Kho bạc Nhà nước về tình hình phân phối trái phiếu thực tế trong ngày thanh toán tiền mua trái phiếu;
d) Thực hiện đầy đủ các nghĩa vụ khác quy định tại hợp đồng nguyên tắc và hợp đồng bảo lãnh ký với Kho bạc Nhà nước.
Điều 25. Điều kiện để trở thành tổ chức bảo lãnh chính
1. Là các ngân hàng thương mại, công ty chứng khoán được thành lập, hoạt động hợp pháp tại Việt Nam và được phép cung cấp dịch vụ bảo lãnh chứng khoán theo quy định của pháp luật liên quan.
2. Có vốn điều lệ thực góp tối thiểu bằng mức vốn pháp định theo quy định của pháp luật liên quan.
3. Có thời gian hoạt động tối thiểu là ba (03) năm. Trường hợp tổ chức nhận sáp nhập hoặc hình thành sau chia, tách, hợp nhất thì thời gian hoạt động được tính cả thời gian trước khi chia, tách, sáp nhập hoặc hợp nhất.
4. Có kinh nghiệm trong lĩnh vực bảo lãnh chứng khoán.
5. Có đơn đề nghị trở thành tổ chức bảo lãnh chính.
Điều 26. Quy trình lựa chọn tổ chức bảo lãnh chính và tổ hợp bảo lãnh
1. Tối thiểu mười lăm (15) ngày làm việc trước ngày dự kiến tổ chức phát hành trái phiếu theo phương thức bảo lãnh, Kho bạc Nhà nước thông báo trên trang tin điện tử của Bộ Tài chính, Kho bạc Nhà nước và Sở Giao dịch chứng khoán về kế hoạch tổ chức đợt bảo lãnh phát hành trái phiếu và mời đăng ký tham gia làm tổ chức bảo lãnh chính. Nội dung thông báo bao gồm:
a) Thông tin về trái phiếu dự kiến phát hành:
- Điều kiện, điều khoản của trái phiếu (đồng tiền phát hành, kỳ hạn, mệnh giá, ngày tổ chức phát hành, ngày phát hành, ngày thanh toán tiền mua trái phiếu, ngày dự kiến thanh toán lãi trái phiếu, ngày đáo hạn trái phiếu, tài khoản nhận tiền mua trái phiếu của Kho bạc Nhà nước, phương thức thanh toán lãi, gốc trái phiếu, mã trái phiếu do Trung tâm Lưu ký chứng khoán Việt Nam cấp);
- Khối lượng trái phiếu dự kiến phát hành.
b) Thông tin về việc lựa chọn tổ chức bảo lãnh chính:
- Điều kiện và tiêu chuẩn đối với tổ chức bảo lãnh chính theo quy định tại Điều 25 Thông tư này.
- Thời hạn, địa chỉ, mẫu và hình thức nhận hồ sơ đăng ký trở thành tổ chức bảo lãnh chính.
2. Các tổ chức đáp ứng đủ điều kiện và có nhu cầu trở thành tổ chức bảo lãnh chính gửi hồ sơ đăng ký được niêm phong theo đúng quy định tại thông báo của Kho bạc Nhà nước. Hồ sơ đăng ký gồm:
a) Đơn đăng ký trở thành tổ chức bảo lãnh chính theo mẫu do Kho bạc Nhà nước quy định;
b) Đề xuất phương án bảo lãnh phát hành trái phiếu với các nội dung cơ bản sau đây:
- Phân tích, nhận định và dự báo về tình hình thị trường trái phiếu và khả năng phát hành trái phiếu theo phương thức bảo lãnh;
- Kế hoạch thực hiện đối với đợt bảo lãnh phát hành dự kiến: dự kiến thành viên tổ hợp bảo lãnh, cách thức, thời gian triển khai thực hiện, dự kiến về khối lượng, lãi suất phát hành và đề xuất mức phí bảo lãnh phát hành trái phiếu;
- Các cam kết của tổ chức bảo lãnh chính.
c) Các tài liệu chứng minh đủ điều kiện để trở thành tổ chức bảo lãnh chính, bao gồm:
- Bản sao Giấy phép kinh doanh (Bản sao được cấp từ sổ gốc, bản sao có chứng thực của cơ quan nhà nước có thẩm quyền hoặc bản sao không có chứng thực xuất trình cùng bản chính để đối chiếu);
- Báo cáo tài chính của ba (03) năm liền kề gần nhất đã được kiểm toán;
- Tài liệu chứng minh hoạt động của tổ chức trong lĩnh vực bảo lãnh chứng khoán.
3. Trong vòng năm (05) ngày làm việc kể từ ngày kết thúc nhận hồ sơ tham gia làm tổ chức bảo lãnh chính, Kho bạc Nhà nước thành lập tổ mở hồ sơ niêm phong và tổ chức đánh giá, lựa chọn một (01) tổ chức bảo lãnh chính theo các căn cứ sau:
a) Tiêu chuẩn, điều kiện của tổ chức bảo lãnh chính theo quy định tại Điều 25 Thông tư này;
b) Năng lực, kinh nghiệm và khả năng đảm nhiệm vai trò bảo lãnh chính đối với đợt phát hành trái phiếu trên cơ sở đề xuất của tổ chức nêu tại điểm b, Khoản 2 Điều này.
4. Kết quả lựa chọn tổ chức bảo lãnh chính được Kho bạc Nhà nước thông báo bằng văn bản cho các tổ chức đã thực hiện đăng ký và công bố trên trang tin điện tử của Bộ Tài chính, Kho bạc Nhà nước và Sở Giao dịch chứng khoán.
5. Kho bạc Nhà nước và tổ chức bảo lãnh chính thống nhất nội dung và ký hợp đồng nguyên tắc thực hiện đợt bảo lãnh phát hành trái phiếu theo mẫu hợp đồng quy định tại Phụ lục 6 Thông tư này.
6. Căn cứ vào hợp đồng nguyên tắc ký với Kho bạc Nhà nước, tổ chức bảo lãnh chính lựa chọn thành viên tổ hợp bảo lãnh.
7. Thành viên tổ hợp bảo lãnh là các tổ chức, cá nhân được thành lập, hoạt động hoặc cư trú hợp pháp tại Việt Nam và được phép đầu tư mua trái phiếu Chính phủ theo quy định của pháp luật, trong đó bao gồm cả Bảo hiểm Xã hội Việt Nam và Bảo hiểm tiền gửi Việt Nam.
8. Quyền lợi và nghĩa vụ của thành viên tổ hợp bảo lãnh thực hiện theo thỏa thuận với tổ chức bảo lãnh chính.
Điều 27. Đàm phán và tổ chức bảo lãnh phát hành trái phiếu
1. Trong vòng năm (05) ngày làm việc kể từ ngày ký hợp đồng nguyên tắc với Kho bạc Nhà nước, tổ chức bảo lãnh chính gửi Kho bạc Nhà nước văn bản thông báo về danh sách thành viên tổ hợp bảo lãnh tham gia phiên bảo lãnh phát hành trái phiếu theo mẫu tại mục 1 Phụ lục 7 Thông tư này và Thỏa thuận của tổ hợp bảo lãnh đã được các thành viên bảo lãnh ký kết theo mẫu tại mục 2 Phụ lục 7 Thông tư này.
2. Trên cơ sở văn bản thông báo của tổ chức bảo lãnh chính, căn cứ vào khung lãi suất và phí bảo lãnh do Bộ Tài chính quy định, Kho bạc Nhà nước thực hiện đàm phán với tổ chức bảo lãnh chính về khối lượng, điều kiện, điều khoản trái phiếu (kỳ hạn, lãi suất phát hành, ngày phát hành, ngày thanh toán tiền mua trái phiếu, giá bán trái phiếu), phí bảo lãnh và các nội dung liên quan khác.
3. Trên cơ sở kết quả đàm phán, vào ngày tổ chức phát hành trái phiếu, Kho bạc Nhà nước ký hợp đồng bảo lãnh phát hành trái phiếu với tổ chức bảo lãnh chính theo mẫu hợp đồng quy định tại mục 3 Phụ lục 7 Thông tư này. Hợp đồng bảo lãnh phát hành trái phiếu là căn cứ pháp lý xác nhận các quyền, nghĩa vụ của tổ chức bảo lãnh chính; và quyền, nghĩa vụ của Kho bạc Nhà nước theo quy định tại Thông tư này.
4. Chậm nhất vào ngày làm việc liền kề ngày ký hợp đồng bảo lãnh phát hành trái phiếu, Kho bạc Nhà nước thông báo kết quả bảo lãnh cho Trung tâm Lưu ký chứng khoán Việt Nam và Sở Giao dịch chứng khoán; đồng thời công bố kết quả bảo lãnh trên trang thông tin điện tử của Bộ Tài chính, Kho bạc Nhà nước và Sở Giao dịch chứng khoán.
5. Số tiền bán trái phiếu được xác định được xác định theo nguyên tắc quy định tại Khoản 5 Điều 21 Thông tư này.
6. Giá bán một (01) trái phiếu được xác định theo nguyên tắc sau:
a) Theo quy định tại Khoản 6 Điều 21 Thông tư này đối với trái phiếu không thanh toán lãi định kỳ;
b) Theo quy định tại Khoản 7 và Khoản 8 Điều 21 Thông tư này đối với trái phiếu có lãi suất danh nghĩa cố định;
c) Theo thông báo của Bộ Tài chính quy định tại Khoản 5 Điều 4 Thông tư này đối với trái phiếu có lãi suất danh nghĩa là lãi suất thả nổi.
Mục 3
ĐẠI LÝ PHÁT HÀNH TRÁI PHIẾU
Điều 28. Nguyên tắc phát hành trái phiếu theo phương thức đại lý
1. Kho bạc Nhà nước lựa chọn các tổ chức đủ điều kiện quy định tại Thông tư này để làm đại lý phát hành, đại lý thanh toán lãi, gốc trái phiếu.
2. Kho bạc Nhà nước xây dựng phương án phát hành trái phiếu theo phương thức đại lý, báo cáo Bộ Tài chính phê duyệt trước khi tổ chức thực hiện.
Điều 29. Điều kiện để làm đại lý phát hành trái phiếu
1. Là các ngân hàng thương mại được thành lập và hoạt động hợp pháp tại Việt Nam;
2. Có vốn điều lệ thực góp tối thiểu bằng mức vốn pháp định theo quy định của pháp luật liên quan;
3. Có thời gian hoạt động tối thiểu là 3 năm;
4. Có mạng lưới hoạt động đảm bảo phát hành trái phiếu theo yêu cầu của Kho bạc Nhà nước đối với từng đợt phát hành;
5. Có đơn đề nghị làm đại lý phát hành trái phiếu.
Điều 30. Quy trình lựa chọn và ký hợp đồng đại lý phát hành trái phiếu
1. Trước ngày tổ chức đợt phát hành trái phiếu theo phương thức đại lý phát hành tối thiểu 20 ngày làm việc, Kho bạc Nhà nước thông báo trên trang tin điện tử của Bộ Tài chính, Kho bạc Nhà nước và Sở Giao dịch chứng khoán về kế hoạch tổ chức phát hành trái phiếu và mời đăng ký tham gia làm đại lý phát hành. Nội dung thông báo bao gồm:
a) Thông tin về trái phiếu dự kiến phát hành:
- Điều kiện, điều khoản của trái phiếu (đồng tiền phát hành, kỳ hạn, thời gian tổ chức phát hành, hình thức phát hành, phương thức thanh toán lãi, gốc trái phiếu);
- Khối lượng trái phiếu dự kiến phát hành.
b) Thông tin về việc lựa chọn đại lý phát hành:
- Hình thức ðại lý: ðại lý phát hành hoặc đồng thời là đại lý phát hành và đại lý thanh toán trái phiếu;
- Điều kiện đối với đại lý theo quy định tại Điều 29 Thông tư này;
- Mẫu, thời hạn, địa điểm và hình thức nhận hồ sơ đăng ký tham gia đại lý phát hành trái phiếu. Các tổ chức tham gia đăng ký có thể nộp hồ sơ trực tiếp tại Kho bạc Nhà nước hoặc gửi hồ sơ bằng thư đảm bảo đến địa chỉ theo thông báo của Kho bạc Nhà nước. Hồ sơ đăng ký trở thành tổ chức bảo lãnh chính gửi tới Kho bạc Nhà nước phải được niêm phong.
2. Các tổ chức đáp ứng đủ điều kiện quy định tại Điều 29 Thông tư này có nhu cầu làm đại lý gửi hồ sơ đăng ký đến Kho bạc Nhà nước theo đúng thông báo nêu tại Khoản 1 Điều này. Hồ sơ đăng ký bao gồm:
a) Đơn đăng ký làm đại lý theo mẫu quy định mục 1 Phụ lục 8 Thông tư này;
b) Đề xuất phương án tổ chức phát hành trái phiếu với các nội dung cơ bản sau đây:
- Phân tích, nhận định và dự báo về tình hình thị trường trái phiếu và khả năng phát hành trái phiếu theo phương thức đại lý;
- Kế hoạch thực hiện đối với đợt phát hành trái phiếu theo phương thức đại lý;
- Đề xuất mức phí đại lý phát hành trái phiếu, đại lý thanh toán trái phiếu.
c) Các tài liệu chứng minh đủ điều kiện để trở thành đại lý phát hành trái phiếu , bao gồm:
- Bản sao Giấy phép kinh doanh (Bản sao được cấp từ sổ gốc, bản sao có chứng thực của cơ quan nhà nước có thẩm quyền hoặc bản sao không có chứng thực xuất trình cùng bản chính để đối chiếu);
- Báo cáo tài chính của ba (03) năm liền kề gần nhất đã được kiểm toán;
- Thông tin về hệ thống mạng lưới hoạt động và hạ tầng cơ sở để đảm bảo phát hành trái phiếu theo yêu cầu của Kho bạc Nhà nước.
d) Hồ sơ đăng ký tham gia làm đại lý phát hành trái phiếu gửi tới Kho bạc Nhà nước phải được niêm phong theo quy định hiện hành.
3. Trong vòng năm (05) ngày làm việc kể từ ngày kết thúc nhận hồ sơ đăng ký tham gia làm đại lý phát hành trái phiếu, Kho bạc Nhà nước thành lập tổ mở hồ sơ niêm phong và tổ chức đánh giá, lựa chọn một hoặc một số đại lý theo các căn cứ sau:
a) Điều kiện của đại lý phát hành trái phiếu theo quy định tại Điều 29 Thông tư này;
b) Năng lực và khả năng thực hiện chức năng đại lý phát hành của tổ chức đăng ký;
c) Mức phí đại lý đề xuất.
4. Kết quả lựa chọn đại lý phát hành trái phiếu được Kho bạc Nhà nước thông báo bằng văn bản cho các tổ chức đăng ký làm đại lý phát hành và công bố trên trang tin điện tử của Bộ Tài chính, Kho bạc Nhà nước và Sở Giao dịch chứng khoán.
5. Trên cơ sở hồ sơ đăng ký tham gia làm đại lý phát hành trái phiếu và khung lãi suất do Bộ Tài chính quy định, Kho bạc Nhà nước thực hiện đàm phán với đại lý phát hành trái phiếu về khối lượng, điều kiện, điều khoản trái phiếu (kỳ hạn, lãi suất phát hành, ngày phát hành, ngày thanh toán tiền mua trái phiếu, giá bán trái phiếu), phí đại lý và các nội dung liên quan khác.
6. Trên cơ sở kết quả đàm phán, Kho bạc Nhà nước ký hợp đồng với đại lý phát hành trái phiếu theo mẫu hợp đồng đại lý quy định mục 2 Phụ lục 8 Thông tư này. Hợp đồng đại lý phát hành là căn cứ pháp lý xác nhận các quyền, nghĩa vụ của đại lý phát hành và của Kho bạc Nhà nước theo quy định tại Thông tư này.
7. Số tiền bán trái phiếu được xác định được xác định theo nguyên tắc quy định tại Khoản 5 Điều 21 Thông tư này.
8. Giá bán một (01) trái phiếu được xác định theo nguyên tắc sau:
a) Theo quy định tại Khoản 6 Điều 21 Thông tư này đối với trái phiếu không thanh toán lãi định kỳ;
b) Theo quy định tại Khoản 7 và Khoản 8 Điều 21 Thông tư này đối với trái phiếu có lãi suất danh nghĩa cố định;
c) Theo thông báo của Bộ Tài chính quy định tại Khoản 5 Điều 4 Thông tư này đối với trái phiếu có lãi suất danh nghĩa là lãi suất thả nổi.
Điều 31. Tổ chức phát hành trái phiếu
1. Đại lý tổ chức phát hành trái phiếu theo các điều kiện, điều khoản trái phiếu được quy định tại hợp đồng đại lý đã ký kết với Kho bạc Nhà nước.
2. Trong vòng ba mươi (30) ngày làm việc kể từ ngày kết thúc đợt phát hành trái phiếu theo phương thức đại lý, Kho bạc Nhà nước báo cáo Bộ Tài chính kết quả đợt phát hành trái phiếu theo quy định tại Khoản 2 Điều 42 Thông tư này.
Mục 4
BÁN LẺ TRÁI PHIẾU QUA HỆ THỐNG KHO BẠC NHÀ NƯỚC
Điều 32. Nguyên tắc phát hành trái phiếu
1. Phương thức bán lẻ trái phiếu được sử dụng để phát hành trái phiếu trực tiếp cho các nhà đầu tư là tổ chức, cá nhân trong và ngoài nước, bao gồm cả Bảo hiểm Xã hội Việt Nam và Bảo hiểm tiền gửi Việt Nam.
2. Kho bạc Nhà nước trực tiếp hoặc lựa chọn các Kho bạc Nhà nước cấp tỉnh hoặc cấp huyện trực thuộc Kho bạc Nhà nước tổ chức phát hành và thanh toán gốc, lãi trái phiếu đối với từng đợt phát hành trái phiếu.
3. Kho Bạc Nhà nước xây dựng phương án phát hành trái phiếu theo phương thức bán lẻ quy định tại Khoản 1 Điều này, báo cáo Bộ Tài chính phê duyệt trước khi thực hiện.
4. Trái phiếu được phát hành dưới hình thức chứng chỉ, bút toán ghi sổ hoặc dữ liệu điện tử.
5. Trường hợp phát hành theo hình thức chứng chỉ, Kho bạc Nhà nước thiết kế mẫu và tổ chức in ấn chứng chỉ trái phiếu.
6. Số tiền bán trái phiếu được xác định được xác định theo nguyên tắc quy định tại Khoản 5 Điều 21 Thông tư này.
7. Giá bán một (01) trái phiếu được xác định theo nguyên tắc sau:
a) Theo quy định tại Khoản 6 Điều 21 Thông tư này đối với trái phiếu không thanh toán lãi định kỳ;
b) Theo quy định tại Khoản 7 và Khoản 8 Điều 21 Thông tư này đối với trái phiếu có lãi suất danh nghĩa cố định;
c) Theo thông báo của Bộ Tài chính quy định tại Khoản 5 Điều 4 Thông tư này đối với trái phiếu có lãi suất danh nghĩa là lãi suất thả nổi.
Điều 33. Quy trình phát hành trái phiếu
1. Đối với trái phiếu phát hành trực tiếp tại Kho bạc Nhà nước
a) Căn cứ phương án phát hành trái phiếu được Bộ Tài chính phê duyệt, tối thiểu bốn (04) ngày làm việc trước ngày phát hành trái phiếu, Kho bạc Nhà nước thông báo thông tin về đợt phát hành trái phiếu dự kiến trên trang thông tin điện tử của Bộ Tài chính, Kho bạc Nhà nước và Sở Giao dịch chứng khoán. Nội dung thông báo gồm:
- Ngày phát hành, ngày thanh toán tiền mua, ngày thanh toán lãi và ngày đáo hạn trái phiếu dự kiến;
- Khối lượng, kỳ hạn trái phiếu dự kiến phát hành;
- Đối tượng mua trái phiếu;
- Lãi suất danh nghĩa trái phiếu;
- Hình thức trái phiếu;
- Phương thức thanh toán tiền lãi, gốc trái phiếu;
b) Các tổ chức, cá nhân có nhu cầu mua trái phiếu gửi đăng ký mua trái phiếu tới Kho bạc Nhà nước;
c) Căn cứ đăng ký mua trái phiếu của các tổ chức, cá nhân, Kho bạc Nhà nước trình Bộ Tài chính ban hành quyết định phát hành trái phiếu theo phương thức bán lẻ;
d) Căn cứ vào quyết định phát hành trái phiếu của Bộ Tài chính, người mua trái phiếu thực hiện chuyển tiền mua trái phiếu vào tài khoản do Kho bạc Nhà nước chỉ định;
đ) Trên cơ sở giấy xác nhận chuyển tiền mua trái phiếu, Kho bạc Nhà nước hạch toán tiền mua trái phiếu vào ngân sách nhà nước theo quy định của Luật Ngân sách Nhà nước và làm thủ tục xác nhận sở hữu trái phiếu cho người mua trái phiếu theo quy định.
2. Đối với trái phiếu phát hành tại Kho bạc Nhà nước cấp tỉnh hoặc cấp huyện trực thuộc Kho bạc Nhà nước
a) Tối thiểu 10 ngày làm việc trước đợt phát hành trái phiếu theo phương thức bán lẻ, Kho bạc Nhà nước thông báo chi tiết về đợt phát hành trên trang tin điện tử của Bộ Tài chính, Kho bạc Nhà nước, Sở Giao dịch chứng khoán và các phương tiện thông tin đại chúng. Nội dung thông báo gồm:
- Khối lượng, kỳ hạn trái phiếu dự kiến phát hành;
- Đối tượng mua trái phiếu;
- Lãi suất danh nghĩa trái phiếu;
- Hình thức trái phiếu;
- Phương thức thanh toán tiền lãi, gốc trái phiếu;
- Thời gian, địa điểm tổ chức phát hành.
b) Trường hợp mua trái phiếu bằng tiền mặt, người mua trái phiếu đến địa điểm phát hành trái phiếu của Kho bạc Nhà nước để làm thủ tục nộp tiền mua trái phiếu. Kho bạc Nhà nước căn cứ vào số tiền nộp của người mua trái phiếu làm thủ tục phát hành trái phiếu theo các điều kiện, điều khoản quy định của đợt phát hành trái phiếu.
c) Trường hợp mua trái phiếu bằng chuyển khoản, người mua trái phiếu thực hiện chuyển tiền vào tài khoản của Kho bạc Nhà nước theo thông báo của Kho bạc Nhà nước. Trên cơ sở giấy chuyển tiền và giấy báo có của ngân hàng gửi đến Kho bạc Nhà nước, Kho bạc Nhà nước thực hiện phát hành trái phiếu theo các điều kiện, điều khoản quy định của đợt phát hành trái phiếu.
d) Căn cứ vào số tiền mua trái phiếu được nộp vào Kho bạc Nhà nước, Kho bạc Nhà nước làm thủ tục hạch toán vào ngân sách nhà nước theo quy định của Luật ngân sách nhà nước và giao chứng chỉ (nếu phát hành theo hình thức chứng chỉ) hoặc làm thủ tục xác nhận chủ sở hữu (nếu phát hành theo hình thức bút toán ghi sổ hoặc dữ liệu điện tử) cho người mua trái phiếu.
đ) Căn cứ vào điểm a, điểm b và điểm c khoản này và yêu cầu quản lý, Kho bạc Nhà nước hướng dẫn quy trình chi tiết để phát hành trái phiếu theo phương thức bán lẻ tại Kho bạc Nhà nước cấp tỉnh hoặc cấp huyện trực thuộc Kho bạc Nhà nước.
Điều 34. Lưu giữ, bảo quản, cầm cố và chuyển nhượng trái phiếu
1. Chủ sở hữu trái phiếu có trách nhiệm tự bảo quản trái phiếu phát hành theo phương thức bán lẻ. Trường hợp có nhu cầu, chủ sở hữu trái phiếu có thể nhờ Kho bạc Nhà nước tại nơi phát hành thực hiện lưu giữ, bảo quản trái phiếu hộ. Kho bạc Nhà nước làm thủ tục bảo quản trái phiếu cho khách hàng và không thu phí bảo quản trái phiếu.
2. Việc cầm cố và chuyển nhượng trái phiếu phát hành theo phương thức bản lẻ qua hệ thống Kho bạc Nhà nước được thực hiện theo quy định tại Khoản 1 Điều 8 Nghị định số 01/2011/NĐ-CP. Trường hợp trái phiếu được phát hành theo hình thức ghi tên và không được đăng ký, lưu ký tại Trung tâm Lưu ký chứng khoán Việt Nam thì việc chuyển nhượng được thực hiện tại Kho bạc Nhà nước nơi phát hành theo hướng dẫn của Kho bạc Nhà nước.
Chương IV
THANH TOÁN TIỀN MUA TRÁI PHIẾU
Điều 35. Thanh toán tiền mua trái phiếu
1. Đối với trái phiếu phát hành theo phương thức đấu thầu, bảo lãnh phát hành:
a) Chậm nhất vào 14 giờ ngày thanh toán tiền mua trái phiếu do Kho bạc Nhà nước thông báo, các thành viên trúng thầu (đối với phương thức đấu thầu), tổ chức bảo lãnh chính (đối với phương thức bảo lãnh) phải đảm bảo toàn bộ tiền mua trái phiếu (bao gồm cả tiền mua trái phiếu của khách hàng của thành viên đấu thầu và thành viên tổ hợp bảo lãnh của tổ chức bảo lãnh chính) đã được thanh toán và ghi có vào tài khoản do Kho bạc Nhà nước chỉ định. Đối với trường hợp khách hàng, thành viên tổ hợp bảo lãnh không thực hiện thanh toán tiền mua trái phiếu thì thành viên trúng thầu hoặc tổ chức bảo lãnh chính có nghĩa vụ thanh toán đầy đủ tiền mua trái phiếu đó.
b) Các nhà đầu tư mua trái phiếu thông qua thành viên đấu thầu hoặc tổ chức bảo lãnh chính có thể thanh toán tiền mua trái phiếu thông qua thành viên đấu thầu, tổ chức bảo lãnh chính hoặc chuyển trực tiếp vào tài khoản do Kho bạc Nhà nước chỉ định nhưng phải đảm bảo đúng thời gian quy định tại điểm a khoản này. Trong trường hợp nhà đầu tư trái phiếu chuyển tiền mua trái phiếu qua thành viên đấu thầu hoặc thành viên tổ chức bảo lãnh chính để chuyển vào tài khoản do Kho bạc Nhà nước chỉ định thì thành viên đấu thầu, tổ chức bảo lãnh chính phải ghi đầy đủ thông tin về mã trái phiếu, chủ sở hữu trái phiếu, khối lượng trái phiếu và tổng số tiền mua của chủ sở hữu trái phiếu đó.
c) Kho bạc Nhà nước gửi văn bản xác nhận hoàn tất thanh toán tiền mua trái phiếu của thành viên trúng thầu, tổ chức bảo lãnh chính cho Trung tâm Lưu ký chứng khoán Việt Nam để thực hiện lưu ký trái phiếu.
2. Đối với trái phiếu phát hành theo phương thức đại lý, căn cứ vào thời gian quy định tại hợp đồng đại lý và khối lượng trái phiếu được phát hành, đại lý chuyển tiền bán trái phiếu vào tài khoản chỉ định của Kho bạc Nhà nước.
3. Đối với trái phiếu phát hành theo phương thức bán lẻ qua hệ thống Kho bạc Nhà nước, tiền mua trái phiếu có thể được thanh toán theo các hình thức sau:
a) Thanh toán bằng tiền mặt ngay khi mua trái phiếu tại địa điểm phát hành trái phiếu do Kho bạc Nhà nước công bố;
b) Thanh toán bằng chuyển khoản vào tài khoản chỉ định của Kho bạc Nhà nước tại nơi phát hành trái phiếu.
Điều 36. Lãi chậm thanh toán tiền mua trái phiếu
1. Kho bạc Nhà nước được thu tiền lãi chậm thanh toán tiền mua trái phiếu trong trường hợp người mua trái phiếu chậm chuyển tiền mua trái phiếu từ một (01) ngày trở lên so với ngày thanh toán tiền mua trái phiếu theo thông báo của Kho bạc Nhà nước. Quy định về lãi chậm thanh toán tiền mua trái phiếu cụ thể như sau:

Trong đó:
P = Số tiền lãi chậm thanh toán
MG = Mệnh giá trái phiếu
N = Số lượng trái phiếu đã phát hành nhưng chậm thanh toán
Lo = Lãi suất qua đêm do Ngân hàng Nhà nước thông báo tại ngày đầu tiên chậm thanh toán (%/năm)
k = Số lần thanh toán lãi trong 1 năm đối với trái phiếu thanh toán lãi định kỳ; hoặc bằng 1 đối với trái phiếu không thanh toán lãi định kỳ
n = Số ngày thực tế chậm thanh toán tính từ ngày thanh toán
E = Số ngày thực tế của 1 kỳ trả lãi mà việc chậm thanh toán phát sinh đối với trái phiếu thanh toán lãi định kỳ; hoặc bằng số ngày thực tế trong năm phát hành trái phiếu đối với trái phiếu không thanh toán lãi định kỳ.
b) Kho bạc Nhà nước thông báo bằng văn bản cho tổ chức chậm thanh toán tiền mua trái phiếu, trong đó nêu rõ số tiền lãi chậm thanh toán, thời hạn thanh toán và tài khoản nộp tiền lãi chậm thanh toán.
c) Tổ chức chậm thanh toán tiền mua trái phiếu phải nộp tiền lãi chậm thanh toán vào ngân sách nhà nước theo thông báo của Kho bạc Nhà nước. Tiền lãi chậm thanh toán tiền mua trái phiếu được ghi thu vào ngân sách nhà nước theo quy định của Luật Ngân sách Nhà nước và các văn bản hướng dẫn.
2. Đối với trái phiếu phát hành theo phương thức đấu thầu hoặc bảo lãnh, sau năm (05) ngày làm việc kể từ ngày thanh toán tiền mua trái phiếu, nếu thành viên trúng thầu/tổ chức bảo lãnh chính không thanh toán tiền mua trái phiếu, Kho bạc Nhà nước hủy kết quả phát hành đối với số lượng trái phiếu không thanh toán và có văn bản thông báo cho thành viên trúng thầu/tổ chức bảo lãnh chính, Sở Giao dịch chứng khoán và Trung tâm Lưu ký chứng khoán Việt Nam.
Chương V
ĐĂNG KÝ, LƯU KÝ VÀ NIÊM YẾT TRÁI PHIẾU
Điều 37. Đăng ký và lưu ký trái phiếu
1. Trái phiếu phát hành theo phương thức đấu thầu, bảo lãnh phát hành được đăng ký, lưu ký tập trung tại Trung tâm Lưu ký chứng khoán Việt Nam.
2. Trái phiếu phát hành theo phương thức đại lý hoặc bán lẻ được đăng ký, lưu ký tại Trung tâm Lưu ký chứng khoán Việt Nam theo đề nghị của Kho bạc Nhà nước đối với từng đợt phát hành.
3. Căn cứ vào văn bản thông báo kết quả phát hành trái phiếu của Kho bạc Nhà nước và Sở Giao dịch chứng khoán, Trung tâm lưu ký Chứng khoán Việt Nam thực hiện đăng ký trái phiếu đã được phát hành. Thời gian đăng ký trái phiếu chậm nhất là vào ngày làm việc liền kề sau ngày thanh toán tiền mua trái phiếu.
4. Trung tâm Lưu ký chứng khoán Việt Nam gửi văn bản thông báo đăng ký trái phiếu đến Sở Giao dịch chứng khoán để thực hiện niêm yết trái phiếu.
5. Trung tâm Lưu ký chứng khoán Việt Nam thực hiện lưu ký trái phiếu vào tài khoản của chủ sở hữu sau khi nhận được văn bản xác nhận hoàn tất thanh toán tiền mua trái phiếu của Kho bạc Nhà nước.
6. Việc hủy đăng ký các trái phiếu không thực hiện thanh toán tiền mua trái phiếu được Trung tâm Lưu ký chứng khoán Việt Nam thực hiện căn cứ vào văn bản thông báo hủy kết quả phát hành trái phiếu của Kho Bạc Nhà nước.
Điều 38. Niêm yết và giao dịch trái phiếu
1. Trái phiếu phát hành theo phương thức đấu thầu, bảo lãnh phát hành được niêm yết và giao dịch tập trung tại Sở Giao dịch chứng khoán.
2. Trái phiếu phát hành theo phương thức đại lý hoặc bán lẻ được niêm yết và giao dịch tại Sở Giao dịch chứng khoán theo đề nghị của Kho bạc Nhà nước đối với từng đợt phát hành.
3. Sở Giao dịch Chứng khoán thực hiện niêm yết trái phiếu căn cứ vào văn bản thông báo đăng ký trái phiếu của Trung tâm Lưu ký Chứng khoán Việt Nam. Trái phiếu được niêm yết chậm nhất vào ngày làm việc liền kề tiếp theo ngày thanh toán tiền mua trái phiếu.
4. Trái phiếu sau khi được niêm yết sẽ được giao dịch chậm nhất vào ngày làm việc thứ hai (02) sau ngày thanh toán tiền mua trái phiếu.
5. Việc hủy niêm yết các trái phiếu không thực hiện thanh toán tiền mua trái phiếu được Sở Giao dịch Chứng khoán thực hiện căn cứ vào văn bản thông báo hủy kết quả phát hành trái phiếu của Kho Bạc Nhà nước và văn bản thông báo hủy đăng ký các trái phiếu không thực hiện thanh toán tiền mua trái phiếu của Trung tâm Lưu ký chứng khoán Việt Nam.
Chương VI
THANH TOÁN LÃI, GỐC TRÁI PHIẾU VÀ PHÍ PHÁT HÀNH , THANH TOÁN TRÁI PHIẾU
Điều 39. Thanh toán lãi, gốc trái phiếu
1. Ngân sách Trung ương đảm bảo nguồn thanh toán gốc, lãi trái phiếu khi đến hạn. Trường hợp ngày thanh toán lãi, gốc trái phiếu là ngày nghỉ, ngày lễ theo quy định, lãi, gốc trái phiếu sẽ được thanh toán vào ngày làm việc liền kề tiếp theo.
2. Quy trình thanh toán lãi, gốc trái phiếu đối với trái phiếu phát hành theo phương thức đấu thầu phát hành và bảo lãnh phát hành:
a) Chậm nhất vào ngày 25 hàng tháng, Trung tâm Lưu ký chứng khoán Việt Nam thông báo cho Kho bạc Nhà nước số tiền lãi, gốc trái phiếu cần thanh toán trong tháng tiếp theo và ngày thanh toán;
b) Chậm nhất vào 11 giờ 30 phút ngày thanh toán lãi gốc trái phiếu, Kho bạc Nhà nước đảm bảo toàn bộ tiền thanh toán lãi, gốc trái phiếu trong ngày thanh toán được chuyển và ghi có vào tài khoản do Trung tâm Lưu ký chứng khoán Việt Nam thông báo;
c) Trong ngày thanh toán lãi, gốc trái phiếu, Trung tâm Lưu ký chứng khoán Việt Nam, thông qua thành viên lưu ký, thực hiện chuyển tiền thanh toán lãi, gốc trái phiếu cho chủ sở hữu trái phiếu xác định tại ngày đăng ký cuối cùng;
d) Trường hợp Kho bạc Nhà nước chuyển tiền thanh toán lãi, gốc trái phiếu vào tài khoản thông báo của Trung tâm Lưu ký chứng khoán Việt Nam chậm so với quy định tại điểm b Khoản 2 Điều này, Kho bạc Nhà nước sẽ phải trả tiền lãi chậm thanh toán theo thông báo của Trung tâm Lưu ký chứng khoán Việt Nam. Số tiền lãi chậm thanh toán sẽ được Trung tâm Lưu ký chứng khoán Việt Nam phân bổ để chuyển vào tài khoản của người sở hữu trái phiếu theo tỷ lệ trái phiếu sở hữu. Số tiền lãi chậm thanh toán xác định theo nguyên tắc quy định tại Điều 36 Thông tư này;
đ) Trường hợp Kho bạc Nhà nước đã thực hiện chuyển tiền thanh toán lãi, gốc trái phiếu vào tài khoản thông báo của Trung tâm Lưu ký chứng khoán Việt Nam đúng thời gian quy định tại điểm b Khoản 2 Điều này nhưng Trung tâm Lưu ký chứng khoán Việt Nam chuyển tiền thanh toán lãi, gốc trái phiếu vào tài khoản của người sở hữu trái phiếu sau ngày thanh toán lãi, gốc trái phiếu, Trung tâm Lưu ký chứng khoán Việt Nam sẽ phải trả tiền lãi chậm thanh toán cho người chủ sở hữu trái phiếu. Số tiền lãi chậm thanh toán được xác định theo nguyên tắc quy định tại Điều 36 Thông tư này;
3. Quy trình thanh toán lãi, gốc trái phiếu phát hành theo phương thức đại lý phát hành:
a) Đối với trái phiếu được đăng ký, lưu ký tại Trung tâm Lưu ký chứng khoán Việt Nam, quy trình thanh toán lãi, gốc trái phiếu được thực hiện theo quy định tại Khoản 2 Điều này;
b) Đối với trái phiếu không được đăng ký, lưu ký tại Trung tâm Lưu ký chứng khoán Việt Nam, việc thanh toán lãi, gốc trái phiếu được thực hiện theo hợp đồng đại lý giữa Kho bạc Nhà nước và tổ chức đại lý.
4. Quy trình thanh toán lãi, gốc trái phiếu phát hành theo phương thức bán lẻ qua hệ thống Kho bạc Nhà nước:
a) Đối với trái phiếu được đăng ký, lưu ký tại Trung tâm Lưu ký chứng khoán Việt Nam, quy trình thanh toán lãi, gốc trái phiếu được thực hiện theo quy định tại Khoản 2 Điều này;
b) Đối với trái phiếu không không được đăng ký, lưu ký tại Trung tâm Lưu ký chứng khoán Việt Nam, việc thanh toán lãi, gốc trái phiếu được thực hiện theo hướng dẫn của Kho bạc Nhà nước.
Điều 40. Phí tổ chức phát hành, thanh toán lãi, gốc trái phiếu
1. Ngân sách trung ương đảm bảo nguồn để thanh toán phí tổ chức phát hành, phí thanh toán lãi, gốc trái phiếu và phí in chứng chỉ trái phiếu (nếu có).
2. Phí tổ chức phát hành, thanh toán lãi, gốc trái phiếu phát hành theo phương thức bảo lãnh phát hành, đấu thầu được thanh toán cho các tổ chức sau:
a) 0,025% giá trị danh nghĩa trái phiếu phát hành theo phương thức đấu thầu được chi trả cho Sở Giao dịch chứng khoán;
b) Tối đa 0,1% giá trị danh nghĩa trái phiếu phát hành theo phương thức bảo lãnh được thanh toán cho tổ chức bảo lãnh chính. Căn cứ vào mức phí tối đa này, tình hình thị trường, mức độ phức tạp của đợt bảo lãnh phát hành (khối lượng, kỳ hạn trái phiếu phát hành), Kho bạc Nhà nước thỏa thuận và thống nhất với tổ chức bảo lãnh chính mức phí bảo lãnh phát hành thanh toán cho tổ chức bảo lãnh chính;
c) 0,02% giá trị lãi, gốc trái phiếu thực hiện thanh toán qua Trung tâm Lưu ký chứng khoán Việt Nam được chi trả cho Trung tâm Lưu ký chứng khoán Việt Nam;
d) 0,004% giá trị danh nghĩa trái phiếu phát hành được chi trả cho Kho bạc Nhà nước.
3. Phí tổ chức phát hành, thanh toán lãi, gốc trái phiếu đối với trái phiếu phát hành theo phương thức bán lẻ được thanh toán cho các tổ chức sau:
a) 0,1% trên tổng giá trị danh nghĩa trái phiếu phát hành, không bao gồm chi phí in chứng chỉ (nếu có) được chi trả cho Kho bạc Nhà nước đối với trường hợp trái phiếu phát hành qua hệ thống Kho bạc Nhà nước tại các địa phương; 0% trên tổng giá trị danh nghĩa trái phiếu phát hành đối với trường hợp Kho bạc Nhà nước ở trung ương phát hành trực tiếp cho các tổ chức, cá nhân theo các quyết định của Bộ trưởng Bộ Tài chính.
b) 0,02% giá trị lãi, gốc trái phiếu được chi trả cho Trung tâm Lưu ký chứng khoán Việt Nam đối với trường hợp trái phiếu được thanh toán qua Trung tâm Lưu ký chứng khoán Việt Nam.
4. Phí tổ chức phát hành, thanh toán lãi, gốc trái phiếu đối với trái phiếu phát hành theo phương thức đại lý được thanh toán cho các tổ chức sau:
a) Tối đa 0,1% giá trị danh nghĩa trái phiếu phát hành theo phương thức đại lý được chi trả cho đại lý phát hành. Căn cứ vào mức phí tối đa này, tình hình thị trường, mức độ phức tạp của đợt phát hành (khối lượng, kỳ hạn trái phiếu phát hành), nội dung công việc (tổ chức phát hành, thanh toán lãi, gốc trái phiếu), Kho bạc Nhà nước thỏa thuận và thống nhất với đại lý phát hành mức phí tổ chức phát hành, thanh toán lãi, gốc trái phiếu. Mức phí này không bao gồm chi phí in chứng chỉ (nếu có).
b) 0,02% giá trị lãi, gốc trái phiếu được chi trả cho Trung tâm Lưu ký chứng khoán Việt Nam đối với trường hợp trái phiếu được thanh toán qua Trung tâm Lưu ký chứng khoán Việt Nam.
5. Sử dụng nguồn phí phát hành, thanh toán gốc lãi trái phiếu
a) Kho bạc Nhà nước được sử dụng phí phát hành trái phiếu vào các mục đích sau:
- Chi phí phục vụ cho công tác phát hành, thanh toán trái phiếu qua hệ thống Kho bạc Nhà nước (đối với trường hợp phát hành theo phương thức bán lẻ);
- Chi mua sắm, xây dựng công nghệ phần mềm, thiết bị phục vụ cho công tác phát hành, thanh toán trái phiếu;
- Chi bảo dưỡng nâng cấp định kỳ, sửa chữa đột xuất máy móc, thiết bị và phần mềm;
- Chi thông tin quảng cáo, tuyên truyền về công tác phát hành, thanh toán trái phiếu;
- Chi phí trực tiếp cho từng phiên đấu thầu, bảo lãnh phát hành trái phiếu;
- Chi nghiên cứu phát triển thị trường trái phiếu;
- Chi phí tổ chức các lớp đào tạo, hội nghị, hội thảo, khảo sát, học tập kinh nghiệm phát triển thị trường trái phiếu Chính phủ;
- Chi hội nghị hàng năm tổng kết công tác phát hành trái phiếu;
- Chi khen thưởng đột xuất và định kỳ cho các tổ chức, cá nhân liên quan đến công tác phát hành trái phiếu theo quy chế do Kho bạc Nhà nước ban hành;
- Chi văn phòng phẩm;
- Các khoản chi khác phục vụ cho công tác phát hành, thanh toán trái phiếu.
b) Phí đấu thầu trái phiếu là doanh thu của Sở Giao dịch chứng khoán và phí thanh toán lãi gốc trái phiếu là doanh thu của Trung tâm Lưu ký chứng khoán Việt Nam. Sở Giao dịch chứng khoán và Trung tâm Lưu ký chứng khoán Việt Nam có trách nhiệm quản lý, sử dụng các khoản phí này theo đúng cơ chế tài chính của doanh nghiệp theo quy định của pháp luật có liên quan.
Chương VII
HẠCH TOÁN KẾ TOÁN, BÁO CÁO VÀ CÔNG BỐ THÔNG TIN
Điều 41. Hạch toán kế toán
Kho bạc Nhà nước, Sở Giao dịch chứng khoán, Trung tâm Lưu ký chứng khoán Việt Nam và các tổ chức có liên quan chịu trách nhiệm tổ chức công tác hạch toán nguồn thu từ phát hành trái phiếu, thanh toán lãi, gốc trái phiếu và các khoản phí phát hành , thanh toán trái phiếu quy định tại Thông tư này theo quy định của Luật Ngân sách Nhà nước, Luật Kế toán và các văn bản hướng dẫn có liên quan.
Điều 42. Báo cáo kết quả phát hành
1. Đối với trái phiếu phát hành theo phương thức bảo lãnh phát hành, chậm nhất sau 5 ngày làm việc kể từ ngày kết thúc đợt phát hành trái phiếu, Kho bạc Nhà nước báo cáo Bộ Tài chính về kết quả phát hành, bao gồm:
a) Khối lượng và điều kiện, điều khoản của trái phiếu thông báo phát hành;
b) Tình hình tham gia bảo lãnh của các thành viên: số lượng thành viên tham gia, khối lượng, lãi suất đăng ký của từng thành viên;
c) Kết quả phát hành: thành viên bảo lãnh, khối lượng phát hành, lãi suất phát hành, giá bán trái phiếu.
2. Đối với trái phiếu phát hành theo phương thức đại lý và bán lẻ, chậm nhất sau 30 ngày làm việc kể từ khi kết thúc đợt phát hành, Kho bạc Nhà nước báo cáo Bộ Tài chính kết quả của đợt phát hành trái phiếu. Nội dung báo cáo bao gồm:
a) Khối lượng và điều kiện, điều khoản của trái phiếu thông báo phát hành;
b) Kết quả của đợt phát hành: đại lý được lựa chọn, khối lượng, lãi suất phát hành trái phiếu và tình hình thanh toán phí đại lý, phí phát hành .
3. Hình thức báo cáo là thư điện tử hoặc văn bản theo yêu cầu của Bộ Tài chính tại từng thời kỳ.
Điều 43. Báo cáo tình hình phát hành và thanh toán lãi gốc trái phiếu
1. Chậm nhất vào ngày 10 hàng tháng, Kho bạc Nhà nước báo cáo Bộ Tài chính tình hình phát hành, thanh toán trái phiếu của tháng trước bao gồm:
a) Tổng khối lượng trái phiếu phát hành trong tháng phân theo kỳ hạn và phương thức phát hành;
b) Tổng khối lượng gốc, lãi trái phiếu thanh toán trong tháng báo cáo;
c) Tổng khối lượng gốc, lãi trái phiếu dự kiến thanh toán trong tháng tiếp theo.
2. Định kỳ hàng quý, Trung tâm Lưu ký chứng khoán Việt Nam báo cáo Bộ Tài chính, đồng thời gửi Kho bạc Nhà nước về tình hình sở hữu trái phiếu của nhà đầu tư trong nước và nước ngoài và tình hình nắm giữ trái phiếu trên tài khoản lưu ký của Sở Giao dịch Ngân hàng Nhà nước theo mẫu biểu quy định tại Phụ lục 9 Thông tư này.
3. Hình thức báo cáo là thư điện tử hoặc văn bản theo yêu cầu của Bộ Tài chính tại từng thời kỳ.
Điều 44. Báo cáo của thành viên đấu thầu
1. Báo cáo quý:
a) Nội dung báo cáo: Tình hình tham gia trên thị trường trái phiếu của thành viên đấu thầu trong quý liền kề trước, dự báo nhu cầu đầu tư trái phiếu và kỳ vọng mặt bằng lãi suất trong 3 tháng tiếp theo. Mẫu báo cáo tại Phụ lục 10 Thông tư này;
b) Thời gian nộp báo cáo: Chậm nhất mười (10) ngày sau khi kết thúc quý;
c) Hình thức báo cáo: Thư điện tử;
d) Nơi nhận báo cáo: Địa chỉ thư điện tử theo hướng dẫn của Bộ Tài chính.
2. Báo cáo năm:
a) Nội dung báo cáo: Thực hiện theo mẫu báo cáo quy định tại Phụ lục 11 Thông tư này, gồm các nội dung cơ bản sau:
- Việc đáp ứng các điều kiện để duy trì tư cách thành viên đấu thầu quy định tại Khoản 1 Điều 14 Thông tư này;
- Các nội dung đánh giá xếp hạng thành viên đấu thầu quy định tại Khoản 1 Điều 15 Thông tư này;
- Tình hình tham gia trên thị trường trái phiếu của thành viên đấu thầu;
- Dự báo nhu cầu đầu tư trái phiếu và kỳ vọng mặt bằng lãi suất trong năm tiếp theo;
b) Kỳ báo cáo: từ ngày 01 tháng 11 năm liền kề trước đến ngày 31 tháng 10 năm hiện hành;
c) Thời gian nộp báo cáo: Từ này 01 tháng 11 đến ngày 10 tháng 11 hàng năm;
d) Hình thức báo cáo: Văn bản;
đ) Nơi nhận báo cáo: Vụ Tài chính các ngân hàng và tổ chức tài chính, Bộ Tài chính, 28 Trần Hưng Đạo, Quận Hoàn Kiếm, Hà Nội.
Điều 45. Công bố thông tin
1. Sở Giao dịch chứng khoán công bố thông tin về kết quả đấu thầu trái phiếu trên trang tin điện tử ngay trong ngày tổ chức phát hành, nội dung công bố thông tin bao gồm:
a) Mã trái phiếu;
b) Kỳ hạn;
c) Ngày phát hành, ngày đáo hạn, ngày thanh toán gốc, lãi;
d) Khối lượng gọi thầu, khối lượng dự thầu, khối lượng trúng thầu, số tiền thanh toán trái phiếu trúng thầu;
đ) Lãi suất dự thầu thấp nhất, lãi suất dự thầu cao nhất, lãi suất phát hành, lãi suất danh nghĩa;
e) Số thành viên tham gia đấu thầu, tổng số phiếu đăng ký đấu thầu.
2. Sở Giao dịch chứng khoán công bố thông tin về kết quả phát hành thêm trái phiếu ngay sau phiên đấu thầu trên trang tin điện tử ngay trong ngày tổ chức phát hành, nội dung công bố thông tin bao gồm:
a) Mã trái phiếu;
b) Kỳ hạn;
c) Ngày phát hành, ngày đáo hạn, ngày thanh toán gốc, lãi;
d) Khối lượng đăng ký mua thêm, khối lượng phát hành thêm, số tiền thanh toán trái phiếu mua thêm;
đ) Lãi suất phát hành, lãi suất danh nghĩa;
e) Số thành viên tham gia đăng ký mua thêm.
3. Đối với các trái phiếu được đăng ký tại Trung tâm Lưu ký chứng khoán Việt Nam, chậm nhất vào ngày 31 tháng 12 hàng năm, Trung tâm Lưu ký chứng khoán Việt Nam phối hợp với Sở Giao dịch chứng khoán công bố thông tin về ngày thanh toán gốc, lãi trái phiếu trong năm tiếp theo trên trang tin điện tử của Sở Giao dịch chứng khoán và Trung tâm Lưu ký chứng khoán Việt Nam. Thông tin công bố bao gồm:
a) Mã trái phiếu thanh toán gốc, lãi trong năm;
b) Ngày thanh toán gốc, lãi trái phiếu của từng mã trái phiếu;
c) Ngày đăng ký cuối cùng trong năm của từng mã trái phiếu.
4. Đối với các trái phiếu phát hành theo phương thức đại lý hoặc bán lẻ và không được đăng ký tại Trung tâm Lưu ký chứng khoán Việt Nam, chậm nhất vào ngày 31 tháng 12 hàng năm, Kho bạc Nhà nước công bố thông tin về thanh toán gốc, lãi trái phiếu trong năm tiếp theo trên trang tin điện tử của Kho bạc Nhà nước.
Chương VIII
TRÁCH NHIỆM CỦA CÁC TỔ CHỨC CÓ LIÊN QUAN
Điều 46. Trách nhiệm của Bộ Tài chính
1. Quy định khung lãi suất phát hành trái phiếu trong từng thời kỳ hoặc từng đợt phát hành.
2. Hướng dẫn và công bố công khai quyền lợi và nghĩa vụ cụ thể của thành viên đấu thầu; các tiêu chí đánh giá và tỷ trọng của tiêu chí đánh giá xếp hạng thành viên đấu thầu trong từng thời kỳ.
3. Lựa chọn và công bố danh sách thành viên đấu thầu trong từng thời kỳ phù hợp với sự phát triển của thị trường trái phiếu.
4. Đánh giá và công bố kết quả xếp hạng thành viên đấu thầu.
Điều 47. Trách nhiệm của Kho bạc Nhà nước
1. Xây dựng và thông báo kế hoạch dự kiến phát hành trái phiếu cho cả năm và cho từng quý theo quy định của Thông tư này.
2. Tổ chức phát hành, thanh toán lãi, gốc trái phiếu, thanh toán phí phát hành , phí đại lý thanh toán lãi, gốc trái phiếu theo quy định tại Thông tư này.
3. Xây dựng quy chế hướng dẫn phát hành trái phiếu, thanh toán trái phiếu theo phương thức bán lẻ qua hệ thống Kho bạc Nhà nước, báo cáo Bộ Tài chính phê duyệt trước khi ban hành.
4. Ký hợp đồng nguyên tắc, hợp đồng bảo lãnh phát hành trái phiếu, hợp đồng đại lý phát hành trái phiếu và đảm bảo tổ chức bảo lãnh chính, đại lý phát hành trái phiếu thực hiện theo đúng các quy định tại hợp đồng và quy định tại Thông tư này.
5. Thực hiện đầy đủ chế độ báo cáo và hạch toán kế toán liên quan đến việc phát hành trái phiếu theo quy định tại Thông tư này.
6. Phối hợp với Trung tâm Lưu ký chứng khoán Việt Nam, Sở Giao dịch chứng khoán công bố thông tin theo quy định tại Thông tư này.
Điều 48. Trách nhiệm của Sở Giao dịch chứng khoán
1. Xây dựng quy chế đấu thầu phát hành trái phiếu, quy chế công bố giá chào mua/chào bán trái phiếu áp dụng đối với thành viên đấu thầu.
2. Tổ chức đấu thầu phát hành trái phiếu theo quy định tại Thông tư này.
3. Cung cấp các số liệu, tài liệu cần thiết liên quan đến hoạt động đấu thầu phát hành trái phiếu theo quy định tại Thông tư này và/hoặc theo yêu cầu của Bộ Tài chính.
4. Lưu giữ, bảo quản các thông tin liên quan đến các đợt đấu thầu phát hành trái phiếu theo chế độ quy định.
5. Phối hợp với Kho bạc Nhà nước, Trung tâm Lưu ký chứng khoán Việt Nam công bố thông tin theo quy định tại Thông tư này.
6. Thực hiện niêm yết hoặc hủy niêm yết trái phiếu theo các quy định tại Thông tư này.
Điều 49. Trách nhiệm của Trung tâm Lưu ký chứng khoán Việt Nam
1. Thực hiện đăng ký, lưu ký hoặc hủy đăng ký, lưu ký trái phiếu theo các quy định tại Thông tư này.
2. Đảm bảo thực hiện thanh toán lãi, gốc trái phiếu theo thời gian quy định tại Thông tư này.
3. Cung cấp cho Kho bạc Nhà nước các mã dự kiến sẽ cấp cho trái phiếu phát hành lần đầu để thông báo cho thành viên đấu thầu và thông báo trên trang tin điện tử của Sở Giao dịch chứng khoán theo quy định tại Thông tư này.
4. Cung cấp các số liệu, tài liệu cần thiết liên quan đến lĩnh vực quản lý theo quy định tại Thông tư này và theo yêu cầu của Bộ Tài chính (nếu có).
Chương IX
ĐIỀU KHOẢN THI HÀNH
Điều 50. Điều khoản chuyển tiếp
Đối với các đợt trái phiếu phát hành theo phương thức bán lẻ trong năm 2015 trước khi Thông tư này có hiệu lực thi hành, việc đăng ký, lưu ký tại Trung tâm Lưu ký chứng khoán và niêm yết tại Sở Giao dịch chứng khoán thực hiện theo đề nghị của Kho bạc Nhà nước đối với từng đợt phát hành.
Điều 51. Điều khoản thi hành
1. Thông tư này có hiệu lực thi hành kể từ ngày 15 tháng 09 năm 2015.
2. Thông tư này thay thế các văn bản hướng dẫn sau đây:
a) Thông tư số 17/2012/TT-BTC ngày 08 tháng 02 năm 2012 của Bộ Tài chính hướng dẫn phát hành trái phiếu Chính phủ tại thị trường trong nước;
b) Thông tư số 203/2013/TT-BTC ngày 24 tháng 12 năm 2013 của Bộ Tài chính sửa đổi, bổ sung một số điều Thông tư số 17/2012/TT-BTC ngày 8 tháng 2 năm 2012 hướng dẫn phát hành trái phiếu Chính phủ tại thị trường trong nước.
Điều 52. Tổ chức thực hiện
1. Chánh Văn phòng Bộ Tài chính, Vụ trưởng Vụ Tài chính các ngân hàng và tổ chức tài chính, Tổng Giám đốc Kho bạc Nhà nước, Tổng giám đốc Sở Giao dịch chứng khoán, Tổng giám đốc Trung tâm Lưu ký chứng khoán Việt Nam và Thủ trưởng các đơn vị có liên quan chịu trách nhiệm thi hành đúng theo hướng dẫn tại Thông tư này.
2. Trong quá trình triển khai thực hiện, nếu có khó khăn, vướng mắc, Kho bạc Nhà nước và các đơn vị có liên quan báo cáo kịp thời về Bộ Tài chính để xem xét và có hướng dẫn cụ thể./.
|
Nơi nhận: - Văn phòng Trung ương & các Ban của Đảng; - Văn phòng Tổng bí thư; - Văn phòng Quốc hội; - Viện Kiểm sát nhân dân tối cao; - Kiểm toán Nhà nước; - Cục Kiểm tra văn bản (Bộ Tư pháp); - Các đơn vị thuộc và trực thuộc Bộ Tài chính; |
KT. BỘ TRƯỞNG
|
Bạn chưa Đăng nhập thành viên.
Đây là tiện ích dành cho tài khoản thành viên. Vui lòng Đăng nhập để xem chi tiết. Nếu chưa có tài khoản, vui lòng Đăng ký tại đây!
Bạn chưa Đăng nhập thành viên.
Đây là tiện ích dành cho tài khoản thành viên. Vui lòng Đăng nhập để xem chi tiết. Nếu chưa có tài khoản, vui lòng Đăng ký tại đây!