• Tổng quan
  • Nội dung
  • Tiêu chuẩn liên quan
  • Lược đồ
  • Tải về
Lưu
Đây là tiện ích dành cho tài khoản Tiêu chuẩn hoặc Nâng cao . Vui lòng Đăng nhập tài khoản để xem chi tiết.
Theo dõi VB
Đây là tiện ích dành cho tài khoản Tiêu chuẩn hoặc Nâng cao . Vui lòng Đăng nhập tài khoản để xem chi tiết.
Ghi chú
Báo lỗi
In

Tiêu chuẩn TCVN 14160-3:2024 Giống cây nông nghiệp - Phần 3: Giống cà phê

Ngày cập nhật: Thứ Ba, 25/03/2025 10:39 (GMT+7)
Số hiệu: TCVN 14160-3:2024 Loại văn bản: Tiêu chuẩn Việt Nam
Cơ quan ban hành: Bộ Khoa học và Công nghệ Lĩnh vực: Nông nghiệp-Lâm nghiệp
Trích yếu: Giống cây nông nghiệp - Cây đầu dòng, vườn cây đầu dòng - Phần 3: Giống cà phê
Ngày ban hành:
Ngày ban hành là ngày, tháng, năm văn bản được thông qua hoặc ký ban hành.
18/07/2024
Hiệu lực:
Đã biết
Tiện ích dành cho tài khoản Tiêu chuẩn hoặc Nâng cao. Vui lòng Đăng nhập tài khoản để xem chi tiết.
Người ký: Đang cập nhật
Tình trạng hiệu lực:
Cho biết trạng thái hiệu lực của văn bản đang tra cứu: Chưa áp dụng, Còn hiệu lực, Hết hiệu lực, Hết hiệu lực 1 phần; Đã sửa đổi, Đính chính hay Không còn phù hợp,...
Đã biết
Tiện ích dành cho tài khoản Tiêu chuẩn hoặc Nâng cao. Vui lòng Đăng nhập tài khoản để xem chi tiết.

TÓM TẮT TIÊU CHUẨN VIỆT NAM TCVN 14160-3:2024

Tiêu chuẩn quốc gia TCVN 14160-3:2024: Yêu cầu kỹ thuật đối với giống cà phê

Tiêu chuẩn quốc gia TCVN 14160-3:2024 về giống cây nông nghiệp, phần giống cà phê, được Bộ Nông nghiệp và Phát triển Nông thôn ban hành và có hiệu lực từ ngày công bố. Tiêu chuẩn này hướng đến việc quy định các yêu cầu kỹ thuật cần thiết đối với cá cây đầu dòng và vườn cây đầu dòng của giống cà phê, bao gồm cả cà phê vối (Coffea canephora) và cà phê chè (Coffea arabica).

Đối tượng áp dụng:

  • Quy định tại tiêu chuẩn này áp dụng cho các cây đầu dòng và vườn cây đầu dòng giống cà phê, giúp đảm bảo chất lượng và năng suất trong sản xuất nông nghiệp.

Các yêu cầu kỹ thuật đối với cây đầu dòng:

  • Tuổi cây: Cây đầu dòng phải đạt trên 7 năm và đã thu hoạch ít nhất bốn vụ.
  • Khả năng sinh trưởng: Cây phải phát triển khỏe mạnh, không bị sâu bệnh, và có tán cân đối.
  • Năng suất: Cần phải đạt năng suất cao hơn ít nhất 10% so với mức trung bình địa phương và phải ổn định liên tục qua hai vụ thu hoạch.
  • Kháng bệnh: Cây cần có khả năng kháng cao bệnh rỉ sắt, đạt ít nhất tỷ lệ ≤ 5%.

Yêu cầu đối với chất lượng hạt cà phê:

  • Tỷ lệ nhân và khối lượng: Cà phê vối yêu cầu tối thiểu là 22% tỷ lệ nhân trên quả chín, trong khi cà phê chè yêu cầu là 16% và khối lượng 100 nhân ngẫu nhiên phải đạt một mức tối thiểu quy định.

Yêu cầu đối với vườn cây đầu dòng:

  • Cấu trúc và hồ sơ: Vườn cây cần được thiết lập từ cây đầu dòng, và phải có hồ sơ được lập và lưu giữ để kiểm tra.
  • Tuổi cây và sản lượng: Vườn cây đầu dòng phải đảm bảo cây từ 2 năm tuổi trở lên, có năng suất quy định về khai thác chồi giống hoặc hạt giống cà phê.

Quy trình trồng và chăm sóc:

  • Cần tuân thủ quy trình kỹ thuật do các tổ chức và cá nhân chịu trách nhiệm về giống cây trồng quy định.

Tiêu chuẩn này cũng quy định các phương pháp kiểm tra và đánh giá, bao gồm kiểm tra về tuổi cây, năng suất và khả năng kháng bệnh để đảm bảo chất lượng giống cà phê được lưu hành trên thị trường. Tiêu chuẩn TCVN 14160-3:2024 là cơ sở quan trọng trong việc nâng cao chất lượng và hiệu quả sản xuất cà phê tại Việt Nam.

Tải tiêu chuẩn Việt Nam TCVN 14160-3:2024

Tải văn bản tiếng Việt (.pdf) Tiêu chuẩn Việt Nam TCVN 14160-3:2024 PDF (Bản có dấu đỏ)

Đây là tiện ích dành cho tài khoản thành viên. Vui lòng Đăng nhập để xem chi tiết. Nếu chưa có tài khoản, Đăng ký tại đây!

Tải văn bản tiếng Việt (.doc) Tiêu chuẩn Việt Nam TCVN 14160-3:2024 DOC (Bản Word)

Đây là tiện ích dành cho tài khoản thành viên. Vui lòng Đăng nhập để xem chi tiết. Nếu chưa có tài khoản, Đăng ký tại đây!

Tình trạng hiệu lực: Đã biết
Hiệu lực: Đã biết
Tình trạng hiệu lực: Đã biết

TIÊU CHUẨN QUỐC GIA

TCVN 14160-3:2024

GIỐNG CÂY NÔNG NGHIỆP - CÂY ĐẦU DÒNG, VƯỜN CÂY ĐẦU DÒNG - PHẦN 3: GIỐNG CÀ PHÊ

Agricultural crop varieties - Elite trees, elite orchards - Part 3: Coffee varieties

Lời nói đầu

TCVN 14160-3:2024 do Viện Khoa học Kỹ thuật nông lâm nghiệp Tây Nguyên biên soạn, Bộ Nông nghiệp và Phát triển Nông thôn đề nghị, Tổng cục Tiêu chuẩn Đo lường Chất lượng thẩm định, Bộ Khoa học và Công nghệ công bố.

Bộ tiêu chuẩn TCVN 14160 Giống cây nông nghiệp - Cây đầu dòng, vườn cây đầu dòng gồm các phần sau đây:

- TCVN 14160-1:2024, Phần 1: Giống cam;

- TCVN 14160-2:2024, Phần 2: Giống bưởi;

- TCVN 14160-3:2024, Phần 3: Giống cà phê.

 

GIỐNG CÂY NÔNG NGHIỆP - CÂY ĐẦU DÒNG, VƯỜN CÂY ĐẦU DÒNG - PHẦN 3: GIỐNG CÀ PHÊ

Agricultural crop varieties - Elite trees, elite orchards - Part 3: Coffee varieties

1  Phạm vi áp dụng

Tiêu chuẩn này quy định các yêu cầu đối với cây đầu dòng, vườn cây đầu dòng của các giống cà phê thuộc loài cà phê vối - robusta (Coffea canephora) và cà phê chè - arabica (Coffea arabica).

2  Tài liệu viện dẫn

Các tài liệu viện dẫn sau rất cần thiết cho việc áp dụng tiêu chuẩn này. Đối với các tài liệu viện dẫn ghi năm công bố thì áp dụng phiên bn được nêu. Đối với các tài liệu viện dẫn không ghi năm công bố thì áp dụng phiên bản mới nhất, bao gồm cả các sửa đổi, bổ sung (nếu có).

TCVN 4193:2014, Cà phê nhân

TCVN 6928:2007 (ISO 6673:2003), Cà phê nhân - Xác định hao hụt khối lượng ở 105 °C

TCVN 13382-6:2022, Giống cây trồng nông nghiệp - Khảo nghiệm tính khác biệt, tính đồng nhất và tính ổn định - Phần 6: Giống cà phê

3  Thuật ngữ và định nghĩa

Trong tiêu chuẩn này sử dụng các thuật ngữ và định nghĩa sau:

3.1

Qun thể cây trồng (Plant population)

Tập hợp các cá thể của cùng một giống được trồng trong một phạm vi hành chính và địa lý.

3.2

Cây đầu dòng (Elite trees)

Cây tốt nhất được bình tuyển và công nhận từ quần thể cây trồng.

3.3

Hạt giống cà phê (Coffee seeds)

Bộ phận được sử dụng cho mục đích nhân giống, gồm nhân cà phê (coffee bean) và lớp v trấu (parchment) bao bọc bên ngoài.

CHÚ THÍCH: Thông thường hạt có dạng bán cầu hơi thuôn, với một mặt lồi và một mặt phẳng; trên mặt phẳng có một rãnh giữa gọi là "khe hạt” (central-cut).

3.4

Vườn cây đầu dòng (Elite orchards)

Vườn cây được nhân từ cây đầu dòng hoặc vườn cây do tổ chức, cá nhân thiết lập phục vụ khảo nghiệm để công nhận lưu hành giống, đã được thẩm định và công nhận.

3.5

Độ chín sinh lý quả (Physiological maturity of fruit)

Độ chín của quả ở giai đoạn vật chất đã tích lũy đy đủ và có thể thu hoạch được.

4  Các yêu cầu kỹ thuật

4.1  Cây đầu dòng

4.1.1  Yêu cầu chung

- Cây đầu dòng phải mang đầy đủ các tính trạng chính đặc trưng của giống cà phê (đúng giống).

- Phải lập và lưu giữ hồ sơ bình tuyển, công nhận cây đầu dòng; nhật ký chăm sóc, bảo vệ và khai thác.

4.1.2  Tuổi cây

Tuổi cây tại thời điểm bình tuyển, công nhận phải đạt tối thiểu 7 năm tuổi và cho ít nhất bốn vụ thu hoạch.

4.1.3  Sinh trưởng của cây

Cây sinh trưởng khỏe, tán cân đối, không có biểu hiện bị sâu bệnh hại.

4.1.4  Khả năng kháng bệnh rsắt (đánh giá trên đồng ruộng)

Cây đạt tối thiểu ở mức kháng cao (tương đương với ch số bệnh ≤ 5 % theo Bảng A.2).

4.1.5  Năng suất

Cây phải có năng suất quả cao hơn tối thiểu 10 % so với năng suất trung bình của quần thể tại nơi bình tuyển; năng suất ổn định liên tục từ hai vụ qu trở lên tính đến thời điểm công nhận; và phải được đánh giá định kỳ hàng năm.

4.1.6  Chỉ tiêu về chất lượng nhân

Yêu cầu chỉ tiêu về chất lượng nhân của cây cà phê đầu dòng được nêu trong Bảng 1.

Bảng 1 - Yêu cầu chỉ tiêu về cht lượng nhân của cây cà phê đầu dòng

Chỉ tiêu

Mức giới hạn

Cà phê vối (robusta)

Cà phê chè (arabica)

1. Tỷ lệ nhân (khô)/quả chín, %, không nhỏ hơn

22

16

2. Khối lượng 100 nhân khô (độ ẩm 12,5 %), g, không nhỏ hơn

17

16

3. Tỷ lệ nhân trên sàng lỗ tròn số 16 (đường kính lỗ sàng 6,3 mm; nhân hạng 1 theo TCVN 4193:2014), %, không nhỏ hơn

75

70

4.2  Vườn cây đầu dòng

4.2.1  Yêu cầu chung

Vườn cà phê đầu dòng phải đạt các yêu cầu tối thiểu như sau:

- Phải được thiết lập từ vật liệu nhân giống khai thác từ cây đầu dòng hoặc vườn do tổ chức, cá nhân thiết lập phục vụ khảo nghiệm để công nhận lưu hành giống, đã được thẩm định và công nhận theo quy định.

- Sinh trưởng khỏe không có biểu hiện bị sâu bệnh hại.

- Phải lập và lưu giữ hồ sơ thiết lập, công nhận vườn cây đầu dòng; nhật ký chăm sóc, bảo vệ và khai thác.

4.2.2  Tuổi cây và sản lượng khai thác

a) Vườn cây đầu dòng sử dụng với mục đích sản xuất chi giống:

- Vườn cây đầu dòng nhân giống từ cây đầu dòng được bình tuyển:

+ Vườn nhân chồi cây đầu dòng và khai thác quả: khai thác chồi giống khi cây đạt từ 02 năm tui trở lên, sản lượng khai thác tối đa 200 chồi/cây/năm đối với mật độ trồng thông thường trên đồng ruộng và phù hợp với từng loại cây (cà phê chè, cà phê vối) theo quy định.

+ Vườn nhân chồi cây đầu dòng: khai thác chồi giống khi cây từ 01 năm tuổi trở lên, sản lượng khai thác tối đa 25 chồi/cây/năm, mật độ trồng quy định theo quy định hiện hành [1].

- Vườn cây đầu dòng do tổ chức, cá nhân thiết lập phục vụ khảo nghiệm để cõng nhận lưu hành giống: khai thác chồi giống khi cây đạt từ 02 năm tuổi trở lên, sản lượng khai thác tương tự như vườn cây đầu dòng nhân giống từ cây đầu dòng được bình tuyển. Nếu vườn cây được trồng từ hai giống trở lên, cn đảm bảo các giống được trồng riêng rẽ, tỷ lệ giống đồng nhất là 100 %. Mật độ trồng theo quy trình sn xuất do tổ chức, cá nhân biên soạn kèm theo hồ sơ đề nghị cấp Quyết định lưu hành giống cây trồng.

b) Vườn cây đầu dòng sử dụng với mục đích sản xuất hạt giống cà phê: Khai thác hạt giống khi cây từ 4 năm tuổi trở lên và đã thu hoạch ít nhất 2 vụ, trong đó:

- Cà phê vối: có năng suất đạt tối thiểu 1,5 tn hạt giống/ha; và đạt yêu cầu theo quy định hiện hành.

- Cà phê chè: có năng suất đạt tối thiu 1,0 tấn hạt giống/ha; và đạt yêu cầu theo quy định hiện hành.

4.2.3  Khả năng kháng bệnh rsắt

Đạt tối thiểu ở mức kháng cao trên đồng ruộng (tương đương với chỉ số bệnh ≤ 5 % theo Bảng A.2).

5  Trồng, chăm sóc cây đầu dòng, vườn cây đầu dòng

Việc trồng, chăm sóc cây đầu dòng, vườn cây đầu dòng cà phê thực hiện theo quy trình của tổ chức, cá nhân đứng tên đăng ký cấp Quyết định lưu hành giống cây trồng.

6  Phương pháp lấy mẫu kiểm tra

Theo quy định hiện hành về phương pháp lấy mẫu vật liệu nhân giống cây trồng.

7  Phương pháp đánh giá

7.1  Kiểm tra các tính trạng đặc trưng của giống

Kiểm tra các tính trạng đặc trưng của giống theo các ch tiêu và mô ttính trạng đặc trưng của giống quy định tại TCVN 13382-6:2022.

7.2  Kiểm tra tuổi cây và vị trí cây trên vườn

Tra cứu hồ sơ bình tuyển cây đầu dòng và hồ sơ thiết lập vườn cây đầu dòng; kiểm tra cây thực tế tại vườn kết hợp phỏng vấn chủ hộ.

7.3  Kiểm tra năng suất cây đầu dòng

Quan trắc năng suất trong hai năm liên tiếp kết hợp với phỏng vấn chủ hộ.

Cân khối lượng quả chín sinh lý của cây trong toàn bộ một năm (kg quả chín/cây/năm), sau đó quy đổi ra năng suất nhân khô (kg nhân/cây/năm) ở độ ẩm 12,5 %.

7.4  Kiểm tra tính kháng bệnh rsắt trên đồng ruộng

Xem Phụ lục A.

 

Phụ lục A

(quy định)

Phương pháp đánh giá khả năng kháng bệnh rỉ sắt trên đồng ruộng

A.1  Phương pháp điều tra

Điều tra tỷ lệ cây bị bệnh (%), tỷ lệ lá bị bệnh (%) và chỉ s bệnh rsắt (%) của cây cà phê trên đồng ruộng vào giai đoạn kinh doanh. Trên mỗi cây chọn ngẫu nhiên 12 cành phân bố ở c 3 tầng của tán cây. Trong đó, mỗi tầng chọn 4 cành phân bố theo 4 hướng: Đông - Tây - Nam - Bắc, trên mỗi cành quan trắc 5 lá nằm cùng một phía, tổng số lá điều tra 60 lá. Trường hợp những lá ở cùng một phía bị rụng thì chọn lá phía đi diện để thay thế. Các cành được cố định trong quá trình điều tra.

A.2 Thời điểm điều tra

Tháng 11 đến tháng 12 hàng năm (thời điểm bệnh nặng nhất).

A.3  Chỉ tiêu điều tra, đánh giá

a) Tỷ lệ cây bị bệnh, TLCB, tính bằng %, theo Công thức (A.1):

(A.1)

Trong đó:

C là số cây bị bệnh;

Mi là tng số cây điều tra.

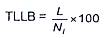
b) Tỷ lệ lá bị bệnh, TLLB, tính bằng %, theo Công thức (A.2):

(A.2)

Trong đó:

L là số lá bị bệnh;

Ni là tổng số lá điều tra.

c) Chỉ số bệnh, CSB, tính bằng %, theo Công thức (A.3):

(A.3)

Trong đó:

0, 0,25, 0,5, 1, 2, 3, 4 là các cấp bệnh;

a, b, c, d, e, f, g là số lá b bệnh tương ứng với mỗi cấp bệnh.

Tất cả các lá sau khi quan trắc đều được phân cấp bệnh theo thang phân cp nêu trong Bng A.1:

Bảng A.1 - Phân cấp mức độ nhiễm bệnh r sắt trên đồng ruộng

Cấp bệnh

Tỷ lệ diện tích bị bệnh (%)

0

Hoàn toàn không có vết bệnh

0,25

Từ 1 đến 7

0,5

Lớn hơn 7 đến 15

1

Lớn hơn 15 đến 25

2

Lớn hơn 25 đến 50

3

Lớn hơn 50 đến 75

4

Lớn hơn 75 đến 100

A.4  Phân loại mức độ kháng bệnh rỉ sắt trên đồng ruộng

Căn cứ vào kết quả tỷ lệ lá bị bệnh (%), chỉ số bệnh (%), mức độ kháng bệnh rỉ sắt trên đồng ruộng của cây cà phê được phân loại theo Bng A.2.

Bảng A.2 - Phân loại mức độ kháng bệnh rỉ sắt trên đồng ruộng

Mức độ kháng bệnh

Tỷ lệ lá bệnh (%)

Ch số bệnh (%)

Rất cao

Đến 5

Đến 1

Cao

Lớn hơn 5 đến 15

Lớn hơn 1 đến 5

Trung bình

Lớn hơn 15 đến 25

Lớn hơn 5 đến 10

Mẫn cảm trung bình

Lớn hơn 25 đến 35

Lớn hơn 10 đến 15

Mn cảm

Lớn hơn 35 đến 45

Lớn hơn 15 đến 20

Rất mẫn cảm

Lớn hơn 45

Lớn hơn 20

 

Thư mục tài liệu tham khảo

[1] Cục Trồng trọt, Bộ Nông nghiệp và Phát triển nông thôn, 2021. Quy trình kỹ thuật trồng và chăm sóc vườn nhân chồi cà phê vối (ban hành kèm theo Quyết định 79/QĐ-TT-CCN ngày 23/4/2021).

[2] Phan Quốc Sủng, 1987. Sổ tay hướng dẫn kỹ thuật trồng, chăm sóc và chế biến cà phê. Ủy ban khoa học và kỹ thuật tỉnh Đắk Lắk.

 

MỤC LỤC

Lời nói đầu

1  Phạm vi áp dụng

2  Tài liệu viện dẫn

3  Thuật ngữ và định nghĩa

4  Các yêu cầu kỹ thuật

4.1  Cây đầu dòng

4.1.1  Yêu cầu chung

4.1.2  Tuổi cây

4.1.3  Sinh trưởng của cây

4.1.4  Khả năng kháng bệnh rỉ sắt (đánh giá trên đồng ruộng)

4.1.5  Năng suất

4.1.6  Ch tiêu về chất lượng nhân

4.2  Vườn cây đầu dòng

4.2.1  Yêu cầu chung

4.2.2  Tuổi cây và sản lượng khai thác

4.2.3  Kh năng kháng bệnh rỉ sắt

5  Trồng, chăm sóc cây đầu dòng, vườn cây đầu dòng

6  Phương pháp lấy mẫu kiểm tra

7  Phương pháp đánh giá

7.1  Kiểm tra các tính trạng đặc trưng của giống

7.2  Kiểm tra tuổi cây và vị trí cây trên vườn

7.3  Kiểm tra năng suất cây đầu dòng

7.4  Kiểm tra tính kháng bệnh rỉ sắt trên đồng ruộng

Phụ lục A (quy định) Phương pháp đánh giá khả năng kháng bệnh rsắt trên đồng ruộng

Thư mục tài liệu tham khảo

Bạn chưa Đăng nhập thành viên.

Đây là tiện ích dành cho tài khoản thành viên. Vui lòng Đăng nhập để xem chi tiết. Nếu chưa có tài khoản, vui lòng Đăng ký tại đây!

* Lưu ý: Để đọc được văn bản tải trên Luatvietnam.vn, bạn cần cài phần mềm đọc file DOC, DOCX và phần mềm đọc file PDF.

Văn bản liên quan Tiêu chuẩn Việt Nam TCVN 14160-3:2024

văn bản cùng lĩnh vực

văn bản mới nhất

CHÍNH SÁCH BẢO VỆ DỮ LIỆU CÁ NHÂN
Yêu cầu hỗ trợYêu cầu hỗ trợ
Chú thích màu chỉ dẫn
Chú thích màu chỉ dẫn:
Các nội dung của VB này được VB khác thay đổi, hướng dẫn sẽ được làm nổi bật bằng các màu sắc:
Sửa đổi, bổ sung, đính chính
Thay thế
Hướng dẫn
Bãi bỏ
Bãi bỏ cụm từ
Bình luận
Click vào nội dung được bôi màu để xem chi tiết.
×