- Tổng quan
- Nội dung
- Tiêu chuẩn liên quan
- Lược đồ
- Tải về
Tiêu chuẩn quốc gia TCVN 13998:2024 Công trình thủy lợi - Hướng dẫn lập quy trình vận hành hồ chứa nước
| Số hiệu: | TCVN 13998:2024 | Loại văn bản: | Tiêu chuẩn Việt Nam |
| Cơ quan ban hành: | Bộ Khoa học và Công nghệ | Lĩnh vực: | Nông nghiệp-Lâm nghiệp |
| Trích yếu: | Công trình thủy lợi - Hướng dẫn lập quy trình vận hành hồ chứa nước | ||
|
Ngày ban hành:
Ngày ban hành là ngày, tháng, năm văn bản được thông qua hoặc ký ban hành.
|
18/07/2024 |
Hiệu lực:
|
Đã biết
|
| Người ký: | Đang cập nhật |
Tình trạng hiệu lực:
Cho biết trạng thái hiệu lực của văn bản đang tra cứu: Chưa áp dụng, Còn hiệu lực, Hết hiệu lực, Hết hiệu lực 1 phần; Đã sửa đổi, Đính chính hay Không còn phù hợp,...
|
Đã biết
|
TÓM TẮT TIÊU CHUẨN VIỆT NAM TCVN 13998:2024
Tiêu chuẩn quốc gia TCVN 13998:2024: Hướng dẫn vận hành hồ chứa nước thủy lợi
Tiêu chuẩn quốc gia TCVN 13998:2024, được ban hành để hướng dẫn lập quy trình vận hành cho các hồ chứa nước thủy lợi có chiều cao đập từ 5 m và dung tích toàn bộ từ 50.000 m3 trở lên. Tiêu chuẩn đã được Trung tâm Chính sách và Kỹ thuật Thủy lợi thuộc Cục Thủy lợi biên soạn và công bố ngày 10/1/2024. Tiêu chuẩn sẽ có hiệu lực thi hành từ ngày 01/5/2024 và không áp dụng cho quy trình vận hành liên hồ chứa nước.
Nội dung chính của tiêu chuẩn này bao gồm các quy định về lập quy trình vận hành hồ chứa nước, đặc biệt là đảm bảo tài liệu cơ bản và biểu đồ điều phối phục vụ cho việc lập quy trình. Các yêu cầu tài liệu cơ bản bao gồm hồ sơ thiết kế của hồ chứa nước mới và tài liệu thu thập trong quá trình quản lý khai thác đối với hồ đang hoạt động.
Các thuật ngữ được định nghĩa cụ thể như hồ chứa nước, quy trình vận hành điều tiết, và mực nước biển chỉ rõ các tiêu chuẩn kỹ thuật mà các hồ chứa cần phải tuân thủ. Đặc biệt, tiêu chuẩn chia thành các nhóm hồ chứa như hồ quan trọng đặc biệt, hồ lớn, hồ vừa và hồ nhỏ nhằm áp dụng cách tiếp cận phù hợp với từng kích thước và ảnh hưởng của hồ chứa.
Để thiết lập biểu đồ điều phối hồ chứa nước, việc thu thập và phân tích thông tin liên quan đến dòng chảy, mực nước, và nhu cầu sử dụng nước là rất quan trọng. Biểu đồ này sẽ giúp xác định giới hạn an toàn trong vận hành và điều tiết hồ chứa nước, đảm bảo an toàn cho công trình và vùng hạ du.
Tiêu chuẩn cũng quy định các trách nhiệm cụ thể cho các đơn vị quản lý khai thác hồ chứa. Cụ thể, họ phải thực hiện việc thông báo trước khi vận hành xả lũ hoặc điều chỉnh dòng chảy và báo cáo tình hình mực nước hồ cũng như lưu lượng nước đến cơ quan quản lý. Các tổ chức cá nhân cũng cần đảm bảo việc theo dõi và xử lý các sự cố liên quan đến hồ chứa.
Các quy định nghiêm ngặt về tình huống khẩn cấp được nêu rõ, bao gồm cách thức xử lý khi có nguy cơ vỡ đập hoặc các sự cố bất ngờ để đảm bảo an toàn cho người dân và tài sản vùng hạ du.
Cuối cùng, tiêu chuẩn còn giới thiệu các cơ quan có thẩm quyền trong việc quản lý và vận hành hồ chứa nước, từ cấp tỉnh đến cấp xã, cùng với quy định cụ thể về chế độ báo cáo, chế độ quan trắc và kiểm tra định kỳ nhằm nâng cao tính hiệu quả và an toàn trong quản lý hồ chứa nước.
Tóm lại, TCVN 13998:2024 là một văn bản quan trọng quy định chi tiết về quy trình vận hành hồ chứa nước thủy lợi, nhằm đảm bảo an toàn và hiệu quả trong việc khai thác và sử dụng nguồn nước trong bối cảnh khí hậu có nhiều biến động.
Tải tiêu chuẩn Việt Nam TCVN 13998:2024
TIÊU CHUẨN QUỐC GIA
TCVN 13998:2024
CÔNG TRÌNH THỦY LỢI - HƯỚNG DẪN LẬP QUY TRÌNH VẬN HÀNH HỒ CHỨA NƯỚC
Hydraulic structures - Guideline for setting operation procedure of reservoir
Lời nói đầu
TCVN 13998:2024 do Trung tâm Chính sách và Kỹ thuật Thủy lợi thuộc Cục Thủy lợi biên soạn, Bộ Nông nghiệp và Phát triển nông thôn đề nghị, Tổng cục Tiêu chuẩn Đo lường Chất lượng thẩm định, Bộ Khoa học và Công nghệ công bố.
CÔNG TRÌNH THỦY LỢI - HƯỚNG DẪN LẬP QUY TRÌNH VẬN HÀNH HỒ CHỨA NƯỚC
Hydraulic structures - Guideline for setting operation procedure of reservoir
1 Phạm vi áp dụng
1.1 Tiêu chuẩn này hướng dẫn lập quy trình vận hành hồ chứa nước thủy lợi có chiều cao đập từ 5 m trở lên, hoặc có dung tích toàn bộ từ 50.000 m3 trở lên.
1.2 Tiêu chuẩn này không áp dụng khi lập quy trình vận hành liên hồ chứa nước.
2 Tài liệu viện dẫn
Các tài liệu viện dẫn sau đây rất cần thiết cho việc áp dụng tiêu chuẩn này. Đối với các tài liệu viện dẫn ghi năm công bố thì áp dụng phiên bản được nêu. Đối với tài liệu viện dẫn không ghi năm công bố thì áp dụng phiên bản mới nhất, bao gồm cả các sửa đổi, bổ sung (nếu có).
TCVN 8304, Công tác thủy văn trong hệ thống thủy lợi;
TCVN 8641, Công trình Thủy lợi - Kỹ thuật tưới tiêu nước cho cây lương thực và cây thực phẩm;
TCVN 9168, Công trình thủy lợi - Hệ thống tưới tiêu - Phương pháp xác định hệ số tưới lúa;
TCVN 10778, Hồ chứa - Xác định các mực nước đặc trưng.
3 Thuật ngữ và định nghĩa
3.1
Hồ chứa nước (reservoir)
Hồ chứa nước là công trình được hình thành bởi đập dâng nước và các công trình có liên quan để tích trữ nước, có nhiệm vụ chính là điều tiết dòng chảy, cắt, giảm lũ, cung cấp nước cho sản xuất nông nghiệp, công nghiệp, sinh hoạt, phát điện và cải thiện môi trường; bao gồm hồ chứa thủy lợi và hồ chứa thủy điện.
3.2
Hồ chứa nước quan trọng đặc biệt (Exceptionally important reservoir)
Là hồ chứa nước thuộc các trường hợp sau: Đập của hồ chứa nước có chiều cao từ 100 m trở lên hoặc hồ chứa nước có dung tích toàn bộ từ 1.000.000.000 m3 trở lên; hồ chứa nước có dung tích toàn bộ từ 500.000.000 m3 đến dưới 1.000.000.000 m3 mà vùng hạ du đập là thành phố, thị xã, khu công nghiệp, công trình quan trọng liên quan đến an ninh quốc gia.
3.3
Hồ chứa nước lớn (Large reservoir)
Là hồ chứa nước thuộc các trường hợp sau: Đập của hồ chứa nước có chiều cao từ 15 m đến dưới 100 m; đập của hồ chứa nước có chiều cao từ 10 m đến dưới 15 m và chiều dài đập từ 500 m trở lên hoặc đập có chiều cao từ 10 m đến dưới 15 m và có lưu lượng tràn xả lũ thiết kế trên 2.000 m3/s; hồ chứa nước có dung tích toàn bộ từ 3.000.000 m3 đến dưới 1.000.000.000 m3, không thuộc trường hợp hồ chứa nước quan trọng đặc biệt.
3.4
Hồ chứa nước vừa (Medium reservoir)
Là hồ chứa nước thuộc các trường hợp sau: Đập của hồ chứa nước có chiều cao từ 10 m đến dưới 15 m không thuộc trường hợp hồ chứa nước lớn hoặc hồ chứa nước có dung tích toàn bộ từ 500.000 m3 đến dưới 3.000.000 m3.
3.5
Hồ chứa nước nhỏ (Small reservoir)
Là hồ chứa nước có đập của hồ chứa có chiều cao dưới 10 m hoặc hồ chứa nước có dung tích toàn bộ dưới 500.000 m3.
3.6
Quy trình vận hành điều tiết hồ chứa nước (Procedure for reservoir operation)
Quy định về nguyên tắc, nội dung và trình tự vận hành các công trình thuộc công trình thủy lợi thuộc hồ chứa nước để điều chỉnh việc trữ nước, cấp nước, xả nước trong các trường hợp khác nhau nhằm sử dụng hiệu quả nguồn nước, an toàn công trình và vùng hạ du đập.
3.7
Vùng hạ du đập (downstream area of the dam)
Vùng bị ngập lụt khi hồ chứa nước xả nước theo quy trình; xả lũ trong tình huống khẩn cấp hoặc vỡ đập.
3.8
Tình huống khẩn cấp (emergency situation)
Trường hợp xảy ra động đất, mưa lũ vượt tần suất thiết kế, sự cố công trình và các tác động khác ảnh hưởng đến việc trữ nước, cấp nước và chống lũ bình thường; an toàn công trình và vùng hạ du đập.
3.9
Biểu đồ điều phối hồ chứa nước (Graph of reservoir operation)
Biểu đồ kỹ thuật xác định giới hạn làm việc an toàn phòng chống lũ và cấp nước của hồ chứa nước (Hình 1). Biểu đồ gồm: đường hạn chế cấp nước, đường cấp nước gia tăng và đường phòng lũ (áp dụng đối với hồ chứa nước mà tràn xả lũ có cửa van, có nhiệm vụ hoặc có nhu cầu cắt giảm lũ) trợ giúp việc vận hành, điều tiết hồ chứa nước.

CHÚ DẪN:
Trục hoành biểu thị thời gian điều tiết hồ chứa (ngày/tháng);
Trục tung biểu thị cao trình mực nước hồ chứa (Z, mét).
| [1] : Đường hạn chế cấp nước | A: Vùng cấp nước hạn chế |
| [2] : Đường cấp nước gia tăng | B: Vùng cấp nước bình thường |
| [3] : Đường phòng lũ | C: Vùng cấp nước gia tăng |
|
| D: Vùng xả lũ bình thường |
|
| E: Vùng xả lũ lớn |
Hình 1 - Biểu đồ điều phối hồ chứa nước
3.10
Cấp nước bình thường (Normal water supply)
Cấp nước theo nhiệm vụ công trình và theo kế hoạch cấp nước trong điều kiện thời tiết bình thường.
3.11
Dòng chảy tối thiểu (minimum flow)
Là dòng chảy ở mức thấp nhất cần thiết để duy trì dòng sông, suối hoặc đoạn sông, suối nhằm bảo đảm sự phát triển bình thường của hệ sinh thái thủy sinh và bảo đảm mức tối thiểu cho hoạt động khai thác, sử dụng nước.
4 Yêu cầu đối với tài liệu cơ bản phục vụ lập quy trình vận hành hồ chứa nước
4.1 Đối với hồ chứa nước xây dựng mới tài liệu để lập quy trình vận hành (QTVH) là hồ sơ thiết kế.
4.2 Đối với các hồ chứa nước đang khai thác, tài liệu cơ bản để lập QTVH là hồ sơ thiết kế hoặc cải tạo nâng cấp gần nhất và các tài liệu thu thập, bổ sung trong quá trình xây dựng, quản lý khai thác công trình.
4.3 Đối với các hồ chứa nước đang khai thác không có hồ sơ thiết kế (hoặc hồ sơ thất lạc), tài liệu cơ bản để lập QTVH là hồ sơ được khôi phục theo hiện trạng đập, hồ chứa nước và các tài liệu thu thập, bổ sung trong quá trình quản lý khai thác công trình.
Yêu cầu đối với tài liệu cơ bản phục vụ lập QTVH hồ chứa nước được quy định tại Phụ lục B của tiêu chuẩn này.
5 Yêu cầu đối với biểu đồ điều phối hồ chứa nước
5.1 Yêu cầu chung
5.1.1 Tập hợp, xử lý tài liệu cơ bản dùng trong tính toán dòng chảy đến hàng năm;
5.1.2 Thu thập tài liệu cơ bản dùng trong tính toán và thực hiện tính toán nhu cầu dùng nước;
5.1.3 Phân tích, tính toán lượng mưa năm và phân phối mưa năm thiết kế;
5.1.2 Phân tích, tính toán dòng chảy năm và phân phối dòng chảy năm thiết kế;
5.1.3 Phân tích, tính toán dòng chảy lũ và mô hình lũ thiết kế; kiểm tra mức độ khả năng an toàn phòng chống lũ của hồ chứa;
5.1.4 Phân tích, tính toán bốc hơi thiết kế (tổng lượng năm và phân phối các tháng), độ ẩm, nhiệt độ và các loại tổn thất khác ảnh hưởng đến việc trữ nước và cấp nước của hồ chứa;
5.1.5 Yêu cầu cấp nước;
5.1.6 Cân bằng nước (tính toán điều tiết nước, xác định: lượng nước trữ, lượng nước sử dụng, lượng nước thiếu cần bổ sung và lượng nước thừa cần xả từng tháng).
5.2 Đối với đường hạn chế cấp nước và đường hạn chế cấp nước
5.2.1 Phải thực hiện việc nghiên cứu, nhận biết đặc điểm chính có liên quan về lưu vực hồ, quy luật mưa, lũ, dòng chảy đến, dòng chảy lũ, yêu cầu dùng nước;
5.2.2 Phân tích, đề xuất các tổ hợp dòng chảy đến theo chuỗi số liệu thực đo hoặc mô phỏng;
5.2.3 Phân tích tính toán nhu cầu dùng nước theo tần suất thiết kế đối với từng loại nhu cầu nước;
5.2.4 Phân tích kết quả tính toán và lựa chọn các đường giới hạn cấp nước;
Tham khảo Phụ lục C để xây dựng biểu đồ đường hạn chế cấp nước và đường cấp nước gia tăng.
5.3 Đối với đường phòng lũ (áp dụng cho tràn có cửa van)
Xác định theo TCVN 10778.
5.4 Bảng biểu hỗ trợ vận hành cửa van cống lấy nước và tràn xả lũ (đối với tràn có cửa van)
Xây dựng biểu đồ quan hệ giữa lưu lượng xả với mực nước hồ và độ mở cửa van ở công trình hoặc phần mềm tính toán các quan hệ nêu trên để hỗ trợ quyết định độ mở cửa van cống lấy nước và tràn xả lũ.
a) Với các cống lấy nước, tràn xả lũ, phải tính toán để thiết lập biểu đồ vận hành tức quan hệ giữa độ mở cống và hoặc tràn (a) với lưu lượng nước (Q) và cao trình mực nước thượng lưu (Ztl), xem hình 2.
b) Khi cống lấy nước, tràn xả lũ có nhiều hơn 01 cửa thì phải tính toán cho trường hợp mở 1 cửa, 2 cửa...
c) Trong quá trình vận hành cống, phải tổ chức quan trắc lưu lượng tháo của cống, tràn để có thể hiệu chỉnh biểu đồ vận hành cho phù hợp với thực tế, nếu cần thiết.

CHÚ DẪN: Z1, Z2, Z3... là các mực nước thượng lưu cống
Hình 2 - Quan hệ lưu lượng - độ mở cho cống cấp nước, trường hợp mở 1 cửa
6 Biên soạn quy trình vận hành hồ chứa nước
6.1 Biên soạn QTVH hồ chứa nước thống nhất theo Phụ lục A của Tiêu chuẩn này.
6.2 Đối với hồ chứa nước quan trọng đặc biệt, hồ chứa nước lớn, hồ chứa nước vừa thì biên soạn QTVH theo Phụ lục A1 của Tiêu chuẩn này.
6.3 Đối với các hồ chứa nước nhỏ thì các tổ chức cá nhân trực tiếp khai thác biên soạn QTVH theo Phụ lục A2 của Tiêu chuẩn này.
7 Báo cáo kết quả tính toán kỹ thuật
7.1 Biên soạn Báo cáo kết quả tính toán kỹ thuật nhằm thuyết minh về phương pháp, trình tự và kết quả tính toán; quá trình lựa chọn các chỉ tiêu, thông số kỹ thuật để lập Quy trình thống nhất theo phụ lục B Tiêu chuẩn này.
7.2 Đối với hồ chứa nước quan trọng đặc biệt, hồ chứa nước lớn, hồ chứa nước vừa thì lập theo phụ lục B1 của Tiêu chuẩn này.
7.3 Đối với các hồ chứa nước nhỏ thì các tổ chức cá nhân trực tiếp khai thác lập QTVH theo phụ lục B2 Tiêu chuẩn này.
Phụ lục A
(Quy định)
QUY ĐỊNH VỀ NỘI DUNG, YÊU CẦU KỸ THUẬT ĐỐI VỚI QUY TRÌNH VẬN HÀNH HỒ CHỨA NƯỚC
A1. Quy trình vận hành hồ chứa nước loại quan trọng đặc biệt, lớn và vừa
| TÊN CƠ QUAN RA QUYẾT ĐỊNH | CỘNG HÒA XÃ HỘI CHỦ NGHĨA VIỆT NAM |
| Số: /QĐ....... | ………., ngày ... tháng ... năm 20…... |
Quy trình vận hành hồ chứa nước ....................................
(Ban hành kèm theo Quyết định số .........../QĐ ngày / /20... của ....................................)
Chương I
QUY ĐỊNH CHUNG
1. Cơ sở pháp lý:
a) Các văn bản quy phạm pháp luật liên quan đến việc lập quy trình vận hành hồ chứa nước;
b) Các tiêu chuẩn, quy chuẩn hiện hành dùng để xây dựng quy trình vận hành hồ chứa nước.
2. Nguyên tắc vận hành chung của hồ chứa nước:
a) Vận hành công trình mang tính hệ thống không chia cắt theo địa giới hành chính; vận hành, khai thác theo thiết kế và năng lực thực tế của công trình;
b) Đảm bảo an toàn công trình theo tần suất lũ thiết kế và tần suất lũ kiểm tra;
c) Cấp nước phục vụ cho sản xuất nông nghiệp, sinh hoạt, môi trường theo thiết kế được duyệt;
d) An toàn phòng lũ cho khu vực hạ du hồ chứa khi xả lũ;
e) Quy trình vận hành điều tiết hồ chứa nước là cơ sở pháp lý để Tổ chức, cá nhân khai thác đập, hồ chứa nước vận hành điều tiết hồ chứa nước hàng năm, đảm bảo công trình hoạt động an toàn, hiệu quả;
g) Khi xuất hiện các tình huống đặc biệt chưa được quy định trong Quy trình.
3. Quy định về nhiệm vụ công trình sắp xếp theo thứ tự ưu tiên: Bảo đảm an toàn công trình, cắt giảm lũ hạ du, cấp nước, phát điện và đảm bảo duy trì dòng chảy tối thiểu về hạ du (nếu có)...
4. Các thông số chính của hồ chứa nước:
a) Tên hồ chứa nước, địa điểm xây dựng hồ chứa nước;
b) Cấp công trình;
c) Các thông số chính của hồ chứa nước;
d) Các thông số về thiết bị có liên quan (số tổ máy, lưu lượng đơn vị tổ máy, đặc tính kỹ thuật của các thiết bị đóng mở).
5. Quy trình vận hành cửa van (nếu có)
6. Các quy định về nhiệm vụ cấp nước
a) Chế độ cấp nước sinh hoạt, cấp nước tưới và cấp nước cho các ngành kinh tế khác trong hệ thống;
b) Yêu cầu về dòng chảy tối thiểu về hạ du;
c) Nguyên tắc phân phối nước cho sinh hoạt và sản xuất theo thứ tự ưu tiên.
7. Các quy định về nhiệm vụ phát điện (nếu có):
a) Chế độ làm việc của nhà máy thủy điện trong hệ thống (nếu có);
b) Yêu cầu về dao động mực nước hạ du do chế độ vận hành của nhà máy thủy điện;
c) Nguyên tắc phối hợp giữa nhiệm vụ phát điện và các nhiệm vụ lợi dụng tổng hợp khác.
8. Các quy định khác tùy theo điều kiện cụ thể của hồ chứa nước.
Chương II
VẬN HÀNH HỒ CHỨA NƯỚC TRONG MÙA LŨ
9. Quy định về chuẩn bị phòng chống lũ bao gồm nội dung về kiểm tra công trình; kế hoạch tích, xả nước trong mùa mưa lũ; lập hoặc cập nhật bổ sung phương án ứng phó khẩn cấp trong mùa lũ.
10. Quy định mực nước hồ cao nhất được giữ trong các tháng mùa lũ
a) Đối với hồ chứa đang xây dựng phải căn cứ vào tiến độ thi công công trình để quy định mực nước hồ cao nhất phù hợp với quy trình tích nước của đập;
b) Đối với hồ chứa xung yếu không đảm bảo tích nước như thiết kế cũ phải lựa chọn mực nước cao nhất cho phép giữ trong mùa lũ, đảm bảo an toàn công trình.
11. Các quy định cụ thể vận hành điều tiết chống lũ:
a) Quy định mực nước trước lũ;
b) Quy định mực nước hồ cao nhất được giữ trong các tháng mùa lũ;
c) Quy trình thao tác các cửa van để đảm bảo vận hành an toàn, phải đảm bảo giữ mực nước hồ không được vượt quá mực nước quy định trong mọi trường hợp;
d) Nguyên tắc phối hợp giữa các công trình cắt giảm lũ và phân lũ (nếu có).
12. Quy định về chế độ vận hành điều tiết lũ
a) Vận hành cắt lũ thường xuyên và cắt, giảm lũ lớn cho hạ du (áp dụng đối với các công trình có chức năng cắt lũ cho hạ du);
b) Quy định khoảng thời gian tối thiểu phải thông báo trước khi vận hành mở cửa xả nước đầu tiên;
c) Quy định phương thức, chế độ thông báo, báo cáo, hiệu lệnh thông báo xả lũ trong trường hợp bình thường hoặc trong tình huống khẩn cấp;
d) Chế độ, thời gian, lượng nước xả hoặc tăng mức độ cấp nước khi mực nước hồ chứa cao hơn đường cấp nước gia tăng của biểu đồ điều phối;
e) Các trường hợp xả chậm để bảo đảm an toàn hạ du (nếu có), các trường hợp xả nhanh để đảm bảo an toàn công trình;
f) Các trường hợp sử dụng tràn phụ hoặc tràn sự cố (nếu có) để bảo đảm an toàn hồ chứa nước.
13. Quy định tính toán, dự báo mực nước hồ và dòng lũ đến hồ: Căn cứ số liệu quan trắc mưa trên lưu vực, dòng chảy lũ đến hồ, dự báo tổng lượng IQ đến hồ, đơn vị quản lý khai thác hồ chứa tính toán lưu lượng xả lũ, dự báo khả năng gia tăng mực nước hồ chứa để đề xuất phương án, lập báo cáo trình cơ quan có thẩm quyền cho phép vận hành tràn xả lũ.
14. Vận hành tích nước hồ chứa
a) Thực hiện tích nước hồ theo biểu đồ điều phối hồ chứa theo nguyên tắc ưu tiên để hồ tích đầy nước vào cuối mùa lũ và bảo đảm an toàn đập, an toàn vùng hạ du;
b) Khi mực nước của hồ lớn hơn hoặc bằng tung độ đường hạn chế cấp nước và nhỏ hơn tung độ đường phòng phá hoại thì tiến hành cấp nước bình thường theo kế hoạch;
c) Khi mực nước của hồ lớn hơn tung độ đường phòng phá hoại trên biểu đồ điều phối thì được phép cấp nước gia tăng theo kế hoạch;
d) Khi mực nước của hồ nằm trong vùng hạn chế cấp nước, thực hiện việc tích nước hồ trên cơ sở cấp nước hạn chế;
e) Đối với tràn có cửa van: Khi không có mưa lũ và mực nước hồ có khả năng vượt trên mực nước phòng lũ thì mở cửa van tràn xả để xả nước xuống hạ du với lưu lượng xả bằng lưu lượng nước đến hồ giữ mực nước hồ không vượt mực nước phòng lũ.
15. Quy định tích nước cuối mùa lũ (áp dụng đối với tràn xả lũ có cửa van)
a) Trong thời gian cuối mùa lũ, căn cứ nhận định xu thế diễn biến thời tiết, đơn vị quản lý, khai thác hồ chứa báo cáo cơ quan có thẩm quyền quyết định phương án tích nước để đưa dần mực nước hồ về mực nước dâng bình thường;
b) Trong thời gian hồ tích nước theo quy định tại Khoản a. điều này, nếu dự báo có bão khẩn cấp, áp thấp nhiệt đới gần bờ hoặc có các hình thể thời tiết khác có khả năng gây mưa, lũ trên lưu vực hồ, đơn vị quản lý, khai thác hồ chưa báo cáo cơ quan có thẩm quyền quyết định việc vận hành hồ chứa.
Chương III
VẬN HÀNH HỒ CHỨA NƯỚC TRONG MÙA KIỆT
16. Quy định về chuẩn bị phương án cấp nước bao gồm nội dung về kiểm tra công trình sau lũ; phương án cấp nước trong mùa kiệt.
17. Quy định thời kỳ mùa kiệt, mực nước thấp nhất được giữ trong các tháng mùa kiệt.
18. Yêu cầu về lưu lượng tối thiểu phải vận hành xả xuống hạ du cho từng thời kỳ để đảm bảo sinh thái (nếu có).
19. Chế độ cấp nước bình thường cho các đối tượng dùng nước, khi mực nước hồ chứa ở trong vùng cấp nước bình thường của biểu đồ điều phối.
a) Khi mực nước hồ cao hơn hoặc bằng tung độ đường hạn chế cấp nước và nhỏ hơn đường cấp nước gia tăng, đơn vị quản lý, khai thác hồ vận hành cấp đủ nước cho các nhu cầu dùng nước theo nhiệm vụ và kế hoạch cấp nước;
b) Khi mực nước hồ thấp hơn tung độ đường hạn chế cấp nước và cao hơn mực nước chết, đơn vị quản lý, khai thác hồ phải thông báo cho các hộ dùng nước, đồng thời lập kế hoạch cấp nước luân phiên, phân đợt hoặc giảm mức độ cấp nước theo thứ tự ưu tiên của các đối tượng dùng nước;
c) Khi xảy ra hạn hán, thiếu nước, gia tăng xâm nhập mặn, đơn vị quản lý, khai thác hồ phải chủ trì phối hợp với các đơn vị có liên quan lập phương án điều hòa, phân phối, sử dụng nước trình cơ quan có thẩm quyền phê duyệt và thực hiện;
d) Khi mực nước hồ trên đường cấp nước gia tăng, đơn vị quản lý, khai thác hồ vận hành cấp nước gia tăng, nếu có yêu cầu.
20. Tính toán, dự báo mực nước hồ và dòng chảy đến hồ: Căn cứ số liệu quan trắc mưa, dòng chảy, số liệu tính toán lượng nước cấp qua cống cho các hộ dùng nước và cấp tạo dòng chảy môi trường (nếu có), đơn vị quản lý, khai thác hồ chứa tính toán, dự báo lưu lượng nước đến hồ, khả năng gia tăng mực nước hồ chứa để xây dựng phương án cấp nước cho phù hợp.
20. Lập kế hoạch và chế độ cấp nước khi mực nước hồ thấp hơn tung độ đường hạn chế cấp nước và cao hơn mực nước chết.
21. Các trường hợp cụ thể phải sử dụng dung tích chết của hồ chứa nước.
Chương IV
VẬN HÀNH HỒ CHỨA NƯỚC TRONG TRƯỜNG HỢP KHẨN CẤP
22. Chế độ vận hành xả lũ đảm bảo an toàn công trình
a) Khi tràn chính của hồ đã vận hành toàn bộ năng lực để xả lũ, mực nước hồ có khả năng vượt mực nước lũ thiết kế, đơn vị quản lý, khai thác hồ chứa phải báo cáo cấp có thẩm quyền, đồng thời chuẩn bị sẵn sàng để thực hiện phương án bảo vệ đập:
b) Khi mực nước hồ vượt quá mực nước lũ thiết kế, có khả năng đạt hoặc vượt mức nước kiểm tra đơn vị quản lý, khai thác hồ chứa báo cáo khẩn cấp cấp có thẩm quyền để quyết định phương án đối phó, chỉ đạo triển khai thực hiện phương án xử lý khẩn cấp, bảo đảm an toàn cho công trình và vùng hạ du.
23. Chế độ vận hành hồ chứa nước khi có sự cố ở các công trình đập chính, đập phụ, tràn chính, tràn phụ, cống lấy nước
Khi phát hiện công trình đầu mối của hồ chứa có sự cố khẩn cấp, đơn vị quản lý, khai thác hồ chứa phải thực hiện các biện pháp xử lý khẩn cấp để ngăn chặn nguy cơ vỡ đập hoặc làm chậm diễn biến sự cố, đồng thời báo cáo cơ quan có thẩm quyền liên quan quyết định biện pháp xử lý.
24. Chế độ vận hành hồ chứa nước khi xảy ra các trường hợp mưa, lũ lớn vượt tần suất thiết kế, động đất trên lưu vực hồ chứa; sạt trượt lớn trong lòng hồ chứa và các tác động khác gây mất an toàn cho đập; việc vận hành xả nước có nguy cơ mất an toàn cho người và tài sản vùng hạ du đập.
25. Quy định phương thức, chế độ thông báo, báo cáo, hiệu lệnh thông báo xả lũ trong trong trường hợp khẩn cấp.
26. Biện pháp hỗ trợ, bảo đảm an toàn đập và an toàn hạ du trong trường hợp khẩn cấp.
Chương V
QUAN TRẮC CÁC YẾU TỐ KHÍ TƯỢNG THUỶ VĂN
26. Quy định về xây dựng trạm quan trắc các yếu tố khí tượng thủy văn chuyên dùng: Lượng mưa, lượng dòng chảy đến hồ, mực nước hồ, lượng nước thấm qua công trình, lượng bốc hơi mặt hồ, nhiệt độ theo TCVN 8304.
27. Quy định chế độ quan trắc các yếu tố khí tượng thủy văn theo mùa, vụ sản xuất phù hợp với nhiệm vụ cụ thể của hồ chứa nước theo TCVN 8304.
28. Quy định đo kiểm tra định kỳ chất lượng nước của hồ chứa nước
29. Quy định chế độ báo cáo, sử dụng và lưu trữ tài liệu, số liệu
a) Đơn vị quản lý, khai thác hồ chứa nước cung cấp thông tin, dữ liệu quan trắc mưa và mực nước hồ chứa theo quy định của cơ quan có thẩm quyền; cập nhật lên trang thông tin điện tử của đơn vị;
b) Cần quy định cụ thể chế độ báo cáo các cơ quan quản lý nhà nước trực tiếp về hồ đập và phòng chống thiên tai trong mùa kiệt, mùa lũ, khi hồ xả lũ, tình huống khẩn cấp về: mực nước hồ, lưu lượng nước đến hồ, lưu lượng cấp cho các hộ dùng nước, lưu lượng xả lũ;
c) Hình thức cung cấp thông tin, báo cáo: văn bản, fax, E-mail, điện thoại;
d) Văn bản gốc phải được gửi đến chủ sở hữu, chủ quản lý công trình để theo dõi và lưu trữ hồ sơ quản lý;
đ) Quy định chế độ sử dụng và lưu trữ tài liệu, số liệu.
30. Quy định chế độ tổng hợp, đánh giá kết quả quan trắc khí tượng, thủy văn
a) Hàng năm, đơn vị quản lý, khai thác hồ chứa thực hiện việc tổng kết, đánh giá kết quả quan trắc khí tượng thủy văn, rút kinh nghiệm, đề xuất biện pháp tăng cường và nâng cao hiệu quả quan trắc, báo cáo cơ quan có thẩm quyền xem xét, quyết định;
b) Kết thúc mùa lũ, đơn vị quản lý, khai thác hồ chứa tính toán, lựa chọn mô hình mưa lớn đã xảy ra trong năm, lập 1 hoặc 2 đường quá trình lũ lớn, bất lợi, lưu trữ để phục vụ cập nhật, điều chỉnh quy trình vận hành xả lũ hồ chứa; đối với hồ mà tràn xả lũ có cửa van, thực hiện lập báo cáo đánh giá việc xả lũ sau khi kết thúc các đợt xả lũ và sau mùa lũ hàng năm;
c) Kết thúc năm đơn vị quản lý, khai thác hồ chứa tập hợp và biểu thị số liệu quan trắc trên biểu đồ, thể hiện đường quá trình mực nước hồ, tổng lượng nước cấp qua cống (hoặc các cống), xả qua tràn theo từng tuần (10 ngày) để theo dõi, nghiên cứu tối ưu hoá vận hành hồ chứa.
31. Quy định chế độ kiểm tra định kỳ các thiết bị, dụng cụ quan trắc.
Chương VI
THÔNG BÁO, CẢNH BÁO TRƯỚC KHI VẬN HÀNH XẢ LŨ
32. Thông báo
a) Thông báo được phát hành trước khi vận hành cửa van tràn để bắt đầu xả lũ hoặc để tăng lưu lượng xả qua đập tràn;
b) Địa chỉ gửi thông báo: Cơ quan ra lệnh vận hành xả lũ, để thông tin đến người dân vùng hạ du;
c) Thời gian thông báo: Căn cứ đặc điểm vùng hạ du bị ảnh hưởng do xả lũ để quy định các khoảng thời gian (tính bằng giờ (h)) trước khi vận hành cửa tràn đầu tiên trong điều kiện thời tiết bình thường, trong điều kiện mưa lũ lớn, và trong tình huống khẩn cấp;
d) Nội dung thông báo nêu cụ thể lý do xả lũ, mực nước hồ hiện tại, thời điểm bắt đầu mở cửa xả, lưu lượng xả;
e) Hình thức thông báo bằng văn bản (là bắt buộc để lưu tại nơi nhận), cùng với fax, E-mail hoặc trực tiếp qua điện thoại.
33. Cảnh báo
a) Phát tín hiệu cảnh báo trước khi vận hành xả lũ, tăng thêm lưu lượng xả lũ, trong tình huống khẩn cấp và cảnh báo khi vận hành phát điện;
b) Cần quy định thời gian (tính bằng phút (min)) phát tín hiệu cảnh báo trước khi bắt đầu vận hành xả lũ, hoặc phát điện;
c) Quy định rõ phương thức phát tín hiệu (kéo còi hoặc tín hiệu khác), đặc điểm tín hiệu cảnh báo cho các trường hợp hồ bắt đầu xả lũ, tăng lưu lượng xả trong quá trình hồ đang xả lũ, xả lũ khẩn cấp, vận hành phát điện;
d) Quy định các vị trí phát tín hiệu cảnh báo.
Chương VII
TRÁCH NHIỆM VÀ QUYỀN HẠN
34. Trách nhiệm của đơn vị khai thác đập, hồ chứa nước:
a) Trách nhiệm của tổ chức, cá nhân phát lệnh vận hành;
b) Trách nhiệm của tổ chức, cá nhân thực hiện lệnh vận hành;
c) Trách nhiệm thông báo lệnh vận hành tới các nơi bị ảnh hưởng bởi việc thao tác vận hành cửa van;
d) Nguyên tắc xử lý sự cố trong vận hành công trình;
e) Trách nhiệm kiểm tra công trình trước và sau mùa lũ;
f) Trách nhiệm xử lý các khiếm khuyết, hư hỏng liên quan tới công trình, thiết bị đảm bảo khai thác, vận hành an toàn công trình thủy công và hồ chứa trong mùa lũ;
g) Trách nhiệm báo cáo việc thực hiện Quy trình, kế hoạch trữ nước và kế hoạch ứng phó trong trường hợp khẩn cấp về các cơ quan quản lý nhà nước có thẩm quyền.
35. Quy định trách nhiệm của Sở Nông nghiệp và Phát triển nông thôn tỉnh có hồ chứa trên địa bàn:
a) Hướng dẫn, theo dõi, kiểm tra và đôn đốc việc thực hiện Quy trình;
b) Giải quyết những vấn đề phát sinh trong quá trình thực hiện Quy trình;
c) Báo cáo cấp thẩm quyền xử lý các trường hợp cần thiết (ứng phó thiên tai và ứng phó với tình huống khẩn cấp, bảo đảm an toàn công trình, các vi phạm).
36. Ban chỉ huy Phòng, chống thiên tai và tìm kiếm cứu nạn (tỉnh/thành phố và công trình):
a) Quy định trách nhiệm về chỉ đạo theo dõi diễn biến mưa lũ, tính toán các phương án vận hành xả lũ và lệnh vận hành hồ chứa cắt lũ cho hạ du và đảm bảo an toàn công trình trong các trường hợp đặc biệt;
b) Kiểm tra, giám sát vận hành các công trình xả lũ; chỉ đạo công tác phòng chống lũ lụt và xử lý các tình huống có ảnh hưởng đến an toàn của hệ thống đê điều ở hạ du;
c) Quy định việc thực hiện các biện pháp khẩn cấp đảm bảo an toàn công trình và tổ chức khắc phục hậu quả.
37. Ủy ban nhân dân tỉnh, thành phố trực thuộc Trung ương:
a) Chỉ đạo và quyết định việc xả lũ theo phương án ứng phó thiên tai, phương án ứng phó với tình huống khẩn cấp và bảo vệ an toàn hồ chứa nước;
b) Chỉ đạo điều hành đơn vị quản lý hồ chứa nước và các địa phương liên quan trong việc bảo đảm an toàn hạ du khi hồ chứa nước xả lũ hoặc có sự cố;
c) Xử lý các vi phạm liên quan đến Quy trình.
38. Chính quyền huyện, xã và tương đương:
a) Hỗ trợ và phối hợp với đơn vị quản lý hồ chứa nước trong việc xử lý sự cố và bảo vệ an toàn công trình (ứng phó thiên tai và ứng phó với tình huống khẩn cấp, công trình có sự cố đột xuất);
b) Ngăn chặn và xử lý các vi phạm liên quan đến việc thực hiện Quy trình theo thẩm quyền.
39. Các hộ dùng nước và đơn vị hưởng lợi khác:
Căn cứ Luật thủy lợi, quy định cụ thể cho phù hợp với thực tế của các hộ dùng nước và các đơn vị hưởng lợi khác.
a) Thực hiện quan trắc, cung cấp thông tin và vận hành nhà máy thủy điện theo quy định tại Quy trình;
b) Tuân thủ theo lệnh vận hành hồ của các cơ quan nhà nước có thẩm quyền quy định tại Quy trình trong các trường hợp lũ, lụt, hạn hán và các trường hợp khẩn cấp;
c) Phối hợp chặt chẽ với đơn vị quản lý, khai thác công trình trong việc thực hiện Quy trình.
Chương VIII
TỔ CHỨC THỰC HIỆN
40. Thời điểm thi hành Quy trình vận hành hồ chứa nước
41. Nguyên tắc sửa đổi, bổ sung Quy trình vận hành hồ chứa nước
42. Hình thức xử lý vi phạm Quy trình vận hành hồ chứa nước theo quy định của pháp luật hiện hành.
|
| (Tên cơ quan phê duyệt) Thủ trưởng (Ký tên, đóng dấu) |
Phụ lục kèm theo quy trình vận hành hồ chứa nước
1. Tổng quan về hồ chứa nước
- Tên công trình, địa điểm xây dựng;
- Đặc điểm hồ chứa nước (địa hình, địa mạo, khí tượng thủy văn, dân sinh kinh tế, môi trường...);
- Nhiệm vụ của công trình;
- Danh mục các văn bản pháp quy liên quan đến hệ thống (quy hoạch, thiết kế, bổ sung nâng cấp công trình...).
2. Thống kê hồ chứa và công trình đầu mối chủ yếu
Thống kê các thông số kỹ thuật của hồ chứa và công trình đầu mối, các công trình trên trục chính (vị trí, thông số kỹ thuật, nhiệm vụ, đặc điểm hiện trạng...).
3. Những căn cứ để lập quy trình vận hành hồ chứa nước
- Các văn bản pháp quy;
- Các tài liệu, số liệu khí tượng thủy văn.
4. Các biểu đồ, bảng tra (Biểu đồ điều phối nước hồ chứa nước; Bảng kết quả tính toán lượng nước đến; Kết quả tính toán nhu cầu nước; Bảng tổng hợp nước dùng tại đầu mối; Tổng hợp kết quả tính toán điều tiết lũ; Biểu đồ, bảng tra quan hệ mực nước, dung tích và diện tích mặt hồ chứa nước; Quy trình đóng mở cửa tràn, mực nước và lưu lượng tương ứng từng cửa....).
5. Bản đồ lưu vực và lân cận hồ chứa nước.
Ghi chú: đối với những hồ chứa nước không có cửa van thì không cần các Điều, khoản sau đây:
- Khoản a,c,d, Điều 11: Các quy định cụ thể vận hành điều tiết chống lũ;
- Điều 12: Quy định về chế độ vận hành điều tiết lũ;
- Điều 15: Quy định tích nước cuối mùa lũ.
A2. Quy trình vận hành hồ chứa nước loại nhỏ
| TÊN CƠ QUAN LẬP | CỘNG HÒA XÃ HỘI CHỦ NGHĨA VIỆT NAM |
| Số: /QĐ....... | ………., ngày ... tháng ... năm 20... |
Quy trình vận hành hồ chứa nước……………………
Chương I
QUY ĐỊNH CHUNG
Đối với những hồ chứa loại này chỉ tính toán phục vụ sản xuất và đưa ra các phương án phòng lũ khi có sự cố xảy ra và theo dõi mực nước hồ chứa.
1. Cơ sở pháp lý:
a) Các văn bản quy phạm pháp luật liên quan đến việc lập quy trình vận hành hồ chứa nước;
b) Các tiêu chuẩn, quy chuẩn hiện hành dùng để xây dựng quy trình vận hành hồ chứa nước.
2. Nguyên tắc vận hành chung của hồ chứa nước:
a) Đảm bảo an toàn công trình theo tần suất lũ thiết kế và tần suất lũ kiểm tra;
b) Cấp nước phục vụ cho sản xuất nông nghiệp, sinh hoạt, môi trường theo thiết kế được duyệt;
c) An toàn phòng lũ cho khu vực hạ du hồ chứa khi xả lũ;
d) Quy trình vận hành điều tiết hồ chứa nước là cơ sở pháp lý để Tổ chức, cá nhân khai thác đập, hồ chứa nước vận hành điều tiết hồ chứa nước hàng năm, đảm bảo công trình hoạt động an toàn, hiệu quả;
e) Khi xuất hiện các tình huống đặc biệt chưa được quy định trong Quy trình.
3. Quy định về nhiệm vụ hồ chứa nước
4. Các thông số chính của hồ chứa nước:
Theo mẫu tờ khai đăng ký an toàn đập, hồ chứa nước kèm theo Nghị định số 114/2018/NĐ-CP ngày 04 tháng 9 năm 2018 của Chính phủ.
5. Các quy định về nhiệm vụ cấp nước
6. Quy định việc phối hợp trách nhiệm giữa tổ chức, cá nhân khai thác hồ chứa với địa phương, ngành liên quan, trong mùa lũ, mùa kiệt và khi công trình có sự cố
7. Các quy định khác tùy theo điều kiện cụ thể của từng hồ chứa
Chương II
VẬN HÀNH HỒ CHỨA NƯỚC TRONG MÙA LŨ
8. Quy định về chuẩn bị phòng chống lũ bao gồm nội dung về kiểm tra công trình; kế hoạch tích, xả nước trong mùa mưa lũ; lập hoặc cập nhật bổ sung phương án ứng phó khẩn cấp trong mùa lũ
9. Quy định mực nước hồ cao nhất được giữ trong các tháng mùa lũ:
a) Đối với hồ chứa đang xây dựng phải căn cứ vào tiến độ thi công công trình để quy định mực nước hồ cao nhất phù hợp với quy trình tích nước của đập;
b) Đối với hồ chứa xung yếu không đảm bảo tích nước như thiết kế cũ phải lựa chọn mực nước cao nhất cho phép giữ trong mùa lũ, đảm bảo an toàn công trình.
10. Vận hành tích nước hồ chứa
a) Thực hiện tích nước hồ theo biểu đồ điều phối hồ chứa theo nguyên tắc ưu tiên để hồ tích đầy nước vào cuối mùa lũ và bảo đảm an toàn đập, an toàn vùng hạ du;
b) Khi mực nước của hồ lớn hơn hoặc bằng tung độ đường hạn chế cấp nước và nhỏ hơn tung độ đường phòng phá hoại thì tiến hành cấp nước bình thường theo kế hoạch;
c) Khi mực nước của hồ lớn hơn tung độ đường phòng phá hoại trên biểu đồ điều phối thì được phép cấp nước gia tăng theo kế hoạch;
d) Khi mực nước của hồ nằm trong vùng hạn chế cấp nước, thực hiện việc tích nước hồ trên cơ sở cấp nước hạn chế.
11. Quy định về chế độ vận hành điều tiết lũ
a) Vận hành cắt lũ thường xuyên và cắt, giảm lũ lớn cho hạ du (áp dụng đối với các công trình có chức năng cắt lũ cho hạ du);
b) Quy định khoảng thời gian tối thiểu phải thông báo trước khi vận hành mở cửa xả nước đầu tiên (áp dụng đối với tràn xả lũ có cửa van);
c) Quy định phương thức, chế độ thông báo, báo cáo, hiệu lệnh thông báo xả lũ trong trường hợp bình thường hoặc trong tình huống khẩn cấp;
d) Quy trình thao tác các cửa van để đảm bảo vận hành an toàn, phải đảm bảo giữ mực nước hồ không được vượt quá mực nước quy định trong mọi trường hợp (áp dụng đối với tràn xả lũ có cửa van);
e) Khi mực nước hồ đạt mực nước dâng bình thường và đang lên, tổ chức, cá nhân khai thác hồ báo cáo Ủy ban nhân dân cấp huyện chỉ đạo đảm bảo an toàn công trình và triển khai phương án bảo vệ vùng hạ du hồ chứa;
g) Khi mực nước hồ đạt mực nước lũ thiết kế và lên nhanh có khả năng vượt cao trình đỉnh đập, tổ chức, cá nhân khai thác hồ báo cáo ngay Ban chỉ huy Phòng, chống thiên tai và tìm kiếm cứu nạn các cấp phụ trách tương ứng quyết định phương án hạ thấp mực nước khẩn cấp, đảm bảo an toàn công trình hồ chứa và hạ du. (Tùy thuộc vào tình huống và các hồ chứa mà đưa ra các biện pháp cụ thể như: hạ thấp cao trình tràn, mở rộng đường tràn, làm tràn sự cố,...để tăng khả năng tháo, hạ thấp mực nước)
12. Quy định tích nước cuối mùa lũ (áp dụng đối với tràn xả lũ có cửa van)
a) Trong thời gian cuối mùa lũ, căn cứ nhận định xu thế diễn biến thời tiết, đơn vị quản lý, khai thác hồ chứa báo cáo cơ quan có thẩm quyền quyết định phương án tích nước để đưa dần mực nước hồ về mực nước dâng bình thường;
b) Trong thời gian hồ tích nước theo quy định tại Khoản a. điều này, nếu dự báo có bão khẩn cấp, áp thấp nhiệt đới gần bờ hoặc có các hình thể thời tiết khác có khả năng gây mưa, lũ trên lưu vực hồ, đơn vị quản lý, khai thác hồ chưa báo cáo cơ quan có thẩm quyền quyết định việc vận hành hồ chứa.
Chương III
VẬN HÀNH HỒ CHỨA NƯỚC TRONG MÙA KIỆT
13. Quy định về chuẩn bị phương án cấp nước bao gồm nội dung về kiểm tra công trình và kiểm kê nguồn nước sau mùa lũ; phương án cấp nước trong mùa kiệt.
14. Chế độ cấp nước bình thường cho các đối tượng dùng nước
a) Khi mực nước hồ cao hơn hoặc bằng tung độ đường hạn chế cấp nước và nhỏ hơn đường phòng phá hoại, căn cứ tin dự báo khí tượng thủy văn, số liệu quan trắc khí tượng thủy văn chuyên dùng, các thông tin liên quan khác, đơn vị quản lý, khai thác hồ vận hành cấp đủ nước cho các nhu cầu dùng nước theo nhiệm vụ và kế hoạch cấp nước;
b) Khi mực nước hồ thấp hơn tung độ đường hạn chế cấp nước và cao hơn mực nước chết, đơn vị quản lý, khai thác hồ phải thông báo cho các hộ dùng nước thực hiện các biện pháp sử dụng nước tiết kiệm, đề phòng thiếu nước vào cuối mùa kiệt, đồng thời lập kế hoạch cấp nước luân phiên, phân đợt hoặc giảm mức độ cấp nước theo thứ tự ưu tiên của các đối tượng dùng nước;
c) Khi xảy ra hạn hán, thiếu nước, gia tăng xâm nhập mặn, đơn vị quản lý, khai thác hồ phải chủ trì phối hợp với các đơn vị có liên quan lập phương án điều hòa, phân phối, sử dụng nước trình cơ quan có thẩm quyền phê duyệt và thực hiện;
d) Khi mực nước hồ trên đường phòng phá hoại, căn cứ tin dự báo khí tượng thủy văn, số liệu quan trắc khí tượng thủy văn chuyên dùng, các thông tin liên quan khác, đơn vị quản lý, khai thác hồ vận hành cấp nước gia tăng, nếu có yêu cầu.
15. Lập kế hoạch và chế độ cấp nước khi mực nước hồ thấp hơn tung độ đường hạn chế cấp nước và cao hơn mực nước chết.
16. Khi mực nước hồ bằng mực nước chết (cao hơn cao trình đáy cống), tổ chức, cá nhân khai thác hồ chứa phải lập phương án, kế hoạch sử dụng dung tích chết, báo cáo Ủy ban nhân dân cấp huyện quyết định và thực hiện.
Chương IV
VẬN HÀNH ĐIỀU TIẾT KHI HỒ CHỨA CÓ SỰ CỐ
17. Khi công trình đầu mối của hồ chứa (đập chính, đập phụ, tràn, cống lấy nước) có dấu hiệu xảy ra sự cố gây mất an toàn cho công trình, tổ chức, cá nhân khai thác hồ chứa thực hiện ngay phương án ứng phó thiên tai đồng thời báo cáo ngay Ban chỉ huy Phòng, chống thiên tai và tìm kiếm cứu nạn cấp huyện, kịp thời khắc phục đảm bảo an toàn công trình.
18. Trường hợp xuất hiện các sự cố khẩn cấp, có nguy cơ vỡ đập, tổ chức, cá nhân khai thác hồ chứa tiến hành xử lý ngay từ giờ đầu sự cố, báo cáo ngay Ban chỉ huy Phòng, chống thiên tai và tìm kiếm cứu nạn cấp huyện quyết định phương án hạ thấp mực nước khẩn cấp, triển khai phương án bảo vệ vùng hạ du hồ chứa và phương án khắc phục hậu quả.
Chương V
TRÁCH NHIỆM VÀ QUYỀN HẠN
19. Trách nhiệm của tổ chức, cá nhân quản lý, khai thác hồ chứa nước:
a) Trách nhiệm của tổ chức, cá nhân phát lệnh vận hành;
b) Trách nhiệm của tổ chức, cá nhân thực hiện lệnh vận hành;
c) Nguyên tắc xử lý sự cố trong vận hành công trình;
d) Trách nhiệm kiểm tra công trình trước và sau mùa lũ;
e) Trách nhiệm xử lý các khiếm khuyết, hư hỏng liên quan tới công trình, thiết bị đảm bảo khai thác, vận hành an toàn công trình thủy công và hồ chứa trong mùa lũ.
20. Trách nhiệm của người đứng đầu tổ chức, cá nhân khai thác hồ chứa
a) Lập quy trình vận hành, xin ý kiến Ủy ban nhân dân cấp xã; tổ chức, cá nhân liên quan và chuyên gia (nếu cần thiết) và công bố công khai QTVH hồ chứa;
b) Công khai QTVH tại trụ sở tổ chức khai thác, công trình đầu mối và Ủy ban nhân dân cấp xã có liên quan;
c) Tổ chức vận hành điều tiết hồ chứa nước trong các trường hợp sau:
- Điều tiết cấp nước trong điều kiện vận hành bình thường;
- Điều tiết cấp nước trong điều kiện vận hành mùa lũ;
- Điều tiết cấp nước trong điều kiện vận hành mùa kiệt;
- Vận hành hồ chứa trong điều kiện hồ chứa có sự cố xảy ra;
- Thực hiện phương án ứng phó thiên tai. Kịp thời báo cáo, thực hiện các quyết định của Ủy ban nhân dân cấp huyện, Ban chỉ huy Phòng, chống thiên tai và tìm kiếm cứu nạn cấp huyện khi hồ chứa xảy ra các tình huống sự cố.
21. Trách nhiệm của chính quyền cấp huyện, cấp xã trong hệ thống
a) Nghiêm chỉnh thực hiện Quy trình;
b) Ngăn chặn, xử lý và thông báo cho tổ chức, cá nhân khai thác hồ chứa những hành vi ngăn cản, xâm hại việc thực hiện Quy trình theo thẩm quyền;
c) Thực hiện phương án đảm bảo an toàn cho vùng hạ du khi hồ chứa mở nước hoặc tháo lũ và trường hợp công trình xảy ra sự cố;
d) Cơ quan chuyên môn về thủy lợi cấp huyện có trách nhiệm thẩm định phương án ứng phó với tình huống khẩn cấp của hồ chứa, báo cáo Ban chỉ huy Phòng chống lụt bão và tìm kiếm cứu nạn cấp huyện, trình Ủy ban nhân dân cấp huyện phê duyệt và chỉ đạo thực hiện;
e) Tuyên truyền, vận động nhân dân địa phương thực hiện đúng các quy định trong Quy trình và tham gia ứng phó thiên tai và ứng phó với tình huống khẩn cấp, bảo vệ an toàn công trình hồ chứa nước;
f) Đối với các hồ chứa được phân cấp quản lý cho Ủy ban nhân dân cấp huyện, xã thì chính quyền cấp huyện, xã có trách nhiệm sau:
- Chỉ đạo, hướng dẫn và kiểm tra tổ chức, cá nhân khai thác hồ chứa thực hiện Quy trình, đặc biệt là việc vận hành mùa lũ;
- Giải quyết những vấn đề phát sinh trong quá trình thực hiện Quy trình theo thẩm quyền;
- Phê duyệt phương án, kế hoạch sử dụng dung tích chết của hồ chứa khi mực nước hồ thấp hơn hoặc bằng mực nước chết;
- Hướng dẫn, đôn đốc và chỉ đạo các tổ chức, cá nhân trong hệ thống thực hiện phương án ứng phó thiên tai và phương án ứng phó với tình huống khẩn cấp hồ chứa nước;
- Chỉ đạo tổ chức, cá nhân khai thác hồ và các đơn vị liên quan thực hiện nhiệm vụ khi hồ chứa xảy ra sự cố.
22. Trách nhiệm của các đối tượng dùng nước và những đơn vị hưởng lợi khác
a) Nghiêm chỉnh thực hiện Quy trình;
b) Hàng năm, phải ký hợp đồng dùng nước với tổ chức, cá nhân khai thác hồ chứa để lập kế hoạch cấp nước, mở nước, tháo nước hợp lý, đảm bảo hiệu quả kinh tế và an toàn công trình;
c) Thực hiện nghiêm chỉnh các quy định có liên quan được nêu tại các văn bản pháp quy có liên quan đến việc quản lý, khai thác và bảo vệ công trình hồ chứa nước;
d) Tham gia xử lý khi có sự cố và bảo vệ công trình.
Chương VI
TỔ CHỨC THỰC HIỆN
23. Mọi quy định về vận hành điều tiết hồ chứa nước trước đây trái với những quy định trong Quy trình đều bãi bỏ.
|
| (Tên cơ quan lập và ban hành) Thủ trưởng (Ký, ghi rõ họ tên và đóng dấu) |
Phụ lục kèm theo quy trình vận hành hồ chứa nước
1. Tổng quan về hệ hồ chứa nước
- Tên công trình, địa điểm xây dựng;
- Đặc điểm hồ chứa nước (địa hình, địa mạo, khí tượng thủy văn, dân sinh kinh tế, môi trường...);
- Nhiệm vụ của công trình;
- Danh mục các văn bản pháp quy liên quan đến hệ thống (quy hoạch, thiết kế, bổ sung nâng cấp công trình...).
2. Thống kê công trình đầu mối chủ yếu
Thống kê các thông số kỹ thuật của hồ chứa và công trình đầu mối, các công trình trên trục chính (vị trí, thông số kỹ thuật, nhiệm vụ, đặc điểm hiện trạng...).
3. Những căn cứ để lập quy trình vận hành hồ chứa nước
- Các văn bản pháp quy;
- Các tài liệu, số liệu khí tượng thủy văn.
4. Bản đồ hoặc sơ họa hệ thống
Phụ lục B
(Quy định)
MẪU BÁO CÁO KẾT QUẢ TÍNH TOÁN LẬP QUY TRÌNH VẬN HÀNH HỒ CHỨA NƯỚC
B1. Báo cáo kết quả tính toán lập quy trình vận hành hồ chứa nước loại quan trọng đặc biệt, hồ chứa nước loại lớn và hồ chứa nước loại vừa
BÁO CÁO KẾT QUẢ TÍNH TOÁN KỸ THUẬT LẬP QUY TRÌNH VẬN HÀNH HỒ CHỨA NƯỚC QUAN TRỌNG ĐẶC BIỆT, LỚN, VỪA
CHƯƠNG I
GIỚI THIỆU CHUNG
1. Giới thiệu các thông tin chung về hồ chứa (tên hồ, năm xây dựng, năm đưa vào khai thác; tên sông, suối; các đặc điểm của sông suối và lưu vực sông suối tạo hồ, vị trí lòng hồ, vị trí các công trình đầu mối; các thông số thiết kế của hồ chứa và của công trình đầu mối).
2. Các tài liệu cần thiết để lập quy trình vận hành hồ chứa nước:
a) Hồ chứa xây dựng mới và sửa chữa nâng cấp: tài liệu cơ bản để lập Quy trình là tài liệu trong hồ sơ thiết kế hoặc sửa chữa nâng cấp. Các tài liệu chính cần có:
- Tài liệu về quy hoạch hệ thống;
- Tài liệu về thiết kế công trình hoặc sửa chữa nâng cấp;
- Tài liệu về khí tượng, thủy văn.
b) Hồ chứa đang khai thác: tài liệu cơ bản để lập Quy trình là tài liệu thiết kế trong giai đoạn trước và tài liệu được thu thập, bổ sung trong quá trình quản, lý khai thác tính đến thời điểm lập Quy trình. Các tài liệu chính cần có:
- Tài liệu về quy hoạch hệ thống;
- Tài liệu về thiết kế công trình;
- Tài liệu về hiện trạng công trình và yêu cầu cấp, thoát nước trong hệ thống;
- Tài liệu liên quan khác trong quá trình quản lý, khai thác;
- Tài liệu về khí tượng, thủy văn.
Các tài liệu cần thiết khác:
- Đặc điểm khu tưới; yêu cầu cấp nước tưới và cấp nước cho các hộ dùng nước khác; mức bảo đảm tưới và cấp nước cho các hộ dùng nước; thứ tự ưu tiên cấp nước;
- Đối với hồ mà tràn xả lũ có cửa van: Hiện trạng ngập lụt vùng hạ du và yêu cầu giảm ngập lụt khi hồ xả lũ;
- Đặc điểm về khí tượng thủy văn trên lưu vực hồ; các năm lũ đặc biệt lớn, năm nước kiệt đã xảy ra.
3. Danh mục các quy chuẩn, tiêu chuẩn kỹ thuật áp dụng
4. Nhiệm vụ của hồ chứa
CHƯƠNG II: ĐẶC TRƯNG KHÍ TƯỢNG HỒ CHỨA
1. Nhiệt độ không khí
2. Độ ẩm không khí
3. Tốc độ gió trung bình
4. Bốc hơi
5. Lượng mưa trung bình nhiều năm
6. Lượng mưa thời đoạn ngày lớn nhất
CHƯƠNG III: TÍNH TOÁN DÒNG CHẢY ĐẾN HỒ CHỨA NƯỚC
1. Tính toán kỹ thuật
Áp dụng phương pháp và công nghệ tính toán hiện hành để phân tích, xác định hoặc kiểm tra, rà soát các nội dung sau đây:
1.1. Lượng mưa năm và phân phối mưa năm thiết kế.
1.2. Dòng chảy năm và phân phối dòng chảy năm thiết kế.
1.3. Dòng chảy lũ và mô hình lũ thiết kế; kiểm tra an toàn phòng chống lũ của hồ chứa.
1.4. Bốc hơi thiết kế, độ ẩm, nhiệt độ và các loại tổn thất khác ảnh hưởng đến việc trữ nước và cấp nước của hồ chứa.
2. Kết quả tính toán kỹ thuật
2.1. Kết quả tính toán kỹ thuật nhằm thuyết minh về phương pháp, trình tự và kết quả tính toán; quá trình lựa chọn các chỉ tiêu, thông số kỹ thuật để lập Quy trình. Kết quả của tính toán dòng chảy đến hồ chứa là các bảng kết quả lưu lượng dòng chảy thiết kế, tổng lượng dòng chảy thiết kế theo các tần suất thiết kế khác nhau cho từng tháng trong năm được chọn làm đại biểu.
2.2. Đối với các hồ chứa đang vận hành khai thác cần tham vấn tổ chức, cá nhân trực tiếp khai thác hồ chứa các thông số kỹ thuật cần thiết.
CHƯƠNG IV: TÍNH TOÁN NHU CẦU DÙNG NƯỚC
1. Tình hình sử dụng nước của hệ thống
Nhu cầu cấp nước (nông nghiệp, thủy sản, phát điện, công nghiệp, sinh hoạt, đẩy mặn; dòng chảy môi trường và các nhu cầu cấp nước khác).
1.1. Nhu cầu nước cho nông nghiệp chủ yếu là nước phục vụ tưới cho các cây trồng, phục vụ chăn nuôi, cải tạo đất và các nhu cầu cần thiết khác cho nông nghiệp.
1.2. Về tưới cần xác định rõ cơ cấu, thời vụ của cây trồng, diện tích tưới các vụ.
1.3. Nhu cầu nước cho nuôi trồng thủy sản bao gồm lượng nước để đảm bảo duy trì thường xuyên môi trường thích hợp cho loại thủy sản được nuôi trồng, nó phụ thuộc vào loại thủy sản nuôi trồng, điều kiện cụ thể của nơi bố trí ruộng nuôi trồng.
1.4. Nhu cầu nước cho lâm nghiệp bao gồm lượng nước để duy trì chế độ sinh trưởng bình thường cho cây rừng và lượng nước cần thiết để có thể chống cháy rừng phòng khi xảy ra hoả hoạn.
1.5. Nhu cầu nước cho công nghiệp bao gồm toàn bộ các loại nước cần cho nhà máy để tạo ra thành phẩm và nước để chống ô nhiễm, bảo vệ môi trường cho khu vực nhà máy và vùng lân cận. Nước cho công nghiệp phụ thuộc rất lớn vào loại sản phẩm sản xuất, có những loại cần khá nhiều nước như sản xuất nhôm từ quặng boxit, các nhà máy sản xuất thủy sản,... Nước cho công nghiệp thường được tính từ chỉ tiêu dùng nước của một đơn vị sản phẩm để cho các loại, rồi từ đó tổng hợp lại. Trong trường hợp tính sơ bộ có thể tính toán từ các chỉ tiêu mở rộng, có tài liệu cho rằng có thể lấy bằng 40-60 % nước dân sinh.
1.6. Nước cho dân sinh chủ yếu là nước để ăn uống, phục vụ sinh hoạt. Trong tính toán thường chia làm 2 loại là nước sinh hoạt cho thành thị và cho nông thôn. Khi tính cấp nước dân sinh còn căn cứ vào vùng địa lý, đối với đô thị còn căn cứ vào cấp đô thị. Các đô thị lớn đông dân có chỉ tiêu dùng nước lớn hơn. Tính nước cho dân sinh thường dựa vào chỉ tiêu theo đầu người rồi tính cho toàn bộ. Khi tính cho hiện trạng chủ yếu là dựa vào số liệu điều tra. Khi tính cho tương lai thi dựa vào các chỉ tiêu của quy hoạch về cấp nước, dự báo dân số, tình hình phát triển đô thị và tỷ lệ dân sống ở đô thị hoặc tham khảo số liệu của các nước trong khu vực.
2. Nhiệm vụ tính toán
Lập được bảng tổng hợp và biểu đồ yêu cầu dùng nước từ hồ của các ngành tương ứng với mức đảm bảo thiết kế và mức thiệt hại cho phép trong những năm thiếu nước. Tùy từng trường hợp cụ thể của công trình hồ chứa nước mà xác lập biểu đồ dùng nước tương ứng với chu kỳ điều tiết theo ngày, theo tuần (10 ngày), theo tháng, theo năm hoặc nhiều năm phù hợp với yêu cầu và phương pháp tính toán điều tiết hồ chứa.
3. Phương pháp và tài liệu sử dụng để tính toán
Tính toán nhu cầu dùng nước của các ngành theo Tiêu chuẩn chuyên ngành như: tưới cho nông nghiệp, sinh hoạt, công nghiệp, thủy sản, giao thông thủy, phát điện, dịch vụ, du lịch...
Nói rõ tính bằng phương pháp nào, cần những số liệu gì; tính bằng tay hay sử dụng phần mềm và chỉ rõ nguồn gốc của phần mềm.
4. Kết quả tính toán
4.1. Kết quả trình bày ở dạng tổng hợp.
4.2. Thể hiện ở dạng bảng số và đồ thị.
5. Nhận xét
5.1. Nhận xét tính hợp lý của kết quả tính toán.
5.2. So sánh với thiết kế cũ cả về tổng lượng và phân phối (lớn hơn, nhỏ hơn, phân tích đánh giá nguyên nhân).
CHƯƠNG V: TÍNH TOÁN ĐIỀU TIẾT CHO NĂM THIẾT KẾ ĐÁNH GIÁ KHẢ NĂNG CẤP NƯỚC CỦA HỒ CHỨA NƯỚC
1. Nhiệm vụ tính toán
Nội dung và mục đích điều tiết dòng chảy cho năm thiết kế.
2. Phương pháp và tài liệu sử dụng để tính toán
Nói rõ tính bằng phương pháp nào, cần những số liệu gì; tính bằng tay hay sử dụng phần mềm và chỉ rõ nguồn gốc của phần mềm.
3. Kết quả tính toán
3.1. Kết quả trình bày ở dạng tổng hợp.
3.2. Thể hiện ở dạng bảng số và đồ thị.
4. Nhận xét
4.1. Nhận xét tính hợp lý của kết quả tính toán.
4.2. Nhận xét khả năng cấp nước của hồ chứa nước (đủ, thiếu, dư thừa, phân tích nguyên nhân và biện pháp khắc phục).
4.3. Dự kiến khả năng cấp nước trong tương lai.
CHƯƠNG VI: TÍNH TOÁN ĐIỀU TIẾT LŨ.
1. Nhiệm vụ tính toán
Tính toán cho hồ chứa điều tiết năm hoặc điều tiết nhiều năm.
2. Phương pháp và tài liệu sử dụng để tính toán
Nói rõ tính bằng phương pháp nào, cần những số liệu gì; tính bằng tay hay sử dụng phần mềm và chỉ rõ nguồn gốc của phần mềm.
3. Kết quả tính toán
3.1. Kết quả trình bày ở dạng tổng hợp.
3.2. Thể hiện ở dạng bảng số và đồ thị.
4. Nhận xét
4.1. Nhận xét tính hợp lý của kết quả tính toán.
4.2. Các nguyên tắc vận điều tiết hành hồ chứa.
CHƯƠNG VII: TÍNH TOÁN XÂY DỰNG BIỂU ĐỒ ĐIỀU PHỐI.
1. Nhiệm vụ tính toán
Tính toán cho hồ chứa điều tiết năm hoặc điều tiết nhiều năm.
2. Phương pháp và tài liệu sử dụng để tính toán
Nói rõ tính bằng phương pháp nào, cần những số liệu gì; tính bằng tay hay sử dụng phần mềm và chỉ rõ nguồn gốc của phần mềm.
3. Kết quả tính toán
3.1. Kết quả trình bày ở dạng tổng hợp.
3.2. Thể hiện ở dạng bảng số và đồ thị.
4. Nhận xét
4.1. Nhận xét tính hợp lý của kết quả tính toán.
4.2. Các nguyên tắc vận hành hồ chứa theo biểu đồ điều phối.
CÁC BÁO CÁO KẾT QUẢ TÍNH TOÁN KỸ THUẬT KÈM THEO
- Kết quả tính toán dòng chảy đến hồ chứa nước;
- Kết quả tính toán nhu cầu dùng nước;
- Kết quả tính toán điều tiết cho năm thiết kế và điều tiết toàn liệt;
- Kết quả tính toán dòng chảy lũ và điều tiết lũ;
- Kết quả tính toán điều tiết xây dựng biểu đồ điều phối.
B2. Báo cáo kết quả tính toán lập quy trình vận hành hồ chứa nước loại nhỏ
BÁO CÁO KẾT QUẢ TÍNH TOÁN KỸ THUẬT LẬP QUY TRÌNH VẬN HÀNH HỒ CHỨA NHỎ …….
Đối với những hồ chứa nhỏ có cửa van thì áp dụng tính toán kỹ thuật lập quy trình vận hành như tính toán đối với hồ chứa vừa, lớn và quan trọng đặc biệt.
CHƯƠNG I
GIỚI THIỆU CHUNG
1. Giới thiệu các thông tin chung về hồ chứa (tên hồ, năm xây dựng, năm đưa vào khai thác; tên sông, suối; các đặc điểm của sông suối và lưu vực sông suối tạo hồ, vị trí lòng hồ, vị trí các công trình đầu mối; các thông số thiết kế của hồ chứa và của công trình đầu mối).
2. Các tài liệu cần thiết để lập quy trình vận hành hồ chứa nước:
a) Hồ chứa xây dựng mới và sửa chữa nâng cấp: tài liệu cơ bản để lập Quy trình là tài liệu trong hồ sơ thiết kế hoặc sửa chữa nâng cấp. Các tài liệu chính cần có:
- Tài liệu về thiết kế công trình hoặc sửa chữa nâng cấp;
- Tài liệu về khí tượng, thủy văn.
b) Hồ chứa đang khai thác: tài liệu cơ bản để lập Quy trình là tài liệu thiết kế trong giai đoạn trước và tài liệu được thu thập, bổ sung trong quá trình quản lý khai thác tính đến thời điểm lập Quy trình. Các tài liệu chính cần có:
- Tài liệu về thiết kế công trình;
- Tài liệu về hiện trạng công trình và yêu cầu cấp, thoát nước trong hệ thống;
- Tài liệu liên quan khác trong quá trình quản lý khai thác.
Các tài liệu cần thiết khác:
- Đặc điểm khu tưới; yêu cầu cấp nước tưới và cấp nước cho các hộ dùng nước khác; mức bảo đảm tưới và cấp nước cho các hộ dùng nước; thứ tự ưu tiên cấp nước;
- Đặc điểm về khí tượng thủy văn trên lưu vực hồ; các năm lũ đặc biệt lớn, năm nước kiệt đã xảy ra.
(Khi chưa có các thông số kích thước cơ bản công trình đầu mối của hồ chứa nước, trong trường hợp chưa có điều kiện đo vẽ chính xác thì có thể sơ bộ xác định bằng thủ công).
3. Danh mục các quy chuẩn, tiêu chuẩn kỹ thuật áp dụng
4. Nhiệm vụ của hồ chứa
CHƯƠNG II: ĐẶC TRƯNG KHÍ TƯỢNG HỒ CHỨA
1. Nhiệt độ không khí;
2. Độ ẩm không khí;
3. Tốc độ gió trung bình;
4. Bốc hơi;
5. Lượng mưa trung bình nhiều năm;
6. Lượng mưa thời đoạn ngày lớn nhất.
CHƯƠNG III: TÍNH TOÁN DÒNG CHẢY ĐẾN HỒ CHỨA NƯỚC
1. Tính toán kỹ thuật
Áp dụng phương pháp và công nghệ tính toán hiện hành để phân tích, xác định hoặc kiểm tra, rà soát các nội dung sau đây:
1.1. Lượng mưa năm và phân phối mưa năm thiết kế.
(Tính toán theo các tiêu chuẩn, quy chuẩn hiện hành).
1.2. Dòng chảy năm và phân phối dòng chảy năm thiết kế.
(Tính toán theo các tiêu chuẩn, quy chuẩn hiện hành).
1.3. Dòng chảy lũ và mô hình lũ thiết kế; kiểm tra an toàn phòng chống lũ của hồ chứa.
(Tính toán theo các tiêu chuẩn, quy chuẩn hiện hành).
1.4. Bốc hơi thiết kế, độ ẩm, nhiệt độ và các loại tổn thất khác ảnh hưởng đến việc trữ nước và cấp nước của hồ chứa.
Tính toán theo tiêu chuẩn Việt Nam TCVN 10778 Hồ chứa - Xác định các mực nước đặc trưng.
(Khi chưa bố trí được kinh phí để thuê đơn vị tư vấn tính toán các nội dung trên thì có thể xác định bằng số liệu thống kê tại hồ chứa)
2. Kết quả tính toán kỹ thuật
2.1. Kết quả tính toán kỹ thuật nhằm thuyết minh về phương pháp, trình tự và kết quả tính toán; quá trình lựa chọn các chỉ tiêu, thông số kỹ thuật để lập Quy trình. Kết quả của tính toán dòng chảy đến hồ chứa là các bảng kết quả lưu lượng dòng chảy thiết kế, tổng lượng dòng chảy thiết kế theo các tần suất thiết kế khác nhau cho từng tháng trong năm được chọn làm đại biểu.
2.2. Đối với các hồ chứa đang vận hành khai thác cần tham vấn chủ hồ chứa các thông số kỹ thuật cần thiết.
CHƯƠNG IV: TÍNH TOÁN NHU CẦU DÙNG NƯỚC
1. Tình hình sử dụng nước của hệ thống
Nhu cầu cấp nước (nông nghiệp, sinh hoạt và các nhu cầu cấp nước khác):
1.1. Nhu cầu nước cho nông nghiệp chủ yếu là nước phục vụ tưới cho các cây trồng và các nhu cầu cần thiết khác cho nông nghiệp.
1.2. Về tưới cần xác định rõ cơ cấu, thời vụ của cây trồng, diện tích tưới các vụ.
1.3. Nhu cầu nước cho nuôi trồng thủy sản (nếu có) bao gồm: lượng nước để đảm bảo duy trì thường xuyên môi trường thích hợp cho loại thủy sản được nuôi trồng.
1.4. Nhu cầu nước cho lâm nghiệp (nếu có) bao gồm: lượng nước để duy trì chế độ sinh trưởng bình thường cho cây rừng và lượng nước cần thiết để có thể chống cháy rừng phòng khi xảy ra hoả hoạn.
1.5. Nhu cầu nước cho công nghiệp (nếu có) bao gồm: toàn bộ các loại nước cần cho nhà máy để tạo ra thành phẩm và nước để chống ô nhiễm, bảo vệ môi trường cho khu vực nhà máy và vùng lân cận.
1.6. Nước cho dân sinh (nếu có): chủ yếu là nước để ăn uống, sinh hoạt.
Phụ lục C
(Tham khảo)
HƯỚNG DẪN XÂY DỰNG BIỂU ĐỒ ĐIỀU PHỐI HỒ CHỨA NƯỚC
C1. Đối với hồ chứa điều tiết năm
- Bước 1: Từ chuỗi số liệu thực đo của các năm có tài liệu quan trắc, tiến hành hiệu chỉnh dòng chảy các tháng của năm sao cho sau khi hiệu chỉnh dòng chảy năm tính toán bằng dòng chảy năm thiết kế.
- Bước 2: Hiệu chỉnh dòng chảy tháng của từng năm đã chọn theo hệ số tỉ lệ:
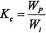
![]()
Trong đó: WP là tổng lượng dòng chảy năm thiết kế, Wi là tổng lượng dòng chảy năm thứ i. Dòng chảy hàng tháng của từng năm sau khi hiệu chỉnh tính theo công thức sau:
Wti = Kc x Wi
Trong đó Wti là tổng lượng dòng chảy tháng của năm thứ i.
- Bước 3: Tính điều tiết thuận chiều thời gian (hay từ trên xuống như ví dụ ở Bảng 2) xác định nhánh tích nước theo công thức:
V(tj) = V(tj-1) + [WQ(tj) - Wq(tj)]
Trong đó: WQ(tj) là lượng nước đến tháng j, Wq(tj) là lượng nước ra khỏi hồ tháng j, bao gồm cả tổn thất bốc hơi và thấm. Lưu ý: Khi V(tj)>Vbt thì phải xả tràn và lấy V(tj)=Vbt. Trong đó Vbt là dung tích hồ ứng với mực nước dâng bình thường. Tại thời điểm t0 dung tích hồ là dung tích chết.
- Bước 4: Tính điều tiết ngược chiều thời gian (hay từ dưới lên như ví dụ ở Bảng 3) xác định nhánh cấp nước theo công thức:
V(tj) = V(tj-1) + [Wq(tj) - WQ(tj)]
Lưu ý: Khi V(tj)>Vbt thì phải xả tràn và lấy V(tj)=Vbt. Trong đó Vbt là dung tích hồ ứng với mực nước dâng bình thường. Tại thời điểm t0 dung tích hồ là dung tích chết.
- Bước 5: Với mỗi năm đã chọn vẽ được 1 đường cong V~t bao gồm nhánh tích nước ghép với nhánh cấp nước. Thời gian nhánh tích nước thường được chọn theo thời gian mùa lũ hoặc thời kỳ thừa nước. Thời gian nhánh cấp nước thường được chọn theo thời gian mùa kiệt hoặc thời kỳ thiếu nước. Tập hợp các đường cong V~t được họ đường cong (xem ví dụ Hình 3).
- Bước 6: Vẽ đường bao trên và đường bao dưới của họ đường cong. Đường bao trên là Đường cấp nước gia tăng, đường bao dưới là Đường hạn chế cấp nước (xem ví dụ Hình 4).
2. Nhiệm vụ tính toán
Lập được bảng tổng hợp và biểu đồ yêu cầu dùng nước từ hồ của các ngành tương ứng với mức đảm bảo thiết kế và mức thiệt hại cho phép trong những năm thiếu nước. Tùy từng trường hợp cụ thể của công trình hồ chứa nước mà xác lập biểu đồ dùng nước tương ứng với chu kỳ điều tiết theo ngày, theo tuần (10 ngày), theo tháng, theo năm hoặc nhiều năm phù hợp với yêu cầu và phương pháp tính toán điều tiết hồ chứa.
3. Phương pháp và tài liệu sử dụng để tính toán
Tính toán nhu cầu dùng nước của các ngành theo Tiêu chuẩn chuyên ngành như: tưới cho nông nghiệp, sinh hoạt, công nghiệp, thủy sản, giao thông thủy, phát điện, dịch vụ, du lịch...
Nói rõ tính bằng phương pháp nào, cần những số liệu gì; tính bằng tay hay sử dụng phần mềm và chỉ rõ nguồn gốc của phần mềm.
(Khi chưa bố trí được kinh phí để thuê đơn vị tư vấn tính toán các nội dung trên thì có thể xác định bằng số liệu thống kê kết quả cấp nước 5 năm gần nhất)
4. Kết quả tính toán
4.1. Kết quả trình bày ở dạng tổng hợp.
4.2. Thể hiện ở dạng bảng số và đồ thị.
5. Nhận xét
5.1. Nhận xét tính hợp lý của kết quả tính toán.
5.2. So sánh với thiết kế cũ cả về tổng lượng và phân phối (lớn hơn, nhỏ hơn, phân tích đánh giá nguyên nhân).
5.3. Đối với các hồ chứa nước chưa đủ điều kiện tính toán có thể tham khảo các hồ chứa nước tương tự trong vùng.
CÁC BÁO CÁO KẾT QUẢ TÍNH TOÁN KỸ THUẬT KÈM THEO
- Kết quả tính toán dòng chảy đến hồ chứa nước.
- Kết quả tính toán nhu cầu dùng nước.
Bảng 2 - Bảng tính nhánh tích nước năm 2017 - 1980 hồ A
| Năm | Tháng | Wđến | Wq | Tính toán tổn thất | Wq+Wtt | Điều tiết hồ chứa | |||||||||||
| ΔW | Wtích | Wtb | F | Wbh | Wthấm | Wtổn thất | ΔW | Wtích | Ztl | ||||||||
| + | - | + | - | ||||||||||||||
| 106 m3 | 106 m3 | 106 m3 | 106 m3 | 106 m3 | 106 m3 | ha | 106 m3 | 106 m3 | 106 m3 | 106m3 | 106 m3 | 106 m3 | 106 m3 | m | |||
|
|
|
|
|
|
|
| 4.14 |
|
|
|
|
|
|
|
| 4.14 |
|
| 2017 | 2018 | T10 | 7.36 | 0.20 | 7.15 |
| 11.29 | 7.72. | 132.7 | 0.066 | 0.077 | 0.143 | 0.35 | 7.01 |
| 11.15 | 19.9 |
|
|
| T11 | 18.32 | 0.10 | 18.22 |
| 29.51 | 20.40 | 172.9 | 0.086 | 0.204 | 0.290 | 0.39 | 17.93 |
| 29.08 | 30.5 |
|
|
| T12 | 10.77 | 0.11 | 10.67 |
| 34.82 | 32.17 | 198.8 | 0:099 | 0.322 | 0.421 | 0.53 | 10.25 |
| 34.82 | 33.4 |
|
|
| T1 | 2.02 | 1.25 | 0.77 |
| 34.82 | 34.82 | 204.8 | 0.102 | 0.348 | 0.450 | 1.70 | 0.32 |
| 34.82 | 33.4 |
|
|
| T2 | 1.34 | 2.91 |
| 1.57 | 33.25 | 34.03 | 203.0 | 0.101 | 0.340 | 0.441 | 3.36 |
| 2.02 | 32.80 | 32.4 |
|
|
| T3 | 1.11 | 5.99 |
| 4.87 | 28.37 | 30.81 | 195.9 | 0.097 | 0.308 | 0.406 | 6.39 |
| 5.28 | 27.53 | 29.7 |
|
|
| T4 | 0.80 | 7.06 |
| 6.26 | 22.11 | 25.24 | 183.9 | 0.091 | 0.252 | 0.344 | 7.41 |
| 6.60 | 20.92 | 26.0 |
|
|
| T5 | 0.71 | 1.91 |
| 1.20 | 20.91 | 21.51 | 175.4 | 0.087 | 0.215 | 0.302 | 2.21 |
| 1.51 | 19.42 | 25.2 |
|
|
| T6 | 0.84 | 3.71 |
| 2.87 | 18.04 | 19.47 | 170.8 | 0:085 | 0.195 | 0.280 | 3.99 |
| 3.15 | 16.27 | 23.3 |
|
|
| T7 | 1.02 | 5.84 |
| 4.82 | 13.22 | 15.63 | 160.3 | 0.080 | 0.156 | 0.236 | 6.08 |
| 5.06 | 11.21 | 20.0 |
|
|
| T8 | 1.07 | 6.56 |
| 5.49 | 7.73 | 10.48 | 143.1 | 0.071 | 0.105 | 0.176 | 6.74 |
| 5.66 | 5.55 | 15.8 |
|
|
| T9 | 1.03 | 4.51 |
| 3.48 | 4.25 | 5.99 | 125.0 | 0.062 | 0.060 | 0.122 | 4.63 |
| 3.60 | 4.14 | 14.6 |
Bảng 3 - Bảng tính nhánh cấp nước năm 1979 - 1980 hồ A
| Năm | Tháng | Wđến | Wq | Tính toán tổn thất | Wq+Wtt | Điều tiết hồ chứa | |||||||||||
| ΔW | Wtích | Wtb | F | Wbh | Wthấm | Wtổn thất | ΔW | Wtích | Ztl | ||||||||
| + | - | + | - | ||||||||||||||
| 106 m3 | 106 m3 | 106 m3 | 106 m3 | 106 m3 | 106 m3 | ha | 106 m3 | 106 m3 | 106 m3 | 106 m3 | 106 m3 | 106 m3 | 106 m3 | m | |||
| 2017 | 2018 | T10 | 7.36 | 0.20 | 7115 |
| 4.14 | 4.60 | 117.3 | 0.058 | 0.046 | 0.104 | 0.31 | 7.05 |
| 4.14 | 14.6 |
|
|
| T11 | 18.32 | 0.10 | 18.22 |
| 5.06 | 14.17 | 154.6 | 0.077 | 0.142 | 0.219 | 0.32 | 18.00 |
| 6.21 | 16.3 |
|
|
| T12 | 10.77 | 0.11 | 10.67 |
| 23.27 | 28.61 | 191.4 | 0.095 | 0.286 | 0.381 | 0.49 | 10.29 |
| 24.21 | 27.9 |
|
|
| T1 | 2.02 | 1.25 | 0.77 |
| 33.94 | 34.33 | 203.7 | 0.101 | 0.343 | 0.445 | 1.70 | 0.32 |
| 34.50 | 33.2 |
|
|
| T2 | 1.34 | 2.91 |
| 1.57 | 34.71 | 33.92 | 202.8 | 0.101 | 0.339 | 0.440 | 3.35 |
| 2.01 | 34.82 | 33.4 |
|
|
| T3 | 1.11 | 5.99 |
| 4.87 | 33.14 | 30.70 | 195.7 | 0.097 | 0.307 | 0.404 | 6.39 |
| 5.28 | 34.82 | 33.4 |
|
|
| T4 | 0.80 | 7.06 |
| 6.26 | 28.26 | 25.13 | 183.6 | 0.091 | 0.251 | 0.343 | 7.41 |
| 6.60 | 29.71 | 30.8 |
|
|
| T5 | 0.71 | 1.91 |
| 1.20 | 22.00 | 21.40 | 175.1 | 0.087 | 0.214 | 0.301 | 2.21 |
| 1.51 | 23.11 | 27.3 |
|
|
| T6 | 0.84 | 3.71 |
| 2.87 | 20.80 | 19.36 | 170.5 | 0.085 | 0.194 | 0.278 | 3.99 |
| 3.15 | 21.61 | 26.4 |
|
|
| T7 | 1.02 | 5.84 |
| 4.82 | 17.93 | 15.52 | 159.9 | 0.080 | 0.155 | 0.235 | 6.07 |
| 5.05 | 18.46 | 24.6 |
|
|
| T8 | 1.07 | 6.56 |
| 5.49 | 13.11 | 10.36 | 142.7 | 0.071 | 0.104 | 0.175 | 6.73 |
| 5.66 | 13.40 | 21.5 |
|
|
| T9 | 1.03 | 4.51 |
| 3.48 | 7.62 | 5.88 | 124.4 | 0.062 | 0.059 | 0.121 | 4.63 |
| 3.60 | 7.74 | 17.5 |
|
|
|
|
|
|
|
| 4.14 |
|
|
|
|
|
|
|
| 4.14 |
|

Hình 3 - Họ đường cong tích nước - cấp nước hồ A

Hình 4 - Đường hạn chế cấp nước và Đường cấp nước gia tăng hồ chứa nước A
C2. Đối với hồ chứa điều tiết nhiều năm
- Bước 1: Từ chuỗi số liệu dòng chảy đến hồ, lựa chọn một số năm có tổng lượng nước đến xấp xỉ tổng lượng nước dùng.
- Các bước 2, 3, 4, 5 tương tự như trường hợp hồ điều tiết năm.
- Bước 6: Vẽ đường bao trên và bao dưới của các đường cong dung tích hồ. Đường bao trên chính là đường cấp nước gia tăng. Đường bao dưới được di chuyển xuống phía dưới một khoảng cách tung độ bằng phần dung tích điều tiết nhiều năm, và trở thành đường hạn chế cấp nước (xem ví dụ Hình 5).

THƯ MỤC TÀI LIỆU THAM KHẢO
[1] Luật Thủy lợi ngày 19/6/2017.
[2] Nghị định số 114/2018/NĐ-CP ngày 04/9/2018 của Chính phủ, về quản lý an toàn đập, hồ chứa nước.
[3] TCVN 8412 Công trình Thủy lợi - Hướng dẫn lập Quy trình vận hành.
[4] TCVN 8414 Công trình Thủy lợi - Quy trình quản lý vận hành, khai thác và kiểm tra hồ chứa nước.
[5] TCVN 11699 Công trình Thủy lợi - Đánh giá an toàn đập.
MỤC LỤC
1 Phạm vi áp dụng
2 Tài liệu viện dẫn
3 Thuật ngữ và định nghĩa
4 Yêu cầu đối với tài liệu cơ bản phục vụ lập quy trình vận hành hồ chứa nước
5 Yêu cầu đối với biểu đồ điều phối hồ chứa nước
6 Biên soạn quy trình vận hành hồ chứa nước
7 Báo cáo kết quả tính toán kỹ thuật
Phụ lục A (Quy định): Quy định về nội dung, yêu cầu kỹ thuật đối với quy trình vận hành hồ chứa nước
A1. Quy trình vận hành hồ chứa nước loại quan trọng đặc biệt, lớn và vừa
A2. Quy trình vận hành hồ chứa nước loại nhỏ
Phụ lục B (Quy định): Mẫu báo cáo kết quả tính toán lập quy trình vận hành hồ chứa nước
B1. Báo cáo kết quả tính toán lập quy trình vận hành hồ chứa nước loại quan trọng đặc biệt, hồ chứa nước loại lớn và hồ chứa nước loại vừa
B2. Báo cáo kết quả tính toán lập quy trình vận hành hồ chứa nước loại nhỏ
Phụ lục C (Tham khảo): Hướng dẫn xây dựng biểu đồ điều phối hồ chứa nước
C1. Đối với hồ chứa điều tiết năm
C2. Đối với hồ chứa điều tiết nhiều năm
Bạn chưa Đăng nhập thành viên.
Đây là tiện ích dành cho tài khoản thành viên. Vui lòng Đăng nhập để xem chi tiết. Nếu chưa có tài khoản, vui lòng Đăng ký tại đây!