- Tổng quan
- Nội dung
- Tiêu chuẩn liên quan
- Lược đồ
- Tải về
Tiêu chuẩn TCVN 14272-1:2024 Hệ thống tưới tiêu - Tưới phun mưa cho cây công nghiệp ngắn ngày
| Số hiệu: | TCVN 14272-1:2024 | Loại văn bản: | Tiêu chuẩn Việt Nam |
| Cơ quan ban hành: | Bộ Khoa học và Công nghệ | Lĩnh vực: | Nông nghiệp-Lâm nghiệp |
| Trích yếu: | Hệ thống tưới tiêu - Tưới phun mưa - Phần 1: Tưới cho cây công nghiệp ngắn ngày | ||
|
Ngày ban hành:
Ngày ban hành là ngày, tháng, năm văn bản được thông qua hoặc ký ban hành.
|
31/12/2024 |
Hiệu lực:
|
Đã biết
|
| Người ký: | Đang cập nhật |
Tình trạng hiệu lực:
Cho biết trạng thái hiệu lực của văn bản đang tra cứu: Chưa áp dụng, Còn hiệu lực, Hết hiệu lực, Hết hiệu lực 1 phần; Đã sửa đổi, Đính chính hay Không còn phù hợp,...
|
Đã biết
|
TÓM TẮT TIÊU CHUẨN VIỆT NAM TCVN 14272-1:2024
Tiêu chuẩn quốc gia TCVN 14272-1:2024: Hệ thống tưới tiêu - Tưới phun mưa cho cây công nghiệp ngắn ngày
Tiêu chuẩn quốc gia TCVN 14272-1:2024 được ban hành để thay thế cho TCVN 9170:2012, được soạn thảo bởi Viện Nước, Tưới tiêu và Môi trường theo chỉ định của Bộ Nông nghiệp và Phát triển nông thôn. Tiêu chuẩn này có hiệu lực từ ngày ban hành và nó cung cấp hướng dẫn chi tiết cho hệ thống tưới phun mưa đặc biệt áp dụng cho cây công nghiệp ngắn ngày.
Tiêu chuẩn áp dụng cho hệ thống tưới phun mưa, trong đó định nghĩa các thuật ngữ và yêu cầu kỹ thuật liên quan đến tưới cho các cây trồng có thời gian sinh trưởng ngắn hạn, thường không quá 12 tháng như cây đậu tương, mía, thuốc lá, và nhiều loại cây khác. Tiêu chuẩn cũng yêu cầu sử dụng tài liệu khí tượng, nguồn nước, thổ nhưỡng và cây trồng để xác định mức độ tưới cần thiết.
Một trong những khía cạnh quan trọng trong Tiêu chuẩn này là quy định về mức tưới toàn vụ, được tính bằng tổng lượng nước tưới cho một đơn vị diện tích canh tác trong suốt thời gian sinh trưởng của cây, ký hiệu là M (m3/ha). Mức tưới có thể thay đổi tùy thuộc vào từng giai đoạn sinh trưởng của cây và loại cây cụ thể.
Mức tưới mặt ruộng, ký hiệu là mmr, được xác định bằng công thức dựa trên chiều sâu tưới và các yếu tố đất đai, bao gồm độ ẩm tối đa đồng ruộng và độ ẩm cây héo. Mức tưới thực tế còn được điều chỉnh để tính toán tổn thất nước do bốc hơi và gió. Có ba chế độ tưới chính được đề xuất tùy vào loại cây trồng: tưới ướt, tưới khô và tưới trung bình.
Thời gian tưới của một ca được xác định dựa trên mức tưới và cường độ phun mưa, trong khi số ca tưới trong một ngày cũng được quy định rõ ràng. Tiêu chuẩn nhấn mạnh vai trò của sự điều chỉnh mức tưới dựa trên lượng mưa, với các chỉ đạo thích hợp cho từng mức mưa khác nhau. Nếu lượng mưa trên 75% mức tưới, không cần thực hiện tưới.
Ngoài ra, cường độ phun mưa phải phù hợp với khả năng thấm của đất, và chỉ số sương hóa của tưới phun mưa cũng cần đạt yêu cầu nhằm đảm bảo hiệu quả tưới. Hệ số đồng đều của tưới phun mưa không được nhỏ hơn 0,80, đảm bảo nước được phân phối đồng đều trong khu vực tưới.
Tiêu chuẩn này còn cung cấp hướng dẫn về bón phân kết hợp với tưới phun mưa, đảm bảo hiệu quả sử dụng phân bón và tưới nước cho cây trồng sau khi bón phân. Đây là những yếu tố nhằm góp phần nâng cao năng suất cây trồng và tối ưu hóa tài nguyên sử dụng trong nông nghiệp.
Tải tiêu chuẩn Việt Nam TCVN 14272-1:2024
TIÊU CHUẨN QUỐC GIA
TCVN 14272-1:2024
HỆ THỐNG TƯỚI TIÊU - TƯỚI PHUN MƯA - PHẦN 1: TƯỚI CHO CÂY CÔNG NGHIỆP NGẮN NGÀY
Irrigation and drainage system - Sprinkler irrigation - Part 1: Irrigation for short-term industrial crops
Lời nói đầu
TCVN 14272-1:2024 cùng với TCVN 14242-2:2024 và TCVN 14271:2024 thay thế TCVN 9170:2012. TCVN 14272-1:2024 do Viện Nước, Tưới tiêu và Môi trường biên soạn, Bộ Nông nghiệp và Phát triển nông thôn đề nghị, Bộ Khoa học và Công nghệ thẩm định, công bố.
HỆ THỐNG TƯỚI TIÊU - TƯỚI PHUN MƯA - PHẦN 1: TƯỚI CHO CÂY CÔNG NGHIỆP NGẮN NGÀY
Irrigation and drainage system - Sprinkler irrigation - Part 1: Irrigation for short-term industrial crops
1 Phạm vi áp dụng
Tiêu chuẩn này áp dụng đối với hệ thống tưới phun mưa cho cây công nghiệp ngắn ngày.
2 Tài liệu viện dẫn
Các tài liệu viện dẫn sau rất cần thiết cho việc áp dụng tiêu chuẩn này. Đối với các tài liệu viện dẫn ghi năm công bố thì áp dụng phiên bản được nêu. Đối với các tài liệu viện dẫn không ghi năm công bố thì áp dụng phiên bản mới nhất, bao gồm cả các sửa đổi, bổ sung (nếu có).
TCVN 8729, Đất xây dựng công trình thủy lợi - Phương pháp xác định khối lượng thể tích của đất tại hiện trường.
TCVN 14271, Hệ thống tưới tiêu - Tưới phun mưa - Yêu cầu thiết kế.
3 Thuật ngữ và định nghĩa
Trong tiêu chuẩn này sử dụng các thuật ngữ và định nghĩa sau:
3.1
Mức tưới toàn vụ (Total irrigation rate)
Lượng nước tưới tổng cộng cho một đơn vị diện tích canh tác trong suốt thời gian sinh trưởng của cây trồng trong một vụ, ký hiệu là M (m3/ha).
3.2
Chế độ tưới cho cây trồng (Irrigation regime for crops)
Chế độ tưới cho cây trồng thường được tính bằng lượng nước tưới bổ sung trong thời kỳ canh tác theo vụ hoặc theo năm của từng loại cây trồng và được biểu thị bằng các đại lượng như: Mùa tưới; thời gian tưới; thời gian tưới tiếp theo, khoảng thời gian tưới; mức tưới; số lần tưới... để đạt năng suất phấn đấu của cây trồng.
3.3
Cây công nghiệp ngắn ngày (Short-term industrial crops)
Cây trồng có thời gian sinh trưởng và cho thu hoạch trong vài tháng (không quá 12 tháng), sản phẩm được dùng để làm nguyên liệu cho sản xuất công nghiệp hoặc phải qua chế biến mới sử dụng được như cây lạc, đậu tương, đậu xanh, mía, dứa, thuốc lá, đay, bông vải, cói, gai xanh.
4 Yêu cầu tài liệu để tính toán
4.1 Tài liệu khí tượng
Tài liệu về khí tượng gồm: Lượng mưa, bốc hơi, nhiệt độ, độ ẩm không khí, vận tốc gió, bức xạ, số giờ nắng.
4.2 Tài liệu nguồn nước
Tài liệu nguồn nước gồm: Vị trí nguồn nước, chất lượng của nguồn nước, diễn biến mực nước, trữ lượng và lưu lượng khai thác; áp suất tại điểm cấp nước (đối với hệ thống cấp nước có áp). Chất lượng nước tưới cần đáp ứng theo các quy định hiện hành và hàm lượng tổng chất rắn hòa tan không vượt quá 2 000 mg/l để tránh gây tắc vòi phun mưa.
4.3 Tài liệu thổ nhưỡng
Tài liệu về thổ nhưỡng gồm: Loại đất, dung trọng đất khô, độ ẩm tối đa đồng ruộng, độ ẩm cây héo, hệ số thấm của đất, độ sâu tầng đất canh tác trong khu tưới.
4.4 Tài liệu cây trồng
Tài liệu về cây trồng gồm: Loại cây trồng, thời vụ, thời kỳ sinh trưởng, kỹ thuật canh tác, chiều sâu bộ rễ; đặc điểm sinh lý nước đối với các giai đoạn sinh trưởng, phát triển của cây trồng.
4.5 Tài liệu khác
Các tài liệu về hệ thống tưới phun mưa, nhân lực quản lý vận hành.
5 Chế độ tưới
5.1 Mức tưới
5.1.1 Mức tưới mặt ruộng
Mức tưới cho cây công nghiệp ngắn ngày tại mặt ruộng khi tưới phun mưa được xác định theo công thức (1):
|
| (1) |
trong đó:
mmr là mức tưới tại mặt ruộng, m3/ha;
H là chiều sâu tưới, mm. H thường lấy theo chiều sâu vùng rễ hiệu quả của cây trồng theo từng giai đoạn sinh trưởng của cây trồng, được xác định bằng thực nghiệm;
γk là dung trọng khô của đất, t/m3. γk xác định theo TCVN 8729;
βđr là giá trị độ ẩm tối đa đồng ruộng của đất, được tính theo phần trăm trọng lượng đất khô, %. βđr được xác định bằng phương pháp lấy mẫu và cân, sấy hoặc đo bằng thiết bị đo áp lực ẩm (tensiometer), chi tiết phương pháp xác định βđr theo TCVN 14271. Giá trị độ ẩm tối đa đồng ruộng và dung trọng đất khô theo loại đất theo TCVN 14271 khi không có tài liệu đo đạc;
βch là giá trị độ ẩm cây héo của đất, được tính theo phần trăm trọng lượng đất khô, %. βch được xác định bằng phương pháp lấy mẫu và cân, sấy hoặc đo bằng thiết bị tensiometer, chi tiết phương pháp xác định βch theo TCVN 14271. Giá trị độ ẩm cây héo và dung trọng đất khô theo loại đạt theo TCVN 14271 khi không có tài liệu đo đạc;
Kth là hệ số biểu thị độ thiếu hụt cho phép của tổng lượng nước hữu ích trong đất (βđr - βch) và được xác định bằng thí nghiệm hoặc thực nghiệm. Trường hợp không có số liệu thí nghiệm hoặc thực nghiệm có thể lấy giá trị Kth như sau:
- Kth = 0,3: Áp dụng cho cây công nghiệp ngắn ngày giai đoạn cây non;
- Kth = 0,5: Áp dụng cho cây công nghiệp ngắn ngày như cây lạc, đậu tương, đậu xanh, mía, dứa, thuốc lá;
- Kth = 0,7: Áp dụng cho cây công nghiệp ngắn ngày như cây đay, bông vải, cói, gai xanh.
5.1.2 Mức tưới
Mức tưới có xét đến tổn thất nước trong quá trình tưới (bốc hơi và gió cuốn đi, giữ lại trên thảm phủ bề mặt), được xác định theo công thức (2):
|
| (2) |
trong đó:
m là mức tưới, m3/ha;
mmr là mức tưới mặt ruộng, m3/ha;
η là hiệu quả tưới phun mưa, có thể chọn trong các khoảng sau tùy theo điều kiện khí hậu:
- Khi tốc độ gió nhỏ hơn 3,4 m/s, η lấy từ 0,8 đến 0,9;
- Khi tốc độ gió từ 3,4 m/s đến 5,4 m/s, η lấy từ 0,7 đến 0,8.
GHI CHÚ: Đối với các khu vực có nhiệt độ cao, độ ẩm thấp hoặc đất có khả năng giữ nước thấp, lấy η nhỏ. Đối với các khu vực có nhiệt độ thấp, độ ẩm cao lấy η lớn.
5.1.3 Công thức tưới
5.1.3.1 Tưới cho cây công nghiệp ngắn ngày là tưới không bão hòa tầng đất được tưới. Trong quản lý tưới thường áp dụng các công thức tưới sau:
- Tưới ướt là duy trì độ ẩm của đất (βi) trong khoảng βđr ≥ βi ≥ βđr - 0,3x(βđr - βch), áp dụng cho giai đoạn cây non;
- Tưới khô là duy trì độ ẩm của đất (βi) trong khoảng βđr ≥ βi ≥ βđr - 0,7x(βđr - βch), áp dụng cho cây đay, bông vải, cói, gai xanh;
- Tưới trung bình là duy trì độ ẩm của đất (βi) trong khoảng βđr ≥ βi ≥ βđr - 0,5x(βđr - βch), áp dụng cho cây lạc, đậu tương, đậu xanh, mía, dứa, thuốc lá.
5.1.3.2 Sử dụng thiết bị đo độ ẩm đất để xác định giá trị βi và thời điểm cần tưới nước.
5.2 Khoảng thời gian tưới
5.2.1 Khoảng thời gian của lần tưới kế tiếp được xác định theo công thức (3):
|
| (3) |
trong đó:
T là khoảng thời gian tưới, d;
mmr là mức mặt ruộng, m3/ha;
ETc là lượng bốc thoát hơi nước mặt ruộng, mm/d. ETc được xác định theo công thức (4):
|
| (4) |
Kc là hệ số cây trồng, phụ thuộc vào vị trí địa lý của vùng canh tác, loại cây trồng và giai đoạn sinh trưởng. Kc được xác định thông qua kết quả nghiên cứu thí nghiệm ở hiện trường trong điều kiện tưới phun mưa. Khi không có tài liệu thí nghiệm hiện trường, có thể tham khảo sử dụng hệ số Kc cho cây công nghiệp ngắn ngày trong TCVN 8641;
ET0 là lượng bốc thoát hơi nước tiềm năng (bốc hơi nước tiêu chuẩn), mm/d. ET0 được xác định bằng đo đạc tại hiện trường từ lượng bốc hơi của cây trồng tiêu chuẩn hoặc tính toán từ các số liệu khí tượng. ET0 cũng có thể được tính toán từ số liệu đo lượng bốc hơi nước mặt thoáng bằng chậu đo bốc hơi theo công thức (5):
|
| (5) |
trong đó:
Ep là lượng bốc hơi mặt thoáng bằng chậu đo bốc hơi, mm/d;
Kp là hệ số bốc hơi chậu. Kp phụ thuộc vào hình dáng chậu đo bốc hơi, vị trí đặt chậu, điều kiện khí hậu. Đối với chậu đo bốc hơi hình tròn, giá trị Kp thường trong khoảng từ 0,35 đến 0,85 và trung bình có thể chọn Kp = 0,70; đối với chậu đo bốc hơi hình vuông, giá trị Kp thường trong khoảng từ 0,45 đến 1,10 và trung bình có thể chọn Kp = 0,80.
5.3 Mức tưới toàn vụ
Mức tưới toàn vụ được xác định theo công thức (6):
|
| (6) |
trong đó:
M là mức tưới toàn vụ, m3/ha;
mi là mức tưới lần tưới thứ i, m3/ha;
nt là số lần tưới trong vụ.
5.4 Chế độ tưới
5.4.1 Chế độ tưới cho cây công nghiệp ngắn ngày có thể xác định theo phương pháp lập bảng (tham khảo Phụ lục B) hoặc bằng các phần mềm chuyên ngành về tưới. Ví dụ chế độ tưới cho cây công nghiệp ngắn ngày tham khảo Phụ lục C và Phụ lục D.
5.4.2 Điều chỉnh chế độ tưới
5.4.2.1 Điều chỉnh mức tưới khi có mưa như sau:
a) Khi lượng mưa P < 50 % mức tưới, tưới đầy đủ mức tưới;
b) Khi lượng mưa 50 % ≤ P< 75 % mức tưới, tưới bổ sung 50% mức tưới;
c) Khi P ≥ 75 % mức tưới, không thực hiện tưới.
5.4.2.2 Không thực hiện tưới khi tốc độ gió vượt quá 5 m/s. Không thực hiện tưới vào các giờ nắng cao điểm.
6 Kỹ thuật tưới phun mưa
6.1 Thông số kỹ thuật của tưới phun mưa
6.1.1 Cường độ phun mưa
Cường độ phun mưa không lớn hơn hệ số thấm của đất và không vượt quá cường độ phun mưa cho phép của đất. Cường độ phun mưa cho phép của đất theo TCVN 14271. Cường độ phun mưa được xác định theo công thức (7):
|
| (7) |
trong đó:
là cường độ phun mưa trung bình trên diện tích được tưới phun mưa, mm/h;
là độ sâu lớp nước được phun trung bình tại các điểm đo, mm;
td là thời gian đo lượng nước tưới phun mưa, giờ (h).
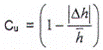
6.1.2 Hệ số đồng đều của tưới phun mưa
Hệ số đồng đều của tưới phun mưa cho cả khu tưới không nhỏ hơn 0,80 và cho từng hàng phun không không nhỏ hơn 0,85, được tính theo công thức (8):
|
| (8) |
trong đó:
Cu là hệ số đồng đều;
là độ sâu lớp nước phun tại các điểm đo, mm, xác định theo công thức (9):
|
| (9) |
|Δh| là chênh lệch bình quân ở các điểm đo, mm, xác định theo công thức (10):
|
| (10) |
trong đó:
hi là độ sâu lớp nước tưới phun tại điểm i, mm;
n là số điểm đo.
6.1.3 Chỉ số sương hóa của tưới phun mưa
Chỉ số sương hóa của tưới phun mưa hay còn gọi là độ thô của hạt mưa, xác định theo công thức (11):
|
| (11) |
trong đó:
Sh là chỉ số sương hóa của tưới phun mưa;
hv là áp suất thiết kế của vòi phun mưa, kPa;
dv là đường kính miệng vòi phun mưa, mm.
Chỉ số sương hóa thích hợp đối với cây công nghiệp ngắn ngày là Sh ≥ 3000.
6.2 Thời gian tưới phun mưa
6.2.1 Thời gian tưới của một ca tưới được xác định theo công thức (12):
|
| (12) |
trong đó:
t là thời gian tưới của một ca tưới, h;
m là mức tưới, m3/ha;
là cường độ phun mưa trung bình, mm/h.
6.2.2 Số ca tưới trong một ngày, được xác định theo công thức (13):
|
| (13) |
trong đó:
nd là số ca tưới làm việc trong một ngày;
t là thời gian tưới của một ca tưới, h;
td là thời gian tưới trong ngày, h. td thường lấy bằng 8 h đến 12 h đối với tưới cho cây công nghiệp ngắn ngày.
6.3 Tưới kết hợp bón phân
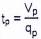
6.3.1 Thời gian bón phân được xác định theo công thức (14):
|
| (14) |
trong đó:
tp là thời gian bón phân, h;
qp là lưu lượng hút phân từ bể chứa dung dịch phân, L/h;
Vp là thể tích bể chứa dung dịch phân, L; Vp xác định theo công thức (15):
|
| (15) |
trong đó:
Vp là thể tích bể chứa dung dịch phân, L;
Wp là tổng lượng phân yêu cầu, kg/ha;
A là diện tích cần bón phân, ha;
Sp là độ hòa tan của dung dịch phân, kg/L.
6.3.2 Độ hòa của dung dịch phân nên theo hướng dẫn của nhà sản xuất. Trong trường hợp sử dụng nhiều loại phân cùng một lúc, cần chú ý khả năng phối hợp giữa các loại phân để tránh xảy ra hiện tượng kết tủa. Nếu các loại phân không phù hợp với nhau thì chia làm các đợt bón khác nhau cho mỗi loại phân.
6.3.3 Thời gian tưới phân không quá 60 % thời gian một đợt tưới.
6.3.4 Sau khi bón phân cần tiếp tục duy trì tưới nước để rửa lượng phân trong đường ống và phân bám trên mặt lá cây trồng, thời gian tưới không thấp hơn 10 phút và độ ẩm đất đạt βđr. Tưới phun mưa kết hợp bón phân tham khảo Phụ lục E.
Phụ lục A
(Tham khảo)
Ví dụ tính toán mức tưới cho cây công nghiệp ngắn ngày
Bảng A.1 - Mức tưới tính theo chiều tưới và độ ẩm đất với Kth = 0,5 và γk = 1,4 t/m3
| Chiều sâu tưới H mm | Mức tưới tính theo độ ẩm đất (βmax - βmin) m3/ha | ||||||
| 5 | 6 | 7 | 8 | 9 | 10 | 12 | |
| 1. Hiệu quả tưới phun η = 0,70 | |||||||
| 20 | 10,0 | 12,0 | 14,0 | 16,0 | 18,0 | 20,0 | 22,0 |
| 30 | 15,0 | 18,0 | 21,0 | 24,0 | 27,0 | 30,0 | 33,0 |
| 50 | 25,0 | 30,0 | 35,0 | 40,0 | 45,0 | 50,0 | 55,0 |
| 70 | 35,0 | 42,0 | 49,0 | 56,0 | 63,0 | 70,0 | 77,0 |
| 100 | 50,0 | 60,0 | 70,0 | 80,0 | 90,0 | 100,0 | 110,0 |
| 150 | 75,0 | 90,0 | 105,0 | 120,0 | 135,0 | 150,0 | 165,0 |
| 200 | 100,0 | 120,0 | 140,0 | 160,0 | 180,0 | 200,0 | 220,0 |
| 250 | 125,0 | 150,0 | 175,0 | 200,0 | 225,0 | 250,0 | 275,0 |
| 300 | 150,0 | 180,0 | 210,0 | 240,0 | 270,0 | 300,0 | 330,0 |
| 350 | 175,0 | 210,0 | 245,0 | 280,0 | 315,0 | 350,0 | 385,0 |
| 400 | 200,0 | 240,0 | 280,0 | 320,0 | 360,0 | 400,0 | 440,0 |
| 2. Hiệu quả tưới phun η = 0,80 | |||||||
| 20 | 8,8 | 10,5 | 12,3 | 14,0 | 15,8 | 17,5 | 19,3 |
| 30 | 13,1 | 15,8 | 18,4 | 21,0 | 23,6 | 26,3 | 28,9 |
| 50 | 21,9 | 26,3 | 30,6 | 35,0 | 39,4 | 43,8 | 48,1 |
| 70 | 30,6 | 36,8 | 42,9 | 49,0 | 55,1 | 61,3 | 67,4 |
| 100 | 43,8 | 52,5 | 61,3 | 70,0 | 78,8 | 87,5 | 96,3 |
| 150 | 65,6 | 78,8 | 91,9 | 105,0 | 118,1 | 131,3 | 144,4 |
| 200 | 87,5 | 105,0 | 122,5 | 140,0 | 157,5 | 175,0 | 192,5 |
| 250 | 109,4 | 131,3 | 153,1 | 175,0 | 196,9 | 218,8 | 240,6 |
| 300 | 131,3 | 157,5 | 183,8 | 210,0 | 236,3 | 262,5 | 288,8 |
| 350 | 153,1 | 183,8 | 214,4 | 245,0 | 275,6 | 306,3 | 336,9 |
| 400 | 175,0 | 210,0 | 245,0 | 280,0 | 315,0 | 350,0 | 385,0 |
| 3. Hiệu quả tưới phun η = 0,90 | |||||||
| 20 | 7,8 | 9,3 | 10,9 | 12,4 | 14,0 | 15,6 | 17,1 |
| 30 | 11,7 | 14,0 | 16,3 | 18,7 | 21,0 | 23,3 | 25,7 |
| 50 | 19,4 | 23,3 | 27,2 | 31,1 | 35,0 | 38,9 | 42,8 |
| 70 | 27,2 | 32,7 | 38,1 | 43,6 | 49,0 | 54,4 | 59,9 |
| 100 | 38,9 | 46,7 | 54,4 | 62,2 | 70,0 | 77,8 | 85,6 |
| 150 | 58,3 | 70,0 | 81,7 | 93,3 | 105,0 | 116,7 | 128,3 |
| 200 | 77,8 | 93,3 | 108,9 | 124,4 | 140,0 | 155,6 | 171,1 |
| 250 | 97,2 | 116,7 | 136,1 | 155,6 | 175,0 | 194,4 | 213,9 |
| 300 | 116,7 | 140,0 | 163,3 | 186,7 | 210,0 | 233,3 | 256,7 |
| 350 | 136,1 | 163,3 | 190,6 | 217,8 | 245,0 | 272,2 | 299,4 |
Phụ lục B
(Tham khảo)
Ví dụ tính toán chế độ tưới cho cây công nghiệp ngắn ngày theo phương pháp lập bảng
B.1 Lập bảng tính toán
Chế độ tưới cho cây trồng tại một giai đoạn sinh trưởng cụ thể (thời đoạn tính toán) được xác định theo phương trình cân bằng nước theo công thức (B1).
|
| (B1) |
trong đó:
mmri là mức tưới mặt ruộng cần tưới trong thời đoạn tính toán, m3/ha;
Whaoi là lượng nước hao trong thời đoạn tính toán, m3/ha;
Wci là lượng nước cần trữ trong tầng đất canh tác ở cuối thời đoạn tính toán, m3/ha;
Woi là lượng nước sẵn có trong đất ở đầu thời đoạn tính toán, m3/ha;
Pi là lượng nước mưa rơi xuống trong thời đoạn tính toán, m3/ha;
ΔWHI là lượng nước cây trồng sử dụng thêm từ lượng nước sẵn có ở dưới tầng đất ẩm do sự gia tăng chiều sâu tầng đất canh tác khi bộ rễ cây phát triển, m3/ha;
Wthaoi là lượng nước phải tháo khi lượng nước cần trữ trong tầng đất canh tác ở cuối thời đoạn tính toán Wci lớn hơn lượng nước trong đất ứng với độ ẩm cho phép lớn nhất Wβmaxi, m3/ha;
Bảng B.1 giới thiệu một mẫu bảng dùng để tính toán chế độ tưới theo phương trình cân bằng nước. Thời đoạn tính toán trong bảng tính bằng ngày (1 d).
Bảng B.1 - Bảng tính toán chế độ tưới cho cây trồng theo thời đoạn một ngày
| Tháng | Ngày | GĐ sinh trưởng | Hi mm | Whaoi m3/ha | Pi m3/ha | ΔWHi m3/ha | Wβmaxi m3/ha | Wβmini m3/ha | mmri m3/ha | Wci m3/ha | Wthaoi m3/ha |
| (1) | (2) | (3) | (4) | (5) | (6) | (7) | (8) | (9) | (10) | (11) | (12) |
|
|
|
|
|
|
|
|
|
|
|
|
|
Cách sử dụng bảng B.1 để tính toán như sau:
- Cột (1) ghi tháng tính toán chế độ tưới nằm trong mùa vụ sinh trưởng của cây trồng;
- Cột (2) ghi ngày tính toán chế độ tưới nằm trong mùa vụ sinh trưởng của cây trồng;
- Cột (3) ghi các giai đoạn sinh trưởng khác nhau của cây trồng theo thời gian;
- Cột (4) ghi độ sâu của bộ rễ thay đổi theo từng giai đoạn sinh trưởng của cây trồng (Hi);
- Cột (5) ghi kết quả tính toán lượng bốc thoát hơi nước mặt ruộng (ETc) từng ngày (ti) theo công thức (B2);
|
| (B2) |
- Cột (6) ghi kết quả tính toán lượng nước mưa trong thời đoạn tính toán, được tính chuyển đơn vị từ mm sang m3/ha;
- Cột (7) ghi kết quả tính toán lượng nước mà cây trồng sử dụng được do sự gia tăng chiều sâu tầng đất canh tác từ thời đoạn i-1 đến thời đoạn i theo công thức (B3):
|
| (B3) |
- Cột (8) ghi lượng nước trong đất ứng với độ ẩm đất lớn nhất, được tính toán theo công thức (B4):
|
| (B4) |
- Cột (9) ghi lượng nước trong đất ứng với độ ẩm nhỏ nhất, được tính toán theo công thức (B5):
|
| (B5) |
- Cột (10) ghi mức tưới mặt ruộng (mmri), m3/ha. Mức tưới mặt ruộng phải thỏa mãn điều kiện theo công thức (B6):
|
| (B6) |
Trường hợp mmri<Whaoi cần tăng số lần tưới trong ngày.
- Cột (11) ghi lượng nước cần trữ trong tầng đất canh tác ở cuối thời đoạn tính toán, được tính toán theo công thức (7):
|
| (B7) |
Lựa chọn mức tưới mặt ruộng trong công thức (B6) để Wci thỏa mãn điều kiện theo công thức (B8):
|
| (B8) |
- Cột (12) ghi lượng nước Wthaoi phải tháo khi lượng nước cần trữ trong tầng đất canh tác ở cuối thời đoạn tính toán Wci lớn hơn lượng nước trong đất ứng với độ ẩm cho phép lớn nhất Wβmaxi:
|
| (B9) |
Sau khi tính toán xong phải kiểm tra kết quả theo công thức (B10):
|
| (B10) |
Nếu lượng nước trong đất tại thời điểm cuối giai đoạn sinh trưởng của cây trồng tính theo bảng B.1 và kết quả tính toán Wc theo công thức (B10) chênh lệch không quá ±5 % thì kết quả tính toán chế độ tưới cho cây trồng theo phương pháp lập bảng đảm bảo độ chính xác yêu cầu.
B.2 Ví dụ tính chế độ tưới cho cây công nghiệp ngắn ngày
B.2.1 Các số liệu phục vụ tính toán
Các số liệu phục vụ tính toán như sau:
- Độ ẩm tối đa đồng ruộng của đất tính theo phần trăm dung trọng đất khô, βđr = 25,0 %;
- Độ ẩm cây héo của đất tính theo phần trăm dung trọng đất khô, βch = 14,8 %;
- Độ ẩm ban đầu của đất tính theo phần trăm dung trọng đất khô, β0 = 16,8 %;
- Dung trọng đất khô, γk = 1,43 t/m3;
- Hệ số thiếu hụt Kth = 0,5;
- Chiều sâu bộ rễ cây trồng, lượng nước hao và lượng mưa như Bảng B.2.
B.2.2 Kết quả tính toán
Bảng B.2 - Bảng tính toán chế độ tưới cho cây công nghiệp ngắn ngày
| Tháng | Ngày | GĐ sinh trưởng | Hi mm | Whaoi m3/ha | Pi m3/ha | ΔWHi m3/ha | Wβmaxi m3/ha | Wβmini m3/ha | mmri m3/ha | Wci m3/ha | Wthaoi m3/ha |
|
|
| Trồng - Bén rễ | 50 |
|
|
|
|
|
| 120,12 |
|
| 10 | 50 | 24,6 |
|
| 178,8 | 142,3 | 50,0 | 145,5 |
| ||
| 11 | 50 | 24,6 |
|
| 178,8 | 142,3 | 50,0 | 170,9 |
| ||
| 12 | 50 | 24,6 |
|
| 178,8 | 142,3 |
| 146,3 |
| ||
| 13 | 50 | 24,6 |
|
| 178,8 | 142,3 | 50,0 | 171,7 |
| ||
| 14 | 50 | 24,6 |
|
| 178,8 | 142,3 |
| 147,1 |
| ||
| 15 | 100 | 24,6 | 78,5 | 14,3 | 357,5 | 284,6 | 80,0 | 295,3 | 0 | ||
| 16 | 100 | 24,6 |
|
| 357,5 | 284,6 | 80,0 | 350,7 |
| ||
| 17 | 100 | 24,6 |
|
| 357,5 | 284,6 |
| 326,1 |
| ||
| 18 | 100 | 24,6 |
|
| 357,5 | 284,6 |
| 301,5 |
| ||
| 19 | 100 | 24,6 |
|
| 357,5 | 284,6 | 80,0 | 356,9 |
| ||
| 20 | 100 | 25,0 |
| 28,6 | 357,5 | 284,6 |
| 331,9 |
| ||
| 21 | 100 | 25,0 |
|
| 357,5 | 284,6 |
| 306,9 |
| ||
| 22 | 100 | 25,0 | 55,5 |
| 357,5 | 284,6 |
| 337,4 | 0 | ||
| 23 | 100 | 25,0 |
|
| 357,5 | 284,6 |
| 312,4 |
| ||
| 24 | 100 | 25,0 |
|
| 357,5 | 284,6 | 100,0 | 387,4 |
| ||
| 25 | Phát triển | 150 | 25,0 |
| 28,6 | 536,3 | 426,9 | 100,0 | 476,7 |
| |
| 26 | 150 | 25,0 |
|
| 536,3 | 426,9 |
| 451,7 |
| ||
| 27 | 150 | 25,0 |
|
| 536,3 | 426,9 | 100,0 | 526,7 |
| ||
| 28 | 150 | 25,0 |
|
| 536,3 | 426,9 |
| 501,7 |
| ||
| 29 | 150 | 25,0 |
|
| 536,3 | 426,9 |
| 476,7 |
| ||
| 30 | 150 | 25,0 |
|
| 536,3 | 426,9 |
| 451,7 |
| ||
| 31 | 150 | 25,0 |
|
| 536,3 | 426,9 | 100,0 | 526,7 |
| ||
|
| 1 | 150 | 27,5 | 60,2 | 28,6 | 536,3 | 426,9 |
| 559,4 | 0 | |
| 2 | 150 | 27,5 |
|
| 536,3 | 426,9 |
| 531,9 |
| ||
| 3 | 150 | 27,5 |
|
| 536,3 | 426,9 |
| 504,4 |
| ||
| 4 | 200 | 27,5 |
|
| 715,0 | 569,1 | 100,0 | 591,2 |
| ||
| 5 | 200 | 27,5 |
|
| 715,0 | 569,1 | 100,0 | 663,7 |
| ||
| 6 | 200 | 27,5 |
|
| 715,0 | 569,1 |
| 636,2 |
| ||
| 7 | 200 | 27,5 |
|
| 715,0 | 569,1 |
| 608,7 |
| ||
| 8 | 200 | 27,5 | 65,4 |
| 715,0 | 569,1 |
| 646,6 | 0 | ||
| 9 | 200 | 27,5 | 30,5 |
| 715,0 | 569,1 |
| 649,6 | 0 | ||
| 10 | 200 | 27,5 | 55,6 |
| 715,0 | 569,1 |
| 677,7 | 0 | ||
| 11 | 200 | 26,8 |
|
| 715,0 | 569,1 |
| 650,9 |
| ||
| 12 | 200 | 26,8 |
|
| 715,0 | 569,1 |
| 624,1 |
| ||
| 13 | 200 | 26,8 |
|
| 715,0 | 569,1 | 100,0 | 697,3 |
| ||
| 14 | 250 | 26,8 |
|
| 893,8 | 711,4 | 100,0 | 784,8 |
| ||
| 15 | 250 | 26,8 |
|
| 893,8 | 711,4 |
| 758,0 |
| ||
| 16 | 250 | 26,8 |
|
| 893,8 | 711,4 | 100,0 | 831,2 |
| ||
| 17 | 250 | 26,8 |
|
| 893,8 | 711,4 |
| 804,4 |
| ||
| 18 | 250 | 26,8 |
|
| 893,8 | 711,4 |
| 777,6 |
| ||
| 19 | 250 | 26,8 |
|
| 893,8 | 711,4 | 100,0 | 850,8 |
| ||
| 20 | 250 | 26,8 | 50,5 |
| 893,8 | 711,4 |
| 874,5 | 0 | ||
| 21 | 250 | 26,8 |
|
| 893,8 | 711,4 |
| 847,7 |
| ||
| 22 | 250 | 26,8 |
|
| 893,8 | 711,4 |
| 820,9 |
| ||
| 23 | 250 | 26,8 |
|
| 893,8 | 711,4 |
| 794,1 |
| ||
| 24 | 300 | 26,8 |
|
| 1 072,5 | 853,7 | 100,0 | 881,6 |
| ||
| 25 | 300 | 26,8 | 53,6 |
| 1 072,5 | 853,7 |
| 908,4 | 0 | ||
| 26 | 300 | 26,8 | 76,8 |
| 1 072,5 | 853,7 |
| 958,4 | 0 | ||
| 27 | 300 | 26,8 |
|
| 1 072,5 | 853,7 |
| 931,6 |
| ||
| 28 | 300 | 26,8 |
|
| 1 072,5 | 853,7 | 100,0 | 1004,8 |
| ||
| 3 | 1 | Ra hoa- Tạo quả- Thu hoạch | 300 | 29,5 |
| 28,6 | 1 072,5 | 853,7 |
| 975,3 |
|
| 2 | 300 | 29,5 |
|
| 1 072,5 | 853,7 |
| 945,8 |
| ||
| 3 | 300 | 29,5 |
|
| 1 072,5 | 853,7 |
| 916,3 |
| ||
| 4 | 300 | 29,5 |
|
| 1 072,5 | 853,7 | 100,0 | 986,8 |
| ||
| 5 | 300 | 29,5 |
|
| 1 072,5 | 853,7 |
| 957,3 |
| ||
| 6 | 300 | 29,5 |
|
| 1 072,5 | 853,7 |
| 927,8 |
| ||
| 7 | 300 | 29,5 |
|
| 1 072,5 | 853,7 | 100,0 | 998,3 |
| ||
| 8 | 300 | 29,5 |
|
| 1 072,5 | 853,7 |
| 968,8 |
| ||
| 9 | 300 | 29,5 |
|
| 1 072,5 | 853,7 |
| 939,3 |
| ||
| 10 | 300 | 29,5 |
|
| 1 072,5 | 853,7 | 100,0 | 1 009,8 |
| ||
| 11 | 300 | 29,5 |
|
| 1 072,5 | 853,7 |
| 980,3 |
| ||
| 12 | 300 | 29,5 |
|
| 1 072,5 | 853,7 |
| 950,8 |
| ||
| 13 | 300 | 29,5 |
|
| 1 072,5 | 853,7 |
| 921,3 |
| ||
| 14 | 300 | 29,5 |
|
| 1 072,5 | 853,7 | 100,0 | 991,8 |
| ||
| 15 | 300 | 29,5 |
|
| 1 072,5 | 853,7 |
| 962,3 |
| ||
| 16 | 300 | 29,5 |
|
| 1 072,5 | 853,7 |
| 932,8 |
| ||
| 17 | 300 | 29,5 |
|
| 1 072,5 | 853,7 | 100,0 | 1 003,3 |
| ||
| 18 | 300 | 29,5 |
|
| 1 072,5 | 853,7 |
| 973,8 |
| ||
| 19 | 300 | 29,5 |
|
| 1 072,5 | 853,7 |
| 944,3 |
| ||
| 20 | 300 | 29,5 |
|
| 1 072,5 | 853,7 |
| 914,8 |
| ||
| 21 | 300 | 29,5 |
|
| 1 072,5 | 853,7 | 100,0 | 985,3 |
| ||
| 22 | 300 | 29,5 |
|
| 1 072,5 | 853,7 |
| 955,8 |
| ||
| 23 | 300 | 29,5 |
|
| 1 072,5 | 853,7 |
| 926,3 |
| ||
| 24 | 300 | 29,5 |
|
| 1 072,5 | 853,7 | 100,0 | 996,8 |
| ||
| 25 | 300 | 29,5 |
|
| 1 072,5 | 853,7 |
| 967,3 |
| ||
| 26 | 300 | 29,5 |
|
| 1 072,5 | 853,7 |
| 937,8 |
| ||
| 27 | 350 | 29,5 |
|
| 1 251,3 | 996,0 | 100,0 | 1 022,6 |
| ||
| 28 | 350 | 29,5 |
|
| 1 251,3 | 996,0 | 100,0 | 1 093,1 |
| ||
| 29 | 350 | 29,5 |
|
| 1 251,3 | 996,0 |
| 1 063,6 |
| ||
| 30 | 350 | 29,5 | 100,5 |
| 1 251,3 | 996,0 |
| 1 134,6 |
| ||
| 31 | 350 | 29,5 |
|
| 1 251,3 | 996,0 |
| 1 105,1 |
| ||
| Tổng |
| 2 217,9 | 627,1 | 85,4 |
|
| 2 490,0 |
| 0 | ||
Kiểm tra kết quả tính toán theo công thức (B10). Các giá trị trong công thức gồm:
| - Lượng nước đầu vụ | : | W0 = 120,2 m3/ha |
| - Tổng nước tưới trong vụ | : | ∑mmri = 2 490,0 m3/ha |
| - Tổng lượng nước mưa trong vụ | : | ∑Pi = 627,1 m3/ha |
| - Tổng lượng nước tháo đi trong vụ | : | ∑Wthaoi = 0 m3/ha |
| - Tổng lượng nước cây trồng sử dụng được do tăng thêm chiều sâu bộ rễ trong vụ | : | ∑ΔWhi = 84,4 m3/ha |
| - Tổng lượng nước hao trong vụ | : | ∑Whaoi = 2 217,9 m3/ha |
Thay các giá trị vào công thức (B10) xác định được Wc như sau:
Wc = (120,2+627,1+2 490,0+85,4)-(2 217,9,1+0) = 1 105,1 m3/ha
Lớp nước cuối vụ tính toán tính theo kết quả bảng trên: Wc = 1 105,1 m3/ha
Sai số tính toán: ΔWc = 0 m3/ha. Vậy tính toán cho kết quả chính xác.
Phụ lục C
(Tham khảo)
Chế độ tưới cho cây dứa áp dụng kỹ thuật tưới phun mưa
C.1 Chiều sâu tầng đất cần tưới
Chiều sâu tầng đất cần tưới từ 0,3 m đến 0,6 m, phụ thuộc vào loại đất trồng dứa và thời đoạn sinh trưởng của cây dứa.
C.2 Độ ẩm đất thích hợp cho sự phát triển của cây dứa
Độ ẩm thích hợp cho sự phát triển của cây dứa từ 70 % đến 100 % độ ẩm tối đa đồng ruộng.
C.3 Chế độ tưới theo các thời kỳ sinh trưởng
C.3.1 Giai đoạn cây non
C.3.1.1 Thời gian sinh trưởng
Giai đoạn cây non tính từ thời điểm bắt đầu trồng đến hết giai đoạn sinh dưỡng. Thời gian sinh trưởng của giai đoạn cây non như sau:
- Sinh trưởng trong trong điều kiện có tưới, có tủ gốc: Từ 6 tháng đến 8 tháng;
- Sinh trưởng trong trong điều kiện có tưới nhưng không có tủ gốc: Từ 8 tháng đến 10 tháng;
- Sinh trưởng trong trong điều kiện không tưới, không có tủ gốc: Từ 10 tháng đến 12 tháng;
C.3.1.2 Chế độ tưới
a) Ngay sau khi trồng xong tưới một đợt. Sau đó 20 ngày tưới tiếp đợt thứ hai. Mức tưới mỗi đợt như sau:
- Có tủ gốc: 120 m3/ha;
- Không tủ gốc: 130 m3/ha;
b) Chế độ tưới cho cây dứa từ thời điểm cây đã bén rễ đến hết giai đoạn cây non như sau:
- Số lần tưới:
+ Có tủ gốc: 5 lần;
+ Không tủ gốc: 8 lần;
+ Khoảng cách giữa hai lần tưới: 30 ngày.
- Mức tưới mỗi lần: 120 m3/ha;
C.3.2 Giai đoạn từ xử lý ra hoa đến kết quả
Giai đoạn này kéo dài một tháng. Trước khi xử lý ra hoa tưới một lần với mức tưới là 100 m3/ha.
C.3.3 Giai đoạn từ kết quả đến chín
Giai đoạn này kéo dài từ 3,5 tháng đến 4,0 tháng. Ruộng trồng dứa có tủ gốc tưới 3 lần. Ruộng không tủ gốc tưới 6 lần. Mỗi lần tưới cách nhau khoảng 20 ngày. Mức tưới mỗi lần là 120 m3/ha.
C.3.4 Giai đoạn từ chín đến thu hoạch
Giai đoạn này kéo dài từ 1,0 tháng đến 1,5 tháng: Không tưới.
C.3.5 Giai đoạn lấy chồi
Giai đoạn này kéo dài từ 3,5 tháng đến 4,0 tháng: Không tưới.
C.3.5 Tổng mức tưới cả vụ
Tổng mức tưới cả vụ khi có tủ gốc là 1 300 m3/ha và khi không có tủ gốc là 2 040 m3/ha. Giai đoạn sinh trưởng của dứa ở thời kỳ cây non và thời kỳ từ kết quả đến chín là quan trọng nhất quyết định đến năng suất và chất lượng quả dứa.
Phụ lục D
(Tham khảo)
Chế độ tưới cho cây lạc khu vực miền Trung áp dụng kỹ thuật tưới phun mưa
D.1 Xác định thời điểm tưới nước của cây lạc
D.1.1 Mùa vụ
a) Vụ Xuân:
- Vùng đất thấp, ven sông bố trí sớm tránh lụt tiểu mãn, vùng trung du miền núi bố trí sớm để tránh hạn đầu vụ. Thời gian gieo từ ngày 20 tháng 1 đến ngày 30 tháng 1;
- Vùng đồng bằng nên gieo tập trung từ ngày 1 tháng 2 đến ngày 15 tháng 2.
b) Vụ Hè thu:
- Gieo lạc từ ngày 1 tháng 6 đến ngày 15 tháng 6, gieo ngay khi thu hoạch cây vụ xuân.
c) Vụ Thu Đông:
- Gieo từ ngày 15 tháng 8 đến ngày 30 tháng 8.
D.1.2 Giới hạn độ ẩm đất cần tưới
a) Độ ẩm đất ở tầng 0 cm đến 30 cm khoảng 70 % đến 100 % độ ẩm tối đa đồng ruộng.
b) Phương pháp xác định độ ẩm đất: Sử dụng thiết bị đo độ ẩm đất như máy tensiometer (đo độ ẩm cầm tay), máy cân sấy, v.v.
D.1.3 Xác định thời điểm tưới
a) Vụ Xuân:
Giai đoạn gieo: (từ 10 đến 12 ngày) tưới 2 lần:
- Tưới lần 1: Sau gieo 1 ngày;
- Tưới lần 2: Tưới sau lần 1 khoảng 5 ngày.
Giai đoạn gieo đến ra hoa: Khoảng 30 ngày đến 32 ngày; tưới 3 lần:
- Tưới lần 4: Sau 8 ngày.
Giai đoạn: Ra hoa rộ đến quả chắc (khoảng 60 ngày); trung bình 8 ngày tưới 1 lần.
Giai đoạn quả chắc đến thu hoạch không tưới.
b) Vụ Hè thu:
Giai đoạn gieo: (từ 10 đến 12 ngày) tưới 2 lần:
- Tưới lần 1: Sau gieo 1 ngày;
- Tưới lần 2: Tưới sau lần 1 khoảng 5 ngày.
Giai đoạn gieo đến ra hoa: Khoảng 30 ngày; tưới 3 lần:
- Tưới lần 4: Sau 8 ngày
Giai đoạn: Ra hoa rộ đến quả chắc (khoảng 67 ngày); tưới 6 lần, trung bình 11 ngày tưới 1 lần.
Giai đoạn quả chắc đến thu hoạch: Không tưới.
c) Vụ Thu Đông:
Giai đoạn gieo: (10 ngày đến 12 ngày) tưới 2 lần:
- Tưới lần 1: Sau gieo 1 ngày;
- Tưới lần 2: Tưới sau lần 1 khoảng 5 ngày.
Giai đoạn gieo đến ra hoa: Khoảng 30 ngày; giai đoạn này tưới 3 lần:
- Tưới lần 4: Sau 8 ngày
Giai đoạn: Ra hoa rộ đến quả chắc (khoảng 67 ngày); tưới 5 lần, trung bình 12 ngày tưới 1 lần.
Giai đoạn quả chắc đến thu hoạch không tưới.
D.2 Lượng nước tưới
Lượng nước tưới phun mưa cho cây lạc xem bảng D.1.
D.3 Điều chỉnh lịch tưới khi có mưa
D.3.1 Giai đoạn gieo đến ra hoa
a) Khi lượng mưa nhỏ hơn 5 mm tưới bình thường;
b) Khi lượng mưa từ 5 mm đến 10 mm tưới 50 % so với mức tưới bình thường;
c) Khi lượng mưa lớn hơn 10 mm không tưới.
D.3.2 Giai đoạn hoa rộ đến quả chắc
a) Khi lượng mưa nhỏ 10 mm tưới bình thường;
b) Khi lượng mưa từ 10 mm đến 15 mm tưới 50 % so với mức tưới bình thường;
c) Khi lượng mưa lớn hơn 15 mm không tưới.
Bảng D.1- Lượng nước tưới phun mưa cho cây lạc
| Giai đoạn sinh trưởng | Thời gian ngày thứ | Mức tưới m3/ha | Số lần tưới |
| Vụ Xuân | |||
| Gieo | Từ 0 đến 12 | Từ 30 đến 35 | 2 |
| Gieo - Ra hoa | Tử 13 đến 42 | Từ 65 đến 70 | 4 |
| Ra hoa rộ - quả chắc | Từ 43 đến 110 | Từ 135 đến 140 | 8 |
| Quả chắc - thu hoạch | Từ 110 đến 120 |
| Không tưới |
| Tổng lượng nước tưới vụ Xuân | Từ 1 400 đến 1 470 |
| |
| Vụ Hè Thu | |||
| Gieo | Từ 0 đến 12 | Từ 30 đến 35 | 2 |
| Gieo - Ra hoa | Từ 13 đến 42 | Từ 65 đến 70 | 3 |
| Ra hoa rộ - quả chắc | Từ 43 đến 110 | Từ 135 đến 140 | 6 |
| Quả chắc - thu hoạch | Từ 110 đến 120 |
| Không tưới |
| Tổng lượng nước tưới vụ Hè Thu | Từ 1 065 đến 1 120 |
| |
| Vụ Thu Đông | |||
| Gieo | Từ 0 đến 12 | Từ 30 đến 35 | 2 |
| Gieo - Ra hoa | Từ 13 đến 42 | Từ 65 đến 70 | 2 |
| Ra hoa rộ - quả chắc | Từ 43 đến 110 | Từ 135 đến 140 | 5 |
| Quả chắc - thu hoạch | Từ 110 đến 120 |
| Không tưới |
| Tổng lượng nước tưới vụ Thu Đông | Từ 865 đến 910 |
| |
Phụ lục E
(Tham khảo)
Kỹ thuật tưới phun mưa kết hợp bón phân
E.1 Trường hợp không bón qua hệ thống tưới
E.1.1 Loại phân
Chọn các loại phân thông thường.
E.1.2 Chế độ bón phân
Thực hiện theo các quy trình và hướng dẫn đã được ban hành.
E.1.3 Trình tự tưới nước kết hợp bón phân
a) Bước 1 - Làm ẩm đất: Trước khi bón phân cần tưới để làm ẩm đất và lá;
b) Bước 2 - Tưới bón phân: Rải, bón phân xung quanh khu vực đã được làm ẩm;
c) Bước 3 - Tưới nước: Sau khi bón phân tưới đẫm nước đến độ ẩm đất đạt βđr.
E.2 Trường hợp bón qua hệ thống tưới
E.2.1 Loại phân
Chọn các loại phân có khả năng hòa tan 100 % trong nước hoặc phân chuyên dụng cho hệ thống tưới theo khuyến cáo của nhà sản xuất.
E.2.2 Hòa phân
Tỷ lệ hòa phân (nước/phân) nên theo hướng dẫn của nhà sản xuất. Trong trường hợp hòa nhiều loại phân cùng một lúc, cần chú ý khả năng phối hợp giữa các loại phân. Nếu các loại phân không phù hợp với nhau thì hòa riêng và chia làm các đợt bón khác nhau.
E.2.3 Chế độ bón phân
Thực hiện theo các quy trình và hướng dẫn đã được ban hành.
E.2.4 Trình tự tưới nước kết hợp bón phân:
a) Bước 1 - Làm ẩm đất: Trước khi bón phân cần tưới để làm ẩm đất và lá;
b) Bước 2 - Tưới bón phân: Tùy từng khối lượng, loại phân cho mỗi lần bón mà điều chỉnh thời gian bón phân cho phù hợp để tưới hết lượng phân cần bón;
c) Bước 3 - Tưới nước: Sau khi bón phân cần tiếp tục duy trì tưới nước để rửa lượng phân trong đường ống và phân bám trên mặt lá cây trồng, thời gian tưới không thấp hơn 10 phút và độ ẩm đất đạt βđr.
Lưu ý: Không bón phân khi độ ẩm đất lớn hơn 85 % độ ẩm tối đa đồng ruộng và khi có mưa.
Thư mục tài liệu tham khảo
[1] TCVN 14271 : 2024: Hệ thống tưới tiêu - Tưới phun mưa - Yêu cầu thiết kế
[2] TCVN 8641 : 2011: Công trình thủy lợi - Kỹ thuật tưới tiêu nước cho cây lương thực và cây thực phẩm.
[3] Quyết định số 402/QĐ-TCTL-KHCN ngày 20/09/2018 của Tổng cục Thủy lợi Ban hành Quy trình tưới phun mưa cho cây lạc khu vực miền Trung.
[4] Irrigation Engineering - Sprinkler, Trickle, Surtace Irrigation - Principles, Design and Agricultural Practices. Irrigation Engineering Scientitic Publication (IESP). 1984.
[5] FAO Irrigation and Drainage Paper No.56. Crop Evatranspiration. 2006.
[6] GB/T5005-2007: Technical specitication of sprinkler engineering. Standards of China. 2007.
[7] N. Tiwari and T. B. S. Rajput. Micro Irrigation Systems Design. 2015.
MỤC LỤC
Lời nói đầu
1 Phạm vi áp dụng
2 Tài liệu viện dẫn
3 Thuật ngữ và định nghĩa
4 Yêu cầu tài liệu dùng để tính toán
4.1 Tài liệu khí tượng
4.2 Tài liệu nguồn nước
4.3 Tài liệu thổ nhưỡng
4.4 Tài liệu cây trồng
4.5 Tài liệu khác
5 Chế độ tưới
5.1 Mức tưới
5.2 Khoảng thời gian tưới
5.3 Mức tưới toàn vụ
5.4 Chế độ tưới
6 Kỹ thuật tưới phun mưa
6.1 Thông số kỹ thuật của tưới phun mưa
6.2 Thời gian tưới phun mưa
6.3 Tưới kết hợp bón phân
Phụ lục A (Tham khảo): Ví dụ tính toán mức tưới cho cây công nghiệp ngắn ngày
Phụ lục B (Tham khảo): Ví dụ tính toán chế độ tưới theo phương pháp lập bảng
Phụ lục C (Tham khảo): Chế độ tưới cho cây dứa áp dụng kỹ thuật tưới phun mưa
Phụ lục D (Tham khảo): Chế độ tưới cho cây lạc khu vực miền Trung áp dụng kỹ thuật tưới phun mưa
Phụ lục E (Tham khảo): Kỹ thuật tưới phun mưa kết hợp bón phân
Thư mục tài liệu tham khảo
Bạn chưa Đăng nhập thành viên.
Đây là tiện ích dành cho tài khoản thành viên. Vui lòng Đăng nhập để xem chi tiết. Nếu chưa có tài khoản, vui lòng Đăng ký tại đây!


