- Tổng quan
- Nội dung
- Tiêu chuẩn liên quan
- Lược đồ
- Tải về
Tiêu chuẩn ngành 10 TCN 322:2003 Phương pháp kiểm nghiệm hạt giống cây trồng
| Số hiệu: | 10 TCN 322:2003 | Loại văn bản: | Tiêu chuẩn ngành |
| Cơ quan ban hành: | Bộ Nông nghiệp và Phát triển nông thôn | Lĩnh vực: | Nông nghiệp-Lâm nghiệp |
|
Ngày ban hành:
Ngày ban hành là ngày, tháng, năm văn bản được thông qua hoặc ký ban hành.
|
29/12/2003 |
Hiệu lực:
|
Đang cập nhật |
| Người ký: | Đang cập nhật |
Tình trạng hiệu lực:
Cho biết trạng thái hiệu lực của văn bản đang tra cứu: Chưa áp dụng, Còn hiệu lực, Hết hiệu lực, Hết hiệu lực 1 phần; Đã sửa đổi, Đính chính hay Không còn phù hợp,...
|
Đã biết
|
TÓM TẮT TIÊU CHUẨN NGÀNH 10 TCN 322:2003
Nội dung tóm tắt đang được cập nhật, Quý khách vui lòng quay lại sau!
TIÊU CHUẨN NGÀNH
10 TCN 322:2003
PHƯƠNG PHÁP KIỂM NGHIỆM HẠT GIỐNG CÂY TRỒNG
YÊU CẦU KỸ THUẬT
Seed Testing Methods
Chương 1
LẤY MẪU VÀ CHIA MẪU
(Sampling)
1.1. Mục đích
Mục đích của việc lấy mẫu và chia mẫu là lấy ra một mẫu nhỏ, có khối lượng phù hợp để thực hiện các phép thử cần thiết và xác suất có mặt của các thành phần ở trong mẫu là đại diện cho lô hạt giống.
1.2. Định nghĩa
1.2.1. Lô hạt giống (seed lot)
Lô hạt giống là một lượng hạt giống cụ thể, có cùng nguồn gốc và mức chất lượng, được sản xuất, chế biến, bảo quản cùng một qui trình, có thể nhận biết được một cách dễ dàng và không vượt quá khối lượng qui định.
1.2.2. Mẫu điểm (primary sample)
Mẫu điểm là một lượng nhỏ hạt giống được lấy ra từ một điểm ở trong lô hạt giống.
1.2.3. Mẫu hỗn hợp (composite sample)
Mẫu hỗn hợp được tạo thành bằng cách trộn tất cả các mẫu điểm được lấy từ lô hạt giống.
1.2.4. Mẫu gửi (submitted sample)
Mẫu gửi là mẫu được gửi đến phòng kiểm nghiệm. Mẫu gửi phải có khối lượng tối thiểu như qui định ở 1.6.3 và có thể bao gồm toàn bộ hoặc một phần của mẫu hỗn hợp.
1.2.5. Mẫu phân tích (working sample)
Mẫu phân tích là một mẫu giảm được lấy ra từ mẫu gửi ở phòng kiểm nghiệm để thực hiện một trong các phép thứ nêu ở trong tiêu chuẩn này.
1.2.6. Mẫu giảm (sub-sample)
Mẫu giảm là một phần của mẫu, được làm giảm khối lượng bằng cách dùng một trong các phương pháp chia mẫu được qui định ở 1.7.3.
1.2.7. Mẫu lưu (stored sample)
Mẫu lưu là một phần của mẫu gửi hoặc mẫu sau phân tích được lưu giữ, bảo quản trong những điều kiện thích hợp ở phòng kiểm nghiệm dùng để kiểm tra một số chỉ tiêu chất lượng của lô hạt giống khi cần thiết.
1.2.8. Niêm phong (sealed)
Niêm phong có nghĩa là vật chứa hoặc bao chứa hạt giống được đóng và gắn kín sao cho nếu chúng bị mở ra thì sẽ làm hỏng dấu niêm phong hoặc để lại chứng cớ can thiệp. Định nghĩa này có liên quan đến việc niêm phong lô hạt giống và mẫu gửi.
1.3. Các nguyên tắc chung
Các mẫu điểm lấy ngẫu nhiên từ lô hạt giống, có khối lượng gần bằng nhau ở các vị trí khác nhau trong lô hạt giống và trộn đều thành mẫu hỗn hợp. Từ mẫu hỗn hợp, dùng một trong các phương pháp chia mẫu như qui định ở 1.7.3 để lấy ra các mẫu gửi có khối lượng phù hợp.
1.4. Lô hạt giống
Để được cấp Chứng chỉ, lô hạt giống phải đáp ứng các yêu cầu sau đây:
1.4.1. Khối lượng của lô hạt giống
Lô hạt giống không được vượt quá khối lượng nêu ở Bảng 1A. Khi lô hạt giống có khối lượng vượt quá qui định này thì phải chia thành các lô nhỏ hơn để có khối lượng không vượt quá qui định, mỗi lô sẽ được nhận biết bằng một mã hiệu riêng.
Lô hạt giống sẽ được coi là lô nhỏ nếu có khối lượng bằng hoặc nhỏ hơn 1% khối lượng tối đa qui định ở Bảng 1A. Đối với những lô hạt giống có khối lượng nhỏ như vậy thì mẫu gửi có thể được phép nhỏ hơn (xem 1.6.3.), nhưng phải đảm bảo đủ để thực hiện các phép thử được yêu cầu.
1.4.2. Tính đồng nhất của lô hạt giống
Tại thời điểm lấy mẫu, lô hạt giống phải đảm bảo tính đồng nhất. Trong trường hợp nghi ngờ về sự không đồng nhất của lô hạt giống thì có thể tiến hành xác định tính không đồng nhất của lô hạt giống như qui định ở Phụ lục D-Thử nghiệm tính không đồng nhất đối với các lô hạt giống chứa trong nhiều loại bao chứa.
1.4.3. Vật chứa
Lô hạt giống phải được chứa ở trong các vật chứa (bao, côngtenơ, kho kín...) được niêm phong hoặc có thể niêm phong được và được gắn thẻ hoặc đánh dấu để nhận biết bằng một mã hiệu duy nhất. Chứng chỉ Lô hạt giống sẽ không cấp cho những lô đổ rời hoặc chứa trong các vật chứa không niêm phong hoặc không thể niêm phong được.
1.4.4. Đánh dấu và niêm phong lô hạt giống
Tại thời điểm lấy mẫu, tất cả các vật chứa phải được gắn thẻ hoặc đánh dấu để nhận ra đúng lô giống tương ứng với mã hiệu ở trên phiếu chứng chỉ. Mã hiệu của lô hạt giống phải thống nhất và thông báo cho phòng kiểm nghiệm có trách nhiệm giám sát hệ thống chứng nhận hạt giống.
Các vật chứa phải niêm phong hoặc được niêm phong dưới sự giám sát của người lấy mẫu hoặc dạng vật chứa tự niêm phong được công nhận bởi phòng kiểm nghiệm chịu trách nhiệm về việc lấy mẫu. Vật chứa sẽ được coi là đã được niêm phong nếu đảm bảo chắc chắn không thể mở ra được nếu không làm hỏng dấu niêm phong hoặc để lại chứng cớ can thiệp. Nếu các vật chứa không phải là dạng tự niêm phong thì sẽ được gắn dấu niêm phong chính thức bằng loại dấu không tẩy xóa được hoặc thẻ không tháo ra được, dưới sự kiểm soát của người lấy mẫu. Nếu lô hạt giống hoặc một phần lô hạt giống chưa niêm phong thì cả lô hoặc phần của lô hạt giống đó sẽ không được tiến hành lấy mẫu.
1.5. Thiết bị
Việc lấy mẫu lô hạt giống sẽ được thực hiện bằng cách dùng các phương pháp và thiết bị thích hợp. Các thiết bị và dụng cụ lấy mẫu cần thiết bao gồm:
- Xiên lấy mẫu.
- Cân có độ chính xác thích hợp.
- Dụng cụ chia mẫu.
- Các dụng cụ khác: túi, bao đựng mẫu, thẻ ghi chép, dụng cụ niêm phong...
1.6. Cách tiến hành lấy mẫu lô hạt giống
1.6.1. Hướng dẫn chung
Việc lấy mẫu để cấp Chứng chỉ phải được thực hiện bởi những người đã được đào tạo, có kinh nghiệm và được cấp giấy công nhận chính thức về lấy mẫu. Những qui định về lấy mẫu ở trong tiêu chuẩn này phải được tuân thủ khi tiến hành lấy mẫu lô hạt giống.
Để lô hạt giống được cấp chứng chỉ thì lô hạt giống phải được sắp xếp thuận lợi cho việc đi vào lấy mẫu ở từng vật chứa. Nếu lô hạt giống hoặc vật chứa không đáp ứng các qui định này thì việc lấy mẫu sẽ không được tiến hành và yêu cầu phải sắp xếp lại lô hạt giống. Theo yêu cầu của người lấy mẫu, chủ sở hữu của lô hạt giống phải cung cấp đầy đủ mọi thông tin liên quan đến quá trình hình thành lô hạt giống đó. Việc lấy mẫu sẽ bị hủy bỏ khi có bằng chứng rõ ràng về tính không đồng nhất của lô hạt giống.
Đối với các lô hạt giống chứa trong nhiều dạng vật chứa, nếu nghi ngờ về tính không đồng nhất của lô hạt giống thì thực hiện theo qui định ở Phụ lục D-Thử nghiệm tính không đồng nhất ở các lô hạt giống chứa trong nhiều dạng vật chứa
1.6.2. Số lượng mẫu điểm
Đối với những lô hạt giống ở trong các vật chứa hoặc bao chứa từ 15 đến 100kg, số lượng mẫu điểm tối thiểu cần lấy theo qui định sau:
| 1-4 bao | Lấy mẫu ở tất cả các bao, mỗi bao lấy 3 mẫu điểm |
| 5-8 bao | Lấy mẫu ở tất cả các bao, mỗi bao lấy 2 mẫu điểm |
| 9-15 bao | Lấy mẫu ở tất cả các bao, mỗi bao lấy 1 mẫu điểm |
| 16-30 bao | Lấy tổng số 15 mẫu điểm |
| 31-59 bao | Lấy tổng số 20 mẫu điểm |
| 60 bao hoặc hơn | Lấy tổng số 30 mẫu điểm |
Đối với các lô hạt giống ở trong vật chứa hoặc bao chứa nhỏ hơn 15kg, các bao chứa sẽ được gộp thành các đơn vị không vượt quá 100kg và mỗi đơn vị này được coi là một bao chứa nêu trong qui định trên.
Khi lấy mẫu hạt giống ở các vật chứa hoặc bao chứa lớn hơn 100kg hoặc từ dòng hạt đang đi vào các bao chứa, thì yêu cầu tối thiểu theo qui định sau đây:
| Khối lượng lô | Số lượng mẫu điểm cần lấy |
| ≤500kg | Lấy ít nhất 5 mẫu điểm |
| 501-3.000kg | Cứ 300 kg lấy một mẫu điểm, nhưng không dưới 5 mẫu điểm |
| 3.001-20.000kg | Cứ 500 kg lấy một mẫu điểm, nhưng không dưới 10 mẫu điểm |
| ≥20.001kg | Cứ 700 kg lấy một mẫu điểm, nhưng không dưới 40 mẫu điểm |
Trong mọi trường hợp, khi lấy mẫu lô hạt giống dưới 15 bao chứa hoặc vật chứa thì số lượng mẫu điểm được lấy ở mỗi bao chứa như nhau đối với những bao chứa được chọn để lấy mẫu.
1.6.3. Khối lượng mẫu gửi
Khối lượng tối thiểu của các mẫu gửi qui định như sau:
- Mẫu để xác định độ ẩm: 100g đối với các loài phải xay mẫu và 50g đối với các loài khác như qui định ở Bảng 1A.
- Mẫu để làm các phép thử khác: Ít nhất phải có khối lượng như qui định ở Bảng 1A.
- Đối với lô hạt giống có khối lượng nhỏ (xem 1.4.1.) thì mẫu gửi phải có khối lượng ít nhất bằng khối lượng của mẫu phân tích độ sạch nêu ở Bảng 1A, với điều kiện không yêu cầu kiểm tra hạt khác loài và hạt khác giống.
Trong trường hợp mẫu gửi có khối lượng nhỏ hơn qui định, thì phòng kiểm nghiệm sẽ thông báo cho người lấy mẫu và việc phân tích sẽ không được tiến hành cho đến khi nhận được một mẫu gửi khác; trừ trường hợp hạt giống rất đắt thì việc phân tích được thực hiện ở mức tối thiểu có thể được và kết quả phân tích được công bố như sau:
“Mẫu gửi đến chỉ có khối lượng... g, không phù hợp với qui định của phương pháp kiểm nghiệm hạt giống”.
1.6.4. Cách lấy các mẫu điểm
Các mẫu điểm có kích thước gần bằng nhau lấy từ mỗi vị trí được chọn để lấy mẫu ở trong bao chứa hoặc vật chứa, hoặc từ mỗi điểm được chọn để lấy mẫu ở trong thùng chứa lớn. Các phương pháp thích hợp được mô tả ở Phụ lục Chương 1 (1.6.4.A.).
Khi lô hạt giống chứa trong bao hoặc vật chứa, thì bao hoặc vật chứa được chọn để lấy mẫu một cách ngẫu nhiên đều khắp cả lô và các mẫu điểm sẽ được lấy ở đỉnh, ở giữa và ở đáy bao, nhưng không nhất thiết lấy nhiều hơn một vị trí ở trong một bao, trừ khi phải lấy 2 hoặc 3 mẫu điểm ở mỗi bao như qui định ở 1.6.2.
Khi hạt giống đựng trong thùng hoặc vật chứa lớn, các mẫu điểm sẽ được lấy ở các vị trí và độ sâu ngẫu nhiên.
Trong trường hợp hạt giống có vỏ ráp không thể chảy tự do được, các mẫu điểm có thể được lấy bằng tay.
Khi hạt giống đóng gói ở trong các vật chứa nhỏ hoặc vật chứa chống ẩm (hộp sắt tây hoặc bao, túi nilon), thì nên lấy mẫu trước khi hạt được đưa vào vật chứa. Khi không thực hiện được thì một số lượng vật chứa vừa đủ sẽ được mở ra để lấy các mẫu điểm, sau đó sẽ được đóng lại hoặc chuyển hạt giống sang các vật chứa mới.
Mẫu hạt giống cũng có thể được lấy trên băng chuyền đóng gói, miễn là mẫu phải được lấy đồng đều ngang qua mặt cắt của dòng hạt và không làm rơi vãi hạt ra ngoài.
1.6.5. Lập mẫu hỗn hợp
Nếu các mẫu điểm đồng nhất thì chúng được gộp lại để tạo thành một mẫu hỗn hợp.
1.6.6. Lập mẫu gửi
Các mẫu gửi được lập bằng cách giảm mẫu hỗn hợp đến kích thước phù hợp bằng một trong các phương pháp nêu ở 1.7.3, hoặc dùng loại thiết bị lớn hơn nếu cần thiết.
Nếu khó trộn và giảm mẫu một cách chính xác ở điều kiện nơi lấy mẫu, thì toàn bộ mẫu hỗn hợp sẽ được chuyển đến phòng kiểm nghiệm để giảm mẫu.
Nếu mẫu hỗn hợp có kích thước vừa đủ thì có thể được coi là mẫu gửi mà không cần phải giảm mẫu.
Các mẫu bổ sung do chủ lô hạt giống yêu cầu tại thời điểm lấy mẫu, nếu được chấp nhận, cũng sẽ được chuẩn bị như cách lập mẫu gửi và sẽ được ghi là “Mẫu thứ hai”.
1.6.7. Gửi mẫu
Mẫu gửi được ghi mã hiệu của lô hạt giống để khẳng định sự liên quan giữa mẫu và lô hạt giống. Để được cấp Chứng chỉ của lô hạt giống thì mẫu gửi phải được niêm phong.
Các mẫu sẽ được đóng gói để tránh bị hư hỏng trong quá trình vận chuyển. Các mẫu chỉ được đóng gói trong bao chống ẩm đối với mẫu phân tích độ ẩm hoặc trong trường hợp lô hạt giống đã được làm khô đến độ ẩm thấp và cũng được chứa ở trong các vật chứa chống ẩm. Các mẫu đựng trong bao chống ẩm, phải dồn hết không khí ra khỏi mẫu. Mẫu thử nẩy mầm không đóng gói trong bao chống ẩm, nếu không đáp ứng điều kiện trên.
Các mẫu cần gửi đến các phòng kiểm nghiệm hạt giống càng sớm càng tốt và phải do người lấy mẫu trực tiếp gửi, không được gửi qua chủ của lô giống, người đề nghị kiểm tra hoặc những người không được ủy quyền lấy mẫu. Nếu hạt giống đã được xử lý hóa chất thì tên của hóa chất xử lý phải được thông báo cho phòng kiểm nghiệm biết.
1.7. Cách tiến hành ở phòng thí nghiệm
1.7.1. Khối lượng tối thiểu của mẫu phân tích
Khối lượng tối thiểu của các mẫu phân tích được qui định ở từng phép thử.
1.7.2. Lập mẫu phân tích
Tại phòng kiểm nghiệm hạt giống, mẫu gửi sẽ được chia và làm giảm khối lượng để có mẫu phân tích phù hợp với qui định đối với từng phép thử.
Mẫu gửi trước hết được trộn đều. Sau đó, mẫu phân tích được lập bằng cách chia đôi nhiều lần, hoặc bằng cách lấy ra các phần nhỏ ngẫu nhiên rồi sau đó gộp và trộn lại. Các thiết bị và phương pháp được mô tả ở Phụ lục Chương 2.
Phương pháp chia đôi mẫu bằng tay chỉ được phép áp dụng đối với một số loài được qui định ở Phụ lục (1.7.3.A.4).
Các mẫu phân tích được lấy riêng, sau khi lấy mẫu phân tích hoặc nửa mẫu phân tích đầu tiên thì phần còn lại của mẫu gửi sẽ được trộn lại trước khi mẫu thứ hai hoặc nửa mẫu thứ hai được lấy.
Khi cần kiểm nghiệm lại thì một phần mẫu sẽ được lấy ra từ mẫu lưu theo một trong các phương pháp qui định ở 1.7.3. Phần còn lại sẽ được lưu giữ ở trong kho bảo quản.
1.7.3. Các phương pháp chia mẫu
1.7.3.1. Chia mẫu bằng thiết bị
Phương pháp này thích hợp cho tất cả các loại hạt giống, trừ các dạng hạt quá nhẹ và ráp không thể dùng các thiết bị chia mẫu được.
a) Thiết bị chia mẫu dạng nón (Boerner divider)
Thiết bị chia mẫu dạng nón, thường có 2 loại, loại kích thước nhỏ hơn cho các loài có hạt giống nhỏ và loại kích thước lớn hơn cho các loài có hạt giống lớn (lúa, ngô và đậu đỗ, hoặc lớn hơn). Các bộ phận chính gồm phễu chứa mẫu và thùng chia có dạng nón gồm các vách ngăn hướng hạt vào 2 khay hứng.
Các hướng dẫn chi tiết được nêu ở Phụ lục Chương 1 (1.7.3.A.1(a))
b) Thiết bị chia mẫu dạng hộp (Soil divider)
Là dạng thiết bị đơn giản hơn, được thiết kế trên cùng một nguyên tắc như thiết bị chia mẫu dạng nón. Các khe dẫn được bố trí thành một hàng thẳng thay cho việc bố trí thành vòng tròn như ở thiết bị chia mẫu dạng nón. Thiết bị này gồm một hộp chứa mẫu với các khe hoặc máng dẫn đính vào, một cái khung để giữ hộp đựng mẫu, hai cái khay đựng mẫu và một cái xẻng xúc mẫu.
Các hướng dẫn chi tiết nêu ở Phụ lục Chương 1 (1.7.3.A.1(b))
(c) Thiết bị chia mẫu ly tâm (Centrifugal divider)
Thiết bị chia mẫu ly tâm, dùng lực ly tâm để trộn và rải hạt lên khắp bề mặt chia.
Các hướng dẫn chi tiết nêu ở Phụ lục Chương 1 (1.7.3.A.1(c))
1.7.3.2. Chia mẫu bằng dụng cụ cải tiến
Phương pháp này thích hợp cho hầu hết các loại hạt giống
Các hướng dẫn chi tiết nêu ở Phụ lục Chương 1 (1.7.3.A.2)
1.7.3.3. Chia mẫu bằng thìa
Phương pháp này chỉ được dùng đối với các mẫu hạt giống có kích thước nhỏ hoặc khi cần lấy ra một lượng mẫu rất nhỏ.
Các hướng dẫn chi tiết nêu ở Phụ lục Chương 1 (1.7.3.A.3)
1.7.3.4. Chia mẫu bằng tay
Phương pháp này chỉ dùng đối với một số loại hạt có vỏ ráp như lúa, hạt cỏ...
Các hướng dẫn chi tiết nêu ở Phụ lục Chương 1 (1.7.3.A.4).
1.7.4. Bảo quản mẫu
1.7.4.1. Trước khi kiểm nghiệm
Cần phải bắt đầu kiểm nghiệm mẫu ngay trong ngày tiếp nhận. Nếu phải để chậm lại thì mẫu cần được bảo quản trong những điều kiện sao cho những thay đổi về chất lượng của hạt giống được giảm đến mức thấp nhất.
1.7.4.2. Sau khi kiểm nghiệm
Các mẫu sau phân tích được bảo quản tối thiểu 3 tháng kể từ ngày cấp chứng chỉ, trong những điều kiện phù hợp để giảm đến mức thấp nhất mọi sự thay đổi về chất lượng nhằm giải quyết các khiếu nại của người gửi mẫu về các kết quả kiểm nghiệm.
Khi cần kiểm nghiệm lại thì một phần mẫu sẽ được lấy ra từ mẫu lưu theo một trong các phương pháp qui định ở 1.7.3. Phần còn lại sẽ được lưu giữ ở trong kho bảo quản.
1.7.4.3. Mẫu lưu
Mẫu lưu từ mẫu gửi: Được bảo quản tối thiểu sau một vụ trong những điều kiện phù hợp để giảm đến mức thấp nhất mọi sự thay đổi về chất lượng nhằm giải quyết các tranh chấp về tính đúng giống và độ thuần của lô giống trong những trường hợp cần thiết. Tuy nhiên, phòng kiểm nghiệm sẽ không chịu trách nhiệm đối với mọi sự hư hỏng xảy ra do chất lượng ban đầu của mẫu.
Mẫu lưu sau phân tích: Toàn bộ mẫu sau phân tích sẽ được bảo quản tối thiểu 3 tháng để giải quyết các tranh chấp liên quan đến kết quả kiểm nghiệm.
1.7.5. Trình tự phân tích mẫu trong phòng kiểm nghiệm

Chương 2
PHÂN TÍCH ĐỘ SẠCH
(Purity analysis)
2.1. Mục đích
a) Xác định tỷ lệ phần trăm khối lượng các thành phần ở trong mẫu thử nghiệm, từ đó suy ra tỷ lệ các thành phần ở trong lô hạt giống.
b) Nhận biết các hạt khác loài và các dạng tạp chất có ở trong mẫu.
2.2. Định nghĩa
2.2.1. Hạt sạch (pure seed)
Hạt sạch là hạt của loài cây trồng mà người gửi mẫu yêu cầu kiểm tra hoặc chiếm ưu thế ở trong mẫu phân tích, bao gồm tất cả các giống của loài cây trồng đó.
Hạt sạch gồm các thành phần sau đây:
1) Các hạt giống nguyên vẹn (kể cả các hạt xanh non, bé nhỏ, teo quắt, bị bệnh hoặc đã nảy mầm nhưng vẫn có nội nhũ và được xác định chắc chắn là của loài đó nếu chúng không bị chuyển thành hạch nấm, cục nấm hoặc nốt tuyết trùng) và các dạng hạt giống đặc biệt như bông chét, quả bế, quả nẻ, quả dĩnh... được qui định đối với từng chi (genus) hoặc từng loài (species) ở phần định nghĩa về hạt sạch trong Phụ lục Chương 2 (2.2.1.A.1. và 2.2.1.A.2.).
2) Các mẩu vỡ của hạt giống có kích thước lớn hơn một nửa kích thước ban đầu của chúng.
3) Các hạt có phần phụ đính cùng: Các hạt có phần phụ đính cùng được qui định và báo cáo như ở Phụ lục (2.2.1..A.5.).
2.2.2. Hạt khác loài (other seeds)
Hạt khác loài là hạt của các loài cây trồng khác với loài của hạt sạch.
Đối với những loài và chi không có định nghĩa hạt sạch ở Phụ lục Chương 2 (2.2.1.A.1 và 2.2.1.A.2) thì áp dụng các định nghĩa ở 2.2.1. Các dạng quả đậu sẽ được bóc và tách riêng hạt giống ra, các phần nguyên liệu không phải là hạt giống sẽ được đưa vào tạp chất, trừ một số loài hoặc chi được nêu ở phần Định nghĩa Hạt sạch, Phụ lục Chương 2 (2.2.1.A.1 và 2.2.1.A.2.).
2.2.3. Tạp chất (inert matter)
Tạp chất bao gồm các dạng hạt và các dạng vật chất khác không được coi là hạt sạch hoặc hạt khác loài, cụ thể:
1) Dạng quả bế mà bên trong rõ ràng là không có hạt giống.
2) Mẩu vỡ hoặc gẫy của hạt giống có kích thước hoặc nhỏ hơn một nửa kích thước ban đầu.
3) Bộ phận khác ở hạt giống đưa vào phần hạt sạch (qui định ở Phụ lục Chương 2) thì phải tách ra và đưa vào phần tạp chất.
4) Hạt giống họ đậu (Fabaceae), họ cải (Brassicaceae) bị mất vỏ hoàn toàn.
5) Hạt giống họ Đậu (Fabaceae) bị tách đôi cũng được coi là tạp chất, bất kể có hoặc không có phôi và/hoặc có thể có hơn một nửa vỏ hạt đính cùng.
6) Hạt rỗng vỏ trấu, lông, cọng, lá, vẩy, cánh, vỏ cây, hoa, nốt tuyến trùng, các thể nấm như cựa gà, hạch nấm và khối bào tử nấm, đất, cát, đá, sỏi và các dạng vật chất khác.
2.3. Nguyên tắc chung
Mẫu phân tích độ sạch được tách ra 3 thành phần: hạt sạch, hạt khác loài và tạp chất. Tỷ lệ phần trăm của mỗi thành phần được xác định theo khối lượng của chúng ở trong mẫu. Tất cả các hạt khác loài và các dạng tạp chất có mặt sẽ được xác định càng kỹ càng tốt và nếu được yêu cầu báo cáo thì phải xác định tỷ lệ của chúng theo khối lượng.
2.4. Thiết bị và dụng cụ
- Máy thổi hạt hoặc sàng, rây thích hợp.
- Cân có độ chính xác thích hợp.
- Kính lúp, đèn chiếu sáng, hộp petri, panh gắp hạt...
2.5. Cách tiến hành
2.5.1. Mẫu phân tích
Mẫu phân tích độ sạch được lấy ra từ mẫu gửi như qui định ở 1.7. Mẫu phân tích độ sạch có thể là một mẫu toàn bộ có khối lượng tối thiểu như qui định ở bảng 1.A hoặc có thể là hai mẫu giảm, mỗi mẫu có khối lượng ít nhất bằng một nửa khối lượng qui định và được lấy độc lập.
Mẫu phân tích toàn bộ (hoặc từng mẫu giảm) được cân ở đơn vị gam (g), lấy đến số lẻ tối thiểu cần thiết để tính tỷ lệ phần trăm các thành phần của nó đến một số lẻ.
2.5.2. Tách các thành phần trong mẫu
1. Mẫu phân tích toàn bộ (hoặc mẫu giảm) sau khi cân, sẽ được kiểm tra để tách các thành phần: hạt sạch, hạt khác loài và tạp chất như định nghĩa ở 2.2. Nói chung, cách làm là quan sát bằng mắt thường hoặc dùng kính lúp và ánh sáng, kiểm tra kỹ từng hạt và các thành phần khác có ở trong mẫu. Trong một số trường hợp có thể dùng sàng, rây hoặc máy thổi để tách sơ bộ các thành phần ra khỏi mẫu. Việc tách các hạt sạch phải căn cứ vào đặc điểm bên ngoài của hạt giống, khi cần thiết có thể dùng các biện pháp cơ học như ấn nhẹ tay lên hạt để kiểm tra nhưng không được làm ảnh hưởng đến khẳ năng nảy mầm của hạt giống.
2. Khi tách các hạt sạch phải căn cứ vào định nghĩa cụ thể của hạt sạch đối với từng loài được chỉ dẫn ở Phụ lục (2.2.1.A.1 và 2.2.1.A.2.).
3. Khi mẫu gặp các loài không thể hoặc khó phân biệt với loài của hạt sạch, thì áp dụng một trong những cách được mô tả ở Phụ lục (2.6.A.1.).
4. Khi mẫu gặp các dạng tạp chất lớn có thể có ảnh hưởng đến kết quả độ sạch, thì áp dụng cách phân tích và báo cáo kết quả như ở Phụ lục (2.6.A.2.).
5. Khi mẫu gặp các hạt cỏ dại thuộc họ Hoà thảo (Gramineae) thì cách làm như qui định ở 2.5.3.
6. Khi mẫu gặp các dạng côn trùng còn sống thì cách làm như qui định ở 2.5.4.
7. Sau khi tách xong, từng thành phần (hạt sạch, hạt khác loài và tạp chất) sẽ được cân khối lượng (g) để tính tỷ lệ phần trăm. Tuỳ theo khối lượng của mẫu phân tích, số lẻ khi cân được qui định như sau:
Khối lượng của mẫu phân tích (g) Số lẻ cần lấy
< 1,000 4
1,000 - 9,999 3
10,00 - 99,99 2
100,0 - 999,9 1
³ 1000 0
2.5.3. Cách tính số lượng hạt cỏ dại
- Khi cần báo cáo số lượng hạt cỏ dại thì cách tính áp dụng như qui định đối với số lượng hạt khác loài ở Chương 3 (xem 3.6.). Kết quả được báo cáo là số lượng hạt cỏ dại tìm thấy trong tổng số hạt kiểm tra hoặc trong 1kg mẫu phân tích.
- Nếu người gửi mẫu yêu cầu xác định tên loài cỏ dại thì phải ghi đầy đủ tên và số lượng hạt của các loài cỏ dại được yêu cầu kiểm tra.
Lưu ý: Nếu phát hiện trong mẫu có hạt cỏ dại thuộc đối tượng kiểm dịch thì hải ngừng công việc phân tích, đề nghị niêm phong lô hạt giống đó và thông báo ngay cho các cơ quan kiểm dịch thực vật xử lý.
2.5.4. Cách tính số lượng sâu mọt sống
- Sâu mọt sống bao gồm tất cả các dạng còn sống của các loài côn trùng gây hại có mặt trong mẫu.
- Nguyên tắc chung cũng giống như đối với hạt cỏ dại, các dạng côn trùng còn sống được tách ra từ phần mẫu phân tích độ sạch, dùng tay giết chết côn trùng rồi đưa vào phần tạp chất để tính toán khối lượng của tạp chất.
- Khi cần báo cáo số lượng sâu mọt sống thì phải đếm số lượng các dạng côn trùng còn sống tìm thấy trong mẫu phân tích. Kết quả báo cáo là số lượng sâu mọt sống tìm thấy trong khối lượng hạt kiểm tra hoặc trong 1kg mẫu phân tích.
- Nếu người gửi mẫu yêu cầu xác định tên loài côn trùng thì phải ghi đầy đủ tên và số lượng của những loài côn trùng đó.
Lưu ý: Nếu phát hiện trong mẫu có sâu mọt là đối tượng kiểm dịch thì cũng phải ngừng ngay công việc phân tích, đề nghị niêm phong lô hạt giống và thông báo cho các cơ quan kiểm dịch thực vật xử lý.
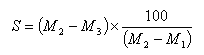
2.6. Tính toán kết quả
2.6.1. Phân tích một mẫu toàn bộ
2.6.1.1. Kiểm tra khối lượng mẫu tăng lên hay mất đi trong quá trình phân tích
Cộng khối lượng của tất cả các thành phần đã tách ra từ mẫu phân tích. Nếu tổng số chênh lệch quá 5% so với khối lượng ban đầu của mẫu phân tích thì phải làm lại phép thử. Kết quả của lần thử nghiệm sau sẽ được dùng để tính toán và báo cáo.
2.6.1.2. Tính tỷ lệ phần trăm khối lượng của các thành phần
Tỷ lệ phần trăm khối lượng của từng thành phần sẽ được tính toán dựa trên tổng khối lượng thực tế của các thành phần được tách ra, không dựa trên khối lượng ban đầu của mẫu phân tích.
Tỷ lệ phần trăm khối lượng của từng dạng hạt khác loài, hoặc từng dạng tạp chất không cần phải tính toán, trừ khi được yêu cầu.
2.6.1.3. Cách làm tròn số
Cộng các kết quả đã tính toán của các thành phần ở trong mẫu phân tích. Nếu tổng này không bằng đúng 100.0% (nghĩa là 99.9 hoặc 100.1%), thì sau đó phải cộng thêm hoặc bớt đi 0.1% ở phần có giá trị lớn nhất (thường là phần hạt sạch).
Lưu ý: Nếu tổng các kết quả đã tính toán mà vượt quá 0.1% thì phải kiểm tra lại lỗi do tính toán.
2.6.2. Phân tích hai nửa mẫu
2.6.2.1. Kiểm tra khối lượng mẫu tăng lên hay mất đi trong quá trình phân tích
Cộng khối lượng của tất cả các thành phần tách ra từ mẫu phân tích. Nếu tổng này chênh lệch quá 5% so với khối lượng ban đầu của mẫu phân tích thì phải làm lại phép thử. Kết quả của lần thử nghiệm sau sẽ được dùng để tính toán và báo cáo.
2.6.2.2. Tính toán tỷ lệ các thành phần
Đối với từng nửa mẫu phân tích, tính tỷ lệ phần trăm khối lượng của từng thành phần ở trong một mẫu phân tích, lấy ít nhất đến hai số lẻ. Tỷ lệ này phải dựa trên tổng khối lượng của các thành phần ở từng nửa mẫu, không dựa trên khối lượng ban đầu của mẫu phân tích. Cộng các tỷ lệ phần trăm tương ứng ở hai nửa mẫu và tính tỷ lệ trung bình của từng thành phần. (Tỷ lệ này có thể được làm tròn đến hai số lẻ, nhưng không được điều chỉnh để thành 100,00%). Kiểm tra sai số cho phép và làm tròn như qui định ở 2.6.1.3.
Tỷ lệ phần trăm khối lượng của từng dạng hạt khác loài, hoặc từng dạng tạp chất không cần phải tính toán, trừ khi được yêu cầu.
Để xác định tỷ lệ phần trăm cuối cùng trong báo cáo thì phải cộng tất cả khối lượng của hạt sạch, tạp chất và hạt khác loài ở từng lần nhắc và tính toán lại các tỷ lệ này dựa trên tổng khối lượng của từng phần ở cả hai lần nhắc.
2.6.2.3. Kiểm tra sự khác nhau giữa hai nửa mẫu phân tích
Sự khác nhau ở từng thành phần của hai nửa mẫu sẽ không được vượt quá sai số cho phép ở Bảng 2.A.1. Tìm giá trị trung bình của thành phần đó ở cột 1 hoặc 2; cột 3 hoặc 4 sẽ cho khoảng sai số cho phép tối đa giữa hai giá trị của thành phần đó.
Lặp lại cách làm này đối với tất cả các thành phần. Nếu tất cả các thành phần đều nằm trong sai số cho phép, thì tính giá trị trung bình cho từng thành phần như qui định ở 2.6.2.2.
Nếu có bất kỳ thành phần nào vượt quá sai số cho phép, thì làm như sau:
(a) Phân tích tiếp hai nửa mẫu khác (nhưng không quá 4 lần) cho đến khi có một cặp nửa mẫu có các thành phần nằm trong khoảng sai số cho phép.
(b) Loại bỏ các cặp nửa mẫu có kết quả chênh lệch vượt quá hai lần sai số cho phép.
(c) Tỷ lệ của mỗi thành phần được báo cáo là giá trị trung bình của tất cả các cặp nửa mẫu còn lại.
2.6.2.4. Cách làm tròn số
Nếu tất cả các lần nhắc của các thành phần đều nằm trong khoảng sai số cho phép thì cộng khối lượng của các thành phần tương ứng lại với nhau và tính toán tỷ lệ phần trăm rồi làm tròn số, lấy đến một số lẻ. Cách làm tròn số như qui định ở 2.6.1.3.
2.6.3. Hai hoặc nhiều mẫu phân tích toàn bộ
Khi cần phải kiểm tra thêm một mẫu phân tích toàn bộ nữa, thì áp dụng cách làm sau:
2.6.3.1. Cách tiến hành
Thực hiện phép thử như qui định ở 2.5.2. và tính toán kết quả như qui định ở 2.6.1.
2.6.3.2. Kiểm tra sự sai khác giữa các mẫu
Khi hai phép thử đã được thực hiện xong, tiến hành kiểm tra số liệu và tính toán như đối với phép thử trên hai nửa mẫu phân tích (2.6.2), nhưng dùng cột 3 hoặc 4 của Bảng 2.A.2. để xác định sai số cho phép tối đa giữa hai giá trị của từng thành phần.
Nếu sự sai khác giữa các kết quả của từng thành phần vượt quá sai số cho phép thì phải phân tích thêm một mẫu nữa. Nếu kết quả cao nhất và thấp nhất không vượt quá hai lần sai số cho phép, thì báo cáo tỷ lệ trung bình của cả 3 mẫu (qui định ở 2.6.3.3), trừ khi có một hoặc vài kết quả rõ ràng là do sai sót chứ không phải là sự sai khác ngẫu nhiên của mẫu. Trong trường hợp đó, phải loại bỏ phép thử có sai sót.
2.6.3.3. Cách tính toán và làm tròn số
Đối với những mẫu được đưa vào để tính kết quả, cộng khối lượng từng thành phần của từng mẫu lại với nhau và tiến hành tính toán như qui định ở 2.6.1.2. và làm tròn số như qui định ở 2.6.1.3. Tính trung bình kết quả của các mẫu và làm tròn số như qui định ở 2.6.1.3.
2.7. Báo cáo kết quả
Kết quả phân tích độ sạch sẽ được báo cáo tới 1 số lẻ và tỷ lệ phần trăm của tất cả các thành phần phải bằng 100.00%. Thành phần nào dưới 0.05% sẽ được ghi là “vết”.
Tỷ lệ phần trăm của hạt sạch, hạt khác loài và tạp chất được báo cáo ở trên phiếu kết quả phân tích. Nếu kết quả một thành phần nào đó bằng không, thì phải ghi là “-0.0-“.
Khi có dạng đặc biệt của tạp chất, của hạt khác loài, hoặc các hạt có các phần phụ (râu, cánh..) như qui định ở phần định nghĩa hạt sạch và qui định ở 2.2.1.A.5 trong Phụ lục, được tìm thấy vượt quá 1% và trong trường hợp người gửi mẫu yêu cầu, thì tỷ lệ phần trăm của từng loài, từng dạng tạp chất phải được báo cáo ở trên phiếu kết quả phân tích.
Khi khối lượng của mẫu phân tích độ sạch khác với qui định ở Bảng 1.A, thì khối lượng kiểm tra thực tế sẽ được báo cáo ở trên phiếu kết quả phân tích.
Chương 3
XÁC ĐỊNH SỐ LƯỢNG HẠT KHÁC LOÀI
(Determination of other seeds by number)
3.1. Mục đích
Xác định số lượng các hạt khác loài có trong mẫu thử nghiệm.
3.2. Các định nghĩa
3.2.1. Hạt khác loài: Là những hạt của loài khác với loài đang được kiểm tra như định nghĩa ở điều 2.2.2, Chương 2.
3.2.2. Phép thử trên mẫu toàn bộ: Là phép thử mà trong đó một mẫu phân tích toàn bộ (xem 3.5.1(a)) sẽ được phân tích và kiểm tra sự có mặt của tất cả các hạt khác loài.
3.2.3. Phép thử hạn chế: Là phép thử mà trong đó chỉ kiểm tra những loài được yêu cầu.
3.2.4. Phép thử trên mẫu giảm: Là phép thử mà trong đó chỉ một phần của mẫu phân tích được kiểm tra (xem 3.5.1(b)).
3.2.5. Phép thử trên mẫu giảm-hạn chế: Là phép thử mà trong đó mẫu phân tích có khối lượng ít hơn qui định và chỉ kiểm tra những loài được yêu cầu.
3.3. Các nguyên tắc chung
Phép thử được thực hiện bằng cách đếm và thể hiện bằng số lượng hạt khác loài được tìm thấy trong tổng số hạt hoặc khối lượng hạt được kiểm tra. Khi các hạt được tìm thấy không thể xác định chắc chắn đến mức độ loài thì cho phép chỉ báo cáo tên chi (genus).
Khi xác định số lượng hạt khác loài, những định nghĩa qui định ở điều 2.2 sẽ được áp dụng. Phạm vi xác định hạt khác loài để báo cáo sẽ là một phép thử trên mẫu toàn bộ, phép thử trên mẫu hạn chế, phép thử trên giảm hoặc phép thử trên mẫu giảm-hạn chế.
3.4. Thiết bị
Sàng, máy thổi, kính phóng đại, đèn và các dụng cụ khác có thể sử dụng để hỗ trợ cho cán bộ phân tích trong quá trình kiểm tra mẫu và giảm bớt những công việc liên quan.
3.5. Cách tiến hành
3.5.1. Mẫu phân tích
(a) Khối lượng của mẫu phân tích hoặc là một mẫu có khối lượng được ước tính để có ít nhất 25.000 hạt, hoặc không ít hơn khối lượng qui định ở Bảng 1.A.
(b) Nếu các loài được yêu cầu kiểm tra thuộc loại khó phân biệt thì chỉ cần kiểm tra ít nhất 1/5 khối lượng mẫu phân tích được qui định ở Bảng 1.A.
3.5.2. Kiểm tra
Mẫu phân tích sẽ được kiểm tra để tìm tất cả các hạt khác loài, hoặc chỉ những loài mà người gửi mẫu yêu cầu kiểm tra. Số lượng hạt khác loài tìm thấy sẽ được đếm.
Nếu chỉ cần tìm một số loài cụ thể được yêu cầu, thì sự kiểm tra có thể dừng lại khi đã tìm thấy một hoặc vài hạt của một hoặc tất cả những loài được yêu cầu (nghĩa là, phù hợp với yêu cầu của người gửi mẫu).
3.6. Tính toán kết quả
Tính số lượng hạt của từng loài yêu cầu hoặc tổng số hạt tìm thấy trong tổng số hạt kiểm tra. Ngoài ra, cũng có thể tính số lượng hạt trên một đơn vị khối lượng (chẳng hạn, trên 1kg).
Để quyết định xem sự sai khác của hai phép thử được thực hiện ở cùng một phòng kiểm nghiệm hoặc ở các phòng kiểm nghiệm khác nhau là có ý nghĩa hay không thì dùng Bảng 3.A.1 ở Phụ lục Chương 3. Hai mẫu so sánh phải có khối lượng gần bằng nhau.
Nếu phép thử thứ hai hoặc nhiều phép thử hơn được tiến hành trên cùng một mẫu thì sau đó kết quả báo cáo là tổng số hạt tìm thấy trong tổng khối lượng hạt kiểm tra.
3.7. Báo cáo kết quả
Khối lượng hạt thực tế kiểm tra, tên khoa học và số lượng hạt của từng loài tìm thấy trong khối lượng này được báo cáo trên phiếu kết quả phân tích, ngoài ra kết quả cũng có thể được thể hiện là số hạt của từng loài hoặc tổng số các hạt khác loài trên 1kg.
Trên phiếu kết quả ghi là phép thử toàn bộ, phép thử hạn chế, phép thử trên mẫu giảm hoặc phép thử trên mẫu giảm-hạn chế tùy theo từng trường hợp cụ thể.
Chương 4
KIỂM TRA HẠT KHÁC GIỐNG
(Verification of other variety seeds)
4.1. Mục đích
Xác định số lượng hạt khác giống ở trong mẫu phân tích để tính mức độ lẫn hạt khác giống ở trong lô hạt giống.
4.2. Định nghĩa
4.2.1. Mẫu chuẩn (standard sample)
Là mẫu hạt giống có các đặc điểm đặc trưng về hình thái và sinh lý phù hợp với bản mô tả giống, được cơ quan chuyên môn có thẩm quyền công nhận.
4.2.2. Hạt khác giống (other variety seeds)
Là hạt của giống khác, có những đặc điểm đặc trưng về hình thái có thể phân biệt rõ với hạt của giống mà người gửi mẫu yêu cầu thử nghiệm, được tính bằng tỷ lệ phần trăm hoặc số hạt trong một đơn vị khối lượng.
4.3. Nguyên tắc chung
- Phép thử hạt khác giống được tiến hành từ phần hạt sạch như qui định ở phương pháp phân tích độ sạch (điều 2.2.1) .
- Hạt khác giống được đếm và tính tỷ lệ phần trăm số hạt tìm thấy trong tổng số hạt kiểm tra hoặc trong một đơn vị khối lượng hạt kiểm tra.
- Phương pháp kiểm tra hạt khác giống trong tiêu chuẩn này chủ yếu là dựa vào các đặc điểm bên ngoài của hạt giống và quyết định của người phân tích, do vậy người làm phép thử này phải có kinh nghiệm trong việc nhận biết các giống và phải có sẵn các bản mô tả giống hoặc mẫu chuẩn để so sánh.
4.4. Thiết bị và dụng cụ
- Bàn soi hạt có đèn và kính lúp.
- Cân có độ chính xác thích hợp.
- Các thiết bị và dụng cụ khác: Thiết bị quang học, dao gạt, panh, hộp petri, khay...
4.5. Cách tiến hành
4.5.1. Mẫu phân tích
4.5.1.1. Trường hợp hạt khác giống được yêu cầu báo cáo là tỷ lệ phần trăm số hạt
a) Nếu tỷ lệ hạt khác giống yêu cầu báo cáo không có số lẻ thì mẫu phân tích gồm 2 mẫu giảm, mỗi mẫu 500 hạt, được lấy ngẫu nhiên từ phần hạt sạch.
b) Nếu tỷ lệ hạt khác giống yêu cầu báo cáo có một số lẻ thì mẫu phân tích gồm 2 mẫu giảm, mỗi mẫu 2000 hạt, được lấy ngẫu nhiên từ phần hạt sạch.
c) Nếu tỷ lệ hạt khác giống yêu cầu báo cáo có hai số lẻ thì mẫu phân tích gồm 2 mẫu giảm, mỗi mẫu 5000 hạt, được lấy ngẫu nhiên từ phần hạt sạch.
Mẫu phân tích được lấy ra từ phần hạt sạch bằng cách đếm số hạt hoặc căn cứ vào khối lượng 1000 hạt để lấy ra một lượng mẫu có khối lượng tương đương số hạt yêu cầu phân tích.
4.5.1.2. Trường hợp hạt khác giống được yêu cầu báo cáo là số lượng hạt trên một đơn vị khối lượng
Mẫu phân tích có khối lượng như qui định ở Bảng 1A và được lấy từ phần hạt sạch.
4.5.2. Kiểm tra mẫu
- Mẫu phân tích được kiểm tra kỹ từng hạt như phân tích độ sạch. Nói chung, cách làm là quan sát bằng mắt thường hoặc dùng đèn và kính phóng đại để nhặt ra những hạt nghi ngờ là khác giống.
- Kiểm tra lại các hạt nghi ngờ bằng cách so sánh với mẫu chuẩn của giống, hoặc với tài liệu, hình vẽ (nếu có), hoặc tiến hành như hướng dẫn ở phần phụ lục (4.5.2.A).
4.6. Tính toán kết quả
Kết quả phân tích tính toán bằng tỷ lệ phần trăm số hạt khác giống trong tổng số hạt kiểm tra hoặc số hạt khác giống trên một đơn vị khối lượng hạt kiểm tra.
Nếu hai mẫu giảm tiến hành trên cùng một mẫu phân tích thì kết quả báo cáo là tổng số hạt tìm thấy trên tổng khối lượng hạt kiểm tra, nếu số hạt khác giống của 2 mẫu giảm không chênh lệch quá sai số cho phép ở bảng 4.A.1. Nếu kết quả của 2 mẫu giảm chênh lệch quá sai số cho phép ở bảng 4.A.1 thì phân tích thêm hai mẫu giảm nữa và kết quả báo cáo là tổng số hạt tìm thấy trên tổng số hạt kiểm tra của tất cả 4 mẫu giảm.
4.7. Báo cáo kết quả
Kết quả kiểm tra hạt khác giống báo cáo là tỷ lệ phần trăm số hạt khác giống trên tổng số hạt kiểm tra hoặc số hạt khác giống trên một đơn vị khối lượng được qui định trong tiêu chuẩn hạt giống của loài cây trồng đó.
Chương 5
THỬ NGHIỆM NẨY MẦM
(Germination test)
5.1. Mục đích
Xác định tỷ lệ nẩy mầm tối đa của mẫu phân tích và cung cấp kết quả để so sánh chất lượng các lô hạt giống khác nhau hoặc để tính toán lượng hạt giống cần để gieo trồng.
5.2. Định nghĩa
5.2.1. Sự nẩy mầm (germination)
Sự nảy mầm của hạt giống trong điều kiện phòng thí nghiệm là sự xuất hiện và phát triển của cây mầm ở giai đoạn mà các bộ phận chính của nó có thể hoặc không thể phát triển tiếp thành cây bình thường dù được gieo trồng trong các điều kiện thuận lợi ở ngoài đồng ruộng
5.2.2. Tỷ lệ nẩy mầm (percentage germination)
Tỷ lệ nảy mầm là tỷ lệ phần trăm số hạt mọc thành cây mầm bình thường trong các điều kiện được quy định ở bảng 5A
5.2.3. Các bộ phận chính của cây mầm (essential seedling structures)
Các bộ phận chính của cây mầm bao gồm: rễ mầm, thân mầm, lá mầm, chồi mầm hoặc bao lá mầm (ở họ Hoà thảo-Gramineae).
5.2.4. Cây mầm bình thường (normal seedlings)
Cây mầm bình thường là những cây mầm có khả năng tiếp tục phát triển thành cây bình thường khi được trồng trong điều kiện thích hợp về đất, độ ẩm, nhiệt độ và ánh sáng.
Các loại cây mầm sau đây được coi là cây mầm bình thường:
(1) Cây mầm nguyên vẹn (intact seedlings): Các bộ phần chính của cây mầm phát triển tốt, đầy đủ, cân đối và khoẻ mạnh.
(2) Cây mầm có khuyết tật nhẹ (seedling with slight defects): Cây mầm có những khuyết tật nhẹ ở các bộ phận chính nhưng vẫn chứng tỏ khả năng phát triển bình thường, cân đối so với các cây mầm khoẻ mạnh trong cùng một mẫu thử nghiệm.
(3) Cây mầm bị nhiễm bệnh thứ cấp (seedlings with secondary infection): Các cây mầm nguyên vẹn khoẻ mạnh hoặc có khuyết tật nhẹ như qui định ở (1) và (2) nhưng bị lây bệnh do nấm hoặc vi khuẩn từ các nguồn khác ở bên ngoài hạt giống xâm nhập vào.
5.2.5. Cây mầm không bình thường (abnormal seedlings)
Cây mầm không bình thường là những cây mầm không có khả năng phát triển thành cây bình thường dù được trồng trong điều kiện thuận lợi về đất độ ẩm, nhiệt độ và ánh sáng. Các cây mầm sau đây sẽ được coi là cây mầm không bình thường.
(1) Cây mầm bị hỏng (damaged seedlings): Cây mầm có bất kỳ một bộ phận chính nào đó bị mất, bị hỏng nặng hoặc không thể phục hồi để tiếp tục phát triển cân đối.
(2) Cây mầm bị biến dạng hoặc mất cân đối (deformed or unbalanced seedlings): Cây mầm phát triển yếu ớt, bị rối loạn về sinh lý hoặc các bộ phận chính bị biến dạng, mất cân đối về kích thước.
(3) Cây mầm bị thối (decayed seedlings): Cây mầm có một bộ phận chính nào đó bị bệnh hoặc bị thối do nguồn bệnh sơ cấp (nguồn bệnh có từ hạt giống) gây cản trở đến sự phát triển bình thường của cây mầm.
5.2.6. Hạt không nẩy mầm (ungerminated seeds)
(1) Hạt cứng (hard seeds): Là hạt vẫn còn cứng ở giai đoạn kết thúc xét nghiệm nảy mầm do không hút được nước.
(2) Hạt ngủ nghỉ (fresh seeds): Là hạt không nẩy mầm do ngủ nghỉ sinh lý nhưng vẫn sạch, chắc và có khả năng sẽ phát triển thành cây mầm bình thường.
(3) Hạt chết (dead seeds): Là các hạt không phải là hạt cứng, cũng không phải là hạt ngủ nghỉ và không có bất kỳ bộ phận nào của cây mầm.
(4) Các loại hạt khác (other categories): Hạt rỗng, hạt không có phôi, hạt bị côn trùng phá hỏng.
5.3. Nguyên tắc chung
- Mẫu thử nảy mầm được lấy từ phần hạt sạch trong phép thử phân tích độ sạch
- Không xử lý hạt giống trước khi đặt nảy mầm, trừ những trường hợp được qui định ở điều 5.6.3 (xử lý hạt). Khi gặp trường hợp phải xử lý thì kết quả và biện pháp xử lý phải ghi rõ vào phiếu kết quả phân tích.
- Phép thử nẩy mầm được bố trí 4 lần nhắc và đặt nẩy mầm trong những điều kiện qui định cụ thể đối với từng loài như ở Bảng 5A .
- Sau thời gian ủ mầm qui định thì tiến hành kiểm tra các lần nhắc và đếm số lượng cây mầm bình thường, cây mầm không bình thường và các hạt không nẩy mầm để tính toán và báo cáo kết quả.
5.4. Thiết bị và dụng cụ
- Thiết bị đếm hạt: bàn đếm hạt, máy đếm hạt chân không hoặc máy đếm hạt điện tử...
- Thiết bị đặt nẩy mầm: tủ ấm, tủ nẩy mầm, phòng nẩy mầm...
- Các thiết bị và dụng cụ khác: dao gạt, panh gắp, khay, hộp petri...
5.5. Giá thể nẩy mầm
Các loại vật liệu dùng làm giá thể nẩy mầm có thể là: giấy, cát, đất, nước... phải đáp ứng các yêu cầu như qui định ở Phụ lục 5.5.A.1.
5.6. Cách tiến hành
5.6.1. Mẫu phân tích
- Dùng phương pháp lấy mẫu bằng thìa, lấy ngẫu nhiên một lượng hạt đủ để lập mẫu phân tích cho 4 lần nhắc.
- Đếm 400 hạt cho 4 lần nhắc, mồi lần 100 hạt. Các lần nhắc có thể được chia nhỏ thành 50 hoặc 25 hạt tùy theo kích thước của hạt, giá thể và khoảng cách cần thiết giữa các hạt với nhau.
5.6.2. Đặt nẩy mầm
Phương pháp và điều kiện đặt nẩy mầm đối với từng loài cây trồng được qui định cụ thể ở Bảng 5.A. trong Phụ lục.
Môi trường đặt nẩy mầm phải phù hợp với đặc điểm sinh lý của loài cây trồng như hướng dẫn ở Phụ lục 5.5.A.2.
Các phương pháp đặt nẩy mầm được hướng dẫn ở Phụ lục 5.6.2.A.
Việc lựa chon phương pháp vàđiều kiện nảy mầm là tuỳ thuộc vào phương tiện và kinh nghiệm của phòng kiểm nghiệm và xuất xứ của mẫu. Nếu phương pháp đã chọn chưa thật thích hợp với mẫu thử thì có thể làm lại phép thử bằng phương pháp khác cũng được qui định ở Bảng 5.A.
5.6.3. Xứ lỷ hạt
Khi kết thúc thử nghiệm nếu thấy có nhiều hạt cứng, hạt tươi, hoặc nghi ngờ hạt đang ở thời kỳ ngủ nghỉ thì phải tiến hành xử lý bằng một trong các biện pháp được qui định cụ thể đối với từng loài cây trồng ở cột 7, Bảng 5A.
Các kỹ thuật xử lý để kích thích hạt nẩy mầm được hướng dẫn ở Phụ lục 5.6.3.A.1 và 5.6.3.A.2.
Trong trường hợp biết chắc hạt đang ngủ nghỉ thì có thể tiến hành các biện pháp xử lý trước khi đặt nẩy mầm mà không cần phải đợi kết quả thử nghiệm như qui định ở trên.
5.6.4. Thời gian ủ mầm
Thời gian ủ mầm cho từng loài cây trồng phải đảm bảo như qui định ở Bảng 5A. Trong trường hợp cần thiết thì có thể kéo dài thời gian ủ mầm như qui định ở phần hướng dẫn kiểm tra cây mầm ở Phụ lục 5.6.5.A.2.
5.6.5. Kiểm tra cây mầm
Sau khi ủ mầm đủ thời gian qui định thì tiến hành kiểm tra kỹ từng cây mầm và các hạt không nẩy mầm dựa vào hướng dẫn cụ thể ở Phụ lục 5.6.5.A. Tại lần đếm thứ nhất hay các lần đếm trung gian, những cây mầm đã được đánh giá là bình thường hoặc bị thối thì phải loại ra khỏi mẫu thử nghiệm. Các cây mầm không bình thường và các hạt không nẩy mầm thì để lại đến lần đếm cuối cùng. Có thể kết thúc thử nghiệm trước thời gian qui định (sau lần đếm thứ nhất hoặc các lần đếm trung gian) khi toàn bộ mẫu thử đã được đánh giá một cách chính xác.
Trong trường hợp mẫu đặt nẩy mầm trong giấy mà thấy khó đánh giá thì phải làm lại phép thử bằng cách đặt trong cát hoặc trong đất cũng với những điều kiện như khi đặt trong giấy.
5.6.6. Thử nghiệm lại
Phép thử nẩy mầm sẽ phải làm lại trong những trường hợp sau:
(a) Nghi ngờ hạt đang ở trạng thái ngủ nghỉ (các hạt ngủ nghỉ).
(b) Kết quả của phép thử không đáng tin cậy do bị nhiễm độc hoặc bị nhiễm nấm và vi khuẩn.
(c) Có một số cây mầm khó đánh giá
(d) Có sai sót trong điều kiện đặt nẩy mầm, trong giám định hoặc đếm cây mầm.
(e) Kết quả của 4 lần nhắc (mỗi lần 100 hạt) vượt quá sai số cho phép ở Bảng 5.A.1.
Cách tiến hành và báo cáo kết quả của các lần thử nghiệm lại được qui định ở Phụ lục 5.6.6.A.
5.7. Tính toán kết quả
Kết quả của thử nghiệm nẩy mầm là tỷ lệ phần trăm trung bình cây mầm bình thường, cây mầm không bình thường, hạt cứng, hạt ngủ nghỉ và hạt chết của 4 lần nhắc (mỗi lần 100 hạt), được lấy tròn đến số nguyên. Trong trường hợp các lần nhắc là 50 hạt hoặc 25 hạt thì gộp lại thành các lần nhắc 100 hạt để tính toán.
Cách tính toán và làm tròn số theo qui định ở Phụ lục 5.7.A.
5.8. Báo cáo kết quả
Báo cáo kết quả nẩy mầm phải ghi đầy đủ các thông tin sau đây:
- Số ngày đặt nẩy mầm.
- Tỷ lệ phần trăm cây mầm bệnh bình thường, cây mầm không bình thường, hạt cứng, hạt sống và hạt chết. Nếu một trong các số liệu này là 0 thì ghi là "-0-" .
Nên báo cáo thêm các thông tin như:
- Phương pháp và nhiệt độ đặt nẩy mầm.
- Các biện pháp xử lý để kích thích nẩy mầm (nếu có).
- Kết qủa nẩy mầm khi thời gian thử nghiệm phải kéo dài thêm.
- Kết quả của lần thử nghiệm thứ 2 khi phải tiến hành thử nghiệm lại.
Nếu người gửi mẫu có yêu cầu thì báo cáo thêm các thông tin sau đây:
- Kết quat thử nghiệm bổ sung (nếu có).
- Khả năng sống của các hạt không nảy mầm và phương pháp xác định.
- Các hạt không nảy mầm khác như qui định ở điều 5.2.6.(4).
Chương 6
XÁC ĐỊNH KHỐI LƯỢNG 1000 HẠT
(1000 seed weight determination)
6.1. Mục đích
Xác định khối lượng trung bình 1.000 hạt của mẫu gửi
6.2. Nguyên tắc
Mẫu phân tích để xác định khối lượng 1.000 hạt được lấy ra từ phần hạt sạch, đếm và cân để tính khốilượng 1000 hạt.
6.3. Thiết bị và dụng cụ
- Máy đếm hạt hoặc dụng cụ đếm hạt thích hợp
- Cân phân tích có độ chính xác thích hợp.
- Dao gạt mẫu.
- Hộp đựng mẫu: hộp petri, hộp nhựa.
6.4. Cách tiến hành
6.4.1. Mẫu phân tích
Mẫu phân tích để xác định khối lượng 1.000 hạt là toàn bộ phần hạt sạch của phép thử phân tích độ sạch.
6.4.2. Phương pháp phân tích
6.4.2.1. Đếm toàn bộ mẫu
Đếm toàn bộ số hạt ở trong mẫu phân tích. Sau khi đếm, tiến hành cân toàn bộ mẫu (g), lấy số lẻ khi cân như qui định ở phương pháp phân tích độ sạch (2.5.2).
6.4.2.2. Đếm các lần nhắc
- Từ mẫu phân tích lấy ra một lượng mẫu giảm bằng phương pháp dùng thia.
- Từ mẫu giảm này lấy ra ngẫu nhiên 8 mẫu, mỗi mẫu 100 hạt (bằng tay hoặc máy đếm hạt).
- Cân từng mẫu (g), lấy số lẻ như qui định ở phương pháp phân tích độ sạch (điều 2.5.2).
- Kiểm tra số liệu :
Tính độ lệch chuẩn của 8 lần nhắc theo công thức:

Trong đó :
X - là khối lượng (g) của từng lần nhắc.
N - là tổng số lần nhắc.
Tính hệ số biến thiên:

Trong đó :
- là khối lượng trung bình (g) của 100 hạt từ 8 lần nhắc.
s - là độ lệch chuẩn của các lần nhắc.
Nếu hệ số biến thiên V< 4 đối với các loại hạt có vỏ ráp và V< 4 đối với các loại hạt khác thì kết quả sẽ được dùng để tính toán.
Nếu hệ số biến thiên V vượt ra ngoài giới hạn này không nhiều thì phải làm tiếp 8 mẫu khác và tính độ lệch chuẩn cho cả 16 mẫu. Loại bỏ những mẫu có khối lượng vượt ra ngoài ± 2s. Các mẫu còn lại sẽ được dùng để tính toán kết quả.
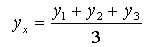
6.5. Tính toán kết quả
- Nếu đếm cả mẫu phân tích thì khối lượng của 1000 hạt sẽ được tính toán từ khối lượng (g) của toàn bộ mẫu.
- Nếu đếm các lần nhắc thì khối lượng trung bình của 1000 hạt sẽ được tính toán từ khối lượng trung bình của các lần nhắc 1000 hạt như qui định ở 6.4.3 (nghĩa là, 10.).
6.6. Báo cáo kết quả
Kết quả khối lượng 1.000 hạt sẽ được báo cáo như tính toán ở 6.5.
Chương 7
XÁC ĐỊNH ĐỘ ẨM
(Determination of moisture content)
7.1. Xác định độ ẩm bằng phương pháp sấy ở nhiệt độ ổn định
7.1.1. Mục đích
Xác định độ ẩm của hạt bằng các phương pháp sấy theo qui định.
7.1.2. Định nghĩa
Độ ẩm của mẫu phân tích là tỷ lệ phần trăm khối lượng mẫu mất đi so với khối lượng ban đầu của mẫu khi được sấy khô theo phương pháp qui định.
7.1.3. Nguyên tắc
Các phương pháp xác định độ ẩm phải hạn chế tới mức thấp nhất sự ô xy hoá, sự phân huỷ hoặc mất mát các chất dễ bay hơi trong quá trình thực hiện, nhưng phải đảm bảo tách được càng nhiều nước trong mẫu sấy càng tốt.
7.1.4. Thiết bị và dụng cụ
- Máy xay mẫu thích hợp, có thể điều chỉnh được độ mịn của nguyên liệu xay.
- Tủ sấy nhiệt độ ổn định.
- Cân phân tích có độ chính xác 0,001g.
- Rây hoặc sàng có lỗ nhỏ 0,5mm ; 1,0mm và 4,0mm.
- Hộp sấy mẫu bằng nhôm hoặc thuỷ tinh (có nắp đậy).
- Bình hút ẩm.
- Kẹp gắp hộp sấy mẫu.
- Dụng cụ cắt mẫu.
- Các thiết bị và dụng cụ cần thiết khác.
7.1.5. Cách tiến hành
7.1.5.1. Lưu ý trước khi tiến hành
Mẫu gửi sẽ được tiếp nhận để xác định độ ẩm nếu mẫu còn nguyên vẹn và được đựng trong túi hoặc bao chống ẩm, càng ít không khí càng tốt. Việc xác định cần tiến hành ngay sau khi nhận mẫu. Trong quá trình chuẩn bị mẫu phân tích phải hạn chế tới mức thấp nhất thời gian để hở mẫu ra ngoài không khí và đối với những loài không phải xay mẫu thì thời gian này không quá 2 phút kể từ khi mẫu được lấy ra khỏi bao chứa cho đến khi mẫu phân tích được đậy kín ở trong hộp sấy.
7.1.5.2. Cân mẫu
Việc cân mẫu được thực hiện trên cân phân tích, tính bằng gam (g), lấy đến 3 số lẻ.
7.1.5.3. Mẫu phân tích
Phép thử được tiến hành với 2 mẫu phân tích lấy riêng, mỗi mẫu có khối lượng tùy thuộc vào đường kính của hộp sấy mẫu qui định như sau:
Đường kính hộp sấy mẫu Khối lượng mẫu phân tích
< 8cm 4-5g
³ 8cm 10g
Trước khi lấy mẫu phân tích, mẫu gửi sẽ được trộn đều bằng một trong các phương pháp sau:
(a) Đảo mẫu ở trong bao chứa bằng một cái thìa,
Hoặc (b) Đặt đầu hở của bao chứa mẫu đối diện với đầu hở của một bao chứa khác tương tự và đổ hạt qua lại giữa hai bao chứa.
Mỗi mẫu phân tích được lấy như qui định ở 1.7.2 sao cho mẫu không được hở ra ngoài không khí quá 30 giây.
7.1.5.4. Xay mẫu
Các loại hạt lớn phải xay nhỏ khi sấy, trừ những loại hạt có hàm lượng dầu quá cao, khó xay hoặc dễ bị ô xy hoá và có thể sẽ làm tăng khối lượng khi xay.
Việc xay mẫu được làm trên mẫu giảm trước khi lấy mẫu phân tích. Mức độ xay nhỏ được nêu ở Phụ lục (7.1.5.4.A.).
Hạt của những loài bắt buộc phải xay hoặc phải nghiền được qui định ở Phụ lục (7.1.5.4.A.1).
Sau khi xay xong, tiến hành lập mẫu phân tích có khối lượng như qui định ở 7.1.5.3.
7.1.5.5. Cắt mẫu
Các hạt lớn (dưới 5000 hạt/kg) và các hạt có vỏ rất cứng, chẳng hạn các loài đậu đỗ, có thể cắt hạt thành những mẫu nhỏ thay cho xay. Việc cắt mẫu sẽ được làm ở trên mẫu giảm trước khi lấy mẫu phân tích (xem 7.1.5.5.A).
7.1.5.6. Sấy mẫu
7.1.5.6.1. Sấy sơ bộ
Nếu là loài cần phải xay mẫu và có độ ẩm ban đầu cao hơn 17% (hoặc 10% đối với đậu tương và 13% đối với lúa), thì bắt buộc phải sấy sơ bộ.
Cách làm như sau:
Hai mẫu giảm, mỗi mẫu có khối lượng 25 ± 1g, được đặt ở trong hộp sấy đã được cân khối lượng. Sau đó, hai mẫu giảm này sẽ được sấy để giảm bớt lượng ẩm xuống dưới 17% (hoặc dưới 10% đối với đậu tương và dưới 13% đối với lúa). Các phương pháp sấy sơ bộ được nêu ở phần Phụ lục (7.1.5.6.1.A.).
Sau khi sấy sơ bộ, các mẫu giảm sẽ được cân lại cùng với cả hộp sấy để xác định khối lượng mẫu đã giảm đi. Ngay sau đó, hai mẫu giảm này sẽ được xay riêng và nguyên liệu xay sẽ được tiếp tục tiến hành như qui định ở 7.1.5.7 hoặc 7.1.5.8 tùy theo từng trường hợp cụ thể.
7.1.5.6.2. Các phương pháp sấy chính thức
1. Phương pháp sấy ở nhiệt độ thấp ổn định như qui định ở 7.1.5.7 sẽ được dùng cho hạt giống của những loài được nêu ở Phụ lục 7.1.5.7.A.
2. Phương pháp sấy ở nhiệt độ cao ổn định như qui định ở 7.1.5.8. sẽ được dùng cho hạt giống của những loài được nêu ở Phụ lục 7.1.5.8.A.
7.1.5.7. Phương pháp sấy ở nhiệt độ thấp ổn định
Mẫu phân tích được lấy như qui định ở 7.1.5.3, phải được phân bố đều trong hộp chứa mẫu. Cân hộp và nắp trước và sau khi cho mẫu vào. Sau khi cân, đặt nhanh hộp đã có mẫu lên nắp của nó, đưa vào tủ sấy đã được duy trì ở nhiệt độ 103 ± 2oC và sấy trong 17±1 giờ. Thời gian sấy bắt đầu tính từ khi tủ sấy đạt tới nhiệt độ yêu cầu. Khi kết thúc thời gian sấy qui định thì đậy nắp hộp lại và đặt vào bình hút ẩm để làm nguội trong 30-45 phút.
Sau khi làm nguội, cân hộp cùng với cả nắp và mẫu. Yêu cầu độ ẩm không khí ở trong phòng thí nghiệm phải thấp hơn 70% khi tiến hành phép thử.
7.1.5.8. Phương pháp sấy ở nhiệt độ cao ổn định
Cách tiến hành cũng giống như qui định ở 7.1.5.7, tủ sấy được duy trì ở nhiệt độ 130-133oC, mẫu được sấy trong thời gian 4 giờ đối với ngô (Zea mays), 2 giờ đối với các loài ngũ cốc khác và 1 giờ đối với các loài khác, và không có yêu cầu đặc biệt đối với độ ẩm không khí trong phòng thí nghiệm trong quá trình thực hiện phép thử.
7.1.6. Tính toán kết quả
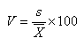
7.1.6.1. Các phương pháp sấy ở nhiệt độ ổn định
Độ ẩm là tỷ lệ phần trăm khối lượng được tính toán đến một số lẻ theo công thức sau:

Trong đó:
S - là độ ẩm của mẫu phân tích
M1 - là khối lượng (g) của hộp sấy và nắp
M2 - là khối lượng (g) của hộp sấy, nắp và mẫu trước khi sấy
M3 - là khối lượng (g) của hộp sấy, nắp và mẫu sau khi sấy
Nếu mẫu đã được sấy sơ bộ thì độ ẩm của mẫu sẽ được tính toán từ các kết quả của lần sấy đầu (sấy sơ bộ) và lần sấy thứ hai. Nếu S1 là lượng ẩm mất đi ở lần sấy đầu và S2 là lượng ẩm mất đi ở lần sấy thứ hai được tính toán theo công thức trên và thể hiện bằng tỷ lệ phần trăm, thì độ ẩm của mẫu sẽ được tính như sau:

7.1.6.2. Sai số cho phép
Nếu kết quả độ ẩm của hai lần nhắc không vượt quá 0.2% thì phép thử sẽ được công nhận. Nếu vượt quá thì phải làm lại 2 lần nhắc khác.
7.1.7. Báo cáo kết quả
Kết quả độ ẩm được báo cáo sẽ là kết quả trung bình của hai mẫu phân tích, lấy tới 1 số lẻ sau đơn vị.
7.2. Xác định độ ẩm bằng máy đo độ ẩm
7.2.1. Hiệu chuẩn máy đo độ ẩm
7.2.1.1. Mục đích
Chuẩn bị các mẫu đối chứng dùng để hiệu chuẩn máy đo độ ẩm và để kiểm tra việc hiệu chuẩn của các máy đo độ ẩm.
7.2.1.2. Định nghĩa
Như định nghĩa ở 7.1.2.
7.2.1.3. Nguyên tắc
Các phương pháp được nêu ra để so sánh kết quả của máy đo độ ẩm so với kết quả của phương pháp sấy. Tất cả các máy đo độ ẩm đều có thể được dùng nếu đáp ứng các yêu cầu hiệu chuẩn và xác định độ ẩm.
Sự hiệu chuẩn sẽ được lặp lại sau 100 lần đo hoặc ít nhất một năm một lần.
Đối với loài được đo bằng máy đo độ ẩm đều phải có báo cáo hiệu chuẩn của máy.
7.2.1.4. Thiết bị
Các thiết bị sau đây là cần thiết tùy theo phương pháp được sử dụng:
- Máy đo độ ẩm.
- Hộp chứa có nắp kín.
- Rây sàng phù hợp tùy theo loài cần đo để loại bỏ tạp chất ra khỏi mẫu đối chứng, tránh làm ảnh hưởng đến kết quả đo.
- Máy xay mẫu, nếu mẫu yêu cầu phải xay theo qui định ở 7.1.5.4.
- Cân thích hợp để cân mẫu khi dùng máy đo (như qui định ở phần phân tích độ sạch)
- Các thiết bị cần thiết để dùng cho phương pháp sấy đối chứng (qui định ở 7.1.4).
7.2.1.5. Cách tiến hành
7.2.1.5.1. Lưu ý trước khi tiến hành
Việc hiệu chuẩn máy đo độ ẩm có thể bị ảnh hưởng bởi rất nhiều yếu tố khác nhau như loài, giống cây trồng, độ chín, độ ẩm, nhiệt độ và mức độ lẫn tạp.
Máy đo và mẫu phải để đến khi đạt được cùng một mức cân bằng nhiệt độ trước khi tiến hành đo.
Trong quá trình đo, việc để hở mẫu ra ngoài không khí ở phòng kiểm nghiệm phải giảm đến mức tuyệt đối.
7.2.1.5.2. Mẫu hiệu chuẩn
Phải có ít nhất hai giống cho mỗi loài, mỗi giống gồm năm mẫu được dùng để hiệu chuẩn cho máy đo độ ẩm. Các mẫu của mỗi giống phải có dải độ ẩm nằm trong khoảng đo được qui định của máy.
Nếu khi đo độ ẩm ở các giống của cùng một loài có kết quả khác nhau một cách có ý nghĩa, thì phải hiệu chuẩn từng giống hoặc từng nhóm giống của loài đó.
Các mẫu được chọn để làm mẫu hiệu chuẩn phải loại bỏ các hạt bị mốc, hạt bị lên men hoặc hạt đã nẩy mầm.
Nếu các mẫu được chọn có chứa nhiều tạp chất thì phải được làm sạch bằng tay, bằng sàng hoặc bằng thiết bị làm sạch.
7.2.1.5.3. Mẫu phân tích được lấy từ mẫu hiệu chuẩn
Các mẫu hiệu chuẩn phải được đặt ở trong hộp hoặc bao chống ẩm và phải được niêm phong. Các hộp hoặc bao đựng mẫu chuẩn phải chứa đầy tới ít nhất 2/3. Các mẫu hiệu chuẩn phải được sử dụng trong vòng 10 ngày kể từ khi chuẩn bị xong và phải được bảo quản ở điều kiện nhiệt độ 5 ± 20C cho đến khi được sử dụng.
Các mẫu phân tích sẽ được lấy sau khi đã được trộn đều bằng cách dùng một trong các phương pháp sau đây:
(a) Đảo mẫu ở trong bao bằng thìa.
Hoặc (b) Đặt đầu hở của bao đựng mẫu vào đầu hở của 1 bao tương tự và dốc hạt qua lại giữa 2 bao.
Mẫu phân tích được lấy sao cho không để hở mẫu ra ngoài không khí quá 30 giây.
7.2.1.5.4. Cân mẫu
Việc cân mẫu, nếu yêu cầu, phải phù hợp với các qui định về cân mẫu ở phần phân tích độ sạch.
7.2.1.5.5. Các phương pháp qui định
Độ ẩm của các mẫu hiệu chuẩn được đánh giá bằng cách dùng phương pháp sấy (xem 7.1), là phương pháp đối chứng.
Phải thực hiện được ba lần đo thành công đối với từng mẫu hiệu chuẩn bằng máy đo độ ẩm theo hướng dẫn của nhà sản xuất.
Sau mỗi lần đo, mẫu đã đo phải được gộp trở lại cùng với mẫu hiệu chuẩn. Sau đó mẫu hiệu chuẩn được trộn đều (qui định ở 7.2.1.5.3.) trước khi mẫu phân tích tiếp theo được lấy ra. Khi đo mẫu hiệu chuẩn, phải tiến hành 3 lần đo ở 3 mẫu phân tích riêng rẽ.
Độ ẩm của các mẫu hiệu chuẩn phải được kiểm tra lại sau khi đo bằng cách dùng phương pháp sấy đối chứng.
7.2.1.6. Tính toán kết quả
7.2.1.6.1. Phương pháp sấy dối chứng
Đối với mẫu kiểm tra, có hai kết quả đối chứng: x1 là độ ẩm trước khi đo bằng máy đo độ ẩm và x2 là độ ẩm sau khi đo bằng máy đo độ ẩm. Kết quả trung bình của hai giá trị này là giá trị thực của độ ẩm với điều kiện là sự khác nhau giữa hai lần đo không vượt quá 0.3%. Nếu sự khác nhau vượt quá 0.3% thì việc hiệu chuẩn phải được làm lại.
7.2.1.6.2. Máy đo độ ẩm
Đối với mỗi mẫu hiệu chuẩn, cần phải có 3 kết quả (y1, y2, y3).
Tính kết quả trung bình yx theo công thức:

So sánh kết quả này với zi (sai khác của yx so với giá trị thực của độ ẩm (xem 7.2.1.6.1.).
7.2.1.6.3. Sai số cho phép
Máy đo độ ẩm được coi là nằm trong phạm vi hiệu chuẩn khi zi (sai khác của yx so với giá trị thực của độ ẩm) thấp hơn sai số cho phép tối đa sau đây:
| Giá trị thực (phương pháp đối chứng) | Sai số cho phép tối đa |
| Nhỏ hơn 10% | Các hạt không có vỏ ráp : ± 0.4% Các hạt có vỏ ráp : ± 0.5% |
| Bằng hoặc lớn hơn 10% | Các hạt không có vỏ ráp : ± 0.04 x độ ẩm Các hạt có vỏ ráp : ± 0.05 x độ ẩm |
7.2.2. Xác định độ ẩm bằng máy đo độ ẩm
7.2.2.1. Mục đích
Để xác định độ ẩm của hạt giống của các loài cụ thể bằng cách dùng máy đo độ ẩm đã được hiệu chuẩn (xem 7.2.1.).
7.2.2.2. Định nghĩa
Như định nghĩa ở 7.1.2.
7.2.2.3. Nguyên tắc
Độ ẩm của mẫu hạt giống có ảnh hưởng đến các đặc tính dẫn điện và hóa sinh của hạt. Những đặc tính này có thể đo được bằng các máy đo thích hợp để xác định độ ẩm.
7.2.2.4. Thiết bị
Các thiết bị sau đây là cần thiết tùy theo phương pháp sử dụng:
- Máy đo độ ẩm đã được hiệu chuẩn và còn hiệu lực.
- Hộp chứa có nắp kín.
- Máy nghiền mẫu, nếu mẫu được yêu cầu phải nghiền theo qui định ở 7.1.5.4.
- Cân thích hợp theo phương pháp được sử dụng (qui định ở phần phân tích độ sạch).
7.2.2.5. Cách tiến hành
7.2.2.5.1. Lưu ý trước khi tiến hành
Mẫu gửi sẽ được tiếp nhận để xác định độ ẩm chỉ khi mẫu còn nguyên vẹn, được đựng trong túi hoặc bao chống ẩm và càng ít không khí càng tốt.
Trong qui trình thử nghiệm, việc để hở mẫu ra ngoài không khí sẽ phải giảm thiểu tới mức tuyệt đối.
7.2.2.5.2. Mẫu phân tích
Việc xác định độ ẩm được tiến hành với hai mẫu phân tích độc lập, mỗi mẫu có khối lượng hoặc dung tích được yêu cầu cụ thể đối với từng loại máy đo.
Trước khi lấy mẫu phân tích, mẫu gửi phải được trộn đều bằng một trong các phương pháp sau đây:
(a) Đảo mẫu ở trong bao bằng thìa.
Hoặc (b) Đặt đầi hở của bao đựng mẫu vào đầu hở của 1 bao tương tự và dốc hạt qua lại giữa 2bao.
Mẫu phân tích được lấy sao cho không để hở mẫu ra ngoài không khí quá 30 giây.
7.2.2.5.3. Cân mẫu
Việc cân mẫu, nếu yêu cầu, phải phù hợp với các qui định về cân mẫu ở phần phân tích độ sạch.
7.2.2.6. Tính toán kết quả
7.2.2.6.1. Máy đo độ ẩm
Độ ẩm là tỷ lệ phần trăm theo khối lượng được tính toán đến một dấu phẩy theo công thức sau đây:

Trong đó: M1 và M2 là kết quả của mẫu phân tích thứ nhất và mẫu phân tích thứ hai được đo bằng máy đo độ ẩm.
7.2.2.6.2. Sai số cho phép
Kết quả đo độ ẩm là số liệu trung bình của hai mẫu phân tích nếu sự khác nhau giữa hai mẫu phân tích không vượt quá 0.2%.
7.2.2.7. Báo cáo kết quả
Kết quả độ ẩm được báo cáo đến một số lẻ sau đơn vị. Nhãn hiệu, loại máy và khoảng hiệu chuẩn của máy đo dùng để đo độ ẩm cũng phải ghi rõ trên Phiếu kết quả phân tích.
PHỤ LỤC CHƯƠNG 1
LẤY MẪU VÀ CHIA MẪU
1.1.A. Mục đích
Số lượng hạt giống được kiểm nghiêm tại phòng thí nghiệm rất nhỏ so với khối lượng của lô hạt giống mà nó đại diện. Để có các kết quả thống nhất và chính xác trong việc kiểm nghiệm hạt giống thì điều chủ yếu là các mẫu điểm, mẫu hỗn hợp và mẫu gửi phải được lấy và chuẩn bị hết sức cẩn thận và theo đúng các phương pháp qui định. Do vậy, những người lấy mẫu cần phải cố gắng để bảo đảm mẫu gửi đến phòng kiểm nghiệm là đại diện và chính xác cho lô hạt giống cần kiểm tra. Cũng như vậy, trong việc giảm mẫu ở phòng thí nghiệm cần phải cố gắng để có mẫu phân tích đại diện cho mẫu gửi.
1.4.3.A. Các bao chứa tự niêm phong
Là dạng bao chứa đặc biệt, thường được gọi là bao “tự đóng”. Các hạt được rót đầy vào bao thông qua một cái van có dạng hình ống là một phần của bao. Van này sẽ tự động đóng lại khi bao đã được rót đầy hạt và ống van sẽ gập lại và ép chặt vào mặt trong của bao. Nếu ống này lớn hơn 20% chiều rộng của bao và chỉ mở vào phía trong bao thì được coi là tự niêm phong. Bao này cũng có thể được niêm phong bằng cách đặt băng dính ngang qua miệng của van hoặc được bấm dấu niêm phong bằng kim loại lên “mép” của miệng van. Trong trường hợp hạt giống có kích thước nhỏ thì phải dính băng ngang qua miệng van để niêm phong.
1.4.4.A. Đánh dấu lô hạt giống
Mã hiệu hoặc số hiệu nhận biết để gắn lên các vật chứa hoặc bao chứa trong lô hạt giống và trên chứng chỉ được cấp sẽ được thông báo cho phòng kiểm nghiệm. Người lấy mẫu được thông báo về mã hiệu hoặc số hiệu này cùng với các hướng dẫn về việc lấy mẫu lô hạt giống và phải chịu trách nhiệm về việc gắn lên tất cả các vật chứa hoặc bao chứa của lô hạt giống.
1.6.2.A. Lấy mẫu lô hạt giống chứa trong các vật chứa nhỏ
Nếu hạt giống được chứa trong các vật chứa nhỏ, chẳng hạn như hộp sắt tây, hộp nhôm, hộp giấy hoặc gói nhỏ khi bán lẻ thì cách lấy mẫu được qui định như sau:
Khối lượng 100kg hạt giống sẽ được dùng làm đơn vị cơ bản và các vật chứa nhỏ sẽ được gộp lại để tạo thành các đơn vị lấy mẫu không vượt quá khối lượng 100kg, chẳng hạn 20 bao chứa loại 5kg, 33 bao loại 3kg hoặc 100 bao loại 1kg. Khi lấy mẫu, mỗi đơn vị 100kg sẽ được coi là một “bao chứa” và số mẫu điểm cần lấy được áp dụng như qui định ở 1.6.2.
1.6.4.A. Các dụng cụ và phương pháp lấy mẫu lô hạt giống
1. Xiên dài và cách sử dụng
Một trong những dụng cụ sử dụng phổ biến là xiên có dạng ống dài gồm một ống ở trong và một ống ở ngoài ôm khít chặt với nhau, ở phần cuối đặc, nhọn. Ống trong và ống ngoài có các khe mở ở bên thành. Khi ống trong được xoay đến vị trí mà các khe ở ống trong và ống ngoài nằm trên một đường thẳng thì hạt giống sẽ rơi vào trong khoang của ống trong và khi ống trong được xoay một nửa vòng thì các lỗ mở được đóng lại. Các ống có thể khác nhau về chiều dài và đường kính, được thiết kế cho các dạng hạt khác nhau và các dạng bao chứa khác nhau và có thể có vách ngăn hoặc không có vách ngăn. Khi lấy mẫu hạt giống đựng trong bao, thì các kích thước thích hợp của xiên như sau: đối với hạt cỏ và các hạt giống nhỏ, chảy tự do thì xiên có độ dài 762mm và đường kính ngoài 12.7mm, có 9 lỗ mở; đối với các hạt ngũ cốc thì xiên dài 762mm, đường kính ngoài 25.4mm và có 6 lỗ mở.
Các xiên lấy mẫu trong thùng chứa lớn cũng được làm trên nguyên tắc như xiên lấy mẫu trong bao, nhưng lớn hơn, dao động tới 1.600mm chiều dài và 38mm đường kính, có 6 hoặc 9 lỗ mở.
Các xiên này có thể được sử dụng thẳng đứng hoặc nằm ngang. Tuy nhiên, khi xiên đứng thì phải dùng loại xiên có vách ngang để chia thành các ngăn. Nếu không thì hạt giống từ các lớp bên trên sẽ rơi vào trong xiên khi xiên được mở ra, dẫn đến tình trạng có quá nhiều hạt giống ở lớp phía trên. Khi sử dụng xiên đứng thì hạt giống đi từ phía trên xuống dưới có thể bị cản trở. Những trở ngại này sẽ giảm bớt nếu xiên được làm càng trơn và nhẵn thì càng tốt.
Khi sử dụng xiên thẳng đứng hoặc nằm ngang thì đều phải đưa xiên vào bao chứa hoặc vật chứa theo đường chéo. Đối với hạt giống đựng trong các thùng chứa lớn thì đưa xiên theo đường thẳng đứng là thích hợp hơn cả. Xiên được chọc vào trong vật chứa ở tư thế đóng, sau đó được mở và xoay 2 lần hoặc lắc nhẹ để hạt giống rơi đầy vào trong xiên. Sau đó, xiên được đóng lại, rút ra và đổ hạt giống vào khay đựng hoặc hoặc dụng cụ chứa thích hợp. Cần phải cẩn thận khi đóng xiên để hạt giống không bị hỏng.
Xiên ống dài có thể được sử dụng với hầu hết các loại hạt giống, trừ một số loài có vỏ quá ráp. Tùy theo đường kính của ống, có thể dùng để xiên qua vỏ bao đay thô hoặc các loại bao tương tự. Khi xiên được rút ra thì dùng đầu xiên vạch ngang qua lỗ chọc 2 lần theo hướng ngược nhau để kéo các sợi bao lại với nhau và đóng kín lỗ chọc. Các bao bằng giấy đã được đóng kín cũng có thể được lấy mẫu bằng cách chọc thủng bao và sau đó niêm phong lại lỗ thủng bằng loại băng dính đặc biệt.
2. Xiên Nobble và cách sử dụng
Loại xiên này thường có kích thước khác nhau phù hợp với các loại hạt giống khác nhau. Đó là một ống nhọn, đủ dài để chọc tới giữa bao, với một lỗ mở hình bầu dục ở gần đầu nhọn.
Tổng chiều dài của xiên khoảng 500mm, gồm cán xiên khoảng 100mm và đầu xiên khoảng 60mm, còn lại 340mm đủ để chọc vào tới khoảng giữa của tất cả các loại bao. Đối với ngũ cốc thì đường kính trong của ống xiên khoảng 14mm, nhưng đối với cỏ và các loại hạt giống tương tự thì đường kính của xiên khoảng 10mm là đủ.
Xiên Nobble thích hợp đối với việc lấy mẫu hạt giống ở trong bao, nhưng không thích hợp cho việc lấy mẫu ở trong thùng chứa lớn. Khi lấy mẫu phải nhẹ nhàng chọc xiên vào trong bao, đầu nhọn hướng lên một góc khoảng 30o so với mặt phẳng ngang, để mặt lỗ hướng xuống dưới cho đến khi chọc tới giữa bao. Sau đó, xoay xiên 180o để đưa mặt lỗ hướng lên phía trên và từ từ rút ra sao cho lượng hạt giống thu được từ các vị trí ở giữa bao đến mép bao tăng dần lên. Hoặc nếu xiên đủ dài tới mép bên kia bao thì nên rút xiên ra với một tốc độ tương đối ổn định. Trong khi rút xiên ra thì nên lắc nhẹ sao cho các hạt chảy đều vào xiên. Nếu bề mặt của xiên càng nhẵn thì càng có nhiều hạt chảy vào xiên.
Việc lấy mẫu nên thay đổi ở đầu bao, ở giữa bao và ở đáy bao. Để lấy mẫu ở đáy của bao đặt đứng thì phải lôi bao xuống và đặt lên phía trên các bao khác. Các lỗ chọc ở bao có thể được đóng kín lại như được nêu đối với loại xiên dài.
3. Lấy mẫu bằng tay
Trong một số trường hợp và đối với một số loài, đặc biệt là các loài cỏ có vỏ ráp, không tự chảy được thì lấy mẫu bằng tay là phương pháp thuận tiện nhất. Ví dụ như:
Agropyron, Agrostis, Alopecurus, Anthoxanthum, Arrhenatherum, Axonopus, Bromus, Chloris, Cynodon, Cynosurus, Dactylis, Deschampsia, Elymus, Elytrigia, Festuca, Holcus, Lolium, Melinis, Panicum, Pascopyrum, Paspalum, Poa, Pseudoroegneria, Trisetum, Zoysia.
Điều khó đối với phương pháp này là lấy mẫu ở độ sâu hơn 400 mm. Điều đó có nghĩa là không thể lấy được các mẫu sâu hơn ở trong bao hoặc trong các thùng chứa lớn. Trong những trường hợp như vậy thì người lấy mẫu có thể đặt kế hoạch trước, chẳng hạn như yêu cầu đổ một số bao hoặc một phần của bao ra để tạo điều kiện cho việc lấy mẫu, sau đó đổ lại vào trong bao. Khi việc lấy mẫu được thực hiện bằng tay thì cần chú ý nắm các ngón tay cho chặt để các hạt giống không bị rơi vãi ra ngoài.
1.6.7.A. Đánh dấu, niêm phong và bao gói mẫu
Mẫu gửi phải được niêm phong và ký hiệu giống như ký hiệu ở lô hạt giống. Mẫu gửi cũng phải gắn nhãn ở ngoài bao hoặc được đưa vào bên trong bao đựng mẫu. Phải có túi đựng mẫu cùng với thẻ được in sẵn để có thể điền các thông tin cần thiết. Các mẫu phải được đóng gói trong bao bằng đay, vải hoặc giấy theo đúng qui định.
Người lấy mẫu phải chịu trách nhiệm cá nhân đối với dấu niêm phong, nhãn và túi được cung cấp và trách nhiệm của họ là phải bảo đảm không được đưa cho bất cứ ai nếu không được ủy quyền. Dù bất cứ lý do gì, các mẫu điểm, mẫu hỗn hoặc mẫu gửi cũng không được chuyển qua tay của người kinh doanh hạt giống.
1.7.3.A. Phương pháp chia mẫu trong phòng thí nghiệm
Để lập mẫu phân tích thì cán bộ kiểm nghiệm phải lấy ra một khối lượng lớn hơn khối lượng được yêu cầu. Phải dùng một trong các phương pháp sau đây:
1. Phương pháp dùng thiết bị chia mẫu
Phương pháp này thích hợp đối với tất cả các loại hạt giống, trừ các hạt có vỏ quả ráp. Thiết bị này chia mẫu thành hai phần tương đối bằng nhau. Mẫu gửi có thể được trộn bằng cách dùng thiết bị chia mẫu, sau đó gộp hai phần mẫu đã được chia và tiếp tục cho toàn bộ mẫu đi qua thiết bị chia mẫu lần thứ hai và lần thứ ba nếu cần thiết. Mẫu được giảm bằng cách chia mẫu nhiều lần và mỗi lần lấy ra một nửa. Quá trình này tiếp tục cho đến khi có được mẫu phân tích xấp xỉ, nhưng không được ít hơn khối lượng yêu cầu.
Các thiết bị chia mẫu dưới đây là những loại thiết bị thích hợp:
(a) Thiết bị chia mẫu dạng nón (Conical divider): Thiết bị chia mẫu dạng nón, hay còn được gọi là thiết bị chia mẫu Boerner, thường có 2 loại, loại kích thước nhỏ hơn cho các loài có hạt giống nhỏ và loại kích thước lớn hơn cho các loài có hạt giống lớn (như lúa mì hoặc lớn hơn). Các bộ phận chính gồm phễu chứa mẫu, thùng hình nón và các vách ngăn hướng hạt giống vào 2 khay hứng. Các vách ngăn tạo thành các đường dẫn lần lượt đối xứng nhau và có khoảng rộng bằng nhau. Chúng được sắp xếp thành vòng tròn và hướng vào phía trong và phía dưới, dẫn hạt xuống hai cái khay đối diện nhau. Có một cái van hoặc cửa ngăn ở đáy của hộp chứa mẫu ở phía trên hình nón để giữ hạt lại. Khi van này được mở, do trọng lực, hạt sẽ rơi vào thùng hình nón và sẽ được phân bố đều vào các khe, sau đó theo máng dẫn để vào 2 khay hứng.
Các kích thước phù hợp cụ thể là: Loại thiết bị lớn được thiết kế cho loại hạt lớn, có 19 khe dẫn vào và 19 khe dẫn ra, mỗi khe rộng 25.4mm. Loại thiết bị nhỏ được thiết kế cho các loại hạt nhỏ chảy tự do, có 22 khe dẫn vào và 22 khe dẫn ra, mỗi khe rộng 7.9mm. Kích thước toàn bộ thiết bị như sau: Loại thiết bị lớn có chiều cao 812.8mm và đường kính 368.3mm, loại thiết bị nhỏ có chiều cao 406.4mm và đường kính 152.4mm.
Nhược điểm của loại thiết bị này là khó kiểm tra tình trạng vệ sinh.
(b) Thiết bị chia mẫu dạng hộp (Soil divider): Là loại thiết bị đơn giản hơn, được thiết kế trên cùng một nguyên tắc như thiết bị chia mẫu dạng nón. Các khe dẫn được bố trí thành một hàng thẳng thay cho việc bố trí thành vòng tròn như ở thiết bị chia mẫu dạng nón. Thiết bị này gồm một hộp chứa mẫu với các khe hoặc máng dẫn đính vào một cái khung để giữ hộp đựng mẫu, hai cái khay đựng mẫu và một cái xẻng xúc mẫu.
Các kích thước thích hợp: Các khe có độ rộng 12.7mm, dẫn từ hộp chứa mẫu xuống 2 khay hứng. Có 18 khe như thế lần lượt hướng xuống dưới theo 2 phía đối diện nhau. Kích thước tối đa là 355.6mm chiều dài, 254mm chiều rộng và 279.4mm chiều cao.
Khi dùng thiết bị chia mẫu này, hạt giống được rắc tương đối đều từ xẻng rót mẫu xuống theo chiều dài của hộp chứa mẫu và được rót đều khắp chiều dài của hộp. Thiết bị chia mẫu này thích hợp đối với các loài có hạt lớn và có vỏ ráp, nhưng cũng có thể có những dạng phù hợp đối với các loài có hạt giống nhỏ.
(c) Thiết bị chia mẫu ly tâm (Centrifugal divider): Thiết bị chia mẫu ly tâm, hay còn được gọi là thiết bị chia mẫu Gamet, dùng lực ly tâm để trộn và rắc hạt giống lên khắp bề mặt chia. Khi dùng thiết bị này, hạt giống được chảy xuống qua hộp đựng mẫu vào một chiếc cốc nông bằng cao su. Theo lực quay của cốc bằng động cơ điện, các hạt giống được văng ra do lực ly tâm và rơi xuống. Nơi hạt rơi xuống sẽ được chia thành 2 phần bằng nhau bởi một vách ngăn sao cho có khoảng một nửa số hạt rơi vào một ngăn và một nửa khác rơi vào ngăn kia.
Thiết bị chia mẫu ly tâm thường cho những kết quả có thể khác nhau khi vận hành không cẩn thận. Tuy nhiên, những kết quả khả quan có thể thu được khi máy này được vận hành như mô tả dưới đây:
Chuẩn bị máy
(i) Máy được đặt thăng bằng nhờ điều chỉnh các chân máy;
(ii) Máy và 4 cốc chứa được kiểm tra sạch.
Trộn mẫu
(iii) Các cốc chứa được đặt ở dưới mỗi đầu ra;
(iv) Toàn bộ mẫu được rót vào phễu chứa, khi rót hạt vào phễu phải luôn luôn rót vào phần giữa phễu;
(v) Mâm quay được vận hành và hạt giống rơi vào trong cốc chứa;
(vi) Cốc đầy được thay bằng cốc không. Lượng hạt ở trong 2 cốc đầy lại được rót vào trong phếu cùng với nhau, hạt giống sẽ được trộn đều khi chảy vào trong cốc. Mâm quay lại được vận hành;
(vii) Lặp lại cách làm như ở bước (vi) ít nhất thêm một lần nữa.
Giảm mẫu
(viii) Các cốc đầy được thay bằng các cốc không. Lượng hạt giống ở một cốc đầy sẽ được lấy ra và cốc kia lại được rót vào phễu. Mâm quay lại được vận hành.
(ix) Cách làm này được lặp lại cho đến khi có được lượng mẫu phân tích thích hợp.
2. Phương pháp chia đôi mẫu bằng dụng cụ cải tiến
Dụng cụ gồm một khay, bên trong được đặt hệ thống các ô hình khối lập phương có kích thước bằng nhau, hở phía trên và cách một ô lại có một ô không có đáy. Sau khi trộn sơ bộ, hạt giống được rót đều lên các ô lập phương giống như ở phương pháp dùng cốc ngẫu nhiên. Khi các ô đã đầy, khoảng một nửa mẫu sẽ ở lại trên khay. Mẫu gửi sẽ được chia đôi liên tục như vậy cho đến khi mẫu phân tích có khối lượng gần bằng khối lượng yêu cầu, nhưng không được ít hơn.
3. Phương pháp dùng thìa
Chỉ cho phép dùng phương pháp này đối với mẫu của những loài có hạt giống nhỏ, đơn hạt. Cần có một cái khay, xẻng xúc hạt và thìa có một mép thẳng. Sau khi trộn sơ bộ, rót hạt đều lên khay, không lắc khay sau khi rót. Một tay cầm thìa, một tay cầm xẻng và dùng cả hai để lấy từng phần nhỏ hạt giống tại ít nhất 5 vị trí ngẫu nhiên ở trên khay. Các phần hạt giống được lấy vừa đủ để lập mẫu phân tích có khối lượng gần bằng, nhưng không được ít hơn khối lượng yêu cầu.
4. Phương pháp chia đôi mẫu bằng tay
Phương pháp này chỉ dùng hạn chế đối với hạt giống có vỏ ráp thuộc các chi sau đây:
| Agrimonia | Cenchrus | Oryza |
| Andropogon | Chloris | Pennisetum (trừ glaucum) |
| Anthoxanthum | Dicanthium | Scabiosa |
| Arrhenatherum | Echinochloa | Sorghastrum |
| Astrebla | Ehrharta | Stylosanthes (trừ guianensis) |
| Beckmannia | Elymus | Taeniatherum |
| Bouteloua | Eragrostis | Trisetum |
| Brachiaria | Gomphrena |
|
| Briza | Melinis |
|
Cách tiến hành
1. Hạt giống được rót đều lên bề mặt phẳng, sạch
2. Trộn đều hạt giống thành đống bằng xẻng có mép thẳng
3. Dàn đều đống hạt thành một lớp mỏng hình vuông
4. Đống hạt được chia thành hai nửa, mỗi nửa lại được chia đôi để có 4 phần. Mỗi phần này lại được chia đôi để có 8 phần, các phần này nên bố trí thành 2 hàng 4 hoặc 8 phần hình tam giác.
5. Gộp và thu các phần xen kẽ nhau, chẳng hạn gộp phần thứ nhất và phần thứ ba ở hàng thứ nhất với phần thứ hai và phần thứ tư ở hàng thứ hai. Loại bỏ 4 phần còn lại.
6. Lặp lại các bước từ 2 đến 4, dùng các phần còn lại ở bước 4 cho đến khi đạt được khối lượng mẫu yêu cầu.
1.8.A. Bảo quản mẫu
Cán bộ phân tích cần hiểu rõ tầm quan trọng của việc tiến hành thử nghiệm mẫu càng sớm càng tốt, ngay sau khi tiếp nhận mẫu. Chẳng hạn, hàm lượng ẩm có thể tăng hoặc giảm đáng kể trong quá trình bảo quản ở điều kiện phòng thí nghiệm tùy thuộc vào nhiệt độ và độ ẩm không khí ở trong phòng. Sự bảo quản cũng có thể làm thay đổi trạng thái ngủ nghỉ mà trong một số trường hợp là thông tin quan trọng phải phát hiện và báo cáo, hoặc cũng có thể làm tăng số lượng hạt cứng ở họ Đậu Fabaceae (Leguminosae). Bởi vậy, nếu cần thiết thì phải bảo quản mẫu ở trong phòng lạnh, được thông gió tốt.
Sự bảo quản sau khi thử nghiệm là để trong một thời gian dài và trong những điều kiện đặc biệt có sự kiểm soát về nhiệt độ và độ ẩm. Cần phải phòng chống côn trùng và chuột phá hỏng mẫu. Phòng kiểm nghiệm hạt giống không chịu trách nhiệm đối với mọi sự thay đổi xấu của mẫu trong quá trình bảo quản.
Bảng 1A. Khối lượng lô giống và khối lượng mẫu qui định đối với một số loài cây trồng
| TT (1) | Tên cây trồng (2) | Tên khoa học (3) | Khối lượng lô giống tối đa (kg) (4) | Khối lượng mẫu tối thiểu (g) | |||||
| Mẫu gửi để PT các chỉ tiêu chất lượng lô giống (5) | Mẫu PT độ sạch (6) | Mẫu PT hạt khác loài / hạt khác giống (7) | Mẫu PT độ ẩm (8) | Mẫu lưu** (9) | |||||
| 1.A.1. Những loài có tiêu chuẩn hạt giống (TCVN hoặc 10 TCN) | |||||||||
| 1 | Cà chua | Lycopersicum esculentum M. | 10.000 | 30 | 7 | - | 50 | 15 | |
| 2 | Cải bắp | Brassica oleracea var. capitata L. | 10.000 | 150 | 10 | 100 | 50 | 50 | |
| 3 | Cải củ | Raphanus sativus L. | 10.000 | 300 | 30 | 300 | 50 | 50 | |
| 4 | Dưa chuột | Cucumis sativus L. | 10.000 | 150 | 70 | - | 50 | 50 | |
| 5 | Dưa hấu | Citrullus lanatus (Thumb)M&N | 10.000 | 250 | 250 | - | 100 | 200 | |
| 6 | Đậu tương | Glycin max (L.) Merr. | 25.000 | 1000 | 500 | 1000 | 100 | 200 | |
| 7 | Đậu xanh | Vigna radiata (L.) Wilczek | 20.000 | 1000 | 500 | 1000 | 100 | 200 | |
| 8 | Khoai tây | Solanum tuberosum L. | 100 | 25 | 10 | - | 50 | 10 | |
| 9 | Lạc* | Arachis hypogea L. | 20.000 | 2200 | 1500 | 1500 | 200 | 500 | |
| 10 | Lúa | Oryza sativa L. | 25.000 | 1000 | 500 | 500 | 100 | 250 | |
| 11 | Ngô | Zea mayz L. | 40.000 | 1000 | 900 | 1000 | 100 | 200 | |
| 12 | Rau muống | Ipomoea aquatica Fors. | 20.000 | 500 | 100 | - | 100 | 200 | |
| 13 | Su hào | Brassica oleracea var. caulorapa L. | 10.000 | 150 | 10 | 100 | 50 | 50 | |
| 1.A.2. Những loài chưa có tiêu chuẩn hạt giống (theo qui định của ISTA) | |||||||||
| 1 | Bầu | Lagenaria vulgaris L. | 20.000 | 1000 | 500 | 1000 | 100 |
| |
| 2 | Bí đao | Benincasa cerifera Savi. | 10.000 | 200 | 100 | 200 | 100 |
| |
| 3 | Bí rợ | Cucurbita maxima Duch. | 20.000 | 1000 | 700 | 1000 | 100 |
| |
| 4 | Bí ngô | Cucurbita pepo L. | 20.000 | 1000 | 700 | 1000 | 100 |
| |
| 5 | Bông | Gossypium spp. | 25.000 | 1000 | 350 | 1000 | 100 |
| |
| 6 | Cà | Solanum melongena L. | 10.000 | 150 | 15 | 150 | 50 |
| |
| 7 | Cà-rốt | Daucus carota L. | 10.000 | 30 | 3 | 30 | 50 |
| |
| 8 | Cải bẹ | Brassica campestris L. | 10.000 | 70 | 7 | 70 | 50 |
| |
| 9 | Cải thìa | B. chinensis L. | 10.000 | 40 | 4 | 40 | 50 |
| |
| 10 | Cải xanh | B. cernua Farb. et Hem.. | 10.000 | 40 | 4 | 40 | 50 |
| |
| 11 | Cải dầu | B. napus var. oleifera L. | 10.000 | 100 | 10 | 100 | 50 |
| |
| 12 | Cải cúc | Chrysanthemum coronaria L. | 5.000 | 30 | 8 | 30 | 50 |
| |
| 13 | Cải xoong | Nasturtium afficinale R.Br. | 10.000 | 25 | 0,5 | 25 | 50 |
| |
| 14 | Cao lương | Sorghum bicolor (L.) Moe. | 10.000 | 900 | 90 | 900 | 100 |
| |
| 15 | Củ cải đường | Beta vulgaris L. | 20.000 | 500 | 50 | 500 | 50 |
| |
| 16 | Dưa bở | Melo sinensis L. | 10.000 | 150 | 70 | 150 | 50 |
| |
| 17 | Dưa gang | Cucumis melo L. | 10.000 | 150 | 70 | 150 | 50 |
| |
| 18 | Đại mạch | Hordeum vulgaris L. | 25.000 | 1000 | 120 | 1000 | 100 |
| |
| 19 | Đay | Corchorus spp. | 10.000 | 400 | 15 | 150 | 100 |
| |
| 20 | Đậu đỏ | Vigna angularis Ohw.ex Oha. | 20.000 | 1000 | 250 | 1000 | 100 |
| |
| 21 | Đậu đen | V. cylindrica L. | 20.000 | 1000 | 400 | 1000 | 100 |
| |
| 22 | Đậu đũa | V. sinensis (L.) Savi&Hass. | 20.000 | 1000 | 400 | 1000 | 100 |
| |
| 23 | Đậu nho nhe | V. umbellata Ohw.ex Oha. | 20.000 | 1000 | 250 | 1000 | 100 |
| |
| 24 | Đậu chiều | Cajanus cajan (L.) Millsp. | 20.000 | 1000 | 300 | 1000 | 100 |
| |
| 25 | Đậu kiếm | Canavalia gladiata (J.) DC. | 20.000 | 1000 | 1000 | 1000 | 100 |
| |
| 26 | Đậu ván | Dolichos lablab L. | 20.000 | 1000 | 600 | 1000 | 100 |
| |
| 27 | Đậu ngự | Phasaeolus lutanus L. | 20.000 | 1000 | 1000 | 1000 | 100 |
| |
| 28 | Đậu tây | Phasaeolus vulgaris L. | 25.000 | 1000 | 700 | 1000 | 100 |
| |
| 29 | Đậu Hà-lan | Pisum sativum L. | 25.000 | 1000 | 900 | 1000 | 100 |
| |
| 30 | Đậu rồng | Psophocarpus tetragonolobus (L.) D.C. | 20.000 | 1000 | 1000 | 1000 | 100 |
| |
| 31 | Đậu răng ngựa | Vicia faba L. | 25.000 | 1000 | 1000 | 1000 | 100 |
| |
| 32 | Điền thanh | Sesbania annabia (R.)Pers. | 10.000 | 90 | 9 | 90 | 50 |
| |
| 33 | Hành tây | Allium cepa L. | 10.000 | 80 | 8 | 80 | 50 |
| |
| 34 | Hành ta | A. fistulosum L. | 10.000 | 50 | 5 | 50 | 50 |
| |
| 35 | Hành tăm | A. porrum L. | 10.000 | 70 | 7 | 70 | 50 |
| |
| 36 | Hành thơm | A. schoenoprasum L. | 10.000 | 30 | 3 | 30 | 50 |
| |
| 37 | Hẹ | A. tuberosum L. | 10.000 | 100 | 10 | 100 | 50 |
| |
| 38 | Hướng dương | Helianthus annuus L. | 25.000 | 1000 | 200 | 1000 | 100 |
| |
| 39 | Kê | Eleusine coracana (L.)G. | 25.000 | 60 | 6 | 60 | 100 |
| |
| 40 | Lúa mì | Triticum aestivum L. | 25.000 | 1000 | 120 | 1000 | 100 |
| |
| 41 | Lúa mì đen | Secale cereale L. | 25.000 | 1000 | 120 | 1000 | 100 |
| |
| 42 | Mướp tây | Hibiscus esculentus L. | 20.000 | 1000 | 140 | 1000 | 100 |
| |
| 43 | Mướp hương | Luffa acutangula L. | 20.000 | 1000 | 400 | 1000 | 100 |
| |
| 44 | Mướp ta | Luffa cylindrica L. | 20.000 | 1000 | 250 | 1000 | 100 |
| |
| 45 | Mướp đắng | Momordica charantia L. | 20.000 | 1000 | 450 | 1000 | 100 |
| |
| 46 | Ớt | Capsicum sp. | 10.000 | 150 | 15 | 150 | 50 |
| |
| 47 | Rau dền | Amaranthus tricolor L. | 5.000 | 10 | 2 | 10 | 50 |
| |
| 48 | Rau cần | Apium graveolens L. | 10.000 | 25 | 1 | 10 | 50 |
| |
| 49 | Rau mùi | Coriandrum sativum L. | 10.000 | 150 | 40 | 400 | 50 |
| |
| 50 | Su-lơ | B. oleracea var. botrytis L. | 10.000 | 100 | 10 | 100 | 50 |
| |
| 51 | Su-su | Sechium edule (J.) Swartz. | 20.000 | 1000 | 1000 | 1000 | 50 |
| |
| 52 | Thầu dầu | Ricinus communis L. | 20.000 | 1000 | 500 | 1000 | 100 |
| |
| 53 | Thuốc lá | Nicotinana tabacum L. | 10.000 | 25 | 0.5 | 25 | 50 |
| |
| 54 | Vừng | Sesamum indicum L. | 10.000 | 70 | 7 | 70 | 50 |
| |
| 55 | Xà-lách | Lactuca sativa L. | 10.000 | 30 | 3 | 30 | 50 |
| |
| 56 | Yến mạch | Avena sativa L. | 25.000 | 1000 | 120 | 1000 | 100 |
| |
* Khối lượng của lô giống, mẫu gửi và mẫu lưu được quy định đối với lạc củ, khối lượng của mẫu phân tích độ sạch, hạt khác giống và nẩy mầm được quy định đối với lạc nhân.
** Mẫu lưu sẽ được lấy ra từ phần mẫu gửi ở cột 5.
PHỤ LỤC CHƯƠNG 2
PHÂN TÍCH ĐỘ SẠCH
2.2.1.A.1. Mã số định nghĩa hạt sạch theo chi (genus) và họ (family), theo qui định của ISTA
| TT | Cây trồng | Chi (genus) | Họ (family) | Mã số định nghĩa hạt sạch | Hạt ráp (R) |
| 1 | Bầu | Lagenaria | Cucurbitaceae | 10 |
|
| 2 | Bí đao | Benincasa | Cucurbitaceae | 10 |
|
| 3 | Bí ngô, bí rợ | Cucurbita | Cucurbitaceae | 10 |
|
| 4 | Bông | Gossypium | Malvaceae | 12 | R |
| 5 | Cà | Solanum | Solanaceae | 10 |
|
| 6 | Cà chua | Lycopersicum | Solanaceae | 10 | R |
| 7 | Cà rốt | Daucus | Apiaceae (Umbelliferae) | 15 | R |
| 8 | Cải bắp, cải bẹ, cải thìa, cải canh, cải dầu, su-lơ | Brassica | Brassicaceae (Cruciferae) | 10 |
|
| 9 | Cải củ | Raphanus | Brassicaceae (Cruciferae) | 10 |
|
| 10 | Cải cúc | Chrysanthemum | Asteraceae (Compositae) | 1 | R |
| 11 | Cải xoong | Nasturtium | Brassicaceae (Cruciferae) | 10 |
|
| 12 | Cao lương | Sorghum | Poaceae (Gramineae) | 42 | R |
| 13 | Củ cải đường | Beta | Chenopodiaceae | 46 | R |
| 14 | Dưa bở | Melo | Cucurbitaceae | 10 |
|
| 15 | Dưa hấu | Citrulus | Cucurbitaceae | 10 |
|
| 16 | Dưa chuột, dưa gang | Cucumis | Cucurbitaceae | 10 |
|
| 17 | Đại mạch | Hordeum | Poaceae (Gramineae) | 62 | R |
| 18 | Đay | Corchorus | Tiliaceae | 10 |
|
| 19 | Đậu chiều | Cajanus | Fabaceae (Leguminosae) | 10 |
|
| 20 | Đậu kiếm | Canavalia | Fabaceae (Leguminosae) | 10 |
|
| 21 | Đậu tương | Glycine | Fabaceae (Leguminosae) | 10 |
|
| 22 | Đậu tây, đậu ngự | Phasaeolus | Fabaceae (Leguminosae) | 10 |
|
| 23 | Đậu Hà-lan | Pisum | Fabaceae (Leguminosae) | 10 |
|
| 24 | Đậu rồng | Psophocarpus | Fabaceae (Leguminosae) | 10 |
|
| 25 | Đậu răng ngựa | Vicia | Fabaceae (Leguminosae) | 10 |
|
| 26 | Đậu đỏ, đậu đen, đậu đũa, đậu nho nhe | Vigna | Fabaceae (Leguminosae) | 10 |
|
| 27 | Điền thanh | Sesbania | Fabaceae (Leguminosae) | 10 |
|
| 28 | Hành tỏi | Allium | Liliaceae | 10 |
|
| 29 | Hướng dương | Helianthus | Asteraceae (Compositae) | 4 |
|
| 30 | Kê | Eleusine | Poaceae (Gramineae) | 61 |
|
| 31 | Lạc | Arachis | Fabaceae (Leguminosae) | 10 | R |
| 32 | Lúa | Oryza | Poaceae (Gramineae) | 38 | R |
| 33 | Lúa mì | Triticum | Poaceae (Gramineae) | 40 |
|
| 34 | Lúa mì đen | Secale | Poaceae (Gramineae) | 40 |
|
| 35 | Mướp tây | Hibiscus | Malvaceae | 10 |
|
| 36 | Mướp ta, mướp hương | Luffa | Cucurbitaceae | 10 |
|
| 37 | Mướp đắng | Momordica | Cucurbitaceae | 10 |
|
| 38 | Ngô | Zea | Poaceae (Gramineae) | 40 |
|
| 39 | ớt | Capsicum | Solanaceae | 10 |
|
| 40 | Rau cần | Apium | Apiaceae (Umbelliferae) | 15 | R |
| 41 | Rau dền | Amaranthus | Amaranthacea | 10 |
|
| 42 | Rau mùi | Coriandrum | Apiaceae (Umbelliferae) | 15 |
|
| 34 | Rau muống | Ipomoea | Convolvulaceae | 10 |
|
| 44 | Su-su | Sechium | Cucurbitaceae | 10 |
|
| 45 | Thầu dầu | Ricinus | Euforbiaceae | 13 |
|
| 46 | Thuốc lá | Nicotiana | Solanaceae | 10 |
|
| 47 | Vừng | Sesamum | Pedaliaceae | 10 |
|
| 48 | Xà lách | Lactuca | Asteraceae (Compositae) | 4 | R |
| 49 | Yến mạch | Avena | Poaceae (Gramineae) | 33 | R |
2.2.1.A.2. Các định nghĩa về hạt sạch theo mã số
1. Quả bế, trừ khi rõ ràng là không có hạt giống.
Mẩu vỡ của quả bế lớn hơn một nửa kích thước ban đầu, trừ khi rõ ràng là không có hạt giống.
Hạt giống, với vỏ quả/ vỏ hạt bị mất một phần hoặc mất toàn bộ.
Mẩu vỡ của hạt giống lớn hơn một nửa kích thước ban đầu, với vỏ quả/ vỏ hạt bị mất một phần hoặc mất toàn bộ.
4. Quả bế, có hoặc không có mỏ, có hoặc không có vành lông, trừ khi rõ ràng là không có hạt giống.
Mẩu vở của quả bế lớn hơn một nửa kích thước ban đầu, trừ khi rõ ràng là không có hạt giống.
Hạt giống, với vỏ quả/ vỏ hạt bị mất một phần hoặc mất toàn bộ.
Mẩu vỡ của hạt giống lớn hơn một nửa kích thước ban đầu, với vỏ quả/vỏ hạt bị mất một phần hoặc mất toàn bộ.
10. Hạt giống, có hoặc không có vỏ hạt.
Mẩu vỡ của hạt giống lớn hơn một nửa kích thước ban đầu, có hoặc không có vỏ hạt.
Họ Đậu Fabaceae (Leguminosae), họ Cải Brassicaceae (Cruciferae): Hạt giống và mẩu vỡ của hạt giống nếu không có vỏ hạt sẽ được coi là tạp chất.
Đối với họ Đậu Fabaceae (Leguminosae): Các lá mầm bị tách rời ra được coi là tạp chất, bất kể có hay không có mầm và/hoặc có hơn một nửa vỏ hạt đính cùng.
12. Hạt giống, có hoặc không có vỏ hạt.
Ghi chú: Vỏ hạt có hoặc không có lông.
Mẩu vỡ của hạt giống lớn hơn một nửa kích thước ban đầu, có hoặc không có vỏ hạt.
13. Hạt giống, có hoặc không có vỏ hạt, có hoặc không có mộng/núm.
Mẩu vỡ của hạt giống lớn hơn một nửa kích thước ban đầu, có hoặc không có vỏ hạt.
15. Quả nẻ/quả nang, có hoặc không có cuống (ở mọi độ dài), trừ khi rõ ràng là không có hạt giống.
Mẩu vỡ của quả lớn hơn một nửa kích thước ban đầu, trừ khi rõ ràng là không có hạt giống.
Hạt giống, với vỏ quả bị mất một phần hoặc mất toàn bộ.
Mẩu vỡ của hạt giống lớn hơn một nửa kích thước ban đầu, với vỏ quả bị mất một phần hoặc mất toàn bộ.
Ghi chú: Những quả có mẩu cuống dài hơn chiều dài của quả nẻ/quả nang sẽ được báo cáo như qui định ở 3.7. (xem thêm ở 2.2.1..A.5).
33. Hoa con, với lá mày trên và lá mày dưới bao kín quả dĩnh, có hoặc không có râu.
Quả dĩnh.
Mẩu vỡ của quả dĩnh lớn hơn một nửa kích thước ban đầu.
38. Bông chét, với các lá mày nhỏ, lá mày dưới và lá mày trên bao quanh quả dĩnh, kể cả râu với bất kể kích thước nào.
Hoa con, có hoặc không có lá mày dưới bất thụ, với lá mày dưới và lá mày trên bao quanh quả dĩnh, kể cả râu với bất kể kích thước nào.
Quả dĩnh.
Mẩu vỡ của quả dĩnh lớn hơn một nửa kích thước ban đầu.
Ghi chú: Các hạt giống có râu dài hơn chiều dài của hoa con sẽ được báo cáo như ở điều 3.7. (xem thêm ở 2.2.1..A.5).
40. Quả dĩnh.
Mẩu vỡ của quả dĩnh lớn hơn một nửa kích thước ban đầu.
42. Bông chét, với các lá bắc bao quanh quả dĩnh, có hoặc không có lá mày dưới và lá mày trên trong suốt, các đốt, cuống, râu, các hoa con hữu thụ và bất thụ đính cùng.
Hoa con, với lá mày dưới và lá mày trên, có hoặc không có râu.
Quả dĩnh.
Mẩu vỡ của quả dĩnh lớn hơn một nửa kích thước ban đầu.
46. Hoa tự chùm, hoặc mẩu hoa tự chùm, có hoặc không có cuống, có hoặc không có lá, trừ khi rõ ràng là không có hạt giống.
Hạt giống, với vỏ quả/vỏ hạt bị mất một phần hoặc mất toàn bộ.
Mẩu hạt giống lớn hơn một nửa kích thước ban đầu, với vỏ quả/vỏ hạt bị mất một phần hoặc mất toàn bộ.
Ghi chú: Hoa tự chùm, có mẩu cuống hoặc lá thò ra vượt quá kích thước rộng nhất của chùm sẽ được báo cáo như ở điều 3.7. (xem thêm ở 2.2.1..A.5).
61. Hoa con, với lá mày dưới và lá mày trên bao quanh quả dĩnh.
Quả dĩnh, có hoặc không có vỏ quả.
Mẩu vỡ của quả dĩnh lớn hơn một nửa kích thước ban đầu, có hoặc không có vỏ quả.
62. Hoa con, với với lá mày dưới và lá mày trên bao quanh quả dĩnh, có hoặc không có râu, có hoặc không có đốt cuống với bất kể mọi chiều dài của chúng.
Mẩu vỡ của hoa con có chứa quả dĩnh lớn hơn một nửa kích thước ban đầu.
Quả dĩnh.
Mẩu vỡ của quả dĩnh lớn hơn một nửa kích thước ban đầu.
Ghi chú: Các hoa con có râu hoặc đốt cuống dài hơn chiều dài của hoa con sẽ được báo cáo như qui định ở điều 3.7 (xem thêm ở 2.2.1.A 5.)
2.2.1.A.3. Giải thích thuật ngữ
Quả bế (achene): Quả khô, không mở, có một hạt, được hình thành từ một noãn tự do, có vỏ hạt phân biệt với vỏ quả; đôi khi có vài noãn (họ Cúc Compositae).
Râu (awn): Có dạng thon dài, thẳng hoặc ống cứng. Ở các loài cỏ: thường là sự tiếp tục gân giữa của lá mày dưới hoặc các lá mày nhỏ.
Mỏ (beak): Là sự kéo dài, vuốt nhọn của quả.
Lá bắc (bract): Lá bị tiêu giảm hoặc có cấu trúc giống như vẩy, đính ở dưới hoa hoặc bông chét của cỏ.
Lông cứng (bristle): Lông cứng; đôi khi được áp dụng cho phần trên của râu ở các loài cỏ ống (Agrostis).
Hoa tự đầu (capitulum): Hoa tự gồm rất nhiều hoa thường không có cuống.
Núm hạt (caruncle): Phần phụ nhỏ, mọc ra từ vùng lỗ noãn.
Quả dĩnh (caryopsis): Quả trần ở hòa thảo, có vỏ hạt dính liền với vỏ quả.
Hoa tự chùm (cluster): Hoa tự xếp dày đặc, hoặc ở các loài củ cải đường là một phần của hoa tự.
Quả hạch (drupe): Quả không mở, có một hạt, vỏ quả trong cứng như đá và lớp bên ngoài có nhiều thịt.
Phôi (embrryo): Mầm cây nằm trong hạt.
Bó, chùm (fascicle): Một nhóm các nhánh mọc ra từ cùng một chỗ.
Hữu thụ (fertile): Với các cơ quan có chức năng sinh sản; (đối với các hoa của hòa thảo: có quả dĩnh).
Hoa con (floret): Gồm lá mày dưới (lemma) và lá mày trên (palea) bao quanh nhị và nhụy hoặc quả dĩnh ở họ Hòa thảo Poaceae (Gramineae); trong tiêu chuẩn này, thuật ngữ “hoa con” dùng để chỉ hoa hữu thụ có hoặc không có các lá mày dưới bất thụ.
Lá mày nhỏ (glume): Một trong hai lá bắc thường bất thụ, đính ở gốc của bông chét các loài hòa thảo.
Lông (hair): Một hoặc nhiều tế bào biểu bì mọc ra bên ngoài.
Đế hoa (hypanthium): Cấu trúc giống như dạng nhẫn, dạng cốc hoặc dạng ống bao quanh noãn, mang đài hoa, cánh hoa và nhị hoa.
Áo hạt (integument): Phần bao bọc noãn, sau trở thành lớp áo hoặc vỏ hạt.
Lá mày dưới (lemma): Lá bắc ở phía ngoài (phía dưới) của hoa hòa thảo, đôi khi được dùng như lá mày nhỏ (glume) mang hoa hoặc như lá mày trên (palea) ở phía dưới hoặc phía ngoài. Lá bắc này bao quanh quả dĩnh ở phía ngoài (phía lưng), ngăn cách noãn có chứa hạt giống.
Múi quả (mericarp): Một phần của quả nẻ.
Quả hạch nhỏ (nutlet): Dạng quả hạch nhỏ.
Lá mày trên (palea): Lá bắc ở phía trong (phía trên) của hoa hòa thảo, đôi khi được gọi là lá mày trong hoặc lá mày trên. Lá bắc này bao quanh quả dĩnh ở phía trong (phía bụng).
Vành lông (pappus): Vòng lông nhỏ, đôi khi như lông chim hoặc vẩy bao xung quanh quả bế.
Cuống hoa (pedicel): Cuống của từng hoa đơn trong hoa tự.
Bao hoa (perianth): Hai phần bao bọc xung quanh hoa (đài hoa và cánh hoa) hoặc một trong hai phần đó.
Vỏ quả (pericarp): Thành của noãn chín hoặc của quả.
Quả đậu (pod): Quả khô mở, đặc biệt là ở họ Đậu Fabaceae (Leguminosae).
Cuống nhánh (rachilla): Cuống thứ cấp. Cụ thể ở hòa thảo là trục mang hoa con.
Đơn vị hạt giống: Là một đơn vị phân tán, chẳng hạn các quả bế và các loại quả (seed unit) tương tự, quả nẻ v.v... được định nghĩa đối với từng chi hoặc loài ở các định nghĩa về hạt sạch theo mã số (2.2.1.A. 2.).
Quả nẻ (schizocarp): Loại quả khô, khi chín thì tách ra 2 hoặc nhiều đơn vị (múi).
Quả giác (siliqua): Loại quả khô, mở, có 2 mảnh vỏ bắt nguồn từ 2 lá noãn, chẳng hạn như ở họ Cải Brassicaceae (Cruciferae).
Bông chét (spikelet): Đơn vị của hoa tự ở cỏ, gồm một hoặc vài hoa con mang một hoặc hai lá mày nhỏ (glumes) bất thụ.
Trong tiêu chuẩn này, thuật ngữ bông chét gồm một hoa con hữu thụ, có thêm một hoặc vài hoa con hữu thụ hoặc hoàn toàn bất thụ, hoặc các lá mày nhỏ (glumes).
Cuống (stalk): Phần thân của các bộ phận cây.
Bất thụ (sterile): Không có các cơ quan chức năng sinh sản (đối với các hoa con ở cỏ: không có quả dĩnh).
Mộng (strophiole): Một phần của áo hạt, mọc ra như nốt sần (xem thêm ở thuật ngữ áo hạt, núm hạt).
Vỏ hạt (testa): Phần vỏ của hạt.
2.2.1.A.4. Các hạt giống có vỏ ráp
Các hạt giống có vỏ ráp là những hạt giống thuộc dạng:
1. Dễ dính chặt với nhau hoặc với các vật khác (túi vải, dụng cụ lấy mẫu, dụng cụ chia mẫu...).
2. Có thể làm cho các hạt giống khác dễ bị dính vào nó hoặc ngược lại.
3. Không thể dễ dàng làm sạch, trộn mẫu hoặc lấy mẫu.
Một mẫu được coi là có vỏ ráp nếu tổng số các phần ráp (gồm cả tạp chất ráp) chiếm 1/3 hoặc hơn. Các loài có vỏ ráp được nêu ở Bảng 2.2.1.A.1 với chữ “R” ở cột 4.
2.2.1.A.5. Các hạt có phần phụ đính cùng
Ở một số chi (có mã số định nghĩa hạt sạch 15, 38, 46 và 62), các hạt giống/quả dĩnh có thể có các phần phụ đính cùng (râu, cuống...). Các phần phụ này sẽ được để nguyên, không tách ra khỏi hạt giống, nhưng khối lượng của những hạt giống có các phần phụ dài hơn qui định phải được báo cáo ở trên Chứng chỉ Phân tích như qui định ở 2.7.
2.6.A.1. Phương pháp phân tích và báo cáo kết quả phân tích các loài khó phân biệt
Khi trong mẫu gặp những loài khó phân biệt hoặc không thể phân biệt được thì làm như sau:
a) Chỉ báo cáo tên (genus) của cây trồng và tất cả các hạt của chi này được coi là hạt sạch và tiến hành tính toán kết quả như trên.
b) Các hạt giống nhau được tách ra và cân cùng nhau. Từ phần hạt này lấy ra 400-1000 hạt (thích hợp nhất là 1000 hạt) và kiểm tra kỹ từng hạt để tách chúng ra. Cân khối lượng của từng loài và tính tỷ lệ phần trăm của chúng trong cả mẫu theo công thức:
| A (%) = | Khối lượng các hạt của loài A | x P1 |
| Tổng khối lượng của 400-1000 hạt |
Trong đó: PI là tỷ lệ phần trăm các hạt giống nhau được tách ra so với cả mẫu.
Tỷ lệ này sau đó được cộng vào tỷ lệ của các hạt khác loài đã được tách ra trước đó (các hạt không thuộc loài khó phân biệt). Tỷ lệ hạt sạch sẽ được giảm đi bằng đúng tỷ lệ của hạt khác loài khó phân biệt đã tính toán được, để tổng của các thành phần của phép thử độ sạch bằng đúng 100.0%.
2.6.A.2. Tính toán dạng tạp chất lớn có ảnh hưởng đáng kể đến kết quả
Nếu trong mẫu gặp những dạng tạp chất lớn có thể có ảnh hưởng đáng kể tới kết quả của phép thử như đất đá, những hạt ngũ cốc lớn... và nếu chúng tương đối dễ dàng loại bỏ, chẳng hạn bằng sàng, thì loại bỏ các tạp chất này ra khỏi mẫu gửi và tiến hành phân tích binh thường ở trên mẫu phân tích được lấy ra từ phần nguyên liệu đã được làm sạch. Các tạp chất này sẽ được tính toán và báo cáo như sau:
Nếu trong mẫu có m (g) tạp chất lớn được tách ra từ mẫu có M (g) và nếu phép thử độ sạch trên phần nguyên liệu đã được làm sạch cho P1 (%) hạt sạch, I1 (%) tạp chất và OS1 (%) các hạt khác loài, sau đó kết quả độ sạch cuối cùng sẽ được tính toán như sau:
| Hạt sạch:
| Trong đó, M = Khối lượng ban đầu của mẫu mà từ đó dạng tạp chất có ảnh hưởng đáng kể đến kết quả được lấy ra. m1 = Khối lượng của dạng tạp chất được lấy ra và được đưa vào phần tạp chất. m2 = Khối lượng của dạng tạp chất được lấy ra và được đưa vào phần hạt khác loài. | |
| Tạp chất: | Trong đó | |
| Hạt khác loài: | Trong đó | |
| (Kiểm tra lại P2 + T2 + KL2 = 100.0%) |
| |
Bảng 2.A.1. Sai số cho phép giữa các kết quả phân tích độ sạch của cùng 1 mẫu gửi, được tiến hành ở cùng 1 phòng kiểm nghiệm (phép thử hai chiều ở mức ý nghĩa 5%)
| Kết quả trung bình của 2 mẫu phân tích (%) | Sai số cho phép (%) | ||||
|---|---|---|---|---|---|
| Mẫu PT một nửa mẫu | Mẫu PT toàn bộ mẫu | ||||
| Hạt không có vỏ ráp | Hạt có vỏ ráp | Hạt không có vỏ ráp | Hạt có vỏ ráp | ||
| 99.95-100.00 | 0.00-0.04 | 0.20 | 0.23 | 0.1 | 0.2 |
| 99.90-99.94 | 0.05-0.09 | 0.33 | 0.34 | 0.2 | 0.2 |
| 99.85-99.89 | 0.10-0.14 | 0.40 | 0.42 | 0.3 | 0.3 |
| 99.80-99.84 | 0.15-0.19 | 0.47 | 0.49 | 0.3 | 0.4 |
| 99.75-99.79 | 0.20-0.24 | 0.51 | 0.55 | 0.4 | 0.4 |
| 99.70-99.74 | 0.25-0.29 | 0.55 | 0.59 | 0.4 | 0.4 |
| 99.65-99.69 | 0.30-0.34 | 0.61 | 0.65 | 0.4 | 0.5 |
| 99.60-99.64 | 0.35-0.39 | 0.65 | 0.69 | 0.5 | 0.5 |
| 99.55-99.59 | 0.40-0.44 | 0.68 | 0.74 | 0.5 | 0.5 |
| 99.50-99.54 | 0.45-0.49 | 0.72 | 0.76 | 0.5 | 0.5 |
| 99.40-99.49 | 0.50-0.59 | 0.76 | 0.82 | 0.5 | 0.6 |
| 99.30-99.39 | 0.60-0.69 | 0.83 | 0.89 | 0.6 | 0.6 |
| 99.20-99.29 | 0.70-0.79 | 0.89 | 0.95 | 0.6 | 0.7 |
| 99.10-99.19 | 0.80-0.89 | 0.95 | 1.00 | 0.7 | 0.7 |
| 99.00-99.09 | 0.90-0.99 | 1.00 | 1.06 | 0.7 | 0.8 |
| 98.75-98.99 | 1.00-1.24 | 1.07 | 1.15 | 0.8 | 0.8 |
| 98.50-98.74 | 1.25-1.49 | 1.19 | 1.26 | 0.8 | 0.9 |
| 98.25-98.49 | 1.50-1.74 | 1.29 | 1.37 | 0.9 | 1.0 |
| 98.00-98.24 | 1.75-1.99 | 1.37 | 1.47 | 1.0 | 1.0 |
| 97.75-97.99 | 2.00-2.24 | 1.44 | 1.54 | 1.0 | 1.1 |
| 97.50-97.74 | 2.25-2.49 | 1.53 | 1.63 | 1.1 | 1.2 |
| 97.25-97.49 | 2.50-2.74 | 1.60 | 1.70 | 1.1 | 1.2 |
| 97.00-97.24 | 2.75-2.99 | 1.67 | 1.78 | 1.2 | 1.3 |
| 96.50-96.99 | 3.00-3.49 | 1.77 | 1.88 | 1.3 | 1.3 |
| 96.00-96.49 | 3.50-3.99 | 1.88 | 1.99 | 1.3 | 1.4 |
| 95.50-95.99 | 4.00-4.49 | 1.99 | 2.12 | 1.4 | 1.5 |
| 95.00-9.49 | 4.50-4.99 | 2.09 | 2.22 | 1.5 | 1.6 |
| 94.00-94.99 | 5.00-5.99 | 2.25 | 2.38 | 1.6 | 1.7 |
| 93.00-93.99 | 6.00-6.99 | 2.43 | 2.56 | 1.7 | 1.8 |
| 92.00-92.99 | 7.00-7.99 | 2.59 | 2.73 | 1.8 | 1.9 |
| 91.00-91.99 | 8.00-8.99 | 2.74 | 2.90 | 1.9 | 2.1 |
| 90.00-90.99 | 9.00-9.99 | 2.88 | 3.04 | 2.0 | 2.2 |
| 88.00-89.99 | 10.00-11.99 | 3.08 | 3.25 | 2.2 | 2.3 |
| 86.00-87.99 | 12.00-13.99 | 3.31 | 3.49 | 2.3 | 2.5 |
| 84.00-85.99 | 14.00-15.99 | 3.52 | 3.71 | 2.5 | 2.6 |
| 82.00-83.99 | 16.00-17.99 | 3.69 | 3.90 | 2.6 | 2.8 |
| 80.00-81.99 | 18.00-19.99 | 3.86 | 4.07 | 2.7 | 2.9 |
| 78.00-79.99 | 20.00-21.99 | 4.00 | 4.23 | 2.8 | 3.0 |
| 76.00-77.99 | 22.00-23.99 | 4.14 | 4.37 | 2.9 | 3.1 |
| 74.00-75.99 | 24.00-25.99 | 4.26 | 4.50 | 3.0 | 3.2 |
| 72.00-73.99 | 26.00-27.99 | 4.37 | 4.61 | 3.1 | 3.3 |
| 70.00-71.99 | 28.00-29.99 | 4.47 | 4.71 | 3.2 | 3.3 |
| 65.00-69.99 | 30.00-34.99 | 4.61 | 4.86 | 3.3 | 3.4 |
| 60.00-64.99 | 35.00-39.99 | 4.77 | 5.02 | 3.4 | 3.6 |
| 50.00-59.99 | 40.00-49.99 | 4.89 | 5.16 | 3.5 | 3.7 |
Bảng 2.A.2- Sai số cho phép giữa các kết quả phân tích độ sạch của 2 mẫu gửi khác nhau, được lấy từ cùng 1 lô hạt giống khi phép thử thứ hai được tiến hành ở cùng hoặc khác phòng kiểm nghiệm (phép thử một chiều ở mức ý nghĩa 1%)
| Kết quả trung bình của 2 mẫu phân tích (%) | Sai số cho phép (%) | ||
| Hạt không có vỏ ráp | Hạt có vỏ ráp | ||
| 99.95-100.00 | 0.00-0.04 | 0.2 | 0.2 |
| 99.90-99.94 | 0.05-0.09 | 0.3 | 0.3 |
| 99.85-99.89 | 0.10-0.14 | 0.3 | 0.4 |
| 99.80-99.84 | 0.15-0.19 | 0.4 | 0.5 |
| 99.75-99.79 | 0.20-0.24 | 0.4 | 0.5 |
| 99.70-99.74 | 0.25-0.29 | 0.5 | 0.6 |
| 99.65-99.69 | 0.30-0.34 | 0.5 | 0.6 |
| 99.60-99.64 | 0.35-0.39 | 0.6 | 0.7 |
| 99.55-99.59 | 0.40-0.44 | 0.6 | 0.7 |
| 99.50-99.54 | 0.45-0.49 | 0.6 | 0.7 |
| 99.40-99.49 | 0.50-0.59 | 0.7 | 0.8 |
| 99.30-99.39 | 0.60-0.69 | 0.7 | 0.9 |
| 99.20-99.29 | 0.70-0.79 | 0.8 | 0.9 |
| 99.10-99.19 | 0.80-0.89 | 0.8 | 1.0 |
| 99.00-99.09 | 0.90-0.99 | 0.9 | 1.0 |
| 99.75-98.99 | 1.00-1.24 | 0.9 | 1.1 |
| 98.50-98.74 | 1.25-1.49 | 1.0 | 1.2 |
| 98.25-98.49 | 1.50-1.74 | 1.1 | 1.3 |
| 98.00-98.24 | 1.75-1.99 | 1.2 | 1.4 |
| 97.75-97.99 | 2.00-2.24 | 1.3 | 1.5 |
| 97.50-97.74 | 2.25-2.49 | 1.3 | 1.6 |
| 97.25-97.49 | 2.50-2.74 | 1.4 | 1.6 |
| 97.00-97.24 | 2.75-2.99 | 1.5 | 1.7 |
| 96.50-96.99 | 3.00-3.49 | 1.5 | 1.8 |
| 96.00-96.49 | 3.50-3.99 | 1.6 | 1.9 |
| 95.50-95.99 | 4.00-4.49 | 1.7 | 2.0 |
| 95.00-95.49 | 4.50-4.99 | 1.8 | 2.2 |
| 94.00-94.99 | 5.00-5.99 | 2.0 | 2.3 |
| 93.00-93.99 | 6.00-6.99 | 2.1 | 2.5 |
| 92.00-92.99 | 7.00-7.99 | 2.2 | 2.6 |
| 91.00-91.99 | 8.00-8.99 | 2.4 | 2.8 |
| 90.00-90.99 | 9.00-9.99 | 2.5 | 2.9 |
| 88.00-89.99 | 10.00-11.99 | 2.7 | 3.1 |
| 86.00-87.99 | 12.00-13.99 | 2.9 | 3.4 |
| 84.00-85.99 | 14.00-15.99 | 3.0 | 3.6 |
| 82.00-83.99 | 16.00-17.99 | 3.2 | 3.7 |
| 80.00-81.99 | 18.00-19.99 | 3.3 | 3.9 |
| 78.00-79.99 | 20.00-21.99 | 3.5 | 4.1 |
| 76.00-77.99 | 22.00-23.99 | 3.6 | 4.2 |
| 74.00-75.99 | 24.00-25.99 | 3.7 | 4.3 |
| 72.00-73.99 | 26.00-27.99 | 3.8 | 4.4 |
| 70.00-71.99 | 28.00-29.99 | 3.8 | 4.5 |
| 65.00-69.99 | 30.00-34.99 | 4.0 | 4.7 |
| 60.00-64.99 | 35.00-39.99 | 4.1 | 4.8 |
| 50.00-59.99 | 40.00-49.99 | 4.2 | 5.0 |
Bảng 2.A.3. Sai số cho phép giữa các kết quả phân tích độ sạch của 2 mẫu gửi khác nhau, được lấy từ cùng 1 lô giống khi phép thử thứ hai được tiến hành ở cùng hoặc khác phòng kiểm nghiệm (phép thử hai chiều ở mức ý nghĩa 1%)
| Kết quả trung bình của 2 mẫu phân tích (%) | Sai số cho phép (%) | ||
| Hạt không có vỏ ráp | Hạt có vỏ ráp | ||
| 99.95-100.00 | 0.00-0.04 | 0.2 | 0.2 |
| 99.90-99.94 | 0.05-0.09 | 0.3 | 0.4 |
| 98.85-99.89 | 0.10-0.14 | 0.4 | 0.5 |
| 99.80-99.84 | 0.15-0.19 | 0.4 | 0.5 |
| 99.75-99.79 | 0.20-0.24 | 0.5 | 0.6 |
| 99.70-99.74 | 0.25-0.29 | 0.5 | 0.6 |
| 99.65-99.69 | 0.30-0.34 | 0.6 | 0.7 |
| 99.60-99.64 | 0.35-0.39 | 0.6 | 0.7 |
| 99.55-99.59 | 0.40-0.44 | 0.6 | 0.8 |
| 99.50-99.54 | 0.45-0.49 | 0.7 | 0.8 |
| 99.40-99.49 | 0.50-0.49 | 0.7 | 0.9 |
| 99.30-99.39 | 0.60-0.69 | 0.8 | 1.0 |
| 99.20-99.29 | 0.70-0.79 | 0.8 | 1.0 |
| 99.10-99.19 | 0.80-0.89 | 0.9 | 1.1 |
| 99.00-99.09 | 0.90-0.99 | 0.9 | 1.1 |
| 98.75-98.99 | 1.00-1.24 | 1.0 | 1.2 |
| 98.50-98.74 | 1.25-1.49 | 1.1 | 1.3 |
| 98.25-98.49 | 1.50-1.74 | 1.2 | 1.5 |
| 98.00-98.24 | 1.75-1.99 | 1.3 | 1.6 |
| 97.75-97.99 | 2.00-2.24 | 1.4 | 1.7 |
| 97.50-97.74 | 2.25-2.49 | 1.5 | 1.7 |
| 97.25-97.49 | 2.50-2.74 | 1.5 | 1.8 |
| 97.00-97.24 | 2.75-2.99 | 1.6 | 1.9 |
| 96.50-96.99 | 3.00-3.49 | 1.7 | 2.0 |
| 96.00-96.49 | 3.50-3.99 | 1.8 | 2.1 |
| 95.50-95.99 | 4.00-4.49 | 1.9 | 2.3 |
| 95.00-95.49 | 4.50-4.99 | 2.0 | 2.4 |
| 94.00-94.99 | 5.00-5.99 | 2.1 | 2.5 |
| 93.00-93.99 | 6.00-6.99 | 2.3 | 2.7 |
| 92.00-92.99 | 7.00-7.99 | 2.5 | 2.9 |
| 91.00-91.99 | 8.00-8.99 | 2.6 | 3.1 |
| 90.00-90.99 | 9.00-9.99 | 2.8 | 3.2 |
| 88.00-89.99 | 10.00-11.99 | 2.9 | 3.5 |
| 86.00-87.99 | 12.00-13.99 | 3.2 | 3.7 |
| 84.00-85.99 | 14.00-15.99 | 3.4 | 3.9 |
| 82.00-83.99 | 16.00-17.99 | 3.5 | 4.1 |
| 80.00-81.99 | 18.00-19.99 | 3.7 | 4.3 |
| 78.00-79.99 | 20.00-21.99 | 3.8 | 4.5 |
| 76.00-77.99 | 22.00-23.99 | 3.9 | 4.6 |
| 74.00-75.99 | 24.00-25.99 | 4.1 | 4.8 |
| 72.00-73.99 | 26.00-27.99 | 4.2 | 4.9 |
| 70.00-71.99 | 28.00-29.99 | 4.3 | 5.0 |
| 65.00-69.99 | 30.00-34.99 | 4.4 | 5.2 |
| 60.00-64.99 | 35.00-39.99 | 4.5 | 5.3 |
| 50.00-59.99 | 40.00-49.99 | 4.7 | 5.5 |
PHỤ LỤC CHƯƠNG 3
XÁC ĐỊNH SỐ LƯỢNG HẠT KHÁC LOÀI
Bảng 3.A.1. Sai số cho phép giữa 2 kết quả xác định hạt khác loài khi các phép thử được làm trên cùng hoặc khác mẫu gửi, ở cùng hoặc khác phòng kiểm nghiệm (phép thử 2 chiều, mức ý nghĩa 5%)
| Kết quả trung bình của 2 phép thử | Sai số cho phép | Kết quả trung bình của 2 phép thử | Sai số cho phép | Kết quả trung bình của 2 phép thử | Sai số cho phép |
| (1) | (2) | (1) | (2) | (1) | (2) |
| 3 4 5 - 6 7 - 8 9 - 10
11 - 13 14 - 15 16 - 18 19 - 22 23 - 25
26 - 29 30 - 33 34 - 37 38 - 42 43 - 47
48 - 52 53 - 57 58 - 63 64 - 69 70 - 75
| 5 6 7 8 9
10 11 12 13 14
15 16 17 18 19
20 21 22 23 24 | 76 - 81 82 - 88 89 - 95 96 - 102 103 - 110
111 - 117 118 - 125 126 - 133 134 - 142 143 - 151
152 - 160 161 - 169 170 - 178 179 - 188 189 - 198
199 - 209 210 - 219 220 - 230 231 - 241 242 - 252 | 25 26 27 28 29
30 31 32 33 34
35 36 37 38 39
40 41 42 43 44 | 253 - 264 265 - 276 277 - 288 289 - 300 301 - 313
314 - 326 327 - 339 340 - 353 354 - 366 367 - 380
381 - 394 395 - 409 410 - 424 425 - 439 440 - 454
455 - 469 470 - 485 486 - 501 502 - 518 519 - 534 | 45 46 47 48 49
50 51 52 53 54
55 56 57 58 59
60 61 62 63 64 |
Bảng 3.A.2. Sai số cho phép giữa 2 kết quả xác định hạt khác loài khi các phép thử được làm trên các mẫu gửi khác nhau, mẫu thứ hai được làm ở cùng hoặc khác phòng kiểm nghiệm (phép thử 1 chiều, mức ý nghĩa 5%)
| Kết quả trung bình của 2 phép thử | Sai số cho phép | Kết quả trung bình của 2 phép thử | Sai số cho phép | Kết quả trung bình của 2 phép thử | Sai số cho phép | Kết quả trung bình của 2 phép thử | Sai số cho phép |
| (1) | (2) | (1) | (2) | (1) | (2) | (1) | (2) |
| 3 - 4 4 - 6 7 - 8 9 - 11 12 - 14 15 - 17 18 - 21 22 - 25 26 - 30 31 - 34 35 - 40 41 - 45 46 - 52 53 - 58 59 - 65 | 5 6 7 8 9 10 11 12 13 14 15 16 17 18 19 | 66 - 72 73 - 79 80 - 87 88 - 95 96-104 105-113 114-122 123-131 132-141 142-152 153-162 163-173 174-186 187-198 199-210 | 20 21 22 23 24 25 26 27 28 29 30 31 32 33 34 | 211-223 224-235 236-249 250-262 263-276 277-290 291-305 306-320 321-336 337-351 352-367 368-386 387-403 404-420 421-438 | 35 36 37 38 39 40 41 42 43 44 45 46 47 48 49 | 439-456 457-474 475-493 494-513 514-532 533-552 | 50 51 52 53 54 55 |
PHỤ LỤC CHƯƠNG 4
KIỂM TRA HẠT KHÁC GIỐNG
4.3.A. Các nguyên tắc chung
Trong các phép thử kiểm tra hạt khác giống, chủ yếu là do cán bộ thực hiện phép thử tự đánh giá. Khi sử dụng quyền tự quyết định này, người cán bộ phân tích phải quan tâm thu thập những kiến thức và kinh nghiệm thông qua các tài liệu trong nước và quốc tế.
Cần phải có mẫu chuẩn để so sánh, và trong trường hợp cần thiết phải xác định tính đúng giống của mẫu gửi thì phải kiểm tra cây mầm hoặc cây trong nhà kính hoặc trong ô ngoài đồng. Phương pháp kiểm tra cây ở ngoài đồng sẽ được tiến hành theo phương pháp hậu kiểm.
4.5.2.A. Kiểm tra hạt giống
(a) Phương pháp kiểm tra hình thái
- Đối với lúa, mì, mạch, cao lương:
Các đặc điểm hình thái sau đây thường được sử dụng để phân biệt hạt khác giống: màu sắc vỏ trấu, hình dạng hạt, mức độ to nhỏ, tỷ lệ dài/rộng, đầu hạt (mỏ hạt), lông ở vỏ trấu và cuống hạt (dài hay ngắn, dày hay thưa), tỷ lệ vết tích của vòi nhụy cái ở vỏ trấu (nếu có), màu sắc của hạt gạo...
- Đối với đậu tương:
Hình dạng hạt, độ to nhỏ của hạt, màu sắc của vỏ hạt, độ bóng nhẵn, tình trạng phấn ở vỏ hạt, hình dạng và màu sắc của rốn hạt...
- Đối với các giống hành tỏi:
Hình dạng hạt, độ to nhỏ, màu sắc, cấu tạo bề mặt của vỏ hạt, hình dạng và màu sắc của rốn hạt...
(b) Phương pháp kiểm tra bằng hoá chất
- Đối với lúa, mì, mạch, cao lương:
Phản ứng màu trong dung dịch phenol pha loãng là một đặc điểm có ích, đặc biệt là ở lúa mì. Ngâm hạt ở trong nước cất qua 1 đêm. Đổ nước đi và đặt hạt lên giấy lọc ở trong đĩa petri và thêm một vài giọt phenol 1%. Phân loại các hạt theo mức độ nhuộm màu. Các giống sẽ có màu nâu đặc trưng thay đổi từ nhạt đến rất đậm.
- Đối với đậu tương:
Bóc vỏ hạt và bỏ riêng từng hạt vào ống nghiệm, nhỏ thêm 1 ml nước cất, đun sôi trong 1 giờ rồi nhỏ 10 giọt dung dịch 0,5% H2O2, sau 10 phút lại nhỏ thêm 1 giọt dung dịch 0,1 H2O2; sau 1 phút quan sát màu sắc của từng hạt trong ống nghiệm và so sánh với mẫu đối chứng.
Bảng 4.A.1. Sai số cho phép giữa 2 kết quả xác định hạt khác giống khi các phép thử được làm trên cùng hoặc khác mẫu gửi, ở cùng hoặc khác phòng kiểm nghiệm (phép thử 2 chiều, mức ý nghĩa 5%)
| Kết quả trung bình của 2 mẫu phân tích | Sai số cho phép | Kết quả trung bình của 2 mẫu phân tích | Sai số cho phép | Kết quả trung bình của 2 mẫu phân tích | Sai số cho phép |
| (1) | (2) | (1) | (2) | (1) | (2) |
| 3 4 5 - 6 7 - 8 9 - 10
11 - 13 14 - 15 16 - 18 19 - 22 23 - 25
26 - 29 30 - 33 34 - 37 38 - 42 43 - 47
48 - 52 53 - 57 58 - 63 64 - 69 70 - 75
| 5 6 7 8 9
10 11 12 13 14
15 16 17 18 19
20 21 22 23 24 | 76 - 81 82 - 88 89 - 95 96 - 102 103 - 110
111 - 117 118 - 125 126 - 133 134 - 142 143 - 151
152 - 160 161 - 169 170 - 178 179 - 188 189 - 198
199 - 209 210 - 219 220 - 230 231 - 241 242 - 252 | 25 26 27 28 29
30 31 32 33 34
35 36 37 38 39
40 41 42 43 44 | 253 - 264 265 - 276 277 - 288 289 - 300 301 - 313
314 - 326 327 - 339 340 - 353 354 - 366 367 - 380
381 - 394 395 - 409 410 - 424 425 - 439 440 - 454
455 - 469 470 - 485 486 - 501 502 - 518 519 - 534 | 45 46 47 48 49
50 51 52 53 54
55 56 57 58 59
60 61 62 63 64 |
Bảng 4.A.2. Sai số cho phép giữa 2 kết quả xác định hạt khác giống khi các phép thử được làm trên các mẫu gửi khác nhau, mẫu thứ hai được làm ở cùng hoặc khác phòng kiểm nghiệm (phép thử 1 chiều, mức ý nghĩa 5%)
| Kết quả trung bình của 2 mẫu phân tích | Sai số cho phép | Kết quả trung bình của 2 mẫu phân tích | Sai số cho phép | Kết quả trung bình của 2 mẫu phân tích | Sai số cho phép | Kết quả trung bình của 2 mẫu phân tích | Sai số cho phép |
| (1) | (2) | (1) | (2) | (1) | (2) | (1) | (2) |
| 3 - 4 4 - 6 7 - 8 9 - 11 12 - 14 15 - 17 18 - 21 22 - 25 26 - 30 31 - 34 35 - 40 41 - 45 46 - 52 53 - 58 59 - 65 | 5 6 7 8 9 10 11 12 13 14 15 16 17 18 19 | 66 - 72 73 - 79 80 - 87 88 - 95 96-104 105-113 114-122 123-131 132-141 142-152 153-162 163-173 174-186 187-198 199-210 | 20 21 22 23 24 25 26 27 28 29 30 31 32 33 34 | 211-223 224-235 236-249 250-262 263-276 277-290 291-305 306-320 321-336 337-351 352-367 368-386 387-403 404-420 421-438 | 35 36 37 38 39 40 41 42 43 44 45 46 47 48 49
| 439-456 457-474 475-493 494-513 514-532 533-552 | 50 51 52 53 54 55 |
PHỤ LỤC CHƯƠNG 5
THỬ NGHIỆM NẨY MẦM
5.5.A. Yêu cầu đối với vật liệu và môi trường đặt nẩy mầm
5.5.A.1. Yêu cầu đối với vật liệu
(1) Giấy
Giấy đặt nẩy mầm phải đủ mức độ xốp và dai; có khả năng thấm nước tốt và giữ được nước cho đến khi kết thúc thử nghiệm; sạch nấm, vi khuẩn và các chất độc hại có ảnh hưởng đến sự nẩy mầm của hạt giống và sự phát triển của cây mầm; pH = 6,0-7,5.
Có thể dùng các loại giấy như: giấy lọc, giấy thấm, giấy lau... nhưng phải bảo đảm các yêu cầu trên.
(2) Cát
Cát phải có kích thước đồng đều, đường kính nằm trong khoảng 0,05- 0,8mm; không lẫn các hạt giống; có khả năng giữ đủ nước và không khí cho đến khi kết thúc thử nghiệm; sạch nấm, vi khuẩn và các chất độc hại làm ảnh hưởng đến sự nẩy mầm của hạt giống và sự phát triển của cây mầm; pH = 6,0-7,5 .
Cát sau khi dùng có thể rửa sạch, sấy khô hoặc khử trùng để dùng lại
(3) Đất
Đất phải có chất lượng tốt, không vón cục, không có những hòn to quá ; không lẫn các hạt giống; sạch nấm, vi khuẩn, tuyến trùng và các chất độc hại làm ảnh hưởng đến sự nẩy mầm của hạt giống và sự phát triển của cây mầm; giữ đủ nước và không khí cho đến khi kết thúc thử nghiệm ; pH = 6,0-7,5.
Đất chỉ nên dùng 1 lần, không nên dùng lại.
(4) Nước
Nước được dùng để làm ẩm môi trường phải sạch các tạp chất hữu cơ và vô cơ; pH = 6,0-7,5.
Có thể dùng nước máy, nước cất hoặc nước đã khử ion.
5.5.A.2. Yêu cầu đối với môi trường
(1) Độ ẩm và không khí
- Mỏi trường luôn luôn phải giữ ẩm để đáp ứng nhu cầu về nước cho hạt nẩy mầm. Tuy nhiên, lượng ẩm không nên quá mức cần thiết làm hạn chế sự thông khí. Lượng nước ban đầu cần để giữ ẩm phụ thuộc vào loại vật liệu dùng đặt nẩy mầm, kích thước của hạt giống và yêu cầu về nước của loài cây trồng. Cần tránh phải cho thêm nước về sau vì sẽ làm tăng sự khác nhau giữa các lần nhắc lại, nhưng phải chú ý để môi trường không bị khô và đủ nước liên tục trong suốt thời gian thử nghiệm.
- Khi dùng phương pháp đặt nảy mầm giữa giấy hoặc trong cát, trong đất phải chú ý không nén cát, không cuộn giấy hoặc buộc chặt quá để đảm bảo đủ không khí cho hạt nảy mầm.
(2) Nhiệt độ
Điều kiện nhiệt độ đặt nảy mầm đối với từng loài cụ thể được qui định ở bảng 5.A. và phải được đo tại nơi đặt hạt. Nhiệt độ này phải đồng đều ở trong tủ nẩy mầm, buồng nẩy mầm hoặc phòng nẩy mầm. Nếu không có điều kiện trang bị các thiết bị để đặt nẩy mầm như qui định thì có thể dùng nguồn nhiệt từ ánh sáng mặt trời hoặc ánh sáng nhân tạo nhưng phải bảo đảm mức nhiệt độ như qui định.
Tuỳ theo điều kiện thực tế của mẫu thử mà có thể lựa chọn một trong các mức nhiệt độ qui định ở bảng 5.A. Nếu mẫu đặt ở điều kiện nhiệt độ thay đổi liên tục thì mức nhiệt độ thấp cần giữ trong 16 giờ, mức nhiệt độ cao trong 8 giờ.
(3) Ánh sáng
Ánh sáng nói chung cần thiết để cây mầm phát triển tốt và dễ giám định. Vì vậy nên đặt nảy mầm ở điều kiện ánh sáng tự nhiên hoặc phải chiếu sáng bằng nguồn ánh sáng nhân tạo. Cây mầm mọc trong tối thường có màu vàng và trắng, dễ bị nhiễm bệnh. Ngoài ra, một số khuyết tật như thiếu diệp lục tố thường không phát hiện được.
Tuy nhiên, đối với những loài thích ứng nảy mầm trong tối thì khi tiến hành thử nghiệm không cần điều kiện ánh sáng.
5.6.2.A. Các phương pháp đặt nẩy mầm
(1) Phương pháp dùng giấy
- Phương pháp đặt trên bề mặt giấy (top of paper)
Hạt được đặt trên bề mặt của một hoặc vài lớp giấy đã thấm đủ nước. Sau đó đặt vào thiết bị ủ mầm Jacobsen, hoặc đặt vào đĩa petri có nắp đậy hoặc cho vào túi nilon để tránh bốc hơi nước, rồi đưa vào tủ nẩy mầm hoặc buồng nẩy mầm.
- Phương pháp đặt giữa giấy (between paper)
Hạt được đặt nẩy mầm giữa 2 lớp giấy đã thấm đủ nước, để phẳng hoặc phải gấp mép, hoặc phải cuộn lại rồi cho vào túi nilon và đặt vào tủ nẩy mầm hoặc buồng nẩy mầm, giữ ở vị trí đặt thẳng đứng.
- Phương pháp đặt trong giấy gấp (pleated paper)
Hạt được đặt trong các ngăn của một dải giấy gấp (như kiểu đàn accordeon), đặt vào trong khay, rồi đưa vào tủ nẩy mầm hoặc buồng nẩy mầm.
(2) Phương pháp dùng cát
- Phương pháp đặt trên cát (top of sand)
Hạt được đặt đều và ấn nhẹ vào trong bề mặt cát.
- Phương pháp đặt trong cát (in sand)
Hạt được đặt trên một lớp cát dày, đủ ẩm và được phủ bằng 1 lớp cát khác, đủ ẩm và dày khoảng 10-20mm tuỳ theo kích thước của hạt. Để đảm bảo sự thông khí được tốt, trước khi đặt hạt nên cào lớp cát ở đáy cho thật xốp.
Cát có thể dùng thay cho giấy khi cần giám định các mẫu bị nhiễm bệnh nặng hoặc để kiểm tra lại kết quả trong những trường hợp nghi ngờ. Tuy nhiên, đối với những trường hợp như vậy thì dùng đất vẫn là môi trường thích hợp nhất.
(3) Phương pháp dùng đất
Đất thường được dùng làm môi trường nẩy mầm trong các trường hợp khi cây mầm có triệu chứng nhiễm độc hoặc việc giám định cây mầm trong môi trường giấy hoặc cát vẫn còn nghi ngờ.
5.6.3.A.1. Các phương pháp xử lý phá ngủ
- Bảo quản khô: Đối với những loài có trạng thái ngủ nghỉ ngắn thì chỉ cần bảo quản mẫu ở nơi khô ráo trong một thời gian ngắn
- Làm lạnh: Các mẫu nhắc lại được đặt tiếp xúc với giá thể ẩm và giữ ở nhiệt độ thấp trước khi đặt ở điều kiện nhiệt độ như qui định ở bảng 5.A.
Các hạt cây nông nghiệp thường được để nhiệt độ 5-100C trong 7 ngày.
-Sấy khô: Các mẫu nhắc lại được sấy khô ở nhiệt độ 30-350C trong thời gian tối đa là 7 ngày trước khi đặt ở nhiệt độ nẩy mầm qui định.
Đối với một số loài nhiệt đới và á nhiệt đới, nhiệt độ sấy có thể là 40-450C (chẳng hạn: lạc < 400C, lúa < 500C ).
- Chiếu sáng: Mẫu được chiếu sáng 8/24 giờ tương ứng với thời gian của nhiệt độ cao khi hạt được đặt nẩy mầm theo chế độ nhiệt độ thay đổi.
- Hóa chất: Nitrat kali (KNO3 0,2%): Dùng dung dịch KNO3 0,2% để làm ẩm giá thể thay cho nước.
Axit giberelic (GA3): Dung dịch GA3 0,05% được dùng để làm ẩm giá thể thay cho nước. Khi hạt ngủ nghỉ ít thì có thể dùng nồng độ 0,02%; khi hạt ngủ nghỉ nhiều thì dùng nồng độ cao hơn nhưng không được quá 0,1%.
5.6.3.A.2. Các biện pháp xử lý hạt cứng
- Ngâm nước: Ngâm hạt trong nước 24- 48 giờ, sau đó đặt nẩy mầm như qui định.
- Xử lý bằng cơ học: Dùng các dụng cụ thích hợp để chọc thủng vỏ hạt hoặc cắt, mài vỏ hạt ở phần không có phôi để kích thích cho hạt nẩy mầm.
- Xứ lý bằng axit: Ngâm hạt trong dung dịch axit H2SO4 hoặc HNO3 đậm đặc trong một thời gian thích hợp, sau đó rửa sạch hạt trước khi đặt nẩy mầm. Thời gian ngâm hạt tùy theo từng loài cây trồng, phải thường xuyên kiểm tra hạt khi thấy vỏ hạt có vết rỗ do axit ăn mòn là được.
Đối với lúa, sau khi sấy khô ở nhiệt độ 45-500C có thể ngâm hạt bằng dung dịch HNO3 bình thường trong 24 giờ.
5.6.5.A. Hướng dẫn kiểm tra cây mầm
5.6.5.A.1. Mã số hướng dẫn kiểm tra cây mầm theo chi (genus)
| TT | Cây trồng | Chi (genus) | Mã số |
| 1 | Bầu | Lagenaria | A.2.1.1.2 |
| 2 | Bí đao | Benincasa | A.2.1.1.2 |
| 3 | Bí ngô, bí rợ | Cucurbita | A.2.1.1.2 |
| 4 | Bông | Gossypium | A.2.1.1.2 |
| 5 | Cà | Solanum | A.2.1.1.1 |
| 6 | Cà chua | Lycopersicum | A.2.1.1.1 |
| 7 | Cà rốt | Daucus | A.2.1.1.1 |
| 8 | Cải bắp, cải bẹ, cải thìa, cải canh, cải dầu, su-lơ | Brassica | A.2.1.1.1 |
| 9 | Cải củ | Raphanus | A.2.1.1.1 |
| 10 | Cải cúc | Chrysanthemum | A.2.1.1.1 |
| 11 | Cải xoong | Nasturtium | A.2.1.1.1 |
| 12 | Cao lương | Sorghum | A.1.2.3.2 |
| 13 | Củ cải đường | Beta | A.2.1.1.1 |
| 14 | Dưa bở | Melo | A.2.1.1.2 |
| 15 | Dưa hấu | Citrulus | A.2.1.1.2 |
| 16 | Dưa chuột, dưa gang | Cucumis | A.2.1.1.2 |
| 17 | Đại mạch | Hordeum | A.1.2.3.3 |
| 18 | Đay | Corchorus | A.2.1.1.1 |
| 19 | Đậu chiều | Cajanus | A.2.2.2.2 |
| 20 | Đậu kiếm | Canavalia | A.2.2.2.2 |
| 21 | Đậu tương | Glycine | A.2.1.2.2 |
| 22 | Đậu ngự, đậu tây | Phasaeolus | A.2.1.2.2 |
| 23 | Đậu Hà-lan | Pisum | A.2.2.2.2 |
| 24 | Đậu rồng | Psophocarpus | A.2.1.2.2 |
| 25 | Đậu răng ngựa | Vicia | A.2.2.2.2 |
| 26 | Đậu đỏ, đậu đen, đậu đũa, đậu nho nhe | Vigna | A.2.1.2.2 |
| 27 | Điền thanh | Sesbania | A.2.1.2.2 |
| 28 | Hành tỏi | Allium | A.1.1.1.1 |
| 29 | Hướng dương | Helianthus | A.2.1.1.1 |
| 30 | Kê | Eleusine | A.1.2.3.1 |
| 3` | Lạc | Arachis | A.2.1.2.2 |
| 32 | Lúa | Oryza | A.1.2.3.2 |
| 33 | Lúa mì | Triticum | A.1.2.3.3 |
| 34 | Lúa mì đen | Secale | A.1.2.3.3 |
| 35 | Mướp tây | Hibiscus | A.2.1.1.2 |
| 36 | Mướp hương, mướp ta | Luffa | A.2.1.1.2 |
| 37 | Mướp đắng | Momordica | A.2.1.1.2 |
| 38 | Ngô | Zea | A.1.2.3.2 |
| 39 | ớt | Capsicum | A.2.1.1.1 |
| 40 | Rau cần | Apium | A.2.1.1.1 |
| 41 | Rau dền | Amaranthus | A.2.1.1.1 |
| 42 | Rau mùi | Coriandrum | A.2.1.1.1 |
| 43 | Rau muống | Ipomoea | A.2.1.1.1 |
| 44 | Su-su | Sechium | A.2.1.1.2 |
| 45 | Thầu dầu | Ricinus | A.2.1.1.1 |
| 46 | Thuốc lá | Nicotiana | A.2.1.1.1 |
| 47 | Vừng | Sesamum | A.2.1.1.1 |
| 48 | Xà lách | Lactuca | A.2.1.1.1 |
| 49 | Yến mạch | Avena | A.1.2.3.3 |
5.6.5.A.2. Hướng dẫn đánh giá cây mầm theo mã số
* Nhóm A 1.1.1.1
Thực vật một lá mầm, kiểu nẩy mầm trên mặt đất (lá mầm được nâng lên khỏi mặt đất).
Chi đại diện: Hành tỏi (Allium)
Đặc điểm nẩy mầm
Hệ chồi bao gồm một trụ dưới lá mầm rất khó nhận thấy, chồi đỉnh được bao bọc bởi một lá mầm hình trụ, màu xanh, kéo dài ra nhanh chóng. Không có sự kéo dài của trụ trên lá mầm. Đỉnh của lá mầm nằm lại ở trong vỏ hạt.
Hệ rễ bao gồm một rễ sơ cấp, thường có lông hút; rễ sơ cấp phải bình thường, vì các rễ thứ cấp không được dùng để đánh giá cây mầm, nếu rễ sơ cấp bị khuyết tật.
Sự phát triển của các cây mầm trong thời gian thử nghiệm
Ở hạt chín, phôi được bao bọc ở trong nội nhũ. Phôi hình trụ, gồm một rễ mầm ngắn và một lá mầm hình trụ, dài, đôi khi bị cuộn lại, chồi mầm được bao bọc ở phần gốc.
Khi bắt đầu nẩy mầm, rễ sơ cấp mọc qua vỏ hạt và kéo dài ra nhưng không sinh các rễ bên. Những cây mầm được để lại cho đến khi hết thời gian thử nghiệm có thể sinh ra một hoặc hai rễ bất định ở vùng chuyển tiếp giữa rễ sơ cấp và lá mầm. Toàn bộ phần màu xanh ở phía trên cây mầm bao gồm lá mầm hình trụ, đỉnh của lá mầm thường được bao bọc trong nội nhũ suốt thời gian thử nghiệm. ở phía trên, lá mầm có dạng uốn cong thành góc nhọn, gọi là “dạng đầu gối”. ở gốc lá mầm có một khe hở nhỏ, qua đó lá thật thứ nhất mọc ra, nhưng điều này thường không xảy ra trong thời gian thử nghiệm.
Đánh giá các cây mầm bình thường và không bình thường
a) Các cây mầm bình thường:
- Hệ rễ: Rễ sơ cấp nguyên vẹn hoặc chỉ có các khuyết tật nhẹ ở dạng các vết biến màu hoặc vết thối nhỏ.
- Hệ chồi: Lá mầm nguyên vẹn, có “dạng đầu gối” hướng về phía đỉnh hoặc chỉ có các khuyết tật nhẹ ở dạng các vết biến màu hoặc vết thối nhỏ.
- Toàn bộ cây mầm: Tất cả các cấu trúc cơ bản bình thường như được liệt kê ở trên
b) Các cây mầm không bình thường:
- Hệ rễ: Rễ sơ cấp bị khuyết tật dạng bị còi cọc hoặc chùn ngắn; phát triển chậm hoặc mất; bị gẫy; bị xẻ từ đỉnh; cằn cỗi; khẳng khiu; có tính hướng đất ngược; trong suốt; bị thối do nhiễm bệnh sơ cấp.
- Hệ chồi: Lá mầm bị khuyết tật dạng ngắn và dầy; bị gẫy; cằn cỗi; uốn cong nhiều; uốn thành vòng tròn hoặc vòng xoắn; không có dạng “đầu gối”; khẳng khiu; trong suốt; bị thối do nhiễm bệnh sơ cấp.
- Toàn bộ cây mầm: Một hoặc nhiều cấu trúc cơ bản không bình thường như được liệt kê ở trên, hoặc sự phát triển bình thường bị ngăn cản do toàn bộ cây mầm bị khuyết tật dạng bị biến dạng; bị đứt gẫy; hai cây dính nhau; có màu vàng hoặc màu trắng; khẳng khiu; trong suốt; bị thối do nhiễm bệnh sơ cấp.
* Nhóm A.1.2.3.1
Thực vật 1 lá mầm, kiểu nẩy mầm dưới mặt đất (các lá mầm nằm lại dưới đất cùng với vỏ hạt).
Chi đại diện : Cỏ (Lolium).
Đặc điểm nẩy mầm
Hệ chồi không kéo dài và lá thật thứ nhất phát triển ở bên trong bao lá mầm. Một phần của lá mầm biến đổi thành dạng hình khiên (sculellum), nằm lại bên trong nội nhũ.
Hệ rễ bao gồm một rễ sơ cấp, thường có lông hút, các rễ thứ cấp đôi khi có thể phát triển trong thời gian thử nghiệm nhưng không được dùng để đánh giá cây mầm, nếu rễ sơ cấp bị khuyết tật.
Sự phát triển của cây mầm trong thời gian thử nghiệm
Hạt chín gồm có một quả dĩnh, ở đa số các loài nó được bao bọc bởi vỏ trấu trên và vỏ trấu dưới và còn lại cùng với đơn vị được thu hoạch (chẳng hạn, cỏ Lolium). Phôi nằm ở một đầu cuối của nội nhũ. Phần hình khiên (scutellum) nằm lại ở trong nội nhũ, tạo thành nguồn dự trữ thức ăn chính. Phần hình khiên đính ở gần đoạn giữa của trục phôi, bao gồm rễ mầm được bảo vệ bởi một cái vỏ bao mỏng, bao rễ mầm và chồi mầm cũng được bao xung quanh bởi một cái vỏ bảo vệ gọi là bao lá mầm. Phần trục của cây mầm ở giữa điểm đính của cấu trúc hình khiên và bao lá mầm được gọi là trụ giữa lá mầm.
Khi bắt đầu nẩy mầm, bao rễ mầm chọc thủng qua vỏ hạt và rễ sơ cấp mọc ra qua bao rễ mầm. Các rễ phụ ít khi phát triển trong thời gian thử nghiệm. Tiếp theo sự xuất hiện của rễ sơ cấp là sự kéo dài của bao lá mầm cùng với sự phát triển của lá thật thứ nhất ở bên trong mà sau này sẽ mọc ra ở gần đỉnh của bao lá mầm. Trụ giữa lá mầm có thể hơi kéo dài tùy theo loài được kiểm nghiệm và các điều kiện thử nghiệm.
Đánh giá các cây mầm bình thường và không bình thường
a) Các cây mầm bình thường:
- Hệ rễ: Rễ sơ cấp nguyên vẹn hoặc chỉ có các khuyết tật nhẹ dạng các vết biến màu hoặc thối.
- Hệ chồi: Trụ giữa lá mầm nguyên vẹn hoặc chỉ có các khuyết tật nhẹ dạng các vết biến màu hoặc thối; Bao lá mầm nguyên vẹn hoặc chỉ có các khuyết tật nhẹ dạng các vết biến màu hoặc thối; vặn xoắn lỏng; xẻ từ đỉnh tới 1/3 hoặc ít hơn.
Lưu ý: Sự kéo dài của bao lá mầm ở họ hòa thảo thường rất hạn chế trong thử nấy mầm. Bởi vậy, các cây mầm có bao lá mầm tương đối ngắn được coi là bình thường nếu các cấu trúc khác bình thường. Lá nguyên vẹn, mọc ra qua bao lá mầm ở phần gần đỉnh (hoặc ít nhất đạt tới một nửa trở lên) hoặc chỉ có các khuyết tật nhẹ dạng các vết biến màu hoặc thối; bị tổn thương nhẹ.
- Toàn bộ cây mầm: Tất cả các cấu trúc cơ bản bình thường như được liệt kê ở trên.
b) Các cây mầm không bình thường:
- Hệ rễ: Rễ sơ cấp bị khuyết tật dạng bị còi cọc hoặc chùn ngắn; phát triển chậm hoặc mất; bị gẫy; bị xẻ từ đỉnh; cằn cỗi; khẳng khiu; có tính hướng đất ngược; trong suốt; bị thối do nhiễm bệnh sơ cấp.
- Hệ chồi: Trụ giữa lá mầm (nếu phát triển) bị khuyết tật dạng bị gẫy; bị thối do nhiễm bệnh sơ cấp. Bao lá mầm bị khuyết tật dạng bị biến dạng (chẳng hạn, ngắn và dầy do ảnh hưởng của nhiễm độc thực vật); bị gẫy; bị mất; có đỉnh bị tổn thương hoặc mất; tạo thành vòng tròn hoặc vòng xoắn; vặn xoắn chặt; uốn cong nhiều; xẻ quá 1/3 chiều dài từ đỉnh; tách ở gốc; khẳng khiu; bị thối do nhiễm bệnh sơ cấp. Lá bị khuyết tật dạng bị biến dạng; bị mất; bị thối do nhiễm bệnh sơ cấp.
- Toàn bộ cây mầm: Một hoặc nhiều cấu trúc cơ bản không bình thường như được liệt kê ở trên, hoặc sự phát triển bình thường bị ngăn cản do toàn bộ cây mầm bị khuyết tật dạng bị biến dạng; hai cây dính nhau; có màu vàng hoặc màu trắng; khẳng khiu; trong suốt; bị thối do nhiễm bệnh sơ cấp.
* Nhóm A.1.2.3.2
Thực vật 1 lá mầm, kiểu nẩy mầm dưới mặt đất.
Chi đại diện : Lúa (Oryza), Ngô (Zea), Cao lương (Sorghum)
Đặc điểm nẩy mầm
Hệ chồi không kéo dài và lá thật thứ nhất phát triển trong bao lá mầm. Một phần của lá mầm bị biến đổi thành dạng hình khiên (sculellum), nằm lại ở bên trong nội nhũ.
Hệ rễ gồm một rễ sơ cấp, thường có lông hút, và thường có các rễ thứ cấp được dùng để đánh giá cây mầm, nếu rễ sơ cấp bị khuyết tật.
Sự phát triển của cây mầm trong thời gian thử nghiệm
Hạt chín gồm có một quả dĩnh, có thể là hạt trần (ngô, cao lương), được bao bọc bởi vỏ trấu trên và vỏ trấu dưới và ở lại cùng với đơn vị được thu hoạch (lúa). Phôi nằm ở một đầu của quả dĩnh. Phần hình khiên (scutellum) nằm lại ở trong nội nhũ, tạo thành nguồn dự trữ thức ăn chính. Phần hình khiên đính ở gần đoạn giữa của trục phôi, bao gồm rễ mầm được bảo vệ bởi bao rễ mầm, và chồi mầm cũng được bảo vệ bởi bao lá mầm. Phần trục của cây mầm ở giữa điểm đính của hình khiên và bao lá mầm gọi là trụ giữa lá mầm.
Khi bắt đầu nẩy mầm, bao rễ mầm chọc thủng qua vỏ hạt và rễ sơ cấp mọc ra qua bao rễ mầm. Thường có nhiều rễ thứ cấp được sinh ra trong thời gian thử nghiệm. Tiếp theo sự xuất hiện của rễ sơ cấp là sự kéo dài của bao lá mầm cùng với sự phát triển của lá thật thứ nhất ở bên trong mà sau này sẽ mọc ra ở gần đỉnh của bao lá mầm. (Đối với trường hợp đặc biệt của lúa xem phần chú thích riêng ở dưới). Trụ giữa lá mầm có thể kéo dài tùy theo loài được kiểm nghiệm và các điều kiện thử nghiệm.
Đánh giá các cây mầm bình thường và không bình thường
a) Các cây mầm bình thường:
- Hệ rễ: Rễ sơ cấp nguyên vẹn hoặc chỉ có các khuyết tật nhẹ dạng các vết biến màu hoặc thối; các vết nứt hoặc tách đã liền lại.
Lưu ý: Các cây mầm cũng được coi là bình thường trong trường hợp rễ sơ cấp bị khuyết tật nhưng đã phát triển đủ một số lượng rễ thứ cấp bình thường.
- Hệ chồi: Trụ giữa lá mầm nguyên vẹn hoặc chỉ có các khuyết tật nhẹ dạng các vết biến màu hoặc thối; các vết nứt, tách hoặc gẫy đã liền lại; vặn xoắn lỏng. Bao lá mầm nguyên vẹn hoặc chỉ có các khuyết tật nhẹ như các vết biến màu hoặc thối; vặn xoắn lỏng; xẻ từ đỉnh tới 1/3 hoặc ít hơn. Các lá nguyên vẹn, mọc ra qua bao lá mầm ở gần đỉnh (hoặc ít nhất đạt tới một nửa trở lên) hoặc chỉ có các khuyết tật nhẹ như các vết biến màu hoặc thối; bị tổn thương nhẹ;
- Toàn bộ cây mầm: Tất cả các cấu trúc cơ bản bình thường như được liệt kê ở trên
b) Các cây mầm không bình thường:
- Hệ rễ: Rễ sơ cấp bị khuyết tật và các rễ thứ cấp không đủ hoặc bị khuyết tật như bị còi cọc hoặc chùn ngắn; phát triển chậm hoặc mất; bị gẫy; bị xẻ từ đỉnh; cằn cỗi; khẳng khiu; có tính hướng đất ngược; trong suốt; bị thối do nhiễm bệnh sơ cấp.
- Hệ chồi: Trụ giữa lá mầm bị khuyết tật như bị gẫy; tạo thành vòng tròn hoặc vòng xoắn; vặn xoắn chặt; bị thối do nhiễm bệnh sơ cấp. Bao lá mầm bị khuyết tật như bị biến dạng; bị gẫy; có đỉnh bị hỏng hoặc mất; tạo thành vòng tròn hoặc vòng xoắn; vặn xoắn chặt; uốn cong nhiều; xẻ quá 1/3 chiều dài từ đỉnh; tách ở gốc; khẳng khiu; bị thối do nhiễm bệnh sơ cấp. Lá bị khuyết tật như mọc ít hơn một nửa bao lá mầm hoặc bị mất; bị rách thành nhiều mảnh hoặc bị biến dạng.
- Toàn bộ cây mầm: Một hoặc nhiều cấu trúc cơ bản không bình thường như được liệt kê ở trên, hoặc sự phát triển bình thường bị ngăn cản do toàn bộ cây mầm bị khuyết tật như bị biến dạng; hai cây dính nhau; có màu vàng hoặc màu trắng; khẳng khiu; trong suốt; bị thối do nhiễm bệnh sơ cấp.
Các chú thích riêng
Lúa (Oryza sativa): Về hình thái cây mầm, lúa hơi khác so với hầu hết các loài khác của họ Hòa thảo (Gramineae) thường phổ biến trong kiểm nghiệm hạt giống. Khi bắt đầu nẩy mầm, cấu trúc đầu tiên xuất hiện là bao lá mầm, tiếp theo là rễ sơ cấp. Độ dài cuối cùng của bao lá mầm nói chung là ngắn, mặc dù có khác nhau đôi chút tùy theo giống và các điều kiện thử nghiệm. Lá thứ nhất sẽ mọc ra qua bao lá mầm bởi vết tách ở gần đỉnh và tách dần xuống dưới khi lá mọc dần. Tuy nhiên, phần gốc của bao lá mầm không được tách hẳn ra, nếu bị tách ra thì cây mầm sẽ là không bình thường. Lá thứ nhất chỉ có bẹ lá và thuờng bị cuốn chặt lại, chỉ có lá thứ hai mọc ra sau lá thứ nhất là có phiến lá thực sự. Hệ rễ gồm rễ sơ cấp và rễ thứ cấp có các rễ bên và các rễ bất định.
Ngô (Zea mays): Vào lúc các cây mầm đã đạt tới giai đoạn phát triển chính xác để đánh giá, nghĩa là khi lá thật thứ nhất xuất hiện, thì bao lá mầm thường có một vết tách dài tự nhiên do sự phát triển của các lá bên trong bao lá mầm. Nếu bao lá mầm bị tách nhưng vẫn tiếp xúc sát với lá, thì cây mầm sẽ được coi là bình thường. Nếu bao lá mầm bị tách rời ra khỏi lá, thì cây mầm không bình thường.
Nếu lá thứ nhất bị quăn hoặc bị tổn thương, nhưng sự phát triển của lá tiếp theo và các bộ phận khác vẫn bình thường thì cây mầm là bình thường. Để quyết định chính xác, có thể cần phải kéo dài thời gian thử nghiệm cho đến khi lá thứ hai hoặc thứ ba phát triển.
* Nhóm A.1.2.3.3
Thực vật 1 lá mầm, có kiểu nẩy mầm dưới mặt đất.
Chi đại diện : Cao lương (Hordeum), lúa mì đen (Secale), lúa mì (Triticum)
Đặc điểm nẩy mầm
Hệ mầm không kéo dài và lá thật thứ nhất phát triển trong bao lá mầm. Một phần của lá mầm bị biến đổi thành dạng hình khiên (sculellum), và nằm lại bên trong nội nhũ.
Hệ rễ gồm một vài rễ sinh sản, thường có lông hút, không phân biệt về kích thước trong thời gian đánh giá.
Sự phát triển của cây mầm trong thời gian thử nghiệm
Hạt chín gồm có một quả dĩnh, có thể là hạt trần (lúa mì) hoặc được bao bọc bởi vỏ trấu trên và vỏ trấu dưới và còn lại cùng với đơn vị được thu hoạch (cao lương). Phôi nằm ở một đầu của quả dĩnh. Phần hình khiên (scutellum) nằm lại ở trong nội nhũ, tạo thành nguồn dự trữ thức ăn chính. Trục phôi nằm ở đầu dưới của rễ mầm và một số luợng mầm mống của các rễ sinh sản. Rễ mầm được bảo vệ bởi bao rễ mầm. Chồi mầm ở đầu trên của trục phôi cũng được bảo vệ bởi bao lá mầm. Phần trục của cây mầm ở giữa điểm đính của scutellum và bao lá mầm được gọi là trụ giữa lá mầm.
Khi bắt đầu nẩy mầm, bao rễ mầm chọc thủng qua vỏ hạt và rễ sơ cấp mọc ra qua bao rễ mầm và sau đó là các rễ sinh sản khác. Sự xuất hiện của các rễ sinh sản được tiếp tục do sự kéo dài của bao lá mầm cùng với sự phát triển của lá thứ nhất ở bên trong bao lá mầm và mọc ra ở gần đỉnh của bao lá mầm. Trụ giữa lá mầm có thể hơi kéo dài tùy theo loài và các điều kiện thử nghiệm.
Đánh giá các cây mầm bình thường và không bình thường
a) Các cây mầm bình thường:
- Hệ rễ: Ít nhất có hai rễ sinh sản nguyên vẹn hoặc chỉ có các khuyết tật nhẹ như các vết biến màu hoặc thối
- Hệ chồi: Trụ giữa lá mầm (nếu phát triển) nguyên vẹn hoặc chỉ có khuyết tật nhẹ như các vết biến màu hoặc thối. Bao lá mầm nguyên vẹn hoặc chỉ có các khuyết tật nhẹ như các vết biến màu hoặc thối; vặn xoắn lỏng; xẻ từ đỉnh tới 1/3 hoặc ít hơn. Lá nguyên vẹn, mọc ra qua bao lá mầm ở gần đỉnh (hoặc ít nhất đạt tới một nửa bao lá mầm) hoặc chỉ có các khuyết tật nhẹ như các vết biến màu hoặc thối; bị tổn thương nhẹ.
- Toàn bộ cây mầm: Tất cả các cấu trúc cơ bản bình thường như được liệt kê ở trên
b) Các cây mầm không bình thường:
- Hệ rễ: Rễ sinh sản bị khuyết tật hoặc không đủ như bị còi cọc hoặc chùn ngắn; phát triển chậm; chỉ có một hoặc hoàn toàn bị mất; bị gẫy; cằn cỗi; khẳng khiu; có tính hướng đất ngược; trong suốt; bị thối do nhiễm bệnh sơ cấp.
- Hệ chồi: Trụ giữa lá mầm (nếu phát triển) bị khuyết tật như bị gẫy; bị thối do nhiễm bệnh sơ cấp. Bao lá mầm bị khuyết tật: như bị biến dạng (chẳng hạn, ngắn và dầy do ảnh hưởng nhiễm độc thực vật); bị gẫy; bị mất; có đỉnh bị tổn thương hoặc mất; tạo thành vòng tròn hoặc vòng xoắn; vặn xoắn chặt; uốn cong nhiều; xẻ quá 1/3 chiều dài từ đỉnh; tách ở gốc; khẳng khiu; bị thối do nhiễm bệnh sơ cấp. Lá bị khuyết tật như mọc chưa tới một nửa bao lá mầm; bị mất; bị quăn hoặc bị biến dạng.
- Toàn bộ cây mầm: Một hoặc nhiều cấu trúc cơ bản không bình thường như được liệt kê ở trên, hoặc sự phát triển bình thường bị ngăn cản do toàn bộ cây mầm bị khuyết tật như bị biến dạng; hai cây dính nhau; có màu vàng hoặc màu trắng; khẳng khiu; trong suốt; bị thối do nhiễm bệnh sơ cấp.
Các chú thích riêng
Việc đánh giá cây mầm phải được tiến hành khi lá thứ nhất đã mọc ra khỏi bao lá mầm ở hầu hết các cây mầm. Những cây mầm, khi kết thúc thời gian thử nghiệm, chưa đạt tới giai đoạn phát triển này thì vẫn được coi là bình thường nếu các mặt khác là bình thường, trừ khi lá phát triển chưa tới một nửa bao lá mầm.
Các cây mầm có bao lá mầm bị tách, sẽ được coi là bình thường khi vết tách chạy từ đỉnh xuống 1/3 chiều dài của bao lá mầm hoặc ít hơn. Nếu vết tách vượt quá 1/3 chiều dài, hoặc nếu bao lá mầm bị tách ở gốc, thì cây mầm phải được coi là không bình thường. Khi đánh giá chiều dài của vết tách, phải hết sức cẩn thận không làm mở rộng vết tách khi nhấc cây mầm ra để kiểm tra.
Cây mầm có bao lá mầm bị mắc kẹt ở trong vỏ trấu hoặc vỏ quả, được coi là bình thường khi sự phát triển của các bộ phận khác là bình thường, nhưng được coi là không bình thường nếu thấy sự phát triển bị chậm so với các cây mầm khác.
Các mẫu hạt giống của các loài ngũ cốc đã xử lý hóa chất được đặt nẩy mầm ở trên giá thể nhân tạo (đặc biệt là giấy), thường sinh ra các cây mầm với các triệu chứng nhiễm độc thực vật, chẳng hạn các bao lá mầm ngắn và phồng và các rễ sinh sản chùn ngắn (Hình 42). Nếu có một số lượng nhiều các cây mầm như thế ở trong phép thử, thì phải làm lại thử nghiệm ở trong đất. Đất có thể cho phép đánh giá mẫu chính xác hơn. Những cây mầm vẫn có triệu chứng nhiễm độc ở trong đất sẽ được coi là không bình thường.
* Nhóm A.2.1.1.1
Thực vật 2 lá mầm, có kiểu nẩy mầm trên mặt đất.
Chi đại diện: Củ cải đường (Beta), cải bắp (Brassica), cà rốt (Daucus), hướng dương (Helianthus), xà lách (Lactuca).
Đặc điểm nẩy mầm
Hệ mầm gồm có trụ dưới lá mầm kéo dài và hai lá mầm với điểm sinh trưởng nằm ở giữa; không có sự kéo dài của trụ trên lá mầm trong thời gian thử nghiệm; trụ trên lá mầm và chồi đỉnh thường không thấy rõ.
Hệ rễ gồm có một rễ sơ cấp, thường có lông hút, phải phát triển tốt, vì các rễ thứ cấp không được dùng để đánh giá cây mầm, nếu rễ sơ cấp bị khuyết tật.
Sự phát triển của cây mầm trong thời gian thử nghiệm
Hạt của các chi ở trong nhóm này chứa phôi với các kích thước và hình dạng khác nhau, nằm ở trong nội nhũ (cà rốt), ngoại nhũ (củ cải đường) hoặc với các nguồn dự trữ thức ăn được chứa ở trong các lá mầm (cải bắp, hướng dương).
Khi bắt đầu nẩy mầm, rễ sơ cấp chọc thủng qua vỏ hạt và kéo dài ra nhanh chóng. Hầu hết các loài ở trong nhóm này thường không phát triển rễ thứ cấp trong thời gian thử nghiệm. Trụ dưới lá mầm kéo dài ra và nâng các lá mầm lên khỏi mặt đất, các lá mầm nhanh chóng mở ra và bắt đầu quang hợp. Trụ trên lá mầm không phát triển trong thời gian thử nghiệm và chồi đỉnh nằm ở giữa các lá mầm thường rất khó nhìn thấy.
Đánh giá các cây mầm bình thường và không bình thường
a) Các cây mầm bình thường:
- Hệ rễ: Rễ sơ cấp nguyên vẹn hoặc chỉ có các khuyết tật nhẹ như các vết biến màu hoặc thối; các vết nứt hoặc tách đã liền lại; các vết nứt hoặc tách có độ sâu hạn chế.
- Hệ chồi: Trụ dưới lá mầm nguyên vẹn hoặc chỉ có các khuyết tật nhẹ như các vết biến màu hoặc thối; các vết nứt hoặc tách đã liền lại; các vết nứt hoặc tách có độ sâu hạn chế; vặn xoắn lỏng. Các lá mầm nguyên vẹn hoặc chỉ có các khuyết tật nhẹ như dưới 50% mô bị hỏng; có 3 lá mầm. Chồi đỉnh nguyên vẹn.
- Toàn bộ cây mầm: Tất cả các cấu trúc cơ bản bình thường như được liệt kê ở trên
b) Các cây mầm không bình thường:
- Hệ rễ: Rễ sơ cấp bị khuyết tật như bị còi cọc hoặc chùn ngắn; phát triển chậm hoặc bị mất; chỉ có một hoặc hoàn toàn bị mất; bị gẫy; bị xẻ từ chóp; cằn cỗi; khẳng khiu; bị mắc kẹt ở trong vỏ hạt; có tính hướng đất ngược; trong suốt; bị thối do nhiễm bệnh sơ cấp.
Lưu ý: Các cây mầm sẽ được coi là không bình thường nếu rễ sơ cấp bị khuyết tật, mặc dù có mặt các rễ thứ cấp.
- Hệ chồi: Trụ dưới lá mầm bị khuyết tật như ngắn và dầy hoặc mất; bị nứt sâu hoặc bị gẫy; bị tách xuyên qua; cằn cỗi; uốn cong nhiều hoặc uốn thành vòng tròn; vặn xoắn chặt hoặc tạo thành vòng xoắn; khẳng khiu; trong suốt; bị thối do nhiễm bệnh sơ cấp; bị thối do nhiễm bệnh sơ cấp. Các lá mầm bị khuyết tật đến mức hơn 50% mô bị hỏng như bị phồng hoặc quăn hoặc biến dạng; bị tổn thương; bị tách rời ra hoặc bị mất; bị biến màu hoặc bị thối; trong suốt; bị thối do nhiễm bệnh sơ cấp. Chồi đỉnh hoặc các mô xung quanh bị khuyết tật.
- Toàn bộ cây mầm: Một hoặc nhiều cấu trúc cơ bản không bình thường như trên, hoặc sự phát triển bình thường bị ngăn cản do toàn bộ cây mầm bị khuyết tật như bị biến dạng; bị gẫy; các lá mầm mọc trồi lên trước rễ; hai cây dính nhau; có màu vàng hoặc màu trắng; khẳng khiu; trong suốt; bị thối do nhiễm bệnh sơ cấp.
Các chú thích riêng
Củ cải đường (Beta): Khó khăn lớn trong việc đánh giá các cây mầm ở củ cải đường, và các kết quả ở các phòng kiểm nghiệm thường khác nhau là do các cây mầm bị nhiễm nấm bệnh. Điều quyết định là phải phân biệt rõ ràng giữa sự nhiễm bệnh sơ cấp (tự hạt giống mang nguồn bệnh) và nhiễm bệnh thứ cấp (bệnh lây lan từ nguồn ở bên ngoài hạt giống, thường là từ các cấu trúc của hoa tự chùm ở xung quanh hạt giống).
Để đánh giá chính xác hơn các cây mầm ở củ cải đường, có thể tiến hành theo cách sau đây dựa trên nguyên tắc đánh giá từng cây mầm ở hai thời điểm khác nhau:
1. Vào giai đoạn phát triển sớm của cây mầm, chú ý đến sự nhiễm bệnh sơ cấp hoặc thứ cấp;
2. Vào giai đoạn phát triển muộn hơn, chú ý đến các cấu trúc bình thường hoặc không bình thường của cây mầm.
Cách tiến hành
- Giá thể tốt nhất để tiến hành phép thử là loại giấy lọc được gấp thành giấy gấp. Các chùm hạt được rửa trước và được sấy khô theo qui định ở Bảng 5A.
- Lần đếm đầu tiên (thường là 4 ngày): Các cây mầm chỉ mới có một phần rễ và còn quá nhỏ so với lần đánh giá cuối cùng. ở giai đoạn phát triển sớm này của cây mầm, sự nhiễm nấm bệnh sơ cấp và thứ cấp là dễ phân biệt nhất; bất kỳ cây mầm nào có rễ sơ cấp mọc ra từ chùm hạt mà khỏe mạnh (có màu trắng) thì được coi là bình thường và sẽ được đánh dấu, không quan tâm đến các phần khác của rễ có bị nhiễm bệnh hay không (có màu nâu). Bất kỳ cây mầm nào có rễ sơ cấp mọc ra từ chùm hạt mà bị nhiễm bệnh (có màu nâu hoặc màu đen) là không bình thường và sẽ được đánh dấu bằng một ký hiệu khác, không quan tâm đến các phần khác của rễ (chẳng hạn, chóp rễ) có khỏe mạnh hay không (có màu trắng). Các cây mầm bị nhiễm bệnh phải loại bỏ ra khỏi phép thử để tránh sự lây lan của bệnh, nhưng chùm hạt thì phải giữ lại ở trong phép thử, bởi vì các cây mầm khác có thể mọc ra. Những rễ rõ ràng không bình thường do các nguyên nhân khác được đánh dấu bằng chữ A.
- Lần đếm thứ hai (thường là 7 ngày): Hầu hết các cây mầm bây giờ đã phát triển tất cả các bộ phận cơ bản của chúng cần cho sự đánh giá cuối cùng. Nếu một cây mầm là bình thường về các bộ phận cơ bản của chúng, và nếu ở lần đếm trước nó đã được đánh dấu là khỏe mạnh (hoặc chỉ bị nhiễm bệnh thứ cấp), thì nó sẽ được coi là bình thường và chùm hạt sẽ được loại ra và ghi chép lại, ngay cả nếu nó bị thối hoàn toàn vào thời gian của lần đếm thứ hai và sự nhiễm bệnh có vẻ như là từ bên trong chùm hạt. Những cây mầm rõ ràng là không bình thường và bị thối cũng sẽ được loại bỏ ra khỏi phép thử và được ghi chép lại, nhưng các chùm hạt của chúng phải để lại cho đến lần đếm cuối cùng.
- Cách tiến hành tương tự áp dụng cho các lần đếm tiếp theo và lần đếm cuối cùng.
- Nếu bên cạnh sự nẩy mầm, phải xác định thêm cả tính đơn mầm, thì cách tiến hành phải được sửa đổi cho phù hợp, nhưng nguyên tắc thì vẫn giữ như vậy.
Cải bắp (Brassica): Cần phải lưu ý là các cây mầm không được đánh giá trước khi tất cả các bộ phận cơ bản đã phát triển, và đặc biệt là trước khi các lá mầm đã hoàn toàn thoát ra khỏi vỏ hạt và có thể đánh giá được một cách chính xác, có như vậy những đặc điểm không bình thường mới được đánh giá một cách dễ dàng.
Sự đánh giá các lá mầm đặc biệt quan trọng ở các loài cải (Brassica), không chỉ về các vùng bị chết và thối, mà còn về sự thiếu hụt chất diệp lục (các vùng có màu trắng hoặc màu vàng). Để nhận ra sự thiếu hụt này, phải để cho các cây mầm mọc dưới ánh sáng đầy đủ. Nói chung, cách làm là áp dụng luật 50%, nhưng nếu phần gốc của các lá mầm (vùng ở xung quanh cuống lá và điểm đính của các lá mầm vào trụ dưới lá mầm) bị biến màu, chết hoặc thối, thì cây mầm coi là không bình thường.
Cần phải nắm vững nguyên tắc ở các loài cải (Brassica và Raphanus) thì rễ sơ cấp là cơ bản, ngay cả cây mầm có rễ sơ cấp bị khuyết tật có thể sinh ra một số rễ thứ cấp. Nếu có nhiều cây mầm có rễ sơ cấp bị khuyết tật (chẳng hạn, bị còi cọc) trong phép thử, thì nên thử nghiệm lại mẫu ở trong cát hoặc trong đất để kiểm tra lại kết quả.
Xà lách (Lactuca): Trong việc đánh giá các cây mầm xà lách (Lactuca sativa), các hiện tượng chết thối sinh lý thường thấy ở những hạt đã già đôi khi gây khó khăn cho việc đánh giá. Các triệu chứng này bao gồm các vùng nhỏ có màu nâu ở trên các lá mầm hoặc các lá mầm bị hoàn toàn biến mầu hoặc chết thối và trụ dưới lá mầm bị ngắn và dầy hoặc uốn cong. Trong các trường hợp này, luật 50% phải được áp dụng một cách nghiêm khắc. Để đánh giá chính xác tình trạng của lá mầm, phải thực hiện việc đánh giá khi các lá mầm đã thoát khỏi vỏ hạt và đưa mẫu ra ngoài sáng và bỏ nắp đậy trong vài giờ trước khi đánh giá. Nếu vỏ hạt dính chặt vào các lá mầm do hoại tử hoặc thối và nếu tách ra sẽ làm tổn thương đến cây mầm, thì cây mầm phải được coi là không bình thường.
* Nhóm A.2.1.1.2
Thực vật 2 lá mầm, có kiểu nẩy mầm trên mặt đất.
Chi đại diện : Dưa chuột (Cucumis), bông (Gossypium).
Đặc điểm nẩy mầm
Hệ chồi gồm trụ dưới lá mầm kéo dài và hai lá mầm có điểm sinh trưởng nằm ở giữa; trụ trên lá mầm không kéo dài trong thời gian thử nghiệm; trụ trên lá mầm và chồi đỉnh thường không thấy rõ.
Hệ rễ gồm có một rễ sơ cấp, thường có lông hút và thường có các rễ thứ cấp được dùng để đánh giá cây mầm, nếu rễ sơ cấp bị khuyết tật.
Sự phát triển của cây mầm trong thời gian thử nghiệm
Ở hạt chín của các chi ở trong nhóm này thường có hai phôi lớn, ở một số trường hợp (bông) phôi được bao bọc, các lá mầm hơi dầy, trục phôi ngắn.
Khi bắt đầu nẩy mầm, rễ sơ cấp mọc qua vỏ hạt và kéo dài nhanh chóng. Ở tất cả các loài của họ Bầu bí (Cucurbitaceae), rễ sơ cấp nhanh chóng sinh ra rất nhiều rễ thứ cấp, những rễ đầu tiên được hình thành ở ngay dưới trụ dưới lá mầm.
Rễ sơ cấp của cây Bông (Gossypium) vào thời gian đầu không phân nhánh. Trụ dưới lá mầm kéo dài ra và các lá mầm tách ra khỏi vỏ hạt, mở ra và bắt đầu quang hợp. Trụ trên lá mầm không phát triển trong thời gian thử nghiệm và chồi đỉnh nằm ở giữa các lá mầm rất khó nhìn thấy.
Đánh giá các cây mầm bình thường và không bình thường
a) Các cây mầm bình thường:
- Hệ rễ: Rễ sơ cấp nguyên vẹn hoặc chỉ có các khuyết tật nhẹ như các vết biến màu hoặc thối; các vết nứt hoặc tách đã liền lại; các vết nứt hoặc tách có độ sâu hạn chế.
Lưu ý: Các cây mầm được coi là bình thường trong trường hợp rễ sơ cấp bị khuyết tật, nhưng đã phát triển đủ một số lượng rễ thứ cấp bình thường.
- Hệ chồi: Trụ dưới lá mầm nguyên vẹn hoặc chỉ có các khuyết tật nhẹ như các vết biến màu hoặc thối; các vết nứt hoặc tách đã liền lại; các vết nứt hoặc tách có độ sâu hạn chế; vặn xoắn lỏng. Các lá mầm nguyên vẹn hoặc chỉ có các khuyết tật nhẹ như dưới 50% mô bị hỏng; có 3 lá mầm. Chồi đỉnh nguyên vẹn
- Toàn bộ cây mầm: Tất cả các cấu trúc cơ bản bình thường như được liệt kê ở trên
b) Các cây mầm không bình thường:
- Hệ rễ: Rễ sơ cấp bị khuyết tật và các rễ thứ cấp không đủ hoặc bị khuyết tật như bị còi cọc hoặc chùn ngắn; phát triển chậm; bị mất; bị gẫy; bị xẻ từ đỉnh; cằn cỗi; bị uốn cong; khẳng khiu; bị mắc kẹt ở trong vỏ hạt; có tính hướng đất ngược; trong suốt; bị thối do nhiễm bệnh sơ cấp.
- Hệ chồi: Trụ dưới lá mầm bị khuyết tật như ngắn và dầy hoặc bị mất; bị nứt sâu hoặc bị gẫy; bị tách xuyên qua; cằn cỗi; uốn cong nhiều hoặc uốn vòng tròn; vặn xoắn chặt hoặc tạo thành vòng xoắn; khẳng khiu; trong suốt; bị thối do nhiễm bệnh sơ cấp. Các lá mầm bị khuyết tật đến mức hơn 50% mô (hoặc tổng số mô) bị hỏng như bị phồng hoặc uốn quăn hoặc biến dạng; bị rời ra hoặc bị mất; bị biến màu hoặc bị thối; trong suốt; bị thối do nhiễm bệnh sơ cấp. Chồi đỉnh hoặc các mô xung quanh bị tổn thương hoặc bị thối.
- Toàn bộ cây mầm: Một hoặc nhiều cấu trúc cơ bản không bình thường như được liệt kê ở trên, hoặc sự phát triển bình thường bị ngăn cản do toàn bộ cây mầm bị khuyết tật như bị biến dạng; bị đứt gẫy; các lá mầm mọc trồi lên trước rễ; hai cây dính nhau; có màu vàng hoặc màu trắng; khẳng khiu; trong suốt; bị thối do nhiễm bệnh sơ cấp.
* Nhóm A.2.1.2.2
Thực vật 2 lá mầm, có kiểu nẩy mầm trên mặt đất.
Chi đại diện : Lạc (Arachis), đậu ngự (Phaseolus).
Đặc điểm nẩy mầm
Hệ chồi gồm trụ dưới lá mầm kéo dài ra, hai lá mầm và trụ trên lá mầm hơi kéo dài có hai lá sơ cấp phát triển xung quanh chồi đỉnh.
Hệ rễ gồm một rễ sơ cấp, thường có lông hút và các rễ thứ cấp được dùng để đánh giá cây mầm, nếu rễ sơ cấp bị khuyết tật.
Sự phát triển của cây mầm trong thời gian thử nghiệm
Hạt giống của các chi ở nhóm này thường không có nội nhũ, các lá mầm chứa nguồn dự trữ thức ăn. Ở một số chi có rễ mầm uốn cong, và chồi mầm ở đầu trên của trục phôi, có hai hoặc vài lá sơ cấp phát triển và được bao ở giữa các lá mầm.
Khi bắt đầu nẩy mầm, rễ sơ cấp mọc qua vỏ hạt, kéo dài ra nhanh chóng và sinh ra các rễ bên. Trụ dưới lá mầm kéo dài ra và các lá mầm thoát khỏi vỏ hạt. Các lá mầm ở hầu hết các chi mở ra và quang hợp, nhưng một số chi khác (đậu ngự) thì chẳng bao lâu sẽ bị teo đi. Vào cuối thời gian thử nghiệm, trụ trên lá mầm có thể hơi kéo dài và các lá sơ cấp mở ra.
Đánh giá các cây mầm bình thường và không bình thường
a) Các cây mầm bình thường:
- Hệ rễ: Rễ sơ cấp nguyên vẹn hoặc chỉ có các khuyết tật nhẹ như các vết biến màu hoặc thối; các vết nứt hoặc tách đã liền lại; các vết nứt hoặc tách có độ sâu hạn chế.
Lưu ý: Các cây mầm cũng được coi là bình thường trong trường hợp rễ sơ cấp bị khuyết tật, nhưng đã phát triển đủ một số lượng rễ thứ cấp bình thường.
- Hệ chồi: Trụ dưới lá mầm nguyên vẹn hoặc chỉ có các khuyết tật nhẹ như các vết biến màu hoặc thối; các vết nứt hoặc tách đã liền lại; các vết nứt hoặc tách có độ sâu hạn chế; vặn xoắn lỏng. Các lá mầm nguyên vẹn hoặc chỉ có các khuyết tật nhẹ như dưới 50% mô bị hỏng; có 3 lá mầm. Các lá sơ cấp nguyên vẹn hoặc chỉ có các khuyết tật nhẹ như dưới một nửa mô bị hỏng; có 3 lá sơ cấp. Chồi đỉnh nguyên vẹn.
- Toàn bộ cây mầm: tất cả các cấu trúc cơ bản bình thường như được liệt kê ở trên
b) Các cây mầm không bình thường:
- Hệ rễ: Rễ sơ cấp bị khuyết tật và các rễ thứ cấp không đủ hoặc bị khuyết tật như bị còi cọc hoặc chùn ngắn; phát triển chậm; bị mất; bị gẫy; bị xẻ từ đỉnh; cằn cỗi; bị uốn cong; khẳng khiu; bị mắc kẹt ở trong vỏ hạt; có tính hướng đất ngược; trong suốt; bị thối do nhiễm bệnh sơ cấp.
- Hệ chồi: Trụ dưới lá mầm hoặc trụ trên lá mầm bị khuyết tật như ngắn và dầy hoặc bị mất; bị nứt sâu hoặc bị gẫy; bị xẻ xuyên qua phải; cằn cỗi; uốn cong nhiều hoặc uốn thành vòng tròn; vặn xoắn chặt hoặc tạo thành vòng xoắn; khẳng khiu; trong suốt; bị thối do nhiễm bệnh sơ cấp. Các lá mầm bị khuyết tật đến mức hơn 50% mô (hoặc tổng số mô) bị hỏng như bị biến dạng; bị tổn thương; bị tách rời ra hoặc bị mất; bị biến màu hoặc bị thối; bị thối do nhiễm bệnh sơ cấp; chồi đỉnh hoặc các mô xung quanh bị tổn thương hoặc bị thối.
Lưu ý: Để đánh giá các lá mầm của Phaseolus, xem phần chú thích riêng ở dưới.
Các lá sơ cấp bị khuyết tật đến mức quá 50% diện tích lá (hoặc tổng diện tích) bị hỏng như bị biến dạng; bị tổn thương; bị tách rời ra hoặc bị mất; bị biến màu hoặc bị thối; nhỏ hơn 1/4 kích thước bình thường; bị thối do nhiễm bệnh sơ cấp. Chồi đỉnh bị khuyết tật hoặc bị mất.
Lưu ý: Bất kể sự có mặt của các mầm nách mọc ra từ các chồi ở nách của các lá mầm hoặc lá sơ cấp, cây mầm sẽ được coi là không bình thường khi mầm chính không phát triển bình thường.
- Toàn bộ cây mầm: Một hoặc nhiều cấu trúc cơ bản không bình thường như được liệt kê ở trên, hoặc sự phát triển bình thường bị ngăn cản do toàn bộ cây mầm bị khuyết tật như bị biến dạng; bị đứt gẫy; các lá mầm mọc trồi lên trước khi phát triển rễ; hai cây dính nhau; có màu vàng hoặc màu trắng; khẳng khiu; trong suốt; bị thối do nhiễm bệnh sơ cấp.
Các chú thích riêng
Lạc (Arachis): Khác với đậu ngự (Phaseolus), lạc có trụ dưới lá mầm tương đối ngắn và mập. Các lá mầm còn đính ở cây mầm trong một thời gian dài và được dùng để đánh giá cây mầm (luật 50%). Trụ trên lá mầm và hai lá sơ cấp xẻ lông chim phát triển ở giữa các lá mầm. Ngoài mầm chính, thì sự phát triển của hai mầm nách phải bình thường, tuy nhiên, mầm chính là cơ bản: nếu mầm chính bị mất hoặc bị khuyết tật thì cây mầm phải được coi là không bình thường.
Đậu ngự (Phaseolus): Các cây mầm của Phaseolus đặc biệt khó đánh giá. Vì vậy, các kết quả phân tích của các phòng kiểm nghiệm có thể khác nhau. Để đạt được sự đồng đều giữa các kết quả phân tích phải lưu ý các điều kiện sau:
- Trạng thái phát triển của cây mầm: Hết sức lưu ý không được đánh giá các cây mầm trước khi các lá sơ cấp đã mở ra. Những cây mầm mọc ở trong giấy cuộn, và đặc biệt là trong tối, nói chung không đạt được tới giai đoạn này nên thường rất khó đánh giá.
- Các lá mầm: Các lá mầm của Phaseolus, khác với lá mầm của một số loài khác trong nhóm này (lạc) không tăng kích thước của chúng sau khi nẩy mầm, và thực hiện các hoạt động quang hợp rất khó khăn. Các chất dinh dưỡng được dự trữ sẽ nhanh chóng tiêu thụ bởi cây mầm đang mọc, và chức năng của chúng sẽ kết thúc. Vì thế, chúng thường teo quắt lại vào thời gian khi cây mầm đạt tới giai đoạn nói ở trên. Bởi vậy, chúng không thể dùng để đánh giá cây mầm.
Nếu có một số lượng cây mầm với các lá mầm bị hỏng hoặc bị thối trong phép thử (thường là cây mầm sẽ bị hỏng nếu lấy vỏ hạt ra và các lá sơ cấp không mở ra hoặc rất nhỏ), thì mẫu phải được thử nghiệm lại trong đất. Bằng cách này, thường có kết quả tương đối tốt hơn.
- Các lá sơ cấp: Như đã nêu trên, các lá mầm mất chức năng của chúng ngay sau khi nẩy mầm; chức năng này sẽ được thay thế bằng các lá sơ cấp và được dùng để đánh giá cây mầm. Các lá sơ cấp bình thường khi chúng có hình dạng bình thường và không nhỏ hơn 1/4 kích thước lá trung bình của các cây mầm ở trong phép thử. Trong các trường hợp nghi ngờ thì nên kéo dài thêm thời gian thử nghiệm hoặc làm lại phép thử trong đất. Nếu các lá sơ cấp bị hỏng hoặc bị biến dạng, thì diện tích lá của chúng phải tuân theo luật 50%.
* Nhóm A.2.2.2.2
Thực vật 2 lá mầm, có kiểu nẩy mầm dưới mặt đất.
Chi đại diện : Đậu Hà-lan (Pisum), đậu răng ngựa (Vicia).
Đặc điểm nẩy mầm
Hệ chồi gồm trụ trên lá mầm kéo dài và chôi đỉnh có các lá sơ cấp phát triển. Các lá mầm thường nằm lại ở trong vỏ hạt và trụ dưới lá mầm hơi khó nhận thấy.
Hệ rễ gồm một rễ sơ cấp, thường có lông hút và các rễ thứ cấp dùng để đánh giá cây mầm nếu rễ sơ cấp bị khuyết tật.
Sự phát triển của cây mầm trong thời gian thử nghiệm
Phôi của hạt chín ở các chi của nhóm này có hai lá mầm lớn, mập, chứa nguồn thức ăn dự trữ.
Khi bắt đầu nẩy mầm, rễ sơ cấp mọc ra qua vỏ hạt, kéo dài ra nhanh chóng và sau đó là các rễ thứ cấp. Trụ dưới lá mầm rất khó nhận thấy, nhưng trụ trên lá mầm tương đối dài. Ở nhiều chi của nhóm này (đậu răng ngựa), trụ trên lá mầm có 1-3 lá vẩy ở dưới các lá sơ cấp và chồi đỉnh. Chồi ở nách của mỗi lá mầm thường ngủ nghỉ, trừ khi chồi đỉnh bị tổn thương nghiêm trọng.
Đánh giá các cây mầm bình thường và không bình thường
a) Các cây mầm bình thường:
- Hệ rễ: Rễ sơ cấp nguyên vẹn hoặc chỉ có các khuyết tật nhẹ như các vết biến màu hoặc thối; các vết nứt hoặc tách đã liền lại; các vết nứt hoặc tách có độ sâu hạn chế;
Lưu ý: Các cây mầm cũng được coi là bình thường trong trường hợp rễ sơ cấp bị khuyết tật, nhưng đã phát triển đủ một số lượng rễ thứ cấp bình thường.
- Hệ chồi: Các lá mầm nguyên vẹn hoặc chỉ có các khuyết tật nhẹ như dưới 50% mô bị hỏng; có 3 lá mầm. Trụ trên lá mầm nguyên vẹn hoặc chỉ có các khuyết tật nhẹ như các vết biến màu hoặc thối; các vết nứt hoặc tách đã liền lại; các vết nứt hoặc tách có độ sâu hạn chế; vặn xoắn nhẹ. Các lá sơ cấp nguyên vẹn hoặc chỉ có các khuyết tật nhẹ như dưới 50% diện tích lá bị hỏng. Chồi đỉnh nguyên vẹn
- Toàn bộ cây mầm: Tất cả các cấu trúc cơ bản bình thường như được liệt kê ở trên
b) Các cây mầm không bình thường:
- Hệ rễ: Rễ sơ cấp bị khuyết tật và không đủ hoặc các rễ thứ cấp bị khuyết tật như bị còi cọc hoặc chùn ngắn; phát triển chậm; bị mất; bị gẫy; bị xẻ từ đỉnh; cằn cỗi; khẳng khiu; bị mắc kẹt ở trong vỏ hạt; có tính hướng đất ngược; trong suốt; bị thối do nhiễm bệnh sơ cấp.
- Hệ chồi: Các lá mầm bị khuyết tật đến mức hơn 50% mô ban đầu của lá mầm (hoặc tổng số mô) không thực hiện chức năng một cách bình thường như bị biến dạng; bị tổn thương (chẳng hạn, do côn trùng); bị tách rời ra hoặc bị mất; bị biến màu hoặc bị thối; bị thối do nhiễm bệnh sơ cấp.
Lưu ý: Cần chú ý đến điểm sinh trưởng của các lá mầm về các dấu hiệu thối hoặc bị bệnh. Trụ trên lá mầm bị khuyết tật như ngắn và dầy hoặc bị mất; bị nứt sâu hoặc bị gẫy; bị xẻ thủng; cằn cỗi; uốn cong nhiều hoặc uốn thành vòng tròn; vặn xoắn chặt hoặc tạo thành vòng xoắn; khẳng khiu; trong suốt; bị thối do nhiễm bệnh sơ cấp. Các lá sơ cấp bị khuyết tật đến mức hơn 50% diện tích lá (hoặc tổng diện tích) không thực hiện được chức năng một cách bình thường như bị uốn cong hoặc bị biến dạng; bị tổn thương; bị tách rời ra hoặc bị mất; bị biến màu hoặc bị thối; bị thối do nhiễm bệnh sơ cấp. Chồi đỉnh bị khuyết tật hoặc bị mất
Lưu ý: Khi mầm chính không phát triển một cách thỏa đáng thì cây mầm sẽ được coi là không bình thường, ngay cả nếu các mầm nách đã phát triển.
- Toàn bộ cây mầm: Một hoặc nhiều cấu trúc cơ bản không bình thường như được liệt kê ở trên, hoặc sự phát triển bình thường bị ngăn cản do toàn bộ cây mầm bị khuyết tật như bị biến dạng; bị đứt gẫy; các lá mầm mọc ra trước khi phát triển rễ; hai cây dính nhau; có màu vàng hoặc màu trắng; khẳng khiu; trong suốt; bị thối do nhiễm bệnh sơ cấp.
5.6.6.A. Thử nghiệm lại
Trong các trường hợp sau đây, phép thử nẩy mầm sẽ phải thực hiện lại:
1. Khi nghi ngờ hạt đang ở trạng thái ngủ nghỉ thì phải tiến hành biện pháp thì phải tiến hành biện pháp xử lý phá ngủ như qui định ở Bảng 5.A. Sau khi thử nghiệm lại kết quả nào tốt nhất sẽ được dùng để tính toán và báo cáo.
2. Khi các kết quả của phép thử không đáng tin cậy do bị nhiễm độc hoặc do nấm và vi khuẩn tấn công thì phải làm lại thử nghiệm bằng cách dùng các phương pháp khác được qui định ở bảng 5A hoặc có thể đặt trong cát, trong đất. Kết quả nào tốt nhất sẽ được dùng để tính toán và báo cáo.
3. Khi thấy có một số cây mầm khó đánh giá thì có thể làm lại bằng cách dùng phương pháp khác được qui định ở Bảng 5.A, hoặc đặt lại trong cát, trong đất. Kết quả nào tốt nhất sẽ được dùng để tính toán và báo cáo.
4. Khi có sai sót trong các điều kiện đặt nẩy mầm, trong khi giám định hoặc đếm cây mầm thì tiến hành lại phép thử như lần trước và kết quả của lần thử nghiệm sau sẽ được dùng để tính toán và báo cáo.
5. Khi các kết quả của 4 lần nhắc (mỗi lần 100 hạt) vượt quá sai số cho phép ở Bảng 5.A.1. thì phải làm lại thử nghiệm khác. Nếu kết quả của lần thử nghiệm lại và lần thử nghiệm trước không vượt quá sai số cho phép ở Bảng 5.A.2. thì số liệu trung bình của cả 2 lần thử nghiệm sẽ dược dùng để tính toán và báo cáo.
Nếu kết quả của lần thử nghiệm sau và lần thử nghiệm trước vượt quá sai số cho phép ở Bảng 5.A.2. thì phải làm thêm 1 lần thử nghiệm nữa bằng cách lặp lại như các lần thử nghiệm trước. Chọn những lần thử nghiệm có các kết quả phù hợp với sai số cho phép để tính toán và báo cáo.
5.7.A. Tính toán và báo cáo kết quả
Kết quả phép thử nẩy mầm được tính toán là tỷ lệ phần trăm trung bình các cây mầm bình thường của 4 lần nhắc 100 hạt (các lần nhắc 50 hoặc 25 hạt sẽ được gộp lại thành các lần nhắc 100 hạt). Tỷ lệ này được tính toán đến số nguyên gần nhất (từ 0.5 trở lên sẽ được làm tròn thành 1 đơn vị). Tỷ lệ phần trăm của các cây mầm không bình thường, hạt cứng, hạt ngủ nghỉ và hạt chết cũng được làm tròn số. Tổng của các tỷ lệ cây mầm bình thường, cây mầm không bình thường và các hạt không nẩy mầm l à 100.
Trong trường hợp tổng các tỷ lệ này không bằng 100 thì điều chỉnh ở phần kết quả của cây mầm không bình thường, hạt cứng, hạt ngủ nghỉ và hạt chết như sau:
1. Chọn giá trị nào có số lẻ cao nhất ở trong các kết quả của cây mầm không bình thường, hạt cứng, hạt ngủ nghỉ và hạt chết và làm tròn thành 1 dơn vị. Giữ nguyên giá trị đã được làm tròn đó cho đến khi kết thúc tính toán. Tiếp tục làm tròn các kết quả còn lại.
2. Cộng tất cả các giá trị đã làm tròn.
3. Nếu tổng bằng 100 thì kết thúc, nếu không thì lại tiếp tục cách làm như trên (bước 1-3).
Trong trường hợp các số lẻ của cây mầm không bình thường, hạt cứng, hạt ngủ nghỉ và hạt chết đều bằng nhau thì thứ tự ưu tiên sẽ như sau: Cây mầm không bình thường, hạt cứng, hạt ngủ nghỉ, hạt chết.
Bảng 5.A. Các phương pháp và điều kiện nảy mầm qui định đối với một số loài cây trồng
| TT | Tên cây trồng | Các điều kiện nẩy mầm | Thời gian thử nghiệm (ngày) | Xử lý | |||
| Phương pháp | Nhiệt độ | Lần đếm đầu | Lần đếm cuối | ||||
| (1) | (2) | (3) | (4) | (5) | (6) | (7) | |
| 5.A.1. Những loài có tiêu chuẩn hạt giống (TCVN hoặc 10 TCN): | |||||||
| 1 | Lạc | BP ; S | 20 -30 ; 25 | 5 | 10 | Bóc vỏ, sấy 400C | |
| 2 | Cải bắp | TP | 20 - 30 ; 20 | 5 | 7 | Làm lạnh | |
| 3 | Su hào | TP | 20- 30 ; 20 | 5 | 7 | Làm lạnh | |
| 4 | Dưa hấu | BP ; S | 20- 30 ; 25 | 5 | 14 | Dùng giấy gấp | |
| 5 | Dưa chuột | TP ; BP ; S | 20 - 30 ; 25 | 4 | 8 |
| |
| 6 | Đậu tương | BP ; S | 20 - 30 ; 25 | 5 | 8 |
| |
| 7 | Rau muống | BP ; S | 30 | 4 | 10 |
| |
| 8 | Cà chua | TP ; BP ; S | 20 - 30 | 5 | 14 | KNO3 | |
| 9 | Lúa | TP ; BP ; S | 20 - 30; 25 | 5 | 14 | Sấy (50oC); ngâm H20, HN03 ( 24 giờ) | |
| 10 | Cải củ | TP ; BP ; S | 20 - 30 ; 20 | 4 | 10 | Làm lạnh | |
| 11 | Khoai tây | TP | 20-30 | 3 | 14 | GA3 (1500ppm/24 giờ) | |
| 12 | Đậu xanh | BP ; S | 20 - 30 ; 25 | 5 | 8 |
| |
| 13 | Ngô | BP ; S | 20 - 30 ; 25 ; 20 | 4 | 7 |
| |
| 5.A.2. Những loài chưa có tiêu chuẩn hạt giống: | |||||||
| 1 | Bầu | BP ; S | 20 - 30 | 4 | 14 |
| |
| 2 | Bí đao | TP ; BP ; S | 20 - 30 ; 30 | 7 | 14 |
| |
| 3 | Bí rợ | BP ; S | 20 - 30 ; 25 | 4 | 8 |
| |
| 4 | Bí ngô | BP ; S | 20 - 30; 25 | 4 | 8 |
| |
| 5 | Bông | BP ; S | 20 - 30 ; 25 | 4 | 12 |
| |
| 6 | Cà | TP ; BP ; S | 20- 30 | 7 | 14 |
| |
| 7 | Cà rốt | TP ; BP | 20 - 30 ; 20 | 7 | 14 |
| |
| 8 | Cải bẹ | TP | 20- 30 ; 20 | 5 | 7 | Làm lạnh | |
| 9 | Cải thìa | TP | 20 - 30 ; 20 | 5 | 7 | Làm lạnh | |
| 10 | Cải xanh | TP | 20 - 30 ; 20 | 5 | 7 | Làm lạnh | |
| 11 | Cải dầu | TP | 20- 30 ; 20 | 5 | 7 | Làm lạnh | |
| 12 | Su lơ | TP | 20-30 ; 20 | 5 | 7 | Làm lạnh | |
| 13 | Cải cúc | TP ; BP | 20 - 30- ; 15 | 4- 7 | 21 | Sấy 400C | |
| 14 | Cải xoong | TP ; BP | 20 - 30 | 4 | 14 |
| |
| 15 | Cao lương | TP ; BP | 20 - 30 | 4 | 14 | Làm lạnh | |
| 16 | Củ cải đường | TP; BP; PP; S | 20-30;15-25; 20 | 4 | 14 | Rửa sạch, sấy 250C | |
| 17 | Dưa bở | TP ; BP; S | 20 - 30 ; 25 | 4 | 8 |
| |
| 18 | Dưa gang | BP ; S | 20 - 30 ; 20 | 4 | 8 |
| |
| 19 | Đại mạch | BP; S | 20 | 4 | 7 | Sấy (30 - 350C); làm lạnh ; GA3 | |
| 20 | Đay | TP ; BP | 30 | 3 | 5 |
| |
| 21 | Đậu chiều | BP ; S | 20 - 30-; 25 | 4 | 10 |
| |
| 22 | Đậu kiếm | BP ; S | 20 - 30 ; 25 | 4 | 10 |
| |
| 23 | Đậu ngự | BP ; S | 20 - 30 ; 25 | 5 | 9 |
| |
| 24 | Đậu tây | BP ; S | 20-30; 25; 20 | 5 | 9 |
| |
| 25 | Đậu Hà Lan | BP ; S | 20 | 5 | 8 |
| |
| 26 | Đậu rồng | BP ; S | 20 - 30 ; 30 | 4 | 14 |
| |
| 27 | Đậu răng ngựa | BP ; S | 20 | 4 | 14 | Làm lạnh | |
| 28 | Đậu đỏ | BP ; S | 20 | 4 | 14 | Làm lạnh | |
| 29 | Đậu đen | BP ; S | 20 -30 ; 25 | 5 | 8 |
| |
| 30 | Đậu đũa | BP ; S | 20 - 30; 25 | 5 | 8 |
| |
| 31 | Đậu nho nhe | BP ; S | 20 - 30 ; 25 | 5 | 8 |
| |
| 32 | Đậu ván | BP; S | 20 - 30 ; 25 | 4 | 14 |
| |
| 33 | Điền thanh | TP ; BP | 20 - 30 ; 25 | 5 | 7 |
| |
| 34 | Hành tây | TB ; BP ; S | 20 ; 15 | 6 | 12 | Làm lạnh | |
| 35 | Hành ta | TB ; BP ; S | 20; 15 | 6 | 12 | Làm lạnh | |
| 36 | Hành tăm | TB ; BP ; S | 20 ; 15 | 6 | 14 | Làm lạnh | |
| 37 | Hành thơm | TB ; BP; S | 20 ; 15 | 6 | 14 | Làm lạnh | |
| 38 | Hẹ | TP | 20-30 ; 20 | 6 | 14 | Làm lạnh | |
| 39 | Hướng dương | BP ; S | 20-30; 25; 20 | 4 | 10 | Sấy ; làm lạnh | |
| 40 | Kê | TP | 20-30 | 4 | 8 | KNO3 | |
| 41 | Lúa mì | TP ; BP ; S | 20 | 4 | 8 |
| |
| 42 | Lúa mì đen | TP ; BP ; S | 20 | 4 | 7 | Làm lạnh; GA3 | |
| 43 | Mướp tây | TP ; BP ; S | 20- 30 | 4 | 21 |
| |
| 44 | Mướp hương | BP ; S | 30 | 4 | 14 |
| |
| 45 | Mướp ta | BP ; S | 30 | 4 | 14 |
| |
| 46 | Mướp đắng | BP ; S | 20 - 30 ; 30 | 4 | 14 |
| |
| 47 | Ớt | TP ; BP ; S | 20- 30 | 7 | 14 | KNO3 | |
| 48 | Rau dền | TP | 20 - 30; 20 | 4 - 5 | 14 | Làm lạnh ; KNO3 | |
| 49 | Rau cần | TP | 20 - 30 | 10 | 21 | Làm lạnh ; KNO3 | |
| 50 | Rau mùi | TP ; BP | 20 - 30 ; 20 | 7 | 21 |
| |
| 51 | Su su | BP ; S | 20 - 30 ; 20 | 5 | 10 |
| |
| 52 | Thầu dầu | BP ; S | 20 - 30 | 7 | 14 |
| |
| 53 | Thuốc lá | TP | 20 - 30 | 7 | 16 | KNO3 | |
| 54 | Vừng | TP | 20 - 30 | 3 | 6 |
| |
| 55 | Xà lách | TP ; BP | 20 | 4 | 7 | Làm lạnh | |
| 56 | Yến mạch | BP ; S | 20 | 5 | 10 | Sấy (30 - 350C) | |
* Ghi chú :
- TP (top of paper): Đặt trên bề mặt giấy
- BP (between paper): Đặt giữa giấy
- S (sand): Đặt trong cát
- PP (pleated paper): Đặt trong giấy gấp
Bảng 5.A.1. Sai số cho phép tối đa giữa 4 lần nhắc 100 hạt ở trong một phép thử nẩy mầm (phép thử hai chiều ở mức ý nghĩa 2,5%)
| Tỷ lệ nẩy mầm trung bình (%) | Sai số cho phép tối đa | Tỷ lệ nẩy mầm trung bình (%) | Sai số cho phép tối đa | ||
| (1) | (2) | (3) | (1) | (2) | (3) |
| 99 98 97 96 95 93 - 94 91 - 92 89 - 90 | 2 3 4 5 6 7 - 8 9 - 10 11 - 12 | 5 6 7 8 9 10 11 12 | 87 - 88 84 - 86 81 - 83 78 - 80 73 - 77 67 - 72 56 - 66 51 - 55 | 13 - 14 15 - 17 18 - 20 21 - 23 24 - 28 29 - 34 35 - 45 46 - 50 | 13 14 15 16 17 18 19 20
|
Bảng 5.A.2. Sai số cho phép giữa các kết quả thử nghiệm nẩy mầm 400 hạt ở cùng hoặc khác mẫu gửi khi các phép thử được tiến hành ở cùng hoặc khác phòng kiểm nghiệm (phép thử hai chiều ở mức ý nghĩa 2.5%)
| Tỷ lệ nẩy mầm trung bình (%) | Sai số cho phép tối đa | Tỷ lệ nẩy mầm trung bình (%) | Sai số cho phép tối đa | ||
| (1) | (2) | (3) | (1) | (2) | (3) |
| 98 đến 99 95 - 97 91 - 94 85 - 90 | 2 - 3 4 - 6 7 - 10 11 - 16 | 2 3 4 5 | 77 - 84 60 - 76 51 - 59 | 17 - 24 25 - 41 42 - 50 | 6 7 8 |
Bảng 5.A.3. Sai số cho phép giữa các kết quả thử nghiệm nẩy mầm 400 hạt ở hai mẫu gửi khác nhau được tiến hành ở cùng hoặc khác phòng kiểm nghiệm (phép thử một chiều ở mức ý nghĩa 5%)
| Tỷ lệ nẩy mầm trung bình (%) | Sai số cho phép tối đa | Tỷ lệ nẩy mầm trung bình (%) | Sai số cho phép tối đa | ||
| (1) | (2) | (3) | (1) | (2) | (3) |
| 99 97-98 94-96 91-93 87-90 | 2 3-4 5-7 8-10 11-14 | 2 3 4 5 6 | 82-86 76-81 70-75 60-69 51-59 | 15 - 19 20 - 25 26 - 31 32 - 41 42 - 50 | 7 8 9 10 11 |
PHỤ LỤC CHƯƠNG 7
XÁC ĐỊNH ĐỘ ẨM
7.1.A. Xác định độ ẩm bằng phương pháp sấy
7.1.4.A. Thiết bị
7.1.4.A.1. Máy xay mẫu
Máy xay được dùng để nghiền mẫu phải đáp ứng các yêu càu sau đây:
(a) Được chế tạo bằng loại vật liệu không hút ẩm.
(b) Được chế tạo sao cho hạt giống và nguyên liệu xay tránh tiếp xúc với không khí xung quanh trong quá trình xay.
(c) Xay đều ở một tốc độ và không làm nóng nguyên liệu được xay và giảm tối đa luồng không khí có thể gây ảnh hưởng tới độ ẩm của mẫu xay.
(d) Có thể điều chỉnh được để nguyên liệu xay có độ nhỏ như qui định ở 7.1.5.4.A.
7.1.4.A.2. Tủ sấy nhiệt độ ổn định và các phụ kiện
Tủ sấy phải được đốt nóng bằng điện, có bộ kiểm soát nhiệt, được cách nhiệt tốt và có khả năng duy trì nhiệt độ tương đối đồng đều trong buồng sấy và ở ngăn đặt mẫu. Nhiệt độ qui định ở ngăn đặt mẫu phải đạt độ chính xác ± 0.50C. Khi đốt nóng đến nhiệt độ yêu cầu, nếu mở ra và cho mẫu vào thì tủ phải đạt tới nhiệt độ yêu cầu trong vòng 15 phút.
Các hộp sấy phải được làm bằng kim loại không bị gỉ hoặc thủy tinh có độ dầy khoảng 0.5 mm và có nắp đậy kín để giảm sự tăng lên hay mất đi của độ ẩm và phải có cạnh tròn, đáy phẳng và các mép nhẵn. Hộp sấy và nắp đậy phải được đánh dấu cùng một mã số. Trước khi dùng, sấy khô hộp trong 1 giờ ở 130oC hoặc làm khô bằng cách tương tự và để nguội trong bình hút ẩm.
Bề mặt tiếp xúc của mẫu đảm bảo mẫu phân tích được phân bố không quá 0.3 g/cm2.
Bình hút ẩm phải có khả năng làm nguội mẫu nhanh và có chất hút ẩm phù hợp, chẳng hạn như phosphorus pentoxide, nhôm hoạt tính hoặc các viên nhỏ 1,5mm.
7.1.4.A.3. Cân phân tích
Cân phân tích phải cân được nhanh và có độ chính xác tới 0,001g.
7.1.4.A.4. Sàng
Các loại sàng được yêu cầu có lỗ 0,50mm, 1,00mm và 4,00mm.
7.1.4.A.5. Dụng cụ cắt mẫu
Để cắt những hạt lớn và hạt cứng, phải dùng loại dao mổ hoặc kéo cắt bằng tay có lưỡi dài ít nhất 4,0cm.
7.1.5.4.A. Xay mẫu
-Việc xay mẫu sẽ được tiến hành với một lượng mẫu nhỏ được lấy ra từ mẫu gửi trước khi lập mẫu phân tích.
- Mức xay nhỏ được quy định như sau:
Đối với các loài ngũ cốc như lúa, mì, mạch, cao lương; ngô và bông thì phải xay nhỏ, ít nhất phải có 50% nguyên liệu đã xay lọt qua rây có lỗ 0,5mm và dưới 10% còn lại ở rây có lỗ 1,0mm.
Đối với các loài đậu đỗ như đậu tương, đậu ngự, đậu Hà-lan, đậu răng ngựa... thì phải xay thô, ít nhất phải có 50% nguyên liệu đã xay lọt qua rây có lỗ 4,0mm.
Đối với các loại hạt có dầu, khó xay thì có thể nghiền hoặc thái nhỏ nhưng không được để hở mẫu ra ngoài không khí quá 2 phút.
7.1.5.4.A.1. Các loài bắt buộc phải xay mẫu
Các loài yến mạch (Avena spp.), lạc (Arachis hypogaea), kê (Eleusine coracana), đậu tương (Glycine max), bông (Gossypium spp.), lúa (Oryza sativa), các loài đậu ngự (Phaseolus spp.), đậu Hà-lan (Pisum sativum), thầu dầu (Ricinus communis), lúa mì đen (Secale cereale), các loài cao lương (Sorghum spp.), lúa mì (Triticum aestivum), ngô (Zea mays)...
7.1.5.5.A. Cắt mẫu
Lấy một mẫu giảm và cắt nhanh các hạt thành các mẩu nhỏ và đưa vào hộp chứa, trộn bằng thìa và lấy ra 2 mẫu phân tích có khối lượng gần bằng khối lượng của 5 hạt nguyên. Đặt các mẫu vào trong hộp cân. Những hạt có đường kính 15 mm hoặc lớn hơn thì phải cắt ít nhất thành 4 hoặc 5 mẩu. Không nên để hở ra ngoài không khí quá 60 giây.
7.1.5.6.1.A. Sấy sơ bộ
- Đối với ngô có độ ẩm ban đầu cao hơn 25% thì phải rải hạt thành 1 lớp không dày quá 20mm và sây ở t=70oC trong 2-5 giờ tùy theo độ ẩm ban đầu của mẫu.
- Đối với các trường hợp khác có độ ẩm ban đầu cao hơn 30% thì phải đặt các mẫu qua 1 đêm ở chỗ ấm (chẳng hạn trên đỉnh tủ sấy…)
- Đối với các trường hợp khác thì mẫu được sấy sơ bộ trong tủ sấy ở nhiệt độ 130oC trong 5-10 phút, sau đó để nguội trong 2 giờ.
7.1.5.7.A. Các loài được dùng phương pháp sấy ở nhiệt độ thấp ổn định.
Các loài hành tỏi (Allium spp.), lạc (Arachis hypogaea), cải bắp, cải bẹ, cải thìa, cải canh, su hào, su-lơ (Brassica spp.), ớt (Capsicum spp.), đậu tương (Glycine max), bông (Gossypium spp.), hướng dương (Helianthus annuus) cải củ (Raphanus sativus), thầu dầu (Ricinus communis), vừng (Sesamum indicum), cà (Solanum melongena)...
7.1.5.8.A. Các loài được dùng phương pháp sấy ở nhiệt độ cao ổn định
Yến mạch (Avena spp.), củ cải đường (Beta vulgaris), dưa hấu (Citrulus lanatus), dưa chuột, dưa gang, dưa bở (Cucumis spp.), bầu bí (Cucurbita spp.), cà-rốt (Daucus carota), kê (Eleusine coracana), đại mạch (Hordeum vulgaris), xà-lách (Lactuca sativa), cà chua (Lycopersicon esculentum), thuốc lá (Nicotiana tabacum), lúa (Oryza sativa), đậu ngự (Phaseolus spp.), đậu Hà-lan (Pisum sativum), lúa mì đen (Secale cereale), cao lương (Sorghum spp.), lúa mì (Triticum spp.), đậu răng ngựa (Vicia spp.), ngô (Zea mays)...
7.2.A. Xác định độ ẩm bằng máy đo độ ẩm
7.2.1.A. Hiệu chuẩn máy đo độ ẩm:
7.2.1.4.A. Thiết bị
(1) Nếu máy đo độ ẩm hiển thị trực tiếp độ ẩm, thì tên của loài cây trồng cũng phải được hiển thị một cách rõ ràng.
(2) Nếu máy đo độ ẩm không hiển thị trực tiếp độ ẩm, thì phải có bảng chuyển đổi đối với từng loài cây trồng.
Các yêu cầu liên quan đến khoảng chia (xem ở mục (3) và sai số cho phép tối đa (xem 7.2.1.6.3.) được áp dụng để đọc các kết quả độ ẩm ở bảng chuyển đổi và được thể hiện là tỷ lệ phần trăm chứ không phải là số đo đọc được ở trên máy đo độ ẩm.
(3) Khoảng chia phải đáp ứng sao cho độ ẩm có thể đọc được ít nhất tới một số lẻ.
(4) Phần thân của máy phải đủ chắc và được cấu tạo sao cho có thể bảo vệ được bộ phận chính của máy, tránh bụi và tránh ẩm.
7.2.1.5.A. Cách tiến hành
7.2.1.5.2.A. Mẫu phân tích
Hộp đựng mẫu phân tích được đổ đầy đến khoảng 2/3 dung tích của nó. Nếu hộp chứa đầy quá thì không thể trộn đều mẫu được. Nếu hộp chứa không đổ đủ mẫu thì có thể xảy ra sự trao đổi ẩm giữa hạt giống và không khí có ở trong hộp chứa, và điều này có thể gây ra sự thay đổi hàm lượng ẩm của mẫu vào thời gian trước khi thử nghiệm.
7.2.2.A. Xác định độ ẩm bằng máy đo độ ẩm
7.2.2.5.A. Cách tiến hành
Làm cân bằng nhiệt độ của mẫu
Khi nhiệt độ của mẫu rất sai khác so với nhiệt độ ở nơi đặt máy đo độ ẩm, thì sẽ dễ dẫn đến sự ngưng tụ nước. Do đó, trước khi đo độ ẩm, mẫu phải để cho đến khi cân bằng với nhiệt độ của phòng.
Môi trường tiến hành thử nghiệm
Môi trường thích hợp đối với các máy đo độ ẩm là nhiệt độ từ 15 đến 250 C và độ ẩm không khí từ 45 đến 75%.
PHỤ LỤC D
(Theo Điều lệ ISTA 2003)
THỬ NGHIỆM TÍNH KHÔNG ĐỒNG NHẤT Ở CÁC LÔ HẠT GIỐNG CHỨA TRONG NHIỀU LOẠI BAO CHỨA
1. Mục đích
Các chỉ tiêu chất lượng của lô hạt giống sẽ được kiểm tra và công bố dựa theo cách lấy mẫu được tiến hành theo các phương pháp qui định ở trong tiêu chuẩn này. Số lượng hạt giống của mẫu kiểm tra rất nhỏ so với khối lượng của lô hạt giống. Khi một chỉ tiêu chất lượng được báo cáo sẽ đại diện cho toàn bộ lô hạt giống, nghĩa là không có sự chênh lệch nào vượt quá sai số cho phép ở các phần khác nhau của lô hạt giống. Trong thực tế, tiêu chuẩn qui định việc lấy mẫu phải bị từ chối nếu người lấy mẫu nhận thấy có sự khác nhau rõ rệt giữa các bao chứa hoặc giữa các mẫu điểm. Trong những trường hợp nghi ngờ, có thể sử dụng các phương pháp được mô tả ở trong Phụ lục này.
Mục đích của việc thử nghiệm tính không đồng nhất là để khẳng định lô hạt giống không thể chấp nhận được về mặt kỹ thuật.
2. Tính không đồng nhất của lô hạt giống
Ngay cả khi lô hạt giống được chế biến cẩn thận thì cũng không thể có một lô hoàn toàn đồng nhất, và trong mọi trường hợp vẫn có thể có sự khác nhau ở từng bao chứa trong quá trình đóng bao và vận chuyển. Nếu lô hạt giống không đồng nhất, thì mẫu gửi dù được lấy theo đúng qui định cũng không thể đại diện cho lô hạt giống, bởi vậy, việc lấy mẫu của lô giống đó phải bị từ chối.
2.1. Tính không đồng nhất trong giới hạn cho phép
Tính không đồng nhất của lô hạt giống có thể do sự phân bố không đều, mặc dù nằm trong giới hạn cho phép về độ sạch, hạt khác loài, hạt khác giống hoặc nẩy mầm, thông qua các bao chứa được lấy mẫu ở lô hạt giống. Những trường hợp như thế gọi là tính không đồng nhất trong giới hạn cho phép.
2.2. Tính không đồng nhất ngoài giới hạn cho phép
Tính không đồng nhất cũng có thể do sự phân bố không đều của một chỉ tiêu được yêu cầu thử nghiệm vượt quá giới hạn cho phép, chẳng hạn trong trường hợp các phần nằm ở phía ngoài của lô hạt giống (các bao có chất lượng hoàn toàn khác hẳn) hoặc khi trộn hai hoặc nhiều lô có chất lượng hoàn toàn khác nhau để tạo thành một lô, nhưng không được trộn một cách hiệu quả. Những trường hợp như thế gọi là tính không đồng nhất ngoài giới hạn cho phép.
2.3. Cách áp dụng
Để phát hiện tính không đồng nhất trong giới hạn cho phép và ngoài giới hạn cho phép, cần áp dụng hai phương pháp thống kê xác suất.
Phép thử giá trị H dùng để phát hiện tính không đồng nhất trong giới hạn cho phép.
Phép thử giá trị R dùng để kiểm tra tính không đồng nhất ngoài giới hạn cho phép.
3. Phép thử giá trị-H
3.1. Giải thích các thuật ngữ và ký hiệu
Việc thử nghiệm tính không đồng nhất trong giới hạn cho phép của một chỉ tiêu được chọn là để so sánh sự khác nhau giữa phương sai thực tế và phương sai lý thuyết về chỉ tiêu đó. Các mẫu được lấy từ lô hạt giống là những mẫu lấy độc lập từ các bao chứa khác nhau. Việc kiểm tra các chỉ tiêu của mẫu cũng phải độc lập với nhau. Nếu chỉ có một nguồn thông tin đối với từng bao chứa thì cũng chưa thể nói lên tính không đồng nhất ở bên trong các bao chứa. Phải dựa vào một nguồn thông tin nữa, đó là phương sai lý thuyết được tính toán từ phân bố xác suất tương ứng (phân bố nhị thức đối với độ sạch và nẩy mầm, và phân bố Poison đối với hạt khác loài và hạt khác giống).
No. số lượng bao chứa của lô giống
N. số lượng các mẫu được lấy từ các bao chứa được chọn ngẫu nhiên
n. số lượng hạt giống ước lượng ở từng mẫu (chẳng hạn 1000 đối với độ sạch, 100 đối với nẩy mầm).
X. kết quả thử nghiệm ở các mẫu
ký hiệu tổng các giá trị
f hệ số nhân với phương sai lý thuyết để có phương sai được chấp nhận (Bảng B.1.)
|
| Giá trị trung bình của X |
|
| Phương sai có thể chấp nhận được về độ sạch hoặc nẩy mầm của các mẫu được thử nghiệm. |
|
| Phương sai có thể chấp nhận được về hạt khác loài hoặc hạt khác giống của các mẫu được thử nghiệm. |
|
| Phương sai thực tế của các mẫu dựa trên các giá trị của X liên quan tới chỉ tiêu thử nghiệm |
Giá trị H: 
Các giá trị H là số âm sẽ được báo cáo là 0.
Bảng D.1. Các hệ số được dùng để tính toán W và giá trị H cho các lô hạt giống
| Các chỉ tiêu kiểm tra | Hạt không có vỏ ráp | Hạt có vỏ ráp |
| Độ sạch | 1.1 | 1.2 |
| Hạt khác loài, hạt khác giống | 1.4 | 2.2 |
| Nẩy mầm | 1.1 | 1.2 |
Ghi chú:
- Đối với độ sạch và nẩy mầm, tính đến hai số lẻ nếu N nhỏ hơn 10 và đến ba số lể nếu N bằng hoặc lớn hơn 10.
- Đối với số lượng hạt khác loài và hạt khác giống, tính đến một số lẻ nếu N nhỏ hơn 10 và đến hai số lể nếu N bằng hoặc lớn hơn 10.
- Để xác định là hạt không có vỏ ráp hay hạt có vỏ ráp, xem danh mục các loài được nêu ở Bảng 2.1.A, Phụ lục Chương 2.
3.2. Lấy mẫu lô hạt giống
Số lượng mẫu cần lấy không được ít hơn qui định ở Bảng D.2.
Bảng D.2. Số lượng mẫu cần lấy và giá trị H cho phép tối đa
Số lượng mẫu cần lấy phụ thuộc vào số lượng bao chứa của lô hạt giống và giá trị H cho phép tối đa về tính không đồng nhất của lô hạt giống ở mức ý nghĩa xác suất 1%.
| Số lượng bao chứa của lô hạt giống (No) | Số lượng bao cần lấy mẫu (N) | Giá trị H cho phép tối đa đối với chỉ tiêu độ sạch và nẩy mầm | Giá trị H cho phép tối đa đối với chỉ tiêu hạt khác loài và hạt khác giống | ||
| Hạt không có vỏ ráp | Hạt có vỏ ráp | Hạt không có vỏ ráp | Hạt có vỏ ráp | ||
| 5 | 5 | 2.55 | 2.78 | 3.25 | 5.10 |
| 6 | 6 | 2.22 | 2.42 | 2.83 | 4.44 |
| 7 | 7 | 1.98 | 2.17 | 2.52 | 3.98 |
| 8 | 8 | 1.80 | 1.97 | 2.30 | 3.61 |
| 9 | 9 | 1.66 | 1.81 | 2.11 | 3.32 |
| 10 | 10 | 1.55 | 1.69 | 1.97 | 3.10 |
| 11-15 | 11 | 1.45 | 1.58 | 1.85 | 2.90 |
| 16-25 | 15 | 1.19 | 1.31 | 1.51 | 2.40 |
| 26-35 | 17 | 1.10 | 1.20 | 1.40 | 2.20 |
| 36-49 | 18 | 1.07 | 1.16 | 1.36 | 2.13 |
| 50 hoặc hơn | 20 | 0.99 | 1.09 | 1.26 | 2.00 |
Các bao chứa dùng để lấy mẫu được chọn một cách hoàn toàn ngẫu nhiên. Mẫu được lấy ra từ một bao phải đuợc lấy ở đỉnh, ở giữa và ở đáy bao. Khối lượng mẫu không được ít hơn một nửa khối lượng được nêu ở Bảng 1.A, cột 3.
3.3. Cách tiến hành thử nghiệm
Chỉ tiêu được chọn để kiểm tra tính không đồng nhất có thể là:
a) Tỷ lệ phần trăm khối lượng của một thành phần bất kỳ của phép thử độ sạch
b) Tỷ lệ phần trăm của một thành phần bất kỳ của phép thử nẩy mầm
c) Tổng số các hạt hoặc số hạt của một loài hoặc giống trong phép thử hạt khác loài hoặc hạt khác giống.
Trong phòng thí nghiệm, các mẫu phân tích sẽ được lấy ra ở từng mẫu và được thử nghiệm một cách độc lập về chỉ tiêu được chọn để kiểm tra.
a) Có thể sử dụng tỷ lệ phần trăm khối lượng của bất kỳ thành phần nào trong phép thử độ sạch-chẳng hạn hạt sạch, hạt khác loài hoặc tạp chất. Mẫu phân tích có khối lượng được tính toán đủ 1.000 hạt từ mỗi mẫu. Mỗi mẫu phân tích sẽ được tách thành hai phần: một phần được chọn và một phần còn lại.
b) Có thể sử dụng bất kỳ dạng hạt hoặc cây mầm có thể xác định được trong phép thử nẩy mầm-chẳng hạn các cây mầm bình thường, cây mầm không bình thường hoặc các hạt cứng, hạt sống, hạt chết. Từ mỗi mẫu, phép thử nẩy mầm của 100 hạt được tiến hành cùng lúc và thực hiện theo đúng các điều kiện nêu ở Bảng 5A.
c) Có thể đếm các hạt khác loài hoặc hạt khác giống của bất kỳ thành phần nào có thể đếm được-chẳng hạn hạt của một loài được chỉ định, hoặc tất cả các hạt khác loài, hạt khác giống. Mỗi mẫu phân tích phải có khối lượng tính toán để chứa khoảng 10 000 hạt và đếm số lượng hạt của một loài được chọn hoặc toàn bộ hạt khác loài, hạt khác giống.
3.4. Sử dụng Bảng D.2 và báo cáo kết quả
Bảng D.2 chỉ ra giá trị H với xác suất vượt quá giới hạn cho phép 1% ở các mẫu chọn từ lô hạt giống với sự phân bố chấp nhận được đối với chỉ tiêu kiểm tra. Nếu giá trị H tính toán vượt quá giới hạn cho phép, nghĩa là giá trị cho phép tối đa của N mẫu ở Bảng D.2, thì lô hạt giống coi là không đồng nhất ở mức có ý nghĩa và thuộc loại không đồng nhất nằm trong giới hạn cho phép, hoặc cũng có thể nằm ngoài giới hạn cho phép. Tuy nhiên, nếu giá trị H tính toán nhỏ hơn hoặc bằng giá trị cho phép tối đa ở trong Bảng D.2. thì lô hạt giống được coi là không có tính không đồng nhất trong giới hạn cho phép hoặc cũng có thể là ngoài giới hạn cho phép đối với chỉ tiêu được kiểm tra.
Các kết quả của phép thử tính không đồng nhất dựa trên giá trị H như sau:
“,
N, No, giá trị H tính toán và công bố “Giá trị H này chứng tỏ/không chứng tỏ tính không đồng nhất ở mức có ý nghĩa”.
Nếu
nằm ngoài các giới hạn sau đây thì giá trị H sẽ không cần phải tính toán hoặc không cần báo cáo:
Các thành phần của độ sạch Trên 99.8% hoặc dưới 0.2%
Tỷ lệ nẩy mầm Trên 99.0% hoặc dưới 1.0%
Số lượng hạt khác loài hoặc hạt khác giống Dưới 2/mẫu
4. Phép thử giá trị R
Mục đích của phép thử là phát hiện tính không đồng nhất ngoài giới hạn cho phép của lô hạt giống bằng cách dùng một chỉ tiêu để kiểm tra. Phép thử tính không đồng nhất ngoài giới hạn cho phép có liên quan đến việc so sánh sự sai khác tối đa nằm trong khoảng sai số cho phép ở các mẫu có khối lượng tương tự được lấy từ một lô hạt giống. Khoảng sai số cho phép này dựa vào độ lệch chuẩn được chấp nhận trong sản xuất.
Mỗi mẫu lấy từ một bao chứa khác nhau, sao cho tính không đồng nhất ở các bao không liên quan trực tiếp với nhau. Tuy nhiên, thông tin về tính không đồng nhất ở các bao được thể hiện ở bảng sai số cho phép. Độ lệch chuẩn chấp nhận được tính toán từ độ lệch chuẩn dựa trên sự biến thiên ngẫu nhiên theo phân bố nhị thức trong trường hợp của độ sạch và nẩy mầm và phân bố Poison trong trường hợp của hạt khác loài và hạt khác giống, nhân với căn bậc hai của hệ số f, Bảng B.1. Sự chênh lệch giữa các bao biểu thị bằng khoảng giới hạn được tính toán để so sánh với khoảng sai số cho phép tương ứng.
4.1. Giải thích các thuật ngữ và ký hiệu
No số lượng bao chứa của lô hạt giống
N số lượng mẫu lấy từ các bao chứa chọn ngẫu nhiên
n số lượng hạt giống ước lượng ở từng mẫu (1000 đối với độ sạch, 100 đối với nẩy mầm và 10.000 hạt đối với hạt khác loài hoặc hạt khác giống, xem 3.3.).
X kết quả thử nghiệm ở các mẫu
ký hiệu tổng các giá trị
|
| Giá trị trung bình của X |
| R = Xmax - Xmin | Khoảng chênh lệch tối đa giữa các mẫu được thử nghiệm. |
Ghi chú: Độ chính xác của X đối với phép thử giá trị R (xem 3.1-Ghi chú phép thử giá trị H).
4.2. Lấy mẫu lô hạt giống
Việc lấy mẫu đối với phép thử giá trị R cũng giống như đối với phép thử giá trị H (xem 3.2.), các mẫu phải có khối lượng như nhau.
4.3. Cách tiến hành thử nghiệm
Các cách tiến hành thử nghiệm độ sạch, nẩy mầm và hạt khác loài hoặc hạt khác giống đối với phép thử giá trị R cũng như đối với phép thử giá trị H (xem 3.3.). Đối với việc tính toán, phải sử dụng cùng một loại số liệu.
4.4. Sử dụng các bảng và báo cáo kết quả
Tính không đồng nhất ngoài giới hạn cho phép được xác định bằng cách dùng bảng sai số cho phép thích hợp, nghĩa là khoảng giới hạn cho phép tối đa.
Bảng D.3 dành cho các thành phần của phép thử độ sạch
Bảng D.4 dành cho các thành phần của phép thử nẩy mầm
Bảng D.5 dành cho các thành phần của phép thử hạt khác loài hoặc hạt khác giống.
Tìm giá trị X ở cột “Trung bình” của bảng thích hợp. Khi tra bảng, phải làm tròn các số liệu trung bình theo cách thông thường; đọc khoảng giới hạn cho phép với xác suất vượt quá giới hạn là 1% ở các mẫu được chọn từ lô hạt giống với sự phân bố được chấp nhận đối với chỉ tiêu kiểm tra.
- Ở cột 5-9 dành cho các trường hợp khi N = 5-9
- Ở cột 10-19 dành cho các trường hợp khi N = 10-19, hoặc
- Ở cột 20 là khi N = 20
Nếu giá trị R tính toán vượt quá khoảng giới hạn cho phép, thì lô hạt giống là không đồng nhất có ý nghĩa thuộc ngoài giới hạn cho phép. Nếu giá trị R tính toán bằng hoặc thấp hơn giá trị cho phép tối đa trong bảng thì lô hạt giống không có tính không đồng nhất thuộc loại ngoài giới hạn cho phép đối với chỉ tiêu đã được kiểm tra.
Các kết quả của phép thử giá trị R được báo cáo như sau:
“X, N, No, giá trị R đã được tính toán và công bố “Giá trị R này chứng tỏ/không chứng tỏ tính không đồng nhất ở mức có ý nghĩa”.
Khi sử dụng bảng, làm tròn các số liệu trung bình đến giá trị tiếp theo ở trong bảng (nếu ở giữa thì tra giá trị ở dưới).
5. Giải thích kết quả
Khi một trong hai phép thử, giá trị H hoặc giá trị R, cho thấy có tính không đồng nhất ở mức có ý nghĩa, thì lô hạt giống được coi là không đồng nhất. Tuy nhiên, nếu cả hai phép thử đều không chứng tỏ tính không đồng nhất ở mức có ý nghĩa, thì lô hạt giống sẽ được coi là không có tính không đồng nhất, tức là tính không đồng nhất chỉ ở mức không có ý nghĩa
Bảng D.3.A. Khoảng sai số cho phép tối đa đối với phép thử giá trị R ở mức xác suất có ý nghĩa 1% khi các thành phần của phép thử độ sạch của hạt không có vỏ ráp là chỉ tiêu kiểm tra.
| Tỷ lệ % trung bình của một thành phần và các phần còn lại của nó | Khoảng sai số cho phép theo số lượng mẫu (N) | Tỷ lệ % trung bình của một thành phần và các phần còn lại của nó | Khoảng sai số cho phép theo số lượng mẫu (N) | ||||||
| 5-9 | 10-19 | 20 | 5-9 | 10-19 | 20 | ||||
| 99.9 | 0.1 | 0.5 | 0.5 | 0.6 | 88.0 | 12.0 | 5.0 | 5.6 | 6.1 |
| 99.8 | 0.2 | 0.7 | 0.8 | 0.8 | 87.0 | 13.0 | 5.1 | 5.8 | 6.3 |
| 99.7 | 0.3 | 0.8 | 0.9 | 1.0 | 86.0 | 14.0 | 5.3 | 5.9 | 6.5 |
| 99.6 | 0.4 | 1.0 | 1.1 | 1.2 | 85.0 | 15.0 | 5.4 | 6.1 | 6.7 |
| 99.5 | 0.5 | 1.1 | 1.2 | 1.3 | 84.0 | 16.0 | 5.6 | 6.3 | 6.9 |
| 99.4 | 0.6 | 1.2 | 1.3 | 1.4 | 83.0 | 17.0 | 5.7 | 6.4 | 7.0 |
| 99.3 | 0.7 | 1.3 | 1.4 | 1.6 | 82.0 | 18.0 | 5.9 | 6.6 | 7.2 |
| 99.2 | 0.8 | 1.4 | 1.5 | 1.7 | 81.0 | 19.0 | 6.0 | 6.7 | 7.4 |
| 99.1 | 0.9 | 1.4 | 1.6 | 1.8 | 80.0 | 20.0 | 6.1 | 6.8 | 7.5 |
| 99.0 | 1.0 | 1.5 | 1.7 | 1.9 | 78.0 | 22.0 | 6.3 | 7.1 | 7.8 |
| 98.5 | 1.5 | 1.9 | 2.1 | 2.3 | 76.0 | 24.0 | 6.5 | 7.3 | 8.0 |
| 98.0 | 2.0 | 2.1 | 2.4 | 2.6 | 74.0 | 26.0 | 6.7 | 7.5 | 8.2 |
| 97.5 | 2.5 | 2.4 | 2.7 | 2.9 | 72.0 | 28.0 | 6.9 | 7.7 | 8.4 |
| 97.0 | 3.0 | 2.6 | 2.9 | 3.2 | 70.0 | 30.0 | 7.0 | 7.8 | 8.6 |
| 96.5 | 3.5 | 2.8 | 3.1 | 3.4 | 68.0 | 32.0 | 7.1 | 8.0 | 8.7 |
| 96.0 | 4.0 | 3.0 | 3.4 | 3.7 | 66.0 | 34.0 | 7.2 | 8.1 | 8.9 |
| 95.5 | 4.5 | 3.2 | 3.5 | 3.9 | 64.0 | 36.0 | 7.3 | 8.2 | 9.0 |
| 95.0 | 5.0 | 3.3 | 3.7 | 4.1 | 62.0 | 38.0 | 7.4 | 8.3 | 9.1 |
| 94.0 | 6.0 | 3.6 | 4.1 | 4.5 | 60.0 | 40.0 | 7.5 | 8.4 | 9.2 |
| 93.0 | 7.0 | 3.9 | 4.4 | 4.8 | 58.0 | 42.0 | 7.5 | 8.4 | 9.2 |
| 92.0 | 8.0 | 4.1 | 4.6 | 5.1 | 56.0 | 44.0 | 7.6 | 8.5 | 9.3 |
| 91.0 | 9.0 | 4.4 | 4.9 | 5.4 | 54.0 | 46.0 | 7.6 | 8.5 | 9.3 |
| 90.0 | 10.0 | 4.6 | 5.1 | 5.6 | 52.0 | 48.0 | 7.6 | 8.6 | 9.4 |
| 89.0 | 11.0 | 4.8 | 5.4 | 5.9 | 50.0 | 50.0 | 7.6 | 8.6 | 9.4 |
Bảng D.3.B. Khoảng sai số cho phép tối đa đối với phép thử giá trị R ở mức xác suất có ý nghĩa 1% khi các thành phần của phép thử độ sạch của hạt có vỏ ráp là chỉ tiêu kiểm tra.
| Tỷ lệ % trung bình của một thành phần và các phần còn lại của nó | Khoảng sai số cho phép theo số lượng mẫu (N) | Tỷ lệ % trung bình của một thành phần và các phần còn lại của nó | Khoảng sai số cho phép theo số lượng mẫu (N) | ||||||
| 5-9 | 10-19 | 20 | 5-9 | 10-19 | 20 | ||||
| 99.9 | 0.1 | 0.5 | 0.6 | 0.6 | 88.0 | 12.0 | 5.2 | 5.8 | 6.4 |
| 99.8 | 0.2 | 0.7 | 0.8 | 0.9 | 87.0 | 13.0 | 5.4 | 6.0 | 6.6 |
| 99.7 | 0.3 | 0.9 | 1.0 | 1.1 | 86.0 | 14.0 | 5.5 | 6.2 | 6.8 |
| 99.6 | 0.4 | 1.0 | 1.1 | 1.2 | 85.0 | 15.0 | 5.7 | 6.4 | 7.0 |
| 99.5 | 0.5 | 1.1 | 1.3 | 1.4 | 84.0 | 16.0 | 5.8 | 6.6 | 7.2 |
| 99.4 | 0.6 | 1.2 | 1.4 | 1.5 | 83.0 | 17.0 | 6.0 | 6.7 | 7.4 |
| 99.3 | 0.7 | 1.3 | 1.5 | 1.6 | 82.0 | 18.0 | 6.1 | 6.9 | 7.5 |
| 99.2 | 0.8 | 1.4 | 1.6 | 1.7 | 81.0 | 19.0 | 6.3 | 7.0 | 7.7 |
| 99.1 | 0.9 | 1.5 | 1.7 | 1.8 | 80.0 | 20.0 | 6.4 | 7.1 | 7.8 |
| 99.0 | 1.0 | 1.6 | 1.8 | 1.9 | 78.0 | 22.0 | 6.6 | 7.4 | 8.1 |
| 98.5 | 1.5 | 1.9 | 2.2 | 2.4 | 76.0 | 24.0 | 6.8 | 7.6 | 8.4 |
| 98.0 | 2.0 | 2.2 | 2.5 | 2.7 | 74.0 | 26.0 | 7.0 | 7.8 | 8.6 |
| 97.5 | 2.5 | 2.5 | 2.8 | 3.1 | 72.0 | 28.0 | 7.2 | 8.0 | 8.8 |
| 97.0 | 3.0 | 2.7 | 3.0 | 3.3 | 70.0 | 30.0 | 7.3 | 8.2 | 9.0 |
| 96.5 | 3.5 | 2.9 | 3.3 | 3.6 | 68.0 | 32.0 | 7.4 | 8.3 | 9.1 |
| 96.0 | 4.0 | 3.1 | 3.5 | 3.8 | 66.0 | 34.0 | 7.5 | 8.5 | 9.3 |
| 95.5 | 4.5 | 3.3 | 3.7 | 4.1 | 64.0 | 36.0 | 7.6 | 8.6 | 9.4 |
| 95.0 | 5.0 | 3.5 | 3.9 | 4.3 | 62.0 | 38.0 | 7.7 | 8.7 | 9.5 |
| 94.0 | 6.0 | 3.8 | 4.2 | 4.6 | 60.0 | 40.0 | 7.8 | 8.8 | 9.6 |
| 93.0 | 7.0 | 4.1 | 4.6 | 5.0 | 58.0 | 42.0 | 7.9 | 8.8 | 9.7 |
| 92.0 | 8.0 | 4.3 | 4.8 | 5.3 | 56.0 | 44.0 | 7.9 | 8.9 | 9.7 |
| 91.0 | 9.0 | 4.6 | 5.1 | 5.6 | 54.0 | 46.0 | 7.9 | 8.9 | 9.8 |
| 90.0 | 10.0 | 4.8 | 5.4 | 5.9 | 52.0 | 48.0 | 8.0 | 8.9 | 9.8 |
| 89.0 | 11.0 | 5.0 | 5.6 | 6.1 | 50.0 | 50.0 | 8.0 | 8.9 | 9.8 |
Bảng D.4.A. Khoảng sai số cho phép tối đa đối với phép thử giá trị R ở mức xác suất có ý nghĩa 1% khi các thành phần của phép thử nẩy mầm của hạt không có vỏ ráp là chỉ tiêu kiểm tra.
| Tỷ lệ % trung bình của một thành phần và các phần còn lại của nó | Khoảng sai số cho phép theo số lượng mẫu (N) | Tỷ lệ % trung bình của một thành phần và các phần còn lại của nó | Khoảng sai số cho phép theo số lượng mẫu (N) | ||||||
| 5-9 | 10-19 | 20 | 5-9 | 10-19 | 20 | ||||
| 99 | 1 | 5 | 6 | 6 | 74 | 26 | 22 | 24 | 26 |
| 98 | 2 | 7 | 8 | 9 | 73 | 27 | 22 | 25 | 27 |
| 97 | 3 | 9 | 10 | 11 | 72 | 28 | 22 | 25 | 27 |
| 96 | 4 | 10 | 11 | 12 | 71 | 29 | 22 | 25 | 27 |
| 95 | 5 | 11 | 12 | 13 | 70 | 30 | 23 | 25 | 28 |
| 94 | 6 | 12 | 13 | 15 | 69 | 31 | 23 | 26 | 28 |
| 93 | 7 | 13 | 14 | 16 | 68 | 32 | 23 | 26 | 28 |
| 92 | 8 | 14 | 15 | 17 | 67 | 33 | 23 | 26 | 28 |
| 91 | 9 | 14 | 16 | 17 | 66 | 34 | 23 | 26 | 29 |
| 90 | 10 | 15 | 17 | 18 | 65 | 35 | 24 | 26 | 29 |
| 89 | 11 | 16 | 17 | 19 | 64 | 36 | 24 | 26 | 29 |
| 88 | 12 | 16 | 18 | 20 | 63 | 37 | 24 | 27 | 29 |
| 87 | 13 | 17 | 19 | 20 | 62 | 38 | 24 | 27 | 29 |
| 86 | 14 | 7 | 19 | 21 | 61 | 39 | 24 | 27 | 29 |
| 85 | 15 | 18 | 20 | 22 | 60 | 40 | 24 | 27 | 30 |
| 84 | 16 | 18 | 20 | 22 | 59 | 41 | 24 | 27 | 30 |
| 83 | 17 | 19 | 21 | 23 | 58 | 42 | 24 | 27 | 30 |
| 82 | 18 | 19 | 21 | 23 | 57 | 43 | 24 | 27 | 30 |
| 81 | 19 | 19 | 22 | 24 | 56 | 44 | 24 | 27 | 30 |
| 80 | 20 | 20 | 22 | 24 | 55 | 45 | 25 | 27 | 30 |
| 79 | 21 | 20 | 23 | 25 | 54 | 46 | 25 | 27 | 30 |
| 78 | 22 | 20 | 23 | 25 | 53 | 47 | 25 | 28 | 30 |
| 77 | 23 | 21 | 23 | 25 | 52 | 48 | 25 | 28 | 30 |
| 76 | 24 | 21 | 24 | 26 | 51 | 49 | 25 | 28 | 30 |
| 75 | 25 | 21 | 24 | 26 | 50 | 50 | 25 | 28 | 30 |
Bảng D.4.B. Khoảng sai số cho phép tối đa đối với phép thử giá trị R ở mức xác suất có ý nghĩa 1% khi các thành phần của phép thử nẩy mầm của hạt có vỏ ráp là chỉ tiêu kiểm tra.
| Tỷ lệ % trung bình của một thành phần và các phần còn lại của nó | Khoảng sai số cho phép theo số lượng mẫu (N) | Tỷ lệ % trung bình của một thành phần và các phần còn lại của nó | Khoảng sai số cho phép theo số lượng mẫu (N) | ||||||
| 5-9 | 10-19 | 20 | 5-9 | 10-19 | 20 | ||||
| 99 | 1 | 6 | 6 | 7 | 74 | 26 | 23 | 25 | 2 |
| 98 | 2 | 8 | 8 | 9 | 73 | 27 | 23 | 26 | 28 |
| 97 | 3 | 9 | 10 | 11 | 72 | 28 | 23 | 26 | 28 |
| 96 | 4 | 10 | 12 | 13 | 71 | 29 | 23 | 26 | 29 |
| 95 | 5 | 11 | 13 | 14 | 70 | 30 | 24 | 26 | 29 |
| 94 | 6 | 12 | 14 | 15 | 69 | 31 | 24 | 27 | 29 |
| 93 | 7 | 13 | 15 | 16 | 68 | 32 | 24 | 27 | 29 |
| 92 | 8 | 14 | 16 | 17 | 67 | 33 | 24 | 27 | 30 |
| 91 | 9 | 15 | 17 | 18 | 66 | 34 | 24 | 27 | 30 |
| 90 | 10 | 16 | 17 | 19 | 65 | 35 | 25 | 27 | 30 |
| 89 | 11 | 16 | 18 | 20 | 64 | 36 | 25 | 28 | 30 |
| 88 | 12 | 17 | 19 | 21 | 63 | 37 | 25 | 28 | 30 |
| 87 | 13 | 17 | 20 | 21 | 62 | 38 | 25 | 28 | 31 |
| 86 | 14 | 18 | 20 | 22 | 61 | 39 | 25 | 28 | 31 |
| 85 | 15 | 18 | 21 | 23 | 60 | 40 | 25 | 28 | 31 |
| 84 | 16 | 19 | 21 | 23 | 59 | 41 | 25 | 28 | 31 |
| 83 | 17 | 19 | 22 | 24 | 58 | 42 | 25 | 28 | 31 |
| 82 | 18 | 20 | 22 | 24 | 57 | 43 | 25 | 28 | 31 |
| 81 | 19 | 20 | 23 | 25 | 56 | 44 | 26 | 29 | 31 |
| 80 | 20 | 21 | 23 | 25 | 55 | 45 | 26 | 29 | 31 |
| 79 | 21 | 21 | 24 | 26 | 54 | 46 | 26 | 29 | 31 |
| 78 | 22 | 21 | 24 | 26 | 53 | 47 | 26 | 29 | 31 |
| 77 | 23 | 22 | 24 | 27 | 52 | 48 | 26 | 29 | 31 |
| 76 | 24 | 22 | 25 | 27 | 51 | 49 | 26 | 29 | 31 |
| 75 | 25 | 22 | 25 | 27 | 50 | 50 | 26 | 29 | 31 |
Bảng D.5.A. Khoảng sai số cho phép tối đa đối với phép thử giá trị R ở mức xác suất có ý nghĩa 1% khi các thành phần của phép thử hạt khác loài hoặc hạt khác giống của hạt không có vỏ ráp là chỉ tiêu kiểm tra.
| Số lượng trung bình các hạt khác loài hoặc hạt khác giống | Khoảng sai số cho phép theo số lượng mẫu (N) | Số lượng trung bình các hạt khác loài hoặc hạt khác giống | Khoảng sai số cho phép theo số lượng mẫu (N) | Số lượng trung bình các hạt khác loài hoặc hạt khác giống | Khoảng sai số cho phép theo số lượng mẫu (N) | ||||||
| 5-9 | 10-19 | 20 | 5-9 | 10-19 | 20 | 5-9 | 10-19 | 20 | |||
| 1 | 6 | 7 | 7 | 47 | 38 | 42 | 46 | 93 | 53 | 59 | 65 |
| 2 | 8 | 9 | 10 | 48 | 38 | 43 | 47 | 94 | 53 | 60 | 65 |
| 3 | 10 | 11 | 12 | 49 | 39 | 43 | 47 | 95 | 54 | 60 | 66 |
| 4 | 11 | 13 | 14 | 50 | 39 | 44 | 48 | 96 | 54 | 60 | 66 |
| 5 | 13 | 14 | 15 | 51 | 39 | 44 | 48 | 97 | 54 | 61 | 66 |
| 6 | 14 | 15 | 17 | 52 | 40 | 45 | 49 | 98 | 54 | 61 | 67 |
| 7 | 15 | 17 | 18 | 53 | 40 | 45 | 49 | 99 | 55 | 61 | 67 |
| 8 | 16 | 18 | 19 | 54 | 40 | 45 | 50 | 100 | 55 | 62 | 67 |
| 9 | 17 | 19 | 21 | 55 | 41 | 46 | 50 | 101 | 55 | 62 | 68 |
| 10 | 18 | 20 | 22 | 56 | 41 | 46 | 51 | 102 | 55 | 62 | 68 |
| 11 | 19 | 21 | 23 | 57 | 42 | 47 | 51 | 103 | 56 | 62 | 68 |
| 12 | 19 | 22 | 24 | 58 | 42 | 47 | 51 | 104 | 56 | 63 | 69 |
| 13 | 2 | 23 | 25 | 59 | 42 | 47 | 52 | 105 | 56 | 63 | 69 |
| 14 | 21 | 23 | 26 | 60 | 43 | 48 | 52 | 106 | 57 | 63 | 69 |
| 15 | 22 | 24 | 26 | 61 | 43 | 48 | 53 | 107 | 57 | 64 | 70 |
| 16 | 22 | 25 | 27 | 62 | 43 | 49 | 53 | 108 | 57 | 64 | 70 |
| 17 | 23 | 26 | 28 | 63 | 44 | 49 | 54 | 109 | 57 | 64 | 70 |
| 18 | 24 | 26 | 29 | 64 | 44 | 49 | 54 | 110 | 58 | 65 | 71 |
| 19 | 24 | 27 | 30 | 65 | 44 | 50 | 54 | 111 | 58 | 65 | 71 |
| 20 | 25 | 28 | 30 | 66 | 45 | 50 | 55 | 112 | 58 | 65 | 71 |
| 21 | 25 | 28 | 31 | 67 | 45 | 50 | 55 | 113 | 58 | 65 | 72 |
| 22 | 26 | 29 | 32 | 68 | 45 | 51 | 56 | 114 | 59 | 66 | 72 |
| 23 | 27 | 30 | 33 | 69 | 46 | 51 | 56 | 115 | 59 | 66 | 72 |
| 24 | 27 | 30 | 33 | 70 | 46 | 52 | 56 | 116 | 59 | 66 | 73 |
| 25 | 28 | 31 | 34 | 71 | 46 | 52 | 57 | 117 | 59 | 67 | 73 |
| 26 | 28 | 32 | 35 | 72 | 47 | 52 | 57 | 118 | 60 | 67 | 73 |
| 27 | 29 | 32 | 35 | 73 | 47 | 53 | 58 | 119 | 60 | 67 | 73 |
| 28 | 29 | 33 | 36 | 74 | 47 | 53 | 58 | 120 | 60 | 67 | 74 |
| 29 | 30 | 33 | 37 | 75 | 48 | 53 | 58 | 121 | 60 | 68 | 74 |
| 30 | 30 | 34 | 37 | 76 | 48 | 54 | 59 | 122 | 61 | 68 | 74 |
| 31 | 31 | 34 | 38 | 77 | 48 | 54 | 59 | 123 | 61 | 68 | 75 |
| 32 | 31 | 35 | 38 | 78 | 49 | 54 | 60 | 124 | 61 | 68 | 75 |
| 33 | 32 | 36 | 39 | 79 | 49 | 55 | 60 | 125 | 61 | 69 | 75 |
| 34 | 32 | 36 | 39 | 80 | 49 | 55 | 60 | 126 | 62 | 69 | 76 |
| 35 | 33 | 37 | 40 | 81 | 49 | 55 | 61 | 127 | 62 | 69 | 76 |
| 36 | 33 | 37 | 41 | 82 | 50 | 56 | 61 | 128 | 62 | 70 | 76 |
| 37 | 34 | 38 | 41 | 83 | 50 | 56 | 61 | 129 | 62 | 70 | 76 |
| 38 | 34 | 38 | 42 | 84 | 50 | 56 | 62 | 130 | 63 | 70 | 77 |
| 39 | 34 | 39 | 42 | 85 | 51 | 57 | 62 | 131 | 63 | 70 | 77 |
| 40 | 35 | 39 | 43 | 86 | 51 | 57 | 62 | 132 | 63 | 71 | 77 |
| 41 | 3 | 40 | 43 | 87 | 51 | 57 | 63 | 133 | 63 | 71 | 78 |
| 42 | 36 | 40 | 44 | 88 | 52 | 58 | 63 | 134 | 64 | 71 | 78 |
| 43 | 36 | 41 | 44 | 89 | 52 | 58 | 64 | 135 | 64 | 71 | 78 |
| 44 | 37 | 41 | 45 | 90 | 52 | 58 | 64 | 136 | 64 | 72 | 78 |
| 45 | 37 | 41 | 45 | 91 | 52 | 59 | 64 | 137 | 64 | 72 | 79 |
| 46 | 37 | 42 | 46 | 92 | 53 | 59 | 65 | 138 | 64 | 72 | 79 |
Bảng D.5.B. Khoảng sai số cho phép tối đa đối với phép thử giá trị R ở mức xác suất có ý nghĩa 1% khi các thành phần của phép thử hạt khác loài hoặc hạt khác giống của hạt có vỏ ráp là chỉ tiêu kiểm tra.
| Số lượng trung bình các hạt khác loài hoặc hạt khác giống | Khoảng sai số cho phép theo số lượng mẫu (N) | Số lượng trung bình các hạt khác loài hoặc hạt khác giống | Khoảng sai số cho phép theo số lượng mẫu (N) | Số lượng trung bình các hạt khác loài hoặc hạt khác giống | Khoảng sai số cho phép theo số lượng mẫu (N) | ||||||
| 5-9 | 10-19 | 20 | 5-9 | 10-19 | 20 | 5-9 | 10-19 | 20 | |||
| 1 | 7 | 8 | 9 | 47 | 47 | 53 | 58 | 93 | 66 | 74 | 81 |
| 2 | 10 | 11 | 12 | 48 | 48 | 54 | 59 | 94 | 67 | 75 | 82 |
| 3 | 12 | 14 | 15 | 49 | 48 | 54 | 59 | 95 | 67 | 75 | 82 |
| 4 | 14 | 16 | 17 | 50 | 49 | 55 | 60 | 96 | 67 | 75 | 83 |
| 5 | 16 | 18 | 19 | 51 | 49 | 55 | 60 | 97 | 68 | 76 | 83 |
| 6 | 17 | 19 | 21 | 52 | 50 | 56 | 61 | 98 | 68 | 76 | 83 |
| 7 | 19 | 21 | 23 | 53 | 50 | 56 | 62 | 99 | 68 | 77 | 84 |
| 8 | 20 | 22 | 24 | 54 | 51 | 57 | 62 | 100 | 69 | 77 | 84 |
| 9 | 21 | 23 | 26 | 55 | 51 | 57 | 63 | 101 | 69 | 77 | 85 |
| 10 | 22 | 25 | 27 | 56 | 52 | 58 | 63 | 102 | 69 | 78 | 85 |
| 11 | 23 | 26 | 28 | 57 | 52 | 58 | 64 | 103 | 70 | 78 | 86 |
| 12 | 24 | 27 | 30 | 58 | 52 | 59 | 64 | 104 | 70 | 79 | 86 |
| 13 | 25 | 28 | 31 | 59 | 53 | 59 | 65 | 105 | 70 | 79 | 86 |
| 14 | 26 | 29 | 32 | 60 | 53 | 60 | 65 | 106 | 71 | 79 | 87 |
| 15 | 27 | 30 | 33 | 61 | 54 | 60 | 66 | 107 | 71 | 80 | 87 |
| 16 | 28 | 31 | 34 | 62 | 54 | 61 | 66 | 108 | 71 | 80 | 88 |
| 17 | 29 | 32 | 35 | 63 | 55 | 61 | 67 | 109 | 72 | 80 | 88 |
| 18 | 29 | 33 | 36 | 64 | 55 | 62 | 68 | 110 | 72 | 81 | 88 |
| 19 | 30 | 34 | 37 | 65 | 56 | 62 | 68 | 111 | 72 | 81 | 89 |
| 20 | 31 | 35 | 38 | 66 | 56 | 63 | 69 | 112 | 73 | 81 | 89 |
| 21 | 32 | 36 | 39 | 67 | 56 | 63 | 69 | 113 | 73 | 82 | 90 |
| 22 | 33 | 36 | 40 | 68 | 57 | 64 | 70 | 114 | 73 | 82 | 90 |
| 23 | 33 | 37 | 41 | 69 | 57 | 64 | 70 | 115 | 74 | 83 | 90 |
| 24 | 34 | 38 | 42 | 70 | 58 | 65 | 71 | 116 | 74 | 83 | 91 |
| 25 | 35 | 39 | 42 | 71 | 58 | 65 | 71 | 117 | 74 | 83 | 91 |
| 26 | 35 | 40 | 43 | 72 | 58 | 65 | 72 | 118 | 75 | 84 | 92 |
| 27 | 36 | 40 | 44 | 73 | 59 | 66 | 72 | 119 | 75 | 84 | 92 |
| 28 | 37 | 41 | 45 | 74 | 59 | 66 | 73 | 120 | 75 | 84 | 92 |
| 29 | 37 | 42 | 46 | 75 | 60 | 67 | 73 | 121 | 76 | 85 | 93 |
| 30 | 38 | 42 | 46 | 76 | 60 | 67 | 74 | 122 | 76 | 85 | 93 |
| 31 | 38 | 43 | 47 | 77 | 60 | 68 | 74 | 123 | 76 | 85 | 93 |
| 32 | 39 | 44 | 48 | 78 | 61 | 68 | 75 | 124 | 76 | 86 | 94 |
| 33 | 40 | 44 | 49 | 79 | 61 | 69 | 75 | 125 | 77 | 86 | 94 |
| 34 | 40 | 45 | 49 | 80 | 62 | 69 | 75 | 126 | 77 | 86 | 95 |
| 35 | 41 | 46 | 50 | 81 | 62 | 69 | 76 | 127 | 77 | 87 | 95 |
| 36 | 41 | 46 | 51 | 82 | 62 | 70 | 76 | 128 | 78 | 87 | 95 |
| 37 | 42 | 47 | 51 | 83 | 63 | 70 | 77 | 129 | 78 | 87 | 96 |
| 38 | 43 | 48 | 52 | 84 | 63 | 71 | 77 | 130 | 78 | 88 | 96 |
| 39 | 43 | 48 | 53 | 85 | 63 | 71 | 78 | 131 | 79 | 88 | 96 |
| 40 | 44 | 49 | 54 | 86 | 64 | 71 | 78 | 132 | 79 | 88 | 97 |
| 41 | 44 | 50 | 54 | 87 | 64 | 72 | 79 | 133 | 79 | 89 | 97 |
| 42 | 45 | 50 | 55 | 88 | 65 | 72 | 79 | 134 | 79 | 89 | 98 |
| 43 | 45 | 51 | 55 | 89 | 65 | 73 | 80 | 135 | 80 | 89 | 98 |
| 44 | 46 | 51 | 56 | 90 | 65 | 73 | 80 | 136 | 80 | 90 | 98 |
| 45 | 46 | 52 | 57 | 91 | 66 | 74 | 80 | 137 | 80 | 90 | 99 |
| 46 | 47 | 52 | 57 | 92 | 66 | 74 | 81 | 138 | 81 | 90 | 99 |
Bạn chưa Đăng nhập thành viên.
Đây là tiện ích dành cho tài khoản thành viên. Vui lòng Đăng nhập để xem chi tiết. Nếu chưa có tài khoản, vui lòng Đăng ký tại đây!








