- Tổng quan
- Nội dung
- VB gốc
- Tiếng Anh
- Hiệu lực
- VB liên quan
- Lược đồ
-
Nội dung hợp nhất
Tính năng này chỉ có tại LuatVietnam.vn. Nội dung hợp nhất tổng hợp lại tất cả các quy định còn hiệu lực của văn bản gốc và các văn bản sửa đổi, bổ sung, đính chính... trên một trang. Việc hợp nhất văn bản gốc và những văn bản, Thông tư, Nghị định hướng dẫn khác không làm thay đổi thứ tự điều khoản, nội dung.
Khách hàng chỉ cần xem Nội dung hợp nhất là có thể nắm bắt toàn bộ quy định hiện hành đang áp dụng, cho dù văn bản gốc đã qua nhiều lần chỉnh sửa, bổ sung.
- Tải về
Thông tư 11/2020/TT-BNNPTNT định mức hoạt động quy hoạch thủy lợi
| Cơ quan ban hành: | Bộ Nông nghiệp và Phát triển nông thôn |
Số công báo:
Số công báo là mã số ấn phẩm được đăng chính thức trên ấn phẩm thông tin của Nhà nước. Mã số này do Chính phủ thống nhất quản lý.
|
Đã biết
|
| Số hiệu: | 11/2020/TT-BNNPTNT | Ngày đăng công báo: |
Đã biết
|
| Loại văn bản: | Thông tư | Người ký: | Nguyễn Hoàng Hiệp |
|
Ngày ban hành:
Ngày ban hành là ngày, tháng, năm văn bản được thông qua hoặc ký ban hành.
|
27/10/2020 |
Ngày hết hiệu lực:
Ngày hết hiệu lực là ngày, tháng, năm văn bản chính thức không còn hiệu lực (áp dụng).
|
Đang cập nhật |
|
Áp dụng:
Ngày áp dụng là ngày, tháng, năm văn bản chính thức có hiệu lực (áp dụng).
|
Đã biết
|
Tình trạng hiệu lực:
Cho biết trạng thái hiệu lực của văn bản đang tra cứu: Chưa áp dụng, Còn hiệu lực, Hết hiệu lực, Hết hiệu lực 1 phần; Đã sửa đổi, Đính chính hay Không còn phù hợp,...
|
Đã biết
|
| Lĩnh vực: | Nông nghiệp-Lâm nghiệp |
TÓM TẮT THÔNG TƯ 11/2020/TT-BNNPTNT
Ngày 27/10/2020, Bộ Nông nghiệp và Phát triển nông thôn đã ra Thông tư 11/2020/TT-BNNPTNT về việc ban hành Quy định kỹ thuật và định mức kinh tế - kỹ thuật cho hoạt động quy hoạch thủy lợi và điều tra cơ bản thủy lợi.
Cụ thể, điều kiện chuẩn cho công việc khảo sát, đo đạc đó là: Đập, hồ chứa có chiều cao nhỏ hơn 10 m hoặc dung tích toàn bộ nhỏ hơn 500.000 m3; Trạm bơm có tổng lưu lượng nhỏ hơn 3.600 m3 /h; Cống có tổng chiều rộng thoát nước nhỏ hơn 10 m đối với cống thuộc vùng Đồng bằng sông Cửu Long, nhỏ hơn 5 m đối với các vùng còn lại; Đường ống dẫn nước có lưu lượng nhỏ hơn 0,25 m3 /s hoặc đường kính ống nhỏ hơn 500 mm;…
Bên cạnh đó, Bộ Nông nghiệp và Phát triển nông thôn cũng quy định yêu cầu đo mặn, trong đó: Điểm đo phải mang tính đặc trưng, đại diện cho khu vực và được phân bố theo không gian bảo đảm phân tích, xác định được ranh giới mặn xâm nhập. Tại vị trí lấy nước của trạm bơm, cống, hệ thống dẫn, chuyển nước và công trình cấp nước tập trung nông thôn từ sông, kênh, mương; tại vị trí hợp lưu và phân lưu của sông, kênh, mương; tại vị trí cửa sông. Khoảng cách giữa các mặt cắt đo độ mặn tính từ cửa sông tối thiểu 5 km.
Thông tư này có hiệu lực từ 15/12/2020.
Xem chi tiết Thông tư 11/2020/TT-BNNPTNT có hiệu lực kể từ ngày 15/12/2020
Tải Thông tư 11/2020/TT-BNNPTNT
|
BỘ NÔNG NGHIỆP VÀ PHÁT TRIỂN NÔNG THÔN ________ Số: 11/2020/TT-BNNPTNT |
CỘNG HÒA XÃ HỘI CHỦ NGHĨA VIỆT NAM Độc lập - Tự do - Hạnh phúc _________________________ Hà Nội, ngày 27 tháng 10 năm 2020 |
THÔNG TƯ
Ban hành Quy định kỹ thuật và định mức kinh tế - kỹ thuật cho hoạt động quy hoạch thủy lợi và điều tra cơ bản thủy lợi
_______________
Căn cứ Luật Thủy lợi ngày 19 tháng 6 năm 2017;
Căn cứ Luật Sửa đổi, bổ sung một số điều của 37 Luật có liên quan đến quy hoạch ngày 20 tháng 11 năm 2018;
Căn cứ Nghị định số 15/2017/NĐ-CP ngày 17 tháng 02 năm 2017 của Chính phủ quy định chức năng, nhiệm vụ, quyền hạn và cơ cấu tổ chức của Bộ Nông nghiệp và Phát triển nông thôn;
Căn cứ Nghị định số 53/2019/NĐ-CP ngày 17 tháng 6 năm 2019 quy định chi tiết việc lập, thẩm định, phê duyệt và điều chỉnh quy hoạch thủy lợi; đê điều; phòng, chống lũ của tuyến sông có đê;
Theo đề nghị của Tổng cục trưởng Tổng cục Thủy lợi;
Bộ trưởng Bộ Nông nghiệp và Phát triển nông thôn ban hành Thông tư Quy định kỹ thuật và Định mức kinh tế - kỹ thuật cho hoạt động quy hoạch thủy lợi và điều tra cở bản thủy lợi.
Điều 1. Phạm vi điều chỉnh
Thông tư này quy định kỹ thuật và định mức kinh tế - kỹ thuật cho hoạt động quy hoạch thủy lợi và điều tra cơ bản thủy lợi, bao gồm các nội dung sau:
1. Quy hoạch thủy lợi
a) Lập quy hoạch và rà soát, điều chỉnh quy hoạch thủy lợi lưu vực sông liên tỉnh;
b) Lập quy hoạch và rà soát, điều chỉnh quy hoạch thủy lợi của hệ thống công trình thủy lợi liên quan từ 02 tỉnh trở lên.
2. Điều tra cơ bản thủy lợi
a) Điều tra hiện trạng số lượng, chất lượng và năng lực phục vụ của công trình thủy lợi; nhu cầu sử dụng sản phẩm, dịch vụ thủy lợi;
b) Điều tra hiện trạng cơ cấu tổ chức; cơ chế chính sách trong hoạt động thủy lợi;
c) Điều tra, đánh giá tác động của công trình thủy lợi đến môi trường và đời sống của người dân;
d) Điều tra, thu thập thông tin quan trắc, giám sát về số lượng, chất lượng nước, hạn hán, thiếu nước, xâm nhập mặn, sa mạc hóa, lũ, ngập lụt, úng, bồi lắng, xói lở công trình thủy lợi, bờ sông, bờ biển phục vụ hoạt động thủy lợi.
Điều 2. Đối tượng áp dụng
Thông tư này áp dụng đối với cơ quan quản lý nhà nước, đơn vị sự nghiệp, các tổ chức, cá nhân có liên quan đến công tác quy hoạch thủy lợi và điều tra cơ bản thủy lợi.
Điều 3. Quy định kỹ thuật và định mức kinh tế - kỹ thuật cho hoạt động quy hoạch thủy lợi
Quy định kỹ thuật và định mức kinh tế - kỹ thuật cho hoạt động thủy lợi được quy định tại Phụ lục I kèm theo Thông tư này.
Điều 4. Quy định kỹ thuật và định mức kinh tế - kỹ thuật cho hoạt động điều tra cơ bản thủy lợi
Quy định kỹ thuật và định mức kinh tế - kỹ thuật cho hoạt động điều tra cơ bản thủy lợi được quy định tại Phụ lục II kèm theo Thông tư này.
Điều 5. Hiệu lực thi hành
Thông tư này có hiệu lực thi hành kể từ ngay 15 tháng 12 năm 2020.
Điều 6. Tổ chức thực hiện
1. Thủ trưởng các đơn vị trực thuộc Bộ Nông nghiệp và Phát triển nông thôn và các cơ quan, tổ chức, cá nhân có liên quan chịu trách nhiệm thi hành Thông tư này.
2. Trong quá trình thực hiện, nếu có khó khăn, vướng mắc đề nghị phản ánh kịp thời về Bộ Nông nghiệp và Phát triển nông thôn để nghiên cứu, sửa đổi, bổ sung cho phù hợp./.
|
Nơi nhận: - Văn phòng Quốc hội; - Văn phòng Chủ tịch nước; - Văn phòng Chính phủ; - Cơ quan TW các đoàn thể; - Các Bộ, cơ quan ngang Bộ, cơ quan thuộc Chính phủ; - UBND, HĐND các tỉnh, TP trực thuộc TW; - Sở NN và PTNT các tỉnh, TP trực thuộc TW; - Bộ trưởng Nguyễn Xuân Cường; - Các Thứ trưởng; - Cục kiểm tra văn bản (Bộ Tư pháp); - Công báo, Cổng thông tin điện tử CP; - Website Bộ Nông nghiệp và Phát triển nông thôn; - Các đơn vị trực thuộc Bộ Nông nghiệp và Phát triển nông thôn; - Các Chi cục Thủy lợi, Công ty KTCTTL; - Lưu: VT, TCTL (350b). |
KT. BỘ TRƯỞNG THỨ TRƯỞNG
Nguyễn Hoàng Hiệp |
Phụ lục I
QUY ĐỊNH KỸ THUẬT VÀ ĐỊNH MỨC KINH TẾ - KỸ THUẬT CHO HOẠT ĐỘNG LẬP QUY HOẠCH THỦY LỢI
(Kèm theo Thông tư số 11/2020/TT-BNNPTNT ngày 27 tháng 10 năm 2020 của Bộ Nông nghiệp và Phát triển nông thôn)
Chương I
QUY ĐỊNH CHUNG
I.1. Cơ sở xây dựng định mức kinh tế - kỹ thuật
- Luật Thủy lợi ngày 19 tháng 6 năm 2017;
- Luật Quy hoạch ngày 24 tháng 11 năm 2017;
- Luật Sửa đổi bổ sung một số điều của 37 Luật có liên quan đến quy hoạch ngày 20 tháng 11 năm 2018;
- Luật Tài nguyên nước ngày 21 tháng 6 năm 2012;
- Luật Đê điều ngày 29 tháng 11 năm 2006;
- Nghị định số 53/2019/NĐ-CP ngày 17 tháng 6 năm 2019 của Chính phủ quy định về quy hoạch thủy lợi; đê điều; phòng, chống lũ của tuyến sông có đê;
- Nghị định số 67/2018/NĐ-CP ngày 14 tháng 5 năm 2018 của Chính phủ quy định chi tiết một số điều của Luật Thủy lợi;
- Nghị định số 114/2018/NĐ-CP ngày 04 tháng 9 năm 2018 của Chính phủ quản lý an toàn đập, hồ chứa nước;
- Thông tư số 05/2018/TT-BNNPTNT ngày 15 tháng 5 năm 2018 của Bộ Nông nghiệp và Phát triển nông thôn quy định chi tiết một số điều của Luật Thủy lợi;
- Thông tư số 45/2018/TT-BTC ngày 07 tháng 5 năm 2018 của Bộ Tài chính hướng dẫn chế độ quản lý, tính hao mòn, khấu hao tài sản cố định tại các cơ quan, tổ chức, đơn vị và tài sản cố định do nhà nước giao cho doanh nghiệp quản lý không tính thành phần vốn nhà nước tại doanh nghiệp.
I.2. Quy định viết tắt
|
TT |
Chữ viết tắt |
Nội dung viết tắt |
|
1 |
QHTL |
Quy hoạch thủy lợi |
|
2 |
CTTL |
Công trình thủy lợi |
|
3 |
HTCTTL |
Hệ thống công trình thủy lợi |
|
6 |
ĐMC |
Đánh giá môi trường chiến lược |
|
7 |
KS1 |
Kỹ sư bậc 1/9 chuyên ngành phù hợp hoặc tương đương |
|
8 |
KS2 |
Kỹ sư bậc 2/9 chuyên ngành phù hợp hoặc tương đương |
|
9 |
KS3 |
Kỹ sư bậc 3/9 chuyên ngành phù hợp hoặc tương đương |
|
10 |
KS4 |
Kỹ sư bậc 4/9 chuyên ngành phù hợp hoặc tương đương |
|
11 |
KS5 |
Kỹ sư bậc 5/9 chuyên ngành phù hợp hoặc tương đương |
|
12 |
KSC3 |
Kỹ sư chính bậc 3/8 chuyên ngành phù hợp hoặc tương đương |
|
13 |
KTXH |
Kinh tế - xã hội |
|
14 |
TCVN |
Tiêu chuẩn Việt Nam |
I.3. Giải thích từ ngữ
- Vùng nghiên cứu là toàn bộ khu vực nghiên cứu lập QHTL (vùng quy hoạch).
- Diện tích vùng nghiên cứu là diện tích tự nhiên của lưu vực sông liên tỉnh; hệ thống CTTL liên tỉnh cần lập quy hoạch.
- Diện tích đất quy hoạch là phần diện tích đất cần nghiên cứu, tính toán, đề xuất các giải pháp thủy lợi phục vụ cho các ngành, bao gồm: Đất nông nghiệp; đất phi nông nghiệp; đất ở; đất chuyên dùng khác (đất sông, suối, ao hồ, đất sản xuất, kinh doanh phi nông nghiệp, đất sử dụng vào mục đích công cộng, đất quốc phòng, an ninh, đất trụ sở cơ quan nhà nước, đất xây dựng công trình sự nghiệp).
I.4. Hệ số điều chỉnh
I.4.1. Vùng chuẩn
Vùng chuẩn là vùng quy hoạch được thiết lập có điều kiện tự nhiên và KTXH thỏa mãn các điều kiện chuẩn. Định mức lập QHTL Mtb được xây dựng cho vùng chuẩn có điều kiện tự nhiên, KTXH được quy định tại Bảng 1.
Bảng 1. Điều kiện tự nhiên và kinh tế - xã hội quy định cho vùng chuẩn
|
TT |
Điều kiện tự nhiên và kinh tế - xã hội |
Điều kiện vùng chuẩn |
|
1 |
Diện tích đất quy hoạch (Ftb) |
100.000 ha (1000 km2) |
|
2 |
Mật độ sông suối trong vùng quy hoạch |
< 1,0 km/km2 |
|
3 |
Mối quan hệ giữa mạng sông suối trong vùng quy hoạch với sông lớn bên ngoài |
Không gắn với sông lớn bên ngoài (không ảnh hưởng bởi chế độ dòng chảy, thủy lực với sông lớn bên ngoài) |
|
4 |
Lưu vực sông vùng nghiên cứu, lưu vực của HTCTTL |
Nằm trong một quốc gia |
|
5 |
Ảnh hưởng thủy triều |
Không quá 10% diện tích đất quy hoạch |
|
6 |
Có trên 20% số điểm đo nền môi trường có chỉ số chất lượng nước -WQI (được công bố hoặc tính toán) nằm trong ngưỡng theo quy định |
76-100 |
|
7 |
Tỷ lệ diện tích vùng quy hoạch so với diện tích đất quy hoạch |
<1,5 |
|
8 |
Tỷ lệ diện tích đất đô thị, công nghiệp, du lịch, dịch vụ so với diện tích đất quy hoạch |
< 10% |
I.4.2. Hệ số điều chỉnh phi chuẩn
Khi vùng quy hoạch có các điều kiện tự nhiên, KTXH khác với vùng chuẩn sẽ được điều chỉnh bởi các hệ số (hệ số phi chuẩn Ki), được quy định tại Bảng 2.
Bảng 2. Bảng hệ số phi chuẩn Ki
|
TT |
Điều kiện tự nhiên và kinh tế - xã hội vùng quy hoạch |
Số hiệu hệ số phi chuẩn |
Giá trị hệ số phi chuẩn Ki |
|
1 |
Mật độ sông ngòi trong vùng quy hoạch |
K1 |
|
|
Vùng có mật độ sông suối từ 1,0 đến 1,5 km/km2 |
|
0,10 |
|
|
Vùng có mật độ sông suối > 1,5 km/km2 |
|
0,15 |
|
|
2 |
Mạng sông, suối trong vùng quy hoạch ảnh hưởng bởi chế dộ dòng chảy, thủy lực và gắn với sông lớn bên ngoài |
K2 |
0,15 |
|
3 |
Lưu vực sông vùng nghiên cứu có mối liên hệ liên quốc gia |
K3 |
0,20 |
|
4 |
Có trên 20% số điểm đo nền môi trường có chỉ số chất lượng nước-WQI (được công bố hoặc tính toán) nằm trong ngưỡng theo quy định (Lấy giá trị K4 theo ngưỡng WQI thấp nhất) |
K4 |
|
|
51÷ <76 |
|
0,1 |
|
|
0÷ <51 |
|
0,15 |
|
|
5 |
Ảnh hưởng thủy triều |
K5 |
|
|
> 10% diện tích đất quy hoạch |
|
0,10 |
|
|
> 30% diện tích đất quy hoạch |
|
0,15 |
|
|
> 50% diện tích đất quy hoạch |
|
0,20 |
|
|
6 |
Tỷ lệ giữa diện tích vùng quy hoạch và diện tích đất quy hoạch: |
K6 |
|
|
Từ 1,5 đến <2,0 |
|
0,05 |
|
|
Từ 2,0 đến <3,0 |
|
0,10 |
|
|
Từ 3,0 trở lên |
|
0,15 |
|
|
7 |
Tỷ lệ diện tích đất đô thị, công nghiệp, du lịch, dịch vụ so với diện tích đất quy hoạch |
K7 |
|
|
Từ 10% đến <20% |
|
0,10 |
|
|
Từ 20% trở lên |
|
0,15 |
I.4.3. Hệ số điều chỉnh quy mô diện tích đất quy hoạch KF
KF: Là hệ số điều chỉnh theo quy mô diện tích đất quy hoạch thực tế so với diện tích đất quy hoạch vùng chuẩn, được xác định theo Bảng 3:
Bảng 3. Bảng hệ số điều chỉnh theo quy mô diện tích đất quy hoạch KF
|
Diện tích quy hoạch (1000 ha) |
Hệ số Kf |
Diện tích quy hoạch (1000 ha) |
Hệ số Kf |
|
10 |
0,42 |
340 |
1,81 |
|
15 |
0,49 |
360 |
1,88 |
|
20 |
0,54 |
380 |
1,94 |
|
25 |
0,61 |
400 |
2,01 |
|
30 |
0,67 |
500 |
2,35 |
|
40 |
0,75 |
600 |
2,69 |
|
60 |
0,83 |
700 |
3,03 |
|
80 |
0,92 |
800 |
3,37 |
|
100 |
1,00 |
900 |
3,71 |
|
120 |
1,07 |
1000 |
4,05 |
|
140 |
1,14 |
1100 |
4,39 |
|
160 |
1,19 |
1200 |
4,73 |
|
180 |
1,25 |
1300 |
5,07 |
|
200 |
1,32 |
1400 |
5,41 |
|
220 |
1,40 |
1500 |
5,75 |
|
240 |
1,47 |
1600 |
6,09 |
|
260 |
1,54 |
1700 |
6,43 |
|
280 |
1,61 |
1800 |
6,77 |
|
300 |
1,68 |
1900 |
7,11 |
|
320 |
1,741 |
2000 |
7,44 |
Trường hợp diện tích đất quy hoạch (Fv) nằm giữa 2 vùng quy mô diện tích, hệ số điều chỉnh KF được xác định theo phép nội suy tuyến tính giữa hai quy mô cận trên và cận dưới, như sau:

Trong đó:

Fa, Fb: Quy mô diện tích vùng cận dưới, cận trên của vùng quy hoạch;
Fv: Diện tích đất quy hoạch vùng nghiên cứu.
Trường hợp quy mô diện tích đất quy hoạch nằm ngoài các trị số quy mô lớn nhất và nhỏ nhất trong bảng, hệ số điều chỉnh theo quy mô diện tích đất quy hoạch KF được xác định theo phép ngoại suy tuyến tính.
I.4.4. Hệ số định mức rà soát, điều chỉnh quy hoạch thủy lợi
Bảng số 4. Bảng giá trị hệ số điều chỉnh K đối với công tác rà soát, điều chỉnh quy hoạch thủy lợi
|
TT |
Thời gian quy hoạch đã được phê duyệt |
Hệ số điều chỉnh K |
|
1 |
Dưới 3 năm |
0,50 |
|
2 |
Từ 3 đến dưới 5 năm |
0,70 |
|
3 |
Từ 5 đến dưới 7 năm |
0,85 |
|
4 |
Từ 7 đến 10 năm |
0,95 |
|
5 |
Từ trên 10 năm (lập mới) |
1,00 |
I.5. Thành phần định mức kinh tế - kỹ thuật
- Nội dung công việc gồm các thao tác chính, thao tác phụ để thực hiện bước công việc.
- Phân loại khó khăn gồm: các công việc chưa tính trong định mức, điều kiện áp dụng và hệ số điều chỉnh.
- Các công việc chưa tính trong định mức là các công việc không được tính hao phí lao động, vật liệu, dụng cụ và thiết bị trong định mức này.
- Số lượng công lao động gồm số lượng, cơ cấu thành phần lao động được tổ chức để thực hiện từng bước công việc cụ thể căn cứ vào tính chất, mức độ phức tạp, yêu cầu về chuyên môn của công việc.
- Định mức lao động là thời gian lao động trực tiếp để sản xuất ra một sản phẩm (hoặc để thực hiện một bước công việc hoặc thực hiện một công việc cụ thể) và thời gian lao động trực tiếp phục vụ trong quá trình kiểm tra nghiệm thu sản phẩm theo quy chế kiểm tra nghiệm thu, đơn vị tính là công nhóm/đơn vị sản phẩm. Đối với những công việc bình thường, một công làm việc tính là 8 giờ.
- Định mức vật liệu, dụng cụ và thiết bị
+ Định mức vật liệu là số lượng vật liệu cần thiết để sản xuất ra một đơn vị sản phẩm (thực hiện một công việc); đơn vị tính theo đơn vị của từng loại vật liệu/đơn vị sản phẩm; định mức vật liệu phụ được tính bằng % định mức vật liệu chính trong bảng định mức vật liệu.
+ Định mức dụng cụ và thiết bị là thời gian sử dụng dụng cụ và thiết bị cần thiết để sản xuất ra một đơn vị sản phẩm (thực hiện một công việc); đơn vị tính là ca/đơn vị sản phẩm; thời hạn sử dụng dụng cụ và thiết bị tính là tháng; định mức dụng cụ phụ được tính bằng % định mức dụng cụ chính trong bảng định mức dụng cụ.
+ Số ca máy sử dụng thiết bị trong một năm: Máy ngoại nghiệp là 250 ca; máy nội nghiệp là 500 ca.
+ Điện năng tiêu thụ của các dụng cụ, thiết bị dùng điện được tính trên cơ sở công suất và định mức dụng cụ, thiết bị và được tính theo công thức:
Định mức điện = (công suất thiết bị/giờ X 8 giờ làm việc X số ca sử dụng dụng cụ, thiết bị) + 5% hao hụt.
I.6. Cách tính định mức
I.6.1. Định mức lập quy hoạch thủy lợi
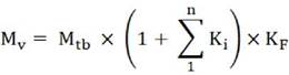
Định mức cho việc lập nội dung quy hoạch cho vùng quy hoạch thực tế được tính theo công thức sau:

Trong đó:
MV: Mức hao phí (lao động, vật liệu, dụng cụ và máy móc thiết bị) cho công tác lập quy hoạch thủy lợi của vùng quy hoạch;
Mtb: Mức hao phí (lao động, vật liệu, dụng cụ và máy móc thiết bị) cho công tác lập quy hoạch thủy lợi của vùng có điều kiện chuẩn (điều kiện áp dụng);
KF: Hệ số điều chỉnh theo quy mô diện tích đất quy hoạch (được xác định tại Bảng 3);
K: Hệ số phi chuẩn;
Ki: Hệ số điều chỉnh thứ i theo mức độ phức tạp của từng yếu tố ảnh hưởng đến mức chuẩn, hệ số phi chuẩn Ki (được xác định tại Bảng 2);
I.6.2. Định mức rà soát, điều chỉnh quy hoạch thủy lợi
Được xác định theo quy định tại Bảng 4.
I.7. Định mức cho các công tác khác
Các chi phí: lập nhiệm vụ quy hoạch (bao gồm lập, thẩm định, phê duyệt nhiệm vụ); quản lý lập quy hoạch; thẩm tra, giám sát lập quy hoạch; công bố quy hoạch được xác định theo tỷ lệ % chi phí lập quy hoạch. Chi phí giám sát thực hiện quy hoạch được xác định thực tế theo các quy định tại thời điểm giám sát.
Bảng 5. Định mức cho các công tác khác theo chi phí lập quy hoạch (%)
|
TT |
Nội dung công việc |
Chi phí lập quy hoạch (triệu đồng) |
|||||||
|
≤ 200 |
500 |
700 |
1000 |
2000 |
5000 |
7000 |
≥10.000 |
||
|
1 |
Lập nhiệm vụ quy hoạch |
8,0 |
6,0 |
5,0 |
4,5 |
3,0 |
2,0 |
1,8 |
1,6 |
|
2 |
Quản lý lập quy hoạch |
6,0 |
5,0 |
4,5 |
4,0 |
3,0 |
2,0 |
1,8 |
1,6 |
|
3 |
Thẩm trạ, giám sát lập quy hoạch |
7,0 |
7,0 |
7,0 |
7,0 |
7,0 |
7,0 |
7,0 |
7,0 |
|
4 |
Công bố quy hoạch |
7,0 |
5,5 |
4,5 |
4,0 |
3,0 |
2,0 |
1,8 |
1,6 |
Chương II
QUY ĐỊNH KỸ THUẬT, NỘI DUNG, QUY TRÌNH LẬP QUY HOẠCH THỦY LỢI
I. Trình tự hoạt động lập quy hoạch
I.1. Lập quy hoạch
- Lập, thẩm định và phê duyệt nhiệm vụ lập quy hoạch;
- Tổ chức lập quy hoạch.
I.2. Thẩm định quy hoạch
I.3. Phê duyệt quy hoạch
I.4. Công bố quy hoạch
I.5. Tổ chức thực hiện quy hoạch
II. Nội dung lập quy hoạch thủy lợi
II.1. Nội dung lập nhiệm vụ lập quy hoạch thủy lợi
II.1.1. Thu thập tài liệu, số liệu, thông tin cơ bản
- Đặc điểm tự nhiên, hiện trạng và chiến lược phát triển KTXH vùng nghiên cứu;
- Hiện trạng thủy lợi, đánh giá kết quả thực hiện quy hoạch đã phê duyêt trong thời kỳ trước; các mâu thuẫn trong khai thác, sử dụng; các vấn đề đặt ra bảo đảm an ninh nguồn nước;
- Hiện trạng công trình phòng, chống thiên tai;
- Hiện trạng nguồn nước và nhu cầu sử dụng nước của các đối tượng sử dụng nước vùng nghiên cứu;
- Tình hình hạn hán, xâm nhập mặn; thiếu nước trong những năm bình thường, những năm vượt tần suất;
- Công tác quản lý, khai thác vận hành CTTL; các giải pháp phi công trình, giải pháp mềm trong quản lý vận hành CTTL phục vụ tưới, tiêu, chống ngập lụt.
II.1.2. Tổng hợp, phân tích, đánh giá
- Đánh giá tổng quát đặc điểm tự nhiên, KTXH, hiện trạng thủy lợi, khai thác, sử dụng CTTL cổng trình phòng, chống thiên tai;
- Đánh kết quả thực hiện quy hoạch và các vấn đề còn tồn tại của quy hoạch đã được phê duyệt thời kỳ trước, nguyên nhân của các vấn đề tồn tại;
- Đánh giá về điều kiện và diễn biến nguồn nước trong điều kiện bình thường, những năm vượt tần suất, nhu cầu sử dụng nước theo định hướng, chiến lược phát triển KTXH vùng nghiên cứu trong thời kỳ quy hoạch;
- Phân tích, đánh giá sự cần thiết của việc lập QHTL đối với sự phát triển KTXH và kế hoạch, tầm nhìn chiến lược của vùng nghiên cứu.
II.1.3. Xác định yêu cầu về mục tiêu, nhiệm vụ và nội dung công tác lập quy hoạch
- Xác định phạm vi quy hoạch cần lập;
- Xác định mục tiêu chung và mục tiêu cụ thể của quy hoạch cần lập;
- Xác định yêu cầu về nhiệm vụ và phương pháp lập quy hoạch;
- Xác định yêu cầu về nội dung quy hoạch cần lập;
- Xác định tiến độ thực hiện lập quy hoạch;
- Xây dựng dự toán kinh phí chi tiết cho việc lập quy hoạch.
II.1.4. Xác định trách nhiệm của các cơ quan liên quan trong việc lập quy hoạch
II.1.5. Xác định yêu cầu về thành phần, số lượng và tiêu chuẩn, quy cách sản phẩm quy hoạch, gồm:
- Xác định yêu cầu về thành phần, số lượng, quy cách các loại báo cáo cần lập;
- Yêu cầu về thành phần, số lượng, quy cách các loại bản đồ cần lập;
- Xác định yêu cầu thành phần, số lượng, quy cách sản phẩm khác nếu có.
II.2 Nội dung lập quy hoạch thủy lợi
II.2.1. Thu thập tài liệu cơ bản
II.2.1.1. Nghiên cứu báo cáo thuyết minh nhiệm vụ lập quy hoạch đã được phê duyệt; rà soát, kế thừa các dữ liệu, thông tin trong hồ sơ lập quy hoạch qua các thời kỳ.
II.2.1.2. Tổ chức thu thập bổ sung tài liệu cơ bản.
a) Thu thập các loại bản đồ nền và bản đồ kỹ thuật số hiện có trong vùng nghiên cứu, các ảnh vệ tinh (nếu có);
b) Niên giám thống kê 3 năm gần nhất các địa phương thuộc vùng nghiên cứu lập quy hoạch;
c) Thu thập tài liệu khí tượng, thủy văn, hải văn;
d) Các tài liệu khí tượng, thủy văn từ các dự án đã và đang thực hiện liên quan (nếu có);
đ) Thu thập tài liệu khí tượng, thủy văn từ các trạm đo, cơ quan quản lý số liệu:
- Tài liệu khí tượng (gồm các yếu tố nhiệt độ, độ ẩm, nắng, gió, bốc hơi): cập nhật số liệu khí tượng của các trạm khí tượng đến năm quy hoạch;
- Tài liệu mưa trung bình ngày, tài liệu mưa trung bình giờ tại các trạm đo mưa;
- Tài liệu thủy văn vùng không ảnh hưởng triều bao gồm mực nước, lưu lượng, độ đục, H~Q mùa lũ;
- Tài liệu thủy văn vùng ảnh hưởng triều, hải văn bao gồm mực nước, lưu lượng, độ đục, H~Q mùa lũ; biên độ triều;
- Tài liệu khí tượng, hải văn (nếu có);
- Tài liệu địa chất thủy văn;
e) Tài liệu về vị trí và diện tích úng, hạn qua các năm;
g) Tài liệu xâm nhập mặn, chất lượng nước và môi trường;
h) Tài liệu địa hình, địa chất;
i) Tính toán, chỉnh lý, biên tập tài liệu đã thu thập.
II.2.2. Khảo sát tổng hợp, điều tra thu thập tài liệu dân sinh kinh tế
II.2.2.1. Thu thập, phân tích đánh giá các quy hoạch trước đây trong vùng
Thu thập, phân tích đánh giá các quy hoạch nghiên cứu liên quan đến phát triển nguồn nước, phát triển thủy lợi tại các cơ quan Trung ương, địa phương và của tổ chức quốc tế trong vùng quy hoạch.
II.2.2.2. Điều tra thu thập tài liệu dân sinh kinh tế
Điều tra, thu thập tài liệu về quá trình phát triển kinh tế, hiện trạng dân sinh kinh tế và định hướng phát triển KTXH từng địa phương, khu vực hành chính thuộc vùng nghiên cứu, những vấn đề trọng tâm cần giải quyết.
a) Hiện trạng kinh tế - xã hội:
- Các tài liệu về dân số, hiện trạng sử dụng đất, diện tích năng suất sản lượng các loại cây trồng, chăn nuôi, thủy sản;
- Tài liệu hiện trạng của các ngành có liên quan như: Lâm nghiệp, công nghiệp, điện lực, giao thông, y tế, giáo dục, du lịch, dịch vụ, đô thị, nông thôn;
b) Phương hướng phát triển kinh tế - xã hội trong kỳ quy hoạch:
- Chiến lược phát triển KTXH, chiến lược phát triển các ngành chăn nuôi, thủy sản, lâm nghiệp, công nghiệp, điện lực, đô thị, giao thông, du lịch, dịch vụ, nước sạch và vệ sinh môi trường... trong vùng quy hoạch;
- Tình hình thực hiện và triển khai, định hướng tái cơ cấu nông nghiệp, liên kết vùng;
- Thu thập tổng hợp tài liệu quy hoạch các ngành: Dân số, sử dụng đất, chăn nuôi, thủy sản, lâm nghiệp, công nghiệp, điện lực, đô thị, giao thông, y tế, giáo dục, du lịch, dịch vụ, nước sạch và vệ sinh môi trường;
- Thu thập tài liệu quy hoạch tổng thể và định hướng phát triển KTXH các tỉnh, thành phố trong vùng nghiên cứu theo giai đoạn và tầm nhìn quy hoạch;
c) Tài liệu về hiện trạng phát triển thủy lợi:
- Thông tin, dữ liệu về các CTTL hiện có và dự kiến xây dựng;
- Hiện trạng CTTL, thủy điện, đê điều: Tên, vị trí, năng lực thiết kế, thực tế phục vụ.;
- Tài liệu hiện trạng các công trình cấp nước: Dân sinh, đô thị, công nghiệp, du lịch, dịch vụ;
- Công tác quản lý nâng cao hiệu quả công trình, các giải pháp phi công trình, giải pháp mềm trong thủy lợi;
d) Thu thập tài liệu về tình hình và thiệt hại do thiên tai:
- Tài liệu thiệt hại về hạn hán, thiếu nước, xâm nhập mặn, khan hiếm nước trên phạm vi vùng nghiên cứu; nguồn nước những năm vượt tần suất;
- Tài liệu, tổng hợp thông tin về tình hình mưa, bão, lũ, úng ngập trên địa bàn nghiên cứu, đặc biệt quan tâm đến những vùng đất thấp tập trung đông dân cư, nhiều cơ sở sản xuất;
- Tài liệu về tình hình xói lở bờ sông, cửa sông, ven biển diễn biến theo thời gian ở các vị trí cụ thể;
- Thông tin, tài liệu nghiên cứu về tình hình lũ quét, lũ ống và sạt lở đất trên vùng nghiên cứu;
đ) Thu thập các loại bản đồ:
- Bản đồ hiện trạng và định hướng phát triển KTXH;
- Bản đồ hiện trạng, quy hoạch công trình thủy lợi, thủy điện;
- Bản đồ hiện trạng úng, hạn, xâm nhập mặn;
- Bản đồ sạt lở, lũ quét, mặn;
- Bản đồ cấp nước sinh hoạt, công nghiệp, đô thị.;
- Bản đồ ô nhiễm nguồn nước (nếu có);
- Bản đồ hiện trạng sử dụng đất;
- Bản đồ quy hoạch sử dụng đất.
II.2.2.3. Công tác nội nghiệp
- Xử lý, phân loại dữ liệu, thông tin theo các nhóm;
- Số hóa toàn bộ dữ liệu, thông tin;
- Chuẩn hóa các dữ liệu, thông tin, xác định và lập danh mục dữ liệu, thông tin được sử dụng phục vụ lập quy hoạch;
- Tổng hợp dữ liệu, thông tin;
II.2.2.4 Tổng hợp kết quả khảo sát ban đầu
- Tổng hợp kết quả khảo sát ban đầu, đánh giá tài liệu dân sinh kinh tế, tài liệu quy hoạch, tài liệu cơ bản hiện có và tài liệu cần thu thập; nhận xét sơ bộ về hiện trạng dân sinh kinh tế; định hướng phát triển KTXH địa phương, định hướng phát triển thủy lợi;
- Hoàn chỉnh đề cương kỹ thuật; thống nhất về mục tiêu, nhiệm vụ và nội dung quy hoạch cho phù hợp thực tế; đề xuất điều chỉnh, bổ sung, sửa chữa những thiếu sót trong đề cương nhiệm vụ (nếu có);
- Đánh giá sơ bộ các dự án nghiên cứu về QHTL và đầu tư xây dựng thủy lợi đã có; đề ra phương hướng lập quy hoạch cho giai đoạn tiếp theo;
- Kế hoạch, tiến độ chi tiết công việc cần thực hiện để đạt mục tiêu, nhiệm vụ lập quy hoạch thủy lợi đã được phê duyệt;
- Đánh giá tổng hợp tài liệu khảo sát đã có, chỉ đo đạc mới để bổ sung số liệu đối với các số liệu khảo sát tính đến thời điểm lập quy hoạch quá 5 năm; lập phương án chi tiết khảo sát kỹ thuật (vị trí công trình, quy mô, khối lượng khảo sát) để tiến hành bước khảo sát kỹ thuật;
- Tổng hợp kết quả báo cáo kết quả khảo sát ban đầu với chủ đầu tư; trình chủ đầu tư phê duyệt bổ sung, điều chỉnh đề cương nhiệm vụ (nếu có).
II.2.3. Khảo sát kỹ thuật
II.2.3.1. Khảo sát thủy văn
a) Yêu cầu về khảo sát thủy văn
- Khảo sát đo đạc mực nước, lưu lượng dòng chảy kiệt, lũ phục vụ đánh giá nguồn nước;
- Khảo sát đo đạc lưu lượng, mực nước, độ mặn,... mùa lũ, kiệt; khảo sát hải văn phục vụ tính toán thủy lực;
- Vị trí, khối lượng khảo sát: Theo yêu cầu nhiệm vụ lập quy hoạch;
b) Nội dung công việc, định mức áp dụng
Áp dụng Thông tư số 45/2017/TT-BTNMT ngày 23/10/2017 của Bộ Tài nguyên và Môi trường về ban hành định mức kinh tế - kỹ thuật công tác điều tra khảo sát khí tượng thủy văn.
II.2.3.2. Khảo sát địa hình
a) Yêu cầu về khảo sát địa hình
- Khảo sát đo đạc địa hình phục vụ khảo sát thủy văn;
- Khảo sát đo đạc địa hình phục vụ nghiên cứu bố trí công trình đầu mối; kênh mương chính;
- Đo các mặt cắt dọc ngang sông phục vụ tính toán thủy lực, thủy năng, chỉnh trị sông... theo yêu cầu nhiệm vụ;
- Vị trí, khối lượng khảo sát: Theo yêu cầu nhiệm vụ lập quy hoạch;
b) Nội dung công việc, định mức áp dụng
Áp dụng Thông tư số 10/2019/TT-BXD ngày 26/12/2019 của Bộ Xây dựng về ban hành định mức xây dựng và các quy định khác của các địa phương trong vùng quy hoạch.
II.2.3.3. Khảo sát địa chất
a) Yêu cầu về khảo sát địa chất
- Khảo sát địa chất địa điểm dự kiến bố trí công trình đầu mối như hồ chứa nước, đập dâng, cống, trạm bơm,…và tuyến kênh chính;
- Vị trí, khối lượng khảo sát: Theo yêu cầu nhiệm vụ lập quy hoạch.
b) Nội dung công việc, định mức áp dụng
Áp dụng Thông tư 10/2019/TT-BXD ngày 26/12/2019 của Bộ Xây dựng về ban hành định mức xây dựng và các quy định khác của các địa phương trong vùng quy hoạch.
II.2.3.4. Khảo sát chất lượng nước
a) Yêu cầu về khảo sát chất lượng nước
- Khảo sát chất lượng nước phục vụ đánh giá hiện trạng chất lượng nước cấp cho sản xuất, sinh hoạt thuộc vùng quy hoạch.
- Khảo sát chất lượng nước phục vụ lập ĐMC;
- Vị trí, khối lượng khảo sát: Theo yêu cầu nhiệm vụ lập quy hoạch;
b) Nội dung công việc, định mức áp dụng
Áp dụng Thông tư số 41/2018/TT-BYT ngày 14/02/2018 của Bộ Y tế ban hành kèm theo Quy chuẩn kỹ thuật quốc gia về chất lượng nước sạch sử dụng cho mục đích sinh hoạt; Thông tư số 24/2017/TT-BTNMT ngày 01/9/2017 của Bộ Tài nguyên và Môi trường quy định kỹ thuật quan trắc môi trường; Thông tư số 14/2019/TT-BNNPTNT ngày 30/10/2019 của Bộ Nông nghiệp và Phát triển nông thôn về ban hành định mức kinh tế - kỹ thuật về dự báo nguồn nước và xây dựng kế hoạch sử dụng nước; giám sát, dự báo chất lượng nước trong công trình thủy lợi; giám sát, dự báo xâm nhập mặn.
II.2.4. Các nội dung tính toán đề xuất giải pháp quy hoạch
II.2.4.1. Phân tích, đánh giá điều kiện tự nhiên, nguồn nước; điều kiện kinh tế - xã hội; nguồn lực; đánh giá hiện trạng thủy lợi, kết quả thực hiện quy hoạch thủy lợi thời kỳ trước trên phạm vi vùng quy hoạch
a) Phân tích, đánh giá điều kiện tự nhiên, nguồn nước
- Đặc điểm địa lý tự nhiên: Vị trí địa lý, phạm vi hành chính, đặc điểm địa hình, địa chất, thổ nhưỡng, địa chất thủy văn, khí hậu;
- Đánh giá đặc điểm nguồn nước: Thủy văn nước mặt, nước dưới đất, địa chất thủy văn, hải văn... và các dạng tích tụ nước tự nhiên khác;
b) Phân tích đánh giá điều kiện kinh tế - xã hội, nguồn lực phát triển
- Đặc điểm dân cư và lao động
+ Tổng số dân cư và lao động, dân tộc, giới, lao động, nông thôn, thành thị; tốc độ tăng dân số hàng năm...; phân bố dân cư theo đơn vị hành chính và theo vùng thủy lợi;
+ Trình độ dân trí, trình độ chuyên môn, nghề nghiệp, các đặc điểm văn hoá xã hội, chất lượng đời sống văn hóa xã hội của nhân dân;
- Quá trình phát triển các ngành kinh tế chủ yếu trong vùng có liên quan tới nguồn nước: Nông lâm nghiệp, thủy sản, công nghiệp, năng lượng, xây dựng, giao thông, du lịch, dịch vụ, y tế, giáo dục... trong những năm gần đây;
- Phương hướng phát triển KTXH
+ Mục tiêu, phương hướng phát triển KTXH trên địa bàn: nông nghiệp, công nghiệp, thủy sản, đô thị, giao thông, lưới điện, du lịch, dịch vụ, nguồn nhân lực... theo giai đoạn, tầm nhìn, định hướng quy hoạch;
+ Xác định các kịch bản phát triển KTXH làm cơ sở cho tính toán các kịch bản quy hoạch thủy lợi;
c) Đánh giá hiện trạng thủy lợi, kết quả thực hiện quy hoạch thủy lợi thời kỳ trước trên phạm vi vùng quy hoạch
- Hiện trạng thủy lợi: Tình hình khai thác, sử dụng nước; hiện trạng các HTCTTL cấp nước, tiêu thoát nước, phòng chống lũ, thủy điện; hiệu quả của các công trình cấp nước tưới, tiêu nước phục vụ sinh hoạt, đô thị, công nghiệp, thủy sản, du lịch, dịch vụ...; khả năng phục vụ khi xảy ra hạn hán, xâm nhập mặn, vượt tần suất; đánh giá nguyên nhân làm giảm năng lực thiết kế của các công trình; những vấn đề trọng tâm cần giải quyết và những thuận lợi khó khăn đối với công tác phát triển thủy lợi; đánh giá công tác quản lý khai thác, vận hành;
- Đánh giá các giải pháp phi công trình, giải pháp mềm kết hợp vận hành công trình thủy lợi phục vụ tưới, tiêu, chống ngập lụt;
- Tình hình thiên tai: lũ lụt, hạn hán, xâm nhập mặn, lũ quét, sạt lở đất.;
- Tình hình xả thải, ô nhiễm nguồn nước;
- Đánh giá kết quả nghiên cứu, triển khai các dự án thủy lợi theo quy hoạch thời kỳ trước trong vùng nghiên cứu; những kết quả đạt được, tồn tại, nguyên nhân.
II.2.4.2. Dự báo xu thế phát triển và các kịch bản phát triển, nguồn nước trong bối cảnh chịu tác động của biến đổi khí hậu, nước biển dâng, thiên tai; dự báo tiến bộ khoa học và công nghệ, nguồn lực ảnh hưởng trực tiếp đến thủy lợi
a) Dự báo xu thế phát triển và các kịch bản phát triển, nguồn nước trong bối cảnh chịu tác động của biến đổi khí hậu, nước biển dâng, thiên tai.
- Phân tích, nhận định, đánh giá những xu thế diễn biến về số lượng các nguồn nước mưa, nước mặt, nước dưới đất trong kỳ quy hoạch và những năm tiếp theo trên phạm vi toàn vùng quy hoạch, từng tiểu vùng ứng với các kịch bản biến đổi khí hậu, nước biển dâng;
- Phân tích, nhận định, đánh giá diễn biến chất lượng nguồn nước mặt, nước dưới đất trong kỳ quy hoạch trên phạm vi toàn vùng quy hoạch, từng tiểu vùng;
- Phân tích, nhận định, đánh giá những ảnh hưởng của xu thế biến đổi số lượng, chất lượng nguồn nước đối với khả năng khai thác, sử dụng nước cho các mục đích chính;
- Đánh giá khả năng khai thác, sử dụng tổng hợp nguồn nước mưa, nước mặt, nước dưới đất để đáp ứng các nhu cầu khai thác, sử dụng tương ứng với hiện tại và các giai đoạn trong kỳ quy hoạch;
- Phân tích đặc điểm khí tượng, thủy văn nguồn nước (nước mặt, nước dưới đất), hải văn (mực nước, chế độ triều), đánh giá sự thay đổi chế độ thủy văn, hải văn vùng nghiên cứu do biến đổi khí hậu, nước biển dâng;
- Đánh giá xu thế biến đổi dòng chảy năm, lũ, kiệt trên các lưu vực trong vùng. Sự biến động của dòng chảy đến các hồ chứa vừa và nhỏ có tác động tới quá trình sử dụng nước trong mùa kiệt;
- Phân tích diễn biến khí tượng, thủy văn, hải văn trong những năm gần đây để dự báo trong tương lai;
b) Dự báo tiến bộ khoa học và công nghệ, nguồn lực ảnh hưởng trực tiếp đến thủy lợi
Đánh giá xu thế phát triển KTXH chung vùng quy hoạch, sự phát triển công nghệ khoa học kỹ thuật, cách mạng công nghiệp 4.0 ảnh hưởng đến phương thức sản xuất nông nghiệp; quá trình hội nhập của đất nước vào chuỗi cung ứng toàn cầu ảnh hưởng đến định hướng phát triển nông nghiệp; thay đổi cơ cấu cây trồng, chăn nuôi, thủy sản… Đặt ra yêu cầu QHTL có tầm nhìn chiến lược, đáp ứng lợi ích lâu dài tối ưu hóa nguồn lực đầu tư.
c) Tính toán phân tích các kịch bản:
- Tổng hợp các vấn đền liên quan an ninh nguồn nước trên lưu vực;
- Xây dựng kịch bản (chọn kịch bản tính toán), cho từng giai đoạn định hướng, tầm nhìn với những giả thiết khác nhau có thể xảy ra trong tương lai, gồm: Kịch bản diễn biến bình thường theo xu hướng hiện trạng (tổ hợp nguồn nước, sử dụng nước, thiên tai, khoa học công nghệ...liên quan đến nước); kịch bản nước bền vững (tổ hợp nguồn nước, sử dụng nước, thiên tai, khoa học công nghệ...liên quan đến nước); kịch bản khủng hoảng (tổ hợp nguồn nước, sử dụng nước, thiên tai, khoa học công nghệ...liên quan đến nước);
- Lượng hóa những yếu tố chi phối chính của các kịch bản để làm cơ sở xác định nhu cầu cấp, tiêu thoát nước, phòng chống thiên tai liên quan đến nước và quy hoạch phát triển thủy lợi được tổ hợp theo các nhóm yếu tố: Các yếu tố kinh tế và dân số; mục tiêu phát triển kinh tế xã hội của tỉnh, vùng... những tác động do biến động về thị trường, phát triển đô thị, công nghiệp, thực trạng công tác đầu tư xây dựng thủy lợi; các thông số về khí hậu và thủy văn trong đó có yếu tố biến đổi khí hậu toàn cầu, nước biển dâng; các yếu tố công nghệ, quản lý và cơ sở hạ tầng; các yếu tố về cơ chế, chính sách;
- Với kịch bản khủng hoảng lượng hóa các yếu tố bất lợi xảy ra đồng thời: lũ vượt tần suất và triều cường, hạn vượt tần suất và xâm nhập mặn.;
II.2.4.3. Đánh giá về liên kết ngành, liên kết vùng; xác định yêu cầu của phát triển kinh tế - xã hội đối với thủy lợi; cơ hội và thách thức đối với phát triển thủy lợi trên vùng quy hoạch
a) Đánh giá về liên kết ngành, liên kết vùng
-Đánh giá về liên kết ngành, liên kết vùng trong thực trạng phát triển hệ thống công trình thủy lợi và lưu vực sông nghiên cứu;
- Đánh giá sự liên kết, đồng bộ của hệ thống kết cấu hạ tầng thủy lợi trong phạm vi vùng nghiên cứu;
- Đánh giá sự liên kết giữa hệ thống kết cấu hạ tầng thủy lợi với hệ thống kết cấu hạ tầng của các ngành, lĩnh vực khác có liên quan trong phạm vi vùng nghiên cứu;
b) Đánh giá sự liên kết, đồng bộ, mức độ khép kín của hệ thống kết cấu hạ tầng thủy lợi trước nguy cơ biến đổi khí hậu, nước biển dâng, xâm nhập mặn, ngập lụt và xói lở, bồi tụ: Hệ thống đê biển; hệ thống kiểm soát mặn; hệ thống kè bảo vệ bờ biển;
c) Xác định yêu cầu của phát triển kinh tế - xã hội đối với thủy lợi
Xác định yêu cầu của phát triển KTXH và bảo vệ môi trường đối với hạ tầng thủy lợi trong kỳ quy hoạch;
d) Các cơ hội và thách thức đối với công tác phát triển thủy lợi trên vùng quy hoạch
- Nghiên cứu, phân tích những tác động tích cực do phát triển KTXH, môi trường của các địa phương, các vùng, các ngành đến phát triển thủy lợi trong vùng nghiên cứu;
- Nghiên cứu, phân tích những thách thức do phát triển KTXH, môi trường của các địa phương, các vùng, các ngành trong điều kiện biến đổi khí hậu và phát triển thượng nguồn đối với các lưu vực sông liên quốc gia đến phát triển thủy lợi trong vùng nghiên cứu và đề xuất các giải pháp giảm thiểu, hạn chế.
II.2.4.4. Xác định quan điểm, mục tiêu phát triển thủy lợi
- Phù hợp với chiến lược thủy lợi, quy hoạch tổng thể quốc gia, quy hoạch phòng, chống thiên tai và thủy lợi, quy hoạch tài nguyên nước, quy hoạch vùng; kế hoạch phát triển KTXH, quốc phòng, an ninh;
- Gắn kết với quy hoạch kết cấu hạ tầng quốc gia và các quy hoạch có liên quan;
- Bảo đảm quản lý tổng hợp nguồn nước, thống nhất theo lưu vực sông, HTCTTL; thích ứng với tác động của biến đổi khí hậu, nước biển dâng và phát triển KTXH; phát triển bền vững; bảo đảm an ninh nguồn nước trong lưu vực và trong vùng;
- Phục vụ đa mục tiêu, bảo đảm hài hòa giữa khai thác với bảo vệ tài nguyên, môi trường, phòng, chống thiên tai; chú trọng cấp nước cho hải đảo, vùng ven biển, khu vực biên giới, miền núi và vùng ven hồ chứa thủy điện;
- Bảo đảm cân đối nguồn nước trong phạm vi toàn quốc, vùng, lưu vực sông, HTCTTL, đơn vị hành chính;
- Chuyển nước từ nơi thừa đến nơi thiếu nước phạm vi liên vùng, liên lưu vực, liên quốc gia;
- Trữ nước mùa mưa cho mùa khô, năm nhiều nước cho năm thiếu hụt nước.
II.2.4.5. Phân tích, tính toán và xây dựng phương án thủy lợi theo các kịch bản phát triển trên phạm vi vùng quy hoạch; xác định giải pháp thủy lợi cho từng loại đối tượng trên phạm vi hệ thống công trình thủy lợi, phương án phối hợp vận hành giữa các công trình thủy lợi trong hệ thống công trình thủy lợi; bảo đảm tạo nguồn, tích trữ, cân đối, điều hòa, phân phối nguồn nước; chuyển nước liên lưu vực, quốc gia; giảm thiểu rủi ro hạn hán, thiếu nước, xâm nhập mặn, sa mạc hóa, lũ, ngập lụt, úng, ô nhiễm, suy thoái nguồn nước và các thiên tai khác liên quan đến nước trên phạm vi vùng quy hoạch.
a) Phân tích đặc điểm khí tượng, thủy văn, hải văn
- Phân tích tình hình lưới trạm quan trắc;
- Phân tích, xử lý tài liệu khí tượng thủy văn, hải văn: Phân tích đặc điểm khí tượng, thủy văn nguồn nước (nước mặt, nước ngầm), đánh giá sự thay đổi chế độ thủy văn vùng nghiên cứu do biến đổi khí hậu; đánh giá xu thế biến đổi dòng chảy năm, lũ, kiệt trên các lưu vực trong vùng; đánh giá sự biến động của dòng chảy đến các hồ chứa vừa và nhỏ có tác động tới quá trình sử dụng nước trong mùa kiệt;
- Phân tích diễn biến khí tượng, thủy văn trong những năm gần đây để dự báo trong tương lai;
- Phân tích, nhận định, đánh giá những xu thế diễn biến về số lượng các nguồn nước mưa, nước mặt, nước dưới đất trong kỳ quy hoạch và những năm tiếp theo trên phạm vi toàn vùng quy hoạch, từng tiểu vùng ứng với các kịch bản biến đổi khí hậu, nước biển dâng;
- Phân tích, nhận định, đánh giá diễn biến chất lượng nguồn nước mặt, nước dưới đất trong kỳ quy hoạch trên phạm vi toàn vùng quy hoạch, từng tiểu vùng;
- Phân tích, nhận định, đánh giá những ảnh hưởng của xu thế biến đổi số lượng, chất lượng nguồn nước đối với khả năng khai thác, sử dụng nước cho các mục đích chính;
- Đánh giá khả năng khai thác, sử dụng tổng hợp nguồn nước mưa, nước mặt, nước dưới đất để đáp ứng các nhu cầu khai thác, sử dụng tương ứng với hiện tại và các giai đoạn trong kỳ quy hoạch;
- Tính toán các đặc trưng khí tượng, thủy văn thiết kế phục vụ cấp nước, tiêu và phòng chống lũ;
- Tính toán mưa tưới 75%, 85%, 95% phục vụ tính toán mức tưới, hệ số tưới, nhu cầu tưới;
- Tính toán biên đầu vào cho các mô hình: mô hình cân bằng nước; mô hình thủy lực lũ, kiệt; mô hình tiêu úng (nếu có)...;
- Tính toán mưa tiêu theo các tần suất 5%, 10% phục vụ tính toán hệ số tiêu, nhu cầu tiêu;
- Tính toán thủy văn công trình phục vụ cho dự án;
b) Tính toán thủy lực mạng sông theo các phương án quy hoạch bằng mô hình toán, chọn phương án quy hoạch
- Yêu cầu tính toán thủy lực bằng mô hình toán:
+ Thiết lập mô hình thủy lực;
+ Xử lý tài liệu để thiết lập mạng sông tính toán;
+ Thiết lập sơ đồ thủy lực mạng sông tính toán;
+ Thiết lập tài liệu địa hình tính toán cập nhật số liệu mặt cắt ngang;
+ Thiết lập các điều kiện biên (phân tích lựa chọn các điều kiện biên theo chuỗi thời gian); thiết lập điều kiện ban đầu; thiết lập các thông số thủy lực;
+ Thiết lập và mô phỏng các công trình, hồ chứa, vùng ngập lụt;
+ Thiết lập mô hình chất lượng nước, xâm nhập mặn… (theo yêu cầu nhiệm vụ);
+ Hiệu chỉnh và xác định bộ thông số cho mô hình; kiểm định và đánh giá sai số cho mô hình;
+ Tính toán mô phỏng, kiểm định mô hình theo số liệu thực đo; tính toán mô phỏng tưới, tiêu, chống lũ, chuyển nước, lan truyền chất…. theo các phương án quy hoạch;
+ Nhận xét, kiến nghị phương án chọn;
+ Trích lập các bản đồ, biểu đồ, kết quả tính toán.
- Định mức áp dụng: Áp dụng Quyết định số 165/QĐ-BNN-KHCN ngày 28/01/2013 của Bộ Nông nghiệp và Phát triển nông thôn về công bố định mức trong xây dựng dự toán kinh phí đề tài, nhiệm vụ nghiên cứu mô hình tính toán thủy lực, hình thái sông ngòi;
c) Tính toán phương án cấp nước
- Phân vùng thủy lợi: Phân vùng thủy lợi để phục vụ việc tính toán quy hoạch cấp nước dựa trên các tiêu chí sau:
+ Đặc điểm địa hình (cao độ và hướng dốc của địa hình, mức độ phức tạp và chia cắt bởi sông ngòi và công trình xây dựng,...), sông ngòi và đặc điểm thủy văn, loại CTTL cấp nước hoặc tiêu nước, đặc điểm sản xuất nông nghiệp và các loại đối tượng sử dụng nước,… có mặt trong vùng nghiên cứu quy hoạch và yêu cầu của quy hoạch;
+ Đặc thù hệ thống, hoặc các đầu mối cấp nước chính;
+ Đặc điểm nguồn nước đến cấp cho khu dùng nước;
+ Tình hình quản lý khai thác CTTL trên địa bàn.
- Xác định nhu cầu sử dụng nước của các ngành, lĩnh vực nông nghiệp, sinh hoạt, đô thị, công nghiệp, thủy sản, chăn nuôi, du lịch, môi trường, giao thông thủy... hiện tại và tương lai theo các kịch bản, gồm các nội dung sau:
+ Tổng hợp số liệu định hướng và chỉ tiêu phát triển, mở rộng các khu đô thị, các khu dân cư, các khu du lịch tập trung và các khu công nghiệp;
+ Xác định chỉ tiêu cấp nước đơn vị cho từng loại đối tượng sử dụng nước trường hợp bình thường, trường hợp xảy ra hạn hán, xâm nhập mặn;
+ Tổng hợp số liệu về loại cây trồng, vật nuôi phục vụ tái cơ cấu nông nghiệp, các chỉ tiêu phát triển nông nghiệp như cơ cấu thời vụ, diện tích và năng suất các loại cây trồng, số loại và số lượng đàn gia súc ở từng khu vực và toàn lưu vực tại các thời điểm hiện tại và tương lai;
+ Xác định các chỉ tiêu tưới thiết kế như mô hình mưa tưới, hệ số tưới, mức tưới và thời gian tưới trường hợp bình thường, trường hợp xảy ra hạn hán, xâm nhập mặn vượt tần suất thiết kế;
+ Tính nhu cầu nước tưới cho từng loại cây trồng ở từng khu vực và toàn lưu vực trường hợp bình thường, trường hợp xảy ra hạn hán, xâm nhập mặn;
+ Tính toán nhu cầu nước cho chăn nuôi, thủy sản, công nghiệp, giao thông thủy, duy trì môi trường, dân sinh và các ngành kinh tế trường hợp bình thường, trường hợp xảy ra hạn hán, xâm nhập mặn;
+ Tính toán nhu cầu nước cho điều kiện bất lợi của thiên tai có liên quan đến việc cấp nước;
+ Tổng hợp nhu cầu dùng nước các ngành kinh tế theo các giai đoạn hiện tại, đến năm quy hoạch, tầm nhìn quy hoạch;
- Tiêu chuẩn cấp nước: Tiêu chuẩn cấp nước cho lúa: Công trình thủy lợi - Hệ thống tưới tiêu - Phương pháp xác định hệ số tưới lúa TCVN 9168:2012; Tiêu chuẩn cấp nước đô thị, các điểm dân cư nông thôn và các khu công nghiệp: Tiêu chuẩn xây dựng Việt Nam (TCXDVN 33:2006) Cấp nước - Mạng lưới đường ống và công trình tiêu chuẩn thiết kế; cấp nước cho các lĩnh vực khác: thủy sản, chăn nuôi, cây trồng cạn... áp dụng các tiêu chuẩn, quy chuẩn hiện hành;
- Tính toán cân bằng nước
Tính toán cân bằng nước thực hiện cho toàn vùng quy hoạch và từng tiểu vùng theo các kịch bản, thực hiện như sau:
+ Cân bằng sơ bộ theo năm, theo tháng cho giai đoạn hiện tại với nguồn nước hiện có, xác định mức thừa, thiếu;
+ Tính toán cân bằng nước, xác định mức bảo đảm nhu cầu nước trong năm tính toán cho các trường hợp: Phát triển tương lai theo nguồn nước hiện có (với các công trình điều tiết hiện có và đang xây dựng); phát triển tương lai có tính đến các biện pháp công trình điều tiết, bổ sung dự kiến, có xét đến tác động của biến đổi khí hậu. Trường hợp thiếu nước, nghiên cứu, đề xuất phương án điều chỉnh nhu cầu nước của các hộ dùng nước (nông nghiệp, thủy sản, thủy điện…) hoặc đề xuất giải pháp bổ sung nguồn nước từ các lưu vực lân cận.;
- Nghiên cứu đề xuất các phương án cấp nước:
Trên cơ sở điều tra, tổng hợp nhu cầu nước của các ngành ở từng tiểu vùng và trên toàn lưu vực, khả năng nguồn nước, nghiên cứu đề xuất các phương án, các giải pháp công trình, quy mô công trình cấp nước chuyên ngành hoặc đa mục tiêu. Dùng mô hình toán thủy lực dòng chảy kiệt theo các phương án cấp nước khác nhau để chọn quy mô của công trình và hệ thống công trình phù hợp:
+ Giải pháp cấp nước sinh hoạt và công nghiệp: Nghiên cứu đề xuất các giải pháp cấp nguồn nước cho nhu cầu sinh hoạt và cấp nước cho sản xuất công nghiệp theo các kịch bản khác nhau;
+ Giải pháp cấp nước cho nông nghiệp: Diện tích canh tác hiện tại và tương lai trên toàn lưu vực và từng khu vực cần cấp nước; năng lực thiết kế và khả năng cấp nước thực tế của các công trình và hệ thống cấp nước hiện có, phạm vi và mức đảm bảo cấp nước; nghiên cứu đề xuất các giải pháp công trình, kỹ thuật cấp nước cho từng khu vực và toàn lưu vực theo các kịch bản. Giải pháp đề xuất phải chỉ rõ: (i) Vị trí nguồn nước, công trình đầu mối và vùng hưởng lợi; (ii) Quy mô, nhiệm vụ của từng công trình và hệ thống công trình cấp nước…; (iii) Các giải pháp công nghệ, kỹ thuật cấp nước phù hợp cho các loại hình sử dụng nước trong nông nghiệp;
+ Kết hợp cấp nước cho các ngành khác
Nghiên cứu, đề xuất giải pháp tạo nguồn cấp nước cho các ngành khác, định hướng khai thác phục vụ các mục tiêu cung ứng sản phẩm dịch vụ thủy lợi, như: giao thông thủy, sản xuất điện, du lịch, dịch vụ... và duy trì môi trường sinh thái;
+ Xác định giải pháp cấp nước cho từng loại đối tượng trên phạm vi HTCTTL; phương án phối hợp vận hành giữa các công trình thủy lợi trong HTCTTL;
+ Yêu cầu phương án cấp nước đối với kịch bản khủng hoảng (Hạn hán, xâm nhập mặn, trường hợp vượt tần suất thiết kế): Xác định đối tượng ưu tiên, giải pháp cấp nước cho các đối tượng ưu tiên (nước sinh hoạt, nước cho các cụm công nghiệp, vùng nông nghiệp ảnh hưởng đến an ninh lương thực quốc gia); cơ chế quản lý vận hành HTCTTL ứng phó khủng hoảng; điều tiết phân phối nước trong lưu vực trong giai đoạn khủng hoảng; phương án nhân sự, hệ thống điều hành chỉ đạo các cấp chính quyền cấp tỉnh và liên tỉnh ứng phó trong giai đoạn khủng hoảng; đề xuất các giải pháp phi công trình, các giải pháp mềm, quản lý kết hợp CTTL nâng cao hiệu quả, năng lực công trình thủy lợi;
+ Phương án vận hành giữa các CTTL cần tính toán, xác định, đề xuất phương án vận hành giữa các CTTL trên dòng chính và các công trình trong HTCTTL nhằm bảo đảm phát huy tối đa nhiệm vụ công trình và hiệu quả cấp nước cho các đối tượng sử dụng nước;
d) Tính toán phương án tiêu thoát nước
- Đánh giá, phân tích tình hình ngập lụt, úng, đặc điểm nguyên nhân mưa gây úng hàng năm vùng nghiên cứu trường hợp bình thường, trường hợp vượt tần suất thiết kế;
- Phân vùng tiêu phù hợp với điều kiện tự nhiên, KTXH...;
- Đánh giá khả năng phục vụ của hệ thống công trình tiêu, những tồn tại;
- Xác định các yêu cầu về tiêu úng: Phạm vi cần tiêu, lượng mưa tiêu thiết kế, hệ số tiêu… tại các tiểu vùng ứng với trường hợp bình thường, trường hợp vượt tần suất thiết kế;
- Xác định giải pháp tiêu thoát nước cho từng loại đối tượng trên phạm vi HTCTTL; phương án phối hợp vận hành giữa các công trình thủy lợi trong HTCTTL;
+ Xác định đối tượng ưu tiên, giải pháp tiêu thoát nước cho các đối tượng ưu tiên sau: đô thị, khu tập trung dân cư, các cụm công nghiệp quan trọng, vùng nông nghiệp ảnh hưởng đến an ninh lương thực quốc gia;
+ Phương án sơ tán người và tài sản nhân dân vùng ngập lũ (địa điểm sơ tán, phân phối dân cư, phương án phòng dịch,.);
+ Quản lý vận hành HTCTTL ứng phó khủng hoảng; điều tiết phân lũ trong lưu vực ứng phó giai đoạn khủng hoảng;
+ Phương án nhân sự, hệ thống điều hành chỉ đạo các cấp chính quyền cấp tỉnh và liên tỉnh ứng phó trong giai đoạn khủng hoảng;
- Đề xuất các giải pháp tiêu nước trong giai đoạn quy hoạch và tầm nhìn quy hoạch;
- Tiêu chuẩn áp dụng: Tiêu chuẩn TCVN 10406:2015 về Công trình thủy lợi - Tính toán hệ số tiêu thiết kế;
đ) Tính toán phương án phòng chống lũ
- Đánh giá, phân tích tình hình mưa, lũ hàng năm ứng với trường hợp bình thường, trường hợp vượt tần suất thiết kế;
- Phân tích hiện trạng và định hướng phát triển kinh tế trong vùng bị ảnh hưởng lũ lụt;
- Phân vùng chống lũ;
- Yêu cầu mức đảm bảo chống lũ cho từng tiểu vùng;
- Đánh giá khả năng phục vụ của hệ thống công trình phòng, chống lũ như: Hồ chứa, hệ thống đê, kè, cống, các khu phân lũ, chậm lũ có tính đến tác động của biến đổi khí hậu ứng với trường hợp bình thường, trường hợp vượt tần suất thiết kế; những vấn đề tồn tại và xu hướng nảy sinh trong vấn đề phòng, chống và thoát lũ của lưu vực;
- Đề xuất các giải pháp phòng, chống lũ giai đoạn đến năm quy hoạch, tầm nhìn quy hoạch thích ứng với điều kiện biến đổi khí hậu, nước biển dâng:
+ Giải pháp công trình: Nghiên cứu, tính toán và đề xuất các giải pháp, mức bảo đảm chống lũ thiết kế; nhiệm vụ và quy mô của từng loại công trình;
+ Giải pháp phi công trình: Trồng rừng, phục hồi rừng thượng nguồn (khu vực trồng rừng, phục hồi rừng, khuyến nghị loại cây trồng để phù hợp khí hậu thổ nhưỡng và đem lại hiệu quả chậm, giảm lũ tối ưu); trồng cây, trồng cỏ chống sạt lở đê (khu vực cần trồng cây, khuyến nghị loại cây trồng); vạch ranh giới bảo vệ đê điều, các biện pháp bảo vệ đê điều; biện pháp giữ gìn, khơi thông dòng chảy; kiến nghị chế độ, chính sách đối với các cấp địa phương trong công tác phòng, chống lũ;
+ Phương án vận hành giữa các CTTL: Cần tính toán, xác định, đề xuất phương án vận hành giữa các CTTL trên dòng chính và các công trình trong hệ thống công trình thủy lợi nhằm bảo đảm phát huy tối đa nhiệm vụ công trình và hiệu quả phòng chống lũ, úng, ngập lụt;
e) Định hướng khai thác phục vụ các mục tiêu cung cấp sản phẩm dịch vụ thủy lợi khác như sản xuất điện, du lịch, dịch vụ.
- Xác định nhu cầu khai thác các sản phẩm dịch vụ liên quan đến hệ thống CTTL;
- Xác định yêu cầu, chỉ tiêu kỹ thuật (phạm vi cung cấp, số lượng, chất lượng, các chỉ tiêu điều kiện đảm bảo môi trường bền vững) của sản phẩm dịch vụ thủy lợi;
- Tính toán giải pháp và khả năng cung cấp các sản phẩm dịch vụ thủy lợi.
II.2.5. Đề xuất giải pháp công trình, danh mục công trình, dự án, thứ tự ưu tiên
II.2.5.1. Giải pháp công trình
a) Công trình đề xuất gồm: công trình lợi dụng tổng hợp, đầu mối trên dòng chính, dòng nhánh; công trình chuyển nước trong và ngoài vùng nghiên cứu; công trình liên ngành, liên vùng. Hệ thống công trình điều tiết trong hệ thống thủy lợi (hồ chứa, cống, đập, trạm bơm, kênh...); các công trình hồ chứa từ nước dưới đất, nước khe (đối với các vùng miền núi khan hiếm nước); Công trình đề xuất phải chỉ rõ: vị trí, quy mô, thông số kỹ thuật và nhiệm vụ chủ yếu, tổng mức đầu tư dự kiến;
b) Phân tích hiệu ích đầu tư:
- Hiệu ích định lượng: Tổng hợp vốn đầu tư ước toán thực hiện các giải pháp và chi phí sản xuất tăng thêm để đảm bảo năng suất, sản lượng thiết kế của các ngành kinh tế và chi phí quản lý hàng năm, chi phí sửa chữa, khôi phục công trình và thiết bị; xác định phần tăng thêm về năng suất, sản lượng, tổng giá trị thu nhập do đầu tư thực hiện các giải pháp phát triển nguồn nước;
- Hiệu ích không định lượng được: Cải thiện môi trường sinh thái; cải thiện điều kiện sống, sản xuất và giao thông; góp phần ổn định, an ninh quốc phòng, phát triển văn hoá - xã hội;
- Tính toán các chỉ số kinh tế: IRR, B/C, NPV,…. lựa chọn phương án đầu tư tối ưu.
II.2.5.2. Giải pháp phi công trình
- Về quản lý, vận hành công trình;
- Các giải pháp mềm, sử dụng tiết kiệm nước, trồng rừng, khuyến cáo bảo vệ công trình. Ứng dụng tiến bộ khoa học công nghệ.
II.2.5.3. Đề xuất danh mục công trình, dự án ưu tiên
Công trình, dự án ưu tiên được xây dựng trên cơ sở:
- Yêu cầu cấp bách về sử dụng nước trong vùng nghiên cứu;
- Khả năng huy động nguồn lực để xây dựng công trình;
- Hiệu ích kinh tế của công trình ưu tiên đầu tư.
II.2.6. Định hướng nhu cầu sử dụng đất phục vụ xây dựng mới, cải tạo, nâng cấp công trình thủy lợi; nhu cầu sử dụng đất để chứa vật liệu nạo vét, mở rộng kênh, mương
- Xác định sơ bộ diện tích đất để bố trí xây dựng các công trình theo quy hoạch đề xuất;
- Xác định sơ bộ không gian, diện tích đất để tập kết nguyên vật liệu, vật tư, phương tiện thi công, cải tạo nâng cấp công trình;
- Xác định sơ bộ diện tích đất để chứa vật liệu nạo vét, mở rộng kênh mương.
II.2.7. Giải pháp, nguồn lực thực hiện quy hoạch
- Giải pháp về pháp luật, chính sách;
- Giải pháp về tài chính, đầu tư;
- Giải pháp về khoa học và công nghệ;
- Giải pháp về tuyên truyền, nâng cao nhận thức;
- Giải pháp về đào tạo, tăng cường năng lực;
- Giải pháp về hợp tác quốc tế;
- Giải pháp về tổ chức thực hiện và giám sát thực hiện quy hoạch.
II.2.8. Đánh giá môi trường chiến lược
- Nội dung báo cáo ĐMC của quy hoạch thực hiện theo Thông tư số 18/2016/TT-BNNPTNT ngày 24/6/2016 của Bộ Nông nghiệp và Phát triển nông thôn quy định một số nội dung về ĐMC, đánh giá tác động môi trường và các hướng dẫn về ĐMC, đánh giá tác động môi trường và cam kết bảo vệ môi trường theo quy định của pháp luật về bảo vệ môi trường;
- Định mức áp dụng: Thông tư liên tịch số 50/2012/TTLT-BTC-BTNMT ngày 30/3/2012 của Bộ Tài chính và Bộ Tài nguyên và Môi hướng dẫn cơ chế tài chính và mức kinh phí lập báo cáo đánh giá môi trường chiến lược.
II.2.9. Lập báo cáo tổng hợp, báo cáo tóm tắt quy hoạch
- Báo cáo tổng hợp quy hoạch: Tổng hợp toàn bộ các nội dung chính đã xây dựng tại các mục II.2.4, II.2.5, II.2.6, II.2.7, II.2.8 tại chương II, Phụ lục I.
- Báo cáo tóm tắt: Tóm tắt các nội dung chính, chủ yếu trong báo cáo tổng hợp.
II.2.10. Lập bản đồ
II.2.10.1. Yêu cầu các loại bản đồ cần lập
- Bản đồ hiện trạng sử dụng đất;
- Bản đồ phương hướng sử dụng đất;
- Bản đồ hiện trạng hạn và công trình cấp nước;
- Bản đồ hiện trạng úng, lụt và công trình tiêu, chống lũ;
- Bản đồ quy hoạch cấp nước;
- Bản đồ quy hoạch tiêu, thoát nước;
- Bản đồ quy hoạch phòng, chống lũ. Trường hợp úng và lũ không nghiêm trọng, việc giải quyết tiêu thoát nước và chống lũ đồng thời thì có thể trình bày chung trên một bản đồ quy hoạch tiêu thoát nước và phòng, chống lũ;
- Bản đồ Atlat đóng thành tập phụ lục bản đồ, khổ A3.
II.2.10.2. Yêu cầu về tỷ lệ bản đồ
- Tỷ lệ tối thiểu 1:50.000 tương ứng với diện tích đất quy hoạch dưới 10.000 ha;
- Tỷ lệ tối thiểu 1:100.000 tương ứng với diện tích đất quy hoạch từ 10.000ha - 200.000 ha;
- Tỷ lệ tối thiểu 1:250.000 tương ứng với diện tích đất quy hoạch trên 200.000 ha.
(Các bản đồ xây dựng trên nền bản đồ địa hình hệ tọa độ VN2000)
II.2.11. Hoàn chỉnh hồ sơ quy hoạch
- Rà soát, hoàn chỉnh các báo cáo chuyên đề, báo cáo tổng hợp, báo cáo tóm tắt;
- Rà soát, hoàn chỉnh các loại bản đồ;
- Dự thảo tờ trình, quyết định phê duyệt đồ án quy hoạch và chuẩn bị hồ sơ để trình cấp có thẩm quyền phê duyệt;
- Nhân bản hồ sơ tài liệu quy hoạch để gửi cho các cấp có thẩm quyền phê duyệt;
- Tổng hợp ý kiến góp ý của các địa phương, bộ, ngành, tổ chức, cá nhân liên quan; chỉnh sửa theo các nội dung góp ý; xây dựng văn bản giải trình các nội dung chỉnh sửa;
- Hội thảo và lấy ý kiến:
+ Chuẩn bị tài liệu và các chuẩn bị khác phục vụ hội thảo (nhân bản tài liệu, gửi các tài liệu quy hoạch và các tài liệu liên quan để lấy ý kiến góp ý);
+ Tổ chức hội thảo;
- Hoàn chỉnh hồ sơ quy hoạch:
+ Tổng hợp các ý kiến góp ý;
+ Hoàn thiện hồ sơ quy hoạch tổng thể thủy lợi vùng quy hoạch;
- In ấn, nhân bộ, giao nộp và lưu trữ hồ sơ sản phẩm.
II.2.12. Sản phẩm quy hoạch thủy lợi
II.2.12.1. Các báo cáo quy hoạch thủy lợi
- Báo cáo tổng hợp;
- Báo cáo tóm tắt;
- Các báo cáo chuyên đề:
+ Báo cáo hiện trạng và định hướng phát triển KTXH;
+ Báo cáo hiện trạng thủy lợi;
+ Báo cáo khí tượng, thủy văn;
+ Báo cáo thủy công, kinh tế;
+ Báo cáo tính toán thủy lực (nếu có phần tính toán thủy lực);
+ Báo cáo tính toán phương án cấp nước; tiêu, thoát nước; phòng, chống lũ;
- Báo cáo đánh giá môi trường chiến lược.
II.2.12.2. Các loại bản đồ
II.2.12.3. Các tài liệu khác (nếu có)
- Hồ sơ khảo sát kỹ thuật;
- Các phụ lục số liệu tính toán, hình ảnh, phiếu điều tra...;
- Các văn bản liên quan về đồ án quy hoạch, văn bản góp ý cho báo cáo quy hoạch của các địa phương, Bộ, ngành liên quan.
II.2.12.4. Hình thức giao nộp và lưu trữ hồ sơ quy hoạch
- Thực hiện theo yêu cầu nhiệm vụ lập quy hoạch được phê duyệt.
Chương III
ĐỊNH MỨC KINH TẾ - KỸ THUẬT LẬP QUY HOẠCH THỦY LỢI
I. Định mức lao động
Định mức lao động các nội dung công việc được tính theo Bảng 6.
Bảng 6. Định mức lao động
Đơn vị tính: Công/100.000 ha
|
TT |
Nội dung công việc |
Số lượng bậc công lao động) |
Định mức/1 bậc công |
|||
|
KS3 |
KS5 |
KSC3 |
Nội nghiệp |
Ngoại nghiệp |
||
|
I |
Thu thập tài liệu cơ bản |
3 |
2 |
1 |
42,1 |
|
|
II |
Khảo sát tổng hợp, thu thập tài liệu dân sinh kinh tế |
2 |
2 |
2 |
51,2 |
64,0 |
|
III |
Các nội dung tính toán đề xuất giải pháp quy hoạch |
|
|
|
|
|
|
1 |
Phân tích, đánh giá điều kiện tự nhiên, nguồn nước; điều kiện KTXH; nguồn lực; đánh giá hiện trạng thủy lợi, kết quả thực hiện QHTL thời kỳ trước trên phạm vi vùng quy hoạch |
|
|
|
|
|
|
- |
Đối với lập QHTL lưu vực sông liên tỉnh |
2 |
3 |
2 |
55,3 |
|
|
- |
Đối với lập QHTL của HTCTTL liên quan từ 2 tỉnh trở lên |
2 |
3 |
2 |
60,9 |
|
|
2 |
Dự báo xu thế phát triển và các kịch bản phát triển, nguồn nước trong bối cảnh chịu tác động của biến đổi khí hậu, nước biển dâng, thiên tai; dự báo tiến bộ khoa học và công nghệ, nguồn lực ảnh hưởng trực tiếp đến thủy lợi |
2 |
3 |
2 |
33,2 |
|
|
3 |
Đánh giá về liên kết ngành, liên kết vùng; xác định yêu cầu của phát triển KTXH đối với thủy lợi; cơ hội và thách thức đối với phát triển thủy lợi trên vùng quy hoạch |
2 |
3 |
2 |
33,2 |
|
|
4 |
Xác định quan điểm, mục tiêu phát triển thủy lợi |
2 |
3 |
2 |
33,2 |
|
|
5 |
Phân tích, tính toán và xây dựng phương án thủy lợi theo các kịch bản phát triển trên phạm vi vùng quy hoạch; Xác định giải pháp thủy lợi cho từng loại đối tượng trên phạm vi HTCTTL, phương án phối hợp vận hành giữa các CTTL trong HTCTTL; bảo đảm tạo nguồn, tích trữ, cân đối, điều hòa, phân phối nguồn nước; chuyển nước liên lưu vực, quốc gia; giảm thiểu rủi ro hạn hán, thiếu nước, xâm nhập mặn, sa mạc hóa, lũ, ngập lụt, úng, ô nhiễm, suy thoái nguồn nước và các thiên tai khác liên quan đến nước trên phạm vi vùng quy hoạch. |
|
|
|
|
|
|
5.1 |
Phân tích đặc điểm khí tượng thủy văn, hải văn |
2 |
2 |
3 |
105,2 |
|
|
5.2 |
Tính toán thủy lực, phương án cấp nước |
|
|
|
|
|
|
- |
Đối với lập QHTL lưu vực sông liên tỉnh |
2 |
2 |
3 |
84,1 |
|
|
- |
Đối với lập QHTL của HTCTTL liên quan từ 2 tỉnh trở lên |
2 |
2 |
3 |
92,6 |
|
|
5.3 |
Tính toán thủy lực, phương án tiêu thoát nước |
|
|
|
|
|
|
- |
Đối với lập QHTL lưu vực sông liên tỉnh |
2 |
2 |
3 |
73,6 |
|
|
- |
Đối với lập QHTL của HTCTTL liên quan từ 2 tỉnh trở lên |
2 |
2 |
3 |
81,0 |
|
|
5.4 |
Tính toán thủy lực, phương án phòng chống lũ |
|
|
|
|
|
|
- |
Đối với lập QHTL lưu vực sông liên tỉnh |
2 |
2 |
3 |
52,6 |
|
|
- |
Đối với lập QHTL của HTCTTL liên quan từ 2 tỉnh trở lên |
2 |
2 |
3 |
57,8 |
|
|
5.5 |
Định hướng khai thác phục vụ các mục tiêu cung cấp sản phẩm dịch vụ thủy lợi khác như sản xuất điện, du lịch, dịch vụ |
2 |
2 |
3 |
31,6 |
|
|
IV |
Đề xuất giải pháp công trình, danh mục công trình, dự án, thứ tự ưu tiên |
1 |
3 |
2 |
74,7 |
|
|
V |
Định hướng nhu cầu sử dụng đất phục vụ xây dựng mới, cải tạo, nâng cấp CTTL; nhu cầu sử dụng đất để chứa vật liệu nạo vét, mở rộng kênh, mương |
1 |
3 |
2 |
37,3 |
|
|
VI |
Giải pháp, nguồn lực thực hiện quy họach |
1 |
3 |
2 |
24,9 |
|
|
VII |
Lập báo cáo tổng hợp, báo cáo tóm tắt quy hoạch |
|
|
|
|
|
|
- |
Đối với lập QHTL lưu vực sông liên tỉnh |
|
4 |
4 |
154,7 |
|
|
- |
Đối với lập QHTL của HTCTTL liên quan từ 2 tỉnh trở lên |
|
4 |
4 |
170,1 |
|
|
VIII |
Lập bản đồ |
2 |
2 |
2 |
51,2 |
|
|
IX |
Hoàn chỉnh hồ sơ quy hoạch |
2 |
2 |
2 |
38,4 |
|
II. Định mức thiết bị
Định mức thiết bị được tính theo Bảng 7.
Bảng 7. Định mức thiết bị
Đơn vị tính: Ca/100.000ha
|
TT |
Danh mục thiết bị |
Đơn vị tính |
Thời hạn (tháng) |
Nội nghiệp |
Ngoại nghiệp |
|
1 |
Điều hòa 2 chiều 12000 BTU - 2,2 KW |
bộ |
120 |
1.289,6 |
- |
|
2 |
Máy Photocopy - 1KW |
cái |
120 |
429,9 |
- |
|
3 |
Máy tính xách tay - 0,04KW |
cái |
60 |
1.289,6 |
43,2 |
|
4 |
Máy GPS cầm tay |
cái |
120 |
- |
23,0 |
III. Định mức dụng cụ
Định mức dụng cụ được tính theo Bảng 8.
Bảng 8. Định mức dụng cụ
Đơn vị tính: Ca/100.000ha
|
TT |
Danh mục dụng cụ |
Đơn vị tính |
Thời hạn (tháng) |
Nội nghiệp |
Ngoại nghiệp |
|
1 |
Bàn làm việc |
cái |
60 |
2.136 |
- |
|
2 |
Ghế văn phòng |
cái |
60 |
2.136 |
- |
|
3 |
Máy in lazer A4 0,5KW |
cái |
60 |
449 |
- |
|
4 |
USB |
cái |
12 |
1.796 |
23 |
|
5 |
Tủ đựng tài liệu |
cái |
60 |
1.068 |
- |
|
6 |
Điện năng |
kwh |
|
718 |
- |
|
7 |
Dụng cụ khác |
% |
|
3,50 |
1,50 |
IV. Định mức vật liệu
Định mức vật liệu được tính theo Bảng 9.
Bảng 9. Định mức vật liệu
Đơn vị tính: Mức/100.000ha
|
TT |
Danh mục vật liệu |
Đơn vị tính |
Nội nghiệp |
Ngoại nghiệp |
|
1 |
Bút viết |
cái |
244,1 |
16,1 |
|
2 |
Giấy A4 |
ram |
183,0 |
- |
|
3 |
Mực in A4 |
hộp |
41,0 |
- |
|
4 |
Mực photocopy |
hộp |
31,1 |
- |
|
5 |
Sổ ghi chép |
quyển |
122,0 |
- |
|
6 |
Sổ nhật ký |
quyển |
- |
16,1 |
|
7 |
Túi nhựa đựng tài liệu |
cái |
763,2 |
16,1 |
|
8 |
Vật liệu khác |
% |
6,0 |
2,0 |
V. Hệ số sử dụng vật liệu, dụng cụ, máy móc thiết bị cho công tác nội nghiệp
Định mức sử dụng vật liệu, dụng cụ, máy móc thiết bị cho công tác nội nghiệp của từng công việc lập QHTL được tính theo hệ số tại Bảng 10.
Bảng 10. Hệ số điều chỉnh vật liệu, dụng cụ, máy móc thiết bị
|
TT |
Nội dung công việc |
Hệ số |
|
I |
Thu thập tài liệu cơ bản |
0,03 |
|
II |
Khảo sát tổng hợp, điều tra thu thập tài liệu dân sinh kinh tế |
0,04 |
|
III |
Các nội dung tính toán đề xuất giải pháp quy hoạch |
|
|
1 |
Phân tích, đánh giá điều kiện tự nhiên, nguồn nước; điều kiện KTXH; nguồn lực; đánh giá hiện trạng thủy lợi, kết quả thực hiện QHTL thời kỳ trước trên phạm vi vùng quy hoạch |
0,08 |
|
2 |
Dự báo xu thế phát triển và các kịch bản phát triển, nguồn nước trong bối cảnh chịu tác động của biến đổi khí hậu, nước biển dâng, thiên tai; dự báo tiến bộ khoa học và công nghệ, nguồn lực ảnh hưởng trực tiếp đến thủy lợi |
0,03 |
|
3 |
Đánh giá về liên kết ngành, liên kết vùng; xác định yêu cầu của phát triển KTXH đối với thủy lợi; cơ hội và thách thức đối với phát triển thủy lợi trên vùng quy hoạch |
0,03 |
|
4 |
Xác định quan điểm, mục tiêu phát triển thủy lợi |
0,03 |
|
5 |
Phân tích, tính toán và xây dựng phương án thủy lợi theo các kịch bản phát triển trên phạm vi vùng quy hoạch; Xác định giải pháp thủy lợi cho từng loại đối tượng trên phạm vi HTCTTL, phương án phối hợp vận hành giữa các CTTL trong HTCTTL; bảo đảm tạo nguồn, tích trữ, cân đối, điều hòa, phân phối nguồn nước; chuyển nước liên lưu vực, quốc gia; giảm thiểu rủi ro hạn hán, thiếu nước, xâm nhập mặn, sa mạc hóa, lũ, ngập lụt, úng, ô nhiễm, suy thoái nguồn nước và các thiên tai khác liên quan đến nước trên phạm vi vùng quy hoạch. |
|
|
5.1 |
Phân tích đặc điểm khí tượng, thủy văn, hải văn |
0,12 |
|
5.2 |
Tính toán thủy lực, phương án cấp nước |
0,09 |
|
5.3 |
Tính toán thủy lực, phương án tiêu thoát nước |
0,08 |
|
5.4 |
Tính toán thủy lực, phương án phòng chống lũ |
0,05 |
|
5.5 |
Định hướng khai thác phục vụ các mục tiêu cung cấp sản phẩm dịch vụ thủy lợi khác như sản xuất điện, du lịch, dịch vụ |
0,03 |
|
IV |
Đề xuất giải pháp công trình, danh mục công trình, dự án, thứ tự ưu tiên |
0,07 |
|
V |
Định hướng nhu cầu sử dụng đất phục vụ xây dựng mới, cải tạo, nâng cấp CTTL; nhu cầu sử dụng đất để chứa vật liệu nạo vét, mở rộng kênh, mương |
0,03 |
|
VI |
Giải pháp, nguồn lực thực hiện quy hoạch |
0,01 |
|
VII |
Lập báo cáo tổng hợp, báo cáo tóm tắt quy hoạch |
0,22 |
|
VIII |
Lập bản đồ |
0,04 |
|
IX |
Hoàn chỉnh hồ sơ quy hoạch |
0,03 |
Phụ lục II
QUY ĐỊNH KỸ THUẬT VÀ ĐỊNH MỨC KINH TẾ - KỸ THUẬT ĐIỀU TRA CƠ BẢN THỦY LỢI
(Ban hành kèm theo Thông tư số 11/2020/TT-BNNPTNT ngày 27 tháng 10 năm 2020 của Bộ trưởng Bộ Nông nghiệp và Phát triển nông thôn)
Chương I
QUY ĐỊNH CHUNG
I.1. Cơ sở xây dựng định mức kinh tế - kỹ thuật
- Luật Thủy lợi ngày 19 tháng 6 năm 2017;
- Luật Tài nguyên nước ngày 21 tháng 6 năm 2012;
- Luật Đê điều ngày 29 tháng 11 năm 2006;
- Nghị định số 67/2018/NĐ-CP ngày 14 tháng 5 năm 2018 của Chính phủ quy định chi tiết một số điều của Luật Thủy lợi;
- Nghị định số 114/2018/NĐ-CP ngày 04 tháng 9 năm 2018 của Chính phủ quản lý an toàn đập, hồ chứa nước;
- Thông tư số 05/2018/TT-BNNPTNT ngày 15 tháng 5 năm 2018 của Bộ Nông nghiệp và Phát triển nông thôn quy định chi tiết một số điều của Luật Thủy lợi;
- Thông tư số 45/2018/TT-BTC ngày 07 tháng 5 năm 2018 của Bộ Tài chính hướng dẫn chế độ quản lý, tính hao mòn, khấu hao tài sản cố định tại các cơ quan, tổ chức, đơn vị và tài sản cố định do nhà nước giao cho doanh nghiệp quản lý không tính thành phần vốn nhà nước tại doanh nghiệp;
- Thông tư số 109/2016/TT-BTC ngày 30 tháng 6 năm 2016 của Bộ Tài chính Quy định lập dự toán, quản lý, sử dụng và quyết toán kinh phí thực hiện các cuộc điều tra thống kê, tổng điều tra thống kê quốc gia.
I.2. Quy định viết tắt
|
STT |
Chữ viết tắt |
Nội dung viết tắt |
|
1 |
ĐVT |
Đơn vị tính |
|
2 |
THSD |
Thời hạn sử dụng dụng cụ, thiết bị |
|
3 |
KS1 |
Kỹ sư bậc 1/9 chuyên ngành phù hợp hoặc tương đương |
|
4 |
KS2 |
Kỹ sư bậc 2/9 chuyên ngành phù hợp hoặc tương đương |
|
5 |
KS3 |
Kỹ sư bậc 3/9 chuyên ngành phù hợp hoặc tương đương |
|
6 |
KS4 |
Kỹ sư bậc 4/9 chuyên ngành phù hợp hoặc tương đương |
|
7 |
KS5 |
Kỹ sư bậc 5/9 chuyên ngành phù hợp hoặc tương đương |
|
8 |
TCVN |
Tiêu chuẩn Việt Nam |
|
9 |
MH |
Mã hiệu |
I.3. Giải thích từ ngữ
- Vùng điều tra là vùng được xác định theo phạm vi địa giới hành chính, lưu vực sông, hệ thống công trình thủy lợi, công trình thủy lợi;
- Nhiệm vụ điều tra là việc thực hiện điều tra cơ bản thủy lợi;
- Nội dung điều tra là nội dung điều tra theo loại công trình thủy lợi;
- Điều tra toàn bộ là việc thu thập tài liệu, khảo sát đối với vùng điều tra;
- Điều tra không toàn bộ là việc thu thập tài liệu, khảo sát không toàn bộ đối với vùng điều tra;
- Điều tra chuyên đề là việc thu thập tài liệu, khảo sát chuyên sâu một nội dung đối với vùng điều tra;
- Dữ liệu thứ cấp là dữ liệu đã có sẵn, được thu thập cho mục đích khác, người nghiên cứu sử dụng lại cho nghiên cứu của mình;
- Dữ liệu sơ cấp là dữ liệu chưa có sẵn, được thu thập lần đầu, do chính người nghiên cứu thu thập.
I.4. Hệ số điều chỉnh
I.4.1. Điều kiện chuẩn cho vùng điều tra
Định mức được tính cho vùng điều tra (vùng chuẩn) có điều kiện chuẩn áp dụng như sau:
a) Điều kiện chuẩn cho công việc điều tra, thu thập tài liệu
- Dữ liệu điều tra sơ cấp;
b) Điều kiện chuẩn cho công việc khảo sát, đo đạc
- Đập, hồ chứa có chiều cao nhỏ hơn 10 m hoặc dung tích toàn bộ nhỏ hơn 500.000 m3;
- Trạm bơm có tổng lưu lượng nhỏ hơn 3.600 m3/h;
- Cống có tổng chiều rộng thoát nước nhỏ hơn 10 m đối với cống thuộc vùng Đồng bằng sông Cửu Long; nhỏ hơn 5 m đối với các vùng còn lại;
- Hệ thống dẫn, chuyển nước có lưu lượng nhỏ hơn 10 m3/s hoặc chiều rộng đáy nhỏ hơn 10 m đối với vùng Đồng bằng sông Cửu Long; lưu lượng nhỏ hơn 5 m3/s hoặc chiều rộng đáy nhỏ hơn 5 m đối với vùng còn lại;
- Đường ống dẫn nước có lưu lượng nhỏ hơn 0,25 m3/s hoặc đường kính ống nhỏ hơn 500 mm;
- Bờ bao thủy lợi có diện tích bảo vệ nhỏ hơn 500 ha;
- Vùng điều tra, đánh giá có diện tích đất tự nhiên nhỏ hơn 20.000 ha;
- Vùng điều tra, đánh giá là vùng đồng bằng, điều kiện đi lại thuận lợi;
- Toàn bộ diện tích của vùng điều tra, đánh giá thuộc phạm vi của một đơn vị hành chính cấp tỉnh (nếu vùng điều tra là liên tỉnh) hoặc một đơn vị hành chính cấp huyện (nếu vùng điều tra là nội tỉnh);
- Vùng điều tra có thiết kế 01 nội dung khảo sát, đo đạc;
- Vùng điều tra thực hiện 01 dạng điều tra, khảo sát, đo đạc.
I.4.2. Hệ số điều chỉnh
- Hệ số điều chỉnh được tính cho định mức lao động, dụng cụ, thiết bị, vật tư áp dụng trong trường hợp vùng điều tra, đánh giá thực tế khác với vùng có điều kiện chuẩn.
- Hệ số điều chỉnh bảng: 1, 2, 3, 4, 5, 6, 7, 8, 9, 10, 11, 12, 13, 14.
Bảng 1. Hệ số đặc điểm đập, hồ chứa (Kct1)
|
TT |
Chiều cao H (m), Dung tích toàn bộ V (106 m3), Chiều dài tràn L (m); Lưu lượng tràn xả lũ thiết kế Qx (m3/s) |
Hệ số Kct1 |
|
1 |
(H < 10) hoặc (V< 0,5) |
1,0 |
|
2 |
(10 ≤ H < 15) hoặc (0,5 ≤ V < 3,0) |
1,5 |
|
3 |
(10 ≤ H < 15 và L > 500) hoặc (10 ≤ H < 15 và Qx > 2.000) hoặc (15 ≤ H < 100) hoặc (3,0 ≤ V < 1.000) |
2,0 |
|
4 |
(H > 100) hoặc (V ≥ 1000) hoặc (5,0 ≤ V < 1.000 và vùng hạ du đập bị ảnh hưởng là thành phố, thị xã hoặc có công trình quan trọng liên quan đến an ninh quốc gia) |
3,0 |
Bảng 2. Hệ số đặc điểm trạm bơm (Kct2)
|
TT |
Tổng lưu lượng trạm bơm Qtr (m3/h); Công suất động cơ một tổ máy Nđc (KW) |
Hệ số Kct2 |
|
1 |
Qtr < 3.600 |
1,0 |
|
2 |
(3.600 ≤ Qtr < 72.000) hoặc (Qtr < 3.600 và Nđc ≥150) |
1,5 |
|
3 |
Qtr ≥ 72.000 |
2,0 |
Bảng 3. Hệ số đặc điểm cống (Kct3)
|
TT |
Tổng chiều rộng thoát nước B (m) |
Hệ số Kct3 |
|
1 |
B < 5 |
1,0 |
|
2 |
5 ≤ B < 20 |
1,5 |
|
3 |
B ≥ 20 |
2,0 |
Bảng 4. Hệ số đặc điểm cống thuộc vùng Đồng bằng sông Cửu Long (Kct4)
|
TT |
Tổng chiều rộng thoát nước B (m) |
Hệ số Kct4 |
|
1 |
B < 10 |
1,0 |
|
2 |
10 ≤ B < 30 |
1,5 |
|
3 |
B ≥ 30 |
2,0 |
Bảng 5. Hệ số đặc điểm hệ thống dẫn, chuyển nước (Kct5)
|
TT |
Lưu lượng Qk (m3/s); Chiều rộng đáy Bđ (m) |
Hệ số Kct5 |
|
1 |
(Qk< 5) hoặc (Bđ < 5) |
1,0 |
|
2 |
(5 ≤ Qk <50) hoặc (5 ≤ Bđ < 25) |
1,5 |
|
3 |
(Qk< 50) hoặc (25 ≤ Bđ < 50) |
2,0 |
Bảng 6. Hệ số đặc điểm hệ thống dẫn, chuyển nước thuộc vùng Đồng bằng sông Cửu Long (Kct6)
|
TT |
Lưu lượng Qk (m3/s); Chiều rộng đáy Bđ (m) |
Hệ số Kct6 |
|
1 |
(Qk< 10) hoặc (Bđ < 10) |
1,0 |
|
2 |
(10 ≤ Qk <100) hoặc (10 ≤ Bđ < 50) |
1,5 |
|
3 |
(Qk ≥ 100) hoặc (Bđ ≥ 50) |
2,0 |
Bảng 7. Hệ số đặc điểm đường ống dẫn nước (Kct7)
|
TT |
Lưu lượng Qô (m3/s); Đường kính Dô (mm) |
Hệ số Kct7 |
|
1 |
(Qk< 0,25) hoặc (Dô < 500) |
1,0 |
|
2 |
(0,25 ≤ Qk < 3) hoặc (500 ≤ Dô < 1500) |
1,5 |
|
3 |
(Qk ≥ 3) hoặc (Dô ≥ 1500) |
2,0 |
Bảng 8. Hệ số đặc điểm bờ bao thủy lợi (Kct8)
|
TT |
Diện tích bảo vệ Fbv (ha) |
Hệ số Kct8 |
|
1 |
Fbv < 500 |
1,0 |
|
2 |
500 ≤ Fbv < 10.000 |
1,5 |
|
3 |
Fbv ≥ 10.000 |
2,0 |
Bảng 9. Hệ số quy mô lưu vực, vùng (Kdt)
|
TT |
Diện tích lưu vực, vùng Fv (ha) |
Hệ số Kdt |
||
|
Vùng đồng bằng |
Vùng trung du |
Vùng núi; hải đảo |
||
|
1 |
Fv < 20.000 |
1,0 |
1,2 |
1,3 |
|
2 |
20.000 ≤ Fv < 30.000 |
1,1 |
1,3 |
1,4 |
|
3 |
30.000 ≤ Fv < 50.000 |
1,2 |
1,4 |
1,5 |
|
4 |
50.000 ≤ Fv < 70.000 |
1,3 |
1,5 |
1,6 |
|
5 |
70.000 ≤ Fv < 100.000 |
1,4 |
1,6 |
1,7 |
|
6 |
100.000 ≤ Fv < 150.000 |
1,5 |
1,7 |
1,8 |
|
7 |
150.000 ≤ Fv < 200.000 |
1,6 |
1,8 |
1,9 |
|
8 |
200.000 ≤ Fv < 250.000 |
1,7 |
1,9 |
2,0 |
|
9 |
250.000 ≤ Fv < 300.000 |
1,8 |
2,0 |
2,1 |
|
10 |
300.000 ≤ Fv < 350.000 |
1,9 |
2,1 |
2,2 |
|
11 |
350.000 ≤ Fv < 500.000 |
2,0 |
2,3 |
2,4 |
|
12 |
500.000 ≤ Fv < 650.000 |
2,2 |
2,5 |
2,6 |
|
13 |
650.000 ≤ Fv < 800.000 |
2,4 |
2,7 |
2,8 |
|
14 |
800.000 ≤ Fv < 850.000 |
2,6 |
2,9 |
3,0 |
|
15 |
850.000≤ Fv < 1.000.000 |
2,8 |
3,1 |
3,2 |
|
16 |
Fv ≥ 1.000.000 |
3,0 |
3,2 |
3,4 |
Bảng 10. Hệ số điều chỉnh mức độ phức tạp của điều kiện địa hình (Kđh)
|
TT |
Đặc điểm địa hình |
Kđh |
|
1 |
Vùng đồng bằng |
1,00 |
|
2 |
Vùng trung du |
1,20 |
|
3 |
Vùng miền núi; vùng sâu; vùng xa; hải đảo; ảnh hưởng triều |
1,40 |
Bảng 11. Hệ số điều chỉnh theo số đơn vị hành chính (Khc)
|
TT |
Số lượng đơn vị hành chính (cấp tỉnh hoặc cấp huyện) |
Khc |
|
1 |
Một đơn vị |
1,00 |
|
2 |
Từ 2 đến 5 |
1,05 |
|
3 |
Từ 6 đến 10 |
1,10 |
|
4 |
Từ 11 đến 15 |
1,20 |
|
5 |
Trên 15 |
1,30 |
Bảng 12. Hệ số điều chỉnh theo nội dung khảo sát, đo đạc (Knd)
|
TT |
Mức độ kết hợp của các nội dung khảo sát, đo đạc |
Knd |
|
1 |
Vùng lập dự án có thiết kế 01 nội dung khảo sát, đo đạc |
1,00 |
|
2 |
Vùng lập dự án có thiết kế 02 nội dung khảo sát, đo đạc |
0,83 |
|
3 |
Vùng lập dự án có thiết kế 03 nội dung khảo sát, đo đạc |
0,78 |
|
4 |
Vùng lập dự án có thiết kế 04 nội dung khảo sát, đo đạc |
0,75 |
|
5 |
Vùng lập dự án có thiết kế > 04 nội dung khảo sát, đo đạc trở lên |
0,73 |
Bảng 13. Hệ số điều chỉnh mức độ kết hợp các dạng điều tra, đánh giá (Kkh)
|
TT |
Mức độ kết hợp của các dạng điều tra, đánh giá |
Kkh |
|
1 |
Thực hiện 1 dạng điều tra, đánh giá |
1,00 |
|
2 |
Thực hiện kết hợp 2 dạng điều tra, đánh giá |
0,83 |
|
3 |
Thực hiện kết hợp 3 dạng điều tra, đánh giá |
0,78 |
|
4 |
Thực hiện kết hợp 4 dạng điều tra, đánh giá |
0,75 |
|
5 |
Thực hiện kết hợp 5 dạng điều tra, đánh giá |
0,73 |
Bảng 14. Hệ số điều chỉnh theo hình thức điều tra (Kht)
|
TT |
Hình thức điều tra |
Kht |
|
1 |
Điều tra không toàn bộ, chuyên đề |
1,0 |
|
2 |
Điều tra toàn bộ |
0,2 |
Bảng 15. Hệ số điều chỉnh theo phương pháp thu thập dữ liệu điều tra (Kpp)
|
TT |
Phương pháp điều tra |
Kpp |
|
1 |
Dữ liệu thứ cấp |
0,5 |
|
2 |
Dữ liệu sơ cấp |
1,0 |
Ghi chú: Trường hợp vùng điều tra có nhiều dạng đăc điểm địa hình thì hệ số điều chỉnh được tính theo giá trị bình quân gia quyền giữa diện tích vùng và hệ số điều chỉnh vùng.
I.5. Thành phần định mức kinh tế - kỹ thuật
- Nội dung công việc gồm các thao tác chính, thao tác phụ để thực hiện bước công việc.
- Phân loại khó khăn gồm các công việc chưa tính trong định mức, điều kiện áp dụng và hệ số điều chỉnh.
Các công việc chưa tính trong định mức là các công việc không được tính hao phí lao động, vật liệu, dụng cụ và thiết bị trong định mức này.
- Số lượng công lao động gồm số lượng, cơ cấu thành phần lao động được tổ chức để thực hiện từng bước công việc cụ thể căn cứ vào tính chất, mức độ phức tạp, yêu cầu về chuyên môn của công việc.
- Định mức lao động là thời gian lao động trực tiếp để sản xuất ra một sản phẩm (hoặc để thực hiện một bước công việc hoặc thực hiện một công việc cụ thể) và thời gian lao động trực tiếp phục vụ trong quá trình kiểm tra nghiệm thu sản phẩm theo quy chế kiểm tra nghiệm thu, đơn vị tính là công nhóm/đơn vị sản phẩm. Đối với những công việc bình thường, một công làm việc tính là 8 giờ.
- Định mức vật liệu, dụng cụ và thiết bị
+ Định mức vật liệu là số lượng vật liệu cần thiết để sản xuất ra một đơn vị sản phẩm (thực hiện một công việc); đơn vị tính theo đơn vị của từng loại vật liệu/đơn vị sản phẩm; định mức vật liệu phụ được tính bằng % định mức vật liệu chính trong bảng định mức vật liệu.
+ Định mức dụng cụ và thiết bị là thời gian sử dụng dụng cụ và thiết bị cần thiết để sản xuất ra một đơn vị sản phẩm (thực hiện một công việc); đơn vị tính là ca/đơn vị sản phẩm; thời hạn sử dụng dụng cụ và thiết bị tính là tháng; định mức dụng cụ phụ được tính bằng % định mức dụng cụ chính trong bảng định mức dụng cụ.
+ Số ca máy sử dụng thiết bị trong một năm: Máy ngoại nghiệp là 250 ca; máy nội nghiệp là 500 ca.
+ Điện năng tiêu thụ của các dụng cụ, thiết bị dùng điện được tính trên cơ sở công suất và định mức dụng cụ, thiết bị và được tính theo công thức:
Định mức điện = (công suất thiết bị/giờ X 8 giờ làm việc X số ca sử dụng dụng cụ, thiết bị) + 5% hao hụt.
I.6. Cách tính định mức
Nếu vùng điều tra có các điều kiện khác với các quy định về điều kiện áp dụng được tính cho vùng chuẩn thì định mức cho vùng cụ thể sẽ được tính theo công thức sau:

Trong đó:
- Mld là định mức (lao động, vật liệu, dụng cụ, thiết bị) của dạng công việc có sử dụng hệ số điều chỉnh;
- Mtc là định mức (lao động, vật liệu, dụng cụ, thiết bị) của dạng công việc được lập trong điều kiện chuẩn;
- Ki là hệ số điều chỉnh thứ i theo mức độ ảnh hưởng đến điều kiện chuẩn;
- n là số các hệ số điều chỉnh.
I.7. Định mức cho các công tác khác
- Định mức cho công tác quản lý dự án không quá 3% kinh phí điều tra, khảo sát trực tiếp.
- Định mức cho công tác giám sát, thẩm tra không quá 7% kinh phí điều tra, khảo sát trực tiếp.
Chương II
QUY ĐỊNH KỸ THUẬT ĐIỀU TRA CƠ BẢN THỦY LỢI
Mục 1
QUY ĐỊNH KỸ THUẬT ĐIỀU TRA SỐ LƯỢNG, CHẤT LƯỢNG VÀ NĂNG LỰC PHỤC VỤ CỦA CÔNG TRÌNH THỦY LỢI
I. Lập dự án
Việc lập, thẩm định, phê duyệt, tổ chức thực hiện, quản lý, giám sát và thẩm tra, nghiệm thu và bàn giao các sản phẩm theo các quy định hiện hành.
II. Công tác ngoại nghiệp
II.1. Chuẩn bị, nhận nhiệm vụ điều tra.
- Nghiên cứu nhiêm vụ, nội dung, xác định đối tượng, phạm vi, vị trí điều tra, khảo sát hiện trạng công trình thủy lợi;
- Nghiên cứu nhiệm vụ điều tra, khảo sát; nghiên cứu các loại bản đồ, hiện trạng các ngành kinh tế - xã hội có liên quan đến khai thác, sử dụng công trình thủy lợi;
- Xác định đối tượng điều tra, khảo sát và sơ bộ khoanh vùng diện tích điều tra, khảo sát hiện trạng công trình thủy lợi.
+ Điều tra, khảo sát hiện trạng đập, hồ chứa nước;
+ Điều tra, khảo sát hiện trạng trạm bơm;
+ Điều tra, khảo sát hiện trạng cống;
+ Điều tra, khảo sát hiện trạng hệ thống dẫn, chuyển nước;
+ Điều tra, khảo sát hiện trạng bờ bao thủy lợi;
+ Điều tra, khảo sát hiện trạng công trình cấp nước nông thôn.
- Nghiên cứu các tài liệu: văn bản pháp lý và các tài liệu liên quan.
- Lập phương án, lộ trình đi điều tra, khảo sát hiện trạng công trình thủy lợi.
+ Lập kế hoạch chi tiết cho việc triển khai lộ trình điều tra, khảo sát;
+ Xây dựng phương án bố trí nhân lực, phương án di chuyển máy móc, thiết bị trong quá trình điều tra, khảo sát thực địa;
- Chuẩn bị nhân công, biểu mẫu, vật liệu, dụng cụ, máy móc, thiết bị và tài liệu điều tra.
+ Chuẩn bị vật tư, thiết bị: máy ảnh (camera), máy GPS, thước;
+ Chuẩn bị máy móc, dụng cụ: máy đo mực nước, lưu lượng hoặc lưu tốc, máy đo địa hình, phương tiện di chuyển;
+ Chuẩn bị các loại sổ thực địa, phiếu điều tra, giấy đi đường, giấy giới thiệu;
+ Đóng gói thiết bị, dụng cụ, vật tư, tài liệu phục vụ cho công tác vận chuyển tới nơi tập kết điều tra, khảo sát tại hiện trường.
- Liên hệ địa phương và các công tác chuẩn bị khác: liên hệ với các sở, ban, ngành tại địa phương về các nội dung, thông tin, số liệu cần thu thập;
- Phục vụ quá trình kiểm tra, nghiệm thu sản phẩm;
- Điều tra, thu thập thông tin, tài liệu, số liệu tại các cơ quan trung ương và địa phương có liên quan;
+ Điều tra, thu thập tài liệu về điều kiện tự nhiên;
+ Điều tra, thu thập tài liệu về hoạt động phát triển kinh tế - xã hội;
+ Điều tra, thu thập tài liệu về hồ sơ thiết kế công trình thủy lợi;
+ Điều tra, thu thập thông tin về quá trình sửa chữa, nâng cấp, cải tạo công trình thủy lợi;
+ Điều tra, thu thập quy trình vận hệ thống công trình thủy lợi, công trình thủy lợi (nếu có).
+ Tổng hợp thông tin, tài liệu, số liệu thu thập từ các cơ quan liên quan.
II.2. Điều tra, khảo sát thực địa
II.2.1. Điều tra, khảo sát, thu thập thông tin hiện trạng đập, hồ chứa nước
II.2.1.1. Điều tra thu thập thông tin bằng mẫu phiếu điều tra đập, hồ chứa nước
- Thông tin về hồ chứa nước: nhiệm vụ thiết kế, thông số kỹ thuật của hồ chứa, diện tích lưu vực; mực nước lớn nhất đã xảy ra; mực nước thấp nhất; diện tích tưới, cấp nước hiện tại; diện tích tưới, cấp nước thiết kế...; tình trạng hư hỏng (bồi lắng lòng hồ, chất lượng nước, ẩn họa mối…); hiện trạng phát triển trong lòng hồ chứa; quá trình nâng cấp, sửa chữa;
- Thông tin về đập chính: thông số kỹ thuật (chiều dài đỉnh đập; chiều cao lớn nhất; cao trình đỉnh đập; cao trình đỉnh tường chắn sóng (nếu có)); vật liệu, kết cấu mặt đập, mái thượng, hạ lưu đập, thoát nước thân đập...; loại đập (đập đất, đập bê tông trọng lực, đập đá đổ...); tình trạng hư hỏng (thấm, lún, chuyển vị, mối…); quá trình nâng cấp, sửa chữa;
- Thông tin về đập phụ: thông số kỹ thuật (chiều dài đỉnh đập; chiều cao lớn nhất; cao trình đỉnh đập; cao trình đỉnh tường chắn sóng (nếu có)); vật liệu, kết cấu mặt đập, mái thượng, hạ lưu đập, thoát nước thân đập..; loại đập (đập đất, đập bê tông trọng lực, đập đá đổ...); tình trạng hư hỏng (thấm, lún, chuyển vị, mối….); quá trình nâng cấp, sửa chữa;
- Thông tin về cống lấy nước: vị trí (dưới đập nào); hình thức cống; khẩu độ cống (số cửa cống, chiều dài, chiều rộng hoặc đường kính); lưu lượng thiết kế; vật liệu; chiều dài cống; cao độ đáy cửa vào; độ dốc đáy cống; loại cửa van, hình thức vận hành (tự động/tay/điện); tình trạng hư hỏng (thấm, lún, chuyển vị, bồi lắng cửa cống…); quá trình nâng cấp, sửa chữa;
- Thông tin về tràn xả lũ: thông số kỹ thuật (lưu lượng xả thiết kế; cao trình ngưỡng tràn; số khoang, bề rộng khoang tràn; kết cấu; hình thức tràn; hình thức tiêu năng sau tràn; hình thức đóng mở; lưu lượng và tổng lượng xả lũ thiết kế); tình trạng hư hỏng (bị hỏng, xuống cấp, không đảm bảo an toàn); tình trạng vận hành (đủ, thiếu khả năng xả lũ theo tiêu chuẩn, quy định kỹ thuật quốc gia hiện hành); quá trình nâng cấp, sửa chữa;
- Thông tin về hệ thống quan trắc, giám sát, cảnh báo, dự báo: quan trắc công trình; quan trắc khí tượng thủy văn chuyên dùng;
- Thông tin về phương án bảo vệ đập, hồ chứa nước, quy trình vận hành;
- Thông tin có liên quan khác: công trình tháo nước, đường quản lý.
II.2.1.2. Yêu cầu về khảo sát đập, hồ chứa nước
a) Đối với hồ chứa nước
- Lấy mẫu nước: Xác định lượng bùn cát lơ lửng (phù sa) có trong nước chảy vào hồ;
- Thời gian lấy mẫu: Trong mùa lũ và mùa kiệt;
- Vị trí lấy mẫu: Tại cửa vào hồ trên các sông, suối chảy vào lòng hồ;
- Đo bình đồ địa hình lòng hồ: Tỷ lệ 1/2.000 đối với hồ chứa nhỏ, hồ chứa vừa; Tỷ lệ 1/5.000 đối với các loại hồ chứa khác.
b) Đối với đập
- Khảo sát mối và các ẩn họa trong thân đập: Áp dụng theo Tiêu chuẩn quốc gia TCVN 8479: 2010 Công trình đê, đập - Yêu cầu kỹ thuật khảo sát mối, một số ẩn họa và xử lý mối gây hại;
+ Vị trí khảo sát: Đối với môi trường thân đập: tại mặt đập (nếu chưa cứng hóa); mái thượng lưu đến mực nước dâng bình thường; mái hạ lưu; Đối với môi trường xung quanh đập: về phía hạ lưu 50 m (đối với đập cấp 3, 4), 100 m (đối với đập cấp đặc biệt, cấp 1, 2) tính từ đường viền chân đập; 2 vai đập với độ cao tăng thêm 0,5H nhưng không vượt quá 50 m (đối với đập cấp 3, 4), 1,0H (đối với đập cấp đặc biệt, cấp 1, 2) tính từ đường tiếp giáp giữa mặt đập và vai đập;
+ Khối lượng khảo sát: Đối với môi trường thân đập: Khảo sát dọc theo tim đập, từ 1- 3 tuyến (đối với đập cấp 3, 4), từ 2- 5 tuyến (đối với đập cấp đặc biệt, cấp 1, 2), mỗi tuyến khảo sát có chiều rộng 4- 8 m; Đối với môi trường xung quanh đập (phía hạ lưu và 2 đầu vai đập): Khảo sát từ 3- 6 tuyến (đối với đập cấp cấp 3, 4), từ 6- 12 tuyến (đối với đập cấp đặc biệt, cấp 1, 2), mỗi tuyến khảo sát có chiều rộng 4- 8 m, khoảng cách giữa 2 tuyến liền kề không nhỏ hơn 15 m;
- Khảo sát thấm, chuyển vị đối với đập đất và đập đất đá hỗn hợp:
+ Đo thấm qua thân đập; thời gian đo: Vào mùa lũ và mùa kiệt; đo mực nước (tại thượng lưu đập, hạ lưu đập và thiết bị tiêu nước (nếu có), ít nhất đo tại 03 vị trí theo chiều ngang (thân đập (lòng sông) và hai vai đập); đo lưu lượng thấm: Tại hạ lưu đập, nơi xuất hiện dòng thấm hoặc có độ cao thấp nhất của các rãnh tập trung nước; đo mặt cắt ngang đập (tối thiểu 03 mặt cắt, vị trí đo tại thân và hai vai đập);
+ Quan trắc lún mặt: Tuyến quan trắc (đập nằm trên phần thềm sông, tuyến quan trắc cách nhau từ 150- 250 m; đập nằm trên phần lòng sông, tuyến quan trắc cách nhau từ 100- 150 m; trong trường hợp đập có chiều cao biến đổi đột ngột, địa chất nền phức tạp, tuyến đập cong mà có góc ngoặt vượt quá 150 thì cần bổ sung thêm tuyến đo); vị trí quan trắc (trên đỉnh đập ngoài phạm vi đường giao thông, bố trí từ 01 mốc nếu chiều rộng đỉnh đập nhỏ hơn 8 m, bố trí 02 mốc nếu chiều rộng đỉnh đập lớn hơn 8 m; trên mái thượng lưu đập, chỉ quan trắc với đập, hồ chứa nước quan trọng đặc biệt, lớn có chế độ làm việc đặc biệt như mực nước giao động lớn, bố trí 01 mốc trên mực nước dâng bình thường và 01 mốc đặt cao hơn mực nước chết từ 1- 2 m; trên mái hạ lưu đập bố trí trên các cơ đập, chỉ khi không có cơ đập mới bố trí trực tiếp lên mái đập, khoảng cách giữa các mốc từ 8- 10 m); thời gian quan trắc (trùng với thời gian quan trắc chuyển vị ngang);
+ Quan trắc lún sâu: Tuyến quan trắc (bố trí cùng tuyến đo với tuyến quan trắc lún mặt. Các mốc đo đặt trên cùng một cao độ trong cùng một mặt cắt ngang của đập, đối với đập đồng chất thì theo chiều cao đập từ 8- 10 m bố trí một tuyến đo, đối với đập không đồng chất thì cứ mỗi loại đất bố trí một tuyến đo. Số lượng mốc đo trong mỗi tuyến bố trí từ 2- 5 mốc); thời gian quan trắc: (trùng với thời gian quan trắc chuyển vị ngang);
+ Quan trắc chuyển vị ngang: Tuyến quan trắc (đập nằm trên phần thềm sông, tuyến quan trắc cách nhau từ 150- 250 m; đập nằm trên phần lòng sông, tuyến quan trắc cách nhau từ 100- 150 m. Số lượng tuyến quan trắc ít nhất là 03 tuyến đo, 01 tuyến tại vị trí sâu nhất, 02 tuyến bố trí hai bên thềm sông. Vị trí tuyến quan trắc bố trí cùng với tuyến quan trắc lún); vị trí quan trắc (đối với bề rộng đỉnh đập lớn hơn 8 m bố trí 02 điểm quan trắc tại mép thượng và hạ lưu đập; đối với bề rộng đỉnh đập nhỏ hơn 8 m bố trí 01 điểm quan trắc tại mép thượng lưu đập hoặc tại giao điểm của mực nước dâng gia cường với mái đập thượng lưu. đối với đập đồng chất thì theo chiều cao đập từ 8- 10m bố trí một tuyến đo, đối với đập không đồng chất thì cứ mỗi loại đất bố trí một tuyến đo. Trong trường hợp có kết cấu bê tông, bê tông cốt thép nằm trong thân đập, tuyến đo nên bố trí trùng với vị trí có kết cấu bê tông cốt thép); thời gian quan trắc (trùng với thời gian quan trắc lún);
- Khảo sát thấm, chuyển vị đối với đập bê tông, bê tông cốt thép (công trình bê tông) trên nền đá:
+ Khảo sát thấm qua khe lún và khe co giãn, thoát đối với bê tông bản mặt;
+ Thời gian đo: Vào mùa lũ và mùa kiệt;
+ Đo tại thượng lưu đập, hạ lưu đập và thiết bị tiêu nước (nếu có); ít nhất đo tại 03 vị trí theo chiều ngang (thân đập (lòng sông) và hai vai đập);
+ Vị trí đo lưu lượng thấm qua khớp (khe) nối bên trong công trình (hoặc trong hành lang công trình): ít nhất tại 03 vị trí của máng tập trung nước (vị trí đầu máng, giữa máng, cuối máng);
+ Khảo sát áp lực nước kẽ rỗng: Vị trí đo áp lực nước kẽ rỗng (tuyến quan trắc nên bố trí trùng với tuyến đo mực nước bão hoà trong thân đập. Trên một tuyến quan trắc, theo chiều cao công trình cách nhau từ 15m đến 20m bố trí một tuyến đo trên mặt cắt ngang của đập. Số lượng vị trí đo trong một tuyến đo ngang phụ thuộc vào bề rộng mặt cắt đập nhưng không ít hơn 5m);
+ Quan trắc lún: Đo chênh lệch lún giữa các bộ phận hoặc giữa các đơn nguyên của công trình. Mỗi một đơn nguyên hoặc bộ phận công trình phải đo tối thiểu tại 02 vị trí ở đầu và cuối đơn nguyên hoặc bộ phận công trình;
+ Quan trắc chuyển vị ngang: Tương tự như quan trắc đập đất và đập đất đá hỗn hợp;
c) Đối với tràn xả lũ
- Quan trắc thấm, chuyển vị: Tương tự như quan trắc đối với đập bê tông, bê tông cốt thép (công trình bê tông) trên nền đá;
- Khảo sát độ ăn mòn cửa van: Đo mức độ giảm nhỏ của độ dày trung bình sau khi bị ăn mòn (đo chiều dày thực tế cửa van);
II.2.1.3. Đo đạc, khảo sát đập, hồ chứa nước
a) Đo mực nước: Áp dụng theo Tiêu chuẩn quốc gia TCVN 8304:2009- Công tác thủy văn trong hệ thống thủy lợi;
b) Đo lưu lượng thấm hạ lưu đập: Áp dụng theo Tiêu chuẩn quốc gia TCVN 8304:2009 - Công tác thủy văn trong hệ thống thủy lợi;
c) Đo lưu lượng thấm qua khớp nối (đối với đập bê tông, bê tông cốt thép): Áp dụng theo Tiêu chuẩn quốc gia TCVN 8304:2009 Công tác thủy văn trong hệ thống thủy lợi;
d) Đo áp lực nước kẽ rỗng: Áp dụng theo Tiêu chuẩn quốc gia TCVN 8215:2009 - Công trình thủy lợi - Các quy định chủ yếu về thiết kế bố trí thiết bị quan trắc cụm công trình đầu mối;
đ) Đo mặt cắt ngang: Áp dụng theo Tiêu chuẩn quốc gia TCVN 8226:2009 Công trình thủy lợi - Các quy định chủ yếu về khảo sát mặt cắt ngang và bình đồ địa hình các tỷ lệ từ 1/200 đến 1/5000;
e) Đo địa hình bình đồ: Áp dụng theo Tiêu chuẩn quốc gia TCVN 8226:2009 Công trình thủy lợi - Các quy định chủ yếu về khảo sát mặt cắt ngang và bình đồ địa hình các tỷ lệ từ 1/200 đến 1/5000;
g) Đo lún mặt, lún sâu: Áp dụng theo Tiêu chuẩn quốc gia TCVN 8215:2009 - Công trình thủy lợi - Các quy định chủ yếu về thiết kế bố trí thiết bị quan trắc cụm công trình đầu mối;
h) Đo chuyển vị ngang: Áp dụng theo Tiêu chuẩn quốc gia TCVN 8215:2009 - Công trình thủy lợi - Các quy định chủ yếu về thiết kế bố trí thiết bị quan trắc cụm công trình đầu mối;
i) Đo mối: Áp dụng theo Tiêu chuẩn quốc gia TCVN 8480:2010 Công trình đê, đập - Yêu cầu thành phần, khối lượng khảo sát và xử lý mối gây hại;
k) Đo chất lượng nước: Theo quy định về đo chất lượng nước tại mục 6, chương II của Thông tư này;
l) Khảo sát độ ăn mòn cửa van: Áp dụng theo Tiêu chuẩn quốc gia TCVN 5404:2009 Ăn mòn kim loại và hợp kim - nguyên tắc chung đối với thử ăn mòn.
II.2.2. Điều tra, khảo sát, đo đạc thu thập thông tin hiện trạng trạm bơm
II.2.2.1. Điều tra thu thập thông tin bằng mẫu phiếu điều tra
Thông tin về trạm bơm: loại nhà trạm, kết cấu nhà trạm, kích thước nhà trạm; loại máy bơm, số tổ máy bơm, lưu lượng thiết kế của máy bơm, tổng lưu lượng thiết kế của trạm bơm, công suất thiết kế của máy bơm; hệ số công suất thiết kế; cao trình đặt máy, cao trình sàn động cơ; cao trình mực nước bể hút (min, thiết kế, max); cao trình mực nước bể xả (min, thiết kế, max); cao trình mực nước bể hút, bể xả thực tế vận hành; cao trình đáy bể hút, cao trình đỉnh bể hút; cao trình đáy bể xả, cao trình đỉnh bể xả; diện tích tưới, cấp nước, tiêu nước hiện trạng; diện tích tưới, cấp nước, tiêu nước theo thiết kế; nguồn lấy nước, tiêu nước (sông, kênh...); tình trạng hư hỏng (chuyển vị, bồi lắng, độ rung, độ ồn...); quá trình nâng cấp sửa chữa;
II.2.2.2. Yêu cầu kỹ thuật về khảo sát trạm bơm
a) Trạm bơm
- Đo chuyển vị (nhà trạm, bể hút, bể xả…):
+ Đo lún mặt: Tối thiểu tại 02 vị trí ở đầu và cuối đơn nguyên hoặc bộ phận;
+ Đo lún sâu: Tối thiểu tại 04 vị trí ở 04 góc của nhà trạm;
+ Đo chuyển vị ngang: Tương tự như quan trắc đập đá, bê tông;
- Đo mực nước:
+ Vị trí: Đo tại cuối kênh dẫn nước vào bể hút, đầu kênh dẫn nước từ bể xả (đoạn kênh có dòng nước chảy ổn định);
+ Thời gian: Trong các đợt bơm vào mùa kiệt (trạm bơm tưới); mùa lũ (trạm bơm tiêu);
- Đo bồi lắng cửa lấy nước:
+ Lấy mẫu nước phân tích hàm lượng bùn cát, phù sa: vị trí lấy mẫu nước kênh dẫn vào bể hút; thời gian và số lượng (lấy 01 mẫu trong mùa kiệt và 01 mẫu trong mùa lũ);
+ Đo mặt cắt ngang hoặc bình đồ bể hút và kênh dẫn vào bể hút: vị trí tại kênh dẫn vào bể hút hoặc tại bể hút; thời gian và số lượng (do 01 mặt cắt ngang tại kênh dẫn vào bể hút hoặc đo bình đồ địa hình tại bể hút);
b) Máy bơm
- Đo mực nước: Vị trí (bể hút hoặc kênh hút, bể xả hoặc kênh xả); số điểm đo trên một mặt cắt ngang (tại mỗi mặt cắt đo phải sử dụng ít nhất 02 điểm đo);
- Đo lưu lượng: Vị trí: trên đường ống đẩy, cửa ra của ống đẩy hoặc trên kênh xả;
- Đo độ rung: Các bộ phận phải đo độ rung: Động cơ, máy bơm, nền nhà máy;
- Đo độ ồn: Vị trí đo (trong nhà trạm và ngoài nhà trạm); thời gian đo khi máy bơm đang hoạt động bình thường.
II.2.2.3. Đo đạc, khảo sát trạm bơm, máy bơm
a) Đo chuyển vị: Áp dụng theo Tiêu chuẩn quốc gia TCVN 8215:2009 - Công trình thủy lợi - Các quy định chủ yếu về thiết kế bố trí thiết bị quan trắc cụm công trình đầu mối;
b) Đo mực nước: Áp dụng theo Tiêu chuẩn quốc gia TCVN 8304:2009 - Công tác thủy văn trong hệ thống thủy lợi;
c) Đo lưu lượng: Áp dụng theo Tiêu chuẩn quốc gia TCVN 8639:2011 - Công trình thủy lợi - máy bơm nước - yêu cầu kỹ thuật và phương pháp khảo nghiệm các thông số trạm bơm;
d) Đo tiếng ồn: Áp dụng theo Tiêu chuẩn quốc gia TCVN 5136:1990 ST SEV 541:1997 Tiếng ồn - Các phương đo - Yêu cầu chung;
đ) Đo độ rung: Áp dụng theo Tiêu chuẩn quốc gia TCVN 9229-1:2012 ISO 10816-1:1995 Rung cơ học - Đánh giá rung động của máy bằng cách đo trên các bộ phận không quay;
e) Đo mặt cắt ngang hoặc bình đồ địa hình: Áp dụng theo Tiêu chuẩn quốc gia TCVN 8226: 2009 Công trình thủy lợi - Các quy định chủ yếu về khảo sát mặt cắt ngang và bình đồ địa hình các tỷ lệ từ 1/200 đến 1/5000;
g) Lấy mẫu nước: Theo quy định về đo chất lượng nước tại mục 6, chương II của Thông tư này;
II.2.3. Điều tra, khảo sát, đo đạc thu thập thông tin hiện trạng cống
II.2.3.1. Điều tra thu thập thông tin bằng mẫu phiếu điều tra
Thông tin về cống: Lưu lượng thiết kế; vật liệu; chế độ dòng chảy; kích thước cống; cao trình đáy cống; diện tích tưới, cấp nước, tiêu nước thực tế; diện tích tưới, cấp nước, tiêu nước thiết kế; nguồn lấy nước, tiêu nước (sông, kênh...); tình trạng hư hỏng (chuyển vị, bồi lắng cửa cống, ăn mòn cửa cống...); quá trình nâng cấp, sửa chữa.
II.2.3.2. Yêu cầu kỹ thuật về khảo sát cống
a) Đo chuyển vị
- Đo lún: Tối thiểu tại 02 vị trí trên thân cống ở thượng lưu và hạ lưu;
- Đo chuyển vị ngang: Tương tự như quan trắc đập đá, bê tông;
b) Đo mực nước
- Thời gian: Vào mùa kiệt và mùa lũ;
- Vị trí: Tại thượng và hạ lưu cống (cửa vào và cửa ra);
c) Đo lưu lượng
- Thời gian: Vào mùa kiệt và mùa lũ;
- Vị trí: Tại thượng và hạ lưu cống (cửa vào và cửa ra);
d) Đo bồi lắng cửa lấy nước
- Lấy mẫu nước phân tích hàm lượng bùn cát, phù sa:
+ Vị trí lấy mẫu: Tại cửa lấy nước hoặc kênh dẫn vào cửa cống lấy nước;
+ Thời gian và số lượng: Lấy 01 mẫu trong mùa kiệt và 01 mẫu trong mùa lũ;
- Đo mặt cắt ngang kênh dẫn vào cửa cống hoặc đo mặt cắt ngang tại cửa vào của cống:
+ Vị trí: Tại cửa lấy nước hoặc kênh dẫn vào cửa vào cống lấy nước;
+ Thời gian và số lượng: Đo 01 mặt cắt ngang tại kênh dẫn vào cửa cống hoặc mặt cắt ngang tại cửa cống;
đ) Đo mức độ ăn mòn cửa van: Đo mức độ giảm nhỏ của độ dày trung bình sau khi bị ăn mòn (đo chiều dày thực tế cửa van);
e) Đo mức độ kín khít: Vị trí tại cửa ra hạ lưu cống lấy nước, khi cửa van đã đóng kín hoàn toàn;
II.2.3.3. Đo đạc, khảo sát cống
a) Đo chuyển vị: Tương tự phương pháp đo chuyển vị đối trạm bơm;
b) Đo mực nước: Áp dụng theo Tiêu chuẩn quốc gia TCVN 8304:2009 - Công tác thủy văn trong hệ thống thủy lợi;
c) Đo lưu lượng: Áp dụng theo Tiêu chuẩn quốc gia TCVN 8304:2009 - Công tác thủy văn trong hệ thống thủy lợi;
d) Đo mặt cắt ngang: Áp dụng theo Tiêu chuẩn quốc gia TCVN 8226:2009 Công trình thủy lợi - Các quy định chủ yếu về khảo sát mặt cắt ngang và bình đồ địa hình các tỷ lệ từ 1/200 đến 1/5000;
đ) Lấy mẫu nước: Theo quy định về đo chất lượng nước tại mục 6, chương II của Thông tư này;
e) Đo lưu lượng nước xác định mức độ kín kít nước của cửa van: Áp dụng theo Tiêu chuẩn quốc gia TCVN 8304:2009 Công tác thủy văn trong hệ thống thủy lợi;
g) Đo mức độ ăn mòn các cửa van: Áp dụng theo Tiêu chuẩn quốc gia TCVN 5404:2009 Ăn mòn kim loại và hợp kim - nguyên tắc chung đối với thử ăn mòn;
II.2.4. Điều tra, khảo sát, đo đạc thu thập thông tin hiện trạng hệ thống dẫn, chuyển nước
II.2.4.1. Điều tra thu thập thông tin bằng mẫu phiếu điều tra
Thông tin về hệ thống dẫn, chuyển nước: Vật liệu, kích thước (chiều dài, chiều rộng, chiều cao, đường kính), cao trình đáy đầu tuyến; độ dốc mái (nếu có), độ dốc đáy, hình thức; số lượng và loại công trình trên kênh, rạch, mương, cầu máng; diện tích tưới, cấp nước, tiêu nước thực tế; diện tích tưới, cấp nước, tiêu nước thiết kế; tình trạng hư hỏng (sạt, trượt, bồi lắng, chất lượng nước...); quá trình nâng cấp, sửa chữa.
II.2.4.2. Yêu cầu kỹ thuật về khảo sát hệ thống dẫn, chuyển nước
a) Kênh, mương, rạch, cầu máng
- Đo mực nước:
+ Thời gian: Vào mùa kiệt và mùa lũ;
+ Vị trí: Tại cửa vào và tại các vị trí các phân lưu;
- Đo lưu lượng:
+ Thời gian: Vào mùa kiệt và mùa lũ;
+ Vị trí: Tại cửa vào và tại các vị trí các phân lưu;
- Đo bồi lắng lấy mẫu nước để phân tích hàm lượng bùn cát, phù sa:
+ Vị trí lấy mẫu: Tại cửa vào;
+ Thời gian và số lượng: Lấy 01 mẫu trong mùa kiệt và 01 mẫu trong mùa lũ;
- Đo mặt cắt ngang kênh, mương tại cửa vào: Thời gian và số lượng (đo 01 mặt cắt ngang tại kênh dẫn vào cửa cống hoặc mặt cắt ngang tại cửa cống).
- Đo chất lượng nước trong hệ thống dẫn, chuyển nước: Theo quy định về đo chất lượng nước tại mục 6, chương II của Thông tư này;
- Đo mối: Khảo sát 01 tuyến dọc tim kênh, chiều rộng tuyến khảo sát 4 - 6 m (chỉ khảo sát đối với kênh, dẫn chuyển nước lớn và vừa);
- Đo sạt, trượt:
+ Đo mắt cắt ngang tại các vị trí sạt lở trong phạm vi tuyến đo đã được xác định;
+ Đo chiều dài đoạn sạt lở;
b) Đường ống
- Đo áp lực đường ống: Trường hợp nước trong ống đạt mức tối đa;
- Đo tổn thất nước trên đường ống: Đo lưu lượng tại điểm đầu vào ống và điểm ra của đường ống.
II.2.4.3. Khảo sát, đo đạc hệ thống dẫn, chuyển nước
a) Đo mực nước: Áp dụng theo Tiêu chuẩn quốc gia TCVN 8304:2009 - Công tác thủy văn trong hệ thống thủy lợi;
b) Đo lưu lượng: Áp dụng theo Tiêu chuẩn quốc gia TCVN 8304:2009 - Công tác thủy văn trong hệ thống thủy lợi;
c) Đo mặt cắt ngang: Áp dụng theo Tiêu chuẩn quốc gia TCVN 8226:2009 Công trình thủy lợi - Các quy định chủ yếu về khảo sát mặt cắt ngang và bình đồ địa hình các tỷ lệ từ 1/200 đến 1/5000;
d) Lấy mẫu và phân tích mẫu nước trong phòng thí nghiệm: Theo quy định về đo chất lượng nước tại mục 6, chương II của Thông tư này;
đ) Đo mối: Áp dụng theo Tiêu chuẩn quốc gia TCVN 8479:2010 Công trình đê, đập - Yêu cầu kỹ thuật khảo sát mối, một số ẩn họa và xử lý mối gây hại;
e) Đo áp lực đường ống: Áp dụng theo Tiêu chuẩn quốc gia TCVN 7972-2008 Vật liệu kim loại - đường ống bằng gang dẻo - Thử thủy tĩnh sau khi lắp đặt;
g) Đo lưu lượng xác định tổn thất trong đường ống: Áp dụng theo Tiêu chuẩn quốc gia TCVN 8304: 2009 - Công tác thủy văn trong hệ thống thủy lợi.
II.2.5. Điều tra, khảo sát, đo đạc thu thập tài liệu thông tin về hiện trạng bờ bao thủy lợi
II.2.5.1. Điều tra thu thập thông tin bằng mẫu phiếu điều tra
Thông tin về bờ bao thủy lợi: Năm xây dựng, kích thước, cao trình đỉnh, bề rộng mặt, hệ số mái, số lượng cống dưới bờ bao (nếu có), mực nước lớn nhất đã xảy ra trong thực tế, diện tích bảo vệ thiết kế, diện tích bảo vệ thực tế.
II.2.5.2. Yêu cầu khảo sát về bờ bao thủy lợi
a) Đo cao trình vết lũ lịch sử trên bờ bao:
- Xác định và đánh dấu các điểm vết lũ lịch sử trên bờ bao;
- Đo độ cao các điểm vết lũ;
b) Đo mức độ sạt, trượt bờ bao:
- Đo mặt cắt ngang bờ bao tại các vị trí sạt lở;
- Đo chiều dài đoạn sạt lở;
II.2.5.3. Khảo sát, đo đạc bờ bao thủy lợi
a) Đo cao trình vết lũ lịch sử: Áp dụng theo Tiêu chuẩn quốc gia TCVN 8225:2009 Công trình thủy lợi - Các quy định chủ yếu về lưới khống chế cao độ địa hình;
b) Đo chiều dài đoạn sạt lở: Áp dụng theo Tiêu chuẩn quốc gia TCVN 8226:2009 Công trình thủy lợi - Các quy định chủ yếu về khảo sát mặt cắt ngang và bình đồ địa hình các tỷ lệ từ 1/200 đến 1/5000;
c) Đo mặt cắt ngang: Áp dụng theo Tiêu chuẩn quốc gia TCVN 8226:2009 Công trình thủy lợi - Các quy định chủ yếu về khảo sát mặt cắt ngang và bình đồ địa hình các tỷ lệ từ 1/200 đến 1/5000.
II.2.6. Điều tra, khảo sát, đo đạc thu thập tài liệu thông tin về hiện trạng công trình cấp nước nông thôn
II.2.6.1. Điều tra thu thập thông tin bằng mẫu phiếu điều tra
Thông tin về công trình cấp nước: Nguồn cấp, quy mô, công suất, hệ thống xử lý, hệ thống bể chứa, hệ thống phân phối, chất lượng nước cấp, giá nước...
II.2.6.2. Yêu cầu khảo sát công trình cấp nước nông thôn
a) Đo áp lực đường ống: Đo áp suất trong điều kiện làm việc thường xuyên và làm việc lớn nhất;
b) Đo tổn thất nước trên đường ống: Đo lưu lượng tại điểm đầu vào ống và điểm ra của đường ống;
c) Đo áp lực nước tự do tại thời điểm bất lợi nhất;
d) Đo đạc chất lượng nước: Tại nguồn cấp, trạm xử lý và điểm cấp nước cho các khu dân cư;
II.2.6.3. Khảo sát, đo đạc công trình cấp nước nông thôn
a) Đo áp lực đường ống: Áp dụng theo Tiêu chuẩn quốc gia TCVN 7972 - 2008 Vật liệu kim loại - đường ống bằng gang dẻo - Thử thủy tĩnh sau khi lắp đặt;
b) Đo lưu lượng xác định tổn thất trong đường ống: Áp dụng theo Tiêu chuẩn quốc gia TCVN 8304: 2009 - Công tác thủy văn trong hệ thống thủy lợi;
c) Đo chất lượng nước: Theo quy định về chất lượng nước tại mục 6 và đo mặn tại mục 7, chương II của Thông tư này.
III. Công tác nội nghiệp
III.1 Tổng hợp, phân tích đánh giá phân loại tài liệu thu thập từ các cơ quan liên quan
- Tổng hợp, phân tích thông tin, số liệu về điều kiện tự nhiên, dân sinh kinh tế - xã hội;
- Tổng hợp, phân tích thông tin, số liệu về hoạt động phát triển kinh tế - xã hội;
- Tổng hợp, phân tích thông tin, số liệu về hồ sơ thiết kế công trình;
- Tổng hợp, phân tích thông tin, số liệu về quá trình sửa chữa, nâng cấp, cải tạo công trình;
- Tổng hợp, phân tích thông tin, số liệu về quy trình vận hành công trình thủy lợi (nếu có);
III.2. Tổng hợp, phân tích số liệu từ mẫu phiếu điều tra
- Tổng hợp, phân loại các mẫu phiếu điều tra;
- Tổng hợp, thông tin, số liệu thu thập từ mẫu phiếu điều tra;
III.3. Tổng hợp số liệu đo đạc, khảo sát thực địa
III.3.1. Tổng hợp, thống kê, số liệu đo đạc, khảo sát, thông tin điều tra thực địa phục vụ cho việc đánh giá hiện trạng công trình thủy lợi, lập bảng thống kê tài liệu mang tính hệ thống, liên kết với số liệu thu thập đã có để tạo thành bộ số liệu tốt nhất phục vụ cho đánh giá, báo cáo kết quả theo mục đích điều tra
III.3.2. Đánh giá độ tin cậy của các số liệu đo đạc, khảo sát và lựa chọn, lập danh mục các thông tin, dữ liệu phục vụ cho việc đánh giá theo nội dung yêu cầu: chỉnh lý hoặc lược bỏ những số liệu có độ tin cậy kém trong quá trình đánh giá
III.3.3. Nhập số liệu vào máy tính, kiểm tra và đồng bộ hóa thông tin, dữ liệu
III.3.4. Phân tích, đánh giá hiện trạng công trình thủy lợi, công trình cấp nước sạch nông thôn
- Đối với đập, hồ chứa:
+ Tổng hợp và xây dựng bảng xếp loại thấm thân đập thuộc khu vực nghiên cứu (thấm nước ít, thấm nước vừa, thấm nước nhiều….); xây dựng đường bão hòa trong thân đập; đánh giá tổng quan thấm qua thân đập tại khu vực (nêu rõ được hiện trạng và nguyên nhân, phân vùng, phân loại về hiện trạng thấm qua thân đập);
+ Tổng hợp và xây dựng bảng xếp loại mức độ chuyển vị, đánh giá mức độ chuyển vị;
+ Tính toán xác định lượng bồi lắng trong lòng hồ sau thời gian vận hành T năm; tổng hợp mức độ bồi lắng lòng hồ; phân loại, đánh giá, dự báo mức độ bồi lắng lòng hồ;
+ Tính toán, xác định các thông số lưu vực (diện tích, chu vi, hình dạng độ dốc) trên bản đồ cao độ số DEM;
+ Tính toán, đánh giá khả năng thoát lũ qua tràn và hành hang thoát lũ hạ lưu tràn;
- Đối với trạm bơm:
+ Tổng hợp, đánh giá hiện trạng sử dụng và vận hành các trạm bơm;
+ Đánh giá sự phù hợp của các chủng loại máy bơm cho từng khu vực;
+ Đánh giá thực trạng hoạt động, hiệu quả và những mặt hạn chế về sử dụng và xây dựng máy bơm, trạm bơm phục vụ sản xuất nông...;
+ Đánh giá mức độ chuyển vị của trạm bơm, bể hút, bể xả;
+ Đánh giá thực trạng bồi lắng tại bể hút của trạm bơm;
- Đối với cống lấy nước:
+ Tổng hợp đánh giá hiện trạng sử dụng và vận hành các cống;
+ Đánh giá mức độ bồi lắng trước cửa cống;
+ Đánh giá mức độ kín khít nước;
+ Phân loại hình thức ăn mòn, đánh giá mức độ ăn mòn, tính toán tốc độ ăn mòn, xác định độ dày ăn mòn;
+ Đánh giá khả năng chịu lực còn lại của cửa van sau khi bị ăn mòn;
- Đối với hệ thống dẫn nước, chuyển nước:
+ Đánh giá hiện trạng bồi lắng, sạt lở kênh, mương, rạch;
+ Đánh gia tổn thất nước trên hệ thống dẫn nước, chuyển nước;
+ Đánh giá hiện trạng sử dụng và vận hành;
- Đối với bờ bao thủy lợi: Đánh giá, kiểm chứng lại quy mô hiện trạng về hệ thống bờ bao so với thiết kế, đánh giá an toàn của hệ thống bờ bao, diện tích bảo vệ;
- Đối với công trình cấp nước sạch nông thôn:
+ Đánh giá hiện trạng, hiệu quả của công trình cấp nước sạch nông thôn;
+ Phân tích, đánh giá hiện trạng khai thác, sử dụng nước phục vụ cấp nước sinh hoạt nông thôn;
+ Phân tích, đánh giá những bất cập, hiệu quả trong hiện trạng khai thác, sử dụng nước phục vụ cấp nước sinh hoạt nông thôn;
III.3.5. Phân tích mẫu trong phòng thí nghiệm (nếu có)
- Phân tích mẫu nước: Áp dụng theo Thông tư số 14/2019/TT-BNNPTNT ngày 30/10/2019 của Bộ Nông nghiệp và Phát triển nông thôn về ban hành định mức kinh tế - kỹ thuật về dự báo nguồn nước và xây dựng kế hoạch sử dụng nước; giám sát, dự báo chất lượng nước trong công trình thủy lợi; giám sát, dự báo xâm nhập mặn.
- Phân tích mẫu đất: Áp dụng theo tiêu chuẩn hiện hành.
III.3.6. Đề xuất giải pháp và kiến nghị
III.3.6.1. Đề xuất giải pháp
- Đối với đập, hồ chứa:
+ Đề xuất giải pháp chống thấm và chế độ vận hành đập an toàn phù hợp với cơ cấu tổ chức và hệ thống kỹ thuật quản lý hồ chứa;
+ Đề xuất giải pháp khắc phục hiện tượng thấm qua thân đập;
+ Đề xuất giải pháp khắc phục hiện tượng chuyển vị của các công trình;
+ Đề xuất giải pháp hạn chế bùn cát bồi lấp trước cửa lấy nước;
- Đối với trạm bơm:
+ Đề xuất giải pháp nhằm giảm thiểu khả năng bồi lắng phù sa, bùn cát trước cửa lấy nước hoặc bể hút trạm bơm;
+ Đề xuất giải pháp khai thác, vận hành nâng cao hiệu quả các trạm bơm;
+ Đề xuất các loại máy bơm và kết cấu trạm bơm phù hợp từng vùng;
- Đối với cống lấy nước:
+ Đề xuất các giải pháp vận hành tối ưu;
+ Đề xuất các giải pháp giảm thiểu bồi lắng trước cửa cống;
+ Đề xuất các giải pháp giảm thiểu mức độ ăn mòn cửa van;
- Đối với hệ thống dẫn nước, chuyển nước:
+ Đề xuất các giải pháp vận hành tối ưu hệ thống dẫn nước, chuyển nước;
- Đối với bờ bao thủy lợi:
+ Đề xuất giải pháp nâng cấp, nâng cao hiệu quả bảo vệ của hệ thống bờ bao.
- Đối với công trình cấp nước nông thôn:
+ Đề xuất giải pháp lấy nguồn, nâng cao chất lượng nước cấp từ công trình cấp nước nông thôn.
III.3.6.2. Kiến nghị
- Kiến nghị giải pháp về cơ chế, chính sách;
- Kiến nghị đầu tư, quản lý, khai thác và vận hành;
III.3.7. Hoàn chỉnh hồ sơ, tài liệu và bàn giao sản phẩm
- Báo cáo tổng hợp;
- Báo cáo tóm tắt;
- Tập phiếu điều tra;
- Phụ lục (nếu có).
Mục 2
QUY ĐỊNH KỸ THUẬT ĐIỀU TRA NHU CẦU SỬ DỤNG SẢN PHẨM, DỊCH VỤ THỦY LỢI
I. Lập dự án
Việc lập, thẩm định, phê duyệt, tổ chức thực hiện, quản lý, giám sát và thẩm tra, nghiệm thu và bàn giao các sản phẩm theo các quy định hiện hành.
II. Nội dung điều tra
II.1. Công tác ngoại nghiệp
II.1.1. Chuẩn bị
II.1.1.1. Nhận nhiệm vụ điều tra, khảo sát
II.1.1.2. Nghiên cứu nhiêm vụ, nội dung, xác định đối tượng, phạm vi, vị trí điều tra, khảo sát nhu cầu sử dụng sản phẩm, dịch vụ thủy lợi
a) Nghiên cứu nhiệm vụ điều tra, khảo sát thực địa, nghiên cứu khu vực có hoạt động kinh tế - xã hội có liên quan đến khai thác, sử dụng công trình thủy lợi;
b) Xác định đối tượng phạm vi, nội dung điều tra, khảo sát và sơ bộ khoanh vùng diện tích điều tra, khảo sát
- Đối tượng, phạm vi điều tra:
+ Đối tượng: Tổ chức, cá nhân sử dụng sản phẩm, dịch vụ công ích thủy lợi và sản phẩm, dịch vụ thủy lợi khác theo quy định tại Điều 30 Luật Thủy lợi;
+ Phạm vi: Nhiều tỉnh/1 tỉnh/nhiều huyện/1 huyện... hoặc loại hình sản phẩm, dịch vụ thủy lợi hoặc loại công trình (theo yêu cầu cụ thể của nhiệm vụ điều tra).
- Nội dung điều tra:
+ Nhu cầu sử dụng sản phẩm, dịch vụ công ích thủy lợi;
+ Nhu cầu sử dụng sản phẩm, dịch vụ thủy lợi khác.
II.1.1.3. Nghiên cứu các tài liệu:
Nghiên cứu các văn bản pháp lý và các tài liệu liên quan.
II.1.1.4. Lập kế hoạch, phương án, lộ trình đi thực địa điều tra, khảo sát nhu cầu sử dụng sản phẩm, dịch vụ thủy lợi
- Lập kế hoạch chi tiết cho việc triển khai lộ trình điều tra;
- Xây dựng phương án bố trí nhân lực trong quá trình điều tra thực địa;
II.1.1.5. Chuẩn bị nhân công, vật liệu, dụng cụ thiết bị và tài liệu điều tra
- Chuẩn bị phương tiện, vật tư, trang thiết bị như: máy ảnh (camera)...;
- Chuẩn bị trang bị các loại sổ thực địa, phiếu điều tra, giấy đi đường, giấy giới thiệu;
- Đóng gói thiết bị, tài liệu, dụng cụ, vật tư để phục vụ cho công tác vận chuyển tới nơi tập kết điều tra, khảo sát tại hiện trường.
II.1.1.6. Liên hệ địa phương và các công tác chuẩn bị khác: Liên hệ với các sở, ban, ngành tại địa phương về các nội dung, thông tin, số liệu cần thu thập
II.1.1.7. Phục vụ quá trình kiểm tra, nghiệm thu sản phẩm
II.1.2. Tiến hành điều tra thực địa
a) Điều tra, thu thập thông tin, tài liệu, số liệu tại các cơ quan trung ương và ở địa phương
- Điều tra, thu thập thông tin về điều kiện tự nhiên, dân sinh kinh tế - xã hội vùng điều tra, khảo sát;
- Điều tra, thu thập thông tin hoạt động phát triển kinh tế - xã hội vùng điều tra, khảo sát;
- Thu thập tài liệu phục vụ đánh giá nhu cầu sử dụng sản phẩm, dịch vụ thủy lợi: Tài liệu hiện trạng; chiến lược, quy hoạch phát triển kinh tế - xã hội tại vùng điều tra; quy hoạch liên quan đến phát triển thủy lợi tại vùng có công trình...; số liệu về mua, bán các sản phẩm, dịch vụ thủy lợi, khả năng chi trả của các đối tượng sử dụng sản phẩm, dịch vụ thủy lợi (giá trị, thời gian thanh toán...);
b) Tổng hợp thông tin, tài liệu, số liệu thu thập từ các cơ quan liên quan;
c) Điều tra, khảo sát thực địa:
- Điều tra, khảo sát hiện trạng hoạt động phát triển kinh tế - xã hội;
- Điều tra, khảo sát thông tin hiện trạng nhu cầu tưới và cấp nước cho nông nghiệp: Điều tra thu thập thông tin bằng mẫu phiếu điều tra (nội dung chủ yếu bao gồm: đối tượng dùng nước; loại hình cấp nước, diện tích tưới, diện tích sản xuất muối, diện tích nuôi trồng thủy sản, số lượng và loại vật nuôi…);
d) Điều tra, khảo sát thông tin hiện trạng nhu cầu tiêu, thoát nước: Điều tra thu thập thông tin bằng mẫu phiếu điều tra (nội dung chủ yếu bao gồm: diện tích tiêu; đối tượng tiêu, loại hình tiêu; thời gian tiêu….);
đ) Điều tra, khảo sát thông tin hiện trạng nhu cầu cấp nước phục vụ kinh doanh, du lịch và các hoạt động vui chơi giải trí: Điều tra thu thập thông tin bằng mẫu phiếu điều tra (nội dung chủ yếu bao gồm: Địa điểm, loại hình, quy mô….);
e) Điều tra, khảo sát thông tin hiện trạng nhu cầu kết hợp phát điện, giao thông thủy: Điều tra thu thập thông tin bằng mẫu phiếu điều tra (nội dung chủ yếu bao gồm: Địa điểm, quy mô, công suất...);
g) Điều tra, khảo sát thông tin hiện trạng nhu cầu nuôi trồng thủy sản trong công trình thủy lợi: Điều tra thu thập thông tin bằng mẫu phiếu điều tra (đối tượng dùng nước; loại hình cấp nước, diện tích tưới, diện tích sản xuất muối, diện tích nuôi trồng thủy sản, số lượng và loại vật nuôi…).
II.2. Công tác nội nghiệp
II.2.1. Tổng hợp, phân tích đánh giá phân loại tài liệu thu thập từ các cơ quan liên quan
- Tổng hợp, phân tích thông tin, số liệu về điều kiện tự nhiên, dân sinh kinh tế - xã hội;
- Tổng hợp, phân tích thông tin, số liệu về hoạt động phát triển kinh tế - xã hội;
II.2.2. Tổng hợp, phân tích số liệu
- Tổng hợp, phân loại các mẫu phiếu điều tra;
- Tổng hợp, phân tích thông tin, số liệu thu thập từ mẫu phiếu điều tra
+ Tổng hợp thông tin, số liệu về nhu cầu tưới, cấp nước;
+ Tổng hợp thông tin, số liệu về nhu cầu tiêu, thoát nước;
+ Tổng hợp thông tin, số liệu về nhu cầu cấp nước phục vụ kinh doanh, du lịch và các hoạt động vui chơi giải trí khác;
+ Tổng hợp thông tin, số liệu về nhu cầu cấp nước kết hợp phát điện, giao thông;
+ Tổng hợp thông tin, số liệu về nhu cầu cấp nước cho nuôi trồng thủy sản trong công trình thủy lợi;
+ Tổng hợp thông tin, số liệu và đánh giá về phát triển kinh tế - xã hội đến hoạt động thủy lợi;
+ Đánh giá nhu cầu sử dụng sản phẩm, dịch vụ thủy lợi: Loại và số lượng sản phẩm, dịch vụ thủy lợi mà các tổ chức, cá nhân có nhu cầu sử dụng hiện tại (thực tế và thiết kế) và tương lai; mức giá các tổ chức, cá nhân có nhu cầu sử dụng có thể chi trả; số liệu phục vụ đánh giá nhu cầu sử dụng sản phẩm, dịch vụ thủy lợi của các ngành kinh tế hiện tại và tương lai, quy hoạch, kế hoạch phát triển thủy lợi; quy hoạch kế hoạch phát triển các ngành kinh tế có liên quan đến sử dụng sản phẩm, dịch vụ thủy lợi; các khó khăn vướng mắc trong hoạt động mua, bán sản phẩm, dịch vụ thủy lợi;
+ Đánh giá nhu cầu sử dụng sản phẩm, dịch vụ thủy lợi đối với các ngành sản xuất, dịch vụ trong vùng và khả năng chi trả của các đối tượng sử dụng;
II.2.3. Đề xuất giải pháp và kiến nghị
- Đề xuất giải pháp: Cung cấp sản phẩm, dịch vụ thủy lợi đáp ứng yêu cầu phát triển kinh tế - xã hội;
- Kiến nghị: Về cơ chế, chính sách; về đầu tư, quản lý, khai thác vận hành.
II.2.4. Hoàn chỉnh hồ sơ, tài liệu và bàn giao sản phẩm
- Báo cáo tổng hợp;
- Báo cáo tóm tắt;
- Tập phiếu điều tra;
- Phụ lục (nếu có).
Mục 3
QUY ĐỊNH KỸ THUẬT VỀ ĐIỀU TRA HIỆN TRẠNG CƠ CẤU TỔ CHỨC TRONG HOẠT ĐỘNG THỦY LỢI
I. Lập dự án
Việc lập, thẩm định, phê duyệt, tổ chức thực hiện, quản lý, giám sát và thẩm tra, nghiệm thu và bàn giao các sản phẩm theo các quy định hiện hành.
II. Nội dung điều tra
II.1. Công tác ngoại nghiệp
II.1.1. Chuẩn bị
II.1.1.1. Nhận nhiệm vụ điều tra
II.1.1.2. Nghiên cứu nhiệm vụ, nội dung, xác định đối tượng, phạm vi điều tra
a) Nghiên cứu nhiệm vụ điều tra, nghiên cứu khu vực có hoạt động kinh tế - xã hội có liên quan;
b) Xác định đối tượng, phạm vi điều tra và sơ bộ khoanh vùng điều tra
- Đối tượng, phạm vi điều tra:
+ Đối tượng: Cấp trung ương và cấp địa phương (Cơ quan quản lý nhà nước, đơn vị sự nghiệp liên quan tới hoạt động thủy lợi; tổ chức, cá nhân khai thác công trình thủy lợi; tổ chức, cá nhân sử dụng sản phẩm, dịch vụ thủy lợi...);
+ Phạm vi: Nhiều tỉnh/1 tỉnh/nhiều huyện/1 huyện...(theo yêu cầu cụ thể của nhiệm vụ điều tra);
- Nội dung điều tra:
+ Điều tra hiện trạng cơ cấu, tổ chức cơ quan trung ương (Tổng cục Thủy lợi, Viện, Trường, Trung tâm…);
+ Điều tra hiện trạng cơ cấu, tổ chức tại các cơ quan địa phương (Sở Nông nghiệp và Phát triển nông thôn, Chi cục Thủy lợi, Phòng thực hiện chức năng quản lý về thủy lợi cấp huyện, cấp xã; Tổ chức khai thác công trình thủy lợi);
II.1.1.3. Xác định rõ các nội dung điều tra
II.1.1.4. Lập kế hoạch, phương án, lộ trình đi thực địa điều tra
- Lập kế hoạch chi tiết cho việc triển khai lộ trình điều tra;
- Xây dựng phương án bố trí nhân lực.
II.1.1.5. Chuẩn bị nhân công, vật liệu, dụng cụ và máy móc, thiết bị và tài liệu điều tra
- Chuẩn bị phương tiện, vật tư, trang thiết bị như: máy ảnh (camera)...;
- Các loại sổ thực địa, phiếu điều tra, giấy đi đường, giấy giới thiệu;
II.1.1.6. Liên hệ địa phương và các công tác chuẩn bị khác
II.1.1.7. Phục vụ quá trình kiểm tra, nghiệm thu sản phẩm
II.1.2. Tiến hành điều tra, khảo sát thực địa
II.1.2.1. Điều tra, thu thập thông tin, tài liệu quy định về cơ cấu, tổ chức của cơ quan quản lý nhà nước, đơn vị sự nghiệp về thủy lợi tại các cơ quan trung ương và ở địa phương liên quan; điều tra, thu thập thông tin, tài liệu về công tác quản lý, khai thác và bảo vệ công trình thủy lợi
II.1.2.2. Tổng hợp thông tin, tài liệu, số liệu thu thập từ các cơ quan liên quan
II.1.2.3. Điều tra thông tin bằng mẫu phiếu điều tra
- Điều tra thông tin về cơ cấu tổ chức cơ quan quản lý nhà nước ở Trung ương, nội dung chủ yếu bao gồm: Cơ cấu, chức, năng nhiệm vụ, phạm vi quản lý, số lượng lãnh đạo, cán bộ trực thuộc;
- Điều tra thông tin về cơ cấu tổ chức tại đơn vị sự nghiệp công lập trực thuộc Bộ Nông nghiệp và Phát triển nông thôn;
- Điều tra thông tin về cơ cấu tổ chức tại cơ quan quản lý nhà nước tại địa phương (tỉnh, huyện, xã). Cơ cấu tổ chức; chức năng, nhiệm vụ.;
- Điều tra thông tin về cơ cấu tổ chức tại các đơn vị quản lý, khai thác công trình thủy lợi;
- Điều tra thông tin về cơ cấu tổ chức tại tổ chức thủy lợi cơ sở;
- Điều tra thông tin về cơ cấu tổ chức các đơn vị quản lý cấp nước sạch nông thôn.
II.2. Công tác nội nghiệp
II.2.1. Tổng hợp, phân tích đánh giá phân loại tài liệu thu thập từ các cơ quan liên quan
II.2.2. Tổng hợp, phân tích số liệu từ mẫu phiếu điều tra
II.2.2.1. Tổng hợp, phân loại các mẫu phiếu điều tra
II.2.2.2. Tổng hợp, phân tích thông tin, số liệu thu thập từ mẫu phiếu điều tra
- Tổng hợp, phân tích thông tin, số liệu về cơ cấu tổ chức cơ quan quản lý nhà nước ở Trung ương;
- Tổng hợp, phân tích thông tin, số liệu về cơ cấu tổ chức tại đơn vị sự nghiệp công lập trực thuộc Bộ Nông nghiệp và Phát triển nông thôn;
- Tổng hợp, phân tích thông tin, số liệu về cơ cấu tổ chức tại cơ quan quản lý nhà nước tại địa phương (tỉnh, huyện, xã);
- Tổng hợp, phân tích thông tin, số liệu về cơ cấu tổ chức tại các đơn vị quản lý, khai thác công trình thủy lợi;
- Tổng hợp, phân tích thông tin, số liệu về cơ cấu tổ chức tại tổ chức thủy lợi cơ sở;
- Tổng hợp, phân tích thông tin, số liệu về cơ cấu tổ chức các đơn vị quản lý cấp sạch nông thôn.
II.2.3. Đề xuất giải pháp và kiến nghị
- Đề xuất giải pháp:
+ Đề xuất cơ cấu, tổ chức của các cơ quan quản lý nhà nước ở Trung ương phù hợp;
+ Đề xuất cơ cấu, tổ chức các đơn vị sự nghiệp công lập trực thuộc Bộ;
+ Đề xuất cơ cấu, tổ chức các cơ quan quản lý nhà nước ở địa phương;
+ Đề xuất cơ cấu, tổ chức đơn vị quản lý, khai thác công trình thủy lợi phù hợp với đặc thu vùng, miền;
+ Đề xuất cơ cấu, tổ chức thủy nông cơ sở phù hợp với đặc thù vùng, miền;
+ Đề xuất mô hình cấp nước nông thôn phù hợp với đặc thù vùng, miền;
- Kiến nghị:
+ Kiến nghị cơ cấu tổ chức các cơ quan quản lý nhà nước, đơn vị sự nghiệp, tổ chức quản lý, khai thác, tổ chức thủy nông cơ sở phù hợp với vùng, miền;
+ Kiến nghị mô hình tổ chức quản lý phù hợp với vùng, miền.
II.2.4. Hoàn chỉnh hồ sơ, tài liệu và bàn giao sản phẩm.
- Báo cáo tổng hợp;
- Báo cáo tóm tắt;
- Tập phiếu điều tra;
- Phụ lục (nếu có).
Mục 4
QUY ĐỊNH KỸ THUẬT ĐIỀU TRA HIỆN TRẠNG CƠ CHẾ, CHÍNH SÁCH TRONG HOẠT ĐỘNG THỦY LỢI
I. Lập dự án
Việc lập, thẩm định, phê duyệt, tổ chức thực hiện, quản lý, giám sát và thẩm tra, nghiệm thu và bàn giao các sản phẩm theo các quy định hiện hành.
II. Nội dung điều tra
II.1. Công tác ngoại nghiệp
II.1.1. Chuẩn bị
II.1.1.1. Nhận nhiệm vụ điều tra
II.1.1.2. Nghiên cứu nhiêm vụ, nội dung, xác định đối tượng, phạm vi điều tra
a) Nghiên cứu nhiệm vụ điều tra;
b) Xác định đối tượng, phạm vi, nội dung điều tra và sơ bộ khoanh vùng điều tra
- Đối tượng, phạm vi điều tra:
+ Đối tượng: Cấp trung ương và cấp địa phương (Cơ quan quản lý nhà nước, đơn vị sự nghiệp liên quan tới hoạt động thủy lợi; tổ chức, cá nhân khai thác công trình thủy lợi; tổ chức, cá nhân sử dụng sản phẩm, dịch vụ thủy lợi...);
+ Phạm vi: Nhiều tỉnh/ 1 tỉnh/ nhiều huyện/ 1 huyện... (theo yêu cầu cụ thể của nhiệm vụ điều tra);
- Nội dung điều tra:
+ Điều tra hiện trạng cơ chế, chính sách về kế hoạch, quy hoạch thủy lợi;
+ Điều tra hiện trạng cơ chế chính sách về đầu tư xây dựng công trình thủy lợi;
+ Điều tra hiện trạng cơ chế chính sách về quản lý, khai thác công trình thủy lợi và vận hành hồ chứa thủy điện phục vụ thủy lợi;
+ Điều tra hiện trạng cơ chế chính sách về dịch vụ thủy lợi;
+ Điều tra hiện trạng cơ chế chính sách về bảo vệ và bảo đảm an toàn công trình thủy lợi.
II.1.1.3. Xác định rõ các nội dung điều tra
II.1.1.4. Lập kế hoạch, phương án, lộ trình đi thực địa điều tra
- Lập kế hoạch chi tiết cho việc triển khai lộ trình điều tra;
- Xây dựng phương án bố trí nhân lực, phương án di chuyển máy móc thiết bị trong quá trình điều tra thực địa.
II.1.1.5. Chuẩn bị nhân công, vật liệu, dụng cụ và máy móc, thiết bị và tài liệu điều tra
- Chuẩn bị phương tiện, vật tư, trang thiết bị như: máy ảnh (camera), phương tiện di chuyển;
- Các loại sổ thực địa, phiếu điều tra, giấy đi đường, giấy giới thiệu;
- Đóng gói thiết bị, tài liệu, dụng cụ, vật tư để phục vụ cho công tác vận chuyển tới nơi tập kết điều tra.
II.1.1.6. Liên hệ địa phương và các công tác chuẩn bị khác
II.1.1.7. Phục vụ quá trình kiểm tra, nghiệm thu sản phẩm
II.1.2. Tiến hành điều tra, khảo sát thực địa
II.1.2.1. Điều tra, thu thập thông tin, tài liệu về cơ chế chính sách đã được cơ quan quản lý nhà nước có thẩm quyền ban hành từ trung ương đến địa phương về hoạt động thủy lợi và các hoạt động có liên quan hoạt động thủy lợi
II.1.2.2. Tổng hợp thông tin, tài liệu, số liệu thu thập từ các cơ quan liên quan
II.1.2.3. Điều tra thông tin bằng mẫu phiếu điều tra
- Điều tra thông tin về cơ chế chính sách đã ban hành tại cơ quan trung ương (chính sách về kế hoạch, quy hoạch thủy lợi; chính sách về đầu tư xây dựng công trình thủy lợi; quản lý, khai thác công trình thủy lợi và vận hành hồ chứa thủy điện phục vụ thủy lợi; chính sách về bảo vệ và bảo đảm an toàn công trình thủy lợi);
- Điều tra thông tin về cơ chế, chính sách do địa phương ban hành (chính sách về kế hoạch, quy hoạch thủy lợi; chính sách về đầu tư xây dựng công trình thủy lợi; quản lý, khai thác công trình thủy lợi và vận hành hồ chứa thủy điện phục vụ thủy lợi; chính sách về bảo vệ và bảo đảm an toàn công trình thủy lợi);
- Điều tra thông tin về việc thực thi các văn bản quy phạm pháp luật tại các cơ quan, đơn vị sự nghiệp.
II.2. Công tác nội nghiệp
II.2.1. Tổng hợp, phân tích đánh giá phân loại tài liệu thu thập từ các cơ quan liên quan.
- Tổng hợp các văn bản, quy định pháp luật đã được ban hành về cơ chế chính sách trong hoạt động thủy lợi;
- Phân nhóm các văn bản, quy định... theo các nội dung.
II.2.2. Tổng hợp số liệu điều tra.
- Phân tích, đánh giá kết quả, hiệu quả, tồn tại khi áp dụng các văn bản quy phạm pháp luật do Quốc hội, Chính phủ, Thủ tướng Chính phủ, Bộ trưởng... Ủy ban nhân dân các cấp trong các cơ quan, đơn vị sự nghiệp;
- Đánh giá hệ thống cơ chế chính sách hiện hành: Tính hợp pháp, tính thống nhất, khả thi; phân tích những tác động của cơ chế, chính sách tới hoạt động thủy lợi;
- Phân tích đánh giá về hiện trạng hoạt động, sản xuất kinh doanh của các tổ chức quản lý công trình thủy lợi;
- Đánh giá về tình hình thực hiện các cơ chế chính sách về thủy lợi: Cơ chế phân cấp quản lý, cấp bù thủy lợi phí, chính sách huy động nguồn vốn đầu tư...; hiện trạng hoạt động, sản xuất kinh doanh tổ chức quản lý khai thác công trình thủy lợi.
II.2.3. Đề xuất giải pháp và kiến nghị
- Đề xuất giải pháp: Đề xuất các giải pháp nâng cao hiệu quả trong việc áp dụng các cơ chế chính sách trong thực tiễn;
- Kiến nghị: Kiến nghị sửa đổi, bổ sung các văn bản quy phạm pháp luật và các văn bản hướng dẫn liên quan cho phù hợp.
II.2.4. Hoàn chỉnh hồ sơ, tài liệu và bàn giao sản phẩm
- Báo cáo tổng hợp;
- Báo cáo tóm tắt;
- Tập phiếu điều tra;
- Phụ lục (nếu có).
Mục 5
QUY ĐỊNH KỸ THUẬT VỀ ĐIỀU TRA, ĐÁNH GIÁ TÁC ĐỘNG CỦA CÔNG TRÌNH THỦY LỢI ĐẾN MÔI TRƯỜNG VÀ ĐỜI SỐNG CỦA NGƯỜI DÂN
I. Lập dự án
Việc lập, thẩm định, phê duyệt, tổ chức thực hiện, quản lý, giám sát và thẩm tra, nghiệm thu và bàn giao các sản phẩm theo các quy định hiện hành.
II. Nội dung điều tra
II.1. Công tác ngoại nghiệp
II.1.1. Chuẩn bị
II.1.1.1. Nhận nhiệm vụ điều tra
II.1.1.2. Nghiên cứu nhiệm vụ, nội dung, xác định đối tượng, phạm vi điều tra
a) Nghiên cứu nhiệm vụ điều tra;
b) Xác định đối tượng, phạm vi, nội dung điều tra và sơ bộ khoanh vùng điều tra
- Đối tượng, phạm vi điều tra: Công trình thủy lợi, hệ thống công trình thủy lợi.
- Nội dung điều tra: Tác động của công trình thủy lợi đến dòng chảy; tác động của công trình thủy lợi đến phù sa; tác động của công trình thủy lợi đến bùn cát; tác động của công trình thủy lợi đến đa dạng sinh học; tác động của công trình thủy lợi đến phát triển kinh tế - xã hội; tác động của công trình thủy lợi đến đời sống, sản xuất và sinh kế người dân.
II.1.1.3. Xác định các nội dung điều tra
Yêu cầu kỹ thuật đối với nội dung của công tác điều tra: Phải đánh giá được các tác động tích cực, tiêu cực của công trình thủy lợi đến môi trường và đời sống người dân thông qua so sánh trước khi có công trình thủy lợi và sau khi có công trình thủy lợi.
II.1.1.4. Lập kế hoạch, phương án, lộ trình đi thực địa điều tra
- Lập kế hoạch chi tiết cho việc triển khai lộ trình điều tra;
- Xây dựng phương án bố trí nhân lực, phương án di chuyển máy móc thiết bị trong quá trình điều tra thực địa;
II.1.1.5. Chuẩn bị nhân công, vật liệu, dụng cụ và máy móc, thiết bị và tài liệu điều tra
- Chuẩn bị phương tiện, vật tư, trang thiết bị như: máy ảnh, camera, máy GPS, phương tiện di chuyển;
- Chuẩn bị máy móc, thiết bị chuyên dùng: máy đo mực nước, lưu lượng; máy đo địa hình, phương tiện di chuyển;
- Các loại sổ thực địa, phiếu điều tra, giấy đi đường, giấy giới thiệu;
- Đóng gói thiết bị, tài liệu, dụng cụ, vật tư để phục vụ cho công tác vận chuyển tới nơi tập kết điều tra.
II.1.1.6. Liên hệ địa phương và các công tác chuẩn bị khác
II.1.1.7. Phục vụ quá trình kiểm tra, nghiệm thu sản phẩm
II.1.2. Tiến hành điều tra thực địa
II.1.2.1. Điều tra, thu thập thông tin, số liệu tại các cơ quan liên quan
- Điều tra, thu thập tài liệu về điều kiện tự nhiên, dân sinh, kinh tế - xã hội;
- Điều tra, thu thập thông tin về hoạt động phát triển kinh tế - xã hội.
II.1.2.2. Tổng hợp thông tin, tài liệu, số liệu thu thập từ các cơ quan liên quan
II.1.2.3. Điều tra, khảo sát thực địa
- Điều tra thông tin bằng mẫu phiếu điều tra: Trước khi có công trình thủy lợi được xây dựng và sau khi có công trình thủy lợi được xây dựng;
+ Thông tin về đời sống dân sinh, kinh tế - xã hội: Tác động của công trình thủy lợi đến phát triển kinh tế - xã hội (diện tích tưới, cấp nước, tiêu nước, năng suất cây trồng...); tác động của công trình thủy lợi đến sinh kế người dân (phong tục, tập quán, ngành nghề chính của người dân, thu nhập bình quân/người/năm; an ninh, kinh tế - xã hội...tái định cư, nơi ở, sinh hoạt, cơ sở vật chất...);
+ Thông tin về thủy văn, môi trường: Tác động chế độ dòng chảy, hàm lượng phù sa, bùn cát, xói lở công trình, bồi lắng công trình, ô nhiễm chất lượng nước;
+ Thông tin về động vật: Số lượng, loại động vật, thủy sinh...;
- Yêu cầu về đo đạc, điều tra, khảo sát:
+ Đo đạc dòng chảy, phù sa, bùn cát (vị trí thượng lưu và hạ lưu công trình);
+ Đo đạc chất lượng nước (thời gian mùa lũ, mùa kiệt);
- Đo đạc, khảo sát:
+ Đo mực nước, lưu lượng: Áp dụng theo Tiêu chuẩn quốc gia TCVN 8304:2009 - Công tác thủy văn trong hệ thống thủy lợi.
+ Đo đạc quan trắc chất lượng nước: Theo quy định về đo chất lượng nước tại mục 6, chương II của Thông tư này.
II.2. Công tác nội nghiệp
II.2.1. Tổng hợp, phân tích đánh giá phân loại tài liệu thu thập từ các cơ quan liên quan
- Tổng hợp, phân tích thông tin, số liệu về điều kiện tự nhiên, dân sinh kinh tế - xã hội;
- Tổng hợp, phân tích thông tin, số liệu về hoạt động phát triển kinh tế - xã hội.
II.2.2. Tổng hợp, phân tích số liệu từ mẫu phiếu điều tra
- Tổng hợp, phân loại các mẫu phiếu điều tra;
- Tổng hợp, phân tích thông tin, số liệu thu thập từ mẫu phiếu điều tra.
II.2.3. Tổng hợp số liệu đo đạc khảo sát thực địa
- Tổng hợp thông tin, số liệu tác động của công trình thủy lợi tới môi trường;
- Tổng hợp thông tin, số liệu tác động của công trình thủy lợi tới đời sống của người dân vùng hưởng lợi.
II.2.3. Đề xuất giải pháp và kiến nghị
- Đề xuất giải pháp:
+ Đề xuất các giải pháp giảm thiểu mức độ ảnh hưởng (tiêu cực) của công trình thủy lợi tới kinh tế - xã hội, môi trường;
+ Đề xuất các giải pháp cải thiện đời sống của người dân vùng có tác động của công trình thủy lợi.
- Kiến nghị:
+ Cải thiện tác động tiêu cực của công trình thủy lợi;
+ Quản lý khai thác, vận hành sử dụng công trình thủy lợi phù hợp...
II.2.4. Hoàn chỉnh hồ sơ, tài liệu và bàn giao sản phẩm
- Báo cáo tổng hợp;
- Báo cáo tóm tắt;
- Tập phiếu điều tra;
- Phụ lục (nếu có).
Mục 6
QUY ĐỊNH KỸ THUẬT ĐIỀU TRA, THU THẬP THÔNG TIN QUAN TRẮC, GIÁM SÁT, ĐÁNH GIÁ CHẤT LƯỢNG NƯỚC PHỤC VỤ HOẠT ĐỘNG THỦY LỢI
I. Lập dự án
Việc lập, thẩm định, phê duyệt, tổ chức thực hiện, quản lý, giám sát và thẩm tra, nghiệm thu và bàn giao các sản phẩm theo các quy định hiện hành.
II. Nội dung điều tra
II.1. Công tác ngoại nghiệp
II.1.1. Chuẩn bị
II.1.1.1. Nhận nhiệm vụ điều tra
II.1.1.2. Nghiên cứu nhiệm vụ, nội dung, xác định đối tượng, phạm vi quan trắc giám sát
- Nghiên cứu nhiệm vụ, xác định các chỉ tiêu quan trắc giám sát;
- Xác định đối tượng và sơ bộ khoanh vùng quan trắc giám sát.
II.1.1.3. Xác định các nội dung điều tra
II.1.1.4. Lập kế hoạch, phương án, lộ trình đi thực địa điều tra
- Lập kế hoạch chi tiết cho việc triển khai lộ trình điều tra;
- Xây dựng phương án bố trí nhân lực, phương án di chuyển máy móc thiết bị trong quá trình điều tra thực địa.
II.1.1.5. Chuẩn bị nhân công, vật liệu, dụng cụ và máy móc, thiết bị và tài liệu điều tra
- Chuẩn bị phương tiện, vật tư, trang thiết bị như: máy ảnh, camera, máy GPS cầm tay;
- Chuẩn bị thiết bị lấy mẫu, máy đo hiện trường như: máy đo các chỉ tiêu chất lượng nước sử dụng tại hiện trường, kiểm tra, kiểm chuẩn, các máy móc thiết bị phục vụ, phương tiện di chuyển;
- Chuẩn bị các loại sổ thực địa, phiếu điều tra, giấy đi đường, giấy giới thiệu;
- Đóng gói thiết bị, tài liệu, dụng cụ, vật tư để phục vụ cho công tác vận chuyển tới nơi tập kết điều tra, khảo sát tại hiện trường.
II.1.1.6. Liên hệ địa phương và các công tác chuẩn bị khác
II.1.1.7. Phục vụ quá trình kiểm tra, nghiệm thu sản phẩm
II.1.2. Tiến hành điều tra, khảo sát thực địa
II.1.2.1. Thu thập thông tin, tài liệu về chất lượng nước, tài liệu về nguồn xả thải vào công trình thủy lợi tại các cơ quan trung ương và địa phương
- Thu thập thông tin về điều kiện tự nhiên, kinh tế - xã hội;
- Thu thập thông tin về chính sách liên quan đến quan trắc, giám sát chất lượng nước;
- Thu thập thông tin về các đối tượng sử dụng nước từ công trình thủy lợi;
II.1.2.2. Tổng hợp thông tin, tài liệu, số liệu thu thập từ các cơ quan liên quan
II.1.2.3. Điều tra, khảo sát thực địa
a) Điều tra thông tin bằng mẫu phiếu điều tra
Thông tin: Nguồn cấp nước (sông, hồ chứa...); năng lực phục vụ; nhiệm vụ (cấp nước nông nghiệp, công nghiệp, sinh hoạt, nuôi trồng thủy sản…); nguồn xả thải (sinh hoạt, khu công nghiệp, bệnh viện…); chất lượng nước tại thời điểm kiểm tra; tình hình sản xuất nông nghiệp.
b) Yêu cầu về quan trắc, giám sát chất lượng nước
- Thông số quan trắc, giám sát: Tùy từng mục đích, nhiệm vụ của công trình thủy lợi cần lựa chọn các thông số chất lượng nước mặt theo QCVN 08-MT:2015/BTNMT Quy chuẩn kỹ thuật quốc gia về chất lượng nước mặt.
- Vị trí lấy mẫu nước:
+ Đối với khu vực hồ chứa: Tại các sông, suối đổ vào hồ; vị trí tại cửa cống lấy nước; các vị trí là nguồn cấp cho công trình cấp nước tập trung (nếu có); tại các vị trí xả thải vào hồ chứa (nếu có);
+ Đối với hệ thống dẫn, chuyển nước: Tại vị trí nguồn cấp nước; các vị trí phân lưu; các vị trí là nguồn cấp cho công trình cấp nước tập trung (nếu có); tại các vị trí xả thải vào hệ thống dẫn, chuyển nước (nếu có).
- Nhật ký lấy mẫu: Mẫu phải được ghi cùng thời điểm với quá trình lấy mẫu nước, thông tin tại nhật ký gồm: thời tiết (mưa, nắng, gió, nhiệt độ, độ ẩm…); mực nước, lưu lượng.; tình trạng đóng, mở cống, vận hành công trình tưới, tiêu; môi trường xung quanh (rác thải, nước thải, các hoạt động kinh tế - xã hội…); tình trạng bèo, tảo, rau muống và các loài thủy sinh; mô tả chất lượng nước bằng cảm quan (mùi, màu.);
c) Đo đạc chất lượng nước
- Phương pháp lấy mẫu nước:
+ Lấy mẫu nước tại hồ chứa áp dựng theo Tiêu chuẩn Việt Nam TCVN 5994:1995 ISO 5667- 4:1987 Chất lượng nước - Lấy mẫu - Hướng dẫn lấy mẫu ở hồ sao tự nhiên và nhân tạo;
+ Lấy mẫu nước tại hệ thống dẫn, chuyển nước theo Tiêu chuẩn quốc gia TCVN 6663-6:2018 ISO 5667-6:2014 Chất lượng nước - Lấy mẫu - Phần 6: Hướng dẫn lấy mẫu nước sông và suối;
+ Lấy mẫu vi sinh theo Tiêu chuẩn quốc gia theo TCVN 8880:2011 ISO 19458:2006 Chất lượng nước - Lấy mẫu - Hướng dẫn lấy để phân tích vi sinh vật;
+ Lấy mẫu nước thải xả vào công trình thủy lợi theo Tiêu chuẩn Việt Nam TCVN 5999:1995 ISO 5667-10:1992 Chất lượng nước - Lấy mẫu - Hướng dẫn lấy mẫu nước thải.
- Phân tích chỉ tiêu tại hiện trường: Thông số đo trực tiếp hiện trường gồm: Nhiệt độ, pH, DO, độ đục, TDS;
- Bảo quản và vận chuyển mẫu: Bảo quản và vận chuyển mẫu theo Tiêu chuẩn quốc gia TCVN 6663-3:2018 ISO 5667-3:2012 Chất lượng nước - Lấy mẫu - Phần 3: Hướng dẫn bảo quản và xử lý mẫu nước;
- Ghi nhật ký lấy mẫu.
II.2. Công tác nội nghiệp
II.2.1. Tổng hợp, phân tích đánh giá tài liệu thu thập từ các cơ quan liên quan
II.2.2. Tổng hợp, phân tích số liệu từ mẫu phiếu điều tra
II.2.3. Phân tích mẫu nước trong phòng thí nghiệm
- Giao nhận mẫu nước phân tích: Mẫu nước bàn giao cho phòng thí nghiệm phải đầy đủ về khối lượng, còn nguyên nhãn và ghi chép rõ ràng theo quy định;
- Phân tích mẫu nước: Áp dụng theo Thông tư 14/2019/TT-BNNPTNT ngày 30/10/2019 của Bộ Nông nghiệp và Phát triển nông thôn về Ban hành định mức kinh tế - kỹ thuật về dự báo nguồn nước và xây dựng kế hoạch sử dụng nước; giám sát, dự báo chất lượng nước trong công trình thủy lợi; giám sát, dự báo xâm nhập mặn.
II.2.4. Đề xuất giải pháp và kiến nghị
- Đề xuất giải pháp:
+ Giải pháp quản lý chất lượng nước trong công trình thủy lợi;
+ Giải pháp khai thác, sử dụng hiệu quả nguồn nước trong công trình thủy lợi.
- Kiến nghị:
+ Kiến nghị cơ quan liên quan trong công tác kiểm soát nguồn thải trước khi xả vào công trình thủy lợi;
+ Kiến nghị thời gian lấy nước phục vụ sản xuất phù hợp với điều kiện thực tế.
II.2.5. Hoàn chỉnh hồ sơ, tài liệu và bàn giao sản phẩm
- Báo cáo tổng hợp;
- Báo cáo tóm tắt;
- Tập phiếu điều tra;
- Phụ lục (nếu có).
Mục 7
QUY ĐỊNH KỸ THUẬT ĐIỀU TRA, ĐÁNH GIÁ, THU THẬP THÔNG TIN VỀ HẠN HÁN, THIẾU NƯỚC, XÂM NHẬP MẶN PHỤC VỤ HOẠT ĐỘNG THỦY LỢI
I. Lập dự án
Việc lập, thẩm định, phê duyệt, tổ chức thực hiện, quản lý, giám sát và thẩm tra, nghiệm thu và bàn giao các sản phẩm theo các quy định hiện hành.
II. Nội dung điều tra
II.1. Công tác ngoại nghiệp
II.1.1. Chuẩn bị
II.1.1.1. Nhận nhiệm vụ điều tra
II.1.1.2. Nghiên cứu nhiêm vụ, nội dung, xác định đối tượng, phạm vi điều tra, khảo sát
- Nghiên cứu nhiệm vụ điều tra, khảo sát;
- Xác định đối tượng và sơ bộ khoanh vùng điều tra, khảo sát.
II.1.1.3. Xác định rõ các nội dung điều tra.
II.1.1.4. Lập kế hoạch, phương án, lộ trình đi thực địa điều tra
- Lập kế hoạch chi tiết cho việc triển khai lộ trình điều tra;
- Xây dựng phương án bố trí nhân lực, phương án di chuyển máy móc thiết bị trong quá trình điều tra thực địa.
II.1.1.5. Chuẩn bị nhân công, vật liệu, dụng cụ và máy móc, thiết bị và tài liệu điều tra
- Chuẩn bị phương tiện, vật tư, trang thiết bị như: máy ảnh, camera, máy GPS:
- Chuẩn bị thiết bị lấy mẫu, máy đo hiện trường như: máy đo các chỉ tiêu về độ mặn tại hiện trường, kiểm tra, kiểm chuẩn, các máy móc thiết bị phục vụ, phương tiện di chuyển;
- Chuẩn bị các loại sổ thực địa, phiếu điều tra, giấy đi đường, giấy giới thiệu;
- Đóng gói thiết bị, tài liệu, dụng cụ, vật tư để phục vụ cho công tác vận chuyển tới nơi tập kết điều tra, khảo sát tại hiện trường.
II.1.1.6. Liên hệ địa phương và các công tác chuẩn bị khác
II.1.1.7. Phục vụ quá trình kiểm tra, nghiệm thu sản phẩm
II.1.2. Tiến hành điều tra, khảo sát thực địa
II.1.2.1. Thu thập thông tin, tài liệu tại các cơ quan trung ương và địa phương
- Thu thập thông tin về điều kiện tự nhiên, kinh tế - xã hội;
- Thu thập thông tin tài liệu về quy trình vận hành liên hồ chứa trên các lưu vực sông, quy trình vận hành hệ thống thủy lợi;
- Thu thập thông tin, số liệu về đợt hạn hán, thiếu nước, xâm nhập mặn đã xảy ra;
- Thu thập thông tin về quá trình chỉ đạo, điều hành của các cơ quan quản lý nhà nước khi xảy ra hạn hán, thiếu nước, xâm nhập mặn
II.1.2.2. Tổng hợp thông tin, tài liệu, số liệu thu thập từ các cơ quan liên quan
II.1.2.3. Điều tra, khảo sát, đo đạc thực địa
a) Điều tra thông tin bằng mẫu phiếu điều tra
- Thông tin về hạn hán, thiếu nước: Thời gian diễn ra hạn hán, thiếu nước; khoảng thời gian xảy ra hạn hán; các loại hình hạn hán (hạn nông nghiệp, hạn khí tượng, hạn thủy văn và hạn kinh tế); diện tích, loại cây trồng bị hạn hán, thiếu nước, mức độ thiệt hại (mất trắng, giảm năng suất); số hộ dân thiếu nước sinh hoạt; số hộ dân phải sử dụng nước từ công trình cấp nước nhỏ lẻ;
- Thông tin về xâm nhập mặn: Thời gian xuất hiện mặn lớn nhất, thời gian xuất hiện mặn nhỏ nhất; diễn biến mặn xảy ra trong thực tế, diện tích, loại cây trồng bị nhiễm mặn, mức độ thiệt hại (mất trắng, giảm năng suất); số hộ dân thiếu nước sinh hoạt; số hộ dân phải sử dụng nước từ công trình cấp nước nhỏ lẻ.
b) Đo mặn
- Yêu cầu đo mặn
+ Vị trí điểm đo: Điểm đo phải mang tính đặc trưng, đại diện cho khu vực và được phân bố theo không gian bảo đảm phân tích, xác định được ranh giới mặn xâm nhập;
Tại vị trí lấy nước của trạm bơm, cống, hệ thống dẫn, chuyển nước và công trình cấp nước tập trung nông thôn từ sông, kênh, mương; tại vị trí hợp lưu và phân lưu của sông, kênh, mương; tại vị trí cửa sông. Khoảng cách giữa các mặt cắt đo độ mặn tính từ cửa sông tối thiểu 5 km;
Vị trí điểm đo mặn tại giữa dòng chảy hoặc theo thủy trực đại biểu. Đo tại 03 điểm theo chiều sâu mực nước H trong sông, kênh, rạch, mương: tầng mặt (0,2.H), tầng giữa (0,5.H) và tầng đáy (0,8.H), đo lần lượt từ tầng mặt tới tầng đáy. Trường hợp sông chiều sâu mực nước ≤ 3m thì chỉ cần đo 01 điểm mặn ở tầng giữa (0,5.H).
+ Thời gian: Đo trong các tháng mùa khô, ưu tiên đo vào thời gian lấy nước phục vụ sản xuất. Tuỳ theo điều kiện tự nhiên, thời gian lấy nước tại mỗi vùng khác nhau, thời gian đo mặn cũng khác nhau, cụ thể như sau:
Vùng ven biển Bắc bộ đo từ tháng XII năm trước đến tháng V năm sau;
Vùng ven biển Bắc Trung bộ và Nam Trung bộ đo từ đầu tháng I đến cuối tháng VII năm sau;
Vùng ven biển Đông Nam bộ và Đồng bằng sông Cửu Long đo từ tháng XII năm trước đến tháng V năm sau;
Trong những năm được dự báo là năm có điều kiện thời tiết, khí hậu, thủy văn đặc biệt, thời gian đo mặn được tiến hành đo sớm hơn hoặc kéo dài hơn.
+ Chế độ đo mặn: Đo vào thời điểm chân triều và đỉnh triều.
- Đo độ mặn: Đo độ mặn được thực hiện bằng hai phương pháp
+ Đo độ mặn trực tiếp tại hiện trường: Đưa thiết bị đo độ mặn xuống độ sâu xuống lần lượt các tầng đã xác định (chờ khoảng 1 phút) hoặc đo theo hướng dẫn sử dụng của máy đo;
+ Đo độ mặn bằng cách lấy mẫu nước: Mẫu được lấy ở các tầng chứa nước đã xác định, sau đo được đo bằng máy hoặc bằng phương pháp Nitrat Bạc AgNO3. Trong trường hợp phạm vi khảo sát rộng có thể gom mẫu về một vị trí, sau đó tiến hành đo độ mặn.
II.2. Công tác nội nghiệp
II.2.1. Tổng hợp, phân tích đánh giá phân loại tài liệu thu thập từ các cơ quan liên quan
- Tổng hợp, phân tích thông tin, số liệu về điều kiện tự nhiên, dân sinh kinh tế - xã hội;
- Tổng hợp, phân tích tình hình khí tượng (mưa, nhiệt độ), thủy văn, nguồn nước;
- Tổng hợp, phân tích thông tin, số liệu về tổng số đợt hạn hán, thiếu nước, xâm nhập mặn tại các cơ quan trung ương và địa phương.
II.2.2. Tổng hợp, phân tích số liệu từ mẫu phiếu điều tra
- Tổng hợp, phân loại các mẫu phiếu điều tra;
- Tổng hợp, thông tin, số liệu thu thập từ mẫu phiếu.
II.2.3. Tổng hợp, phân tích số liệu đo độ mặn
- Phân tích diễn biến mặn;
- Đánh giá nguyên nhân gây ra tình trạng xâm nhập mặn;
- Xác định các giá trị đặc trưng độ mặn ngày, tháng;
- Đánh giá diễn biến mặn theo thời gian, theo chiều sâu, độ mặn theo chiều dài, vị trí xuất hiện theo cấp độ mặn...;
- Xác định độ sâu xâm nhập mặn;
- Đánh giá độ mặn theo mục đích sử dụng: cấp cho sinh hoạt, sản xuất nông nghiệp và nuôi trồng thủy sản.;
- Xây dựng bản đồ đường đẳng trị mặn.
II.2.4. Đánh giá ảnh hưởng của hạn hán, thiếu nước, xâm nhập mặn đến hoạt động thủy lợi
- Đánh giá ảnh hưởng của hạn hán, thiếu nước đến hoạt động thủy lợi;
- Đánh giá ảnh hưởng của xâm nhập mặn đến hoạt động thủy lợi.
II.2.5. Đề xuất giải pháp và kiến nghị
II.2.5.1. Đề xuất giải pháp
- Đề xuất các giải pháp ứng phó với tình hình hạn hán, thiếu
+ Giải pháp kỹ thuật, giải pháp quản lý;
+ Giải pháp và kế hoạch lấy nước phù hợp.
- Đề xuất các giải pháp ứng phó với tình hình xâm nhập mặn
+ Giải pháp ứng phó với tình hình xâm nhập mặn;
+ Giải pháp và kế hoạch lấy nước phù hợp.
II.2.5.2. Kiến nghị
- Kiến nghị cơ quan liên quan trong việc lập kế hoạch tích nước, xả nước các hồ chứa cho phù hợp, đảm bảo cấp nước sinh hoạt, sản xuất của người dân;
- Kiến nghị các cơ quan liên quan trong việc nghiên cứu, rà soát, điều chỉnh, bổ sung quy trình vận hành các hồ chứa thủy lợi, để bảo đảm phù hợp với hiện trạng nguồn nước, khai thác, sử dụng ở hạ lưu...
II.2.6. Hoàn chỉnh hồ sơ, tài liệu kết quả điều tra thực địa và bàn giao sản phẩm
- Báo cáo tổng hợp;
- Báo cáo tóm tắt;
- Tập phiếu điều tra;
- Phụ lục (nếu có).
Mục 8
QUY ĐỊNH KỸ THUẬT ĐIỀU TRA, ĐÁNH GIÁ, THU THẬP THÔNG TIN VỀ SA MẠC HÓA
I. Lập dự án
Việc lập, thẩm định, phê duyệt, tổ chức thực hiện, quản lý, giám sát và thẩm tra, nghiệm thu và bàn giao các sản phẩm theo các quy định hiện hành.
II. Nội dung điều tra
II.1. Công tác ngoại nghiệp
II.1.1. Chuẩn bị
II.1.1.1. Nhận nhiệm vụ điều tra
II.1.1.2. Nghiên cứu nhiêm vụ, nội dung, xác định đối tượng, phạm vi điều tra, khảo sát
- Nghiên cứu nhiệm vụ điều tra, khảo sát thu thập thông tin;
- Xác định đối tượng và sơ bộ khoanh vùng thu thập thông tin, điều tra, khảo sát;
II.1.1.3. Xác định các nội dung điều tra
II.1.1.4. Lập kế hoạch, phương án, lộ trình đi thực địa điều tra
- Lập kế hoạch chi tiết cho việc triển khai lộ trình điều tra;
- Xây dựng phương án bố trí nhân lực, phương án di chuyển máy móc thiết bị trong quá trình điều tra thực địa;
II.1.1.5. Chuẩn bị nhân công, vật liệu, dụng cụ và máy móc, thiết bị và tài liệu điều tra
- Chuẩn bị phương tiện, vật tư, trang thiết bị như: máy ảnh, camera, máy GPS;
- Chuẩn bị các loại sổ thực địa, phiếu điều tra, giấy đi đường, giấy giới thiệu;
- Đóng gói thiết bị, tài liệu, dụng cụ, vật tư để phục vụ cho công tác vận chuyển tới nơi tập kết điều tra, khảo sát tại hiện trường.
II.1.1.6. Liên hệ địa phương và các công tác chuẩn bị khác
II.1.1.7. Phục vụ quá trình kiểm tra, nghiệm thu sản phẩm
II.1.2. Tiến hành điều tra, khảo sát thực địa
II.1.2.1. Điều tra, thu thập thông tin, tài liệu tại các cơ quan ở Trung ương và địa phương
- Thu thập thông tin về điều kiện tự nhiên (khí hậu, đất đái, thổ nhưỡng, nguồn nước), kinh tế - xã hội:
- Tài liệu về hiện trạng hạ tầng kỹ thuật (thủy lợi, giao thông, xây dựng...);
- Tài liệu về cơ cấu sản xuất nông nghiệp, nuôi trồng thủy sản;
- Tài liệu về quy trình vận hành liên hồ chứa các lưu vực sông, quy trình vận hành hệ thống công trình thủy lợi;
- Diện tích đất canh tác bị lấn chiếm bởi cát di dộng;
- Thu thập các yếu tố có ảnh hưởng tới đến diễn biến sa mạc hóa vùng cát;
- Thu thập số liệu về đợt hạn hán, thiếu nước;
- Thu thập tài liệu về mô hình chống sa mạc hóa và khai thác tiềm năng các cồn cát ven biển.
II.1.2.2. Tổng hợp thông tin, tài liệu, số liệu thu thập từ các cơ quan liên quan
II.1.2.3. Điều tra, khảo sát, đo đạc thực địa
a) Điều tra thu thập thông tin bằng mẫu phiếu điều tra
Thông tin thu thập: Diện tích đất canh tác; cơ cấu cây trồng; diện tích các loại đất, cát; quá trình sa mạc hóa; diện tích thảm phủ; tình hình nuôi trồng thủy sản vùng ven biển,...
b) Đo đạc, khảo sát sa mạc hóa
- Yêu cầu về khảo sát sa mạc hóa: Lấy mẫu đất, cát; đo gió ven biển (đo tại vị trí thông thoáng, đón được các hướng gió chính thịnh hành).
- Khảo sát, đo đạc
+ Đo gió ven biển: Áp dụng theo Tiêu chuẩn quốc gia TCVN 126363:2019 Quan trắc khí tượng thủy văn - Phần 3: Quan trắc hải văn;
+ Đo đạc mẫu đất, cát: Áp dụng theo Tiêu chuẩn Việt Nam TCVN 75382:2005 ISO 10381-2: 2002 Chất lượng đất - Lấy mẫu - Phần 2: Hướng dẫn kỹ thuật lấy mẫu.
II.2. Công tác nội nghiệp
II.2.1. Tổng hợp, phân tích đánh giá phân loại tài liệu thu thập từ các cơ quan liên quan
- Tổng hợp, phân tích thông tin, số liệu về điều kiện tự nhiên, dân sinh kinh tế - xã hội;
- Tổng hợp, phân tích thông tin, số liệu đất đai, thổ nhưỡng.
II.2.2. Tổng hợp, phân tích số liệu từ mẫu phiếu điều tra
- Tổng hợp, phân loại các mẫu phiếu điều tra:
- Tổng hợp, thông tin, số liệu thu thập từ mẫu phiếu điều tra.
II.2.3. Phân tích mẫu đất, cát trong phòng thí nghiệm
- Giao nhận mẫu phân tích: Mẫu bàn giao cho phòng thí nghiệm phải đầy đủ về khối lượng, còn nguyên nhãn và ghi chép rõ ràng theo quy định.
- Phân tích mẫu đất, cát xác định thành phần hạt: Áp dụng theo các Tiêu chuẩn quốc gia Việt Nam TCVN 8567:2010 về Chất lượng đất - Phương pháp xác định thành phần cấp hạt.
II.2.4. Tổng hợp, phân tích số liệu điều tra và khảo sát, đánh giá ảnh hưởng của sa mạc hóa
- Xác định được các vùng bị sa mạc hóa; diễn biến diện tích bị sa mạc hóa:
- Phân tích đánh giá ảnh hưởng của sa mạc hóa đến biến động sử dụng đất, mùa vụ cây trồng, năng suất cây trồng:
- Phân tích đánh giá ảnh hưởng của sa mạc hóa đến phát triển kinh tế - xã hội và đời sống của người dân.
II.2.5. Đề xuất giải pháp và kiến nghị
- Đề xuất giải pháp:
+ Đề xuất các giải pháp ứng phó với sa mạc hóa, các mô hình chống sa mạc hóa;
+ Đề xuất các giải pháp phát khai thác hiệu quả vùng sa mạc hóa.
- Kiến nghị:
+ Kiến nghị áp dụng các mô hình chống sa mạc hóa;
+ Kiến nghị các giải pháp khai thác có hiệu quả vùng sa mạc hóa.
II.2.6. Hoàn chỉnh hồ sơ, tài liệu kết quả điều tra thực địa và bàn giao sản phẩm
- Báo cáo tổng hợp;
- Báo cáo tóm tắt;
- Tập phiếu điều tra;
- Phụ lục (nếu có).
Mục 9
QUY ĐỊNH KỸ THUẬT ĐIỀU TRA, ĐÁNH GIÁ, THU THẬP THÔNG TIN VỀ LŨ, NGẬP LỤT, ÚNG PHỤC VỤ HOẠT ĐỘNG THỦY LỢI
I. Lập dự án
Việc lập, thẩm định, phê duyệt, tổ chức thực hiện, quản lý, giám sát và thẩm tra, nghiệm thu và bàn giao các sản phẩm theo các quy định hiện hành.
II. Nội dung điều tra, khảo sát
II.1. Công tác ngoại nghiệp
II.1.1. Chuẩn bị
II.1.1.1. Nhận nhiệm vụ điều tra
II.1.1.2. Nghiên cứu nhiêm vụ, nội dung, xác định đối tượng, phạm vi điều tra, khảo sát
- Nghiên cứu nhiệm vụ điều tra, khảo sát thu thập thông tin.
- Xác định đối tượng và sơ bộ khoanh vùng điều tra, khảo sát, thu thập thông tin.
II.1.1.3. Xác định các nội dung điều tra
II.1.1.4. Lập kế hoạch, phương án, lộ trình đi thực địa điều tra
- Lập kế hoạch chi tiết cho việc triển khai lộ trình điều tra;
- Xây dựng phương án bố trí nhân lực, phương án di chuyển máy móc thiết bị trong quá trình điều tra thực địa.
II.1.1.5. Chuẩn bị nhân công, vật liệu, dụng cụ và máy móc, thiết bị và tài liệu điều tra
- Chuẩn bị phương tiện, vật tư, trang thiết bị như: máy ảnh, camera, máy GPS;
- Chuẩn bị thiết bị, máy đo hiện trường như: máy đo mực nước, lưu lượng; máy đo địa hình, kiểm tra, hiệu chuẩn, các máy móc thiết bị phục vụ, phương tiện di chuyển;
- Chuẩn bị các loại sổ thực địa, phiếu điều tra, giấy đi đường, giấy giới thiệu;
- Đóng gói thiết bị, tài liệu, dụng cụ, vật tư để phục vụ cho công tác vận chuyển tới nơi tập kết điều tra, khảo sát tại hiện trường.
II.1.1.6. Liên hệ địa phương và các công tác chuẩn bị khác
II.1.1.7. Phục vụ quá trình kiểm tra, nghiệm thu sản phẩm
II.1.2. Tiến hành điều tra, khảo sát thực địa
II.1.2.1. Điều tra, thu thập thông tin, tài liệu tại các cơ quan trung ương và địa phương
- Thu thập thông tin, số liệu về điều kiện tự nhiên, kinh tế - xã hội;
- Thu thập thông tin, số liệu về hiện trạng hạ tầng kỹ thuật (thủy lợi, xây dựng, giao thông...);
- Thu thập thông tin, số liệu về cơ cấu sản xuất;
- Thu thập thông tin, số liệu về quy trình vận hành liên hồ chứa các lưu vực sông, hệ thống công trình thủy lợi liên quan;
- Thu thập thông tin, số liệu về các đợt lũ, ngập lụt, úng và mức độ thiệt hại.
II.1.2.2. Tổng hợp thông tin, tài liệu, số liệu thu thập từ các cơ quan liên quan.
II.1.2.3. Điều tra, khảo sát, đo đạc thực địa
- Điều tra thu thập thông tin bằng mẫu phiếu điều tra:
Thông tin: Mực nước lũ lớn nhất, lưu lượng lũ lớn nhất; thời gian duy trì mực nước lớn nhất; mức độ ảnh hưởng đến cơ sở hạ tầng, dân sinh, kinh tế (diện tích bị ảnh hưởng, cơ sở hạ tầng bị ảnh hưởng, số hộ dân bị ảnh hưởng); môi trường do ảnh hưởng của ngập lụt, úng; công trình tiêu; nguyên nhân gây ngập lụt, úng...
- Yêu cầu điều tra, khảo sát về lũ, ngập lụt, úng
+ Đo mực nước lũ: Thời gian (đo vào thời điểm lũ lớn nhất trong năm); vị trí (hợp lưu và phân lưu của sông);
+ Đo lưu lượng lũ: Thời gian (đo vào thời điểm lũ lớn nhất, trùng với thời điểm đo mực nước); vị trí (hợp lưu và phân lưu của sông trùng với vị trí đo mực nước lũ).
+ Đo cao trình vết lũ lịch sử: Xác định và đánh dấu vết lũ điều tra; đo cao trình vết lũ (vết mực nước lũ).
- Khảo sát, đo đạc về lũ, ngập lụt, úng
+ Đo mực nước: Áp dụng theo Tiêu chuẩn quốc gia TCVN 8304:2009 - Công tác thủy văn trong hệ thống thủy lợi;
+ Đo lưu lượng: Áp dụng theo Tiêu chuẩn quốc gia TCVN 8304:2009 - Công tác thủy văn trong hệ thống thủy lợi;
+ Đo cao trình vết lũ lịch sử: Áp dụng theo Tiêu chuẩn quốc gia TCVN 8225:2009 Công trình thủy lợi - Các quy định chủ yếu về lưới khống chế cao độ địa hình.
II.2. Công tác nội nghiệp
II.2.1. Tổng hợp, phân tích đánh giá phân loại tài liệu thu thập từ các cơ quan liên quan
- Tổng hợp, phân tích thông tin, số liệu về điều kiện tự nhiên, dân sinh kinh tế - xã hội:
- Tổng hợp, phân tích thông tin, số liệu về các đợt lũ, ngập lụt, úng và mức độ thiệt hại.
II.2.2. Tổng hợp, phân tích số liệu từ mẫu phiếu điều tra
- Tổng hợp, phân loại các mẫu phiếu điều tra;
- Tổng hợp, thông tin, số liệu thu thập từ mẫu phiếu điều tra.
II.2.3. Tổng hợp, phân tích, đánh giá về lũ, ngập lụt, úng
- Xác định các vùng bị ngập lụt, úng (thời điểm, thời gian bị ngập lụt, úng);
- Xác định được mức độ ảnh hưởng của lũ, ngập lụt, úng đến cơ sở hạ tầng, dân sinh và kinh tế: Ảnh hưởng đến năng suất cây trồng, nuôi trồng thủy sản; ảnh hưởng đến nhà cửa; đường giao thông và đi lại của người dân; thiệt hại về kinh tế...;
- Xác định nguyên nhân ngập lụt, úng (địa hình, công trình tiêu úng, hệ thống tiêu, thoát, mưa, triều);
- Xây dựng diễn biến ngập lụt, úng ứng với các mực nước, lưu lượng;
- Xây dựng bản đồ ngập lụt, úng.
II.2.4. Đề xuất giải pháp và kiến nghị
- Đề xuất giải pháp:
+ Đề xuất đầu tư xây dựng mới, sửa chữa, nâng cấp hạ tầng thủy lợi nhằm ứng phó với lũ, ngập lụt, úng (đê bao, bờ bao, trạm bơm tiêu, cống tiêu...);
+ Đề xuất việc vận hành các công trình tiêu tương ứng với mực nước, lưu lượng;
+ Đề xuất các giải pháp nhằm giảm thiểu thiệt hại do lũ, ngập lụt, úng.
- Kiến nghị:
+ Kiến nghị rà soát, điều chỉnh quy trình vận hành các công trình thủy lợi phù hợp với thực tế;
+ Kiến nghị về cơ chế, chính sách.
II.2.5. Hoàn chỉnh hồ sơ, tài liệu và bàn giao sản phẩm
- Báo cáo tổng hợp;
- Báo cáo tóm tắt;
- Tập phiếu điều tra;
- Phụ lục (nếu có).
Mục 10
QUY ĐỊNH KỸ THUẬT ĐIỀU TRA, ĐÁNH GIÁ, THU THẬP THÔNG TIN VỀ BỒI LẮNG, XÓI LỞ CÔNG TRÌNH THỦY LỢI VÀ BỜ SÔNG, BỜ BIỂN PHỤC VỤ HOẠT ĐỘNG THỦY LỢI
I. Lập dự án
Việc lập, thẩm định, phê duyệt, tổ chức thực hiện, quản lý, giám sát và thẩm tra, nghiệm thu và bàn giao các sản phẩm theo các quy định hiện hành.
II. Nội dung điều tra
II.1. Công tác ngoại nghiệp
II.1.1. Chuẩn bị
II.1.1.1. Nhận nhiệm vụ điều tra
II.1.1.2. Nghiên cứu nhiệm vụ, nội dung, xác định đối tượng, phạm vi điều tra, khảo sát
- Nghiên cứu nhiệm vụ điều tra, khảo sát thu thập thông tin;
- Xác định đối tượng vÀ sơ bộ khoanh vùng điều tra thu thập thông tin, khảo sát, đo đạc.
II.1.1.3. Xác định các nội dung điều tra
II.1.1.4. Lập kế hoạch, phương án, lộ trình đi thực địa điều tra
- Lập kế hoạch chi tiết cho việc triển khai lộ trình điều tra;
- Xây dựng phương án bố trí nhân lực, phương án di chuyển máy móc thiết bị trong quá trình điều tra thực địa.
II.1.1.5. Chuẩn bị nhân công, vật liệu, dụng cụ và máy móc, thiết bị và tài liệu điều tra
- Chuẩn bị phương tiện, vật tư, trang thiết bị như: máy ảnh, camera, máy GPS, thước đo;
- Chuẩn bị thiết bị lấy mẫu, máy đo hiện trường như: máy đo mực nước, lưu lượng; máy đo địa hình, kiểm tra, hiệu chuẩn, các máy móc thiết bị phục vụ, phương tiện di chuyển;
- Chuẩn bị các loại sổ thực địa, phiếu điều tra, giấy đi đường, giấy giới thiệu;
- Đóng gói thiết bị, tài liệu, dụng cụ, vật tư để phục vụ cho công tác vận chuyển tới nơi tập kết điều tra, khảo sát tại hiện trường.
II.1.1.6. Liên hệ địa phương và các công tác chuẩn bị khác
II.1.1.7. Phục vụ quá trình kiểm tra, nghiệm thu sản phẩm
II.1.2. Tiến hành điều tra, khảo sát thực địa
II.1.2.1. Điều tra, thu thập tài liệu, số liệu tại các cơ quan trung ương và ở địa phương liên quan
- Điều tra, thu thập tài liệu về điều kiện tự nhiên, dân sinh, kinh tế - xã hội;
- Điều tra, thu thập tài liệu về hiện trạng bồi lắng, xói lở công trình thủy lợi, bờ sông, bờ biển;
- Điều tra, thu thập tài liệu về các giải pháp xử lý sạt lở, bồi lắng đã thực hiện.
II.1.2.2. Tổng hợp, phân tích, đánh giá thông tin thu thập từ các cơ quan liên quan
II.1.2.3. Điều tra, khảo sát thực địa
a) Điều tra thu thập thông tin bằng mẫu phiếu điều tra
Thông tin: hiện trạng công trình thủy lợi; hiện trạng cơ sở hạ tầng; diện tích đất thổ cư, đất nông nghiệp nằm sát bờ bị sạt lở; số vị trí sạt lở; loại hình sạt lở (sạt lở mặt, sạt lở chân, sạt lở hàm ếch); chiều dài sạt lở; chiều rộng sạt lở; phạm vi sạt lở; mức độ ảnh hưởng đến cơ sở hạ tầng, dân sinh, kinh tế (diện tích bị ảnh hưởng, cơ sở hạ tầng bị ảnh hưởng, số hộ dân bị ảnh hưởng); thời gian sạt lở; tình trạng xử lý.
b) Đo đạc, khảo sát thực địa
- Yêu cầu về đo bồi lắng, sạt lở:
+ Đo mực nước: Đo tại vị trí sạt lở trong mùa lũ và mùa kiệt;
+ Đo lưu lượng: Đo tại vị trí sạt lở trong mùa lũ và mùa kiệt;
+ Đo bồi lắng, sạt lở: Lấy mẫu nước để xác định lượng bùn cát lơ lửng, bùn cát đáy có trong nước sông và nước biển. Thời gian lấy mẫu trong mùa lũ và mùa kiệt tại vị trí xói lở, bồi lắng;
+ Đo mặt cắt ngang hoặc bình đồ địa hình: Thời gian trong mùa lũ và mùa kiệt tại khu vực xói lở, bồi lắng;
+ Đo sóng ven biển: Thời gian trong mùa lũ và mùa kiệt. Đo tại vị trí lưu thông tự do với biển, trong khu vực sâu nhất vùng biển bảo đảm không bị ảnh hưởng bởi đảo, bãi cát nổi, bãi đá ngầm làm biến dạng sóng từ ngoài khơi truyền vào nhằm đón được hướng gió, hướng sóng chính thịnh hành;
+ Đo gió ven biển: Thời gian trong mùa gió Đông Bắc, Tây Nam. Đo tại vị trí thông thoáng, đón được các hướng gió chính thịnh hành.
- Khảo sát, đo đạc
+ Đo mực nước: Áp dụng Tiêu chuẩn quốc gia TCVN 8304:2009 - Công tác thủy văn trong hệ thống thủy lợi;
+ Đo lưu lượng: Áp dụng Tiêu chuẩn quốc gia TCVN 8304:2009 - Công tác thủy văn trong hệ thống thủy lợi;
+ Đo mặt cắt ngang: Áp dụng theo Tiêu chuẩn quốc gia TCVN 8226:2009 Công trình thủy lợi - Các quy định chủ yếu về khảo sát mặt cắt ngang và bình đồ địa hình các tỷ lệ từ 1/200 đến 1/5000;
+ Đo bình đồ địa hình: Áp dụng theo Tiêu chuẩn quốc gia TCVN 8226:2009 Công trình thủy lợi - Các quy định chủ yếu về khảo sát mặt cắt ngang và bình đồ địa hình các tỷ lệ từ 1/200 đến 1/5000;
+ Đo sóng ven biển: Áp dụng theo Tiêu chuẩn quốc gia TCVN 12636-3:2019 Quan trắc khí tượng thủy văn - Phần 3: Quan trắc hải văn;
+ Đo gió ven biển: Áp dụng theo Tiêu chuẩn quốc gia TCVN 12636-3:2019 Quan trắc khí tượng thủy văn - Phần 3: Quan trắc hải văn;
+ Đo chất lượng nước: Theo quy định về đo chất lượng nước tại mục 6, chương II của Thông tư này.
II.2. Công tác nội nghiệp
II.2.1. Tổng hợp, phân tích, đánh giá phân loại tài liệu thu thập từ các cơ quan liên quan
- Tổng hợp, phân tích thông tin, số liệu về điều kiện tự nhiên, dân sinh kinh tế - xã hội;
- Tổng hợp, phân tích thông tin, số liệu về hiện trạng bồi lắng, xói lở công trình thủy lợi, bờ sông, bờ biển;
- Tổng hợp, phân tích thông tin, số liệu về các giải pháp xử lý sạt lở, bồi lắng đã được thực hiện.
II.2.2. Tổng hợp, phân tích số liệu từ mẫu phiếu điều tra.
- Tổng hợp, phân loại các mẫu phiếu điều tra;
- Tổng hợp, thông tin, số liệu thu thập từ mẫu phiếu điều tra;
II.2.3. Tổng hợp, phân tích số liệu đo đạc khảo sát thực địa
- Tính toán, phân tích đánh giá diễn biến bồi lắng công trình thủy lợi
+ Phân tính các số liệu đo đạc bùn cát lơ lửng, xây dựng biểu đồ, bảng biểu;
+ Đánh giá diễn biến bồi lắng công trình thủy lợi
- Tính toán, phân tích đánh giá diễn biến xói lở địa hình bờ sông, bờ biển theo mùa và năm;
+ Phân tích diễn biến trên cơ sở chập mặt cắt ngang địa hình (chập bản đồ ảnh viễn thám);
+ Tính toán dự báo biến đổi đường bờ cho bờ sông, bờ biển phục vụ nghiên cứu dự báo xói lở bờ;
+ Xây dựng bản đồ về hiện trạng xói lở, bồi lắng.
II.2.4. Đánh giá ảnh hưởng của bồi lắng, xói lở công trình thủy lợi đến hoạt động thủy lợi
- Đánh giá ảnh hưởng của bồi lắng công trình thủy lợi đến hoạt động thủy lợi;
- Đánh giá ảnh hưởng của xói lở công trình thủy lợi đến hoạt động thủy lợi.
II.2.5. Đề xuất giải pháp và kiến nghị
- Đề xuất giải pháp:
+ Đề xuất các giải pháp thủy lợi để tăng cường lấy phù sa vào đồng ruộng, giảm bồi lắng trên các kênh, rạch;
+ Đề xuất các giải pháp kỹ thuật công trình và phi công trình, các phương án xử lý, bảo vệ các khu vực xói lở bờ biển nhằm kịp thời phục vụ công tác phòng, chống thiên tai đảm bảo an toàn dân cư, phát triển ổn định kinh tế - xã hội dải ven biển;
+ Đề xuất các giải pháp công trình và phi công trình làm giảm mức độ xói lở công trình thủy lợi, xói lở bờ sông, bờ biển nhằm kịp thời phục vụ công tác quy hoạch chỉnh trị, lựa chọn các giải pháp kỹ thuật bảo vệ đê kè phù hợp, phát huy hiệu quả đầu tư.
- Kiến nghị:
+ Kiến nghị bổ sung, điều chỉnh cơ chế, chính sách, hướng dẫn nhằm theo dõi, quản lý vấn đề sạt lở, bồi lắng;
+ Kiến nghị lộ trình đầu tư xây dựng nhằm bảo vệ công trình kết cấu hạ tầng và tính mạng của người dân.
II.2.6. Hoàn chỉnh hồ sơ, tài liệu và bàn giao sản phẩm
- Báo cáo tổng hợp;
- Báo cáo tóm tắt;
- Tập phiếu điều tra;
- Phụ lục (nếu có).
CHƯƠNG III
ĐỊNH MỨC KINH TẾ - KỸ THUẬT CHO HOẠT ĐỘNG ĐIỀU TRA CƠ BẢN THỦY LỢI
Mục 1
ĐỊNH MỨC ĐIỀU TRA SỐ LƯỢNG, CHẤT LƯỢNG VÀ NĂNG LỰC PHỤC VỤ CỦA CÔNG TRÌNH THỦY LỢI
I. Định mức lao động
I.1. Thành phần công việc
Thành phần công việc được quy định tại khoản II, mục 1, chương II, phụ lục II.
I.2. Các công việc chưa được tính toán trong định mức
Các công việc chưa được tính toán trong định mức gồm: Đo mực nước; đo lưu lượng; đo áp lực; đo mặt cắt ngang; đo bình đồ; đo chuyển vị; đo mối; đo độ rung, độ ồn; lấy mẫu và phân tích các thông số chất lượng nước trong phòng; thuê phương tiện vận chuyển; tổ chức hội thảo, báo cáo kết quả thực hiện các ban, ngành; in ấn sản phẩm và bàn giao tài liệu.
I.3. Định mức lao động
Bảng 16. Định mức lao động điều tra số lượng, chất lượng và năng lực phục vụ của công trình thủy lợi
|
MH |
TT |
Nội dung công việc |
Đơn vị |
Định biên (Cấp bậc bình quân) |
Định mức |
Hệ số hiệu chỉnh áp dụng |
|
|
Ngoại nghiệp |
Nội nghiệp |
||||||
|
LHTL |
A |
Công tác ngoại nghiệp |
|
|
|
|
|
|
1 |
Chuẩn bị |
Công/nội dung/nhiệm vụ |
KS2 |
12,0 |
|
Knd |
|
|
2 |
Điều tra thực địa |
|
|
|
|
|
|
|
2.1 |
Điều tra, thu thập thông tin, số liệu tại các cơ quan trung ương và ở địa phương liên quan |
Công/nội dung /nhiệm vụ |
KS2 |
60 |
|
Knd, Khc |
|
|
2.2 |
Tổng hợp thông tin thu thập từ các cơ quan liên quan |
Công/nội dung /nhiệm vụ |
KS2 |
30 |
|
Knd |
|
|
2.3 |
Điều tra, thu thập thông tin bằng mẫu phiếu điều tra |
|
|
|
|
|
|
|
a |
Đập, hồ chứa |
Công/mẫu phiếu /nhiệm vụ |
KS2 |
3,19 |
|
Kđh, Kct1, Kht, Kpp |
|
|
b |
Trạm bơm |
Công/mẫu phiếu /nhiệm vụ |
KS2 |
3,00 |
|
Kđh, Kct2, Kht, Kpp |
|
|
c |
Cống |
Công/mẫu phiếu /nhiệm vụ |
KS2 |
2,81 |
|
Kđh, Kct3, Kct4, Kht, Kpp |
|
|
d |
Hệ thống dẫn nước, chuyển nước |
Công/mẫu phiếu /nhiệm vụ |
KS2 |
2,25 |
|
Kđh, Kct5, Kct6, Kht, Kpp |
|
|
e |
Bờ bao |
Công/mẫu phiếu /nhiệm vụ |
KS2 |
2,25 |
|
Kđh, Kct8, Kht, Kpp |
|
|
f |
Công trình cấp nước sạch |
Công/mẫu phiếu /nhiệm vụ |
KS2 |
2,25 |
|
Kđh, Kct7, Kct6, Kht, Kpp |
|
|
B |
Công tác nội nghiệp |
|
|
|
|
|
|
|
1 |
Phân tích, đánh giá phân loại tài liệu thu thập từ các cơ quan liên quan |
Công/nội dung /nhiệm vụ |
KS3 |
|
132 |
Knd |
|
|
2 |
Tổng hợp phân tích số liệu từ các mẫu phiếu điều tra |
Công/nội dung /nhiệm vụ |
KS4 |
|
22 |
Knd |
|
|
3 |
Tổng hợp, phân tích số liệu điều tra, khảo sát, đo đạc |
Công/nội dung /nhiệm vụ |
KS5 |
|
250 |
Knd |
|
|
4 |
Đề xuất giải pháp và kiến nghị |
Công/nội dung /nhiệm vụ |
KS5 |
|
48 |
Knd |
|
|
5 |
Tổng hợp, hoàn chỉnh hồ sơ, tài liệu và bàn giao sản phẩm |
Công/nội dung /nhiệm vụ |
KS5 |
|
60 |
Knd |
|
II. Vật tư, thiết bị
II.1. Dụng cụ
Bảng 17. Định mức sử dụng dụng cụ điều tra số lượng, chất lượng và năng lực phục vụ của công trình thủy lợi
|
MH |
TT |
Danh mục dụng cụ |
THSD (tháng) |
Định mức (Ca/nhiệm vụ) |
|
|
Ngoại nghiệp |
Nội nghiệp |
||||
|
DHTL |
1 |
Bàn làm việc |
96 |
|
512 |
|
2 |
Tủ đựng tài liệu |
96 |
|
404 |
|
|
3 |
Cặp tài liệu |
24 |
|
404 |
|
|
4 |
Dụng cụ nhỏ phụ khác |
|
|
5 |
|
II.2. Thiết bị
Bảng 18. Định mức sử dụng thiết bị điều tra số lượng, chất lượng và năng lực phục vụ của công trình thủy lợi
|
MH |
TT |
Danh mục thiết bị |
Công suất (kw) |
THSD (tháng) |
Định mức (Ca/nhiệm vụ) |
|
|
Ngoại nghiệp |
Nội nghiệp |
|||||
|
THTL |
1 |
Máy tính xách tay |
0,04 |
60 |
|
461 |
|
2 |
Máy in A4 |
0,5 |
60 |
|
97 |
|
|
3 |
Máy photocopy |
1 |
96 |
|
28 |
|
|
4 |
Máy điều hòa |
2,2 |
96 |
|
346 |
|
|
5 |
Điện năng |
|
|
|
855 |
|
II.3 Vật liệu
Bảng 19. Định mức sử dụng vật liệu điều tra số lượng, chất lượng và năng lực phục vụ của công trình thủy lợi
|
MH |
TT |
Danh mục vật liệu |
ĐVT |
Định mức (ĐVT/nhiệm vụ) |
|
|
Ngoại nghiệp |
Nội nghiệp |
||||
|
VHTL |
1 |
Mực in lazer |
hộp |
|
10,14 |
|
2 |
Mực photocopy |
hộp |
|
0,97 |
|
|
3 |
Giấy A4 |
ram |
|
4,15 |
|
|
4 |
Đĩa CD |
cái |
0,50 |
0,50 |
|
|
5 |
Vật liệu phụ và hao hụt |
% |
8 |
8 |
|
Ghi chú: Định mức sử dụng vật liệu, dụng cụ và máy móc, thiết bị nêu trên tính cho toàn bộ công việc nội nghiệp và ngoại nghiệp. Mức cho từng bước được phân bổ theo hệ số sau:
Bảng 20. Hệ số phân bổ dụng cụ, thiết bị, vật liệu điều tra số lượng, chất lượng và năng lực phục vụ của công trình thủy lợi
|
MH |
TT |
Nội dung công việc |
Hệ số |
|
HHTL |
A |
Ngoại nghiệp |
1 |
|
1 |
Chuẩn bị |
0,06 |
|
|
2 |
Tiến hành điều tra thực địa |
|
|
|
2.1 |
Điều tra, thu thập thông tin, số liệu tại các cơ quan trung ương và ở địa phương liên quan. |
0,02 |
|
|
2.2 |
Tổng hợp thông tin thu thập từ các cơ quan liên quan. |
0,03 |
|
|
2.3 |
Điều tra, thu thập thông tin bằng phiếu điều tra theo mẫu |
|
|
|
a |
Đập, hồ chứa |
0,25 |
|
|
b |
Trạm bơm |
0,22 |
|
|
c |
Cống |
0,12 |
|
|
d |
Hệ thống dẫn nước, chuyển nước |
0,09 |
|
|
e |
Bờ bao |
0,09 |
|
|
f |
Công trình cấp nước sạch |
0,12 |
|
|
B |
Nội nghiệp |
1 |
|
|
1 |
Tổng hợp, phân tích đánh giá phân loại tài liệu thu thập từ các cơ quan liên quan |
0,09 |
|
|
2 |
Tổng hợp phân tích số liệu từ các mẫu phiếu điều tra |
0,15 |
|
|
3 |
Tổng hợp, phân tích số liệu điều tra, khảo sát |
0,42 |
|
|
4 |
Đề xuất giải pháp và kiến nghị |
0,09 |
|
|
5 |
Hoàn chỉnh hồ sơ, tài liệu và bàn giao sản phẩm |
0,25 |
Mục 2
ĐỊNH MỨC ĐIỀU TRA NHU CẦU SỬ DỤNG SẢN PHẨM, DỊCH VỤ THỦY LỢI
I. Định mức lao động
I.1. Thành phần công việc
Thành phần công việc được quy định tại khoản II, mục 2, chương II, phụ lục II.
I.2. Các công việc chưa được tính toán trong định mức
Các công việc chưa được tính toán trong định mức gồm: Thuê phương tiện vận chuyển; tổ chức hội thảo, báo cáo kết quả thực hiện các ban ngành; in ấn sản phẩm và bàn giao tài liệu.
I.3. Định mức lao động
Bảng 21. Định mức lao động điều tra nhu cầu sử dụng sản phẩm, dịch vụ thủy lợi
|
MH |
TT |
Nội dung công việc |
Đơn vị |
Định biên (Cấp bậc bình quân) |
Định mức |
Hệ số hiệu chỉnh áp dụng |
|
|
Ngoại nghiệp |
Nội nghiệp |
||||||
|
LDVT |
A |
Công tác ngoại nghiệp |
|
|
|
|
|
|
1 |
Chuẩn bị |
Công/nội dung/nhiệm vụ |
KS2 |
7,0 |
|
Knd |
|
|
2 |
Điều tra thực địa |
|
|
|
|
|
|
|
2.1 |
Điều tra, thu thập thông tin, số liệu tại các cơ quan trung ương và ở địa phương liên quan. |
Công/phiếu/nhiệm vụ |
KS2 |
24 |
|
Khc |
|
|
2.2 |
Tổng hợp thông tin thu thập từ các cơ quan liên quan. |
Công/phiếu/nhiệm vụ |
KS2 |
12 |
|
Khc |
|
|
2.3 |
Điều tra, thu thập thông tin nhu cầu sử dụng sản phẩm dịch vụ thủy lợi bằng mẫu phiếu điều tra |
Công/phiếu/nhiệm vụ |
KS2 |
1,32 |
|
Kđh,Kht |
|
|
B |
Công tác nội nghiệp |
|
|
|
|
|
|
|
1 |
Phân tích, đánh giá phân loại tài liệu thu thập từ các cơ quan liên quan |
Công/nội dung/nhiệm vụ |
KS3 |
|
110 |
Knd |
|
|
2 |
Tổng hợp phân tích số liệu từ các mẫu phiếu điều tra |
Công/nội dung/nhiệm vụ |
KS4 |
|
20 |
Knd |
|
|
4 |
Đề xuất giải pháp và kiến nghị |
Công/nội dung/nhiệm vụ |
KS5 |
|
88 |
Knd |
|
|
5 |
Hoàn chỉnh hồ sơ, tài liệu và bàn giao sản phẩm |
Công/ nhiệm vụ |
KS5 |
|
123 |
Knd |
|
II. Vật tư, thiết bị
II.1. Dụng cụ
Bảng 22. Định mức sử dụng dụng cụ điều tra nhu cầu sử dụng sản phẩm, dịch vụ thủy lợi
|
MH |
TT |
Danh mục dụng cụ |
THSD (tháng) |
Định mức (Ca/nhiệm vụ) |
|
|
Ngoại nghiệp |
Nội nghiệp |
||||
|
DDVT |
1 |
Bàn làm việc |
96 |
|
341 |
|
2 |
Tủ đựng tài liệu |
96 |
|
130 |
|
|
3 |
Cặp tài liệu |
24 |
|
130 |
|
|
4 |
Dụng cụ nhỏ phụ khác |
|
|
5 |
|
II.2. Thiết bị
Bảng 23. Định mức sử dụng thiết bị điều tra nhu cầu sử dụng sản phẩm, dịch vụ thủy lợi
|
MH |
TT |
Danh mục thiết bị |
Công suất (kw) |
THSD (tháng) |
Định mức (Ca/nhiệm vụ) |
|
|
Ngoại nghiệp |
Nội nghiệp |
|||||
|
TDVT |
1 |
Máy tính xách tay |
0,04 |
60 |
|
307 |
|
2 |
Máy in A4 |
0,5 |
60 |
|
64 |
|
|
3 |
Máy photocopy |
1 |
96 |
|
18 |
|
|
4 |
Máy điều hòa |
2,2 |
96 |
|
230 |
|
|
5 |
Điện năng |
|
|
|
569 |
|
II.3. Vật liệu
Bảng 24. Định mức sử dụng vật liệu điều tra nhu cầu sử dụng sản phẩm, dịch vụ thủy lợi
|
MH |
TT |
Danh mục vật liệu |
ĐVT |
Định mức (ĐVT/nhiệm vụ) |
|
|
Ngoại nghiệp |
Nội nghiệp |
||||
|
VDVT |
1 |
Mực in lazer |
hộp |
|
6,75 |
|
2 |
Mực photocopy |
hộp |
|
0,64 |
|
|
3 |
Giấy A4 |
ram |
|
2,76 |
|
|
4 |
Đĩa CD |
cái |
0,50 |
0,50 |
|
|
5 |
Vật liệu phụ và hao hụt |
% |
8 |
8 |
|
Ghi chú: Định mức sử dụng vật liệu, dụng cụ và máy móc, thiết bị nêu trên tính cho toàn bộ công việc nội nghiệp và ngoại nghiệp. Mức cho từng bước được phân bổ theo hệ số sau:
Bảng 25. Hệ số phân bổ dụng cụ, thiết bị, vật liệu điều tra nhu cầu sử dụng sản phẩm, dịch vụ thủy lợi
|
MH |
TT |
Nội dung công việc |
Hệ số |
|
HDVT |
A |
Ngoại nghiệp |
1 |
|
1 |
Chuẩn bị |
0,06 |
|
|
2 |
Tiến hành điều tra thực địa |
|
|
|
2.1 |
Điều tra, thu thập thông tin, số liệu tại các cơ quan trung ương và ở địa phương liên quan. |
0,02 |
|
|
2.2 |
Tổng hợp thông tin thu thập từ các cơ quan liên quan. |
0,03 |
|
|
2.3 |
Điều tra, thu thập thông tin bằng phiếu điều tra theo mẫu |
0,89 |
|
|
B |
Nội nghiệp |
1 |
|
|
1 |
Tổng hợp, phân tích đánh giá phân loại tài liệu thu thập từ các cơ quan liên quan |
0,09 |
|
|
2 |
Tổng hợp phân tích số liệu từ các mẫu phiếu điều tra |
0,15 |
|
|
3 |
Tổng hợp, phân tích số liệu điều tra, khảo sát |
0,42 |
|
|
4 |
Đề xuất giải pháp và kiến nghị |
0,09 |
|
|
5 |
Hoàn chỉnh hồ sơ, tài liệu và bàn giao sản phẩm |
0,25 |
Mục 3
ĐỊNH MỨC VỀ ĐIỀU TRA HIỆN TRẠNG CƠ CẤU TỔ CHỨC HOẠT ĐỘNG THỦY LỢI
I. Định mức lao động
I.1. Thành phần công việc
Thành phần công việc được quy định tại khoản II, mục 3, chương II, phụ lục II.
I.2. Các công việc chưa được tính toán trong định mức
Các công việc chưa được tính toán trong định mức gồm: Thuê phương tiện vận chuyển; tổ chức hội thảo, báo cáo kết quả thực hiện các ban ngành; in ấn sản phẩm và bàn giao tài liệu.
I.3. Định mức lao động
Bảng 26. Định mức lao động điều tra hiện trạng cơ cấu, tổ chức trong hoạt động thủy lợi
|
MH |
TT |
Nội dung công việc |
Đơn vị |
Định biên (Cấp bậc bình quân) |
Định mức |
Hệ số hiệu chỉnh áp dụng |
|
|
Ngoại nghiệp |
Nội nghiệp |
||||||
|
LCTC |
A |
Công tác ngoại nghiệp |
|
|
|
|
|
|
1 |
Chuẩn bị |
Công/nội dung /nhiệm vụ |
KS2 |
7,0 |
|
Knd |
|
|
2 |
Điều tra thực địa |
|
|
|
|
|
|
|
2.1 |
Điều tra, thu thập thông tin, số liệu tại các cơ quan trung ương và ở địa phương liên quan. |
Công/nhiệm vụ |
KS2 |
24 |
|
Khc |
|
|
2.2 |
Tổng hợp thông tin thu thập từ các cơ quan liên quan. |
Công/nhiệm vụ |
KS2 |
12 |
|
|
|
|
2.3 |
Điều tra, thu thập thông tin bằng mẫu phiếu điều tra |
|
|
|
|
|
|
|
a |
Điều tra thông tin về cơ cấu tổ chức cơ quan quản lý nhà nước ở Trung ương |
Công/phiếu/nhiệm vụ |
KS2 |
1,76 |
|
|
|
|
b |
Điều tra thông tin về cơ cấu tổ chức tại cơ quan quản lý nhà nước tại địa phương |
Công/phiếu/nhiệm vụ |
KS2 |
1,32 |
|
Kđh, Kht |
|
|
B |
Công tác nội nghiệp |
|
|
|
|
|
|
|
1 |
Phân tích, đánh giá phân loại tài liệu thu thập từ các cơ quan liên quan |
Công/nội dung/nhiệm vụ |
KS3 |
|
106 |
Knd |
|
|
2 |
Tổng hợp phân tích số liệu từ các mẫu phiếu điều tra |
Công/nội dung/nhiệm vụ |
KS4 |
|
22,00 |
Knd |
|
|
4 |
Đề xuất giải pháp và kiến nghị |
Công/nội dung/nhiệm vụ |
KS5 |
|
64 |
Knd |
|
|
5 |
Hoàn chỉnh hồ sơ, tài liệu và bàn giao sản phẩm |
Công/ nhiệm vụ |
KS5 |
|
123 |
Knd |
|
II. Vật tư, thiết bị
II.1. Dụng cụ
Bảng 27. Định mức sử dụng dụng cụ điều tra cơ cấu tổ chức trong hoạt động thủy lợi
|
MH |
TT |
Danh mục dụng cụ |
THSD (tháng) |
Định mức (Ca/nhiệm vụ) |
|
|
Ngoại nghiệp |
Nội nghiệp |
||||
|
DCTC |
1 |
Bàn làm việc |
96 |
|
315 |
|
2 |
Tủ đựng tài liệu |
96 |
|
128 |
|
|
3 |
Cặp tài liệu |
24 |
|
128 |
|
|
4 |
Dụng cụ nhỏ phụ khác |
|
|
5 |
|
II.2. Thiết bị
Bảng 28. Định mức sử dụng thiết bị điều tra cơ cấu tổ chức trong hoạt động thủy lợi
|
MH |
TT |
Danh mục thiết bị |
Công suất (kw) |
THSD (tháng) |
Định mức (Ca/nhiệm vụ) |
|
|
Ngoại nghiệp |
Nội nghiệp |
|||||
|
TCTC |
1 |
Máy tính xách tay |
0,04 |
60 |
|
283 |
|
2 |
Máy in A4 |
0,5 |
60 |
|
59 |
|
|
3 |
Máy photocopy |
1 |
96 |
|
17 |
|
|
4 |
Máy điều hòa |
2,2 |
96 |
|
212 |
|
|
5 |
Điện năng |
|
|
|
525 |
|
II.3. Vật liệu
Bảng 29. Định mức sử dụng vật liệu điều tra cơ cấu tổ chức trong hoạt động thủy lợi
|
MH |
TT |
Danh mục vật liệu |
ĐVT |
Định mức (ĐVT/nhiệm vụ) |
|
|
Ngoại nghiệp |
Nội nghiệp |
||||
|
VCTC |
1 |
Mực in lazer |
hộp |
|
6,23 |
|
2 |
Mực photocopy |
hộp |
|
0,59 |
|
|
3 |
Giấy A4 |
ram |
|
2,55 |
|
|
4 |
Đĩa CD |
cái |
0,50 |
0,50 |
|
|
5 |
Vật liệu phụ và hao hụt |
% |
8 |
8 |
|
Ghi chú: Định mức sử dụng vật liệu, dụng cụ và máy móc, thiết bị nêu trên tính cho toàn bộ công việc nội nghiệp và ngoại nghiệp. Mức cho từng bước được phân bổ theo hệ số sau:
Bảng 30. Hệ số phân bổ dụng cụ, thiết bị, vật liệu điều tra cơ cấu tổ chức trong hoạt động thủy lợi
|
MH |
TT |
Nội dung công việc |
Hệ số |
|
HCTC |
A |
Ngoại nghiệp |
1 |
|
1 |
Chuẩn bị |
0,06 |
|
|
2 |
Tiến hành điều tra thực địa |
|
|
|
2.1 |
Điều tra, thu thập thông tin, số liệu tại các cơ quan trung ương và ở địa phương liên quan. |
0,02 |
|
|
2.2 |
Tổng hợp thông tin thu thập từ các cơ quan liên quan. |
0,03 |
|
|
2.3 |
Điều tra, thu thập thông tin bằng phiếu điều tra theo mẫu |
0,89 |
|
|
B |
Nội nghiệp |
1 |
|
|
1 |
Tổng hợp, phân tích đánh giá phân loại tài liệu thu thập từ các cơ quan liên quan |
0,09 |
|
|
2 |
Tổng hợp phân tích số liệu từ các mẫu phiếu điều tra |
0,15 |
|
|
3 |
Tổng hợp, phân tích số liệu điều tra, khảo sát |
0,42 |
|
|
4 |
Đề xuất giải pháp và kiến nghị |
0,09 |
|
|
5 |
Hoàn chỉnh hồ sơ, tài liệu và bàn giao sản phẩm |
0,25 |
Mục 4
ĐỊNH MỨC ĐIỀU TRA HIỆN TRẠNG CƠ CHẾ CHÍNH SÁCH TRONG HOẠT ĐỘNG THỦY LỢI
I. Định mức lao động
I.1. Thành phần công việc
Thành phần công việc được quy định tại khoản II, mục 4, chương II, phụ lục II.
I.2. Các công việc chưa được tính toán trong định mức
Các công việc chưa được tính toán trong định mức gồm: Thuê phương tiện vận chuyển; tổ chức hội thảo, báo cáo kết quả thực hiện các ban ngành; in ấn sản phẩm và bàn giao tài liệu.
I.3. Định mức lao động
Bảng 31. Định mức lao động điều tra hiện trạng cơ chế, chính sách trong hoạt động thủy lợi
|
MH |
TT |
Nội dung công việc |
Đơn vị |
Định biên (Cấp bậc bình quân) |
Định mức |
Hệ số hiệu chỉnh |
|
|
Ngoại nghiệp |
Nội nghiệp |
||||||
|
LCCS |
A |
Công tác ngoại nghiệp |
|
|
|
|
|
|
|
1 |
Chuẩn bị |
Công/nội dung/ nhiệm vụ |
KS2 |
7,0 |
|
Knd |
|
2 |
Điều tra thực địa |
|
|
|
|
|
|
|
2.1 |
Điều tra, thu thập thông tin, số liệu tại các cơ quan trung ương và ở địa phương liên quan. |
Công/nhiệm vụ |
KS2 |
36 |
|
Khc |
|
|
2.2 |
Tổng hợp thông tin thu thập từ các cơ quan liên quan. |
Công/nhiệm vụ |
KS2 |
18 |
|
|
|
|
2.3 |
Điều tra, thu thập thông tin bằng mẫu phiếu điều tra |
|
|
|
|
|
|
|
|
Điều tra thông tin về cơ chế chính sách đã ban hành tại cơ quan trung ương |
Công/phiếu |
KS2 |
2,25 |
|
|
|
|
|
Điều tra thông tin về cơ chế, chính sách do địa phương ban hành |
Công/phiếu |
KS2 |
2,25 |
|
Kđh, Kht |
|
|
|
Điều tra thông tin về việc áp dụng các văn bản quy phạm pháp luật tại các cơ quan, đơn vị sự nghiệp của ngành thủy lợi |
Công/phiếu |
KS2 |
3,00 |
|
Kđh, Kht |
|
|
B |
Công tác nội nghiệp |
|
|
|
|
|
|
|
1 |
Phân tích, đánh giá phân loại tài liệu thu thập từ các cơ quan liên quan |
Công/nội dung/ nhiệm vụ |
KS3 |
|
144 |
Knd |
|
|
2 |
Tổng hợp phân tích số liệu từ các mẫu phiếu điều tra |
Công/nội dung/ nhiệm vụ |
KS4 |
|
22,00 |
Knd |
|
|
4 |
Đề xuất giải pháp và kiến nghị |
Công/nội dung/ nhiệm vụ |
KS5 |
|
99 |
Knd |
|
|
5 |
Hoàn chỉnh hồ sơ, tài liệu và bàn giao sản phẩm |
Công/ nhiệm vụ |
KS5 |
|
83 |
Knd |
|
II. Vật tư, thiết bị
II.1. Dụng cụ
Bảng 32. Định mức sử dụng dụng cụ điều tra hiện trạng cơ chế, chính sách trong hoạt động thủy lợi
|
MH |
TT |
Danh mục dụng cụ |
THSD (tháng) |
Định mức (Ca/nhiệm vụ) |
|
|
Ngoại nghiệp |
Nội nghiệp |
||||
|
DCCS |
1 |
Bàn làm việc |
96 |
|
348 |
|
2 |
Tủ đựng tài liệu |
96 |
|
166 |
|
|
3 |
Cặp tài liệu |
24 |
|
166 |
|
|
4 |
Dụng cụ nhỏ phụ khác |
|
|
5 |
|
II.2. Thiết bị
Bảng 33. Định mức sử dụng thiết bị điều tra hiện trạng cơ chế, chính sách trong hoạt động thủy lợi
|
Mã hiệu |
TT |
Danh mục thiết bị |
Công suất (kw) |
THSD (tháng) |
Định mức (Ca/nhiệm vụ) |
|
|
Ngoại nghiệp |
Nội nghiệp |
|||||
|
TCCS |
1 |
Máy tính xách tay |
0,04 |
60 |
|
313 |
|
2 |
Máy in A4 |
0,5 |
60 |
|
66 |
|
|
3 |
Máy photocopy |
1 |
96 |
|
19 |
|
|
4 |
Máy điều hòa |
2,2 |
96 |
|
235 |
|
|
5 |
Điện năng |
|
|
|
581 |
|
II.3. Vật liệu
Bảng 34. Định mức sử dụng vật liệu điều tra hiện trạng cơ chế, chính sách trong hoạt động thủy lợi
|
Mã hiệu |
TT |
Danh mục vật liệu |
ĐVT |
Định mức (ĐVT/nhiệm vụ) |
|
|
Ngoại nghiệp |
Nội nghiệp |
||||
|
VCCS |
1 |
Mực in lazer |
hộp |
|
6,89 |
|
2 |
Mực photocopy |
hộp |
|
0,66 |
|
|
3 |
Giấy A4 |
ram |
|
2,82 |
|
|
4 |
Đĩa CD |
cái |
0,50 |
0,50 |
|
|
5 |
Vật liệu phụ và hao hụt |
% |
8 |
8 |
|
Ghi chú: Định mức sử dụng vật liệu, dụng cụ và máy móc, thiết bị nêu trên tính cho toàn bộ công việc nội nghiệp và ngoại nghiệp. Mức cho từng bước được phân bổ theo hệ số sau:
Bảng 35. Hệ số phân bổ dụng cụ, thiết bị, vật liệu điều tra hiện trạng cơ chế, chính sách trong hoạt động thủy lợi
|
MH |
TT |
Nội dung công việc |
Hệ số |
|
HCCS |
A |
Ngoại nghiệp |
1 |
|
1 |
Chuẩn bị |
0,06 |
|
|
2 |
Tiến hành điều tra thực địa |
|
|
|
2.1 |
Điều tra, thu thập thông tin, số liệu tại các cơ quan trung ương và ở địa phương liên quan. |
0,02 |
|
|
2.2 |
Tổng hợp thông tin thu thập từ các cơ quan liên quan. |
0,03 |
|
|
2.3 |
Điều tra, thu thập thông tin bằng phiếu điều tra theo mẫu |
0,89 |
|
|
B |
Nội nghiệp |
1 |
|
|
1 |
Tổng hợp, phân tích đánh giá phân loại tài liệu thu thập từ các cơ quan liên quan |
0,09 |
|
|
2 |
Tổng hợp phân tích số liệu từ các mẫu phiếu điều tra |
0,15 |
|
|
3 |
Tổng hợp, phân tích số liệu điều tra, khảo sát |
0,42 |
|
|
4 |
Đề xuất giải pháp và kiến nghị |
0,09 |
|
|
5 |
Hoàn chỉnh hồ sơ, tài liệu và bàn giao sản phẩm |
0,25 |
Mục 5
ĐỊNH MỨC ĐIỀU TRA, ĐÁNH GIÁ TÁC ĐỘNG CỦA CÔNG TRÌNH THỦY LỢI ĐẾN MÔI TRƯỜNG VÀ ĐỜI SỐNG CỦA NGƯỜI DÂN
I. Định mức lao động
I.1. Thành phần công việc
Thành phần công việc quy định tại khoản II, mục 5, chương II, phụ lục II.
I.2. Các công việc chưa được tính toán trong định mức
Các công việc chưa được tính toán trong định mức gồm: Đo mực nước; đo lưu lượng; lấy mẫu và phân tích các thông số chất lượng nước trong phòng; thuê phương tiện lấy mẫu; thuê phương tiện vận chuyển; tổ chức hội thảo, báo cáo kết quả thực hiện các ban ngành; in ấn sản phẩm và bàn giao tài liệu.
I.3. Định mức lao động
Bảng 36. Định mức lao động điều tra đánh giá tác động của công trình thủy lợi đến môi trường và đời Sống của người dân
|
MH |
TT |
Nội dung công việc |
Đơn vị |
Định biên (Cấp bậc bình quân) |
Định mức |
Hệ số hiệu chỉnh |
||
|
Ngoại nghiệp |
Nội nghiệp |
|||||||
|
LĐTM |
A |
Công tác ngoại nghiệp |
|
|
|
|
|
|
|
1 |
Chuẩn bị |
Công/nội dung/nhiệm vụ |
KS2 |
7 |
|
Knd |
||
|
2 |
Điều tra thực địa |
|
|
|
|
|
||
|
|
2.1 |
Điều tra, thu thập thông tin, số liệu tại các cơ quan trung ương và ở địa phương liên quan. |
Công/nhiệm vụ |
KS2 |
36 |
|
Khc |
|
|
|
2.2 |
Tổng hợp thông tin thu thập từ các cơ quan liên quan. |
Công/nhiệm vụ |
KS2 |
18 |
|
|
|
|
|
2.3 |
Điều tra, thu thập thông tin bằng mẫu phiếu điều tra |
|
|
|
|
|
|
|
|
|
Điều tra thông tin đời sống dân sinh, kinh tế - xã hội |
Công/phiếu |
KS2 |
1,41 |
|
Kđh, Kht |
|
|
|
|
Điều tra thông tin về thủy văn, môi trường |
Công/phiếu |
KS2 |
1,14 |
|
Kđh, Kht |
|
|
|
|
Điều tra thông tin về động vật |
Công/phiếu |
KS2 |
0,93 |
|
Kđh, Kht |
|
|
|
B |
Công tác nội nghiệp |
|
|
|
|
|
|
|
|
1 |
Phân tích, đánh giá phân loại tài liệu thu thập từ các cơ quan liên quan |
Công/nội dung/nhiệm vụ |
KS3 |
|
144 |
Knd |
|
|
|
2 |
Tổng hợp phân tích số liệu từ các mẫu phiếu điều tra |
Công/nội dung/nhiệm vụ |
KS4 |
|
32 |
Knd |
|
|
|
3 |
Tổng hợp, phân tích số liệu điều tra, khảo sát, đo đạc |
Công/nội dung/nhiệm vụ |
KS5 |
|
200 |
Knd |
|
|
|
4 |
Đề xuất giải pháp và kiến nghị |
Công/nội dung/nhiệm vụ |
KS5 |
|
110 |
Knd |
|
|
|
5 |
Hoàn chỉnh hồ sơ, tài liệu và bàn giao sản phẩm |
Công/ nhiệm vụ |
KS5 |
|
83 |
Knd |
|
II. Vật tư, thiết bị
II.1. Dụng cụ
Bảng 37. Định mức sử dụng dụng cụ điều tra, đánh giá tác động của công trình thủy lợi đến môi trường và đời sống của người dân
|
MH |
TT |
Danh mục dụng cụ |
THSD (tháng) |
Định mức (Ca/nhiệm vụ) |
|
|
Ngoại nghiệp |
Nội nghiệp |
||||
|
DĐTM |
1 |
Bàn làm việc |
96 |
|
369 |
|
2 |
Tủ đựng tài liệu |
96 |
|
176 |
|
|
3 |
Cặp tài liệu |
24 |
|
176 |
|
|
4 |
Dụng cụ nhỏ phụ khác |
|
|
5 |
|
II.2. Thiết bị
Bảng 38. Định mức sử dụng thiết bị điều tra, đánh giá tác động của công trình thủy lợi đến môi trường và đời sống của người dân
|
MH |
TT |
Danh mục thiết bị |
Công suất (kw) |
THSD (tháng) |
Định mức (Ca/nhiệm vụ) |
|
|
Ngoại nghiệp |
Nội nghiệp |
|||||
|
TĐTM |
1 |
Máy tính xách tay |
0,04 |
60 |
|
331,97 |
|
2 |
Máy in A4 |
0,5 |
60 |
|
77,46 |
|
|
3 |
Máy photocopy |
1 |
96 |
|
22,13 |
|
|
4 |
Máy điều hòa |
2,2 |
96 |
|
276,65 |
|
|
5 |
Điện năng |
|
|
|
683 |
|
II.3. Vật liệu
Bảng 39. Định mức sử dụng vật liệu điều tra, đánh giá tác động của công trình thủy lợi đến môi trường và đời sống của người dân
|
Mã hiệu |
TT |
Danh mục vật liệu |
ĐVT |
Định mức (ĐVT/nhiệm vụ) |
|
|
Ngoại nghiệp |
Nội nghiệp |
||||
|
VĐTM |
1 |
Mực in lazer |
hộp |
|
7,30 |
|
2 |
Mực photocopy |
hộp |
|
0,77 |
|
|
3 |
Giấy A4 |
ram |
|
3,32 |
|
|
4 |
Đĩa CD |
cái |
0,50 |
0,50 |
|
|
5 |
Vật liệu phụ và hao hụt |
% |
8 |
8,00 |
|
Ghi chú: Định mức sử dụng vật liệu, dụng cụ và máy móc, thiết bị nêu trên tính cho toàn bộ công việc nội nghiệp và ngoại nghiệp. Mức cho từng bước được điều chỉnh theo hệ số sau:
Bảng 40. Hệ số điều chỉnh dụng cụ, thiết bị, vật liệu điều tra đánh giá tác động của công trình thủy lợi đến môi trường và đời sống của người dân
|
MH |
TT |
Nội dung công việc |
Hệ số |
|
HĐTM |
A |
Ngoại nghiệp |
1 |
|
1 |
Chuẩn bị |
0,06 |
|
|
2 |
Tiến hành điều tra thực địa |
|
|
|
2.1 |
Điều tra, thu thập thông tin, số liệu tại các cơ quan trung ương và ở địa phương liên quan. |
0,02 |
|
|
2.2 |
Tổng hợp thông tin thu thập từ các cơ quan liên quan. |
0,03 |
|
|
2.3 |
Điều tra, thu thập thông tin bằng phiếu điều tra theo mẫu |
0,89 |
|
|
B |
Nội nghiệp |
1 |
|
|
1 |
Tổng hợp, phân tích đánh giá phân loại tài liệu thu thập từ các cơ quan liên quan |
0,09 |
|
|
|
2 |
Tổng hợp phân tích số liệu từ các mẫu phiếu điều tra |
0,15 |
|
3 |
Tổng hợp, phân tích số liệu điều tra, khảo sát |
0,42 |
|
|
4 |
Đề xuất giải pháp và kiến nghị |
0,09 |
|
|
5 |
Hoàn chỉnh hồ sơ, tài liệu và bàn giao sản phẩm |
0,25 |
Mục 6
ĐỊNH MỨC ĐIỀU TRA, ĐÁNH GIÁ, THU THẬP THÔNG TIN QUAN TRẮC, GIÁM SÁT CHẤT LƯỢNG NƯỚC PHỤC VỤ HOẠT ĐỘNG THỦY LỢI
I. Định mức lao động
I.1. Thành phần công việc
Thành phần công việc được quy định tại khoản II, mục 6, chương II, phụ lục II.
I.2. Các công việc chưa được tính toán trong định mức
Các công việc chưa được tính toán trong định mức gồm: Lấy mẫu, quan trắc hiện trường và phân tích các thông số chất lượng nước trong phòng thí nghiệm; thuê phương tiện lấy mẫu; thuê phương tiện vận chuyển; tổ chức hội thảo, báo cáo kết quả thực hiện các ban ngành; in ấn sản phẩm và bàn giao tài liệu.
I.3. Định mức lao động
Bảng 41. Định mức lao động điều tra, đánh giá, thu thập thông tin quan trắc, giám sát chất lượng nước phục vụ hoạt động thủy lợi
|
MH |
TT |
Nội dung công việc |
Đơn vị |
Định biên (Cấp bậc bình quân) |
Định mức |
Hệ số hiệu chỉnh |
|
|
Ngoại nghiệp |
Nội nghiệp |
||||||
|
LCLN |
A |
Công tác ngoại nghiệp |
|
|
|
|
|
|
1 |
Chuẩn bị |
Công/nội dung/nhiệm vụ |
KS2 |
7 |
|
Knd |
|
|
2 |
Điều tra thực địa |
|
|
|
|
|
|
|
2.1 |
Điều tra, thu thập thông tin, số liệu tại các cơ quan trung ương và ở địa phương liên quan. |
Công/nhiệm vụ |
KS2 |
36,00 |
|
Khc |
|
|
2.2 |
Tổng hợp thông tin thu thập từ các cơ quan liên quan. |
Công/nhiệm vụ |
KS2 |
18,00 |
|
|
|
|
2.3 |
Điều tra, thu thập thông tin chất lượng nước bằng mẫu phiếu điều tra |
Công/phiếu |
KS2 |
2,07 |
|
Kđh, Kht |
|
|
B |
Công tác nội nghiệp |
|
|
|
|
|
|
|
1 |
Phân tích, đánh giá phân loại tài liệu thu thập từ các cơ quan liên quan |
Công/nội dung/nhiệm vụ |
KS3 |
|
158 |
Knd |
|
|
2 |
Tổng hợp phân tích số liệu từ các mẫu phiếu điều tra |
Công/nội dung/nhiệm vụ |
KS4 |
|
47 |
Knd |
|
|
3 |
Tổng hợp, phân tích số liệu điều tra, khảo sát |
Công/nội dung/nhiệm vụ |
KS5 |
|
260 |
Knd |
|
|
4 |
Đánh giá, đề xuất giải pháp và kiến nghị |
Công/nội dung/nhiệm vụ |
KS5 |
|
88 |
Knd |
|
|
|
5 |
Hoàn chỉnh hồ sơ, tài liệu và bàn giao sản phẩm |
Công/nhiệm vụ |
KS5 |
|
123 |
Knd |
II. Vật tư, thiết bị
II.1. Dụng cụ
Bảng 42. Định mức sử dụng dụng cụ điều tra, đánh giá, thu thập thông tin quan trắc, giám sát chất lượng nước phục vụ hoạt động thủy lợi
|
MH |
TT |
Danh mục dụng cụ |
THSD (tháng) |
Định mức (Ca/nhiệm vụ) |
|
|
Ngoại nghiệp |
Nội nghiệp |
||||
|
DCLN |
1 |
Bàn làm việc |
96 |
|
553 |
|
2 |
Tủ đựng tài liệu |
96 |
|
465 |
|
|
3 |
Cặp tài liệu |
24 |
|
465 |
|
|
4 |
Dụng cụ nhỏ phụ khác |
|
|
5 |
|
II.2. Thiết bị
Bảng 43. Định mức sử dụng thiết bị điều tra, đánh giá, thu thập thông tin quan trắc, giám sát chất lượng nước phục vụ hoạt động thủy lợi
|
Mã hiệu |
TT |
Danh mục thiết bị |
Công suất (kw) |
THSD (tháng) |
Định mức (Ca/nhiệm vụ) |
|
|
Ngoại nghiệp |
Nội nghiệp |
|||||
|
TCLN |
1 |
Máy tính xách tay |
0,04 |
60 |
|
497,50 |
|
2 |
Máy in A4 |
0,5 |
60 |
|
116,08 |
|
|
3 |
Máy photocopy |
1 |
96 |
|
33,17 |
|
|
4 |
Máy điều hòa |
2,2 |
96 |
|
414,59 |
|
|
5 |
Điện năng |
|
|
|
1023 |
|
II.3. Vật liệu
Bảng 44. Định mức sử dụng vật liệu điều tra, đánh giá, thu thập thông tin quan trắc, giám sát chất lượng nước phục vụ hoạt động thủy lợi
|
Mã hiệu |
TT |
Danh mục vật liệu |
ĐVT |
Định mức (ĐVT/nhiệm vụ) |
|
|
Ngoại nghiệp |
Nội nghiệp |
||||
|
VCLN |
1 |
Mực in lazer |
hộp |
|
10,95 |
|
2 |
Mực photocopy |
hộp |
|
1,16 |
|
|
3 |
Giấy A4 |
ram |
|
4,98 |
|
|
4 |
Đĩa CD |
cái |
0,50 |
0,50 |
|
|
5 |
Vật liệu phụ và hao hụt |
% |
8 |
8 |
|
Ghi chú: Định mức sử dụng vật liệu, dụng cụ và máy móc, thiết bị nêu trên tính cho toàn bộ công việc nội nghiệp và ngoại nghiệp. Mức cho từng bước được phân bổ theo hệ số sau:
Bảng 45. Hệ số phân bổ dụng cụ, thiết bị, vật liệu điều tra, đánh giá, thu thập thông tin quan. trắc, giám sát chất lượng nước phục vụ hoạt động thủy lợi
|
MH |
TT |
Nội dung công việc |
Hệ số |
|
HCLN |
A |
Ngoại nghiệp |
1 |
|
1 |
Chuẩn bị |
0,06 |
|
|
2 |
Tiến hành điều tra thực địa |
|
|
|
2.1 |
Điều tra, thu thập thông tin, số liệu tại các cơ quan trung ương và ở địa phương liên quan. |
0,02 |
|
|
2.2 |
Tổng hợp thông tin thu thập từ các cơ quan liên quan. |
0,03 |
|
|
2.3 |
Điều tra, thu thập thông tin bằng phiếu điều tra theo mẫu |
0,89 |
|
|
B |
Nội nghiệp |
1 |
|
|
1 |
Tổng hợp, phân tích đánh giá phân loại tài liệu thu thập từ các cơ quan liên quan |
0,09 |
|
|
2 |
Tổng hợp phân tích số liệu từ các mẫu phiếu điều tra |
0,15 |
|
|
3 |
Tổng hợp, phân tích số liệu điều tra, khảo sát |
0,42 |
|
|
4 |
Đề xuất giải pháp và kiến nghị |
0,09 |
|
|
5 |
Hoàn chỉnh hồ sơ, tài liệu và bàn giao sản phẩm |
0,25 |
Mục 7
ĐỊNH MỨC ĐIỀU TRA, ĐÁNH GIÁ, THU THẬP THÔNG TIN VỀ HẠN HÁN, THIẾU NƯỚC, XÂM NHẬP MẶN PHỤC VỤ HOẠT ĐỘNG THỦY LỢI
I. Định mức lao động
I.1. Thành phần công việc
Thành phần công việc quy định tại khoản II, mục 7, chương II, phụ lục II.
I.2. Các công việc chưa được tính toán trong định mức
Các công việc chưa được tính toán trong định mức gồm: Đo mặn trực tiếp tại hiện trường; đo độ mặn bằng cách lấy mẫu nước; thuê phương tiện vận chuyển; tổ chức hội thảo, báo cáo kết quả thực hiện các ban ngành; in ấn sản phẩm và bàn giao tài liệu.
I.3. Định mức lao động
Bảng 46. Định mức lao động điều tra, đánh giá, thu thập thông tin về hạn hán, thiếu nước, xâm nhập mặn phục vụ hoạt động thủy lợi
|
MH |
TT |
Nội dung công việc |
Đơn vị |
Định biên (Cấp bậc bình quân) |
Định mức |
Hệ số hiệu chỉnh |
|
|
Ngoại nghiệp |
Nội nghiệp |
||||||
|
LHTN |
A |
Công tác ngoại nghiệp |
|
|
|
|
|
|
1 |
Chuẩn bị |
Công/nội dung /nhiệm vụ |
KS2 |
7 |
|
Knd |
|
|
2 |
Điều tra thực địa |
|
|
|
|
|
|
|
2.1 |
Điều tra, đánh giá thu thập thông tin, số liệu tại các cơ quan trung ương và ở địa phương liên quan. |
Công/nhiệm vụ |
KS2 |
24,00 |
|
Khc |
|
|
2.2 |
Tổng hợp thông tin thu thập từ các cơ quan liên quan. |
Công/nhiệm vụ |
KS2 |
12,00 |
|
|
|
|
2.3 |
Điều tra, thu thập thông tin bằng mẫu phiếu điều tra |
|
|
|
|
|
|
|
|
Điều tra thông tin về hạn hán, thiếu nước |
Công/phiếu |
KS2 |
2,25 |
|
Kđh, Kht |
|
|
|
Điều tra thông tin về xâm nhập mặn |
Công/phiếu |
KS2 |
2,25 |
|
Kđh, Kht |
|
|
B |
Công tác nội nghiệp |
|
|
|
|
|
|
|
1 |
Phân tích, đánh giá phân loại tài liệu thu thập từ các cơ quan liên quan |
Công/nội dung/nhiệm vụ |
KS3 |
|
96 |
Knd |
|
|
2 |
Tổng hợp phân tích số liệu từ các mẫu phiếu điều tra |
Công/nội dung/nhiệm vụ |
KS4 |
|
51 |
Knd |
|
|
3 |
Tổng hợp, phân tích số liệu điều tra, khảo sát |
Công/nội dung/nhiệm vụ |
KS5 |
|
210 |
Knd |
|
|
4 |
Đánh giá, đề xuất giải pháp và kiến nghị |
Công/nội dung/nhiệm vụ |
KS5 |
|
110 |
Knd |
|
|
|
5 |
Hoàn chỉnh hồ sơ, tài liệu và bàn giao sản phẩm |
Công/nhiệm vụ |
KS5 |
|
83 |
Knd |
II. Vật tư, thiết bị
II.1. Dụng cụ
Bảng 47. Định mức sử dụng dụng cụ điều tra, đánh giá, thu thập thông tin về hạn hán, thiếu nước, xâm nhập mặn phục vụ hoạt động thủy lợi
|
MH |
TT |
Danh mục dụng cụ |
THSD (tháng) |
Định mức (Ca/nhiệm vụ) |
|
|
Ngoại nghiệp |
Nội nghiệp |
||||
|
DHTN |
1 |
Bàn làm việc |
96 |
|
467 |
|
2 |
Tủ đựng tài liệu |
96 |
|
357 |
|
|
3 |
Cặp tài liệu |
24 |
|
357 |
|
|
4 |
Dụng cụ nhỏ phụ khác |
|
|
5 |
|
II.2. Thiết bị
Bảng 48. Định mức sử dụng thiết bị điều tra, đánh giá, thu thập thông tin về hạn hán, thiếu nước, xâm nhập mặn phục vụ hoạt động thủy lợi
|
Mã hiệu |
TT |
Danh mục thiết bị |
Công suất (kw) |
THSD (tháng) |
Định mức (Ca/nhiệm vụ) |
|
|
Ngoại nghiệp |
Nội nghiệp |
|||||
|
THTN |
1 |
Máy tính xách tay |
0,04 |
60 |
|
420 |
|
2 |
Máy in A4 |
0,5 |
60 |
|
88 |
|
|
3 |
Máy photocopy |
1 |
96 |
|
25 |
|
|
4 |
Máy điều hòa |
2,2 |
96 |
|
315 |
|
|
5 |
Điện năng |
|
|
|
780 |
|
II.3. Vật liệu
Bảng 49. Định mức sử dụng vật liệu điều tra, đánh giá, thu thập thông tin về hạn hán, thiếu nước, xâm nhập mặn phục vụ hoạt động thủy lợi
|
Mã hiệu |
TT |
Danh mục vật liệu |
ĐVT |
Định mức (ĐVT/nhiệm vụ) |
|
|
Ngoại nghiệp |
Nội nghiệp |
||||
|
VHTN |
1 |
Mực in lazer |
hộp |
|
9,25 |
|
2 |
Mực photocopy |
hộp |
|
0,88 |
|
|
3 |
Giấy A4 |
ram |
|
3,78 |
|
|
4 |
Đĩa CD |
cái |
0,50 |
0,50 |
|
|
5 |
Vật liệu phụ và hao hụt |
% |
8 |
8 |
|
Ghi chú: Định mức sử dụng vật liệu, dụng cụ và máy móc, thiết bị nêu trên tính cho toàn bộ công việc nội nghiệp và ngoại nghiệp. Mức cho từng bước được phân bổ theo hệ số sau:
Bảng 50. Hệ số phân bổ dụng cụ, thiết bị, vật liệu điều tra, đánh giá, thu thập thông tin về hạn hán, thiếu nước, xâm nhập mặn phục vụ hoạt động thủy lợi
|
MH |
TT |
Nội dung công việc |
Hệ số |
|
HHTN |
A |
Ngoại nghiệp |
1 |
|
1 |
Chuẩn bị |
0,06 |
|
|
2 |
Tiến hành điều tra thực địa |
|
|
|
2.1 |
Điều tra, thu thập thông tin, số liệu tại các cơ quan trung ương và ở địa phương liên quan. |
0,02 |
|
|
2.2 |
Tổng hợp thông tin thu thập từ các cơ quan liên quan. |
0,03 |
|
|
2.3 |
Điều tra, thu thập thông tin bằng phiếu điều tra theo mẫu |
|
|
|
- |
Điều tra thông tin về hạn hán, thiếu nước |
0,45 |
|
|
- |
Điều tra thông tin về xâm nhập mặn |
0,44 |
|
|
B |
Nội nghiệp |
1 |
|
|
1 |
Tổng hợp, phân tích đánh giá phân loại tài liệu thu thập từ các cơ quan liên quan |
0,09 |
|
|
2 |
Tổng hợp phân tích số liệu từ các mẫu phiếu điều tra |
0,15 |
|
|
3 |
Tổng hợp, phân tích số liệu điều tra, khảo sát |
0,42 |
|
|
4 |
Đánh giá, đề xuất giải pháp và kiến nghị |
0,09 |
|
|
5 |
Hoàn chỉnh hồ sơ, tài liệu và bàn giao sản phẩm |
0,25 |
Mục 8
ĐỊNH MỨC ĐIỀU TRA, ĐÁNH GIÁ, THU THẬP THÔNG TIN VỀ SA MẠC HÓA PHỤC VỤ HOẠT ĐỘNG THỦY LỢI
I. Định mức lao động
I.1. Thành phần công việc
Thành phần công việc được quy định tại khoản II, mục 8, chương II, phụ lục II.
I.2. Các công việc chưa được tính toán trong định mức
Các công việc chưa được tính toán trong định mức gồm: Đo gió ven biển; đo đạc mẫu đất; thuê phương tiện vận chuyển; tổ chức hội thảo, báo cáo kết quả thực hiện các ban ngành; in ấn sản phẩm và bàn giao tài liệu.
I.3. Định mức lao động
Bảng 51. Định mức lao động điều tra, đánh giá, thu thu thập thông tin về sa mạc hóa phục vụ của công trình thủy lợi
|
MH |
TT |
Nội dung công việc |
Đơn vị |
Định biên (Cấp bậc bình quân) |
Định mức |
Hệ số hiệu chỉnh áp dụng |
|
|
Ngoại nghiệp |
Nội nghiệp |
||||||
|
LSMH |
A |
Công tác ngoại nghiệp |
|
|
|
|
|
|
1 |
Chuẩn bị |
Công/nội dung/nhiệm vụ |
KS2 |
7,0 |
|
Knd |
|
|
2 |
Điều tra thực địa |
|
|
|
|
|
|
|
2.1 |
Điều tra, đánh giá, thu thập thông tin, số liệu tại các cơ quan trung ương và ở địa phương liên quan. |
Công/nhiệm vụ |
KS2 |
32,00 |
|
Khc |
|
|
2.2 |
Tổng hợp thông tin thu thập từ các cơ quan liên quan. |
Công/nhiệm vụ |
KS2 |
24,00 |
|
|
|
|
2.3 |
Điều tra, thu thập thông tin sa mạc hóa bằng mẫu phiếu điều tra |
Công/Phiếu |
KS2 |
2,28 |
|
Kđh, Kht |
|
|
B |
Công tác nội nghiệp |
|
|
|
|
|
|
|
1 |
Phân tích, đánh giá phân loại tài liệu thu thập từ các cơ quan liên quan |
Công/nội dung/nhiệm vụ |
KS4 |
|
192 |
Knd |
|
|
2 |
Tổng hợp phân tích số liệu từ các mẫu phiếu điều tra |
Công/nội dung/nhiệm vụ |
KS4 |
|
32 |
Knd |
|
|
3 |
Tổng hợp, phân tích số liệu điều tra, khảo sát |
Công/nội dung/nhiệm vụ |
KS4 |
|
120 |
Knd |
|
|
4 |
Đánh giá, đề xuất giải pháp và kiến nghị |
Công/nội dung/nhiệm vụ |
KS4 |
|
96 |
Knd |
|
|
5 |
Hoàn chỉnh hồ sơ, tài liệu và bàn giao sản phẩm |
Công/ nhiệm vụ |
KS4 |
|
123 |
Knd |
|
II. Vật tư, thiết bị
II.1. Dụng cụ
Bảng 52. Định mức sử dụng dụng cụ điều tra, đánh giá, thu thập thông tin về sa mạc hóa phục vụ của công trình thủy lợi
|
MH |
TT |
Danh mục dụng cụ |
THSD (tháng) |
Định mức (Ca/nhiệm vụ) |
|
|
Ngoại nghiệp |
Nội nghiệp |
||||
|
DSMH |
1 |
Bàn làm việc |
96 |
|
439,86 |
|
2 |
Tủ đựng tài liệu |
96 |
|
344 |
|
|
3 |
Cặp tài liệu |
24 |
|
344 |
|
|
4 |
Dụng cụ nhỏ phụ khác |
|
|
5 |
|
II.2. Thiết bị
Bảng 53. Định mức sử dụng thiết bị điều tra, đánh giá, thu thập thông tin về sa mạc hóa phục vụ của công trình thủy lợi
|
Mã hiệu |
TT |
Danh mục thiết bị |
Công suất (kw) |
THSD (tháng) |
Định mức (Ca/nhiệm vụ) |
|
|
Ngoại nghiệp |
Nội nghiệp |
|||||
|
TSMH |
1 |
Máy tính xách tay |
0,04 |
60 |
|
396 |
|
2 |
Máy in A4 |
0,5 |
60 |
|
83 |
|
|
3 |
Máy photocopy |
1 |
96 |
|
24 |
|
|
4 |
Máy điều hòa |
2,2 |
96 |
|
297 |
|
|
5 |
Điện năng |
|
|
|
734 |
|
II.3. Vật liệu
Bảng 54. Định mức sử dụng vật liệu điều tra, đánh giá, thu thu thập thông tin về sa mạc hóa phục vụ của công trình thủy lợi
|
Mã hiệu |
TT |
Danh mục vật liệu |
ĐVT |
Định mức (ĐVT/nhiệm vụ) |
|
|
Ngoại nghiệp |
Nội nghiệp |
||||
|
VSMH |
1 |
Mực in lazer |
hộp |
|
8,71 |
|
2 |
Mực photocopy |
hộp |
|
0,83 |
|
|
3 |
Giấy A4 |
ram |
|
3,56 |
|
|
4 |
Đĩa CD |
cái |
0,5 |
0,5 |
|
|
5 |
Vật liệu phụ và hao hụt |
% |
8 |
8 |
|
Ghi chú: Định mức sử dụng vật liệu, dụng cụ và máy móc, thiết bị nêu trên tính cho toàn bộ công việc nội nghiệp và ngoại nghiệp. Mức cho từng bước được phân bổ theo hệ số sau:
Bảng 55. Hệ số phân bổ dụng cụ, thiết bị, vật liệu điều tra, đánh giá, thu thập thông tin về sa mạc hóa phục vụ của công trình thủy lợi
|
MH |
TT |
Nội dung công việc |
Hệ số |
|
HSMH |
A |
Ngoại nghiệp |
1 |
|
1 |
Chuẩn bị |
0,06 |
|
|
2 |
Tiến hành điều tra thực địa |
|
|
|
2.1 |
Điều tra, thu thập thông tin, số liệu tại các cơ quan trung ương và ở địa phương liên quan. |
0,02 |
|
|
2.2 |
Tổng hợp thông tin thu thập từ các cơ quan liên quan. |
0,03 |
|
|
2.3 |
Điều tra, thu thập thông tin bằng phiếu điều tra theo mẫu |
0,89 |
|
|
B |
Nội nghiệp |
1 |
|
|
1 |
Tổng hợp, phân tích đánh giá phân loại tài liệu thu thập từ các cơ quan liên quan |
0,09 |
|
|
2 |
Tổng hợp phân tích số liệu từ các mẫu phiếu điều tra |
0,15 |
|
|
3 |
Tổng hợp, phân tích số liệu điều tra, khảo sát |
0,42 |
|
|
4 |
Đánh giá, đề xuất giải pháp và kiến nghị |
0,09 |
|
|
5 |
Hoàn chỉnh hồ sơ, tài liệu và bàn giao sản phẩm |
0,25 |
Mục 9
ĐỊNH MỨC ĐIỀU TRA, ĐÁNH GIÁ, THU THẬP THÔNG TIN VỀ LŨ, NGẬP LỤT, ÚNG PHỤC VỤ HOẠT ĐỘNG THỦY LỢI
I. Định mức lao động
I.1. Thành phần công việc
Thành phần công việc được quy định tại khoản II, mục 9, chương II, phụ lục II.
I.2. Các công việc chưa được tính toán trong định mức
Các công việc chưa được tính toán trong định mức gồm: đo mực nước lũ; đo lưu lượng lũ; đo cao trình vết lũ lịch sử; thuê phương tiện vận chuyển; tổ chức hội thảo, báo cáo kết quả thực hiện các ban ngành; in ấn sản phẩm và bàn giao tài liệu.
I.3. Định mức lao động
Bảng 56. Định mức lao động điều tra đánh giá, thu thập thông tin về lũ, ngập lụt, úng phục vụ hoạt động thủy lợi
|
MH |
TT |
Nội dung công việc |
Đơn vị |
Định biên (Cấp bậc bình quân) |
Định mức |
Hệ số hiệu chỉnh áp dụng |
|
|
Ngoại nghiệp |
Nội nghiệp |
||||||
|
LNLU |
A |
Công tác ngoại nghiệp |
|
|
|
|
|
|
|
1 |
Chuẩn bị |
Công/nội dung/nhiệm vụ |
KS2 |
22,0 |
|
Knd |
|
2 |
Điều tra thực địa |
|
|
|
|
|
|
|
2.1 |
Điều tra, đánh giá, thu thập thông tin, số liệu tại các cơ quan trung ương và ở địa phương liên quan. |
Công/nhiệm vụ |
KS2 |
48,00 |
|
Khc |
|
|
2.2 |
Tổng hợp thông tin thu thập từ các cơ quan liên quan. |
Công/nhiệm vụ |
KS2 |
24,00 |
|
|
|
|
2.3 |
Điều tra, thu thập thông tin lũ, ngập lụt, úng bằng mẫu phiếu điều tra |
|
KS2 |
2,25 |
|
Kđh,Kht |
|
|
B |
Công tác nội nghiệp |
|
|
|
|
|
|
|
1 |
Phân tích, đánh giá phân loại tài liệu thu thập từ các cơ quan liên quan |
Công/nội dung/nhiệm vụ |
KS4 |
|
240 |
Knd |
|
|
2 |
Tổng hợp phân tích số liệu từ các mẫu phiếu điều tra |
Công/nội dung/nhiệm vụ |
KS4 |
|
52 |
Knd |
|
|
3 |
Tổng hợp, phân tích số liệu điều tra, khảo sát |
Công/nội dung/nhiệm vụ |
KS4 |
|
120 |
Knd |
|
|
4 |
Đánh giá, đề xuất giải pháp và kiến nghị |
Công/nội dung/nhiệm vụ |
KS4 |
|
132 |
Knd |
|
|
5 |
Hoàn chỉnh hồ sơ, tài liệu và bàn giao sản phẩm |
Công/ nhiệm vụ |
KS4 |
|
123 |
Knd |
|
II.Vật tư, thiết bị
II.1. Dụng cụ
Bảng 57. Định mức sử dụng dụng cụ điều tra đánh giá, thu thập thông tin về lũ, ngập lụt, úng phục vụ hoạt động thủy lợi
|
MH |
TT |
Danh mục dụng cụ |
THSD (tháng) |
Định mức (Ca/nhiệm vụ) |
|
|
Ngoại nghiệp |
Nội nghiệp |
||||
|
DNLU |
1 |
Bàn làm việc |
96 |
|
544 |
|
2 |
Tủ đựng tài liệu |
96 |
|
412 |
|
|
3 |
Cặp tài liệu |
24 |
|
412 |
|
|
5 |
Dụng cụ nhỏ phụ khác |
|
|
5 |
|
II.2. Thiết bị
Bảng 58. Định mức sử dụng thiết bị điều tra đánh giá, thu thập thông tin về lũ, ngập lụt, úng phục vụ hoạt động thủy lợi
|
Mã hiệu |
TT |
Danh mục thiết bị |
Công suất (kw) |
THSD (tháng) |
Định mức (Ca/nhiệm vụ) |
|
|
Ngoại nghiệp |
Nội nghiệp |
|||||
|
TNLU |
1 |
Máy tính xách tay |
0,04 |
60 |
|
490 |
|
2 |
Máy in A4 |
0,5 |
60 |
|
103 |
|
|
3 |
Máy photocopy |
1 |
96 |
|
29 |
|
|
4 |
Máy điều hòa |
2,2 |
96 |
|
367 |
|
|
5 |
Điện năng |
|
|
|
908 |
|
II.3. Vật liệu
Bảng 59. Định mức sử dụng vật liệu trong công tác điều tra đánh giá, thu thập thông tin về lũ, ngập lụt, úng phục vụ hoạt động thủy lợi
|
Mã hiệu |
TT |
Danh mục vật liệu |
ĐVT |
Định mức (ĐVT/nhiệm vụ) |
|
|
Ngoại nghiệp |
Nội nghiệp |
||||
|
VNLU |
1 |
Mực in lazer |
hộp |
|
10,77 |
|
2 |
Mực photocopy |
hộp |
|
1,03 |
|
|
3 |
Giấy A4 |
ram |
|
4,41 |
|
|
4 |
Đĩa CD |
cái |
0,5 |
0,5 |
|
|
5 |
Vật liệu phụ và hao hụt |
% |
8 |
8 |
|
Ghi chú: Định mức sử dụng vật liệu, dụng cụ và máy móc, thiết bị nêu trên tính cho toàn bộ công việc nội nghiệp và ngoại nghiệp. Mức cho từng bước được phân bổ theo hệ số sau:
Bảng 58. Hệ số phân bổ dụng cụ, thiết bị, vật liệu điều tra đánh giá, thu thập thông tin về lũ, ngập lụt, úng phục vụ hoạt động thủy lợi
|
MH |
TT |
Nội dung công việc |
Hệ số |
|
HNLU |
A |
Ngoại nghiệp |
1 |
|
1 |
Chuẩn bị |
0,06 |
|
|
2 |
Tiến hành điều tra thực địa |
|
|
|
2.1 |
Điều tra, thu thập thông tin, số liệu tại các cơ quan trung ương và ở địa phương liên quan. |
0,02 |
|
|
2.2 |
Tổng hợp thông tin thu thập từ các cơ quan liên quan. |
0,03 |
|
|
2.3 |
Điều tra, thu thập thông tin bằng phiếu điều tra theo mẫu |
0,89 |
|
|
B |
Nội nghiệp |
1 |
|
|
1 |
Tổng hợp, phân tích đánh giá phân loại tài liệu thu thập từ các cơ quan liên quan |
0,09 |
|
|
|
2 |
Tổng hợp phân tích số liệu từ các mẫu phiếu điều tra |
0,15 |
|
|
3 |
Tổng hợp, phân tích số liệu điều tra, khảo sát |
0,42 |
|
|
4 |
Đánh giá, đề xuất giải pháp và kiến nghị |
0,09 |
|
|
5 |
Hoàn chỉnh hồ sơ, tài liệu và bàn giao sản phẩm |
0,25 |
Mục 10
QUY ĐỊNH KỸ THUẬT ĐIỀU TRA, ĐÁNH GIÁ, THU THẬP THÔNG TIN VỀ BỒI LẮNG, XÓI LỞ CÔNG TRÌNH THỦY LỢI VÀ BỜ SÔNG, BỜ BIỂN PHỤC VỤ HOẠT ĐỘNG THỦY LỢI
I. Định mức lao động
I.1. Thành phần công việc
Thành phần công việc được quy định tại khoản II, mục 10, chương II, phụ lục II.
I.2. Các công việc chưa được tính toán trong định mức
Các công việc chưa được tính toán trong định mức gồm: Đo mực nước; đo lưu lượng; đo mặt cắt ngang; đo bình đồ địa hình; đo sóng ven biển; đo gió ven biển; thuê phương tiện vận chuyển; tổ chức hội thảo, báo cáo kết quả thực hiện các ban ngành; in ấn sản phẩm và bàn giao tài liệu.
I.3. Định mức lao động
Bảng 60. Định mức lao động điều tra, đánh giá, thu thập thông tin về bồi lắng, xói lở công trình thủy lợi và bờ sông, bờ biển phục vụ hoạt động thủy lợi
|
MH |
TT |
Nội dung công việc |
Đơn vị |
Định biên (Cấp bậc bình quân) |
Định mức |
Hệ số hiệu chỉnh áp dụng |
|
|
Ngoại nghiệp |
Nội nghiệp |
||||||
|
LBLX |
A |
Công tác ngoại nghiệp |
|
|
|
|
|
|
1 |
Chuẩn bị |
Công/nội dung/nhiệm vụ |
KS2 |
12,0 |
|
Knd |
|
|
2 |
Điều tra thực địa |
|
|
|
|
|
|
|
2.1 |
Điều tra, đánh giá, thu thập thông tin, số liệu tại các cơ quan trung ương và ở địa phương liên quan. |
Công/nhiệm vụ |
KS2 |
48,00 |
|
Khc |
|
|
2.2 |
Tổng hợp thông tin thu thập từ các cơ quan liên quan. |
Công/nhiệm vụ |
KS2 |
24,00 |
|
|
|
|
2.3 |
Điều tra, thu thập thông tin bồi lắng, xói lở công trình bằng mẫu phiếu điều tra |
Công/Phiếu |
KS2 |
1,89 |
|
Kđh,Kht |
|
|
B |
Công tác nội nghiệp |
|
|
|
|
|
|
|
1 |
Phân tích, đánh giá phân loại tài liệu thu thập từ các cơ quan liên quan |
Công/nội dung/nhiệm vụ |
KS4 |
|
96 |
Knd |
|
|
2 |
Tổng hợp phân tích số liệu từ các mẫu phiếu điều tra |
Công/nội dung/nhiệm vụ |
KS4 |
|
42,5 |
Knd |
|
|
3 |
Tổng hợp, phân tích số liệu điều tra, khảo sát |
Công/nội dung/nhiệm vụ |
KS4 |
|
200 |
Knd |
|
|
4 |
Đánh giá, đề xuất giải pháp và kiến nghị |
Công/nội dung/nhiệm vụ |
KS4 |
|
132 |
Knd |
|
|
5 |
Hoàn chỉnh hồ sơ, tài liệu và bàn giao sản phẩm |
Công/ nhiệm vụ |
KS4 |
|
123 |
Knd |
|
II. Vật tư, thiết bị
II.1. Dụng cụ
Bảng 61. Định mức sử dụng dụng cụ điều tra, thu thập thông tin bồi lắng, xói lở công trình thủy lợi và bờ sông, bờ biển phục vụ hoạt động thủy lợi
|
MH |
TT |
Danh mục dụng cụ |
THSD (tháng) |
Định mức (Ca/nhiệm vụ) |
|
|
Ngoại nghiệp |
Nội nghiệp |
||||
|
DBLX |
1 |
Bàn làm việc |
96 |
|
671 |
|
2 |
Tủ đựng tài liệu |
96 |
|
339 |
|
|
3 |
Cặp tài liệu |
24 |
|
339 |
|
|
4 |
Dụng cụ nhỏ phụ khác |
|
|
5 |
|
II.2. Thiết bị
Bảng 62. Định mức sử dụng thiết bị điều tra, đánh giá, thu thập thông tin về bồi lắng, xói lở công trình thủy lợi và bờ sông, bờ biển phục vụ hoạt động thủy lợi
|
MH |
TT |
Danh mục thiết bị |
Công suất (kw) |
THSD (tháng) |
Định mức (Ca/nhiệm vụ) |
|
|
Ngoại nghiệp |
Nội nghiệp |
|||||
|
TBLX |
1 |
Máy tính xách tay |
0,04 |
60 |
|
603 |
|
2 |
Máy in A4 |
0,5 |
60 |
|
127 |
|
|
3 |
Máy photocopy |
1 |
96 |
|
36 |
|
|
4 |
Máy điều hòa |
2,2 |
96 |
|
453 |
|
|
5 |
Điện năng |
|
|
|
1119 |
|
II.3. Vật liệu
Bảng 63. Định mức sử dụng vật liệu điều tra, đánh giá, thu thập thông tin về bồi lắng, xói lở công trình thủy lợi và bờ sông, bờ biển phục vụ hoạt động thủy lợi
|
MH |
TT |
Danh mục vật liệu |
ĐVT |
Định mức (ĐVT/nhiệm vụ) |
|
|
Ngoại nghiệp |
Nội nghiệp |
||||
|
VBLX |
1 |
Mực in lazer |
hộp |
|
2,99 |
|
2 |
Mực photocopy |
hộp |
|
0,5 |
|
|
3 |
Giấy A4 |
ram |
|
27,22 |
|
|
4 |
Đĩa CD |
cái |
1,04 |
15,31 |
|
|
5 |
Vật liệu phụ và hao hụt |
% |
8 |
8 |
|
Ghi chú: Định mức sử dụng vật liệu, dụng cụ và máy móc, thiết bị nêu trên tính cho toàn bộ công việc nội nghiệp và ngoại nghiệp. Mức cho từng bước được điều chỉnh theo hệ số sau:
Bảng 64. Hệ số phân bổ dụng cụ, thiết bị, vật liệu điều tra, đánh giá, thu thập thông tin về bồi lắng, xói lở công trình thủy lợi và bờ sông, bờ biển phục vụ hoạt động thủy lợi
|
MH |
TT |
Nội dung công việc |
Hệ số |
|
HBLX |
A |
Ngoại nghiệp |
1 |
|
1 |
Chuẩn bị |
0,06 |
|
|
2 |
Tiến hành điều tra thực địa |
|
|
|
2.1 |
Điều tra, thu thập thông tin, số liệu tại các cơ quan trung ương và ở địa phương liên quan. |
0,02 |
|
|
2.2 |
Tổng hợp thông tin thu thập từ các cơ quan liên quan. |
0,03 |
|
|
2.3 |
Điều tra, thu thập thông tin bằng phiếu điều tra theo mẫu |
0,89 |
|
|
B |
Nội nghiệp |
1 |
|
|
1 |
Tổng hợp, phân tích đánh giá phân loại tài liệu thu thập từ các cơ quan liên quan |
0,09 |
|
|
2 |
Tổng hợp, phân tích số liệu từ các mẫu phiếu điều tra |
0,15 |
|
|
|
3 |
Tổng hợp, phân tích số liệu điều tra, khảo sát |
0,42 |
|
|
4 |
Đánh giá, đề xuất giải pháp và kiến nghị |
0,09 |
|
|
5 |
Hoàn chỉnh hồ sơ, tài liệu và bàn giao sản phẩm |
0,25 |
MỤC LỤC
|
Phụ lục ………………………………………………………………………………………………... |
1 |
|
QUY ĐỊNH KỸ THUẬT VÀ ĐỊNH MỨC KINH TẾ - KỸ THUẬT CHO HOẠT ĐỘNG LẬP QUY HOẠCH THỦY LỢI ………………………………………………………….. |
1 |
|
Chương I ………………………………………………………………………………………………. |
1 |
|
QUY ĐỊNH CHUNG ………………………………………………………………………………….. |
1 |
|
I.1. Cơ sở xây dựng định mức kinh tế - kỹ thuật ………………………………………………….. |
1 |
|
I.2. Quy định viết tắt ………………………………………………………………………………….. |
1 |
|
I.3. Giải thích từ ngữ …………………………………………………………………………………. |
2 |
|
I.4. Hệ số điều chỉnh …………………………………………………………………………………. |
2 |
|
I.4.1. Vùng chuẩn ……………………………………………………………………………………. |
2 |
|
I.5. Thành phần định mức kinh tế - kỹ thuật ………………………………………………………. |
5 |
|
I.6. Cách tính định mức ……………………………………………………………………………… |
6 |
|
I.7. Định mức cho các công tác khác ………………………………………………………………. |
6 |
|
Chương II ……………………………………………………………………………………………… |
7 |
|
QUY ĐỊNH KỸ THUẬT, NỘI DUNG, QUY TRÌNH …………………………………………………. |
7 |
|
LẬP QUY HOẠCH THỦY LỢI ………………………………………………….……………………. |
7 |
|
Chương III ……………………………………………………………………………………………… |
25 |
|
ĐỊNH MỨC KINH TẾ - KỸ THUẬT LẬP QUY HOẠCH THỦY LỢI ……………………….…….. |
25 |
|
Phụ lục II ………………………………………………………………………………………………. |
1 |
|
QUY ĐỊNH KỸ THUẬT VÀ ĐỊNH MỨC KINH TẾ - KỸ THUẬT ĐIỀU TRA CƠ BẢN THỦY LỢI …………………………………………………………………………………….. |
1 |
|
Chương I ………………………………………………………………………………………………. |
1 |
|
I.1. Cơ sở xây dựng định mức kinh tế - kỹ thuật …………………………………………………. |
1 |
|
I.2. Quy định viết tắt ………………………………………………………………………………….. |
1 |
|
I.3. Giải thích từ ngữ ………………………………………………………………………………….. |
2 |
|
I.4. Hệ số điều chỉnh………………………………………………………………………………….. |
2 |
|
I.5. Thành phần định mức kinh tế - kỹ thuật ……………………………………………………….. |
6 |
|
I.6. Cách tính định mức …………………………………………………..………………………….. |
7 |
|
I.7. Định mức cho các công tác khác ……………………………………………………………….. |
7 |
|
Chương II ……………………………………………………………………………………………… |
7 |
|
QUY ĐỊNH KỸ THUẬT ĐIỀU TRA CƠ BẢN THỦY LỢI ………………………………………….. |
7 |
|
Mục 1 ……………………………………………………………………………………………. |
7 |
|
QUY ĐỊNH KỸ THUẬT ĐIỀU TRA SỐ LƯỢNG, CHẤT LƯỢNG VÀ NĂNG LỰC PHỤC VỤ CỦA CÔNG TRÌNH THỦY LỢI ……………………………………………………………………… |
7 |
|
Mục 2 …………………………………………………………………………………………………… |
21 |
|
QUY ĐỊNH KỸ THUẬT ĐIỀU TRA NHU CẦU SỬ DỤNG SẢN PHẨM, DỊCH VỤ THỦY LỢI … |
21 |
|
Mục 3 ……………………………………………………………………………………………………. |
24 |
|
QUY ĐỊNH KỸ THUẬT VỀ ĐIỀU TRA HIỆN TRẠNG CƠ CẤU TỔ CHỨC TRONG HOẠT ĐỘNG THỦY LỢI ……………………………………………………………………………………… |
24 |
|
Mục 4 …………………………………………………………………………………………………… |
27 |
|
QUY ĐỊNH KỸ THUẬT ĐIỀU TRA HIỆN TRẠNG CƠ CHẾ, CHÍNH SÁCH TRONG HOẠT ĐỘNG THỦY LỢI ………………………………………………………………………………… |
27 |
|
Mục 5 ……………………………………………………………………………………………… |
29 |
|
QUY ĐỊNH KỸ THUẬT VỀ ĐIỀU TRA, ĐÁNH GIÁ TÁC ĐỘNG CỦA CÔNG TRÌNH THỦY LỢI ĐẾN MÔI TRƯỜNG VÀ ĐỜI SỐNG CỦA NGƯỜI DÂN ………………………………….. |
29 |
|
Mục 6 ………………………………………………………………………………………………… |
32 |
|
QUY ĐỊNH KỸ THUẬT ĐIỀU TRA, THU THẬP THÔNG TIN QUAN TRẮC, GIÁM SÁT, ĐÁNH GIÁ CHẤT LƯỢNG NƯỚC PHỤC VỤ HOẠT ĐỘNG THỦY LỢI ………………..….. |
32 |
|
Mục 7 …………………………………………………………………………………………. |
35 |
|
QUY ĐỊNH KỸ THUẬT ĐIỀU TRA, ĐÁNH GIÁ, THU THẬP THÔNG TIN VỀ HẠN HÁN, THIẾU NƯỚC, XÂM NHẬP MẶN PHỤC VỤ HOẠT ĐỘNG THỦY LỢI ……………………….. |
35 |
|
Mục 8 ……………………………………………………………………………………………….. |
39 |
|
QUY ĐỊNH KỸ THUẬT ĐIỀU TRA, ĐÁNH GIÁ, THU THẬP THÔNG TIN VỀ SA MẠC HÓA …. |
39 |
|
Mục 9 ………………………………………………………………………………………………. |
41 |
|
QUY ĐỊNH KỸ THUẬT ĐIỀU TRA, ĐÁNH GIÁ, THU THẬP THÔNG TIN VỀ LŨ, NGẬP LỤT, ÚNG PHỤC VỤ HOẠT ĐỘNG THỦY LỢI ……………………………………………….. |
41 |
|
Mục 10 …………………………………………………………………………………………….. |
44 |
|
QUY ĐỊNH KỸ THUẬT ĐIỀU TRA, ĐÁNH GIÁ, THU THẬP THÔNG TIN VỀ BỒI LẮNG, XÓI LỞ CÔNG TRÌNH THỦY LỢI VÀ BỜ SÔNG, BỜ BIỂN PHỤC VỤ HOẠT ĐỘNG THỦY LỢI ... |
44 |
|
CHƯƠNG III ………………………………………………………………………………….. |
48 |
|
ĐỊNH MỨC KINH TẾ - KỸ THUẬT CHO HOẠT ĐỘNG ĐIỀU TRA CƠ BẢN THỦY LỢI …… |
48 |
|
Mục 1 …………………………………………………………………………………………….. |
48 |
|
ĐỊNH MỨC ĐIỀU TRA SỐ LƯỢNG, CHẤT LƯỢNG VÀ NĂNG LỰC PHỤC VỤ CỦA CÔNG TRÌNH THỦY LỢI …………………………………………………………………….. |
48 |
|
Mục 2 ……………………………………………………………………………………………….. |
52 |
|
ĐỊNH MỨC ĐIỀU TRA NHU CẦU SỬ DỤNG SẢN PHẨM, DỊCH VỤ THỦY LỢI ……. |
52 |
|
Mục 3 ………………………………………………………………………………………….. |
54 |
|
ĐỊNH MỨC VỀ ĐIỀU TRA HIỆN TRẠNG CƠ CẤU TỔ CHỨC HOẠT ĐỘNG THỦY LỢI …. |
54 |
|
Mục 4 ……………………………………………………………………………………………. |
57 |
|
ĐỊNH MỨC ĐIỀU TRA HIỆN TRẠNG CƠ CHẾ CHÍNH SÁCH TRONG HOẠT ĐỘNG THỦY LỢI …………………………………………………………………………………………….. |
57 |
|
Mục 5 ……………………………………………………………………………………………. |
60 |
|
ĐỊNH MỨC ĐIỀU TRA, ĐÁNH GIÁ TÁC ĐỘNG CỦA CÔNG TRÌNH THỦY LỢI ĐẾN MÔI TRƯỜNG VÀ ĐỜI SỐNG CỦA NGƯỜI DÂN ……………………………………. |
60 |
|
Mục 6 ………………………………………………………………………………………………… |
63 |
|
ĐỊNH MỨC ĐIỀU TRA, ĐÁNH GIÁ, THU THẬP THÔNG TIN QUAN TRẮC, GIÁM SÁT CHẤT LƯỢNG NƯỚC PHỤC VỤ HOẠT ĐỘNG THỦY LỢI ………………………… |
63 |
|
Mục 7 ………………………………………………………………………………………………… |
65 |
|
ĐỊNH MỨC ĐIỀU TRA, ĐÁNH GIÁ, THU THẬP THÔNG TIN VỀ HẠN HÁN, THIẾU NƯỚC, XÂM NHẬP MẶN PHỤC VỤ HOẠT ĐỘNG THỦY LỢI ………………………………….. |
65 |
|
Mục 8 …………………………………………………………………………………………… |
68 |
|
ĐỊNH MỨC ĐIỀU TRA, ĐÁNH GIÁ, THU THẬP THÔNG TIN VỀ SA MẠC HÓA PHỤC VỤ HOẠT ĐỘNG THỦY LỢI ……………………………………………………………….. |
68 |
|
Mục 9 ………………………………………………………………………………………………… |
71 |
|
ĐỊNH MỨC ĐIỀU TRA, ĐÁNH GIÁ, THU THẬP THÔNG TIN VỀ LŨ, NGẬP LỤT, ÚNG PHỤC VỤ HOẠT ĐỘNG THỦY LỢI ………………………………………………………….. |
71 |
|
Mục 10 ……………………………………………………………………………………………….. |
74 |
|
QUY ĐỊNH KỸ THUẬT ĐIỀU TRA, ĐÁNH GIÁ, THU THẬP THÔNG TIN VỀ BỒI LẮNG, XÓI LỞ CÔNG TRÌNH THỦY LỢI VÀ BỜ SÔNG, BỜ BIỂN PHỤC VỤ HOẠT ĐỘNG THỦY LỢI ... |
74 |
Bạn chưa Đăng nhập thành viên.
Đây là tiện ích dành cho tài khoản thành viên. Vui lòng Đăng nhập để xem chi tiết. Nếu chưa có tài khoản, vui lòng Đăng ký tại đây!
Bạn chưa Đăng nhập thành viên.
Đây là tiện ích dành cho tài khoản thành viên. Vui lòng Đăng nhập để xem chi tiết. Nếu chưa có tài khoản, vui lòng Đăng ký tại đây!