- Tổng quan
- Nội dung
- VB gốc
- Tiếng Anh
- Hiệu lực
- VB liên quan
- Lược đồ
-
Nội dung hợp nhất
Tính năng này chỉ có tại LuatVietnam.vn. Nội dung hợp nhất tổng hợp lại tất cả các quy định còn hiệu lực của văn bản gốc và các văn bản sửa đổi, bổ sung, đính chính... trên một trang. Việc hợp nhất văn bản gốc và những văn bản, Thông tư, Nghị định hướng dẫn khác không làm thay đổi thứ tự điều khoản, nội dung.
Khách hàng chỉ cần xem Nội dung hợp nhất là có thể nắm bắt toàn bộ quy định hiện hành đang áp dụng, cho dù văn bản gốc đã qua nhiều lần chỉnh sửa, bổ sung.
- Tải về
Quyết định 921/QĐ-CTK 2025 ban hành Phương án Điều tra giá sản xuất nông nghiệp, lâm nghiệp và thủy sản
| Cơ quan ban hành: | Cục Thống kê |
Số công báo:
Số công báo là mã số ấn phẩm được đăng chính thức trên ấn phẩm thông tin của Nhà nước. Mã số này do Chính phủ thống nhất quản lý.
|
Đang cập nhật |
| Số hiệu: | 921/QĐ-CTK | Ngày đăng công báo: | Đang cập nhật |
| Loại văn bản: | Quyết định | Người ký: | Nguyễn Thị Hương |
| Trích yếu: | Ban hành Phương án Điều tra giá sản xuất nông nghiệp, lâm nghiệp và thủy sản | ||
|
Ngày ban hành:
Ngày ban hành là ngày, tháng, năm văn bản được thông qua hoặc ký ban hành.
|
16/07/2025 |
Ngày hết hiệu lực:
Ngày hết hiệu lực là ngày, tháng, năm văn bản chính thức không còn hiệu lực (áp dụng).
|
Đang cập nhật |
|
Áp dụng:
Ngày áp dụng là ngày, tháng, năm văn bản chính thức có hiệu lực (áp dụng).
|
Đã biết
|
Tình trạng hiệu lực:
Cho biết trạng thái hiệu lực của văn bản đang tra cứu: Chưa áp dụng, Còn hiệu lực, Hết hiệu lực, Hết hiệu lực 1 phần; Đã sửa đổi, Đính chính hay Không còn phù hợp,...
|
Đã biết
|
| Lĩnh vực: | Nông nghiệp-Lâm nghiệp | ||
TÓM TẮT QUYẾT ĐỊNH 921/QĐ-CTK
Quyết định 921/QĐ-CTK: Phương án Điều tra giá sản xuất nông nghiệp, lâm nghiệp và thủy sản năm 2026
Quyết định 921/QĐ-CTK được Cục Thống kê ban hành ngày 16/07/2025, quyết định này có hiệu lực tức thì. Văn bản quy định về phương án điều tra giá sản xuất cho nông nghiệp, lâm nghiệp và thủy sản, dự kiến sẽ được thực hiện từ năm 2026, nhằm cung cấp số liệu thống kê phục vụ cho công tác quản lý và điều hành của các cấp chính quyền.
Mục đích điều tra của Quyết định này nhấn mạnh việc biên soạn chỉ tiêu chỉ số giá sản xuất nông lâm thủy sản (NLTS) nhằm cung cấp thông tin cho các cơ quan nhà nước như Đảng, Quốc hội, Chính phủ, các Bộ và địa phương trong việc xây dựng chính sách và quản lý kinh tế. Bên cạnh đó, quyết định còn hướng đến việc đáp ứng nhu cầu thông tin cho người dân và doanh nghiệp về biến động giá sản xuất NLTS.
Phạm vi và đối tượng điều tra được xác định rõ ràng, bao gồm 34 tỉnh, thành phố trên cả nước với các mặt hàng NLTS sản xuất và tiêu thụ. Các đơn vị điều tra bao gồm hộ gia đình, doanh nghiệp, hợp tác xã và các tổ chức sản xuất NLTS. Đặc biệt, quy định cụ thể các loại mặt hàng như sản phẩm cây hàng năm, cây lâu năm, sản phẩm chăn nuôi, dịch vụ nông nghiệp, sản phẩm lâm nghiệp và sản phẩm thủy sản.
Thời điểm và phương pháp điều tra cũng được chỉ định cụ thể. Điều tra sẽ diễn ra vào ngày 5 hàng tháng, với thời gian thu thập thông tin kéo dài từ ngày 5 đến ngày 12. Phương pháp điều tra chính là thu thập dữ liệu trực tiếp qua phiếu điều tra điện tử để đảm bảo tính chính xác và kịp thời cho người dùng.
Nội dung điều tra sẽ bao gồm các thông tin về từng sản phẩm NLTS như tên, quy cách, giá bán của sản phẩm, đảm bảo việc thu thập thông tin chi tiết và đầy đủ. Dữ liệu sẽ được xử lý nhằm đưa ra các chỉ số thống kê phục vụ cho các báo cáo và phân tích sau này.
Kinh phí thực hiện cuộc điều tra này sẽ được hỗ trợ từ ngân sách nhà nước, với trách nhiệm quản lý và quyết toán được quy định chặt chẽ theo các thông tư hiện hành của Bộ Tài chính.
Quyết định 921/QĐ-CTK phản ánh sự quan tâm của Nhà nước đối với việc nâng cao tính chính xác và khả năng tiếp cận thông tin về giá sản xuất NLTS, từ đó phục vụ cho công tác quản lý và phát triển kinh tế hiệu quả hơn trong tương lai.
Xem chi tiết Quyết định 921/QĐ-CTK có hiệu lực kể từ ngày 16/07/2025
Tải Quyết định 921/QĐ-CTK
| BỘ TÀI CHÍNH Số: 921/QĐ-CTK | CỘNG HÒA XÃ HỘI CHỦ NGHĨA VIỆT NAM Hà Nội, ngày 16 tháng 7 năm 2025 |
QUYẾT ĐỊNH
Ban hành Phương án Điều tra giá sản xuất nông nghiệp,
lâm nghiệp và thủy sản
_________________
CỤC TRƯỞNG CỤC THỐNG KÊ
Căn cứ Luật Thống kê ngày 23 tháng 11 năm 2015; Luật sửa đổi, bổ sung một số điều và Phụ lục Danh mục chỉ tiêu thống kê quốc gia của Luật Thống kê ngày 12 tháng 11 năm 2021;
Căn cứ Nghị định số 94/2016/NĐ-CP ngày 01 tháng 7 năm 2016 của Chính phủ quy định chi tiết và hướng dẫn thi hành một số điều của Luật Thống kê;
Căn cứ Nghị định số 94/2022/NĐ-CP ngày 07 tháng 11 năm 2022 của Chính phủ quy định nội dung chỉ tiêu thống kê thuộc hệ thống chỉ tiêu thống kê quốc gia và quy trình biên soạn chỉ tiêu tổng sản phẩm trong nước, chỉ tiêu tổng sản phẩm trên địa bàn tỉnh, thành phố trực thuộc trung ương;
Căn cứ Nghị định số 62/2024/NĐ-CP ngày 07 tháng 6 năm 2024 của Chính phủ sửa đổi, bổ sung một số điều, phụ lục của Nghị định số 94/2016/NĐ-CP ngày 01 tháng 7 năm 2016 của Chính phủ quy định chi tiết và hướng dẫn thi hành một số điều của Luật Thống kê và Nghị định số 94/2022/NĐ-CP ngày 07 tháng 11 năm 2022 của Chính phủ quy định nội dung chỉ tiêu thống kê thuộc hệ thống chỉ tiêu thống kê quốc gia và quy trình biên soạn chỉ tiêu tổng sản phẩm trong nước, chỉ tiêu tổng sản phẩm trên địa bàn tỉnh, thành phố trực thuộc trung ương;
Căn cứ Nghị định số 29/2025/NĐ-CP ngày 24 tháng 02 năm 2025 của Chính phủ quy định chức năng, nhiệm vụ, quyền hạn và cơ cấu tổ chức của Bộ Tài chính;
Căn cứ Nghị định số 166/2025/NĐ-CP ngày 30 tháng 6 năm 2025 của Chính phủ sửa đổi, bổ sung một số điều của Nghị định số 29/2025/NĐ-CP ngày 24 tháng 02 năm 2025 của Chính phủ quy định chức năng, nhiệm vụ, quyền hạn và cơ cấu tổ chức của Bộ Tài chính;
Căn cứ Nghị định số 130/2025/NĐ-CP ngày 11 tháng 6 năm 2025 của Chính phủ quy định về phân quyền, phân cấp trong lĩnh vực thống kê;
Căn cứ Quyết định số 03/2023/QĐ-TTg ngày 15 tháng 02 năm 2023 của Thủ tướng Chính phủ về việc ban hành Chương trình điều tra thống kê quốc gia;
Căn cứ Quyết định số 384/QĐ-BTC ngày 26 tháng 02 năm 2025 của Bộ trưởng Bộ Tài chính quy định chức năng, nhiệm vụ, quyền hạn và cơ cấu tổ chức của Cục Thống kê;
Căn cứ Quyết định số 2288/QĐ-BTC ngày 30 tháng 6 năm 2025 của Bộ trưởng Bộ Tài chính sửa đổi, bổ sung Quyết định số 384/QĐ-BTC ngày 26 tháng 02 năm 2025 của Bộ Tài chính quy định chức năng, nhiệm vụ, quyền hạn và cơ cấu tổ chức của Cục Thống kê;
Căn cứ Quyết định số 1892/QĐ-BTC ngày 30 tháng 5 năm 2025 của Bộ trưởng Bộ Tài chính về sửa đổi, bổ sung các Quyết định quy định chức năng, nhiệm vụ, quyền hạn và cơ cấu tổ chức của đơn vị thuộc Bộ Tài chính;
Căn cứ Quyết định số 1933/QĐ-BTC ngày 02 tháng 6 năm 2025 của Bộ trưởng Bộ Tài chính về việc ban hành Kế hoạch điều tra thống kê năm 2026 của Bộ Tài chính do Cục Thống kê chủ trì thực hiện;
Theo đề nghị của Trưởng ban Ban Điều tra thống kê.
QUYẾT ĐỊNH:
Điều 1. Ban hành kèm theo Quyết định này Phương án Điều tra giá sản xuất nông nghiệp, lâm nghiệp và thủy sản thực hiện từ năm 2026. Quyết định này có hiệu lực kể từ ngày ký.
Điều 2. Giao Ban Điều tra thống kê chủ trì, phối hợp với Ban Thống kê Dịch vụ và Giá và đơn vị liên quan xây dựng kế hoạch thực hiện chi tiết; thiết kế mẫu và phiếu điều tra; xây dựng các loại danh mục mặt hàng điều tra, phương pháp tổng hợp chỉ số giá và các nội dung liên quan khác trình Lãnh đạo Cục Thống kê ban hành; chỉ đạo tổ chức và hướng dẫn thực hiện cuộc điều tra theo đúng quy định của Phương án điều tra.
Điều 3. Trưởng ban Ban Điều tra thống kê, Trưởng ban Ban Thống kê Dịch vụ và Giá, Trưởng ban Ban Kế hoạch tài chính, Chánh Văn phòng Cục và Thủ trưởng các đơn vị liên quan chịu trách nhiệm thi hành Quyết định này./.
| Nơi nhận: | CỤC TRƯỞNG |
| BỘ TÀI CHÍNH | CỘNG HÒA XÃ HỘI CHỦ NGHĨA VIỆT NAM |
PHƯƠNG ÁN
ĐIỀU RA GIÁ SẢN XUẤT NÔNG NGHIỆP, LÂM NGHIỆP VÀ THỦY SẢN
(Kèm theo Quyết định số 921/QĐ-CTK ngày 16 tháng 7 năm 2025
của Cục trưởng Cục Thống kê)
_______________
I. MỤC ĐÍCH, YÊU CẦU ĐIỀU TRA
1. Mục đích điều tra
Điều tra giá sản xuất nông nghiệp, lâm nghiệp và thủy sản (NLTS) là cuộc điều tra chọn mẫu thuộc Chương trình điều tra thống kê quốc gia được thực hiện nhằm phục vụ các mục đích chủ yếu sau:
- Biên soạn chỉ tiêu chỉ số giá sản xuất NLTS thuộc Hệ thống chỉ tiêu thống kê quốc gia; thông tin về chỉ số giá sản xuất NLTS cung cấp cho Đảng, Quốc hội, Chính phủ, các Bộ ngành và địa phương trong công tác quản lý điều hành, xây dựng và chỉ đạo thực hiện các chương trình mục tiêu quốc gia và biên soạn một số chỉ tiêu thống kê tổng hợp theo giá so sánh.
- Đáp ứng nhu cầu thông tin về biến động giá sản xuất NLTS của người dân, doanh nghiệp, cơ sở sản xuất kinh doanh và các đối tượng dùng tin khác.
2. Yêu cầu điều tra
- Thực hiện điều tra theo đúng các nội dung quy định trong Phương án điều tra.
- Bảo mật thông tin thu thập theo quy định của Luật Thống kê.
- Quản lý và sử dụng kinh phí của cuộc điều tra đúng chế độ hiện hành, sử dụng tiết kiệm và hiệu quả.
- Kết quả điều tra phải đáp ứng yêu cầu của người dùng tin trong và ngoài nước, bảo đảm tính so sánh quốc tế.
II. PHẠM VI, ĐỐI TƯỢNG, ĐƠN VỊ ĐIỀU TRA
1. Phạm vi điều tra
Điều tra giá sản xuất NLTS được tiến hành trên phạm vi 34 tỉnh, thành phố trực thuộc trung ương (viết gọn là tỉnh, thành phố).
2. Đối tượng điều tra
Đối tượng điều tra là các mặt hàng (sản phẩm) NLTS được sản xuất và bán ra thuộc danh mục sản phẩm tính chỉ số giá sản xuất NLTS.
3. Đơn vị điều tra
Đơn vị điều tra là hộ, doanh nghiệp, hợp tác xã và tổ chức khác trực tiếp sản xuất và bán sản phẩm NLTS, có địa điểm sản xuất kinh doanh ổn định thuộc tất cả các loại hình kinh tế.
Đơn vị điều tra của từng loại mặt hàng NLTS được quy định cụ thể dưới đây:
(1) Đối với mặt hàng là sản phẩm cây hằng năm, cây lâu năm và sản phẩm chăn nuôi: Đơn vị điều tra là hộ, doanh nghiệp, hợp tác xã và tổ chức khác có hoạt động sản xuất và bán sản phẩm cây hằng năm, cây lâu năm và sản phẩm chăn nuôi;
(2) Đối với mặt hàng dịch vụ nông nghiệp: Đơn vị điều tra là hợp tác xã dịch vụ nông nghiệp, trạm thủy nông, tổ chức hoặc hộ chuyên kinh doanh các loại dịch vụ nông nghiệp, như: tưới nước, gieo trồng, làm đất..
(3) Đối với mặt hàng là sản phẩm lâm nghiệp: Đơn vị điều tra là lâm trường, hợp tác xã lâm nghiệp hoặc hộ có hoạt động lâm nghiệp ...;
(4) Đối với mặt hàng là sản phẩm thủy sản: Đơn vị điều tra là hộ, cơ sở trực tiếp khai thác, nuôi trồng thủy sản với quy mô lớn, tập trung.
III. LOẠI ĐIỀU TRA
Điều tra giá sản xuất NLTS là cuộc điều tra chọn mẫu các mặt hàng NLTS bảo đảm đại diện cho các tỉnh, thành phố.
Năm 2026 và các năm tiếp theo, tiếp tục thực hiện thu thập thông tin đối với các mặt hàng và đơn vị điều tra đã được chọn mẫu trong mạng lưới điều tra năm gốc 2020 ban hành theo Quyết định số 1354/QĐ-TCTK ngày 26 tháng 8 năm 2020 của Tổng cục trưởng Tổng cục Thống kê, được cập nhật hằng năm cho đến khi có hướng dẫn mới.
IV. THỜI ĐIỂM, THỜI GIAN VÀ PHƯƠNG PHÁP ĐIỀU TRA
1. Thời điểm điều tra
Thời điểm điều tra giá sản xuất NLTS vào ngày 05 hằng tháng.
Đối với những đơn vị điều tra không bán mặt hàng NLTS đúng ngày điều tra, lấy giá của ngày gần nhất trước hoặc sau ngày 05 của tháng điều tra nhưng không muộn hơn ngày 12 hằng tháng.
2. Thời gian điều tra
Thời gian điều tra: Từ ngày 05 đến ngày 12 hằng tháng.
3. Phương pháp điều tra
Điều tra giá sản xuất NLTS áp dụng phương pháp điều tra trực tiếp sử dụng phiếu điều tra điện tử được cài đặt trên thiết bị di động (CAPI). Điều tra viên (ĐTV) đến từng đơn vị điều tra gặp người cung cấp thông tin để phỏng vấn kết hợp quan sát đối tượng điều tra và ghi thông tin vào phiếu CAPI.
V. NỘI DUNG VÀ PHIẾU ĐIỀU TRA
1. Nội dung điều tra
Điều tra giá sản xuất NLTS thu thập các thông tin sau:
- Thông tin chung của đơn vị điều tra: Tên đơn vị điều tra, địa chỉ, điện thoại, email (nếu có).
- Thông tin về giá mặt hàng NLTS gồm: Tên, quy cách, phẩm cấp, nhãn mác cụ thể của từng mặt hàng; đơn vị tính giá; đơn giá mặt hàng.
Lưu ý:
+ Giá thu thập được là giá bán của người sản xuất mặt hàng NLTS (bao gồm trợ cấp sản xuất, không bao gồm VAT, chi phí bán hàng, chi phí vận chuyển, bốc dỡ, bảo quản, lưu kho, lưu bãi hàng hóa, chi phí kiểm dịch, kiểm định, chi phí thông quan, hải quan (đối với hàng xuất khẩu), chi phí dịch vụ logistics, chi phí cầu đường, bến bãi liên quan đến vận chuyển hàng hóa, cước vận tải).
+ Đơn vị tính giá của các mặt hàng NLTS phải đúng với quy định theo Danh mục sản phẩm điều tra.
2. Phiếu điều tra
Điều tra giá sản xuất NLTS sử dụng 01 loại Phiếu điều tra, Phiếu số 1/ĐTG-NLTS.
VI. PHÂN LOẠI THỐNG KÊ SỬ DỤNG TRONG ĐIỀU TRA
1. Danh mục các đơn vị hành chính Việt Nam ban hành theo Quyết định số 19/2025/QĐ-TTg ngày 30/6/2025 của Thủ tướng Chính phủ, cập nhật đến thời điểm điều tra.
2. Hệ thống ngành kinh tế Việt Nam ban hành theo Quyết định số 27/2018/QĐ-TTg ngày 06/7/2018 của Thủ tướng Chính phủ.
3. Hệ thống ngành sản phẩm Việt Nam ban hành theo Quyết định số 43/2018/QĐ-TTg ngày 01/11/2018 của Thủ tướng Chính phủ.
VII. QUY TRÌNH XỬ LÝ VÀ BIỂU ĐẦU RA CỦA ĐIỀU TRA
1. Quy trình xử lý thông tin
Dữ liệu điều tra giá sản xuất NLTS (dữ liệu thu thập từ phiếu CAPI) được xử lý theo một quy trình thống nhất. Sau khi hoàn thành phiếu, dữ liệu được đồng bộ từ thiết bị của ĐTV về máy chủ của hệ thống công nghệ thông tin của cuộc điều tra. Giám sát viên (GSV) các cấp thực hiện nhiệm vụ theo trình tự sau:
- Rà soát thông tin, kiểm tra logic phiếu điều tra và phát hiện lỗi, đưa ra các yêu cầu giải trình số liệu.
- Thông báo lỗi và yêu cầu giải trình cho GSV cấp dưới trực tiếp để ĐTV xác minh, giải trình và hoàn thiện thông tin.
- Sau khi thông tin được hoàn thiện, GSV các cấp thực hiện duyệt số liệu trong phạm vi được giao trên hệ thống công nghệ thông tin của cuộc điều tra.
2. Biểu đầu ra của điều tra
Biểu đầu ra của Điều tra giá sản xuất NLTS được thiết kế phục vụ tổng hợp các chỉ tiêu thống kê theo yêu cầu, mục đích điều tra.
VIII. KẾ HOẠCH TIẾN HÀNH ĐIỀU TRA
Điều tra giá sản xuất NLTS thực hiện theo kế hoạch sau:
| STT | Nội dung công việc | Thời gian thực hiện |
| 1 | Xây dựng phương án điều tra | Tháng 5 - 7/2025 |
| 2 | Xây dựng phiếu điều tra | Tháng 6 - 7/2025 |
| 3 | Xây dựng quy trình tổng hợp chỉ số giá | Tháng 6 - 7/2025 |
| 4 | Xây dựng cấu trúc chỉ số giá sản xuất NLTS | Tháng 7 - 8/2025 |
| 5 | Thiết kế và chọn mẫu, lập danh mục mặt hàng điều tra | Tháng 8 - 10/2025 |
| 6 | Xây dựng/cập nhật các loại phần mềm | Trước tháng 01 năm điều tra |
| 7 | Xây dựng các loại tài liệu hướng dẫn nghiệp vụ và phần mềm điều tra | Trước tháng 01 năm điều tra |
| 8 | Rà soát Danh mục mặt hàng và đơn vị điều tra (nếu có) | Trước tháng 01 năm điều tra |
| 9 | Tính/cập nhật quyền số | Trước tháng 01 năm điều tra |
| 10 | In tài liệu (nếu có) | Trước tháng 01 năm điều tra |
| 11 | Tập huấn cấp trung ương và cấp tỉnh (nếu có) | Trước tháng 01 năm điều tra |
| 12 | Thu thập thông tin | Hằng tháng |
| 13 | Kiểm tra, duyệt dữ liệu | Hằng tháng |
| 14 | Tổng hợp kết quả đầu ra | Hằng quý |
| 15 | Chuẩn bị nội dung phục vụ công bố chỉ số giá | Hằng quý |
IX. TỔ CHỨC ĐIỀU TRA
1. Công tác chuẩn bị
a) Chọn mẫu, cập nhật danh sách đơn vị điều tra và lập Danh mục sản phẩm điều tra.
Cục Thống kê chủ trì thực hiện công tác thiết kế mẫu, hướng dẫn chọn mẫu, rà soát và cập nhật đơn vị điều tra, lập Danh mục sản phẩm NLTS phục vụ công tác thu thập thông tin.
b) Tuyển chọn lực lượng tham gia điều tra
- ĐTV của cuộc điều tra được tuyển chọn phù hợp với tình hình thực tế tại địa phương, bảo đảm tiến độ và yêu cầu về chất lượng thông tin thu thập.
- GSV là lực lượng thực hiện công việc giám sát; hỗ trợ chuyên môn cho GSV cấp dưới (nếu có) và các ĐTV trong quá trình điều tra thực địa. GSV có 03 cấp: cấp trung ương, cấp tỉnh và cấp cơ sở. Tùy theo tình hình thực tế tại địa phương, Thủ trưởng Thống kê tỉnh, thành phố trực thuộc trung ương (viết gọn là Thống kê tỉnh, thành phố) quyết định việc tuyển chọn giám sát viên phù hợp.
c) Tập huấn
- Cấp trung ương, thành phần tham gia tập huấn bao gồm: GSV cấp trung ương, công chức của các đơn vị thuộc Cục Thống kê; lãnh đạo Thống kê tỉnh, thành phố và giảng viên cấp tỉnh trong năm thay đổi Phương án điều tra và những năm có nội dung nghiệp vụ mới cần triển khai thực hiện. Thời gian tổ chức hội nghị là 01 ngày.
- Cấp tỉnh, thành phần tập huấn bao gồm: ĐTV, GSV và công chức Thống kê cấp tỉnh, giám sát viên cấp cơ sở (nếu có). Thời gian tập huấn là 01 ngày.
Hằng năm, khi có sự thay đổi về GSV, ĐTV hoặc nghiệp vụ bổ sung, đơn vị được giao chủ trì thực hiện điều tra căn cứ tình hình thực tế, chủ động tổ chức tập huấn cho đội ngũ GSV, ĐTV mới bảo đảm chất lượng của GSV, ĐTV tham gia điều tra.
d) Tài liệu điều tra
Tài liệu điều tra bao gồm các tài liệu hướng dẫn nghiệp vụ và hướng dẫn sử dụng phần mềm do Cục Thống kê biên soạn.
đ) Chương trình phần mềm
Chương trình phần mềm sử dụng trong điều tra bao gồm: Chương trình phần mềm sử dụng cho công tác rà soát đơn vị điều tra và Danh mục sản phẩm điều tra; chương trình phần mềm thu thập thông tin trên thiết bị di động (CAPI); chương trình chọn mẫu đơn vị điều tra; các chương trình quản lý giám sát, kiểm tra và duyệt phiếu điều tra điện tử; chương trình tổng hợp kết quả điều tra,... do Cục Thống kê tổ chức xây dựng.
2. Công tác thu thập thông tin
Thống kê tỉnh, thành phố chủ trì chỉ đạo thực hiện công tác thu thập thông tin bảo đảm tiến độ và chất lượng thông tin thu thập.
3. Công tác kiểm tra, giám sát
Nhằm bảo đảm chất lượng của cuộc điều tra, công tác kiểm tra, giám sát được thực hiện ở tất cả các khâu của cuộc điều tra.
Nội dung kiểm tra, giám sát bao gồm: Kiểm tra, giám sát việc tổ chức các lớp tập huấn, thu thập thông tin của đơn vị điều tra, số lượng và chất lượng thông tin do đơn vị cung cấp,...
Hình thức kiểm tra, giám sát: Tùy theo tình hình thực tế, đơn vị được giao thực hiện nhiệm vụ kiểm tra, giám sát chủ động lựa chọn hình thức kiểm tra, giám sát trực tiếp hoặc gián tiếp đối công tác tập huấn, công tác thu thập thông tin tại địa bàn và trên Trang thông tin điện tử của cuộc điều tra.
Để bảo đảm chất lượng thông tin thu thập, công tác kiểm tra giám sát chất lượng phiếu điều tra được thực hiện ngay trong quá trình thu thập thông tin, GSV thường xuyên kiểm tra dữ liệu trên chương trình phần mềm và thông báo đề nghị ĐTV xác minh hoàn thiện phiếu điều tra.
4. Nghiệm thu và tổng hợp thông tin
a) Nghiệm thu phiếu điều tra
- Thống kê tỉnh, thành phố chỉ đạo và thực hiện kiểm tra, nghiệm thu dữ liệu điều tra trên phạm vi tỉnh, thành phố.
- Cục Thống kê kiểm tra và nghiệm thu dữ liệu điều tra cấp tỉnh.
b) Tổng hợp thông tin
Cục Thống kê chỉ đạo, phân công các đơn vị trực thuộc thực hiện kiểm tra, làm sạch và hoàn thiện cơ sở dữ liệu điều tra (theo quy trình điều tra) phục vụ tổng hợp và phân tích kết quả điều tra; thực hiện tính quyền số và tổng hợp kết quả đầu ra theo yêu cầu, cụ thể:
b1) Tính hệ số chuyển đổi K
K là hệ số chuyển đổi năm gốc cũ so với năm gốc mới, K được tính như sau:
K = I1/I2
I1 : Chỉ số giá sản xuất NLTS quý gối đầu so với năm gốc cũ;
I2 : Chỉ số giá sản xuất NLTS quý gối đầu so với năm gốc mới.
Công thức tính chỉ số giá năm gốc mới về năm gốc mới được nối chuỗi theo công thức sau:
![]()
Trong đó:
|
| : Chỉ số giá nhóm d kỳ t so với năm gốc cũ; |
|
| : Chỉ số giá nhóm d kỳ t so với năm gốc mới. |
Hệ số chuyển đổi K cho phép chuyển đổi chuỗi số liệu chỉ số giá sản xuất NLTS theo năm gốc mới về năm gốc cũ và ngược lại theo năm gốc cũ về năm gốc mới, từ đó tính toán chỉ số giá sản xuất NLTS theo các gốc so sánh.
b2) Công thức áp dụng tỉnh chỉ số giá sản xuất NLTS
Công thức Laspeyres được sử dụng trong tổng hợp chỉ số giá sản xuất NLTS, cụ thể công thức tính như sau:
|
| (1) |
Trong đó:
|
| : Chỉ số giá sản xuất NLTS năm báo cáo (t) so với năm gốc (0); |
|
| : Giá mặt hàng i năm báo cáo (t); |
|
| : Giá mặt hàng i năm gốc (0); |
| n | : Số lượng mặt hàng; |
|
| : Quyền số năm gốc (0). |
b3) Công thức nối chuỗi
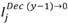
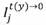
Danh mục sản phẩm NLTS và quyền số tính chỉ số giá sản xuất NLTS được cập nhật hằng năm từ giá trị sản xuất NLTS của 02 năm trước đó, độ trễ 2 năm (y - 2), công thức Chained Laspeyres được sử dụng để nối chuỗi chỉ số giá sản xuất NLTS:
![]()
Trong đó:
|
| : Chỉ số giá nhóm sản phẩm j tháng báo cáo (t) năm y, so với năm gốc (0); |
|
| : Chỉ số giá nhóm sản phẩm j tháng 12 năm trước (y -1), so với năm gốc (0), (được coi là tháng nối chuỗi); |
|
| : Chỉ số giá nhóm sản phẩm j tháng báo cáo (t) năm (y), so với tháng 12 năm trước (y - 1). |
b4) Bảng giá kỳ gốc năm 2020; quyền số; cấu trúc chỉ số giá sản xuất NLTS: Cục Thống kê hướng dẫn thực hiện.
X. KINH PHÍ VÀ CÁC ĐIỀU KIỆN VẬT CHẤT CHO ĐIỀU TRA
Kinh phí Điều tra giá sản xuất NLTS do Ngân sách nhà nước bảo đảm cho các hoạt động quy định trong Phương án này. Việc quản lý, sử dụng và quyết toán kinh phí được thực hiện theo Thông tư số 109/2016/TT-BTC ngày 30 tháng 6 năm 2016 của Bộ Tài chính quy định về lập dự toán, quản lý, sử dụng và quyết toán kinh phí thực hiện các cuộc Điều tra thống kê, Tổng điều tra thống kê quốc gia; Thông tư số 37/2022/TT-BTC ngày 22 tháng 6 năm 2022 của Bộ Tài chính quy định về sửa đổi, bổ sung khoản 9 Điều 3 và Mẫu số 01 kèm theo Thông tư số 109/2016/TT-BTC ngày 30 tháng 6 năm 2016 của Bộ Tài chính quy định về lập dự toán, quản lý, sử dụng và quyết toán kinh phí thực hiện các cuộc Điều tra thống kê, Tổng điều tra thống kê quốc gia và các quy định có liên quan.
Cục Thống kê có trách nhiệm hướng dẫn việc quản lý, sử dụng và quyết toán kinh phí điều tra theo đúng quy định.
Trong phạm vi dự toán được giao, Thủ trưởng các đơn vị được giao nhiệm vụ chịu trách nhiệm tổ chức thực hiện tốt cuộc Điều tra giá sản xuất NLTS theo đúng nội dung của Phương án điều tra, văn bản hướng dẫn của Cục Thống kê và các chế độ tài chính hiện hành.
Các điều kiện vật chất khác: Sử dụng cơ sở hạ tầng sẵn có của ngành thống kê./.
Bạn chưa Đăng nhập thành viên.
Đây là tiện ích dành cho tài khoản thành viên. Vui lòng Đăng nhập để xem chi tiết. Nếu chưa có tài khoản, vui lòng Đăng ký tại đây!
Bạn chưa Đăng nhập thành viên.
Đây là tiện ích dành cho tài khoản thành viên. Vui lòng Đăng nhập để xem chi tiết. Nếu chưa có tài khoản, vui lòng Đăng ký tại đây!

