- Tổng quan
- Nội dung
- VB gốc
- Tiếng Anh
- Hiệu lực
- VB liên quan
- Lược đồ
-
Nội dung hợp nhất
Tính năng này chỉ có tại LuatVietnam.vn. Nội dung hợp nhất tổng hợp lại tất cả các quy định còn hiệu lực của văn bản gốc và các văn bản sửa đổi, bổ sung, đính chính... trên một trang. Việc hợp nhất văn bản gốc và những văn bản, Thông tư, Nghị định hướng dẫn khác không làm thay đổi thứ tự điều khoản, nội dung.
Khách hàng chỉ cần xem Nội dung hợp nhất là có thể nắm bắt toàn bộ quy định hiện hành đang áp dụng, cho dù văn bản gốc đã qua nhiều lần chỉnh sửa, bổ sung.
- Tải về
Thông tư 28/2016/TT-BLĐTBXH về công ty có vốn góp chi phối của Nhà nước
| Cơ quan ban hành: | Bộ Lao động Thương binh và Xã hội |
Số công báo:
Số công báo là mã số ấn phẩm được đăng chính thức trên ấn phẩm thông tin của Nhà nước. Mã số này do Chính phủ thống nhất quản lý.
|
Đã biết
|
| Số hiệu: | 28/2016/TT-BLĐTBXH | Ngày đăng công báo: |
Đã biết
|
| Loại văn bản: | Thông tư | Người ký: | Phạm Minh Huân |
|
Ngày ban hành:
Ngày ban hành là ngày, tháng, năm văn bản được thông qua hoặc ký ban hành.
|
01/09/2016 |
Ngày hết hiệu lực:
Ngày hết hiệu lực là ngày, tháng, năm văn bản chính thức không còn hiệu lực (áp dụng).
|
Đã biết
|
|
Áp dụng:
Ngày áp dụng là ngày, tháng, năm văn bản chính thức có hiệu lực (áp dụng).
|
Đã biết
|
Tình trạng hiệu lực:
Cho biết trạng thái hiệu lực của văn bản đang tra cứu: Chưa áp dụng, Còn hiệu lực, Hết hiệu lực, Hết hiệu lực 1 phần; Đã sửa đổi, Đính chính hay Không còn phù hợp,...
|
Đã biết
|
| Lĩnh vực: | Lao động-Tiền lương |
TÓM TẮT THÔNG TƯ 28/2016/TT-BLĐTBXH
Ngày 01/09/2016, Bộ Lao động Thương binh và Xã hội đã ban hành Thông tư số 28/2016/TT-BLĐTBXH hướng dẫn thực hiện quy định về lao động, tiền lương, thù lao, tiền thưởng đối với công ty có cổ phần, vốn góp chi phối của Nhà nước.
Theo đó, mức tiền lương bình quân kế hoạch tối đa của người quản lý chuyên trách là người đại diện vốn Nhà nước gắn với lợi nhuận kế hoạch của công ty; trong đó, công ty có lợi nhuận kế hoạch dưới 50 tỷ đồng thì mức tiền lương bình quân kế hoạch tối đa không quá 36 triệu đồng/tháng (gọi là mức lương cơ bản); công ty có lợi nhuận kế hoạch từ 50 tỷ đồng đến dưới 100 tỷ đồng thì mức tiền lương bình quân đước tính trên mức lương cơ bản và hệ số điều chỉnh tăng thêm so với mức lương cơ bản gắn với quy mô lợi nhuận theo lĩnh vực sản xuất, kinh doanh chính, tối đa bằng 0,5. Với công ty thuộc lĩnh vực ngân hàng, tìa chính, viễn thông có lợi nhuận từ 100 tỷ đồng đến dưới 500 tỷ đồng; lĩnh vực khai thác và chế biến dầu khí, khoáng sản, điện, thương mại, dịch vụ có lợi nhuận từ 100 tỷ đồng đến dưới 300 tỷ đồng, hệ số điều chỉnh tăng thêm tối đa bằng 1…
Đối với người quản lý công ty không chuyên trách, quỹ thù lao kế hoạch được xác định trên cơ sở số người quản lý không chuyên trách, thời gian làm việc và mức thù lao (tính theo tháng) do công ty xác định, tối đa bằng 20% mức tiền lương bình quân kế hoạch của người quản lý công ty chuyên trách.
Về quỹ khen thưởng, phúc lợi của người lao động, Thông tư quy định, tối đa bằng 03 tháng tiền lương bình quân thực hiện của người lao động nếu lợi nhuận thực hiện bằng kế hoạch. Trường hợp lợi nhuận thực hiện vượt kế hoạch thì ngoài trích quỹ khen thưởng, phúc lợi, công ty được trích thêm 20% phần lợi nhuận thực hiện vượt kế hoạch, nhưng tối đa không quá 03 tháng tiền lương bình quân thực hiện của người lao động.
Thông tư
Văn bản này được thay thế bởi 003/2025/TT-BNV
Xem chi tiết Thông tư 28/2016/TT-BLĐTBXH có hiệu lực kể từ ngày 15/10/2016
Tải Thông tư 28/2016/TT-BLĐTBXH
|
BỘ LAO ĐỘNG – THƯƠNG BINH Số: 28/2016/TT-BLĐTBXH |
CỘNG HÒA XÃ HỘI CHỦ NGHĨA VIỆT NAM Hà Nội, ngày 01 tháng 09 năm 2016 |
Căn cứ Nghị định số 106/2012/NĐ-CP ngày 20 tháng 12 năm 2012 của Chính phủ quy định chức năng, nhiệm vụ, quyền hạn và cơ cấu tổ chức của Bộ Lao động - Thương binh và Xã hội;
Căn cứ Nghị định số 53/2016/NĐ-CP ngày 13 tháng 6 năm 2016 của Chính phủ quy định về lao động, tiền lương, thù lao, tiền thưởng đối với công ty có cổ phần, vốn góp chi phối của Nhà nước;
Theo đề nghị của Vụ trưởng Vụ Lao động - Tiền lương;
Bộ trưởng Bộ Lao động - Thương binh và Xã hội ban hành Thông tư hướng dẫn thực hiện quy định về lao động, tiền lương, thù lao, tiền thưởng đối với công ty có cổ phần, vốn góp chi phối của Nhà nước.
Mục 1. QUY ĐỊNH CHUNG
Điều 1. Phạm vi điều chỉnh
1. Thông tư này hướng dẫn thực hiện quy định về lao động, tiền lương, thù lao, tiền thưởng làm căn cứ để người đại diện phần vốn nhà nước tham gia, biểu quyết tại cuộc họp của Hội đồng quản trị, Đại hội cổ đông đối với công ty cổ phần do Nhà nước nắm giữ trên 50% vốn điều lệ, tại cuộc họp của Hội đồng thành viên đối với công ty trách nhiệm hữu hạn từ hai thành viên trở lên có vốn góp của Nhà nước chiếm trên 50% vốn điều lệ theo quy định tại Nghị định số 53/2016/NĐ-CP ngày 13 tháng 6 năm 2016 của Chính phủ quy định về lao động, tiền lương, thù lao, tiền thưởng đối với công ty có cổ phần, vốn góp chi phối của Nhà nước (sau đây gọi tắt là Nghị định số 53/2016/NĐ-CP).
2. Công ty cổ phần do Nhà nước nắm giữ trên 50% vốn điều lệ, công ty trách nhiệm hữu hạn từ hai thành viên trở lên có vốn góp của Nhà nước chiếm trên 50% vốn điều lệ nêu tại Khoản 1 Điều này (sau đây gọi chung là công ty) là công ty do Bộ, cơ quan ngang Bộ, cơ quan thuộc Chính phủ, Ủy ban nhân dân tỉnh, thành phố trực thuộc Trung ương hoặc tổ chức được Chính phủ giao thực hiện quyền, trách nhiệm của đại diện chủ sở hữu đối với phần vốn nhà nước đầu tư tại công ty.
Điều 2. Đối tượng áp dụng
Đối tượng áp dụng Thông tư này được thực hiện theo quy định tại Điều 2 Nghị định số 53/2016/NĐ-CP.
Điều 3. Nguyên tắc quản lý lao động, tiền lương, thù lao, tiền thưởng và yếu tố khách quan khi xác định tiền lương, thù lao
1. Nguyên tắc quản lý lao động, tiền lương, thù lao và tiền thưởng đối với công ty được thực hiện theo quy định tại Điều 3 Nghị định số 53/2016/NĐ-CP.
2. Các yếu tố khách quan ảnh hưởng đến năng suất lao động và lợi nhuận để loại trừ khi xác định tiền lương của người lao động và tiền lương, thù lao của người quản lý công ty được quy định tại Điều 7 Nghị định số 53/2016/NĐ-CP. Việc loại trừ ảnh hưởng của yếu tố khách quan được thực hiện như sau:
a) Ảnh hưởng của yếu tố khách quan (nếu có) đến năng suất lao động và lợi nhuận của công ty phải được tính toán, lượng hóa thành số liệu cụ thể để loại trừ.
b) Yếu tố khách quan làm tăng năng suất lao động, lợi nhuận thì phải giảm trừ, yếu tố khách quan làm giảm năng suất lao động, lợi nhuận thì được cộng thêm vào năng suất lao động, lợi nhuận khi xác định tiền lương, thù lao kế hoạch; đồng thời phải đánh giá lại yếu tố khách quan ảnh hưởng đến năng suất lao động, lợi nhuận thực hiện so với kế hoạch để loại trừ khi xác định tiền lương, thù lao thực hiện.
Mục 2. QUẢN LÝ LAO ĐỘNG
Điều 4. Rà soát, sắp xếp cơ cấu tổ chức, lao động
1. Công ty rà soát lại cơ cấu tổ chức, đầu mối quản lý để sắp xếp, điều chỉnh cho phù hợp với chức năng, nhiệm vụ và yêu cầu sản xuất, kinh doanh, bảo đảm tinh gọn, không trùng lặp chức năng, nhiệm vụ và có sự kết nối giữa các bộ phận, tổ đội, phân xưởng sản xuất, kinh doanh, phòng (ban) chuyên môn, điều hành trực tiếp, hạn chế các khâu tổ chức trung gian.
2. Sắp xếp lại lao động trong từng bộ phận, tổ đội, phân xưởng sản xuất, kinh doanh, phòng (ban) chuyên môn, trong đó tổ chức theo vị trí việc làm hoặc chức danh công việc đối với lao động quản lý, lao động chuyên môn, kỹ thuật, nghiệp vụ, phục vụ; đối với lao động trực tiếp sản xuất, kinh doanh thực hiện theo dây truyền, công nghệ của máy móc, thiết bị hoặc theo quy trình công việc thì xác định lao động và bố trí công việc theo định mức lao động.
3. Rà soát lại định mức lao động hoặc xây dựng định mức lao động mới đối với lao động trực tiếp sản xuất, kinh doanh bảo đảm các nguyên tắc quy định tại Nghị định số 49/2013/NĐ-CP ngày 14 tháng 5 năm 2013 của Chính phủ quy định chi tiết thi hành một số Điều của Bộ luật lao động về tiền lương.
Điều 5. Xây dựng kế hoạch lao động
1. Kế hoạch lao động hàng năm của công ty được xây dựng căn cứ vào cơ cấu tổ chức theo Điều 4 Thông tư này, yêu cầu thực hiện khối lượng, chất lượng, nhiệm vụ kế hoạch sản xuất, kinh doanh, tình hình sử dụng lao động năm trước, vị trí việc làm hoặc chức danh công việc và định mức lao động.
2. Kế hoạch lao động bao gồm: tổng số lao động cần sử dụng, số lượng, chất lượng lao động tuyển dụng mới theo chức danh, vị trí làm việc; kế hoạch đào tạo, bồi dưỡng chuyên môn, nghiệp vụ, kỹ thuật của từng loại lao động. Trong điều kiện khối lượng, nhiệm vụ sản xuất, kinh doanh kế hoạch không tăng hoặc đầu mối quản lý, cơ sở sản xuất, kinh doanh của công ty không tăng so với thực hiện của năm trước liền kề thì số lao động bình quân kế hoạch không vượt quá 5% so với số lao động bình quân thực tế sử dụng của năm trước liền kề. Số lao động bình quân kế hoạch và số lao động bình quân thực tế sử dụng của năm trước liền kề được xác định theo Phụ lục ban hành kèm theo Thông tư này.
3. Kế hoạch lao động phải được Hội đồng quản trị, Hội đồng thành viên phê duyệt trước khi thực hiện, trong đó phải phân công rõ quyền hạn, trách nhiệm, nhiệm vụ của cá nhân, tổ chức trong triển khai kế hoạch lao động.
Điều 6. Đánh giá tình hình sử dụng lao động
1. Hằng năm, công ty phải đánh giá tình hình sử dụng lao động theo kế hoạch lao động đã được phê duyệt. Nội dung đánh giá phải phân tích rõ ưu điểm, tồn tại, hạn chế trong việc tuyển dụng, sử dụng lao động, nguyên nhân chủ quan, khách quan, trách nhiệm của cá nhân, tổ chức và đề xuất biện pháp khắc phục tồn tại.
2. Trong quá trình thực hiện, nếu người lao động không đáp ứng được yêu cầu công việc hoặc không có việc làm thì công ty phải thực hiện các biện pháp sắp xếp lại lao động hoặc bồi dưỡng, đào tạo, đào tạo lại lao động. Trường hợp đã tìm mọi biện pháp nhưng vẫn không bố trí, sắp xếp được việc làm, phải chấm dứt hợp đồng lao động thì phải giải quyết đầy đủ các chế độ, quyền lợi đối với người lao động theo quy định của pháp luật lao động.
3. Trường hợp tuyển dụng lao động vượt quá kế hoạch hoặc không đúng kế hoạch, dẫn đến người lao động không có việc làm, phải chấm dứt hợp đồng lao động thì người được giao tuyển dụng lao động phải chịu trách nhiệm trước Hội đồng quản trị, Hội đồng thành viên theo quy chế và Điều lệ của công ty.
Mục 3. TIỀN LƯƠNG CỦA NGƯỜI LAO ĐỘNG
Điều 7. Quỹ tiền lương kế hoạch
Quỹ tiền lương kế hoạch của người lao động được xác định dựa trên số lao động bình quân kế hoạch và mức tiền lương bình quân kế hoạch quy định tại Điều 8 Thông tư này.
Điều 8. Mức tiền lương bình quân kế hoạch
Căn cứ mức tiền lương bình quân thực hiện của năm trước liền kề và chỉ tiêu kế hoạch sản xuất, kinh doanh, công ty xác định mức tiền lương bình quân kế hoạch (tính theo tháng) gắn với năng suất lao động và lợi nhuận kế hoạch so với thực hiện của năm trước liền kề như sau:
1. Đối với công ty có năng suất lao động bình quân tăng thì mức tiền lương bình quân kế hoạch được xác định so với mức tiền lương bình quân thực hiện của năm trước liền kề gắn với lợi nhuận kế hoạch như sau:
a) Lợi nhuận kế hoạch bằng hoặc tăng so với thực hiện của năm trước liền kề thì mức tiền lương bình quân kế hoạch tăng không vượt quá mức tăng năng suất lao động bình quân.
Mức tiền lương bình quân thực hiện của năm trước liền kề được xác định trên cơ sở quỹ tiền lương thực hiện chia cho số lao động bình quân thực tế sử dụng của năm trước liền kề. Năng suất lao động bình quân được tính theo hướng dẫn tại Phụ lục ban hành kèm theo Thông tư này.
b) Lợi nhuận kế hoạch thấp hơn thực hiện của năm trước liền kề thì mức tiền lương bình quân kế hoạch tăng không vượt quá 80% mức tăng năng suất lao động bình quân.
2. Đối với công ty có năng suất lao động bình quân bằng thực hiện của năm trước liền kề thì mức tiền lương bình quân kế hoạch được xác định gắn với lợi nhuận kế hoạch như sau:
a) Lợi nhuận kế hoạch tăng so với thực hiện của năm trước liền kề thì mức tiền lương bình quân kế hoạch tăng so với mức tiền lương bình quân thực hiện của năm trước liền kề nhưng không vượt quá 20% mức tăng lợi nhuận;
b) Lợi nhuận kế hoạch bằng thực hiện của năm trước liền kề thì mức tiền lương bình quân kế hoạch bằng mức tiền lương bình quân thực hiện của năm trước liền kề;
c) Lợi nhuận kế hoạch giảm so với thực hiện của năm trước liền kề thì mức tiền lương bình quân kế hoạch giảm so với mức tiền lương bình quân thực hiện của năm trước liền kề bằng 20% mức giảm lợi nhuận.
3. Đối với công ty có năng suất lao động bình quân giảm so với thực hiện của năm trước liền kề thì mức tiền lương bình quân kế hoạch được xác định gắn với lợi nhuận kế hoạch như sau:
4. Đối với công ty lỗ hoặc không có lợi nhuận (sau khi đã loại trừ các yếu tố khách quan nếu có) thì mức tiền lương bình quân kế hoạch được tính bằng mức tiền lương bình quân trong hợp đồng lao động (gồm mức lương, phụ cấp lương và khoản bổ sung khác ghi trong hợp đồng lao động quy định tại Khoản 1, Điểm a Khoản 2 và Điểm a Khoản 3 Điều 4 Thông tư số 47/2015/TT- BLĐTBXH ngày 16 tháng 11 năm 2015 của Bộ Lao động - Thương binh và Xã hội hướng dẫn thực hiện một số điều về hợp đồng lao động, kỷ luật lao động, trách nhiệm vật chất của Nghị định số 05/2015/NĐ-CP ngày 12 tháng 01 năm 2015 của Chính phủ quy định chi tiết và hướng dẫn thi hành một số nội dung của Bộ luật lao động). Công ty phải tổ chức rà soát, sắp xếp lại lao động để nâng cao năng suất lao động, hiệu quả sản xuất, kinh doanh và tiền lương cho người lao động.
5. Đối với công ty có lợi nhuận (sau khi đã loại trừ các yếu tố khách quan nếu có), sau khi xác định tiền lương theo Khoản 1, 2 và Khoản 3 Điều này mà mức tiền lương bình quân kế hoạch thấp hơn mức tiền lương bình quân trong hợp đồng lao động quy định tại Khoản 4 Điều này thì mức tiền lương bình quân kế hoạch được tính bằng mức tiền lương bình quân trong hợp đồng lao động. Trường hợp năng suất lao động bình quân và lợi nhuận kế hoạch cao hơn so với thực hiện của năm trước liền kề mà mức tiền lương bình quân kế hoạch thấp hơn mức tiền lương bình quân trong hợp đồng lao động thì mức tiền lương bình quân kế hoạch được tính trên cơ sở tiền lương bình quân trong hợp đồng lao động và điều chỉnh theo mức tăng năng suất lao động và lợi nhuận kế hoạch so với thực hiện của năm trước liền kề.
6. Đối với công ty giảm lỗ so với thực hiện năm trước liền kề hoặc công ty mới thành lập chưa đủ các chỉ tiêu để so sánh, xác định tiền lương thì căn cứ vào mức độ giảm lỗ hoặc kế hoạch sản xuất, kinh doanh để xác định mức tiền lương bình quân, bảo đảm tương quan chung.
Điều 9. Tạm ứng tiền lương, đơn giá tiền lương
1. Căn cứ kế hoạch sản xuất, kinh doanh, công ty quyết định tạm ứng tiền lương để chi trả hàng tháng cho người lao động.
2. Tùy theo yêu cầu thực tế, công ty xác định đơn giá tiền lương theo tổng doanh thu hoặc tổng doanh thu trừ tổng chi phí chưa có lương hoặc lợi nhuận hoặc đơn vị sản phẩm hoặc theo chỉ tiêu hiệu quả sản xuất, kinh doanh khác phù hợp với tính chất hoạt động để điều hành hoạt động sản xuất, kinh doanh của công ty.
Điều 10. Quỹ tiền lương thực hiện
1. Quỹ tiền lương thực hiện của người lao động được xác định trên cơ sở số lao động bình quân thực tế sử dụng theo Khoản 2 và mức tiền lương bình quân thực hiện theo Khoản 3 Điều này.
2. Số lao động bình quân thực tế sử dụng được tính theo hướng dẫn tại Phụ lục ban hành kèm theo Thông tư này, gắn với số lao động kế hoạch đã được Hội đồng thành viên hoặc Hội đồng quản trị phê duyệt, bảo đảm trong điều kiện khối lượng, nhiệm vụ sản xuất, kinh doanh thực hiện không tăng hoặc đầu mối quản lý, cơ sở sản xuất, kinh doanh của công ty không tăng so với kế hoạch thì số lao động bình quân thực tế sử dụng để tính quỹ tiền lương không vượt quá số lao động bình quân kế hoạch.
3. Mức tiền lương bình quân thực hiện được xác định trên cơ sở mức tiền lương bình quân kế hoạch gắn với mức tăng hoặc giảm năng suất lao động bình quân và lợi nhuận thực hiện so với kế hoạch theo nguyên tắc như xác định mức tiền lương bình quân kế hoạch trên cơ sở mức tiền lương bình quân thực hiện năm trước liền kề gắn với mức tăng hoặc giảm năng suất lao động bình quân và lợi nhuận kế hoạch so với thực hiện năm trước liền kề quy định tại Điều 8 Thông tư này.
4. Đối với công ty lỗ hoặc không có lợi nhuận (sau khi loại trừ yếu tố khách quan nếu có) thì quỹ tiền lương thực hiện được tính trên mức tiền lương bình quân trong hợp đồng lao động, cộng với tiền lương của ngày nghỉ lễ, tết, ngày nghỉ có hưởng lương (nếu chưa tính đến) và tiền lương trả thêm khi làm việc vào ban đêm, khi làm thêm giờ theo quy định của Bộ luật lao động.
Điều 11. Phân phối tiền lương
1. Công ty xây dựng quy chế trả lương theo vị trí, chức danh công việc, bảo đảm đúng quy định của pháp luật, dân chủ, công bằng, công khai, minh bạch và có sự tham gia của Ban Chấp hành công đoàn và người lao động của công ty.
2. Căn cứ vào quỹ tiền lương thực hiện và quy chế trả lương, công ty trả lương cho người lao động gắn với năng suất, chất lượng, hiệu quả sản xuất, kinh doanh, trả lương thỏa đáng đối với người có tài năng, có trình độ chuyên môn, kỹ thuật, năng suất lao động cao và đóng góp nhiều cho công ty.
3. Công ty không được sử dụng quỹ tiền lương của người lao động để trả cho người quản lý công ty và không được sử dụng quỹ tiền lương của người lao động vào mục đích khác.
Mục 4. TIỀN LƯƠNG, THÙ LAO CỦA NGƯỜI QUẢN LÝ CÔNG TY
Điều 12. Quỹ tiền lương kế hoạch của người quản lý chuyên trách
1. Quỹ tiền lương kế hoạch được xác định trên cơ sở số người quản lý công ty và mức tiền lương bình quân kế hoạch (tính theo tháng) của người quản lý công ty chuyên trách (bao gồm: thành viên chuyên trách Hội đồng thành viên hoặc thành viên chuyên trách Hội đồng quản trị, Tổng giám đốc, Giám đốc, Phó tổng giám đốc, Phó giám đốc, Kế toán trưởng, Trưởng ban kiểm soát và Kiểm soát viên chuyên trách).
2. Mức tiền lương bình quân kế hoạch của người quản lý công ty chuyên trách do công ty xác định, quyết định gắn với việc bảo toàn và phát triển vốn, thực hiện nghĩa vụ, trách nhiệm đối với người lao động và nhà nước theo quy định của pháp luật và chỉ tiêu sản xuất, kinh doanh kế hoạch theo nguyên tắc sau:
a) Bảo toàn và phát triển vốn, bảo đảm tiền lương và thu nhập của người lao động không giảm, thực hiện đầy đủ nghĩa vụ, trách nhiệm đối với người lao động và nhà nước theo quy định của pháp luật, các chỉ tiêu sản xuất, kinh doanh kế hoạch tăng so với thực hiện của năm trước liền kề thì mức tiền lương bình quân kế hoạch của người quản lý chuyên trách tăng so với mức tiền lương bình quân thực hiện năm trước liền kề.
b) Không bảo toàn và phát triển vốn, không thực hiện đầy đủ nghĩa vụ, trách nhiệm đối với người lao động và nhà nước theo quy định của pháp luật, tiền lương và thu nhập của người lao động và các chỉ tiêu sản xuất, kinh doanh kế hoạch giảm so với thực hiện của năm trước liền kề thì mức tiền lương bình quân kế hoạch của người quản lý chuyên trách giảm so với mức tiền lương bình quân thực hiện năm trước liền kề.
3. Mức tiền lương bình quân kế hoạch của người quản lý công ty chuyên trách do công ty xác định, quyết định theo Khoản 2 Điều này phải bảo đảm quy định tại Điều 13 và Điều 14 Thông tư này.
Điều 13. Mức tiền lương bình quân kế hoạch của người quản lý chuyên trách là người đại diện vốn nhà nước
Mức tiền lương bình quân kế hoạch tối đa của người quản lý chuyên trách là người đại diện vốn nhà nước gắn với lợi nhuận kế hoạch của công ty như sau:
1. Công ty có lợi nhuận kế hoạch dưới 50 tỷ đồng thì mức tiền lương bình quân kế hoạch tối đa không quá 36 triệu đồng/tháng (gọi là mức lương cơ bản).
2. Công ty có lợi nhuận kế hoạch từ 50 tỷ đồng trở lên thì mức tiền lương bình quân kế hoạch được tính trên mức lương cơ bản và hệ số điều chỉnh tăng thêm so với mức lương cơ bản gắn với quy mô lợi nhuận theo lĩnh vực sản xuất, kinh doanh chính của công ty như sau:
a) Hệ số điều chỉnh tăng thêm tối đa bằng 0,5 đối với công ty có lợi nhuận từ 50 tỷ đến dưới 100 tỷ đồng.
b) Hệ số điều chỉnh tăng thêm tối đa bằng 1,0 đối với công ty thuộc lĩnh vực ngân hàng, tài chính, viễn thông có lợi nhuận từ 100 tỷ đến dưới 500 tỷ đồng; lĩnh vực khai thác và chế biến dầu khí, khoáng sản, điện, thương mại, dịch vụ có lợi nhuận từ 100 tỷ đến dưới 300 tỷ đồng; lĩnh vực còn lại có lợi nhuận từ 100 tỷ đến dưới 200 tỷ đồng.
c) Hệ số điều chỉnh tăng thêm tối đa bằng 1,5 đối với công ty thuộc lĩnh vực ngân hàng, tài chính, viễn thông có lợi nhuận từ 500 tỷ đến dưới 1.000 tỷ đồng; lĩnh vực khai thác và chế biến dầu khí, khoáng sản, điện, thương mại, dịch vụ có lợi nhuận từ 300 tỷ đến dưới 700 tỷ đồng; lĩnh vực còn lại có lợi nhuận từ 200 tỷ đến dưới 500 tỷ đồng.
d) Hệ số điều chỉnh tăng thêm tối đa bằng 2,0 đối với công ty thuộc lĩnh vực ngân hàng, tài chính, viễn thông có lợi nhuận từ 1.000 tỷ đến dưới 1.500 tỷ đồng; lĩnh vực khai thác và chế biến dầu khí, khoáng sản, điện, thương mại, dịch vụ có lợi nhuận từ 700 tỷ đến dưới 1.000 tỷ đồng; lĩnh vực còn lại có lợi nhuận từ 500 tỷ đến dưới 700 tỷ đồng.
đ) Hệ số điều chỉnh tăng thêm tối đa bằng 2,5 đối với công ty thuộc lĩnh vực ngân hàng, tài chính, viễn thông có lợi nhuận từ 1.500 tỷ đồng trở lên; lĩnh vực khai thác và chế biến dầu khí, khoáng sản, điện, thương mại, dịch vụ có lợi nhuận từ 1.000 tỷ đồng trở lên; lĩnh vực còn lại có lợi nhuận từ 700 tỷ đồng trở lên.
e) Đối với công ty có lợi nhuận cao hơn từ 50% trở lên so với mức lợi nhuận (theo từng lĩnh vực) quy định tại điểm đ Khoản 2 Điều này và công ty hoạt động trong một số lĩnh vực có tính chất đặc thù ngành, nghề có lợi nhuận thấp hơn lợi nhuận thấp nhất trong từng lĩnh vực quy định tại điểm a, b, c, d, đ Khoản 2 Điều này, nhưng cần phải khuyến khích lao động quản lý thì được xem xét, áp dụng cao hơn tối đa không quá 10% so với hệ số tăng thêm tiền lương tương ứng quy định tại điểm a, b, c, d, đ Khoản 2 Điều này.
Căn cứ khung hệ số điều chỉnh tăng thêm tối đa tương ứng với lợi nhuận trong từng lĩnh vực quy định tại Khoản 2 Điều này, trường hợp cần thiết thì cơ quan đại diện chủ sở hữu vốn nhà nước quyết định việc tiếp tục phân chia cụ thể hệ số điều chỉnh tăng thêm tương ứng với lợi nhuận kế hoạch phù hợp với thực tế, bảo đảm tương quan chung về quy mô, hiệu quả hoạt động giữa các công ty.
3. Đối với công ty không có lợi nhuận, lỗ, giảm lỗ so với thực hiện của năm trước hoặc công ty mới thành lập thì căn cứ vào kế hoạch sản xuất, kinh doanh, mức độ lỗ, giảm lỗ để xác định tiền lương của người quản lý công ty, bảo đảm tương quan chung.
Điều 14. Mức tiền lương bình quân kế hoạch của người quản lý chuyên trách không là người đại diện phần vốn nhà nước
Mức tiền lương bình quân kế hoạch của người quản lý công ty chuyên trách không phải là người đại diện phần vốn nhà nước được xác định trên cơ sở vị trí công việc của người đại diện vốn, bảo đảm cân đối hợp lý với tiền lương của các chức danh tương tự trên thị trường và tiền lương của người đại diện phần vốn nhà nước quy định tại Điều 13 Thông tư này.
Điều 15. Quỹ tiền lương thực hiện của người quản lý chuyên trách
1. Quỹ tiền lương thực hiện được xác định trên cơ sở số người quản lý công ty chuyên trách thực tế (tính bình quân theo tháng) và mức tiền lương bình quân thực hiện.
2. Mức tiền lương bình quân thực hiện được xác định trên cơ sở mức tiền lương bình quân kế hoạch gắn với mức độ thực hiện chỉ tiêu sản xuất, kinh doanh quy định tại Điều 13 và Điều 14 Thông tư này như sau:
a) Công ty hoàn thành kế hoạch sản xuất, kinh doanh và lợi nhuận thực hiện bằng lợi nhuận kế hoạch thì mức tiền lương bình quân thực hiện được xác định bằng mức tiền lương bình quân kế hoạch.
b) Công ty hoàn thành kế hoạch sản xuất, kinh doanh và lợi nhuận thực hiện vượt kế hoạch thì cứ 1% lợi nhuận thực hiện vượt lợi nhuận kế hoạch, mức tiền lương bình quân thực hiện được tính thêm tối đa bằng 2%, nhưng không quá 20% so với mức tiền lương bình quân kế hoạch.
c) Công ty có lợi nhuận thực hiện thấp hơn lợi nhuận kế hoạch thì cứ 1% lợi nhuận thực hiện giảm so với kế hoạch, mức tiền lương bình quân thực hiện của người quản lý công ty là người đại diện phần vốn nhà nước phải giảm trừ bằng 1% so với mức tiền lương bình quân kế hoạch.
Trường hợp lợi nhuận thực hiện giảm và thấp hơn lợi nhuận thấp nhất theo từng lĩnh vực khi xác định mức tiền lương bình quân kế hoạch quy định tại Khoản 2 Điều 13 Thông tư này thì mức tiền lương bình quân thực hiện chỉ được tính theo hệ số điều chỉnh tăng thêm trong khung quy định tương ứng với lợi nhuận nêu tại Khoản 2 Điều 13 Thông tư này.
Đối với người quản lý công ty không phải là người đại diện phần vốn nhà nước thì mức tiền lương bình quân thực hiện do công ty quyết định, bảo đảm cân đối hợp lý với tiền lương của người quản lý công ty là người đại diện phần vốn nhà nước.
Điều 16. Quỹ thù lao của người quản lý không chuyên trách
1. Quỹ thù lao kế hoạch được xác định trên cơ sở số người quản lý công ty không chuyên trách, thời gian làm việc và mức thù lao (tính theo tháng) do công ty xác định tối đa bằng 20% mức tiền lương bình quân kế hoạch của người quản lý công ty chuyên trách.
2. Quỹ thù lao thực hiện được xác định trên cơ sở số người quản lý công ty không chuyên trách thực tế tại các thời điểm trong năm, thời gian làm việc và mức thù lao (tính theo tháng) do công ty xác định tối đa bằng 20% mức tiền lương thực hiện của người quản lý công ty chuyên trách.
Điều 17. Trả lương, thù lao cho người quản lý
1. Việc trả tiền lương, thù lao cho người quản lý được thực hiện theo quy chế trả lương, thù lao của công ty.
2. Quy chế trả lương, thù lao do công ty xây dựng gắn với mức độ đóng góp vào hiệu quả sản xuất, kinh doanh và kết quả quản lý, điều hành hoặc kiểm soát của từng người quản lý, bảo đảm quy định của pháp luật, dân chủ, công khai, minh bạch, có sự tham gia của Ban Chấp hành công đoàn công ty trước khi thực hiện.
Mục 5. TIỀN THƯỞNG, PHÚC LỢI CỦA NGƯỜI LAO ĐỘNG VÀ NGƯỜI QUẢN LÝ CÔNG TY
Điều 18. Quỹ tiền thưởng, phúc lợi
Căn cứ vào lợi nhuận hằng năm sau khi hoàn thành nghĩa vụ với Nhà nước, các thành viên góp vốn theo quy định của Nhà nước và Điều lệ công ty, công ty xác định quỹ tiền thưởng, phúc lợi của người lao động và người quản lý công ty theo mức độ hoàn thành chỉ tiêu lợi nhuận kế hoạch như sau:
1. Quỹ khen thưởng, phúc lợi của người lao động:
a) Lợi nhuận thực hiện bằng kế hoạch thì quỹ khen thưởng, phúc lợi tối đa không quá 3 tháng tiền lương bình quân thực hiện của người lao động.
b) Lợi nhuận thực hiện vượt kế hoạch thì ngoài trích quỹ khen thưởng, phúc lợi theo quy định tại điểm b nêu trên, công ty được trích thêm bằng 20% phần lợi nhuận thực hiện vượt lợi nhuận kế hoạch, nhưng tối đa không quá 3 tháng tiền lương bình quân thực hiện của người lao động.
c) Lợi nhuận thực hiện thấp hơn kế hoạch thì quỹ khen thưởng, phúc lợi tối đa không quá 3 tháng tiền lương bình quân thực hiện của người lao động nhân với tỷ lệ phần trăm giữa lợi nhuận thực hiện so với lợi nhuận kế hoạch.
2. Quỹ thưởng của người quản lý công ty:
a) Lợi nhuận thực hiện bằng hoặc cao hơn kế hoạch thì quỹ thưởng của người quản lý công ty tối đa không quá 1,5 tháng tiền lương bình quân thực hiện của người quản lý công ty chuyên trách.
b) Lợi nhuận thực hiện thấp hơn lợi nhuận kế hoạch thì quỹ thưởng của người quản lý công ty tối đa không quá 01 tháng tiền lương bình quân thực hiện của người quản lý công ty chuyên trách.
3. Căn cứ quỹ khen thưởng, phúc lợi tại Khoản 1 Điều này, công ty quyết định việc phân bổ thành quỹ khen thưởng cho người lao động (không dùng quỹ khen thưởng để chi thưởng cho người quản lý công ty, trừ khoản thưởng theo quy định của pháp luật về thi đua khen thưởng) và quỹ phúc lợi để đầu tư xây dựng hoặc sửa chữa các công trình phúc lợi, chi cho các hoạt động phúc lợi của người lao động (bao gồm cả người quản lý công ty).
Mục 6. TRÁCH NHIỆM THỰC HIỆN VÀ HIỆU LỰC THI HÀNH
Điều 19. Trách nhiệm của người đại diện phần vốn nhà nước
1. Tham gia ý kiến với Hội đồng quản trị, Hội đồng thành viên để đưa các nội dung quản lý lao động, tiền lương, thù lao, tiền thưởng theo quy định của Chính phủ và hướng dẫn tại Thông tư này vào Điều lệ tổ chức hoạt động hoặc các quy chế của công ty; tham gia biểu quyết để quyết định các nội dung cụ thể về lao động, tiền lương, thù lao, tiền thưởng đối với công ty.
2. Tổng hợp phương án dự kiến của công ty về kế hoạch sử dụng lao động; quỹ tiền lương, thù lao, quỹ tiền thưởng thực hiện năm trước, quỹ tiền lương, thù lao, quỹ tiền thưởng kế hoạch của người lao động và người quản lý công ty để báo cáo cơ quan đại diện chủ sở hữu vốn nhà nước (kèm số liệu theo biểu mẫu số 1, 2 và số 3 ban hành kèm theo Thông tư này).
3. Đề xuất và xin ý kiến cơ quan đại diện chủ sở hữu vốn nhà nước về kế hoạch sử dụng lao động, phương án xác định quỹ tiền lương, thù lao, tiền thưởng đối với công ty theo Khoản 2 Điều này trước khi tham gia ý kiến với Hội đồng quản trị, Hội đồng thành viên theo một số nội dung cơ bản tại biểu mẫu số 4 ban hành kèm theo Thông tư này.
4. Đánh giá kết quả thực hiện ý kiến cơ quan đại diện chủ sở hữu vốn nhà nước và tổng hợp, báo cáo cơ quan đại diện chủ sở hữu vốn nhà nước về kế hoạch sử dụng lao động; quỹ tiền lương, thù lao, quỹ tiền thưởng thực hiện năm trước, quỹ tiền lương, thù lao, quỹ tiền thưởng kế hoạch của người lao động và người quản lý công ty (kèm số liệu theo biểu mẫu số 1, 2 và số 3 ban hành kèm theo Thông tư này) sau khi Hội đồng thành viên, Hội đồng quản trị thông qua.
5. Hằng năm, báo cáo cơ quan đại diện chủ sở hữu vốn nhà nước kết quả giám sát chung về thực hiện lao động, tiền lương, thù lao, tiền thưởng đối với công ty (trong đó phải nêu rõ nội dung làm được, chưa làm được, nguyên nhân) làm căn cứ để đánh giá mức độ hoàn thành nhiệm vụ, trả phụ cấp trách nhiệm, thù lao, tiền thưởng và chế độ khen thưởng, kỷ luật đối với người đại diện phần vốn nhà nước theo quy định. Trường hợp không hoàn thành nhiệm vụ thì phải xác định rõ chế độ trách nhiệm và đề xuất biện pháp giải quyết.
Đối với trường hợp có nhiều người đại diện phần vốn nhà nước tại công ty thì người đại diện phần vốn lớn nhất của nhà nước có trách nhiệm đại diện chủ trì việc trao đổi, thống nhất và tổng hợp ý kiến của những người đại diện phần vốn nhà nước còn lại để báo cáo cơ quan đại diện chủ sở hữu vốn nhà nước các nội dung tại Khoản 2, 3 và Khoản 4 Điều này.
Điều 20. Trách nhiệm của cơ quan đại diện chủ sở hữu vốn nhà nước
1. Giao nhiệm vụ bằng văn bản cho người đại diện phần vốn nhà nước để thực hiện quản lý lao động, tiền lương, thù lao, tiền thưởng đối với công ty theo các nội dung theo quy định của Chính phủ và hướng dẫn tại Thông tư này.
2. Tiếp nhận, xem xét báo cáo của người đại diện phần vốn nhà nước về các nội dung lao động, tiền lương, thù lao, tiền thưởng của công ty để cho ý kiến; quyết định và chịu trách nhiệm về việc áp dụng hệ số điều chỉnh tăng thêm tiền lương của người quản lý công ty chuyên trách cao hơn không quá 10% theo quy định tại điểm e, Khoản 2, Điều 13 Thông tư này.
Đối với trường hợp người đại diện phần vốn nhà nước xin ý kiến để áp dụng hệ số điều chỉnh tăng thêm tiền lương của người quản lý công ty chuyên trách cao hơn khung quy định tại Khoản 2, Điều 13 Thông tư này thì cơ quan đại diện chủ sở hữu vốn nhà nước căn cứ vào quy mô lợi nhuận của công ty, mặt bằng tiền lương của các chức danh tương đương trên thị trường và tham khảo ý kiến của Bộ Lao động - Thương binh và Xã hội trước khi chỉ đạo người đại diện phần vốn nhà nước để cân đối chung.
3. Hằng năm, đánh giá việc thực hiện nhiệm vụ đối với người đại diện phần vốn nhà nước làm cơ sở để chỉ đạo việc xác định mức tiền lương, tiền thưởng đối với người đại diện phần vốn nhà nước làm việc chuyên trách tại công ty hoặc xác định, chi trả thù lao, phụ cấp, tiền thưởng đối với người đại diện phần vốn nhà nước làm việc không chuyên trách tại công ty và áp dụng các chế tài xử lý đối với người đại diện phần vốn nhà nước theo quy định của pháp luật.
4. Chủ trì, phối hợp với Bộ Lao động - Thương binh và Xã hội giám sát việc thực hiện các quy định quản lý lao động, tiền lương, thù lao, tiền thưởng đối với công ty được phân công đại diện phần vốn nhà nước theo quy định của pháp luật.
5. Tổng hợp tình hình lao động, tiền lương, thù lao, tiền thưởng hằng năm của các công ty kèm số liệu theo biểu mẫu số 5 và số 6 ban hành kèm theo Thông tư này, gửi Bộ Lao động - Thương binh và Xã hội để tổng hợp, giám sát chung.
Điều 21. Trách nhiệm của Bộ Lao động - Thương binh và Xã hội
1. Phối hợp với cơ quan đại diện chủ sở hữu vốn nhà nước giám sát thực hiện các quy định quản lý lao động, tiền lương, thù lao, tiền thưởng đối với công ty theo quy định của pháp luật.
2. Tham gia ý kiến với cơ quan đại diện chủ sở hữu vốn nhà nước đối với trường hợp áp dụng cao hơn khung hệ số điều chỉnh tăng thêm tiền lương của người quản lý chuyên trách theo Khoản 2, Điều 13 Thông tư này.
3. Tổng hợp, đánh giá tình hình lao động, tiền lương, thù lao, tiền thưởng của các công ty và báo cáo Thủ tướng Chính phủ theo quy định.
Điều 22. Hiệu lực thi hành
1. Thông tư này có hiệu lực thi hành kể từ ngày 15 tháng 10 năm 2016.
2. Đối với trường hợp Đại hội cổ đông của công ty đã thông qua hoặc Hội đồng thành viên đã phê duyệt quỹ tiền lương, quỹ khen thưởng kế hoạch năm 2016 trước ngày Thông tư này có hiệu lực thi hành thì công ty xác định quỹ tiền lương, quỹ khen thưởng thực hiện năm 2016 theo kế hoạch tiền lương, khen thưởng đã thông qua, phê duyệt hoặc điều chỉnh quỹ tiền lương, quỹ khen thưởng kế hoạch và xác định quỹ tiền lương, quỹ khen thưởng thực hiện năm 2016 theo quy định tại Thông tư này.
3. Hội đồng thành viên hoặc Chủ tịch công ty mẹ của tập đoàn kinh tế nhà nước, công ty mẹ của tổng công ty nhà nước, công ty mẹ trong nhóm công ty mẹ - công ty con do Nhà nước nắm giữ 100% vốn điều lệ căn cứ nội dung quy định tại Thông tư này để chỉ đạo, giao nhiệm vụ cho người đại diện phần vốn của doanh nghiệp tổ chức quản lý lao động, tiền lương, thù lao, tiền thưởng tại công ty có cổ phần, vốn góp chi phối của Công ty mẹ.
4. Người đại diện phần vốn nhà nước tại công ty mẹ của tập đoàn kinh tế nhà nước, công ty mẹ của tổng công ty nhà nước, công ty mẹ trong nhóm công ty mẹ - công ty con do Nhà nước nắm giữ cổ phần, vốn góp chi phối tham gia ý kiến để Hội đồng quản trị, Hội đồng thành viên quyết định việc vận dụng quy định tại Thông tư này để quản lý lao động, tiền lương, thù lao, tiền thưởng tại công ty có cổ phần, vốn góp chi phối của công ty mẹ.
5. Bộ trưởng, Thủ trưởng cơ quan ngang Bộ, Thủ trưởng cơ quan thuộc Chính phủ, Chủ tịch Ủy ban nhân dân tỉnh, thành phố trực thuộc Trung ương có trách nhiệm chỉ đạo, đôn đốc, kiểm tra, giám sát thực hiện quy định tại Thông tư này.
Trong quá trình thực hiện nếu có vướng mắc, đề nghị các cơ quan, tổ chức, công ty phản ánh về Bộ Lao động - Thương binh và Xã hội để hướng dẫn bổ sung kịp thời./.
|
Nơi nhận: |
KT. BỘ TRƯỞNG |
PHỤ LỤC
XÁC ĐỊNH SỐ LAO ĐỘNG BÌNH QUÂN VÀ NĂNG SUẤT LAO ĐỘNG BÌNH QUÂN
(Ban hành kèm theo Thông tư số 28/2016/TT-BLĐTBXH ngày 01 tháng 9 năm 2016 của Bộ Lao động-Thương binh và Xã hội)
1. Xác định số lao động bình quân
Số lao động bình quân thực tế sử dụng và số lao động bình quân kế hoạch được xác định như sau:
a) Số lao động bình quân, bao gồm tất cả số lao động làm việc theo hợp đồng lao động thuộc đối tượng hưởng lương từ quỹ tiền lương theo quy định tại Thông tư này (không bao gồm người quản lý công ty).
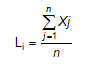
b) Số lao động bình quân tháng, được tính theo công thức sau:
(6)
Trong đó:
Li : Số lao động bình quân của tháng thứ i trong năm.
Xj: Số lao động của ngày thứ j trong tháng, được tính theo số lao động làm việc và số lao động nghỉ việc do: ốm, thai sản, con ốm mẹ nghỉ, tai nạn lao động, phép năm, đi học, nghỉ việc riêng có lương theo bảng chấm công của công ty. Đối với ngày nghỉ thì lấy số lao động thực tế làm việc theo bảng chấm công của công ty ở ngày trước liền đó, nếu ngày trước đó cũng là ngày nghỉ thì lấy ngày liền kề tiếp theo không phải là ngày nghỉ.
: Tổng của số lao động các ngày trong tháng.
n: Số ngày theo lịch của tháng (không kể công ty có làm đủ hay không đủ số ngày trong tháng);
c) Số lao động bình quân năm được tính theo công thức sau:
(7)
Trong đó:
Lbq : Số lao động bình quân năm.
li: Số lao động bình quân của tháng thứ i trong năm.
i: Số nguyên, dương dùng để chỉ tháng thứ i trong năm, từ 1 đến 12.
: Tổng của số lao động bình quân các tháng trong năm.
t: Số tháng trong năm. Riêng đối với các công ty mới bắt đầu hoạt động thì số tháng trong năm được tính theo số tháng thực tế hoạt động trong năm.
Đối với công ty có số lao động bình quân năm là số thập phân thì việc làm tròn số được áp dụng theo nguyên tắc số học, nếu phần thập phân trên 0,5 thì làm tròn thành 1; đối với số lao động bình quân tháng có số thập phân thì được giữ nguyên sau dấu phẩy hai số và không làm tròn số.
2. Xác định năng suất lao động bình quân
Năng suất lao động bình quân được tính theo năm và theo tổng doanh thu trừ tổng chi phí chưa có lương hoặc theo tổng sản phẩm (kể cả sản phẩm quy đổi) tiêu thụ, được tính theo công thức sau:
a) Năng suất lao động bình quân kế hoạch tính theo công thức sau:

Trong đó:
Wkh: Năng suất lao động bình quân kế hoạch.
ΣTkh : Tổng doanh thu kế hoạch.
ΣCkh: Tổng chi phí (chưa có tiền lương) kế hoạch.
Tspkh: Tổng sản phẩm (kể cả sản phẩm quy đổi) tiêu thụ kế hoạch.
Lbqkh: Số lao động bình quân kế hoạch, tính theo Khoản 1 Phụ lục này.
b) Năng suất lao động bình quân thực hiện trong năm (hoặc thực hiện của năm trước liền kề) tính theo công thức sau:

Trong đó:
Wth: Năng suất lao động bình quân thực hiện trong năm (hoặc thực hiện của năm trước liền kề).
ΣTth: Tổng doanh thu thực hiện trong năm (hoặc thực hiện của năm trước liền kề).
ΣCth: Tổng chi phí chưa có tiền lương thực hiện trong năm (hoặc thực hiện của năm trước liền kề).
Tspth: Tổng sản phẩm (kể cả sản phẩm quy đổi) tiêu thụ thực hiện trong năm (hoặc thực hiện của năm trước liền kề).
Lbqth: Số lao động bình quân thực tế sử dụng trong năm (hoặc thực tế sử dụng của năm trước liền kề), tính theo Khoản 1 Phụ lục này.
Biểu mẫu số 1
Tên cơ quan đại diện chủ sở hữu vốn nhà nước………………………
Người đại diện phần vốn nhà nước tại công ty …………………………
TỔNG HỢP BÁO CÁO CỦA CÔNG TY
VỀ TÌNH HÌNH SỬ DỤNG LAO ĐỘNG NĂM TRƯỚC VÀ KẾ HOẠCH SỬ DỤNG LAO ĐỘNG NĂM ………….
(Ban hành kèm theo Thông tư số 28/2016/TT-BLĐTBXH ngày 01 tháng 9 năm 2016 của Bộ Lao động-Thương binh và Xã hội)
Đơn vị tính: Người
|
Số tt |
Tổng số lao động |
Tình hình sử dụng lao động năm trước |
Kế hoạch sử dụng lao động năm |
|||||||||
|
Tổng số lao động kế hoạch |
Số lao động thực tế tại thời điểm 31/12 |
Trong đó |
Tổng số lao động sử dụng bình quân |
Số lao động thôi việc, mất việc, nghỉ hưu |
Số lao động kế hoạch |
Trong đó |
Số lao động thôi việc, mất việc, nghỉ hưu |
|||||
|
Số từ năm trước chuyển sang |
Số phải đào tạo lại trong năm |
Số tuyển mới trong năm |
Số lao động năm trước chuyển sang |
Số lao động tuyển dụng mới |
||||||||
|
1 |
2 |
|
4 |
5 |
6 |
7 |
8 |
9 |
10 |
11 |
12 |
13 |
|
1 |
Người quản lý |
|
|
|
|
|
|
|
|
|
|
|
|
2 |
Lao động chuyên môn, nghiệp vụ |
|
|
|
|
|
|
|
|
|
|
|
|
3 |
Lao động trực tiếp sản xuất, kinh doanh |
|
|
|
|
|
|
|
|
|
|
|
|
4 |
Lao động thừa hành, phục vụ |
|
|
|
|
|
|
|
|
|
|
|
|
Tổng cộng |
|
|
|
|
|
|
|
|
|
|
|
|
|
|
……, ngày…….tháng…….năm…..... |
Biểu mẫu số 2
Tên cơ quan đại diện chủ sở hữu vốn nhà nước……………………
Người đại diện phần vốn nhà nước tại công ty ……………………
TỔNG HỢP BÁO CÁO VỀ XÁC ĐỊNH QUỸ TIỀN LƯƠNG THỰC HIỆN NĂM TRƯỚC VÀ KẾ HOẠCH NĂM ……. CỦA NGƯỜI LAO ĐỘNG
(Ban hành kèm theo Thông tư số 28/2016/TT-BLĐTBXH ngày 01 tháng 9 năm 2016 của Bộ Lao động-Thương binh và Xã hội)
|
Số tt |
Chỉ tiêu |
Đơn vị tính |
Số báo cáo năm ... |
Kế hoạch năm ... |
|
|
Kế hoạch |
Thực hiện |
||||
|
1 |
2 |
3 |
4 |
5 |
6 |
|
I |
CHỈ TIÊU SẢN XUẤT KINH DOANH |
|
|
|
|
|
1 |
Tổng sản phẩm (kể cả quy đổi) |
|
|
|
|
|
2 |
Tổng doanh thu |
Tr.đồng |
|
|
|
|
3 |
Tổng chi phí (chưa có lương) |
Tr.đồng |
|
|
|
|
4 |
Lợi nhuận |
Tr.đồng |
|
|
|
|
5 |
Lợi nhuận sau khi thực hiện các nghĩa vụ đối với Nhà nước, các thành viên góp vốn |
Tr.đồng |
|
|
|
|
6 |
Hệ số bảo toàn phát triển vốn |
|
|
|
|
|
7 |
Tổng các khoản nộp ngân sách Nhà nước |
Tr.đồng |
|
|
|
|
II |
TIỀN LƯƠNG |
|
|
|
|
|
1 |
Lao động kế hoạch |
Người |
|
|
|
|
2 |
Lao động thực tế sử dụng bình quân |
Người |
|
|
|
|
3 |
Mức tiền lương bình quân theo hợp đồng lao động |
1.000đ/tháng |
|
|
|
|
4 |
Mức tiền lương bình quân kế hoạch |
1.000đ/tháng |
|
|
|
|
5 |
Mức tiền lương bình quân thực hiện |
1.000đ/tháng |
|
|
|
|
6 |
Năng suất lao động bình quân (1) kế hoạch |
Tr.đồng/năm |
|
|
|
|
7 |
Năng suất lao động bình quân thực hiện |
Tr.đồng/năm |
|
|
|
|
8 |
Quỹ tiền lương kế hoạch |
Tr.đồng |
|
|
|
|
9 |
Quỹ tiền lương thực hiện |
Tr.đồng |
|
|
|
|
10 |
Quỹ khen thưởng, phúc lợi |
Tr.đồng |
|
|
|
|
11 |
Quỹ tiền thưởng, phúc lợi phân phối trực tiếp cho người lao động |
Tr.đồng |
|
|
|
|
12 |
Thu nhập bình quân (theo lao động thực tế sử dụng bình quân) |
1.000đ/tháng |
|
|
|
Ghi chú: (1) ghi rõ năng suất lao động tính theo chỉ tiêu tổng doanh thu trừ tổng chi phí (chưa có lương) hoặc tính theo tổng sản phẩm tiêu thụ.
|
|
……, ngày…….tháng…….năm…..... |
Biểu mẫu số 3
Tên cơ quan đại diện chủ sở hữu vốn nhà nước………………………
Người đại diện phần vốn nhà nước tại công ty ................................
TỔNG HỢP BÁO CÁO CỦA CÔNG TY VỀ XÁC ĐỊNH QUỸ TIỀN LƯƠNG, THÙ LAO, TIỀN THƯỞNG THỰC HIỆN NĂM TRƯỚC VÀ KẾ HOẠCH NĂM …. CỦA NGƯỜI QUẢN LÝ
(Ban hành kèm theo Thông tư số 28/2016/TT-BLĐTBXH ngày 01 tháng 9 năm 2016 của Bộ Lao động-Thương binh và Xã hội)
|
Số tt |
Chỉ tiêu |
Đơn vị tính |
Số báo cáo năm ... |
Kế hoạch năm ... |
|
|
Kế hoạch |
Thực hiện |
||||
|
I |
Chỉ tiêu sản xuất, kinh doanh |
|
|
|
|
|
1 |
Tổng số vốn chủ sở hữu |
Tr.đồng |
|
|
|
|
2 |
Tổng sản phẩm (kể cả quy đổi) |
|
|
|
|
|
3 |
Tổng doanh thu |
Tr.đồng |
|
|
|
|
4 |
Tổng chi phí (chưa có lương) |
Tr.đồng |
|
|
|
|
5 |
Tổng các khoản nộp ngân sách Nhà nước |
Tr.đồng |
|
|
|
|
6 |
Lợi nhuận |
Tr.đồng |
|
|
|
|
7 |
Lợi nhuận sau khi thực hiện các nghĩa vụ đối với Nhà nước, các thành viên góp vốn |
Tr. đồng |
|
|
|
|
8 |
Hệ số bảo toàn phát triển vốn |
|
|
|
|
|
9 |
Năng suất lao động bình quân (1) kế hoạch |
Trđ/năm |
|
|
|
|
10 |
Năng suất lao động bình quân thực hiện |
Trđ/năm |
|
|
|
|
II |
Tiền lương của người quản lý chuyên trách |
|
|
|
|
|
1 |
Đối với người quản lý chuyên trách là người đại diện phần vốn nhà nước |
|
|
|
|
|
- |
Số người |
Người |
|
|
|
|
- |
Mức lương cơ bản để tính tiền lương |
Tr.đồng/th |
|
|
|
|
- |
Hệ số điều chỉnh tăng thêm tiền lương so với mức lương cơ bản |
|
|
|
|
|
- |
Tiền lương bình quân |
Tr.đồng/th |
|
|
|
|
- |
Tiền lương tăng thêm do lợi nhuận thực hiện vượt so với kế hoạch (áp dụng đối với xác định tiền lương thực hiện) |
Tr.đồng |
|
|
|
|
2 |
Đối với người quản lý chuyên trách không phải là người đại diện phần vốn nhà nước |
|
|
|
|
|
- |
Số người |
Người |
|
|
|
|
- |
Tiền lương bình quân |
Tr.đồng/th |
|
|
|
|
3 |
Tổng quỹ tiền lương của người quản lý chuyên trách |
Tr.đồng |
|
|
|
|
III |
Thù lao của người quản lý không chuyên trách |
|
|
|
|
|
1 |
Số người quản lý không chuyên trách (tính bình quân) |
Người |
|
|
|
|
2 |
Mức thù lao bình quân |
Tr.đồng/th |
|
|
|
|
3 |
Quỹ thù lao |
Tr.đồng |
|
|
|
|
IV |
Tiền thưởng, thu nhập |
|
|
|
|
|
1 |
Quỹ tiền thưởng |
Tr.đồng |
|
|
|
|
2 |
Mức thu nhập bình quân của người quản lý chuyên trách (2) |
Tr.đồng/th |
|
|
|
|
3 |
Mức thu nhập bình quân của người quản lý không chuyên trách (3) |
Tr.đồng/th |
|
|
|
Ghi chú: (1) ghi rõ năng suất lao động tính theo chỉ tiêu tổng doanh thu trừ tổng chi phí (chưa có lương) hoặc tính theo tổng sản phẩm tiêu thụ; (2) Mức thu nhập bình quân của người quản lý chuyên trách, gồm tiền lương, tiền thưởng; (3) Mức thu nhập bình quân của người quản lý không chuyên trách, gồm thù lao, tiền thưởng.
|
|
……, ngày…….tháng…….năm…..... |
Biểu mẫu số 4
Tên cơ quan đại diện chủ sở hữu vốn nhà nước…………………..
Người đại diện phần vốn nhà nước tại công ty ...........................
BÁO CÁO XIN Ý KIẾN CƠ QUAN ĐẠI DIỆN CHỦ SỞ HỮU VỐN NHÀ NƯỚC MỘT SỐ NỘI DUNG CƠ BẢN VỀ LAO ĐỘNG, TIỀN LƯƠNG, THÙ LAO, TIỀN THƯỞNG TẠI CÔNG TY
(Ban hành kèm theo Thông tư số 28/2016/TT-BLĐTBXH ngày 01 tháng 9 năm 2016 của Bộ Lao động-Thương binh và Xã hội)
|
Stt |
Nội dung |
Đvt |
Phương án của công ty |
Đề xuất của người đại diện phần vốn nhà nước |
|||
|
Thực hiện năm trước |
Kế hoạch năm... |
Thực hiện năm trước |
Kế hoạch năm... |
Căn cứ đề xuất (1) |
|||
|
1 |
2 |
3 |
4 |
5 |
6 |
7 |
8 |
|
I |
Lao động |
|
|
|
|
|
|
|
|
Tổng số lao động, trong đó: |
Người |
|
|
|
|
|
|
- |
Người quản lý |
Người |
|
|
|
|
|
|
- |
Lao động chuyên môn, nghiệp vụ |
Người |
|
|
|
|
|
|
- |
Lao động trực tiếp sản xuất, kinh doanh |
Người |
|
|
|
|
|
|
- |
Lao động thừa hành, phục vụ |
Người |
|
|
|
|
|
|
II |
Tiền lương của người lao động |
|
|
|
|
|
|
|
1 |
Quỹ tiền lương |
Triệu đồng |
|
|
|
|
|
|
2 |
Số lao động để tính quỹ tiền lương |
Người |
|
|
|
|
|
|
3 |
Tiền lương bình quân |
Tr.đ/tháng |
|
|
|
|
|
|
4 |
Yếu tố khách quan khi xác định tiền lương |
|
|
|
|
|
|
|
- |
Phần lợi nhuận tăng/giảm do yếu tố khách quan |
Triệu đồng |
|
|
|
|
|
|
- |
Phần năng suất lao động tăng/giảm do yếu tố khách quan |
Triệu đồng |
|
|
|
|
|
|
III |
Tiền lương của người quản lý chuyên trách |
|
|
|
|
|
|
|
1 |
Tiền lương của người quản lý chuyên trách là người đại diện phần vốn nhà nước |
|
|
|
|
|
|
|
- |
Số người |
Người |
|
|
|
|
|
|
- |
Mức lương cơ bản để tính tiền lương |
Tr.đồng/tháng |
|
|
|
|
|
|
- |
Hệ số điều chỉnh tăng thêm tiền lương |
|
|
|
|
|
|
|
- |
Tiền lương bình quân |
Tr.đ/tháng |
|
|
|
|
|
|
|
Tiền lương tăng thêm do lợi nhuận thực hiện vượt lợi nhuận kế hoạch (áp dụng đối với xác định tiền lương thực hiện) |
Triệu đồng |
|
|
|
|
|
|
2 |
Tiền lương của người quản lý chuyên trách không phải là người đại diện phần vốn nhà nước |
|
|
|
|
|
|
|
- |
Số người |
Người |
|
|
|
|
|
|
- |
Tiền lương bình quân |
Tr.đ/tháng |
|
|
|
|
|
|
3 |
Tổng quỹ tiền lương của người quản lý chuyên trách |
Triệu đồng |
|
|
|
|
|
|
IV |
Thù lao của người quản lý không chuyên trách |
|
|
|
|
|
|
|
1 |
Số người |
Người |
|
|
|
|
|
|
2 |
Mức thù lao bình quân |
Tr.đ/tháng |
|
|
|
|
|
|
|
Quỹ thù lao |
Triệu đồng |
|
|
|
|
|
|
V |
Quỹ tiền thưởng, phúc lợi |
|
|
|
|
|
|
|
7 |
Quỹ tiền thưởng, phúc lợi của người lao động |
Triệu đồng |
|
|
|
|
|
|
- |
Quỹ khen, thưởng |
Triệu đồng |
|
|
|
|
|
|
- |
Quỹ phúc lợi |
Triệu đồng |
|
|
|
|
|
|
2 |
Quỹ tiền thưởng của người quản lý |
Triệu đồng |
|
|
|
|
|
|
VI |
Một số nội dung khác |
|
|
|
|
|
|
Ghi chú: (1) người đại diện phần vốn nhà nước ghi cụ thể căn cứ đề xuất, như: quy định tại Nghị định của Chính phủ, Thông tư hướng dẫn, tình hình thực hiện năm trước và các yếu tố khác liên quan.
|
|
……, ngày…….tháng…….năm…..... |
Biểu mẫu số 5
Tên cơ quan đại diện chủ sở hữu vốn nhà nước…………………………
BÁO CÁO TÌNH HÌNH THỰC HIỆN LAO ĐỘNG, TIỀN LƯƠNG, TIỀN THƯỞNG CỦA NGƯỜI LAO ĐỘNG NĂM TRƯỚC VÀ KẾ HOẠCH NĂM……………
(Ban hành kèm theo Thông tư số 28/2016/TT-BLĐTBXH ngày 01 tháng 9 năm 2016 của Bộ Lao động-Thương binh và Xã hội)
|
Số TT |
Tên công ty |
Chỉ tiêu sản xuất, kinh doanh |
Lao động (người) |
Mức tiền lương bình quân theo hợp đồng lao động (tr.đ/ tháng) |
Mức tiền lương bình quân (tr.đ/tháng) |
Quỹ tiền lương (tr.đ) |
Quỹ khen thưởng, phúc lợi (tr.đ) |
|
||||||||||||||||||
|
Tổng doanh thu (tr.đ) |
Lợi nhuận (tr.đ) |
Tổng chi chưa có lương (tr.đ) |
|
|||||||||||||||||||||||
|
KH năm trước |
TH năm trước |
KH năm … |
KH năm trước |
TH năm trước |
KH năm … |
KH năm trước |
TH năm trước |
KH năm … |
KH năm trước |
TH năm trước |
KH năm … |
TH năm trước |
KH năm … |
Năm trước |
KH năm … |
KH năm trước |
TH năm trước |
KH năm … |
KH năm trước |
TH năm trước |
KH năm … |
|||||
|
Theo KH |
Thực tế sử dụng BQ |
Kế hoạch |
Thực hiện |
|||||||||||||||||||||||
|
1 |
2 |
3 |
4 |
5 |
6 |
7 |
8 |
9 |
10 |
11 |
12 |
13 |
14 |
15 |
16 |
17 |
18 |
19 |
20 |
21 |
22 |
23 |
24 |
25 |
26 |
|
|
1 |
Công ty A |
|
|
|
|
|
|
|
|
|
|
|
|
|
|
|
|
|
|
|
|
|
|
|
|
|
|
2 |
Công ty A |
|
|
|
|
|
|
|
|
|
|
|
|
|
|
|
|
|
|
|
|
|
|
|
|
|
|
|
|
|
|
|
|
|
|
|
|
|
|
|
|
|
|
|
|
|
|
|
|
|
|
|
|
|
|
Tổng cộng |
|
|
|
|
|
|
|
|
|
|
|
|
|
|
|
|
|
|
|
|
|
|
|
|
||
Ghi chú: Mức tiền lương bình quân thực hiện được tính theo số lao động thực tế sử dụng bình quân.
|
|
……, ngày…….tháng…….năm…..... |
Biểu mẫu số 6
Tên cơ quan đại diện chủ sở hữu vốn nhà nước ……….
BÁO CÁO TÌNH HÌNH TIỀN LƯƠNG, THÙ LAO, TIỀN THƯỞNG THỰC HIỆN CỦA NGƯỜI QUẢN LÝ NĂM ……..
(Ban hành kèm theo Thông tư số 28/2016/TT-BLĐTBXH ngày 01 tháng 9 năm 2016 của Bộ Lao động-Thương binh và Xã hội)
|
Số TT |
Tên công ty |
Người quản lý chuyên trách |
Người quản lý không chuyên trách |
||||||||||||||||||
|
Số lượng (người) |
Quỹ tiền lương (tr.đồng) |
Quỹ tiền thưởng (tr.đồng) |
Tiền lương bình quân của người quản lý chuyên trách là người đại diện phần vốn nhà nước (Tr.đồng/tháng) |
Số lượng (người) |
Quỹ thù lao (tr.đồng) |
Quỹ tiền thưởng (tr.đồng) |
|||||||||||||||
|
Kế hoạch năm trước |
Thực hiện năm trước |
Kế hoạch năm... |
Kế hoạch năm trước |
Thực hiện năm trước |
Kế hoạch năm... |
Kế hoạch năm trước |
Thực hiện năm trước |
Kế hoạch năm... |
Thực hiện năm trước |
Kế hoạch năm... |
Kế hoạch năm trước |
Thực hiện năm trước |
Kế hoạch năm... |
Kế hoạch năm trước |
Thực hiện năm trước |
Kế hoạch năm... |
Kế hoạch năm trước |
Thực hiện năm trước |
Kế hoạch năm... |
||
|
1 |
2 |
3 |
4 |
5 |
6 |
7 |
8 |
9 |
10 |
11 |
12 |
13 |
14 |
15 |
16 |
17 |
18 |
19 |
20 |
21 |
22 |
|
1 |
Công ty A |
|
|
|
|
|
|
|
|
|
|
|
|
|
|
|
|
|
|
|
|
|
2 |
Công ty B |
|
|
|
|
|
|
|
|
|
|
|
|
|
|
|
|
|
|
|
|
|
|
|
|
|
|
|
|
|
|
|
|
|
|
|
|
|
|
|
|
|
|
|
|
|
|
|
|
|
|
|
|
|
|
|
|
|
|
|
|
|
|
|
|
|
|
|
Tổng cộng |
|
|
|
|
|
|
|
|
|
|
|
|
|
|
|
|
|
|
|
|
|
|
|
……, ngày…….tháng…….năm…..... |
Bạn chưa Đăng nhập thành viên.
Đây là tiện ích dành cho tài khoản thành viên. Vui lòng Đăng nhập để xem chi tiết. Nếu chưa có tài khoản, vui lòng Đăng ký tại đây!
Bạn chưa Đăng nhập thành viên.
Đây là tiện ích dành cho tài khoản thành viên. Vui lòng Đăng nhập để xem chi tiết. Nếu chưa có tài khoản, vui lòng Đăng ký tại đây!