- Tổng quan
- Nội dung
- Tiêu chuẩn liên quan
- Lược đồ
- Tải về
Tiêu chuẩn quốc gia TCVN 13936-1:2024 Ứng dụng đường sắt - Lắp đặt cố định - Thiết bị đóng cắt điện một chiều - Phần 1
| Số hiệu: | TCVN 13936-1:2024 | Loại văn bản: | Tiêu chuẩn Việt Nam |
| Cơ quan ban hành: | Bộ Khoa học và Công nghệ | Lĩnh vực: | Giao thông |
| Trích yếu: | IEC 61992-1:2006 Ứng dụng đường sắt - Lắp đặt cố định - Thiết bị đóng cắt điện một chiều - Phần 1: Yêu cầu chung | ||
|
Ngày ban hành:
Ngày ban hành là ngày, tháng, năm văn bản được thông qua hoặc ký ban hành.
|
02/05/2024 |
Hiệu lực:
|
Đã biết
|
| Người ký: | Đang cập nhật |
Tình trạng hiệu lực:
Cho biết trạng thái hiệu lực của văn bản đang tra cứu: Chưa áp dụng, Còn hiệu lực, Hết hiệu lực, Hết hiệu lực 1 phần; Đã sửa đổi, Đính chính hay Không còn phù hợp,...
|
Đã biết
|
TÓM TẮT TIÊU CHUẨN VIỆT NAM TCVN 13936-1:2024
TCVN 13936-1:2024: Thiết bị đóng cắt điện một chiều trong ứng dụng đường sắt
Ngày ban hành và hiệu lực: TCVN 13936-1:2024 được ban hành và có hiệu lực vào năm 2024, áp dụng cho thiết bị đóng cắt điện một chiều sử dụng trong các hệ thống đường sắt.
Tổng quan về tiêu chuẩn: TCVN 13936-1:2024 tương đương với tiêu chuẩn IEC 61992-1:2006 và các sửa đổi năm 2014. Tiêu chuẩn này do Viện Khoa học & Công nghệ Giao thông vận tải soạn thảo, nhằm đưa ra các yêu cầu chung cho các thiết bị đóng cắt điện một chiều, áp dụng cho các hệ thống điện có điện áp danh nghĩa không quá 3.000 V DC, phục vụ cho các phương tiện vận tải như tàu điện và xe điện.
Nội dung chi tiết: Tiêu chuẩn này bao gồm nhiều phần, trong đó phần 1 quy định các yêu cầu chung liên quan đến thiết bị đóng cắt và thiết bị điều khiển một chiều. Các phần khác bao gồm máy cắt một chiều, thiết bị chuyển mạch, và các thiết bị phù trợ khác phục vụ cho ngành đường sắt.
Yêu cầu kỹ thuật: TCVN 13936-1:2024 đưa ra các thuật ngữ và định nghĩa cụ thể liên quan đến thiết bị đóng cắt, bao gồm "thiết bị đóng cắt", "máy cắt một chiều", các đặc tính điện áp và dòng điện của thiết bị. Ví dụ, điện áp danh nghĩa (Un) và điện áp cách điện danh định (UNm) được định nghĩa rõ ràng để phục vụ việc giám sát và kiểm tra thiết bị.
Tính linh hoạt và ứng dụng: Các thiết bị được thiết kế theo tiêu chuẩn này có thể được lắp đặt tại những điểm cố định dọc theo đường ray, giúp tăng cường an toàn và tin cậy cho hoạt động của hệ thống điện đường sắt. Tiêu chuẩn cũng nhấn mạnh tác động của việc áp dụng các thiết bị này lên hiệu suất và độ an toàn của hệ thống điện một chiều.
Khả năng và hiệu suất: Một số thông số quan trọng được đề cập bao gồm khả năng cắt ngắn mạch (rated short-circuit breaking capacity) và khả năng đóng ngắn mạch danh định, đảm bảo thiết bị có thể hoạt động an toàn trong các điều kiện bất thường như ngắn mạch.
Tài liệu viện dẫn: Tiêu chuẩn chỉ rõ các tài liệu tham khảo cần thiết để áp dụng, từ từ vựng kỹ thuật điện quốc tế cho đến các tiêu chuẩn cụ thể khác liên quan đến thiết bị điện trong lĩnh vực giao thông vận tải.
Kết luận: TCVN 13936-1:2024 cung cấp nền tảng rõ ràng về yêu cầu kỹ thuật đối với thiết bị đóng cắt điện một chiều trong hệ thống đường sắt, đồng thời góp phần đảm bảo an toàn và hiệu quả cho các phương tiện vận tải công cộng, qua đó hỗ trợ phát triển bền vững ngành giao thông đường sắt tại Việt Nam.
Tải tiêu chuẩn Việt Nam TCVN 13936-1:2024
TIÊU CHUẨN QUỐC GIA
TCVN 13936-1:2024
IEC 61992-1:2006
WITH AMENDMENT 1:2014
ỨNG DỤNG ĐƯỜNG SẮT - LẮP ĐẶT CỐ ĐỊNH - THIẾT BỊ ĐÓNG CẮT ĐIỆN MỘT CHIỀU - PHẦN 1: YÊU CẦU CHUNG
Railway applications - Fixed installations - DC switchgear - Part 1: General
Lời nói đầu
TCVN 13936-1:2024 hoàn toàn tương đương với tiêu chuẩn IEC 61992-1: 2006 with Amendment 1:2014.
TCVN 13936-1:2024 do Viện Khoa học & Công nghệ Giao thông vận tải biên soạn, Bộ Giao thông vận tải đề nghị, Tổng cục Tiêu chuẩn - Đo lường - Chất lượng thẩm định, Bộ Khoa học và Công nghệ công bố.
Bộ tiêu chuẩn TCVN 13936 (IEC 61992), ứng dụng đường sắt - Lắp đặt cố định - Thiết bị đóng cắt điện một chiều, bao gồm các tiêu chuẩn sau:
- TCVN 13936-1:2024 (IEC 61992-1:2006 with Amendment 1:2014), Ứng - dụng đường sắt - Lắp đặt cố định - Thiết bị đóng cắt điện một chiều - Phần 1: Yêu cầu chung;
- TCVN 13936-2:2024 (IEC 61992-2:2006 with Amendment 1:2014), Ứng - dụng đường sắt - Lắp đặt cố định - Thiết bị đóng cắt điện một chiều - Phần 2: Máy cắt một chiều;
- TCVN 13936-3:2024 (IEC 61992-3:2006 with Amendment 1:2015), Ứng - dụng đường sắt - Lắp đặt cố định - Thiết bị đóng cắt điện một chiều - Phần 3: Thiết bị chuyển mạch nối đất, thiết bị chuyển mạch-cách ly, thiết bị cách ly một chiều dùng trong nhà;
- TCVN 13936-4:2024 (IEC 61992-4:2006 with Amendment 1:2015), Ứng - dụng đường sắt - Lắp đặt cố định - Thiết bị đóng cắt điện một chiều - Phần 4: Thiết bị chuyển mạch nối đất, thiết bị chuyển mạch-cách ly, thiết bị cách ly một chiều dùng ngoài trời;
- TCVN 13936-6:2024 (IEC 61992-6:2006 with Amendment 1:2015 and Amendment 2:2020), Ứng dụng đường sắt - Lắp đặt cố định - Thiết bị đóng cắt điện một chiều - Phần 6: Cụm thiết bị đóng cắt một chiều;
- IEC 61992-5:2006, Railway applications - Fixed installations - DC switchgear - Part 5: Surge arresters and low-voltage limiters for specific use in d.c. systems (Ứng dụng đường sắt - Lắp đặt cố định - Thiết bị đóng cắt điện một chiều - Phần 5: Thiết bị chống sét lan truyền và thiết bị giới hạn điện áp thấp sử dụng trong hệ thống điện một chiều) - Đã hủy;
- IEC 61992-7-1:2006, Railway applications - Fixed installations - DC switchgear - Part 7-1: Measurement, control and protection devices for specific use in d.c. traction systems - Application guide (Ứng dụng đường sắt - Lắp đặt cố định - Thiết bị đóng cắt điện một chiều - Phần 7-1: Thiết vị đo, điều khiển và bảo vệ chuyên dụng trong hệ thống điện kéo một chiều - Hướng dẫn áp dụng);
- IEC 61992-7-2:2006, Railway applications - Fixed installations - DC switchgear - Part 7-2: Measurement, control and protection devices for specific use in d.c. traction systems - Isolating current transducers and other current measuring devices (Ứng dụng đường sắt - Lắp đặt cố định - Thiết bị đóng cắt điện một chiều - Phần 7-2: Thiết vị đo, điều khiển và bảo vệ chuyên dụng trong hệ thống điện kéo một chiều - Các loại thiết bị biến dòng cách ly và thiết bị đo dòng điện khác);
- IEC 61992-7-3:2006, Railway applications - Fixed installations - DC switchgear - Part 7-3: Measurement, control and protection devices for specific use in d.c. traction systems - Isolating voltage transducers and other voltage measuring devices (Ứng dụng đường sắt - Lắp đặt cố định - Thiết bị đóng cắt điện một chiều - Phần 7-3: Thiết vị đo, điều khiển và bảo vệ chuyên dụng trong hệ thống điện kéo một chiều - Các loại thiết bị biến áp cách ly và thiết bị đo điện áp khác).
ỨNG DỤNG ĐƯỜNG SẮT - LẮP ĐẶT CỐ ĐỊNH - THIẾT BỊ ĐÓNG CẮT ĐIỆN MỘT CHIỀU - PHẦN 1: YÊU CẦU CHUNG
Railway applications - Fixed installations - DC switchgear - Part 1: General
1 Phạm vi áp dụng
Bộ tiêu chuẩn này quy định các yêu cầu đối với thiết bị đóng cắt và thiết bị điều khiển loại sử dụng điện một chiều (sau đây gọi tắt là thiết bị đóng cắt và thiết bị điều khiển một chiều) được thiết kế để sử dụng trong các hệ thống điện được lắp đặt cố định dọc đường ray có điện áp danh nghĩa không quá 3 000 V DC, cung cấp điện cho các phương tiện vận tải công cộng có dẫn hướng, ví dụ phương tiện đường sắt, tàu điện, tàu điện ngầm và xe điện bánh lốp.
Phần 1 quy định các yêu cầu chung.
2 Tài liệu viện dẫn
Các tài liệu viện dẫn dưới đây là cần thiết để áp dụng tiêu chuẩn này. Đối với các tài liệu ghi năm công bố thì áp dụng các bản được nêu. Đối với các tài liệu không ghi năm công bố thì áp dụng phiên bản mới nhất (kể cả các sửa đổi).
IEC 60050-441:1984, International Electrotechnical Vocabulary (IEV) - Chapter 441: Switchgear, controlgear and fuses (Từ vựng kỹ thuật điện quốc tế - Phần 441: Thiết bị đóng cắt, thiết bị điều khiển và cầu chảy)
TCVN 8095-446:2010 (IEC 60050-446:1983), Từ vựng kỹ thuật điện quốc tế - Phần 446: Rơle điện
IEC 60050-605:1983, International Electrotechnical Vocabulary (IEV) - Chapter 605: Generation, transmission and distribution of electricity - Substations (Từ vựng kỹ thuật điện quốc tế - Phần 605: Phát, truyền tải và phân phối điện - Trạm điện kéo)
TCVN 8095-811:2010 (IEC 60050-811:1991), Từ vựng kỹ thuật điện quốc tế - Phần 811: Hệ thống kéo bằng điện
TCVN 6099-1:2007 (IEC 60060-1:1989), Kỹ thuật thử nghiệm điện áp cao - Phần 1: Định nghĩa chung và yêu cầu thử nghiệm
TCVN 8097-1:2010 (IEC 60099-1:1999), Bộ chống sét - Phần 1: Bộ chống sét có khe hở kiểu điện trở phi tuyến dùng cho hệ thống điện xoay chiều
IEC 60099-4:2004, Surge arresters - Part 4: Metal-oxide surge arresters without gaps for a.c. systems (Bộ chống sét lan truyền - Phần 4: Bộ chống sét lan truyền oxide kim loại không có khe hở dùng cho hệ thống điện xoay chiều)
TCVN 5926-1:2007 (IEC 60269-1:2005), Cầu chảy hạ áp - Phần 1: Yêu cầu chung
TCVN 7921 (IEC 60721) (tất cả các phần), Phân loại các điều kiện môi trường
TCVN 11852:2017 (IEC 60850:2014), Ứng dụng đường sắt - Điện áp nguồn của hệ thống sức kéo điện
TCVN 11853:2017 (IEC 60913:2013), Ứng dụng đường sắt - Hệ thống lắp đặt điện cố định - Mạch tiếp xúc trên không dùng cho sức kéo điện
TCVN 6592 (IEC 60947) (tất cả các phần), Thiết bị đóng cắt và điều khiển hạ áp
TCVN 8096-200:2010 (IEC 62271-200:2003), Thiết bị đóng cắt và điều khiển cao áp - Phần 200: Thiết bị đóng cắt và điều khiển xoay chiều có vỏ bằng kim loại dùng cho điện áp danh nghĩa lớn hơn 1 kV đến và bằng 52 kV
EN 50124-1:2001, Railway applications - Insulation coordination - Part 1: Basic requirements - Clearances and creepage distances for electrical and electronic equipment (Ứng dụng đường sắt - Phối hợp cách điện - Phần 1: Các yêu cầu cơ bản - Khe hở không khí và chiều dài đường rò đối với thiết bị điện, điện tử)
3 Thuật ngữ và định nghĩa
Trong tiêu chuẩn này, sử dụng các thuật ngữ và định nghĩa được quy định trong tiêu chuẩn IEC 60050- 441, TCVN 8095-446, IEC 60050-605, TCVN 8095-811, TCVN 8097-1, IEC 60099-4, TCVN 6592, TCVN 8096-200, EN 50124-1 và các thuật ngữ, định nghĩa sau:
3.1 Thuật ngữ chung
3.1.1
Thiết bị đóng cắt (switchgear)
Thuật ngữ chung dùng để chỉ các thiết bị chuyển mạch và sự kết hợp của các thiết bị chuyển mạch với các thiết bị điều khiển, thiết bị bảo vệ, thiết bị đo lường và thiết bị điều khiển có liên quan; thiết bị đóng cắt cũng có thể bao gồm cả các cụm cơ cấu của thiết bị đó và trang bị kết hợp với các thiết bị kết nối, phụ kiện đi kèm, vỏ và các kết cấu đỡ.
Chú thích: Để đơn giản hóa, trong tiêu chuẩn này thuật ngữ “thiết bị đóng cắt” có nghĩa là “thiết bị đóng cắt và thiết bị điều khiển”.
3.1.2
Cụm thiết bị đóng cắt và thiết bị điều khiển một chiều (d.c. switchgear and controlgear assembly)
Tổ hợp của một hoặc nhiều thiết bị chuyển mạch một chiều kết hợp với thiết bị điều khiển, thiết bị bảo vệ, thiết bị tín hiệu, thiết bị đo lường, thiết bị điều khiển, ... có liên quan được đơn vị cung cấp chịu trách nhiệm lắp ráp hoàn chỉnh, với đầy đủ tất cả các thiết bị kết nối về cơ, điện và các chi tiết về kết cấu bên trong.
Chú thích 1: Trong bộ tiêu chuẩn này, từ viết tắt “cụm thiết bị đóng cắt” được sử dụng đối với cụm thiết bị đóng cắt và thiết bị điều khiển một chiều.
Chú thích 2: Các tổng thành của cụm thiết bị đóng cắt có thể là các tổng thành cơ điện hoặc điện tử.
Chú thích 3: Vỏ, nhưng không phải là loại vỏ tích hợp, khi bọc thiết bị chuyển mạch và một số thiết bị điều khiển đi kèm có thể được xem là thuộc cụm thiết bị đóng cắt.
3.1.3
Thiết bị chuyển mạch (switching device)
Thiết bị được thiết kế để đóng hoặc cắt dòng điện trong một hoặc nhiều mạch điện.
[IEV 441-14-01].
3.1.4
Máy cắt một chiều (d.c. circuit-breaker)
Thiết bị chuyển mạch, có khả năng đóng, mang và cắt dòng điện trong các điều kiện mạch điện bình thường và cũng có thể đóng, mang dòng điện trong một khoảng thời gian xác định và cắt dòng điện trong các điều kiện mạch điện không bình thường theo quy định, ví dụ như ngắn mạch.
3.1.5
Thiết bị cách ly một chiều (d.c. disconnector)
Thiết bị chuyển mạch cơ khí, khi ở vị trí cắt sẽ tạo ra một khoảng cách ly phù hợp với các yêu cầu quy định vì các lý do an toàn.
Chú thích 1: Thiết bị cách ly có thể cắt và đóng mạch điện khi dòng điện một chiều rất nhỏ được tạo ra hoặc bị triệt tiêu, hoặc khi không có sự thay đổi đáng kể nào về điện áp trên các đầu cực của thiết bị cách ly. Thiết bị cách ly cũng có khả năng mang dòng điện một chiều trong các điều kiện mạch điện bình thường và mang dòng điện trong một khoảng thời gian xác định trong các điều kiện không bình thường như ngắn mạch.
Chú thích 2: Thiết bị cách ly không phù hợp để đóng hoặc cắt dòng điện có phụ tải, dòng điện sự cố hoặc dòng điện khác phát sinh do tác động của tia sét hoặc hiện tượng thoáng qua.
Chú thích 3: Thiết bị cách ly chỉ có thể đóng hoặc cắt dòng điện có cường độ rất nhỏ, chẳng hạn như dòng điện phát sinh từ quá trình nạp hoặc phóng tĩnh điện qua thiết bị cách điện chưa bị hư hỏng. Khả năng đóng hoặc cắt các dòng điện nhỏ nhất do các điều kiện biên ngẫu nhiên thoáng qua của mạng lưới điện tùy thuộc vào thỏa thuận giữa khách hàng và đơn vị cung cấp.
3.1.6
Thiết bị chuyển mạch - cách ly (switch-disconnector)
Thiết bị chuyển mạch cơ khí có khả năng đóng, mang và cắt dòng điện trong các điều kiện mạch điện bình thường và trong các điều kiện làm việc quá tải nhất định (nếu có quy định). Ngoài ra, thiết bị chuyển mạch - cách ly có thể mang dòng điện trong một khoảng thời gian nhất định trong các điều kiện mạch điện bất thường theo quy định, chẳng hạn như điều kiện ngắn mạch. Ngoài ra, thiết bị chuyển mạch - cách ly còn phải tuân thủ theo các yêu cầu đối với thiết bị cách ly (xem 3.1.5).
Chú thích 1: Khi được quy định, một thiết bị chuyển mạch - cách ly có thể được thiết kế để đóng các dòng điện ngắn mạch, nhưng không có khả năng cắt dòng điện ngắn mạch.
Chú thích 2: Trong các điều kiện đặc biệt nhất định, các thiết bị chuyển mạch - cách ly ngoài trời có thể được yêu cầu để cắt các dòng điện quá tải có biên độ xác định.
3.1.7
Thiết bị chuyển mạch nối đất (earthing switch)
Thiết bị chuyển mạch cơ khí dùng cho các chi tiết nối đất của mạch điện, có khả năng chịu được các dòng điện trong một khoảng thời gian nhất định trong các điều kiện bất thường như ngắn mạch, nhưng không bắt buộc phải mang dòng điện trong các điều kiện bình thường của mạch điện.
Chú thích: Thiết bị chuyển mạch nối đất có thể có khả năng đóng dòng điện ngắn mạch (xem 3.2.23).
[IEV 441-14-11].
3.1.8
Thiết bị giới hạn điện áp thấp (low-voltage limiter)
Thiết bị này được thiết kế mắc song song trong các thiết bị chuyển mạch của hệ thống điện kéo tại những vị trí mà hiện tượng quá áp có thể xảy ra và cần có chức năng giới hạn giá trị điện áp đến các giá trị định trước.
3.1.9
Cảm biến dòng điện một chiều (d.c. sensor)
Thiết bị này được sử dụng để phát hiện dòng điện hoặc điện áp trong mạch điện chính một chiều, thiết bị này sẽ tạo ra một tín hiệu đầu ra, tỷ lệ thuận và tuyến tính (trong một dải) với dòng điện hoặc điện áp phát hiện.
3.1.10
Điện trở shunt (d.c. shunt)
Thiết bị này được kết nối trong mạch điện sơ cấp, thường bao gồm các lưới kim loại, cung cấp đầu ra milivôn tỷ lệ thuận với với dòng điện trong mạch điện sơ cấp.
3.1.11
Bộ chuyển đổi cách ly (isolating transducer)
Thiết bị này được lắp đặt giữa đầu ra của cảm biến trong mạch điện chính và đầu vào của thiết bị thứ cấp được sử dụng để đo dòng điện hoặc điện áp mà cảm biến phát hiện hoặc làm thiết bị bảo vệ và được sử dụng để cung cấp dữ liệu đầu ra đã được cách ly với mạch điện chính và thường là ở điện áp thấp hơn.
3.1.12
Cảm biến hiệu ứng Hall (Hall effect sensor)
Loại cảm biến này được lắp đặt xung quanh cuộn dây dẫn mang điện của mạch điện chính và sử dụng một hoặc nhiều tế bào hiệu ứng Hall được đặt trong từ trường của lõi sắt và được cung cấp điện bởi dòng điện trong cuộn dây dẫn chính.
3.1.13
Bộ chia điện áp (divider)
Dàn điện trở kết nối với nguồn cáp điện chính trong đó có một điện trở nối đất được sử dụng làm đầu ra, tạo ra điện áp tỷ lệ thuận với nguồn cấp điện chính. Đầu ra này được kết nối trực tiếp hoặc gián tiếp thông qua bộ chuyển đổi cách ly đến các đầu cực điện áp của thiết bị thứ cấp.
3.1.14
Thao tác (operation)
Sự di chuyển các tiếp điểm động từ vị trí này đến ví trí khác liền kề, ví dụ từ vị trí cắt sang vị trí đóng hoặc từ vị trí cắt sang vị trí nối đất.
Chú thích 1: Thao tác có thể là một thao tác đóng hoặc một thao tác cắt.
Chú thích 2: Nếu cần làm rõ, nên sử dụng các thuật ngữ “thao tác điện’’ (ví dụ thao tác đóng và cắt) và “thao tác cơ khí" (ví dụ thao tác đóng và cắt).
Chú thích 3: Vị trí của thiết bị đóng cắt nếu đảm bảo tính liên tục của mạch điện chính được quy định là vị trí “đóng”.
Chú thích 4: Vị trí của thiết bị đóng cắt nếu đảm bảo khoảng cách quy định giữa các tiếp điểm của thiết bị đóng cắt được quy định là vị trí “cắt”.
3.1.15
Chu kỳ làm việc của một thiết bị chuyển mạch cơ khí (operating cycle (of a mechanical switching device))
Sự nối tiếp các thao tác từ vị trí này đến vị trí khác và trở về vị trí ban đầu qua tất cả các vị trí còn lại, nếu có.
[IEV 441-16-02].
3.1.16
Thao tác bằng tay phụ thuộc (của thiết bị chuyển mạch cơ khí) (dependent manual operation (of a mechanical switching device))
Thao tác hoàn toàn chỉ dựa vào sức tay tác động trực tiếp, do vậy tốc độ và lực thao tác phụ thuộc vào hành động của người thao tác.
[IEV 441-16-13].
3.1.17
Thao tác bằng năng lượng dự trữ (của thiết bị chuyển mạch cơ khí) (stored energy operation (of a mechanical switching device))
Thao tác nhờ vào năng lượng được dự trữ trong bản thân của cơ cấu truyền động từ trước khi hoàn thành thao tác đó và đủ để hoàn thành thao tác đó trong các điều kiện định trước.
Chú thích: Loại thao tác này có thể được chia nhỏ theo
a) Chế độ lưu trữ năng lượng (lò xo, trọng lượng, ...);
b) Nguồn gốc của năng lượng (thủ công, điện, ...);
c) Chế độ giải phóng năng lượng (thủ công, điện, ...).
[IEV 441-16-15].
3.1.18
Thao tác bằng tay độc lập (của thiết bị chuyển mạch cơ khí) (independent manual operation (of a mechanical switching device))
Thao tác bằng cách sử dụng năng lượng dự trữ, năng lượng này được tạo ra từ sức tay của con người, được tích trữ và giải phóng trong một thao tác liên tục, do đó tốc độ và lực thao tác độc lập với hành động của người thao tác.
[IEV 441-16-16].
3.1.19
Thao tác bằng năng lượng độc lập (independent power operation)
Thao tác bằng cách sử dụng năng lượng dự trữ, năng lượng này được tạo ra từ nguồn năng lượng bên ngoài và được giải phóng trong một thao tác liên tục, do đó tốc độ và lực thao tác độc lập với hành động của người thao tác.
3.1.20
Thiết bị chuyển mạch có liên khóa phòng ngừa các thao tác cắt và / hoặc đóng (switching device with interlock preventing opening and/or closing operations)
Thiết bị chuyển mạch trong đó thao tác (đóng và / hoặc cắt) được phòng ngừa bằng các biện pháp liên khỏa tương ứng với các điều kiện hệ thống cho trước.
3.1.21
Loại sử dụng (đối với thiết bị chuyển mạch) (utilisation category (of a switching device))
Sự kết hợp các yêu cầu quy định, liên quan đến điều kiện mà thiết bị chuyển mạch đáp ứng mục đích của nó, được chọn để đại diện cho một nhóm đặc tính ứng dụng thực tế.
[IEV 441-17-19].
Chú thích: Các yêu cầu cụ thể có thể liên quan đến, ví dụ: các giá trị về công suất đóng (nếu có), công suất cắt và các đặc tính khác, các mạch điện và các điều kiện liên quan về việc sử dụng và tác động. Thuật ngữ “nhiệm vụ” được sử dụng ở bất kỳ chỗ nào trong tiêu chuẩn này tương ứng với một lĩnh vực cụ thể của loại sử dụng.
3.1.22
Thiết bị chuyển mạch một chiều (unidirectional switching device)
Thiết bị chuyển mạch (ví dụ máy cắt), mục đích là cắt dòng điện một chiều chạy theo hướng quy định qua thiết bị đó và tương ứng là nhận diện được dòng điện đó.
3.1.23
Thiết bị chuyển mạch hai chiều (bidirectional switching device)
Thiết bị chuyển mạch (ví dụ máy cắt), mục đích là cắt dòng điện một chiều chạy theo một trong hai hướng qua thiết bị đó và tương ứng là nhận diện được dòng điện đó.
Chú thích: Bằng chứng về khả năng cắt hai chiều phải có trong các thử nghiệm kiểu loại về chức năng cắt.
3.2 Các đặc tính về hoạt động
3.2.1
Điện áp (Voltages)
3.2.1.1
Điện áp danh nghĩa (nominal voltage)
Un
Điện áp được chỉ định của một hệ thống/thiết bị hoặc một chi tiết của hệ thống/thiết bị được lắp đặt cố định.
3.2.1.2
Các giá trị giới hạn của điện áp hệ thống (Limits of system voltages)
3.2.1.2.1
Điện áp hệ thống lớn nhất (highest system voltage)
Umax
Giá trị lớn nhất quy định đối với điện áp trong các điều kiện làm việc liên tục Umax1 được quy định trong tiêu chuẩn TCVN 11852.
3.2.1.2.2
Điện áp hệ thống nhỏ nhất (lowest system voltage)
Umin
Giá trị nhỏ nhất quy định đối với điện áp trong các điều kiện làm việc liên tục Umin1 được quy định trong tiêu chuẩn TCVN 11852.
3.2.1.3
Điện áp cách điện danh định (rated insulation voltage)
UNm
Giá trị điện áp một chiều lớn nhất mà thiết bị được thiết kế liên quan đến độ cách điện của thiết bị đó.
3.2.1.4
Điện áp danh định (rated voltage)
UNe
Giá trị điện áp được quy định bởi nhà sản xuất, kết hợp với dòng điện làm việc danh định để tính toán xác định việc sử dụng (tiện ích của) thiết bị và liên quan đến các thử nghiệm và loại sử dụng (phân loại tiện ích) tương ứng, nếu có.
Chú thích: Điện áp danh định có thể khác điện áp danh nghĩa nhưng phải nằm trong dải dung sai cho phép.
3.2.1.5
Điện áp cấp điện danh định của thiết bị phụ và thiết bị điều khiển (rated auxiliary and control supply voltage)
Điện áp đo được tại các đầu cực của thiết bị đo trong quá trình thiết bị làm việc, nếu cần thiết, bao gồm các điện trở phụ hoặc các phụ kiện đi kèm do nhà sản xuất cung cấp hoặc yêu cầu được lắp đặt nối tiếp với thiết bị, nhưng không bao gồm các dây dẫn đến nguồn cấp điện.
3.2.1.6
Điện áp của các thiết bị chống sét lan truyền và các thiết bị giới hạn điện áp thấp (Voltages of surge arresters and low voltage limiters)
3.2.1.6.1
Điện áp danh định của thiết bị chống sét có khe hở (rated voltage of a gapped arrester)
Ur
Giá trị điện áp một chiều lớn nhất giữa các đầu cực mà thiết bị chống sét lan truyền được thiết kế để chịu được liên tục.
3.2.1.6.2
Điện áp danh định của thiết bị chống sét không có khe hở (rated voltage of a gapless arrester)
Ur
Giá trị điện áp một chiều lớn nhất giữa các đầu cực mà thiết bị chống sét lan truyền được thiết kế để làm việc chính xác trong các điều kiện quá áp tạm thời như được thiết lập trong các thử nghiệm làm việc (xem 4.7.5 của tiêu chuẩn IEC 61992-5). Điện áp danh định được sử dụng làm thông số tham chiếu cho chỉ dẫn kỹ thuật của các đặc tính làm việc.
3.2.1.6.3
Điện áp danh định của thiết bị giới hạn điện áp thấp (rated voltage of a low-voltage limiter)
Ur
Giá trị điện áp một chiều lớn nhất giữa các đầu cực mà thiết bị giới hạn điện áp thấp được thiết kế để chịu được liên tục.
3.2.1.6.4
Điện áp làm việc liên tục lớn nhất của thiết bị chống sét không có khe hở (maximum continuous operating voltage of a gapless arrester)
Uc
Điện áp tương ứng với điện áp Umax được xác định trong 3.2.12.1.
3.2.1.6.5
Cấp điện áp bảo vệ của thiết bị chống sét có khe hở (protective voltage level of a gapped arrester)
Up
Giá trị đỉnh, do đơn vị cung cấp công bố, lớn hơn giá trị lớn nhất trong ba giá trị điện áp giữa các đầu cực của thiết bị chống sét lan truyền: điện áp dư tại giá trị In, điện áp phóng điện xung sét tiêu chuẩn lớn nhất, điện áp phóng điện sườn trước xung sét lớn nhất, thành phần thứ 3 chia cho 1,15.
3.2.1.6.6
Cấp điện áp bảo vệ của thiết bị chống sét không có khe hở (protective voltage level for gapless arrester)
Up
Cấp bảo vệ xung sét của thiết bị chống sét bao gồm điện áp dư lớn nhất đối với dòng điện phóng danh nghĩa In.
3.2.1.6.7
Điện áp chịu được lớn nhất của thiết bị giới hạn điện áp thấp (maximum withstand voltage of a low- voltage limiter)
Uw
Giá trị điện áp đỉnh lớn nhất giữa các đầu cực mà dòng điện trong thiết bị giới hạn điện áp bằng 0 hoặc bị giới hạn ở các giá trị quy định (dòng điện rò).
3.2.1.6.8
Điện áp phóng điện lớn nhất của thiết bị giới hạn điện áp thấp (maximum sparkover voltage of a low-voltage limiter)
Us
Giá trị điện áp lớn nhất giữa các đầu cực mà thiết bị giới hạn điện áp có khe hở được thiết kế để tạo kết nối giữa các đầu cực nhằm hạn chế sự chênh lệch điện thế giữa các cực giống nhau đến một giá trị an toàn.
3.2.1.7
Điện áp xung danh định chịu được (rated impulse withstand voltage)
UNi
Giá trị đỉnh của điện áp xung có hình dạng và cực tính quy định mà thiết bị có thể chịu được mà không bị hỏng trong các điều kiện thử nghiệm quy định.
3.2.1.8
Cấp chịu điện áp tần số công nghiệp (khô và ướt) (power-frequency voltage withstand level (dry and wet))
Ua
Mức điện áp thử nghiệm ở tần số công nghiệp mà thiết bị có thể chịu được để chứng minh tính toàn vẹn về cách điện của thiết bị trong các điều kiện làm việc.
3.2.1.9
Điện áp phục hồi (recovery voltage)
Điện áp xuất hiện giữa các đầu cực của một thiết bị chuyển mạch sau khi cắt dòng điện.
[IEV 441-17-25].
3.2.1.10
Điện áp phóng hồ quang lớn nhất (maximum arc voltage)
Ûarc
Điện áp lớn nhất xuất hiện trên thiết bị chuyển mạch trong quá trình phóng hồ quang điện.
3.2.2
Dòng điện kỳ vọng (prospective current)
Dòng điện chạy trong mạch điện nếu thiết bị chuyển mạch được thay bằng dây dẫn có trở kháng rất nhỏ.
[IEV 441-17-01].
Chú thích: Dòng điện kỳ vọng có thể được định lượng giống như dòng điện thực: dòng điện cắt kỳ vọng, giá trị đỉnh của dòng điện kỳ vọng, ...
3.2.3
Dòng điện trong thử nghiệm độ tăng nhiệt của thiết bị không có vỏ trong môi trường tự nhiên (conventional free-air thermal current)
Ith
Dòng điện có thể được sử dụng trong thử nghiệm độ tăng nhiệt của thiết bị không có vỏ trong môi trường tự nhiên (xem chú thích 1 và 2). Giá trị này bằng hoặc lớn hơn giá trị lớn nhất của dòng điện làm việc danh định INe của thiết bị.
Chú thích 1: Môi trường tự nhiên là môi trường không khí trong nhà tồn tại ở các điều kiện bình thường, có bụi và bức xạ nhiệt bên ngoài ở mức hợp lý.
Chú thích 2: Thiết bị không có vỏ trong môi trường tự nhiên là thiết bị do nhà sản xuất cung cấp, là loại không có vỏ (xem 3.3.16) hoặc là loại có vỏ tích hợp (xem 3.3.17).
3.2.4
Dòng điện trong thử nghiệm độ tăng nhiệt của thiết bị có vỏ (conventional enclosed thermal current)
Ithe
Dòng điện này do nhà sản xuất công bố có thể được sử dụng cho các thử nghiệm độ tăng nhiệt của thiết bị có vỏ theo quy định.
Giá trị dòng điện trong thử nghiệm độ tăng nhiệt của thiết bị có vỏ bằng hoặc lớn hơn giá trị dòng điện làm việc danh định lớn nhất INe của thiết bị có vỏ.
3.2.5
Dòng điện làm việc danh định (rated service current)
INe
Giá trị dòng điện do nhà sản xuất công bố có tính đến điện áp danh định (xem 3.2.1.4), chế độ làm việc liên tục, loại sử dụng (xem 3.1.21) và kiểu loại vỏ bảo vệ, nếu có.
Chú thích 1: Bất kỳ dòng điện nào vượt quá giá trị INe đều ở trạng thái quá tải.
Chú thích 2: Nếu khách hàng quy định chu kỳ tải, thì phải xác định dòng điện ở trạng thái ổn định trước và sau chu kỳ tải. Nếu tăng nhiệt do chu kỳ tải vượt quá các giới hạn độ tăng nhiệt, thì cần sử dụng dòng điện làm việc danh định cao hơn.
3.2.6
Dòng điện của các thiết bị chống sét lan truyền và các thiết bị giới hạn điện áp thấp (Currents of surge arresters and low voltage limiters)
3.2.6.1
Dòng điện phóng danh nghĩa của thiết bị chống sét có khe hở (nominal discharge current of a gapped arrester)
In
Giá trị đỉnh của dòng điện phóng, có dạng sóng 8/20, được sử dụng để phân loại thiết bị chống sét. Nó cũng là dòng điện phóng được sử dụng để kích hoạt dòng điện chạy qua trong thử nghiệm chu trình làm việc.
3.2.6.2
Dòng điện phóng danh nghĩa của thiết bị chống sét không có khe hở (nominal discharge current of a gapless arrester)
In
Giá trị đỉnh của dòng điện xung sét (xem tiêu chuẩn IEC 60099-4) được sử dụng để phân loại thiết bị chống sét.
3.2.6.3
Dòng điện chịu được lâu dài của thiết bị giới hạn điện áp thấp (long term withstand current of a low- voltage limiter)
lw
Dòng điện mà thiết bị giới hạn điện áp thấp có thể chịu được trong 1 800 s ở các điều kiện quy định.
3.2.6.4
Dòng điện rò của thiết bị giới hạn điện áp thấp (leakage current of a low-voltage limiter)
Dòng điện chạy giữa các đầu cực của thiết bị giới hạn điện áp thấp khi cấp một giá trị điện áp U trong các điều kiện làm việc danh nghĩa.
3.2.7
Dòng điện danh định chịu được trong thời gian ngắn (rated short-time withstand current)
Incw
Dòng điện mà một mạch điện hoặc một thiết bị đóng cắt ở vị trí đóng có thể mang trong một khoảng thời gian ngắn xác định trong các điều kiện sử dụng và làm việc quy định.
3.2.8
Dòng điện sự cố nối đất danh định (của cụm thiết bị đóng cắt) (rated earth fault current (of a switchgear assembly))
INcwe
Dòng điện lớn nhất chịu được trong thời gian ngắn có thể được mang trong mạch điện nối đất.
3.2.9
Dòng điện ngắn mạch (short-circuit current)
Iss
Dòng điện kỳ vọng được duy trì khi ngắn mạch do sự cố hoặc kết nối sai trong mạch điện.
3.2.10
Dòng điện ngắn mạch danh định (rated short-circuit current)
INss
Giá trị dòng điện ngắn mạch lớn nhất kỳ vọng được duy trì mà thiết bị sẽ mang.
3.2.11
Giá trị đỉnh của dòng điện ngắn mạch (peak of the short-circuit current)
Îss
Giá trị đỉnh kỳ vọng của dòng điện ngắn mạch trong các điều kiện thoáng qua.
3.2.12
Dòng điện ngưỡng (cut-off current)
Giá trị dòng điện tức thời lớn nhất đạt được trong khoảng thời gian thao tác cắt một thiết bị đóng cắt.
[IEV 441-17-12].
3.2.13
Hằng số thời gian của mạch điện (circuit time constant)
tc
Là tỉ số giữa cảm kháng và trở kháng của mạch điện.
3.2.14
Hằng số thời gian của đường (của tuyến) (track time constant (of a line))
Tc
Hằng số thời gian của chính đường ray cộng với tất cả các chi tiết ở phía bên phụ tải của thiết bị chuyển mạch, bao gồm đường dây tiếp xúc (đường dây tiếp xúc trên cao hoặc ray thứ ba), mạch điện hồi lưu và mọi liên kết trở kháng tần số thấp hoặc tần số cao.
3.2.15
Hằng số thời gian danh định của đường (của thiết bị chuyển mạch) (rated track time constant (of a switching device))
TNc
Giá trị quy ước được chỉ định cho thiết bị chuyển mạch mô tả khả năng cắt các dòng điện ngắn mạch của thiết bị chuyển mạch trong các điều kiện quy định.
3.2.16
Hằng số thời gian của nguồn cấp (source time constant)
Ts
Hằng số thời gian của nguồn điện một chiều ở phía bên nguồn cấp điện của thiết bị chuyển mạch, bao gồm mạng lưới cấp điện xoay chiều, thiết bị chỉnh lưu, các cuộn san dòng, các thiết bị kết nối điện một chiều trong trạm điện kéo và các thiết bị kết nối với thiết bị cấp điện, mạch điện hồi lưu giữa trạm điện kéo và đường ray.
3.2.17
Dòng điện cắt (breaking current)
Dòng điện của thiết bị chuyển mạch ở thời điểm bắt đầu tách tiếp điểm trong quá trình cắt.
3.2.18
Khả năng cắt (breaking capacity)
Giá trị dòng điện cắt kỳ vọng mà một thiết bị chuyển mạch có khả năng cắt ở điện áp quy định trong các điều kiện sử dụng và làm việc quy định.
[IEV 441-17-08].
3.2.19
Khả năng cắt ngắn mạch danh định (rated short-circuit breaking capacity)
Khả năng cắt trong các điều kiện quy định kể cả ngắn mạch tại các đầu cực của thiết bị chuyển mạch.
3.2.20
Dòng điện tới hạn (critical current)
IC
Giá trị dòng điện cắt, nhỏ hơn giá trị dòng điện cắt ngắn mạch danh định, tại đó thời gian phóng hồ quang là lớn nhất kéo dài hơn rất nhiều so với dòng điện cắt ngắn mạch danh định.
Chú thích: Dòng điện tới hạn có thể là một dòng điện hoặc một loạt các dòng điện tạo ra hiệu ứng này. Xem Phụ lục C.
3.2.21
Dòng ngắn mạch lớn nhất ImaxE (maximum circuit-energy short circuit)
Khi xảy ra ngắn mạch sẽ tạo ra giá trị dòng ngắn mạch lớn nhất, ngắn mạch thường xảy ra trên một đoạn ngắn dọc theo tuyến đường từ trạm điện kéo.
3.2.22
Khả năng đóng (making capacity)
Giá trị dòng điện đóng kỳ vọng mà thiết bị chuyển mạch có khả năng đóng tại điện áp quy định trong các điều kiện sử dụng và làm việc quy định.
[IEV 441-17-09].
3.2.23
Khả năng đóng ngắn mạch danh định (rated short-circuit making capacity)
Khả năng đóng trong các điều kiện quy định kể cả ngắn mạch tại các đầu cực phía phụ tải của thiết bị chuyển mạch.
3.2.24
Ngắn mạch sự cố ở xa thiết bị đóng cắt (distant fault short-circuit)
Sự cố gián đoạn, ngắn mạch xảy ra ở vị trí cách xa thiết bị chuyển mạch.
3.2.25
Phóng điện đánh thủng (disruptive discharge)
Hiện tượng liên quan đến hư hỏng về cách điện, dưới tác dụng của ứng suất điện, trong đó việc phóng điện đã nối tắt hoàn toàn thiết bị cách điện đang thử nghiệm, làm giảm điện áp giữa các điện cực gần như về không hoặc gần bằng không.
Chú thích 1: Thuật ngữ này áp dụng cho phóng điện trong các chất điện môi rắn, lỏng, khí và sự kết hợp của các chất điện môi trên.
Chú thích 2: Phóng điện đánh thủng trong các chất điện môi rắn làm mất hẳn độ bền cách điện (cách điện không tự phục hồi).
Chú thích 3: Thuật ngữ “phóng điện tia lửa” được dùng khi phóng điện đánh thủng xuất hiện trong môi trường chất lỏng hoặc chất khí.
Chú thích 4: Thuật ngữ “phóng điện bề mặt” được dùng khi phóng điện đánh thủng xảy ra trên bề mặt của chất điện môi rắn trong môi chất lỏng hoặc chất khí.
Chú thích 5: Thuật ngữ “phóng điện xuyên thủng" được dùng khi phóng điện đánh thủng xảy ra xuyên qua chất điện môi rắn.
3.2.26
Nhiệt độ không khí xung quanh (của thiết bị đóng cắt) (ambient air temperature (of a switchgear))
Nhiệt độ, được tính toán xác định trong các điều kiện quy định của không khí xung quanh vỏ hoặc thiết bị đóng cắt.
3.2.27
Tốc độ tăng ban đầu (initial rate of rise)
Tốc độ tăng khi bắt đầu có dòng điện.
3.3 Các tổng thành
3.3.1
Tổng thành (component)
Các chi tiết quan trọng của thiết bị đóng cắt phục vụ cho một chức năng cụ thể (ví dụ, máy cắt, thiết bị cách ly, cầu dao, cầu chì, điện trở shunt, thiết bị biến dòng và biến áp, sứ cách điện, thanh cái, ...)
3.3.2
Chi tiết dẫn điện (conductive part)
Chi tiết có khả năng dẫn dòng điện nhưng không nhất thiết được sử dụng để mang dòng điện làm việc.
[IEV 441-11-09].
3.3.3
Chi tiết dẫn điện trần (exposed conductive part)
Chi tiết dẫn điện có thể dễ dàng chạm vào và bình thường chi tiết này không mang điện nhưng nó có thể trở thành chi tiết mang điện trong các điều kiện sự cố.
[IEV 441-11-10].
Chú thích 1: Chi tiết dẫn điện của thiết bị điện chỉ có thể mang điện trong các điều kiện sự cố thông qua chi tiết dẫn điện trần không được xem là một chi tiết dẫn điện trần.
Chú thích 2: Các chi tiết dẫn điện trần điển hình là tường bao, ...
3.3.4
Chi tiết mang điện (live part)
Dây dẫn hoặc chi tiết dẫn điện được thiết kế để mang điện trong quá trình sử dụng bình thường, bao gồm dây dẫn hồi lưu nếu có.
Chú thích: Mạch điện hồi lưu của thiết bị đóng cắt có thể được xem như là chi tiết mang điện hoặc chi tiết nối đất. Khách hàng nên quy định rõ điện áp cách điện danh định của mạch điện hồi lưu.
3.3.5
Khe hở không khí (clearance)
Khoảng cách không khí giữa hai chi tiết dẫn điện, dọc theo một sợi dây được căng theo đường ngắn nhất giữa các chi tiết dẫn điện này.
3.3.6
Khe hở không khí với điểm nối đất (clearance to earth)
Khe hở không khí giữa các chi tiết dẫn điện bất kỳ và các chi tiết bất kỳ được nối đất hoặc dự định nối đất.
3.3.7
Khe hở không khí giữa các tiếp điểm chính (Clearances between the main contacts)
3.3.7.1
Khe hở không khí giữa các tiếp điểm đang cắt (clearance between open contacts)
Tổng khe hở không khí giữa các tiếp điểm hoặc các chi tiết dẫn điện bất kỳ được kết nối với các tiếp điểm, của một cực của thiết bị chuyển mạch cơ khí ở vị trí cắt.
3.3.7.2
Khoảng cách cách ly (isolating distance)
Khe hở không khí giữa các tiếp điểm đang cắt thỏa mãn các yêu cầu an toàn được quy định đối với thiết bị cách ly.
3.3.8
Chiều dài đường rò (creepage distance)
Khoảng cách ngắn nhất đo theo bề mặt của vật liệu cách điện giữa hai chi tiết dẫn điện.
Chú thích: Mối ghép giữa hai phần của vật liệu cách điện được xem là một phần của bề mặt.
3.3.9
Các mạch điện ở điện áp nguồn cấp điện chính (Circuits at main supply voltage)
3.3.9.1
Mạch điện chính (của thiết bị chuyển mạch) (main Circuit (of a switching device))
Mọi chi tiết dẫn điện của thiết bị chuyển mạch nằm trong mạch điện nảy được thiết kế để đóng hoặc cắt.
3.3.9.2
Mạch điện chính (của cụm thiết bị đóng cắt) (main Circuit (of a switchgear assembly))
Mọi chi tiết dẫn điện của cụm thiết bị đóng cắt nằm trong dải điện áp nguồn chính, mang dòng điện, trừ các thanh cái.
3.3.9.3
Thanh cái (của cụm thiết bị đóng cắt) (busbars (of a switchgear assembly))
Các chi tiết dẫn điện của cụm thiết bị đóng cắt, nằm trong dải điện áp nguồn chính, được dùng để phân phối dòng điện cho một hoặc nhiều khối chức năng.
3.3.10
Tiếp điểm của mạch điện chính (Main circuit contacts)
3.3.10.1
Tiếp điểm chính của thiết bị chuyển mạch cơ khí (main contact of a mechanical switching device)
Tiếp điểm trong mạch điện chính của thiết bị chuyển mạch cơ khí, được thiết kế để mang dòng điện của mạch điện chính khi ở vị trí đóng.
3.3.10.2
Tiếp điểm hồ quang (arcing contact)
Tiếp điểm chịu hồ quang, được thiết kế để hồ quang thiết lập trên đó.
Chú thích: Tiếp điểm hồ quang có thể hoạt động như một tiếp điểm chính. Tiếp điểm hồ quang có thể là tiếp điểm riêng được thiết kế sao cho nó đóng trước và cắt sau tiếp điểm khác để bảo vệ tiếp điểm đó không bị hư hỏng.
3.3.11
Mạch điện điều khiển (của thiết bị chuyển mạch) (control circuit (of a switching device))
Mọi chi tiết dẫn điện của thiết bị chuyển mạch trừ các chi tiết dẫn điện nằm trong mạch điện chính, các chi tiết dẫn điện nằm trong mạch điện dùng để điều khiển và kích hoạt các thao tác đóng hoặc thao tác cắt của thiết bị chuyển mạch.
3.3.12
Mạch điện phụ (của thiết bị chuyển mạch) (auxiliary circuit (of a switching device))
Mọi chi tiết dẫn điện của thiết bị chuyển mạch được thiết kế nằm trong mạch điện không phải là mạch điện chính cũng không phải là mạch điện điều khiển của thiết bị chuyển mạch.
3.3.13
Mạch điện phụ (của cụm thiết bị đóng cắt) (auxiliary circuit (of a switchgear assembly))
Mọi chi tiết dẫn điện của thiết bị đóng cắt nằm trong mạch điện (không phải là mạch điện chính) nhằm mục đích điều khiển, đo, phát tín hiệu và điều chỉnh.
Chú thích: Các mạch điện phụ của thiết bị đóng cắt bao gồm mạch điện điều khiển và mạch điện phụ của thiết bị đóng cắt.
3.3.14
Thiết bị phục vụ vận chuyển (transport unit)
Một chi tiết của thiết bị đóng cắt được sử dụng để phục vụ cho quá trình vận chuyển mà không cần phải tháo dỡ thiết bị đóng cắt.
3.3.15
Khối chức năng (functional unit)
Một chi tiết của thiết bị đóng cắt bao gồm tất cả các tổng thành của các mạch điện chính và các mạch điện phụ góp phần thực hiện một chức năng độc lập.
Chú thích: Các khối chức năng có thể được phân biệt theo chức năng mà chúng được thiết kế, ví dụ thiết bị đầu nguồn, thiết bị cuối nguồn, ...
3.3.16
Vỏ (enclosure)
Chi tiết được sử dụng để bảo vệ thiết bị có cấp bảo vệ quy định để chống lại một số ảnh hưởng từ bên ngoài và có cấp bảo vệ quy định để chống chạm đến hoặc tiếp xúc với các chi tiết mang điện và chống tiếp xúc với các chi tiết chuyển động.
3.3.17
Vỏ không tháo rời được (integral enclosure)
Vỏ là một bộ phận hợp thành của thiết bị.
3.3.18
Ngăn (compartment)
Một chi tiết của thiết bị đóng cắt được bao bọc ngoại trừ các lỗ hở cần thiết để thực hiện công tác kết nối với nhau, điều khiển và/hoặc thông gió.
Chú thích 1: Một ngăn có thể được chỉ định bởi thành phần chính chứa trong đó, ví dụ, ngăn máy cắt, ngăn thanh cái, ...
Chú thích 2: Các lỗ hở cần thiết để kết nối giữa các ngăn được đóng bằng các sứ cách điện hoặc bằng các biện pháp tương đương khác.
Chú thích 3: Các ngăn của thanh cái có thể kéo dài qua một số khối chức năng mà không cần sử dụng sứ cách điện hoặc các biện pháp tương đương khác.
3.3.19
Vách ngăn (partition)
Một chi tiết của thiết bị đóng cắt ngăn cách ngăn này với các ngăn khác.
3.3.20
Màng chắn (shutter)
Một chi tiết của thiết bị đóng cắt có thể di chuyển từ vị trí mà nó là một chi tiết của vỏ hoặc vách ngăn che chắn các chi tiết mang điện đến vị trí mà nó cho phép các tiếp điểm của chi tiết có thể tháo rời đấu vào các chi tiết mang điện.
3.3.21
Sứ cách điện (bushing)
Kết cấu mang một hoặc nhiều dây dẫn thông qua một vỏ cách điện, bao gồm cả các chi tiết đi kèm.
3.3.22
Chi tiết tháo ra được (removable part)
Một chi tiết của thiết bị đóng cắt có thể được tháo hoàn toàn khỏi thiết bị đóng cắt có vỏ bằng kim loại rồi lắp vào, kể cả khi mạch điện chính vẫn mang điện.
3.3.23
Chi tiết kéo ra được (withdrawable part)
Một chi tiết của thiết bị đóng cắt có thể tháo rời và có thể di chuyển đến các vị trí trong đó khoảng cách cách ly hoặc khoảng chia tách giữa các tiếp điểm mở đã được thiết lập, trong khi chi tiết này vẫn liên kết về cơ học với vỏ.
3.3.24
Vị trí làm việc (vị trí đã được kết nối) của chi tiết tháo ra được (service position (connected position) of a removable part)
Vị trí của chi tiết tháo ra được trong đó chi tiết này đã được kết nối hoàn toàn để thực hiện chức năng dự định của nó.
3.3.25
Vị trí thử nghiệm (của chi tiết kéo ra được) (test position (of a withdrawable part))
Vị trí của chi tiết kéo ra được trong đó khoảng cách cách ly hoặc khoảng chia tách vẫn được thiết lập trong mạch điện chính và trong đó các mạch điện điều khiển vẫn được kết nối.
3.3.26
Vị trí ngắt (của chi tiết kéo ra được) (disconnected position (of a withdrawable part))
Vị trí của chi tiết kéo ra được trong đó khoảng cách cách ly hoặc khoảng chia tách được thiết lập trong mạch điện chính của chi tiết tháo ra được, chi tiết này vẫn liên kết về cơ học với vỏ.
Chú thích: Trong thiết bị đóng cắt, các mạch điện phụ có thể không cần phải được ngắt ra.
3.3.27
Vị trí tháo ra (của chi tiết tháo ra được) (removed position (of a removable part))
Vị trí của chi tiết tháo ra được khi chi tiết này đã được nhấc ra bên ngoài và được cách ly về cơ học và điện với vỏ.
3.3.28
Các loại thiết bị đóng cắt (types of switchgear)
3.3.28.1
Thiết bị đóng cắt có vỏ bằng kim loại (metal-enclosed switchgear)
Thiết bị đóng cắt có vỏ bên ngoài bằng kim loại được thiết kế để nối đất và để lắp ráp tổng thể, trừ các mối nối bên ngoài.
Chú thích: Thiết bị đóng cắt có vỏ bằng kim loại được chia thành ba loại:
- Thiết bị đóng cắt bọc kim loại;
- Thiết bị đóng cắt có ngăn (có một hoặc nhiều vách ngăn phi kim loại);
- Tủ đóng cắt.
3.3.28.2
Thiết bị đóng cắt bọc kim loại (metal-clad switchgear)
Thiết bị đóng cắt có vỏ bằng kim loại trong đó các tổng thành được bố trí trong các ngăn riêng biệt có các vách ngăn kim loại được thiết kế để nối đất.
Chú thích 1: Thuật ngữ này áp dụng cho thiết bị đóng cắt có vỏ bằng kim loại có các vách ngăn bằng kim loại tạo ra cấp bảo vệ (hoặc cao hơn) được quy định trong TCVN 13936-6:2024 và có các ngăn riêng biệt ít nhất dành cho các tổng thành sau:
- Từng thiết bị chuyển mạch chính;
- Các tổng thành được kết nối với một bên của thiết bị chuyển mạch chính, ví dụ, mạch cấp điện;
- Các tổng thành được kết nối với bên còn lại của thiết bị chuyển mạch chính, ví dụ, thanh cái; nếu có nhiều hơn một bộ thanh cái thì từng bộ thanh cái phải có một ngăn riêng biệt.
Chú thích 2: Thiết bị đóng cắt có vỏ bằng kim loại có các vách ngăn bằng kim loại và thỏa mãn tất cả các yêu cầu của Chú thích 1 có thể được sử dụng làm màng chắn cách điện như là một chi tiết của bộ màng chắn, sự kết hợp của chúng tạo ra cấp bảo vệ được quy định trong Bảng 1 của TCVN 13936-6:2024 (hoặc cao hơn) và đáp ứng các yêu cầu của tiêu chuẩn này đối với vách ngăn và màng chắn làm bằng vật liệu cách điện.
3.3.28.3
Thiết bị đóng cắt có ngăn (có các vách ngăn phi kim loại) (compartmented switchgear (with non- metallic partitions))
Thiết bị đóng cắt có vỏ bằng kim loại trong đó các tổng thành được bố trí trong các ngăn riêng biệt như đối với thiết bị đóng cắt bọc kim loại, nhưng có một hoặc nhiều vách ngăn phi kim loại để tạo ra cấp bảo vệ (hoặc cao hơn) được quy định trong Bảng 1 của TCVN 13936-6:2024.
Chú thích: Thiết bị đóng cắt có vỏ bằng kim loại trong đó các tổng thành của mạch điện chính được nhúng riêng trong vật liệu cách điện rắn có thể được xem là phương pháp thay thế, miễn là đáp ứng các điều kiện quy định trong tiêu chuẩn IEC 60466.
3.3.28.4
Tủ đóng cắt (cubicle switchgear)
Thiết bị đóng cắt, trừ thiết bị đóng cắt bọc kim loại và thiết bị đóng cắt có ngăn.
Chú thích: Thuật ngữ này áp dụng cho thiết bị đóng cắt có vỏ bằng kim loại và có:
- Số lượng ngăn ít hơn so với yêu cầu đối với thiết bị đóng cắt có ngăn hoặc thiết bị đóng cắt bọc kim loại, hoặc
- Các vách ngăn có cấp bảo vệ thấp hơn mức được quy định trong Bảng 1 của tiêu chuẩn TCVN 13936- 6:2024, hoặc
- Không có vách ngăn.
3.3.29
Cấp bảo vệ (degree of protection)
Cấp bảo vệ bằng vỏ ngoài để bảo vệ con người chống tiếp xúc hoặc tiếp cận đến các chi tiết mang điện, chống tiếp xúc với các chi tiết chuyển động bên trong vỏ và để bảo vệ thiết bị chống lại sự xâm nhập của vật rắn từ bên ngoài (xem tiêu chuẩn TCVN 4255).
3.4 Các thuật ngữ liên quan đến máy cắt, thiết bị chuyển mạch - cách ly và rơle một chiều
3.4.1
Máy cắt không khí một chiều (air d.c. circuit-breaker)
Máy cắt một chiều có các tiếp điểm đóng và cắt trong môi trường không khí ở áp suất khí quyển.
3.4.2
Máy cắt bán dẫn (semiconductor circuit-breaker)
Máy cắt được thiết kế để đóng và/hoặc cắt dòng điện trong một mạch điện nhờ độ dẫn điện có điều khiển của chất bán dẫn.
Chú thích: Có thể có các tiếp điểm cơ liên quan đến các thiết bị bán dẫn này.
3.4.3
Máy cắt đường dây (line circuit-breaker)
L
Máy cắt được sử dụng để đóng hoặc cắt mạch điện đường dây với nguồn cấp điện một chiều. Mạch điện đường dây là mạch truyền tải điện cho các máy điện và thiết bị điện kéo trên phương tiện. Các máy cắt này được trang bị các thiết bị cắt và các thiết bị bảo vệ. Các máy cắt đường dây được sử dụng để cắt đường dây khỏi thanh cái được cấp điện.
Chú thích: Các máy cắt đường dây luôn là máy cắt nhả tự do (xem 3.4.11).
3.4.4
Máy cắt chỉnh lưu (rectifier circuit-breaker)
R
Máy cắt kết nối đầu ra của bộ chỉnh lưu với thanh cái được cấp điện bên trong tủ đóng cắt.
Chú thích 1: Máy cắt chỉnh lưu được trang bị thiết bị ngắt nối tiếp ngược để ngắt kết nối bộ chỉnh lưu khỏi thanh cái một chiều trong trường hợp sự cố bộ chỉnh lưu. Các máy cắt này làm việc một chiều và chúng có giá trị thời gian ngắn theo chiều thuận.
Chú thích 2: Thuật ngữ “thuận” và “nghịch” liên quan đến chiều dòng điện.
3.4.5
Máy cắt liên thông (interconnecting circuit-breaker)
I
Máy cắt được sử dụng để ghép hoặc tách các phần khác nhau của mạng lưới đường dây tiếp xúc.
Chú thích: Các máy cắt này đôi khi được gọi là máy cắt khu đoạn.
3.4.6
Máy cắt giới hạn dòng điện (Current limiting circuit-breakers)
3.4.6.1
Máy cắt giới hạn dòng điện tốc độ cao (high speed current limiting circuit-breaker)
H
Máy cắt có thời gian cắt đủ ngắn để ngăn dòng ngắn mạch đạt đến giá trị đỉnh mà dòng ngắn mạch có thể đạt được mà không bị gián đoạn.
3.4.6.2
Máy cắt giới hạn dòng điện tốc độ rất cao (very high speed current limiting circuit-breaker)
V
Máy cắt có thời gian cắt ngắn hơn so với máy cắt kiểu H. Các đặc tính chi tiết được quy định trong điểm b) mục 5.2 của tiêu chuẩn TCVN 13936-2:2024.
3.4.6.3
Máy cắt giới hạn dòng điện ngưỡng (cut-off current limiting circuit-breaker)
C
Máy cắt làm việc để hạn chế dòng điện ngưỡng ở một giá trị quy định.
Chú thích: Các đặc tính chi tiết được quy định trong điểm b) mục 5.2 của tiêu chuẩn TCVN 13936-2:2024, A1.
3.4.7
Máy cắt nửa tốc độ cao (semi-high speed circuit-breaker)
S
Máy cắt trong đó đảm bảo cắt dòng điện, nhưng không giới hạn dòng điện cắt.
3.4.8
Máy cắt hoặc thiết bị chuyển mạch - cách ly có khóa ngăn đóng mạch (circuit-breaker or switch- disconnector with lock-out preventing closing)
Thiết bị chuyển mạch trong đó ngăn chặn việc đóng các tiếp điểm chính trong mạch điện chính khi lệnh đóng được đưa ra và / hoặc duy trì và tại cùng các điều kiện về thời gian (ví dụ, tín hiệu điều khiển từ thiết bị bảo vệ quá tải hoặc bảo vệ ngắn mạch) yêu cầu máy cắt cắt.
3.4.9
Thao tác cắt (tripping (operation))
Thao tác cắt thiết bị chuyển mạch được kích hoạt bằng rơle hoặc cơ cấu nhả.
3.4.10
Máy cắt nhả tự do (trip-free circuit-breaker)
Máy cắt trong đó các tiếp điểm chuyển động ngược trở lại và duy trì ở vị trí cắt khi bắt đầu thao tác cắt sau khi kích hoạt thao tác đóng, ngay cả khi lệnh đóng được duy trì.
Chú thích: Để đảm bảo cắt chính xác dòng điện đã được thiết lập, cần phải để các tiếp điểm chạm tới vị trí đóng trong giây lát.
3.4.11
Cơ cấu nhả (của thiết bị chuyển mạch cơ khí) (release (of a mechanical switching device))
Thiết bị này được kết nối cơ khi đến một thiết bị chuyển mạch cơ khí làm nhả các chi tiết hãm và cắt hoặc đóng thiết bị chuyển mạch.
Chú thích 1: Thuật ngữ “cơ cấu nhả” ở đây đề cập đến mọi thiết bị có tác động cơ học, được sử dụng để thao tác cắt, khi thỏa mãn các điều kiện quy định trong các mạch điện đầu vào của thiết bị.
Chú thích 2: Máy cắt có thể có nhiều cơ cấu nhả, mỗi cơ cấu nhả phải làm việc theo các điều kiện quy định.
Chú thích 3: Một cơ cấu nhả có thể được tạo thành từ các linh kiện cơ khí, điện từ hoặc điện tử.
3.4.12
Rơle (của thiết bị chuyển mạch cơ khí) (relay (of a mechanical switching device))
Thiết bị, được kết nối bằng điện với một cơ cấu nhả được lắp đặt theo cơ chế làm việc của thiết bị chuyển mạch, cho phép thao tác thiết bị chuyển mạch.
Chú thích 1: Thuật ngữ “rơle” ở đây đề cập đến mọi thiết bị có tác động bằng điện, được sử dụng để thao tác cắt khi thỏa mãn các điều kiện quy định trong các mạch điện đầu vào của thiết bị.
Chú thích 2: Máy cắt có thể có nhiều rơle, mỗi rơle làm việc theo các điều kiện quy định.
Chú thích 3: Rơle có thể được tạo thành từ các linh kiện điện từ hoặc điện tử.
3.4.13
Rơle hoặc cơ cấu nhả quá dòng (overcurrent relay or overcurrent release)
Rơle hoặc cơ cấu nhả làm cắt một thiết bị chuyển mạch cơ khí có hoặc không có thời gian trễ khi dòng điện chạy qua rơle hoặc cơ cấu nhả vượt quá giá trị định trước.
3.4.13.1
Rơle hoặc cơ cấu nhà quá dòng trực tiếp (direct overcurrent relay or direct overcurrent release)
Rơle hoặc cơ cấu nhả quá dòng được cấp nguồn trực tiếp từ dòng điện trong mạch điện chính của thiết bị chuyển mạch.
3.4.13.2
Rơle hoặc cơ cấu nhả quá dòng gián tiếp (indirect overcurrent relay or indirect overcurrent release)
Rơle hoặc cơ cấu nhả quá dòng được cấp nguồn từ dòng điện trong mạch điện chính của thiết bị chuyển mạch thông qua cảm biến hoặc điện trở shunt.
3.4.14
Rơle hoặc cơ cấu nhả quá dòng nối tiếp (series overcurrent relay or series overcurrent release)
Rơle hoặc cơ cấu nhả được thiết kế như là một chi tiết của mạch điện chính của máy cắt.
Chú thích: Thao tác cắt của máy cắt có thể do các rơle hoặc các cơ cấu nhả khác gây ra đối với thiết bị điện kéo (rơle sai lệch, rơle nhiệt, ...).
3.4.15
Rơle hoặc cơ cấu nhả tức thời (instantaneous relay or instantaneous release)
Rơle hoặc cơ cấu nhả tác động không có thời gian trễ chủ ý.
3.4.16
Thiết bị chuyển mạch phụ nhả (release auxiliary switch)
Thiết bị chuyển mạch phụ được vận hành bởi rơle hoặc cơ cấu nhả để chỉ ra tác động của chúng trong trạng thái sự cố. Một thiết bị chuyển mạch phụ như vậy có thể cài đặt lại được thời gian trễ.
3.4.17
Rơle hoặc cơ cấu nhả song song (shunt release)
Rơle hoặc cơ cấu nhả được cấp nguồn từ nguồn điện áp độc lập.
3.4.18
Rơle hoặc cơ cấu nhả thấp áp (undervoltage relay or undervoltage release)
Rơle hoặc cơ cấu nhả tác động cắt thiết bị chuyển mạch khi điện áp xuất hiện tại các đầu cực của thiết bị chuyển mạch giảm xuống dưới giá trị quy định.
3.4.19
Dòng điện cài đặt (của rơle hoặc cơ cấu nhả quá dòng nối tiếp) (current-setting (of a series overcurrent relay or release))
Giá trị dòng điện của mạch điện chính được chọn làm chuẩn cho đặc tính tác động của rơle hoặc cơ cấu nhả và được dùng để cài đặt (điều chỉnh) rơle hoặc cơ cấu nhả.
Chú thích: Một rơle hoặc cơ cấu nhả có thể có nhiều hơn một giá trị dòng điện cài đặt.
3.4.20
Dải dòng điện cài đặt (của rơle hoặc cơ cấu nhả quá dòng nối tiếp) (current settting range (of a series overcurrent relay or release))
Dải các giá trị trong khoảng từ nhỏ nhất tới lớn nhất, trong dải đó có thể điều chỉnh được giá trị dòng điện cài đặt của rơle hoặc cơ cấu nhả.
3.4.21
Cơ cấu chống đóng cắt lập bập (anti pumping device)
Cơ cấu ngăn ngừa việc đóng trở lại sau một thao tác cắt chừng nào cơ cấu khởi động đóng được duy trì ở vị trí đóng.
3.4.22
Các đặc tính cắt (breaking characteristics)
3.4.22.1
Thời gian cắt (opening time)
ti
Khoảng thời gian giữa thời điểm quy định bắt đầu thao tác cắt và thời điểm khi tất cả các tiếp điểm đã tách ra trong mạch điện chính.
Việc cắt của máy cắt có thể do rơle hoặc cơ cấu nhả quá dòng nối tiếp có sẵn thực hiện (xem 3.4.23.3) hoặc do một thiết bị khác thực hiện (xem 3.4.23 4).
3.4.22.2
Thời gian cắt quá dòng (overcurrent opening time)
Thời gian cắt rơle hoặc cơ cấu nhả quá dòng.
3.4.22.3
Thời gian cắt có lệnh từ rơle hoặc cơ cấu nhả quá dòng nối tiếp (opening time with command from the series overcurrent relay (or series overcurrent release))
Khoảng thời gian giữa thời điểm khi dòng điện trong mạch điện chính đạt đến giá trị của dòng điện cài đặt (của rơle hoặc của cơ cấu nhả) và thời điểm tách tất cả các tiếp điểm.
3.4.22.4
Thời gian cắt được điều khiển bởi một thiết bị khác không phải là rơle hoặc cơ cấu nhả quá dòng (opening time controlled by a device other than an overcurrent relay (or overcurrent release))
Khoảng thời gian giữa thời điểm bắt đầu có sự thay đổi về năng lượng điều khiển (do phát xạ hoặc tổn thất năng lượng) gây ra kích hoạt thao tác cắt và thời điểm tách tất cả các tiếp điểm.
3.4.22.5
Thời gian phóng hồ quang (arcing time)
ta
Khoảng thời gian giữa thời điểm bắt đầu phóng hồ quang và thời điểm tắt hồ quang hoàn toàn.
3.4.22.6
Tổng thời gian cắt (break time)
tb
Khoảng thời gian từ thời điểm bắt đầu thời gian cắt đến thời điểm dòng điện bị triệt tiêu tb = ti + ta.
3.4.22.7
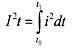
Tích phân Jun (Joule integral)
l2t
Tích phân của bình phương dòng điện trong máy cắt trong quá trình cắt trên tổng thời gian cắt
![]()
Trong đó:
t0 là bắt đầu thời gian cắt,
t1 là thời gian kết thúc triệt tiêu dòng điện.
Tích phân Joule cũng có thể chỉ được xem xét đối với thời gian phóng hồ quang.
3.4.22.8
Đường đặc tính l2t của máy cắt (characteristic l2t of a circuit-breaker)
Thông tin (thường là đường cong) biển diễn các giá trị của l2t (tương ứng với tổng thời gian cắt) như là một hàm của dòng điện kỳ vọng (ở điện áp tương ứng, với các điều kiện làm việc quy định của giá trị dòng điện cài đặt của rơle hoặc cơ cấu nhả) và hằng số thời gian của mạch điện thử nghiệm.
3.4.22.9
Đặc tính dòng điện - tổng thời gian cắt (total break time-current characteristic)
Đường cong biểu diễn thời gian cắt dưới dạng hàm số của dòng điện kỳ vọng trong các điều kiện làm việc quy định như giá trị dòng điện cài đặt của rơle và cơ cấu nhả và hằng số thời gian của mạch điện thử nghiệm.
3.4.22.10
Đặc tính dòng điện ngưỡng (cut off (current) characteristic)
Đường cong biểu diễn dòng điện ngưỡng như là hàm số của dòng điện kỳ vọng, trong các điều kiện làm việc quy định như giá trị dòng điện cài đặt của rơle và cơ cấu nhả và hằng số thời gian của mạch điện thử nghiệm.
3.4.23
Máy cắt một chiều hỗn hợp (hybrid d.c circuit breaker)
Máy cắt bao gồm bộ phận chuyển mạch cơ khí để dẫn dòng điện và mạch dập hồ quang điện tử mắc song song để cắt dòng điện.
4 Yêu cầu và điều kiện làm việc
4.1 Điều kiện môi trường
Điều kiện môi trường đối với thiết bị trong nhà được quy định tại Phụ lục B.
Thiết bị phù hợp để lắp đặt trong các điều kiện làm việc bình thường theo quy định tại Phụ lục B, không bắt buộc phải quy định cụ thể trong giai đoạn mời thầu hoặc đặt hàng.
Trong các điều kiện làm việc nếu có một hoặc nhiều điều kiện làm việc bình thường bị vượt quá thì được xem là các điều kiện làm việc bất thường. Trong tất cả các trường hợp thiết bị làm việc ở các điều kiện bất thường thì việc bổ sung thêm các yêu cầu đối với thiết bị phải được thỏa thuận giữa khách hàng và đơn vị cung cấp.
Nếu rơi vào các điều kiện làm việc bất thường, các thử nghiệm cụ thể hoặc các tính năng cụ thể trong các thử nghiệm này phải được quy định trong tiêu chuẩn hoặc, nếu không được quy định trong các tiêu chuẩn thì phải được thỏa thuận giữa khách hàng và đơn vị cung cấp để có thể minh chứng cho sự phù hợp của thiết bị được sử dụng trong các điều kiện bất thường đã nêu.
4.2 Cấp cách điện
Yêu cầu và đơn đặt hàng, cũng như biển tên, phải quy định (theo các phương thức được quy định trong các phần tương ứng của bộ tiêu chuẩn này) điện áp cách điện danh định có thể áp dụng và mức xung danh định.
Các cấp cách điện và các khe hở không khí được quy định trong Bảng 1.
Các giá trị khuyến nghị về các chiều dài đường rò được quy định trong Phụ lục D.
Các xung chuyển mạch được xem xét đối với các linh kiện cụ thể của thiết bị và được đề cập trong các phần tương ứng của tiêu chuẩn này. Trừ khi có quy định khác, cấp điện áp được xem xét đối với xung chuyển mạch cũng giống như cấp điện áp đã công bố đối với xung sét.
Bên trong thiết bị đang được xem xét và giữa bản thân thiết bị đó và vỏ bằng kim loại đã được nối đất hoặc vỏ của thiết bị được làm bằng vật liệu cách điện thích hợp, có thể chấp nhận các giá trị chiều dài đường rò nhỏ hơn giá trị nhỏ nhất quy định trong Bảng 1. Sau đó, các thử nghiệm kiểu loại thích hợp phải cho thấy rằng không xảy ra phóng điện và cấp cách điện, các khe hở không khí đã cho là đủ đảm bảo an toàn trong các điều kiện môi trường thực tế xảy ra hoặc có khả năng xảy ra trong quá trình làm việc bình thường.
Bảng 1 - Cấp cách điện
| Un | UNe | UNm | OV | UNi | Ua | Khe hở trong nhà | Khe hở ngoài trời | ||||
|
|
|
|
| A | B | A | B | A | B | A’ | B’ |
| kV | kV | kV |
| kV | kV | kV | kV | mm | mm | mm | mm |
| 0,6 | 0,72 | 0,9 | 3 | 6 | 7,2 | 2,8 | 3,4 | 10 | 12 | 18 | 22 |
| 4 | 8 | 9,6 | 3,6 | 4,3 | 14 | 17 | 21 | 25 | |||
| 0,75 | 0,9 | 1,2 | 3 | 8 | 9,6 | 3,6 | 4,3 | 14 | 17 | 21 | 25 |
| 4 | 12 | 14,4 | 5,5 | 6,6 | 22 | 26 | 27 | 32 | |||
| 0,75 | 0,9 | 1,8 | 3 | 10 | 12 | 4,6 | 5,5 | 18 | 22 | 23 | 28 |
| 4 | 15 | 18 | 6,9 | 8,3 | 27 | 32 | 33 | 40 | |||
| 1,5 | 1,8 | 2,3 | 3 | 12 | 14,4 | 5,5 | 6,6 | 22 | 26 | 27 | 32 |
| 4 | 18 | 21,6 | 8,3 | 10 | 32 | 38 | 39 | 47 | |||
| 1,5 | 1,8 | 3 | 3 | 15 | 18 | 6,9 | 8,3 | 27 | 32 | 33 | 40 |
| 4 | 20 | 24 | 9,2 | 11 | 36 | 43 | 43 | 52 | |||
| 3 | 3,6 | 3,6 | 3 | 25 | 30 | 11,5 | 13,8 | 45 | 54 | 53 | 64 |
| 4 | 30 | 36 | 14 | 16,8 | 54 | 65 | 63 | 76 | |||
| 3 | 3,6 | 4,8 | 3 | 30 | 36 | 14 | 16,8 | 54 | 65 | 63 | 76 |
| 4 | 40 | 48 | 18,5 | 22,2 | 72 | 86 | 82 | 98 | |||
| 3 | 4,8 | 6,5 | 3 | 40 | 48 | 18,5 | 22,2 | 72 | 86 | 82 | 98 |
| 4 | 50 | 60 | 23 | 27,6 | 91 | 109 | 101 | 121 | |||
| Cột Un = Điện áp danh nghĩa UNe = Điện áp danh định UNm = Điện áp cách điện danh định UNi = Điện áp xung danh định Ua = Cấp chịu điện áp tần số công nghiệp | Nguồn giá trị (TCVN 11852) (EN 50124-1, A.2) A (EN 50124-1, A.2) B ≈ A × 1,2 A (EN 50124-1, B.1) B ≈ A × 1,2 | A: Nối đất và giữa các pha - trong nhà
B: Qua một khoảng cách cách ly nếu có - trong nhà
A’ và B’ tương tự như A và B nhưng dành cho ngoài trời | |||||||||
| Khe hở không khí đối với các điều kiện A và A’ được lấy từ tiêu chuẩn EN 50124-1, Bảng A.3 xem PD4 như là giá trị khuyến nghị đối với thiết bị trong nhà và PD4A như là giá trị khuyến nghị đối với thiết bị ngoài trời. Đối với các điều kiện B và B', tương ứng với các giá trị nhận được lần lượt từ A và A’ nhân với 1,2. | |||||||||||
| Chú thích 1: Đối với các giá trị UNm lên đến 2,3 kV, cấp OV3 được xem là phù hợp và đã được quốc tế công nhận. Đối với các điều kiện ngoài trời như thiết bị kết nối với đường dây tiếp xúc, khác với hệ thống giao thông đô thị và hệ thống trong hầm, khuyến nghị sử dụng cấp OV4. Chú thích 2: Đối với các giá trị UNm lên đến 2,3 kV, cấp OV4 cược khuyến nghị trong mọi trường hợp ngoại trừ các tình huống cần được bảo vệ, chẳng hạn hệ thống giao thông đô thị và hệ thống trong hầm, khi mà cấp OV3 có thể được thỏa thuận giữa khách hàng và đơn vị cung cấp. Chú thích 3: Khi có nhiều hơn một tuyến được hiển thị đối với một Ur nhất định, thì các cấp cách điện thấp hơn được ưu tiên đặc biệt cho hệ thống đường sắt nhẹ hoặc hệ thống ray thứ 3 / thứ 4. Chú thích 4: Điện áp xung được đưa ra chỉ là để tham khảo; Thử nghiệm chỉ được thực hiện khi được quy định trong tiêu chuẩn thiết bị thích hợp (đối với tất cả các thiết bị ngoại trừ thiết bị được đề cập trong tiêu chuẩn IEC 61992-5, thử nghiệm này là bắt buộc đối với điện áp cách điện danh định trên 500 V). | |||||||||||
5 Các tính năng tiêu chuẩn và các giả thiết quy ước
5.1 Các tính năng tiêu chuẩn và các thông số quy ước đối với mạch điện chính
5.1.1 Các giả thiết chung đối với các thông số chính
5.1.1.1 Hệ số gợn sóng
Hệ số gợn sóng lớn nhất của dòng điện một chiều phải là hệ số đạt được khi chuyển sang dòng điện xoay chiều bằng bộ chỉnh lưu xoay chiều ba pha toàn sóng.
Trường hợp lựa chọn hệ số gợn sóng đỉnh cao hơn, đơn vị cung cấp phải được thông báo trong hồ sơ mời thầu.
Chú thích: Giá trị điện áp là giá trị trung bình của điện áp thực tế, có tính đến các gợn sóng ở dạng sóng.
5.1.1.2 Giá trị đỉnh của dòng ngắn mạch
Giá trị đình của dòng ngắn mạch được quy ước bằng 1,42 lần giá trị dòng ngắn mạch kỳ vọng duy trì đối với sự cố có trở kháng không đáng kể tại các đầu cực vào hoặc ra của tủ điện, theo quy định. Khi khoảng cách từ tủ điện đến vị trí sự cố tăng lên, thì giá trị này sẽ giảm.
Chú thích 1: Giá trị lý thuyết gấp 1,66 lần giá trị ở trạng thái ổn định chưa từng xảy ra trong thực tế và hệ số tính toán gấp 1,42 lần được sử dụng trong tiêu chuẩn này được rút ra từ bằng chứng thử nghiệm.
Chú thích 2: Giá trị Iss có thể phải được điều chỉnh để đạt được giá trị đỉnh yêu cầu.
5.1.1.3 Ngắn mạch tạo ra năng lượng lớn nhất trong mạch điện
Khi khoảng cách từ trạm điện kéo tăng lên, hằng số thời gian của mạch điện (tỷ số giữa cảm kháng trên trở kháng) thay đổi dần dần từ giá trị của nguồn cấp điện sang giá trị của đường ray. Khi mạch điện có hằng số thời gian xấp xỉ trung điểm giữa hai giá trị này thì gần vị trí mà năng lượng của mạch điện đạt cực đại. Một chỉ dẫn lý thuyết về nội dung này được quy định trong Phụ lục E.
Đối với các mục đích thực tế, đây được xem là vị trí mà tại đó cường độ dòng điện ngắn mạch Iss và hằng số thời gian của mạch điện tc giả thiết các giá trị được quy định trong Bảng 2.
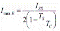
Bảng 2 - Các thông số của mạch điện thử nghiệm đối với năng lượng lớn nhất trong mạch điện
| TNc | tc | Iss |
| ms |
|
|
| ≥ 63 | 0,5 TNc | 0,5 INss |
| 31,5 | 0,65 TNc | 0,65 INss |
| 16 | 0,8 TNc | 0,8 INss |
Nếu sử dụng cuộn san dòng (cuộn cảm) có giá trị cao, sự cố năng lượng lớn nhất có thể xảy ra tại đầu ra của trạm điện kéo.
5.1.1.4 Ngắn mạch sự cố ở xa
Để mô phỏng tình trạng ngắn mạch sự cố ở xa trong các thử nghiệm, giá trị dòng điện cấp cho mạch điện này được quy ước gấp đôi dòng điện đầy tải của máy cắt đường dây, tức là 2 × INe.
Vì trở kháng của mạch điện chủ yếu là trở kháng của chính đường ray, vì vậy hằng số thời gian của mạch điện được xem là hằng số thời gian danh định của đường TNc.
5.1.2 Ứng suất ngắn mạch tiêu chuẩn
5.1.2.1 Yêu cầu chung
Các số liệu được quy định trong 5.1.2.2 và 5.1.2.3 đối với dòng điện ngắn mạch danh định và hằng số thời gian danh định của đường được quy định là giá trị ưu tiên để tiêu chuẩn hóa các tính năng của thiết bị. Nếu có thể, các giá trị được phê duyệt phải là các giá trị ưu tiên, lớn hơn các giá trị được tính toán đối với một mạch điện cho trước.
5.1.2.2 Dòng ngắn mạch danh định tiêu chuẩn (INss)
Các giá trị sau là các giá trị ưu tiên (tính bằng kA):
| 31,5 | 40 | 50 | 63 | 75[1] | 80 | 100 | 125 |
Chú thích: Lên đến 100 kA đối với Un = 1,5 kV và lên đến 63 kA đối với Un = 3 kV.
5.1.2.3 Hằng số thời gian danh định tiêu chuẩn của đường (TNc)
Các giá trị sau là các giá trị ưu tiên (tính bằng ms):
| 16 | 31,5 | 63 | 80 | 100 | 125 | 160 | 200 |
5.1.3 Điện áp tiêu chuẩn đối với mạch điện chính
Các giá trị tiêu chuẩn đối với điện áp danh nghĩa Un được liệt kê trong tiêu chuẩn TCVN 11852. Các giá trị tương ứng của UNm trong Bảng 1 phải cao hơn giá trị Umax1 của tiêu chuẩn TCVN 11852.
Giá trị của Umax2 quy định trong tiêu chuẩn TCVN 11852 được giới hạn đến 300 s và phải được xem xét khi có khả năng xảy ra để không gây ra hư hỏng thiết bị cách điện, phóng điện bề mặt hoặc độ tăng nhiệt đến mức nguy hiểm.
5.1.4 Dòng điện làm việc danh định tiêu chuẩn đối với mạch điện chính (INe)
Các giá trị sau là các giá trị ưu tiên (tính bằng A):
| 400 | 630 | 1 000 | 1 600 | 2 000 | 2 500 | 3 000 | 4 000 | 5 000 | 6 000 | 8 000 |
5.2 Các tính năng tiêu chuẩn đối với mạch điện phụ và mạch điện điều khiển
Đối với các mạch điện phụ và các mạch điện điều khiển độc lập với các mạch điện chính, các giá trị điện áp quy định trong Bảng 3 được ưu tiên:
Bảng 3 - Điện áp ưu tiên cho mạch điện phụ và mạch điện điều khiển [V]
| AC | 24 | 48 | - | 100 | 110 | 127 | 200 | 230/400 | - |
| DC | 24 | 48 | 60 | 100 | 110 | 125 | - | 220 | 440 |
Đối với thiết bị khác (ví dụ, các cuộn dây), dải điện áp cho phép phải nằm trong khoảng 85 % đến 110 % giá trị điện áp nguồn danh định của chúng, trừ khi khách hàng có quy định khác.
Tất cả các mạch điện phụ làm việc ở điện áp trên 500 V phải được bảo vệ bằng cầu chì theo tiêu chuẩn TCVN 5926-1 hoặc bằng các biện pháp khác có hiệu năng tương đương.
Chú thích: Tất cả các rơle giám sát, được sản xuất theo các tiêu chuẩn cụ thể của chúng, được khuyến nghị là loại phích cắm và được cung cấp cùng với thiết bị khóa để phòng ngừa chuyển động ngẫu nhiên của các bộ phận có thể kéo ra, và khi cần, có nắp chống cháy, trừ khi được trang bị thiết bị chỉ thị vị trí.
6 Giới hạn độ tăng nhiệt
Mức độ tăng nhiệt của các linh kiện khác nhau của thiết bị cần đo trong các thử nghiệm được thực hiện phù hợp với Điều 7 và phù hợp với các hướng dẫn chi tiết, nếu có, của các chi tiết khác trong tiêu chuẩn này không được vượt quá giới hạn quy định tại Bảng 4 và Bảng 5.
Trong trường hợp nhiệt độ môi trường lớn nhất luôn dưới 40 °C thì mức tăng của các giá trị giới hạn này có thể được chấp nhận theo thỏa thuận giữa khách hàng và đơn vị cung cấp. Đối với các điều kiện địa điểm bất thường, với nhiệt độ môi trường lớn nhất vượt quá 40 °C, mức độ tăng nhiệt phải được giảm đúng bằng chênh lệch giữa nhiệt độ môi trường lớn nhất quy định và 40 °C. Ngoài ra, phải chú ý đến nhiệt lượng tỏa ra từ một thiết bị độc lập không ảnh hưởng đến việc làm mát chính xác của thiết bị liền kề hoặc không làm nóng thiết bị đó.
Bảng 4 - Giới hạn độ tăng nhiệt đối với các cuộn dây được cách điện
| Loại cách điện | Giới hạn độ tăng nhiệt được đo bằng cách đo sự thay đổi của điện trở K a |
| 105 (A) | 65 |
| 120 (E) | 80 |
| 130 (B) | 90 |
| 155 (F) | 115 |
| 180 (H) | 140 |
| a Nếu không thể đo được mức độ tăng nhiệt bằng cách đo sự thay đổi của điện trở thì cho phép sử dụng các phương pháp khác thay thế. Trong trường hợp này, phép đo mức độ tăng nhiệt phải được thực hiện bằng nhiệt kế hoặc các phương pháp thích hợp khác. | |
Bảng 5 - Giới hạn độ tăng nhiệt đối với các tổng thành khác
| Tổng thành | Giới hạn độ tăng nhiệt được đo bằng nhiệt kế K | |
| Cuộn dây trần | 105 | Chú thích 1 |
| Tiếp điểm trong không khí: |
|
|
| - Đồng nguyên chất ở dạng lò xo | 35 |
|
| - Đồng thau hoặc đồng đó ở dạng lò xo | 65 |
|
| - Đồng nguyên chất hoặc hợp kim đồng không ở dạng lò xo | 75 |
|
| - Đĩa bạc đặc | 100 |
|
| - Vật liệu kim loại khác hoặc kim loại thiêu kết (sintered metals) |
| Chú thích 2 |
| Các đầu cực để cách điện với các thiết bị kết nối bên ngoài | 70 | Chú thích 3 |
| Các thiết bị kết nối linh hoạt trong môi trường không khí | 90 |
|
| Chú thích 1: Với điều kiện là giá trị này không ảnh hưởng xấu đến hoạt động thỏa đáng của các bộ phận liền kề. Chú thích 2: Được tính toán xác định bởi chất lượng của vật liệu kim loại được sử dụng và được giới hạn bởi trách nhiệm không gây ra hư hỏng cho chính nó và các chi tiết lân cận. Chú thích 3: Giới hạn độ tăng nhiệt 70 K là giá trị dựa trên thử nghiệm thông thường được đề cập trong các phần khác của bộ tiêu chuẩn TCVN 13936. Vật liệu được sử dụng hoặc được thử nghiệm trong các điều kiện tương ứng với các điều kiện lắp đặt thực tế có thể có các kết nối, kiểu loại, tính chất và cách bố trí của chúng khác với các kết nối, kiểu loại, tính chất và cách bố trí được áp dụng cho thử nghiệm này. Dẫn tới giới hạn độ tăng nhiệt tại đầu cực có thể khác và nên được thỏa thuận giữa khách hàng và đơn vị cung cấp. | ||
Trong quá trình thực hiện các thử nghiệm trên thiết bị, không được hiệu chỉnh giới hạn độ tăng nhiệt mà chúng ta quan sát nếu nhiệt độ môi trường trong quá trình thử nghiệm nằm trong khoảng từ 10 °C đến 40 °C. Nếu ngoài các giới hạn trên, việc hiệu chỉnh áp dụng cho giới hạn độ tăng nhiệt mà chúng ta quan sát phải được thỏa thuận giữa khách hàng và đơn vị cung cấp.
Nhiệt độ vượt quá 15 % giá trị giới hạn độ tăng nhiệt nêu trong Bảng 4 và Bảng 5 được xem là nhiệt độ nguy hiểm, trừ khi có thỏa thuận khác.
7 Thử nghiệm
7.1 Yêu cầu chung
Các thử nghiệm kiểu loại và thử nghiệm xuất xưởng (chấp nhận) áp dụng cho một kiểu loại thiết bị cụ thể, cũng như chi tiết về các quy trình thử nghiệm, được liệt kê trong phần thích hợp của tiêu chuẩn này.
Đối với tất cả các thử nghiệm, nhiệt độ môi trường phải được đo và ghi vào báo cáo thử nghiệm.
Trừ khi có yêu cầu khác trong phần thích hợp của tiêu chuẩn này, thiết bị phải được thử nghiệm giống như một cụm hoàn chỉnh, trong vỏ riêng rẽ hoặc trong vỏ mô phỏng vỏ đó hoặc ứng dụng dự kiến.
Việc phân loại các thử nghiệm và các quy trình chung cần phải tuân thủ để thực hiện các thử nghiệm được đề cập trong các tiêu chuẩn sản phẩm cụ thể.
Chú thích 1: Tiêu chuẩn này đưa ra các yêu cầu thử nghiệm chung cho hầu hết các thiết bị được liệt kê trong phạm vi của tiêu chuẩn này.
Chú thích 2: Đối với các vấn đề về quy trình không được đề cập trong tiêu chuẩn này hoặc trong các phần khác của bộ tiêu chuẩn này, có thể tham khảo các tiêu chuẩn EN hoặc IEC đối với thiết bị tương tự.
Chú thích 3: Các thử nghiệm điều tra được chấp nhận và đề cập trong các phần khác của bộ tiêu chuẩn TCVN 13936. Các thử nghiệm này có thể được thực hiện theo đề xuất của nhà sản xuất hoặc theo thỏa thuận giữa khách hàng và đơn vị cung cấp để có được kinh nghiệm về các quy trình thử nghiệm hoặc về các kỹ thuật mới có thể có sử dụng, vì nghiên cứu các ứng dụng có thể có trong tương lai của thiết bị. Điều này được hiểu rằng kết quả của các thử nghiệm điều tra không được xem là ảnh hưởng đến khả năng chấp nhận của vật liệu này.
7.2 Dung sai thử nghiệm
Dung sai thử nghiệm phải nằm trong dung sai được quy định trong Bảng 6, trừ khi có quy định khác trong phần thích hợp của tiêu chuẩn này.
Bảng 6 - Dung sai thử nghiệm
| Chỉ số | Dung sai |
|
| % |
| Dòng điện | + 10 0 |
| Điện áp | + 10 0 |
| Tần số | + 5 |
| (nếu có) | - 5 |
| Hằng số thời gian | + 30 0 |
7.3 Thử nghiệm trên các thiết bị di động
7.3.1 Thử nghiệm thao tác cơ học
Thử nghiệm thao tác cơ học áp dụng cho tất cả các thiết bị có chi tiết chuyển động. Chúng thường là các thử nghiệm xuất xưởng và được thực hiện trong các điều kiện bình thường trong phòng thí nghiệm. Đối với thiết bị được thiết kế để làm việc ở nhiệt độ môi trường xung quanh nhỏ hơn - 5 °C thì việc yêu cầu các thử nghiệm bổ sung phải được thỏa thuận giữa khách hàng và đơn vị cung cấp từ giai đoạn đặt hàng.
Thử nghiệm này phải được thực hiện khi không có dòng điện trong mạch điện chính.
Thử nghiệm bao gồm thực hiện một số thao tác hạn chế (nếu thực sự cần thiết để thực hiện các phép thử được đề cập trong các tiêu chuẩn về sản phẩm), với các mạch điện điều khiển được cấp điện ở điện áp danh định của chúng, như được đo tại các đầu cực đầu vào của mạch điện điều khiển đó.
Tất cả các điện trở và trở kháng nằm trong mạch điện điều khiển phải được kết nối với nhau. Tuy nhiên, không được nối thêm trở kháng giữa nguồn cấp điện và các đầu cực của mạch điện điều khiển.
Thử nghiệm này nhằm chứng minh sự làm việc chính xác của thiết bị và thiết bị tuân thủ các điều kiện làm việc quy định trong các giá trị giới hạn lớn nhất và nhỏ nhất cần thiết đối với các thiết bị điều khiển đóng và cắt.
Thử nghiệm kiểu loại đối với các điều kiện môi trường bất thường, nếu được yêu cầu, phải được thực hiện ở cả nhiệt độ môi trường thấp nhất và cao nhất đối với các điều kiện làm việc đã quy định. Thử nghiệm này có thể được lặp lại ngay sau các thử nghiệm ở mục 7.4.
Thử nghiệm này đảm bảo rằng thao tác của thiết bị là đạt yêu cầu khi được thực hiện trong điều kiện bất lợi nhất về điện áp và nhiệt độ có thể đạt được trong giới hạn quy định.
Cơ chế hoạt động phải được kích hoạt nhanh nhất có thể trong các điều kiện làm việc bình thường.
7.3.2 Thử nghiệm độ bền về điện
Thử nghiệm độ bền về điện là thử nghiệm kiểu loại được thực hiện trong các điều kiện ở phòng thí nghiệm. Thử nghiệm này phải được thực hiện trên các thiết bị chuyển mạch và thiết bị đi kèm.
Thử nghiệm này phải bao gồm việc thực hiện một số chu kỳ làm việc đã định, như được quy định trong tiêu chuẩn sản phẩm thích hợp.
Thử nghiệm này phải được thực hiện ở điện áp cấp điện danh định của mạch điện điều khiển. Thiết bị phải được làm việc tương tự như cách mà thiết bị cắt dòng điện làm việc danh định INe của nó (hoặc, nếu được thỏa thuận giữa khách hàng và đơn vị cung cấp đối với dòng điện trong thử nghiệm độ tăng nhiệt, Ith hoặc Ithe), ở giá trị điện áp làm việc danh định UNe trong mạch điện có hằng số thời gian tc bằng 0,01 s.
Cơ chế hoạt động phải được kích hoạt nhanh nhất có thể trong các điều kiện làm việc bình thường.
Chỉ cần đóng thiết bị trong một khoảng thời gian đủ để đảm bảo rằng thiết bị đã được đóng hoàn toàn về mặt cơ học và các dòng điện thoáng qua tạo ra từ quá trình đóng điện đã biến mất và đảm bảo rằng giá trị dòng điện cắt được thiết lập.
Tất cả các điện trở và trở kháng nằm trong mạch điện điều khiển phải được kết nối với nhau. Tuy nhiên, không được nối thêm trở kháng giữa nguồn cáp điện và các đầu cực đầu vào của mạch điện điều khiển trên thiết bị chuyển mạch.
Thiết bị phải được xem là thử nghiệm đạt yêu cầu, nếu sau khi thử nghiệm, thiết bị ở vị trí chịu được:
- Dòng điện làm việc danh định INe của chính nó, sau khi đã thực hiện điều chỉnh và bảo trì cần thiết đối với các tiếp điểm, không vượt quá giá trị giới hạn độ tăng nhiệt trong Điều 6, khi thử nghiệm theo 7.4. Chỉ yêu cầu thực hiện thử nghiệm độ tăng nhiệt khi điện trở của mạch điện chính (không cần bảo trì) tăng quá 50 % giá trị so với trước khi thử nghiệm. Cho phép thực hiện một số lượng nhỏ các thao tác không tải nhằm cố gắng giảm điện trở xuống dưới trị số trên; nếu thử nghiệm này phải được thực hiện thì cho phép tăng giới hạn độ tăng nhiệt thêm 10 K trên các tiếp điểm,
- Giá trị điện áp xoay chiều gấp hai lần giá trị điện áp danh định UNe
- Giữa mạch điện chính và mạch điện nối đất,
- Giữa các tiếp điểm chính ở vị trí cắt.
Thiết bị phải được xem là thử nghiệm đạt yêu cầu, nếu sau khi thử nghiệm, thiết bị này có thể làm việc bình thường và thỏa mãn các yêu cầu quy định ở trên.
7.3.3 Thử nghiệm độ bền cơ học
Thử nghiệm độ bền cơ học là thử nghiệm kiểu loại và được thực hiện trong các điều kiện ở phòng thí nghiệm.
Thử nghiệm này phải bao gồm vận hành thiết bị chuyển mạch và thiết bị cơ khí khác có liên quan với một số chu kỳ làm việc liên tục, như được quy định trong tiêu chuẩn sản phẩm thích hợp. Điện áp cấp điện cho các mạch điện điều khiển phải nằm trong các giá trị giới hạn quy định trong 5.2.
Tất cả các điện trở và trở kháng nằm trong các mạch điện điều khiển phải được kết nối với nhau. Tuy nhiên, không được nối thêm trở kháng giữa nguồn cấp điện và các đầu cực đầu vào của mạch điện điều khiển trên thiết bị chuyển mạch.
Cơ chế hoạt động phải được kích hoạt nhanh nhất có thể trong các điều kiện làm việc bình thường.
Thiết bị được thử nghiệm phải được xem là thử nghiệm đạt yêu cầu nếu sau khi thử nghiệm thiết bị này có thể làm việc bình thường như được quy định trong tiêu chuẩn sản phẩm thích hợp.
7.4 Thử nghiệm độ tăng nhiệt
7.4.1 Yêu cầu chung
Thử nghiệm độ tăng nhiệt là thử nghiệm kiểu loại và được thực hiện với đối tượng thử nghiệm được lắp đặt trong phòng thí nghiệm để tái tạo lại chính xác nhất các điều kiện lắp đặt cuối cùng.
Các cuộn dây và điện trở phải được cấp điện ở giá trị điện áp điều khiển danh định lớn nhất (xem 5.2) hoặc giá trị điện áp Umax nếu có (xem 3.2.1.2.1). Các mạch điện xoay chiều phải được cấp điện ở tần số danh định.
Các tiếp điểm, dây dẫn và các chi tiết dẫn điện khác phải có thể mang dòng điện làm việc danh định của chúng (xem 3.2.5) (dòng điện trong thử nghiệm độ tăng nhiệt đối với thiết bị đóng cắt có hoặc không có vỏ).
Việc độ tăng nhiệt trên nhiệt độ môi trường xung quanh phải được thực hiện khi các chỉ số đo nhiệt độ đã đạt đến trạng thái ổn định. Các biến thiên nhỏ hơn 1 K/h, với thời gian thử nghiệm lớn nhất là 8 h, phải được xem là các điều kiện thỏa mãn các điều kiện ở trạng thái ổn định yêu cầu. Đối với các cuộn dây và điện trở của mạch điện phụ hoặc mạch điện điều khiển thường được cấp điện trong khoảng thời gian ngắn, theo thứ tự lên đến ba lần hằng số thời gian của chúng, sau đó là khoảng thời gian dài không làm việc, không cần cấp điện cho thử nghiệm này.
7.4.2 Nhiệt độ môi trường
Nhiệt độ môi trường xung quanh phải được đo trong một phần tư cuối cùng của giai đoạn thử nghiệm, bằng tối thiểu hai nhiệt kế hoặc cảm biến nhiệt độ, đặt liên tục xung quanh thiết bị, ở độ cao giữa thiết bị và cách thiết bị khoảng 1 m. Nhiệt kế hoặc cảm biến nhiệt độ phải được bảo vệ khỏi các dòng không khí và bức xạ nhiệt, đồng thời phải cẩn thận để tránh sai số hiển thị do nhiệt độ thay đổi nhanh.
7.4.3 Thử nghiệm độ tăng nhiệt của mạch điện chính
Thiết bị có vỏ tích hợp phải được thử nghiệm kèm vỏ.
Kích thước (tiết diện) của các dây dẫn thử nghiệm phải được ghi lại trong báo cáo thử nghiệm.
Khi sử dụng cáp đồng, mật độ dòng điện sau đây được khuyến nghị:
- Đối với INe lên đến 3 000 A: 1,5 A/mm2;
- Đối với INe từ 3 000 A đến 6 500 A: 1,3 A/mm2;
- Đối với INe từ 6 500 A đến 10 000 A: 1,1 A/mm2;
Nếu sử dụng thanh đồng, các giá trị về số lượng và kích thước của các thanh đồng nên tuân thủ các giá trị được quy định trong Bảng 7.
Đối với các thử nghiệm trên thiết bị ngoài trời, nếu giới hạn độ tăng nhiệt nhỏ hơn 30 K so với giá trị quy định trong Điều 6, mật độ dòng điện của cáp và kích thước của các thanh đồng khác với quy định trong Bảng 7. Các kích thước khuyến nghị được liệt kê trong tiêu chuẩn TCVN 13936-4:2024.
Bảng 7 - Khuyến nghị về số lượng và kích thước của các thanh đồng
| INe | Thanh đồng | |
| A | Số lượng | Tiết diện mm × mm |
| 630 đến 800 | 2 | 50 × 5 |
| 801 đến 1 000 | 2 | 60 × 5 |
| 1 001 đến 1 250 | 2 | 80 × 5 |
| 1 251 đến 1 600 | 2 | 100 × 5 |
| 1 601 đến 2 000 | 3 | 100 × 5 |
| 2 001 đến 2 500 | 4 | 100 × 5 |
| 2 501 đến 3 150 | 3 | 100 × 10 |
| 3 151 đến 4 000 | 4 | 100 × 10 |
| 4 001 đến 5 000 | 5 | 100 × 10 |
| 5 001 đến 6 300 | 6 | 100 × 10 |
| 6 301 đến 8 000 | 4 | 160 × 10 |
Tốt nhất nên bố trí các thanh đồng sao cho phần dài hơn của mặt cắt ngang được định hướng theo phương thẳng đứng.
Thử nghiệm độ tăng nhiệt của mạch điện chính phải được thực hiện ở giá trị dòng điện làm việc danh định INe, sau đó thực hiện ở giá trị dòng điện quá tải quy định hoặc thực hiện ở giá trị dòng điện thử nghiệm độ tăng nhiệt Ith hoặc Ithe. Việc lựa chọn giữa các giá trị dòng điện trên là do thỏa thuận giữa khách hàng và đơn vị cung cấp.
Các thiết bị kết nối tạm thời với mạch điện chính phải được thực hiện sao cho không tạo ra phát nhiệt đáng kể trong quá trình thử nghiệm. Giá trị độ tăng nhiệt đo trên các đầu cực của mạch điện chính và trên các thiết bị kết nối tạm thời, cách các đầu cực 1 m. Chênh lệch giá trị độ tăng nhiệt không được vượt quá 5 K.
7.4.4 Thử nghiệm độ tăng nhiệt đối với các mạch điện phụ và mạch điện điều khiển
Các thiết bị được thiết kế để làm việc liên tục phải được thử nghiệm theo quy định tại 7 4.3. Các mạch điện này chỉ được cấp điện trong quá trình thực hiện các thao tác đóng và / hoặc các thao tác cắt, phải được cấp điện 10 lần theo thứ tự, mỗi khoảng thời gian tương ứng với khoảng thời gian xảy ra trong quá trình làm việc, với khoảng thời gian giữa các lần cấp điện liên tiếp không quá 5 s.
7.4.5 Đo nhiệt độ của tất cả các tổng thành
Đối với các chi tiết mang điện không phải là các cuộn dây, nhiệt độ của các thiết bị khác nhau phải được đo bằng các thiết bị thích hợp như cảm biến nhiệt độ, được lắp đặt gần điểm nóng nhất có thể tiếp cận được đối với các tiếp điểm; đối với các dây dẫn và mối nối, cảm biến nhiệt độ phải được lắp đặt càng gần thiết bị cách điện liền kề càng tốt.
Độ dẫn nhiệt tốt phải được đảm bảo giữa cảm biến nhiệt độ và bề mặt của chi tiết cần đo.
Đối với các cuộn dây được nối song song, phải áp dụng phương pháp biến thiên điện trở. Các phương pháp khác chỉ được chấp nhận khi không thể sử dụng phương pháp biến thiên điện trở. Nhiệt độ cuộn dây phải được đo trước khi thực hiện thử nghiệm độ tăng nhiệt bằng cảm biến nhiệt độ, không được chênh lệch so với nhiệt độ môi trường quá 3 K.
7.5 Thử nghiệm điện môi
7.5.1 Thử nghiệm chịu điện áp xung
Thử nghiệm chịu điện áp xung phải được thực hiện (thử nghiệm kiểu loại hoặc thử nghiệm điều tra) chỉ khi được quy định trong phần thích hợp của tiêu chuẩn này đối với một sản phẩm cụ thể.
Trừ khi có quy định khác trong phần thích hợp của bộ tiêu chuẩn TCVN 13936 này, thử nghiệm chịu điện áp xung phải áp dụng cho các chi tiết mang điện của mạch điện chính và tất cả các chi tiết dẫn điện khác được nối với đất, của ba xung dương với 1,2/50 sóng, tiếp theo bởi ba xung âm có cùng dạng sóng. Giá trị đỉnh của xung UNi phải được lựa chọn phù hợp với Bảng 1.
Các thiết bị chuyển mạch có thể phải được gửi (theo nhiệm vụ của chúng, như được quy định đối với từng kiểu loại thiết bị độc lập) để thực hiện các thử nghiệm tương tự lần thứ hai, nhưng ở vị trí cắt bằng cách đặt giá trị xung vào các chi tiết phía bên đường dây của mạch điện chính, kết nối tất cả các chi tiết dẫn điện còn lại với đất.
Sản phẩm được xem là thử nghiệm đạt yêu cầu nếu không xảy ra phóng điện bề mặt.
Chú thích: Thử nghiệm với các sóng lan truyền (dài) được xem là thử nghiệm điều tra.
7.5.2 Thử nghiệm chịu điện áp tần số công nghiệp
Thử nghiệm chịu điện áp tần số công nghiệp thường là thử nghiệm xuất xưởng Thử nghiệm này phải được thực hiện bằng cách sử dụng điện áp thử nghiệm trong dải tần số từ 45 Hz đến 62 Hz có dạng sóng hình sin (xem tiêu chuẩn TCVN 6099-1 và EN 50124-1, Phụ lục B).
Điện áp thử nghiệm Ua tương ứng với cấp điện áp cách điện được quy định trong Bảng 1 và được duy trì trong 60 s như sau:
- Đối với các thiết bị đóng cắt cả trong phạm vi mạch điện chính (ở vị trí đóng) và tất cả các chi tiết dẫn điện còn lại được nối với đất, và (ở vị trí cắt) giữa các tiếp điểm, một tiếp điểm và tất cả các chi tiết dẫn điện còn lại được nối với đất.
- Đối với tất cả các thiết bị khác (trừ thiết bị chống sét lan truyền, có các yêu cầu khác) là giữa các chi tiết mang điện và đất.
Thiết bị dự kiến lắp đặt trong nhà phải được thử nghiệm trong các điều kiện khô ráo; thiết bị dự kiến lắp đặt ngoài trời phải được thử nghiệm trong các điều kiện ẩm ướt đối với thử nghiệm kiểu loại và trong các điều kiện khô ráo đối với thử nghiệm xuất xưởng.
Giá trị điện áp thử nghiệm tần số công nghiệp đối với các mạch điện phụ và mạch điện điều khiển phải là 2 000 V. Các giá trị điện áp thử nghiệm thấp hơn có thể được thỏa thuận giữa khách hàng và đơn vị cung cấp.
Chú thích: Các quy trình thử nghiệm phải tuân thủ theo thỏa thuận giữa khách hàng và đơn vị cung cấp, tuy nhiên tiêu chuẩn IEC 60507 có thể được sử dụng như là tài liệu hướng dẫn.
7.6 Điều kiện ngắn mạch và cắt tải
7.6.1 Mạch điện thử nghiệm đối với các điều kiện ngắn mạch và cắt tải
Sơ đồ điển hình của mạch điện thử nghiệm được thể hiện trên Hình A.1 với các đặc tính và hiệu chuẩn điển hình được thể hiện trong Hình A.2.
Nguồn cấp điện S cấp điện cho mạch điện bao gồm các điện trở điều chỉnh được R, các cuộn kháng điều chỉnh được L và đối tượng thử nghiệm A.
Nếu nguồn cấp điện không phải là máy phát thì số xung của bộ biến đổi điện nhỏ nhất phải là 6 với tần số cấp nhỏ nhất là 50 Hz.
Đối với các nhiệm vụ thử nghiệm mô phỏng các sự cố của trạm điện kéo, mạch điện thử nghiệm phải tạo ra dòng điện đỉnh với đặc tính được minh họa như hiệu chuẩn 1 trong Hình A.2.
Các cuộn kháng L phải là loại không có lõi và phải được mắc nối tiếp với các điện trở R và giá trị của chúng phải đạt được bằng cách thêm vào các cuộn kháng sơ cấp nối tiếp; Việc ghép song song chỉ được chấp nhận khi các cuộn kháng này thực tế có cùng hằng số thời gian.
Đối với các nhiệm vụ thử nghiệm cách xa trạm điện kéo hoặc để đóng cắt dòng quá tải / tải, mạch điện thử nghiệm phải tạo ra một dạng sóng hàm mũ với các đặc tính được minh họa như hiệu chuẩn 2 trong Hình A.2, ở hằng số thời gian quy định. Cuộn kháng điều chỉnh L và điện trở điều chỉnh R nên được thêm vào đầu cực phía phụ tải của thiết bị đóng cắt. Điều này không phải lúc nào cũng có thể thực hiện được trong một trạm thử nghiệm và thường một số điều chỉnh về mạch điện được thực hiện phía bên điện xoay chiều. Điều này có thể chấp nhận được với điều kiện không nhỏ hơn 80 % trở kháng ở phía bên phụ tải.
Mọi mạch điện thử nghiệm khác với cách bố trí nêu trên phải được ghi lại trong báo cáo thử nghiệm.
Tất cả các chi tiết của đối tượng thử nghiệm thường được nối với đất, kể cả vỏ hoặc màng chắn, phải được cách điện với đất và được nối qua thiết bị D tới dây dẫn có cực ngược lại với đối tượng thử nghiệm được nối như minh họa trong Hình A.1.
Thiết bị D phải bao gồm một cầu chì, một dây đồng dài 50 mm và có đường kính 0,8 mm hoặc một dây cầu chì tương tự để phát hiện dòng điện sự cố. Thiết bị này phải bao gồm một điện trở để giới hạn dòng sự cố không nhỏ hơn 1,5 kA.
Chú thích: Một dây đồng có đường kính 0,8 mm nóng chảy ở dòng điện một chiều 1 500 A trong thời gian 0,01 s. Dòng điện sự cố duy trì kỳ vọng là dòng điện sự cố đạt đến giá trị này.
7.6.2 Chi tiết về việc tiến hành thử nghiệm
Thiết bị phải cắt được dòng điện thử nghiệm mà không gãy ra đánh lửa lại sau khi giá trị dòng điện bằng không. Không được có phóng điện bề mặt giữa các cực và không có dòng điện cấp cho thiết bị D.
Thiết bị phải duy trì trong tình trạng cho phép thực hiện các thao tác cơ học liên tục của thiết bị; mọi nguyên nhân gây ra cháy các tiếp điểm phải không ngăn thiết bị cắt bình thường.
7.6.3 Các trạng thái của thiết bị sau khi thử nghiệm
Sau khi thử nghiệm được thực hiện, không được xảy ra các hư hỏng về chức năng.
Ngay sau khi thử nghiệm, kiểm tra lại sự phù hợp của thiết bị ở các trạng thái đóng và các trạng thái cắt với chu kỳ không tải.
Sau thử nghiệm và trước khi thực hiện mọi công tác bảo trì sơ bộ, thiết bị phải có khả năng chịu được giá trị điện áp danh định xoay chiều gấp đôi giá trị điện áp danh định UNe trong khoảng thời gian 60 s. Ngoài ra, chỉ đối với các thiết bị chuyển mạch - cách ly, khách hàng có thể yêu cầu kiểm tra để đảm bảo rằng dòng điện rò không lớn hơn 2 mA, ở điện áp danh định 1,1 UNe bằng cách tác dụng một nguồn cấp điện một chiều trong khoảng thời gian 60 s. Dòng điện rò phải được đo tại từng tiếp điểm mở và giữa từng đầu cực và khung.
Phép đo điện trở của mạch điện chính, được thực hiện sau khi thử nghiệm và được so sánh với phép đo được thực hiện trước khi thử nghiệm, không được có sai lệch lớn (nghĩa là tăng không quá 50 %).
Nếu phép đo điện trở của mạch điện chính cho thấy tăng hơn 50 % giá trị trước khi thử nghiệm, thì có thể thực hiện một số thao tác không tải để cố gắng giảm điện trở xuống dưới chỉ số này; nếu không, phải thực hiện lại thử nghiệm độ tăng nhiệt để chứng minh rằng thiết bị đã thử nghiệm đạt yêu cầu; trong trường hợp này cho phép giá trị độ tăng nhiệt tăng thêm 10 K trên các tiếp điểm.
7.7 Kiểm tra xác nhận trong quá trình thử nghiệm dòng điện chịu được trong thời gian ngắn
7.7.1 Các giá trị thử nghiệm và thử nghiệm
Thử nghiệm phải được thực hiện ở giá trị điện áp danh định UNe, với mạch điện được hiệu chuẩn theo 7.6.1. Sau đó, các giá trị thử nghiệm này chính là các giá trị của dòng điện kỳ vọng phải được duy trì trong 0,25 s và ít nhất phải thể hiện giá trị duy trì là INcw và giá trị đỉnh là 1,42 × INcw. Thử nghiệm này phải được thực hiện lại trên thiết bị được thử nghiệm.
Thử nghiệm có thể được thực hiện ở giá trị điện áp một chiều thấp hơn hoặc thực hiện thử nghiệm với điện xoay chiều hai giai đoạn. Trong những trường hợp này, không có thử nghiệm kỳ vọng và các giá trị thử nghiệm được yêu cầu là những giá trị thực sự xuất hiện trong quá trình thử nghiệm.
Thử nghiệm với điện xoay chiều được chia thành hai giai đoạn: giai đoạn đầu tiên được thực hiện bằng cách sử dụng dòng điện xoay chiều có giá trị đỉnh không đối xứng là 1,42 x INcw, tác dụng trong khoảng thời gian vòng lặp không nhỏ hơn 15 ms; giai đoạn thứ hai là tác dụng dòng điện danh định xoay chiều giảm trong khoảng thời gian dài hơn (không quá 3 s) để duy trì tích phân Joule l2t = l2Ncw x 0,25.
Chú thích: Giá trị Iss có thể phải được điều chỉnh để đạt được giá trị đỉnh theo yêu cầu.
7.7.2 Điều kiện thử nghiệm
Thử nghiệm phải được thực hiện với tất cả các thiết bị chuyển mạch trong mạch điện thử nghiệm ở vị trí đóng và ở nhiệt độ môi trường.
7.7.3 Chi tiết về việc tiến hành thử nghiệm
Chi tiết về việc tiến hành thử nghiệm phải như quy định trong 7.6.2 (nếu có).
Không được xảy ra thao tác cắt và tất cả các thiết bị chuyển mạch trong mạch điện thử nghiệm phải duy trì đóng.
7.7.4 Các trạng thái của thiết bị sau khi thử nghiệm
Sau khi thử nghiệm, các chi tiết cơ khí và chi tiết cách điện của thiết bị không được hư hỏng đáng kể. Thiết bị phải phù hợp với 7.6.3 (nếu có).
7.8 Kiểm tra xác nhận thiết bị điều khiển thủ công về độ bền và độ tin cậy của thiết bị hiển thị vị trí
7.8.1 Điều kiện của các thiết bị được thử nghiệm
Các thiết bị phải được lắp đặt theo cách tương tự như khi thao tác bình thường. Đầu tiên, đo lực F để đạt được độ mở cần thiết. Đối với các thiết bị truyền động quay, lực F được tác dụng tại điểm bất lợi nhất của cơ cấu truyền động.
Để thuận tiện cho việc thử nghiệm, nếu điểm tác dụng lực gần trục quay hơn thì giá trị lực đo được tại điểm này được chọn làm lực cắt F.
7.8.2 Chế độ làm việc
Thiết bị phải ở vị trí đóng. Các chi tiết tiếp xúc cố định và chuyển động của cực mà thử nghiệm được xem là khắc nghiệt nhất phải luôn duy trì tiếp xúc bằng các biện pháp phù hợp. Sau đó cơ cấu truyền động phải chịu tác động của giá trị ứng suất giới hạn thích hợp theo quy định trong Bảng 8. Ứng suất này phải được tác động vào cơ cấu truyền động mà không tạo ra bất kỳ xung lực nào và duy trì việc tác động này trong vòng 10 s.
7.8.3 Các trạng thái của thiết bị sau khi thử nghiệm
Sau khi thử nghiệm và sau khi triệt tiêu ứng suất trên cơ cầu truyền động, không có chi tiết nào của cơ cấu truyền động hoặc thiết bị hiển thị vị trí bị hư hỏng.
Bảng 8 - Giá trị lực hoặc mô men xoắn đối với các thử nghiệm
| TT | Loại chuyển động | Ví dụ | Giá trị quy định | ||
| Giá trị danh nghĩa | Giá trị giới hạn | ||||
| Nhỏ nhất | Lớn nhất | ||||
| 1 | Dịch chuyển bằng một hoặc hai ngón tay | Nút bấm | 3 F | 50 N |
|
| 2 | Dịch chuyển bằng tay hoàn toàn | Tay điều chỉnh | 3 F | 100 N | 500 N |
| 3 | Dịch chuyển bằng tay hoàn toàn | Tay điều chỉnh | 3 C/D | 150 N | 650 N |
| 4 | Xoay bằng các ngón tay | Núm vặn | 3 C/D | 25 N |
|
|
| - Đường kính < 25 mm - Đường kính ≥ 25 mm |
| 3 C/D | 50 N |
|
| 5 | Xoay và giữ theo phương ngang | Núm mũi tên | 3 C/L | 50 N |
|
| 6 | Xoay và giữ tay hoàn toàn | Cầu cắt | 3 C | 5 Nm |
|
| 7 | Xoay bằng đòn bẩy và một tay | Chốt | 3 F | 100 N | 500 N |
| 8 | Xoay bằng phần tử đối xứng bằng cả hai tay | Bánh xe hoặc tay điều chỉnh | 3 F | 150 N | 650 N |
| Chú dẫn: C Mô men xoắn để đạt được độ mở bình thường cần thiết D Đường kính của cơ cấu truyền động F Lực để đạt được độ mở bình thường cần thiết tác dụng trực giao lên trục của cơ cấu điều khiển L Chiều dài của cơ cấu truyền động Chú thích: Nếu 3 F (hoặc 3 C) hoặc 3 C/L nhỏ hơn giá trị nhỏ nhất trong bảng này, thì thử nghiệm được thực hiện với giá trị nhỏ nhất này. Nếu 3 F (hoặc 3 C) hoặc 3 C/D hoặc 3 C/L lớn hơn giá trị lớn nhất trong bảng này, thì thử nghiệm được thực hiện với giá trị lớn nhất này. | |||||
Phụ lục A
(Quy định)
Sơ đồ các thử nghiệm

| Chú dẫn: | |||
| V | Đo điện áp nguồn cấp | B | Kết nối tạm thời để hiệu chuẩn |
| S | Nguồn cấp | O1 | Máy hiện sóng dòng điện |
| Rs | Điện trở có thể điều chỉnh (biến trở) nguồn | O3 | Máy hiện sóng điện áp hồ quang và điện áp phục hồi |
| Ls | Cuộn kháng có thể điều chỉnh nguồn | D | Thiết bị phát hiện dòng điện rò ra khung |
| RL | Điện trở có thể điều chỉnh (biến trở) tải | T | Nối đất, nếu được thực hiện |
| LL | Cuộn kháng có thể điều chỉnh tải | C | Cảm biến dòng điện |
| A | Thiết bị được thử nghiệm |
|
|
Hình A.1 - Sơ đồ mạch điện thử nghiệm để kiểm tra khả năng đóng và cắt trong các điều kiện ngắn mạch và cắt tải

Chú dẫn:
| Icut off | Dòng điện ngưỡng (3.2.12) | tc | Hằng số thời gian của mạch điện (3.2.13) |
| Id | Cài đặt dòng nhả lớn nhất (3.4.21) | Ur | Điện áp phục hồi (3.2.19) |
| Îss | Giá trị đỉnh Iss (3.2.11) | UNe | Điện áp danh định (3.2.1.4) |
| îss | Dòng ngắn mạch duy trì kỳ vọng (3.2.9) | Ûarc | Điện áp hồ quang lớn nhất (3.2.1.10) |
| ta | Thời gian phỏng hồ quang (3.4.23.5) | t0 | Thời gian bắt đầu cắt (3.4.23.7) |
| tb | Tổng thời gian cắt (3.4.23.6) | t1 | Thời gian dập dòng điện hồ quang (3.4.23.7) |
| tl | Thời gian cắt (3.4.23.1) |
|
|
Hình A.2 - Các hiệu chuẩn điển hình và sự gián đoạn trong các điều kiện ngắn mạch và cắt tải (Thể hiện hai trường hợp hiệu chuẩn khác nhau) (xem 7.6)
Phụ lục B
(Quy định)
Điều kiện môi trường đối với các thiết bị lắp đặt trong nhà
B.1 Yêu cầu chung
Các điều kiện môi trường này dựa trên bộ tiêu chuẩn TCVN 7921.
Các điều kiện môi trường được xem là bình thường trong quá trình khai thác được thể hiện cũng như các điều kiện bất thường có thể xảy ra thường phải thỏa mãn các điều kiện địa lý hoặc vị trí quy định.
Các điều kiện này áp dụng cho các thiết bị lắp đặt trong nhà, đại diện cho phần lớn các thiết bị liên quan trong tiêu chuẩn này. Đối với các điều kiện lắp đặt trong nhà, gồm các điều kiện sau: không bị ô nhiễm, không có bụi dẫn điện, được bảo vệ tốt mà không bị ảnh hưởng bởi độ ẩm và sự ngưng tụ đáng kể của hơi nước.
Tuy nhiên, các chỉ dẫn cũng được quy định đối với các cấp điện áp và các khe hở không khí trong các điều kiện ngoài trời do khách hàng quy định. Trong mọi trường hợp, đối với các thiết bị chuyển mạch - cách ly và các thiết bị nối đất ngoài trời, tham khảo tiêu chuẩn TCVN 11853; đối với thiết bị chống sét và thiết bị giới hạn điện áp được lắp đặt ngoài trời, tham khảo tiêu chuẩn TCVN 8097-1 và IEC 60099-4, ngoại trừ lắp đặt trên các đường dây thì áp dụng tiêu chuẩn TCVN 11853.
B.2 Áp suất không khí và độ cao
Thiết bị phải phù hợp để lắp đặt ở độ cao (h) từ -120 m đến 1 400 m so với mực nước biển.
Đối với việc lắp đặt ở độ cao lớn hơn, các thử nghiệm độ tăng nhiệt và các thử nghiệm điện môi, được thực hiện tại các phòng thí nghiệm ở các cấp thấp hơn, phải tính đến việc hiệu chỉnh giới hạn độ tăng nhiệt và các giá trị thử nghiệm điện môi phải được thỏa thuận giữa khách hàng và đơn vị cung cấp.
B.3 Nhiệt độ
Thiết bị trong nhà phải phù hợp với các dải nhiệt độ môi trường sau:
| Θmin | Nhiệt độ môi trường nhỏ nhất trong quá trình thao tác | - 5 °C |
| Θts | Nhiệt độ môi trường nhỏ nhất trong quá trình vận chuyển và lưu kho | - 25 °C |
| Θmxts | Nhiệt độ môi trường lớn nhất trong quá trình vận chuyển và lưu kho | 55 °C |
| Θd | Nhiệt độ môi trường trung bình hàng ngày lớn nhất | 35 °C |
| Θa | Nhiệt độ môi trường lớn nhất tuyệt đối | 40 °C |
Mọi điều kiện khác với các điều kiện trên phải được quy định.
B.4 Điều kiện khí quyển
Điều kiện trong nhà, không khí phải sạch và độ ẩm tương đối không được quá 50 % RH ở nhiệt độ lớn nhất + 40 °C. Độ ẩm tương đối có thể cao hơn nếu nhiệt độ thấp hơn, ví dụ: 90 % RH ở + 20 °C. Phải có dung sai dự phòng đối với sự ngưng tụ nhẹ của hơi nước có thể xảy ra khi nhiệt độ thay đổi.
Trong trường hợp có khả năng xảy ra các tình huống khác nhau, các tình huống đại diện cho các tình huống bất thường đối với việc lắp đặt trong nhà, thì phải thông báo cho đơn vị cung cấp về các tình huống này.
Độ ẩm 100 % có thể xảy ra trong quá trình khởi động. Đây là một hoạt động bất thường cần được quy định và các điều khoản thích hợp để tránh hư hỏng hoặc làm việc không chính xác phải được thỏa thuận giữa khách hàng và đơn vị cung cấp.
Điều kiện ngoài trời, có thể dự báo một lượng bụi có độ dẫn điện thấp và độ ẩm do mưa, tuyết, băng và sương mù.
B.5 Thông gió
Việc thông gió trong các không gian dự kiến để lắp đặt thiết bị phải đảm bảo khả năng duy trì nhiệt độ của môi trường không khí xung quanh thấp hơn giới hạn quy định trong B.3.
B.6 Ô nhiễm
Đối với thiết bị trong nhà, mọi giá trị ô nhiễm vượt quá giá trị quy định trong B.1 và mức 1 trong tiêu chuẩn TCVN 7921 phải được quy định.
Chú thích: Khi tham chiếu đến các khe hở không khí, phải tính đến mức độ ô nhiễm thích hợp trong các số liệu trong Bảng 1. Giá trị tương tự cũng áp dụng đối với chiều dài đường rò quy định trong Phụ lục D.
Mọi sai lệch so với các tuyên bố này phải được quy định và các khe hở không khí/chiều dài đường rò phải tuân thủ theo thỏa thuận giữa khách hàng và nhà sản xuất.
B.7 Rung động
Thiết bị phải phù hợp để lắp đặt trong vùng lân cận của đường ray trên nền móng được thiết kế để làm giảm các tác động chính của việc tàu chạy qua. Tuy nhiên, rung động giới hạn có thể ảnh hưởng đến thiết bị, thiết bị phải có khả năng làm việc tốt khi chịu các rung động hình sin thông thường ở tần số 10 Hz, được tác dụng độc lập và có các đặc tính được thể hiện trong Bảng B.1
| Hướng | Gia tốc đỉnh | Khoảng thời gian danh nghĩa |
| Thẳng đứng | 5 m/s2 | 30 s |
| Ngang | 5 m/s2 | 30 s |
Bất kỳ điều kiện nào khác với các điều kiện trên phải được quy định.
B.8 Khu vực nguy hiểm về cháy nổ
Dự kiến sẽ có các cấp sau:
| F0 | Không có nguy cơ xảy ra cháy nổ đặc biệt nào được dự báo. Ngoại trừ các đặc tính vốn có trong thiết kế của thiết bị, không có biện pháp đặc biệt nào được thực hiện để hạn chế tính dễ cháy. Đây được xem là điều kiện làm việc bình thường. |
| F1 | Thiết bị có nguy cơ cháy nổ. Việc hạn chế tính dễ cháy là bắt buộc. Tính năng tự dập tắt đám cháy phải diễn ra trong một khoảng thời gian nhất định phải được thỏa thuận giữa khách hàng và đơn vị cung cấp, trừ khi tiêu chuẩn quy định khác. Việc phát thải ra các chất độc hại và khói mờ đục phải được giảm thiểu. Vật liệu và sản phẩm của quá trình cháy trên thực tế không được chứa halogen và phải đóng góp một lượng nhiệt năng hạn chế vào đám cháy bên ngoài. Đây được xem là điều kiện làm việc bất thường. |
| F2 | Bằng các quy định đặc biệt, thiết bị phải có khả năng làm việc trong một khoảng thời gian nhất định nếu bị cháy từ bên ngoài. Các yêu cầu đối với cấp F1 cũng phải thỏa mãn. Đây được xem là điều kiện làm việc bất thường. |
Phụ lục C
(Quy định)
Tìm kiếm các dòng điện tới hạn đối với máy cắt và thiết bị chuyển mạch một chiều
C.1 Yêu cầu chung
Đối với các loại máy cắt trong môi trường không khí, dòng điện tới hạn là các dòng điện thấp tạo ra các khoảng thời gian phóng hồ quang dài nhất. Điều này là do từ trường yếu được tạo ra bởi dòng điện trong quá trình phóng hồ quang, dẫn đến hồ quang chuyển động chậm từ điểm bắt đầu phỏng hồ quang đến vị trí dập tắt hồ quang trong phạm vi buồng dập hồ quang.
C.2 Thiết bị chuyển mạch và máy cắt một chiều
Yêu cầu này áp dụng cho các thiết bị chuyển mạch được yêu cầu cắt các dòng điện chỉ theo một chiều. Yêu cầu này áp dụng cho các máy cắt đường dây L kiểu U1 và U2.
Các thử nghiệm cắt phải được thực hiện ở các cấp dòng điện sau:
| 25 A | 50 A | 100 A | 200 A | 400 A |
Ở điện áp danh định UNe, với hằng số thời gian của mạch điện không nhỏ hơn 0,01 s. Các hằng số thời gian nhỏ hơn được chấp nhận với điều kiện là độ tự cảm tải của mạch điện có giá trị nhỏ nhất là 50 mH. Độ tự cảm nhỏ hơn 50 mH có thể được sử dụng với sự đồng ý của khách hàng.
Cần thực hiện mười thao tác cắt ở từng giá trị của dòng điện, với một chuỗi thao tác bắt đầu từ giá trị thấp nhất.
Trước khi bắt đầu thử nghiệm, không được tồn tại từ dư tại buồng dập hồ quang.
Các giá trị chính xác của dòng điện là không quan trọng, miễn là dòng điện thử nghiệm lần sau gần gấp đôi dòng điện thử nghiệm trước đó là được.
Thời gian phóng hồ quang sẽ có sự phân tán rộng ở mỗi giá trị của dòng điện.
Các kết quả phải được vẽ bằng đồ thị để minh họa sự phân tán về thời gian phóng hồ quang so với giá trị dòng điện. Dải giá trị dòng điện thử nghiệm có thể chứng minh sự tồn tại của dòng điện tới hạn, bản thân dòng điện này có thể có dải rộng. Giá trị lớn nhất và nhỏ nhất của dòng điện được thử nghiệm phải chứng minh thời gian phóng hồ quang ngắn hơn (các) giá trị tới hạn. Nếu có dòng điện tới hạn tồn tại, cần phải mở rộng dải dòng điện thử nghiệm bằng cách sử dụng hệ số giảm một nửa hoặc nhân đôi.
C.3 Thiết bị chuyển mạch và máy cắt hai chiều
Yêu cầu này áp dụng cho các thiết bị chuyển mạch được yêu cầu cắt các đồng điện theo cả hai chiều bất cứ lúc nào. Yêu cầu này áp dụng cho các máy cắt liên thông I và máy cắt chỉnh lưu R.
Đầu tiên, các thử nghiệm cắt phải được thực hiện như đối với các thiết bị chuyển mạch một chiều, để thiết lập giá trị dòng điện tới hạn.
Đối với các máy cắt, thử nghiệm tiếp theo là đối với buồng dập hồ quang để loại bỏ dòng điện vượt quá 1 000 A, để loại bỏ từ dư trong buồng dập hồ quang theo chiều đó. Đối với các thiết bị chuyển mạch có nhiệm vụ cắt, thử nghiệm tiếp theo là đối với buồng dập hồ quang để loại bỏ dòng điện vượt quá 1 000 A hoặc dòng điện cắt danh định của nó, nếu nhỏ hơn 1 000 A.
Sau đó, các thao tác cắt phải được thực hiện ở giá trị dòng điện tới hạn, với dòng điện tới hạn có chiều ngược lại với chiều dòng điện cao thế trước đó.
Thực hiện năm thao tác cắt và sau đó toàn bộ quy trình này được lặp lại một lần nữa. Điều này đảm bảo rằng buồng dập hồ quang giữ lại được từ tính theo chiều ngược lại để cắt các dòng điện nhỏ, trong 10 lần cắt.
Phải thực hiện thêm 10 thao tác ở giá trị dòng điện bằng một nửa và gấp đôi giá trị dòng điện danh định, được thực hiện theo cách tương tự như đối với dòng điện tới hạn. Nếu việc làm này tạo ra khoảng thời gian phóng hồ quang dài hơn thì phải thực hiện các thử nghiệm tiếp theo cho đến khi khoảng thời gian phóng hồ quang giảm. Mỗi lần thử nghiệm thì dòng điện thử nghiệm phải giảm một nửa hoặc tăng gấp đôi.
Các khoảng thời gian phóng hồ quang dài hơn các dòng điện tới hạn một chiều có thể được phát hiện do các tác động bất lợi của từ dư đảo ngược.
Ngoài ra, các dòng điện thấp hơn dòng điện tới hạn có ít tác dụng khử từ hơn đối với từ dư và có thể tạo ra khoảng thời gian phóng hồ quang dài hơn.
Phụ lục D
(Tham khảo)
Chiều dài đường rò khuyến nghị
Theo mục đích của tiêu chuẩn này, chỉ có hai nhóm vật liệu được xem xét tuân thủ theo giá trị CTI của chúng, như được thể hiện trong Bảng D.1.
Bảng D.1 - Nhận dạng nhóm vật liệu
| Nhóm vật liệu I | 600 ≤ CTI |
| Nhóm vật liệu II | 400 ≤ CTI < 600 |
Các giá trị CTI ở trên đề cập đến các giá trị đạt được, phù hợp với tiêu chuẩn IEC 60112 và IEC 60587, trên các mẫu được chế tạo riêng cho mục đích này và được thử nghiệm bằng giải pháp A.
Dựa trên các giả định trên, Bảng D.2 đưa ra các giá trị khuyến nghị.
Bảng D.2 - Chiều dài đường rò khuyến nghị, tính bằng mm/kV (nền tảng UNm)
| Nhóm vật liệu | Thiết bị trong nhà | Thiết bị ngoài trời |
| I | 25 mm/kV (UNm) | 30 mm/kV (UNm) |
| II | 30 mm/kV (UNm) | 40 mm/kV (UNm) |
| Chiều dài đường rò nhỏ nhất tối thiểu phải bằng khe hở không khí nhỏ nhất quy định trong Bảng 1. | ||
Đối với các phương pháp đo, tham khảo tiêu chuẩn EN 50124-1.
Phụ lục E
(Tham khảo)
Tính toán xác định vị trí sự cố năng lượng lớn nhất
Một mạch điện tương đương đơn giản của một hệ thống điện kéo một chiều được thể hiện trong Hình E.1.
Chú thích: Chỉ số phụ c được sử dụng trong phụ lục này đề cập đến mạch điện hoàn chỉnh.
Do đó:

(E.1)
|
| (E.2) |
Trong đó:
![]()
|
| (E.3) |
Năng lượng tích trữ trong mạch điện đối với sự cố tại điểm F được quy định bởi:
![]()
Trong đó:
lC là tổng độ tự cảm của mạch điện và I là dòng điện kỳ vọng khi xảy ra ngắn mạch.
Có một giá trị của khoảng cách x mà năng lượng là lớn nhất.
Nếu:
|
| (E.4) |
Thì
|
| (E.5) |
Đối với dE/dx = 0 lớn nhất.
Chứng tỏ rằng nếu dE/dx = 0 thì khoảng cách mà năng lượng tích trữ lớn nhất trong mạch điện là:
|
| (E.6) |
Phương trình này có nghĩa khi x cho kết quả dương.
Thay biểu thức này vào tC, tổng hằng số thời gian của mạch điện tại vị trí có năng lượng tích trữ lớn nhất là:
|
| (E.7) |
Có nghĩa là năng lượng tích trữ lớn nhất trong mạch điện xảy ra khi tổng hằng số thời gian của mạch điện bằng một nửa hằng số thời gian của đường.
![]()
Trong đó:
|
| (E.8) |
Nếu
thì ImaxE (dòng điện kỳ vọng tại vị trí năng lượng tích trữ lớn nhất tai vị trí năng lượng lớn nhất), bằng cách thay thế:
|
| (E.9) |
Khi TS nhỏ hơn nhiều so với TC thì:
|
| (E.10) |
tại điểm năng lượng lớn nhất.
Hình E.2 cho thấy mối quan hệ giữa tỷ lệ
đối với các giá trị của
trong đó Ts không nhỏ hơn đáng kể so với Tc.
Điều này cho thấy rằng khi Ts = 0,5 × Tc thì vị trí năng lượng lớn nhất ở cấp dòng điện là ImaxE = Iss, ở khoảng cách x = 0.
Điều này cũng có thể được chỉ ra bằng cách thay giá trị
vào (E.1) khi ![]()
Đối với thử nghiệm kiểu loại, các giá trị danh định (được mô tả bằng chữ N, ví dụ: INss) được sử dụng.
Giá trị được quy định trong 5.1.1.3 được sử dụng đối với các giá trị thấp TNc trong đó hằng số thời gian của nguồn cấp không xác định.
Các giá trị tc và I được điều chỉnh để đưa ra các giá trị thử nghiệm có khả năng mô phỏng các giá trị không xác định Ts.
Những phép toán này chỉ dự đoán năng lượng tích trữ của mạch điện khi dòng điện đạt được qua máy cắt là giá trị kỳ vọng.
Năng lượng phóng hồ quang của máy cắt nhỏ hơn giá trị này nếu giá trị giới hạn dòng điện đạt được bởi máy cắt.

Chú dẫn:
| U | Điện áp nguồn cấp | F | Sự cố ở khoảng cách x từ thiết bị đóng cắt |
| RS | Điện trở nguồn | LS | Cảm kháng của nguồn |
| l | Cảm kháng của đường trên mỗi km | CB | Máy cắt hoặc thiết bị đóng cắt |
| r | Điện trở của đường trên mỗi km | x | Khoảng cách [km] giữa CB và F |
Hình E.1 - Mạch điện tương đương của một hệ thống điện kéo một chiều

Hình E.2 - Tỷ lệ ImaxE/Iss so với Ts/Tc
Thư mục tài liệu tham khảo
IEC 60068-2 (all parts), Environmental testing - Part 2: Tests (Thử nghiệm môi trường - Phần 2: Các thử nghiệm)
TCVN 8086:2009 (IEC 60085), Cách điện - Đánh giá về nhiệt và ký hiệu cấp chịu nhiệt (Thermal evaluation and classification of electric Insulation conditions)
IEC 60112, Method for determining the comparative and the proof tracking indices of solid insulating materials under moist conditions (Phương pháp xác định các chỉ số chịu phóng điện và chỉ số phóng điện tương đối của vật liệu cách điện rắn)
IEC 60507, Artificial pollution tests on high-voltage insulators to be used on a.c. systems (Thử nghiệm nhiễm bẩn nhân tạo trên thiết bị cách điện cao áp được sử dụng trong hệ thống điện xoay chiều)
TCVN 4255:2008 (IEC 60529:2001), Cấp bảo vệ bằng vỏ ngoài (mã IP) (Degrees of protection provided by enclosures (IP Code))
IEC 60587, Test methods for evaluating resistance to tracking and erosion of electrical insulating materials used under severe ambient conditions (Phương pháp thử nghiệm để đánh giá khả năng chống dò và mài mòn của vật liệu cách điện được sử dụng trong các điều kiện môi trường khắc nghiệt)
IEC 60815, Guide for the selection of insulators in respect of polluted conditions (Hướng dẫn lựa chọn thiết bị cách điện dùng trong các điều kiện ô nhiễm)
IEC 62128-1, Railway applications - Fixed installations - Part 1: Protective provisions relating to electrical safety and earthing (Ứng dụng đường sắt - Lắp đặt cố định - Phần 1: Các biện pháp bảo vệ liên quan đến an toàn điện và nối đất)
IEC 62128-2, Railway applications - Fixed installations - Part 2: Protective provisions against the effects of stray currents caused by d.c. traction systems (Ứng dụng đường sắt - Lắp đặt cố định - Phần 2: Các biện pháp bảo vệ chống lại các hiệu ứng dòng rò gây ra bởi hệ thống điện kéo một chiều)
EN 50124-2, Railway applications - Insulation co-ordination - Part 2: Overvoltages and related protections (Ứng dụng đường sắt - Phối hợp cách điện - Phần 2: Quá áp và các biện pháp bảo vệ liên quan)
EN 50327, Railway applications - Fixed installations - Harmonization of the rated values for converter groups and tests on converter groups (Ứng dụng đường sắt - Lắp đặt cố định - Hài hòa các giá trị danh định cho các nhóm bộ biến đổi điện và các thử nghiệm trên các nhóm bộ biến đổi điện)
EN 50328, Railway applications - Fixed installations - Electronic power converters for substations (Ứng dụng đường sắt - Lắp đặt cố định - Bộ biến đổi công suất điện tử dành cho trạm điện kéo)
EN 50329, Railway applications - Fixed installations - Traction transformers (Ứng dụng đường sắt - Lắp đặt cố định - Máy biến áp kéo)
Mục lục
1 Phạm vi áp dụng
2 Tài liệu viện dẫn
3 Thuật ngữ và định nghĩa
3.1 Thuật ngữ chung
3.2 Các đặc tính về hiệu năng
3.3 Các tổng thành
3.4 Các thuật ngữ liên quan đến máy cắt, thiết bị chuyển mạch - cách ly và rơle một chiều
4 Yêu cầu và điều kiện làm việc
4.1 Điều kiện môi trường
4.2 Cấp cách điện
5 Các tính năng tiêu chuẩn và các giả thiết quy ước
5.1 Các tính năng tiêu chuẩn và các thông số quy ước đối với mạch điện chính
5.2 Các tính năng tiêu chuẩn đối với mạch điện phụ và mạch điện điều khiển
6 Giới hạn độ tăng nhiệt
7 Thử nghiệm
7.1 Yêu cầu chung
7.2 Dung sai thử nghiệm
7.3 Thử nghiệm trên các thiết bị di động
7.4 Thử nghiệm độ tăng nhiệt
7.5 Thử nghiệm điện môi
7.6 Điều kiện ngắn mạch và cắt tải
7.7 Kiểm tra xác nhận trong quá trình thử nghiệm dòng điện chịu được trong thời gian ngắn
7.8 Kiểm tra xác nhận thiết bị điều khiển thủ công về độ bền, độ tin cậy của thiết bị hiển thị vị trí
Phụ lục A (Quy định) - Sơ đồ các thử nghiệm
Phụ lục B (Quy định) - Điều kiện môi trường đối với các thiết bị lắp đặt trong nhà
Phụ lục C (Quy định) - Tìm kiếm các dòng điện tới hạn đối với máy cắt và thiết bị cắt một chiều
Phụ lục D (Tham khảo) - Chiều dài đường rò khuyến nghị
Phụ lục E (Tham khảo) - Tính toán xác định vị trí sự cố năng lượng lớn nhất
Thư mục tài liệu tham khảo
[1] Giá trị này đã được sử dụng ở một số quốc gia và có thể tiếp tục được sử dụng. Giá trị ưu tiên đối với các hệ thống/thiết bị lắp đặt mới ở nơi khác là giá trị 80 kA.
Bạn chưa Đăng nhập thành viên.
Đây là tiện ích dành cho tài khoản thành viên. Vui lòng Đăng nhập để xem chi tiết. Nếu chưa có tài khoản, vui lòng Đăng ký tại đây!
