- Tổng quan
- Nội dung
- VB gốc
- Tiếng Anh
- Hiệu lực
- VB liên quan
- Lược đồ
-
Nội dung hợp nhất
Tính năng này chỉ có tại LuatVietnam.vn. Nội dung hợp nhất tổng hợp lại tất cả các quy định còn hiệu lực của văn bản gốc và các văn bản sửa đổi, bổ sung, đính chính... trên một trang. Việc hợp nhất văn bản gốc và những văn bản, Thông tư, Nghị định hướng dẫn khác không làm thay đổi thứ tự điều khoản, nội dung.
Khách hàng chỉ cần xem Nội dung hợp nhất là có thể nắm bắt toàn bộ quy định hiện hành đang áp dụng, cho dù văn bản gốc đã qua nhiều lần chỉnh sửa, bổ sung.
- Tải về
Thông tư 65/2015/TT-BGTVT sửa chữa phương tiện chuyên dùng bảo trì đường thủy nội địa
| Cơ quan ban hành: | Bộ Giao thông Vận tải |
Số công báo:
Số công báo là mã số ấn phẩm được đăng chính thức trên ấn phẩm thông tin của Nhà nước. Mã số này do Chính phủ thống nhất quản lý.
|
Đã biết
|
| Số hiệu: | 65/2015/TT-BGTVT | Ngày đăng công báo: |
Đã biết
|
| Loại văn bản: | Thông tư | Người ký: | Đinh La Thăng |
|
Ngày ban hành:
Ngày ban hành là ngày, tháng, năm văn bản được thông qua hoặc ký ban hành.
|
05/11/2015 |
Ngày hết hiệu lực:
Ngày hết hiệu lực là ngày, tháng, năm văn bản chính thức không còn hiệu lực (áp dụng).
|
Đang cập nhật |
|
Áp dụng:
Ngày áp dụng là ngày, tháng, năm văn bản chính thức có hiệu lực (áp dụng).
|
Đã biết
|
Tình trạng hiệu lực:
Cho biết trạng thái hiệu lực của văn bản đang tra cứu: Chưa áp dụng, Còn hiệu lực, Hết hiệu lực, Hết hiệu lực 1 phần; Đã sửa đổi, Đính chính hay Không còn phù hợp,...
|
Đã biết
|
| Lĩnh vực: | Giao thông |
TÓM TẮT THÔNG TƯ 65/2015/TT-BGTVT
Từ ngày 15/02/2021, Thông tư này bị sửa đổi, bổ sung bởi Thông tư 35/2020/TT-BGTVT.
Xem chi tiết Thông tư 65/2015/TT-BGTVT có hiệu lực kể từ ngày 01/01/2016
Tải Thông tư 65/2015/TT-BGTVT
|
BỘ GIAO THÔNG VẬN TẢI Số: 65/2015/TT-BGTVT |
CỘNG HÒA XÃ HỘI CHỦ NGHĨA VIỆT NAM |
THÔNG TƯ
BAN HÀNH ĐỊNH MỨC KINH TẾ - KỸ THUẬT SỬA CHỮA PHƯƠNG TIỆN CHUYÊN DÙNG
TRONG CÔNG TÁC QUẢN LÝ, BẢO TRÌ ĐƯỜNG THỦY NỘI ĐỊA
Căn cứ Luật Giao thông đường thủy nội địa số 23/2004/QH11 và Luật sửa đổi, bổ sung một số điều của Luật Giao thông đường thủy nội địa số 48/2014/QH13;
Căn cứ Nghị định số 107/2012/NĐ-CP ngày 20 tháng 12 năm 2012 của Chính phủ quy định chức năng, nhiệm vụ, quyền hạn và cơ cấu tổ chức của Bộ Giao thông vận tải;
Theo đề nghị của Cục trưởng Cục Đường thủy nội địa Việt Nam và Vụ trưởng Vụ Khoa học-Công nghệ,
Bộ trưởng Bộ Giao thông vận tải ban hành Thông tư ban hành Định mức kinh tế - kỹ thuật sửa chữa phương tiện chuyên dùng trong công tác quản lý, bảo trì đường thủy nội địa.
Điều 1. Ban hành kèm theo Thông tư này Định mức kinh tế - kỹ thuật sửa chữa phương tiện chuyên dùng trong công tác quản lý, bảo trì đường thủy nội địa.
Điều 3. Chánh Văn phòng Bộ, Chánh Thanh tra Bộ, các Vụ trưởng, Cục trưởng Cục Đường thủy nội địa Việt Nam, Thủ trưởng các cơ quan, tổ chức và cá nhân có liên quan chịu trách nhiệm thi hành Thông tư này./.
|
Nơi nhận: |
BỘ TRƯỞNG |
ĐỊNH MỨC KINH TẾ - KỸ THUẬT
SỬA CHỮA PHƯƠNG TIỆN CHUYÊN DÙNG
TRONG CÔNG TÁC QUẢN LÝ, BẢO TRÌ ĐƯỜNG THUỶ NỘI ĐỊA
(Ban hành kèm theo Thông tư số 65/2015/TT-BGTVT ngày 05 tháng 11 năm 2015 của Bộ trưởng Bộ Giao thông vận tải)
Phần I
NHỮNG QUY ĐỊNH CHUNG
Chương 1
QUY ĐỊNH CHUNG
1. Định mức này áp dụng đối với các cơ quan, tổ chức hoạt động trong lĩnh vực quản lý, bảo trì đường thủy nội địa.
2. Định mức sửa chữa phương tiện chuyên dùng trong công tác quản lý, bảo trì đường thủy nội địa là định mức kinh tế - kỹ thuật thể hiện mức hao phí về vật liệu, lao động và năng lượng để hoàn thành một đơn vị khối lượng công việc như bảo dưỡng, sửa chữa các cấp tiểu tu, trung tu, đại tu một loại phương tiện .v.v... từ khâu chuẩn bị đến khâu kết thúc.
Định mức sửa chữa phương tiện chuyên dùng trong công tác quản lý, bảo trì đường thủy nội địa là cơ sở để lập và duyệt dự toán sửa chữa cấp tiểu tu, trung tu, đại tu đối với phương tiện chuyên dùng trong công tác quản lý, bảo trì đường thủy nội địa.
3. Nội dung định mức sửa chữa phương tiện chuyên dùng trong công tác quản lý, bảo trì đường thủy nội địa bao gồm:
3.1. Định ngạch
Định ngạch là thước qui ước thời gian, cấp sửa chữa cho một loại phương tiện trong suốt thời gian sử dụng theo quy định nhằm đảm bảo chất lượng kỹ thuật của phương tiện mang lại hiệu quả kinh tế cao nhất. Do đặc điểm hoạt động của phương tiện chuyên dùng quản lý đường thủy nội địa nên định ngạch chia thước thời gian theo môi trường nước mặn và nước ngọt. Với những phương tiện thường xuyên hoạt động trong môi trường nước lợ thì áp dụng thước định ngạch theo môi trường nước mặn.
3.1.1. Thước định ngạch
Thước định ngạch là thang qui ước chung về thời gian, tần suất cấp sửa chữa cho phương tiện trong suốt thời kỳ khai thác nhằm đảm bảo chất lượng kỹ thuật và hiệu quả sử dụng, khai thác phương tiện.
3.1.2. Các cấp sửa chữa theo định ngạch
Cấp sửa chữa trong định ngạch là trình tự và mức độ sửa chữa được quy định để khắc phục những hư hỏng nhằm đảm bảo cho phương tiện hoạt động được bình thường đến chu kỳ sửa chữa sau.
Định ngạch sửa chữa phương tiện thủy có 4 cấp như sau:
- Bảo dưỡng, ký hiệu b;
- Sửa chữa cấp tiểu tu, ký hiệu t;
- Sửa chữa cấp trung tu, ký hiệu T;
- Sửa chữa cấp đại tu, ký hiệu Đ.
a) Cấp Bảo dưỡng
Là cấp bảo dưỡng kỹ thuật định kỳ, khác với bảo dưỡng trong thời gian khai thác do thuyền viên tự làm. Khi thực hiện cấp này, phương tiện phải đưa vào xưởng sửa chữa nhưng không phải lên đà. Phần vỏ ngoài trên mớn được phun cát, sơn hoàn chỉnh và sửa chữa vặt để đảm bảo phương tiện hoạt động được bình thường tới chu kỳ sửa chữa tiếp theo. Những công việc đòi hỏi phải sử dụng đến các thiết bị gia công do xưởng sửa chữa chịu trách nhiệm hỗ trợ.
Số lượng kim loại vỏ phương tiện thay mới phần từ mớn nước trở lên tối đa £ 5% tổng trọng lượng kim loại phần vỏ phương tiện. Phương tiện vào sửa chữa cấp bảo dưỡng được ngừng hoạt động 07 ngày. Thời gian do đơn vị bố trí, có thể kết hợp sửa chữa cấp bảo dưỡng khi phương tiện vào xưởng sửa chữa đột xuất, hoặc sửa chữa cấp máy.
Sau khi sửa chữa bảo dưỡng, phương tiện có thể được cơ quan đăng kiểm gia hạn hoạt động.
b) Cấp Tiểu tu
Sửa chữa cấp tiểu tu là nhằm loại những hư hỏng nhỏ bằng cách thay mới hoặc khôi phục lại các chi tiết đó bị hao mòn. Vỏ phương tiện được phun cát và sơn hoàn chỉnh. Khối lượng kim loại vỏ phương tiện được thay mới tối đa £ 15% khối lượng toàn bộ kim loại vỏ phương tiện. Sửa chữa tiểu tu phải đảm bảo hoạt động bình thường của phương tiện đến chu kỳ sửa chữa sau. Sửa chữa tiểu tu phải đưa phương tiện lên đà.
Sau khi sửa chữa, phương tiện được cơ quan đăng kiểm kiểm tra cấp phép hoạt động mới.
c) Cấp Trung tu
Sửa chữa trung tu là kiểm tra toàn bộ tình trạng kỹ thuật của bộ phận của phương tiện, thay mới hoặc khắc phục các cụm hoặc chi tiết bị mòn và sửa chữa các kết cấu vỏ tàu nhằm đảm bảo cho phương tiện có khả năng hoạt động được bình thường đến chu kỳ sửa chữa trung tu và đại tu tiếp sau, với khối lượng kim loại vỏ phương tiện thay mới tối đa £ 25% tổng khối lượng kim loại của vỏ phương tiện. Sửa chữa trung tu phải đưa phương tiện lên đà để khoan tôn vỏ lấy số liệu vỏ và sửa chữa phần dưới nước.
Sau khi sửa chữa, phương tiện được cơ quan đăng kiểm kiểm tra cấp phép hoạt động mới.
d) Cấp Đại tu
Sửa chữa đại tu bao gồm tháo và khảo sát toàn bộ các bộ phận của tàu thay mới, hoặc sửa chữa các bộ phận kể cả vỏ tàu với khối lượng kim loại thay mới tối đa £ 35% tổng khối lượng kim loại vỏ phương tiện.
Sửa chữa cấp đại tu có thể kèm thêm công việc hiện đại hóa cải tiến các trang thiết bị, nhằm tăng chất lượng kỹ thuật, chất lượng khai thác của phương tiện, tăng các chỉ tiêu kinh tế kỹ thuật, tăng năng suất lao động hoặc cải tiến việc chuyên chở và cải thiện điều kiện sinh hoạt cho thuyền viên.
Sau khi sửa chữa, phương tiện được cơ quan đăng kiểm kiểm tra cấp phép hoạt động mới.
Ghi chú: Những phương tiện vào sửa chữa các cấp nói trên, nếu số lượng kim loại thay mới vượt quá số lượng quy định của từng cấp (³ 40% so với cấp kế hoạch) thì sẽ được chuyển cấp. Trường hợp số lượng kim loại thay mới chưa vượt đến (40%) số lượng quy định của từng cấp thì được phép tính vượt cấp từng phần.
4.1.3. Những công việc sửa chữa nằm ngoài định ngạch
a) Sửa chữa đột xuất
Sửa chữa đột xuất là nhằm khôi phục lại những kết cấu phương tiện bị hư hỏng do tai nạn hoặc do sự cố bất thường trong lúc khai thác mà thuyền viên không thể tự đảm nhiệm được.
Sửa chữa đột xuất có thể đưa phương tiện lên đà hoặc không, tùy theo từng trường hợp hư hỏng. Thời gian và mức độ sửa chữa do người phụ trách sửa chữa quyết định sau khi đã khảo sát các hư hỏng.
b) Sửa chữa phục hồi
Sửa chữa phục hồi là nhằm khôi phục lại tình trạng hoạt động của phương tiện do hư hỏng lớn hoặc do bị bão chìm đắm, cháy...
Do đặc điểm vật liệu chế tạo phần vỏ của phương tiện quản lý đường thủy nội địa có loại vỏ thép, vỏ nhôm hợp kim, vỏ composite và vỏ gỗ nên nội dung các cấp sửa chữa cũng khác nhau. Định ngạch chỉ quy định chi tiết những cấp sửa chữa nằm trong thước định ngạch của phương tiện.
3.2. Định mức
3.2.1. Mức hao phí vật liệu
3.2.1.1. Mức hao phí vật liệu sửa chữa vỏ
Là số lượng vật liệu chính, vật liệu phụ cần cho việc thực hiện và hoàn thành một đơn vị khối lượng công tác sửa chữa. Mức hao phí vật liệu trong định mức này không bao gồm lượng dư gia công.
3.2.1.2. Phương pháp tính toán chi phí vật liệu sửa chữa vỏ phương tiện
a) Căn cứ và nguyên tắc tính toán
Các định mức cơ bản của Định mức năm 2011 được điều chỉnh, bổ sung phù hợp;
Các định mức tổng hợp được xây dựng từ định mức cơ bản và khối lượng công việc theo nội dung sửa chữa của Định ngạch;
Định mức được xây dựng trên cơ sở một nhà máy có các điều kiện sản xuất, trang thiết bị của xưởng tương đối ổn định, vật tư, năng lượng được cung cấp đồng bộ, đầy đủ;
Các định mức khối lượng vật tư chi tiết được xây dựng dựa trên các yếu tố:
+ Chỉ tiêu định mức sử dụng vật tư chi tiết cho một loại phương tiện đặc trưng của mỗi loại;
+ Các hệ số thể hiện đặc trưng kỹ thuật của phương tiện đó so với phương tiện đặc trưng;
+ Các biểu chi tiết tổng hợp vật tư của định ngạch ứng với một đơn vị tàu cụ thể nên có thể coi đó là phương tiện có tính đặc trưng dùng để tính cho các tàu khác cùng chủng loại.
b) Phương pháp tính toán
Muốn tính chi phí một loại vật liệu nào đó để sửa chữa cho một phương tiện trong một lần vào cấp, dùng công thức:
MiT = miT x QT
Trong đó:
miT: Chỉ tiêu chi phí loại vật tư thứ i cho một tấn tự trọng vỏ.
QT: Là trọng lượng vỏ tàu cần sửa chữa
3.2.1.3. Mức hao phí vật liệu sửa chữa máy
Mức hao phí vật liệu sửa chữa máy chưa xác định trong định mức này, sau khi đưa phương tiện lên đà tiến hành bổ máy kiểm tra tình trạng kỹ thuật của các chi tiết máy, để xem xét sửa chữa hoặc thay thế các chi tiết của máy.
3.2.2. Mức hao phí lao động
Là số giờ công lao động của công nhân trực tiếp thực hiện khối lượng công việc sửa chữa phương tiện;
Số lượng giờ công đã bao gồm cả lao động chính, phụ để thực hiện và hoàn thành khối lượng công tác sửa chữa từ khâu chuẩn bị đến khâu kết thúc;
Cấp bậc công nhân trong định mức là cấp bậc bình quân của các công nhân tham gia thực hiện một đơn vị công tác sửa chữa phương tiện.
a) Căn cứ và nguyên tắc tính toán
Các định mức tổng hợp được xây dựng từ định mức cơ bản và khối lượng công việc theo nội dung sửa chữa của định ngạch;
Các định mức được xây dựng trên cơ sở một nhà máy có các điều kiện sản xuất, trang thiết bị của xưởng tương đối ổn định, trang thiết bị và vật tư, năng lượng được cung cấp đồng bộ, đầy đủ;
Các định mức giờ công tổng hợp và chi tiết từng loại công việc được xây dựng trên các yếu tố:
+ Định mức giờ công tổng hợp và chi tiết từng loại công việc cho một loại phương tiện đặc trưng của mỗi chủng loại;
+ Các hệ số thể hiện đặc trưng kỹ thuật của phương tiện đó so với phương tiện đặc trưng;
+ Các biểu chi tiết tổng hợp giờ công của định ngạch ứng với một đơn vị tàu cụ thể nên có thể coi đó là phương tiện có tính đặc trưng dùng để tính cho các tàu khác cùng chủng loại.
b) Phương pháp tính toán
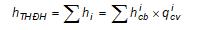
Định mức giờ công tổng hợp của mỗi loại phương tiện hTH được xác định theo công thức: hTH = hTHĐT x K
Trong đó:
hTHĐT: Định mức giờ công tổng hợp của phương tiện đặc trưng của mỗi chủng loại.
K: Hệ số đặc trưng kỹ thuật tổng hợp của phương tiện tính toán so với phương tiện đặc trưng:
+ Xác định hTHĐT:

|
Trong đó: |
hi |
Giờ công của mỗi loại công việc thứ i |
|
|
hicb qicv |
Định mức cơ bản của mỗi loại công việc thứ i Khối lượng cần làm của mỗi loại công việc thứ i |
|
|
i |
Thứ tự các loại công việc hoặc loại thợ |
+ Xác định K: K = 1+ (Ki + 1)
Trong đó:
Ki: Các hệ số đặc trưng kỹ thuật, bao gồm:
KSKT: Hệ số diện tích khai triển, xét về ảnh hưởng của diện tích khai triển Sikt phương tiện thứ i cần tính toán đến khối lượng lao động cần có khi sửa chữa so với diện tích khai triển SKTĐT của phương tiện đặc trưng.
Kd: Hệ số chiều dày tôn vỏ, xét về ảnh hưởng của chiều dầy tôn vỏ bình quân gi của phương tiện thứ i cần tính toán đến hao phí lao động khi sửa chữa so với phương tiện đặc trưng.
Kth: Hệ số tuyến hình vỏ, xét đến ảnh hưởng của tuyến hình vỏ của phương tiện cần tính toán đến hao phí lao động khi sửa chữa so với phương tiện đặc trưng và được quy định:
- Tuyến hình vỏ dưa, hông tròn Kth = 1
- Tuyến hình gãy góc Kth = 0,97
Ktg: Hệ số thời gian khai thác. Đối với những phương tiện có tuổi khai thác cao, hết niên hạn khấu hao và đã qua nhiều kỳ sửa chữa lớn, thời gian sử dụng phương tiện có ảnh hưởng đến mức độ khó khăn sửa chữa và hao phí lao động. Xét đến ảnh hưởng này, dùng hệ số thời gian Ktg để bổ sung định mức giờ công trong tính toán. Cụ thể:
- Đối với phương tiện chưa qua trung tu Ktg = 1,0
- Đối với phương tiện đã qua trung tu Ktg = 1,05
3.2.3. Mức hao phí điện năng
Là mức tiêu hao điện năng tính cho 1 kg que hàn
4. Kết cấu tập định mức kinh tế - kỹ thuật sửa chữa phương tiện chuyên dùng trong công tác quản lý, bảo trì đường thủy nội địa bao gồm 02 phần, 18 chương.
Chương 2
ĐỊNH NGẠCH CÁC CẤP SỬA CHỮA PHƯƠNG TIỆN
1. Định ngạch sửa chữa vỏ phương tiện (Đơn vị tính trên thước: năm )
a) Phương tiện vỏ thép hoạt động trong môi trường nước ngọt
|
Năm sử dụng |
0 |
1 |
2 |
3 |
4 |
5 |
6 |
7 |
8 |
9 |
10 |
11 |
12 |
13 |
14 |
15 |
|
Cấp sửa chữa |
- |
b |
b |
b |
t |
T |
b |
b |
t |
Đ |
b |
b |
t |
T |
t |
Thanh lý |
b) Phương tiện vỏ composite hoạt động trong môi trường nước ngọt
|
Năm sử dụng |
0 |
1 |
2 |
3 |
4 |
5 |
6 |
7 |
8 |
9 |
10 |
11 |
12 |
|
Cấp sửa chữa |
b |
t |
b |
t |
b |
Thanh lý |
|||||||
c) Phương tiện vỏ tàu hợp kim nhôm hoạt động trong môi trường nước ngọt
|
Năm sử dụng |
0 |
1 |
2 |
3 |
4 |
5 |
6 |
7 |
8 |
9 |
10 |
11 |
12 |
13 |
14 |
|
Cấp sửa chữa |
- |
b |
b |
t |
b |
b |
b |
t |
b |
b |
b |
t |
b |
b |
Thanh lý |
(Ký hiệu b: Bảo dưỡng thường xuyên hàng tháng. Hàng ngày thuyền viên phải bảo dưỡng theo các hạng mục đã quy định)
d) Phương tiện vỏ tàu gỗ hoạt động trong môi trường nước ngọt
|
Năm sử dụng |
0 |
1 |
2 |
3 |
4 |
5 |
6 |
7 |
8 |
9 |
10 |
11 |
12 |
|
Cấp sửa chữa |
- |
b |
b |
t |
b |
b |
b |
t |
b |
b |
t |
b |
Thanh lý |
đ) Phương tiện vỏ thép hoạt động trong môi trường nước mặn
|
Năm sử dụng |
0 |
1 |
2 |
3 |
4 |
5 |
6 |
7 |
8 |
9 |
10 |
11 |
12 |
13 |
|
Cấp sửa chữa |
- |
b |
t |
t |
T |
b |
t |
t |
Đ |
b |
t |
T |
t |
Thanh lý |
e) Phương tiện vỏ composite hoạt động trong môi trường nước mặn
|
Năm sử dụng |
0 |
1 |
2 |
3 |
4 |
5 |
6 |
7 |
8 |
9 |
10 |
|
Cấp sửa chữa |
b |
t |
b |
Thanh lý |
|||||||
g) Phương tiện vỏ tàu hợp kim nhôm hoạt động trong môi trường nước mặn
|
Năm sử dụng |
0 |
1 |
2 |
3 |
4 |
5 |
6 |
7 |
8 |
9 |
10 |
11 |
12 |
|
Cấp sửa chữa |
- |
b |
t |
b |
t |
b |
T |
b |
t |
b |
t |
b |
Thanh lý |
h) Phương tiện vỏ tàu gỗ hoạt động trong môi trường nước mặn
|
Năm sử dụng |
0 |
1 |
2 |
3 |
4 |
5 |
6 |
7 |
8 |
9 |
10 |
|
Cấp sửa chữa |
- |
b |
b |
t |
b |
b |
T |
b |
b |
t |
Thanh lý |
2. Định ngạch sửa chữa máy
- Cấp bảo dưỡng:
|
0h |
100h |
300h |
500h |
1.000h |
1.500h |
2.000h |
2.500h |
3.000h |
3.500h |
4.000h |
4.500h |
5.000h |
5.500h |
6.000h |
|
… |
b1 |
b1 |
b2 |
b3 |
t |
b1 |
b1 |
b2 |
b3 |
t |
b1 |
b2 |
b3 |
t |
- Cấp sửa chữa lớn:
|
0h |
1.500h |
3.000h |
4.500h |
6.000h |
7.500h |
9.000h |
10.500h |
12.000h |
13.500h |
15.000h |
16.500h |
18.000h |
19.500 |
|
|
t |
t |
t |
T |
t |
t |
t |
Đ |
t |
t |
t |
T |
t |
|
21.000h |
22.500h |
24.000th |
25.000h |
27.500h |
28.500h |
30.000h |
|
t |
t |
Đ |
t |
t |
t |
Hết đời máy |
- Tổng hợp số lần sửa chữa các cấp một đời máy gồm:
|
+ b1 |
= |
240 lần. |
+ t |
= 15 lần. |
|
+ b2 |
= |
20 lần. |
+ T |
= 02 lần. |
|
+ b3 |
= |
20 lần. |
+ Đ |
= 02 lần. |
|
Tổng cộng = 280 lần |
Tổng cộng = 19 lần. |
|||
* Các cấp bảo dưỡng 1, 2, 3 do thuyền viên tự làm.
* Các cấp sửa chữa tiểu tu, trung tu và đại tu đưa vào xưởng làm.
Chế độ thay dầu
* Sau khi sửa chữa các cấp trung tu và đại tu ra, thay dầu nhờn máy như sau:
- Lần thứ nhất: Sau 100 giờ hoạt động.
- Lần thứ hai: Sau 200 giờ hoạt động.
- Lần thứ ba: Sau 300 giờ hoạt động.
- Lần thứ tư trở đi: Sau 300 giờ hoạt động.
* Đối với máy mới, chế độ thay dầu cũng như trên.
Thước thay dầu:
|
100h |
200h |
300h |
500h |
1.000h |
1.500h |
(td: thay dầu) |
|
td |
td |
td |
td |
td |
td |
* Sau khi sửa chữa các cấp tiểu tu ra, thay dầu nhờn máy như sau:
- Lần thứ nhất sau: 300 giờ hoạt động.
- Lần thứ hai trở đi sau: 500 giờ hoạt động.
Chương 3
NỘI DUNG CÔNG VIỆC CÁC CẤP SỬA CHỮA
1. Nội dung công việc cấp sửa chữa bảo dưỡng thường xuyên
- Thực hiện tại bến, không đưa phương tiện đến xưởng sửa chữa, không kéo phương tiện lên triền đà hoặc vào đốc.
- Nhân công do kỹ thuật viên và thuyền viên tự thực hiện.
1.1. Thân vỏ phương tiện
- Gõ rỉ, chà vệ sinh bề mặt và sơn lại toàn bộ từ mớn nước trở lên boong theo đúng tiêu chuẩn kỹ thuật.
- Gõ rỉ, chà vệ sinh bề mặt và sơn dặm vá cục bộ bên trong các hầm.
- Kẻ lại tên, số đăng ký phương tiện bị mờ trên mạn và cabin.
- Thay tôn, sắt thép bị mòn rỉ, biến dạng hỏng quá tiêu chuẩn kỹ thuật (từ mớn nước trở lên và trong các hầm).
- Sửa chữa nhỏ các chi tiết trên boong bị hỏng vặt. Kiểm tra các cơ cấu bộ phận để chỉnh lại. Trong trường hợp đặc biệt mới tiến hành sửa chữa các công việc sắt hàn dưới nước.
1.2. Thiết bị lái
- Lau chùi, tra dầu mỡ các bộ phận truyền động (puly, bánh răng...). Điều chỉnh cá biệt một số bộ phận để hoạt động nhẹ nhàng.
- Lặn kiểm tra ky lái, bánh lái, siết chặt các bu lông mặt bích liên kết, khắc phục những hư hỏng nếu có.
- Kiểm tra đường ống thủy lực, khắc phục sự rò rỉ dầu tại các vị trí công tắc, bơm, motor thủy lực, ty ben, hiệu chỉnh thước lái, hiệu chỉnh áp lực toàn hệ thống, thay lược nhớt thủy lực.
1.3. Thiết bị chằng buộc, xích neo
Cạo gõ rỉ, sơn hắc ín xích neo, kiểm tra lau chùi, bôi dầu mỡ các tời, con lăn.
1.4. Thiết bị an toàn, cứu sinh, cứu đắm
Kiểm tra và sửa chữa nhỏ một số hư hỏng, sau đó lắp đặt lại đúng vị trí.
1.5. Hệ thống trục chân vịt
- Lau chùi, tra dầu mỡ bộ phận các ổ đỡ trục chân vịt, kiểm tra siết chặt các bu lông nối mặt bích, bệ đỡ ổ trục, thay joăng kín nước, điều chỉnh cá biệt một số bộ phận để hoạt động nhẹ nhàng.
- Kiểm tra cao su giảm chấn, tra mỡ trục các đăng.
1.6. Máy chính
- Lau chùi, tra dầu mỡ các bộ phận động cơ chính.
- Súc rửa, thay bầu lọc nhớt, bầu lọc dầu, bầu lọc khí nạp...
- Vệ sinh súc rửa sinh hàn, thay nước làm mát động cơ, sinh hàn hộp số.
- Vệ sinh, thay vòng bi, phớt, joăng kín nước các bơm nước.
- Thay nhớt máy động cơ.
- Vệ sinh đường ống, sửa chữa các van nước.
1.7. Hộp số thủy lực
- Lau chùi, tra dầu mỡ các bộ phận hộp số.
- Súc rửa, thay bầu lọc nhớt.
- Vệ sinh súc rửa sinh hàn nhớt hộp số.
- Điều chỉnh áp suất làm việc nhớt thủy lực hộp số.
1.8. Hệ thống điều khiển ga, số
- Lau chùi, tra dầu mỡ bộ điều khiển cần ga, số, hệ thống truyền động từ cabin lái đến hầm máy (puly, con lăn, giá đỡ, xích truyền động).
- Hiệu chỉnh tốc độ tách nhập số.
1.9. Hệ thống điện
- Kiểm tra, bắt chặt các tiếp điểm, xử lý cách điện tại các vị trí dây dẫn điện bị bong tróc.
- Vệ sinh, lau chùi, bắt chặt các bảng điện.
- Bảo dưỡng ắc quy theo quy trình.
- Thay các bóng đèn chiếu sáng bị hỏng.
- Bảo dưỡng máy phát điện, gồm các việc sau:
+ Súc rửa sinh hàn giải nhiệt nước làm mát;
+ Vệ sinh bầu lọc gió;
+ Bổ sung nước làm mát động cơ;
+ Thay lược nhớt, lược dầu;
+ Thay nhớt bôi trơn động cơ.
2. Nội dung công việc cấp sửa chữa tiểu tu
- Thực hiện tại bến, không đưa phương tiện đến xưởng sửa chữa, không kéo phương tiện lên triền đà hoặc vào ụ.
- Nhân công: hợp đồng với đơn vị có đủ năng lực chuyên môn để thực hiện.
2.1. Thân vỏ phương tiện
- Đưa phương tiện vào bãi đậu hoặc lặn kiểm tra khảo sát các khuyết tật của vỏ tàu phần dưới nước, phát hiện những hư hỏng mòn, rỉ, biến dạng... khắc phục những hư hỏng phần tôn vỏ tàu, cho phép thay tối đa 7% tổng trọng lượng tôn vỏ và các cơ cấu bị hư hỏng quá tiêu chuẩn kỹ thuật, ưu tiên thay vùng mạn và các cơ cấu chủ yếu; sửa chữa bắt chặt bu lông bích lái ky lái, đai ốc chân vịt, ống bao trục...
- Hàn lại các vết nứt, các đường mòn quá mức cho phép.
- Hỏa công nắn những vùng tôn bị móp méo quá tiêu chuẩn.
- Sửa chữa sắt hàn và làm mới cá biệt các chi tiết khác như: lan can, lươn chống va, be gió, trụ bích… bị hư hỏng trong quá trình khai thác.
- Sửa chữa các nắp hầm, cửa buồng máy, cửa sổ, cửa cabin, thay thế cá biệt một số chi tiết.
- Thay thế không quá 10% chiều dài con trạch chống va.
- Gõ rỉ, chà vệ sinh bề mặt và sơn lại toàn bộ từ mớn nước trở lên boong theo đúng tiêu chuẩn kỹ thuật.
- Gõ rỉ chà vệ sinh bề mặt và sơn dặm, vá cục bộ bên trong các hầm.
- Gõ rỉ, chà vệ sinh bề mặt, sơn các phụ kiện trên boong, trên thượng tầng cabin lái, nhà vệ sinh.
- Sơn trang trí theo đúng tiêu chuẩn kỹ thuật.
- Kẻ lại tên, vòng tròn đăng kiểm, số phương tiện bị mờ trên mạn và cabin.
- Thay tôn, sắt thép bị mòn rỉ, biến dạng hỏng quá tiêu chuẩn kỹ thuật (từ mớn nước trở lên và trong các hầm).
- Sửa chữa nhỏ các chi tiết trên boong bị hỏng. Kiểm tra các cơ cấu bộ phận để chỉnh lại. Trong trường hợp đặc biệt mới tiến hành sửa chữa các công việc sắt hàn dưới nước.
2.2. Thiết bị lái
- Kiểm tra toàn bộ hệ thống lái, góc độ lái, bu lông mặt bích, trục lái, đường dây truyền động lái, khớp nối các đăng, nắn trục lái, tháo cá biệt từng bộ phận nghi ngờ bị hư hỏng, thay hoặc sửa chữa từng bộ phận bị hư hỏng.
- Tra dầu mỡ, bảo quản các bộ phận chuyển động (puly, bánh răng, bạc...).
- Kiểm tra đường ống thủy lực, khắc phục sự rò rỉ dầu tại các vị trí công tắc, bơm, motor thủy lực, ty ben, hiệu chỉnh thước lái, hiệu chỉnh áp lực toàn hệ thống, thay lược nhớt thủy lực, thay dây curoa, phớt motor thủy lực, ty ben...
a) Thiết bị chằng buộc, xích neo
- Kiểm tra, sửa chữa những hư hỏng của neo, xích.
- Hàn sửa các móc, giá đỡ cáp bị hư hỏng.
- Bảo quản tra dầu mỡ cho xích cáp và các bộ phận chuyển động.
b) Thiết bị an toàn, cứu sinh, cứu đắm
Kiểm tra các hệ thống cứu sinh, cứu hỏa, cứu đắm, chống thủng, chống va... sửa chữa hoặc yêu cầu bổ sung một số thiết bị hư hỏng hoặc mất.
c) Hệ thống trục chân vịt
- Lau chùi, tra dầu mỡ bộ phận các ổ đỡ trục chân vịt, kiểm tra siết chặt các bu lông nối mặt bích, bệ đỡ ổ trục, thay joăng kín nước, điều chỉnh cá biệt một số bộ phận để hoạt động nhẹ nhàng.
- Kiểm tra cao su giảm chấn, tra mỡ trục các đăng.
- Thay thế các bộ phận, chi tiết bị hư hỏng, hao mòn.
d) Máy chính
- Tháo nắp quy láp, pít tông và các cơ phận của động cơ, vệ sinh, kiểm tra thay thế các chi tiết hỏng bị mài mòn qua qúa trình sử dụng.
- Súc rửa, thay bầu lọc nhớt, bầu lọc dầu, bầu lọc khí nạp...
- Vệ sinh, súc rửa sinh hàn giải nhiệt nước làm mát động cơ, sinh hàn giải nhiệt hộp số.
- Vệ sinh, thay vòng bi, phớt, joăng kín nước các bơm nước.
- Thay nhớt máy động cơ.
- Vệ sinh đường ống, sửa chữa các van nước.
- Lắp ráp hoàn chỉnh.
- Chạy rà, thử máy. đ) Hộp số thủy lực
- Tháo rời các bộ phận hộp số, vệ sinh, kiểm tra, thay thế các chi tiết hỏng bị mài mòn qua quá trình sử dụng.
- Súc rửa, thay bầu lọc nhớt.
- Vệ sinh, súc rửa sinh hàn giải nhiệt nhớt hộp số.
- Lắp ráp hoàn chỉnh.
- Điều chỉnh áp suất làm việc nhớt thủy lực hộp số.
3. Nội dung công việc cấp sửa chữa trung tu
Chuẩn bị trước khi đưa phương tiện vào sửa chữa (kéo lên triền, hoặc vào ụ):
- Chạy kiểm tra quãng đường 20 ÷ 30 km để ghi tình trạng hoạt động của các hệ thống (nhiệt độ, áp suất, tốc độ...) kết hợp với người trực tiếp sử dụng để lập biên bản chuyến chạy kiểm tra;
- Tháo các bu lông 2 mặt bích nối với trục chân vịt và trục trung gian để kiểm tra độ cao thấp, AV tại 4 vị trí: trên, dưới, phải, trái;
- Bơm bớt nhiên liệu, nước trong kết, nước la canh;
- Xác định ngày, giờ đưa phương tiện và ụ.
3.1. Thân vỏ phương tiện
Phương tiện được kéo lên triền (hoặc nằm trong ụ, bơm cạn nước) được kích cao, căn kê đúng tiêu chuẩn kỹ thuật an toàn.
a) Vỏ phương tiện từ mớn nước trở xuống
- Cạo gõ (phun cát) toàn bộ.
- Kiểm tra các mối hàn, hàn lại vết nứt, hàn lại đường hàn mòn quá mức.
- Hỏa công nắn lại các chỗ móp méo.
- Kiểm tra chiều dày tôn 2 bên mạn, tôn đáy, tôn mũi, tôn phía lái để thay phần tôn mỏng dưới mức cho phép.
- Kiểm tra các tấm chống ăn mòn điện hóa để sửa chữa, thay thế.
- Sơn 2 nước sơn chống rỉ, 1 lớp sơn lót, 1 nước sơn chống hà.
b) Từ mớn nước đến mặt boong
- Cạo gõ phần sơn cũ đã bong tróc, sơn chống rỉ, sơn phủ toàn bộ từ mớn nước trở lên mép boong theo màu sơn cũ.
- Hỏa công nắn lại chỗ bị móp méo, kiểm tra để thay thế chỗ hư hỏng của con trạch chống va dọc theo 2 bên, có thể thay 5% ÷ 7% chiều dài con trạch.
- Sơn, kẻ lại vòng tròn đăng kiểm, số đăng ký phương tiện bị mờ.
c) Từ mặt boong trở lên
- Tôn mặt boong: Cạo gõ những vùng tôn han rỉ, tróc sơn, sơn chống rỉ phần cạo gõ.
- Vệ sinh toàn bộ bề mặt boong, sơn phủ toàn bộ 1 lớp sơn theo màu sơn cũ.
- Các cột lan can, cột bích đơn, bích đôi cần kiểm tra sửa chữa phần sắt, hàn bị cong, vềnh, móp méo trong quá trình khai thác.
- Tôn vỏ 2 bên mạn (từ mặt boong lên cabin lái), boong thượng tầng, hành lang 2 bên, cầu thang lên xuống, nắp hầm hay sơn cũ bong tróc, sơn lại toàn bộ 1 lớp sơn theo màu sơn cũ sau khi đã vệ sinh sạch bề mặt sơn cũ.
- Kẻ lại tên, số đăng ký phương tiện bị mờ.
- Sửa lại bản lề đóng mở các cửa.
- Nắn lại phần tôn bị móp méo.
- Thay kính bị nứt, vỡ.
d) Bên trong các hầm, các khoang, các kết
- Trong hầm máy: vệ sinh sạch từ sàn buồng máy trở xuống, bơm khoang la canh, dùng mùn cưa, giẻ lau vệ sinh sạch nước, cặn dầu mỡ trên mặt tôn và đường ống.
- Các bồn, kết chứa dầu đốt, nước: phải vệ sinh sạch đáy các hầm, kết.
- Toàn bộ bên trong các hầm, kết: phải cạo gõ cục bộ phần han rỉ rồi sơn chống rỉ, sơn phủ theo màu sơn cũ.
3.2. Hệ thống lái
- Kiểm tra đường ống dầu thủy lực để sửa chữa, khắc phục rò rỉ nhớt từ motor, bơm đến các vị trí công tác (đối với hệ lái thủy lực).
- Kiểm tra các thanh truyền động, xích truyền động, các puly dẫn hướng và cố định, các khớp nối các đăng, các ắc puly, sau khi sửa chữa, vệ sinh, tra mỡ bôi trơn cho các khớp truyền động (bánh răng, puly, bạc, ắc, xích, cáp).
- Tháo kiểm ưa các bơm thủy lực, các van, bổ sung thêm dầu, thay dầu thủy lực đã đến hạn định kỳ thay thế.
- Kiểm tra góc lái từ cabin đến bánh lái, kiểm tra các bu lông bích trục lái, gối đỡ, khe hở giữa bạc lái và trục lái và độ hao mòn đoạn trục nằm trong bạc lái, ổ đỡ ky lái (nếu có), nắn lại trục lái, khôi phục khe hở giữa bạc và trục lái.
- Cạo gõ rỉ sét, sơn lại bánh lái như tôn vỏ tàu từ mớn nước trở xuống, kiểm tra xích treo bánh lái.
3.3. Thiết bị neo, chằng buộc
- Vệ sinh các bánh răng, trục, then, cá (con cóc), tay quay láp (hoặc xích) ốc siết cáp, bộ phanh hãm dây neo để kiểm tra, sửa chữa.
- Tra mỡ các bạc đỡ, sơn lại tời neo phần đã cạo gõ do han rỉ hay tróc sơn cũ.
- Các cột bích, các móc lắp đệm chống va chạm: kiểm tra sửa chữa phần hư hỏng.
3.4. Thiết bị cứu sinh, cứu hỏa, cứu đắm, chống va
- Kiểm tra các phao tròn, sơn lại nếu sơn cũ phai màu, thay dây không đủ độ bền.
- Phao bè: Kiểm tra như trên.
- Tháo motor điện bơm nước, sấy, kiểm tra các vòng bi đỡ, nạp mỡ mới.
- Tháo kiểm tra đầu bơm nước: nhồi ép trét kín nước, kiểm tra cánh bơm ly tâm, khe hở dọc trục, kiểm tra then giữa cánh bơm và trục, thay joăng kín nước, ổ đỡ quá mòn (bạc đạn).
- Kiểm tra thay đường ống đã bị rò rỉ phải quấn lại dùng tạm thời hay đoạn ống đã quá mỏng.
- Kiểm tra thay joăng kín nước bích nối ống.
- Vệ sinh, kiểm tra các van một chiều đường ống hút (lưới lọc và cláppê).
- Cạo gõ, sơn phần van, ống bị han rỉ.
- Tháo toàn bộ van trên đường ống cứu hỏa, cứu đắm để kiểm tra, rà xoáy kín giữa đế van và cláppê, thay joăng, rắc co không kín nước, thay ty van, tay xoay van bị hư hỏng, các van.
- Kiểm tra bạt cứu đắm, các nêm gỗ...
- Kiểm tra các bình bọt AB.
- Kiểm tra niên hạn, áp lực khí CO2 thấp quá quy định phải nạp lại, bổ sung thêm bọt bên trong bình.
- Các đệm chống va: cần kiểm tra các khoen, dây chằng buộc, thay các đệm chống va quá cũ lắp xung quanh tàu.
3.5. Hệ trục chân vịt
Trước khi kéo lên triền hay vào ụ phải thực hiện các nội dung sau:
- Tháo bu lông 2 mặt bích nối trục chân vịt và trục trung gian để ghi thông số (cao thấp, AV của 4 vị trí);
- Tháo trục các đăng nối giữa máy chính và hộp số để vệ sinh, kiểm tra;
- Tháo trục trung gian vệ sinh, kiểm tra 2 vòng bi ổ đỡ trục trung gian, nạp mỡ bôi trơn mới;
- Tháo mặt bích trục chân vịt, rút trục chân vịt ra khỏi ống bao trục, tháo trục chân vịt;
- Kiểm tra 2 đoạn trục nằm trong ỗ đỡ phía trong và phía ngoài về độ méo, hao mòn... để khôi phục lại phần hao mòn bằng cách hàn đắp hay đóng bạc thép vào trục;
- Cạo bạc đỡ trục ra khỏi ống bao, thay bạc đỡ trục mới, ép vào ống bao trục;
- Kiểm tra chỗ nối ống bao trục vào vòm mũi lái;
- Kiểm tra thay các bộ phận ép trên mặt ống bao để sửa chữa gồm các đĩa chặn, gu jông, hợp kim đồng hay inox;
- Lắp trục chân vịt vào ống bao trục, lắp đĩa chặn, thay joăng kín nước bảo vệ côn, chân vịt, lắp chân vịt vào trục có vít hãm và đắp mũ ốc hãm chân vịt;
- Ép kín nước đầu trục phía trong;
- Lắp mặt bích trục trung gian vào trục chân vịt.
3.6. Máy chính
a) Nắp xi lanh
- Tháo đường ống nạp khí.
- Tháo đường ống thoát và các bộ phận có liên kết với nắp xi lanh (các ống, nắp đậy, vòi phun...).
- Tháo nắp xi lanh ra khỏi blốc máy, cạo muội khói, cặn nước, thông đường gió, nhớt với nắp xi lanh.
- Vệ sinh thay lưới lọc gió vào nắp xi lanh.
- Kiểm tra ống dẫn dầu hướng su páp, các đế su páp.
- Doa các đế su páp, thay ống dẫn hướng quá mòn.
- Xoáy su páp với gít cho kín bằng cát thô và cát mịn.
- Tháo các cò mổ, vệ sinh, kiểm tra, thông đường nhớt, lắp ráp lại.
- Lắp su páp vào nắp xi lanh.
b) Các joăng kín nhớt, nước, khí thoát
- Kiểm tra joăng kín hơi trên nắp xi lanh.
- Thay các vòng joăng kín nước trên nắp xi lanh.
- Thay các joăng đồng chịu áp lực nhớt, khí trên nắp xi lanh.
- Kiểm tra các rắc co nối trên nắp xi lanh.
c) Blốc xi lanh và sơ mi xi lanh
Tháo các thiết bị gắn trên blốc:
- Các bơm nước.
- Bơm cao áp và kim phun.
- Dynamo và demareur.
- Bầu sinh hàn nước.
- Bơm thủy lực.
- Cạo muội khói sơ mi phần buồng đốt, đo độ méo, côn, của từng sơ mi để kiểm tra.
- Cạo sơ mi xy lanh để cạo cặn nước bám xung quanh.
- Kiểm tra joăng đồng ở đầu trên sơ mi.
- Thay các joăng đồng ở đầu trên sơ mi.
- Thay các joăng cao su kín nước phía dưới.
- Cạo cặn nước đóng trên blốc xy lanh.
- Qua kiểm tra, có thể thay cá biệt hoặc thay toàn bộ sơ mi.
d) Cụm pít tông và thanh truyền
- Cặp chì lấy khe hở giữa bạc đầu to thanh truyền và cốt máy (trục khủyu).
- Rút cụm pít tông và thanh truyền ra để vệ sinh.
- Cạo muội khói bám trên đỉnh pít tông và rãnh xéc măng.
- Tháo phanh, lấy ắc pít tông ra, thông sạch đường nhớt bôi trơn đầu thanh truyền.
- Kiểm tra khe hở miệng và khe hở chiều cao giữa séc măng với sơ mi và lỗ ắc pít tông về khe hở để xác định việc thay thế.
đ) Trục cơ, bệ đỡ trục cơ và nắp các te
- Lộn máy 180°, sau khi đã tháo nhớt, tháo các đường ống và phần liên quan đến nắp các te.
- Tháo nắp các te để vệ sinh sạch nhớt cặn dưới đáy.
- Tháo lưới lọc vệ sinh, tháo bơm nhớt để vệ sinh kiểm tra cánh bơm, bạc và trục cánh bơm, tháo van điều chỉnh áp lục bơm nhớt để vệ sinh, kiểm tra.
- Xác định khe hở của trục máy và bệ đỡ trục.
- Đo độ méo của các cổ trục nằm trong ổ bệ đỡ trục.
- Kiểm tra vết nứt, khuyết tật xuất hiện trên trục.
- Tháo các miếng bạc lót ổ trục bệ đỡ và đấu thanh truyền để kiểm tra mặt lớp kim loại mềm tráng trên bề mặt bạc xem có nứt, dập, các vết cào xước để xác định thay thế mới.
- Thông đường nhớt bôi trơn nằm trong trục khủyu.
- Thay joăng giữa các nắp các te và blốc máy.
e) Tháo 2 nắp đầu trục máy và các trục, bánh răng truyền động lai dynamo trục cam, bơm nước, bơm nhớt và dầu để vệ sinh, kiểm tra.
- Tháo bánh đà và mặt bích hộp số.
- Thay joăng 2 đầu và đuôi máy.
g) Hệ thống dầu đốt
- Kết trực nhật và bơm chuyển dầu:
+ Tháo nắp kết, vệ sinh sạch bên trong kết và ống thủy;
+ Tháo van bơm chuyển dầu để vệ sinh, kiểm tra;
+ Tháo vệ sinh bơm dầu (trục, cánh bơm, bạc).
- Bầu lọc:
+ Tháo bầu lọc, vệ sinh lưới lọc bằng kim loại;
+ Thay thế ruột lọc phi kim loại;
+ Thông sạch đường ống dầu.
- Bơm cao áp:
+ Đo lưu lượng dầu ở tốc độ tối thiểu và tốc độ tối đa định mức của từng béc bơm;
+ Góc độ phun giữa các béc bơm;
+ Áp suất của các béc bơm, rà xoáy van 1 chiều bằng tay;
+ Kiểm tra các bộ điều tốc và bạc trục bơm.
h) Vòi phun
- Tháo các vòi phun ra khỏi bơm cao áp và nắp xi lanh để vệ sinh, kiểm tra kim phun, lò xo...
- Xoáy kín kim phun.
- Lắp ráp, điều chỉnh áp lực phun của kim phun theo áp lực quy định (100 Pa ÷ 300 Pa).
- Thay joăng đồng kim hơi giữa vòi phun với nắp xi lanh và lắp vòi phun vào nắp xi lanh.
- Kiểm tra bơm cao áp.
i) Hệ thống nước làm mát nhớt bôi trơn
- Bơm nước và sinh hàn nhớt:
+ Tháo bơm nước bên thân máy vệ sinh, kiểm tra cánh quạt nước, trục bơm, phốt kín nước, vòng bi đỡ để tu sửa hoặc thay mới;
+ Tháo sinh hàn, thông sạch đường nước làm mát, súc sạch đường nhớt, kiểm tra các vách ngăn, joăng các nắp ở 2 đầu và thân sinh hàn;
+ Trường hợp có bơm nước ngoài làm mát nước ngọt (gián tiếp), cũng phải tháo bơm và sinh hàn vệ sinh, kiểm tra bảo dưỡng sửa chữa.
- Nhớt bôi trơn:
+ Nhớt bôi trơn chứa trong kết bên ngoài máy (trường hợp các te khô) phải tháo xúc sạch cặn nhớt cũ, vệ sinh bảo dưỡng bơm áp lực nhớt;
+ Toàn bộ đường ống nhớt từ kết nhớt bôi trơn đến sinh hàn nhớt, nắp xi lanh phải thông sạch ống nhớt và thay các joăng tại bích, rắc co bảo đảm các ống của đường nhớt chịu áp lực không rò rỉ.
3.7. Hệ thống nạp gió và khí thải
Tháo bầu lọc gió vệ sinh, kiểm tra lưới lọc, joăng, lắp ráp nắp xi lanh
- Bơm tăng áp hay turbo:
+ Tháo, vệ sinh, kiểm tra cánh quạt, trục quạt, vòng bi đỡ và các bộ truyền động (trục, bánh răng truyền);
+ Tháo, lắp, vệ sinh ống thoát, ống nhập vào turbo;
+ Thông sạch muội khói ống thoát khí từ máy chính đến ống khói, kiểm tra các joăng, lắp ráp;
+ Kiểm tra cách nhiệt trên ống thoát để tu sửa: quấn, đắp thêm, bao che lớp cách nhiệt;
+ Kiểm tra bầu giảm âm, vách ngăn bầu giảm âm để sửa chữa, lắp ráp vào hệ thống.
- Hộp số thủy lực:
+ Tháo các đường ống nước, ống nhớt để đưa hộp số rời khỏi bệ đỡ;
+ Xả nhớt trong hộp số, tháo các bộ phận bên trong để kiểm tra: đường ống, van đảo chiều, đĩa ma sát, vòng bi, resort... tán ép bố ferado quá mòn hay hư hỏng các đinh tán chìm;
+ Vệ sinh sạch đường nước sinh hàn, đường nhớt, thay joăng, lắp ráp lại toàn bộ;
+ Kiểm tra tâm hộp số và tâm trục trung gian, nếu có sai lệch quá quy định phải căn chỉnh lại trước khi siết các bu lông cố định vào hệ và lắp ghép với hệ trục.
3.8. Hệ thống điều chỉnh ga, số
a) Điều khiển bằng thủy lực
- Kiểm tra các đầu nối (bích, rắc co, van) từ bơm thủy lực dưới buồng máy đến cabin để khắc phục rò rỉ nhớt;
- Kiểm tra các thanh truyền, ắc, hiệu chỉnh các khe hở truyền động.
b) Điều khiển bằng cơ
Vệ sinh toàn bộ các puly dẫn hướng, dây cáp, đĩa xích (líp), xích bản lề (sên), giá đỡ các puly và đĩa xích; hiệu chỉnh độ căng của cáp, xích từ buồng máy dẫn đến hộp đến hộp điều khiển tại cabin; tra mỡ, nhớt bôi trơn cáp, xích, ắc puly, ắc đĩa xích.
3.9. Hệ thống điện
a) Dynamo
- Tháo Dynamo đánh bóng (hoặc tiện) lại cổ góp điện, kẻ rãnh, thay chổi than.
- Kiểm tra dây của roa, tăng độ căng của dây của roa.
- Kiểm tra độ cách điện các cuộn dây rotor và stator.
- Kiểm tra 2 vòng bi đỡ rotor, nạp mỡ mới cho vòng bi.
- Kiểm tra bộ tiết chế điện để hiệu chỉnh.
- Kiểm tra vôn kế, am pe kế nối với Dynamo.
b) Bộ đề
- Tháo động cơ khởi động vệ sinh, kiểm tra lõi, ruột của động cơ. Đánh bóng cổ góp, kiểm tra chổi than, độ cách điện...
- Kiểm tra vòng bi đỡ, nạp mỡ mới.
- Kiểm tra trục và bánh xe.
- Kiểm tra đầu nối dây điện khởi động từ động cơ đến bình điện và công tác khởi động.
- Sửa hoặc thay các đầu bọc không tiếp điện tốt.
3.10. Bảng điện chính
- Kiểm tra cầu dao chính, các công tắc, cầu chì, áptomat từ cầu dao chính đến các nhánh điện chiếu sáng buồng máy, buồng lái, cột đèn tín hiệu, đèn hành trình, đèn điều khiển hệ thống lái trên cabin và nạp vào các bình điện, kiểm tra các vôn kế, ampe kế, tần số kế…
- Kiểm tra các bảng điện nhánh từ buồng máy đến các vị trí công tác khác (cầu chì, công tắc... ) kể cả các hệ thống tiếp điện trên bờ.
3.11. Hệ thống ắc quy (ắc qui khởi động, công vụ, sự cố)
- Kiểm tra toàn bộ các bình điện trên cụm cabin, dưới buồng máy chính.
- Kiểm tra điện áp.
- Kiểm tra nồng độ dung dịch và lượng dung dịch để điều chỉnh nồng độ H2SO4, bổ sung thêm dung dịch.
- Nạp điện hoặc thay bình mới cho bình điện đã đến niên hạn thay.
- Sửa chữa hoặc thay mới các cọc bình, các đầu dây nối với cọc bình bảo đảm tiếp xúc tốt, lắp chặt.
- Kiểm tra bộ nạp điện, bảo đảm dòng điện nạp bằng 1/10 dung lượng ắc qui.
3.12. Hệ thống điện trên boong và ca bin
- Kiểm tra toàn bộ các đèn chiếu sáng trên cột hành trình, đèn mạn (xanh, đỏ) đèn mũi lái, đèn tín hiệu mất chủ động, đèn pha, còi (kèn), chuông báo động.
- Các còi và đèn phải được kiểm tra từ công tắc đến các thiết bị điện.
- Thay thế các giá đèn, chóa đèn, đuôi đèn, bóng đèn không đảm bảo hoạt động tốt đến định kỳ sửa chữa lần sau.
3.13. Hệ thống van ống dầu, nhớt, nước và các đồng hồ
a) Hệ thống nước làm mát
- Các van ngắt, các van nêm đều phải tháo kiểm tra kín nước tại mặt công tác đóng mở, kín nước tại ty van, tay quay...
+ Thay nhớt, joăng không kín nước.
+ Xoáy kín nước giữa thân van và đế van.
- Các đường ống
+ Kiểm tra các ống đã quá mỏng, ống đã rò rỉ do mọt phải thay mới, phải làm dưỡng, uốn ống, gia công bích, hàn bích vào ống.
+ Thay các bu lông nối, mặt bích bị hư hỏng, thay các joăng cao su không kín nước hay đã mở quá mức.
+ Thay các ống cao su mềm và cổ dê không đảm bảo kín nước.
b) Hệ thống hút khô, dằn, cứu hỏa
- Các van ngắt, các van nêm:
+ Kiểm tra tay mở van, ty van, đế van, thân van, đóng mở (nêm, clappê);
+ Rà xoáy cho kín, thay phớt chặn nước, thay joăng đầu nối van và ống;
+ Ống thép, thông, gõ cặn bám trong ống, kiểm tra joăng cao su kín nước 2 mặt bích để thay;
+ Đoạn ống đã mọt, rò rỉ nước hay quá mỏng phải làm dưỡng, uốn ống, làm mới bích, lắp ráp vào hệ thống;
+ Các đầu hút phải kiểm tra clappê, rà xoáy lại, vệ sinh lọc rác.
3.14. Thiết bị cứu hỏa và các đồng hồ của hệ thống bơm
- Nếu tàu có lắp hệ thống cứu hỏa bằng trạm CO2 và có các thiết bị khác phải kiểm tra các hạng mục sau:
+ Lượng khí có trong bình CO2;
+ Còi báo động khi cháy;
+ Còi báo nhiệt (loại kín nước);
+ Đầu cảm biến khói (loại kín nước);
+ Ngoài ra: trang bị tại các hành lang bình bọt cầm tay, bình bọt AB, phải kiểm tra niên hạn sử dụng;
+ Kiểm tra các đồng hồ áp lực khí: 0 ÷ 250 Pa, đồng hồ áp lực nước, đồng hồ áp lực nhớt, nhiệt độ nước, nhớt và khí thoát;
+ Thay các đồng hồ báo sai áp suất, nhiệt kế.
3.15. Hạ thủy, chạy thử và nghiệm thu
Nếu tàu sửa chữa trong ụ phải ấn định ngày ra ụ theo thủy triều.
- Tàu đã sơn kỵ hà, lắp hoàn chỉnh hệ trục chân vịt mới cho tàu hạ thủy.
- Lấy nước vào ụ để tàu nổi dần.
- Mở cửa ụ cho tàu ra khỏi ụ.
- Nạp nhiên liệu, nước ngọt, nhớt, chạy máy phát điện.
- Chạy rà máy chính.
- Chạy thử các thiết bị phụ (cứu hỏa, bơm nước dằn, thủy lực…).
- Chạy thử có tải cột tại chỗ từ 25% ÷ 50% trong 2 giờ liên tục.
- Trang bị đủ phao cứu sinh, cứu hỏa, nếu các hệ thống hoạt động bình thường, tiến hành cho tàu rời bến, điều động cho tàu cập bến 2 lần tại 1 đầu bến để nghiệm thu chất lượng sửa chữa cấp trung tu.
4. Nội dung công việc cấp sửa chữa đại tu
4.1. Chuẩn bị trước khi đưa phương tiện vào sửa chữa (lên triền, ụ)
- Chạy kiểm tra quãng đường 20 ÷ 30 km để lập biên bản tình trạng hoạt động của các hệ thống lái, hệ trục chân vịt, máy chính, hệ thống điện toàn phương tiện, các thiết bị cứu sinh, cứu đắm, cứu hỏa.
- Bơm nước la canh, nhiên liệu, nước ngọt và nhớt trong các kết dưới hầm trước khi đưa phương tiện vào ụ hay kéo lên triền.
- Đưa phương tiện lên triền đà hoặc vào ụ, căn kê theo đúng tiêu chuẩn kỹ thuật và an toàn, thực hiện các thao tác phục vụ yêu cầu sửa chữa.
- Nhân công: hợp đồng với đơn vị có đủ năng lực chuyên môn để thực hiện.
4.2. Thân vỏ phương tiện
Phương tiện được kéo lên triền (nằm trong đốc, bơm cạn nước) kích cao > 1,8 m, căn kê đúng tiêu chuẩn kỹ thuật an toàn.
a) Vỏ phương tiện từ mớn nước trở xuống
- Cạo gõ sạch sơn cũ và rỉ sét (phun cát hay cạo gõ cơ giới) toàn bộ diện tích.
- Kiểm tra chiều dày tôn để xác định chỗ tôn quá mỏng phải thay tại 2 đầu (mũi, lái) bên mạn và tôn đáy để thay tôn mới.
- Kiểm tra các mối hàn bị mòn quá mức hay nứt để hàn lại.
- Hỏa công nắn lại vùng tôn bị móp do va chạm.
- Sơn lại toàn bộ chống rỉ, chống hà.
- Thay thế các tấm chống ăn mòn điện hóa đã quá mỏng, cạo gõ, lắp lại các tấm chống ăn mòn điện hóa.
b) Từ mớn nước đến mặt boong - lan can và be chắn sóng
- Cạo gõ toàn bộ phần sơn cũ quanh phương tiện, phần lan can, 2 bên mạn, be chắn song mũi lái (đối với tàu kéo).
- Hỏa công nắn lại chỗ bị móp méo do va chạm tại 2 mạn và lan can.
- Kiểm tra để thay thế con lươn (con trạch) bị hư hỏng.
- Hàn, sửa lại các móc treo đệm chống va, móc treo lái…
- Sơn lại toàn bộ 4 nước sơn mới.
- Sơn lại vòng tròn đăng kiểm.
- Kẻ lại số phương tiện bị mờ.
c) Từ mặt boong đến cabin lái
- Tôn mặt boong và hành lang, cầu thang phía bên trong:
+ Cạo gõ toàn bộ mặt boong để sơn lại sơn mới;
+ Hành lang hai bên, cầu thang lên xuống, cửa buồng máy, toàn bộ vách tôn bao che bên mạn và trần (phía dưới boong thượng tầng) chỉ cạo gõ chỗ sét rỉ, sơn cũ bị bong tróc để sơn lại;
+ Vệ sinh toàn bộ bề mặt sơn cũ để sơn phủ toàn bộ 1 lớp sơn mới;
+ Kiểm tra phần sắt hàn tại cầu thang, lan can giữa 2 mặt boong;
+ Sửa lại phần cửa 2 bên mạn bị hư, phần sắt hàn hay kính chắn nước;
+ Sửa lại phần trang thiết sinh hoạt bị thuyền viên (phòng ngủ, ghế ngồi…;
+ Sửa lại các cột bích đơn, bích đôi 2 bên boong chính về phần sắt hàn;
+ Kiểm tra tời quay neo (trục, bạc, các bánh răng, tay quay, chốt hãm (then), bộ cóc cố định chiều quay, bộ hãm cáp hay xích neo;
+ Cạo gõ, sơn bộ neo bị han rỉ cục bộ.
- Boong thượng tầng và cabin lái:
+ Toàn bộ boong thượng tầng gồm mặt boong, tôn trong và ngoài cabin, nóc cabin, lan can các giá đỡ phao chỉ cạo gõ cục bộ phần sơn bong tróc để sơn lại;
+ Trường hợp sơn cũ đã qua 4 năm có thể cạo gõ hết sơn cũ để sơn lại sơn mới của phần tôn trực tiếp với mưa nắng;
+ Các cửa sổ, cửa ra vào cabin: kiểm tra bản lề, khung cửa, kính để sửa chữa lại;
+ Cột đèn nóc cabin và các giá đỡ lắp các đèn hành trình trên cột, giá đèn 2 bên mạn, mũi lái phải kiểm tra lại để sửa các giá lắp đèn.
d) Bên trong hầm buồng máy và các kết chứa dầu đốt, nhớt và nước
- Tôn vỏ bên trong buồng máy:
+ Tháo các tôn tấm sàn buồng máy vệ sinh sạch;
+ Từ sàn buồng máy trở xuống phải vệ sinh sạch cặn dầu, nước để kiểm tra, cạo gõ các chỗ rỉ sét để sơn lại;
+ Từ mặt sàn trở lên đến trần buồng máy và các ống thông gió, các ống dẫn đường ống, xích cáp truyền động từ buồng máy lên cabin của ga số thủy lực: cạo rỉ sét và sơn lại các vị trí bong tróc sơn cũ hay bị han rỉ;
+ Các kết chứa dầu diesel, nhớt và nước ngọt: tháo nắp, vệ sinh sạch bên trong kết chứa, thay joăng các nắp;
+ Đối với kết chứa nước sinh hoạt, nếu bên trong kết bị bong tróc lớp xi măng phải cạo gõ để quét lại lớp xi măng mới.
4.3. Hệ thống lái
a) Hệ thống lái thủy lực
- Kiểm tra đường ống dầu thủy lực từ bơm thủy lực dưới buồng máy đến các vị trí công tác, các rắc co, bích nối ống để sửa chữa các chỗ rò rỉ nhớt.
- Kiểm tra các thanh truyền động tại các chốt xoay.
- Kiểm tra các ắc, đĩa, xích, puly và giá đỡ puly, xích truyền động.
- Tháo kiểm tra các van, cánh quạt trục, trục, phớt kín nhớt các vòng bi của bơm, puly, dây của roa, ty ben thủy lực để sửa chữa.
b) Hệ thống lái điện
- Kiểm tra motor: các vòng bi, trục motor, các cuộn dây quấn trong rotor và stator.
- Các đường dây dẫn, công tắc, cầu chì, khởi động từ ...
- Kiểm tra các thanh truyền dẫn.
c) Trục lái và séctơ
- Kiểm tra góc lái từ cabin đến séc tơ lái để hiệu chỉnh lái.
- Kiểm tra bánh răng và séc tơ lái.
- Kiểm tra ổ đỡ và trục.
* Bánh lái treo:
- Kiểm tra khe hở giữa trục lái và bạc;
- Kiểm tra mặt bích nối giữa bánh lái và trục lái;
- Kiểm tra bạc và trục bánh lái.
* Bánh lái có ky đỡ:
- Kiểm tra khe hở đuôi bánh lái và bạc đỡ ở ky lái;
- Kiểm tra ky lái: nếu cong, vềnh phải sửa chữa;
- Thay bạc đỡ cuống lái ở ky lái;
- Khôi phục đường kính trục lái nằm trong ổ ky lái.
d) Bánh lái
- Tháo mặt bích giữa trục lái và bánh lái, cạo gõ rỉ toàn bộ bánh lái để sơn lại.
- Nếu tôn bánh lái quá mỏng phải thay bánh lái mới.
- Hàn vá bánh lái.
- Xả chất lỏng trong bánh lái, thay tôn tại những vị trí quá mỏng, nạp lại chất lỏng trong bánh lái.
- Lắp ráp toàn bộ hệ thống lái sau khi tu sửa.
- Kiểm tra lắp bánh lái vào xích treo bánh lái.
4.4. Thiết bị neo, chằng buộc
a) Tời, neo
- Tời: kiểm tra đế tời và mặt boong, kiểm tra các trục, then, bánh răng lắp trên trục, các ổ đỡ trục, bộ cóc an toàn chiều nâng tải, tay quay.
- Kiểm tra xích neo (hoặc cáp), ốc hãm xích với neo và tang.
- Kiểm tra bộ hãm xích neo.
- Cạo gõ những chỗ của tời, neo bị han rỉ sét để sơn lại.
- Xích neo phải vệ sinh sạch, sơn lại (hắc ín) cho xích neo.
- Cáp neo: kiểm tra số sợi cáp bị đứt, bảo trì cáp theo quy định (chống rỉ và tẩm chất bôi trơn lõi cáp).
b) Cột bích và giá đỡ móc treo
- Các cột bích (bích đơn, bích đôi) lắp trên boong kiểm tra chân đế, cột bích để tu sửa.
- Các giá đỡ, các móc treo bánh lái, phao, đệm chống va quanh phương tiện phải được kiểm tra để sửa chữa, thay đệm chống va quá cũ.
4.5. Thiết bị an toàn, cứu sinh, cứu đắm
Kiểm tra các hệ thống cứu sinh, cứu hỏa, cứu đắm, chống thủng chống va... sửa chữa hoặc yêu cầu bổ sung một số bị hư hỏng hoặc mất.
4.6. Hệ trục chân vịt
a) Trục các đăng
- Tháo rời trục các đăng khỏi máy và hộp số thủy lực để kiểm tra trục chữ thập và ổ đỡ trục chữ thập.
- Thay hoặc khôi phục lại khe hở giữa bạc và trục các đăng.
- Lắp trục các đăng vào máy chính và hộp số thủy lực.
b) Trục trung gian
- Tháo trục trung gian ra khỏi trục hộp số thủy lực và trục chân vịt để kiểm tra vòng bi tại ổ đỡ trục.
- Kiểm tra, tháo rà ,vệ sinh, lắp ráp trở lại các ổ đỡ trục trung gian.
- Kiểm tra tâm trục trung gian và tâm trục chân vịt nếu sai lệch tại mặt bích (độ gẫy) quá mức quy định cho phép lắp ráp, phải căn chỉnh lại các vòng bi ổ đỡ trục.
- Nạp dầu mỡ và bôi trơn.
c) Trục chân vịt
- Tháo mặt bích (tuốc tô) và chân vịt để rút trục chân vịt, đưa lên xưởng vệ sinh, kiểm tra gối trục nằm ở 2 bạc đỡ trục.
- Khôi phục lại đường kính 2 gối trục chân vịt đã bị mòn, méo bằng măng xông hay hàn đắp.
- Tháo bạc đỡ trục ra khỏi ống bao trục để tiện thay mới bộ kín nước để lắp vào 2 đầu ống bao trục.
- Kiểm tra liên kết giữa ống bao và vòm lái.
- Đưa trục chân vịt đã tu sửa từ xưởng xuống triền để lắp ráp vào ống bao trục.
- Thay joăng kín nước đầu côn trục và côn chân vịt.
- Thay joăng đồng đỏ kín nước giữa mũ ốc hãm chân vịt vào trục.
- Lắp chân vịt vào trục, định vị mũ ốc vào chân vịt sau khi ép chặt chân vịt vào trục.
- Kiểm tra đường ống nước (hoặc đường ống nhớt) lằm mát trục chân vịt đi vào ống bao trục.
* Phía đầu trong trục chân vịt:
- Lắp ổ kín nước, lắp nắp kiemr tra ổ kín nước;
- Lắp mắt bích trục (tuốc tô) vào trục chân vịt;
- Hoàn tất hệ trục chân vịt: khi kiểm tra cân chỉnh tâm trục chân vịt và hộp số đạt tiêu chuẩn lắp ráp, lắp bu lông các mắt bích trục với nhau.
4.7. Máy chính
a) Nắp xi lanh
- Tháo nắp đậy trên nắp xi lanh, bộ nạp gió, đường ống thoát khí, các ống dầu từ bơm cao áp đến vòi phun, các mũ ốc ép nắp xi lanh để nhấc nắp xi lanh ra khỏi blốc máy.
- Tháo toàn bộ vòi phun để cạo sạch cặn nước, muội khói bám bên trong nắp xi lanh.
- Kiểm tra các ống dẫn hướng các su páp, đế su páp để doa, xoáy hoặc thay mới.
- Kiểm tra các su páp gió, su páp lửa.
- Kiểm tra joăng kín hơi giữa nắp xi lanh với blốc xi lanh để thay mới hay sửa chữa, dùng lại.
- Thay toàn bộ joăng cao su kín nước và bộ joăng kín nhớt blốc xi lanh, lắp đũa đẩy, căn chỉnh khe hở su páp.
- Thay joăng nắp đậy trên nắp xi lanh.
b) Blốc xi lanh và sơ mi xi lanh
- Tháo các thiết bị gắn quanh blốc.
- Tháo dynamô và đề ma rơ.
- Các bơm nước, sinh hàn và đường ống.
- Bơm cao áp, vòi phun và đường ống dầu đốt, bầu lọc.
- Bơm thủy lực.
- Đưa các sơ mi xi lanh ra khỏi blốc để vệ sinh bên trong blốc xi lanh.
- Thay joăng đồng phía trên sơ mi.
- Thay joăng kín nước giữa blốc và sơ mi.
- Thay sơ mi mới, ép sơ mi vào blốc.
c) Pít tông và thanh truyền
- Cặp chì lấy khe hở giữa trục máy và đầu to thanh truyền (tay biên).
- Rút thanh truyền và pít tông ra khỏi sơ mi.
- Tháo pít tông ra khỏi đầu thanh truyền, tháo các séc măng ra khỏi pít tông, vệ sinh, đo khe hở, khe hở chiều cao của séc măng.
- Thay bộ pít tông, séc măng, ắc, cho toàn bộ máy.
- Kiểm tra, rà lại khe hở miệng séc măng với các sơ mi mới.
- Lắp ráp các chi tiết của pít tông vào đầu biên, lắp pít tông thân biên, vào sơ mi.
- Thay chốt chẻ mũ ốc biên, lắp chân biên vào trục máy sau khi đã kiểm tra, rà sửa khe hở giữa cổ trục và cổ biên đạt tiêu chuẩn lắp ráp.
d) Trục máy, bệ đỡ và nắp các te
- Tháo đầu trâu, bánh đà, 2 nắp 2 đầu blốc máy và các đường ống nhớt lắp vào nắp các te.
- Dùng palăng lật máy để tháo các mũ ốc tại ổ đỡ để cặp chỉ lấy khe hở giữa cổ trục và bạc ổ đỡ.
- Tháo bánh đà, dùng palăng nhấc trục cơ ra khỏi blốc máy để đo các cổ trục trong ổ bạc đỡ và biên để xác định độ méo và kiểm tra khuyết tật tại các cổ trục.
- Vận chuyển trục khủyu đến xưởng gia công, mài trục tăng cốt để thay bạc lót mới theo trục đã mài.
* Nắp các te và 2 nắp che 2 đầu máy:
- Vệ sinh bên trong nắp các te, lưới lọc, tháo bơm nhớt vệ sinh, kiểm tra bạc, trục, cánh bơm;
- Thay các joăng kín nhớt cho nắp các te và joăng tại bích nối, tại rắc co;
- Tháo hộp nhớt để vệ sinh, hay joăng cho hộp nhớt của các te khô; thay toàn bộ nhớt mỡ bôi trơn máy;
- Thay joăng và lắp ráp nắp che chắn 2 đầu máy, thay phốt kín nhớt 2 đầu trục;
- Lắp các bánh răng truyền động và bánh đà vào trục máy, lắp trục máy vào blốc máy;
- Lắp trục cam vào blốc sau khi vệ sinh và kiểm tra.
đ) Hệ thống dầu
- Kết dầu trực nhật và bơm chuyển dầu:
+ Tháo nắp kết vệ sinh sạch bên trong kết, rà xoáy các van từ kết dằn đến kết thường trực, đến các bầu lọc;
+ Vệ sinh, kiểm tra ống thủy lắp trên kết và van xả đáy kết cánh bơm và các cláppê hút, thoát để rà, xoáy kín;
+ Tháo các đường ống, bầu lọc để kiểm tra: thay ruột lọc phi kim loại, vệ sinh sạch các lưới lọc hợp kim đồng;
+ Tháo kiểm tra cánh bơm, trụ bơm, bạc và then của bơm nhiên liệu.
- Bơm cao áp:
+ Kiểm tra lượng dầu của các phân bơm ở tốc độ tối thiểu, lượng dầu ở 100% công suất và góc độ phun của từng phân bơm;
+ Rà xoáy các van 1 chiều, kiểm tra áp suất các phân bom cao áp;
+ Thay nhớt các te và kiểm tra bạc 2 đầu trục bơm và các resort;
+ Kiểm tra sự hoạt động của bộ điều tốc, tháo kiểm tra bơm mồi dầu bằng tay;
+ Thay các phân bơm bị lọt dầu qua pít tông.
- Vòi phun:
+ Tháo các chi tiết của bộ vòi phun nhiên liệu để kiểm tra resort, đầu vòi phun (béc), kim vòi phun;
+ Rà xoáy béc, kiểm tra áp suất khi phun, chất lượng của từng vòi phun để thay thế béc phun không đạt tiêu chuẩn quy định;
+ Thay joăng đồng kín hơi giữa vòi phun với nắp xi lanh lắp ráp vòi phun vào nắp xi lanh và bơm cao áp.
e) Hệ thống làm mát nước và nhớt bôi trơn máy
- Bơm nước:
+ Tháo kiểm tra trục, then, cánh quạt nước, các vòng bi, bạc đỡ, bạc ép, phớt kín nước để sửa chữa hoặc thay thế;
+ Thay joăng kín nước blốc bơm và nắp bơm;
+ Thay các bạc đỡ trục mới;
+ Lắp ráp bơm vào động cơ điện.
- Sinh hàn:
+ Tháo lưới chắn rác bên mạn đáy vỏ tàu, cạo, gõ, sơn thay bu lông hãm chặt lưới lọc rác;
+ Cạo, gõ bên trong hộp nước và các ngăn lọc rác, thay joăng và lắp ráp lại;
+ Tháo nắp 2 đầu, các đường ống nước ngoài, đường ống nước ngọt để thông sạch cặn nước bên trong ống sinh hàn, súc sạch cặn bẩn bám ở ngoài ống sinh hàn và trong vỏ bình sinh hàn;
+ Kiểm tra vách ngăn, thay joăng 2 nắp bình sinh hàn;
+ Lắp ráp bình sinh hàn vào hệ thống nước làm mát.
- Bơm nước ngọt và sinh hàn:
+ Tháo bơm nước ngọt lắp trên thân máy chính để kiểm tra cánh quạt cao su, trục bơm, vòng bi đỡ, bánh răng truyền động để sửa chữa hoặc thay mới;
+ Tháo bình sinh hàn lắp trên đầu máy (kết sinh hàn) để thông sạch căn nước, xúc rửa phần ống và ngăn chứa nhớt trong bình sinh hàn;
+ Thay joăng, phốt, lắp ráp bình sinh hàn vào hệ thống;
+ Nhớt bôi trơn: vệ sinh sạch nhớt cũ trong các te, trong các bầu lọc, trong kết chứa nhớt (các te khô);
+ Tháo kiểm tra cánh quạt, bạc, trục, then của bơm áp lực nhớt để sửa chữa;
+ Thay mới các joăng, phớt, lắp ráp bơm vào hệ thống.
g) Hệ thống khí nạp và khí thoát
- Tháo bầu lọc gió để vệ sinh hoặc thay lưới lọc gió, joăng lắp ráp vào nắp xi lanh.
- Tháo bơm tăng áp (bơm gió quét hay tuôc bô) để vệ sinh cánh quạt và vỏ bơm.
- Kiểm tra bạc đạn, bánh răng truyền động bơm, cánh quạt, thay joăng và lắp ráp vào hệ thống.
- Tháo đường ống thoát khí để vệ sinh, thông sạch muội khói bám trong ống từ nắp xi lanh đến ống khói.
- Kiểm tra tôn bầu giảm âm, các vách, ngăn trong bầu giảm âm và ống thoát để tu sửa, lắp ráp lại.
- Kiểm tra lớp cách nhiệt bên ngoài ống thoát để đắp, quấn lại lớp cách nhiệt. Thay joăng tại các đầu bích nối ống.
h) Hộp số thủy lực
- Tháo mặt bích, các đường ống nước, nhớt, bộ truyền động và các bu lông chân hộp số, dùng palăng đưa hộp số ra khỏi bệ đỡ.
- Xả hết phần nhớt, nước làm mát để thông sạch cặn bám ở sinh hàn.
- Tháo kiểm tra các bánh răng, bơm nhớt các van, đĩa ma sát, vòng bi, các resort, phớt chắn đầu trục...
- Gia công tán lại hoặc thay lớp ferado mỏng hoặc hỏng, đinh tán ép ferado vào hộp số.
- Thay các joăng, phớt cũ, lắp ráp các chi tiết vào hộp số.
- Kiểm tra tâm hộp số với trục trung gian, tâm máy chính để lắp ráp sau khi đã căn chỉnh tâm đạt tiêu chuẩn lắp ráp.
4.8. Hệ thống điều khiển ga, số
a) Điều khiển thủy lực
- Kiểm tra bơm, các đầu nối (rắc co, van, bích...) từ bơm thủy lực dưới buồng máy đến cabin lái để khắc phục chỗ rò rỉ nhớt.
- Kiểm tra ắc, thanh truyền động để hiệu chỉnh khe hở các khớp nối.
b) Điều khiển cơ
- Tháo vệ sinh các puly dẫn hướng, xích, cáp, đĩa xích và kiểm tra chất lượng để thay thế hay sửa chữa.
- Hiệu chỉnh độ căng để điều khiển nhẹ nhàng và chính xác.
4.9. Hệ thống điện
a) Dynamo và động cơ khởi động (đề ma rơ) lắp ở máy chính
- Dynamo và tiết chế:
+ Thay dynamo lai cổ góp điện, thay chổi than và kiểm tra các cuộn dây quấn trong rotor và stator;
+ Kiểm tra các vòng bi dynamo, puly, của roa, thay dây của roa, tăng chỉnh độ căng của của roa, kiểm tra chất lượng phát điện của Dynamo;
+ Kiểm tra các cuộn dây, các tiết điểm (mávít), hiệu chỉnh sự hoạt động của tiết chế điện.
- Đề ma rơ:
+ Tháo đề ma rơ kiểm tra lõi, ruột (các cuộn dây) vòng bi, bánh xe và trục để tu sửa;
+ Kiểm tra các resort, chổi than, cổ góp, đầu nối từ đề ma rơ đến ắc qui. b) Cụm máy phát điện độc lập
- Động cơ diesel kéo dynamo:
+ Tiến hành tháo, vệ sinh, kiểm tra, sửa chữa như máy chính (4.7.a đến 4.7.h);
+ Máy phát điện độc lập (dynamo): kiểm tra bộ ly hợp, khớp nối giữa động cơ diesel và máy phát;
+ Tháo rotor và stator để vệ sinh, kiểm tra: các cuộn dây quấn, bộ kích từ, cổ góp, bạc đạn đỡ rotor, các tiếp điểm tại hộp đấu dây stator;
+ Kiểm tra các đường dây dẫn, các thiết bị tại bảng điện chính đến các bảng điện nhánh.
c) Bảng điện chính và bảng điện chiếu sáng, công vụ và bảng điện sự cố kiểm tra các thiết bị: các vôn kế, ampere kế, tần số kế, aptomat, bộ biến dòng, các cầu dao, cầu chì, đèn báo, khởi động từ, biển áp, rơle nhiệt, công tắc, nút nhấn...
d) Các đường dây, còi, đèn
- Kiểm tra các đường dây dẫn từ bảng điện chính đến các bảng điện chiếu sáng, bảng điện hàng hải và tín hiệu, bảng điện công vụ, điện bờ.
- Kiểm tra các bóng đèn: đèn cột hành trình, mũi, lái, mạn, neo, đèn pha, đèn chiếu sáng, đèn mất chủ động...
- Kiểm tra âm lượng còi, chuông báo động.
- Thay các đoạn dây dẫn kém chất lượng.
- Thay các thiết bị báo không đúng.
- Thay các bóng đèn đã hỏng.
đ) Nguồn điện 1 chiều
- Kiểm tra các thiết bị nạp điện cho ắc qui (volts, dung lượng nạp).
- Kiểm tra các hộp đựng ắc quy, các dây nối các bình điện để thay mới đầu nối với đầu bọc ắc qui đã quá cũ.
- Kiểm tra toàn bộ các ắc qui khởi động, ắc qui công vụ...
- Thay các bình điện đã qua 1 năm sử dụng, đã xúc rửa bình dịch và nạp đầy điện cho các ắc quy.
- Kiểm tra tỷ trọng dung dịch, bổ sung thêm dung dịch và nạp đầy điện cho các ắc quy.
- Thay bình ắc quy, không giữ điện, thay cọc bình không ôm chặt vào đầu dây dẫn.
4.10. Hệ thống van, ống nước, các đồng hồ đo và thiết bị cứu hỏa
a) Hệ thống nước làm mát máy chính
- Toàn bộ các van ngắt, van nêm đều phải tháo kiểm tra độ kín giữa đế van và nắp di động đế xoáy sao cho kín nước; thay ty van, núm mở van bị hỏng, phớt kín nước giữa nắp van và ty van.
- Các ống nước phải vệ sinh, thông sạch cặn nước bên trong, kiểm tra các bu lon, các bích nối.
- Thay mới ống đã mọt (rò rỉ), thay ống quá mỏng (phải lấy dưỡng, uốn ống) tiện bích để hàn vào ống.
- Thay mới các joăng mặt bích, sơn lại ống và lắp ráp.
- Thay các ống cao su nối ống và cổ dê nối ống.
b) Hệ thống nước cứu hỏa, hút khô
- Các van nêm, van ngắt phải kiểm tra van, đế van, nắp van, tay mở van, nắp van di động để sửa chữa cho kín nước.
- Các ống nối các van, nối bơm và hộp nước.
- Tháo, làm sạch cặn nước, kiểm tra chiều dài ống, các bu lông nối, các bích nối để thay các đoạn ống mỏng quá, thay đoạn ống rò rỉ.
- Sơn lại các ống sau khi sửa chữa, thay joăng và lắp ráp ống với bơm và hộp nước, van nước.
- Sửa chữa lưới lọc, rà xoáy cláp pê và đế cláp pê giữa cột nước hút cho bơm.
- Thay các đồng hồ báo áp lực trên đường ống không báo đúng áp lực, vỡ mặt kính hay kẹt kim báo.
c) Thiết bị cứu hỏa và các thiết bị đo khác
- Kiểm tra lượng C02 trong từng bình để nạp bổ sung hay kiểm định áp lực nếu đến định kỳ kiểm tra.
- Kiểm tra bình bọt AB.
- Kiểm tra bình bột.
- Kiểm tra đầu báo nhiệt
- Kiểm tra đầu báo khói...
- Các nhiệt kế, áp kế có lắp trên các đường ống khí, nước, nhiệt... nếu báo sai phải thay thiết bị đo nước.
4.11. Hạ thủy, chạy thử và nghiệm thu bàn giao
a) Hạ thủy
- Sau khi sơn kỵ hà, ấn định ngày giờ hạ thủy, kiểm tra toàn bộ vỏ tàu từ mặt boong trở xuống đã hoàn tất, cho tàu hạ thủy.
- Trang bị cho phương tiện đầy đủ, nạp nhiên liệu, cho tàu chạy thử các hệ thống điện, các bơm cứu hỏa cứu hỏa, hút khô.
b) Chạy thử bàn giao
- Chạy thử không tải máy chính: Chạy tốc độ tối thiểu 30 phút, tốc độ đối đa 30 phút, để kiểm tra các hệ thống dầu, nhớt, nước về nhiệt độ, áp suất thấy bình thường, chuẩn bị chạy máy có tải.
- Chạy thử có tải cột tại bến: Chạy 50% công suất trong 4 giờ. Chạy 75% công suất trong 4 giờ.
- Chạy thử các thiết bị khác như:
+ Các bơm cứu hỏa, bơm hút khô, máy phát điện, các đèn, còi, pha, trang bị đủ thiết bị an toàn (phao tròn, phao cá nhân, phao bè ... ) nhận thêm dầu, nhớt, nước cho phép thử đường dài;
+ Chạy thử đường dài nghiệm thu: Chạy 50% công suất trong 2 giờ, chạy 75% công suất trong 2 giờ liên tục;
+ Thực hiện cập bến, quay phương tiện, lùi để kiểm tra hệ thống lái, ga, số... ;
+ Nếu còn khiếm khuyết phải chỉnh để chạy thử lại, kiểm tra lại phần khiếm khuyết lần thử trước;
+ Thời gian chạy thử lần 2 có thể thực hiện 50% so với thời gian chạy thử lần đầu;
+ Mời đăng kiểm chạy nghiệm thu theo quy định;
+ Lập biên bản bàn giao.
5. Ngoài các công việc theo các cấp sửa chữa nêu trên, khối lượng công việc cụ thể của từng cấp sửa chữa còn bao gồm các hạng mực khác theo tình hình thực tế của công tác khảo sát và yêu cầu của cơ quan đăng kiểm.
Phần II
ĐỊNH MỨC DỰ TOÁN BẢO DƯỠNG VÀ SỬA CHỮA
Chương 1
CÔNG TÁC TRIỀN ĐÀ
SA.1000: DI CHUYỂN PHƯƠNG TIỆN ĐI SỬA CHỮA
Thành phần công việc:
Chuẩn bị phương tiện, nghiên cứu lộ trình đi, canh thủy triều, phương án buộc kéo khi lai dắt. Dự toán tính cho hành trình trên các sông thuộc lãnh thổ Việt Nam.
SA.1100: DI CHUYỂN PHƯƠNG TIỆN NHỎ HƠN 10 km
Đơn vị tính: 01 phương tiện/lượt
|
Mã hiệu |
Công tác/hạng mục |
Thành phần hao phí |
Đơn vị |
Trọng tải phương tiện P (tấn) |
||
|
P ≤ 20 |
P ≤ 60 |
P ≤ 100 |
||||
|
SA. 11 |
Di chuyển phương tiện ≤ 10 km |
Tàu kéo 150 cv Tàu kéo 250 cv Tàu kéo 360 cv |
ca ca ca |
0,6 0,3 |
0,6 0,3 |
0,6 |
|
|
11 |
12 |
13 |
|||
SA.1200: DI CHUYỂN PHƯƠNG TIỆN NHỎ HƠN 20 Km
Đơn vị tính: 01 phương tiện/lượt
|
Mã hiệu |
Công tác/hạng mục |
Thành phần hao phí |
Đơn vị |
Trọng tải phương tiện P (tấn) |
||
|
P ≤ 20 |
P ≤ 60 |
P ≤ 100 |
||||
|
SA.12 |
Di chuyển phương tiện ≤ 20 km |
Tàu kéo 150 cv Tàu kéo 250 cv Tàu kéo 360 cv |
ca ca ca |
0,72 0,4 |
0,72 0,4 |
0,72 |
|
|
11 |
12 |
13 |
|||
(Tiếp theo)
SA.1300: DI CHUYỂN PHƯƠNG TIỆN NHỎ HƠN 30 km
Đơn vị tính: 01 phương tiện/lượt
|
Mã hiệu |
Công tác/hạng mục |
Thành phần hao phí |
Đơn vị |
Trọng tải phương tiện P (tấn) |
||
|
P ≤ 20 |
P ≤ 60 |
P ≤ 100 |
||||
|
SA.13 |
Di chuyển phương tiện ≤ 30 km |
Tàu kéo 150 cv Tàu kéo 250 cv Tàu kéo 360 cv |
ca ca ca |
0,864 0,48 |
0,864 0,48 |
0,864 |
|
|
11 |
12 |
13 |
|||
Ghi chú: Khi quãng đường tăng lên 10 km thì được nhân thêm hệ số k = 1,2
SA.2000: CÔNG TÁC KÉO PHƯƠNG TIỆN LÊN ĐÀ THÔNG THƯỜNG
Thành phần công việc:
Chuẩn bị mặt bằng, ụ hoặc đà, vật tư thiết bị thực hiện kéo phương tiện. Kiểm tra bố trí các gối kê theo bản vẽ kê nề phù hợp với kết cấu phương tiện. Kéo phương tiện lên, đặt phương tiện lên các gối, kiểm tra sự ăn nề, cân bằng và bàn giao phương tiện.
Đơn vị tính: 1 lượt
|
Mã hiệu |
Công tác/hạng mục |
Thành phần hao phí |
Đơn vị |
Trọng tải phương tiện P (tấn) |
|||
|
P ≤ 20 |
P ≤ 40 |
P ≤ 60 |
P ≤ 100 |
||||
|
SA.20 |
Kéo phương tiện |
Vật liệu Que hàn Ø 5 mm Mỡ bò Nhớt 40 Sáp parafine Nhân công 4/1 Máy thi công Tời điện 15 tấn Tàu kéo 150 cv Kích nâng 100 tấn Máy khác |
kg kg lít kg công
ca ca ca % |
4 5 5 10 30
3 1 8 5 |
5 8 8 15 35
3,5 1 10 5 |
7 10 10 20 40
4 1 12 5 |
9 10 10 20 45
4,5 1 14 5 |
|
|
11 |
12 |
13 |
14 |
|||
SA.3000: CÔNG TÁC KÉO PHƯƠNG TIỆN LÊN ĐÀ BẰNG TÚI KHÍ
Thành phần công việc:
Chuẩn bị mặt bằng, vật tư thiết bị thực hiện kéo phương tiện. Kiểm tra bố trí các gối kê theo bản vẽ kê nề phù hợp với kết cấu phương tiện. Kéo phương tiện lên, đặt phương tiện lên các gối, kiểm tra sự ăn nề, cân bằng phương tiện và bàn giao phương tiện.
Đơn vị tính: 1 lượt
|
Mã hiệu |
Công tác/hạng mục |
Thành phần hao phí |
Đơn vị |
Trọng tải phương tiện P (tấn) |
|||
|
P ≤ 20 |
P ≤ 40 |
P ≤ 60 |
P ≤ 100 |
||||
|
SA.30 |
Kéo tàu |
Vật liệu Que hàn Ø 5 mm Nhân công 4/7 Máy thi công Túi khí Tời điện 15 tấn Cẩu bánh lốp 10 tấn Tàu kéo 150 cv Máy nén khí 10m3/h Kích nâng 100 tấn Máy khác |
kg công
túi ca ca ca ca ca % |
2 24
3 2 1,5 1 3 5 5 |
2 30
3 2 1,5 1 3 5 5 |
3 34
3 2 1,5 1 3 6 5 |
4 40
5 3,5 2 1 5 8 5 |
|
|
11 |
12 |
13 |
14 |
|||
SA.4000: HẠ THỦY PHƯƠNG TIỆN THÔNG THƯỜNG
Thành phần công việc:
Chuẩn bị mặt bằng làm việc, bố trí các thiết bị công cụ hạ thủy, đưa phương tiện vào vị trí hạ thủy, hạ thủy phương tiện và các công việc khác để hoàn thành công việc.
Đơn vị tính: 1 lượt
|
Mã hiệu |
Công tác/hạng mục |
Thành phần hao phí |
Đơn vị |
Trọng tải phương tiện P (tấn) |
|||
|
P ≤ 20 |
P ≤ 40 |
P ≤ 60 |
P≤100 |
||||
|
SA.40 |
Hạ thủy phương tiện |
Vật liệu Que hàn Ø 5 mm Mỡ bò Nhớt N40 Sáp parafine Nhân công 4/7 Máy thi công Tời điện 15 tấn Tàu kéo 150 cv Kích nâng 100 tấn Máy khác |
kg kg lít kg công
ca ca ca % |
3 8 10 15 30
3 1 8 5 |
3 8 10 18 35
3 1 10 5 |
5 10 10 20 40
4 1 12 5 |
7 10 10 20 45
4,5 1 14 5 |
|
|
11 |
12 |
13 |
14 |
|||
SA.5000: HẠ THỦY PHƯƠNG TIỆN BẰNG TÚI KHÍ
Thành phần công việc:
Chuẩn bị mặt bằng đưa túi khí và các thiết bị công cụ hạ thủy vào vị trí làm việc, di chuyển phương tiện đến vị trí hạ thủy, tiến hành hạ thủy phương tiện và các công việc khác để hoàn thành công việc.
Đơn vị tính: 1 lượt
|
Mã hiệu |
Công tác/hạng mục |
Thành phần hao phí |
Đơn vị |
Trọng tải phương tiện P (tấn) |
|||
|
P ≤ 20 |
P ≤ 40 |
P ≤ 60 |
P≤ 100 |
||||
|
SA. 50 |
Hạ thủy phương tiện |
Vật liệu Que hàn Ø 5 mm Nhân công 4/7 Máy thi công Túi khí Tời điện 15 tấn Cẩu bánh lốp 10 tấn Tàu kéo 150 cv Máy nén khí 10m3/h Máy khác |
kg công
túi ca ca ca ca % |
2 24
3 2 1,5 1 3 5 |
2 30
3 2 1,5 1 3 5 |
3 34
3 2 1,5 1 3 5 |
4 40
5 3,5 2 1 5 5 |
|
|
11 |
12 |
13 |
14 |
|||
Chương 2
CÔNG TÁC KHẢO SÁT PHỤC VỤ THI CÔNG
SB.1000: CÔNG TÁC KHẢO SÁT TÌNH TRẠNG HƯ HỎNG (KIỂM TU)
Thành phần công việc:
Chuẩn bị vật tư, làm công tác kiểm tra khảo sát, tháo rã, vệ sinh các chi tiết của động cơ, hệ thống trang thiết bị, tôn vỏ.
SB.1100: SIÊU ÂM KIỂM TRA CHIỀU DÀY TÔN VỎ
Thành phần công việc:
- Đọc kiểm tra bản vẽ rải tôn hiện trạng, gõ rỉ mài sạch vị trí đo, đo siêu âm, ghi số liệu đo vào bản vẽ rải tôn để trình đăng kiểm.
- Định mức không tính tới việc kê giàn giáo phục vụ thi công.
Đơn vị tính: 100 điểm đo
|
Mã hiệu |
Công tác xây lắp |
Thành phần hao phí |
Đơn vị |
Điều kiện làm việc |
||||
|
Bình thường |
Hầm kín |
|||||||
|
Tư thế bằng |
Tư thế ngang |
Tư thế trần |
Tư thế bằng |
Tư thế ngang |
||||
|
SB.11 |
Siêu âm kiểm tra chiều dày tôn vỏ |
Vật liệu Mỡ bò Giẻ lau Nhân công 4,5/7 Máy thi công Máy mài tay 1 kW Máy khác |
kg kg công
ca % |
1 2 14
7 3 |
1 2 16
7 3 |
1 2 19,5
7 4 |
1.2 3 20
8 4 |
1.2 3 21
8 4 |
|
|
11 |
12 |
13 |
14 |
15 |
|||
SB.1200: KHẢO SÁT ĐỘNG CƠ
Đơn vị tính: 1 động cơ
|
Mã hiệu |
Công tác /hạng mục |
Thành phần hao phí |
Đơn vị |
Trọng tải phương tiện P (tấn) |
||
|
P ≤ 20 |
P ≤ 60 |
P ≤ 100 |
||||
|
SB.12 |
Vệ sinh, kiểm tra động cơ, hộp số, máy phát điện |
Vật liệu Dầu DO Vải lau Nhân công 4,5/7 |
lít kg công |
25 10 6 |
35 13 8 |
35 13 8 |
|
|
11 |
12 |
13 |
|||
SB.1300: KHẢO SÁT HỆ TRỤC CHÂN VỊT
Đơn vị tính: 1 động cơ
|
Mã hiệu |
Công tác/hạng mục |
Thành phần hao phí |
Đơn vị |
Trọng tải phương tiện P (tấn) |
||
|
P ≤ 20 |
P ≤ 60 |
P ≤ 100 |
||||
|
SB.13 |
Vệ sinh, kiểm tra, đo thông số kỹ thuật hệ trục chân vịt |
Vật liệu Dầu DO Vải lau Nhân công 4,5/7 |
lít kg công |
9 10 5 |
12 13 7 |
17 13 7 |
|
|
11 |
12 |
13 |
|||
SB.1400: KHẢO SÁT HỆ THỐNG LÁI
Đơn vị tính: 1 lượt
|
Mã hiệu |
Công tác/hạng mục |
Thành phần hao phí |
Đơn vị |
Trọng tải phương tiện P (tấn) |
||
|
P ≤ 20 |
P ≤ 60 |
P ≤ 100 |
||||
|
SD.14 |
Vệ sinh, kiểm tra |
Vật liệu Dầu DO Vải lau Nhân công 4,5/7 |
lít kg công |
3 2 4 |
5 2 4 |
5 2 4 |
|
|
11 |
12 |
13 |
|||
SB.1500: KHẢO SÁT HỆ THỐNG TRUYỀN ĐỘNG ĐIỀU KHIỂN GA SỐ
Đơn vị tính: 1 hệ
|
Mã hiệu |
Công tác/hạng mục |
Thành phần hao phí |
Đơn vị |
Trọng tải phương tiện P (tấn) |
||
|
P ≤ 20 |
P ≤ 60 |
P ≤ 100 |
||||
|
SB.15 |
Vệ sinh, kiểm tra |
Vật liệu Dầu DO Vải lau Nhân công 4,5/7 |
lít kg công |
2 1 2 |
5 1 2 |
5 1 2 |
|
|
11 |
12 |
13 |
|||
SB.1600: KHẢO SÁT HỆ THỐNG NEO
Đơn vị tính: 1 hệ neo
|
Mã hiệu |
Công tác/hạng mục |
Thành phần hao phí |
Đơn vị |
Trọng tải phương tiện P (tấn) |
||
|
P ≤ 20 |
P ≤ 60 |
P ≤ 100 |
||||
|
SB.16 |
Vệ sinh, kiểm tra |
Vật liệu Dầu DO Vải lau Nhân công 4,5/7 |
lít kg công |
2 1 2 |
5 2 2 |
5 2 2 |
|
|
11 |
12 |
13 |
|||
SB.1700: KHẢO SÁT HỆ THIẾT BỊ CỨU SINH, CỨU HỎA
Đơn vị tính: 1 lượt
|
Mã hiệu |
Công tác/hạng mục |
Thành phần hao phí |
Đơn vị |
Trọng tải phương tiện P (tấn) |
||
|
P ≤ 20 |
P ≤ 60 |
P ≤ 100 |
||||
|
SB.17 |
Vệ sinh, kiểm tra |
Vật liệu Dầu DO Vải lau Nhân công 4,5/7 |
lít kg công |
3 1 2 |
5 2 2 |
5 2 2 |
|
|
11 |
12 |
13 |
|||
SB.1800: KHẢO SÁT HỆ THỐNG ĐIỆN
Đơn vị tính: 1 lượt
|
Mã hiệu |
Công tác/hạng mục |
Thành phần hao phí |
Đơn vị |
Trọng tải phương tiện P (tấn) |
||
|
P ≤ 20 |
P ≤ 60 |
P ≤ 100 |
||||
|
SD.18 |
Vệ sinh, kiểm tra |
Vật liệu Dầu DO Vải lau Nhân công 4/7 |
lít kg công |
1 1 2 |
5 2 2 |
5 2 2 |
|
|
11 |
12 |
13 |
|||
Chương 3
CÔNG TÁC VẬN CHUYỂN PHỤC VỤ THI CÔNG
SC.1000: CÔNG TÁC VẬN CHUYÊN PHỤC VỤ THI CÔNG SỬA CHỮA
SC.1100: CÔNG TÁC VẬN CHUYỂN PHẾ LIỆU
Thành phần công việc:
Chuẩn bị dụng cụ thi công và phương tiện vận chuyển. Thi công đảm bảo yêu cầu tránh rơi vãi, bốc xếp vật liệu vào phương tiện vận chuyển và vận chuyển đến nơi quy định, xếp đổ vật liệu đúng quy định.
Đơn vị tính: 1 m3
|
Mã hiệu |
Công tác/hạng mục |
Thành phần hao phí |
Đơn vị |
Số lượng |
|
|
Bốc xếp vận chuyển bằng gánh vác bộ |
|
công |
0,27 |
|
SC.111 SC.112 |
*10 m đầu *10 m tiếp theo |
Nhân công 3/7 Nhân công 3/7 |
công công |
0,22 0,065 |
|
|
Vận chuyển bằng phương tiện thô sơ |
|
|
|
|
SC.113 SC.114 |
* 10 m đầu * 10 m tiếp theo |
Nhân công 3/7 Nhân công 3/7 |
công công |
0,17 0,018 |
|
|
Vận chuyển bằng ôtô trong phạm vi 1.000 m |
|
|
|
|
SC.115 SC.116 SC.117 |
* Ô tô 2,5 tấn * Ô tô 5 tấn * Ô tô 7 tấn |
|
ca ca ca |
0,034 0,02 0,015 |
|
|
Vận chuyển bằng ô tô 1.000 m tiếp theo |
|
|
|
|
SC.118 SC.119 SC.120 |
* Ô tô 2,5 tấn * Ô tô 5 tấn * Ô tô 7 tấn |
|
ca ca ca |
0,02 0,01 0,006 |
|
|
1 |
|||
SC.1200: CÔNG TÁC VẬN CHUYỂN SẮT THÉP
Thành phần công việc:
Chuẩn bị dụng cụ thi công và phương tiện vận chuyển. Thi công đảm bảo yêu cầu tránh rơi vãi, đổ vỡ, bốc xếp vật liệu vào phương tiện vận chuyển và vận chuyển đến nơi quy định, xếp đổ vật liệu đúng quy định.
Đơn vị tính: công/tấn
|
Mã hiệu |
Công tác/hạng mục |
Thành phần hao phí |
Đơn vị |
Số lượng |
|
SC.121 SC.122 |
Bốc xếp Vận chuyển bằng gánh vác bộ * 10 m đầu * 10 m tiếp theo |
Nhân công 3/7 Nhân công 3/7 |
công công |
0,19 0,09 |
|
|
Vận chuyển bằng phương tiện thô sơ |
|
|
|
|
SC.123 SC.124 |
* 10 m đầu * 10 m tiếp theo |
Nhân công 3/7 Nhân công 3/7 |
công công |
0,15 0,023 |
|
|
1 |
|||
SC.1300: CÔNG TÁC VẬN CHUYÊN DỤNG CỤ THI CÔNG
Thành phần công việc:
Chuẩn bị dụng cụ thi công và phương tiện vận chuyển. Thi công đảm bảo yêu cầu tránh rơi vãi, đổ vỡ, bốc xếp dụng cụ vào phương tiện vận chuyển và vận chuyển đến nơi quy định, xếp đổ dụng cụ đúng quy định.
Đơn vị tính: công/tấn
|
Mã hiệu |
Công tác/hạng mục |
Thành phần hao phí |
Đơn vị |
Số lượng |
|
SC.131 SC.132 |
Bốc xếp Vận chuyển bằng gánh vác bộ * 10 m đầu * 10 m tiếp theo |
Nhân công 3/7 Nhân công 3/7 |
công công |
0,22 0,065 |
|
|
Vận chuyển bằng phương tiện thô sơ |
|
|
|
|
SC.133 SC.134 |
* 10 m đầu * 10 m tiếp theo |
Nhân công 3/7 Nhân công 3/7 |
công công |
0,16 0,018 |
|
|
1 |
|||
SC.2000: CÔNG TÁC CUNG CẤP GỐI KÊ, ĐIỆN NĂNG, NƯỚC SINH HOẠT, CẦU THANG LÊN XUỐNG TÀU
Thành phần công việc:
Chuẩn bị vật tư, dụng cụ thi công, vận chuyển đến vị trí thi công trong phạm vi 30m. Thực hiện theo phương án kỹ thuật. Kiểm tra và bàn giao công việc (Hao phí tính cho toàn bộ thời gian tàu sửa chữa).
Đơn vị tính: công/1 đơn vị
|
Mã hiệu |
Công tác/hạng mục |
Thành phần hao phí |
Đơn vị |
Số lượng |
|
SC.201 |
Chuyển gối kê để sửa chữa vỏ tàu |
Nhân công 3/7 Ô tô 1,5 tấn |
công ca |
2,54 0,125 |
|
SC.202 |
Bắc cầu thang lên xuống tàu |
Nhân công 3/7 Cẩu 1,5 tấn |
công ca |
8,54 0,5 |
|
SC.203 |
Bắc và tháo nguồn điện |
Nhân công 3/7 |
công |
2,4 |
|
SC.204 |
Bắc và tháo nguồn cung cấp nước ngọt |
Nhân công 3/7 Nước ngọt |
công m3 |
2,4 Tùy theo nhu cầu sử dụng |
|
SC.205 |
Bắc và tháo nguồn nước cứu hỏa |
Nhân công 3/7 |
công |
2,4 |
|
SC.206 |
Bố trí thùng rác và thu dọn rác sinh hoạt hàng ngày |
Nhân công 3/7 |
công |
8,54 |
|
|
1 |
|||
SC.3000: LẮP DỰNG VÀ THÁO DỠ GIÀN GIÁO PHỤC VỤ THI CÔNG
SC.3100: LẮP DỰNG GIÀN GIÁO NGOÀI
Thành phần công việc:
Chuẩn bị, vận chuyển, lắp dựng, tháo dỡ giàn giáo theo đúng yêu cầu kỹ thuật bốc xếp lên phương tiện trước và sau khi sử dụng.
Đơn vị tính: 100 m2
|
Mã hiệu |
Công tác/hạng mục |
Thành phần hao phí |
Đơn vị |
Chiều cao h (m) |
||
|
≤ 5 |
5 < h ≤ 10 |
> 10 |
||||
|
SC.31 |
Lắp dựng giàn giáo ngoài |
Vật liệu Gỗ ván Giáo thép Thép tròn Ø < 18 mm Vật liệu khác Nhân công 3/7 Máy thi công Cẩu 1 tấn Cẩu 3 tấn Máy khác |
m3 kg kg % công
ca ca % |
0,035 9,50 1,5 10 5,5
0,015
5 |
0,04 9,50 2,0 15 6,5
0,018
5 |
0,05 9,50 2,50 20 7,2
0,02 5 |
|
|
11 |
12 |
13 |
|||
SC.3200: LẮP DỰNG GIÀN GIÁO TRONG
|
Mã hiệu |
Công tác/hạng mục |
Thành phần hao phí |
Đơn vị |
Giàn giáo trong có chiều |
|
|
Chiều cao chuẩn < 3,6 m |
Mỗi 1,2 m tăng thêm |
||||
|
SC.32 |
Lắp dựng giàn giáo trong |
Vật liệu Gỗ ván Giáo thép Vật liệu khác Nhân công 5/7 |
m3 kg % công |
0,036 9,50 20 3,5 |
2,12
0,96 |
|
|
11 |
12 |
|||
Chương 4
CÔNG TÁC THÁO DỠ VÀ VỆ SINH
SD.1000: CÔNG TÁC VỆ SINH, PHÁ DỠ, VẬN CHUYỂN PHỤC VỤ THI CÔNG
SD.1100: XÚC BỎ BÙN LỎNG TRONG KHOANG KÉT
Thành phần công việc:
Chuẩn bị dụng cụ thi công, phương án an toàn thi công trong hầm kín, thi công đảm bảo yêu cầu kỹ thuật.
Đơn vị tính: 1 m3
|
Mã hiệu |
Công tác/hạng mục |
Thành phần hao phí |
Đơn vị |
Trọng tải phương tiện P (tấn) |
||
|
P ≤ 20 |
P ≤ 60 |
P ≤ 100 |
||||
|
SD. 11 |
Xúc bỏ bùn lỏng trong khoang kết |
Nhân công 3/7 |
công |
1,43 |
1,43 |
1,43 |
|
|
11 |
12 |
13 |
|||
SD.1200: PHÁ DỠ BẰNG THỦ CÔNG
Thành phần công việc:
Phá dỡ các kết cấu kiến trúc, tận dụng các vật liệu để tận dụng lại, xếp đống theo từng loại, đúng nơi quy định hoặc trên các phương tiện vận chuyển trong phạm vi 30 m để vận chuyển, thu dọn mặt bằng sau khi phá dỡ.
SD.1210: PHÁ DỠ KỂT CẤU GẠCH ĐÁ
Đơn vị tính: công/1 m3
|
Mã hiệu |
Công tác/hạng mục |
Thành phần hao phí |
Đơn vị |
Tường gạch |
Nền bê tông gạch vỡ |
|
SD.121 |
Phá dỡ kết cấu gạch đá |
Nhân công 3/7 |
công |
1,35 |
1,67 |
|
|
1 |
2 |
|||
SD.1220: PHÁ DỠ KỂT CẤU BÊ TÔNG
Nhân công: 3/7
Đơn vị tính: công/1 m3
|
Mã hiệu |
Công tác/hạng mục |
Bê tông tảng rời |
Nền bê tông không có cốt thép |
Nền bê tông có cốt thép |
Tường bê tông |
|
SD.122 |
Phá dỡ kết cấu bê tông |
2,06 |
3,56 |
5,10 |
4,70 |
|
|
1 |
2 |
3 |
4 |
|
SD.1230: PHÁ DỠ NỀN XI MĂNG, NỀN GẠCH, TẤM ĐAN BÊ TÔNG
Nhân công: 3/7
Đơn vị tính: công/1 m3
|
Mã hiệu |
Công tác/hạng mục |
Nền xi măng |
Nền gạch |
Tấm đan bê tông |
|||
|
Không cốt thép |
Có cốt thép |
Gạch lá nem |
Gạch xi măng |
Gạch chỉ |
|||
|
SD.123 |
Phá dỡ nền |
0,03 |
0,05 |
0,07 |
0,08 |
0,06 |
0,09 |
|
|
1 |
2 |
3 |
4 |
5 |
6 |
|
SD.1300: PHÁ DỠ BẰNG MÁY
Thành phần công việc:
Phá dỡ kết cấu bê tông cốt thép, không cốt thép, kết cấu gạch đá bằng máy khoan cầm tay, cắt cốt thép bằng máy hàn, bốc xúc phế thải đổ đúng nơi quy định, hoặc đổ lên phương tiện vận chuyển trong phạm vi 30 m.
Đơn vị tính: công/1 m3
|
Mã hiệu |
Công tác/hạng mục |
Thành phần hao phí |
Đơn vị |
Bê tông |
Gạch đá |
|
|
Có cốt thép |
Không có cốt thép |
|||||
|
SD.13 |
Phá dỡ bằng máy |
Vật liệu Que hàn Ø 5 mm Nhân công 3/7 Máy thi công |
kg công
|
1,5 2,02 |
|
|
|
|
|
Máy khoan bê tông 1,5 kW |
ca |
1,05 |
1,88 |
1,65 |
|
|
|
Máy hàn 23 kW |
ca |
0,23 |
0,72 |
0,65 |
|
|
11 |
12 |
13 |
|||
SD.1310: THÁO DỠ KỂT CẤU GỔ VÀ SẮT THÉP
Nhân công: 3/7
|
Mã hiệu |
Công tác/hạng mục |
Kết cấu gỗ Đơn vị tính: công/1 m3 |
Kết cấu thép Đơn vị tính: công/tấn |
||
|
SD.131 |
Tháo dỡ kết cấu gổ, sắt thép |
Chiều cao (m) |
|||
|
≤ 4 |
≤ 16 |
≤ 4 |
≤ 16 |
||
|
1,86 |
2,99 |
6,50 |
8,80 |
||
|
|
1 |
2 |
3 |
4 |
|
SD.1320: THÁO DỠ TRẦN, CỬA, GẠCH ỐP TƯỜNG
Nhân công: 3/7
Đơn vị tính: công/1 m2
|
Mã hiệu |
Công tác/hạng mục |
Trần |
Cửa |
Gạch ốp |
|
|
Tường |
Chân tường |
||||
|
SD.132 |
Phá dỡ trần, cửa, gạch ốp tường |
0,06 |
0,04 |
0,11 |
0,13 |
|
|
1 |
2 |
3 |
4 |
|
SD.1330: THÁO DỠ TRẦN LA PHÔNG NHỰA Nhân công: 3/7
Đơn vị tính: công/1 m
|
Mã hiệu |
Công tác/hạng mục |
Thành phần hao phí |
Đơn vị |
Số lượng |
|
SD.133 |
Tháo dỡ trần la phông nhựa |
|
công |
0,08 |
|
|
1 |
|||
SD.1340: THÁO DỠ VÁCH NGĂN
Nhân công: 3/7
Đơn vị tính: công/1 m2
|
Mã hiệu |
Công tác/hạng mục |
Khung mắt cáo |
Ván ép |
Tường gỗ |
Ván sàn |
Vách ngăn bằng nhôm kính |
|
SD.134 |
Tháo dỡ vách ngăn |
0,03 |
0,04 |
0,04 |
0,06 |
0,10 |
|
|
1 |
2 |
3 |
4 |
5 |
|
SD.1400: THÁO CÁC THIẾT BỊ VỆ SINH
Thành phần công việc:
Tháo dỡ các thiết bị vệ sinh, tận dụng các vật liệu để sử dụng lại. Vận chuyển và xếp đóng theo tường loại đúng nơi quy định trong phạm vi 30 m.
Nhân công: 3/7
Đơn vị tính: công/cái
|
Mã hiệu |
Công tác/hạng mục |
Tháo dỡ buồng tắm |
Tháo dỡ chậu rửa |
Tháo dỡ bệ xí |
Tháo dỡ chậu tiểu |
|
SD.14 |
Tháo các thiết bị vệ sinh |
0,45 |
0,1 |
0,13 |
0,15 |
|
|
11 |
12 |
13 |
14 |
|
SD.1500: THÁO DỠ MÁY ĐIỀU HOÀ VÀ BÌNH ĐUN NƯỚC NÓNG
Nhân công: 3/7
Đơn vị tính: công/cái
|
Mã hiệu |
Công tác/hạng mục |
Điều hòa |
Bình đun nước |
|
SD.15 |
Tháo dỡ máy điều hoà, bình đun nước nóng |
0,6 |
0,20 |
|
|
11 |
12 |
|
SD.1600: THÁO DỠ LAN CAN
Nhân công: 3/7
Đơn vị tính: công/1 m
|
Mã hiệu |
Công tác/hạng mục |
Thành phần hao phí |
Đơn vị |
Số lượng |
|
SD.16 |
Tháo dỡ lan can |
|
công |
0,1 |
|
|
11 |
|||
SD.1700: THÁO DỠ CẤU KIỆN BẰNG BÊ TÔNG, GANG THÉP
Đơn vị tính: công/cấu kiện
|
Mã hiệu |
Công tác/ hạng mục |
Thành phần hao phí |
Đơn vị |
Khối lượng cấu kiện g (kg) |
||||
|
g < 50 |
50 < g ≤ 100 |
50 < g ≤ 150 |
150 < g ≤ 250 |
g > 250 |
||||
|
SD.17 |
Tháo cấu kiện bằng bê tông, gang thép |
Nhân công 3/7 |
công |
0,43 |
0,87 |
1,17 |
2,05 |
3,0 |
|
|
11 |
12 |
13 |
14 |
15 |
|||
SD.1800: THÁO DỠ HỆ THỐNG ĐIỆN
Thành phần công việc:
Chuẩn vị vật tư thiết bị đồ nghề, gỡ dây ra khỏi đầu cốt, tách dây ra khỏi bó, kéo dây đặt đúng vị trí, kiểm tra và bàn giao.
SD.1810: THÁO DỠ DÂY ĐIỆN
Đơn vị tính: 1 m
|
Mã hiệu |
Công tác/ hạng mục |
Thành phần hao phí |
Đơn vị |
Loại dây (mm2) |
||||
|
2 x 0,5 |
2 x 0,75 |
2 x 1,0 |
2 x 1,25 |
2 x 1,5 |
||||
|
SD.181 |
Tháo dỡ dây dẫn điện |
Nhân công 3/7 |
công |
0,025 |
0,025 |
0,03 |
0,03 |
0,032 |
|
|
1 |
2 |
3 |
4 |
5 |
|||
SD.1820: THÁO DỠ HỘP ĐIỆN, TỦ ĐIỆN
Đơn vị tính: 1 cái
|
Mã hiệu |
Công tác/ hạng mục |
Thành phần hao phí |
Đơn vị |
Kích thước hộp (mm) |
||
|
≤ |
≤ |
≤ |
||||
|
SD.182 |
Tháo dỡ tủ điện, hộp điện |
Nhân công 3/7 Máy thi công Máy mài cầm tay 1 kW |
công
ca |
0,38
0,02 |
0,38
0,02 |
0,38
0,02 |
|
|
1 |
2 |
3 |
|||
Đơn vị tính: 1 cái
|
Mã hiệu |
Công tác/ hạng mục |
Thành phần hao phí |
Đơn vị |
Kích thước hộp (mm) |
||
|
≤ |
≤ |
≤ |
||||
|
SD.182 |
Tháo dỡ tủ điện, hộp điện |
Nhân công 3/7 Máy thi công Máy mài cầm tay 1 kW |
công
ca |
0,38
0,02 |
0,4
0,02 |
0,42
0,02 |
|
|
4 |
5 |
6 |
|||
Chương 5
ĐỊNH MỨC CÁC THÀNH PHẦN HAO PHÍ VẬT TƯ BẢO DƯỠNG THƯỜNG XUYÊN
SE.1000: BẢO DƯỠNG THƯỜNG XUYÊN THÂN VỎ, THIẾT BỊ
SE.1100: BẢO DƯỠNG THƯỜNG XUYÊN THÂN VỎ
Thành phần công việc:
- Gỏ rỉ, chà vệ sinh bề mặt và sơn lại toàn bộ từ mớn nước trở lên boong theo đúng tiêu chuẩn kỹ thuật.
- Gò rỉ, chà vệ sinh bề mặt và sơn dặm, vá cục bộ bên trong các hầm.
- Kẻ lại tên, số phương tiện bị mờ trên mạn và cabin.
- Thay tôn sắt thép bị mòn rỉ, biến dạng hỏng quá tiêu chuẩn kỹ thuật (từ mớn nước trở lên và trong các hầm).
- Sửa chữa nhỏ các chi tiết trên boong bị hỏng vặt. Xem các cơ cấu, bộ phận để chỉnh lại. Trong trường hợp đặc biệt mới tiến hành sửa chữa các công việc sắt hàn dưới nước.
Nội dung công việc trên thực hiện thường xuyên.
Những mốc thời gian cụ thể, ngoài nội dung công việc thường xuyên như trên còn kiểm tra và thực hiện một số công tác khác, cụ thể như sau:
Đơn vị tính: 3 tháng
|
Mã hiệu |
Công tác/hạng mục |
Thành phần hao phí |
Đơn vị |
Trọng tải phương tiện P (tấn) |
||
|
P ≤ 20 |
20 < P ≤ 60 |
60 < P ≤ 100 |
||||
|
SE.11 |
Sơn dặm vá các khu vực bị hỏng |
Vật liệu Sơn chống rỉ Sơn màu 1 Sơn màu 2 Vật liệu khác |
kg kg kg % |
5 10 5 1 |
10 20 10 1 |
20 30 20 1 |
|
|
11 |
12 |
13 |
|||
SE.1200: BẢO DƯỠNG HỆ THỐNG LÁI
Thành phần công việc:
- Xem xét, lau chùi, tra dầu mỡ các bộ phận truyền động (puly, bánh răng...). Điều chỉnh cá biệt một số phần để hoạt động nhẹ nhàng.
- Lặn kiểm tra ky lái, bánh lái, xiết chặt các bulông mặt bích liên kết. Khắc phục những hư hỏng nếu có.
- Xem xét kiểm tra đường ống thủy lực khắc phục sự rò rỉ dầu tại các vị trí công tác, bơm, môtơ thủy lực, ty ben, hiệu chỉnh thước lái, hiệu chỉnh áp lực toàn hệ thống, thay lượt nhớt thủy lực.
Nội dung công việc trên thực hiện thường xuyên.
Những mốc thời gian cụ thể, ngoài nội dung công việc thường xuyên như trên còn kiểm tra và thực hiện một số công tác khác, cụ thể như sau:
Đơn vị tính: 500 giờ
|
Mã hiệu |
Công tác/hạng mục |
Thành phần hao phí |
Đơn vị |
Trọng tải phương tiện P (tấn) |
||
|
P ≤ 20 |
20 < P ≤ 60 |
60 < P ≤ 100 |
||||
|
SE.121 |
Bảo dưỡng hệ thống lái |
Vật liệu Mỡ bò Vải lau |
kg kg |
2 0,2 |
4 0,4 |
6 0,4 |
|
|
1 |
2 |
3 |
|||
Đơn vị tính : 2.000 giờ
|
Mã hiệu |
Công tác/hạng mục |
Thành phần hao phí |
Đơn vị |
Trọng tải phương tiện P (tấn) |
||
|
P ≤ 20 |
20 < P ≤ 60 |
60 < P ≤ 100 |
||||
|
SE.122 |
Vệ sinh, bảo dưỡng, thay dầu. |
Vật liệu Dầu nhờn Vải lau |
lít kg |
20 0,1 |
40 0,2 |
60 0,2 |
|
|
1 |
2 |
4 |
|||
SE.1300: BẢO DƯỠNG THIẾT BỊ CHẰNG BUỘC, XÍCH NEO
Thành phần công việc:
- Cạo gỏ rỉ, sơn hắc ín xích neo, kiểm tra lau chùi, bôi dầu mỡ các tời, con lăn.
Đơn vị tính: 2.000 giờ
|
Mã hiệu |
Công tác/hạng mục |
Thành phần hao phí |
Đơn vị |
Trọng tải phương tiện P (tấn) |
||
|
P ≤ 20 |
20 < P ≤ 60 |
60 < P ≤ 100 |
||||
|
SE.13 |
Vệ sinh, bảo dưỡng |
Vật liệu Dầu DO Mỡ bò Vải lau |
lít kg kg |
1 1 0,1 |
2 2 0,2 |
4 4 0,4 |
|
|
11 |
12 |
13 |
|||
SE.1400: BẢO DƯỠNG THIẾT BỊ AN TOÀN, CỨU SINH, CỨU ĐẮM
Sửa chữa nhỏ một số hư hỏng, sau đó đặt lại đúng vị trí.
Đơn vị tính: 1 lần hỏng
SE.2000: BẢO DƯỠNG THƯỜNG XUYÊN HỆ TRỤC ĐỘNG LỰC
SE.2100: BẢO DƯỠNG HỆ TRỤC CHÂN VỊT
Thành phần công việc:
- Lau chùi, tra dầu mỡ bộ phận các ổ đỡ trục chân vịt, kiểm tra xiết chặt các bu lông nối mặt bích, bệ đỡ ổ trục, thay trét kín nước, điều chỉnh cá biệt một số bộ phận để hoạt động nhẹ nhàng.
- Kiểm tra cao su giảm chấn, tra mỡ trục các đăng. Nội dung công việc trên thực hiện thường xuyên.
Những mốc thời gian cụ thể, ngoài nội dung công việc thường xuyên như trên còn kiểm tra và thực hiện một số công tác khác, cụ thể như sau:
Đơn vị tính: 1.000 giờ
|
Mã hiệu |
Công tác/hạng mục |
Thành phần hao phí |
Đơn vị |
Trọng tải phương tiện P (tấn) |
||
|
P ≤ 20 |
20 < P ≤ 60 |
60 < P ≤ 100 |
||||
|
SE.211 |
Vệ sinh, bảo dưỡng, thay thế |
Vật liệu Mỡ bò Dầu DO Trét kín nước Vải lau |
kg kg m kg |
1 1 0,5 0,1 |
2 2 2 0,2 |
2 4 4 0,4 |
|
|
1 |
2 |
3 |
|||
Đơn vị tính: 2.000 giờ
|
Mã hiệu |
Công tác/hạng mục |
Thành phần hao phí |
Đơn vị |
Trọng tải phương tiện P (tấn) |
|
|
P ≤ 60 |
60 < P ≤ 100 |
||||
|
SE.212 |
Vệ sinh, bảo dưỡng, thay thế |
Vật liệu Bạc đạn chữ thập Khớp nối mềm Vải lau |
bộ cái kg |
2 2 0,2 |
4 4 0,2 |
|
|
1 |
2 |
|||
Đơn vị tính: 3.000 giờ
|
Mã hiệu |
Công tác/hạng mục |
Thành phần hao phí |
Đơn vị |
Trọng tải phương tiện P (tấn) |
|
|
P ≤ 60 |
60 < P ≤ 100 |
||||
|
SE.213 |
Vệ sinh, bảo dưỡng, thay thế |
Vật liệu Bạc đạn chữ thập Khớp nối mềm Vải lau |
bộ cái kg |
4 2 0,5 |
12 6 1 |
|
|
1 |
2 |
|||
Đơn vị tính: 4.000 giờ
|
Mã hiệu |
Công tác/hạng mục |
Thành phần hao phí |
Đơn vị |
Trọng tải phương tiện P (tấn) |
|
|
P ≤ 60 |
60 < P ≤ 100 |
||||
|
SE.214 |
Vệ sinh, bảo dưỡng thay thế |
Vật liệu Trục các đăng truyền động Vải lau |
bộ
|
2
|
2
|
|
|
1 |
2 |
|||
SE.2200: BẢO DƯỠNG ĐỘNG CƠ CHÍNH
Thành phần công việc:
- Lau chùi, tra dầu mỡ các bộ phận động cơ chính.
- Súc rửa, thay bầu lọc nhớt, bầu lọc dầu, bầu lọc khí nạp.
- Vệ sinh súc rửa sinh hàn nước làm mát động cơ, sinh hàn hộp số.
- Vệ sinh, thay vòng bi, phốt, trét kín nước các bơm nước.
- Thay nhớt máy động cơ.
- Vệ sinh đường ống, sửa chữa các van nước.
Nội dung công việc trên thực hiện theo thời gian thước định ngạch.
Những mốc thời gian cụ thể, ngoài nội dung công việc thường xuyên như trên còn kiểm tra và thực hiện một số công tác khác, cụ thể như sau:
Đơn vị tính: 1.500 giờ
|
Mã hiệu |
Công tác/ hạng mục |
Thành phần hao phí |
Đơn vị |
Trọng tải phương tiện P (tấn) |
|||
|
P ≤ 20 |
P ≤ 60 Động cơ 4 thì |
P ≤ 60 Động cơ 2 thì |
P ≤ 100 Động cơ 4 thì |
||||
|
SE.221 |
Máng nhớt |
Vật liệu Dầu DO Nhớt Bầu lọc Vải lau |
lít lít cái kg |
5 25 2 1 |
10 72 4 2 |
10 72 4 2 |
10 72 4 2 |
|
SE.222 |
Bơm quét khí |
Vật liệu Dầu DO |
lít |
4 |
8 |
8 |
2 |
|
|
1 |
2 |
3 |
4 |
|||
Đơn vị tính: 2.500 giờ
|
Mã hiệu |
Công tác/ hạng mục |
Thành phần hao phí |
Đơn vị |
Trọng tải phương tiện P (tấn) |
||
|
P ≤ 20 |
P ≤ 60 |
P ≤ 60 |
||||
|
SE.223 |
Hệ thống làm mát |
Vật liệu Mỡ bò Trét kín nước Joăng aminate Joăng cao su Joăng giây |
kg m m2 m2 m2 |
0,125 0,2 1 1 1 |
0,25 0,5 1 1 1 |
0,25 0,5 1 1 1 |
|
SE.224 |
Hệ thống nhiên liệu |
Vật liệu Dầu DO Bầu lọc dầu Bầu lọc tách nước Vải lau |
lít cái cái cái |
2 2 2 0,1 |
4 4 2 0,2 |
4 4 2 0,2 |
|
SE.225 |
Bộ điều tay ga nhiên liệu |
Vật liệu Dầu nhờn 40 |
lít |
0 |
0 |
0 |
|
SE.226 |
Bình lọc không khí |
Vật liệu Dầu DO Dầu nhờn |
lít lít |
1 1 |
2 2 |
2 2 |
|
|
1 |
2 |
3 |
|||
Đơn vị tính: 3.500 giờ
|
Mã hiệu |
Công tác/ hạng mục |
Thành phần hao phí |
Đơn vị |
Trọng tải phương tiện P (tấn) |
|||
|
P ≤ 20 |
P ≤ 60 |
P ≤ 60 |
P ≤ 100 |
||||
|
SE.227 |
Bình giảm nhiệt nhớt |
Vật liệu Dầu DO Vải lau |
lít kg |
2,5 0,1 |
5 0,2 |
5 0,2 |
5 0,2 |
|
SE.228 |
Hệ thống làm mát |
Vật liệu Lưới lọc rác |
cái |
2 |
2 |
2 |
2 |
|
SE.229 |
Hiệu chỉnh động cơ |
Vật liệu Dầu DO Vải lau |
lít kg |
5 0,5 |
10 1 |
10 1 |
10 1 |
|
|
1 |
2 |
3 |
4 |
|||
Đơn vị tính: 4.500 giờ
|
Mã hiệu |
Công tác/ hạng mục |
Thành phần hao phí |
Đơn vị |
Trọng tải phương tiện P (tấn) |
||
|
P ≤ 20 |
P ≤ 60 |
P ≤ 60 |
||||
|
SE.230 |
Dây trần |
Vật liệu Dây trần Xăng |
sợi lít |
4 0,125 |
8 0,25 |
8 0,25 |
|
SE.231 |
Hệ thống làm mát |
Vật liệu Phớt dọc trục bơm nước sông Phớt dọc trục bơm nước ngọt Vòng bi bơm nước sông Vòng bi bơm nước ngọt Cánh bơm Trục bơm nước sông Trục bơm nước ngọt Mỡ bò các loại Vải lau Ống cao su |
cái
cái cái kg kg m |
2
1 1 0,2 0,1 0,5 |
2
2 2 0,4 0,2 1 |
2
2 2 0,4 0,2 1 |
|
|
1 |
2 |
3 |
|||
Đơn vị tính: 5.500 giờ
|
Mã hiệu |
Công tác/ hạng mục |
Thành phần hao phí |
Đơn vị |
Trọng tải phương tiện P (tấn) |
||
|
P ≤ 20 |
P ≤ 60 |
P ≤ 60 |
||||
|
SE.232 |
Kim phun nhiên liệu |
Vật liệu Mạ ty kim phun |
cây |
6 |
12 |
12 |
|
SE.233 |
Bơm cao áp |
Vật liệu Mạ ty bơm cao áp |
cái |
2 |
2 |
2 |
|
|
1 |
2 |
3 |
|||
SE.2400: BẢO DƯỠNG HỘP SỐ THỦY LỰC
Thành phần công việc:
- Lau chùi, tra dầu mỡ các bộ phận hộp số.
- Súc rửa, thay lọc nhớt.
- Vệ sinh súc rửa sinh hàn giải nhiệt nhớt hộp số.
- Điều chỉnh áp suất làm việc nhớt thủy lực hộp sổ. Nội dung công việc trên thực hiện thường xuyên.
Những mốc thời gian cụ thể, ngoài nội dung công việc thường xuyên như trên còn kiểm tra và thực hiện một số công tác khác, cụ thể như sau:
Đơn vị tính: 1.000 giờ
|
Mã hiệu |
Công tác/ hạng mục |
Thành phần hao phí |
Đơn vị |
Trọng tải phương tiện P (tấn) |
||
|
P ≤ 20 |
20 < P ≤ 60 |
60 < P ≤ 100 |
||||
|
SE.241 |
Hộp số thủy lực |
Vật liệu Dầu DO Nhớt Lõi lọc dầu nhờn |
lít lít cái |
1 18 1 |
2 36 4 |
2 72 4 |
|
|
1 |
2 |
3 |
|||
Đơn vị tính: 2.000 giờ/lần
|
Mã hiệu |
Công tác/ hạng mục |
Thành phần hao phí |
Đơn vị |
Trọng tải phương tiện P (tấn) |
||
|
P ≤ 20 |
20 < P ≤ 60 |
60 < P ≤ 100 |
||||
|
SE.242 |
Hộp số thủy lực |
Vật liệu Phớt kín đầu trục Vải lau |
cái kg |
2 0,5 |
8 0,5 |
8 0,5 |
|
|
1 |
2 |
3 |
|||
Đơn vị tính: 4.000 giờ/lần
|
Mã hiệu |
Công tác/ hạng mục |
Thành phần hao phí |
Đơn vị |
Trọng tải phương tiện P (tấn) |
|
P ≤ 60 |
||||
|
SE.243 |
Hộp số thủy lực |
Vật liệu Bố hộp số Dầu DO Vải lau |
bộ lít kg |
4 2 1 |
|
|
1 |
|||
SE.2500: BẢO DƯỠNG HỆ THỐNG GA, SỐ
Thành phần công việc:
- Lau chùi, tra dầu mỡ bộ điều khiển cần ga, số, hệ thống truyền động từ cabin lái đến hầm máy (puly, con lăn, giá đỡ, xích truyền động ...).
- Hiệu chỉnh tốc độ tách nhập số.
Nội dung công việc trên thực hiện thường xuyên.
Những mốc thời gian cụ thể, ngoài nội dung công việc thường xuyên như trên còn kiểm tra và thực hiện một số công tác khác, cụ thể như sau:
Đơn vị tính: 1.000 giờ
|
Mã hiệu |
Công tác/ hạng mục |
Thành phần hao phí |
Đơn vị |
Trọng tải phương tiện P (tấn) |
||
|
P ≤ 20 |
20 < P ≤ 60 |
60 < P ≤ 100 |
||||
|
SE.251 |
Bộ điều khiển ga số |
Vật liệu Mỡ bò Dầu DO Vải lau |
kg lít kg |
1 0,5 0,1 |
1 1 0,2 |
1 1 0,2 |
|
|
1 |
2 |
3 |
|||
Đơn vị tính: 4.000 giờ
|
Mã hiệu |
Công tác/ hạng mục |
Thành phần hao phí |
Đơn vị |
Trọng tải phương tiện P (tấn) |
|
|
P ≤ 60 |
60 < P ≤ 100 |
||||
|
SE.252 |
Bộ điều khiển động cơ - ổ ga điện |
Vật liệu Dây cáp Φ 6 mm Chiết áp ga Bo mạch điều khiển tốc độ |
m cái bộ |
30 |
2 2 |
|
|
1 |
2 |
|||
SE.2600: BẢO DƯỠNG HỆ THỐNG LÁI THỦY LỰC - LÁI ĐẨY
Thành phần công việc:
- Lau chùi, tra dầu mỡ các bộ phận khớp xoay.
- Kiểm tra bo mạch, thay nhớt.
Đơn vị tính: 2.000 giờ
|
Mã hiệu |
Công tác/hạng mục |
Thành phần hao phí |
Đơn vị |
Trọng tải phương tiện P (tấn) |
||
|
P ≤ 20 |
20 < P ≤ 60 |
60 < P ≤ 100 |
||||
|
SE.261 |
Bộ điều khiển lái thủy lực |
Vật liệu Dầu nhờn |
lít |
30 |
35 |
40 |
|
|
1 |
2 |
3 |
|||
SE.2700: BẢO DƯỠNG THƯỜNG XUYÊN HỆ THỐNG ĐIỆN
SE.2710: DINAMO
Thành phần công việc:
Kiểm tra các tiếp điểm, vệ sinh thay mới chổi than, cổ góp, kiểm tra dây dẫn điện. Nội dung công việc thực hiện thường xuyên.
Những mốc thời gian cụ thể, ngoài nội dung công việc thường xuyên như trên còn kiểm tra và thực hiện một số công tác khác, cụ thể như sau:
Đơn vị tính: 1.000 giờ
|
Mã hiệu |
Công tác/hạng mục |
Thành phần hao phí |
Đơn vị |
Trọng tải phương tiện P (tấn) |
||
|
≤ 20 |
20 < P ≤ 60 |
60 < P ≤ 100 |
||||
|
SE.271 |
Dinamo |
Vật liệu Xăng Giấy nhám Vải lau |
lít tờ kg |
0,121 1 |
0,25 2 0,2 |
0,25 2 0,2 |
|
|
1 |
2 |
3 |
|||
Đơn vị tính: 2.000 giờ
|
Mã hiệu |
Công tác/hạng mục |
Thành phần hao phí |
Đơn vị |
Trọng tải phương tiện P (tấn) |
||
|
≤ 20 |
20 < P ≤ 60 |
60 < P ≤ 100 |
||||
|
SE.272 |
Dinamo |
Vật liệu Vòng bi Chổi than |
cái bộ |
2 1 |
4 2 |
4 2 |
|
|
1 |
2 |
3 |
|||
SE.2800: DERMAREU
Thành phần công việc:
Kiểm tra các tiếp điểm, vệ sinh thay mới chổi than, cổ góp, kiểm tra dây dẫn điện.
Đơn vị tính: 1.000 giờ
|
Mã hiệu |
Công tác/hạng mục |
Thành phần hao phí |
Đơn vị |
Trọng tải phương tiện P (tấn) |
||
|
≤ 20 |
20 < P ≤ 60 |
60 < P ≤ 100 |
||||
|
SE.281 |
Dermareur |
Vật liệu Xăng Giấy nhám Vải lau |
lít tờ kg |
0,125 1 0,1 |
0,25 2 0,2 |
0,25 2 0,2 |
|
|
1 |
2 |
3 |
|||
Đơn vị tính: 2.000 giờ
|
Mã hiệu |
Công tác/ Hạng mục |
Thành phần hao phí |
Đơn vị |
Trọng tải phương tiện P (tấn) |
||
|
≤ 20 |
20 < P ≤ 60 |
60 < P ≤ 100 |
||||
|
SE.282 |
Dermareur |
Vật liệu Chổi than |
bộ |
1 |
2 |
2 |
|
|
1 |
2 |
3 |
|||
SE.2900: MÁY PHÁT ĐIỆN
Thành phần công việc:
- Súc rửa sinh hàn giải nhiệt nước làm mát;
- Vệ sinh bầu lọc gió;
- Châm nước làm mát động cơ;
- Thay lượt nhớt, lượt dầu;
- Thay nhớt bôi trơn động cơ.
Đơn vị tính: 1 lượt
|
Mã hiệu |
Công tác/hạng mục |
Thành phần hao phí |
Đơn vị |
Trọng tải phương tiện P (tấn) |
|||
|
≤ 300 |
≤ 500 |
≤ 1.000 |
≤ 2.000 |
||||
|
SE.291 |
Máng nhớt |
Vật liệu Dầu DO Nhớt 40 Bầu lọc nhớt |
lít lít cái |
2 15 1 |
|
|
|
|
SE.292 |
Hệ thống Làm mát |
Vật liệu Mỡ bò Trét kín nước Vòng bi bơm nước sông |
kg m cái |
0,125 0,25 |
|
|
1 |
|
|
|
Vòng bi bơm nước ngọt |
cái |
|
|
|
1 |
|
|
|
Ống cao su |
m |
|
|
|
0,5 |
|
|
|
Phớt bơm nước sông |
cái |
|
|
|
1 |
|
|
|
Phớt bơm nước ngọt |
cái |
|
|
|
1 |
|
SE.293 |
Hệ thống nhiên liệu |
Vật liệu Dầu DO Bầu lọc dầu |
lít lít |
0,5 1 |
|
|
1 2 |
|
SE.294 |
Bộ điều khiển tay ga nhiên liệu |
Vật liệu Dầu nhờn 40 |
lít |
|
0,25 |
|
|
|
SE.295 |
Dây trân |
Vật liệu Dây trân |
Sợi |
|
|
|
2 |
|
SE.296 |
Dermareur |
Vật liệu Giấy nhám Chổi than |
tờ bộ |
|
|
|
0,5 1 |
|
SE.297 |
Dinamo |
Vật liệu Giấy nhám Vòng bi Chổi than |
tờ cái bộ |
|
|
|
0,5 2 1 |
|
|
1 |
2 |
3 |
4 |
|||
Chương 6
CÔNG TÁC THI CỒNG SỬA CHỮA PHẦN VỎ
SF.1000: CÔNG TÁC SỬA CHỮA VỎ, KHUNG XƯƠNG VÀ KẾT CẤU THÂN VỎ
Thành phần công việc:
- Thay tôn vỏ có nghĩa là cắt bỏ tôn cũ, lắp ráp tôn mới vào vị trí, hàn lại, thử kín đường hàn (kể cả công việc chống biến dạng).
- Các công việc phụ khác như sơn, tháo lắp cách nhiệt, thử kín hầm không tính trong định mức này.
- Đối với tôn cong định mức nhân công thêm hệ số k1 như sau:
+ Cong 1 chiều: k1 = 1,10
+ Cong 2 chiều: k1 = 1,25
+ Cong 3 chiều: k1 = 1,50
+ Khu vực mũi quả lê và vòm lái: k1 = 2,0
- Các công việc cắt hàn trong hầm và đáy đôi thì định mức nhân công tiếp tục nhân thêm hệ số k2 = 1,5
- Định mức nhân công trong định mức tính cho tôn có chiều dày từ 6 mm trở lên. Nếu tôn có chiều dày < 6 mm thì định mức nhân công tiếp tục nhân thêm hệ số k3 như sau:
+ Tôn dày 5 mm: k3 = 1,1
+ Tôn dày 4 mm: k3 = 1,5
+ Tôn dày 3 mm: k3 = 2,0
- Công tác lắp dựng dàn giáo phục vụ thi công chưa tính trong định mức này, sẽ được tính riêng.
SF.1100: CÔNG TÁC GIA CÔNG CÁC CHI TIẾT, CHẾ TẠO THÂN VỎ TÀU
Thành phần công việc:
Chuẩn bị, lấy dấu chi tiết trên vật liệu gia công, cắt, mài, nắn uốn, nắn chỉnh, tổ hợp các bộ phận kết cấu theo thiết kế. Hoàn thiện gia công theo yêu cầu. Vận chuyển vật liệu, cấu kiện sau gia công trong phạm vi 150 mét.
Đơn vị tính: 1 tấn
|
Mã hiệu |
Công tác/hạng mục |
Thành phần hao phí |
Đơn vị |
Bộ phận/kết cấu tàu |
|||
|
Chân bệ máy, thiết bị |
Khung xương |
Thân vỏ |
Kết |
||||
|
SF.11 |
Sản xuất các kết cấu thép tàu thủy |
Vật liệu Thép tấm Thép hình Đá mài Ôxy Gas Que hàn Ø 5 mm Vật liệu khác Nhân công 4,5/7 Máy thi công Máy hàn 23 kW Đèn cắt 2000 1/h Máy mài 2,7 kW Máy khoan 1,5kW Palăng 3 tấn Máy khác |
kg kg viên chai kg kg %
công ca ca ca ca ca % |
250 800 0,28 1,75 2,275 18,75 2
22 4,16 2,08 1,06 1,06 13,07 5 |
130 900 0,42 1,65 2,145 20,57 2
18 4,57 2,29 1,70 1,00 10,76 5 |
830 220 0,4 2,75 3,575 17,32 2
15 3,85 1,95 1,68 1,68 9,55 5 |
765 265 0,43 2,2 2,86 21,53 2
22 3,17 1,59 0,87 3,36 9,75 5 |
|
|
11 |
12 |
13 |
14 |
|||
|
Mã hiệu |
Công tác/hạng mục |
Thành phần hao phí |
Đơn vị |
Bộ phận/kết cấu tàu |
||
|
Nắp khoang, nắp hầm |
Bánh lái có ky |
Bánh lái treo |
||||
|
SF.11 |
Sản xuất các kết cấu thép tàu thủy |
Vật liệu Thép tấm Thép hình Đá mài Ôxy Gas Que hàn Ø 5 mm Vật liệu khác Nhân công 4,5/7 Máy thi công Máy hàn 23 kW Đèn cắt 2000 1/h Máy mài 2,7 kW Máy khoan 1,5 kW Palăng 3 tấn Máy khác |
kg kg viên chai kg kg %
công ca ca ca ca ca % |
765 265 0,43 2,2 2,86 21,53 2
15 2,0 1,0 1,75 1,34 3 5 |
750 300 0,42 3,4 4,42 21,53 2
25 8 4,5 5,5 1,0 3 5 |
750 300 0,4 3,4 4,42 21,53 2
22 5 4,5 4,79 1,0 2 5 |
|
|
15 |
16 |
17 |
|||
SF.1200: CÔNG TÁC LẮP RÁP THÂN TÀU
Thành phần công việc:
Chuẩn bị, tổ hợp các chi tiết thành khung dàn, cẩu lắp đặt khung sườn đúng vị trí, cố định khung sườn và lắp ráp hoàn chỉnh theo yêu cầu kỹ thuật. Vận chuyển cấu kiện trong phạm vi 50 m (hệ dàn giáo phục vụ lắp ráp chưa tính trong định mức).
Đơn vị tính:01 tấn
|
Mã hiệu |
Công tác/hạng mục |
Thành phần hao phí |
Đơn vị |
Chân bệ máy, thiết bị |
Khung xương |
Thân vỏ |
|
SF.12 |
Lắp ráp thân vỏ tàu |
Vật liệu Que hàn Ø 5 mm Thép tấm Đá mài Gỗ ván Dầu bôi Mỡ các loại Vật liệu khác Nhân công 4,5/7 Máy thi công Máy hàn 23 kW Palăng 5 tấn Máy mài 2,7 kW Cần cẩu 10 tấn Máy khác |
kg kg viên m3 kg kg %
công ca ca ca ca % |
11,4 12,50 0,42 0,019 5,4 4,2 2,00
15 3,32 1,66 1,66 1,79 2 |
16,2 14,50 0,36 0,017 4,2 3,6 2,00
10 3,72 1,86 1,86 2 2 |
10,5 8,50 0,44 0,02 5,4 4,2 2,00
12 2,62 1,16 1,16 1,32 2 |
|
|
11 |
12 |
13 |
|||
|
Mã hiệu |
Công tác/hạng mục |
Thành phần hao phí |
Đơn vị |
Nắp khoang, nắp hầm |
Bánh lái có ky |
Bánh lái treo |
Kết |
|
SF.12 |
Lắp ráp thân vỏ tàu |
Vật liệu Que hàn Ø 5 mm Thép tấm Đá mài Gỗ ván Dầu bôi Mỡ các loại Vật liệu khác Nhân công 4,5/7 Máy thi công Máy hàn 23 kW Palăng 5 tấn Máy mài 2,7 kW Cần cẩu 10 tấn Máy khác |
kg kg viên m3 kg kg %
công ca ca ca ca % |
11,4 12,50 0,54 0,019 5,4 4,2 2,00
15 3,32 1,66 1,66 1,79 2 |
11,35 8,50 0,54 0,025 5,4 4,2 2,00
12 3,54 1,14 1,14 1,28 2 |
9 11,50 0,66 0,015 4,2 3,6 2,00
5 2,04 1,02 1,02 1,2 2 |
13,62 8,50 0,31 0,025 5,4 4,2 2,00
5 2,04 1,02 1,02 1,2 2 |
|
|
14 |
15 |
16 |
17 |
|||
Ghi chú:
Bảng định mức gia công chế tạo các chi tiết thân tàu và công tác lắp ráp thân tàu được tính cho tôn phẳng có chiều dày từ 6 mm trở lên. Nếu tôn có chiều dày nhỏ hơn 6 mm thì định mức nhân công nhân thêm hệ số k1 như sau:
- Tôn dày 5 mm thì k1 = 1,1
- Tôn dày 4 mm thì k1 = 1,5
- Tôn dày 3 mm thì k1 = 2,0
Sau đó xét theo hình dáng thân tàu thì nhân tiếp hệ số điều chỉnh k2 như sau:
- Cong một chiều thì k2 = 1,1
- Cong hai chiều thì k2 = 1,25
- Cong ba chiều thì k2 = 1,5
- Khu vực mũi quả lê và vòm lái thì k2 = 2,0
SF.1300: CÔNG TÁC SẢN XUẤT LAN CAN, THANG ĐĨA
Thành phần công việc:
Chuẩn bị: lấy dấu, cắt tẩy, khoan lỗ, hàn. Sản xuất theo đúng bản vẽ thiết kế. xếp gọn thành phẩm, vận chuyển vật liệu trong phạm vi 30 mét.
Đơn vị tính: 01 tấn
|
Mã hiệu |
Công tác/hạng mục |
Thành phần hao phí |
Đơn vị |
Lan can |
Thang đĩa |
|
SF.13 |
Sản xuất lan can, thang đĩa trên tàu |
Vật liệu Thép hình Thép tấm Thép tròn Que hàn Ø 5 mm Ôxy Gas Nhân công 4,5/7 Máy thi công Đèn cắt hơi 2000 1/h Máy mài 2,7 kW Máy hàn 23 kW Máy khoan 4,5 kW |
kg kg kg kg chai kg công
ca ca ca ca |
625,39 316 61,4 22,66 0,78 1,014 25
4 2 3,5 |
618,4 416,5 24,5 0,48 0,624 20
2,5 2,25 4,5 1,75 |
|
|
11 |
12 |
|||
SF.1400: CÔNG TÁC LẮP RÁP LAN CAN, THANG ĐĨA
Thành phần công, việc:
Chuẩn bị, vận chuyển vật liệu trong phạm vị 30 m, lấy dấu lắp ráp, cân chỉnh, lắp ráp theo đúng yêu cầu kỹ thuật.
Đơn vị tính: 01 tấn
|
Mã hiệu |
Công tác/hạng mục |
Thành phần hao phí |
Đơn vị |
Lan can |
Thang đĩa |
|
SF.14 |
Lắp ráp lan can, thang đĩa trên tàu |
Vật liệu Thép tấm Que hàn Ø 5 mm Ô xy Gas Nhân công 4,5/7 Máy thi công Palăng 3 tấn Máy cắt hơi 2000 l/h Máy hàn 23 kW Máy mài 2,7 kW |
kg kg chai kg
công ca ca ca ca |
14,5 9 0,93 1,209
8 0,5 3 1 0,3 |
14,5 9,81 0,58 0,754
8 0,5 2,5 1 0,3 |
|
|
11 |
12 |
|||
Chương 7
CÔNG TÁC THI CÔNG SỬA CHỮA PHẦN ĐỘNG LỰC
SG.1000: SỬA CHỮA MÁY CHÍNH
SG.1100: SỬA CHỮA CẤP TIỂU TU
Thành phần công việc:
* Phần động cơ:
- Cacte máy: thay dầu máy, vệ sinh cacte, kiểm tra chắn dầu.
- Bạc và bệ đỡ: kiểm tra trình trạng các phanh hãm êcu, bệ đỡ và thay mới nếu hư hỏng, tháo, vệ sinh, kiểm tra, cặp chì lấy số liệu khe hở dầu tại 3 cung (số 1, 4, 7). Nếu cần tháo kiểm tra thêm các cung khác. Thay thế cung bị hỏng. Kiểm tra trình trạng lắp ghép các gu giông bệ dỡ.
- Thân máy: tháo các cửa số để vệ sinh, kiểm tra bên trong thân máy, kiểm tra độ bắt chặt các gu giông và xiết chặt chân máy. Thay thế các gu giông bị hỏng nếu có.
- Sơ mi xi lanh: vệ sinh, kiểm tra sơ mi xi lanh (độ ô van, độ côn, các vết xước, nứt, kín nước...). Thay các sơ mi xi lanh bị hỏng, thay các joăng sơ mi. Kiểm tra sự lắp ghép gờ xi lanh và blốc xi lanh.
- Nắp xi lanh: tháo vệ sinh, kiểm tra nắp xi lanh; tháo vệ sinh, kiểm tra và rà su páp. Thay thế nếu phát hiện hư hỏng; tháo vệ sinh, kiểm tra khe hở các su páp và gít su páp. Kiểm tra joăng cao su ống dẫn hướng, kiểm tra lò xo su páp và thay thế các hư hỏng. Thay thế một số gu giông mặt máy hỏng, thay joăng mặt máy.
* Phần cơ cấu truvền động:
- Pít tông - xi lanh: tháo vệ sinh kiểm tra độ côn, độ ôvan, khe hở rãnh sécmăng, các vết trầy sướt, nứt, thay thế những hư hỏng.
- Thanh truyền: tháo tay biên ra, vệ sinh kiểm tra khe hở bạc đạc đầu nhỏ và chốt pit tông. Kiểm tra số liệu lắp ghép giữa bạc đầu nhỏ và đầu nhỏ biên, kiểm tra khe hờ giữa bạc cổ biên và trục cơ. Trường hợp không có tiếng khua đặc biệt trong máy và áp lực dầu nhờn tốt thì không cần tháo ra kiểm tra khe hở dầu máy. Cạo rà hoặc doa cá biệt bạc biên bị hư hỏng, kiểm tra gác chốt hãm đầu to biên.
- Trục cơ: tháo rời vệ sinh, thông rửa đường dầu bôi trơn. Kiểm tra các ống dẫn dầu các bu lông êcu bắt chặt bánh dà; đánh bóng lại các cổ trục cổ biên.
*Cơ cấu phân phối khí:
- Su páp: tương tự ở phần nắp xi lanh.
- Trục cam: tháo vệ sinh, kiểm tra trục cam gió; thông đường dầu bôi trơn, kiểm tra khe hở giữa các trục cam và bạc cam, độ cong của trục cam, cạo rà hoặc doa cá biệt bạc cam bị hư hỏng nặng. Kiểm tra các chốt định vị bệ bạc cam và mặt qui lát.
- Cơ cấu dẫn động: tháo rời vệ sinh, kiểm tra các trục bánh răng dẫn động, kiểm tra các bạc trục.
* Hệ thống dầu:
- Bơm cao áp: cân chỉnh lại bơm cao áp, đảm bảo các tiêu chuẩn: góc phun, lưu lượng, áp lực theo cầu kỹ thuật.
- Trục cam: giống cơ cấu phân phối khí.
- Vòi phun: tháo rời vệ sinh, rà cân chỉnh lại đảm bảo yêu cầu kỹ thuật. Thay mới một số lò xo, joăng vòi phun bị hỏng, hàn lại các đường ống dẫn dầu cao áp bị nứt (nếu có).
- Bầu lọc: tháo bầu lọc dầu vệ sinh, kiểm tra, thay thế ruột lọc, joăng nhôm đầu nối bị hư hỏng (nếu có).
- Bơm chuyển dầu hồi: tháo cả cụm kiểm tra.
- Bơm chuyển dầu từ kết dự trữ lên kết trực nhật: tháo vệ sinh kiểm tra các trục cánh bơm, bạc. Thay thế các chi tiết hỏng, lắp láp điều chỉnh theo yêu cầu kỹ thuật.
- Kết dầu trực nhật: vệ sinh kiểm tra, hàn vá các lỗ thủng (nếu có).
* Hệ thống làm mát:
- Bơm nước ngọt vòng trong: tháo kiểm tra các chi tiết máy bơm như: trục cánh bơm, vòng bi, phốt, phíp lò xo. Thay thế các chi tiết nếu bị mòn hỏng, lắp ráp và điều chỉnh đảm bảo kỹ thuật.
- Bơm nước vòng ngoài: giống bơm vòng trong.
- Sinh hàn: tháo vệ sinh, kiểm tra, sửa chữa, thay thế các miếng tấm chắn bằng cao su, joăng, êcu bị hỏng. Hàn những vị trí bị nứt, một số ống bị nứt bên trong.
- Hệ thống ống van: tháo vệ sinh, thông rửa các đường ống; thay joăng, bu long, êcu bị hỏng. Hàn những chổ bị nứt, rà lại một số van không kín.
- Các đồng hồ chỉ thị: kiểm tra lại, thay những cái bị hỏng.
- Bộ điều tiết nhiệt: tháo bảo dưỡng, mài rà van ba ngã.
* Hệ thống bôi trơn:
- Bơm dầu nhờn: tháo vệ sinh, kiểm tra các bánh xe răng và trục, bạc trục; sau đó lắp lại và điều chỉnh các khe hở đảm bảo kỹ thuật. Mài rà van điều tiết áp lực khi bị hư hỏng (trường hợp dầu nhờn trước khi vào cấp còn tốt thì bơm dầu nhờn không cần phải tháo rời kiểm tra). Điều chỉnh áp lực trong phạm vi cho phép khi máy chạy hết công suất, thay joăng nhôm dầu rắc co bị hỏng.
- Bơm mồi dầu nhờn: nếu thấy hiện tượng đặc biệt thì tháo vệ sinh kiểm tra.
- Bầu lọc dầu nhờn: tháo vệ sinh kiểm tra; thay ruột lọc, joăng.
- Bầu sinh hàn dầu nhờn: tháo vệ sinh kiểm tra, luộc trong dung dịch xút. Thay một số tấm chắn cao su, joăng và êcu bu lông hư hỏng. Nút một số ống bị nứt.
- Kết dầu nhờn: tháo vệ sinh, thông rửa, thay joăng hỏng.
- Đồng hồ chỉ thị: kiểm tra lại các loại đồng hồ nhiệt độ, áp lực. Thay các thiết bị hư hỏng.
* Hệ thống khởi động:
Hệ thống khởi động điện: súc sạc lại ắc qui; tháo vệ sinh kiểm tra máy phát điện, máy đề bơm dầu nếu cần cho phép thay một số thiết bị hư hỏng như: vòng bi, chổi than). Kiểm tra tiết chế, thay một số chi tiết hư hỏng như má vít cuộn dây. Kiểm tra sửa chữa và điều chỉnh còi điện, kiểm tra và nếu cần thay thế đồng hồ ampe. Thay một số công tắc, cầu chì bóng đèn, một số đoạn dây bị hư hỏng.
* Hộp số:
Tháo kiểm tra cầu trên, kiểm tra vòng bi, trục rỗng, trục đặc, bánh răng. Thay thế sửa chữa một số chi tiết hư hỏng như vòng bi. Kiểm tra các bánh răng trục cầu dưới, độ rơ dọc trục. Thay dầu bôi trơn hộp số.
* Cơ cấu điều chỉnh tốc độ (tay ga)
Tháo vệ sinh kiểm tra và sửa chữa các puly dây ga bị kẹt, hư hỏng và điều chỉnh lại.
* Chạy rà máy:
Chạy rà không tải 01 giờ, có tải 02 giờ.
* Chế độ thay dầu nhờn sau khi sửa chữa cấp tiểu tu:
- Lần thứ nhất sau 300 giờ hoạt động.
- Lần thứ hai trở đi sau 500 giờ hoạt động.
Đơn vị tính: 01 động cơ
|
Mã hiệu |
Công tác/hạng mục |
Thành phần hao phí |
Đơn vị |
m = khối lượng máy (tấn) N = công suất động cơ (sức ngựa) |
||
|
m ≤ 2 N ≤ 80 |
2 < m ≤5 80 < N ≤200 |
5 <m ≤10 200 < N ≤ 400 |
||||
|
SG.11 |
Sửa chữa cấp tiểu tu |
Vật liệu Vật tư phụ tùng thay thế |
máy |
Theo kiểm tra thực tế |
Theo kiểm tra thực tế |
Theo kiểm tra thực tế |
|
Mỡ các loại |
kg |
10 |
15 |
15 |
||
|
Bầu rửa |
lít |
30 |
40 |
50 |
||
|
Hóa chất tẩy rỉ sét (bình 250 ml) |
bình |
2 |
3 |
3 |
||
|
Giấy nhám |
tờ |
10 |
15 |
20 |
||
|
Cát xoáy (hộp 0,5 kg) |
hộp |
2 |
4 |
4 |
||
|
Keo dán |
kg |
2 |
2,5 |
2,5 |
||
|
Chì lá |
kg |
0,32 |
0,6 |
1,2 |
||
|
Ván kê lót |
m3 |
0,02 |
0,05 |
0,12 |
||
|
Giẻ lau |
kg |
20 |
30 |
35 |
||
|
Dầu nhờn |
lít |
Theo thông số kỹ thuật động cơ |
Theo thông số kỹ thuật động cơ |
Theo thông số kỹ thuật động cơ |
||
|
Dầu DO thử máy |
kg |
50 |
50 ÷ 75 |
75 ÷ 90 |
||
|
Vật liệu khác |
% |
5 |
5 |
5 |
||
|
Nhân công 4,5/7 |
công |
10 |
15 |
20 |
||
|
Máy thi công |
|
|
|
|
||
|
Palăng 5 tấn |
ca |
1 |
1,5 |
2 |
||
|
Máy nén khí 5 m3/h |
ca |
1 |
1,5 |
2 |
||
|
Máy khác |
% |
5 |
5 |
5 |
||
|
|
11 |
12 |
13 |
|||
SG.1200: SỬA CHỮA CẤP TRUNG TU
Thành phần công việc: làm như cấp tiểu tu và thêm vào các phần sau:
* Phần động cơ:
- Cacte máy: kiểm tra vết nứt và sửa chữa (nếu có).
- Bạc và bệ đỡ: tháo vệ sinh, cặp chì lấy số liệu khe hở dầu tất cả các máng đỡ, phục hồi đường tâm và khe hở tiêu chuẩn.
- Thân máy: kiểm tra vết nứt và sửa chữa (nếu có).
- Sơ mi xi lanh: thay mới loàn bộ sơ mi xi lanh.
- Nắp xi lanh: doa và rà lại toàn bộ git su páp, thay mới những cái hư hỏng. Nếu cần doa sie su páp, su páp và sie hỏng thay mới; mài cổ bạc cam hạ cốt, thay bạc mới theo cổ bạc.
* Cơ cấu truyền động:
- Pít tông xi lanh: thay mới một số pít tông bị mòn. Thay một số thanh hãm bị hỏng thay toàn bộ séc măng.
- Thanh truyền: cạo rà toàn bộ bạc biên mới, lấy khe hở dầu tiêu chuẩn. Thay mới chốt hãm đầu nhỏ biên bị hỏng kiểm tra độ cong, độ xoắn của biên.
- Trục cơ: đo kiểm tra độ côn, độ ô van, độ cong, đường kính cổ biên, cổ trục. Thay bulong nối trục bị hỏng.
* Cơ cấu phân phối khí:
- Trục cam: kiểm tra các van cam.
- Cơ cấu dẫn động: thay mới bu lông hoặc bạc trục bị hỏng.
* Hệ thống dầu:
- Trục cam: tháo rời bơm, vệ sinh kiểm tra từng chi tiết, kể cả bộ điều tốc. Thay mới một số pít tông longzơ, van một chiều, lò xo, vòng bi, bạc đỡ, điều chỉnh các thông số kỹ thuật và kẹp chì.
- Vòi phun: thay mới các cụm vòi phun đồng bộ bị hư.
* Hệ thống nước làm mát:
- Bơm nước vòng trong: mạ, mài trục bơm.
- Bơm nước vòng ngoài: mạ, mài trục bơm.
- Sinh hàn: hàn vá những chổ thủng của vỏ và những vết nứt mặt sàng. Thay một số ống bị nứt.
* Hệ thống khởi động:
- Hàn đắp, láng lại cổ trục máy phát, máy đề. Thay thế toàn bộ hệ thống đường dây.
* Hộp số:
- Hàn đắp, láng lại các trục. Các trục bị hỏng nặng quá thì thay mới.Thay bánh răng nếu bị nứt mẻ. Tháo cầu dưới vệ sinh, kiểm tra điều chỉnh độ rơ dọc trục.
* Tay ga:
- Thay các puly không sửa chữa được.
* Chạy rà máy: 16 giờ.
* Chế độ thay dầu nhờn sau khi sửa chữa cấp trung tu:
- Lần thứ nhất: sau 100 giờ hoạt động;
- Lần thứ hai: sau 200 giờ hoạt động;
- Lần thứ ba: sau 300 giờ hoạt động;
- Lần thứ tư trở đi: sau 300 giờ hoạt động.
Đơn vị tính: 01 động cơ
|
Mã hiệu |
Công tác/hạng mục |
Thành phần hao phí |
Đơn vị |
Khối lượng máy m (tấn) Công suất động cơ N (sức ngựa) |
||
|
m ≤ 2 N ≤ 80 |
2 < m ≤ 5 80 < N ≤ 200 |
5 < m ≤ 10 200 < N ≤ 400 |
||||
|
SG.12 |
Sửa chữa cấp trung tu |
Vật liệu |
|
|
|
|
|
Vật tư phụ tùng thay thế |
máy |
Theo kiểm tra thực tế |
Theo kiểm tra thực tế |
Theo kiểm tra thực tế |
||
|
Mỡ các loại |
kg |
12 |
18 |
18 |
||
|
Dầu rửa |
lít |
36 |
48 |
60 |
||
|
Hóa chất tẩy rỉ sét (bình 250 ml) |
bình |
3 |
4 |
4 |
||
|
Giấy nhám |
tờ |
12 |
18 |
24 |
||
|
Cát xoáy (hộp 0,5 kg) |
hộp |
3 |
5 |
5 |
||
|
Keo dán |
kg |
2,4 |
3 |
3 |
||
|
Chì lá |
kg |
0,38 |
0,72 |
1,44 |
||
|
Ván kê lót |
m3 |
0,02 |
0,05 |
0,12 |
||
|
Giẻ lau |
kg |
24 |
36 |
42 |
||
|
Dầu nhờn |
lít |
Theo thông số kỹ thuật động cơ |
Theo thông số kỹ thuật động cơ |
Theo thông số kỹ thuật động cơ |
||
|
Dần DO thử máy |
kg |
150 |
150 ÷ 200 |
250 ÷ 300 |
||
|
Vật liệu khác |
% |
7,5 |
7,5 |
7,5 |
||
|
Nhân công 4,5/7 |
công |
25 |
30 |
35 |
||
|
Máy thi công |
|
|
|
|
||
|
Palăng 5 tấn |
ca |
1,5 |
2 |
3 |
||
|
Máy nén khí 5 m3/h |
ca |
1,5 |
2 |
3 |
||
|
Máy khác |
% |
5 |
5 |
5 |
||
|
|
11 |
12 |
13 |
|||
SG.1300: SỬA CHỮA CẤP ĐẠI TU
Thành phần công việc: làm như cấp trung tu và thêm vào các phần như sau:
* Phần động cơ:
- Cacte máy: kiểm tra sự đồng tâm các ổ đỡ. Doa lại hết nếu cần thiết.
- Bạc và bệ đỡ: thay thế các máng đỡ, nếu phải doa lại các ổ đỡ.
- Thân máy: phải thay mới nếu bị hư hỏng nặng.
- Nắp xị lanh: thay mới nếu bị hư hỏng nặng, thay mới toàn bộ sie su páp.
* Phần cơ cấu truyền động:
- Pít tông - xi lanh: thay mới toàn bộ pít tông.
- Thanh truyền: thay mới toàn bộ tay biên.
- Trục cơ: thay mới nếu thấy cần thiết.
* Cơ cấu phân phối khí:
- Trục cam: thay mới, nếu hư hỏng hoặc mòn nặng quá tiêu chuẩn.
* Hệ thống dầu:
- Bơm dầu: thay mới trục, cánh bơm nếu không sửa được.
* Hệ làm mát:
- Bơm nước: thay mới trục, cánh bơm.
- Sinh hàn: thay mới.
- Hệ van ống: thay mới một số van bị hỏng.
- Bộ điều tiết nhiệt: thay van 3 ngả nếu bị hư hỏng nặng.
* Hệ thống bôi trơn:
- Bơm dầu: thay bạc trục, láng lại trục. Nếu cần thay bơm mới.
- Sinh hàn: thay mới.
* Cơ cấu khởi động:
- Hệ thống khởi động điện: thay mới máy phát, máy đề.
* Chạy rà máy: 16 giờ.
* Chế độ thay dầu nhờn sau khi sửa chữa cấp đại tu:
- Giống cấp trung tu.
Đơn vị tính: 01 động cơ
|
Mã hiệu |
Công tác/hạng mục |
Thành phần hao phí |
Đơn vị |
Khối lượng máy m (tấn) Công suất động cơ N (sức ngựa) |
||
|
m ≤ 2 N ≤ 80 |
2 < m ≤5 N ≤ 200 |
5 < m ≤10 N ≤ 400 |
||||
|
SG.13 |
Sửa chữa cấp đại tu |
Vật liệu |
|
|
|
|
|
Vật tư phụ tùng thay thế |
máy |
Theo tình hình kiểm tra thực tế |
Theo tình hình kiểm tra thực tế |
Theo tình hình kiểm tra thực tế |
||
|
Mỡ các loại |
kg |
12 |
18 |
18 |
||
|
Dầu rửa |
lít |
36 |
48 |
60 |
||
|
Hóa chất tẩy rỉ sét (bình 250 ml) |
bình |
3 |
4 |
4 |
||
|
Giấy nhám |
tờ |
12 |
18 |
24 |
||
|
Cát xoáy (hộp 0,5 kg) |
hộp |
3 |
5 |
5 |
||
|
Keo dán |
kg |
2,4 |
3 |
3 |
||
|
Chì lá |
kg |
0,38 |
0,72 |
1,44 |
||
|
Ván kê lót |
m3 |
0,02 |
0,05 |
0,12 |
||
|
Giẻ lau |
kg |
24 |
36 |
42 |
||
|
Dầu nhờn |
lít |
Theo thông số kỹ thuật động cơ |
Theo thông số kỹ thuật động cơ |
Theo thông số kỹ thuật động cơ |
||
|
Dầu DO thử máy |
kg |
150 |
150 ÷ 200 |
250 ÷ 300 |
||
|
Vật liệu khác |
% |
7,5 |
7,5 |
7,5 |
||
|
Nhân công 4,5/7 |
công |
40 |
45 |
50 |
||
|
Máy thi công |
|
|
|
|
||
|
Palăng 5 tấn |
ca |
2,5 |
3 |
3,5 |
||
|
Máy nén khí 5 m3/h |
ca |
2,5 |
3 |
3,5 |
||
|
Máy khác |
% |
5 |
5 |
5 |
||
|
|
11 |
12 |
13 |
|||
SG.2000: SỬA CHỮA HỘP SỐ
SG.2100: SỬA CHỮA THƯỜNG XUYÊN
Thành phần công việc:
- Đo kiểm tra trước khi tháo rã, xả dầu, tách mặt bích (tuốt tô). Tháo kiểm tra cầu trên, kiểm tra vòng bi, trục rỗng, trục đặc, bánh răng... Thay thế hoặc sửa chữa một số thiết bị hỏng như: vòng bi... kiểm tra các bánh răng, trục cầu dưới, độ rơ trục (trục cầu dưới không cần tháo).
- Thay dầu bôi trơn hộp số.
- Kiểm tra tại bến và dường dài ở trạng thái làm việc cùng hệ thống.
Đơn vị tính: 01 hộp số
|
Mã hiệu |
Công tác/hạng mục |
Thành phần hao phí |
Đơn vị |
m = khối lượng máy (tấn) N = công suất động cơ (sức ngựa) |
||
|
m ≤ 0,6 N ≤ 24 |
m ≤ 2 24 < N ≤ 80 |
m < 5 80 < N ≤ 200 |
||||
|
SG.21 |
Sửa chữa thường xuyên |
Vật liệu Vật tư phụ tùng thay thế |
hộp số |
Theo tình hình kiểm tra thực tế |
Theo tình hình kiểm tra thực tế |
Theo tình hình kiểm tra thực tế |
|
Mỡ bò |
kg |
4 |
6 |
8 |
||
|
Dầu rửa |
lít |
10 |
15 |
20 |
||
|
Giẻ lau |
kg |
5 |
5 |
10 |
||
|
Hóa chất tẩy rỉ sét (bình 250 ml) |
bình |
2 |
2 |
4 |
||
|
Dầu nhờn |
lít |
Theo thông số kỹ thuật động cơ |
Theo thông số kỹ thuật động cơ |
Theo thông số kỹ thuật động cơ |
||
|
Keo dán |
kg |
1 |
1,5 |
1,5 |
||
|
Vật liệu khác |
% |
5 |
5 |
5 |
||
|
Nhân công 4,5/7 |
công |
3 |
5 |
6 |
||
|
Máy thi công |
|
|
|
|
||
|
Palăng 3 tấn |
ca |
1,2 |
1,3 |
1,5 |
||
|
Máy nén khí 5 m3/h |
ca |
1 |
1,5 |
1,5 |
||
|
Máy khác |
% |
5 |
5 |
5 |
||
|
|
11 |
12 |
13 |
|||
SG.2200: SỬA CHỮA TRÊN ĐÀ
Thành phần công việc:
Làm như sửa chữa thường xuyên và thêm vào các phần sau:
Hàn đắp, láng lại các trục nếu bị hư hỏng, nặng quá thì thay mới. Thay bánh răng nếu bị sức mẻ, hỏng. Tháo cầu dưới, vệ sinh kiểm tra, điều chỉnh độ rơ dọc trục đảm bảo yêu cầu kỹ thuật, sửa chữa các ắc càng của, nếu cần thay càng của mới.
Đơn vị tính: 01 hộp số
|
Mã hiệu |
Công tác/hạng mục |
Thành phần hao phí |
Đơn vị |
m = khối lượng máy (tấn) N = công suất động cơ (sức ngựa) |
||
|
m ≤ 0,6 N ≤ 24 |
m ≤ 2 N ≤ 80 |
m ≤ 5 N ≤ 200 |
||||
|
SG.22 |
Sửa chữa trên đà |
Vật liệu Vật tư phụ tùng thay thế |
hộp số |
Theo tình hình kiểm tra thực tế |
Theo tình hình kiểm tra thực tế |
Theo tình hình kiểm tra thực tế |
|
Mỡ bò |
kg |
4 |
6 |
8 |
||
|
Dầu rửa |
lít |
10 |
15 |
20 |
||
|
Giẻ lau |
kg |
5 |
5 |
10 |
||
|
Hóa chất tẩy rỉ sét (bình 250 ml) |
bình |
2 |
2 |
4 |
||
|
Keo dán |
kg |
1 |
1,5 |
1,5 |
||
|
Dầu nhờn bôi trơn |
lít |
Theo thông số kỹ thuật của động cơ |
Theo thông số kỹ thuật của động cơ |
Theo thông số kỹ thuật của động cơ |
||
|
Vật liệu khác |
% |
5 |
5 |
5 |
||
|
Nhân công |
công |
8 |
10 |
12 |
||
|
Máy thi công |
|
|
|
|
||
|
Palăng 3 tấn |
ca |
1,38 |
1,51 |
1,65 |
||
|
Máy nén khí 5 m3/h |
ca |
2 |
2,5 |
3 |
||
|
Máy khác |
% |
5 |
5 |
5 |
||
|
|
11 |
12 |
13 |
|||
SG.3000: SỬA CHỮA TRỤC CHÂN VỊT
SG.3100: SỬA CHỮA THƯỜNG XUYÊN
Thành phần công việc:
- Bệ đỡ trục: tháo trục chân vịt, trung gian, kiểm tra bạc cao su. Kiểm tra khe hở giữa trục và bạc trên. Kiểm tra độ gãy và độ chênh lệch giữa tuốc tô trục và hộp số theo yêu cầu kỹ thuật điều chỉnh bằng phương pháp cho thêm hoặc bớt các tấm căn máy.
- Trục trung gian và chân vịt: vệ sinh kiểm tra lớp áo trục, nếu mòn và hư hỏng thì thay mới. Thay mới chân vịt bị hỏng. Thay mới các bu lông thường, bu lông tinh bị hư hỏng.
Đơn vị tính: 01 trục
|
Mã hiệu |
Công tác/hạng mục |
Thành phần hao phí |
Đơn vị |
Đường kính trục (mm) |
||||
|
< |
100 |
151 |
201 |
> |
||||
|
SG.31 |
Sửa chữa thường xuyên |
Vật liệu Mỡ bò Giẻ lau Dầu rửa Hóa chất tẩy rỉ sét (bình 250 ml) Chì lá Vật liệu khác Nhân công 4,5/7 Máy thi công Palăng 3 tấn Máy ép thủy lực 5 tấn Máy nén khí 5 m3/h Máy khác |
kg kg lít bình
% công
ca ca ca % |
4 5 5 2
5 10
1 0,5 0,5 5 |
6 5 5 4
5 12
1,5 1 0,5 5 |
8 10 10 5
5 15
2 1 0,5 5 |
10 10 10 6
5 16
2,5 1,5 1 5 |
12 15 15 8
5 18
3 2 1 5 |
|
|
11 |
12 |
13 |
14 |
15 |
|||
SG.3200: SỬA CHỮA TRÊN ĐÀ
Thành phần công việc:
Làm như sửa chữa thường xuyên nhưng thêm các phần sau: thay mới các ổ đỡ trục nếu bị hỏng, thay mới trục trung gian và trục chân vịt nếu hư hỏng nặng.
Đơn vị tính: 01 trục
|
Mã hiệu |
Công tác/hạng mục |
Thành phần hao phí |
Đơn vị |
Đường kính trục ( m m ) |
||
|
< 100 |
100 ÷ 150 |
151 ÷ 200 |
||||
|
SG.32 |
Sửa chữa trên đà |
Vật liệu |
|
|
|
|
|
Vật tư thay thế |
trục |
Theo tình hình kiểm tra thực tế |
Theo tình hình kiểm tra thực tế |
Theo tình hình kiểm tra thực tế |
||
|
Mỡ bò các loại Giẻ lau Dầu rửa Hóa chất tẩy rỉ sét (bình 250 ml) Chì lá Vật liệu khác Nhân công 4,5/7 Máy thi công Palăng 3 tấn Cẩu bánh lốp 2 tấn Máy tiện 4,5 kW Máy khác |
kg kg lít bình
% công
ca ca ca % |
4 5 5 2
5 25
1 0,5 1 5 |
6 5 5 4
5 35
1,5 1 1,5 5 |
8 10 10 5
5 40
2 1 2 5 |
||
|
|
11 |
12 |
13 |
|||
(Tiếp theo)
|
Mã hiệu |
Công tác/hạng mục |
Thành phần hao phí |
Đơn vị |
Đường kính trục ( m m ) |
|
|
201÷ 300 |
> 300 |
||||
|
SG.32 |
Sửa chữa trên đà |
Vật liệu Vật tư thay thế |
trục |
Theo tình hình kiểm tra thực tế |
Theo tình hình kiểm tra thực tế |
|
Mỡ bò các loại Giẻ lau Dầu rửa Hóa chất tẩy rỉ sét (bình250 ml) |
kg kg lít bình |
10 10 10 6 |
12 15 15 8 |
||
|
Chì lá Vật liệu khác Nhân công 4,5/7 Máy thi công Palăng 3 tấn Cẩu bánh lốp 2 tấn Máy tiện 4,5 kW Máy khác |
kg % công
ca ca ca % |
1,5 5 45
2 1 2,5 5 |
5 55
2 1 2,5 5 |
||
|
|
14 |
15 |
|||
SG.4000: SỬA CHỮA CHÂN VỊT TRÊN ĐÀ
Thành phần công việc:
- Đục xi măng trên mũ che ê cu chân vịt, tháo mũ che, tháo vành chắn rác, tháo ê cu chân vịt. Tháo chân vịt.
- Sửa chữa những hư hỏng như: nứt, gãy cánh, rỗ.
- Cạo, rà côn chân vít.
- Cân bằng tĩnh chân vịt.
- Vệ sinh, đánh bóng chân vịt theo yêu câu kỹ thuật.
- Lắp ráp lại toàn bộ.
Đơn vị tính: 01 chân vịt
|
Mã hiệu |
Công tác/hạng mục |
Thành phần hao phí |
Đơn vị |
Khối lượng chân vịt (tấn) |
|
|
< 0,3 |
0,3 ÷ 0,5 |
||||
|
SG.40 |
Sửa chữa chân vịt trên đà |
Vật liệu Que hàn đồng Thuốc hàn Ôxy Gas Giẻ lau Vật liệu khác Nhân công 4,5/7 Máy thi công Palăng 3 tấn Cẩu bánh lốp 2 tấn Đèn hàn 2000 1/h Máy mài 2,7 kW Máy khác |
kg kg chai kg kg % công
ca ca ca ca % |
20 10 1,5 1,95 3 3 10
1 0,5 2 2 5 |
30 20 2,5 3,25 5 5 15
1 0,5 2 3 5 |
|
|
11 |
12 |
|||
SG.5000: SỬA CHỮA TRỤC CÁC ĐĂNG
Thành phần công việc:
Rửa sạch khớp nối các đăng, kiểm tra các mối ghép bu lông và nạng khớp các đăng cũng như nắp đậy ổ bi kim. Làm dấu trên trục trước khi tháo, tháo kiểm tra các ổ bi kim, kiểm tra khớp chữ thập; thay thế các bi kim bị mòn quá giới hạn. Kiểm tra then hoa, nếu mòn quá phải thay thế. Kiểm tra cân bằng động trục trước khi lắp ráp lại hoàn chỉnh.
Đơn vị tính: trục
|
Mã hiệu |
Công tác/hạng mục |
Thành phần hao phí |
Đơn vị |
Đường kính trục ( mm) |
|
|
< 100 |
100 ÷ 200 |
||||
|
SG.50 |
Sửa chữa trục các đăng |
Vật liệu Vật tư thay thế Mỡ bò các loại Giẻ lau Dầu rửa Hóa chất tẩy rỉ sét (bình 250 ml) Vật liệu khác Nhân công 4,5/7 Máy thi công Palăng 1 tấn Máy tiện 4,5 kW Máy khác |
trục kg kg lít bình
công
ca ca % |
Theo tình hình kiểm tra thực tế 1 5 5 3
2
0,5 0,5 5 |
Theo tình hình kiểm tra thực tế 1,5 5 15 5
4
1,5 1 5 |
|
|
11 |
12 |
|||
SG.6000: SỬA CHỮA Ổ ĐỠ TRỤC
Thành phần công việc:
Tháo nắp ổ đỡ, vệ sinh, kiểm tra đo khe hở các bạc chặn. Đo lấy số liệu khe hở bạc đỡ, khe hở dọc trục. Lập bảng thông số, thay joăng đệm sau đó lắp ráp hoàn chỉnh.
Đơn vị tính: 01 ổ đỡ
|
Mã hiệu |
Công tác/hạng mục |
Thành phần hao phí |
Đơn vị |
Đường kính trục ( mm) |
|
|
< 100 |
100 ÷ 200 |
||||
|
SG.60 |
Sửa chữa ổ đỡ trục |
Vật liệu Vật tư thay thế Mỡ bò các loại Giẻ lau Dầu rửa Hóa chất tẩy rỉ sét (bình 250 ml) Chì lá Vật liệu khác Nhân công 4,5/7 Máy thi công Palăng 1 tấn Máy mài 2,7 kW Máy khác |
trục
kg lít bình
% công
ca ca % |
Theo tình hình kiểm tra thực tế 1 5 5 2
5 3
0,3 0,3 5 |
Theo tình hình kiểm tra thực tế 1,5 5 5 4
5 5
0,6 0,6 5 |
|
|
11 |
12 |
|||
Đơn vị tính: 01 ổ đỡ
|
Mã hiệu |
Công tác/hạng mục |
Thành phần hao phí |
Đơn vị |
Đường kính trục ( mm) |
|
|
201 ÷ 300 |
> 300 |
||||
|
SG.60 |
Sửa chữa ổ đỡ trục |
Vật liệu Vật tư thay thế Mỡ bò các loại Giẻ lau Dầu rửa Hóa chất tẩy gỉ sét (bình 250 ml) Chì lá Vật liệu khác Nhân công 4,5/7 Máy thi công Palăng 1 tấn Máy mài 2,7 kW Máy khác |
trục kg kg lít bình
% công
ca ca % |
Theo tình hình kiểm tra thực tế 2,5 8 10 5
5 7
0,5 0,5 0,5 |
Theo tình hình kiểm tra thực tế 3 10 10 6
5 9
1 1 1 |
|
|
13 |
14 |
|||
SG.7000: SỬA CHỮA MÁY PHÁT ĐỆN
Thành phần công việc:
- Tháo tách máy phát điện, tháo tách dây điện, bọc cách điện các đầu dây, làm dấu. Kiểm tra, tháo rã chi tiết. Lập phương án sửa chữa. Tiến hành vệ sinh, tẩm, nhúng, sấy máy phát điện, thay mới bạc đạn.
- Vệ sinh vỏ, sơn, kiểm tra cách điện, lắp ráp hoàn chỉnh máy phát điện.
- Thử máy, lắp ráp, cân chỉnh máy phát trên phương tiện. Thử bằng phụ tải của phương tiện. Bàn giao.
- Định mức xây dựng cho máy phát có động cơ sơ cấp tốc độ 1500 v/ph.
Đơn vị tính: 01 máy phát điện
|
Mã hiệu |
Công tác/hạng mục |
Thành phần hao phí |
Đơn vị |
Công suất máy phát điện (kW) |
||
|
< 10 |
10 ÷ 20 |
21 ÷ 35 |
||||
|
SG.70 |
Sửa chữa máy phát điện |
Vật liệu Vật tư phụ tùng thay thế
Véc ni cách điện Sơn phun chống ẩm (bình 250 ml) Mỡ bò các loại Vật liệu khác Nhân công 4,5/7 Máy thi công Palăng 1 tấn Máy nén khí 5 m3/h Máy khác |
máy
lít bình
% công
ca ca % |
Theo tình hình kiểm tra thực tế 15 5 10
10 5
0,5 0,3 5 |
Theo tình hình kiểm tra thực tế 15 5 15
10 10
1 0,6 5 |
Theo tình hình kiểm tra thực tế 30 10 20
10 12
1,4 1 5 |
|
|
11 |
12 |
13 |
|||
(Tiếp theo)
|
Mã hiệu |
Công tác/hạng mục |
Thành phần hao phí |
Đơn vị |
Công suất máy phát điện (kW) |
||
|
36 ÷ 59 |
60 ÷ 99 |
100 ÷ 125 |
||||
|
SG.70 |
Sửa chữa máy phát điện |
Vật liệu Vật tư phụ tùng thay thế
Véc ni cách điện Sơn phun chống ẩm (bình 250 ml) Mỡ bò các loại Vật liệu khác Nhân công 4,5/7 Máy thi công Pa lăng 2 tấn Máy nén khí 5 m3/h Máy khác |
máy
lít bình
% công
ca ca
|
Theo tình hình kiểm tra thực tế 30 10 25
10 15
1 0,5
|
Theo tình hình kiểm tra thực tế 45 15 30
10 20
1,5 1
|
Theo tình hình kiểm tra thực tế 45 15 35
10 30
2 1,5
|
|
|
14 |
15 |
16 |
|||
Ghi chú:
- Đối với máy phát điện mà động cơ lai có tốc độ vòng quay 750 v/ph thì định mức nhân công tính thêm hệ số k = 1,25 so với máy phát điện có cùng công suất.
- Đối với máy phát điện bị nhiễm mặn, quy trình luộc, khử mặn được tính tăng thêm 50% định mức sửa chữa.
Chương 8
CÔNG TÁC THI CÔNG SỬA CHỮA PHẦN TRUYỀN ĐỘNG
SH.1000: SỬA CHỮA HỆ THỐNG LÁI CƠ
SH.1100: SỬA CHỮA THƯỜNG XUYÊN
Thành phần công việc:
- Lau chùi, tra dầu mỡ các bộ phận truyền động như: puly, bánh răng.
- Điều chỉnh cá biệt một số bộ phận để hoạt động nhẹ nhàng.
Đơn vị tính: 1 hệ thống
|
Mã hiệu |
Công tác/hạng mục |
Thành phần hao phí |
Đơn vị |
Trọng tải phương tiện P (tấn) |
||
|
P ≤ 20 |
20 < P ≤ 60 |
60 < P ≤ 100 |
||||
|
SH.11 |
Bảo dưỡng hệ thống lái cơ |
Vật liệu Mở bò các loại Dầu rửa Giẻ lau Hóa chất tẩy gỉ sét (bình 250 ml) Nhân công 4,5/7 Máy thi công Giàn giáo (1 bộ = 6 khung) Máy khác |
kg lít kg bình
ca
|
4 5 5 2
0,5
|
6 10 8 3
1
|
10 15 12 4
1,5
|
|
|
11 |
12 |
13 |
|||
SH.1200: SỬA CHỮA TRÊN ĐÀ
Thành phần công việc:
- Làm như sửa chữa thường xuyên và làm thêm những phần sau:
- Thay hoặc hàn đắp cuồng lái. Thay một số đoạn xích hoặc trục tryuyền động lái bị hỏng quá tiêu chuẩn. Hiệu chỉnh lại toàn bộ hệ thống.
Đơn vị tính: 1 hệ thống
|
Mã hiệu |
Công tác/hạng mục |
Thành phần hao phí |
Đơn vị |
Trọng tải phương tiện P (tấn) |
||
|
P ≤ 20 |
P ≤ 60 |
P ≤ 100 |
||||
|
SH.12 |
Sửa chữa trên đà |
Vật liệu Vật tư thay thế
Dầu rửa Giẻ lau Hóa chất tẩy gỉ sét (bình250ml) Que hàn Nhân công 4,5/7 Máy thi công Giàn giáo (1 bộ = 6 khung) Máy ép thủy lực 200 tấn Máy hàn 27,5 kW Máy tiện 4,5 kW Máy khác |
hệ
lít kg bình
công
ca
ca % |
Phụ thuộc vào khảo sát thực tế 5 10 15 4
15
0,5
1,5 5 |
Phụ thuộc vào khảo sát thực tế 7 20 21 6
20
1
1,5 5 |
Phụ thuộc vào khảo sát thực tế 11 30 30 8
25
1,5
1,5 5 |
|
|
11 |
12 |
13 |
|||
SH.2000: SỬA CHỮA HỆ THỐNG TRUYỀN ĐỘNG GA, SỐ
Thành phần công việc:
Tháo vệ sinh kiểm tra và sửa chữa các puly dây ga và dây số bị kẹt, hư hỏng. Các puly không sửa được thì thay mới. Cân chỉnh lại hệ thống sau khi sửa chữa.
Đơn vị tính: 1 hệ thống
|
Mã hiệu |
Công tác/hạng mục |
Thành phần hao phí |
Đơn vị |
Trọng tải phương tiện P (tấn) |
||
|
P ≤ 20 |
20 < P ≤ 60 |
60 < P ≤ 100 |
||||
|
SH.20 |
Sửa chữa hệ thống truyền động ga. số |
Vật liệu Vật tư thay thế
Dầu rửa Giẻ lau Hóa chất tẩy gỉ sét (bình 250 ml) Nhân công 4,5/7 Máy thi công Giàn giáo (1 bộ = 6 khung) Máy khác |
hệ
lít kg bình
ca
|
Phụ thuộc vào khảo sát thực tế 2 5 5 2
0,5
|
Phụ thuộc vào khảo sát thực tế 2 5 5 2
1
|
Phụ thuộc vào khảo sát thực tế 2 5 5 2
1,5
|
|
|
11 |
12 |
13 |
|||
SH.3000: SỬA CHỮA HỆ THỐNG NEO
SH.3100: SỬA CHỮA THƯỜNG XUYÊN
Cạo gõ rỉ neo, xích neo, sơn hắc ín xích neo. Kiểm tra lau chùi, bôi dầu mỡ các tời con lăn.
Đơn vị tính: 1 hệ tời neo
|
Mã hiệu |
Công tác/hạng mục |
Thành phần hao phí |
Đơn vị |
Sức kéo của tời neo (tấn) |
|||||
|
≤ 1,5 |
≤ 3 |
≤ 5 |
≤ 8 |
≤ 10 |
> 10 |
||||
|
SH.31 |
Sửa chữa thường xuyên |
Vật liệu Sơn (hắc ín) Mỡ bò các loại Dầu rửa Giẻ lau Nhân công 4,5/7 Máy thi công Máy nén khí 10 m3/h Máy khác |
kg kg lít kg công
ca
|
100 5 5 5 3
0,5
|
100 9 7 5 4
0,5
|
100 9 9 10 5
0,5
|
180 11 12 10 6
0,5
|
180 15 15 15 7
0,5
|
180 20 17 15 8
0,5
|
|
|
11 |
12 |
13 |
14 |
15 |
16 |
|||
SH.3200: SỬA CHỮA TRÊN ĐÀ
Thành phần công việc:
- Làm như cấp bảo dưỡng và làm thêm vào các việc sau:
+ Khóa xích neo: tháo vệ sinh, nắn thẳng. Bôi trơn và lắp lại.
+ Tời kéo: tháo tời, hộp số vệ sinh kiểm tra. Thay các chi tiết bị mòn hỏng như: bố thắng, phốt dầu, bạc đỡ giữa các bánh răng. Sau đó lắp ráp lại bàn giao.
Ghi chú: Đối với tời kéo thủy lực định mức nhân công tính bằng 80%
Đơn vị tính: 1 hệ tời neo
|
Mã hiệu |
Công tác/hạng mục |
Thành phần hao phí |
Đơn vị |
Sức kéo của tời neo (tấn) |
|||||
|
≤ 1,5 |
≤ 3 |
≤ 5 |
≤ 8 |
≤ 10 |
> 10 |
||||
|
SH.32 |
Sửa chữa trên đà |
Vật liệu Sơn (hắc ín) Mỡ bò Dầu rửa Giẻ lau Gas Ôxy Nhân công 4,5/7 Máy thi công Đèn cắt hơi 2000 1/h Máy nén khí 10 m3/h Cẩu 1 tấn Máy khác |
kg kg lít kg kg chai công
ca
% |
120 5 5 5 2,6 2 5
0,5
5 |
120 9 7 5 2,6 2 6
0,8
5 |
120 9 9 10 3,9 3 7
1
5 |
200 11 12 10 6,5 5 8
1,2
5 |
200 15 15 15 6,5 5 9
1,5
5 |
200 20 17 15 6,5 5 10
1,8
5 |
|
|
11 |
12 |
13 |
14 |
15 |
16 |
|||
Chương 9
CÔNG TÁC THI CÔNG SỬA CHỮA PHẦN VAN, ỐNG
SI.1000: SỬA CHỮA HỆ ỐNG
Thành phân công việc:
- Đánh dấu các đoạn ống, phụ tùng ống bắt với nhau trước khi tháo ống.
- Tháo các cặp mặt bích bắt bulông.
- Tháo lật sàn la canh, đánh số tấm theo sơ đồ rồi xếp gọn vào một góc đối với sửa chữa ống dưới buồng máy.
- Tiến hành sửa chữa hoặc thay mới (hàn nối, uốn ống ...) sau đó lắp lại.
SI.1100: THAY MỚI ỐNG THÉP
Đơn vị tính: 1m ống
|
Mã hiệu |
Công tác/hạng mục |
Thành phần hao phí |
Đơn vị |
Đường kính ống (mm) |
|||
|
≤ 15 |
16 |
26 |
39 |
||||
|
SI. 11 |
Thay mới ống thép |
Vật liệu Ống thép Que hàn Giẻ lau Hóa chất tẩy rỉ sét (bình 250 ml) Sơn làm dấu Vật liệu khác Nhân công 4,5/7 Máy thi công Máy hàn 23 kW Máy mài 2,7 kW |
m kg kg bình
% công
ca ca |
1,005 0,012 0,2 0,5
1 0,3
0,05 0,01 |
1,005 0,015 0,2 0,5
1 0,4
0,06 0,01 |
1,005 0,026 0,2 0,5
1 0,5
0,07 0,01 |
1,005 0,048 0,5 0,75
1 0,6
0,08 0,01 |
|
|
11 |
12 |
13 |
14 |
|||
(Tiếp theo)
|
Mã hiệu |
Công tác/hạng mục |
Thành phần hao phí |
Đơn vị |
Đường kính ống (mm) |
|||
|
51 |
64 |
76 |
91 |
||||
|
SI. 11 |
Thay mới ống thép |
Vật liệu Ống thép Que hàn Giẻ lau Hóa chất tẩy rỉ sét (bình 250 ml) Sơn làm dấu Vật liệu khác Nhân công 4,5/7 Máy thi công Máy hàn 23 kW Máy mài 2,7 kW |
m kg kg bình
% công
ca ca |
1,005 0,06 0,5 0,75
1 0,7
0,09 0,02 |
1,005 0,072 0,8 1
1 0,8
0,1 0,03 |
1,005 0,091 0,8 1
1 0,1
0,2 0,04 |
1,005 0,11 1 1,25
1 1,2
0,3 0,05 |
|
|
15 |
16 |
17 |
18 |
|||
(tiếp theo)
|
Mã hiệu |
Công tác/hạng mục |
Thành phần hao phí |
Đơn vị |
Đường kính ống (mm) |
|||
|
101 |
126 |
151 |
176 |
||||
|
SI. 11 |
Thay mới ống thép |
Vật liệu Ống thép Que hàn Giẻ lau Hóa chất tẩy rỉ sét (bình 250 ml) Sơn làm dấu Vật liệu khác Nhân công 4,5/7 Máy thi công Máy hàn 23 kW Máy mài 2,7 kW |
m kg kg bình
% công
ca ca |
1,005 0,135 1 1,25
1 1,5
0,35 0,06 |
1,005 0,161 1,25 1,5
1 1,6
0,4 0,07 |
1,005 0,209 1,5 1,5
1 1,7
0,5 0,08 |
1,005 0,252 1,5 1,75
1 1,8
0,6 0,1 |
|
|
19 |
20 |
21 |
22 |
|||
SL.1200: THAY MỚI ỐNG ĐỒNG
Đơn vị tính:1 m ống
|
Mã hiệu |
Công tác/hạng mục |
Thành phần hao phí |
Đơn vị |
Đường kính ống (mm) |
|||
|
10 |
11 ÷ 15 |
16 ÷ 25 |
26 ÷ 38 |
||||
|
SI. 12 |
Thay mới ống đồng |
Vật liệu Ống đồng Que hàn đồng Oxy Ga Thuốc hàn Giẻ lau Sơn làm dấu Vật liệu khác Nhân công 4,5/7 Máy thi công Máy hàn hơi 2000 1/h Máy hàn 23 kW Máy mài 2,7 kW |
m kg chai kg kg kg kg % công
ca
ca |
1,005 0,0043 0,0002 0,00026 0,0003 0,2 0,25 1 0,2
0,001
0,01 |
1,005 0,0054 0,0003 0,0004 0,0003 0,2 0,25 1 0,3
0,001
0,01 |
1,005 0,0061 0,0003 0,0004 0,0005 0,2 0,25 1 0,4
0,001
0,01 |
1,005 0,0107 0,0005 0,0007 0,007 0,2 0,25 1 0,5
0,001
0,01 |
|
|
01 |
02 |
03 |
04 |
|||
(tiếp theo)
|
Mã hiệu |
Công tác/hạng mục |
Thành phần hao phí |
Đơn vị |
Đường kính ống (mm) |
||
|
39 ÷ 50 |
51 ÷ 63 |
64 ÷ 75 |
||||
|
SI. 12 |
Thay mới ống đồng |
Vật liệu Ống đồng Que hàn đồng Oxy Ga Thuốc hàn Giẻ lau Sơn làm dấu Vật liệu khác Nhân công 4,5/7 Máy thi công Máy hàn hơi 2000 1/h Máy hàn 23 kW Máy mài 2,7 kW |
m kg chai kg kg kg kg %
công ca
ca |
1,005 0,0148 0,0006 0,0008 0,001 0,5 0,3 1
0,6 0,002
0,02 |
1,005 0,0133 0,0008 0,001 0,0012 0,5 0,35 1
0,8 0,002
0,03 |
1,005 0,0218 0,0009 0,0012 0,0014 0,8 0,35 1
1 0,002
0,04 |
|
|
05 |
06 |
07 |
|||
Ghi chú:
- Định mức trên được xây dựng cho công tác: thay 2 đoạn ống thẳng trên boong (bao gồm: tháo ống cũ, làm và lắp ống mới có 2 mặt bích và joăng vào các bát cũ trên boong).
- Công tác bắt giàn giáo, thay các bát đỡ ống không đề cập trong công việc sẽ được tính riêng.
- Nếu thay ống thẳng trong hầm máy, hầm đáy đôi, hầm dầu, hầm nước và các hệ thống áp lực thì định mức nhân công nhân hệ số 1,25.
- Nếu đoạn ống phải uốn thì nhân hệ số 1,2.
- Nếu chỉ tháo ống cũ lắp lại, thay joăng mới thì định mức nhân công tính bằng 40% so với thay ống mới.
- Vệ sinh ống đã tháo ra bằng hóa chất tính thêm 20% định mức thay ống mới.
- Định mức để thử kín các đường ống với áp lực thử cần thiết để khảo sát là:
+ Đường kính ≤ 75 mm: mỗi mét 0,016 công;
+ Đường kính > 75 mm: mỗi mét 0,023 công.
- Khi thay ống dưới 30% của chiều dài tổng cộng của một hệ thống thì định mức thử áp lực của hệ thống theo quy định ở trên. Nếu thay trên 30% trở lên thì định mức thử áp lực được tính như trong đóng mới.
- Sơn ống (2 lớp) sẽ tính bằng 5% định mức thay mới ống thép.
- Định mức sửa chữa tất cả các ống kim loại được tính bằng 80% định mức thay mới ống thép, chưa kể công phụ trợ.
- Các ống thép không rỉ nếu gia công thay mới thì tính như sau:
+ Loại áp lực thấp tính hệ số 1,5 định mức thay mới ống thép;
+ Loại áp lực cao tính hệ số 2,0 định mức thay mới ống thép;
+ Định mức sửa chữa tính 80% định mức trên.
- Các loại ống cao su thay mới tính bằng 30% định mức thay ống thép.
SI.1300: SỬA CHỮA VAN
Thành phần công việc:
- Tháo, rà xoáy, sơn, thay đệm kín, thử áp lực, lắp ráp, thử hoạt động. Định mức đã tính tới các công việc trợ lực như: Tháo dỡ chướng ngại, xả nước ống và bình chứa, cách nhiệt, thử hệ thống khi cần.
- Công tác bắt giàn giáo chưa tính trong định mức này.
Đơn vị tính: 1 van
|
Mã hiệu |
Công tác/hạng mục |
Thành phần hao phí |
Đơn vị |
Đường kính van (mm) |
||
|
10 |
15 |
20 |
||||
|
SI. 13 |
Sửa chữa van |
Vật liệu Vật tư thay thế
Hóa chất tẩy rỉ sét (bình 250 ml) Mỡ bò các loại Dầu rửa Sơn Cát xoáy (hộp 0,5 kg) Vật liệu khác Nhân công 4,5/7 Máy thi công Máy thử áp lực Máy khác |
van
bình
lít kg hộp % công
ca % |
Theo tình hình kiểm tra thực tế 0,5 1
0,5 0,2 0,25 5 0,5
0,5 3 |
Theo tình hình kiểm tra thực tế 0,5 1
0,5 0,2 0,25 5 0,6
0,5 3 |
Theo tình hình kiểm tra thực tế 0,5 1
0,5 0,2 0,25 5 0,9
0,5 3 |
|
|
01 |
02 |
03 |
|||
(tiếp theo)
|
Mã hiệu |
Công tác/hạng mục |
Thành phần hao phí |
Đơn vị |
Đường kính van (mm) |
||
|
32 |
40 |
50 |
||||
|
SI. 13 |
Sửa chữa van |
Vật liệu Vật tư thay thế
Hóa chất tẩy rỉ sét (bình 250 ml) Mỡ bò các loại Dầu rửa Sơn Cát xoáy (hộp 0,5 kg) Vật liệu khác Nhân công 4,5/7 Máy thi công Máy thử áp lực Máy khác |
van
bình
lít kg hộp
công
ca % |
Theo tình hình kiểm tra thực tế 0,5 1
0,5 0,2 0,25
0,8
0,5 3 |
Theo tình hình kiểm tra thực tế 0,5 1
0,75 0,4 0,5
1
0,5 3 |
Theo tình hình kiểm tra thực tế 0,75 1,5
0,75 0,5 0,5
1,2
0,5 3 |
|
|
04 |
05 |
06 |
|||
(Tiếp theo)
|
Mã hiệu |
Công tác/hạng mục |
Thành phần hao phí |
Đơn vị |
Đường kính van (mm) |
||
|
65 |
80 |
100 |
||||
|
SI. 13 |
Sửa chữa van |
Vật liệu Vật tư thay thế
Hóa chất tẩy rỉ sét (bình 250 ml) Mở bò Dầu rửa Sơn Cát xoáy (hộp 0,5 kg) Vật liệu khác Nhân công 4,5/7 Máy thi công Máy thử áp lực Máy khác |
van
bình
lít kg hộp
công
ca % |
Theo tình hình kiểm tra thực tế 0,75 1,5
0,75 0,5 0,5
1,3
0,5 3 |
Theo tình hình kiểm tra thực tế 1 2
1 0,5 1
1,5
1 3 |
Theo tình hình kiểm tra thực tế 1 2
1 0,75 1
1,8
1 3 |
|
|
07 |
08 |
09 |
|||
(Tiếp theo)
|
Mã hiệu |
Công tác/hạng mục |
Thành phần hao phí |
Đơn vị |
Đường kính van (mm) |
||
|
125 |
150 |
200 |
||||
|
SI. 13 |
Sửa chữa van |
Vật liệu Vật tư thay thế
Hóa chất tẩy rỉ sét (bình 250 ml) Mỡ bò các loại Dầu rửa Sơn Cát xoáy (hộp 0,5 kg) Vật liệu khác Nhân công 4,5/7 Máy thi công Máy thử áp lực Máy khác |
van
bình
lít kg hộp
công
ca % |
Theo tình hình kiểm tra thực tế 1 2
1 0,75 1
2
1 3 |
Theo tình hình kiểm tra thực tế 1 2
1 0,75 1,25
2,2
1 3 |
Theo tình hình kiểm tra thực tế 1,5 3
1,5 1 1,5
2,4
1 3 |
|
|
10 |
11 |
12 |
|||
(Tiếp theo)
|
Mã hiệu |
Công tác/hạng mục |
Thành phần hao phí |
Đơn vị |
Đường kính van (mm) |
||
|
250 |
300 |
350 |
||||
|
SI. 13 |
Sửa chữa van |
Vật liệu Vật tư thay thế
Hóa chất tẩy rỉ sét (bình 250 ml) Mỡ bò các loại Dầu rửa Sơn Cát xoáy (hộp 0,5 kg) Vật liệu khác Nhân công 4,5/7 Máy thi công Máy thử áp lực Máy khác |
van
bình
lít kg hộp
công
ca % |
Theo tình hình kiểm tra thực tế 1,5 3
1,5 1 2
2,5
1 3 |
Theo tình hình kiểm tra thực tế 5 4
4 1,5 2
3
1,5 3 |
Theo tình hình kiểm tra thực tế 5 4
4 1,5 2,5
3,5
1,5 3 |
|
|
13 |
14 |
15 |
|||
Ghi chú:
Các van đặc biệt sau đây định mức nhân công tính thêm:
- Van nồi hơi và khí nén: thêm 10%
- Van CO2: thêm 15%
- Van NH3 và frêon: thêm 90%
- Khi chỉ tháo van cũ, lắp van mới thì chi tính 50% so với định mức sửa chữa.
Chương 10
CÔNG TÁC THI CÔNG SỬA CHỮA PHẦN ĐIỆN
SK.1000: SỬA CHỮA HỆ THỐNG ĐIỆN
SK.1100: THAY MỚI DÂY CÁP ĐIỆN Thành phần công việc:
Tháo dây điện cũ, rút ra (trừ dây đơn trong cuộn dây), đi lại dây điện mới từ bộ chia điện hoặc bảng phân phối điện đến nơi tiêu thụ. Làm lại mác dây điện, đấu dây điện về trạng thái ban đầu, kiểm tra đường điện, thử bàn giao.
Đơn vị tính: 1 ra dây
|
Mã hiệu |
Công tác/hạng mục |
Thành phần hao phí |
Đơn vị |
Loại và tiết diện dây (mm2) |
||
|
3 x 4 |
3 x (4,1÷10) |
3 x (11÷35) |
||||
|
SK.11 |
Thay mới dây cáp điện |
Vật liệu Dây dẫn điện Băng keo điện Dây gút Đầu cốt Nhân công 4,5/7 |
m cuộn kg cái công |
1,02 0,2 0,5 2 0,31 |
1,02 0,2 0,5 2 0,32 |
1,02 0,2 0,5 2 0,33 |
|
|
11 |
12 |
13 |
|||
(Tiếp theo)
|
Mã hiệu |
Công tác/hạng mục |
Thành phần hao phí |
Đơn vị |
Loại và tiết diện dây (mm2 ) |
|
|
3 x (36 ÷ 95) |
3 x (96 ÷ 150) |
||||
|
SK.11 |
Thay mới dây cáp điện |
Vật liệu Dây dẫn điện Băng keo điện Dây gút Đầu cốt Nhân công 4,5/7 |
m cuộn kg cái công |
1,02 0,4 1 2 0,4 |
1,02 0,6 1 2 0,42 |
|
|
14 |
15 |
|||
Ghi chú:
- Đi đây trong ống bảo vệ tính thêm 30%.
- Đi qua dây hộp xuyên ngăn vách kín nước tính tăng 20% , trong đó đã tính cả công gắn keo làm kín hộp ngăn vách.
- Các công việc phụ như làm pate dây, hộp xuyên vách, tìm hư hỏng dây điện không tính trong định mức đi dây.
- Tháo, tách dây điện, thực hiện công tác kiểm tra chất lượng, bảo quản cáp điện, cố định lại tuyến dây được tính bằng 30% định mức đi dây mới.
- Thay mới dây điện trong các bảng điện, hộp điện được tính bằng 40% định mức đi dây điện chiếu sáng.
- Dây cáp điện có số lõi nhỏ hơn 3 (< 3), định mức tính tăng 5% cho mỗi lõi cáp.
SK.1200: THAY MỚI MÁNG DÂY
Thành phần công việc:
Tháo máng dây điện cũ, thay máng mới, kể cả các công hàn pate, giá đỡ.
Đơn vị tính: 1 m dài
|
Mã hiệu |
Công tác/hạng mục |
Thành phần hao phí |
Đơn vị |
Chiều rộng máng (mm) |
|||
|
D |
100 |
150 |
200 |
||||
|
SK.12 |
Thay mới máng dây |
Vật liệu Máng dây điện Que hàn Ø 3 mm Nhân công 4,5/7 Máy thi công Máy hàn 14 kW |
1,005 kg công
ca |
1,005 0,2 0,8
0,3 |
1,005 0,25 0,9
0,5 |
1,005 0,32 1,3
0,75 |
1,005 0,38 1,5
1 |
|
|
11 |
12 |
13 |
14 |
|||
SK.1300: THAY HỘP DÂY NỐI ĐIỆN
Thành phần công việc:
Tháo hộp dây nối điện cũ, thay hộp dây mới, đấu nối lại các đường dây điện vào hộp nối về nguyên trạng, kể cả công hàn lại giá bắt chân đế.
Đơn vị tính: 01 hộp
|
Mã hiệu |
Công tác/hạng mục |
Thành phần hao phí |
Đơn vị |
Số đường dây vào hộp n |
||
|
n < 5 |
5≤ n ≤ 1 0 |
n > 1 0 |
||||
|
SK.13 |
Thay hộp dây nối điện |
Vật liệu Que hàn Ø 3 mm Nhân công 4,5/7 Máy thi công Máy hàn 14 kW |
kg công
ca |
0,3 4
1 |
0,4 6
1,5 |
0,7 8
2 |
|
|
11 |
12 |
13 |
|||
SK.1400: SỬA CHỮA ẮC QUI
Thành phần công việc:
Tháo tách dây điện ra khỏi bình, vận chuyển bình về xưởng trong phạm vi 30 m, kiểm tra tình trạng bình điện, lập phương án súc, nạp, sửa chữa, súc, nạp bình điện theo qui trình, kiểm tra, lập bảng đo xác định chất lượng bình điện. Vận chuyển bình xuống tàu, đấu nối lại dây điện, bàn giao.
Đơn vị tính: 01 bình
|
Mã hiệu |
Công tác/hạng mục |
Thành phần hao phí |
Đơn vị |
Công suất bình (Ah) |
|||
|
80 |
100 |
140 |
160 |
||||
|
SK.14 |
Sửa chữa ắc qui |
Vật liệu Vật tư thay thế Axít Nhân công 4,5/7 Máy thi công Máy sạc |
bình lít công
ca |
1 0,5
1 |
1 0,67
1 |
1 0,75
1 |
1 0,83
1 |
|
|
11 |
12 |
13 |
14 |
|||
(Tiếp theo)
|
Mã hiệu |
Công tác/hạng mục |
Thành phần hao phí |
Đơn vị |
Công suất bình (Ah) |
|||
|
200 |
270 |
375 |
500 |
||||
|
SK.14 |
Sửa chữa ắc qui |
Vật liệu Vật tư thay thế Axít Nhân công 4,5/7 Máy thi công Máy sạc |
bình lít công
ca |
1 0,92
1 |
1 1,00
1 |
1 1,33
1 |
1 2,3
1 |
|
|
15 |
16 |
17 |
18 |
|||
SK.1500: SỬA CHỮA BẢNG ĐIỆN
Thành phần công việc:
- Tháo các dây điện vào ra bảng điện, tháo các ổ giắc thuộc hệ thống điều khiển, bọc cách điện các đầu dây điện, làm dấu. Tháo, tách bảng điện ra khỏi chân đế, vận chuyển về nhà xưởng. Kiểm tra, lập phương án sửa chữa.
- Tháo chi tiết bảng điện, vệ sinh, sơn khung, sửa chữa, thay thế các linh kiện bảng. Lắp ráp hoàn chỉnh tại nhà xưởng, thử thông điện tốt, lắp ráp xuống tàu. Đấu lại các dây dẫn điện, thử, bàn giao. Định mức tính các công tác phụ trợ như tháo lắp chướng ngại vật.
Đơn vị tính: 01 bảng điện
|
Mã hiệu |
Công tác/hạng mục |
Thành phần hao phí |
Đơn vị |
Công suất (kW) |
|
|
≤ 1 |
1 ÷ 2 |
||||
|
SK.15 |
Sửa chữa bảng điện |
Vật liệu Vật tư thay thế Sơn Dầu rửa Băng keo Nhân công 4,5/7 |
bảng kg lít cuộn công |
1 1 2 0,5 2 |
1 1 2 0,5 4 |
|
|
11 |
12 |
|||
Ghi chú:
- Phần thay thế dây điện trong bảng điện, kiểm định định các thiết bị đo, kiểm định các trang thiết bị và khí cụ điện tính riêng.
- Sửa chữa bảng điện tại tàu, không đưa bảng điện lên bờ tính bằng 40%.
SK.1600: LẮP ĐẶT DÂY CÁP THÉP
Đơn vị tính: 1 m
|
Mã hiệu |
Công tác/hạng mục |
Thành phần hao phí |
Đơn vị |
Đường kính cáp (mm) |
||
|
8 |
10 |
16 |
||||
|
SK.16 |
Lắp đặt cáp thép các loại |
Vật liệu Dây cáp Mỡ bò các loại Vật liệu khác Nhân công 4,5/7 |
m kg % công |
1,02 0,01 1 0,11 |
1,02 0,01 1 0,11 |
1,02 0,01 1 0,11 |
|
|
11 |
12 |
13 |
|||
(Tiếp theo)
|
Mã hiệu |
Công tác/hạng mục |
Thành phần hao phí |
Đơn vị |
Đường kính cáp (mm) |
||
|
8 |
10 |
16 |
||||
|
SK.16 |
Lắp đặt cáp thép các loại |
Vật liệu Dây cáp Mỡ bò các loại Vật liệu khác Nhân công 4,5/7 |
m kg % công |
1,02 0,02 1 0,11 |
1,02 0,02 1 0,11 |
1,02 0,03 1 0,11 |
|
|
14 |
15 |
16 |
|||
SK.1700: LẮP ĐẶT XÍCH CÁC LOẠI
Đơn vị tính: 1 m
|
Mã hiệu |
Công tác/ hạng mục |
Thành phần hao phí |
Đơn vị |
Đường kính xích (mm) |
||
|
8 |
10 |
16 |
||||
|
SK.17 |
Lắp đặt xích các loại |
Vật liệu Xích Mỡ bò các loại Vật liệu khác Nhân công 4,5/7 |
m kg % công |
1,02 0,005 1 0,11 |
1,02 0,005 1 0,11 |
1,02 0,005 1 0,11 |
|
|
11 |
12 |
13 |
|||
(Tiếp theo)
|
Mã hiệu |
Công tác/ hạng mục |
Thành phần hao phí |
Đơn vị |
Đường kính xích (mm) |
||
|
20 |
22 |
24 |
||||
|
SK.17 |
Lắp đặt xíchcác loại |
Vật liệu Xích Mỡ bò các loại Vật liệu khác Nhân công 4,5/7 |
m kg % công |
1,02 0,005 1 0,11 |
1,02 0,005 1 0,11 |
1,02 0,008 1 0,11 |
|
|
14 |
15 |
16 |
|||
Chương 11
ĐỊNH MỨC GIA CÔNG HÀN, CẮT KIM LOẠI
- Định mức que hàn, ôxy, gas để hàn, cắt kim loại trong định mức đã bao gồm hao phí cần thiết khi thi công.
- Định mức que hàn xác định theo chiều dày của thép và chiều cao mối hàn.
- Trường hợp hàn đính kết cấu thép thì cứ mỗi mối hàn đính được tính 0,125 kg que hàn.
- Một mối cắt được quy định khi cắt đôi thanh thép (theo hướng thẳng góc với thanh thép). Trường hợp cắt xiên tính theo phương pháp nội suy.
- Khi cắt thép góc, nếu 1 cạnh thép góc có kích thước bằng kích thước quy định trong định mức thì áp dụng định mức đó. Trường hợp thép góc có quy cách khác tính theo phương pháp nội suy.
- Định mức tiêu hao ô xy và gas:
+ Ôxy tính theo đơn vị là chai, chai ôxy có dung tích là 40 lít, áp lực nạp 120 kg/cm2;
+ 01 chai ô xy sử dụng hết 1,3 kg gas;
+ 10 kg que cắt điện sử dụng hết 1,3 kg gas.
- Định mức tiêu hao điện năng:
+ Que hàn điện: 4,5 kW/kg đối với hàn thép; 3,5 kW/kg đối với hàn nhôm bằng máy TIG;
+ Que cắt điện: 5 kW/kg.
SM.1000: HÀN ĐIỆN HỒ QUANG
SM.1100: HÀN ĐẦU THÉP KHÔNG CÓ VÁT MÉP
Đơn vị tính:10 m hàn
|
Mã hiệu |
Công tác/hạng mục |
Thành phần hao phí |
Đơn vị |
Chiều dày thép hàn (mm) |
|||
|
2 |
3 |
4 |
5 |
||||
|
SM.11 |
Hàn đầu thép không có vát mép |
Vật liệu Que hàn Ø 5 mm Điện năng Nhân công 4,5/7 Máy thi công Máy hàn 23 kW |
kg kW công
ca |
1,5 6,75 0,468
0,468 |
1,7 7,65 0,516
0,516 |
2,5 11,25 0,617
0,617 |
3,3 14,85 0,664
0,664 |
|
|
11 |
12 |
13 |
14 |
|||
(Tiếp theo)
|
Mã hiệu |
Công tác/hạng mục |
Thành phần hao phí |
Đơn vị |
Chiều dày thép hàn (mm) |
||
|
6 |
7 |
8 |
||||
|
SM.11 |
Hàn đầu thép không có vát mép |
Vật liệu Que hàn Ø 5 mm Điện năng Nhân công 4,5/7 Máy thi công Máy hàn 23 kW |
kg kW công
ca |
4,1 18,45 0,924
0,924 |
5,7 25,65 0,972
0,972 |
7,5 33,75 1,020
1,020 |
|
|
15 |
16 |
17 |
|||
SM.1200: HÀN ĐẦU THÉP CÓ VÁT MÉP HÌNH CHỮ V, GÓC VÁT 60°
Đơn vị tính: 10 m hàn
|
Mã hiệu |
Công tác/hạng mục |
Thành phần hao phí |
Đơn vị |
Chiều dày thép hàn (mm) |
||
|
6 |
8 |
10 |
||||
|
SM.12 |
Hàn đầu thép có vát mép hình chữ V, góc vát 60° |
Vật liệu Que hàn Ø 5 mm Điện năng Nhân công 4,5/7 Máy thi công Máy hàn 23 kW |
kg kW công
ca |
8,208 36,936 1,026
1,026 |
11,820 50,40 1,476
1,476 |
14,080 65,75 2,010
2,010 |
|
|
11 |
12 |
13 |
|||
(Tiếp theo)
|
Mã hiệu |
Công tác/hạng mục |
Thành phần hao phí |
Đơn vị |
Chiều dày thép hàn (mm) |
||
|
12 |
14 |
16 |
||||
|
SM.12 |
Hàn đầu thép có vát mép hình chữ V, góc vát 600 |
Vật liệu Que hàn Ø 5 mm Điện năng Nhân công 4,5/7 Máy thi công Máy hàn 23 kW |
kg kW công
ca |
17,68 79,56 2,628
2,628 |
21,28 95,76 3,324
3,324 |
24,88 111,96 4,104
4,104 |
|
|
14 |
15 |
16 |
|||
(Tiếp theo)
|
Mã hiệu |
Công tác/hạng mục |
Thành phần hao phí |
Đơn vị |
Chiều dày thép hàn (mm) |
||
|
18 |
20 |
22 |
||||
|
SM.12 |
Hàn đầu thép có vát mép hình chữ V, góc vát 600 |
Vật liệu Que hàn Ø 5 mm Điện năng Nhân công 4,5/7 Máy thi công Máy hàn 23 kW |
kg kW công
ca |
28,48 128,16 4,968
4,968 |
32,08 144,36 5,904
5,904 |
35,68 160,56 6,936
6,936 |
|
|
17 |
18 |
19 |
|||
(Tiếp theo)
|
Mã hiệu |
Công tác/hạng mục |
Thành phần hao phí |
Đơn vị |
Chiều dày thép hàn (mm) |
||
|
24 |
26 |
28 |
||||
|
SM.12 |
Hàn đầu thép có vát mép hình chữ V, góc vát 60° |
Vật liệu Que hàn Ø 5mm Điện năng Nhân công 4,5/7 Máy thi công Máy hàn 23 kW |
kg kW công
ca |
39,28 176,76 8,040
8,040 |
42,88 192,96 9,228
9,228 |
46,48 209,16 10,500
10,500 |
|
|
20 |
21 |
22 |
|||
(Tiếp theo)
|
Mã hiệu |
Công tác/hạng mục |
Thành phần hao phí |
Đơn vị |
Chiều dày thép hàn (mm) |
||
|
30 |
32 |
34 |
||||
|
SM.12 |
Hàn đầu thép có vát mép hình chữ V, góc vát 600 |
Vật liệu Que hàn Ø 5 mm Điện năng Nhân công 4,5/7 Máy thi công Máy hàn 23 kW |
kg kW công
ca |
50,08 225,36 11,856
11,856 |
53,68 241,56 13,296
13,296 |
58,18 261,81 14,820
14,820 |
|
|
23 |
24 |
25 |
|||
(Tiếp theo)
|
Mã hiệu |
Công tác/hạng mục |
Thành phần hao phí |
Đơn vị |
Chiều dày thép hàn (mm) |
||
|
36 |
38 |
40 |
||||
|
SM.12 |
Hàn đầu thép có vát mép hình chữ V, góc vát 60° |
Vật liệu Que hàn Ø 5 mm Điện năng Nhân công 4,5/7 Máy thi công Máy hàn 23 kW |
kg kW công
ca |
61,78 278,01 16,416
16,416 |
65,38 292,50 18,096
18,096 |
68,98 310,41 19,860
19,860 |
|
|
26 |
27 |
28 |
|||
Trường hợp góc vát khác 600 thì định mức hao phí que hàn được nhân với hệ số điều chỉnh k như sau:
Khi góc vát:
|
α = 40° ÷ 50° |
thì k = 0,85 |
|
α = 70° |
thì k = 1,17 |
|
α = 80° |
thì k = 1,36 |
|
α = 90° |
thì k = 1,58 |
SM.1300: MỘT ĐẦU THÉP CẮT VÁT GÓC 45°
Đơn vị tính: 10 m hàn
|
Mã hiệu |
Công tác/hạng mục |
Thành phần hao phí |
Đơn vị |
Chiều dày thép hàn (mm) |
||
|
6 |
8 |
10 |
||||
|
SM.13 |
Hàn một đầu thép cắt vát góc 45° |
Vật liệu Que hàn Ø 5 mm Điện năng Nhân công 4,5/7 Máy thi công Máy hàn 23 kW |
kg kW công
ca |
4,5 20,25 1,176
1,176 |
8,1 36,45 1,704
1,704 |
11,7 52,65 2,328
2,328 |
|
|
11 |
12 |
13 |
|||
(Tiếp theo)
|
Mã hiệu |
Công tác/hạng mục |
Thành phần hao phí |
Đơn vị |
Chiều dày thép hàn (mm) |
|
|
14 |
15 |
||||
|
SM.13 |
Hàn một đầu thép cắt vát góc 45° |
Vật liệu Que hàn Ø 5 mm Điện năng Nhân công 4,5/7 Máy thi công Máy hàn 23 kW |
kg kW công
ca |
18,9 85,05 3,036
3,036 |
20,7 93,15 3,84
3,84 |
|
|
14 |
15 |
|||
(Tiếp theo)
|
Mã hiệu |
Công tác/hạng mục |
Thành phần hao phí |
Đơn vị |
Chiều dày thép hàn (mm) |
||
|
16 |
18 |
20 |
||||
|
SM.13 |
Hàn một đầu thép cắt vát góc 45° |
Vật liệu Que hàn Ø 5 mm Điện năng Nhân công 4,5/7 Máy thi công Máy hàn 23 kW |
kg kW công
ca |
22,3 100,35 4,47
4,47 |
25,9 116,55 5,736
5,736 |
29,5 132,75 6,816
6,816 |
|
|
16 |
17 |
18 |
|||
(Tiếp theo)
|
Mã hiệu |
Công tác/hạng mục |
Thành phần hao phí |
Đơn vị |
Chiều dày thép hàn (mm) |
||
|
22 |
24 |
26 |
||||
|
SM.13 |
Hàn một đầu thép cắt vát góc 45° |
Vật liệu Que hàn Ø 5mm Điện năng Nhân công 4,5/7 Máy thi công Máy hàn 23 kW |
kg kW công
ca |
31,1 139,95 8,004
8,004 |
36,7 165,15 9,288
9,288 |
40,3 181,35 10,664
10,664 |
|
|
19 |
20 |
21 |
|||
(Tiếp theo)
|
Mã hiệu |
Công tác/hạng mục |
Thành phần hao phí |
Đơn vị |
Chiều dày thép hàn (mm) |
||
|
28 |
30 |
32 |
||||
|
SM.13 |
Hàn một đầu thép cắt vát góc 45° |
Vật liệu Que hàn Ø 5 mm Điện năng Nhân công 4,5/7 Máy thi công Máy hàn 23 kW |
kg kW công
ca |
43,9 197,55 12,132
12,132 |
47,5 204,75 13,692
13,692 |
51,1 229,95 15,348
15,348 |
|
|
22 |
23 |
24 |
|||
(Tiếp theo)
|
Mã hiệu |
Công tác/hạng mục |
Thành phần hao phí |
Đơn vị |
Chiều dày thép hàn (mm) |
||
|
32 |
34 |
36 |
||||
|
SM.13 |
Hàn một đầu thép cắt vát góc 45° |
Vật liệu Que hàn Ø 5mm Điện năng Nhân công 4,5/7 Máy thi công Máy hàn 23 kW |
kg kW công
ca |
54,7 246,15 15,348
15,348 |
58,3 262,35 17,112
17,112 |
61,9 278,55 18,960
18,960 |
|
|
24 |
25 |
26 |
|||
SK.1400: HAI ĐẦU THÉP HÀN CẮT VÁT HÌNH CHỮ X VỚI GÓC VÁT 60°
Đơn vị tính: 10 m hàn
|
Mã hiệu |
Công tác/hạng mục |
Thành phần hao phí |
Đơn vị |
Chiều dày thép hàn (mm) |
||
|
12 |
14 |
16 |
||||
|
SM.14 |
Hai đầu thép hàn cắt vát hình chữ X, với góc vát 60° |
Vật liệu Que hàn Ø 5mm Điện năng Nhân công 4,5/7 Máy thi công Máy hàn 23 kW |
kg kW công
ca |
13,90 62,55 1,308
1,308 |
17,5 78,75 1,668
1,668 |
21,1 94,95 2,052
2,052 |
|
|
11 |
12 |
13 |
|||
(Tiếp theo)
|
Mã hiệu |
Công tác/hạng mục |
Thành phần hao phí |
Đơn vị |
Chiều dày thép hàn (tnm) |
||
|
18 |
20 |
22 |
||||
|
SM.14 |
Hai đầu thép hàn cắt vát hình chữ X, với góc vát 600 |
Vật liệu Que hàn Ø 5mm Điện năng Nhân công 4,5/7 Máy thi công Máy hàn 23 kW |
kg kW công
ca |
24,7 111,15 2,484
2,484 |
28,3 127,35 2,952
2,952 |
31,9 143,55 3,468
3,468 |
|
|
14 |
15 |
16 |
|||
(Tiếp theo)
|
Mã hiệu |
Công tác/hạng mục |
Thành phần hao phí |
Đơn vị |
Chiều dày thép hàn (mm) |
||
|
24 |
26 |
28 |
||||
|
SM.14 |
Hai đầu thép hàn cắt vát hình chữ X, với góc vát 60° |
Vật liệu Que hàn Ø 5 mm Điện năng Nhân công 4,5/7 Máy thi công Máy hàn 23 kW |
kg kW công
ca |
35,5 159,75 4,020
4,020 |
39,1 175,95 4,620
4,620 |
42,7 192,15 5,256
5,256 |
|
|
17 |
18 |
19 |
|||
(Tiếp theo)
|
Mã hiệu |
Công tác/hạng mục |
Thành phần hao phí |
Đơn vị |
Chiều dày thép hàn (mm) |
||
|
30 |
32 |
34 |
||||
|
SM.14 |
Hai đầu thép hàn cắt vát hình chữ X, với góc vát 60o |
Vật liệu Que hàn Ø 5 mm Điện năng Nhân công 4,5/7 Máy thi công Máy hàn 23 kW |
kg kW công
ca |
46,3 208,35 5,928
5,928 |
49,9 224,55 6,648
6,648 |
53,5 240,75 7,648
7,404 |
|
|
20 |
21 |
22 |
|||
(Tiếp theo)
|
Mã hiệu |
Công tác/hạng mục |
Thành phần hao phí |
Đơn vị |
Chiều dày thép hàn (mm) |
||
|
36 |
38 |
40 |
||||
|
SM.14 |
Hai đầu thép hàn cắt vát hình chữ X, với góc vát 60° |
Vật liệu Que hàn Ø 5 mm Điện năng Nhân công 4,5/7 Máy thi công Máy hàn 23 kW |
kg kW công
ca |
57,1 256,95 8,208
8,208 |
60,7 273,15 9,048
9,048 |
64,3 289,35 9,936
9,936 |
|
|
23 |
24 |
25 |
|||
Khi góc vát 45° thì mức hao phí que hàn nói trên được nhân với hệ số k = 0,8. Khi góc vát 55° thì mức hao phí que hàn nói trên được nhân với hệ số k = 0,88.
SM.1500: MỘT ĐẦU THÉP HÀN CÓ GÓC VÁT HÌNH CHỮ K VỚI GÓC VÁT 45°
Đơn vị tính: 10 m hàn
|
Mã hiệu |
Công tác/hạng mục |
Thành phần hao phí |
Đơn vị |
Chiều dày thép hàn (mm) |
||
|
12 |
14 |
16 |
||||
|
SM.15 |
Một đầu thép hàn cắt vát hình chữ K, với góc vát 45° |
Vật liệu Que hàn Ø 5 mm Điện năng Nhân công 4,5/7 Máy thi công Máy hàn 27 kW |
kg kW công
ca |
14,7 66,15 1,512
1,512 |
18,3 82,35 1,92
1,92 |
21,9 98,55 2,376
2,376 |
|
|
11 |
12 |
13 |
|||
(tiếp theo)
|
Mã hiệu |
Công tác/hạng mục |
Thành phần hao phí |
Đơn vị |
Chiều dày thép hàn (mm) |
||
|
18 |
20 |
22 |
||||
|
SM.15 |
Một đầu thép hàn cắt vát hình chữ K, với góc vát 45° |
Vật liệu Que hàn Ø 5 mm Điện năng Nhân công 4,5/7 Máy thi công Máy hàn 23 kW |
kg kW công
ca |
25,5 114,75 2,868
2,868 |
29,1 130,95 3,408
3,408 |
32,7 147,15 4,008
4,008 |
|
|
14 |
15 |
16 |
|||
(Tiếp theo)
|
Mã hiệu |
Công tác/hạng mục |
Thành phần hao phí |
Đơn vị |
Chiều dày thép hàn (mm) |
||
|
24 |
26 |
28 |
||||
|
SM.15 |
Một đầu thép hàn cắt vát hình chữ K, với góc vát 45° |
Vật liệu Que hàn Ø 5 mm Điện năng Nhân công 4,5/7 Máy thi công Máy hàn 23 kW |
kg kw công
ca |
36,3 163,35 4,644
4,644 |
39,9 179,55 5,328
5,328 |
43,5 195,75 6,072
6,072 |
|
|
17 |
18 |
19 |
|||
(Tiếp theo)
|
Mã hiệu |
Công tác/hạng mục |
Thành phần hao phí |
Đơn vị |
Chiều dày thép hàn (mm) |
||
|
30 |
32 |
34 |
||||
|
SM.15 |
Một đầu thép hàn cắt vát hình chữ K, với góc vát 450 |
Vật liệu Que hàn Ø 5 mm Điện năng Nhân công 4,5/7 Máy thi công Máy hàn 23 kW |
kg kW công
ca |
47,1 211,95 6,852
6,852 |
50,7 228,15 7,68
7,68 |
54,3 244,35 8,556
8,556 |
|
|
20 |
21 |
22 |
|||
(Tiếp theo)
|
Mã hiệu |
Công tác/hạng mục |
Thành phần hao phí |
Đơn vị |
Chiều dày thép hàn (mm) |
||
|
36 |
38 |
40 |
||||
|
SM.15 |
Một đầu thép hàn cắt vát hình chữ K, với góc vát 45° |
Vật liệu Que hàn Ø 5 mm Điện năng Nhân công 4,5/7 Máy thi công Máy hàn 23 kW |
kg kW công
ca |
57,9 260,55 9,48
9,48 |
61,5 276,75 10,452
10,452 |
65,1 292,95 11,472
11,472 |
|
|
23 |
24 |
25 |
|||
Khi góc vát > 50° thì định mức hao phí que hàn nói trên nhân với hệ số k = 1,10.
SM.2000: HÀN GHÉP CHỒNG CHỮ T, HÀN GÓC KHÔNG GÓC VÁT
Đơn vị tính: 10 m hàn
|
Mã hiệu |
Công tác/hạng mục |
Thành phần hao phí |
Đơn vị |
Chiều dày thép hàn (mm) |
|||
|
2 |
3 |
4 |
5 |
||||
|
SM.20 |
Hàn ghép chồng chữ T, hàn góc không góc vát |
Vật liệu Que hàn Ø 5 mm Điện năng Nhân công 4,5/7 Máy thi công Máy hàn 23 kW |
kg kW công
ca |
1,2 5,4 0,048
0,048 |
2 9 0,108
0,108 |
2,8 12,6 0,192
0,192 |
3,6 16,2 0,3
0,3 |
|
|
11 |
12 |
13 |
14 |
|||
(Tiếp theo)
|
Mã hiệu |
Công tác/hạng mục |
Thành phần hao phí |
Đơn vị |
Chiều dày thép hàn (mm) |
||
|
6 |
8 |
10 |
||||
|
SM.20 |
Hàn ghép chồng chữ T, hàn góc không góc vát |
Vật liệu Que hàn Ø 5 mm Điện năng Nhân công 4,5/7 Máy thi công Máy hàn 23 kW |
kg kW công
ca |
4,4 19,8 0,432
0,432 |
8 36 0,756
0,756 |
10,6 47,7 1,188
1,188 |
|
|
15 |
16 |
17 |
|||
(Tiếp theo)
|
Mã hiệu |
Công tác/hạng mục |
Thành phần hao phí |
Đơn vị |
Chiều dày thép hàn (mm) |
||
|
12 |
14 |
16 |
||||
|
SM.20 |
Hàn ghép chồng chữ T, hàn góc không góc vát |
Vật liệu Que hàn Ø 5 mm Điện năng Nhân công 4,5/7 Máy thi công Máy hàn 23 kW |
kg kW công
ca |
14,2 63,9 1,704
1,704 |
17,8 80,1 2,328
1,94 |
21,4 96,3 3,036
3,036 |
|
|
18 |
19 |
20 |
|||
(Tiếp theo)
|
Mã hiệu |
Công tác/hạng mục |
Thành phần hao phí |
Đơn vị |
Chiêu dày thép hàn (mm) |
||
|
18 |
20 |
22 |
||||
|
SM.20 |
Hàn ghép chồng chữ T, hàn góc không góc vát |
Vật liệu Que hàn Ø 5 mm Điện năng Nhân công 4,5/7 Máy thi công Máy hàn 23 kW |
kg kW công
ca |
25 112,5 3,84
3,84 |
28,6 128,7 4,74
4,74 |
32,2 144,9 5,736
5,736 |
|
|
21 |
22 |
23 |
|||
SM.3000: HÀN HƠI (Áp dụng cho hàn thép và hàn đồng)
Đơn vị tính: 10 m hàn
|
Mã hiệu |
Công tác/hạng mục |
Quy cách hàn |
Vật liệu dùng cho 1 đơn vị |
||
|
Vật liệu |
Đơn vị |
Số lượng |
|||
|
SM.31 |
Hàn hơi (Áp dụng cho hàn thép và hàn đồng) |
Hàn với chiều cao mối hàn hay với chiều dày vật hàn < 3 mm |
Oxy Gas Que hàn Ø 5 mm Thuốc hàn |
chai kg kg
|
0,024 0,048 0,54
|
|
SM.32 |
Hàn với chiều cao mối hàn hay với chiều dày vật hàn từ 4 ÷ 6 mm |
Oxy Gas Que hàn Ø 5 mm Thuốc hàn |
chai kg kg
|
0,06 0,12 0,72
|
|
|
SM.33 |
Hàn với chiều cao mối hàn hay với chiều dày vật hàn từ 7 ÷ 10 mm |
Oxy Gas Que hàn Ø 5 mm Thuốc hàn |
chai kg kg
|
0,12 0,24 0,804
|
|
|
SM.34 |
Hàn với chiều cao mối hàn hay với chiều dày vật hàn > 10 mm |
Oxy Gas Que hàn Ø 5 mm Thuốc hàn |
chai kg kg
|
0,18 0,36 2,52
|
|
|
|
11 |
||||
SM.4000: CẮT KIM LOẠI
SM.4100: CẮT THÉP TẤM
Đơn vị tính: 10 m cắt
|
Mã hiệu |
Công tác/hạng mục |
Thành phần hao phí |
Đơn vị |
Chiều dày thép cắt (mm) |
|||
|
≤ 5 |
6 ÷ 10 |
11 ÷ 20 |
21 ÷ 30 |
||||
|
SM.41 |
Cắt thép tấm |
Vật liệu Ô xy Gas Nhân công 4,5/7 Máy thi công Máy cắt Plasma 40A |
chai kg công
ca |
0,312 0,406 0,51
0,36 |
0,478 0,621 0,616
0,48 |
0,888 1,154 0,762
0,6 |
1,464 1,903 0,923
0,72 |
|
|
11 |
12 |
13 |
14 |
|||
(tiếp theo)
|
Mã hiệu |
Công tác/hạng mục |
Thành phần hao phí |
Đơn vị |
Chiều dày thép cắt (mm) |
||
|
31 ÷ 50 |
51 ÷ 75 |
76 ÷ 100 |
||||
|
SM.41 |
Cắt thép tấm |
Vật liệu Ô xy Gas Nhân công 4,5/7 Máy thi công Máy cắt Plasma 40A |
chai kg công
ca |
2,352 3,058 1,5
1,020 |
4,284 5,57 2
1,2 |
8,464 11,003 2,664
2,04 |
|
|
15 |
16 |
17 |
|||
SM.4200: CẮT THÉP GÓC CHỮ L
Đơn vị tính: 10 mối cắt
|
Mã hiệu |
Công tác/hạng mục |
Thành phần hao phí |
Đơn vị |
Kích thước thép góc (mm) |
|
|
≤ 75 x 75 |
90 x 90 |
||||
|
SM.42 |
Cắt thép góc chữ L |
Vật liệu Ô xy Gas Nhân công 4,5/7 Máy thi công Máy cắt Plasma 40A |
chai kg công
ca |
0,103 0,133 0,6
0,48 |
0,142 0,185 0,792
0,66 |
|
|
11 |
12 |
|||
(Tiếp theo)
|
Mã hiệu |
Công tác/hạng mục |
Thành phần hao phí |
Đơn vị |
Kích thước thép góc (mm) |
||
|
120 x 120 |
150 x 150 |
200 x 200 |
||||
|
SM.42 |
Cắt thép góc chữ L |
Vật liệu Ôxy Gas Nhân công 4,5/7 Máy thi công Máy cắt Plasma 40A |
chai kg công
ca |
0,252 0,328 0,84
0,72 |
0,370 0,481 0,984
0,840 |
0,612 0,796 1,44
1,2 |
|
|
13 |
14 |
15 |
|||
SM.4300: CẮT THÉP CHỮ U
Đơn vị tính: 10 mối cắt
|
Mã hiệu |
Công tác/hạng mục |
Thành phần hao phí |
Đơn vị |
Chiều cao thép (mm) |
|||
|
≤ 8 |
10 |
12 ÷ 04 |
16 ÷ 18 |
||||
|
SM.43 |
Cắt thép chữ U |
Vật liệu Ôxy Gas Nhân công 4,5/7 Máy thi công Máy cắt Plasma 40A |
chai kg công
ca |
0,082 0,107 0,624
0,504 |
0,094 0,122 0,696
0,624 |
0,175 0,228 0,768
0,672 |
0,228 0,296 0,864 0,78 |
|
|
11 |
12 |
13 |
14 |
|||
(Tiếp theo)
|
Mã hiệu |
Công tác/hạng mục |
Thành phần hao phí |
Đơn vị |
Chiều cao thép (mm) |
||
|
20 ÷ 22 |
24 |
27 ÷ 30 |
||||
|
SM.43 |
Cắt thép chữ U |
Vật liệu Ôxy Gas Nhân công 4,5/7 Máy thi công Máy cắt Plasma 40A |
chai kg công
ca |
0,286 0,371 1,02
0,84 |
0,324 0,421 1,056
0,888 |
0,408 0,53 1,104
0,96 |
|
|
15 |
16 |
17 |
|||
SM.4400: CẮT THÉP CHỮ I
Đơn vị tính: 10 mối cắt
|
Mã hiệu |
Công tác/hạng mục |
Thành phần hao phí |
Đơn vị |
Chiều cao thép (mm) |
||
|
10 |
12 ÷ 14 |
16 ÷ 18 |
||||
|
SM.44 |
Cắt thép chữ I |
Vật liệu Ôxy Gas Nhân công 4,5/7 Máy thi công Máy cắt Plasma 40A |
chai kg công
ca |
0,077 0,100 0,384
0,3 |
0,324 0,421 0,444
0,348 |
0,408 0,530 0,504
0,408 |
|
|
11 |
12 |
13 |
|||
|
Mã hiệu |
Công tác/hạng mục |
Thành phần hao phí |
Đơn vị |
Chiều cao thép (mm) |
||
|
20 ÷ 22 |
24 |
27 ÷ 30 |
||||
|
SM.44 |
Cắt thép chữ I |
Vật liệu Ôxy Gas Nhân công 4,5/7 Máy thi công Máy cắt Plasma 40A |
chai kg công
ca |
0,576 0,749 0,6
0,48 |
0,768 1,00 0,66
0,54 |
0,864 1,123 0,72
0,624 |
|
|
14 |
15 |
16 |
|||
(Tiếp theo)
|
Mã hiệu |
Công tác/hạng mục |
Thành phần hao phí |
Đơn vị |
Chiều cao thép (mm) |
|||
|
33 ÷ 36 |
40 ÷ 45 |
50 |
55 |
||||
|
SM.44 |
Cắt thép chữ I |
Vật liệu Ôxy Gas Nhân công 4,5/7 Máy thi công Máy cắt Plasma 40A |
chai kg công
ca |
1,128 1,466 0,792
0,684 |
1,464 1,903 0,864
0,756 |
1,848 2,402 0,396
0,828 |
2,040 2,652 0,996
0,864 |
|
|
17 |
18 |
19 |
20 |
|||
SM.4500: CẮT THÉP VUÔNG
Đơn vị tính: 10 mối cắt
|
Mã hiệu |
Công tác/hạng mục |
Thành phần hao phí |
Đơn vị |
Kích thước cạnh của thép (mm) |
||
|
20 |
40 |
60 |
||||
|
SM.45 |
Cắt thép vuông |
Vật liệu Ôxy Gas Nhân công 4,5/7 Máy thi công Máy cắt Plasma 40A |
chai kg công
ca |
0,12 0,156 0,264
0,24 |
0,214 0,278 0,384
0,36 |
0,456 0,593 0,504
0,48 |
|
|
11 |
12 |
13 |
|||
(Tiếp theo)
|
Mã hiệu |
Công tác/hạng mục |
Thành phần hao phí |
Đơn vị |
Kích thước cạnh của thép (mm) |
||
|
80 |
100 |
120 |
||||
|
SM.45 |
Cắt thép vuông |
Vật liệu Ôxy Gas Nhân công 4,5/7 Máy thi công Máy cắt Plasma 40A |
chai kg công
ca |
0,816 1,034 0,624
0,504 |
1,272 1,654 0,72
0,6 |
1,8 2,34 0,84
0,648 |
|
|
14 |
15 |
16 |
|||
SK.4600: CẮT THÉP TRÕN
Đơn vị tính: 10 mối cắt
|
Mã hiệu |
Công tác/hạng mục |
Thành phần hao phí |
Đơn vị |
Đường kính của thép (mm) |
||
|
24 |
36 |
45 |
||||
|
SM.46 |
Cắt thép tròn |
Vật liệu Ôxy Gas Nhân công 4,5/7 Máy thi công Máy cắt Plasma 40A |
chai kg công
ca |
0,074 0,096 0,288
0,264 |
0,146 0,189 0,384
0,268 |
0,211 0,274 0,408
0,384 |
|
|
11 |
12 |
13 |
|||
(Tiếp theo)
|
Mã hiệu |
Công tác/hạng mục |
Thành phần hao phí |
Đơn vị |
Đường kính của thép (mm) |
||
|
60 |
80 |
100 |
||||
|
SM.46 |
Cắt thép tròn |
Vật liệu Ôxy Gas Nhân công 4,5/7 Máy thi công Máy cắt Plasma 40A |
chai kg công
ca |
0,346 0,449 0,468
0,384 |
0,576 0,749 0,528
0,456 |
0,936 1,217 0,624
0,528 |
|
|
14 |
15 |
16 |
|||
SM.4700: CẮT ỐNG THÉP
Đơn vị tính: 1 mối cắt
|
Mã hiệu |
Công tác/hạng mục |
Thành phần hao phí |
Đơn vị |
Đường kính ống (mm) |
||
|
100 |
150 |
200 |
||||
|
SM.471 |
Cắt ống thép bằng máy cắt cầm tay |
Vật liệu Đá cắt Đá mài Vật liệu khác Nhân công 4,5/7 Máy thi công Máy cắt kim loại 2,7 kW |
viên viên % công
ca |
0,096 0,024 2 0,096
0,036 |
0,144 0,024 2 0,108
0,06 |
0,192 0,036 2 0,12
0,07 |
|
SM.472 |
Cắt ống thép bằng ôxy gas |
Vật liệu Ôxy Gas Vật liệu khác Nhân công 4,5/7 Máy thi công Đèn cắt hơi 2000 1/h |
chai kg % công
ca |
0,01 0,013 0,2 0,198
0,008 |
0,014 0,018 0,2 0,234
0,012 |
0,019 0,024 0,2 0,252
0,015 |
|
|
1 |
2 |
3 |
|||
(Tiếp theo)
|
Mã hiệu |
Công tác/hạng mục |
Thành phần hao phí |
Đơn vị |
Đường kính ống (mm) |
||
|
150 |
200 |
250 |
||||
|
SM.471 |
Cắt ống thép bằng máy căt cầm tay |
Vật liệu Đá cắt Đá mài Vật liệu khác Nhân công 4,5/7 Máy thi công Máy cắt Plasma 40A |
viên viên % công
ca |
0,144 0,024 2 0,108
0,06 |
0,192 0,036 2 0,12
0,07 |
0,288 0,06 2 0,144
0,077 |
|
SM.472 |
Cắt ống thép bằng ôxy gas |
Vật liệu Ôxy Gas Vật liệu khác Nhân công 4,5/7 Máy thi công Đèn cắt hơi 2000 1/h |
chai kg % công
ca |
0,014 0,018 0,2 0,234
0,012 |
0,019 0,024 0,2 0,252
0,015 |
0,024 0,031 0,2 0,264
0,019 |
|
|
4 |
5 |
6 |
|||
(Tiếp theo)
|
Mã hiệu |
Công tác/hạng mục |
Thành phần hao phí |
Đơn vị |
Đường kính ống (mm) |
||
|
300 |
350 |
400 |
||||
|
SM.471 |
Cắt ống thép bằng máy cắt cầm tay |
Vật liệu Đá cắt Đá mài Vật liệu khác Nhân công 4,5/7 Máy thi công Máy cắt Plasma 40A |
viên viên % công
ca |
0,372 0,072 2 0,156
0,096 |
0,468 0,096 2 0,18
0,12 |
0,756 0,156 2 0,216
0,132 |
|
SM.472 |
Cắt ống thép bằng ôxy gas |
Vật liệu Ôxy Gas Vật liệu khác Nhân công 4,5/7 Máy thi công Đèn cắt hơi 2000 1/h |
chai kg % công
ca |
0,03 0,039 0,2 0,306
0,023 |
0,035 0,0455 0,2 0,332
0,026 |
0,04 0,052 0,2 0,36
0,03 |
|
|
7 |
8 |
9 |
|||
SM.4800: CẮT BULON
Đơn vị tính: 10 bu lông
|
Mã hiệu |
Công tác/hạng mục |
Thành phần hao phí |
Đơn vị |
Đường kính (mm) |
||
|
16 |
21 ÷ 25 |
30 ÷ 35 |
||||
|
SK.48 |
Cắt bu lông |
Vật liệu Ôxy Gas Nhân công 4,5/7 Máy thi công Máy cắt kim loại 1 kW |
chai kg công
ca |
0,274 0,356 0,24
0,24 |
0,41 0,533 0,36
0,36 |
0,528 0,686 0,6
0,6 |
|
|
11 |
12 |
13 |
|||
(Tiếp theo)
|
Mã hiệu |
Công tác/hạng mục |
Thành phần hao phí |
Đơn vị |
Đường kính (mm) |
||
|
40 ÷ 45 |
50 ÷ 55 |
60 |
||||
|
SM.48 |
Cắt bu lông |
Vật liệu Ôxy Gas Nhân công 4,5/7 Máy thi công Máy cắt kim loại 1 kW |
chai kg công
ca |
0,864 1,123 0,66
0,66 |
1,104 1,435 0,756
0,756 |
1,44 1,87 0,84
0,84 |
|
|
14 |
15 |
16 |
|||
SM.5000: HỎA CÔNG KẾT CẤU THÉP BẰNG ÔXY VÀ GAS
Đơn vị tính: 10 m2
|
Mã hiệu |
Công tác/hạng mục |
Thành phần hao phí |
Đơn vị |
Chiều dày thép hỏa công (mm) |
|
|
≤ 12 mm |
> 12 mm |
||||
|
SM.50 |
Hỏa công kết cấu thép bằng ôxy và gas |
Vật liệu Ôxy Gas Nhân công 4,5/7 Máy thi công Đèn cắt hơi 2000 1/h |
chai kg công
ca |
0,48 0,624 18
18 |
0,84 1,092 23,4
23,4 |
|
|
11 |
12 |
|||
SM.6000: ĐỊNH MỨC LAO ĐỘNG HÀN
Thành phần công việc:
Vận chuyển thiết bị đến vị trí thi công trong phạm vi 30m, đấu điện, hàn, thu dọn lau chùi thiết bị sau khi hoàn thành công việc.
Đơn vị tính: 10m hàn
|
Mã hiệu |
Tư thế hàn |
Đơn vị tính |
Đường kính que hàn (mm) |
||
|
3 ÷ 4 |
5 ÷ 6 |
7 ÷ 10 |
|||
|
SM.61 SM.62 SM.63 SM.64 |
Hàn ngửa Hàn leo Hàn ngang Hàn bằng |
công công công công |
0,826 0,676 0,45 0,33 |
0,9 0,75 0,45 0,38 |
1,05 0,90 0,60 0,45 |
|
|
11 |
12 |
13 |
||
SM.7000: ĐỊNH MỨC LAO ĐỘNG CẮT HƠI
Thành phần công việc:
Vận chuyển thiết bị đến vị trí thi công trong phạm vi 30 m, đấu lắp thiết bị cắt, cắt, thu dọn, lau chùi thiết bị sau khi hoàn thành công việc.
Đơn vị tính: l0m cắt
|
Mã hiệu |
Loại tôn |
Đơn vị tính |
Chiều dày tôn (mm) |
||
|
8 ÷ 10 |
6 ÷ 7 |
4 ÷ 5 |
|||
|
SM.71 SM.72 |
Tôn mới Tôn cũ |
công công |
0,376 0,496 |
0,33 0,45 |
0,27 0,376 |
|
|
11 |
12 |
13 |
||
Chương 12
CÔNG TÁC LÀM SẠCH BỀ MẶT
SN.1000: CÔNG TÁC LÀM SẠCH BỀ MẶT SN.1100: CẠO, GÕ RỈ THÂN VỎ TÀU
Thành phần công việc:
Chuẩn bị dụng cụ thi công, gõ rỉ, thu dọn rỉ đóng bao, tập kết vào vị trí quy định trong phạm vi 30 m. Vệ sinh và bàn giao hiện trường.
- Mức độ han rỉ được chia thành các mức độ sau:
|
Hạng mục |
Hiện tượng |
Thao tác công nghễ gõ rỉ |
|
Mức I (dễ) |
Có những đám rỉ vàng, lốm đốm, vẩy sùi nhỏ. |
Cạo là chủ yếu diện tích gõ khoảng 10 ÷ 15% những nơi rỉ chỉ cần gõ nhẹ. |
|
Mức II (vừa) |
Có nhiêu lớp rỉ vàng, hoen ố một số khu vực bị rộp lên từng đám nhỏ. |
Cạo, gõ ở mức độ ngang nhau, gõ khoảng 50 ÷ 70% lớp rỉ rộp lên, phải gõ mạnh. |
|
Mức III (khó) |
Rỉ bị rộp lên từng đám lớn. Rỉ bám từng lớp phủ kín ở trên bề mặt tôn |
Gõ là chủ yếu. Diện tích gõ rỉ trên 70%. Phải gõ mạnh 2 đến 3 búa rỉ mới bong ra được. |
Đơn vị tính: 1 m2
|
Mã hiệu |
Thành phần hao phí |
Đơn vị |
Mức độ han rỉ |
||
|
I |
II |
III |
|||
|
SN. 111 |
Nhân công 3/7 (mặt boong, miệng khoang, mạn) |
công |
0,2 |
0,3 |
0,425 |
|
SN. 112 |
Nhân công 3/7 (đứng hoặc ngồi trên cao mạn ngoài, lái, mũi) |
công |
0,25 |
0,35 |
0,475 |
|
SN. 113 |
Nhân công 3/7 (đứng hoặc ngồi phải ngửa mặt, trần boong, đáy) |
công |
0,313 |
0,4 |
0,525 |
|
SN. 114 |
Nhân công 3/7 (ngồi chật chội, phải ngửa mặt hoặc ngồi trong hầm kín, hầm kín nước, đáy đôi) |
công |
0,4 |
0,5 |
0,5 |
|
SN.115 |
Nhân công 3/7 Bộ phận/kết cấu khác |
công |
0,25 |
0,35 |
0,475 |
|
|
1 |
2 |
3 |
||
Ghi chú:
- Đối với cấp bảo dưỡng: Gõ cấp I chiếm 70%, cấp II chiếm 30%, cấp III chiếm 0%;
- Đối với cấp tiểu tu: Gõ cấp I chiếm 40%, cấp II chiếm 50%, cấp III chiếm 10%;
- Đối với cấp trung tu: Gõ cấp I chiếm 30%, cấp II chiếm 50%, cấp III chiếm 20%;
- Đối với cấp đại tu: Gõ cấp I chiếm 0%, cấp II chiếm 70%, cấp III chiếm 30%.
SN.2000: CÔNG TÁC SƠN
Thành phần công việc:
Chuẩn bị, vệ sinh bề mặt, vận chuyển vật liệu trong phạm vi 30 m, pha sơn và sơn đúng yêu cầu kỹ thuật.
Đơn vị tính: 1 m2
|
Mã hiệu |
Công tác/hạng mục |
Thành phần hao phí |
Đơn vị |
Sơn sắt thép các loại |
|
|
1 nước lót, |
1 nước lót, |
||||
|
SN.20 |
Sơn thép các loại |
Vật liệu Sơn lót Sơn phủ Xăng Vật liệu khác Nhân công 5/7 Máy thi công Máy nén khí phun sơn 10 m3/h Máy khác |
kg kg lít % công
ca
|
0,112 0,108 0,144 1 0,085
0,012
|
0,112 0,194 0,216 1 0,113
0,018
|
|
|
11 |
12 |
|||
Ghi chú:
- Định mức trên tính cho tư thế: đứng ngồi thoải mái hệ số k = l (mặt boong, miệng khoang hàng, mạn).
- Tư thế: đứng hoặc ngồi trên cao, trên giá treo (mạn ngoài, hậu lái, mũi) ngồi dưới gầm tàu, ngồi trong hầm chất hệ số k = 1,1.
- Với tôn cũ: ứng với mỗi tư thế tiếp tục tăng thêm 10% kể cả vật tư và nhân công.
SN.3000: SƠN SẮT THÉP BẲNG SƠN TỔNG HỢP
Đơn vị tính: 1 m2
|
Mã hiệu |
Công tác/hạng mục |
Thành phần hao phí |
Đơn vị |
Sơn sắt thép các loại |
|
|
1 nước lót, |
1 nước lót, |
||||
|
SN.30 |
Sơn thép các loại |
Vật liệu Sơn Dung môi Vật liệu khác Nhân công 5/7 Máy thi công Máy nén khí phun sơn 10 m3/h Máy khác |
kg kg % công
ca
|
0,197 0,142 1,0 0,103
0,083
|
0,270 0,142 1,0 0,150
0,12
|
|
|
11 |
12 |
|||
SN.4000: SƠN SẮT THÉP BẰNG SƠN LEVIS
Đơn vị tính: 1 m2
|
Mã hiệu |
Công tác/hạng mục |
Thành phần hao phí |
Đơn |
Sơn sắt thép các loại |
|
|
1 nước lót, |
1 nước lót, |
||||
|
SN.40 |
Sơn thép các loại |
Vật liệu Sơn lót Sơn phủ Vật liệu khác Nhân công 5/7 Máy thi công Máy nén khí phun sơn 10 m3/h Máy khác |
kg kg % công
ca
|
0,162 0,151 1 0,085
0,068
|
0,150 0,240 1 0,113
0, 09
|
|
|
11 |
12 |
|||
SE.5000: SƠN SẮT THÉP BẰNG SƠN ICIDULUX
Đơn vị tính: 1 m2
|
Mã hiệu |
Công tác/hạng mục |
Thành phần hao phí |
Đơn vị |
Sơn sắt thép các loại |
|
|
1 nước lót, |
1 nước lót, |
||||
|
SN.50 |
Sơn thép các loại |
Vật liệu Sơn lót Sơn phủ Vật liệu khác Nhân công 3/7 Máy thi công Máy nén khí phun sơn 10 m3/h Máy khác |
kg kg % công
ca
|
0,150 0,138 1 0,085
0,068
|
0,150 0,240 1 0,113
0,09
|
|
|
11 |
12 |
|||
SN.6000: SƠN GỔ, SƠN KÍNH MỜ BẰNG SƠN TỔNG HỢP
Đơn vị tính: 1 m2
|
Mã hiệu |
Công tác/hạng mục |
Thành phần hao phí |
Đơn vị |
Sơn gỗ |
Sơn kính mờ 1 nước |
|
|
2 nước |
3 nước |
|||||
|
SN.60 |
Sơn gỗ. sơn kính mờ |
Vật liệu Sơn Vật liệu khác Nhân công 5/7 Máy thi công Máy nén khí phun sơn 10 m3/h Máy khác |
kg % công
ca
|
0,298 1 0,170
0,136
|
0,384 1 0,200
0,16
|
0,094 1 0,025
0,02
|
|
|
11 |
12 |
13 |
|||
Chương 13
ĐỊNH MỨC SỬA CHỮA PHƯƠNG TIỆN VỎ GỖ VÀ COMPOSITE
SO.1000: ĐỊNH MỨC TIÊU HAO SỬA CHỮA TÀU VỎ GỖ
Đơn vị tính: 1 m dài
|
Mã hiệu |
Công tác/hạng mục |
Thành phần hao phí |
Đơn vị |
Kích thước (cm) |
|
|
3 x 25 |
5 x 25 |
||||
|
SO.10 |
Thay thế 1m gỗ vỏ tàu |
Vật liệu |
|
|
|
|
Nhựa epoxy và đóng rắn |
kg |
0,2 |
0,3 |
||
|
Đinh thuyền hoặc bu lông thép |
chiếc |
6 |
6 |
||
|
Vỏ bào tre hoặc vật liệu tương tự |
kg |
1 |
1,5 |
||
|
Hỗn hợp xảm |
kg |
1 |
5 |
||
|
Vật liệu khác |
% |
5 |
5 |
||
|
Nhân công 5/7 |
công |
0,5 |
0,7 |
||
|
|
11 |
12 |
|||
Đơn vị tính: 1 m2
|
Mã hiệu |
Công tác/hạng mục |
Thành phần hao phí |
Đơn vị |
Mức |
||
|
I |
II |
III |
||||
|
SO.10 |
Thui đốt 1 m2 vỏ gỗ được thui đót |
Vật liệu |
|
|
|
|
|
Rơm, rạ hoặc chất đốt tương tự |
kg |
5 |
8 |
12 |
||
|
|
|
Nhân công 4,5/7 |
|
0,5 |
0,8 |
1,2 |
|
|
13 |
14 |
15 |
|||
SO.2000: ĐỊNH MỨC TIÊU HAO SỬA CHỮA TÀU VỎ COMPOSITE
Tính theo % trọng lượng sản phẩm
|
Mã hiệu |
Công tác xây lắp |
Thành phần hao phí |
Đơn vị |
Khối lượng |
|
SO.20 |
Tiêu hao sửa chưa tàu vỏ composite |
Vật liệu Cốt sợi vải thủy tinh Nhựa nền Chất đóng rắn Chất xúc tác - xúc tiến Dung môi tẩy rửa Nhân công 4,5/7 |
% % % %
|
34 63 2 1
01 giờ/ dm2 |
|
|
|
11 |
||
Trọng lượng sản phẩm tùy thuộc vào chủng loại, số lượng lớp cốt sợi, tỷ trọng nhựa nền. Bình quân: 1 dm2 thành phẩm composite sợi thủy tinh dày 5 mm nặng khoảng 0,075 kg, ứng với diện tích 1 m2, dày 5 mm có trọng lượng khoảng 7,5 kg.
Chương 14
ĐỊNH MỨC LƯỢNG DƯ GIA CÔNG
1. Đối với vật liệu tôn, sắt, thép:
Loại vật liệu Lượng dư gia công
- Thép tấm 4%
- Thép tròn 3%
- Thép góc 3%
2. Đối với vật liệu gỗ:
|
TT |
Vật liệu |
Lượng dư gia công |
|
|
Gỗ cây thẳng, xẻ dày 3 - 7 cm |
25% |
|
|
Gỗ xẻ thành khí hộp |
15% |
|
|
Gỗ thành khí hộp xẻ sang thành khí chi tiết |
10% |
|
|
La canh nhà ở, buồng máy, bản rộng |
8% |
|
|
La canh khoang hàng, bản rộng 20 cm |
3% |
|
|
Khung xương ca bin |
3% |
|
|
Dụng cụ sinh hoạt |
8% |
|
|
Gỗ dán |
3% |
|
|
Cót ép |
6% |
|
|
Phooc mi ca |
3% |
Chương 15
TRÁCH NHIỆM CỦA THUYỀN VIÊN
Đây là những phần việc bắt buộc thuyền viên thực hiện thường xuyên trong quá trình vận hành và khai thác phương tiện. Việc thực hiện tốt nội dung bảo dưỡng, bảo quản sử dụng phương tiện là cơ sở đảm bảo chất lượng phương tiện hoạt động theo chu kỳ của thước Định ngạch, góp phần quyết định giảm chi phí giá thành sửa chữa hàng năm và tăng cường bảo vệ môi trường trên đường thủy nội địa. Đơn vị chủ quản phải bố trí hệ thống giám sát, kiểm tra và có chính sách hỗ trợ thuyền viên để công việc bảo quản, bảo dưỡng phương tiện thực hiện có hiệu quả.
1. Bảo dưỡng thường xuyên
1.1. Phần vỏ phương tiện
a) Định kỳ mỗi tuần một lần - không kể đột xuất, phải dùng nước ngọt dội rửa, quét chải, lau chùi sạch sẽ mặt boong, thành vách ca bin, khu vực sinh hoạt. Không dùng nước mặn để dội rửa, vệ sinh.
b) Trong thời gian nằm chờ điều động công việc hoặc lúc rỗi việc, thuyền viên bố trí hàng ngày gõ rỉ, đánh chải các vùng tôn trên mớn nước, thành vách ngoài ca bin, kết cấu bên trong hầm; sơn dặm các vị trí han rỉ đã được vệ sinh sạch sẽ. Sử dụng sơn bảo vệ, dầu FO, dầu nhờn phế thải hoặc các vật liệu bảo vệ khác để thi công theo yêu cầu của đơn vị chủ quản.
c) Thường xuyên kiểm tra, bảo dưỡng dàn cẩu của thiết bị nâng hạ, đảm bảo hoạt động an toàn và ổn định.
1.2. Trang thiết bị phương tiện
a) Neo và xích neo: Sau khi sử dụng phải vệ sinh sạch sẽ, bảo dưỡng bằng dầu nhờn phế thải và sắp xếp vào đúng nơi quy định. Đánh chải và tra dầu vào xích neo, ma ní neo, óc neo. Đổ ngâm xích neo trong thùng xích bằng dầu nhờn phế thải hạn chế rỉ sét. Thường thuyên quan tâm đến tình trạng kỹ thuật để không bị sự cố đứt xích, mất neo.
b) Tời trục neo và khóa xích: Thường xuyên kiểm tra an toàn kỹ thuật toàn bộ tời và khóa xích neo; vệ sinh, tra dầu mỡ vào các ổ bạc, khớp quay; đảm bảo cá tời vận hành an toàn; các bộ ly hợp, bánh răng làm việc ăn khớp, trơn tru. Nghiêm cấm để các vật nặng va đập gây hư hòng tời và khóa xích.
c) Móc kéo, tăng đơ, cọc bích: Thường xuyên kiểm tra kỹ thuật, tra dầu mỡ, bảo đảm an toàn vận hành; không để mất hoặc hư hỏng thiết bị.
d) Cáp chằng buộc, dây ném, trang bị cứu sinh, cứu hỏa, bặt che, đệm chống va cố định và di động: Có đầy đủ số lượng cần thiết, đảm bảo chất lượng sử dụng an toàn. Sau khi sử dụng, phải kiểm tra, bảo dưỡng, bảo quản trang bị, vệ sinh sạch sẽ và cất giữ vào nơi quy định; không để hư hỏng, thất lạc.
đ) Hệ thống bu lông tai hồng, cổ hầm, nắp hầm, bản lề, joăng các loại nắp, cửa hầm: Thường xuyên kiểm tra, tra dầu mỡ đảm bảo hoạt động an toàn; không để hư hỏng, mất trang thiết bị.
e) Trước và trong mỗi chuyến hành trình, phải thường xuyên kiểm tra kỹ thuật, bảo dưỡng toàn bộ hệ thống lái, điều khiển máy; tra dầu, bơm mỡ, siết chặt bu lông đai ốc các vị trí cần thiết; phát hiện sớm và khẩn trương khắc phục các sự cố thiết bị, đảm bảo hệ thống hoạt động an toàn và ổn định.
e) Thường xuyên kiểm tra, bảo dưỡng hệ thống tời nâng, pu ly và cáp của thiết bị cẩu, đảm bảo hoạt động an toàn và ổn định.
1.3. Máy, điện
a) Thường xuyên thu dọn buồng máy động lực, thiết bị cẩu, máy phát điện… ngăn nắp, lau chùi sạch sẽ bên ngoài máy, sàn máy và trang thiết bị, dụng cụ đồ nghề; chấp hành nghiêm túc chế độ bảo dưỡng kỹ thuật máy, tra dầu, bơm mỡ, bổ sung hiên liệu, dầu nhờn, nước làm mát trong…đảm bảo máy và thiết bị hoạt động ổn định và an toàn.
b) Thực hiện nghiêm túc qui trình bảo dưỡng máy, thiết bị cẩu. Thường xuyên theo dõi tình trạng kỹ thuật máy, thiết bị nâng hạ, sửa chữa đột xuất kịp thời đảm bảo vận hành an toàn. Tận dụng dầu thải để bảo dưỡng trang thiết bị máy, boong của phương tiện.
c) Thường xuyên kiểm tra, bảo dưỡng, chăm sóc ắc qui, máy phát điện, đề điện và hệ thống điện trên phương tiện; kiểm tra an toàn hệ thống đề hơi (nếu có); đảm bảo tuyệt đối an toàn hệ thống điện máy phát xoay chiều 220 V; không để rò điện ra vỏ phương tiện; hệ thống dây điện được lắp đặt đảm bảo yêu cầu cách điện an toàn.
1.4. An toàn môi trường đường thủy nội địa
a) Giữ gìn phương tiện vệ sinh, gọn gàng, sạch sẽ. Hạn chế sử dụng nước sông trong sinh hoạt; tích cực sử dụng nước sạch trong quá trình vận hành để đảm bảo sức khỏe thuyền viên. Các phương tiện cần có thùng thu gom phế thải cho các loại rác sinh học và hóa học.
b) Chất thải, bao gồm dầu mỡ phế thải, giẻ lau máy, rỉ sắt, sơn, dầu cặn, nước la canh nhiễm dầu … sinh ra từ hoạt động của thiết bị, máy móc và trong quá trình bảo dưỡng, bảo quản phương tiện: Nhất thiết không được đổ xuống sông mà phải thu gom vào nơi quy định trên phương tiện. Với các loại dầu mỡ phế thải, sơn cặn… cần đem sử dụng lại trong quá trình bảo dưỡng phương tiện.
c) Chất thải sinh học phát sinh trong quá trình sinh hoạt của thuyền viên cần thu gom vào nơi quy định và tập kết cùng với chất thải hóa học lên các điểm quy định tại các bến đỗ; nghiêm cấm vứt rác xuống sông.
d) Nếu có tình trạng máy ăn dầu, cháy không hết nhiên liệu… cần khắc phục ngay để hạn chế tối đa khí thải độc hại phát ra môi trường.
1.5. Hồ sơ sổ sách
a) Có đủ các hồ sơ liên quan đến quá trình quản lý, sử dụng phương tiện, thiết bị máy móc. Hồ sơ, giấy tờ cần được bảo quản chu đáo, sạch sẽ; không để nhàu nát, rách bẩn hoặc thất lạc.
b) Ghi chép sổ trực ca bảo vệ phương tiện, trực ca vận hành đột xuất, nhật ký hành trình, nhật ký máy, boong đầy đủ và kịp thời. Thường xuyên nhận xét, đánh giá tình hình chất lượng phương tiện để đề xuất biện pháp giải quyết kịp thời.
2. Trách nhiệm tổ chức thực hiện
2.1. Thuyền viên trực tiếp quản lý phương tiện có trách nhiệm thực hiện đầy đủ các nội dung quy định bảo dưỡng, bảo quản sử dụng phương tiện.
2.2. Người đứng đầu đơn vị quản lý, sử dụng phương tiện có trách nhiệm giám sát, kiểm tra và đôn đốc hoạt động bảo dưỡng, bảo quản sử dụng phương tiện của thuyền viên; xây dựng cơ chế hỗ trợ, khuyến khích thuyền viên thực hiện nhiệm vụ; có chế tài xử lý nghiêm khắc các trường hợp không thực hiện đầy đủ nhiệm vụ, để phương tiện hao mòn, cũ nát, giảm chất lượng kỹ thuật.
2.3. Hàng năm đơn vị quản lý, sử dụng phương tiện có trách nhiệm xây dựng và báo cáo gửi về cơ quan chủ quản số lượng phương tiện, chất lượng phương tiện và kế hoạch định kỳ sửa chữa phương tiện.
Phụ lục được bổ sung bởi Phụ lục 2 ban hành kèm theo Thông tư 35/2002/TT-BGTVT theo quy định tại Khoản 2 Điều 4.
Bạn chưa Đăng nhập thành viên.
Đây là tiện ích dành cho tài khoản thành viên. Vui lòng Đăng nhập để xem chi tiết. Nếu chưa có tài khoản, vui lòng Đăng ký tại đây!
Bạn chưa Đăng nhập thành viên.
Đây là tiện ích dành cho tài khoản thành viên. Vui lòng Đăng nhập để xem chi tiết. Nếu chưa có tài khoản, vui lòng Đăng ký tại đây!