- Tổng quan
- Nội dung
- VB gốc
- Tiếng Anh
- Hiệu lực
- VB liên quan
- Lược đồ
-
Nội dung hợp nhất
Tính năng này chỉ có tại LuatVietnam.vn. Nội dung hợp nhất tổng hợp lại tất cả các quy định còn hiệu lực của văn bản gốc và các văn bản sửa đổi, bổ sung, đính chính... trên một trang. Việc hợp nhất văn bản gốc và những văn bản, Thông tư, Nghị định hướng dẫn khác không làm thay đổi thứ tự điều khoản, nội dung.
Khách hàng chỉ cần xem Nội dung hợp nhất là có thể nắm bắt toàn bộ quy định hiện hành đang áp dụng, cho dù văn bản gốc đã qua nhiều lần chỉnh sửa, bổ sung.
- Tải về
Thông tư 58/2012/TT-BGTVT định mức vật tư chu kỳ bảo trì kết cấu hạ tầng đường sắt
| Cơ quan ban hành: | Bộ Giao thông Vận tải |
Số công báo:
Số công báo là mã số ấn phẩm được đăng chính thức trên ấn phẩm thông tin của Nhà nước. Mã số này do Chính phủ thống nhất quản lý.
|
Đã biết
|
| Số hiệu: | 58/2012/TT-BGTVT | Ngày đăng công báo: |
Đã biết
|
| Loại văn bản: | Thông tư | Người ký: | Đinh La Thăng |
|
Ngày ban hành:
Ngày ban hành là ngày, tháng, năm văn bản được thông qua hoặc ký ban hành.
|
28/12/2012 |
Ngày hết hiệu lực:
Ngày hết hiệu lực là ngày, tháng, năm văn bản chính thức không còn hiệu lực (áp dụng).
|
Đã biết
|
|
Áp dụng:
Ngày áp dụng là ngày, tháng, năm văn bản chính thức có hiệu lực (áp dụng).
|
Đã biết
|
Tình trạng hiệu lực:
Cho biết trạng thái hiệu lực của văn bản đang tra cứu: Chưa áp dụng, Còn hiệu lực, Hết hiệu lực, Hết hiệu lực 1 phần; Đã sửa đổi, Đính chính hay Không còn phù hợp,...
|
Đã biết
|
| Lĩnh vực: | Giao thông |
TÓM TẮT THÔNG TƯ 58/2012/TT-BGTVT
Nội dung tóm tắt đang được cập nhật, Quý khách vui lòng quay lại sau!
Tải Thông tư 58/2012/TT-BGTVT
|
BỘ GIAO THÔNG VẬN TẢI Số: 58/2012/TT-BGTVT |
CỘNG HÒA XÃ HỘI CHỦ NGHĨA VIỆT NAM Hà Nội, ngày 28 tháng 12 năm 2012 |
Căn cứ Luật Đường sắt ngày 14 tháng 6 năm 2005;
Căn cứ Nghị định số 31/2005/NĐ-CP ngày 11 tháng 3 năm 2005 của Chính phủ về sản xuất và cung ứng sản phẩm, dịch vụ công ích;
Căn cứ Quyết định số 256/2006/QĐ-TTg ngày 09/11/2006 của Thủ tướng Chính phủ ban hành Quy chế đấu thầu, đặt hàng, giao kế hoạch thực hiện sản xuất và cung ứng sản phẩm, dịch vụ công ích;
Căn cứ Nghị định số 51/2008/NĐ-CP ngày 22 tháng 4 năm 2008 của Chính phủ Quy định chức năng, nhiệm vụ, quyền hạn và cơ cẩu tổ chức của Bộ Giao thông vận tải;
Theo đề nghị của Vụ trưởng Vụ Kết cấu hạ tầng giao thông;
Bộ trưởng Bộ Giao thông vận tải ban hành Thông tư ban hành định mức vật tư cho một chu kỳ bảo trì kết cấu hạ tầng đường sắt quốc gia,
Điều 1. Ban hành kèm theo Thông tư này định mức vật tư cho một chu kỳ bảo trì kết cấu hạ tầng đường sắt quốc gia, bao gồm hai tập:
Tập 1: Định mức vật tư cho một chu kỳ bảo trì kết cấu hạ tầng đường sắt quốc gia - Hạng mục: Đường, cầu, hầm và các công trình kiến trúc;
Tập 2: Định mức vật tư cho một chu kỳ bảo trì kết cấu hạ tầng đường sắt quốc gia - Hạng mục: Thông tin, tín hiệu.
Điều 2. Thông tư này áp dụng đối với các cơ quan, đơn vị, tổ chức và cá nhân liên quan đến việc cung ứng dịch vụ, sản phẩm công ích trong lĩnh vực bảo trì kết cấu hạ tầng đường sắt quốc gia.
Điều 3. Thông tư này có hiệu lực thi hành kể từ ngày 01 tháng 3 năm 2013; bãi bỏ các văn bản sau:
1. Quy định tạm thời số 1006/ĐS-KH ngày 26 tháng 11 năm 1992 của Tổng giám đốc Liên hiệp đường sắt Việt Nam về định mức vật tư để bảo dưỡng thường xuyên đường sắt chu kỳ 01 năm cho 01 km đường sắt;
2. Định mức tạm thời tiêu hao vật tư bảo dưỡng, sửa chữa thông tin, tín hiệu ban hành kèm theo Quyết định số 11-QĐ/CSHT ngày 07 tháng 01 năm 1999 của Tổng giám đốc Liên hiệp đường sắt Việt Nam.
Điều 4. Chánh Văn phòng Bộ, Chánh Thanh tra Bộ, Vụ trưởng các Vụ, Vụ trưởng - Trưởng ban thuộc Bộ Giao thông vận tải, Cục trưởng Cục Đường sắt Việt Nam, Tổng Giám đốc Tổng công ty Đường sắt Việt Nam; Thủ trưởng các cơ quan, tổ chức và cá nhân có liên quan chịu trách nhiệm thi hành Thông tư này./.
|
Nơi nhận: |
BỘ TRƯỞNG |
TẬP 1
ĐỊNH MỨC VẬT TƯ CHO MỘT CHU KỲ BẢO TRÌ KẾT CẤU HẠ TẦNG ĐƯỜNG SẮT QUỐC GIA HẠNG MỤC: ĐƯỜNG, CẦU, CỐNG, HẦM VÀ CÁC CÔNG TRÌNH KIẾN TRÚC
(Ban hành kèm theo Thông tư số 58/2012/TT-BGTVT ngày 28 tháng 12 năm 2012 của Bộ trưởng Bộ Giao thông vận tải)
Chương 1.
THUYẾT MINH VÀ HƯỚNG DẪN ÁP DỤNG
Định mức vật tư cho một chu kỳ bảo trì kết cấu hạ tầng đường sắt quốc gia - hạng mục đường, cầu, hầm, cống và các công trình kiến trúc (sau đây gọi là Định mức vật tư) là định mức kinh tế kỹ thuật thể hiện mức hao phí vật tư để hoàn thành một đơn vị khối lượng công tác duy tu tổng hợp cho một chu kỳ bảo trì kết cấu hạ tầng đường sắt (một năm) nhằm đảm bảo duy trì trạng thái kỹ thuật của công trình theo quy phạm khai thác kỹ thuật hiện hành.
1. Căn cứ xây dựng định mức
- Luật Đường sắt năm 2005;
- Nghị định số 114/2010/NĐ-CP ngày 06 tháng 12 năm 2010 của Chính phủ về bảo trì công trình xây dựng;
- Nghị định số 31/2005/NĐ-CP ngày 11 tháng 3 năm 2005 của Chính phủ về sản xuất và cung ứng sản phẩm, dịch vụ công ích;
- Quyết định số 256/2006/QĐ-TTg ngày 09 tháng 11 năm 2006 của Thủ tướng Chính phủ ban hành Quy chế đấu thầu, đặt hàng, giao kế hoạch thực hiện sản xuất và cung ứng sản phẩm, dịch vụ công ích.
2. Điều kiện tiêu chuẩn để xác định định mức
2.1. Định mức vật tư được xác định theo điều kiện tiêu chuẩn:
- Đường thẳng và độ dốc i < 10 ‰, tốc độ cho phép 60 km/h;
- Số đôi tầu vận dụng: 10 đôi/ngày đêm;
- Tổng trọng đoàn tầu bình quân: 600 tấn;
- Ray có chiều dài 12,5m và 25m, trọng lượng ≥ 43 kg.
2.2. Định mức vật tư trong điều kiện tiêu chuẩn thực hiện theo Phụ lục A.
2.3. Với những đoạn đường khác vói điều kiện tiêu chuẩn:
- Vật tư cho đoạn đường cong có bán kính R:
+ Xác định số ray trong đường cong thực hiện theo Phụ lục B.
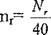
+ Số lượng tà vẹt và phụ kiện nối giữ: Định mức trong điều kiện tiêu chuẩn nhân hệ số K1, với K1 =
trong đó n1 là số tà vẹt trên 01km đường cong; n2 là số tà vẹt trên 01km đường thẳng.
+ Các vật tư khác theo như định mức trong điều kiện tiêu chuẩn.
- Tuyến có đôi tầu, tốc độ, trọng lượng không tiêu chuẩn: Lấy định mức trong điều kiện tiêu chuẩn nhân hệ số K2, với K2 xác định như sau:

trong đó:
Vx - Tốc độ trung bình của tuyến đường sắt;
Xi - Số đôi tàu vận dụng bình quân ngày đêm tuyến đường;
- Vật tư cho đường có độ dốc i (‰):
+ Đường thẳng: Định mức điều kiện tiêu chuẩn nhân hệ số K3.
+ Đường cong: Định mức điều kiện đường cong nhân hệ số K3.
+ Hệ số điều chỉnh K3 áp dụng như sau:
Khi i < 10 ‰ hệ số K3 = 1
Khi 10 ‰ ≤ i < 12 ‰ hệ số K3 = 1,05
Khi 12 ‰ < i ≤ 15 ‰ hệ số K3 = 1,1
Khi i > 15 ‰ hệ số K3 = 1,15.
+ Những tuyến đường chở hóa chất có thể gây ăn mòn kim loại (như phân lân, apatít, perít và các vật liệu khác tương đương) được nhân thêm hệ số ăn mòn K4 = 1,10 cho những vật tư có nguồn gốc kim loại (ray, phụ kiện).
+ Với đường lồng, do nước thải vệ sinh đúng vị trí đặt phụ kiện nối giữ gây hư hỏng nhanh nên các chi tiết phụ kiện như đinh đường, bu lông, cóc giữ ray, vòng đệm, đệm sắt nhân thêm hệ số điều chỉnh K5 = 1,05.
- Định mức tiêu hao vật tư đường ga, đường nhánh xác định theo định mức tiêu chuẩn và hệ số điều chỉnh K2.
- Định mức tiêu hao vật tư cho các bộ ghi đường sắt: Lấy định mức vật tư của bộ ghi đơn 1/10 - 43 - 24.414m (lấy theo bảng 17) nhân hệ số điều chỉnh Kg xác định
như sau: Kg = 
trong đó:
Lg: Chiều dài bộ ghi đơn tà vẹt gỗ cần tính định mức (m);
24,414: Chiều dài bộ ghi đơn 1/10 - 43 - 24,414 (m).
3. Định mức vật tư cho đường sắt khổ 1000mm khu vực đèo Hải Vân, đèo Khe Nét
Khu vực đèo Hải Vân (từ Km750 đến Km776) và đèo Khe Nét (từ Km 416 đến Km426) có đặc thù riêng như độ dốc lớn, nhiều đường cong bán kính nhỏ, trái chiều, địa hình phức tạp... do đó tiêu chuẩn chất lượng bảo dưỡng thường xuyên của hai khu vực này được tăng lên một cấp và được tính như sau: Định mức vật tư theo quy định ở cấp tốc độ v = 60 km/h nhân thêm với hệ số Kđt =1,1.
4. Tuổi thọ vật tư chủ yếu
|
TT |
Tên vật tư |
Thời gian sử dụng (năm) |
Ghi chú |
|
1 |
Ray ≥ 43kg/m |
50 |
L = 12,5; 25m |
|
2 |
Lưỡi ghi |
20 |
|
|
3 |
Tâm ghi |
10 |
|
|
4 |
Tà vẹt bê tông thường |
20 |
|
|
5 |
Tà vẹt BT DƯL“TN1” |
40 |
|
|
6 |
Tà vẹt BT DƯL“TN1-P” |
20 |
Phụ kiện Pandrol |
|
7 |
Tà vẹt gỗ phòng mục |
10 |
|
|
8 |
Tà vẹt gỗ cầu |
08 |
|
|
9 |
Tà vẹt sắt cũ |
20 |
|
|
10 |
Đệm sắt |
20 |
|
|
11 |
Sắt mối (lập lách) |
20 |
|
|
12 |
Bu lông mối |
15 |
|
|
13 |
Đinh vuông và đinh xoắn |
10 |
|
|
14 |
Đá ba lát |
15 |
|
|
15 |
Phụ kiện liên kết cứng: |
|
|
|
|
- Cóc cứng |
15 |
|
|
|
- Căn sau gót cóc |
10 |
|
|
|
- Bu lông cóc |
10 |
|
|
|
- Vòng đệm lò xo |
10 |
|
|
16 |
Phụ kiện liên kết đàn hồi w (tương đương phụ kiện loại I) |
||
|
|
- Căn U |
10 |
|
|
|
- Căn sắt |
10 |
|
|
|
- Cóc đàn hồi w |
10 |
|
|
|
- Vòng đệm phẳng |
10 |
|
|
|
- Đệm cao su |
10 |
|
|
|
- Căn nhựa |
10 |
|
|
|
- Đinh xoắn |
10 |
|
|
17 |
Phụ kiện liên kết đàn hồi Vossloh: |
|
|
|
|
- Căn nhựa dẫn hướng |
30 |
|
|
|
- Đệm dưới đế ray |
30 |
|
|
|
- Đinh tia rơ phông |
30 |
|
|
|
- Cóc đàn hồi |
30 |
|
|
18 |
Phụ kiện liên kết đàn hồi Pandrol: |
|
|
|
|
- Vai chèn |
20 |
|
|
|
- Căn nhựa Pandrol |
10 |
|
|
|
- Đệm dưới đế ray |
15 |
|
|
|
- Cóc đàn hồi |
20 |
|
Chương 2.
ĐỊNH MỨC VẬT TƯ CHO MỘT KILÔMÉT ĐƯỜNG SẮT DÙNG RAY THÔNG THƯỜNG - CHU KỲ MỘT NĂM
Điều 1. Nội dung công tác bảo trì
Nội dung duy tu tổng hợp được tiến hành hàng năm trên mỗi km đường chính, đường ga, đường nhánh, bộ ghi phải thực hiện ít nhất một lần cho một số công việc sau:
1. Điều chỉnh phương hướng đường thẳng và đường cong;
2. Điều chỉnh độ cao đường (thủy bình, siêu cao, cao thấp trước sau);
3. Sửa cự ly lòng đường;
4. Điều chỉnh khe hở đầu mối ray;
5. Thay ray bị hỏng lẻ tẻ, thay ray dự trữ vào đường;
6. Thay tà vẹt bị hỏng lẻ tẻ, điều chỉnh vị trí tà vẹt;
7. Chèn đá dưới tà vẹt;
8. Thay, sửa chữa các phối kiện hư hỏng, chêm lót lỗ đinh, đóng chặt hoặc siết chặt đinh đường, đinh xoắn, đóng chặt nêm phòng xô, sửa chữa thanh chống xô, siết chặt thanh giằng cự ly, tra dầu và siết chặt bu lông cóc, bu lông mối;
9. Bảo dưỡng ghi (thay bộ phận hư hỏng, điều chỉnh cao độ, phương hướng, cự ly siết chặt đinh liên kết), tra dầu phối kiện;
10. Bảo dưỡng đường ngang, mặt đường bộ đường ngang, sơn biển báo, cần chắn, sửa cự ly, san sửa mặt đường;
11. Sửa chữa tà vẹt gỗ (nêm trám lỗ đinh cũ, khoan lại lỗ đinh mới, đục bỏ các chỗ mối mục, chắp vá tà vẹt) sửa chữa tà vẹt bê tông;
12. Bảo dưỡng nền đá ba lát, dọn cỏ, rác, đất, sàng đá mối bẩn, san đá đều;
13. Sửa chữa, sơn và viết lại các mốc biển trên đường, ký hiệu trên ray, thay thế biển, mốc hỏng, bổ sung biển báo hiệu, mốc thiếu hoặc mất mát;
14. Vét, dọn và sửa chữa hệ thống thoát nước (rãnh biên, rãnh đỉnh, rãnh ngang, máng thoát nước, cống ngầm...) sửa chữa và làm mới rãnh xương cá, sửa vai đường cho thoát nước, cạp vá nền đường;
15. Phát cây, dọn cỏ ở mái dốc và hai bên đường; trong phạm vi khổ giới hạn tiếp giáp kiến trúc và tầm nhìn các tín hiệu, dọn cỏ vai đường;
16. Vận chuyển thu dọn vật liệu, làm vệ sinh ray, tà vẹt, nền đá;
17. Các công việc khác.
Điều 2. Vật tư cho đường khổ 1.000mm (Mã hiệu: 01.0.00)
1. Tà vẹt gỗ (Mã hiệu: 01.1.00)
a) Vật tư chủ yếu sử dụng: Ray, tà vẹt, đá ba lát, đệm sắt, đinh đường, sắt mối, bu lông mối.
| Mã hiệu | Tên vật tư | Đơn vị | Số lượng | Ghi chú | |
| Ray 12,5m | Ray 25m | ||||
| 01.1.01 | Ray | thanh | 3.2 | 1.6 |
|
| 01.1.02 | Tà vẹt gỗ phòng mục | thanh | 144 | 144 | 1440 thanh/km |
| 01.1.03 | Sắt mối | đôi | 8 | 4 |
|
| 01.1.04 | Bu lông mối | cái | 64 | 32 |
|
| 01.1.05 | Đinh đường | cái | 1440 | 1440 |
|
| 01.1.06 | Đệm sắt | cái | 144 | 144 |
|
| 01.1.07 | Thanh giằng | cái | 6 | 6 |
|
| 01.1.08 | Dây thép đôi | kg | 10 | 10 |
|
| 01.1.09 | Dầu nhờn | kg | 3 | 1,5 |
|
| 01.1.10 | Sơn | kg | 3 | 1,5 |
|
| 01.1.11 | Đá 2,5 x 5 | m³ | 70 | 70 |
|
| 01.1.12 | Xi măng PC30 | kg | 100 | 100 |
|
| 01.1.13 | Tôn kẻ biển | kg | 20 | 20 |
|
| 01.1.14 | Đá hộc | m³ | 5 | 5 |
|
| 01.1.15 | Ngàm phòng xô | cái | 5 | 5 | Nơi có phòng xô |
| 01.1.16 | Cát vàng | m³ | 0,5 | 0,5 |
|
|
| a | b |
| ||
2. Tà vẹt sắt - cóc cứng (Mã hiệu: 01.2.00)
a) Vật tư chủ yếu sử dụng: Ray, tà vẹt sắt, đá ba lát, bu lông cóc, cóc cứng, vòng đệm đàn hồi, sắt mối, bu lông mối.
| Mã hiệu | Tên vật tư | Đơn vị | Số lượng | Ghi chú | |
| Ray 12,5m | Ray 25m | ||||
| 01.2.01 | Ray | thanh | 3.2 | 1.6 |
|
| 01.2.02 | Tà vẹt sắt | thanh | 72 | 72 | 1440 thanh/km |
| 01.2.03 | Sắt mối | đôi | 8 | 4 |
|
| 01.2.04 | Bu lông mối | cái | 64 | 32 |
|
| 01.2.05 | Dầu nhờn | kg | 8 | 7 |
|
| 01.2.06 | Sơn | kg | 6 | 5 |
|
| 01.2.07 | Đá 2,5x5 | m³ | 60 | 60 |
|
| 01.2.08 | Bu lông cóc | cái | 576 | 576 |
|
| 01.2.09 | Vòng đệm vênh | cái | 576 | 576 |
|
| 01.2.10 | Cóc các loại | cái | 384 | 384 |
|
| 01.2.11 | Xi măng PC30 | kg | 100 | 100 |
|
| 01.2.12 | Tôn kẻ biển | kg | 20 | 20 |
|
| 01.2.13 | Đá hộc | m³ | 5 | 5 |
|
| 01.2.14 | Căn gót cóc | cái | 576 | 576 |
|
| 01.2.15 | Cát vàng | m³ | 0,5 | 0,5 |
|
|
| a | b |
| ||
3. Tà vẹt sắt - cóc đàn hồi (Mã hiệu: 01.3.00)
a) Vật tư chủ yếu sừ dụng: Ray, tà vẹt sắt, đá ba lát, bu lông cóc, cóc đàn hồi w, căn sắt, căn nhựa, vòng đệm phẳng, đệm cao su, sắt mối, bu lông mối.
| Mã hiệu | Tên vật tư | Đơn vị | Số lượng | Ghi chú | |
| Ray 12,5m | Ray 25m | ||||
| 01.3.01 | Ray | thanh | 3.2 | 1.6 |
|
| 01.3.02 | Tà vẹt sắt | thanh | 72 | 72 | 1440 thanh/km |
| 01.3.03 | Sắt mối | đôi | 8 | 4 |
|
| 01.3.04 | Bu lông mối | cái | 64 | 32 |
|
| 01.3.05 | Dầu nhờn | kg | 8 | 7 |
|
| 01.3.06 | Sơn | kg | 6 | 5 |
|
| 01.3.07 | Đá 2,5x5 | m³ | 60 | 60 |
|
| 01.3.08 | Bu lông cóc | cái | 576 | 576 |
|
| 01.3.09 | Cóc đàn hồi w | cái | 576 | 576 |
|
| 01.3.10 | Đệm cao su | cái | 576 | 576 |
|
| 01.3.11 | Căn sắt | cái | 576 | 576 |
|
| 01.3.12 | Căn nhựa | cái | 576 | 576 |
|
| 01.3.13 | Vòng đệm phẳng | cái | 576 | 576 |
|
| 01.3.14 | Xi măng PC30 | kg | 100 | 100 |
|
| 01.3.15 | Tôn kẻ biển | kg | 20 | 20 |
|
| 01.3.16 | Đá hộc | m³ | 5 | 5 |
|
| 01.3.17 | Cát vàng | m³ | 0,5 | 0,5 |
|
|
| a | b |
| ||
4. Tà vẹt bê tông thường - cóc cứng (Mã hiệu: 01.4.00)
a) Vật tư chủ yếu sử dụng: Ray, tà vẹt bê tông thường 2 khối, đá ba lát, bu lông cóc, cóc cứng, vòng đệm lò xo, căn chân cóc, đệm cao su, căn U, sắt mối, bu lông mối.
| Mã hiệu | Tên vật tư | Đơn vị | Số lượng | Ghi chú | |
| Ray 12,5m | Ray 25m | ||||
| 01.4.01 | Ray | thanh | 3.2 | 1.6 |
|
| 01.4.02 | Tà vẹt | thanh | 72 | 72 | 1440 thanh/km |
| 01.4.03 | Sắt mối | đôi | 8 | 4 |
|
| 01.4.04 | Bu lông mối | cái | 64 | 32 |
|
| 01.4.05 | Dầu nhờn | kg | 8 | 7 |
|
| 01.4.06 | Sơn | kg | 6 | 5 |
|
| 01.4.07 | Đá 2,5x5 | m³ | 70 | 70 |
|
| 01.4.08 | Bu lông cóc | cái | 576 | 576 |
|
| 01.4.09 | Cóc cứng K1 | cái | 384 | 384 |
|
| 01.4.10 | Vòng đệm lò xo | cái | 576 | 576 |
|
| 01.4.11 | Căn chân cóc | cái | 576 | 576 |
|
| 01.4.12 | Đệm cao su | cái | 576 | 576 |
|
| 01.4.13 | Căn U | cái | 576 | 576 |
|
| 01.4.14 | Xi măng PC30 | kg | 100 | 100 |
|
| 01.4.15 | Tôn kẻ biển | kg | 20 | 20 |
|
| 01.4.16 | Đá hộc | m³ | 5 | 5 |
|
| 01.4.17 | Cát vàng | m³ | 0,5 | 0,5 |
|
|
| a | b |
| ||
5. Tà vẹt bê tông thường - cóc đàn hồi w (Mã hiệu: 01.5.00)
a) Vật tư chủ yếu sử dụng: Ray, tà vẹt bê tông thường 2 khối, đá ba lát, bu lông cóc, cóc đàn hồi w, vòng đệm phẳng, đệm cao su, căn nhựa, căn U, căn sắt, sắt mối, bu lông mối.
| Mã hiệu | Tên vật tư | Đơn vị | Số lượng | Ghi chú | |
| Ray 12,5m | Ray 25m | ||||
| 01.5.01 | Ray | thanh | 3.2 | 1.6 |
|
| 01.5.02 | Tà vẹt | thanh | 72 | 72 | 1440 thanh/km |
| 01.5.03 | Sắt mối | đôi | 8 | 4 |
|
| 01.5.04 | Bu lông mối | cái | 64 | 32 |
|
| 01.5.05 | Dầu nhờn | kg | 8 | 7 |
|
| 01.5.06 | Sơn | kg | 6 | 5 |
|
| 01.5.07 | Đá 2,5x5 | m³ | 70 | 70 |
|
| 01.5.08 | Bu lông cóc | cái | 576 | 576 |
|
| 01.5.09 | Cóc đàn hồi w | cái | 576 | 576 |
|
| 01.5.10 | Vòng đệm phẳng | cái | 576 | 576 |
|
| 01.5.11 | Đệm cao su | cái | 576 | 576 |
|
| 01.5.12 | Căn nhựa | cái | 576 | 576 |
|
| 01.5.13 | Căn U | cái | 576 | 576 |
|
| 01.5.14 | Căn sắt | cái | 576 | 576 |
|
| 01.5.15 | Xi măng PC30 | kg | 100 | 100 |
|
| 01.5.16 | Tôn kẻ biển | kg | 20 | 20 |
|
| 01.5.17 | Đá hộc | m³ | 5 | 5 |
|
| 01.5.18 | Cát vàng | m³ | 0,5 | 0,5 |
|
|
| a | b |
| ||
6. Tà vẹt bê tông dự ứng lực (DƯL) “TN1” - cóc đàn hồi w (Mã hiệu: 01.6.00)
a) Vật tư chủ yếu sử dụng: Ray, tà vẹt bê tông DƯL “TN1”, đá ba lát, bu lông (đinh xoắn) cóc, cóc đàn hồi w, vòng đệm phẳng, đệm cao su, căn nhựa, lõi nhựa xoắn, căn sắt, sắt mối, bu lông mối.
| Mã hiệu | Tên vật tư | Đơn vị | Số lượng | Ghi chú | |
| Ray 12,5m | Ray 25m | ||||
| 01.6.01 | Ray | thanh | 3.2 | 1.6 |
|
| 01.6.02 | Tà vẹt | thanh | 38 | 38 | 1520 thanh/km |
| 01.6.03 | Sắt mối | đôi | 8 | 4 |
|
| 01.6.04 | Bu lông mối | cái | 64 | 32 |
|
| 01.6.05 | Dầu nhờn | kg | 8 | 7 |
|
| 01.6.06 | Sơn | kg | 6 | 5 |
|
| 01.6.07 | Đá 2,5x5 | m³ | 80 | 80 |
|
| 01.6.08 | Bu lông cóc | cái | 608 | 608 |
|
| 01.6.09 | Cóc đàn hồi w | cái | 608 | 608 |
|
| 01.6.10 | Vòng đệm phẳng | cái | 608 | 608 |
|
| 01.6.11 | Đệm cao su | cái | 608 | 608 |
|
| 01.6.12 | Căn nhựa | cái | 608 | 608 |
|
| 01.6.13 | Căn sắt | cái | 608 | 608 |
|
| 01.6.14 | Xi măng PC30 | kg | 100 | 100 |
|
| 01.6.15 | Tôn kẻ biển | kg | 20 | 20 |
|
| 01.6.16 | Đá hộc | m³ | 5 | 5 |
|
| 01.6.17 | Cát vàng | m³ | 0,5 | 0,5 |
|
|
|
|
| a | b |
|
Điều 3. Vật tư cho đường khổ 1.435mm (Mã hiệu: 02.0.00)
1. Tà vẹt gỗ (Mã hiệu: 02.1.00)
a) Vật tư chủ yếu sử dụng: Ray, tà vẹt gỗ, đá ba lát, đinh đường, đệm sắt, sắt mối, bu lông mối.
| Mã hiệu | Tên vật tư | Đơn vị | Số lượng | Ghi chú | |
| Ray 12,5 m | Ray 25 m | ||||
| 02.1.01 | Ray | thanh | 3.2 | 1.6 |
|
| 02.1.02 | Tà vẹt gỗ phòng mục | thanh | 160 | 160 | 1600 thanh/km |
| 02.1.03 | Sắt mối | đôi | 8 | 4 |
|
| 02.1.04 | Bu lông mối | cái | 64 | 32 |
|
| 02.1.05 | Đinh đường | cái | 1600 | 1600 |
|
| 02.1.06 | Đệm sắt | cái | 160 | 160 |
|
| 02.1.07 | Thanh giằng | cái | 6 | 6 |
|
| 02.1.08 | Dây thép đôi | kg | 10 | 10 |
|
| 02.1.09 | Dầu nhờn | kg | 3 | 1,5 |
|
| 02.1.10 | Sơn | kg | 3 | 1,5 |
|
| 02.1.11 | Đá 2,5x5 | m³ | 85 | 85 |
|
| 02.1.12 | Xi măng PC30 | kg | 100 | 100 |
|
| 02.1.13 | Tôn kẻ biển | kg | 20 | 20 |
|
| 02.1.14 | Đá hộc | m³ | 5 | 5 |
|
| 02.1.15 | Ngàm phòng xô | cái | 5 | 5 | Nơi có phòng xô |
| 02.1.16 | Cát vàng | m³ | 0,5 | 0,5 |
|
|
| a | b |
| ||
2. Tà vẹt bê tông dự ứng lực (cũ) - cóc cứng (Mã hiệu: 02.2.00)
a) Vật tư chủ yếu sử dụng: Ray, tà vẹt bê tông dự ứng lực (tuổi thọ còn lại khoảng 10 năm), đá ba lát, bu lông cóc, cóc cứng, vòng đệm phẳng, đệm cao su, vòng đệm lò xo 2 vòng, căn nhựa, vữa lưu huỳnh, căn sắt, sắt mối, bu lông mối.
| Mã hiệu | Tên vật tư | Đơn vị | Số lượng | Ghi chú | |
| Ray 12,5m | Ray 25m | ||||
| 02.2.01 | Ray | thanh | 3.2 | 1.6 |
|
| 02.2.02 | Tà vẹt cũ | thanh | 160 | 160 | 1600 thanh/km |
| 02.2.03 | Sắt mối | đôi | 8 | 4 |
|
| 02.2.04 | Bu lông mối | cái | 64 | 32 |
|
| 02.2.05 | Dầu nhờn | kg | 8 | 7 |
|
| 02.2.06 | Sơn | kg | 6 | 5 |
|
| 02.2.07 | Đá 2,5x5 | m³ | 95 | 95 |
|
| 02.2.08 | Bu lông cóc | cái | 640 | 640 |
|
| 02.2.09 | Cóc cứng | cái | 640 | 640 |
|
| 02.2.10 | Vòng đệm phẳng | cái | 640 | 640 |
|
| 02.2.11 | Đệm cao su | cái | 640 | 640 |
|
| 02.2.12 | Vòng đệm lò xo 2 vòng | cái | 640 | 640 |
|
| 02.2.13 | Căn sắt đầu cóc cứng | cái | 640 | 640 |
|
| 02.2.14 | Căn nhựa dưới căn sắt | cái | 640 | 640 |
|
| 02.2.15 | Vữa lưu huỳnh | kg | 32 | 32 |
|
| 02.2.16 | Xi măng PC30 | kg | 100 | 100 |
|
| 02.2.17 | Tôn kẻ biển | kg | 20 | 20 |
|
| 02.2.18 | Đá hộc | m³ | 5 | 5 |
|
| 02.2.19 | Cát vàng | m³ | 2 | 2 |
|
| 02.2.20 | Paraphin | kg | 10 | 10 |
|
| 02.2.21 | Dầu hỏa | kg | 5 | 5 |
|
| 02.2.22 | Củi | kg | 20 | 20 |
|
|
| a | b |
| ||
3. Tà vẹt bê tông dự ứng lực - cóc đàn hồi w (Mã hiệu: 02.3.00)
a) Vật tư chủ yếu: Ray, tà vẹt bê tông dự ứng lực, đá ba lát, bu lông cóc, cóc đàn hồi w, vòng đệm phẳng, đệm cao su, căn nhựa, lõi nhựa xoắn, căn sắt, sắt mối, bu lông mối.
| Mã hiệu | Tên vật tư | Đơn vị | Số lượng | Ghi chú | |
| Ray 12,5m | Ray 25m | ||||
| 02.3.01 | Ray | thanh | 3.2 | 1.6 |
|
| 02.3.02 | Tà vẹt | thanh | 40 | 40 | 1600 thanh/km |
| 02.3.03 | Sắt mối | đôi | 8 | 4 |
|
| 02.3.04 | Bu lông mối | cái | 64 | 32 |
|
| 02.3.05 | Dầu nhờn | kg | 8 | 7 |
|
| 02.3.06 | Sơn | kg | 6 | 5 |
|
| 02.3.07 | Đá 2,5x5 | m³ | 95 | 95 |
|
| 02.3.08 | Bu lông cóc | cái | 640 | 640 |
|
| 02.3.09 | Cóc đàn hồi w | cái | 640 | 640 |
|
| 02.3.10 | Vòng đệm phẳng | cái | 640 | 640 |
|
| 02.3.11 | Đệm cao su | cái | 640 | 640 |
|
| 02.3.12 | Căn nhựa | cái | 640 | 640 |
|
| 02.3.13 | Căn sắt | cái | 640 | 640 |
|
| 02.3.14 | Xi măng PC30 | kg | 100 | 100 |
|
| 02.3.15 | Tôn kẻ biển | kg | 20 | 20 |
|
| 02.3.16 | Đá hộc | m³ | 10 | 10 |
|
| 02.3.17 | Cát vàng | m³ | 0,5 | 0,5 |
|
|
| a | b |
| ||
Điều 4. Vật tư cho đường sắt lồng khổ 1.000mm và 1.435mm (Mã hiệu: 03.0.00)
1. Tà vẹt gỗ (Mã hiệu: 03.1.00)
a) Vật tư chủ yếu: Ray, tà vẹt gỗ, đá ba lát, đinh đường, đệm sắt, sắt mối, bu lông mối.
| Mã hiệu | Tên vật tư | Đơn vị | Số lượng | Ghi chú | |
| Ray 12,5m | Ray 25m | ||||
| 03.1.01 | Ray | thanh | 4.8 | 2.4 |
|
| 03.1.02 | Tà vẹt gỗ | thanh | 160 | 160 | 1600 thanh/km |
| 03.1.03 | Sắt mối | đôi | 12 | 6 |
|
| 03.1.04 | Bu lông mối | cái | 96 | 48 |
|
| 03.1.05 | Đinh đường | cái | 2400 | 2400 |
|
| 03.1.06 | Đệm sắt | cái | 240 | 240 |
|
| 03.1.07 | Thanh giằng | cái | 6 | 6 |
|
| 03.1.08 | Dây thép đôi | kg | 10 | 10 |
|
| 03.1.09 | Dầu nhờn | kg | 4,5 | 2,3 |
|
| 03.1.10 | Sơn | kg | 4,5 | 2,3 |
|
| 03.1.11 | Đá 2,5x5 | m³ | 85 | 85 |
|
| 03.1.12 | Xi măng PC30 | kg | 100 | 100 |
|
| 03.1.13 | Tôn kẻ biển | kg | 20 | 20 |
|
| 03.1.14 | Đá hộc | m³ | 10 | 10 |
|
| 03.1.15 | Ngàm phòng xô | cái | 5 | 5 | Nơi đặt phòng xô |
| 03.1.16 | Cát vàng | m³ | 0,5 | 0,5 |
|
|
| a | b |
| ||
2. Tà vẹt bê tông - cóc cứng K3 (Mã hiệu: 03.2.00)
a) Vật tư chủ yếu: Ray, tà vẹt bê tông thường, đá ba lát, bu lông cóc, cóc cứng, vòng đệm lò xo 2 vòng, đệm cao su, đệm sắt, căn U, sắt mối, bu lông mối.
| Mã hiệu | Tên vật tư | Đơn vị | Số lượng | Ghi chú | |
| Ray 12,5m | Ray 25m | ||||
| 03.2.01 | Ray | thanh | 4.8 | 2.4 |
|
| 03.2.02 | Tà vẹt | thanh | 80 | 80 | 1600 thanh/km |
| 03.2.03 | Sắt mối | đôi | 12 | 6 |
|
| 03.2.04 | Bu lông mối | cái | 96 | 48 |
|
| 03.2.05 | Dầu nhờn | kg | 12 | 10,5 |
|
| 03.2.06 | Sơn | kg | 9 | 7 |
|
| 03.2.07 | Đá 2,5x5 | m³ | 95 | 95 |
|
| 03.2.08 | Bu lông cóc | cái | 960 | 960 |
|
| 03.2.09 | Cóc cứng | cái | 960 | 960 |
|
| 03.2.10 | Đệm cao su | cái | 960 | 960 |
|
| 03.2.11 | Vòng đệm lò xo 2 vòng | cái | 960 | 960 |
|
| 03.2.12 | Đệm sắt | cái | 960 | 960 |
|
| 03.2.13 | Căn chân cóc | cái | 960 | 960 |
|
| 03.2.14 | Căn U | cái | 960 | 960 |
|
| 03.2.15 | Xi măng PC30 | kg | 100 | 100 |
|
| 03.2.16 | Tôn kẻ biển | kg | 20 | 20 |
|
| 03.2.17 | Đá hộc | m³ | 10 | 10 |
|
| 03.2.18 | Cát vàng | m³ | 0,5 | 0,5 |
|
|
| a | b |
| ||
3. Tà vẹt bê tông - cóc đàn hồi w (Mã hiệu: 03.3.00)
a) Vật tư chủ yếu: Ray, tà vẹt bê tông thường, đá ba lát, bu lông cóc, cóc đàn hồi w, vòng đệm phẳng, đệm cao su, căn sắt, căn nhựa, căn U, sắt mối, bu lông mối.
| Mã hiệu | Tên vật tư | Đơn vị | Số lượng | Ghi chú | |
| Ray 12,5m | Ray 25m | ||||
| 03.3.01 | Ray | thanh | 4.8 | 2.4 |
|
| 03.3.02 | Tà vẹt | thanh | 80 | 80 | 1600 thanh/km |
| 03.3.03 | Sắt mối | đôi | 12 | 6 |
|
| 03.3.04 | Bu lông mối | cái | 96 | 48 |
|
| 03.3.05 | Dầu nhờn | kg | 12 | 10,5 |
|
| 03.3.06 | Sơn | kg | 9 | 7 |
|
| 03.3.07 | Đá 2,5x5 | m³ | 95 | 95 |
|
| 03.3.08 | Bu lông cóc | cái | 960 | 960 |
|
| 03.3.09 | Cóc đàn hồi w | cái | 960 | 960 |
|
| 03.3.10 | Vòng đệm phẳng | cái | 960 | 960 |
|
| 03.3.11 | Đệm cao su | cái | 960 | 960 |
|
| 03.3.12 | Căn nhựa | cái | 960 | 960 |
|
| 03.3.13 | Căn sắt | cái | 960 | 960 |
|
| 03.3.14 | Xi măng PC30 | kg | 100 | 100 |
|
| 03.3.15 | Tôn kẻ biển | kg | 20 | 20 |
|
| 03.3.16 | Đá hộc | m³ | 5 | 5 |
|
| 03.3.17 | Cát vàng | m³ | 0,5 | 0,5 |
|
|
| a | b |
| ||
4. Tà vẹt dự ứng lực - Cóc đàn hồi VOSSLOH (Mã hiệu: 03.4.00)
a) Vật tư chủ yếu: Ray, tà vẹt bê tông dự ứng lực, đá ba lát, đinh xoắn, vòng đệm phẳng, cóc đàn hồi, đệm cao su, căn nhựa dẫn hướng, lõi nhựa xoắn, sắt mối, bu lông mối.
| Mã hiệu | Tên vật tư | Đơn vị | Số lượng | Ghi chú |
| 03.4.01 | Ray dài 25m | thanh | 2.4 |
|
| 03.4.02 | Tà vẹt bê tông DƯL | thanh | 40 | 1600 thanh/km |
| 03.4.03 | Sắt mối | đôi | 6 |
|
| 03.4.04 | Bu lông mối | cái | 48 |
|
| 03.4.05 | Dầu nhờn | kg | 1,5 |
|
| 03.4.06 | Sơn | kg | 2 |
|
| 03.4.07 | Đá 2,5x5 | m³ | 95 |
|
| 03.4.08 | Đinh xoắn (tia rơ phông) | cái | 214 |
|
| 03.4.09 | Cóc đàn hồi w | cái | 214 |
|
| 03.4.10 | Vòng đệm phẳng | cái | 214 |
|
| 03.4.11 | Đệm dưới đế ray | cái | 107 |
|
| 03.4.12 | Căn nhựa dẫn hướng | cái | 214 |
|
| 03.4.13 | Xi măng PC30 | kg | 100 |
|
| 03.4.14 | Tôn kẻ biển | kg | 20 |
|
| 03.4.15 | Đá hộc | m³ | 5 |
|
| 03.4.16 | Cát vàng | m³ | 0,5 |
|
5. Tà vẹt dự ứng lực - cóc đàn hồi w (Mã hiệu: 03.5.00)
a) Vật tư chủ yếu: Ray, tà vẹt bê tông dự ứng lực, đá ba lát, đinh xoắn, vòng đệm phẳng, cóc đàn hồi, đệm cao su, căn nhựa dẫn hướng, lõi nhựa xoắn, sắt mối, bu lông mối, bu lông cóc.
| Mã hiệu | Tên vật tư | Đơn vị | Số lượng | Ghi chú |
| 03.5.01 | Ray dài 25m | thanh | 2.4 |
|
| 03.5.02 | Tà vẹt bê tông DƯL | thanh | 40 |
|
| 03.5.03 | Sắt mối | đôi | 6 |
|
| 03.5.04 | Bu lông mối | cái | 48 |
|
| 03.5.05 | Dầu nhờn | kg | 10,5 |
|
| 03.5.06 | Sơn | kg | 7,5 |
|
| 03.5.07 | Đá 2,5x5 | m³ | 95 |
|
| 03.5.08 | Bu lông cóc | cái | 960 |
|
| 03.5.09 | Cóc đàn hồi w | cái | 960 |
|
| 03.5.10 | Vòng đệm phẳng | cái | 960 |
|
| 03.5.11 | Đệm cao su | cái | 960 |
|
| 03.5.12 | Căn nhựa dẫn hướng | cái | 960 |
|
| 03.5.13 | Căn sắt | cái | 960 |
|
| 03.5.14 | Xi măng PC30 | kg | 100 |
|
| 03.5.15 | Tôn kẻ biển | kg | 20 |
|
| 03.5.16 | Đá hộc | m³ | 5 |
|
| 03.5.17 | Cát vàng | m³ | 0,5 |
|
Chương 3.
ĐỊNH MỨC VẬT TƯ CHO MỘT KILÔMÉT ĐƯỜNG SẮT DÙNG RAY HÀN DÀI - CHU KỲ MỘT NĂM
Điều 5. Nội dung công tác bảo trì
Nội dung duy tu tổng hợp được tiến hành hàng năm trên mỗi km đường chính, đường ga, đường nhánh, bộ ghi phải thực hiện ít nhất một lần cho một số công việc sau:
1. Các công việc duy tu bảo dưỡng đường dùng ray hàn dài thực hiện không bị giới hạn bởi nhiệt độ môi trường:
a) Tất cả các nội dung duy tu, sửa chữa thường xuyên trong phạm vi 25m kể từ đầu thanh ray hàn liền.
b) San, sửa, bổ sung, đầm chặt mặt đá balát trong khoang và hai đầu tà vẹt.
c) Sửa chữa, cạp vá vai đường. Nạo, vét, sửa chữa hệ thống thoát nước.
d) Phát cây, dọn cỏ, rác, đất đá bẩn, làm vệ sinh mặt đường trong phạm vi khổ giới hạn đường sắt và tầm nhìn tín hiệu.
e) Sửa chữa, sơn, viết lại mốc, biển báo và ký hiệu trên ray.
2. Các công việc duy tu bảo dưỡng bị giới hạn bởi nhiệt độ môi trường, nội dung và phạm vi tác nghiệp phụ thuộc nhiệt độ ray tại thời điểm thực hiện tác nghiệp (ttn) và nhiệt độ khóa ray thực tế (ttt):
a) Nâng, chèn, chỉnh sửa cục bộ kích thước đường, đệm nâng cao độ mặt ray đảm bảo quy trình, quy phạm khai thác, an toàn chạy tàu.
b) Bảo dưỡng, sửa chữa nền đường, xử lý phụt bùn, túi đá.
c) Bảo dưỡng đá ba lát, sàng sạch, bổ sung đá ba lát dưới đáy, trong khoang và hai đầu tà vẹt đảm bảo kích thước, đầm chèn chặt đảm bảo yêu cầu kỹ thuật.
d) Thay lẻ tẻ hoặc sửa chữa, chỉnh lý ngay ngắn tà vẹt.
e) Thay lẻ tẻ hoặc sửa chữa, bảo dưỡng, tra dầu mỡ phụ kiện liên kết.
f) Thay ray tật, nắn ray cong, hàn đắp, mài sửa ray, chỉnh trị các khuyết tật trên ray.
g) Điều chỉnh ứng suất ray đảm bảo yêu cầu thiết kế ban đầu.
h) Sửa chữa, bảo dưỡng ghi, khe co giãn.
i) Thay hoặc sửa chữa ray điều chỉnh co giãn, chỉnh trị khe mối nối.
k) Thay lẻ tẻ hoặc sửa chữa, bảo dưỡng, tra dầu bu lông mối.
l) Sửa chữa, bảo dưỡng đường ngang.
3. Với các công việc duy tu bảo dưỡng bị giới hạn bởi nhiệt độ môi trường, các điều kiện sau cần phải đảm bảo:
a) Luôn có đầy đủ đá ba lát trong khoang, ba lát đầu tà vẹt có chiều rộng ≥ 40cm, cao từ 10cm đến 15cm, tuyệt đối không được hở đầu tà vẹt.
b) Việc nâng đường, cào đá, sàng đá cần phải kịp thời bổ sung đủ đá ba lát và đầm, chèn chặt.
c) Khi nâng đường, chỉnh phương hướng đường, các dụng cụ phải đặt cách xa các mối hàn ray > 1m, trường họp không thể thì khi thực hiện xong phải kiểm tra đảm bảo chất lượng mối hàn.
d) Chỉ được phép tiến hành thi công đoạn kế tiếp khi đã hoàn chỉnh đầy đủ mọi công việc liên quan ở đoạn trước.
Điều 6. Vật tư cho đường khổ 1.000mm (Mã hiệu: 04.0.00)
1. Tà vẹt bê tông dự ứng lực - cóc đàn hồi w (Mã hiệu: 04.1.00)
a) Vật tư chủ yếu sử dụng: Ray, tà vẹt bê tông dự ứng lực, đá ba lát, bu lông (đinh xoắn) cóc, cóc đàn hồi w, vòng đệm phẳng, đệm cao su, căn sắt, căn nhựa, lõi nhựa xoắn, sắt mối, bu lông mối.
| Mã hiệu | Tên vật tư | Đơn vị | Số lượng | Ghi chú |
| 04.1.01 | Ray dài 25m | thanh | 1.6 |
|
| 04.1.02 | Tà vẹt bê tông DƯL“TN1” | thanh | 38 | 1520 thanh/km |
| 04.1.03 | Sắt mối | đôi | 4 |
|
| 04.1.04 | Bu lông mối | cái | 32 |
|
| 04.1.05 | Dầu nhờn | kg | 7 |
|
| 04.1.06 | Sơn | kg | 5 |
|
| 04.1.07 | Đá 2,5x5 | m³ | 80 |
|
| 04.1.08 | Bu lông cóc | cái | 608 |
|
| 04.1.09 | Cóc đàn hồi w | cái | 608 |
|
| 04.1.10 | Vòng đệm phẳng | cái | 608 |
|
| 04.1.11 | Đệm cao su | cái | 608 |
|
| 04.1.12 | Căn nhựa | cái | 608 |
|
| 04.1.13 | Căn sắt | cái | 608 |
|
| 04.1.14 | Xi măng PC30 | kg | 100 |
|
| 04.1.15 | Tôn kẻ biển | kg | 20 |
|
| 04.1.16 | Đá hộc | m³ | 5 |
|
| 04.1.17 | Cát vàng | m³ | 0,5 |
|
2. Tà vẹt bê tông dự ứng lực - Phụ kiện PANDROL (Mã hiệu: 04.2.00)
a) Vật tư chủ yếu sử dụng: Ray, tà vẹt bê tông dự ứng lực, đá ba lát, cóc đàn hồi, đệm cao su, sắt mối, bu lông mối.
| Mã hiệu | Tên vật tư | Đơn vị | Số lượng | Ghi chú |
| 04.2.01 | Ray dài 25m | thanh | 1,6 |
|
| 04.2.02 | Tà vẹt bê tông DƯL | thanh | 76 |
|
| 04.2.03 | Sắt mối | đôi | 4 |
|
| 04.2.04 | Bu lông mối | cái | 32 |
|
| 04.2.05 | Dầu nhờn | kg | 2 |
|
| 04.2.06 | Sơn | kg | 4 |
|
| 04.2.07 | Đá 2,5x5 | m³ | 80 |
|
| 04.2.08 | Cóc đàn hồi | cái | 304 |
|
| 04.2.09 | Đệm đế ray | cái | 405 |
|
| 04.2.10 | Căn nhựa | cái | 608 |
|
| 04.2.11 | Xi măng PC30 | kg | 100 |
|
| 04.2.12 | Tôn kẻ biển | kg | 20 |
|
| 04.2.13 | Đá hộc | m³ | 5 |
|
| 04.2.14 | Cát vàng | m³ | 0,5 |
|
Chương 4.
ĐỊNH MỨC VẬT TƯ CHO MỘT BỘ GHI - CHU KỲ MỘT NĂM
Điều 7. Nội dung công tác bảo trì
1. Đảm bảo liên kết chặt chẽ giữa các ray lưỡi ghi, bu lông liên kết giữa ray lưỡi ghi với thanh giằng bị lỏng phải kịp thời vặn chặt, đinh tán lỏng phải tán lại. Bu lông liên kết ngàm giữa ray lưỡi ghi với thanh giằng và thanh giằng điều khiển ghi phải đủ chốt chẻ. Đảm bảo liên kết chặt chẽ giữa ray lưỡi ghi với ray cơ bản, đồng thời phải đảm bảo ray lưỡi ghi hoạt động linh hoạt.
2. Đoạn có bào của ray lưỡi ghi phải áp sát ray cơ bản, các bu lông chống (hoặc sắt chống) của ray lưỡi ghi phải áp sát bụng ray cơ bản. Các chỗ gờ, bè trên ray cơ bản và ray lưỡi ghi phải mài sạch. Đế ray lưỡi ghi phải áp sát mặt bàn trượt của bản đệm. Mặt bàn trượt phải phẳng không có gờ và sạch sẽ, không dính đất cát. Độ cao tương đối giữa mặt lăn ray lưỡi ghi và mặt lăn ray cơ bản không được quá qui định.
3. Đảm bảo cự ly và thủy bình theo quy định, đặc biệt cự ly giữa má tác dụng ray tâm ghi và ray cánh ghi với ray hộ bánh. Đảm bảo chiều rộng, chiều sâu khe ray tâm ghi và hộ bánh. Các chỗ gờ, bè trên ray ghi phải được mài sạch.
4. Thường xuyên kiểm tra đảm bảo phương hướng ghi, đầu ray lưỡi ghi và gần tâm ghi. Đường cong nối dẫn đúng tọa độ quy định và ghi rõ bằng sơn trắng hoặc vàng trên thân ray. Đảm bảo phương hướng, tọa độ đường cong sau ghi.
5. Các chi tiết liên kết như bu lông gót lưỡi ghi, bu lông tâm, bu lông hộ bánh phải được thường xuyên kiểm tra, không được để lỏng hoặc mất tác dụng. Ghi không được có hiện tượng xô. Tà vẹt phải chèn chặt đều, đặc biệt tà vẹt đầu ghi và tâm ghi. Khe ray phải luôn luôn sạch sẽ. Nền đường phải thoát nước tốt, nền đá phải sạch, đặc biệt tà vẹt có đặt trụ ghi. Ghi phải giữ gìn sạch sẽ, các phối kiện liên kết ghi (đinh đường, đinh xoắn, cóc, bu lông cóc, bản đệm, sắt mối, bu lông sắt mối, thanh chống, móng trâu, giãn cách (củ đậu), phải đảm bảo kỹ thuật, liên kết chặt chẽ.
6. Phối hợp kiểm tra, xử lý cách điện mối nối, thanh giằng cự ly, nền đá, tà vẹt, phụ kiện. Đảm bảo hoạt động tốt hệ thống tín hiệu, kể cả khu vực lắp đặt thiết bị đếm trục hoặc mạch điện đường ray.
Điều 8. Ghi đơn đường sắt khổ 1.000mm (Mã hiệu: 05.0.00)
1. Ghi đơn 1/10 - ray P43 - 24.414mm - tà vẹt gỗ (Mã hiệu: 05.1.00)
a) Vật tư chủ yếu sử dụng: Các ray cơ bản, nối dẫn, ray lưỡi ghi, ray hộ bánh, tâm ghi và tà vẹt gỗ, đá ba lát, đinh đường, đệm sắt, sắt chống ray (móng trâu), giãn cách (củ đậu), bu lông các loại, sắt mối, bu lông mối.
| Mã hiệu | Tên vật tư | Đơn vị | Số lượng | Ghi chú |
| 05.1.01 | Tà vẹt gỗ ghi | thanh | 5 |
|
| 05.1.02 | Lưỡi ghi | cái | 0,1 |
|
| 05.1.03 | Tâm ghi | cái | 0,1 |
|
| 05.1.04 | Bu lông củ đậu | cái | 3,4 |
|
| 05.1.05 | Ray cơ bản | thanh | 0,2 |
|
| 05.1.06 | Sắt mối đặc biệt | bộ | 0,2 |
|
| 05.1.07 | Đệm trượt | cái | 0,5 |
|
| 05.1.08 | Đệm hộ bánh | cái | 0,5 |
|
| 05.1.09 | Các loại đệm khác | cái | 4 |
|
| 05.1.10 | Đinh vuông (căm pông) | cái | 20 |
|
| 05.1.11 | Đinh xoắn (tia rơ phông) | cái | 20 |
|
| 05.1.12 | Vòng đệm lò xo | cái | 20 |
|
| 05.1.13 | Dầu nhờn | kg | 2 |
|
| 05.1.14 | Sơn | kg | 1 |
|
| 05.1.15 | Thanh giằng lưỡi ghi | cái | 0,1 |
|
| 05.1.16 | Dây thép | kg | 2 |
|
| 05.1.17 | Dầu phòng mục | kg | 2 |
|
| 05.1.18 | Đá 2,5x5 | m³ | 6 |
|
| 05.1.19 | Sắt mối gót ghi | bộ | 0,2 |
|
| 05.1.20 | Bu lông mối | cái | 1 |
|
| 05.1.21 | Bu lông suốt ghi | cái | 2 |
|
| 05.1.22 | Thanh liên kết | cái | 0,2 |
|
| 05.1.23 | Sắt chống ray (móng trâu) | cái | 2 |
|
| 05.1.24 | Bu lông gót lưỡi ghi | cái | 1 |
|
2. Ghi đơn đường sắt - tà vẹt sắt (Mã hiệu: 05.2.00)
a) Vật tư chủ yếu sử dụng: Các ray cơ bản, ray nối dẫn, ray lưỡi ghi, ray hộ bánh, tâm ghi, tà vẹt sắt, đá ba lát, đinh đường, đệm sắt, sắt chống ray (móng trâu), đệm giãn cách (củ đậu), bu lông các loại, sắt mối, bu lông mối.
| Mã hiệu | Tên vật tư | Đơn vị | Số lượng | Ghi chú |
| 05.2.01 | Tà vẹt ghi | thanh | 5 |
|
| 05.2.02 | Lưỡi ghi | cái | 0,1 |
|
| 05.2.03 | Tâm ghi | cái | 0,1 |
|
| 05.2.04 | Đinh củ đậu | cái | 2 |
|
| 05.2.05 | Ray cơ bản | thanh | 0,2 |
|
| 05.2.06 | Sắt mối đặc biệt | bộ | 0,2 |
|
| 05.2.07 | Đệm trượt lưỡi ghi | cái | 0,5 |
|
| 05.2.08 | Đệm hộ bánh | cái | 0,1 |
|
| 05.2.09 | Các loại đệm khác | cái | 4 |
|
| 05.2.10 | Vòng đệm lò xo | cái | 20 |
|
| 05.2.11 | Dầu nhờn | kg | 2 |
|
| 05.2.12 | Sơn | kg | 1 |
|
| 05.2.13 | Thanh giằng | cái | 0,2 |
|
| 05.2.14 | Đá 2,5x5 | m³ | 5 |
|
| 05.2.15 | Sắt mối gót ghi | bộ | 0,1 |
|
| 05.2.16 | Bu lông mối | cái | 1 |
|
| 05.2.17 | Đinh vuông (căm pông) | cái | 25 |
|
| 05.2.18 | Đinh xoắn (tia rơ phông) | cái | 20 |
|
| 05.2.19 | Bu lông suốt | cái | 3 |
|
| 05.2.20 | Thanh liên kết | cái | 0,2 |
|
| 05.2.21 | Sắt chống ray (móng trâu) | cái | 2 |
|
| 05.2.22 | Bu lông gót lưỡi ghi | cái | 1 |
|
3. Ghi giao chéo đường sắt - tà vẹt gỗ (Mã hiệu: 05.3.00)
a) Vật tư chủ yếu sử dụng: Các ray cơ bản, ray nối dẫn, ray hộ bánh, tâm ghi, tà vẹt gỗ, đá ba lát, đinh đường, đệm sắt, sắt chống ray (móng trâu), đệm giãn cách (củ đậu), bu lông các loại, sắt mối, bu lông mối.
| Mã hiệu | Tên vật tư | Đơn vị | Số lượng | Ghi chú |
| 05.3.01 | Tà vẹt ghi | thanh | 5 |
|
| 05.3.02 | Tâm ghi | cái | 0,1 |
|
| 05.3.03 | Bu lông củ đậu | cái | 2 |
|
| 05.3.04 | Ray cơ bản | thanh | 0,2 |
|
| 05.3.05 | Đinh đường (căm pông) | cái | 10 |
|
| 05.3.06 | Đinh xoắn (tia rơ phông) | cái | 20 |
|
| 05.3.07 | Vòng đệm lò xo | cái | 10 |
|
| 05.3.08 | Dầu nhờn | kg | 1 |
|
| 05.3.09 | Sơn | kg | 0,5 |
|
| 05.3.10 | Dây thép | kg | 2 |
|
| 05.3.11 | Dầu phòng mục | kg | 2,5 |
|
| 05.3.12 | Đá 2,5x5 | m³ | 7 |
|
| 05.3.13 | Sắt mối gót ghi | bộ | 0,1 |
|
| 05.3.14 | Bu lông mối | cái | 1 |
|
| 05.3.15 | Bu lông suốt ghi | cái | 3 |
|
| 05.3.16 | Sắt chống ray (móng trâu) | cái | 1 |
|
Điều 9. Ghi đơn đường sắt khổ 1.435mm (Mã hiệu: 06.0.00)
1. Vật tư chủ yếu sử dụng: Các ray cơ bản, ray nối dẫn, ray lưỡi ghi, ray hộ bánh, tâm ghi, tà vẹt ghi (gỗ), đá ba lát, đinh đường, đệm sắt, sắt chống ray (móng trâu), đệm giãn cách (củ đậu), bu lông các loại, sắt mối, bu lông mối.
| Mã hiệu | Tên vật tư | Đơn vị | Số lượng | Ghi chú |
| 06.0.01 | Tà vẹt ghi | thanh | 7,5 |
|
| 06.0.02 | Lưỡi ghi | cái | 0,1 |
|
| 06.0.03 | Tâm ghi | cái | 0,1 |
|
| 06.0.04 | Bu lông củ đậu | cái | 4 |
|
| 06.0.05 | Ray cơ bản | thanh | 0,2 |
|
| 06.0.06 | Sắt mối đặc biệt | bộ | 0,2 |
|
| 06.0.07 | Đệm trượt | cái | 0,5 |
|
| 06.0.08 | Đệm hộ bánh | cái | 0,5 |
|
| 06.0.09 | Các loại đệm khác | cái | 4 |
|
| 06.0.10 | Đinh vuông (căm pông) | cái | 20 |
|
| 06.0.11 | Đinh xoắn (tia rơ phông) | cái | 20 |
|
| 06.0.12 | Vòng đệm lò xo | cái | 20 |
|
| 06.0.13 | Dầu nhờn | kg | 2 |
|
| 06.0.14 | Sơn | kg | 1 |
|
| 06.0.15 | Thanh giằng | cái | 0,2 |
|
| 06.0.16 | Dây thép | kg | 2 |
|
| 06.0.17 | Dầu phòng mục | kg | 2 |
|
| 06.0.18 | Đá 2,5x5 | m³ | 7 |
|
| 06.0.19 | Sắt mối gót ghi | bộ | 0,1 |
|
| 06.0.20 | Bu lông mối | cái | 1 |
|
| 06.0.21 | Bu lông suốt | cái | 2 |
|
| 06.0.22 | Thanh liên kết | cái | 0,2 |
|
| 06.0.23 | Sắt chống ray (móng trâu) | cái | 2 |
|
| 06.0.24 | Bu lông gót lưỡi ghi | cái | 1 |
|
Điều 10. Ghi đường sắt lồng khổ 1.000mm và 1.435mm (Mã hiệu: 07.0.00)
(Ghi lồng đường sắt loại 1/10 - ray 43(38) - 24.560mm - Tà vẹt gỗ)
1. Vật tư chủ yếu sử dụng: Các ray cơ bản, ray nối dẫn, ray lưỡi ghi, ray hộ bánh, tâm ghi, tà vẹt gỗ, đá ba lát, đinh đường, đệm sắt, sắt chống ray (móng trâu), đệm giãn cách (củ đậu), bu lông các loại, sắt mối, bu lông mối.
| Mã hiệu | Tên vật tư | Đơn vị | Số lượng | Ghi chú |
| 07.0.01 | Tà vẹt gỗ ghi | thanh | 6 |
|
| 07.0.02 | Lưỡi ghi | cái | 0,5 |
|
| 07.0.03 | Tâm ghi | cái | 0,2 |
|
| 07.0.04 | Bu lông củ đậu | cái | 6 |
|
| 07.0.05 | Ray cơ bản | thanh | 0,3 |
|
| 07.0.06 | Sắt mối đặc biệt | bộ | 0,3 |
|
| 07.0.07 | Đệm trượt | cái | 0,75 |
|
| 07.0.08 | Đệm hộ bánh | cái | 0,75 |
|
| 07.0.09 | Các loại đệm khác | cái | 6 |
|
| 07.0.10 | Đinh vuông (căm pông) | cái | 30 |
|
| 07.0.11 | Đinh xoắn (tia rơ phông) | cái | 30 |
|
| 07.0.12 | Vòng đệm lò xo | cái | 30 |
|
| 07.0.13 | Dầu nhờn | kg | 3 |
|
| 07.0.14 | Sơn | kg | 1,5 |
|
| 07.0.15 | Thanh giằng | cái | 0,3 |
|
| 07.0.16 | Dây thép | kg | 2 |
|
| 07.0.17 | Dầu phòng mục | kg | 2 |
|
| 07.0.18 | Đá 2,5x5 | m³ | 7 |
|
| 07.0.19 | Sắt mối gót ghi | bộ | 0,2 |
|
| 07.0.20 | Bu lông mối | cái | 1,5 |
|
| 07.0.21 | Bu lông suốt ghi | cái | 3 |
|
| 07.0.22 | Thanh liên kết | cái | 0,3 |
|
| 07.0.23 | Sắt chống ray (móng trâu) | cái | 3 |
|
| 07.0.24 | Bu lông gót lưỡi ghi | cái | 2 |
|
Chương 5.
ĐỊNH MỨC VẬT TƯ ĐỐI VỚI CÔNG TRÌNH CẦU, HẦM, CỐNG VÀ CÁC CÔNG TRÌNH KIẾN TRÚC
Điều 11. Nguyên tắc chung
1. Nguyên tắc xác định chiều dài cầu, hầm, cống:
a) Chiều dài cầu là khoảng cách từ đuôi tường cánh mố cầu bên này đến đuôi tường cánh mố bên kia;
b) Chiều dài hầm là chiều dài từ cửa vào hầm đến cửa ra hầm;
c) Chiều dài cống là khoảng cách từ mép ngoài sân cửa vào (nếu có) đến mép ngoài sân cửa ra (nếu có) của cống. Vật tư cho cống kép có 2 hoặc 3 cửa thì chiều dài cống bằng chiều dài cống đơn nhân với hệ số 2 hoặc 3.
2. Định mức sơn:
a) Vật tư cho cầu trên đường đôi, hai cầu song song cách biệt được tính là hai cầu. Các phần cách biệt khác cũng được tính là hai cầu.
b) Vật tư cho cầu lắp kép có mặt cầu chung (chung một hệ giằng gió, dầm dọc dầm ngang) được nhân định mức với hệ số 1,5.
c) Vật tư cho mố hoặc trụ bằng Palê thép là kết cấu chịu tải chính, được tính thêm 5% diện tích mặt sơn của Palê thép, ứng với khối lượng sơn:
- Sơn chống gỉ một lớp 0,126 kg/m2;
- Sơn phủ 2 lớp, mỗi lớp 0,10 kg/m2;
- Vật tư cho trụ bằng Palê thép là trụ phụ, trụ tạm căn cứ vào trạng thái cụ thể bổ sung vào kế hoạch năm.
Dầm dàn: Sơn chống gỉ 
Sơn phủ 
Dầm đặc: Sơn chống gỉ 
Sơn phủ 
e) Vật tư cho hầm chống đỡ bằng khung ray sơn chống gỉ bảo vệ. Định mức áp dụng 8,0kg sơn chống gỉ cho 10m chiều dài hầm.
f) Các định mức vật tư được xác định với số mố trụ cầu là 2. Trường hợp trong 100m cầu có số mố trụ cầu nhiều hơn 2, định mức vật tư được xác định như sau: Những định mức vật tư liên quan tới mố trụ cầu như xi măng, mỡ bò và các vật tư cần thiết khác được nhân hệ số điều chỉnh Kmc với: Kmc = n/2 trong đó n là số mố trụ cầu có trong 100m cầu.
Điều 12. Vật tư cho cầu thép đường sắt đi riêng (Mã hiệu: 08.0.00)
1. Nội dung bảo trì:
a) Bảo đảm đầy đủ tiêu chuẩn kỹ thuật các loại ray trên cầu:
- Điều chỉnh tim đường ray chạy tầu, ray hộ bánh; cự ly giữa ray chạy tầu với ray hộ bánh đúng yêu cầu kỹ thuật;
- Điều chỉnh sửa chữa phương hướng, cự ly, thủy bình cao thấp trước sau. Nếu có đường cong trên cầu thì phải đảm bảo độ siêu cao, gia khoan và tim đường đúng tiêu chuẩn;
- Điều chỉnh mối ray nằm trên tà vẹt, khe hở không được quá tiêu chuẩn, mối ray không song song, mối ray nằm trong khu vực cấm. Điều chỉnh sửa chữa khe co giãn (nếu có);
- Lau dầu, sửa chữa, bổ sung, thay lẻ tẻ bu lông và vòng đệm mối ray;
- Bổ sung ngàm phòng xô;
- Đảo ray chạy tầu mòn từ cầu trung trở xuống.
b) Lau dầu, sửa chữa, bổ sung, thay mới lẻ tẻ các loại đinh xoắn, đinh vuông, bu lông móc, bu lông gỗ gờ, vòng đệm và các loại đinh, bu lông khác.
c) Sửa chữa điều chỉnh và đệm chặt các chỗ ray treo, tà vẹt treo, khe hở mặt ngàm gỗ gờ với tà vẹt.
d) Sửa chữa tà vẹt:
- Bạt các chỗ mục cục bộ nhỏ, và các chỗ mục cục bộ lớn, trát cao phòng mục các chỗ nứt, các lỗ để trống, bó đai đầu tà vẹt;
- Chỉnh cự ly tà vẹt, khe hở với dầm ngang, tà vẹt treo trên dầm ngang;
- Điều chỉnh và đệm tà vẹt trên tường chắn đá;
- Ke vuông lại tà vẹt trên cầu;
- Sơn đánh số đầu tà vẹt.
e) Thay lẻ tẻ tà vẹt mục mất tác dụng.
f) Sửa chữa các phần gỗ khác.
- Thay lẻ tẻ các đoạn gỗ gờ mục mất tác dụng;
- Thay lẻ tẻ các đoạn ván tuần đường mục mất tác dụng;
- Sửa chữa, bổ sung, thay lẻ tẻ ván đường bộ hành;
- Sơn mép ván tuần đường.
g) Cạo gỉ và sơn ray hộ bánh, sơn dầu thoi, thay thế sửa chữa đầu thoi (nếu đầu thoi bị hư hỏng), tra dầu phối kiện từ đầu thoi đến tường chắn đá, thay thế tà vẹt hỏng vỡ mất tác dụng và phụ kiện.
h) Cạo gỉ, sơn bảo vệ kết cấu thép (dầm, palê, lan can) bị gỉ và các khe tích nước.
i) Tán lại lẻ tẻ số lượng nhỏ rivê liên kết, mối nối mất tác dụng, bổ sung hoặc thay lẻ tẻ bu lông cường độ cao, bu lông tinh chế mất tác dụng.
k) Gia cố tu sửa tại chỗ các thanh nứt, cong vênh của kết cấu thép (dầm, pa lê, lan can...), cải thiện các chi tiết chưa hợp lý. Bổ sung thép chống xô tà vẹt.
l) Điều chỉnh gối cầu nhỏ bị sai lệch. Thay gối cầu nhỏ.
- Điều chỉnh gối cầu trên pa lê và chèn nêm theo yêu cầu thiết kế;
- Lau chùi sạch sẽ và bôi mỡ vào mặt lăn, cái lăn, chốt;
- Lau đầu bu lông neo;
- Tu sửa bệ đỡ gối.
m) Trát vá các chỗ nứt vỡ, bong, thối cục bộ mạch xây mố trụ, tường trước, tường biên, hố mố, chân khay. Sửa chữa hệ thống thoát nước sau lưng mố.
n) Bổ sung đá nâng giật chèn đường hai đầu cầu kể từ đầu thoi đến tường trước, sàng đá ô phụt bùn, điều chỉnh phương hướng, sửa cự ly đến tường chắn đá.
o) Khai thông lòng sông, suối bảo đảm nước chảy thông thoát tránh gây xói lở. Phát cây cỏ bám vào dầm, mố trụ, hộ mố và trong phạm vi thượng, hạ lưu cầu 30m.
p) Sửa chữa cục bộ các công trình điều tiết dòng chảy, kết cấu phòng hộ. Xây lát lòng sông, suối dưới cầu, kè hướng dòng, kè chân mố trụ palê, lồng đá.
q) Sửa chữa các thiết bị:
- Tu sửa thiết bị phòng hỏa, bổ sung nước, cát tơi đầy đủ;
- Sửa chữa thang kiểm tra, bậc lên xuống hai đầu mố, sàn tránh, tầu;
- Tô lại rõ ràng chính xác các mốc và dấu theo dõi các vết nứt, các hư hỏng khác của dầm, mố trụ, các công trình phòng hộ;
- Sơn kẻ lại thước đo nước, biển báo, lý trình, mốc theo dõi ray chạy;
- Sửa chữa xe kiểm tra (nếu có);
- Vệ sinh dầm, mặt cầu, mố trụ;
- Sửa chữa hệ thống chiếu sáng, hệ thống dây điện phục vụ các thiết bị thi công, thiết bị vệ sinh.
| Mã hiệu | Tên vật liệu | Đơn vị | Số lượng | Ghi chú |
| 08.1.01 | Tà vẹt gỗ cầu + phụ kiện | thanh | 42 |
|
| 08.1.02 | Ván tuần đường | m³ | 0,3 |
|
| 08.1.03 | Gỗ gờ 10 x 10 (cm) | m³ | 0,7 |
|
| 08.1.04 | Ván gỗ đường bộ hành 2 bên | m³ | 3 | Đường bộ hành ván gỗ |
| 08.1.05 | Bu lông móc cầu + vòng đệm | cái | 80 |
|
| 08.1.06 | Bu lông gỗ gờ + vòng đệm | cái | 40 |
|
| 08.1.07 | Đinh xoắn (tia rơ phông) | cái | 120 |
|
| 08.1.08 | Bu lông mối ray + vòng đệm | cái | 10 |
|
| 08.1.09 | Dây thép đai đầu tà vẹt | kg | 8 |
|
| 08.1.10 | Đinh đóng ván tuần đường | kg | 2 |
|
| 08.1.11 | Đinh đóng ván đường bộ hành | kg | 5 |
|
| 08.1.12 | Cao phòng mục | kg | 2 |
|
| 08.1.13 | Dầu phòng mục | kg | 2 |
|
| 08.1.14 | Dầu nhờn | kg | 6 |
|
| 08.1.15 | Mỡ nhờn | kg | 6 |
|
| 08.1.16 | Ray chạy tầu dài 25 m | thanh | 0,2 |
|
| 08.1.17 | Sắt mối | đôi | 0,2 |
|
| 08.1.18 | Sơn chống gỉ dầm I/dầm dàn | kg | 14/24 |
|
| 08.1.19 | Sơn phủ dầm I/dầm dàn | kg | 21/35 |
|
| 08.1.20 | Sơn đen (ray hộ bánh) | kg | 8 |
|
| 08.1.21 | Sơn trắng | kg | 2 |
|
| 08.1.22 | Sơn đỏ (kiểm tra) | kg | 1 |
|
| 08.1.23 | Tôn đệm ray treo 0,5~ 2mm | m2 | 1 |
|
| 08.1.24 | Thép các loại cho bộ hành | kg | 25 |
|
| 08.1.25 | Que hàn cho đường bộ hành | kg | 3 |
|
| 08.1.26 | Bản bê tông đường bộ hành | bản | 20 | Đường bộ hành bê tông |
| 08.1.27 | Xi măng PC30 | kg | 150 |
|
| 08.1.28 | Cát phòng hỏa | m³ | 1,5 |
|
| 08.1.29 | Đá hộc | m³ | 5 |
|
| Mã hiệu | Tên vật liệu | Đơn vị | Số lượng | Ghi chú |
| 08.2.01 | Tà vẹt gỗ cầu + phụ kiện | thanh | 42 |
|
| 08.2.02 | Ván tuần đường | m³ | 0,3 |
|
| 08.2.03 | Gỗ gờ 15 x 15 (cm) | m³ | 0,7 |
|
| 08.2.04 | Ván gỗ đường bộ hành 2 bên | m³ | 3 | Đường bộ hành ván gỗ |
| 08.2.05 | Bu lông móc cầu + vòng đệm | cái | 80 |
|
| 08.2.06 | Bu lông gỗ gờ + vòng đệm | cái | 40 |
|
| 08.2.07 | Đinh xoắn (tia rơ phông) | cái | 120 |
|
| 08.2.08 | Bu lông mối ray + vòng đệm | cái | 10 |
|
| 08.2.09 | Dây thép đai đầu tà vẹt | kg | 8 |
|
| 08.2.10 | Đinh đóng ván 10 cm | kg | 2 |
|
| 08.2.11 | Đinh đóng ván đường bộ hành | kg | 5 |
|
| 08.2.12 | Cao phòng mục | kg | 2 |
|
| 08.2.13 | Dầu phòng mục | kg | 2 |
|
| 08.2.14 | Dầu nhờn | kg | 6 |
|
| 08.2.15 | Mỡ nhờn | kg | 6 |
|
| 08.2.16 | Ray chạy tầu dài 25 m | thanh | 0,2 |
|
| 08.2.17 | Sắt mối | đôi | 0,2 |
|
| 08.2.18 | Sơn chống gỉ | kg | 14/24 |
|
| 08.2.19 | Sơn phủ | kg | 21/35 |
|
| 08.2.20 | Sơn đen (ray hộ bánh) | kg | 8 |
|
| 08.2.21 | Sơn trắng | kg | 2 |
|
| 08.2.22 | Sơn đỏ (kiểm tra) | kg | 1 |
|
| 08.2.23 | Tôn đệm ray treo 0,5 ~ 2mm | m2 | 1 |
|
| 08.2.24 | Thép các loại cho bộ hành | kg | 25 |
|
| 08.2.25 | Que hàn cho đường bộ hành | kg | 3 |
|
| 08.2.26 | Bản bê tông đường bộ hành | bản | 20 | Đường bộ hành bêtông |
| 08.2.27 | Xi măng PC30 | kg | 150 |
|
| 08.2.28 | Cát phòng hỏa | m³ | 1,5 |
|
| 08.2.29 | Đá hộc | m³ | 5 |
|
| Mã hiệu | Tên vật liệu | Đơn vị | Số lượng | Ghi chú |
| 08.3.01 | Tà vẹt gỗ cầu + phụ kiện | thanh | 42 |
|
| 08.3.02 | Ván tuần đường | m³ | 0,3 |
|
| 08.3.03 | Gỗ gờ 15 x 15 (cm) | m³ | 0,7 |
|
| 08.3.04 | Ván gỗ đường bộ hành 2 bên | m³ | 3 | Đường bộ hành ván gỗ |
| 08.3.05 | Bu lông móc cầu + vòng đệm | cái | 120 |
|
| 08.3.06 | Bu lông gỗ gờ + vòng đệm | cái | 60 |
|
| 08.3.07 | Đinh xoắn | cái | 180 |
|
| 08.3.08 | Bu lông mối ray + vòng đệm | cái | 10 |
|
| 08.3.09 | Dây thép đai đầu tà vẹt | kg | 8 |
|
| 08.3.10 | Đinh đóng ván tuần đường | kg | 2 |
|
| 08.3.11 | Đinh đóng ván đường bộ hành | kg | 5 |
|
| 08.3.12 | Cao phòng mục | kg | 2 |
|
| 08.3.13 | Dầu phòng mục | kg | 2 |
|
| 08.3.14 | Dầu nhờn | kg | 6 |
|
| 08.3.15 | Mỡ nhờn | kg | 6 |
|
| 08.3.16 | Ray chạy tầu dài 25 m | thanh | 0,3 |
|
| 08.3.17 | Sắt mối | đôi | 0,3 |
|
| 08.3.18 | Sơn chống gỉ dầm I/dầm dàn | kg | 14/24 |
|
| 08.3.19 | Sơn phủ dầm I/dầm dàn | kg | 21/35 |
|
| 08.3.20 | Sơn đen (ray hộ bánh) | kg | 8 |
|
| 08.3.21 | Sơn trắng | kg | 2 |
|
| 08.3.22 | Sơn đỏ (kiểm tra) | kg | 1 |
|
| 08.3.23 | Tôn đệm ray treo 0,5 ~ 2mm | m2 | 1 |
|
| 08.3.24 | Thép các loại cho bộ hành | kg | 25 |
|
| 08.3.25 | Que hàn cho đường bộ hành | kg | 3 |
|
| 08.3.26 | Bản bêtông đường bộ hành | bản | 20 | Đường bộ hành bêtông |
| 08.3.27 | Xi măng PC30 | kg | 150 |
|
| 08.3.28 | Cát phòng hỏa | m³ | 1,5 |
|
| 08.3.29 | Đá hộc | m³ | 5 |
|
| Mã hiệu | Tên vật liệu | Đơn vị | Số lượng | Ghi chú |
| 08.4.01 | Tà vẹt gỗ cầu + phụ kiện | thanh | 42 |
|
| 08.4.02 | Mỡ nhờn | kg | 10,5 |
|
| 08.4.03 | Dầu nhờn | kg | 11 |
|
| 08.4.04 | Đinh xoắn (tia rơ phông) | cái | 380 |
|
| 08.4.05 | Đinh vuông (căm pông) | cái | 50 |
|
| 08.4.06 | Xi măng PC30 | cái | 300 |
|
| 08.4.07 | Cát | m³ | 1,5 |
|
| 08.4.08 | Đá hộc | m³ | 0,5 |
|
| 08.4.09 | Ván tuần đường | m³ | 0,3 |
|
| 08.4.10 | Gỗ gờ 10x10 (cm) | m³ | 0,7 |
|
| 08.4.11 | Bu lông các loại | cái | 60 |
|
| 08.4.12 | Đinh đóng ván 7 cm | kg | 3 |
|
| 08.4.13 | Dây thép 3 mm | kg | 11 |
|
| 08.4.14 | Sơn chống gỉ | kg | 30 |
|
| 08.4.15 | Sơn phủ | kg | 45 |
|
| 08.4.16 | Sơn trắng | kg | 2 |
|
| 08.4.17 | Sơn đen | kg | 3,5 |
|
| 08.4.18 | Vòng đệm lò xo các loại | cái | 180 |
|
| 08.4.19 | Bột nhẹ dán gỗ | kg | 6 |
|
| 08.4.20 | Keo mê ca | kg | 6 |
|
| 08.4.21 | Thanh giằng cự ly | cái | 2 |
|
| 08.4.22 | Rọ đá | cái | 1 |
|
| 08.4.23 | Bu lông mối | cái | 10 |
|
| 08.4.24 | Ray chạy tầu dài 25 m | thanh | 0,4 |
|
| 08.4.25 | Sắt mối | đôi | 0,4 |
|
Điều 13. Vật tư cho cầu bê tông cốt thép (BTCT), bê tông cốt thép liên hợp (có máng ba lát) đường sắt đi riêng (Mã hiệu: 09.0.00)
1. Nội dung bảo trì
a) Bảo đảm đầy đủ đúng tiêu chuẩn kỹ thuật các loại ray trên cầu.
- Điều chỉnh tim đường ray chạy tầu, ray hộ bánh, cự ly ray chạy tầu với ray hộ bánh như đúng yêu cầu;
- Bổ sung đá ba lát, nâng, giật, chèn, điều chỉnh phương hướng, cự ly, thủy bình, cao thấp trước sau. Nếu có đường cong trên cầu thì phải bảo đảm độ siêu cao, gia khoan và tim đường với tim cầu đúng yêu cầu, bảo đảm đủ chiều dầy đá ba lát dưới tà vẹt không để tải trọng đoàn tàu tác động trực tiếp xuống máng ba lát;
- Điều chỉnh mối ray nằm trên tà vẹt, đảm bảo khe hở đúng tiêu chuẩn, mối ray so le, mối ray nằm trong khu vực cấm;
- Sửa chữa đầu thoi và đoạn từ đầu thoi vào tới cầu;
- Lau dầu, sửa chữa, bổ sung, thay lẻ tẻ bu lông vòng đệm mối;
- Bổ sung ngàm phòng xô;
- Đảo ray mòn từ cầu trung trở xuống.
b) Lau dầu, sửa chữa, bổ sung, thay mới lẻ tẻ các loại đinh, bu lông vòng đệm, cóc, các loại phụ kiện khác liên kết ray với tà vẹt.
c) Sửa chữa tà vẹt.
- Đai lại đầu tà vẹt gỗ bị đứt, sửa lại lỗ đinh;
- Điều chỉnh và đệm tà vẹt trên tường chắn đá;
- Điều chỉnh cự ly tà vẹt, ke vuông góc tà vẹt;
- Bổ sung, thay lẻ tẻ các loại bản đệm thép, cao su, nhựa và các vật tư cần thiết khác có liên quan;
- Bổ sung các thanh ke vuông tà vẹt, thanh giằng cự ly.
d) Thay lẻ tẻ tà vẹt mất tác dụng: Gỗ mục hoặc tà vẹt sắt, bê tông dập vỡ;
e) Cạo gỉ sơn ray hộ bánh, sơn đầu thoi;
f) Với dầm thép liên hợp bản bê tông cốt thép có máng ba lát thì tán lại hay thay lẻ tẻ đinh, bu lông mất tác dụng. Cạo, sơn dầm thép, lan can gỉ cục bộ;
g) Sửa chữa, trát vá các chỗ nứt vỡ, trát lại mạch xây bong, thối cục bộ, xoa quét, phun ép vữa xi măng hoặc keo vật tư cho dầm nứt quá mức cho phép;
h) Sửa chữa cục bộ tầng phòng thủy, sửa chữa hoặc tăng thêm thiết bị thoát nước, sửa chữa khe co giãn, tường biên;
i) Vệ sinh gối cầu, tra mỡ vào mặt lăn, con lăn và chốt gối cầu, tu sửa đá kê gối, lau dầu bu lông neo gối;
k) Trát vá chỗ vỡ, bong, thối cục bộ mạch xây mố trụ, tường trước, tường biên, chân khay, thoát nước mũ mố trụ, sửa chữa hệ thống thoát nước sau lưng mố;
l) Bổ sung đá, nâng giật chèn đường hai đầu cầu (đầu thoi đến tường trước);
m) Khai thông lòng sông, suối bảo đảm nước chảy thông thoát tránh xói lở.
- Phát cây cỏ bám mố, trụ, dầm và 30m phạm vi thượng hạ lưu cầu;
- Vệ sinh dầm và mố trụ, tránh đọng rác rêu mọc.
n) Sửa chữa cục bộ các kiến trúc điều tiết dòng chảy, kết cấu phòng hộ như xây lát lòng sông suối dưới cầu, kè hướng dòng, kè chân trụ mố;
o) Sửa chữa các thiết bị.
- Sửa chữa thang kiểm tra gối cầu, bậc lên xuống hai đầu mố cầu, sàn tránh tầu, lan can;
- Tô lại rõ ràng chính xác các mốc, dấu theo dõi các vết nứt và hư hỏng khác của dầm, gối, mố trụ, các công trình phòng hộ;
- Sơn kẻ lại thước đo nước, biển báo, lý trình, mốc theo dõi ray chạy;
- Sửa chữa đường người đi (đường bộ hành).
p) Kê đệm, thay lẻ tẻ tấm đan đường bộ hành.
q) Cạo rỉ sơn dầm đỡ lan can, lan can tay vịn đường người đi.
| Mã hiệu | Tên vật liệu | Đơn vị | Số lượng | Ghi chú |
| 09.1.01 | Tà vẹt gỗ + phụ kiện | thanh | 25 |
|
| 09.1.02 | Dây thép đai đầu tà vẹt | kg | 8 |
|
| 09.1.03 | Cao phòng mục | kg | 1 |
|
| 09.1.04 | Đệm sắt | cái | 14 |
|
| 09.1.05 | Đinh đường | cái | 120 |
|
| 09.1.06 | Thanh giằng đường tà vẹt gỗ | thanh | 2 |
|
| 09.1.07 | Ray chạy tầu 25 m | thanh | 0,2 |
|
| 09.1.08 | Sắt mối | đôi | 0,2 |
|
| 09.1.09 | Tà vẹt bê tông + phụ kiện | thanh | 4 |
|
| 09.1.10 | Bu lông cóc các loại | cái | 40 |
|
| 09.1.11 | Vòng đệm vênh | cái | 100 |
|
| 09.1.12 | Cóc các loại (cóc cứng) | cái | 20 |
|
| 09.1.13 | Đệm cao su các loại | cái | 60 |
|
| 09.1.14 | Căn U (tà vẹt bê tông) | cái | 40 |
|
| 09.1.15 | Tà vẹt sắt | thanh | 8 |
|
| 09.1.16 | Bu lông mối ray + vòng đệm | cái | 10 |
|
| 09.1.17 | Dầu phòng mục | kg | 1,5 |
|
| 09.1.18 | Dầu nhờn | kg | 1 |
|
| 09.1.19 | Mỡ nhờn | kg | 1 |
|
| 09.1.20 | Sơn chống gỉ | kg | 14 | cầu BTCT liên hợp |
| 09.1.21 | Sơn phủ dầm | kg | 21 | Cầu BTCT liên hợp |
| 09.1.22 | Sơn đen (ray hộ bánh) | kg | 8 |
|
| 09.1.23 | Sơn trắng | kg | 1,5 |
|
| 09.1.24 | Sơn đỏ (kiểm tra) | kg | 1 |
|
| 09.1.25 | Xi măng PC30 | kg | 100 |
|
| 09.1.26 | Cát phòng hỏa | m³ | 1,5 |
|
| 09.1.27 | Đá hộc | m³ | 5 |
|
| 09.1.28 | Đá dăm | m³ | 12,5 |
|
| 09.1.29 | Sơn chống gỉ | kg | 5 | Cầu BTCT |
| 09.1.30 | Sơn phủ | kg | 4 | Cầu BTCT |
| Mã hiệu | Tên vật liệu | Đơn vị | Số lượng | Ghi chú |
| 09.2.01 | Tà vẹt gỗ + phụ kiện | thanh | 25 |
|
| 09.2.02 | Dây thép đai đầu tà vẹt | kg | 8 |
|
| 09.2.03 | Cao phòng mục | kg | 1 |
|
| 09.2.04 | Đệm sắt | cái | 16 |
|
| 09.2.05 | Đinh đường | cái | 120 |
|
| 09.2.06 | Thanh giằng đường tà vẹt gỗ | thanh | 2 |
|
| 09.2.07 | Ray chạy tầu 25 m | thanh | 0,2 |
|
| 09.2.08 | Sắt mối | đôi | 0,2 |
|
| 09.2.09 | Tà vẹt bê tông + phụ kiện | thanh | 4 |
|
| 09.2.10 | Bu lông cóc các loại | cái | 40 |
|
| 09.2.11 | Vòng đệm vênh | cái | 100 |
|
| 09.2.12 | Cóc các loại (cóc cứng) | cái | 20 |
|
| 09.2.13 | Đệm cao su các loại | cái | 60 |
|
| 09.2.14 | Căn U (tà vẹt bê tông) | cái | 40 |
|
| 09.2.15 | Đệm sắt | bản | 6 |
|
| 09.2.16 | Tà vẹt sắt | thanh | 8 |
|
| 09.2.17 | Bu lông mối ray + vòng đệm | cái | 10 |
|
| 09.2.18 | Dầu phòng mục | kg | 2 |
|
| 09.2.19 | Dầu nhờn | kg | 1 |
|
| 09.2.20 | Mỡ nhờn | kg | 1 |
|
| 09.2.21 | Sơn chống gỉ | kg | 14 | Cầu BTCT liên hợp |
| 09.2.22 | Sơn phủ dầm | kg | 21 | Cầu BTCT liên hợp |
| 09.2.23 | Sơn đen (ray hộ bánh) | kg | 8 |
|
| 09.2.24 | Sơn trắng | kg | 1,5 |
|
| 09.2.25 | Sơn đỏ (kiểm tra) | kg | 1 |
|
| 09.2.26 | Xi măng PC30 | kg | 150 |
|
| 09.2.27 | Cát phòng hỏa | m3 | 1,5 |
|
| 09.2.28 | Đá hộc | m³ | 5 |
|
| 09.2.29 | Đá ba lát | m³ | 12,5 |
|
| 09.2.30 | Sơn chống gỉ | kg | 5 | Cầu BTCT |
| 09.2.31 | Sơn phủ | kg | 4 | Cầu BTCT |
| Mã hiệu | Tên vật liệu | Đơn vị | Số lượng | Ghi chú |
| 09.3.01 | Tà vẹt gỗ + phụ kiện | thanh | 25 |
|
| 09.3.02 | Bu lông mối ray + vòng đệm | cái | 15 |
|
| 09.3.03 | Dây thép đai đầu tà vẹt | kg | 8 |
|
| 09.3.04 | Cao phòng mục | kg | 1 |
|
| 09.3.05 | Dầu phòng mục | kg | 1,5 |
|
| 09.3.06 | Dầu nhờn | kg | 1 |
|
| 09.3.07 | Mỡ nhờn | kg | 1 |
|
| 09.3.08 | Ray chạy tầu 25 m | thanh | 0,3 |
|
| 09.3.09 | Sắt mối | đôi | 0,3 |
|
| 09.3.10 | Sơn chống gỉ | kg | 14 |
|
| 09.3.11 | Sơn phủ dầm | kg | 21 |
|
| 09.3.12 | Sơn đen (ray hộ bánh) | kg | 8 |
|
| 09.3.13 | Sơn trắng | kg | 1,5 |
|
| 09.3.14 | Sơn đỏ (kiểm tra) | kg | 1 |
|
| 09.3.15 | Đệm sắt | cái | 9 |
|
| 09.3.16 | Xi măng PC30 | kg | 200 |
|
| 09.3.17 | Cát phòng hỏa | m³ | 1,5 |
|
| 09.3.18 | Đá hộc | m³ | 5 |
|
| 09.3.19 | Đá dăm | m³ | 12,5 |
|
| 09.3.20 | Đinh đường | cái | 180 |
|
Điều 14. Vật tư cho cầu bê tông cốt thép liên hợp đi riêng ray đặt trực tiếp
1. Nội dung bảo trì
a) Sửa chữa các loại ray trên cầu:
- Điều chỉnh phương hướng, cự ly, thủy bình;
- Điều chỉnh mối ray theo đúng yêu cầu;
- Đệm ray treo, thay các bản đệm cao su bị hư hỏng;
- Đảo ray chạy tàu mòn từ cầu trung trở xuống.
b) Lau dầu, sửa chữa, bổ sung, thay lẻ tẻ các bu lông cóc, long đen liên kết ray với tấm đan mặt cầu, liên kết ray chạy tầu và ray hộ bánh.
c) Cạo rỉ, sơn ray hộ bánh, đầu thoi.
d) Cạo rỉ, sơn bảo vệ dầm thép, lan can rỉ cục bộ.
e) Sửa chữa tại chỗ các khuyết tật hệ thanh giằng của dầm thép hoặc nắn cánh dầm bị cong vênh, tán hoặc thay đinh hỏng lẻ tẻ.
f) Vệ sinh gối cầu, tra mỡ vào mặt lăn, con lăn, chốt gối cầu. Sửa chữa đá kê gối, lau dầu bu lông neo gối.
g) Trát vá các chỗ nứt vỡ, bong, thối cục bộ mạch xây mố trụ, tường trước, tường biên, chân khay, hộ mố, thoát nước, mũ mố trụ, sửa chữa hệ thoát nước sau lưng mố.
h) Bổ sung đá nâng giật chèn đường hai đầu kể từ đầu thoi đến tường trước.
i) Vệ sinh, khai thông lỗ thoát nước dầm.
k) Kẻ lại lý trình, biển báo, làm cỏ hai đầu mố.
| Mã hiệu | Tên vật liệu | Đơn vị | Số lượng | Ghi chú |
| 09.4.01 | Bu lông mối ray + vòng đệm | cái | 10 |
|
| 09.4.02 | Dầu nhờn | kg | 6 |
|
| 09.4.03 | Mỡ nhờn | kg | 8 |
|
| 09.4.04 | Ray chạy tầu 25 m | thanh | 0,6 |
|
| 09.4.05 | Sắt mối | đôi | 0,6 |
|
| 09.4.06 | Sơn chống gỉ | kg | 14 |
|
| 09.4.07 | Sơn phủ | kg | 21 |
|
| 09.4.08 | Sơn đen (ray hộ bánh) | kg | 8 |
|
| 09.4.09 | Sơn trắng | kg | 1,5 |
|
| 09.4.10 | Sơn đỏ (kiểm tra) | kg | 1 |
|
| 09.4.11 | Bu lông suốt | cái | 20 |
|
| 09.4.12 | Cóc các loại | cái | 20 |
|
| 09.4.13 | Xi măng PC30 | kg | 450 |
|
| 09.4.14 | Cát vàng | m³ | 6 |
|
| 09.4.15 | Paraphin | kg | 6 |
|
| 09.4.16 | Lưu huỳnh | kg | 10 |
|
| 09.4.17 | Đá hộc | m³ | 5 |
|
| 09.4.18 | Đá dăm | m³ | 2 |
|
| 09.4.19 | Đệm sắt | cái | 30 |
|
| 09.4.20 | Dung môi pha sơn | kg | 3 |
|
Điều 15. Cầu đường sắt đi chung (Mã hiệu: 10.0.00)
1. Mặt cầu bê tông
a) Nội dung bảo trì:
- Sửa chữa các loại ray trên cầu:
+ Điều chỉnh phương hướng, cự ly, thủy bình;
+ Điều chỉnh mối ray theo đúng yêu cầu;
+ Đệm ray treo, thay các bản đệm cao su bị hư hỏng;
+ Đảo ray chạy tàu mòn từ cầu trung trở xuống.
- Lau dầu, sửa chữa, bổ sung, thay lẻ tẻ các bu lông cóc, vòng đệm liên kết ray với tấm đan mặt cầu, liên kết ray chạy tầu và ray hộ bánh.
- Cạo gỉ, sơn ray hộ bánh, đầu thoi.
- Cạo gỉ, sơn bảo vệ dầm thép, lan can gỉ cục bộ.
- Sửa chữa tại chỗ các khuyết tật của hệ thanh giằng của dầm thép hoặc nắn cánh dầm bị cong vênh, tán hoặc thay đinh hỏng lẻ tẻ.
- Vệ sinh gối cầu, tra mỡ vào mặt lăn, con lăn, chốt gối cầu. Sửa chữa đá kê gối, lau dầu bu lông neo gối.
- Trát vá nứt vỡ, bong, thối cục bộ mạch xây mố trụ, tường trước, tường biên, chân khay, thoát nước mũ mố trụ, sửa chữa hệ thoát nước sau lưng mố.
- Bổ sung đá nâng giật chèn đường hai đầu cầu kể từ đầu thoi đến tường trước, giải quyết êm thuận đường đầu cầu bằng các tấm đan có liên kết chặt chẽ hoặc xử lý thảm bê tông nhựa đường.
- Vệ sinh, khai thông lỗ thoát nước dầm.
- Kẻ lại lý trình, biển báo, làm cỏ hai đầu mố.
- Điều chỉnh khoảng cách giữa ray chính và ray hộ bánh.
- Điều chỉnh cao thấp trước sau của ray chính.
- Thay lẻ tẻ bản bê tông mặt cầu.
- Kê đệm bản bê tông mặt cầu.
- Vệ sinh, duy tu, thay lẻ tẻ tà vẹt sắt.
- Duy tu sửa chữa hệ thống chiếu sáng trên cầu.
- Duy tu sửa chữa cần chắn cổng chắn.
- Duy tu sửa chữa lan can tay vịn, kê đệm tấm đan đường người đi lại.
- Duy tu đường và xe kiểm tra cầu.
- Kiểm tra sửa chữa lưới phòng hộ dưới cầu.
- Sơn kẻ lại thước đo nước.
- Duy tu sửa chữa thang kiểm tra trụ, bậc thang lên xuống mố.
| Mã hiệu | Tên vật liệu | Đ. vị | Số lượng | Ghi chú |
| 10.1.01 | Bao tải tẩm nhựa đường | m2 | 10 |
|
| 10.1.02 | Bản bê tông mặt cầu loại A | tấm | 7 |
|
| 10.1.03 | Bản bê tông mặt cầu loại B | tấm | 3 |
|
| 10.1.04 | Cóc bắt ray | cái | 120 |
|
| 10.1.05 | Cóc bắt dầm dọc đường sắt | cái | 120 |
|
| 10.1.06 | Ray chạy tầu 25m | th | 0,2 |
|
| 10.1.07 | Sắt mối | đôi | 0,2 |
|
| 10.1.08 | Bu lông mối ray + vòng đệm | cái | 10 |
|
| 10.1.09 | Đệm cao su các loại | cái | 10 |
|
| 10.1.10 | Sơn đỏ (kiểm tra) | kg | 1 |
|
| 10.1.11 | Xi măng PC30 | kg | 200 |
|
| 10.1.12 | Dầu nhờn | kg | 6 |
|
| 10.1.13 | Mỡ nhờn | kg | 6 |
|
| 10.1.14 | Sơn chống gỉ dầm I/dầm dàn | kg | 1,15x14/1,1x22 | Có hệ số chiều cao |
| 10.1.15 | Sơn phủ dầm I/dầm dàn | kg | 1,15x21/1,1x35 | Có hệ số chiều cao |
| 10.1.16 | Sơn đen (ray hộ bánh) | kg | 6 |
|
| 10.1.17 | Sơn trắng | kg | 1,5 |
|
| 10.1.18 | Bản bê tông đường bộ hành | bản | 20 |
|
| 10.1.19 | Bu lông liên kết các loại | cái | 100 |
|
| 10.1.20 | Dầm dọc đường sắt gờ chắn bánh ôtô | m | 10 |
|
| 10.1.21 | Dầm dọc đường người đi | m | 20 |
|
| 10.1.22 | Thép hình (chủ yếu thép tròn) | kg | 30 |
|
| 10.1.23 | Cát phòng hỏa | m³ | 1 |
|
| 10.1.24 | Que hàn | kg | 15 |
|
| 10.1.25 | Nhựa đường | kg | 20 |
|
| 10.1.26 | Đá hộc | m³ | 5 |
|
| 10.1.27 | Bóng điện cao áp | cái | 10 |
|
| 10.1.28 | Chấn lưu, tụ, kích đèn cao áp | Bộ | 5 |
|
| 10.1.29 | Dây điện chiếu sáng các loại | m | 20 |
|
| Mã hiệu | Tên vật liệu | Đ. vị | Số lượng | Ghi chú |
| 10.2.01 | Bao tải tẩm nhựa đường | m2 | 10 |
|
| 10.2.02 | Bản bê tông mặt cầu loại A | bản | 7 |
|
| 10.2.03 | Bản bê tông mặt cầu loại B | bản | 3 |
|
| 10.2.04 | Cóc bắt ray | cái | 120 |
|
| 10.2.05 | Cóc bắt dầm dọc đường sắt | cái | 120 |
|
| 10.2.06 | Ray chạy tầu 25m | thanh | 0,2 |
|
| 10.2.07 | Sắt mối | đôi | 0,2 |
|
| 10.2.08 | Bu lông mối ray + vòng đệm | cái | 10 |
|
| 10.2.09 | Đệm cao su các loại | cái | 10 |
|
| 10.2.10 | Sơn đỏ (kiểm tra) | kg | 1 |
|
| 10.2.11 | Xi măng PC30 | kg | 200 |
|
| 10.2.12 | Dầu nhờn | kg | 6 |
|
| 10.2.13 | Mỡ nhờn | kg | 10 |
|
| 10.2.14 | Sơn chống gỉ | kg | 42 | Có hệ số điều chỉnh |
| 10.2.15 | Sơn phủ | kg | 68 | Có hệ số điều chỉnh |
| 10.2.16 | Sơn đen (ray hộ bánh) | kg | 6 |
|
| 10.2.17 | Sơn trắng | kg | 1,5 |
|
| 10.2.18 | Bản bê tông đường bộ hành | bản | 20 |
|
| 10.2.19 | Bu lông liên kết các loại | cái | 100 |
|
| 10.2.20 | Dầm dọc đường sắt gờ chắn bánh ôtô | m | 10 |
|
| 10.2.21 | Đà dọc đường người đi | m | 20 |
|
| 10.2.22 | Sắt tròn | m | 30 |
|
| 10.2.23 | Cát phòng hỏa | m³ | 1 |
|
| 10.2.24 | Que hàn | Kg | 15 |
|
| 10.2.25 | Nhựa đường | Kg | 180 |
|
| 10.2.26 | Đá hộc | m³ | 5 |
|
| 10.2.27 | Bóng điện cao áp | cái | 10 |
|
| 10.2.28 | Chấn lưu, tụ, kích đèn cao áp | Bộ | 5 |
|
| 10.2.29 | Dây điện chiếu sáng các loại | m | 20 |
|
| Mã hiệu | Tên vật liệu | Đ. Vị | Số lượng | Ghi chú |
| 10.3.01 | Bao tải tẩm nhựa đường | m2 | 10 |
|
| 10.3.02 | Bản bê tông mặt cầu loại A | bản | 7 |
|
| 10.3.03 | Bản bê tông mặt cầu loại B | bản | 3 |
|
| 10.3.04 | Cóc bắt ray | cái | 120 |
|
| 10.3.05 | Cóc bắt dầm dọc đường sắt | cái | 120 |
|
| 10.3.06 | Ray chạy tầu 25 m | thanh | 0,3 |
|
| 10.3.07 | Sắt mối | đôi | 0,3 |
|
| 10.3.08 | Bu lông mối ray + vòng đệm | cái | 15 |
|
| 10.3.09 | Đệm cao su các loại | cái | 15 |
|
| 10.3.10 | Sơn đỏ (kiểm tra) | kg | 1 |
|
| 10.3.11 | Xi măng PC30 | kg | 200 |
|
| 10.3.12 | Dầu nhờn | kg | 6 |
|
| 10.3.13 | Mỡ nhờn | kg | 10 |
|
| 10.3.14 | Sơn chống gỉ | kg | 42 | Có hệ số điều chỉnh |
| 10.3.15 | Sơn phủ | kg | 68 | Có hệ số điều chỉnh |
| 10.3.16 | Sơn đen (ray hộ bánh) | kg | 6 |
|
| 10.3.17 | Sơn trắng | kg | 1,5 |
|
| 10.3.18 | Bản bê tông đường bộ hành | bản | 20 |
|
| 10.3.19 | Bu lông liên kết các loại | cái | 120 |
|
| 10.3.20 | Tấm lát giữa 2 khổ đường | m | 10 |
|
| 10.3.21 | Đà dọc đường người đi | m | 20 |
|
| 10.3.22 | Sắt tròn | m | 30 |
|
| 10.3.23 | Cát phòng hỏa | m³ | 1 |
|
| 10.3.24 | Que hàn | kg | 15 |
|
| 10.3.25 | Nhựa đường | kg | 180 |
|
| 10.3.26 | Đá hộc | m³ | 5 |
|
| 10.3.27 | Bóng điện cao áp | cái | 10 |
|
| 10.3.28 | Chấn lưu, tụ, kích đèn cao áp | Bộ | 5 |
|
| 10.3.29 | Dây điện chiếu sáng các loại | m | 20 |
|
2. Mặt cầu gỗ
a) Nội dung bảo trì
- Đảm bảo đầy đủ đúng tiêu chuẩn kỹ thuật các loại ray trên cầu:
+ Điều chỉnh khe hở giữa ray chạy tầu với ray hộ bánh;
+ Chỉnh sửa chữa phương hướng, cự ly, thủy bình, cao thấp trước sau;
+ Dồn điều chỉnh mối ray;
+ Lau dầu, sửa chữa, thay lẻ tẻ bu lông, vòng đệm mối.
- Lau dầu, sửa chữa, thay lẻ tẻ đinh xoắn, đinh vuông, bu lông móc, vòng đệm liên kết các loại ray với tà vẹt.
- Thay lẻ tẻ tà vẹt mục mất tác dụng.
- Thay lẻ tẻ dầm dọc đường ôtô mục.
- Thay lẻ tẻ ván ôtô mục. Thay đà chắn bánh xe mặt cầu bị mục.
- Thay nẹp ván đường ôtô hỏng. Thay các loại bu lông ghim nẹp đầu ván, bu lông ghim, đà chắn bánh xe mặt cầu.
- Sửa chữa, bổ sung, thay lẻ tẻ ván đường bộ hành.
- Cạo gỉ, sơn ray hộ bánh, sơn dầu thoi.
- Cạo gỉ, sơn bảo vệ kết cấu thép (dầm, palê, lan can) bị gỉ cục bộ và các khe kẽ tích nước.
- Tán lẻ tẻ số lượng nhỏ rivê mất tác dụng, bổ sung hoặc thay lẻ tẻ bu lông cường độ cao, bu lông tinh chế thiếu và mất tác dụng.
- Gia cố tu sửa tại chỗ các thanh nứt, cong vênh của kết cấu thép (dầm, palê, lan can); cải thiện chi tiết chưa hợp lý, bổ sung thép góc chống xô tà vẹt.
- Lau chùi sạch sẽ và bôi mỡ vào mặt lăn, con lăn, chốt gối cầu. Lau dầu bu lông neo, tu sửa bệ gối cầu.
- Trát vá các chỗ nứt vỡ, bong, thối cục bộ mạch xây mố trụ, tường trước, tường biên, chân khay. Sửa chữa hệ thống thoát nước sau lưng mố.
- Sửa chữa, thay lẻ tẻ các tấm đan bê tông 2 đầu cầu. Điều chỉnh cự ly, ray chạy tàu và khe hở giữa ray chạy tầu với ray hộ bánh.
- Khai thông lòng sông, suối đảm bảo nước chảy thông thoát tránh xói lở. Phát cây, cỏ bám vào mố trụ, dầm, trong phạm vi thượng, hạ lưu cầu 30m.
- Sửa chữa cục bộ các công trình điều tiết dòng chảy, kết cấu phòng hộ; xây lát lòng sông dưới cầu, kè hướng dòng, kè chân mố trụ palê, lồng đá.
- Sửa chữa thiết bị:
+ Tu sửa thiết bị phòng hỏa;
+ Sửa chữa thang kiểm tra cầu, bậc lên xuống hai mố, sàn tránh tầu;
+ Tô lại rõ ràng chính xác mốc theo dõi các vết nứt, các hư hỏng khác của dầm, mố trụ, gối các công trình phòng hộ;
+ Sơn kẻ lại thước đo nước, biển báo chỉ dẫn, lý trình cầu, mốc ray;
+ Vệ sinh dầm, mặt cầu, mố trụ.
- Kẻ viết lại các biển báo hai đầu cầu chỉ dẫn lái xe ôtô đúng quy cách.
+ Biển quy định qua cầu;
+ Biển hạn chế tốc độ, tải trọng ôtô;
+ Biển xe đi thuận chiều.
- Sửa chữa hệ thống chiếu sáng, hệ thống dây điện lực, ổ điện phục vụ các thiết bị thi công, thiết bị vệ sinh.
- Sửa chữa cần chắn tầu: Cột, đèn tín hiệu.
- Sửa chữa chạm gác hai đầu cầu.
| Mã hiệu | Tên vật liệu | Đ. vị | Số lượng | Ghi chú |
| 10.4.01 | Tà vẹt gỗ + phụ kiện | thanh | 40 |
|
| 10.4.02 | Ván gỗ đường bộ hành 2 bên | m³ | 3 |
|
| 10.4.03 | Bu lông móc cầu + vòng đệm | cái | 120 |
|
| 10.4.04 | Đinh xoắn (tia rơ phông) | cái | 120 |
|
| 10.4.05 | Bu lông mối ray + vòng đệm | cái | 10 |
|
| 10.4.06 | Dây thép đai đầu tà vẹt | kg | 10 |
|
| 10.4.07 | Đinh đóng ván đường bộ hành | kg | 5 |
|
| 10.4.08 | Cao phòng mục | kg | 1,5 |
|
| 10.4.09 | Dầu phòng mục | kg | 5 |
|
| 10.4.10 | Dầu nhờn | kg | 8 |
|
| 10.4.11 | Mỡ nhờn | kg | 6 |
|
| 10.4.12 | Ray chạy tầu | th | 0,4 |
|
| 10.4.13 | Sắt mối | đôi | 0,4 |
|
| 10.4.14 | Sơn chống gỉ dầm I/dầm dàn | kg | 1,3x14/1,15x25 | Có hệ số chiều cao |
| 10.4.15 | Sơn phủ dầm I/dầm dàn | kg | 1,3x21/1,15x35 | Có hệ số chiều cao |
| 10.4.16 | Sơn đen (ray hộ bánh) | kg | 6 |
|
| 10.4.17 | Sơn trắng | kg | 1,5 |
|
| 10.4.18 | Sơn đỏ (kiểm tra) | kg | 1 |
|
| 10.4.19 | Tôn đệm ray treo 0,5~2m/m | m2 | 1 |
|
| 10.4.20 | Xi măng PC30 | kg | 150 |
|
| 10.4.21 | Cát phòng hỏa | m³ | 1,5 |
|
| 10.4.22 | Đá hộc | m³ | 5 |
|
| 10.4.23 | Bóng điện cao áp | cái | 10 |
|
| 10.4.24 | Chấn lưu, tụ, kích đèn cao áp | Bộ | 5 |
|
| 10.4.25 | Dây điện chiếu sáng các loại | m | 20 |
|
3. Cầu đường sắt có kết cấu đặc thù
| Mã hiệu | Tên vật tư | Đơn vị | Số lượng | |||||
| Đ. Sắt trên dầm Bêtông | Đ. Sắt trên dầm thép | Đường xe thô sơ hai bên dầm thép | Đ. Ôtô tầng 2 | |||||
| Đ. Sắt 1000 mm | Đ. Sắt 1435 mm | Đ. Sắt 1000 mm | Đ. Sắt 1435 mm | |||||
| 10.5.01 | Tà vẹt gỗ cầu + phụ kiện | thanh | 25 | 25 | 40 | 40 |
|
|
| 10.5.02 | Ván tuần đường | m³ |
|
| 0,3 | 0,3 |
|
|
| 10.5.03 | Bu lông móc cầu + vòng đệm | cái |
|
| 80 | 80 |
|
|
| 10.5.04 | Bu lông mối ray + vòng đệm | cái | 10 | 10 | 10 | 10 |
|
|
| 10.5.05 | Dây thép đai dầu tà vẹt | kg | 8 | 8 | 8 | 8 |
|
|
| 10.5.06 | Đinh ván tuần đường 7cm | kg |
|
| 3 | 3 |
|
|
| 10.5.07 | Dầu phòng mục | kg | 2,5 | 2,5 | 4 | 4 |
|
|
| 10.5.08 | Dầu nhờn | kg | 3 | 3 | 10 | 10 |
|
|
| 10.5.09 | Mỡ nhờn | kg | 2,5 | 2,5 | 11,6 | 10 | 3 | 4,8 |
| 10.5.10 | Ray chạy tàu dài 25m | thanh | 0,4 | 0,4 | 0,4 | 0,4 |
|
|
| 10.5.11 | Sắt mối | đôi | 0,4 | 0,4 | 0,4 | 0,4 |
|
|
| 10.5.12 | Sơn chống rỉ | kg | 16,6 | 626 | 16,6 | 1,3 | ||
| 10.5.13 | Sơn phủ | kg | 22 | 816 | 13 | 2,0 | ||
| 10.5.14 | Sơn đen (cho ray hộ bánh) | kg | 8 | 8 | 8 | 8 |
|
|
| 10.5.15 | Sơn trắng | kg | 2 | 2 | 2 | 2 |
|
|
| 10.5.16 | Sơn đỏ (kiểm tra) | kg | 1 | 1 | 1 | 1 |
|
|
| 10.5.17 | Tôn đệm ray treo (0,5~2mm) | m2 | 2 | 2 | 5 | 3 |
|
|
| 10.5.18 | Thép các loại | kg | 40 | 40 | 40 | 40 | 80 |
|
| 10.5.19 | Que hàn cho đường công vụ, thô sơ và chiếu sáng | kg | 5 | 5 | 5 | 5 |
|
|
| 10.5.20 | Xi măng PC40 | kg | 150 | 100 | 150 | 100 | 250 | 250 |
| 10.5.21 | Cát phòng hỏa | m³ | 2 | 2 | 2 | 2 | 2 | 2 |
| 10.5.22 | Đá hộc | m³ | 3 | 2 | 3 | 2 | 2 | 2 |
| 10.5.23 | Đá dăm 2,5x5 | m³ | 15 | 10 |
|
|
|
|
| 10.5.24 | Đinh đường (vuông) | cái | 120 | 120 | 120 | 120 |
|
|
| 10.5.25 | Đinh đường (xoắn) | cái | 30 | 30 | 30 | 30 |
|
|
| 10.5.26 | Thanh giăng tà vẹt gỗ | thanh | 2 | 2 |
|
|
|
|
| 10.5.27 | Đệm thép | cái | 6 | 6 | 6 | 6 |
|
|
| 10.5 28 | Bu lông cóc các loại | cái | 40 | 40 | 40 | 40 |
|
|
| 10.5.29 | Vòng đệm (vênh+phăng) | cái | 50 | 50 | 50 | 50 |
|
|
| 10.5.30 | Thép hình các loại | kg | 50 | 50 | 50 | 50 | 100 | 100 |
| 10.5.31 | Que hàn | kg | 4 | 4 | 10 | 10 | 10 | 10 |
| 10.5.32 | Nhựa đường | kg | 10 | 5 | 8 | 7 | 20 |
|
| 10.5.33 | Tấm đan bê tông đường công vụ | tấm | 5 | 5 | 6 | 4 |
|
|
| 10.5.34 | Tấm đan bê tông lát giữa 2 đường sắt | tấm | 5 | 5 |
|
|
|
|
| 10.5.35 | Thang kiểm tra | cái | 0,2 |
|
|
| 0,2 |
|
| 10.5.36 | Bê tông nhựa (astphan) | m³ |
|
|
|
| 2 |
|
| 10.5.37 | Lò xo khe co giãn (100m đường ôtô) | cái |
|
|
|
|
| 200 |
| 10.5.38 | Tấm thép khe co giãn | t |
|
|
|
| 0,1 | 0,1 |
| 10.5.39 | Bu lông khe co giãn | cái |
|
| 20 | 20 | 10 | 20 |
| 10.5.40 | Khe co giãn đường sắt | cái |
|
| 0,1 |
|
| |
| 10.5.41 | Cho kiến trúc kỷ niệm và tháp hai đầu cầu |
|
|
|
|
|
|
|
|
| - Xi măng PC30 | tấn |
|
|
|
|
| 1 |
|
| - Thép các loại | tân |
|
|
|
|
| 0,1 |
|
| - Sơn tường | tân |
|
|
|
|
| 0,1 |
| 10.5.42 | Hệ thống chiếu sáng trên cầu |
|
|
|
|
|
|
|
|
| - Dây điện các loại | m | 10 | 10 | 10 | 10 | 20 | 20 |
|
| - Bóng điện cao áp | cái | 4 | 3 | 4 | 3 | 10 | 4 |
|
| - Cáp điện 3 pha các loại | m | 8 | 7 | 15 | 10 | 10 | 10 |
|
| - Chấn lưu, tụ điện, kích điện | cái |
|
|
|
| 5 | 5 |
|
| - Chao đèn cao áp | cái |
|
|
|
| 1 | 1 |
| Mã hiệu | Tên vật tư | Đ. vị | Số lượng | Ghi chú |
| 10.6.01 | Tà vẹt gỗ cầu + phụ kiện | thanh | 40 | 16x22x250 |
| 10.6.02 | Tà vẹt gỗ cầu + phụ kiện | thanh | 35 | 18x22x250 |
| 10.6.03 | Tấm đan đường đi bộ | tấm | 24 |
|
| 10.6.04 | Tấm đan đường xe cơ giới | tấm | 30 |
|
| 10.6.05 | Ván tuần cầu | m³ | 0,5 |
|
| 10.6.06 | Bu lông móc + vòng đệm | cái | 80 |
|
| 10.6.07 | Bu lông gờ + vòng đệm | cái | 60 |
|
| 10.6.08 | Bu lông mối + vòng đệm lò xo | cái | 5 |
|
| 10.6.09 | Đinh xoắn (tia rơ phông) | cái | 80 |
|
| 10.6.10 | Dây thép đai đầu tà vẹt | kg | 8 |
|
| 10.6.11 | Sắt mối | đôi | 0,2 |
|
| 10.6.12 | Mỡ nhờn | kg | 5 |
|
| 10.6.13 | Sơn chống gỉ | kg | 105 |
|
| 10.6.14 | Sơn phủ | kg | 500 |
|
| 10.6.15 | Sơn mầu | kg | 15 |
|
| 10.6.16 | Sơn đen (ray hộ bánh) | kg | 8 |
|
| 10.6.17 | Bao tải tẩm nhựa đường lót kê | m2 | 4 |
|
| 10.6.18 | Cát phòng hỏa | m³ | 1,5 |
|
| 10.6.19 | Xi măng PC30 | m³ | 200 | Sửa mố trụ, |
| 10.6.20 | Đá dăm | m³ | 1 | đường dẫn, |
| 10.6.21 | Cát vàng | m³ | 0,7 | lan can |
| 10.6.22 | Tôn đệm ray treo 2 mm | m2 | 2 |
|
| 10.6.23 | Sắt thép các loại | kg | 1500 |
|
| 10.6.24 | Thang ván | thanh | 100 |
|
| 10.6.25 | Ray gờ | kg | 430 |
|
| 10.6.26 | Nhựa đường | kg | 100 |
|
| 10.6.27 | Hắc ín | kg | 5 |
|
| 10.6.28 | Vòng đệm phẳng | cái | 120 |
|
| 10.6.29 | Ray chạy tầu dài 25 m | thanh | 0,2 |
|
| 10.6.30 | Oxy | chai | 9 |
|
| 10.6.31 | Đất đèn | kg | 90 |
|
| 10.6.32 | Que hàn | kg | 30 |
|
| 10.6.33 | Đinh vuông (campông) | cái | 100 |
|
| 10 6.34 | Bê tông nhựa atphan | m | 0,5 |
|
| 10 6.35 | Bóng điện cao áp | cái | 10 |
|
| 10.6.36 | Chấn lưu, tụ, kích đèn cao áp | Bộ | 5 |
|
| 10.6.37 | Dây điện chiếu sáng các loại | m | 20 |
|
| Mã hiệu | Tên vật tư | Đ. vị | Số lượng | Ghi chú |
| 10.7.01 | Tà vẹt cầu | th | 40 | 0,24x0,22x3,25m |
| 10.7.02 | Bu lông móc tiêu chuẩn | cái | 60 | L = 270mm |
| 10.7.03 | Sơn chống rỉ | kg | 300 |
|
| 10.7.04 | Sơn phủ | kg | 500 |
|
| 10.7.05 | Đinh đường | cái | 172 |
|
| 10.7.06 | Ray chính trên cầu dài 25m | th | 0,20 |
|
| 10.7.07 | Sắt góc gờ 100x100mm | kg | 440 |
|
| 10.7.08 | Sắt góc hộ bánh 100x100mm | kg | 440 |
|
| 10.7.09 | Bu lông gờ hộ bánh 80mm | cái | 18 |
|
| 10.7.10 | Bu lông mối | cái | 10 |
|
| 10.7.11 | Lan can đường người đi | m | 19 |
|
| 10.7.12 | Mắt phản quang | cái | 21 |
|
| 10.7.13 | Phân làn đường ôtô và bộ hành | m | 19 |
|
| 10.7.14 | Đá hộc | m³ | 7 | Duy tu tứ nón mố |
| 10.7.15 | Lập lách ray chính | bộ | 0,20 |
|
| 10.7.16 | Lập lách hộ bánh và sắt góc gờ | bộ | 2 |
|
| 10.7.17 | Thép tấm 3mm | kg | 135 |
|
| 10.7.18 | Dây thép bó đầu tà vẹt | kg | 16 |
|
| 10.7.19 | Nhựa đường | kg | 40 |
|
| 10.7.20 | Đinh đóng ván tuần đường | kg | 7 |
|
| 10.7.21 | Đinh tia rơ phông | cái | 38 |
|
| 10.7.22 | Ván tuần đường | m³ | 1,34 |
|
| 10.7.23 | Xi măng PC30 | kg | 500 | Nón mố+kè hướng dòng |
| 10.7.24 | Cát vàng | m³ | 8 |
|
| 10.7.25 | Que hàn | kg | 13 |
|
| 10.7.26 | Mỡ bò | kg | 5 |
|
| 10.7.27 | Tấm thép khe co giãn đường ôtô | tấm | 1 |
|
| 10.7.28 | Bu lông khe co giãn đường ôtô | cái | 14 |
|
| 10.7.29 | Bóng điện cao áp | cái | 10 |
|
| 10.7.30 | Chấn lưu, tụ, kích đèn cao áp | Bộ | 5 |
|
| 10.7.31 | Dây điện chiếu sáng các loại | m | 20 |
|
Điều 16. Vật tư cho hầm, cống đường sắt (Mã hiệu 11.0.00)
1. Hầm đường sắt
a) Nội dung bảo trì
- Bảo đảm đầy đủ đúng tiêu chuẩn kỹ thuật đường trong hầm:
+ Thay hoặc đảo ray mòn, tật hỏng quá tiêu chuẩn kỹ thuật;
+ Điều chỉnh tim đường, khe hở giữa ray chạy tầu và ray chống trật bánh (nếu có) theo đúng yêu cầu;
+ Sàng, bổ sung đá nâng giật chèn sửa chữa phương hướng, cự ly, thủy bình, cao thấp trước sau;
+ Điều chỉnh siêu cao, gia khoan (mở rộng bụng đường cong - nếu có đường cong);
+ Ke vuông tà vẹt, điều chỉnh mối ray, điều chỉnh khoảng cách tà vẹt;
+ Lau dầu, sửa chữa, thay mới lẻ tẻ bu lông và vòng đệm mối ray;
+ Chỉnh sửa phòng xô, lau dầu, sửa chữa giằng cự ly, ke tà vẹt;
+ Lau dầu, sửa chữa, thay lẻ tẻ hoặc bổ sung các loại đinh, bu lông, bản đệm, căn đệm liên kết ray với tà vẹt;
+ Sửa chữa tà vẹt, thay lẻ tẻ tà vẹt mất tác dụng;
+ Sửa chữa vòm ngửa hoặc nền bê tông liền khối.
- Thoát nước trong hầm:
+ Nạo vét cỏ rác, đất đá, khai thông rãnh thoát nước dọc, ngang;
+ Tu sửa xây trát lại các rãnh hư hỏng cục bộ;
+ Tu sửa nắp rãnh và thay lẻ tẻ nắp rãnh hỏng;
+ Sửa chữa (đục rộng ra sau đó vá lại) dọn sạch khai thông lỗ thoát nước ở trên và chân tường biên;
+ Sửa hoặc khoan bổ sung lỗ thoát nước sau lưng áo hầm.
- Tu sửa ngách tránh tầu khô ráo sạch sẽ, quét trắng vành để nhận biết.
- Tu sửa áo hầm:
+ Cạo sạch rêu cỏ, muội khói bám vào áo hầm;
+ Theo dõi các vết nứt sau 1 năm nếu đã ổn định không phát triển nữa thì trám trát lại (dùng công nghệ vữa và dính kết êpôxy);
+ Trám vá lại các sứt vỡ khác trên áo hầm;
+ Tẩy, trám vá chỗ bong, vỡ, thối mạch vữa xây đá tường đứng;
+ Sửa chữa, sơn chống gỉ kết cấu khung thép gia cố hầm.
- Tu sửa cửa hầm:
+ Trát vá các mạch xây nứt vỡ, bong thối tường đầu, tường cánh;
+ Sửa chữa, trát vá lại rãnh đỉnh hầm, rãnh đứng hai cửa hầm;
+ Sửa chữa, trát vá hoặc xây lại cục bộ sân thượng, tường tai, bậc lên xuống sân thượng ở hai cửa hầm.
- Thoát nước ngoài cửa hầm:
+ Khai thông rãnh dọc ngoài cửa hầm, sửa chữa, trát vá hoặc xây lại cục bộ rãnh dọc bị hư hỏng, kể cả nắp rãnh (nếu có);
+ Khai thông rãnh đỉnh, sửa chữa xây trát hư hỏng cục bộ;
+ San lấp các hố trũng tụ nước mặt đất trên đỉnh hầm;
+ Nhổ bỏ các cây cối mọc trên đỉnh hầm;
+ Đào, diệt và lấp các ổ mối trên đỉnh hầm.
- Tu sửa mái đường cửa hầm:
+ Vệ sinh, làm sạch cỏ cây trên tường chống vách hoặc mái ta luy;
+ Sửa chữa, trát vá lại các mạch xây nứt vỡ, bong thối mái ta luy;
+ Sửa chữa, trát vá lại các vết nứt đã ổn định và các sứt mẻ, vỡ tường vách bê tông.
- Sửa chữa toàn bộ hệ thống thiết bị thông gió, đo nồng độ khí độc hại.
- Sửa chữa hệ thống đường dây thông tin, tín hiệu, điện lực, chiếu sáng.
- Sơn, kẻ lại các biển hiệu, biển báo, cọc mốc và biển tên, lý trình hầm.
- Đo kiểm lại khổ giới hạn của hầm.
- Phối hợp sửa chữa hệ thống cột tín hiệu báo trước, hệ thống điện thoại.
| Mã hiệu | Tên vật liệu | Đơn vị | Số lượng | Ghi chú |
| 11.1.01 | Bu lông mối ray + vòng đệm | cái | 10 |
|
| 11.1.02 | Mỡ nhờn | kg | 1 |
|
| 11.1.03 | Ray chạy tầu 25m | thanh | 0,2 |
|
| 11.1.04 | Sắt mối | đôi | 0,2 |
|
| 11.1.05 | Sơn chống gỉ | kg | 8 |
|
| 11.1.06 | Sơn đen | kg | 8 |
|
| 11.1.07 | Sơn trắng | kg | 1,5 |
|
| 11.1.08 | Sơn đỏ (kiểm tra) | kg | 1 |
|
| 11.1.09 | Xi măng PC30 | kg | 200 |
|
| 11.1.10 | Cát phòng hỏa | m³ | 2 |
|
| 11.1.11 | Đá hộc | m³ | 5 |
|
| 11.1.12 | Tà vẹt sắt cũ | thanh | 10 |
|
| 11.1.13 | Đá ba lát | m³ | 12,5 |
|
| 11.1.14 | Bu lông cóc các loại | cái | 40 |
|
| 11.1.15 | Vòng đệm lò xo | cái | 50 |
|
| 11.1.16 | Cóc các loại | cái | 40 |
|
| 11.1.17 | Tấm đan (lát rãnh nước) | tấm | 5 |
|
| 11.1.18 | Thang kiểm tra | cái | 1 |
|
| 11.1.19 | Tà vẹt gỗ | thanh | 18 |
|
| 11.1.20 | Đệm sắt | cái | 15 |
|
| 11.1.21 | Đinh đường | cái | 85 |
|
| Mã hiệu | Tên vật liệu | Đơn vị | Số lượng | Ghi chú |
| 11.2.01 | Bu lông mối ray + vòng đệm | cái | 10 |
|
| 11.2.02 | Dây thép đai đầu tà vẹt | kg | 8 |
|
| 11.2.03 | Thang kiểm tra | cái | 1 |
|
| 11.2.04 | Dầu phòng mục | kg | 2,5 |
|
| 11.2.05 | Mỡ nhờn | kg | 1 |
|
| 11.2.06 | Sắt mối | đôi | 0,2 |
|
| 11.2.07 | Ray dài 25 m | thanh | 0,2 |
|
| 11.2.08 | Sơn chống gỉ | kg | 8 |
|
| 11.2.09 | Sơn đen | kg | 8 |
|
| 11.2.10 | Sơn trắng | kg | 1,5 |
|
| 11.2.11 | Sơn đỏ | kg | 1 |
|
| 11.2.12 | Xi măng PC30 | kg | 200 |
|
| 11.2.13 | Cát phòng hỏa | m³ | 1 |
|
| 11.2.14 | Tà vẹt gỗ | thanh | 25 |
|
| 11.2.15 | Đá ba lát | m³ | 10 |
|
| 11.2.16 | Bản đệm thép | cái | 6 |
|
| 11.2.17 | Đinh đường | cái | 120 |
|
| 11.2.18 | Thanh giằng | cái | 2 |
|
| 11.2.19 | Tấm đan (lát rãnh nước) | tấm | 5 |
|
| Mã hiệu | Tên vật liệu | Đơn vị | Số lượng | Ghi chú |
| 11.3.01 | Bu lông mối ray + vòng đệm | cái | 10 |
|
| 11.3.02 | Dây thép đai đầu tà vẹt | kg | 8 |
|
| 11.3.03 | Thang kiểm tra | cái | 1 |
|
| 11.3.04 | Dầu phòng mục | kg | 2,5 |
|
| 11.3.05 | Mỡ nhờn | kg | 1 |
|
| 11.3.06 | Sắt mối | đôi | 0,3 |
|
| 11.3.07 | Ray dài 25m | thanh | 0,3 |
|
| 11.3.08 | Sơn chống gỉ | kg | 8 |
|
| 11.3.09 | Sơn đen | kg | 8 |
|
| 11.3.10 | Sơn trắng | kg | 1,5 |
|
| 11.3.11 | Sơn đỏ | kg | 1 |
|
| 11.3.12 | Xi măng PC30 | kg | 200 |
|
| 11.3.13 | Cát phòng hỏa | m³ | 1 |
|
| 11.3.14 | Tà vẹt gỗ | thanh | 25 |
|
| 11.3.15 | Đá ba lát | m³ | 10 |
|
| 11.3.16 | Bản đệm thép | cái | 9 |
|
| 11.3.17 | Đinh đường | cái | 180 |
|
| 11.3.18 | Thanh giằng | cái | 2 |
|
| 11.3.19 | Tấm đan (lát rãnh nước) | tấm | 5 |
|
| Mã hiệu | Tên vật liệu | Đơn vị | Số lượng | Ghi chú |
| 11.4.01 | Bu lông mối ray + vòng đệm | cái | 10 |
|
| 11.4.02 | Mỡ nhờn | kg | 1 |
|
| 11.4.03 | Ray chạy tầu dài 12,5 m | thanh | 0,64 |
|
| 11.4.04 | Sắt mối | đôi | 0,64 |
|
| 11.4.05 | Sơn chống gỉ | kg | 8 |
|
| 11.4.06 | Sơn đen | kg | 8 |
|
| 11.4.07 | Sơn trắng | kg | 1,5 |
|
| 11.4.08 | Sơn đỏ (kiểm tra) | kg | 1 |
|
| 11.4.09 | Xi măng PC30 | kg | 400 |
|
| 11.4.10 | Cát phòng hỏa | m³ | 2 |
|
| 11.4.11 | Đá hộc | m³ | 5 |
|
| 11.4.12 | Tà vẹt sắt cũ | thanh | 25 |
|
| 11.4.13 | Đá ba lát | m³ | 12.5 |
|
| 11.4.14 | Bu lông cóc các loại | cái | 40 |
|
| 11.4.15 | Vòng đệm lò xo | cái | 100 |
|
| 11.4.16 | Cóc các loại | cái | 20 |
|
| 11.4.17 | Tấm đan (lát rãnh nước) | tấm | 5 |
|
| 11.4.18 | Thang kiểm tra | cái | 1 |
|
2. Cống đường sắt
a) Nội dung bảo trì:
- Phát cây, cỏ hai đầu cống phạm vi ≥ 5m.
- Nạo vét đất, bùn, cát sỏi, cửa, sân cống, khai thông lòng cống.
- Sửa chữa sân, cửa, tường chắn, ống cống, lòng cống xây hỏng cục bộ.
- Trát lại lớp phòng nước tại đầu các đốt cống.
- Tô sơn lại mốc, dấu theo dõi vết nứt của cống và lún của các đốt cống.
- Chiều dài cống là khoảng cách từ mép ngoài sân cửa vào (nếu có) đến mép ngoài sân cửa ra (nếu có) của cống. Vật tư cho cống kép có 2 hoặc 3 cửa thì chiều dài cống bằng chiều dài cống đơn nhân với hệ số 2 hoặc 3.
| Mã hiệu | Tên vật liệu | Đơn vị | Số lượng | Ghi chú |
| 11.5.01 | Sơn trắng | kg | 1 |
|
| 11.5.02 | Sơn đỏ (kiểm tra) | kg | 1 |
|
| 11.5.03 | Xi măng PC30 | kg | 350 |
|
| 11.5.04 | Cát | m³ | 1,8 |
|
| 11.5.05 | Bao tải | m2 | 10 |
|
| 11.5.06 | Nhựa đường | kg | 15 |
|
| 11.5.07 | Đá dăm | m³ | 0,6 |
|
| 11.5.08 | Đá hộc | m³ | 3 |
|
| Mã hiệu | Tên vật liệu | Đơn vị | Số lượng | Ghi chú |
| 11.6.01 | Sơn trắng | kg | 1 |
|
| 11.6.02 | Sơn đỏ (kiểm tra) | kg | 1 |
|
| 11.6.03 | Xi măng PC30 | kg | 500 |
|
| 11.6.04 | Cát xây và phòng hỏa | m³ | 3,5 |
|
| 11.6.05 | Bao tải | m2 | 10 |
|
| 11.6.06 | Nhựa đường | kg | 15 |
|
| 11.6.07 | Đá dăm | m³ | 0,6 |
|
| 11.6.08 | Đá hộc | m³ | 2 |
|
Điều 17. Định mức vật tư các công trình kiến trúc (Mã hiệu 12.0.00)
1. Nội dung bảo trì
a) Mái nhà:
- Mái ngói nung hoặc xi măng: Thay ngói nứt, vỡ, vênh, hở làm dột mái;
- Mái tôn, fibrô xi măng: Trám những lỗ thủng, vết nứt; siết vít bắt tôn hoặc bu lông móc lỏng; thay tấm fibrô xi măng vỡ, rách thủng.
- Mái bê tông cốt thép: Vệ sinh, quét dọn mái, láng vữa bị rộp; lát lại gạch chống nóng hay lá nem bong, rộp.
- Hệ đỡ mái: Thay, sửa (hoặc gia cố), sơn lại các thanh vì kèo, xà gồ, cầu phong, litô gãy, đứt; chấm dầu các bu lông liên kết.
b) Trần:
- Trần vôi rơm: Trát chỗ trần bị bong, vỡ.
- Trần gỗ, cót, nhựa: Đóng các nẹp bung, thay tấm trần dập, vỡ.
- Trần bê tông cốt thép: Trát vựa chỗ bị bong lở, mục, thấm mốc.
c) Tường, vách:
- Thay những viên gạch bị bong rộp, nứt vỡ;
- Trát lại hèm, gờ, chỉ, cửa sứt vỡ;
- Làm mốc, dấu theo dõi những tường bị lún, nghiêng, nứt;
- Đóng lại nẹp vách bung, thay vách kính vỡ;
- Thay khung vách nhôm bị rập, gãy hỏng.
d) Sàn:
- Sàn lát gạch: Trát, lát lại mạch vữa bị long, thay gạch lát bị vỡ.
- Sàn gỗ: Đóng lại ván sàn lỏng, thay tấm sàn mối mọt.
e) Nền:
- Nền láng vữa xi măng: Trát lại những chỗ bị vỡ, rộp;
- Nền lát gạch: Trát, lát lại mạch vữa bị bong, gạch lát bị bong, thay gạch lát bị vỡ nứt.
f) Cửa đi, cửa sổ, cửa thông gió:
- Sửa cửa bị xệ, vênh không đóng, mở hoặc khóa được;
- Sửa các phụ kiện cửa bị hỏng (chốt, bản lề, ke, crêmôn, móc gió, khóa). Bổ sung các phụ kiện mất hoặc hỏng phải thay thế;
- Cho dầu, mỡ vào bản lề crêmôn, ổ khóa;
- Cửa kính: Trát lại ma tít hoặc đóng lại nẹp kín bị lỏng, thay kính vỡ;
- Cửa chớp: Thay nan chớp bị gãy, vỡ;
- Cửa khung nhôm kính: Tra dầu, lau bóng kính, sửa lại khung nhôm cong dập, bổ sung gioăng cao su để khít với khung kính;
- Chấn song cửa: Thay hoặc sửa các song bị gãy hoặc bị dịch vị trí.
g) Cầu thang, lan can hiên:
- Cầu thang bê tông cốt thép (mặt láng vữa xi măng, lát gạch, granitô): Trát lại mặt láng hoặc lát lại gạch lát bị bong, rộp. Thay viên gạch lát bậc bị vỡ sứt. Thay thế lan can tay vịn bằng bê tông, sắt thép gãy, mọt gỉ;
- Cầu thang gỗ: Đóng lại những ván bậc, lan can, tay vịn bị lỏng. Thay thế những ván bậc lan can tay vịn bị gãy mối mục;
- Lan can hiên: các thanh gãy, thiếu phải thay thế hoặc bổ sung;
- Thanh chớp che nắng hiên nhà: Trát, trám vá lại những thanh chớp bê tông cốt thép bị bong vỡ, thay thế những thanh chớp bê tông cốt thép bị gãy.
h) Các hệ thống phục vụ trong nhà.
- Hệ thống cấp nước: Sửa chữa hoặc thay thế các phụ kiện, thiết bị hỏng như ống nước, van, vòi, bệ xí, máy bơm, bình nóng lạnh;
- Làm vệ sinh xung quanh bể, giếng nước. Trát, gắn bịt các chỗ rò gỉ;
- Hệ thống cấp điện: Sửa chữa hoặc thay thế các dụng cụ, thiết bị như dây dẫn, công tắc, bóng đèn, quạt, biến thế, máy phát điện.
- Hệ thống chiếu sáng sân, ke ga, bãi hàng: Thay bóng đèn, dây điện công tắc bị cháy hỏng;
- Hệ thống phát thanh: Thay sửa chữa lao dây điện thiết bị hư hỏng;
- Hệ thống cấp nước: Sửa chữa, thay thế hệ thống dẫn và chứa nước;
- Hệ thống thoát nước: Làm vệ sinh, thông cống rãnh, vét bùn rác hố ga; sửa chữa hoặc thay thế máng, ống thoát nước, ống cống, rãnh bị vỡ; thông tắc bể phốt;
- Hệ thống thu lôi: Cạo gỉ, sơn sửa cột thu lôi, dây dẫn; nối, hàn dây đứt; thay bổ sung dây, kim thu lôi;
- Hệ thống phòng cháy chữa cháy: Kiểm tra chất lượng, bổ sung các dụng cụ chống cháy thiếu như thang, câu liêm, cát, nước, bình chữa cháy; sửa chữa hoặc thay thế thiết bị báo cháy. Thay bình chữa cháy quá thời hạn sử dụng, hư hỏng.
i) Cổng:
- Sửa các cánh bị xệ, vênh không đóng mở hoặc khóa được.
- Sửa hoặc thay thế các phụ kiện hỏng như bản lê, ke, chốt, khóa, bánh xe lăn. Cho dầu, mỡ vào bản lề, ổ khóa, vòng bi bánh xe.
k) Hàng rào:
- Hàng rào xây gạch: Trát, xây lại chỗ bị bong, lở hoặc thủng, vỡ;
- Hàng rào bê tông cốt thép: Sửa hoặc thay thế các thanh rào bị gãy, mất;
- Hàng rào sắt (lưới B40): Nếu rách, thủng lớn phải vá sửa lại;
- Hàng rào ngăn cách đường bộ kết cấu tôn sóng: Thay, sửa, gia cố thanh ngang, đứng; siết hoặc thay bu lông lỏng, mất tác dụng.
l) Sân, ke ga, bãi hàng đường nội bộ:
- Sân, ke ga bãi hàng đường nội bộ có kết cấu bề mặt là đất đá: Vá những chỗ lõm cục bộ, đọng nước;
- Sân, đường láng xi măng, lát gạch: Trát, láng lại chỗ bị bong, rộp;
- Sân, ke ga bãi hàng đường nội bộ có kết cấu bề mặt cấp phối nhựa: Sửa chữa những chỗ bị bong rộp;
- Sân, ke ga bãi hàng đường nội bộ có kết cấu bề mặt là bê tông xi măng: Sửa chữa những chỗ bị sứt vỡ;
m) Bồn hoa: Trát lại vữa bị bong, rộp; thay, ốp lại gạch vỡ, bong
n) Quét vôi, sơn vôi:
- Nhà ga, nhà gác ghi, chắn đường ngang (cầu hầm) quét vôi 1 năm/lần, các nhà khác 2-3 năm/lần. Sơn nhà 2-3 năm/lần;
- Trụ sở Cơ quan, Cung, Đội, Gác chắn: Quét vôi 1-2 năm/lần, sơn 2-3 năm/lần;
- Kho, xưởng, nhà ở tập thể: Quét vôi 3-4 năm/lần. Sơn nhà 2-3 năm/lần.
o) Sơn (hoặc đánh véc ni) cửa đi, cửa sổ, chấn song, lan can, cổng, hàng rào.
- Nhà ga, trạm, chòi ghi: 2-3 năm/lần.
- Các công trình khác: 3-4 năm/lần.
| Mã hiệu | Tên vật tư | Đơn vị | Số lượng | Ghi chú |
| 12.1.01 | Đá hộc | m³ | 0,1 |
|
| 12.1.02 | Đá 1 x 2 | m³ | 0,3 |
|
| 12.1.03 | Cát | m³ | 1,2 |
|
| 12.1.04 | Xi măng | kg | 300 |
|
| 12.1.05 | Sơn dầu các loại | kg | 1,5 |
|
| 12.1.06 | Sắt thép các loại | kg | 4 |
|
| 12.1.07 | Vôi trắng | kg | 5 |
|
| 12.1.08 | Gạch 6 lỗ, gạch thẻ | viên | 100 |
|
| 12.1.09 | Gạch men | viên | 100 |
|
| 12.1.10 | Xà gỗ thép | kg | 12 |
|
| 12.1.11 | Tôn kẽm, sóng vuông | m2 | 6,9 |
|
| 12.1.12 | Thép góc | kg | 0,38 |
|
| 12.1.13 | Chổi quét | kg | 0,4 |
|
| 12.1.14 | Thép hình V + sắt dẹt | kg | 5,2 |
|
| 12.1.15 | Ngói | viên | 1 |
|
| 12.1.16 | Màu nước | kg | 1,3 |
|
| 12.1.17 | Giấy thấm | m2 | 0,3 |
|
| 12.1.18 | ổ cắm | cái | 1 |
|
| 12.1.19 | Bảng táp lô | cái | 1 |
|
| 12.1.20 | Đèn các loại | cái | 0,5 |
|
| 12.1.21 | Dây điện | m | 4 |
|
| 12.1.22 | Quạt treo tường | cái | 0,1 |
|
| 12.1.23 | ống nhựa các loại | m | 1 |
|
| 12.1.24 | Sơn nước | kg | 2,5 |
|
| 12.1.25 | Que hàn | kg | 0,2 |
|
| 12.1.26 | Gỗ xây dựng | m³ | 0,05 |
|
| 12.1.27 | Cửa gỗ | m2 | 0,2 |
|
| 12.1.28 | Bu lông các loại | cái | 1,5 |
|
| 12.1.29 | Đinh các loại | kg | 0,2 |
|
| 12.1.30 | Nhựa trần 0,18m | m | 7 |
|
| 12.1.31 | Sơn chống thấm | kg | 1,2 |
|
| 12.1.32 | Lề goong | 1 bộ | 3 |
|
| Mã hiệu | Tên vật tư | Đơn vị | Số lượng | Ghi chú |
| 12.2.01 | Đinh các loại | kg | 1 |
|
| 12.2.02 | Sơn mầu các loại | kg | 15 |
|
| 12.2.03 | Xi măng | kg | 2000 |
|
| 12.2.04 | Cát vàng | m³ | 3,7 |
|
| 12.2.05 | Cát đen | m³ | 3,2 |
|
| 12.2.06 | Đá các loại | m³ | 1,5 |
|
| 12.2.07 | Gỗ xây dựng | m³ | 0,8 |
|
| 12.2.08 | Sắt tròn các loại | kg | 140 |
|
| 12.2.09 | Goong lề | bộ | 7 |
|
| 12.2.10 | Gạch chỉ | viên | 1300 |
|
| 12.2.11 | Tôn mái | m2 | 35 |
|
| 12.2.12 | Sắt, thép các loại | kg | 120 |
|
| 12.2.13 | Vôi cục | kg | 600 |
|
| Mã hiệu | Tên vật tư | Đơn vị | Số lượng | Ghi chú |
| 12.3.01 | Gạch chỉ | viên | 900 |
|
| 12.3.02 | Cát đen | m³ | 3,8 |
|
| 12.3.03 | Cát vàng | m³ | 2,9 |
|
| 12.3.04 | Đá 1 x 2 | m³ | 1,5 |
|
| 12.3.05 | Đá 4 x 6 | m³ | 3,8 |
|
| 12.3.06 | Đá mạt | m³ | 5 |
|
| 12.3.07 | Xi măng PC30 | kg | 1400 |
|
| 12.3.08 | Nhựa đường | kg | 350 |
|
| 12.3.09 | Vôi cục | kg | 600 |
|
| Mã hiệu | Tên vật tư | Đơn vị | Số lượng | Ghi chú |
| 12.4.01 | Xi măng PC30 | kg | 1500 |
|
| 12.4.02 | Cát vàng | m³ | 3 |
|
| 12.4.03 | Đá hộc | m³ | 5 |
|
| Mã hiệu | Tên vật tư | Đơn vị | Số lượng | Ghi chú |
| 12.5.01 | Xi măng PC30 | kg | 675 |
|
| 12.5.02 | Cát vàng | m³ | 1,84 |
|
| 12.5.03 | Đá 1x2 | m³ | 0,5 |
|
| 12.5.04 | Gạch chỉ | viên | 1.419 |
|
| 12.5.05 | Sắt các loại | kg | 106 |
|
| 12.5.06 | Tôn lượn sóng | m | 40 |
|
| 12.5.07 | Bu lông bắt tôn | bộ | 80 |
|
| 12.5.08 | Cột ray phế liệu | kg | 100 |
|
| Mã hiệu | Tên vật tư | Đơn vị | Số lượng | Ghi chú |
| 12.6.01 | Tấm đan bê tông cốt thép | Tấm | 2 |
|
| 12.6.02 | Đá dăm | m³ | 2 |
|
| 12.6.03 | Đá mạt | m³ | 1 |
|
| 12.6.04 | Bao tải tẩm nhựa đường | kg | 4 |
|
| 12.6.05 | Nhựa đường | kg | 20 |
|
| 12.6.06 | Biển báo | cái | 1 |
|
|
Mã hiệu |
Tên vật tư |
Đơn vị |
Số lượng |
Ghi chú |
|
12.7.01 |
Xi măng PC30 |
kg |
30 |
|
|
12.7.02 |
Đá hộc |
m³ |
0,15 |
|
|
12.7.03 |
Cát vàng |
m³ |
0,015 |
|
PHỤ LỤC A
PHƯƠNG PHÁP XÁC ĐỊNH SỐ LƯỢNG RAY VÀ PHỤ KIỆN CẦN THAY THẾ TRONG MỘT KILÔMÉT ĐƯỜNG THẲNG
I. Số ray (thanh) cần thay cho 01km đường thẳng xác định như sau:

trong đó:
Nr - Số ray trên 1km đường: Ray 25m là 80 thanh; ray 12,5m là 160 thanh;
40 - Tuổi thọ (năm) của ray trên đường thẳng.
II. Số phụ kiện cần thay thế cho 01km đường thẳng xác định như sau:
1 - Số lượng sắt mối (lập lách): 
trong đó:
Nsm - Số sắt mối trên 01km: Ray 25m là 80 mối; 12,5m là 160 mối;
Tsm - Tuổi thọ sắt mối (năm).
2 - Số lượng bu lông môi: 
trong đó:
Nblm - số bu lông mối trên 01km: Nblm = 6 x Nsm
(Ray dài 25m: Nblm = 480 mối. Ray 43 dài 12,5m; Nblm = 960 mối);
tblm - Tuổi thọ bu lông mối (năm).
3 - Số phụ kiện nối giữ cần thay thế cho 01km đường thẳng: Đinh đường, đệm sắt, bu lông, cóc giữ ray, đệm cao su và các vật liệu khác có liên quan

trong đó:
Nct - Số các loại phụ kiện có trong 01km đường;
tct - Tuổi thọ các chi tiết phụ kiện (năm).
PHỤ LỤC B
PHƯƠNG PHÁP XÁC ĐỊNH SỐ LƯỢNG RAY CẦN THAY THẾ TRONG ĐƯỜNG CONG
1- Số lượng ray thay thế trong đường cong xác định theo công thức sau:

trong đó:
Nr: Số lượng thanh ray có trong đoạn đường cong;
trc: Tuổi thọ của ray đường cong (năm).
2 - Tuổi thọ ray đường cong xác định theo công thức trc = 
trong đó:
w0: Diện tích hao mòn cho phép của mặt cắt ngang đầu ray (mm2);
b: Diện tích hao mòn mặt cắt ray khi 01 triệu tấn hàng hóa (Tr) thông qua;
(Khi tính toán lấy trị số trung bình - Tra bảng kèm theo);
Tr.T: Triệu tấn hàng hóa thông qua trong một năm.
Diện tích hao mòn cho phép mặt cắt ngang ray w0 xác định như sau:
wo » b.z0 - e
trong đó:
e: Độ biến dạng hình học của đầu nấm ray do bị mòn (với độ mòn cho phép của ray theo chiều đứng là 6 ~ 9 mm thì e » 70 mm2);
z0. Độ mòn thẳng đứng cho phép.
Bảng tra: Diện tích hao mòn trung bình của đầu ray b
|
Bán kính |
b (mm2/Tr.T) |
Ghi chú |
|
|
Ray 43 |
Ray 50 |
||
|
< 200 |
8,77 |
6,74 |
|
|
200 |
7,33 |
5,58 |
|
|
300 |
5,89 |
4,42 |
|
|
400 |
4.35 |
3,26 |
|
|
500 |
3,17 |
2,38 |
|
|
600 |
2,47 |
1,85 |
|
|
700 |
1,79 |
1,34 |
|
|
800 |
1,42 |
1,01 |
|
|
900 |
1,29 |
0,97 |
|
|
1000 |
1,22 |
0,91 |
|
|
1100 |
1,14 |
0,86 |
|
|
1200 |
1,11 |
0,83 |
|
|
> 1300 |
1,09 |
0,81 |
|
3 - Ví dụ tính toán tuổi thọ sử dụng ray: Tính tuổi thọ sử dụng ray P43 với các điều kiện sau z0 = 6mm; Tr = 10Tr.T; Bán kính cong R = 300m.
Tinh toán cụ thể:
- Diện tích hao mòn ray: w0 = b.Z0 - e = 70 x 6 - 70 = 350mm2.
- Tuổi thọ ray đường cong bán kính R=300m tra bảng: b = 5,89mm2/Tr.T.
Do đó:

TẬP 2
ĐỊNH MỨC VẬT TƯ CHO MỘT CHU KỲ BẢO TRÌ KẾT CẤU HẠ TẦNG ĐƯỜNG SẮT QUỐC GIA HẠNG MỤC: THÔNG TIN TÍN HIỆU
(Ban hành kèm theo Thông tư số 58/2012/TT-BGTVT ngày 28 tháng 12 năm 2012 của Bộ trưởng Bộ Giao thông vận tải)
Chương 1.
QUY ĐỊNH CHUNG
Định mức vật tư cho một chu kỳ bảo trì kết cấu hạ tầng đường sắt quốc gia - hạng mục thông tin tín hiệu (sau đây gọi là Định mức vật tư) là định mức kinh tế kỹ thuật thể hiện mức hao phí vật tư, nhiên liệu, điện năng để hoàn thành một đơn vị khối lượng công tác duy tu tổng hợp cho một chu kỳ bảo trì kết cấu hạ tầng đường sắt (01 năm) nhằm đảm bảo duy trì trạng thái kỹ thuật của công trình, thiết bị theo đúng hệ thống quy trình, quy phạm khai thác kỹ thuật hiện hành.
1. Căn cứ xây dựng định mức vật tư
- Luật Đường sắt năm 2005;
- Nghị định số 114/2010/NĐ-CP ngày 06 tháng 12 năm 2010 của Chính phủ về bảo trì công trình xây dựng;
- Nghị định số 31/2005/NĐ-CP ngày 11 tháng 3 năm 2005 của Chính phủ về sản xuất và cung ứng sản phẩm, dịch vụ công ích;
- Quyết định số 256/2006/QĐ-TTg ngày 09 tháng 11 năm 2006 của Thủ tướng Chính phủ ban hành Quy chế đấu thầu, đặt hàng, giao kế hoạch thực hiện sản xuất và cung ứng sản phẩm, dịch vụ công ích;
2. Kết cấu định mức
Kết cấu bộ định mức bao gồm 02 chương.
Chương 1: Quy định chung.
Chương 2: Định mức sản phẩm thông tin tín hiệu.
Mục A: Định mức sản phẩm thông tin
Nhóm 1. Đường dây trần thông tin (bao gồm hệ thống các đường dây trần thông tin các loại).
Nhóm 2. Đường dây cáp thông tin (bao gồm hệ thống đường dây cáp các loại kể cả cáp quang và dây bọc thông tin).
Nhóm 3. Thiết bị thông tin (bao gồm các thiết bị truyền dẫn, thiết bị chuyển mạch và thiết bị đầu cuối thông tin).
Nhóm 4. Trực khai thác điện thoại điện báo và giải quyết trở ngại (bao gồm các điển trực trạm thông tin, tổng đài tự động, giải quyết trở ngại thông tin, tín hiệu các ga, trở ngại nguồn điện, ki và khai thác điện thoại, điện báo).
Mục B: Định mức sản phẩm tín hiệu.
Nhóm 5. Tín hiệu ra vào ga (bao gồm hệ thống các cột tín hiệu ra ga, bãi; vào ga, bãi; cột tín hiệu báo trước, cột tín hiệu phòng vệ).
Nhóm 6. Thiết bị khống chế (bao gồm hệ thống các thiết bị ghi điện, ghi cơ khí, ghi liên động, ghi lồng và các thiết bị khác có liên quan).
Nhóm 7. Thiết bị điều khiển (bao gồm các thiết bị tín hiệu khác như đài khống chế, máy thẻ đường, tủ rơ le, tủ nguồn, tủ hòm máy 64D, cáp tín hiệu và các thiết bị khác có liên quan).
Nhóm 8. Cáp tín hiệu (cáp tín hiệu chôn, cáp tín hiệu treo).
Nhóm 9. Thiết bị nguồn điện (bao gồm hệ thống cung cấp nguồn điện cho các thiết bị như ắc quy kiềm, ắc quy a xít, máy nạp ắc quy, trạm biến áp, đường dây tải điện và các thiết bị nguồn khác có liên quan).
Chương 2.
ĐỊNH MỨC SẢN PHẨM THÔNG TIN, TÍN HIỆU
MỤC A: ĐỊNH MỨC SẢN PHẨM THÔNG TIN
Nhóm 1. Đường dây trần thông tin (Mã hiệu: 01.00.00)
01.01.00. Một kilômét đường cột bê tông và phụ kiện (dây co, cột chống, sắt nối, thanh giằng, ghế thử dây và các phụ kiện khác)
|
Mã hiệu |
Danh mục vật tư |
Đơn vị |
Quy cách vật tư |
Định mức |
Ghi chú |
|
01.01.01 |
Dây sắt tráng kẽm |
kg |
3mm |
2,5 |
|
|
01.01.02 |
Dây sắt tráng kẽm |
kg |
4mm |
12,5 |
|
|
01.01.03 |
Dây đồng, lưỡng kim |
kg |
3mm |
3 |
|
|
01.01.04 |
Cột thông tin |
cột |
|
0,15 |
|
|
01.01.05 |
Sắt nối cột, thanh giằng |
kg |
Sắt góc các loại |
4,3 |
|
|
01.01.06 |
Ghế thử dây |
cái |
Sắt các loại |
0,1 |
|
|
01.01.07 |
Sơn phòng rỉ |
kg |
Sơn tổng hợp |
3,2 |
|
|
01.01.08 |
Sơn trắng |
kg |
Sơn tổng hợp |
2 |
|
|
01.01.09 |
Sơn đen |
kg |
Sơn tổng hợp |
1 |
|
|
01.01.10 |
Hắc ín |
kg |
|
1 |
|
|
01.01.11 |
Xi măng |
kg |
PC30 |
50 |
|
|
01.01.12 |
Bulông kèm ê cu |
cái |
Các loại |
7 |
|
|
01.01.13 |
Tăng đơ dây co |
cái |
|
3 |
|
|
01.01.14 |
Cọc tiếp đất |
cái |
D=20mm, L= 1,8m |
0,4 |
|
|
01.01.15 |
Vật liệu phụ |
% |
VLC |
5 |
|
|
Mã hiệu |
Danh mục vật tư |
Đơn vị |
Quy cách vật tư |
Định mức |
Ghi chú |
|
01.02.01 |
Dây sắt tráng kẽm |
kg |
3mm |
5 |
|
|
01.02.02 |
Dây sắt tráng kẽm |
kg |
4mm |
12,5 |
|
|
01.02.03 |
Dây đồng, lưỡng kim |
kg |
3mm |
3 |
|
|
01.02.04 |
Cột thông tin |
cột |
|
0,15 |
|
|
01.02.05 |
Sắt nối cột, thanh giăng |
kg |
Sắt góc các loại |
4,3 |
|
|
01.02.06 |
Ghế thử dây |
cái |
Sắt các loại |
0,1 |
|
|
01.02.07 |
Sơn phòng rỉ |
kg |
Sơn tổng hợp |
3,2 |
|
|
01.02.08 |
Sơn trắng |
kg |
Sơn tổng hợp |
2 |
|
|
01.02.09 |
Sơn đen |
kg |
Sơn tổng hợp |
1 |
|
|
01.02.10 |
Hắc ín |
kg |
|
1 |
|
|
01.02.11 |
Xi măng |
kg |
PC30 |
50 |
|
|
01.02.12 |
Bu lông kèm ê cu |
cái |
Các loại |
7 |
|
|
01.02.13 |
Tăng đơ dây co |
cái |
|
3 |
|
|
01.02.14 |
Cọc tiếp đất |
cái |
D=20mm, L=1,8 |
0,4 |
|
|
01.02.15 |
Vật liệu phụ |
% |
VLC |
5 |
|
|
Mã hiệu |
Danh mục vật tư |
Đơn vị |
Quy cách vật tư |
Định mức |
Ghi chú |
|
01.03.01 |
Dây sắt tráng kẽm |
kg |
3 mm |
0,2 |
|
|
01.03.02 |
Dây sắt tráng kẽm |
kg |
4 mm |
10 |
|
|
01.03.03 |
Dây sắt tráng kẽm |
kg |
1,6 mm |
0.3 |
|
|
01.03.04 |
Bàn đảo |
cái |
H |
2 |
|
|
01.03.05 |
Sứ các loại |
cái |
Các loại |
3 |
|
|
01.03.06 |
Cuống sứ |
cái |
Các loại |
2 |
|
|
01.03.07 |
Sơn phòng rỉ |
kg |
Sơn tổng hợp |
0,2 |
|
|
01.03.08 |
Bu lông kèm êcu |
bộ |
Các loại |
4 |
|
|
01.03.09 |
Vật liệu phụ |
% |
VLC |
5 |
|
|
Mã hiệu |
Danh mục vật tư |
Đơn vị |
Quy cách vật tư |
Định mức |
Ghi chú |
|
01.04.01 |
Dây Cu, Cs |
kg |
3 mm |
2,2 |
|
|
01.04.02 |
Dây Cu |
kg |
1,4 mm |
0,04 |
|
|
01.04.03 |
Bàn đảo |
cái |
H |
0,25 |
|
|
01.04.04 |
Sứ các loại |
cái |
Các loại |
3 |
|
|
01.04.05 |
Cuống sứ |
cái |
Các loại |
2 |
|
|
01.04.06 |
Sơn phòng rỉ |
kg |
Sơn tổng hợp |
0,2 |
|
|
01.04.07 |
Bu lông kèm êcu |
bộ |
Các loại |
4 |
|
|
01.04.08 |
Vật liệu phụ |
% |
VLC |
5 |
|
|
Mã hiệu |
Danh mục vật tư |
Đơn vị |
Quy cách vật tư |
Định mức |
Ghi chú |
|
01.05.01 |
Xà gỗ nhóm 2 |
cái |
2500x80x70 |
4 |
|
|
01.05.02 |
Sắt chống xà |
cái |
600x40x4 |
4 |
|
|
01.05.03 |
Sắt chống xà |
cái |
900x40x4 |
4 |
|
|
01.05.04 |
Sơn phòng rỉ |
kg |
Sơn tổng hợp |
0,3 |
|
|
01.05.05 |
Bu lông kèm êcu |
bộ |
Các loại |
12 |
|
|
01.05.06 |
Vật liệu phụ |
% |
VLC |
5 |
|
|
Mã hiệu |
Danh mục vật tư |
Đơn vị |
Quy cách vật tư |
Định mức |
Ghi chú |
|
01.06.01 |
Xà gỗ nhóm 2 |
cái |
1100x60x60 |
4 |
|
|
01.06.02 |
Sắt chống xà |
cái |
900x40x4 |
4 |
|
|
01.06.03 |
Sơn phòng rỉ |
kg |
Sơn tổng hợp |
0,3 |
|
|
01.06.04 |
Bu lông kèm êcu |
bộ |
Các loại |
12 |
|
|
01.06.05 |
Vật liệu phụ |
% |
VLC |
5 |
|
|
Mã hiệu |
Danh mục vật tư |
Đơn vị |
Quy cách vật tư |
Định mức |
Ghi chú |
|
01.07.01 |
Xà BTCT 2,50m |
cái |
|
3 |
|
|
01.07.02 |
Sắt chống xà |
cái |
600x40x4 |
4 |
|
|
01.07.03 |
Sắt chống xà |
cái |
900x40x4 |
4 |
|
|
01.07.04 |
Sơn phòng rỉ |
kg |
Sơn tổng hợp |
0,3 |
|
|
01.07.05 |
Bulông kèm êcu |
bộ |
Các loại |
12 |
|
|
01.07.06 |
Vật liệu phụ |
% |
VLC |
5 |
|
|
Mã hiệu |
Danh mục vật tư |
Đơn vị |
Quy cách vật tư |
Định mức |
Ghi chú |
|
01.08.01 |
Xà sắt 2,50m |
cái |
|
2 |
|
|
01.08.02 |
Sắt chống xà |
cái |
600x40x4 |
4 |
|
|
01.08.03 |
Sắt chống xà |
cái |
900x40x4 |
4 |
|
|
01.08.04 |
Sơn phòng rỉ |
kg |
Sơn tổng hợp |
3,3 |
|
|
01.08.05 |
Bulông kèm êcu |
bộ |
Các loại |
12 |
|
|
01.08.06 |
Vật liệu phụ |
% |
VLC |
5 |
|
|
Mã hiệu |
Danh mục vật tư |
Đơn vị |
Quy cách vật tư |
Định mức |
Ghi chú |
|
01.09.01 |
Xà sắt 1,10m |
cái |
|
2 |
|
|
01.09.02 |
Sắt chống xà |
cái |
900x40x4 |
4 |
|
|
01.09.03 |
Sơn phòng rỉ |
kg |
Sơn tổng hợp |
1,2 |
|
|
01.09.04 |
Bu lông kèm êcu |
bộ |
Các loại |
12 |
|
|
01.09.05 |
Vật liệu phụ |
% |
VLC |
5 |
|
|
Mã hiệu |
Danh mục vật tư |
Đơn vị |
Quy cách vật tư |
Định mức |
Ghi chú |
|
02.01.01 |
Thiếc hàn dây |
kg |
TH40 |
0,2 |
|
|
02.01.02 |
Thiếc hàn cáp |
kg |
TH30 |
1 |
|
|
02.01.03 |
Hộp cáp |
hộp |
Các loại |
0,2 |
|
|
02.01.04 |
Cáp chì chôn |
m |
Các loại |
25 |
|
|
02.01.05 |
Măng sông co nhiệt |
cái |
Các loại |
1 |
|
|
02.01.06 |
Cáp thông tin |
m |
|
16 |
|
|
02.01.07 |
Cọc mốc cáp |
cái |
|
2 |
|
|
02.01.08 |
Bộ phối hợp trở kháng |
bộ |
Các loại |
0,24 |
|
|
02.01.09 |
Thang ghế thử cáp |
cái |
|
0,01 |
|
|
02.01.10 |
Máng cáp |
m |
Các loai |
2 |
|
|
02.01.11 |
Ống luồn cáp |
m |
Các loại |
5 |
|
|
02.01.12 |
Tăng đơ dây co |
cái |
|
3 |
|
|
02.01.13 |
Sơn máng cáp và khối kiện |
kg |
Sơn tổng hợp |
5 |
|
|
02.01.14 |
Vật liệu phụ |
% |
VLC |
5 |
|
|
Mã hiệu |
Danh mục vật tư |
Đơn vị |
Định mức |
Ghi chú |
|
I |
Cáp |
|
|
|
|
02.02.01 |
Cáp nhựa đi trong công |
m |
16,5 |
|
|
02.02.02 |
Cáp nhựa treo |
m/km |
25 |
|
|
II |
Vật tư cống bể, treo cáp và thiết bị trung gian |
|
|
|
|
02.02.03 |
Xi măng vá bể cáp |
kg/bể |
5,5 |
|
|
02.02.04 |
Xi măng vá cột treo cáp |
kg/cột |
0,22 |
|
|
02.02.05 |
Ke sắt đỡ cáp |
cái/bể |
0,11 |
|
|
02.02.06 |
Ống nhựa lên cáp phụ |
m/bể |
0,55 |
|
|
02.02.07 |
Phiến đấu dây |
phiên/nhà, tủ |
0,11 |
|
|
02.02.08 |
Colie bắt hộp cáp |
bộ/hộp |
0,022 |
|
|
02.02.09 |
Dây Jắc tre |
m/nhà,tủ |
110 |
|
|
02.02.10 |
Dây nhảy trạm nhập đài |
m/số máy |
2,2 |
|
|
02.02.11 |
Thân dây co |
cái/dây co |
0,11 |
|
|
02.02.12 |
Chân dây co |
cái/dây co |
0,22 |
|
|
02.02.13 |
Bloc dây co |
cái/dây co |
0,22 |
|
|
02.02.14 |
Bu lông |
cái/dây co |
0,11 |
|
|
02.02.15 |
Tăng đơ |
cái/dây co |
0,11 |
|
|
02.02.16 |
Kẹp dây co |
cái/dây co |
0,66 |
|
|
02.02.17 |
Thanh đỡ nắp đan |
cái/bể |
0,06 |
|
|
III |
Vật liệu chống sét, âm, rỉ |
|
|
|
|
02.02.18 |
Dây đất |
cái/100 |
22 |
|
|
02.02.19 |
Cọc sắt L mạ kẽm |
cái/100 |
11 |
|
|
02.02.20 |
Xăng để hút nước cống bể |
lít/bể |
0,55 |
|
|
02.02.21 |
Sơn khung bể, khung nắp đan |
kg/bể |
0,33 |
|
|
02.02.22 |
Sơn tủ cáp |
kg/tủ |
0,77 |
|
|
02.02.23 |
Sơn hộp cáp |
kg/hộp |
0,165 |
|
|
02.02.24 |
Hắc ín sơn khung bể |
kg/bể |
2,2 |
|
|
IV |
Vật liệu hàn nổi |
|
|
|
|
02.02.25 |
Băng dính |
cuộn/km |
1,1 |
|
|
02.02.26 |
Con rệp (nút áo) |
con/km |
11 |
|
|
02.02.27 |
Cao su non quấn mối nối |
kg/măng sông |
0,088 |
|
|
02.02.28 |
Băng cao su non |
cuộn/măng sông |
0,088 |
|
|
02.02.29 |
Cao su đũa |
bộ/măng sông |
0,088 |
|
|
02.02.30 |
Cà rá nhựa UC |
bộ/măng sông |
0,044 |
|
|
02.02.31 |
Thiếc hàn dây |
kg/tủ |
0,11 |
|
|
02.02.32 |
Vật liệu phụ |
% |
5 |
|
|
Mã hiệu |
Danh mục vật tư |
Đơn vị |
Quy cách vật tư |
Định mức |
Ghi chú |
|
02.03.01 |
Thiếc hàn thanh |
kg |
TH40 |
0,1 |
|
|
02.03.02 |
Dây bọc |
m |
2x0,75 |
200 |
|
|
02.03.03 |
Nhựa thông |
kg |
|
0,05 |
|
|
02.03.04 |
Vật liệu phụ |
% |
|
5 |
|
|
Mã hiệu |
Danh mục vật tư |
Đơn vị |
Định mức |
Ghi chú |
|
02.04.01 |
Cáp quang |
m |
9,830 |
|
|
02.04.02 |
Măng sông cáp quang |
cái |
0,032 |
|
|
02.04.03 |
Cọc mốc |
cái |
1,197 |
|
|
02.04.04 |
Thép 06 |
kg |
5,051 |
|
|
02.04.05 |
Sắt chữ V (U) |
m |
0,105 |
|
|
02.04.06 |
Dây chống sét (dây thép bện mạ kẽm 4,88 mm) |
m |
0,021 |
|
|
02.04.07 |
Gạch chỉ |
viên |
33 |
|
|
02.04.08 |
Xi măng PC40 |
kg |
15,53 |
|
|
02.04.09 |
Cát các loại |
m³ |
0,158 |
|
|
02.04.10 |
Đất cấp phối |
m³ |
0,326 |
|
|
02.04.11 |
Đá hộc |
m³ |
0,158 |
|
|
02.04.12 |
Đá 1x2(cm) |
m³ |
0,084 |
|
|
02.04.13 |
Sơn |
kg |
1,155 |
|
|
02.04.14 |
Xăng (pha sơn + phục vụ hàn cáp) |
lít |
0,861 |
|
|
02.04.15 |
ống sắt |
m |
0,809 |
|
|
02.04.16 |
ống nhựa |
m |
2,520 |
|
|
02.04.17 |
Colie |
cái |
0,263 |
|
|
02.04.18 |
ốc vít |
bộ |
0,378 |
|
|
02.04.19 |
Tấm đan |
tâm |
0,704 |
|
|
02.04.20 |
Rọ sắt |
cái |
0,09 |
|
|
02.04.21 |
Cột gỗ |
cọc |
0,3 |
|
|
02.04.22 |
Gỗ ván |
m³ |
0,004 |
|
|
02.04.23 |
Phên tre |
Tấm |
0,084 |
|
|
02.04.24 |
Tre cây |
cây |
0,210 |
|
|
02.04.25 |
Băng dính |
cuộn |
0,007 |
|
|
02.04.26 |
Keo dán |
hộp |
0,005 |
|
|
02.04.27 |
Khăn mặt bông |
chiếc |
0,017 |
|
|
02.04.28 |
Giấy xốp |
cuộn |
0,017 |
|
|
02.04.29 |
Xà phòng |
cánh |
0,017 |
|
|
02.04.30 |
Pin đèn R20 |
đôi |
0,017 |
|
|
02.04.31 |
Dầu nhớt |
kg |
0,021 |
|
|
02.04.32 |
Cồn công nghiệp |
lít |
0,002 |
|
|
02.04.33 |
Vật liệu phụ |
% |
5 |
|
|
Mã hiệu |
Danh mục vật tư |
Đơn vị |
Quy cách vật tư |
Định mức |
Ghi chú |
|
02.05.01 |
Cáp quang |
m |
Treo 6,12,24 sợi |
12 |
|
|
02.05.02 |
Măng xông cáp quang |
cái |
Treo 6,12,24 sợi |
0,06 |
|
|
02.05.03 |
Co nhiệt bảo vệ mối hàn |
cái |
Các loại |
1,5 |
|
|
02.05.04 |
ODF |
bộ |
6, 12, 24 sợi |
0,02 |
|
|
02.05.05 |
Cột treo cáp |
cột |
Bê tông cốt thép |
0,15 |
|
|
02.05.06 |
Sắt nối cột |
kg |
Sắt góc các loại |
4,3 |
|
|
02.05.07 |
Móc treo cáp |
cái |
6x100 |
8 |
|
|
02.05.08 |
Cọc tiếp đất |
cái |
d=20mm, l=1,8m |
0,2 |
|
|
02.05.09 |
Xi măng vá cột treo cáp |
kg |
|
4 |
|
|
02.05.10 |
Chân dây co |
cái |
|
3 |
|
|
02.05.11 |
Block dây co |
cái |
|
3 |
|
|
02.05.12 |
Băng dính |
cuộn |
|
0,008 |
|
|
02.05.13 |
Keo dán |
hộp |
|
0,006 |
|
|
02.05.14 |
Khăn mặt bông |
chiếc |
|
0,019 |
|
|
02.05.15 |
Giấy xốp |
cuộn |
|
0,019 |
|
|
02.05.16 |
Pin đèn R20 |
đôi |
|
0,019 |
|
|
02.05.17 |
Cồn công nghiệp |
lít |
|
0,003 |
|
|
02.05.18 |
Vật liệu phụ |
% |
VLC |
5 |
|
|
Mã hiệu |
Danh mục vật tư |
Đơn vị |
Quy cách vật tư |
Định mức |
Ghi chú |
|
03.01.01 |
Cọc tiếp đất |
hệ |
d=18 mm, l=2,5m |
1 |
|
|
03.01.02 |
Phụ gia tiếp đất |
lít |
|
5 |
|
|
03.01.03 |
Van chống sét |
bộ |
300 V |
0,2 |
|
|
03.01,04 |
Van chống sét |
bộ |
Điện nguồn |
0,2 |
|
|
03.01.05 |
Dây phối tuyến |
m |
|
200 |
|
|
03.01.06 |
Dây súp đôi |
m |
2x0,5 |
100 |
|
|
03.01.07 |
Card thuê bao |
cái |
|
1 |
|
|
03.01.08 |
Card trung kế |
cái |
|
0,5 |
|
|
03.01.09 |
Vật liệu phụ |
% |
VLC |
15 |
|
|
03.01.10 |
Điện năng |
KW |
|
10.200 |
|
|
Mã hiệu |
Danh mục vật tư |
Đơn vị |
Quy cách vật tư |
Định mức |
Ghi chú |
|
I |
Các bản mạch hệ thống (the system boards) |
|
|
|
|
|
03.02.01 |
Card vi xử lý (UTJ) |
card |
|
0,04 |
|
|
03.02.02 |
Card xử lý (USH BOARD) |
card |
|
0,04 |
|
|
03.02.03 |
Card xử lý (UTF BOARD/ DIRECTORY) |
card |
|
0,04 |
|
|
03.02.04 |
Card cung cấp đồng hồ cơ sở (CUS BOARD). |
card |
|
0,04 |
|
|
03.02.05 |
Card cung cấp thời gian chuẩn (CUH BOARD) |
card |
|
0,04 |
|
|
03.02.06 |
Card sử dụng để ghép nối các thiết bị đầu cuối khác nhau (TAC BOARD) |
card |
|
0,04 |
|
|
03.02.07 |
Card xử lý ghép nối 1 vài thiết bị đầu cuối và tổng đài; xử lý cảnh báo và các bản tin cảnh báo (TAD BOARD) |
card |
|
0,04 |
|
|
03.02.08 |
Card giám sát hệ thống; quản lý cảnh báo và quản lý bàn con sonle (TAE BOARD) |
card |
|
0,04 |
|
|
03.02.09 |
Card cung cấp cho RCU điện áp thứ cấp 48 vôn (ALC BOARD) |
card |
|
0,04 |
|
|
03.02.10 |
Card chứa ổ đĩa cứng (MDV BOARD) |
card |
|
0,04 |
|
|
03.02.11 |
Card hệ thống (ULD BOARD) |
card |
|
0,03 |
|
|
03.02.12 |
Card điều khiển (AUT BOARD) |
card |
|
0,03 |
|
|
03.02.13 |
Card hỗ trợ KT tự động hóa (AMH BOARD) |
card |
|
0,04 |
|
|
03.02.14 |
Card thiết bị lặp (RMD BOARD). |
card |
|
0,04 |
|
|
03.02.15 |
Card là bộ lặp (RMF BOARD) |
card |
|
0,04 |
|
|
03.02.16 |
Card là bộ lặp (RMH BOARD) |
card |
|
0,04 |
|
|
03.02.17 |
Card BACKED-UP AC/DC POWER SUPPLY |
card |
|
0,04 |
|
|
II |
Các bản mạch giao tiếp, mạng và truyền số liệu (transmission boards) |
|
|
|
|
|
03.02.18 |
ADPBOARD |
card |
|
0,04 |
|
|
03.02.19 |
ADQ BOARD |
card |
|
0,04 |
|
|
03.02.20 |
LRN BOARD |
card |
|
0,04 |
|
|
03.02.21 |
LRD BOARD |
card |
|
0,04 |
|
|
03.02.22 |
LRV BOARD |
card |
|
0,04 |
|
|
03.02.23 |
LIX BOARD |
card |
|
0,03 |
|
|
03.02.24 |
LIX BOARD |
card |
|
0,03 |
|
|
03.02.25 |
LAE BOARD |
card |
|
0,04 |
|
|
03.02.26 |
TAX BOARD |
card |
|
0,03 |
|
|
03.02.27 |
LAI BOARD |
card |
|
0,03 |
|
|
03.02.28 |
LAJ BOARD |
card |
|
0,04 |
|
|
03.02.29 |
LAK BOARD |
card |
|
0,04 |
|
|
03.02.30 |
LAN BOARD |
card |
|
0,03 |
|
|
03.02.31 |
LAC BOARD |
card |
|
0,03 |
|
|
03.02.32 |
HORD BOARD |
card |
|
0,03 |
|
|
03.02.33 |
HORD BOARD |
card |
|
0,04 |
|
|
03.02.34 |
LDS -A BOARD |
card |
|
0,04 |
|
|
03.02.35 |
LDS -B BOARD |
card |
|
0,04 |
|
|
03.02.36 |
CCA BOARD |
card |
|
0,04 |
|
|
03.02.37 |
CCB BOARD |
card |
|
0,04 |
|
|
03.02.38 |
CCS BOARD |
card |
|
0,03 |
|
|
03.02.39 |
CLM BOARD |
card |
|
0,04 |
|
|
03.02.40 |
CLA BOARD |
card |
|
0,04 |
|
|
03.02.41 |
CLF BOARD |
card |
|
0,04 |
|
|
03.02.42 |
FV10 BOARD |
card |
|
0,03 |
|
|
03.02.43 |
FV11 BOARD |
card |
|
0,03 |
|
|
03.02.44 |
HG3070 CABLE |
card |
|
0,03 |
|
|
03.02.45 |
CCP BOARD |
card |
|
0,04 |
|
|
03.02.46 |
ITN BOARD |
card |
|
0,03 |
|
|
03.02.47 |
CLH BOARD |
card |
|
0,03 |
|
|
03.02.48 |
CPH BOARD |
card |
|
0,03 |
|
|
03.02.49 |
PVI-IP BOARD |
card |
|
0,04 |
|
|
03.02.50 |
LRA BOARD |
card |
|
0,04 |
|
|
03.02.51 |
LRF BOARD |
card |
|
0,04 |
|
|
03.02.52 |
LIE BOARD |
card |
|
0,04 |
|
|
03.02.53 |
CRI BOARD |
card |
|
0,04 |
|
|
03.02.54 |
HR4123X TERMINATOR |
card |
|
0,03 |
|
|
03.02.55 |
HR4399X TERMINATOR |
card |
|
0,03 |
|
|
03.02.56 |
HR5123X TERMINATOR |
card |
|
0,03 |
|
|
03.02.57 |
HR5124X TERMINATOR |
card |
|
0,03 |
|
|
03.02.58 |
HR5126X TERMINATOR |
card |
|
0,03 |
|
|
03.02.59 |
HR5127X TERMINATOR |
card |
|
0,03 |
|
|
03.02.60 |
HR5128X TERMINATOR |
card |
|
0,03 |
|
|
03.02.61 |
A11339XXX TERMINATOR |
card |
|
0,03 |
|
|
03.02.62 |
Điện năng tiêu thụ |
kw |
|
12.200 |
|
|
Mã hiệu |
Danh mục vật tư |
Đơn vị |
Quy cách vật tư |
Định mức |
Ghi chú |
|
03.03.01 |
Thính thoại cơ |
cái |
|
2 |
|
|
03.03.02 |
Dây coóc đông |
cái |
|
2 |
|
|
03.03.03 |
Dây phích tổng đài |
cái |
|
4 |
|
|
03.03.04 |
Dây phối tuyến |
m |
|
50 |
|
|
03.03.05 |
Dây súp đôi |
m |
2x0,75 |
50 |
|
|
03.03.06 |
Khóa chuyển mạch |
cái |
|
5 |
|
|
03.03.07 |
Rơ le |
cái |
Các loại |
10 |
|
|
03.03.08 |
Cầu chì |
cái |
Các loại |
50 |
|
|
03.03.09 |
Bảo an |
cái |
Than |
50 |
|
|
03.03.10 |
Vật liệu phụ |
% |
VLC |
15 |
|
|
03.03.11 |
Điện năng |
KW |
|
10.500 |
|
|
Mã hiệu |
Danh mục vật tư |
Đơn vị |
Quy cách vật tư |
Định mức |
Ghi chú |
|
03.04.01 |
Thính thoại cơ |
cái |
|
2 |
|
|
03.04.02 |
Dây coóc đông |
cái |
|
1 |
|
|
03.04.03 |
Dây phối tuyến |
m |
|
50 |
|
|
03.04.04 |
Dây súp đôi |
m |
2x0,75 |
50 |
|
|
03.04.05 |
Khóa chuyển mạch |
cái |
|
1 |
|
|
03.04.06 |
Rơ le |
cái |
Các loại |
1 |
|
|
03.04.07 |
Cầu chì |
cái |
Các loại |
10 |
|
|
03.04.08 |
Vật liệu phụ |
% |
VLC |
15 |
|
|
03.04.09 |
Điện năng |
KW |
|
876 |
|
|
Mã hiệu |
Danh mục vật tư |
Đơn vị |
Quy cách vật tư |
Định mức |
Ghi chú |
|
03.05.01 |
Thính thoại cơ |
cái |
|
2 |
|
|
03.05.02 |
Dây coóc đông |
cái |
|
1 |
|
|
03.05.03 |
Dây phối tuyến |
m |
|
50 |
|
|
03.05.04 |
Dây súp đôi |
m |
2x0,75 |
50 |
|
|
03.05.05 |
Vật liệu phụ |
% |
VLC |
15 |
|
|
03.05.06 |
Điện năng |
KW |
|
10.500 |
|
|
Mã hiệu |
Danh mục vật tư |
Đơn vị |
Quy cách vật tư |
Định mức |
Ghi chú |
|
03.06.01 |
Micro |
cái |
|
1 |
|
|
03.06.02 |
Loa |
cái |
|
1 |
|
|
03.06.03 |
Thính thoại cơ |
cái |
|
2. |
|
|
03.06.04 |
Dây coóc đông |
cái |
|
1 |
|
|
03.06.05 |
Dây phối tuyến |
m |
|
50 |
|
|
03.06.06 |
Dây súp đôi |
m |
2x0,75 |
100 |
|
|
03.06.07 |
Rơ le |
cái |
Các loại |
1 |
|
|
03.06.08 |
Khóa chuyển mạch |
cái |
|
1 |
|
|
03.06.09 |
Cầu chì |
cái |
Các loại |
10 |
|
|
03.06.10 |
Vật liệu phụ |
% |
VLC |
15 |
|
|
03.06.11 |
Điện năng |
KW |
|
876 |
|
|
Mã hiệu |
Danh mục vật tư |
Đơn vị |
Quy cách vật tư |
Định mức |
Ghi chú |
|
03.07.01 |
Micro |
cái |
|
0,5 |
|
|
03.07.02 |
Loa |
cái |
|
0,5 |
|
|
03.07.03 |
Thính thoại cơ |
cái |
|
2 |
|
|
03.07.04 |
Dây coóc đông |
cái |
|
1 |
|
|
03.07.05 |
Dây phối tuyến |
m |
|
20 |
|
|
03.07.06 |
Rơ le |
cái |
Các loại |
1 |
|
|
03.07.07 |
Khóa chuyển mạch |
cái |
|
1 |
|
|
03.07.08 |
Vật liệu phụ |
% |
VLC |
15 |
|
|
Mã hiệu |
Danh mục vật tư |
Đơn vị |
Quy cách vật tư |
Định mức |
Ghi chú |
|
03.08.01 |
Thính thoại cơ |
cái |
|
2 |
|
|
03.08.02 |
Dây phích |
cái |
2 ruột |
1 |
|
|
03.08.03 |
Cầu chì |
cái |
Các loại |
5 |
|
|
03.08.04 |
Thu lôi chân không |
cái |
2x0,75 |
2 |
|
|
03.08.05 |
Thiếc hàn |
kg |
TH40 |
0,1 |
|
|
03.08.06 |
Nhựa thông |
kg |
|
0,05 |
|
|
03.08.07 |
Vải phin trắng |
m |
Khổ 80 |
0,2 |
|
|
03.08.08 |
Dây phối tuyến |
m |
Các loại |
2 |
|
|
03.08.09 |
Dây emay |
kg |
Các loại |
1 |
|
|
03.08.10 |
Rơ le thu chuông |
cái |
|
2 |
|
|
03.08.11 |
Tụ lọc đường dây |
cái |
Các loại |
5 |
|
|
03.08.12 |
Tụ hóa |
cái |
Các loại |
5 |
|
|
03.08.13 |
Đèn bán dẫn |
cái |
Các loại |
5 |
|
|
03.08.14 |
Điện năng |
kw |
|
876 |
|
|
03.08.15 |
Vật liệu phụ |
% |
VLC |
15 |
|
|
Mã hiệu |
Danh mục vật tư |
Đơn vị |
Quy cách vật tư |
Định mức |
Ghi chú |
|
03.09.01 |
Thính thoại cơ |
cái |
|
2 |
|
|
03.09.02 |
Dây coóc đông |
cái |
|
1 |
|
|
03.09.03 |
Dây phích tổng đài |
cái |
|
1 |
|
|
03.09.04 |
Dây súp đôi |
m |
|
50 |
|
|
03.09.05 |
Khóa chuyển mạch |
cái |
|
1 |
|
|
03.09.06 |
Rơ le |
cái |
Các loại |
2 |
|
|
03.09.07 |
Cầu chì |
cái |
Các loại |
10 |
|
|
03.09.08 |
Thu lôi |
cái |
Chân không |
5 |
|
|
03.09.09 |
Thiếc hàn |
kg |
TH40 |
0,1 |
|
|
03.09.10 |
Nhựa thông |
kg |
|
0,05 |
|
|
03.09.11 |
Vải phin trắng |
m |
Khổ 80 |
0,2 |
|
|
03.09.12 |
Dây phối tuyến |
m |
|
2 |
|
|
03.09.13 |
Dây emay |
kg |
Các loại |
1 |
|
|
03.09.14 |
Rơ le thu chuông |
cái |
|
5 |
|
|
03.09.15 |
Tụ lọc đường đây |
cái |
Các loại |
10 |
|
|
03.09.16 |
Tụ hóa |
cái |
Các loại |
10 |
|
|
03.09.17 |
Điện năng |
kw |
|
1314 |
|
|
03.09.18 |
Đèn bán dẫn |
cái |
Các loại |
10 |
|
|
03.09.19 |
Vật liệu phụ |
% |
VLC |
15 |
|
|
Mã hiệu |
Danh mục vật tư |
Đơn vị |
Quy cách vật tư |
Định mức |
Ghi chú |
|
03.10.01 |
Thính thoại cơ |
cái |
|
2 |
|
|
03.10.02 |
Dây coóc đông |
cái |
|
1 |
|
|
03.10.03 |
Dây phích tổng đài |
cái |
|
1 |
|
|
03.10.04 |
Dây súp đôi |
m |
2x0,75 |
50 |
|
|
03.10.05 |
Khóa chuyển mạch |
cái |
|
2 |
|
|
03.10.06 |
Rơ le |
cái |
Các loại |
2 |
|
|
03.10.07 |
Cầu chì |
cái |
Các loại |
10 |
|
|
03.10.08 |
Thu lôi |
cái |
Chân không |
5 |
|
|
03.10.09 |
Thiếc hàn |
kg |
TH40 |
0,1 |
|
|
03.10.10 |
Nhựa thông |
kg |
|
0,05 |
|
|
03.10.11 |
Vải phin trắng |
m |
Khổ 80 |
0,2 |
|
|
03.10.12 |
Dây phối tuyến |
m |
|
2 |
|
|
03.10.13 |
Dây emay |
kg |
Các loại |
1 |
|
|
03.10.14 |
Rơ le thu chuông |
cái |
|
10 |
|
|
03.10.15 |
Tụ lọc đường dây |
cái |
Các loại |
20 |
|
|
03.10.16 |
Tụ hóa |
cái |
Các loại |
20 |
|
|
03.10.17 |
Điện năng |
kw |
|
1752 |
|
|
03.10.18 |
Đèn bán dẫn |
cái |
Các loại |
20 |
|
|
03.10.19 |
Vật liệu phụ |
% |
VLC |
15 |
|
|
Mã hiệu |
Danh mục vật tư |
Đơn vị |
Quy cách vật tư |
Định mức |
Ghi chú |
|
03.11.01 |
Rơ le |
cái |
|
5 |
|
|
03.11.02 |
Ắc quy khô |
tổ |
12V-65HA |
1 |
|
|
03.11.03 |
Thiếc hàn |
kg |
TH40 |
0,5 |
|
|
03.11.04 |
Dây Cu bọc vải 2 lớp |
m |
Các loại |
5 |
|
|
03.11.05 |
Dây bọc cao su |
m |
1 mm2 |
8 |
|
|
03.11.06 |
Dây súp |
m |
2x0,75 |
15 |
|
|
03.11.07 |
Dây bọc kim |
m |
|
10 |
|
|
03.11.08 |
Đèn báo |
cái |
Các loại |
10 |
|
|
03.11.09 |
Cồn công nghiệp |
lít |
900 |
1 |
|
|
03.11.10 |
Thính thoại cơ |
cái |
|
2 |
|
|
03.11.11 |
Khối thu phát sóng cao tần |
khối |
|
0,5 |
|
|
03.11.12 |
Card EM |
cái |
|
1 |
|
|
03.11.13 |
Card giao tiếp |
cái |
|
1 |
|
|
03.11.14 |
Card nguồn |
cái |
|
1 |
|
|
03.11.15 |
Bộ lưu điện UPS |
cái |
1200w |
0,5 |
|
|
03.11.16 |
Cọc tiếp đất |
cái/hệ |
d=18mm, l=2,5 m |
1 |
|
|
03.11.17 |
Vật liệu phụ |
% |
VLC |
15 |
|
|
03.11.18 |
Điện năng |
KW |
|
2628 |
|
|
Mã hiệu |
Danh mục vật tư |
Đơn vị |
Quy cách vật tư |
Định mức |
Ghi chú |
|
03.12.01 |
Cọc tiếp đất |
cái/hệ |
d=18 mm, l=2,5m |
1 |
|
|
03.12.01 |
Phụ gia tiếp đất |
lít |
|
5 |
|
|
03.12.02 |
Van chống sét |
bộ |
300V |
0,5 |
|
|
03.12.03 |
Van chống sét |
bộ |
Điện nguồn |
0,5 |
|
|
03.12.04 |
Dây súp đôi |
mét |
2x0,75 |
50 |
|
|
03.12.05 |
Loa |
cái |
|
0,5 |
|
|
03.12.06 |
Micrô |
cái |
|
0,5 |
|
|
03.12.07 |
Modem Lecal |
bộ |
|
0,2 |
|
|
03.12.08 |
Modem Rad |
bộ |
|
0,2 |
|
|
03.12.09 |
Modem Music |
bộ |
|
0,2 |
|
|
03.12.10 |
Bộ lưu điện UPS |
cái |
3KW |
0,5 |
|
|
03.12.11 |
Vật liệu phụ |
% |
VLC |
15 |
|
|
03.12.12 |
Điện năng |
kw |
|
600 |
|
|
Mã hiệu |
Danh mục vật tư |
Đơn vị |
Quy cách vật tư |
Định mức |
Ghi chú |
|
03.13.01 |
Van chống sét |
bộ |
300V |
0,5 |
|
|
03.13.02 |
Van chống sét |
bộ |
Điện nguồn |
0,5 |
|
|
03.13.03 |
Dây súp đôi |
m |
2x0,75 |
50 |
|
|
03.13.04 |
Card trung kế |
cái |
|
0,5 |
|
|
03.13.05 |
Card nguồn |
cái |
|
0,5 |
|
|
03.13.06 |
Card nén tín hiệu |
cái |
|
0,5 |
|
|
03.13.07 |
Card xử lý |
cái |
|
0,5 |
|
|
03.13.08 |
Bộ giao tiếp |
cái |
|
1 |
|
|
03.13.09 |
Bộ lưu điện UPS |
cái |
600w |
0,5 |
|
|
03.13.10 |
Vật liệu phụ |
% |
VLC |
15 |
|
|
03.13.11 |
Điện năng |
kw |
|
876 |
|
|
Mã hiệu |
Danh mục vật tư |
Đơn vị |
Quy cách vật tư |
Định mức |
Ghi chú |
|
03.14.01 |
Rơ le |
cái |
|
2 |
|
|
03.14.02 |
Thiếc hàn |
kg |
TH40 |
0,3 |
|
|
03.14.03 |
Dây bọc cao su |
m |
1mm2 |
5 |
|
|
03.14.04 |
Dây súp đôi |
m |
|
10 |
|
|
03.14.05 |
Dây bọc kim |
m |
|
5 |
|
|
03.14.06 |
Đèn báo |
cái |
Các loại |
5 |
|
|
03.14.07 |
Cồn công nghiệp |
lít |
900 |
0,5 |
|
|
03.14.08 |
Xăng |
lít |
A92 |
0,5 |
|
|
03.14.09 |
Thính thoại cơ |
cái |
|
2 |
|
|
03.14.10 |
Tụ điện |
cái |
Các loại |
10 |
|
|
03.14.11 |
Đèn bán dẫn |
cái |
Các loại |
10 |
|
|
03.14.12 |
ắc quy |
bình |
100Ah-12V |
2 |
|
|
03.14.13 |
Vật liệu phụ |
% |
VLC |
15 |
|
|
03.13.14 |
Điện năng |
kw |
|
876 |
|
|
Mã hiệu |
Danh mục vật tư |
Đơn vị |
Quy cách vật tư |
Định mức |
Ghi chú |
|
03.15.01 |
Dây súp đôi |
m |
|
10 |
|
|
03.15.02 |
Cầu chì |
cái |
Ống |
2 |
|
|
03.15.03 |
Ống phóng lôi |
cái |
Chân không |
2 |
|
|
03.15.04 |
Vật liệu phụ |
% |
VLC |
15 |
|
|
Mã hiệu |
Danh mục vật tư |
Đơn vị |
Quy cách vật tư |
Định mức |
Ghi chú |
|
03.16.01 |
Dây coóc đông |
cái |
|
1 |
|
|
03.16.02 |
Dây phối tuyến |
cái |
|
100 |
|
|
03.16.03 |
Dây súp đôi |
m |
|
20 |
|
|
03.16.04 |
Phíc, zắc cắm |
cái |
|
2 |
|
|
03.16.05 |
Pin khô |
cái |
R40 |
30 |
Giá đo thử |
|
03.16.06 |
Ống phóng lôi |
cái |
Chân không |
20 |
|
|
03.16.07 |
Cầu chì bảo an |
cái |
|
20 |
|
|
03.16.08 |
Vật liệu phụ |
% |
VLC |
15 |
|
|
Mã hiệu |
Danh mục vật tư |
Đơn vị |
Quy cách vật tư |
Định mức |
Ghi chú |
|
03.17.01.01 |
Biến áp nguồn |
cái |
220/24v - 33/800VA |
0,1 |
|
|
03.17.01.02 |
Biến áp nguồn |
cái |
220/48v - 58/1500VA |
0,1 |
|
|
03.17.01.03 |
Mạch nạp tự động |
mạch |
24V/ 15 A |
0,1 |
|
|
03.17.01.04 |
Mạch nạp tự động |
mạch |
48V / 15A |
0,1 |
|
|
03.17.01.05 |
Đồng hồ đo dòng |
cái |
(0 - 30A) |
0,1 |
|
|
03.17.01.06 |
Đồng hồ đo áp |
cái |
(0- 50 V) |
0,1 |
|
|
03.17.01.07 |
Dây phối mềm |
m |
s = 2,5mm2 |
10 |
|
|
03.17.01.08 |
Át tô mát |
cái |
15-20A |
0,1 |
|
|
03.17.01.09 |
Mạch cảnh báo quá dòng |
mạch |
|
0,2 |
|
|
03.17.01.10 |
ắc qui axít kín khí |
bình |
12V - 70Ah |
2 |
|
|
03.17.01.11 |
Cọc tiếp đất |
cái/hệ |
d=18 mm, l=2,5m |
1 |
|
|
03.17.01.12 |
Phụ gia tiếp đất |
lít |
|
1 |
|
|
03.17.01.13 |
Dây súp đôi |
m |
|
50 |
|
|
03.17.01.14 |
Khóa chuyển mạch |
cái |
|
2 |
|
|
03.17.01.15 |
Cầu chì |
cái |
Các loại |
2 |
|
|
03.17.01.16 |
Vật liệu phụ |
% |
VLC |
15 |
|
|
Mã hiệu |
Danh mục vật tư |
Đơn vị |
Quy cách vật tư |
Định mức |
Ghi chú |
|
03.17.02.01 |
Modul chỉnh lưu |
bộ |
SM 1600 |
0,3 |
|
|
03.17.02.02 |
Modul cảnh báo và điều khiển |
bộ |
ACM 1D |
0,1 |
|
|
03.17.02.03 |
Quạt của modul chỉnh lưu |
cái |
|
0,2 |
|
|
03.17.02.04 |
Cầu chì bảo vệ ắc qui |
bộ |
|
0,2 |
|
|
03.17.02.05 |
Bộ cảm biến nhiệt |
bộ |
|
0,1 |
|
|
03.17.02.06 |
Đèn LED |
cái |
Các loại |
1 |
|
|
03.17.02.07 |
ắc qui |
bình |
12v/80Ah |
2 |
|
|
03.17.02.08 |
Cọc tiếp đất |
cái |
d=18 mm, l=2,5m |
1 |
|
|
03.17.02.09 |
Phụ gia tiếp đất |
Lít |
|
1 |
|
|
03.17.02.10 |
Vật liệu phụ |
% |
VLC |
15 |
|
|
Mã hiệu |
Danh mục vật tư |
Đơn vị |
Quy cách vật tư |
Định mức |
Ghi chú |
|
03.17.03.01 |
Modul chỉnh lưu |
bộ |
SMR 270 |
0,4 |
|
|
03.17.03.02 |
Modul cảnh báo và điều khiển |
bộ |
ACM 1D |
0,1 |
|
|
03.17.03.03 |
Modul phân phôi và bảo vệ ắc qui |
bộ |
DPM2 |
0,1 |
|
|
03.17.03.04 |
Bộ cảm biến nhiệt |
bộ |
B1 |
0,1 |
|
|
03.17.03.05 |
Cầu chì bảo vệ |
cái |
Các loại |
3 |
|
|
03.17.03.06 |
Đèn LED |
cái |
Các loại |
1 |
|
|
03.17.03.07 |
ắc qui |
bình |
12v/24Ah |
2 |
|
|
03.17.03.08 |
Cọc tiếp đất |
cái |
d=18 mm, l=2,5m |
1 |
|
|
03.17.03.09 |
Phụ gia tiếp đất |
Lít |
|
1 |
|
|
03.17.03.10 |
Vật liệu phụ |
% |
VLC |
15 |
|
|
Mã hiệu |
Danh mục vật tư |
Đơn vị |
Quy cách vật tư |
Định mức |
Ghi chú |
|
03.18.01 |
Thính thoại cơ |
cái |
|
2 |
|
|
03.18.02 |
Dây coóc đông |
cái |
|
1 |
|
|
03.18.03 |
Dây súp đôi |
m |
|
5 |
|
|
03.18.04 |
Vật liệu phụ |
% |
VLC |
15 |
|
|
Mã hiệu |
Danh mục vật tư |
Đơn vị |
Quy cách vật tư |
Định mức |
Ghi chú |
|
03.19.01 |
Thính thoại cơ |
cái |
|
2 |
|
|
03.19.02 |
Dây coóc đông |
cái |
|
1 |
|
|
03.19.03 |
Dây súp đôi |
m |
|
5 |
|
|
03.19.04 |
Pin |
quả |
R40 |
8 |
|
|
03.19.05 |
Vật liệu phụ |
% |
VLC |
15 |
|
|
Mã hiệu |
Danh mục vật tư |
Đơn vị |
Quy cách vật tư |
Định mức |
Ghi chú |
|
03.20.01 |
Thính thoại cơ |
cái |
|
2 |
|
|
03.20.02 |
Dây coóc đông |
cái |
|
1 |
|
|
03.20.03 |
Dây súp đôi |
m |
|
5 |
|
|
03.20.04 |
Pin |
quả |
R40 |
16 |
|
|
03.20.05 |
Vật liệu phụ |
% |
VLC |
15 |
|
|
Mã hiệu |
Danh mục vật tư |
Đơn vị |
Quy cách vật tư |
Định mức |
Ghi chú |
|
03.21.01 |
Loa |
cái |
|
0,5 |
|
|
03.21.02 |
Micrô |
cái |
|
0,5 |
|
|
03.21.03 |
Dây súp đôi |
m |
|
5 |
|
|
03.21.04 |
Vật liệu phụ |
% |
VLC |
15 |
|
|
03.21.05 |
Điện năng |
kw |
|
12 |
|
|
Mã hiệu |
Danh mục vật tư |
Đơn vị |
Quy cách vật tư |
Định mức |
Ghi chú |
|
03.22.01 |
Giấy in |
ram |
A4 |
6 |
|
|
03.22.02 |
Giấy Fax |
cuộn |
A4 216mm x 100m |
36 |
Giấy nhiệt |
|
03.22.03 |
Mực in |
hộp |
|
5 |
|
|
03.22.04 |
Vật liệu phụ |
% |
VLC |
15 |
|
|
03.22.05 |
Điện năng |
kw |
|
876 |
|
|
Mã hiệu |
Danh mục vật tư |
Đơn vị |
Quy cách vật tư |
Định mức |
Ghi chú |
|
03.23.01 |
Sứ ăng ten |
cái |
|
2 |
|
|
03.23.02 |
Cọc tiếp đất |
cái/hệ |
d= 18 mm, l=2,5m |
1 |
|
|
03.23.03 |
Phụ gia tiếp đất |
lít |
|
1 |
|
|
03.23.04 |
Dây cáp đồng |
kg |
|
1 |
|
|
03.23.05 |
Dây phi đơ |
m |
RG8U |
10 |
|
|
03.23.06 |
Vật liệu phụ |
% |
VLC |
5 |
|
|
Mã hiệu |
Danh mục vật tư |
Đơn vị |
Quy cách vật tư |
Định mức |
Ghi chú |
|
03.24.01 |
Đèn báo hiệu |
cái |
|
5 |
|
|
03.24.02 |
Sơn màu |
kg |
Sơn tổng hợp |
22 |
|
|
03.24.03 |
Dây sắt |
m |
4mm |
11,5 |
|
|
03.24.04 |
Dây ròng rọc |
m |
|
72 |
|
|
03.24.05 |
Mỡ bò |
kg |
|
1 |
|
|
03.24.06 |
Thanh giăng |
kg |
|
72 |
|
|
03.24.07 |
Máng dẫn dây phi dơ |
m |
|
2 |
|
|
03.24.08 |
Cầu cáp |
m |
|
2 |
|
|
03.24.09 |
Bu lông thân cột |
cái |
Các loại |
4 |
|
|
03.24.10 |
Thân dây co |
cái |
|
3,9 |
|
|
03.24.11 |
Dây co |
m |
|
11,2 |
|
|
03.24.12 |
Vật liệu phụ |
% |
VLC |
5 |
|
|
Mã hiệu |
Danh mục vật tư |
Đơn vị |
Quy cách vật tư |
Định mức |
Ghi chú |
|
03.25.01 |
Loa |
cái |
|
0,5 |
|
|
03.25.02 |
Micrô |
cái |
|
0,5 |
|
|
03.25.03 |
Dây súp đôi |
m |
2x0,75 |
102 |
|
|
03.25.04 |
Tăng âm |
cái |
(120W - 240W) |
0,1 |
|
|
03.25.05 |
Bộ lưu điện UPS |
cái |
500w |
0.5 |
|
|
03.25.06 |
Cọc tiếp đất |
cái/hệ |
d=18 mm, l=2,5m |
0,5 |
|
|
03.25.07 |
Phụ gia tiếp đất |
lít |
|
1 |
|
|
03.25.08 |
Loa nén |
cái |
Các loại |
1 |
|
|
03.25.09 |
Biến áp đường dây |
cái |
Các loại |
1 |
|
|
03.25.10 |
Vật liệu phụ |
% |
VLC |
15 |
|
|
03.24.11 |
Điện năng |
kw |
|
876 |
|
|
Mã hiệu |
Danh mục vật tư |
Đơn vị |
Quy cách vật tư |
Định mức |
Ghi chú |
|
03.26.01 |
Dây êmay |
kg |
Các loại |
0,5 |
|
|
03.26.02 |
Giấy cách điện |
M2 |
|
0,2 |
|
|
03.26.03 |
Sơn cách điện |
lít |
Các loại |
1 |
|
|
03.26.04 |
Vật liệu phụ |
% |
VLC |
5 |
|
|
Mã hiệu |
Danh mục vật tư |
Đơn vị |
Quy cách vật tư |
Định mức |
Ghi chú |
|
03.27.01.01 |
Khung giá 1660SM |
bộ |
3AL78834AA |
0,03 |
|
|
03.27.01.02 |
CONGI |
card |
3AL78830AAAL05 |
0,10 |
|
|
03.27.01.03 |
SERVICE |
card |
3AL78817AAAF02 |
0,04 |
|
|
03.27.01.04 |
EQUICO |
card |
3AL78836AAAM02 |
0,04 |
|
|
03.27.01.05 |
MATRIXN |
card |
3AL78848BAAN01 |
0,10 |
|
|
03.27.01.06 |
L-4.2N |
card |
3AL78856BFAC01 |
0,20 |
|
|
03.27.01.07 |
P4S1N |
card |
3AL78821BAAE01 |
0,03 |
|
|
03.27.01.08 |
IS-1.1 |
modul |
3AL78815ABAE01 |
0,40 |
|
|
03.27.01.09 |
Tổ hợp điện thoại |
cái |
1AF00398AAAA |
0,04 |
|
|
03.27.01.10 |
Tấm lọc bụi |
cái |
3AL80371AA |
0,10 |
|
|
03.27.01.11 |
Giá quạt |
cái |
3AL79773AA |
0,05 |
|
|
03.27.01.12 |
Quạt |
cái |
3AL79772AA |
0,20 |
|
|
03.27.01.13 |
1660SM DDF |
bộ/100 bộ |
|
2 |
|
|
03.27.01.14 |
Connector |
bộ/100 bộ |
|
4 |
|
|
03.27.01.15 |
Cầu chì |
cái |
Các loại |
3 |
|
|
03.27.01.16 |
Đồng hồ đồng bộ |
bộ |
5581C GPS-SR; MIC GPS; MicroquartS |
0,15 |
|
|
03.27.01.17 |
Server |
bộ |
|
0,08 |
|
|
03.27.01.18 |
Router |
bộ |
|
|
|
|
03.27.01.19 |
Hub |
bộ |
|
0,25 |
|
|
03.27.01.20 |
Máy tính quản lý (PC) |
bộ |
RAM 2G; HDD 160Gb; CPU dual core 2.5 GHz; bàn phím, chuột; màn hình LCD 17 inch |
0,20 |
|
|
03.27.01.21 |
UPS Online |
cái |
6KVA |
0,2 |
|
|
03.27.01.22 |
Máy tính xách tay |
cái |
|
0,2 |
|
|
03.27.01.23 |
Máy in |
bộ |
Laze khổ in A4 |
0,2 |
|
|
03.27.01.24 |
Vải phin trắng |
m |
Khổ 80cm |
1,0 |
|
|
03.27.01.25 |
Cồn công nghiệp |
lít |
900 |
2 |
|
|
03.27.01.26 |
Điện năng |
kw |
|
21.800 |
|
|
03.27.01.27 |
Vật liệu phụ |
% |
VLC |
5 |
|
|
Mã hiệu |
Danh mục vật tư |
Đơn vị |
Quy cách vật tư |
Định mức |
Ghi chú |
|
03.27.02.01 |
Khung giá 1660SM |
bộ |
3AL78834AA |
0,03 |
|
|
03.27.02.02 |
CONGI |
card |
3 AL78830AAAL05 |
0,10 |
|
|
03.27.02.03 |
SERVICE |
card |
3AL78817AAAF02 |
0,04 |
|
|
03.27.02.04 |
EQUICO |
card |
3AL78836AAAM02 |
0,04 |
|
|
03.27.02.05 |
MATRIXN |
card |
3AL78848BAAN01 |
0,10 |
|
|
03.27.02.06 |
L-4.2N |
card |
3AL78856BFAC01 |
0,20 |
|
|
03.27.02.07 |
P4S1N |
card |
3AL78821BAAE01 |
0,03 |
|
|
03.27.02.08 |
IL-1.2 |
modul |
3AL78839ABAD01 |
0,10 |
|
|
03.27.02.09 |
P63E1 |
card |
3AL79092AAAG02 |
0,20 |
|
|
03.27.02.10 |
A21E1 |
card |
3AL78832AAAF02 |
0,18 |
|
|
03.27.02.11 |
Tổ hợp điện thoại |
cái |
1AF00398AAAA |
0,04 |
|
|
03.27.02.12 |
Tấm lọc bụi |
cái |
3AL80371AA |
0,10 |
|
|
03.27.02.13 |
Quạt |
cái |
3AL79772AA |
0,20 |
|
|
03.27.02.14 |
1660SMDDF |
bộ/100 bộ |
|
2 |
|
|
03.27.02.15 |
Connector |
bộ/100 bộ |
Các loại |
4 |
|
|
03.27.02.16 |
Cầu chì |
cái |
Các loại |
3 |
|
|
03.27.02.17 |
Vải phin trắng |
m |
Khổ 80cm |
0,5 |
|
|
03.27.02.18 |
Cồn công nghiệp |
lít |
90° |
1 |
|
|
03.27.02.19 |
Vật liệu phụ |
% |
VLC |
5 |
|
|
03.27.02.20 |
Điện năng |
kw |
|
1.730 |
|
|
Mã hiệu |
Danh mục vật tư |
Đơn vị |
Quy cách vật tư |
Định mức |
Ghi chú |
|
03.28.01.01 |
Khung giá 1650SMC |
bộ |
3AL78828AA |
0,03 |
|
|
03.28.01.02 |
CONGI |
card |
3AL78830AAAL04 |
0,04 |
|
|
03.28.01.03 |
SERGI |
card |
3AL78816AAAG01 |
0,04 |
|
|
03.28.01.04 |
SYNTH1N |
card |
3AL79090BAAQ04 |
0,1 |
|
|
03.28.01.05 |
P4S1N |
card |
3AL78821BAAE01 |
0,03 |
|
|
03.28.01.06 |
IS-1.1 |
modul |
3AL78815ABAE01 |
0,40 |
|
|
03.28.01.07 |
IL-1.2 |
modul |
3AL78839ABAD01 |
0,10 |
|
|
03.28.01.08 |
P63E1 |
card |
3AL79092AAAG02 |
0,40 |
|
|
03.28.01.09 |
A21E1 |
card |
3AL78832AAAF02 |
0,36 |
|
|
03.28.01.10 |
Tổ hợp điện thoại |
cái |
1AF00398AAAA |
0,04 |
|
|
03.28.01.11 |
Tấm lọc bụi |
cái |
3AL80371AA |
0,10 |
|
|
03.28.01.12 |
Giá quạt |
cải |
3AL79773AA |
0,05 |
|
|
03.28.01.13 |
FANAdap19”/21” |
bộ |
3AL81076AA |
0,05 |
|
|
03.28.01.14 |
Quạt |
cải |
3AL79772AA |
0,20 |
|
|
03.28.01.15 |
1650SMC DDF |
bộ/100 bộ |
|
2 |
|
|
03.28.01.16 |
Connector |
bộ/100 bộ |
Các loại |
4 |
|
|
03.28.01.17 |
Cầu chì |
cái |
Các loại |
3 |
|
|
03.28.01.18 |
Vải phin trắng |
m |
Khổ 80cm |
0,5 |
|
|
03.28.01.19 |
Cồn công nghiệp |
lít |
900 |
1 |
|
|
03.28.01.20 |
Điện năng |
kw |
|
1.245 |
|
|
03.28.01.21 |
Vật liệu phụ |
% |
YLC |
5 |
|
|
Mã hiệu |
Danh mục vật tư |
Đơn vị |
Quy cách vật tư |
Định mức |
Ghi chú |
|
03.28.02.01 |
Khung giá 1650SMC |
bộ |
3AL78828AA |
0,03 |
|
|
03.28.02.02 |
CONGI |
card |
3AL78830AAAL04 |
0,04 |
|
|
03.28.02.03 |
SERGI |
card |
3AL78816AAAG01 |
0,04 |
|
|
03.28.02.04 |
SYNTH1N |
card |
3AL79090BAAQ04 |
0,1 |
|
|
03.28.02.05 |
IL-1.2 |
modul |
3AL78839ABAD01 |
0,10 |
|
|
03.28.02.06 |
P63E1 |
card |
3AL79092AAAG02 |
0,10 |
|
|
03.28.02.07 |
A21E1 |
card |
3AL78832AAAF02 |
0,09 |
|
|
03.28.02.08 |
Tổ hợp điện thoại |
cái |
1AF00398AAAA |
0,04 |
|
|
03.28.02.09 |
Tấm lọc bụi |
cái |
3AL80371AA |
0,10 |
|
|
03.28.02.10 |
Giá quạt |
cái |
3AL79773AA |
0,05 |
|
|
03.28.02.11 |
FANAdap 19"/21" |
bộ |
3AL81076AA |
0,05 |
|
|
03.28.02.12 |
Quạt |
cái |
3AL79772AA |
0,20 |
|
|
03.28.02.13 |
1650SMC DDF |
bộ/100 bộ |
|
2 |
|
|
03.28.02.14 |
Connector |
bộ/100 bộ |
Các loại |
4 |
|
|
03.28.02.15 |
Cầu chì |
cái |
Các loại |
3 |
|
|
03.28.02.16 |
Vải phin trắng |
m |
Khổ 80cm |
0,5 |
|
|
03.28.02.17 |
Cồn công nghiệp |
lít |
90° |
1 |
|
|
03.28.02.18 |
Điện năng |
kw |
|
1.155 |
|
|
03.28.02.19 |
Vật liệu phụ |
% |
VLC |
5 |
|
|
Mã hiệu |
Danh mục vật tư |
Đơn vị |
Quy cách vật tư |
Định mức |
Ghi chú |
|
03.28.03.01 |
Khung giá 1640FOX |
bộ |
3AL78833AA |
0,03 |
|
|
03.28.03.02 |
SYNTH1N |
card |
3AL79090BAAQ04 |
0,05 (0,10) |
|
|
03.28.03.03 |
IL-1.2 |
modul |
3AL78839ABAD01 |
0,10 |
|
|
03.28.03.04 |
P21E1 |
card |
3AL78916AAAF02 |
0,04 (0,12) |
|
|
03.28.03.05 |
Access Unit AFOX |
khối |
2Mbs 75/120 Ohm |
0,36 (1,89) |
|
|
03.28.03.06 |
1640 FOX DDF |
bộ/100 bộ |
|
2 |
|
|
03.28.03.07 |
Connector |
bộ/100 bộ |
Các loại |
4 |
|
|
03.28.03.08 |
Cầu chì |
cái |
Các loại |
3 |
|
|
03.28.03.09 |
Vải phin trắng |
m |
Khổ 80cm |
0,5 |
|
|
03.28.03.10 |
Cồn công nghiệp |
lít |
90° |
1 |
|
|
03.28.03.11 |
Vật liệu phụ |
% |
VLC |
5 |
|
|
Mã hiệu |
Danh mục vật tư |
Đơn vị |
Quy cách vật tư |
Định mức |
Ghi chú |
|
03.29.01.01 |
Khung giá MP- 2100 |
bộ |
MP- 2100/48/R/2UTP |
0,05 |
|
|
03.29.01.02 |
Điều khiển |
card |
MCL-2ETH |
0,10 |
|
|
03.29.01.03 |
Truyền số liệu quang 2E1 |
card |
MLF-2E1/FC13L |
0,10 |
|
|
03.29.01.04 |
Truyền số liệu điện 2E1 |
card |
MTMLH/2E1 |
0,08 |
|
|
03.29.01.05 |
Nguồn -48VDC |
card |
PS-180/DC |
0,10 |
|
|
03.29.01.06 |
Truyền số liệu V35 |
card |
HS-Q/N |
0,15 |
|
|
03.29.01.07 |
Trung kế thoại 6 E&M |
card |
VC-6A/ E&M |
0,20 |
|
|
03.29.01.08 |
Cáp E&M |
bộ |
CBL-V16A |
0,10 |
|
|
03.29.01.09 |
Cáp V35 |
bộ |
CBL-V35 |
0,25 |
|
|
03.29.01.10 |
Dây nhảy quang |
sợi |
FC/PC |
0,25 |
|
|
03.29.01.11 |
Connector |
cái |
Các loại |
0,25 |
|
|
03.29.01.12 |
Máy tính quản lý (PC) |
bộ |
RAM 2G; HDD 160Gb; CPU dual core 2.5 GHz; bàn phím, chuột; màn hình LCD 17 inch |
0,20 |
|
|
03.29.01.13 |
UPS |
cái |
2KVA |
|
|
|
03.29.01.14 |
Vải phin trắng |
m |
Khổ 80cm |
0,2 |
|
|
03.29.01.15 |
Cồn công nghiệp |
lít |
900 |
0,5 |
|
|
03.29.01.16 |
Vật liệu phụ |
% |
VLC |
5 |
|
|
Mã hiệu |
Danh mục vật tư |
Đơn vị |
Quy cách vật tư |
Định mức |
Ghi chú |
|
03.29.02.01 |
Khung giá 1511 BA |
bộ |
3AL42914AAAA03 |
4,75 |
|
|
03.29.02.02 |
PCM2Bis |
card |
3AL43018AFAC002 |
3,78 |
|
|
03.29.02.03 |
RGPA |
card |
3AL43050HAAD002 |
2,52 |
|
|
03.29.02.04 |
QEXA |
card |
3AL43072ABAB001 |
5,50 |
|
|
03.29.02.05 |
CNCC4 |
card |
3AL43154AAAB003 |
0,35 |
|
|
03.29.02.06 |
RAC |
card/100card |
3AL40069AAAA001 |
3 |
|
|
03.29.02.07 |
CBRA |
card/100card |
3AL05398BAAB003 |
3 |
|
|
03.29.02.08 |
PMPA |
card/100card |
3AL43120BAAA001 |
3 |
|
|
03.29.02.09 |
FXO SPCME3 |
card/100card |
3AL43070BAAA001 |
4 |
|
|
03.29.02.10 |
CHSU 5CH/1E&1M |
card/100card |
3AL43082AEAA001 |
4 |
|
|
03.29.02.11 |
U6VAM |
card/100card |
3AL43080AAAA003 |
3 |
|
|
03.29.02.12 |
MUX DDF |
bộ/100 bộ |
|
2 |
|
|
03.29.02.13 |
MUX DCF |
bộ/100 bộ |
|
2 |
|
|
03.29.02.14 |
Connector |
bộ/100 bộ |
Các loại |
4 |
|
|
03.29.02.15 |
Máy tính quản lý (PC) |
bộ |
MM²G; HDD 160Gb; CPU dual core 2.5 GHz; bàn phím, chuột; màn hình LCD 17 inch |
0,20 |
|
|
03.29.02.16 |
UPS |
cái |
2KVA |
0,2 |
|
|
03.29.02.17 |
Vải phin trắng |
m |
Khổ 80cm |
1,0 |
|
|
03.29.02.18 |
Cồn công nghiệp |
lít |
90° |
2 |
|
|
03.29.02.19 |
Vật liệu phụ |
% |
VLC |
5 |
|
|
Mã hiệu |
Danh mục vật tư |
Đơn vị |
Quy cách vật tư |
Định mức |
Ghi chú |
|
03.29.03.01 |
Giá máy 1511 BA |
bộ |
3AL42914AAAA03 |
0,85 |
|
|
03.29.03.02 |
PCM2Bis |
card |
3AL43018AFAC002 |
1,89 |
|
|
03.29.03.03 |
RGPA |
card |
3AL43050FAAD004 |
1,24 |
|
|
03.29.03.04 |
CNCC4 |
card |
3AL43154AAAB003 |
2,75 |
|
|
03.29.03.05 |
RAC |
card/100 card |
3AL40069AAAA001 |
3 |
|
|
03.29.03.06 |
FXS SPCMS4 |
card/100 card |
3AL42014BPAA001 |
4 |
|
|
03.29.03.07 |
CH SU 5CH/1E&1M |
card/100 card |
3AL43082AEAA001 |
4 |
|
|
03.29.03.08 |
U6VAM |
card/100 card |
3AL43080AAAA003 |
3 |
|
|
03.29.03.09 |
MUX MDF/DDF |
bộ/100 bộ |
|
3 |
|
|
03.29.03.10 |
MUX DCF |
bộ/100 bộ |
|
3 |
|
|
03.29.03.11 |
Connector |
bộ/100 bộ |
Các loại |
4 |
|
|
03.29.03.12 |
Vải phin trắng |
m |
Khổ 80cm |
0,5 |
|
|
03.29.03.13 |
Cồn công nghiệp |
lít |
90° |
1 |
|
|
03.29.03.14 |
Vật liệu phụ |
% |
VLC |
5 |
|
|
Mã hiệu |
Danh mục vật tư |
Đơn vị |
Quy cách vật tư |
Định mức |
Ghi chú |
|
03.30.01.01 |
Khung giá DXC-8R |
bộ |
DXC-8R-3/UTP/48 |
0,05 |
|
|
03.30.01.02 |
Điều khiển |
card |
DCL-3 |
0,10 |
|
|
03.30.01.03 |
Truyền số liệu quang 2E1 |
card |
M-E1B/FC 13L |
0,10 |
|
|
03.30.01.04 |
Truyền số liệu điện 2E1 |
card |
M-E1B |
0,08 |
|
|
03.30.01.05 |
Nguồn -48VDC |
card |
DPS |
0,10 |
|
|
03.30.01.06 |
Dây nhảy quang |
sợi |
FC/PC |
0,25 |
|
|
03.30.01.07 |
Connector |
cái |
Các loại |
0,25 |
|
|
03.30.01.08 |
Vải phin trắng |
m |
Khổ 80cm |
0,2 |
|
|
03.30.01.09 |
Cồn công nghiệp |
lít |
90o |
0,5 |
|
|
03.30.01.10 |
Vật liệu phụ |
% |
VLC |
5 |
|
|
Mã hiệu |
Danh mục vật tư |
Đơn vị |
Quy cách vật tư |
Định mức |
Ghi chú |
|
03.30.02.01 |
Giá máy 1515CXC |
bộ |
3AL53526AAAA02 |
0,12 |
|
|
03.30.02.02 |
RGPA |
card |
3AL43050FAAD004 |
0,48 |
|
|
03.30.02.03 |
OUPA |
card |
3AL53502AAAA001 |
1,92 |
|
|
03.30.02.04 |
CMXA |
card |
3AL53504AAAA002 |
0,48 |
|
|
03.30.02.05 |
NMQD |
card |
3AL53508AAAA008 |
0,14 |
|
|
03.30.02.06 |
CPOB |
card |
3AL53525AAAA002 |
0,48 |
|
|
03.30.02.07 |
CXC MDF/DDF |
bộ/100 bộ |
|
3 |
|
|
03.30.02.08 |
Connector |
bộ/100 bộ |
Các loại |
4 |
|
|
03.30.02.09 |
Vải phin trắng |
m |
Khổ 80cm |
0,2 |
|
|
03.30.02.10 |
Cồn công nghiệp |
lít |
900 |
0,5 |
|
|
03.30.02.11 |
Vật liệu phụ |
% |
VLC |
5 |
|
|
Mã hiệu |
Danh mục vật tư |
Đơn vị |
Quy cách vật tư |
Định mức |
Ghi chú |
|
03.31.01 |
Khung giá DCO |
bộ |
|
0,1 |
|
|
03.31.02 |
SUPPLY CTRL |
card |
E3S0020FC |
0,5 |
|
|
03.31.03 |
CNV +5D1/+5A1 |
card |
E3B0074FC |
01 |
|
|
03.31.04 |
50Hz GENE |
card |
E3A0041FC |
0,5 |
|
|
03.31.05 |
CENTRAL UNIT |
card |
E6C0063FC |
0,5 |
|
|
03.31.06 |
RCX |
card |
E6N0073FC |
0,5 |
|
|
03.31.07 |
8 MICS |
card |
E6U0072FC |
0,5 |
|
|
03.31.08 |
SUPERV SYS |
card |
E6S0062FC |
0,5 |
|
|
03.31.09 |
4 JUNCT TONE |
card |
E6D0012FC |
0,5 |
|
|
03.31.10 |
DIGITAL OW INT |
card |
E6H0101FC |
0,5 |
|
|
03.31.11 |
2 MAIN WORK |
card |
E6K0143FS |
0,5 |
|
|
03.31.12 |
4L2W |
card |
E6J0112FC |
01 |
|
|
03.31.13 |
Console A |
bộ |
96 phím, màn hình cảm ứng |
0,5 |
|
|
03.31.14 |
CONV 48V-8A |
card |
|
01 |
|
|
03.31.15 |
Acqui 12V-24AH |
bình |
|
1 |
|
|
03.31.16 |
MDF |
bộ/100 bộ |
|
2 |
|
|
03.31.17 |
Máy tính quản lý (PC) |
bộ |
RAM 2G; HDD 160Gb; CPU dual core 2.5 GHz; bàn phím, chuột; màn hình LCD 17 inch |
0,20 |
|
|
03.31.18 |
UPS |
cái |
2KVA |
0,2 |
|
|
03.31.19 |
Ghi âm số |
bộ |
MIRRA2 |
0,02 |
|
|
03.31.20 |
Đĩa DVD |
cái |
9,4 GB hai mặt |
12 |
|
|
03.31.21 |
Đồng hồ hiển thị |
bộ |
Digital |
0,2 |
|
|
03.31.22 |
Vải phin trắng |
m |
Khổ 80cm |
1,0 |
|
|
03.31.23 |
Cồn công nghiệp |
lít |
90° |
2 |
|
|
03.31.24 |
Vật liệu phụ |
% |
VLC |
15 |
|
|
Mã hiệu |
Danh mục vật tư |
Đơn vị |
Quy cách vật tư |
Định mức |
Ghi chú |
|
03.32.01 |
Khung giá SEI |
bộ |
6U/BUS Z80 |
0,05 |
|
|
03.32.02 |
CENTRAL UNIT |
card |
E6C0050FS |
0,1 |
|
|
03.32.03 |
OW |
card |
E6H0061FC |
0,1 |
|
|
03.32.04 |
RCX |
card |
E6H0050 |
0,1 |
|
|
03.32.05 |
4L2W |
card |
E6J0062 |
0,2 |
|
|
03.32.06 |
1L4W |
card |
E6B0091FC |
0,1 |
|
|
03.32.07 |
CONV |
card |
E6B0061FC |
0,1 |
|
|
03.32.08 |
Máy điện thoại |
cái |
Depaepe |
01 |
|
|
03.32.09 |
Phân cơ điện thoại |
bộ |
Amystel |
0,05 |
|
|
03.32.10 |
Console SEI |
cái |
56 phím |
0,08 |
|
|
03.32.11 |
CONV 48V-4A |
card |
|
0,1 |
|
|
03.32.12 |
Acqui 12V-7AH |
bình |
|
1 |
|
|
03.32.13 |
MDF |
bộ/100 bộ |
|
2 |
|
|
03.32.14 |
Đồng hồ hiển thị |
bộ |
Digital |
0,2 |
|
|
03.32.15 |
Vải phin trắng |
m |
Khổ 80cm |
0,5 |
|
|
03.32.16 |
Cồn công nghiệp |
lít |
900 |
1 |
|
|
03.32.17 |
Vật liệu phụ |
% |
VLC |
15 |
|
|
Mã hiệu |
Danh mục vật tư |
Đơn vị |
Quy cách vật tư |
Định mức |
Ghi chú |
|
04.01.01 |
Sổ sách quản lý các loại |
quyển |
100 trang |
25 |
|
|
04.01.02 |
Thống kê điện thoại, điện bàn hàng ngày |
tờ |
|
1500 |
|
|
04.01.03 |
Giấy trắng |
ram |
A4 |
20 |
|
|
04.01.04 |
Bút bi các loại |
cái |
|
72 |
|
|
04.01.05 |
Bút xóa |
cái |
|
2 |
|
|
04.01.06 |
Gim dập, kẹp giấy |
hộp |
Các loại |
20 |
|
|
04.01.07 |
Dập gim |
cái |
|
1 |
|
|
04.01.08 |
Pin R20 |
quả |
|
4 |
|
|
04.01.09 |
Máy tính quản lý (PC) |
bộ |
RAM 2G; HDD 160Gb; CPUdual core 2.5 GHz; bàn phím, chuột; màn hình LCD 17 inch |
0,2 |
|
|
04.01.10 |
Máy in laser |
bộ |
Khổ A4 |
0,2 |
|
|
04.01.11 |
Mực in |
hộp |
|
1 |
|
|
04.01.12 |
Đèn pin |
cái |
|
0,5 |
|
|
04.01.13 |
Vật liệu phụ |
% |
VLC |
5 |
|
|
Mã hiệu |
Danh mục vật tư |
Đơn vị |
Quy cách vật tư |
Định mức |
Ghi chú |
|
04.02.01 |
Sổ sách quản lý các loại |
quyển |
100 trang |
25 |
|
|
04.02.02 |
Giấy trắng |
ram |
A4 |
3 |
|
|
04.02.03 |
Bút bi các loại |
cái |
|
24 |
|
|
04.02.04 |
Pin R20 |
quả |
|
24 |
|
|
04.02.05 |
Cờ đỏ, vàng phòng vệ |
cái |
|
2 |
|
|
04.02.06 |
Đèn pin |
cái |
|
1 |
|
|
04.02.07 |
Kìm các loại |
cái |
|
2 |
|
|
04.02.08 |
Cờ lê, mỏ lết các loại |
cái |
|
1 |
|
|
04.02.09 |
Búa các loại |
cái |
|
1 |
|
|
04.02.10 |
Mỏ hàn các loại |
cái |
|
1 |
|
|
04.02.11 |
Tuốc lơ vít các loại |
cái |
|
4 |
|
|
04.02.12 |
Bút thử điện |
cái |
|
1 |
|
|
04.02.13 |
Túi dụng cụ |
cái |
|
2 |
|
|
04.02.14 |
Đồng hồ đo điện các loại |
cái |
|
0,5 |
|
|
04.02.15 |
Máy hút bụi cầm tay |
cái |
|
0,5 |
|
|
04.02.16 |
Máy thổi bụi |
cái |
|
0,5 |
|
|
04.02.17 |
Dao phập |
cái |
Các loại |
1,5 |
|
|
04.02.18 |
Nhiệt kế |
cái |
|
1 |
|
|
04.02.19 |
ẩm kế |
cái |
|
1 |
|
|
04.02.20 |
Máy tính quản lý (PC) |
bộ |
RAM 2G; HDD 160Gb; CPU dual core 2.5 GHz; bàn phím, chuột; màn hình LCD 17 inch |
0,2 |
|
|
04.02.21 |
Máy in laser |
bộ |
Khổ A4 |
0,2 |
|
|
04.02.22 |
Mực in |
hộp |
|
1 |
|
|
04.02.23 |
Chổi lông |
cái |
|
1 |
|
|
04.02.24 |
Vật liệu phụ |
% |
VLC |
5 |
|
|
Mã hiệu |
Danh mục vật tư |
Đơn vị |
Quy cách vật tư |
Định mức |
Ghi chú |
|
04.03.01 |
Sổ sách quản lý các loại |
quyển |
100 trang |
11 |
|
|
04.03.02 |
Giấy trắng |
ram |
A4 |
3 |
|
|
04.03.03 |
Bút bi các loại |
cái |
|
24 |
|
|
04.03.04 |
Pin R20 |
quả |
|
24 |
|
|
04.03.05 |
Đèn pin |
cái |
|
1 |
|
|
04.03.06 |
Kìm các loại |
cái |
|
2 |
|
|
04.03.07 |
Cờ lê, mỏ lết các loại |
cái |
|
1 |
|
|
04.03.08 |
Búa các loại |
cái |
|
1 |
|
|
04.03.09 |
Mỏ hàn các loại |
cái |
|
1 |
|
|
04.03.10 |
Tuốc lơ vít các loại |
cái |
|
4 |
|
|
04.03.11 |
Bút thử điện |
cái |
|
1 |
|
|
04.03.12 |
Túi dụng cụ |
cái |
|
2 |
|
|
04.03.13 |
Đồng hồ đo điện các loại |
cái |
|
0,5 |
|
|
04.03.14 |
Máy hút bụi cầm tay |
cái |
|
0,5 |
|
|
04.03.15 |
Máy sấy |
cái |
|
0,1 |
|
|
04.03.16 |
Máy thổi bụi |
cái |
|
0,5 |
|
|
04.03.17 |
Nhiệt kế |
cái |
|
1 |
|
|
04.03.18 |
Ẩm kế |
cái |
|
1 |
|
|
04.03.19 |
Máy tính quản lý (PC) |
bộ |
MM²G; HDD 160Gb; CPU dual core 2.5 GHz; bàn phím, chuột; màn hình LCD 17 inch |
0,2 |
|
|
04.03.20 |
Máy in laser |
bộ |
Khổ A4 |
0,2 |
|
|
04.03.21 |
Mực in |
hộp |
|
1 |
|
|
04.03.22 |
Chổi lông |
cái |
|
1 |
|
|
04.03.23 |
Vật liệu phụ |
% |
VLC |
5 |
|
|
Mã hiệu |
Danh mục vật tư |
Đơn vị |
Quy cách vật tư |
Định mức |
Ghi chú |
|
04.04.01 |
Sổ sách quản lý các loại |
quyển |
100 trang |
11 |
|
|
04.04.02 |
Giấy trắng |
ram |
A4 |
3 |
|
|
04.04.03 |
Bút bi các loại |
cái |
|
24 |
|
|
04.04.04 |
Pin R20 |
quả |
|
24 |
|
|
04.04.05 |
Đèn pin |
cái |
|
1 |
|
|
04.04.06 |
Kìm các loại |
cái |
|
2 |
|
|
04.04.07 |
Cờ lê, mỏ lết các loại |
cái |
|
1 |
|
|
04.04.08 |
Búa các loại |
cái |
|
1 |
|
|
04.04.09 |
Mỏ hàn các loại |
cái |
|
1 |
|
|
04.04.10 |
Tuốc lơ vít các loại |
cái |
|
4 |
|
|
04.04.11 |
Bút thử điện |
cái |
|
2 |
|
|
04.04.12 |
Túi dụng cụ |
cái |
|
2 |
|
|
04.04.13 |
Đồng hồ đo điện các loại |
cái |
|
0,5 |
|
|
04.04.14 |
Máy hút bụi cầm tay |
cái |
|
0,5 |
|
|
04.04.15 |
Máy thổi bụi |
cái |
|
0,5 |
|
|
04.04.16 |
Nhiệt kế |
cái |
|
1 |
|
|
04.04.17 |
ẩm kế |
cái |
|
1 |
|
|
04.04.18 |
Chổi lông |
cái |
|
1 |
|
|
04.04.19 |
Ắc quy kế |
cái |
|
1 |
|
|
04.04.20 |
Kính bảo hộ |
cái |
|
2 |
|
|
04.04.21 |
ủng cao su |
đôi |
|
2 |
|
|
04.04.22 |
Găng tay cao su |
đôi |
|
10 |
|
|
04.04.23 |
Chậu pha hóa chất |
cái |
|
1 |
|
|
04.04.24 |
Đũa thủy tinh |
cái |
|
1 |
|
|
04.04.25 |
Bể nước cất |
cái |
|
0,1 |
|
|
04.04.26 |
Phễu thủy tinh |
cái |
|
2 |
|
|
04.04.27 |
Máy nấu nước cất |
cái |
|
0,15 |
|
|
04.04.28 |
Bình chứa hóa chất |
cái |
|
2 |
|
|
04.04.29 |
Mặt nạ phòng độc |
cái |
|
1 |
|
|
04.04.30 |
Khẩu trang phòng độc |
cái |
|
10 |
|
|
04.04.31 |
Máy tính quản lý (PC) |
bộ |
RAM 2G; HDD 160Gb; CPU dual core 2.5 GHz; bàn phím, chuột; màn hình LCD 17 inch |
0,2 |
|
|
04.04.32 |
Máy in laser |
bộ |
Khổ A4 |
0,2 |
|
|
04.04.33 |
Mực in |
hộp |
|
1 |
|
|
04.04.34 |
Vật liệu phụ |
% |
VLC |
5 |
|
|
Mã hiệu |
Danh mục vật tư |
Đơn vị |
Quy cách vật tư 1 |
Định mức |
Ghi chú |
|
04.05.01 |
Sổ sách quản lý các loại |
quyển |
100 trang |
12 |
|
|
04.05.02 |
Giấy trắng |
ram |
A4 |
3 |
|
|
04.05.03 |
Bút bi các loại |
cái |
|
24 |
|
|
04.05.04 |
Pin R20 |
quả |
|
24 |
|
|
04.05.05 |
Mỏ hàn các loại |
cái |
|
1 |
|
|
04.05.06 |
Tuốc lơ vít các loại |
cái |
|
4 |
|
|
04.05.07 |
Bút thử điện |
cái |
|
1 |
|
|
04.05.08 |
Túi dụng cụ |
cái |
|
2 |
|
|
04.05.09 |
Đồng hồ đo điện các loại |
cái |
|
0,5 |
|
|
04.05.10 |
Máy hút bụi cầm tay |
cái |
|
0,5 |
|
|
04.05.11 |
Máy thổi bụi |
cái |
|
0,5 |
|
|
04.05.12 |
Dao phập |
cái |
Các loại |
1,5 |
|
|
04.05.13 |
Máy đo dây đất |
cái |
KYORITSU/4102 |
0,25 |
|
|
04.05.14 |
Máy điện thoại thử dây |
Cái |
|
1 |
|
|
04.05.15 |
Nhiệt kế |
cái |
|
1 |
|
|
04.05.16 |
ẩm kế |
cái |
|
1 |
|
|
04.05.17 |
Máy tính quản lý (PC) |
bộ |
MM²G; HDD 160Gb; CPU dual core 2.5 GHz; bàn phím, chuột; màn hình LCD 17 inch |
0,2 |
|
|
04.05.18 |
Máy in laser |
bộ |
Khổ A4 |
0,2 |
|
|
04.05.19 |
Mực in |
hộp |
|
1 |
|
|
04.05.20 |
Chổi lông |
cái |
|
6 |
|
|
04.05.21 |
Vật liệu phụ |
% |
VLC |
5 |
|
|
Mã hiệu |
Danh mục vật tư |
Đơn vị |
Quy cách vật tư |
Định mức |
Ghi chú |
|
05.01.01 |
Thuốc đánh đồng |
kg |
|
0,4 |
|
|
05.01.02 |
Dầu ma-dút |
kg |
|
1,6 |
|
|
05.01.03 |
Chổi lông |
cái |
|
1,2 |
|
|
05.01.04 |
Giẻ lau máy |
kg |
|
4,8 |
|
|
05.01.05 |
Vải phin trắng |
m |
Khổ 80 |
4,8 |
|
|
05.01.06 |
Dầu nhớt |
kg |
|
0,6 |
|
|
05.01.07 |
Bóng đèn |
cái |
12v/25w |
14 |
|
|
05.01.08 |
Bàn chải sắt |
cái |
|
0,5 |
Hoặc giấy nhám |
|
05.01.09 |
Chổi sơn |
cái |
|
1 |
|
|
05.01.10 |
Sơn đen |
kg |
Sơn tổng hợp |
2 |
|
|
05.01.11 |
Sơn xám |
kg |
Sơn tổng hợp |
1 |
|
|
05.01.12 |
Sơn trắng |
kg |
Sơn tổng hợp |
0,5 |
|
|
05.01.13 |
Sơn phòng rỉ |
kg |
Sơn tổng hợp |
1 |
|
|
05.01.14 |
Chổi quét vôi |
cái |
|
1 |
|
|
05.01.15 |
Vôi cục |
kg |
|
2 |
|
|
05.01.16 |
Bút lông |
cái |
|
0,2 |
|
|
05.01.17 |
Bộ chữ, số viết cột |
bộ |
|
0,2 |
|
|
05.01.18 |
Dây nhiều ruột (các màu) |
m |
0,5 mm2 |
40 |
|
|
05.01.19 |
Thấu kính trắng |
cái |
D= 212 |
1 |
|
|
05.01.20 |
Thấu kính màu |
cái |
D= 139 |
1 |
|
|
05.01.21 |
Cơ cấu đèn tín hiệu |
cái |
|
0,1 |
|
|
05.01.22 |
Đế cắm đèn |
cái |
12v/25w |
0,2 |
|
|
05.01.23 |
Tán che đèn tín hiệu |
cái |
|
0,2 |
|
|
05.01.24 |
Thang cột tín hiệu |
cái |
Loại cột 10m |
0,1 |
|
|
05.01.25 |
Ống sắt chun luồn dây |
cái |
|
0,2 |
|
|
05.01.26 |
Móng thang |
cái |
|
0,1 |
|
|
05.01.27 |
Móng hộp cáp, hòm biến thế |
cái |
|
0,1 |
|
|
05.01.28 |
Hộp cáp |
cái |
|
0,1 |
|
|
05.01.29 |
Hòm biến thế |
cái |
|
0,1 |
|
|
05.01.30 |
Cọc tiếp đất |
cái |
|
0,2 |
|
|
05.01.31 |
Vật liệu phụ |
% |
VLC |
5 |
|
|
Mã hiệu |
Danh mục vật tư |
Đơn vị |
Quy cách vật tư |
Định mức |
Ghi chú |
|
05.02.01 |
Thuốc đánh đồng |
kg |
|
0,3 |
|
|
05.02.02 |
Dầu ma-dút |
kg |
|
2,4 |
|
|
05.02.03 |
Chổi lông |
cái |
|
1,2 |
|
|
05.02.04 |
Giẻ lau máy |
kg |
|
3,6 |
|
|
05.02.05 |
Vải phin trắng |
m |
khổ 80 |
2,4 |
|
|
05.02.06 |
Dầu nhớt |
kg |
|
1,2 |
|
|
05.02.07 |
Mỡ bò |
kg |
|
2,4 |
|
|
05.02.08 |
Dầu hỏa |
lít |
|
0,4 |
|
|
05.02.09 |
Bàn chải sắt |
cái |
|
0,5 |
Hoặc giấy nhám |
|
05.02.10 |
Chổi sơn |
cái |
|
2 |
|
|
05.02.11 |
Sơn xám |
kg |
Sơn tổng hợp |
2/(1) |
Cột sắt (cột Bê tông) |
|
05.02.12 |
Sơn trắng |
kg |
Sơn tổng hợp |
3/(1) |
Cột sắt/ (cột Bê tông) |
|
05.02.13 |
Sơn phòng rỉ |
kg |
Sơn tổng hợp |
3/(1) |
Cột sắt (cột Bê tông) |
|
05.02.14 |
Bút lông |
cái |
|
0,2 |
|
|
05.02.15 |
Bộ chữ, số viết cột |
bộ |
|
0,2 |
|
|
05.02.16 |
Chổi quét vôi |
cái |
|
1 |
|
|
05.02.17 |
Vôi cục |
kg |
|
0,5/(2) |
Cột sắt (cột Bê tông) |
|
05.02.18 |
Dây nhiều ruột (các màu) |
m |
0,5 mm2 |
30 |
|
|
05.02.19 |
Kính tín hiệu màu phẳng |
cái |
Các loại |
2 |
|
|
05.02.20 |
Cánh tín hiệu |
cái |
L=1.2 |
0,25 |
|
|
05.02.21 |
Cánh tín hiệu |
cái |
L=0.9 |
0,25 |
|
|
05.02.22 |
Cánh tín hiệu |
cái |
Đuôi cá |
0,25 |
|
|
05.02.23 |
Tiếp xúc khí |
cái |
|
0,1 |
|
|
05.02.24 |
Tuyển biệt khí |
cái |
|
0,1 |
|
|
05.02.25 |
Cần đẩy cánh tín hiệu |
cái |
|
0,1 |
|
|
05.02.26 |
Cánh khủy |
cái |
|
0,1 1 |
|
|
05.02.27 |
Thang cột tín hiệu |
cái |
Loại cột 8.5m |
0,1 |
|
|
05.02.28 |
Chóp cột |
cái |
|
0,1 |
cột sắt |
|
05.02.29 |
Bánh xe chuyển hướng |
cái |
|
1 |
|
|
05.02.30 |
Dây sắt mạ kẽm |
kg |
D=4mm |
20 |
|
|
05.02.31 |
Dây sắt mạ kẽm |
kg |
D=1,6mm |
0,5 |
|
|
05.02.32 |
Dây cáp lụa |
kg |
D=6mm |
10 |
|
|
05.02.33 |
Tăng đơ tín hiệu |
cái |
|
2 |
|
|
05.02.34 |
Khâu vòng nối dây |
cái |
|
2 |
|
|
05.02.35 |
Bánh xe đỡ dây |
cái |
|
5 |
|
|
05.02.36 |
Giá đỡ bánh xe |
cái |
Kép |
5 |
|
|
05.02.37 |
Cột đỡ dây |
cột |
|
2 |
|
|
05.02.38 |
Hộp khóa điện |
cái |
|
0,1 |
|
|
05.02.39 |
Công tác đạp chân |
cái |
|
0,1 |
|
|
05.02.40 |
Ốp khung lò xo |
bộ |
|
2 |
|
|
05.02.41 |
Hộp cáp |
hộp |
|
0,1 |
|
|
05.02.42 |
Móng hộp cáp |
cái |
|
0,1 |
|
|
05.02.43 |
Móng thang |
cái |
|
0,1 |
|
|
05.02.44 |
Vật liệu phụ |
% |
VLC |
5 |
|
|
Mã hiệu |
Danh mục vật tư |
Đơn vị |
Quy cách vật tư |
Định mức |
Ghi chú |
|
05.03.01 |
Chổi lông |
cái |
|
1,2 |
|
|
05.03.02 |
Giẻ lau máy |
kg |
|
3 |
|
|
05.03.03 |
Dầu ma-dút |
kg |
|
1,2 |
|
|
05.03.04 |
Vải phin trắng |
m |
Khổ 80 |
2,4 |
|
|
05.03.05 |
Dầu nhớt |
kg |
|
1,2 |
|
|
05.03.06 |
Mỡ bò |
kg |
|
2,4 |
|
|
05.03.07 |
Dầu hỏa |
lít |
|
4,8 |
|
|
05.03.08 |
Bàn chải sắt |
cái |
|
0,5 |
Hoặc giấy nhám |
|
05.03.09 |
Chổi sơn |
cái |
|
2 |
|
|
05.03.10 |
Sơn xám |
kg |
Sơn tổng hợp |
2/(1) |
Cột sắt/ |
|
05.03.11 |
Sơn trắng |
kg |
Sơn tổng hợp |
3/(1) |
Cột sắt/ |
|
05.03.12 |
Sơn phòng rỉ |
kg |
Sơn tổng hợp |
3/(1) |
Cột sắt/ |
|
05.03.13 |
Chổi quét vôi |
cái |
|
1 |
|
|
05.03.14 |
Vôi cục |
kg |
|
0,5/(2) |
Cột sắt/ |
|
05.03.15 |
Bút lông |
cái |
|
0,2 |
|
|
05.03.16 |
Bộ chữ, số viết cột |
bộ |
|
0,2 |
|
|
05.03.17 |
Kính tín hiệu màu phẳng |
cái |
Các loại |
1 |
|
|
05.03.18 |
Cánh tín hiệu |
cái |
L= 1,2 |
0,2 |
|
|
05.03.19 |
Cánh tín hiệu |
cái |
L=0,9 |
0,2 |
|
|
05.03.20 |
Cần đẩy cánh tín hiệu |
cái |
|
0,1 |
|
|
05.03.21 |
Thang cột tín hiệu |
cái |
|
0,1 |
|
|
05.03.22 |
Chóp cột |
cái |
|
0,1 |
cột sắt |
|
05.03.23 |
Cánh khủy |
cái |
|
0,1 |
|
|
05.03.24 |
Bánh xe điều khiển |
cái |
|
0,1 |
|
|
05.03.25 |
Bánh xe chuyển hướng |
cái |
|
1 |
|
|
05.03.26 |
Dây sắt mạ kẽm |
kg |
D=4mm |
20 |
|
|
05.03.27 |
Dây sắt mạ kẽm |
kg |
D=1,6mm |
0,5 |
|
|
05.03.28 |
Dây cáp lụa |
kg |
D=6mm |
10 |
|
|
05.03.29 |
Tăng đơ tín hiệu |
cái |
|
2 |
|
|
05.03.30 |
Khâu vòng nối dây |
cái |
|
2 |
|
|
05.03.31 |
Bánh xe đỡ dây |
cái |
|
5 |
|
|
05.03.32 |
Giá đỡ bánh xe |
cái |
Kép |
5 |
|
|
05.03.33 |
Cột đỡ dây |
cột |
|
2 |
|
|
05.03.34 |
Ổ khóa khống chế |
cái |
|
0,2 |
|
|
05.03.35 |
Hãm tay kéo tín hiệu |
cái |
|
1 |
|
|
05.03.36 |
Móng thang |
cái |
|
0,1 |
|
|
05.03.37 |
Vật liệu phụ |
% |
VLC |
5 |
|
|
Mã hiệu |
Danh mục vật tư |
Đơn vị |
Quy cách vật tư |
Định mức |
Ghi chú |
|
05.04.01 |
Thuốc đánh đồng |
kg |
|
0,2 |
|
|
05.04.02 |
Dầu ma-dút |
kg |
|
1,2 |
|
|
05.04.03 |
Chổi lông |
cái |
|
1,2 |
|
|
05.04.04 |
Giẻ lau máy |
kg |
|
2,4 |
|
|
05.04.05 |
Vải phin trắng |
m |
Khổ 80 |
2,4 |
|
|
05.04.06 |
Dầu nhớt |
kg |
|
0,6 |
|
|
05.04.07 |
Bóng đèn |
cái |
12v/25w |
12 |
|
|
05.04.08 |
Bàn chải sắt |
cái |
|
0,5 |
Hoặc giấy nhám |
|
05.04.09 |
Chổi sơn |
cái |
|
1 |
|
|
05.04.10 |
Sơn đen |
kg |
Sơn tổng hợp |
1 |
|
|
05.04.11 |
Sơn xám |
kg |
Sơn tổng hợp |
1 |
|
|
05.04.12 |
Sơn trắng |
kg |
Sơn tổng hợp |
0,3 |
|
|
05.04.13 |
Sơn phòng rỉ |
kg |
Sơn tổng hợp |
1 |
|
|
05.04.14 |
Chổi quét vôi |
cái |
|
1 |
|
|
05.04.15 |
Vôi cục |
kg |
|
2 |
|
|
05.04.16 |
Bút lông |
cái |
|
0,2 |
|
|
05.04.17 |
Bộ chữ, số viết cột |
bộ |
|
0,2 |
|
|
05.04.18 |
Dây nhiều ruột (các màu) |
m |
0,5 mm2 |
25 |
|
|
05.04.19 |
Thấu kính trắng |
cái |
D= 212 |
1 |
|
|
05.04.20 |
Thấu kính màu |
cái |
D= 139 |
1 |
|
|
05.04.21 |
Cơ cấu đèn tín hiệu |
cái |
|
0,1 |
|
|
05.04.22 |
Đế cắm đèn |
cái |
12v/25w |
0,2 |
|
|
05.04.23 |
Tán che đèn tín hiệu |
cái |
|
0.2 |
|
|
5.04.24 |
Thang cột tín hiệu |
cái |
Loại cột 8,5m |
0,1 |
|
|
05.04.25 |
Ống sắt chun luồn dây |
cái |
|
0,1 |
|
|
05.04.26 |
Móng thang |
cái |
|
0,1 |
|
|
05.04.27 |
Hộp cáp |
cái |
|
0,1 |
Ga TM-95 |
|
05.04.28 |
Hòm biến thế |
cái |
|
0,1 |
Ga TM-2001 |
|
05.04.29 |
Cọc tiếp đất |
cái |
|
0,2 |
Ga TM-2001 |
|
05.04.30 |
Móng hộp cáp, hòm biến thế |
cái |
|
0,1 |
|
|
05.04.31 |
Vật liệu phụ |
% |
VLC |
5 |
|
|
Mã hiệu |
Danh mục vật tư |
Đơn vị |
Quy cách vật tư |
Định mức |
Ghi chú |
|
05.05.01 |
Thuốc đánh đồng |
kg |
|
0,2 |
|
|
05.05.02 |
Dầu ma-dút |
kg |
|
1,2 |
|
|
05.05.03 |
Chổi lông |
cái |
|
1,2 |
|
|
05.05.04 |
Giẻ lau máy |
kg |
|
2,2 |
|
|
05.05.05 |
Vải phin trắng |
m |
Khổ 80 |
2,2 |
|
|
05.05.06 |
Dầu nhớt |
kg |
|
0,2 |
|
|
05.05.07 |
Bóng đèn |
cái |
12v/25w |
12 |
|
|
05.05.08 |
Bàn chải sắt |
cái |
|
0,5 |
Hoặc giấy nhám |
|
05.05.09 |
Chổi sơn |
cái |
|
1 |
|
|
05.05.10 |
Sơn đen |
kg |
Sơn tổng hợp |
1 |
|
|
05.05.11 |
Sơn trắng |
kg |
Sơn tổng hợp |
0,3 |
|
|
05.05.12 |
Sơn xám |
kg |
Sơn tổng hợp |
0,2 |
|
|
05.05.13 |
Sơn phòng rỉ |
kg |
Sơn tổng hợp |
0,2 |
|
|
05.05.14 |
Chổi quét vôi |
cái |
|
1 |
|
|
05.05.15 |
Vôi cục |
kg |
|
1 |
|
|
05.05.16 |
Bút lông |
cái |
|
0,2 |
|
|
05.05.17 |
Bộ chữ, số viết cột |
bộ |
|
0,2 |
|
|
05.05.18 |
Dây nhiều ruột (các màu) |
m |
0,5 mm2 |
5 |
|
|
05.05.19 |
Thấu kính trắng |
cái |
D= 163 |
1 |
|
|
05.05.20 |
Thấu kính màu |
cái |
D= 139 |
1 |
|
|
05.05.21 |
Cơ cấu đèn tín hiệu |
cái |
|
0,1 |
|
|
05.05.22 |
Đế cắm đèn |
cái |
12v/25w |
0,2 |
|
|
05.05.23 |
Tán che đèn tín hiệu |
cái |
|
0,2 |
|
|
05.05.24 |
Hộp cáp |
cái |
|
0,1 |
Ga TM-95 |
|
05.05.25 |
Hòm biến thế |
cái |
|
0,1 |
Ga TM-2001 |
|
05.05.26 |
Cọc tiếp đất |
cái |
|
0,2 |
Ga TM-2001 |
|
05.05.27 |
Móng hộp cáp, hòm biến thế |
cái |
|
0,1 |
|
|
05.05.28 |
Vật liệu phụ |
% |
VLC |
5 |
|
|
Mã hiệu |
Danh mục vật tư |
Đơn vị |
Quy cách vật tư |
Định mức |
Ghi chú |
|
05.06.01 |
Thuốc đánh đồng |
kg |
|
0,2 |
|
|
05.06.02 |
Dầu ma-dút |
kg |
|
1,2 |
|
|
05.06.03 |
Chổi lông |
cái |
|
1,2 |
|
|
05.06.04 |
Giẻ lau máy |
kg |
|
2,4 |
|
|
05.06.05 |
Vải phin trắng |
m |
Khổ 80 |
2,4 |
|
|
05.06.06 |
Dầu nhớt |
kg |
|
1,2 |
|
|
05.06.07 |
Mỡ bò |
kg |
|
2,4 |
|
|
05.06.08 |
Dầu hỏa |
lít |
|
4,8 |
|
|
05.06.09 |
Bàn chải sắt |
cái |
|
0,5 |
Hoặc giấy nhám |
|
05.06.10 |
Chổi sơn |
cái |
|
2 |
|
|
05.06.11 |
Sơn xám |
kg |
Sơn tổng hợp |
2/(1) |
Cột sắt |
|
05.06.12 |
Sơn trắng |
kg |
Sơn tổng hợp |
3/(1) |
Cột sắt |
|
05.06.13 |
Sơn phòng rỉ |
kg |
|
3/(1) |
Cột sắt |
|
05.06.14 |
Chổi quét vôi |
cái |
|
1 |
|
|
05.06.15 |
Vôi cục |
kg |
|
0,5/(2) |
Cột sắt |
|
05.06.16 |
Bút lông |
cái |
|
0,2 |
|
|
05.06.17 |
Bộ chữ, số viết cột |
bộ |
|
0,2 |
|
|
05.06.18 |
Dây nhiều ruột (các màu) |
m |
0,5 mm2 |
30 |
|
|
05.06.19 |
Kính phẳng (biểu thị trong và ngoài) |
cái |
Các loại |
2 |
|
|
05.06.20 |
Cánh tín hiệu |
cái |
L=1.2 |
0,2 |
|
|
05.06.21 |
Tiếp xúc khí |
cái |
|
0,1 |
|
|
05.06.22 |
Tuyển biệt khí |
cái |
|
0,1 |
|
|
05.06.23 |
Cần đẩy cánh tín hiệu |
cái |
|
0,1 |
|
|
05.06.24 |
Cánh khủy |
cái |
|
0,1 |
|
|
05.06.25 |
Thang cột tín hiệu |
cái |
Loại cột 8.5m |
0,1 |
|
|
05.06.26 |
Chóp cột |
cái |
|
0,1 |
cột sắt |
|
05.06.27 |
Bánh xe chuyển hướng |
cái |
|
1 |
|
|
05.06.28 |
Dây sắt mạ kẽm |
kg |
D=4mm |
20 |
|
|
05.06.29 |
Dây sắt mạ kẽm |
kg |
D=1,6mm |
0,5 |
|
|
05.06.30 |
Dây cáp lụa |
kg |
D=6mm |
10 |
|
|
05.06.31 |
Tăng đơ tín hiệu |
cái |
|
2 |
|
|
05.06.32 |
Khâu vòng nối dây |
cái |
|
2 |
|
|
05.06.33 |
Bánh xe đỡ dây |
cái |
|
5 |
|
|
05.06.34 |
Giá đỡ bánh xe |
cái |
Kép |
5 |
|
|
05.06.35 |
Cột đỡ dây |
cột |
|
2 |
|
|
05.06.36 |
Hộp khóa điện |
cái |
|
0,1 |
|
|
05.06.37 |
Công tác đạp chân |
cái |
|
0,1 |
|
|
05.06.38 |
Ốp khung lò xo |
bộ |
|
2 |
|
|
05.06.39 |
Hộp cáp |
hộp |
|
0,1 |
|
|
05.06.40 |
Móng hộp cáp |
cái |
|
0,1 |
|
|
05.06.41 |
Móng thang |
cái |
|
0,1 |
|
|
05.06.42 |
Vật liệu phụ |
% |
VLC |
5 |
|
|
Mã hiệu |
Danh mục vật tư |
Đơn vị |
Quy cách vật tư |
Định mức |
Ghi chú |
|
05.07.01 |
Thuốc đánh đồng |
kg |
|
0,2 |
|
|
05.07.02 |
Dầu ma-dút |
kg |
|
0,6 |
|
|
05.07.03 |
Chổi lông |
cái |
|
1,2 |
|
|
05.07.04 |
Giẻ lau máy |
kg |
|
3,6 |
|
|
05.07.05 |
Vải phin trắng |
m |
Khổ 80 |
3,6 |
|
|
05.07.06 |
Dầu nhớt |
kg |
|
0,6 |
|
|
05.07.07 |
Mỡ bò |
kg |
|
2,4 |
|
|
05.07.08 |
Dầu hỏa |
lít |
|
4,8 |
|
|
05.07.09 |
Chổi sơn |
cái |
|
2 |
|
|
05.07.10 |
Sơn xám |
kg |
Sơn tổng hợp |
2/(1) |
Cột sắt/ |
|
05.07.11 |
Sơn trắng |
kg |
Sơn tổng hợp |
3/(1) |
Cột sắt/ |
|
05.07.12 |
Sơn phòng rỉ |
kg |
Sơn tổng hợp |
3/(1) |
Cột sắt/ |
|
05.07.13 |
Chổi quét vôi |
cái |
|
1 |
|
|
05.07.14 |
Vôi cục |
kg |
|
0,5/(2) |
Cột sắt/ |
|
05.07.15 |
Bút lông |
cái |
|
0,2 |
|
|
05.07.16 |
Bộ chữ, số viết cột |
bộ |
|
0,2 |
|
|
05.07.17 |
Dây nhiều ruột (các màu) |
m |
0,5 mm2 |
50 |
|
|
05.07.18 |
Kính phẳng (biểu thị trong và ngoài) |
cái |
các loại |
2 |
|
|
05.07.19 |
Cánh tín hiệu |
cái |
L=1.2 |
0,2 |
|
|
05.07.20 |
Cánh tín hiệu |
cái |
L=0.9 |
0,2 |
|
|
05.07.21 |
Cánh tín hiệu |
cái |
Đuôi cá |
0,2 |
|
|
05.07.22 |
Bộ tiếp điểm |
bộ |
|
1 |
|
|
05.07.23 |
Mô tơ điện |
cái |
|
0,1 |
|
|
05.07.24 |
Chổi than động cơ |
cái |
|
4 |
|
|
05.07.25 |
Thang cột tín hiệu |
cái |
Loại cột 8.5m |
0,1 |
|
|
05.07.26 |
Chóp cột |
cái |
|
0,1 |
cột sắt |
|
05.07.27 |
Hộp cáp |
hộp |
|
0,1 |
|
|
05.07.28 |
Móng hộp cáp |
cái |
|
0,1 |
|
|
05.07.29 |
Móng thang |
cái |
|
0,1 |
|
|
05.07.30 |
Vật liệu phụ |
% |
VLC |
5 |
|
|
Mã hiệu |
Danh mục vật tư |
Đơn vị |
Quy cách vật tư |
Định mức |
Ghi chú |
|
05.08.01 |
Thuốc đánh đồng |
kg |
|
0,3 |
|
|
05.08.02 |
Dầu ma-dút |
kg |
|
1,8 |
|
|
05.08.03 |
Chổi lông |
cái |
|
1,2 |
|
|
05.08.04 |
Giẻ lau máy |
kg |
|
3 |
|
|
05.08.05 |
Vải phin trắng |
m |
Khổ 80 |
3 |
|
|
05.08.06 |
Dầu nhớt |
kg |
|
1,2 |
|
|
05.08.07 |
Bóng đèn |
cái |
12v/25w |
12 |
|
|
05.08.08 |
Bàn chải sắt |
cái |
|
0,5 |
Hoặc giấy nhám |
|
05.08.09 |
Chổi sơn |
cái |
|
1 |
|
|
05.08.10 |
Sơn đen |
kg |
Sơn tổng hợp |
1 |
|
|
05.08.11 |
Sơn xám |
kg |
Sơn tổng hợp |
2/(1) |
Cột sắt/ |
|
05.08.12 |
Sơn trắng |
kg |
Sơn tổng hợp |
3/(1) |
Cột sắt/ |
|
05.08.13 |
Sơn phòng rỉ |
kg |
Sơn tổng hợp |
3/(1) |
Cột sắt/ |
|
05.08.14 |
Chổi quét vôi |
cái |
|
1 |
|
|
05.08.15 |
Vôi cục |
kg |
|
0,5/(2) |
Cột sắt/ |
|
05.08.16 |
Bút lông |
cái |
|
0,2 |
|
|
05.08.17 |
Bộ chữ, số viết cột |
bộ |
|
0,2 |
|
|
05.08.18 |
Dây nhiều ruột (các màu) |
m |
0,5 mm2 |
40 |
|
|
05.08.19 |
Thấu kính trắng |
cái |
D= 212 |
1 |
|
|
05.08.20 |
Thấu kính màu |
cái |
D= 139 |
1 |
|
|
05.08.21 |
Cơ cấu đèn tín hiệu |
cái |
|
0,1 |
|
|
05.08.22 |
Đế cắm đèn |
cái |
12v/25w |
0,2 |
|
|
05.08.23 |
Tán che đèn tín hiệu |
cái |
|
0,2 |
|
|
05.08.24 |
Thang cột tín hiệu |
cái |
Loại cột 8,5m |
0,1 |
|
|
05.08.25 |
Ống sắt chun luồn dây |
cái |
|
0,1 |
|
|
05.08.26 |
Móng thang |
cái |
|
0,1 |
|
|
05.08.27 |
Móng hộp cáp |
cái |
|
0,1 |
|
|
05.08.28 |
Hộp cáp |
hộp |
|
0,1 |
|
|
05.08.29 |
Vật liệu phụ |
% |
VLC |
5 |
|
|
Mã hiệu |
Danh mục vật tư |
Đơn vị |
Quy cách vật tư |
Định mức |
Ghi chú |
|
05.09.01 |
Thuốc đánh đồng |
kg |
|
0,2 |
|
|
05.09.02 |
Dầu ma-dút |
kg |
|
0,6 |
|
|
05.09.03 |
Chổi lông |
cái |
|
1,2 |
|
|
05.09.04 |
Giẻ lau máy |
kg |
|
2,4 |
|
|
05.09.05 |
Vải phin trắng |
m |
Khổ 80 |
3,6 |
|
|
05.09.06 |
Dầu nhớt |
kg |
|
0,6 |
|
|
05.09.07 |
Mỡ bò |
kg |
|
2,4 |
|
|
05.09.08 |
Dầu hỏa |
lít |
|
4,8 |
|
|
05.09.09 |
Bàn chải sắt |
cái |
|
0,5 |
Hoặc giấy nhám |
|
05.09.10 |
Chổi sơn |
cái |
|
2 |
|
|
05.09.11 |
Sơn xám |
kg |
Sơn tổng hợp |
2/(1) |
Cột sắt/ |
|
05.09.12 |
Sơn trắng |
kg |
Sơn tổng hợp |
3/(1) |
Cột sắt/ |
|
05.09.13 |
Sơn phòng rỉ |
kg |
Sơn tổng hợp |
3/(1) |
Cột sắt/ |
|
05.09.14 |
Chổi quét vôi |
cái |
|
1 |
|
|
05.09.15 |
Vôi cục |
kg |
|
0,5/(2) |
Cột sắt/ |
|
05.09.16 |
Bút lông |
cái |
|
0,2 |
|
|
05.09.17 |
Bộ chữ, số viết cột |
bộ |
|
0,2 |
|
|
05.09.18 |
Dây nhiều ruột (các màu) |
m |
0,5 mm2 |
20 |
|
|
05.09.19 |
Kính phẳng (biểu thị trong và ngoài) |
cái |
các loại |
1 |
|
|
05.09.20 |
Cánh tín hiệu |
cái |
L=1.2 |
0,2 |
|
|
05.09.21 |
Mô tơ điện |
cái |
|
0,1 |
|
|
05.09.22 |
Bộ tiếp điểm |
bộ |
|
1 |
|
|
05.09.23 |
Chổi than động cơ |
cái |
|
4 |
|
|
05.09.24 |
Thang cột tín hiệu |
cái |
Loại cột 8,5m |
0,1 |
|
|
05.09.25 |
Chóp cột |
cái |
|
0,1 |
cột sắt |
|
05.09.26 |
Hộp cáp |
cái |
|
0,1 |
|
|
05.09.27 |
Móng hộp cáp |
cái |
|
0,1 |
|
|
05.09.28 |
Móng thang |
cái |
|
0,1 |
|
|
05.09.29 |
Pin khô |
quả |
R40 |
120 |
|
|
05.09.30 |
Vật liệu phụ |
% |
VLC |
5 |
|
|
Mã hiệu |
Danh mục vật tư |
Đơn vị |
Quy cách vật tư |
Định mức |
Ghi chú |
|
05.10.01 |
Thuốc đánh đồng |
kg |
|
0,2 |
|
|
05.10.02 |
Dầu ma-dút |
kg |
|
0,6 |
|
|
05.10.03 |
Chổi lông |
cái |
|
1,2 |
|
|
05.10.04 |
Giẻ lau máy |
kg |
|
2,4 |
|
|
05.10.05 |
Vải phin trắng |
m |
Khổ 80 |
3,3 |
|
|
05.10.06 |
Dầu nhớt |
kg |
|
0,6 |
|
|
05.10.07 |
Mỡ bò |
kg |
|
2,4 |
|
|
05.10.08 |
Dầu hỏa |
lít |
|
4,8 |
|
|
05.10.09 |
Bàn chải sắt |
cái |
|
0,5 |
Hoặc giấy nhám |
|
05.10.10 |
Chổi sơn |
cái |
|
2 |
|
|
05.10.11 |
Sơn xám |
kg |
Sơn tổng hợp |
2/(1) |
Cột sắt/ |
|
05.10.12 |
Sơn trắng |
kg |
Sơn tổng hợp |
3/(1) |
Cột sắt/ |
|
05.10.13 |
Sơn phòng rỉ |
kg |
Sơn tổng hợp |
3/(1) |
Cột sắt/ |
|
05.10.14 |
Chổi quét vôi |
cái |
|
1 |
|
|
05.10.15 |
Vôi cục |
kg |
|
0,5/(2) |
Cột sắt/ |
|
05.10.16 |
Bút lông |
cái |
|
0,2 |
|
|
05.10.17 |
Bộ chữ, số viết cột |
bộ |
|
0,2 |
|
|
05.10.18 |
Dây nhiều ruột (các màu) |
m |
0,5 mm2 |
20 |
|
|
05.10.19 |
Kính phẳng (biểu thị trong và ngoài) |
cái |
Các loại |
1 |
|
|
05.10.20 |
Cánh tín hiệu |
cái |
L=1.2 |
0,2 |
|
|
05.10.21 |
Mô tơ điện |
cái |
|
0,1 |
|
|
05.10.22 |
Bộ tiếp điểm |
bộ |
|
1 |
|
|
05.10.23 |
Chổi than động cơ |
cái |
|
4 |
|
|
05.10.24 |
Pin |
cái |
R40 |
120 |
|
|
05.10.25 |
Thang cột tín hiệu |
cái |
Loại cột 8,5m |
0,1 |
|
|
05.10.26 |
Chóp cột |
cái |
|
0,1 |
cột sắt |
|
05.10.27 |
Hộp cáp |
cái |
|
0,1 |
|
|
05.10.28 |
Móng hộp cáp |
cái |
|
0,1 |
|
|
05.10.29 |
Móng thang |
cái |
|
0,1 |
|
|
05.10.30 |
Vật liệu phụ |
% |
VLC |
5 |
|
|
Mã hiệu |
Danh mục vật tư |
Đơn vị |
Quy cách vật tư |
Định mức |
Ghi chú |
|
05.11.01 |
Thuốc đánh đồng |
kg |
|
0,3 |
|
|
05.11.02 |
Dầu ma-dút |
kg |
|
1,8 |
|
|
05.11.03 |
Chổi lông |
cái |
|
1,2 |
|
|
05.11.04 |
Giẻ lau máy |
kg |
|
3 |
|
|
05.11.05 |
Vải phin trắng |
m |
Khổ 80 |
3 |
|
|
05.11.06 |
Dầu nhớt |
kg |
|
0,6 |
|
|
05.11.07 |
Bóng đèn |
cái |
12v/25w |
12 |
|
|
05.11.08 |
Bàn chải sắt |
cái |
|
0,5 |
Hoặc giấy nhám |
|
05.11.09 |
Chổi sơn |
cái |
|
1 |
|
|
05.11.10 |
Sơn đen |
kg |
Sơn tổng hợp |
1 |
|
|
05.11.11 |
Sơn trắng |
kg |
Sơn tổng hợp |
0,3 |
|
|
05.11.12 |
Sơn xám |
kg |
Sơn tổng hợp |
1 |
|
|
05.11.13 |
Sơn phòng rỉ |
kg |
Sơn tổng hợp |
1 |
|
|
05.11.14 |
Chổi quét vôi |
cái |
|
1 |
|
|
05.11.15 |
Vôi cục |
kg |
|
2 |
|
|
05.11.16 |
Bút lông |
cái |
|
0,2 |
|
|
05.11.17 |
Bộ chữ, số viết cột |
bộ |
|
0,2 |
|
|
05.11.18 |
Dây nhiều ruột (các màu) |
m |
0,5 mm2 |
40 |
|
|
05.11.19 |
Thấu kính trắng |
cái |
D= 212 |
1 |
|
|
05.11.20 |
Thấu kính trắng |
cái |
D= 139 |
1 |
|
|
05.11.21 |
Cơ cấu đèn tín hiệu |
cái |
|
0,1 |
|
|
05.11.22 |
Đế cắm đèn |
cái |
12v/25w |
0,2 |
|
|
05.11.23 |
Tán che đèn tín hiệu |
cái |
|
0,2 |
|
|
05.11.24 |
Thang cột tín hiệu |
cái |
|
0,1 |
|
|
05.11.25 |
Ống sắt chun luồn dây |
cái |
|
0,1 |
|
|
05.11.26 |
Móng thang |
cái |
|
0,1 |
|
|
05.11.27 |
Móng hộp cáp |
cái |
|
0,1 |
|
|
05.11.28 |
Hộp cáp |
cái |
|
0,1 |
|
|
05.11.29 |
Điện năng |
kw |
|
110 |
|
|
05.11.30 |
Vật liệu phụ |
% |
VLC |
5 |
|
|
Mã hiệu |
Danh mục vật tư |
Đơn vị |
Quy cách vật tư |
Định mức |
Ghi chú |
|
05.12.01 |
Thuốc đánh đồng |
kg |
|
0,1 |
|
|
05.12.02 |
Dầu ma-dút |
kg |
|
0,6 |
|
|
05.12.03 |
Chổi lông |
cái |
|
1,2 |
|
|
05.12.04 |
Giẻ lau máy |
kg |
|
1,2 |
|
|
05.12.05 |
Vải phin trắng |
m |
Khổ 80 |
2,4 |
|
|
05.12.06 |
Dầu nhớt |
kg |
|
0,6 |
|
|
05.12.07 |
Bóng đèn |
cái |
12v/25w |
12 |
|
|
05.12.08 |
Bàn chải sắt |
cái |
|
0,5 |
Hoặc giấy nhám |
|
05.12.09 |
Chổi sơn |
cái |
|
1 |
|
|
05.12.10 |
Sơn đen |
kg |
Sơn tổng hợp |
3 |
|
|
05.12.11 |
Sơn xám |
kg |
Sơn tổng hợp |
1 |
|
|
05.12.12 |
Sơn trắng |
kg |
Sơn tổng hợp |
2 |
|
|
05.12.13 |
Sơn phòng rỉ |
Kg |
Sơn tổng hợp |
1 |
|
|
05.12.14 |
Bút lông |
cái |
|
0,2 |
|
|
05.12.15 |
Bộ chữ, số viết cột |
bộ |
|
0,2 |
|
|
05.12.16 |
Dây nhiều ruột (các màu) |
m |
0,5 mm² |
25 |
|
|
05.12.17 |
Thấu kính trắng |
cái |
D= 212 |
1 |
|
|
05.12.18 |
Thấu kính màu |
cái |
D= 139 |
1 |
|
|
05.12.19 |
Cơ cấu đèn tín hiệu |
cái |
|
0,1 |
|
|
05.12.20 |
Đế cắm đèn |
cái |
12v/25w |
0,2 |
|
|
05.12.21 |
Tán che đèn tín hiệu |
cái |
|
0,2 |
|
|
05.12.22 |
Thang cột tín hiệu |
cái |
Loại cột 8,5m |
0,1 |
|
|
05.12.23 |
Ống sắt chun luồn dây |
cái |
|
0,1 |
|
|
05.12.24 |
Móng thang |
cái |
|
0,1 |
|
|
05.12.25 |
Móng hộp cáp |
cái |
|
0,1 |
|
|
05.12.26 |
Hộp cáp |
cái |
|
0,1 |
|
|
05.12.27 |
Điện năng |
kw |
|
110 |
|
|
05.12.28 |
Vật liệu phụ |
% |
VLC |
5 |
|
|
Mã hiệu |
Danh mục vật tư |
Đơn vị |
Quy cách vật tư |
Định mức |
Ghi chú |
|
05.13.01 |
Thuốc đánh đồng |
kg |
|
0,3 |
|
|
05.13.02 |
Dầu ma-dút |
kg |
|
1,8 |
|
|
05.13.03 |
Chổi lông |
cái |
|
1,2 |
|
|
05.13.04 |
Giẻ lau máy |
kg |
|
3 |
|
|
05.13.05 |
Vải phin trắng |
m |
Khổ 80 |
3 |
|
|
05.13.06 |
Dầu nhớt |
kg |
|
0,2 |
|
|
05.13.07 |
Bóng đèn |
cái |
12v/25w |
12 |
|
|
05.13.08 |
Bàn chải sắt |
cái |
|
0,5 |
Hoặc giấy nhám |
|
05.13.09 |
Chổi sơn |
cái |
|
1 |
|
|
05.13.10 |
Sơn đen |
kg |
Sơn tổng hợp |
1 |
|
|
05.13.11 |
Sơn trắng |
kg |
Sơn tổng hợp |
0,5 |
|
|
05.13.12 |
Sơn xám |
kg |
Sơn tổng hợp |
0,2/(0,1) |
loại cột hiệu có hòm biến thế/ (hộp cáp) |
|
05.13.13 |
Sơn phòng rỉ |
kg |
Sơn tổng hợp |
0,2/(0,1) |
loại cột hiệu có hòm biến thế/ (hộp cáp) |
|
05.13.14 |
Chổi quét vôi |
cái |
|
1 |
|
|
05.13.15 |
Vôi cục |
kg |
|
1 |
|
|
05.13.16 |
Bút lông |
cái |
|
0,2 |
|
|
05.13.17 |
Bộ chữ, số viết cột |
bộ |
|
0,2 |
|
|
05.13.18 |
Dây nhiều ruột (các màu) |
m |
0,5 mm2 |
5 |
|
|
05.13.19 |
Thấu kính trắng |
cái |
D= 163 |
1 |
|
|
05.13.20 |
Thấu kính màu |
cái |
D= 139 |
1 |
|
|
05.13.21 |
Cơ cấu đèn tín hiệu |
bộ |
|
0,1 |
|
|
05.13.22 |
Đế cắm đèn |
cái |
12v/25w |
0,2 |
|
|
05.13.23 |
Tán che đèn tín hiệu |
cái |
|
0,2 |
|
|
05.13.24 |
Móng hộp cáp, hòm biến thế |
cái |
|
0,1 |
|
|
05.13.25 |
Hộp cáp |
hộp |
|
0,1 |
Ga TM-95 |
|
05.13.26 |
Hòm biến thế |
hòm |
|
0,1 |
Ga TM-2001 |
|
05.13.27 |
Cọc tiếp đất |
cái |
|
0,2 |
Ga TM-2001 |
|
05.13.28 |
Vật liệu phụ |
% |
VLC |
5 |
|
|
Mã hiệu |
Danh mục vật tư |
Đơn vị |
Quy cách vật tư |
Định mức |
Ghi chú |
|
05.14.01 |
Thuốc đánh đồng |
kg |
|
0,3 |
|
|
05.14.02 |
Dầu ma-dút |
kg |
|
1,8 |
|
|
05.14.03 |
Chổi lông |
cái |
|
1,2 |
|
|
05.14.04 |
Giẻ lau máy |
kg |
|
3 |
|
|
05.14.05 |
Vải phin trắng |
m |
Khổ 80 |
3 |
|
|
05.14.06 |
Dầu nhớt |
kg |
|
0,6 |
|
|
05.14.07 |
Bóng đèn |
cái |
12v/25w |
12 |
|
|
05.14.08 |
Bàn chải sắt |
cái |
|
0,5 |
Hoặc giấy nhám |
|
05.14.09 |
Chổi sơn |
cái |
|
1 |
|
|
05.14.10 |
Sơn đen |
kg |
Sơn tổng hợp |
1 |
|
|
05.14.11 |
Sơn xám |
kg |
Sơn tổng hợp |
1 |
|
|
05.14.12 |
Sơn trắng |
kg |
Sơn tổng hợp |
0,5 |
|
|
05.14.13 |
Son phòng rỉ |
kg |
Sơn tổng hợp |
1 |
|
|
05.14.14 |
Chổi quét vôi |
cái |
|
1 |
|
|
05.14.15 |
Vôi cục |
kg |
|
2 |
|
|
05.14.16 |
Bút lông |
cái |
|
0,2 |
|
|
05.14.17 |
Bộ chữ, số viết cột |
bộ |
|
0,2 |
|
|
05.14.18 |
Dây nhiều ruột (các màu) |
m |
0,5 mm2 |
40 |
|
|
05.14.19 |
Thấu kính trắng |
cái |
D= 212 |
1 |
|
|
05.14.20 |
Thấu kính màu |
cái |
D= 139 |
1 |
|
|
05.14.21 |
Đế cắm đèn |
cái |
12v/25w |
0,2 |
|
|
05.14.22 |
Cơ cấu đèn tín hiệu |
cái |
|
0,1 |
|
|
05.14.23 |
Tán che đèn tín hiệu |
cái |
|
0,2 |
|
|
05.14.24 |
Thang cột tín hiệu |
cái |
Loại cột 8,5m |
0,1 |
|
|
05.14.25 |
Ống sắt chun luồn dây |
cái |
|
0,1 |
|
|
05.14.26 |
Móng thang |
cái |
|
0,1 |
|
|
05.14.27 |
Móng hộp cáp, hòm biến thế |
cái |
|
0,1 |
|
|
05.14.28 |
Hộp cáp |
hộp |
|
0,1 |
Ga TM-95 |
|
05.14.29 |
Hòm biến thế |
hòm |
|
0,1 |
Ga TM-2001 |
|
05.14.30 |
Cọc tiếp đất |
cái |
|
0,2 |
Ga TM-2001 |
|
05.14.31 |
Vật liệu phụ |
% |
VLC |
5 |
|
|
Mã hiệu |
Danh mục vật tư |
Đơn vị |
Quy cách vật tư |
Định mức |
Ghi chú |
|
05.15.01 |
Thuốc đánh đồng |
kg |
|
0,2 |
loại sợi đốt |
|
05.15.02 |
Dầu ma-dút |
kg |
|
1,2 |
loại sợi đốt |
|
05.15.03 |
Chổi lông |
cái |
|
1,2 |
|
|
05.15.04 |
Giẻ lau máy |
kg |
|
3 |
|
|
05.15.05 |
Vải phin trắng |
m |
Khổ 80 |
2,4 |
|
|
05.15.06 |
Dầu nhớt |
kg |
|
0,2 |
|
|
05.15.07 |
Bảng đèn Led |
cái |
24/12w |
1 |
|
|
05.15.08 |
Bàn chải sắt |
cái |
|
0,5 |
Hoặc giấy nhám |
|
05.15.09 |
Chổi sơn |
cái |
|
1 |
|
|
05.15.10 |
Sơn đen |
kg |
Sơn tổng hợp |
1 |
|
|
05.15.11 |
Sơn trắng |
kg |
Sơn tổng hợp |
1,5 |
|
|
05.15.12 |
Sơn phòng rỉ |
kg |
Sơn tổng hợp |
1,5 |
|
|
05.15.13 |
Bút lông |
cái |
|
0,2 |
|
|
05.15.14 |
Bộ chữ, số viết cột |
bộ |
|
0,2 |
|
|
05.15.15 |
Dây nhiều ruột (các màu) |
m |
0,5 mm2 |
15 |
|
|
05.15.16 |
Kính tán xạ |
cái |
D=319mm |
1 |
|
|
05.15.17 |
Cơ cấu đèn tín hiệu |
cái |
|
0,1 |
|
|
05.15.18 |
Hộp chuông |
cái |
|
0,1 |
|
|
05.15.19 |
Chuông điện |
cái |
|
0,15 |
|
|
05.15.20 |
Thân cột hiệu |
cái |
|
0,1 |
Sắt |
|
05.15.21 |
Đế cắm đèn |
cái |
12v/25w |
0,2 |
loại sợi đốt |
|
05.15.22 |
Tán che đèn tín hiệu |
cái |
|
0,2 |
|
|
05.15.23 |
Biển báo hiệu |
cái |
Các loại |
0,3 |
|
|
05.15.24 |
Cọc tiếp đất |
cái |
|
0,2 |
|
|
05.15.25 |
Ống sắt chun luồn dây |
cái |
|
0,1 |
|
|
05.15.26 |
Vật liệu phụ |
% |
VLC |
5 |
|
|
Mã hiệu |
Danh mục vật tư |
Đơn vị |
Quy cách vật tư |
Định mức |
Ghi chú |
|
05.16.01 |
Chổi lông |
cái |
|
1,2 |
|
|
05.16.02 |
Giẻ lau máy |
kg |
|
3 |
|
|
05.16.03 |
Dầu ma-dút |
kg |
|
0,5 |
|
|
05.16.04 |
Vải phin trắng |
m |
Khổ 80 |
2,4 |
|
|
05.16.05 |
Dầu nhớt |
kg |
|
0,2 |
|
|
05.16.06 |
Bảng đèn Led |
cái |
24/12w |
1 |
|
|
05.16.07 |
Bóng đèn |
cái |
12v/25w |
4 |
loại sợi đốt ĐN cần chắn tự động |
|
05.16.08 |
Đế cắm đèn |
cái |
12v/25w |
0,2 |
|
|
05.16.09 |
Bàn chải sắt |
cái |
|
0,5 |
Hoặc giấy nhám |
|
05.16.10 |
Chổi sơn |
cái |
|
1 |
|
|
05.16.11 |
Sơn đen |
kg |
Sơn tổng hợp |
1 |
|
|
05.16.12 |
Sơn trắng |
kg |
Sơn tổng hợp |
1,5 |
|
|
05.16.13 |
Sơn phòng rỉ |
kg |
Sơn tổng hợp |
1,5 |
|
|
05.16.14 |
Bút lông |
cái |
|
0,2 |
|
|
05.16.15 |
Bộ chữ, số viết cột |
bộ |
|
0,2 |
|
|
05.16.16 |
Dây nhiều ruột |
m |
0,5 mm2 |
15 |
Các mẫu |
|
05.16.17 |
Kính tán xạ |
cái |
D=319mm |
1 |
|
|
05.16.18 |
Tán che đèn tín hiệu |
cái |
|
0,2 |
|
|
05.16.19 |
Cơ cấu đèn tín hiệu |
cái |
|
0,1 |
|
|
05.16.20 |
Hộp chuông |
cái |
|
0,1 |
|
|
05.16.21 |
Chuông điện |
cái |
|
0,15 |
|
|
05.16.22 |
Thân cột hiệu |
cái |
|
0,1 |
Sắt |
|
05.16.23 |
Biển báo hiệu |
cái |
Các loại |
0,3 |
|
|
05.16.24 |
Cọc tiếp đất |
cái |
|
0,2 |
|
|
05.16.25 |
Ống sắt chun luồn dây |
cái |
|
0,1 |
|
|
05.16.26 |
Vật liệu phụ |
% |
VLC |
5 |
|
|
Mã hiệu |
Danh mục vật tư |
Đơn vị |
Quy cách vật tư |
Định mức |
Ghi chú |
|
06.01.01 |
Sơn xám |
kg |
Sơn tổng hợp |
2 |
|
|
06.01.02 |
Sơn trắng |
kg |
Sơn tổng hợp |
0,2 |
|
|
06.01.03 |
Sơn phòng rỉ |
kg |
Sơn tổng hợp |
1 |
|
|
06.01.04 |
Dầu nhớt |
kg |
|
2,5 |
|
|
06.01.05 |
Dầu hỏa |
lít |
|
4 |
|
|
06.01.06 |
Mỡ bò |
kg |
|
0,5 |
|
|
06.01.07 |
Giẻ duy tu |
kg |
|
1 |
|
|
06.01.08 |
Vải phin trắng |
m |
Khổ 0,8m |
0,5 |
|
|
06.01.09 |
Thuốc đánh đồng |
kg |
|
0,2 |
|
|
06.01.10 |
Biển ghi |
cái |
|
0,4 |
|
|
06.01.11 |
Công tác đạp chân |
cái |
|
0,2 |
|
|
06.01.12 |
Bàn gang khuỷu ghi |
bộ |
|
0,1 |
|
|
06.01.13 |
Khung trượt |
cái |
|
0,1 |
|
|
06.01.14 |
Sắt góc |
kg |
100x100x10mm |
14 |
|
|
06.01.15 |
Sắt góc |
kg |
75x75x7mm |
5 |
|
|
06.01.16 |
Sắt góc |
kg |
50x50x5 |
4 |
|
|
06.01.17 |
Năm chi tiết tay quay ghi |
bộ |
|
0,2 |
|
|
06.01.18 |
Cần ngàm đứng |
cái |
|
0,1 |
|
|
06.01.19 |
Cần điều chỉnh độ khít lưỡi ghi |
cái |
|
0,1 |
|
|
06.01.20 |
Cần đẩy biểu trí |
cái |
|
0,1 |
|
|
06.01.21 |
Bu lông M20 |
cái |
|
4 |
|
|
06.01.22 |
Hộp khóa điện |
hộp |
|
0,1 |
|
|
06.01.23 |
Bộ tay quay ghi |
bộ |
|
0,1 |
|
|
06.01.24 |
Đèn ghi thắp điện |
cái |
|
0,2 |
|
|
06.01.25 |
Cáp điện bọc cao su |
m |
Cu 2x1,5 |
1 |
|
|
06.01.26 |
Chốt đầu tròn các loại |
cái |
|
1 |
|
|
06.01.27 |
Vật liệu phụ |
% |
VLC |
5 |
|
|
Mã hiệu |
Danh mục vật tư |
Đơn vị |
Quy cách vật tư |
Định mức |
Ghi chú |
|
06.02.01 |
Sơn xám |
kg |
Sơn tổng hợp |
3 |
|
|
06.02.02 |
Sơn trắng |
kg |
Sơn tổng hợp |
0,2 |
|
|
06.02.03 |
Sơn phòng rỉ |
kg |
Sơn tổng hợp |
1,5 |
|
|
06.02.04 |
Dầu nhớt |
kg |
|
5,5 |
|
|
06.02.05 |
Dầu hỏa |
lít |
|
6 |
|
|
06.02.06 |
Mỡ bò |
kg |
|
1,2 |
|
|
06.02.07 |
Giẻ duy tu |
kg |
|
2 |
|
|
06.02.08 |
Vải phin trắng |
m |
Khổ 0,8m |
0,5 |
|
|
06.02.09 |
Thuốc đánh đồng |
kg |
|
0,2 |
|
|
06.02.10 |
Biển ghi |
cái |
|
0,5 |
|
|
06.02.11 |
Công tắc đạp chân |
cái |
|
0,2 |
|
|
06.02.12 |
Bàn gang khuỷu ghi |
bộ |
|
0,2 |
|
|
06.02.13 |
Khuỷu M |
bộ |
|
0,1 |
|
|
06.02.14 |
Khuỷu vuông góc |
bộ |
|
0,2 |
|
|
06.02.15 |
Khung trượt |
cái |
|
0,1 |
|
|
06.02.16 |
Sắt góc |
kg |
100x100x10mm |
32 |
|
|
06.02.17 |
Sắt góc |
kg |
75x75x7 |
10 |
|
|
06.02.18 |
Sắt góc |
kg |
50x50x5 |
10 |
|
|
06.02.19 |
Năm chi tiết tay quay ghi |
bộ |
|
0,2 |
|
|
06.02.20 |
Cần ngàm đứng |
cái |
|
0,1 |
|
|
06.02.21 |
Cần điều chỉnh độ khít lưỡi ghi |
cái |
|
0,2 |
|
|
06.02.22 |
Cần đẩy biểu trí |
cái |
|
0,2 |
|
|
06.02.23 |
Bu lông M20 |
cái |
|
8 |
|
|
06.02.24 |
Hộp khóa điện |
hộp |
|
0,1 |
|
|
06.02.25 |
Bộ tay quay ghi |
bộ |
|
0,1 |
|
|
06.02.26 |
Đèn ghi thắp điện |
cái |
|
0,2 |
|
|
06.02.27 |
Dây cáp điện bọc cao su |
m |
Cu 2x1,5 |
2 |
|
|
06.02.28 |
Ống đạo quản |
m |
|
10 |
|
|
06.02.29 |
Bánh xe đỡ ống đạo quản |
bộ |
|
5 |
|
|
06.02.30 |
Giá đỡ bánh xe |
cái |
|
0,5 |
|
|
06.02.31 |
Chốt đầu tròn các loại |
cái |
|
2 |
|
|
06.02.32 |
Vật liệu phụ |
% |
VLC |
5 |
|
|
Mã hiệu |
Danh mục vật tư |
Đơn vị |
Quy cách vật tư |
Định mức |
Ghi chú |
|
06.03.01 |
Sơn xám |
kg |
Sơn tổng hợp |
3 |
|
|
06.03.02 |
Sơn trắng |
kg |
Sơn tổng hợp |
0,1 |
|
|
06.03.03 |
Sơn phòng rỉ |
kg |
Sơn tổng hợp |
1,5 |
|
|
06.03.04 |
Dầu nhớt |
kg |
|
4 |
|
|
06.03.05 |
Dầu hỏa |
lít |
|
5 |
|
|
06.03.06 |
Mỡ bò |
kg |
|
1,2 |
|
|
06.03.07 |
Giẻ duy tu |
kg |
|
2 |
|
|
06.03.08 |
Vải phin trắng |
m |
Khổ 0,8m |
0,5 |
|
|
06.03.09 |
Thuốc đánh đồng |
kg |
|
0,2 |
|
|
06.03.10 |
Biển ghi |
cái |
|
1 |
|
|
06.03.11 |
Công tác đạp chân |
cái |
|
0,2 |
|
|
06.03.12 |
Bàn gang khuỷu ghi |
bộ |
|
0,3 |
|
|
06.03.13 |
Khung trượt |
cái |
|
0,1 |
|
|
06.03.14 |
Sắt góc |
kg |
100x100x10mm |
32 |
|
|
06.03.15 |
Sắt góc |
kg |
75x75x7 |
12 |
|
|
06.03.16 |
Sắt góc |
kg |
50x50x5 |
7,5 |
|
|
06.03.17 |
Năm chi tiết tay quay ghi |
bộ |
|
0,2 |
|
|
06.03.18 |
Cần ngàm đứng |
cái |
|
0,1 |
|
|
06.03.19 |
Cần điều chỉnh độ khít lưỡi ghi |
cái |
|
0,3 |
|
|
06.03.20 |
Cần đẩy biểu trí |
cái |
|
0,3 |
|
|
06.03.21 |
Bu lông M20 |
cái |
|
8 |
|
|
06.03.22 |
Hộp khóa điện |
hộp |
|
0,1 |
|
|
06.03.23 |
Bộ tay quay ghi |
bộ |
|
0,1 |
|
|
06.03.24 |
Đèn ghi thắp điện |
cái |
|
0,6 |
|
|
06.03.25 |
Dây cáp điện bọc cao su |
m |
Cu 2x1,5 |
2,5 |
|
|
06.03.26 |
ống đạo quản |
m |
|
1 |
|
|
06.03.27 |
Bánh xe đỡ ống đạo quản |
bộ |
|
5 |
|
|
06.03.28 |
Giá đỡ bánh xe |
cái |
|
0,1 |
|
|
06.03.29 |
Khuỷu vuông góc |
cái |
|
0,6 |
|
|
06.03.30 |
Chốt đầu tròn các loại |
cái |
|
2 |
|
|
06.03.31 |
Vật liệu phụ |
% |
VLC |
5 |
|
|
Mã hiệu |
Danh mục vật tư |
Đơn vị |
Quy cách vật tư |
Định mức |
Ghi chú |
|
06.04.01 |
Sơn xám |
kg |
Sơn tổng hợp |
3 |
|
|
06.04.02 |
Sơn trắng |
kg |
Sơn tổng hợp |
0,1 |
|
|
06.04.03 |
Sơn phòng rỉ |
kg |
Sơn tổng hợp |
1,5 |
|
|
06.04.04 |
Dầu nhớt |
kg |
|
4 |
|
|
06.04.05 |
Dầu hỏa |
lít |
|
5 |
|
|
06.04.06 |
Mỡ bò |
kg |
|
1 |
|
|
06.04.07 |
Giẻ duy tu |
kg |
|
2 |
|
|
06.04.08 |
Biển ghi |
cái |
|
1 |
|
|
06.04.09 |
Công tắc đạp chân |
cái |
|
0,2 |
|
|
06.04.10 |
Bàn gang khuỷu ghi |
bộ |
|
0,3 |
|
|
06.04.11 |
Khung trượt |
cái |
|
0,1 |
|
|
06.04.12 |
Sắt góc |
kg |
100x100x10mm |
32 |
|
|
06.04.13 |
Sắt góc |
kg |
75x75x7 |
12 |
|
|
06.04.14 |
Sắt góc |
kg |
50x50x5 |
7,5 |
|
|
06.04.15 |
Năm chi tiết tay quay ghi |
bộ |
|
0,2 |
|
|
06.04.16 |
Cần ngàm đứng |
cái |
|
0,1 |
|
|
06.04.17 |
Cần điều chỉnh độ khít lưỡi ghi |
cái |
|
0,3 |
|
|
06.04.18 |
Cần đẩy biểu trí |
cái |
|
0,3 |
|
|
06.04.19 |
Bộ tay quay ghi |
bộ |
|
0,1 |
|
|
06.04.20 |
Bu lông M20 |
cái |
|
8 |
|
|
06.04.21 |
Ống đạo quản |
m |
|
1 |
|
|
06.04.22 |
Bánh xe đỡ ống đạo quản |
bộ |
|
5 |
|
|
06.04.23 |
Giá đỡ bánh xe |
cái |
|
0,1 |
|
|
06.04.24 |
Khuỷu vuông góc |
cái |
|
0,6 |
|
|
06.04.25 |
Chốt đầu tròn các loại |
cái |
|
1 |
|
|
06.04.26 |
Vật liệu phụ |
% |
VLC |
5 |
|
|
Mã hiệu |
Danh mục vật tư |
Đơn vị |
Quy cách vật tư |
Định mức |
Ghi chú |
|
06.05.01 |
Sơn xám |
kg |
Sơn tổng hợp |
3 |
|
|
06.05.02 |
Sơn trắng |
kg |
Sơn tổng hợp |
0,1 |
|
|
06.05.03 |
Sơn phòng rỉ |
kg |
Sơn tổng hợp |
1,5 |
|
|
06.05.04 |
Dầu nhớt |
kg |
|
4 |
|
|
06.05.05 |
Dầu hỏa |
lít |
|
5 |
|
|
06.05.06 |
Mỡ bò |
kg |
|
1 |
|
|
06.05.07 |
Giẻ duy tu |
kg |
|
2 |
|
|
06.05.08 |
Biển ghi |
cái |
|
1 |
|
|
06.05.09 |
Bàn gang khuỷu ghi |
bộ |
|
0,3 |
|
|
06.05.10 |
Khung trượt |
cái |
|
0,1 |
|
|
06.05.11 |
Sắt góc |
kg |
100x100x10mm |
32 |
|
|
06.05.12 |
Sắt góc |
kg |
75x75x7 |
12 |
|
|
06.05.13 |
Sắt góc |
kg |
50x50x5 |
7,5 |
|
|
06.05.14 |
Năm chi tiết tay quay ghi |
bộ |
|
0,2 |
|
|
06.05.15 |
Cần ngàm đứng |
cái |
|
0,3 |
|
|
06.05.16 |
Cần điều chỉnh độ khít lưỡi ghi |
cái |
|
0,3 |
|
|
06.05.17 |
Cần đẩy biểu trí |
cái |
|
0,3 |
|
|
06.05.18 |
Bộ tay quay ghi |
bộ |
|
0,1 |
|
|
06.05.19 |
Bu lông M20 |
cái |
|
8 |
|
|
06.05.20 |
Ống đạo quản |
m |
|
1 |
|
|
06.05.21 |
Bánh xe đỡ ống đạo quản |
cái |
|
5 |
|
|
06.05.22 |
Giá đỡ bánh xe |
cái |
|
0,1 |
|
|
06.05.23 |
Bộ khuỷu quay ghi |
bộ |
|
0,2 |
|
|
06.05.24 |
Ổ khóa ghi |
ổ |
|
0,2 |
|
|
06.05.25 |
Chốt đầu tròn các loại |
cái |
|
2 |
|
|
06.05.26 |
Vật liệu phụ |
% |
VLC |
5 |
|
|
Mã hiệu |
Danh mục vật tư |
Đơn vị |
Quy cách vật tư |
Định mức |
Ghi chú |
|
06.06.01 |
Sơn xám |
kg |
Sơn tổng hợp |
1,5 |
|
|
06.06.02 |
Sơn trắng |
kg |
Sơn tổng hợp |
0,2 |
|
|
06.06.03 |
Sơn phòng rỉ |
kg |
Sơn tổng hợp |
0,8 |
|
|
06.06.04 |
Dầu nhớt |
kg |
|
1,2 |
|
|
06.06.05 |
Dầu hỏa |
lít |
|
2 |
|
|
06.06.06 |
Mỡ bò |
kg |
|
0,3 |
|
|
06.06.07 |
Giẻ duy tu |
kg |
|
0,5 |
|
|
06.06.08 |
Biển ghi |
cái |
|
0,4 |
|
|
06.06.09 |
Sắt góc |
kg |
100x100x10mm |
8 |
Các bộ ghi có lắp giá sắt |
|
06.06.10 |
Sắt góc |
kg |
50x50x5 |
7,5 |
|
|
06.06.11 |
Cần đẩy ghi |
cái |
|
0,1 |
|
|
06.06.12 |
Bu lông M20 |
cái |
|
4 |
|
|
06.06.13 |
Ổ khóa ghi |
ô |
|
0,2 |
|
|
06.06.14 |
Bộ tay quay ghi |
bộ |
|
0,1 |
|
|
06.06.15 |
Chốt đầu tròn các loại |
cái |
|
1 |
|
|
06.06.16 |
Vật liệu phụ |
% |
VLC |
5 |
|
|
Mã hiệu |
Danh mục vật tư |
Đơn vị |
Quy cách vật tư |
Định mức |
Ghi chú |
|
06.07.01 |
Sơn xám |
kg |
Sơn tổng hợp |
1,5 |
|
|
06.07.02 |
Sơn trắng |
kg |
Sơn tổng hợp |
0,2 |
|
|
06.07.03 |
Sơn phòng rỉ |
kg |
Sơn tổng hợp |
0,8 |
|
|
06.07.04 |
Dầu nhớt |
kg |
|
1,2 |
|
|
06.07.05 |
Dầu hỏa |
lít |
|
2 |
|
|
06.07.06 |
Mỡ bò |
kg |
|
0,3 |
|
|
06.07.07 |
Giẻ duy tu |
kg |
|
0,5 |
|
|
06.07.08 |
Biển ghi |
cái |
|
0,4 |
|
|
06.07.09 |
Sắt góc |
kg |
100x100x10mm |
8 |
các bộ ghi có lắp giá sắt |
|
06.07.10 |
Sắt góc |
kg |
50x50x5 |
7,5 |
|
|
06.07.11 |
Cần đẩy ghi |
cái |
|
0,1 |
|
|
06.07.12 |
Bu lông M20 |
cái |
|
4 |
|
|
06.07.13 |
Bộ tay quay ghi |
bộ |
|
0,1 |
|
|
06.07.14 |
Chốt đầu tròn các loại |
cái |
|
1 |
|
|
06.07.15 |
Vật liệu phụ |
% |
VLC |
5 |
|
|
Mã hiệu |
Danh mục vật tư |
Đơn vị |
Quy cách vật tư |
Định mức |
Ghi chú |
|
06.08.01.01 |
Sơn xám |
kg |
Sơn tổng hợp |
2 |
|
|
06.08.01.02 |
Sơn trắng |
kg |
Sơn tổng hợp |
0,2 |
|
|
06.08.01.03 |
Sơn phòng rỉ |
kg |
Sơn tổng hợp |
1 |
|
|
06.08.01.04 |
Dầu nhớt |
kg |
|
2,5 |
|
|
06.08.01.05 |
Dầu hỏa |
lít |
|
4 |
|
|
06.08.01.06 |
Mỡ bò |
kg |
|
0,5 |
|
|
06.08.01.07 |
Giẻ duy tu |
kg |
|
1 |
|
|
06.08.01.08 |
Sắt góc |
kg |
100x100x10mm |
14 |
|
|
06.08.01.09 |
Bộ tiếp điểm |
bộ |
|
0,1 |
|
|
06.08.01.10 |
Cần điều chỉnh độ khít lưỡi ghi |
cái |
|
0,1 |
|
|
06.08.01.11 |
Cần biểu thị |
cái |
|
0,1 |
|
|
06.08.01.12 |
Đai ma sát |
cái |
|
4 |
|
|
06.08.01.13 |
Nắp đậy chổi than |
cái |
|
0,5 |
|
|
06.08.01.14 |
Cổ góp |
cái |
|
0,1 |
|
|
06.08.01.15 |
Chổi than |
cái |
|
6 |
|
|
06.08.01.16 |
Mô tơ điện |
cái |
|
0,1 |
|
|
06.08.01.17 |
Vòng bi các loại |
cái |
|
1 |
|
|
06.08.01.18 |
Chốt đầu tròn các loại |
cái |
|
1 |
|
|
06.08.01.19 |
Vật liệu phụ |
% |
VLC |
5 |
|
|
Mã hiệu |
Danh mục vật tư |
Đơn vị |
Quy cách vật tư |
Định mức |
Ghi chú |
|
06.08.02.01 |
Sơn xám |
kg |
Sơn tổng hợp |
2 |
|
|
06.08.02.02 |
Sơn trắng |
kg |
Sơn tổng hợp |
0,2 |
|
|
06.08.02.03 |
Sơn phòng rỉ |
kg |
Sơn tổng hợp |
1 |
|
|
06.08.02.04 |
Dầu nhớt |
kg |
|
2,5 |
|
|
06.08.02.05 |
Dầu hỏa |
lít |
|
4 |
|
|
06.08.02.06 |
Mỡ bò |
kg |
|
0,5 |
|
|
06.08.02.07 |
Giẻ duy tu |
kg |
|
1 |
|
|
06.08.02.08 |
Sắt góc |
kg |
100x100x10mm |
14 |
|
|
06.08.02.09 |
Bộ tiếp điểm |
bộ |
|
0,1 |
|
|
06.08.02.10 |
Cần điều chỉnh độ khít lưỡi ghi |
cái |
|
0,1 |
|
|
06.08.02.11 |
Cần biểu thị |
cái |
|
0,1 |
|
|
06.08.02.12 |
Lá ép li hợp (lá côn) |
cái |
|
0,2 |
|
|
06.08.02.13 |
Nắp đậy chổi than |
cái |
|
0,5 |
|
|
06.08.02.14 |
Cổ góp |
cái |
|
0,1 |
|
|
06.08.02.15 |
Chổi than |
cái |
|
6 |
|
|
06.08.02.16 |
Mô tơ điện |
cái |
|
0,1 |
|
|
06.08.02.17 |
Vòng bi các loại |
cái |
|
1 |
|
|
06.08.02.18 |
Chốt đầu tròn các loại |
cái |
|
1 |
|
|
06.08.02.19 |
Vật liệu phụ |
% |
VLC |
5 |
|
|
Mã hiệu |
Danh mục vật tư |
Đơn vị |
Quy cách vật tư |
Định mức |
Ghi chú |
|
06.09.01 |
Sơn đen |
kg |
Sơn tổng hợp |
2 |
|
|
06.09.02 |
Sơn trắng |
kg |
Sơn tổng hợp |
0,2 |
|
|
06.09.03 |
Sơn phòng rỉ |
kg |
Sơn tổng hợp |
1 |
|
|
06.09.04 |
Dầu nhớt |
kg |
|
2,5 |
|
|
06.09.05 |
Dầu hỏa |
lít |
|
4 |
|
|
06.09.06 |
Mỡ bò |
kg |
|
0,5 |
|
|
06.09.07 |
Dầu thủy lực |
kg |
BP HLP22 |
2 |
|
|
06.09.08 |
Giẻ duy tu |
kg |
|
1 |
|
|
06.09.09 |
Sắt góc |
kg |
100x100x10mm |
14 |
|
|
06.09.10 |
Hộp tiếp điểm D và D/L |
hộp |
|
0,25 |
|
|
06.09.11 |
Thanh truyền động |
thanh |
|
0,1 |
|
|
06.09.12 |
Ống mềm thủy lực |
ông |
|
0,3 |
|
|
06.09.13 |
Môtơ điện |
cái |
|
0,1 |
|
|
06.09.14 |
Áp tô mát |
cái |
|
0,25 |
|
|
06.09.15 |
Chốt đầu tròn các loại |
cái |
|
1 |
|
|
06.09.16 |
Vật liệu phụ |
% |
VLC |
5 |
|
|
Mã hiệu |
Danh mục vật tư |
Đơn vị |
Quy cách vật tư |
Định mức |
Ghi chú |
|
06.10.01 |
Sơn xám |
kg |
Sơn tổng hợp |
2 |
|
|
06.10.02 |
Sơn trắng |
kg |
Sơn tổng hợp |
0,2 |
|
|
06.10.03 |
Sơn phòng rỉ |
kg |
Sơn tổng hợp |
1 |
|
|
06.10.04 |
Dầu nhớt |
kg |
|
2,5 |
|
|
06.10.05 |
Dầu hỏa |
lít |
|
4 |
|
|
06.10.06 |
Mỡ bò |
kg |
|
0,5 |
|
|
06.10.07 |
Sắt góc |
kg |
100x100x10mm |
14 |
|
|
06.10.08 |
Ngàm khóa nhỏ CKA 418 |
cái |
|
0,1 |
|
|
06.10.09 |
Ngàm khóa to CKA 503 |
cái |
|
0,1 |
|
|
06.10.10 |
Thanh khóa CKA 537 |
cái |
|
0,1 |
|
|
06.10.11 |
Cần khóa |
thanh |
|
0,1 |
|
|
06.10.12 |
Sắt đẩy mũi ghi |
cái |
|
0,1 |
|
|
06.10.13 |
Ngàm cần kiểm tra |
bộ |
|
0,1 |
|
|
06.10.14 |
Ngàm cần điều chỉnh |
bộ |
|
0,1 |
|
|
06.10.15 |
Cần đẩy động cơ không có ngàm |
cái |
|
0,1 |
|
|
06.10.16 |
Cần đẩy động cơ không ngàm |
cái |
|
0,1 |
|
|
06.10.17 |
Cần kiểm tra dài |
thanh |
|
0,1 |
|
|
06.10.18 |
Cần kiểm tra ngắn |
thanh |
|
0,1 |
|
|
06.10.19 |
Khớp nối sắt đầu lưỡi ghi và cần kiểm tra |
cái |
|
0,1 |
|
|
06.10.20 |
Môtơ điện |
cái |
|
0,1 |
|
|
06.10.21 |
Bộ tiếp điểm |
bộ |
|
0,1 |
|
|
06.10.22 |
Chốt đầu tròn các loại |
cái |
|
1 |
|
|
06.10.23 |
Vật liệu phụ |
% |
VLC |
5 |
|
|
Mã hiệu |
Danh mục vật tư |
Đơn vị |
Quy cách vật tư |
Định mức |
Ghi chú |
|
06.11.01 |
Sơn xám |
kg |
Sơn tổng hợp |
2 |
|
|
06.11.02 |
Sơn trắng |
kg |
Sơn tổng hợp |
0,2 |
|
|
06.11.03 |
Sơn phòng rỉ |
kg |
Sơn tổng hợp |
1 |
|
|
06.11.04 |
Dầu nhớt |
kg |
|
2,5 |
|
|
06.11.05 |
Dầu hỏa |
lít |
|
4 |
|
|
06.11.06 |
Mỡ bò |
kg |
|
0,5 |
|
|
06.11.07 |
Giẻ duy tu |
kg |
|
1 |
|
|
06.11.08 |
Vải phin trắng |
m |
Khổ 0,8m |
0,5 |
|
|
06.11.09 |
Thuốc đánh đồng |
kg |
|
0,2 |
|
|
06.11.10 |
Biển ghi |
cái |
|
0,4 |
|
|
06.11.11 |
Công tắc đạp chân |
cái |
|
0,2 |
|
|
06.11.12 |
Bộ khóa chặt |
bộ |
|
0,1 |
|
|
06.11.13 |
Khung trượt |
cái |
|
0,1 |
|
|
06.11.14 |
Sắt góc |
kg |
100x100x10mm |
14 |
|
|
06.11.15 |
Sắt góc |
kg |
75x75x7mm |
5 |
|
|
06.11.16 |
Sắt góc |
kg |
50x50x5 |
4 |
|
|
06.11.17 |
Năm chi tiết tay quay ghi |
bộ |
|
0,2 |
|
|
06.11.18 |
Cần ngàm đứng |
cái |
|
0,1 |
|
|
06.11.19 |
Cần điều chỉnh độ khít lưỡi ghi |
cái |
|
0,1 |
|
|
06.11.20 |
Cần đẩy biểu trí |
cái |
|
0,1 |
|
|
06.11.21 |
Thanh khóa |
cái |
|
0,1 |
|
|
06.11.22 |
Bộ nối đầu mũi ghi |
bộ |
|
0,1 |
|
|
06.11.23 |
Bu lông M20 |
cái |
|
4 |
|
|
06.11.24 |
Hộp khóa điện |
hộp |
|
0,1 |
|
|
06.11.25 |
Bộ tay quay ghi |
Bộ |
|
0,1 |
|
|
06.11.26 |
Đèn ghi thắp điện |
cái |
|
0,2 |
|
|
06.11.27 |
Cáp điện bọc cao su |
m |
Cu 2x1,5 |
1 |
|
|
06.11.28 |
Chốt đầu tròn các loại |
cái |
|
2 |
|
|
06.11.29 |
Vật liệu phụ |
% |
VLC |
5 |
|
|
Mã hiệu |
Danh mục vật tư |
Đơn vị |
Quy cách vật tư |
Định mức |
Ghi chú |
|
06.12.01 |
Sơn xám |
kg |
Sơn tổng hợp |
3 |
|
|
06.12.02 |
Sơn trắng |
kg |
Sơn tổng hợp |
0,2 |
|
|
06.12.03 |
Sơn phòng rỉ |
kg |
Sơn tổng hợp |
1,5 |
|
|
06.12.04 |
Dầu nhớt |
kg |
|
5,5 |
|
|
06.12.05 |
Dầu hỏa |
lít |
|
6 |
|
|
06.12.06 |
Mỡ bò |
kg |
|
1,2 |
|
|
06.12.07 |
Giẻ duy tu |
kg |
|
2 |
|
|
06.12.08 |
Vải phin trắng |
m |
Khổ 0,8m |
0,5 |
|
|
06.12.09 |
Thuốc đánh đồng |
kg |
|
0,2 |
|
|
06.12.10 |
Biển ghi |
cái |
|
0,75 |
|
|
06.12.11 |
Công tắc đạp chân |
cái |
|
0,2 |
|
|
06.12.12 |
Bộ khóa chặt |
bộ |
|
0,1 |
|
|
06.12,13 |
Bàn gang khuỷu ghi |
bộ |
|
0,1 |
|
|
06.12.14 |
Khuỷu M |
bộ |
|
0,1 |
|
|
06.12.15 |
Khuỷu vuông góc |
bộ |
|
0,2 |
|
|
06.12.16 |
Khung trượt |
cái |
|
0,1 |
|
|
06.12.17 |
Sắt góc |
kg |
100x100x10mm |
40 |
|
|
06.12.18 |
Sắt góc |
kg |
75x75x7 |
10 |
|
|
06.12.19 |
Sắt góc |
kg |
50x50x5 |
10 |
|
|
06.12.20 |
Năm chi tiết tay quay ghi |
bộ |
|
0,2 |
|
|
06.12.21 |
Cần ngàm đứng |
cái |
|
0,1 |
|
|
6.12.22 |
Cần điều chỉnh độ khít lưỡi ghi |
cái |
|
0,2 |
|
|
06.12.23 |
Cần đẩy biểu trí |
cái |
|
0,2 |
|
|
06.12.24 |
Thanh khóa |
cái |
|
0,1 |
|
|
06.12.25 |
Bộ nối đầu mũi ghi |
bộ |
|
0,1 |
|
|
06.12.26 |
Bu lông M20 |
cái |
|
8 |
|
|
06.12.27 |
Hộp khóa điện |
hộp |
|
0,1 |
|
|
06.12.28 |
Bộ biểu thị lưỡi phụ |
bộ |
|
0,1 |
|
|
06.12.29 |
Bộ tay quay ghi |
bộ |
|
0,1 |
|
|
06.12.30 |
Đèn ghi thắp điện |
cái |
|
0,3 |
|
|
06.12.31 |
Cáp điện bọc cao su |
m |
Cu 2x1,5 |
1,5 |
|
|
06.12.32 |
Ống đạo quản |
m |
|
10 |
|
|
06.12.33 |
Bánh xe đỡ ống đạo quản |
bộ |
|
5 |
|
|
06.12.34 |
Giá đỡ bánh xe |
cái |
|
0,5 |
|
|
06.12.35 |
Chốt đầu tròn các loại |
cái |
|
2 |
|
|
06.12.36 |
Vật liệu phụ |
% |
VLC |
5 |
|
|
Mã hiệu |
Danh mục vật tư |
Đơn vị |
Quy cách vật tư |
Định mức |
Ghi chú |
|
07.01.01 |
Sơn xám |
kg |
Sơn tổng hợp |
1 |
|
|
07.01.02 |
Sơn trắng |
kg |
Sơn tổng hợp |
0,5 |
|
|
07.01.03 |
Sơn phòng rỉ |
kg |
Sơn tổng hợp |
1 |
|
|
07.01.04 |
Dầu hỏa |
lít |
|
3 |
|
|
07.01.05 |
Mỡ bò |
kg |
|
1 |
|
|
07.01.06 |
Thiếc hàn |
kg |
TH40 |
0,2 |
|
|
07.01.07 |
Nhựa thông |
kg |
|
0,1 |
|
|
07.01.08 |
Dây 1 ruột |
m |
S = 0,6mm2 |
50 |
|
|
07.01.09 |
Giẻ duy tu |
kg |
|
1 |
|
|
07.01.10 |
Vải phin trắng |
m |
Khổ 80 |
2,5 |
|
|
07.01.11 |
Chổi quét máy |
cái |
|
1 |
|
|
07.01.12 |
Thuốc đánh đồng |
kg |
|
0,1 |
|
|
07.01.13 |
Xăng |
lít |
|
1 |
|
|
07.01.14 |
Cồn công nghiệp |
lít |
90° |
0,2 |
|
|
07.01.15 |
Dầu nhớt |
kg |
|
0,1 |
|
|
07.01.16 |
Ống ghen |
m |
|
5 |
|
|
07.01.17 |
Van chống sét |
cái |
|
0,2 |
|
|
07.01.18 |
Dây chì |
kg |
1A |
0,2 |
|
|
07.01.19 |
Bóng đèn sấy |
cái |
220V/75 w |
2 |
|
|
07.01.20 |
Bóng đèn tín hiệu |
cái |
24v/105mA |
20 |
|
|
07.01.21 |
Chì niêm phong |
kg |
|
0,6 |
|
|
07.01.22 |
Chụp đèn biểu thị |
cái |
Các màu |
15 |
|
|
07.01.23 |
Đòn gánh lò so |
cái |
|
5 |
|
|
07.01.24 |
Cụm lá mía |
cái |
|
2 |
|
|
07.01.25 |
Chốt khóa |
cái |
|
10 |
|
|
07.01.26 |
Núm tay bẻ |
cái |
|
2 |
|
|
07.01.27 |
Miếng khóa |
cái |
|
3 |
|
|
07.01.28 |
Bảng đấu dây |
cái |
18 cọc |
0,1 |
|
|
07.01.29 |
Bảng đấu dây |
cái |
2x6 |
0,1 |
|
|
07.01.30 |
Bình cao su thổi bụi |
cái |
|
0,5 |
|
|
07.01.31 |
Vật liệu phụ |
% |
VLC |
5 |
|
|
Mã hiệu |
Danh mục vật tư |
Đơn vị |
Quy cách vật tư |
Định mức |
Ghi chú |
|
07.02.01 |
Sơn xám |
kg |
Sơn tổng hợp |
1 |
|
|
07.02.02 |
Sơn trắng |
kg |
Sơn tổng hợp |
0,5 |
|
|
07.02.03 |
Sơn phòng rỉ |
kg |
Sơn tổng hợp |
1 |
|
|
07.02.04 |
Dầu hỏa |
lít |
|
3 |
|
|
07.02.05 |
Mỡ bò |
kg |
|
1 |
|
|
07.02.06 |
Thiếc hàn |
kg |
TH40 |
0,2 |
|
|
07.02.07 |
Nhựa thông |
kg |
|
0,1 |
|
|
07.02.08 |
Dây 1 ruột |
m |
S=0,6mm2 |
50 |
|
|
07.02.09 |
Giẻ duy tu |
kg |
|
1 |
|
|
07.02.10 |
Vải phin trắng |
m |
Khổ 80 |
2,5 |
|
|
07.02.11 |
Chổi quét máy |
cái |
|
1 |
|
|
07.02.12 |
Thuốc đánh đồng |
kg |
|
0,1 |
|
|
07.02.13 |
Xăng |
lít |
|
1 |
|
|
07.02.14 |
Cồn công nghiệp |
lít |
90° |
0,2 |
|
|
07.02.15 |
Dầu nhớt |
kg |
|
0,1 |
|
|
07.02.16 |
Ống ghen |
m |
|
5 |
|
|
07.02.17 |
Van chống sét |
cái |
|
0,1 |
|
|
07.02.18 |
Dây chì |
kg |
1A |
0,1 |
|
|
07.02.19 |
Bóng đèn sấy |
cái |
220v/75 w |
2 |
|
|
07.02.20 |
Bóng đèn tín hiệu |
cái |
24v/105mA |
20 |
|
|
07.02.21 |
Chì niêm phong |
kg |
|
0,6 |
|
|
07.02.22 |
Chụp đèn biểu thị |
cái |
Các màu |
15 |
|
|
07.02.23 |
Nút ấn |
cái |
|
2 |
|
|
07.02.24 |
Bảng đấu dây |
cái |
18 cọc |
0,1 |
|
|
07.02.25 |
Bình cao su thổi bụi |
cái |
|
0,5 |
|
|
07.02.26 |
Vật liệu phụ |
% |
VLC |
5 |
|
|
Mã hiệu |
Danh mục vật tư |
Đơn vị |
Quy cách vật tư |
Định mức |
Ghi chú |
|
07.03.01 |
Sơn xám |
kg |
Sơn tổng hợp |
0,5 |
|
|
07.03.02 |
Sơn trắng |
kg |
Sơn tổng hợp |
0,25 |
|
|
07.03.03 |
Sơn phòng rỉ |
kg |
Sơn tổng hợp |
0,5 |
|
|
07.03.04 |
Thiếc hàn |
kg |
TH40 |
0,1 |
|
|
07.03.05 |
Nhựa thông |
kg |
|
0,05 |
|
|
07.03.06 |
Dây 1 ruột |
m |
S=0,6mm2 |
20 |
|
|
07.03.07 |
Giẻ duy tu |
kg |
|
1 |
|
|
07.03.08 |
Vải phin trắng |
m |
Khổ 80 |
1,5 |
|
|
07.03.09 |
Chổi quét máy |
cái |
|
1 |
|
|
07.03.10 |
Thuốc đánh đồng |
kg |
|
0,05 |
|
|
07.03.11 |
Xăng |
lít |
A92 |
0,5 |
|
|
07.03.12 |
Cồn công nghiệp |
lít |
90° |
0,1 |
|
|
07.03.13 |
Ống ghen |
m |
|
2,5 |
|
|
07.03.14 |
Van chống sét |
cái |
|
0,1 |
|
|
07.03.15 |
Dây chì |
kg |
1A |
0,05 |
|
|
07.03.16 |
Bóng đèn sấy |
cái |
220v/75 w |
1 |
|
|
07.03.17 |
Bóng đèn tín hiệu |
cái |
24v/105mA |
5 |
|
|
07.03.18 |
Chì niêm phong |
kg |
|
0,3 |
|
|
07.03.19 |
Chụp đèn biểu thị |
cái |
Các màu |
7 |
|
|
07.03.20 |
Nút ấn |
cái |
|
1 |
|
|
07.03.21 |
Bảng đấu dây |
cái |
18 cọc |
0,1 |
|
|
07.03.22 |
PLC |
cái |
S7-200 CPU 224 |
0,2 |
Đài thao tác ĐN kiêm tủ ĐK dùng PLC |
|
07.03.23 |
Bộ giao tiếp vào, ra |
cái |
|
0,3 |
|
|
07.03.24 |
Đồng hồ điện các loại |
cái |
|
0,25 |
|
|
07.03.25 |
Bộ cắt sét đường nguồn |
cái |
|
0,2 |
|
|
07.03.26 |
Còi hú |
cái |
|
0,2 |
|
|
07.03.27 |
Bình cao su thổi bụi |
cái |
|
0,5 |
|
|
07.03.28 |
Vật liệu phụ |
% |
VLC |
5 |
|
|
Mã hiệu |
Danh mục vật tư |
Đơn vị |
Quy cách vật tư |
Định mức |
Ghi chú |
|
07.04.01 |
Sơn xám |
kg |
Sơn tổng hợp |
1 |
|
|
07.04.02 |
Sơn trắng |
kg |
Sơn tổng hợp |
0,5 |
|
|
07.04.03 |
Sơn phòng rỉ |
kg |
Sơn tổng hợp |
1 |
|
|
07.04.04 |
Thiếc hàn |
kg |
TH40 |
0,2 |
|
|
07.04.05 |
Nhựa thông |
kg |
|
0,1 |
|
|
07.04.06 |
Dây 1 ruột |
m |
S = 0,6mm2 |
50 |
|
|
07.04.07 |
Giẻ duy tu |
kg |
|
1 |
|
|
07.04.08 |
Vải phin trắng |
m |
Khổ 80 |
2,5 |
|
|
07.04.09 |
Chổi quét máy |
cái |
|
1 |
|
|
07.04.10 |
Thuốc đánh đồng |
kg |
|
0,1 |
|
|
07.04.11 |
Xăng |
lít |
|
1 |
|
|
07.04.12 |
Cồn công nghiệp |
lít |
90° |
0,2 |
|
|
07.04.13 |
Dầu nhớt |
kg |
|
0,1 |
|
|
07.04.14 |
Ống ghen |
m |
|
5 |
|
|
07.04.15 |
Đồng hồ ampe |
cái |
220 DC/20A |
0,1 |
|
|
07.04.16 |
Dây chì |
kg |
1A |
0,1 |
|
|
07.04.17 |
Bóng đèn sấy |
cái |
220v/75 w |
2 |
|
|
07.04.18 |
Đơn nguyên đài khống chế các loại |
cái |
|
10 |
|
|
07.04.19 |
Chì niêm phong |
kg |
|
0,6 |
|
|
07.04.20 |
Bảng đấu dây |
cái |
|
0,1 |
|
|
07.04.21 |
Vật liệu phụ |
% |
VLC |
5 |
|
|
Mã hiệu |
Danh mục vật tư |
Đơn vị |
Quy cách vật tư |
Định mức |
Ghi chú |
|
07.05.01 |
Màn hình vi tính 21 Inch |
cái |
|
0,2 |
|
|
07.05.02 |
Màn hình vi tính 17 Inch |
cái |
|
0,1 |
|
|
07.05.03 |
Bàn phím |
cái |
|
0,5 |
|
|
07.05.04 |
Con chuột điều khiển |
cái |
|
0,5 |
|
|
07.05.05 |
Ổ đĩa quang |
5 |
|
0,25 |
|
|
07.05.06 |
Hộp mực máy in laze |
hộp |
|
1 |
|
|
07.05.07 |
Giấy A4 |
ram |
|
2 |
|
|
07.05.08 |
Giẻ duy tu |
kg |
|
1 |
|
|
07.05.09 |
Vải phin trắng |
m |
|
2 |
|
|
07.05.10 |
Chổi quét máy |
cái |
|
2 |
|
|
07.05.11 |
Dung dịch vệ sinh máy |
lít |
|
0,5 |
|
|
07.05.12 |
Vật liệu phụ |
% |
VLC |
5 |
|
|
Mã hiệu |
Danh mục vật tư |
Đơn vị |
Quy cách vật tư |
Định mức |
Ghi chú |
|
07.06.01 |
Sơn xám |
kg |
Sơn tổng hợp |
0,5 |
|
|
07.06.02 |
Sơn trắng |
kg |
Sơn tổng hợp |
0,25 |
|
|
07.06.03 |
Sơn phòng rỉ |
kg |
Sơn tổng hợp |
0,5 |
|
|
07.06.04 |
Thiếc hàn |
kg |
TH40 |
0,1 |
|
|
07.06.05 |
Nhựa thông |
kg |
|
0,05 |
|
|
07.06.06 |
Giẻ duy tu |
kg |
|
1 |
|
|
07.06.07 |
Vải phin trắng |
m |
Khổ 80 |
1,5 |
|
|
07.06.08 |
Chổi quét máy |
cái |
|
1 |
|
|
07.06.09 |
Bóng đèn tín hiệu |
cái |
24v/105mA |
5 |
|
|
07.06.10 |
Chì niêm phong |
kg |
|
0,3 |
|
|
07.06.11 |
Chụp đèn biểu thị |
cái |
Các màu |
10 |
|
|
07.06.12 |
Nút ấn (hoặc tay bẻ) |
cái |
|
5 |
|
|
07.06.13 |
Vật liệu phụ |
% |
VLC |
5 |
|
|
Mã hiệu |
Danh mục vật tư |
Đơn vị |
Quy cách vật tư |
Định mức |
Ghi chú |
|
07.07.01 |
Sơn đỏ |
kg |
Sơn tổng hợp |
0,4 |
|
|
07.07.02 |
Sơn vàng |
kg |
Sơn tổng hợp |
0,05 |
|
|
07.07.03 |
Thiếc hàn |
kg |
TH40 |
0,1 |
|
|
07.07.04 |
Nhựa thông |
kg |
|
0,1 |
|
|
07.07.05 |
Dây 1 ruột |
m |
S =0,6mm2 |
2 |
|
|
07.07.06 |
Giẻ duy tu |
kg |
|
1 |
|
|
07.07.07 |
Vải phin trắng |
m |
Khổ 80 |
1 |
|
|
07.07.08 |
Chổi quét máy |
cái |
|
1 |
|
|
07.07.09 |
Thuốc đánh đồng |
kg |
|
0,1 |
|
|
07.07.10 |
Xăng |
lít |
|
0,1 |
|
|
07.07.11 |
Cồn công nghiệp |
lít |
90° |
0,1 |
|
|
07.07.12 |
Dầu nhớt |
kg |
|
1 |
|
|
07.07.13 |
Dầu hỏa |
lít |
|
0,5 |
|
|
07.07.14 |
Mỡ bò |
kg |
|
0,2 |
|
|
07.07.15 |
Ống ghen |
m |
|
0,5 |
|
|
07.07.16 |
Đòn gánh lò xo |
cái |
|
2 |
|
|
07.07.17 |
Cụm lá mía |
cái |
|
1 |
|
|
07.07.18 |
Van chống sét |
cái |
|
0,1 |
|
|
07.07.19 |
Dây chì |
cái |
1A |
0,1 |
|
|
07.07.20 |
Tay gạt chỉnh lưu |
cái |
|
0,5 |
|
|
07.07.21 |
Đồng hồ mA |
cái |
|
0,5 |
|
|
07.07.22 |
Chì niêm phong |
kg |
|
0,6 |
|
|
07.07.23 |
Dây coóc đông |
cái |
loại 5 ruột |
1 |
|
|
07.07.24 |
Chốt khóa |
cái |
|
5 |
|
|
07.07.25 |
Núm tay bẻ |
cái |
|
1 |
|
|
07.07.26 |
Đòn gánh |
cái |
|
2 |
|
|
07.07.27 |
Chổi than máy phát |
cái |
|
2 |
|
|
07.07.28 |
Biển thẻ |
cái |
|
20 |
|
|
07.07.29 |
Vít đông |
cái |
|
40 |
|
|
07.07.20 |
Cuộn khóa từ |
cái |
|
0,5 |
|
|
07.07.31 |
Đầu thẻ |
cái |
|
10 |
|
|
07.07.32 |
Thẻ đường |
cái |
|
4 |
|
|
07.07.33 |
Gậy đồng tiếp điện |
cái |
|
1 |
|
|
07.07.34 |
Chuông điện |
cái |
|
0,2 |
|
|
07.07.35 |
Máy điện thoại nam châm |
cái |
|
0,4 |
|
|
07.07.36 |
Bình cao su thổi bụi |
cái |
|
0,5 |
|
|
07.07.37 |
Vật liệu phụ |
% |
VLC |
5 |
|
|
Mã hiệu |
Danh mục vật tư |
Đơn vị |
Quy cách vật tư |
Định mức |
Ghi chú |
|
07.08.01 |
Sơn đỏ |
kg |
Sơn tổng hợp |
0,2 |
|
|
07.08.02 |
Sơn vàng |
kg |
Sơn tổng hợp |
0,05 |
|
|
07.08.03 |
Thiếc hàn |
kg |
TH40 |
0,1 |
|
|
07.08.04 |
Nhựa thông |
kg |
|
0,1 |
|
|
07.08.05 |
Dây 1 ruột |
m |
S =0,6mm2 |
2 |
|
|
07.08.06 |
Giẻ duy tu |
kg |
|
1 |
|
|
07.08.07 |
Vải phin trắng |
m |
Khổ 80 |
2 |
|
|
07.08.08 |
Chổi quét máy |
cái |
|
1 |
|
|
07.08.09 |
Thuốc đánh đồng |
kg |
|
0,05 |
|
|
07.08.10 |
Xăng |
lít |
|
0,1 |
|
|
07.08.11 |
Cồn công nghiệp |
lít |
900 |
0,1 |
|
|
07.08.12 |
Dầu nhớt |
kg |
|
1 |
|
|
07.08.13 |
Dầu hỏa |
lít |
|
0,5 |
|
|
07.08.14 |
Mỡ bò |
kg |
|
0,2 |
|
|
07.08.15 |
Ống ghen |
m |
|
0,5 |
|
|
07.08.16 |
Đòn gánh lò xo |
cái |
|
2 |
|
|
07.08.17 |
Cụm lá mía |
cái |
|
1 |
|
|
07.08.18 |
Van chống sét |
cái |
|
0,1 |
|
|
07.08.19 |
Dây chì |
kg |
1A |
0,1 |
|
|
07.08.20 |
Tay gạt chỉnh lưu |
cái |
|
0,5 |
|
|
07.08.21 |
Đồng hồ mA |
cái |
|
0,2 |
|
|
07.08.22 |
Chì niêm phong |
kg |
|
0,6 |
|
|
07.08.23 |
Dây coóc đông |
cái |
loại 5 ruột |
0,5 |
|
|
07.08.24 |
Chốt khóa |
cái |
|
5 |
|
|
07.08.25 |
Núm tay bẻ |
cái |
|
1 |
|
|
07.08.26 |
Đòn gánh |
cái |
|
2 |
|
|
07.08.27 |
Chổi than máy phát |
cái |
|
2 |
|
|
07.08.28 |
Biển thẻ |
cái |
|
10 |
|
|
07.08.29 |
Vít đông |
cái |
|
20 |
|
|
07.08.30 |
Cuộn khóa từ |
cái |
|
0,25 |
|
|
07.08.31 |
Đầu thẻ |
cái |
|
5 |
|
|
07.08.32 |
Thẻ đường |
cái |
|
2 |
|
|
07.08.33 |
Gậy đồng tiếp điện |
cái |
|
0,5 |
|
|
07.08.34 |
Chuông điện |
Cái |
|
0,2 |
|
|
07.08.35 |
Máy điện thoại nam châm |
cái |
|
0,3 |
|
|
07.08.36 |
Bình cao su thổi bụi |
cái |
|
0,5 |
|
|
07.08.37 |
Vật liệu phụ |
% |
VLC |
5 |
|
|
Mã hiệu |
Danh mục vật tư |
Đơn vị |
Quy cách vật tư |
Định mức |
Ghi chú |
|
07.09.01 |
Sơn xám |
kg |
Sơn tổng hợp |
0,1 |
|
|
07.09.02 |
Sơn trắng |
kg |
Sơn tổng hợp |
0,5 |
|
|
07.09.03 |
Sơn phòng rỉ |
kg |
Sơn tổng hợp |
0,5 |
|
|
07.09.04 |
Sơn đỏ |
kg |
Sơn tổng hợp |
0,1 |
|
|
07.09.05 |
Xi măng |
kg |
PC30 |
5 |
|
|
07.09.06 |
Bảng dấu dây |
cái |
2x6 cọc |
0,2 |
|
|
07.09.07 |
Dầu nhớt |
kg |
|
0,2 |
|
|
07.09.08 |
Giẻ duy tu |
kg |
|
1 |
|
|
07.09.09 |
Mỡ bò |
kg |
|
0,2 |
|
|
07.09.10 |
Lò xo hộp thẻ |
cái |
|
3 |
|
|
07.09.11 |
Lò xo 12 ly |
cái |
90° |
3 |
|
|
07.09.12 |
Càng cua giữ thẻ |
cái |
|
2 |
|
|
07.09.13 |
Vật liệu phụ |
% |
VLC |
5 |
|
|
Mã hiệu |
Danh mục vật tư |
Đơn vị |
Quy cách vật tư |
Định mức |
Ghi chú |
|
07.10.01 |
Sơn xám |
kg |
Sơn tổng hợp |
0,2 |
|
|
07.10.02 |
Sơn trắng |
kg |
Sơn tổng hợp |
0,2 |
|
|
07.10.03 |
Thiếc hàn |
kg |
|
0,1 |
|
|
07.10.04 |
Nhựa thông |
kg |
|
0,05 |
|
|
07.10.05 |
Thuốc đánh đồng |
kg |
|
0,1 |
|
|
07.10.06 |
Dây 1 ruột |
m |
D=0,6 mm2 |
20 |
|
|
07.10.07 |
Phích K, W |
cái |
Sơn tổng hợp |
1 |
|
|
07.10.08 |
Cồn công nghiệp |
lít |
90 độ |
0,2 |
|
|
07.10.09 |
Xăng |
lít |
|
0,2 |
|
|
07.10.10 |
Vải phin trắng |
m |
Khổ 80 |
1 |
|
|
07.10.11 |
Chì niêm phong |
kg |
|
0,2 |
|
|
07.10.12 |
Vòng đệm cao su |
cái |
1,5m |
0,2 |
|
|
07.10.13 |
Đế cắm rơ le |
cái |
|
1 |
|
|
07.10.14 |
Chốt phân loại rơ le |
cái |
|
5 |
|
|
07.10.15 |
Tụ điện |
cái |
|
2 |
|
|
07.10.16 |
Điện trở |
cái |
|
2 |
|
|
07.10.17 |
Vật liệu phụ |
% |
VLC |
5 |
|
|
Mã hiệu |
Danh mục vật tư |
Đơn vị |
Quy cách vật tư |
Định mức |
Ghi chú |
|
07.11.01 |
Sơn xám |
kg |
Sơn tổng hợp |
0,5 |
|
|
07.11.02 |
Sơn trắng |
kg |
Sơn tổng hợp |
0,5 |
|
|
07.11.03 |
Sơn phòng rỉ |
kg |
Sơn tổng hợp |
0,5 |
|
|
07.11.04 |
Thiếc hàn |
kg |
TH40 |
0,2 |
|
|
07.11.05 |
Nhựa thông |
kg |
|
0,1 |
|
|
07.11.06 |
Dây 1 ruột |
m |
D=0,6mm2 |
50 |
|
|
07.11.07 |
Giẻ duy tu |
kg |
|
1 |
|
|
07.11.08 |
Vải phin trắng |
m |
Khổ 80 |
2 |
|
|
07.11.09 |
Chổi quét máy |
cái |
|
2 |
|
|
07.11.10 |
Thuốc đánh đồng |
kg |
|
1 |
|
|
07.11.11 |
Xăng |
lít |
A92 |
1 |
|
|
07.11.12 |
Cồn công nghiệp |
lít |
90° |
0,2 |
|
|
07.11.13 |
Ống ghen |
m |
|
5 |
|
|
07.11.14 |
Dây chì |
kg |
1A |
0,1 |
|
|
07.11.15 |
Chốt phân loại rơ le |
cái |
|
50 |
|
|
07.11.16 |
Đế cắm rơle |
cái |
|
5 |
|
|
07.11.17 |
Bảng đấu dây |
cái |
18 cọc |
0,1 |
|
|
07.11.18 |
Bảng đấu dây |
cái |
2x6 cọc |
0,1 |
|
|
07.11.19 |
Bình cao su thổi bụi |
cái |
Cao su |
0,5 |
|
|
07.11.20 |
Vật liệu khác |
% |
VLC |
5 |
|
|
Mã hiệu |
Danh mục vật tư |
Đon vị |
Quy cách vật tư |
Định mức |
Ghi chú |
|
07.12.01 |
Sơn xám |
kg |
Sơn tổng hợp |
0,5 |
|
|
07.12.02 |
Sơn trắng |
kg |
Sơn tổng hợp |
0,5 |
|
|
07.12.03 |
Sơn phòng rỉ |
kg |
Sơn tổng hợp |
0,5 |
|
|
07.12.04 |
Thiếc hàn |
kg |
TH40 |
0,2 |
|
|
07.12.05 |
Nhựa thông |
kg |
|
0,1 |
|
|
07.12.06 |
Dây 1 ruột |
m |
D=0,6mm2 |
50 |
|
|
07.12.07 |
Giẻ duy tu |
kg |
|
1 |
|
|
07.12.08 |
Vải phin trắng |
m |
Khổ 80 |
2 |
|
|
07.12.09 |
Chổi quét máy |
cái |
|
2 |
|
|
07.12.10 |
Thuốc đánh đồng |
kg |
|
1 |
|
|
07.12.11 |
Xăng |
lít |
A92 |
1 |
|
|
07.12.12 |
Cồn công nghiệp |
lít |
900 |
0,2 |
|
|
07.12.13 |
Ống ghen |
m |
|
5 |
|
|
07.12.14 |
Dây chì |
kg |
1A |
0,1 |
|
|
07.12.15 |
Cầu chì ống |
cái |
|
5 |
|
|
07.12.16 |
Chốt phân loại rơ le |
cái |
|
50 |
|
|
07.12.17 |
Đế cắm rơle |
cái |
|
5 |
|
|
07.12.18 |
Bảng đấu dây |
cái |
18 cọc |
0,1 |
|
|
07.12.19 |
Bộ chống sét |
bộ |
|
1 |
|
|
07.12.20 |
Bảng đấu dây |
cái |
2x6 cọc |
0,1 |
|
|
07.12.21 |
Bình cao su thổi bụi |
cái |
|
0,5 |
|
|
07.12.22 |
Vật liệu khác |
% |
VLC |
5 |
|
|
Mã hiệu |
Danh mục vật tư |
Đơn vị |
Quy cách vật tư |
Định mức |
Ghi chú |
|
07.13.01 |
Sơn xám |
kg |
Sơn tổng hợp |
0,5 |
|
|
07.13.02 |
Sơn trắng |
kg |
Sơn tổng hợp |
0,5 |
|
|
07.13.03 |
Sơn phòng rỉ |
kg |
Sơn tổng hợp |
0,5 |
|
|
07.13.04 |
Thiếc hàn |
kg |
TH40 |
0,2 |
|
|
07.13.05 |
Nhựa thông |
kg |
|
0,1 |
|
|
07.13.06 |
Dây 1 ruột |
m |
D=0,6mm2 |
50 |
|
|
07.13.07 |
Giẻ duy tu |
kg |
|
1 |
|
|
07.13.08 |
Vải phin trắng |
m |
Khổ 80 |
2 |
|
|
07.13.09 |
Chổi quét máy |
cái |
|
2 |
|
|
07.13.10 |
Thuốc đánh đồng |
kg |
|
1 |
|
|
07.13.11 |
Xăng |
lít |
A92 |
0,5 |
|
|
07.13.12 |
Cồn công nghiệp |
lít |
90° |
0,2 |
|
|
07.13.13 |
Ống ghen |
m |
|
5 |
|
|
07.13.14 |
Dây chì |
kg |
1A |
0,1 |
|
|
07.13.15 |
Đế cắm rơ le |
cái |
|
2 |
|
|
07.13.16 |
Đế môdun chức năng |
cái |
|
0,2 |
|
|
07.13.17 |
Bảng đấu dây các loại |
cái |
|
0,1 |
|
|
07.13.18 |
Vật liệu khác |
% |
VLC |
5 |
|
|
TT |
Danh mục vật tư |
Đơn vị |
Quy cách vật tư |
Định mức |
Ghi chú |
|
07.14.01 |
Sơn xám |
kg |
Sơn tổng hợp |
1 |
|
|
07.14.02 |
Sơn trắng |
kg |
Sơn tổng hợp |
0,5 |
|
|
07.14.03 |
Sơn phòng rỉ |
kg |
Sơn tổng hợp |
1 |
|
|
07.14.04 |
Thiếc hàn |
kg |
TH40 |
0,2 |
|
|
07.14.05 |
Nhựa thông |
kg |
|
0,1 |
|
|
07.14.06 |
Dây 1 ruột |
m |
S =0,6mm2 |
50 |
|
|
07.14.07 |
Giẻ duy tu |
kg |
|
1 |
|
|
07.14.08 |
Vải phin trắng |
m |
Khổ 80 |
1 |
|
|
07.14.09 |
Chổi quét máy |
cái |
|
1 |
|
|
07.14.10 |
Thuốc đánh đồng |
kg |
|
0,1 |
|
|
07.14.11 |
Xăng |
lít |
A92 |
1 |
|
|
07.14.12 |
Cồn công nghiệp |
lít |
90° |
0,2 |
|
|
07.14.13 |
Ống ghen |
m |
|
2 |
|
|
07.14.14 |
Dây chì |
kg |
1A |
0,1 |
|
|
07.14.15 |
Van chống sét |
cái |
|
0,1 |
|
|
07.14.16 |
Đế cắm rơle |
cái |
|
2 |
|
|
07.14.17 |
Điện trở điều chỉnh các loại |
cái |
|
1 |
|
|
07.14.18 |
Bảng đấu dây |
cái |
18 cọc |
0,2 |
|
|
07.14.19 |
Dầu nhớt |
kg |
|
0,1 |
|
|
07.14.20 |
Máy tính nhúng (đường ngang cảnh báo tự động dùng MTN) |
cái |
|
0,15 |
Đối với đường ngang cảnh báo tự động |
|
07.14.21 |
PLC (đường ngang cảnh báo tự động dùng PLC) |
bộ |
S7-200 CPU 224 |
0,15 |
|
|
07.14.22 |
Bộ nguồn đường ngang |
bộ |
|
0,15 |
|
|
07.14.23 |
Bộ ổn áp |
bộ |
|
0,2 |
|
|
07.14.24 |
Giao tiếp vào, ra |
bộ |
|
0,3 |
|
|
07.14.25 |
Bộ cắt sét đường truyền |
bộ |
|
0,3 |
|
|
07.14.26 |
Bộ cắt sét đường nguồn |
bộ |
|
0,3 |
|
|
07.14.27 |
Cầu chì các loại |
cái |
|
6 |
Đối với đường ngang cần chắn tự động |
|
07.14.28 |
Biến trở các loại |
cái |
|
2 |
|
|
07.14.29 |
Bảng nút ấn giá đếm trục |
bộ |
|
0,1 |
|
|
07.14.30 |
Bộ ổn nhiệt |
bộ |
|
0,15 |
|
|
07.14.31 |
Bộ xử lý pê đan |
bộ |
|
0,15 |
|
|
07.14.32 |
Môđun đếm trục |
cái |
|
0,2 |
|
|
07.14.33 |
Môđun kích hoạt |
cái |
|
0,2 |
|
|
07.14.34 |
Môđun đếm thời gian |
cái |
|
0,2 |
|
|
07.14.35 |
Môđun đồng hồ |
cái |
|
0,15 |
|
|
07.14.36 |
Môđun kiểm soát |
cái |
|
0,15 |
|
|
07.14.37 |
Môđun rơ le |
cái |
|
0,2 |
|
|
07.14.38 |
Mô đun phụ trợ các loại |
cái |
|
0,2 |
|
|
07.14.39 |
Mô đun chống sét cảm biến |
cái |
|
0,2 |
|
|
07.14.40 |
Rơ le các loại |
cái |
|
3 |
|
|
07.14.41 |
Bộ nguồn điện |
cái |
|
0,15 |
|
|
07.14.42 |
Bộ UPS Online |
cái |
|
0,15 |
|
|
07.14.43 |
Bộ cắt sét đường truyền |
cái |
|
0,3 |
|
|
07.14.44 |
Bộ cắt sét đường nguồn |
cái |
|
0,3 |
|
|
07.14.45 |
Cọc tiếp đất |
cái |
|
0,2 |
|
|
07.14.46 |
Vật liệu phụ |
% |
VLC |
5 |
|
|
TT |
Danh mục vật tư |
Đơn vị |
Quy cách vật tư |
Định mức |
Ghi chú |
|
07.15.01 |
Sơn xám |
kg |
Sơn tổng hợp |
1 |
|
|
07.15.02 |
Sơn trắng |
kg |
Sơn tổng hợp |
0,5 |
|
|
07.15.03 |
Sơn phòng rỉ |
kg |
Sơn tổng hợp |
1 |
|
|
07.15.04 |
Thiếc hàn |
kg |
TH40 |
0,2 |
|
|
07.15.05 |
Nhựa thông |
kg |
|
0,1 |
|
|
07.15.06 |
Dây 1 ruột |
m |
S =0,6mm2 |
50 |
|
|
07.15.07 |
Giẻ duy tu |
kg |
|
1 |
|
|
07.15.08 |
Vải phin trắng |
m |
Khổ 80 |
1 |
|
|
07.15.09 |
Chổi quét máy |
cái |
|
1 |
|
|
07.15.10 |
Thuốc đánh đồng |
kg |
|
0,1 |
|
|
07.15.11 |
Xăng |
lít |
A92 |
1 |
|
|
07.15.12 |
Cồn công nghiệp |
lít |
90° |
0,2 |
|
|
07.15.13 |
Ống ghen |
m |
|
2 |
|
|
07.15.14 |
Dây chì |
kg |
1A |
0,1 |
|
|
07.15.15 |
Van chống sét |
cái |
|
0,1 |
|
|
07.15.16 |
Đế cắm rơle |
cái |
|
2 |
|
|
07.15.17 |
Bảng đấu dây |
cái |
18 cọc |
0,2 |
|
|
07.15.18 |
Điện trở điều chỉnh các loại |
cái |
|
1 |
|
|
07.15.19 |
Dầu nhớt |
kg |
|
0,1 |
|
|
07.15.20 |
Vật liệu phụ |
% |
VLC |
5 |
|
|
TT |
Danh mục vật tư |
Đơn vị |
Quy cách vật tư |
Định mức |
Ghi chú |
|
07.16.01 |
Sơn phòng rỉ |
kg |
|
0,1 |
|
|
07.16.02 |
Sơn xám |
kg |
|
0,2 |
|
|
07.16.03 |
Giẻ duy tu |
kg |
|
1 |
|
|
07.16.04 |
Vải phin trắng |
m |
khổ 80 |
1,5 |
|
|
07.16.05 |
Chổi quét máy |
cái |
|
2 |
|
|
07.16.06 |
Mỡ bò |
kg |
|
0,3 |
|
|
07.16.07 |
Dầu nhớt |
kg |
|
0,3 |
|
|
07.16.08 |
Bánh răng các loại |
cái |
|
0,1 |
|
|
07.16.09 |
Xích truyền động |
cái |
|
0,1 |
|
|
07.16.10 |
Công tắc từ |
cái |
|
0,1 |
|
|
07.16.11 |
Mô tơ điện |
cái |
|
0,15 |
|
|
07.16.12 |
Thanh nhôm cần chắn |
m |
|
2 |
|
|
07.16.13 |
Bu lông các loại |
cái |
|
4 |
|
|
07.16.14 |
Đèn cần chắn |
cái |
12V-10W |
1 |
|
|
07.16.15 |
Bộ khóa chuyên dụng (Dongle) |
cái |
|
0,1 |
|
|
07.16.16 |
Vật liệu phụ |
% |
VLC |
5 |
|
|
TT |
Danh mục vật tư |
Đơn vị |
Quy cách vật tư |
Định mức |
Ghi chú |
|
07.17.01 |
Giẻ duy tu |
kg |
|
1 |
|
|
07.17.02 |
Vải phin trắng |
m |
khổ 80 |
1,5 |
|
|
07.17.03 |
Chổi quét máy |
cái |
|
2 |
|
|
07.17.04 |
Giấy in máy in kim |
cuộn |
|
6 |
|
|
07.17.05 |
Môdun xử lý đa năng MPM |
môdun |
|
0,1 |
|
|
07.17.06 |
Môdun xử lý bảng PPM |
môdun |
|
0,1 |
|
|
07.17.07 |
Môdun chẩn đoán DMPM |
môdun |
|
0,1 |
|
|
07.17.08 |
Môdun kết nối dữ liệu quang ODLM |
môdun |
|
0,1 |
|
|
07.17.09 |
Môdun kết nối dữ liệu điện EDLM |
môdun |
|
0,1 |
|
|
07.17.10 |
Bộ khóa chuyên dụng (Dongle) |
cái |
|
0,1 |
|
|
07.17.11 |
Vật liệu phụ |
% |
VLC |
5 |
|
|
TT |
Danh mục vật tư |
Đơn vị |
Quy cách vật tư |
Định mức |
Ghi chú |
|
07.18.01.01 |
Giẻ duy tu |
kg |
|
1 |
|
|
07.18.01.02 |
Vải phin trắng |
m |
Khổ 80 |
1,5 |
|
|
07.18.01.03 |
Chổi quét máy |
cái |
|
2 |
|
|
07.18.01.04 |
Môdun nguồn |
môdun |
|
0,1 |
|
|
07.18.01.05 |
Môdun nối |
môdun |
|
0,1 |
|
|
07.18.01.06 |
Môdun đếm |
môdun |
|
0,1 |
|
|
07.18.01.07 |
Bộ chống sét |
bộ |
|
0,2 |
|
|
07.18.01.08 |
Nút ấn khôi phục |
cái |
|
2 |
|
|
07.18.01.09 |
Vật liệu phụ |
% |
VLC |
5 |
|
|
TT |
Danh mục vật tư |
Đơn vị |
Quy cách vật tư |
Định mức |
Ghi chú |
|
07.18.02.01 |
Giẻ duy tu |
kg |
|
1 |
|
|
07.18.02.02 |
Vải phin trắng |
m |
Khổ 80 |
1,5 |
|
|
07.18.02.03 |
Chổi quét máy |
cái |
|
2 |
|
|
07.18.02.04 |
Khối khuếch đại đệm 2 kênh |
môdun |
|
0,1 |
|
|
07.18.02.05 |
Khối đếm trục 2 kênh |
môdun |
|
0,1 |
|
|
07.18.02.06 |
Khối khôi phục khối đếm |
môdun |
|
0,1 |
|
|
07.18.02.07 |
Khối nguồn |
môdun |
|
0,1 |
|
|
07.18.02.08 |
Khối rơle đầu ra |
môdun |
|
0,1 |
|
|
07.18.02.09 |
Cầu chì |
cái |
Các loại |
10 |
|
|
07.18.02.10 |
Bộ chống sét |
bộ |
|
0,2 |
|
|
07.18.02.11 |
Vật liệu phụ |
% |
VLC |
5 |
|
|
TT |
Danh mục vật tư |
Đơn vị |
Quy cách vật tư |
Định mức |
Ghi chú |
|
07.19.01 |
Chổi quét máy |
cái |
|
1 |
|
|
07.19.02 |
Dầu nhớt |
kg |
|
0,1 |
|
|
07.19.03 |
Dầu hỏa |
lít |
|
0,4 |
|
|
07.19.04 |
Xi măng |
kg |
PC30 |
1 |
|
|
07.19.05 |
Bảng đấu dây |
cái |
2x6 cọc |
0,2 |
|
|
07.19.06 |
Giẻ duy tu |
kg |
|
1 |
|
|
07.19.07 |
Lòng mo cách điện |
cái |
|
8 |
|
|
07.19.08 |
Cách điện chữ I |
cái |
|
16 |
|
|
07.19.09 |
Ống cách điện |
cái |
|
100 |
|
|
07.19.10 |
Bu lông mạch ray |
cái |
|
12 |
|
|
07.19.11 |
Dây câu ray các loại |
cái |
|
2,5 |
|
|
07.19.12 |
Long đen cách điện |
cái |
Các loại |
222 |
|
|
07.19.13 |
Long đen sắt |
cái |
Các loại |
111 |
|
|
07.19.14 |
Bộ lập lách sắt |
bộ |
|
0,1 |
|
|
07.19.15 |
Vật liệu phụ |
% |
VLC |
5 |
|
|
TT |
Danh mục vật tư |
Đơn vị |
Quy cách vật tư |
Định mức |
Ghi chú |
|
07.20.01 |
Chổi quét máy |
cái |
|
1 |
|
|
07.20.02 |
Dầu nhớt |
kg |
|
0,1 |
|
|
07.20.03 |
Dầu hỏa |
lít |
|
0,4 |
|
|
07.20.04 |
Xi măng |
kg |
PC30 |
1 |
|
|
07.20.05 |
Bảng đấu dây |
cái |
2x6 cọc |
0,2 |
|
|
07.20.06 |
Giẻ duy tu |
kg |
|
1 |
|
|
07.20.07 |
Lòng mo cách điện |
cái |
|
8 |
|
|
07.20.08 |
Cách điện chữ I |
cái |
|
16 |
|
|
07.20.09 |
Ống cách điện |
cái |
|
100 |
|
|
07.20.10 |
Bu lông mạch ray |
cái |
|
12 |
|
|
07.20.11 |
Dây câu ray các loại |
cái |
|
64 |
|
|
07.20.12 |
Long đen cách điện |
cái |
Các loại |
222 |
|
|
07.20.13 |
Long đen sắt |
cái |
Các loại |
111 |
|
|
07.20.14 |
Bộ lập lách sắt |
bộ |
|
0,1 |
|
|
07.20.15 |
Vật liệu phụ |
% |
VLC |
5 |
|
|
TT |
Danh mục vật tư |
Đơn vị |
Quy cách vật tư |
Định mức |
Ghi chú |
|
07.21.01 |
Chổi quét máy |
cái |
|
1 |
|
|
07.21.02 |
Dầu nhớt |
kg |
|
0,1 |
|
|
07.21.03 |
Dầu hỏa |
lít |
|
0,4 |
|
|
07.21.04 |
Xi măng |
kg |
PC30 |
1 |
|
|
07.21.05 |
Bảng đấu dây |
cái |
2x6 cọc |
0,2 |
|
|
07.21.06 |
Giẻ duy tu |
kg |
|
1 |
|
|
07.21.07 |
Lòng mo cách điện |
cái |
|
16 |
|
|
07.21.08 |
Cách điện chữ I |
cái |
|
32 |
|
|
07.21.09 |
Ống cách điện các loại |
cái |
|
200 |
|
|
07.21.10 |
Bu lông mạch ray |
cái |
|
14 |
|
|
07.21.11 |
Dây câu ray các loại |
cái |
|
7 |
|
|
07.21.12 |
Long đen cách điện |
cái |
Các loại |
444 |
|
|
07.21.13 |
Long đen sắt |
cái |
Các loại |
222 |
|
|
07.21.14 |
Bộ lập lách sắt |
bộ |
|
0,1 |
|
|
07.21.15 |
Vật liệu phụ |
% |
VLC |
5 |
|
|
TT |
Danh mục vật tư |
Đơn vị |
Quy cách vật tư |
Định mức |
Ghi chú |
|
07.22.01 |
Chổi quét máy |
cái |
|
1,5 |
|
|
07.22.02 |
Dầu nhớt |
kg |
|
0,15 |
|
|
07.22.03 |
Dầu hỏa |
lít |
|
0,6 |
|
|
07.22.04 |
Xi măng |
kg |
PC30 |
1,5 |
|
|
07.22.05 |
Bảng đấu dây |
cái |
2x6 cọc |
0,3 |
|
|
07.22.06 |
Giẻ duy tu |
kg |
|
1,5 |
|
|
07.22.07 |
Lòng mo cách điện |
cái |
|
24 |
|
|
07.22.08 |
Cách điện chữ I |
cái |
|
48 |
|
|
07.22.09 |
Ống cách điện |
cái |
|
300 |
|
|
07.22.10 |
Bu lông mạch ray |
cái |
|
21 |
|
|
07.22.11 |
Dây câu ray các loại |
cái |
|
11 |
|
|
07.22.12 |
Long đen cách điện |
cái |
Các loại |
666 |
|
|
07.22.13 |
Long đen sắt |
cái |
Các loại |
333 |
|
|
07.22.14 |
Bộ lập lách sắt |
bộ |
|
0,15 |
|
|
07.22.15 |
Vật liệu phụ |
% |
VLC |
5 |
|
|
TT |
Danh mục vật tư |
Đơn vị |
Quy cách vật tư |
Định mức |
Ghi chú |
|
07.23.01 |
Chổi quét máy |
cái |
|
1 |
|
|
07.23.02 |
Dầu nhớt |
kg |
|
0,1 |
|
|
07.23.03 |
Dầu hỏa |
lít |
|
0,4 |
|
|
07.23.04 |
Xi măng |
kg |
PC30 |
1 |
|
|
07.23.05 |
Bảng đấu dây |
cái |
2x6 cọc |
0,2 |
|
|
07.23.06 |
Giẻ duy tu |
kg |
|
1 |
|
|
07.23.07 |
Lòng mo cách điện |
cái |
|
8 |
|
|
07.23.08 |
Cách điện chữ I |
cái |
|
16 |
|
|
07.23.09 |
Ống cách điện |
cái |
|
100 |
|
|
07.23.10 |
Bu lông mạch ray |
cái |
|
12 |
|
|
07.23.11 |
Dây câu ray các loại |
cái |
|
64 |
|
|
07.23.12 |
Long đen cách điện |
cái |
Các loại |
222 |
|
|
07.23.13 |
Long đen sắt |
cái |
Các loại |
111 |
|
|
07.23.14 |
Bộ lập lách sắt |
bộ |
|
0,1 |
|
|
07.23.15 |
Vật liệu phụ |
% |
VLC |
5 |
|
|
TT |
Danh mục vật tư |
Đơn vị |
Quy cách vật tư |
Định mức |
Ghi chú |
|
07.24.01 |
Sơn xám |
kg |
Sơn tổng hợp |
0,2 |
|
|
07.24.02 |
Sơn trắng |
kg |
Sơn tổng hợp |
0,2 |
|
|
07.24.03 |
Sơn phòng rỉ |
kg |
Sơn tổng hợp |
0,2 |
|
|
07.24.04 |
Xi măng |
kg |
PC30 |
1 |
|
|
07.24.05 |
Bảng dấu dây |
cái |
2x6 cọc |
0,2 |
|
|
07.24.06 |
Giẻ duy tu |
kg |
|
0,5 |
|
|
07.24.07 |
Chổi quét máy |
cái |
|
1 |
|
|
07.24.08 |
Xi cách điện |
kg |
|
0,5 |
|
|
07.24.09 |
Dầu hỏa |
lít |
|
0,4 |
|
|
07.24.10 |
Ống luồn cáp |
cái |
|
0,2 |
|
|
07.24.11 |
Vật liệu phụ |
% |
VLC |
5 |
|
|
TT |
Danh mục vật tư |
Đơn vị |
Quy cách vật tư |
Định mức |
Ghi chú |
|
07.25.01 |
Giẻ duy tu |
kg |
|
1 |
|
|
07.25.02 |
Chổi quét máy |
cái |
|
2 |
|
|
07.25.03 |
Ống luồn cáp |
m |
|
1 |
|
|
07.25.04 |
Cảm biến |
cái |
|
0,1 |
|
|
07.25.05 |
Bộ gá lắp |
bộ |
|
0,1 |
|
|
07.25.06 |
Bu lông M10 |
cái |
|
1 |
|
|
07.25.07 |
Vật liệu phụ |
% |
VLC |
5 |
|
|
TT |
Danh mục vật tư |
Đơn vị |
Quy cách vật tư |
Định mức |
Ghi chú |
|
07.26.01 |
Cọc mốc cảm biến |
cái |
|
0,3 |
|
|
07.26.02 |
Khối bảo vệ thiết bị |
Bộ |
|
5 |
|
|
07.26.03 |
Cảm biến |
Cái |
|
0,3 |
|
|
07.26.04 |
Vật liệu phụ |
% |
VLC |
5 |
|
|
TT |
Danh mục vật tư |
Đơn vị |
Quy cách vật tư |
Định mức |
Ghi chú |
|
07.27.01 |
Thiếc hàn |
kg |
TH40 |
0,2 |
|
|
07.27.02 |
Nhựa thông |
kg |
|
0,1 |
|
|
07.27.03 |
Vải phin trắng |
m |
Khổ 80 |
2 |
|
|
07.27.04 |
Chổi quét máy |
cái |
|
2 |
|
|
07.27.05 |
Thuốc đánh đồng |
kg |
|
0,2 |
|
|
07.27.06 |
Cồn công nghiệp |
lít |
90° |
0,5 |
|
|
07.27.07 |
Ống ghen |
m |
Ø 6mm |
5 |
|
|
07.27.08 |
Xi cách điện |
kg |
|
0,2 |
|
|
07.27.09 |
Giấy nhám |
tờ |
Số không |
3 |
|
|
07.27.10 |
Nắp đậy rơle |
cái |
|
5 |
|
|
07.27.11 |
Bộ điều khiển máy quay ghi |
bộ |
|
0,1 |
|
|
07.27.12 |
Dây êmay |
kg |
|
0,5 |
|
|
07.27.13 |
Giấy cách điện |
m2 |
0,5 mm |
0,5 |
|
|
07.27.14 |
Sơn cách điện |
kg |
|
0,5 |
|
|
07.27.15 |
Rơ le |
cái |
|
5 |
|
|
07.27.16 |
Chốt phân loại rơ le |
cái |
|
20 |
|
|
07.27.17 |
Vật liệu khác |
% |
VLC |
5 |
|
|
TT |
Danh mục vật tư |
Đơn vị |
Quy cách vật tư |
Định mức |
Ghi chú |
|
07.28.01 |
Giẻ duy tu |
kg |
|
0,1 |
|
|
07.28.02 |
Chổi quét máy |
cái |
|
2 |
|
|
07.28.03 |
Môdun chức năng |
môđun |
|
0,1 |
|
|
07.28.04 |
Vật liệu phụ |
% |
VLC |
5 |
|
|
TT |
Danh mục vật tư |
Đơn vị |
Quy cách vật tư |
Định mức |
Ghi chú |
|
07.29.01 |
Sơn xám |
kg |
Sơn tổng hợp |
1 |
|
|
07.29.02 |
Sơn trắng |
kg |
Sơn tổng hợp |
1 |
|
|
07.29.03 |
Sơn phòng rỉ |
kg |
Sơn tổng hợp |
1 |
|
|
07.29.04 |
Thiếc hàn |
kg |
TH40 |
0,5 |
|
|
07.29.05 |
Nhựa thông |
kg |
|
0,1 |
|
|
07.29.06 |
Dây phối tuyến |
m |
D=0,6mm2 |
50 |
|
|
07.29.07 |
Giẻ duy tu |
kg |
|
1 |
|
|
07.29.08 |
Vải phin trắng |
M |
Khổ 80 |
2,5 |
|
|
07.29.09 |
Chổi quét máy |
cái |
|
1 |
|
|
07.29.10 |
Thuốc đánh đồng |
kg |
|
0,1 |
|
|
07.29.11 |
Xăng |
lít |
A92 |
1 |
|
|
07.29.12 |
Cồn công nghiệp |
lít |
90° |
0,5 |
|
|
07.29.13 |
Ống ghen |
m |
|
15 |
|
|
07.29.14 |
Dây chì |
kg |
1A |
0,2 |
|
|
07.29.15 |
Cụm lá mía |
cái |
|
2 |
|
|
07.29.16 |
Núm nút ấn |
cái |
|
1 |
|
|
07.29.17 |
Bảng đấu dây |
cái |
18 cọc |
2 |
|
|
07.29.18 |
Cọc đấu dây |
cái |
|
100 |
|
|
07.29.19 |
Bóng đèn |
cái |
220v-75W |
2 |
|
|
07.29.20 |
Bóng đèn |
cái |
24v/105mA |
20 |
|
|
07.29.21 |
Dầu nhớt |
kg |
|
0,1 |
|
|
07.29.22 |
Biển đánh dấu đấu dây |
Cái |
|
100 |
|
|
07.29.23 |
Đồng hồ thời gian |
cái |
|
0,2 |
|
|
07.29.24 |
Đồng hồ V.A |
cái |
Các loại |
0,2 |
|
|
07.29.25 |
Chiết áp |
cái |
Các loại |
0,2 |
|
|
07.29.26 |
Chì niêm phong |
kg |
|
0,6 |
|
|
07.29.27 |
Chụp đèn báo |
cái |
|
15 |
|
|
07.29.28 |
Vật liệu phụ |
% |
VLC |
5 |
|
|
TT |
Danh mục vật tư |
Đơn vị |
Quy cách vật tư |
Định mức |
Ghi chú |
|
08.01.01 |
Bàn chải sắt |
cái |
|
1,2 |
|
|
08.01.02 |
Dầu tra máy |
lít |
|
0,6 |
|
|
08.01.03 |
Chổi sơn |
cái |
|
1 |
|
|
08.01.04 |
Sơn chống rỉ |
kg |
|
0,5 |
|
|
08.01.05 |
Sơn trắng |
kg |
|
1 |
|
|
08.01.06 |
Sơn xám |
kg |
|
0,5 |
|
|
08.01.07 |
Bút lông |
cái |
|
0,2 |
|
|
08.01.08 |
Bộ chữ, số viết cột |
bô |
|
0,2 |
|
|
08.01.09 |
Cáp tín hiệu chôn |
m |
30x1 |
25 |
|
|
08.01.10 |
Cọc mốc cáp |
cái |
6x60 |
2 |
|
|
08.01.11 |
Ống sắt luồn cáp đi trên |
m |
Các loại |
5 |
|
|
08.01.12 |
Ống sắt luồn cáp khác |
m |
Các loại |
5 |
|
|
08.01.13 |
Vật liệu phụ |
% |
VLC |
10 |
|
|
TT |
Danh mục vật tư |
Đơn vị |
Quy cách vật tư |
Định mức |
Ghi chú |
|
08.02.01 |
Bàn chải sắt |
cái |
|
1,2 |
|
|
08.02.02 |
Dầu tra máy |
lít |
|
0,6 |
|
|
08.02.03 |
Chổi sơn |
cái |
|
1 |
|
|
08.02.04 |
Sơn chống rỉ |
kg |
|
0,5 |
|
|
08.02.05 |
Móc treo cáp |
cái |
6x100 |
8 |
|
|
08.02.06 |
Dây sắt mạ kẽm |
kg |
4mm |
1,5 |
|
|
08.02.07 |
Cáp tín hiệu |
m |
30x1 |
25 |
|
|
08.02.08 |
Bảng báo độ cao cáp |
cái |
Các loại |
1 |
|
|
08.02.09 |
Vật liệu phụ |
% |
VLC |
10 |
|
|
TT |
Danh mục vật tư |
Đơn vị |
Quy cách vật tư |
Định mức |
Ghi chú |
|
08.03.01 |
Giẻ duy tu |
kg |
|
1.2 |
|
|
08.03.02 |
Chổi quét máy |
cái |
|
1.2 |
|
|
08.03.03 |
Dầu tra máy |
lít |
|
0,4 |
|
|
08.03.04 |
Chổi sơn |
cái |
|
1 |
|
|
08.03.05 |
Sơn xám |
kg |
Sơn tổng hợp |
0,1 |
|
|
08.03.06 |
Sơn trắng |
kg |
Sơn tổng hợp |
0,1 |
|
|
08.03.07 |
Xi cách điện |
kg |
|
0,2 |
|
|
08.03.08 |
Ống ghen |
m |
d=4mm |
5 |
|
|
08.03.09 |
Bảng đấu dây |
cái |
2x6 cọc |
0,1 |
|
|
08.03.10 |
Biển đánh dấu đấu dây |
cái |
|
30 |
|
|
08.03.11 |
Ống luồn cáp |
cái |
|
0,2 |
|
|
08.03.12 |
Dầu hỏa |
lít |
|
0,4 |
|
|
08.03.13 |
Vật liệu phụ |
% |
VLC |
5 |
|
|
TT |
Danh mục vật tư |
Đơn vị |
Quy cách vật tư |
Định mức |
Ghi chú |
|
09.01.01 |
Sơn xám |
kg |
Sơn tổng hợp |
0,05 |
|
|
09.01.02 |
Mỡ vadơlin |
kg |
|
0,02 |
|
|
09.01.03 |
Mỡ bò |
kg |
|
0,05 |
|
|
09.01.04 |
Giẻ duy tu |
kg |
|
0,2 |
|
|
09.01.05 |
Chổi sơn |
cái |
|
0,1 |
|
|
09.01.06 |
Ắc quy |
bình |
|
0,035 |
|
|
09.01.07 |
Nước cất |
lít |
|
7,2 |
|
|
09.01.08 |
NaOH |
kg |
|
2,4 |
|
|
09.01.09 |
LiOH |
kg |
|
0,024 |
|
|
09.01.10 |
Vật liệu phụ |
% |
VLC |
5 |
|
|
TT |
Danh mục vật tư |
Đơn vị |
Quy cách vật tư |
Định mức |
Ghi chú |
|
09.02.01 |
Giẻ duy tu |
kg |
|
0,2 |
|
|
09.02.02 |
Ắc quy |
bình |
|
0,2 |
|
|
09.02.03 |
Nước cất |
lít |
|
7,2 |
|
|
09.02.04 |
H2SO4 |
lít |
|
0,6 |
|
|
09.02.05 |
Vật liệu phụ |
% |
VLC |
5 |
|
|
TT |
Danh mục vật tư |
Đơn vị |
Quy cách vật tư |
Định mức |
Ghi chú |
|
09.03.01 |
Sơn xám |
kg |
|
0,3 |
|
|
09.03.02 |
Sơn cách điện |
lít |
|
0,3 |
|
|
09.03.03 |
Dây emay |
kg |
|
0,5 |
|
|
09.03.04 |
Dây 1 ruột |
m |
1 x 1,5-6mm2 |
50 |
|
|
09.03.05 |
Giẻ duy tu |
kg |
|
1 |
|
|
09.03.06 |
Vải phin trắng |
m |
Khổ 80 |
2 |
|
|
09.03.07 |
Chổi quét máy |
cái |
|
2 |
|
|
09.03.08 |
Thuốc đánh đồng |
kg |
|
0,1 |
|
|
09.03.09 |
Cồn công nghiệp |
lít |
90° |
0,2 |
|
|
09.03.10 |
Axeton |
lít |
|
0,2 |
|
|
09.03.11 |
Dây chì |
kg |
15A |
0,5 |
|
|
09.03.12 |
Bóng đèn báo |
cái |
220v |
4 |
|
|
09.03.13 |
Cầu chì sứ |
cái |
24v/105mA |
1 |
|
|
09.03.14 |
Át tô mát |
cái |
|
0,2 |
|
|
09.03.15 |
Nút ấn |
cái |
|
1 |
|
|
09.03.16 |
Đồng hồ các loại |
cái |
|
0,5 |
|
|
09.03.17 |
Công tắc, ổ cắm |
cái |
|
1 |
|
|
09.03.18 |
Khởi động từ |
cái |
|
0.5 |
|
|
09.03.19 |
Cầu dao điện |
bộ |
|
0,2 |
|
|
09.03.20 |
Tụ điện |
cái |
|
2 |
|
|
09.03.21 |
Van chống sét |
cái |
|
0,2 |
|
|
09.03.22 |
Cọc tiếp đất |
cái |
Sắt bọc đồng |
0,2 |
|
|
09.03.23 |
Bảng điện |
cái |
|
0,5 |
|
|
09.03.24 |
Bình cao su thổi bụi |
cái |
|
0,5 |
|
|
09.03.25 |
Vật liệu phụ |
% |
VLC |
5 |
|
|
TT |
Danh mục vật tư |
Đơn vị |
Quy cách vật tư |
Định mức |
Ghi chú |
|
09.04.01 |
Sơn xám |
kg |
Sơn tổng hợp |
0,5 |
|
|
09.04.02 |
Sơn cách điện |
lít |
|
0,5 |
|
|
09.04.03 |
Dây emay |
kg |
|
1,5 |
|
|
09.04.04 |
Dây 1 ruột |
m |
1 x 1,5-4mm2 |
50 |
|
|
09.04.05 |
Giẻ duy tu |
kg |
|
1 |
|
|
09.04.06 |
Vải phin trắng |
m |
Khổ 80 |
2 |
|
|
09.04.07 |
Chổi quét máy |
cái |
|
2 |
|
|
09.04.08 |
Thuốc đánh đồng |
kg |
|
0,1 |
|
|
09.04.09 |
Axeton |
lít |
|
0,2 |
|
|
09.04.10 |
Cồn công nghiệp |
lít |
90° |
0,2 |
|
|
09.04.11 |
Dây chì |
kg |
15A |
0,5 |
|
|
09.04.12 |
Bóng đèn báo |
cái |
220v |
4 |
|
|
09.04.13 |
Cầu chì sứ |
cái |
24v/105mA |
1 |
|
|
09.04.14 |
Atômát |
cái |
|
0,2 |
|
|
09.04.15 |
Điện trở điều chỉnh |
cái |
|
0,3 |
|
|
09.04.16 |
Nút ấn |
cái |
|
0,5 |
|
|
09.04.17 |
Đồng hồ các loại |
cái |
|
0,3 |
|
|
09.04.18 |
Công tắc, ổ cắm |
cái |
|
1 |
|
|
09.04.19 |
Bảng điện |
cái |
|
0,5 |
|
|
09.04.20 |
Bộ chuyển đổi nguồn DC/AC |
bộ |
|
0,15 |
|
|
09.04.21 |
Bộ nạp ắc quy tự động |
bộ |
|
0,15 |
|
|
09.04.22 |
Chỉnh lưu các loại |
cái |
|
2 |
|
|
09.04.23 |
Tụ điện |
cái |
|
2 |
|
|
09.04.24 |
Khởi động từ |
cái |
220V |
0,5 |
|
|
09.04.25 |
Bộ cắt sét đường nguồn |
cái |
|
0,2 |
|
|
09.04.26 |
Cọc tiếp đất |
cái |
Sắt bọc đồng |
0,2 |
|
|
09.04.27 |
Bình cao su thổi bụi |
cái |
|
0,5 |
|
|
09.04.28 |
Vật liệu phụ |
% |
VLC |
5 |
|
|
TT |
Danh mục vật tư |
Đơn vị |
Quy cách vật tư |
Định mức |
Ghi chú |
|
09.05.01 |
Sơn xám |
kg |
Sơn tổng hợp |
0,5 |
|
|
09.05.02 |
Sơn cách điện |
lít |
|
0,5 |
|
|
09.05.03 |
Dây emay |
kg |
|
1 |
|
|
09.05.04 |
Dây 1 ruột |
m |
1 x 1,5-6mm2 |
60 |
|
|
09.05.05 |
Giẻ duy tu |
kg |
|
1 |
|
|
09.05.06 |
Vải phin trắng |
m |
Khổ 80 |
2 |
|
|
09.05.07 |
Chổi quét máy |
cái |
|
2 |
|
|
09.05.08 |
Thuốc đánh đồng |
kg |
|
0,1 |
|
|
09.05.09 |
Axeton |
lít |
|
0,2 |
|
|
09.05.10 |
Cồn công nghiệp |
lít |
90o |
0,2 |
|
|
09.05.11 |
Dây chì |
kg |
15A |
0,6 |
|
|
09.05.12 |
Bóng đèn báo |
cái |
220v |
4 |
|
|
09.05.13 |
Cầu chì sứ |
cái |
24v/105mA |
1 |
|
|
09.05.14 |
Atômát |
cái |
|
0,3 |
|
|
09.05.15 |
Điện trở điều chỉnh |
cái |
|
0,3 |
|
|
09.05.16 |
Nút ấn |
cái |
|
0,5 |
|
|
09.05.17 |
Đồng hồ các loại |
cái |
|
0,3 |
|
|
09.05.18 |
Công tắc, ổ cắm |
cái |
|
1 |
|
|
09.05.19 |
Bảng điện |
cái |
|
0,5 |
|
|
09.05.20 |
Bộ chuyển đổi nguồn DC/AC |
cái |
|
0,15 |
|
|
09.05.21 |
Chỉnh lưu các loại |
cái |
|
2 |
|
|
09.05.22 |
Tụ điện |
cái |
|
2 |
|
|
09.05.23 |
Khởi động từ |
cái |
220V |
0,5 |
|
|
09.05.24 |
Bộ cắt sét đường nguồn |
cái |
|
0,2 |
|
|
09.05.25 |
Cọc tiếp đất |
cái |
Sắt bọc đồng |
0,2 |
|
|
09.05.26 |
Bình cao su thổi bụi |
cái |
|
0,5 |
|
|
09.05.27 |
Vật liệu phụ |
% |
VLC |
5 |
|
|
TT |
Danh mục vật tư |
Đơn vị |
Quy cách vật tư |
Định mức |
Ghi chú |
|
09.06.01 |
Sơn xám |
kg |
Sơn tổng hợp |
1 |
|
|
09.06.02 |
Sơn cách điện |
lít |
|
0,5 |
|
|
09.06.03 |
Dây emay |
kg |
|
2 |
|
|
09.06.04 |
Dây 1 ruột |
m |
1 x 1,5-6mm2 |
70 |
|
|
09.06.05 |
Giẻ duy tu |
kg |
|
1,5 |
|
|
09.06.06 |
Vải phin trắng |
m |
Khổ 80 |
3 |
|
|
09.06.07 |
Chổi quét máy |
cái |
|
2 |
|
|
09.06.08 |
Thuốc đánh đồng |
kg |
|
0,1 |
|
|
09.06.09 |
Axeton |
lít |
|
0,3 |
|
|
09.06.10 |
Cồn công nghiệp |
lít |
90° |
0,2 |
|
|
09.06.11 |
Dây chì |
kg |
15A |
0,7 |
|
|
09.06.12 |
Bóng đèn báo |
cái |
220V |
4 |
|
|
09.06.13 |
Cầu chì sứ |
cái |
24v/105mA |
1 |
|
|
09.06.14 |
Atômát |
cái |
|
0,2 |
|
|
09.06.15 |
Điện trở điều chỉnh |
cái |
|
0,5 |
|
|
09.06.16 |
Nút ấn |
cái |
|
1 |
|
|
09.06.17 |
Đồng hồ các loại |
cái |
|
0,3 |
|
|
09.06.18 |
Công tắc, ổ cắm |
cái |
|
1 |
|
|
09.06.19 |
Bảng điện |
cái |
|
0,5 |
|
|
09.06.20 |
Bộ UPS Online |
cái |
|
0,15 |
|
|
09.06.21 |
Chỉnh lưu các loại |
cái |
|
4 |
|
|
09.06.22 |
Tụ điện |
cái |
|
2 |
|
|
09.06.23 |
IC các loại |
cái |
|
2 |
|
|
09.06.24 |
Khởi động từ |
cái |
220V |
0,5 |
|
|
09.06.25 |
Bộ cắt sét đường nguồn |
cái |
|
0,2 |
|
|
09.06.26 |
Cọc tiếp đất |
cái |
Sắt bọc đồng |
0,2 |
|
|
09.06.27 |
Bình cao su thổi bụi |
cái |
|
0,5 |
|
|
09.06.28 |
Vật liệu phụ |
% |
VLC |
5 |
|
|
TT |
Danh mục vật tư |
Đơn vị |
Quy cách vật tư |
Định mức |
Ghi chú |
|
09.07.01 |
Sơn xám |
kg |
Sơn tổng hợp |
0,4 |
|
|
09.07.02 |
Sơn cách điện |
lít |
|
0,2 |
|
|
09.07.03 |
Dây emay |
kg |
|
0.5 |
|
|
09.07.04 |
Dây 1 ruột |
m |
1 x 0,5-2,5mm2 |
20 |
|
|
09.07.05 |
Giẻ duy tu |
kg |
|
0,5 |
|
|
09.07.06 |
Vải phin trắng |
m |
Khổ 80 |
1 |
|
|
09.07.07 |
Chổi quét máy |
cái |
|
1 |
|
|
09.07.08 |
Cồn công nghiệp |
lít |
900 |
0,2 |
|
|
09.07.09 |
Axeton |
lít |
|
0,2 |
|
|
09.07.10 |
Dây chì |
kg |
15A |
0,3 |
|
|
09.07.11 |
Bóng đèn báo |
cái |
220V |
1 |
|
|
09.07.12 |
IC dao động công suất |
cái |
|
1 |
|
|
09.07.13 |
IC ổn áp các loại |
cái |
|
1 |
|
|
09.07.14 |
Điện trở các loại |
cái |
|
4 |
|
|
09.07.15 |
Tụ điện các loại |
cái |
|
4 |
|
|
09.07.16 |
Quạt làm mát |
cái |
|
0,3 |
|
|
09.07.17 |
Atômát |
cái |
|
0,2 |
|
|
09.07.18 |
Đồng hồ các loại |
cái |
|
0,5 |
|
|
09.07.19 |
Công tắc, ổ cắm |
cái |
|
1 |
|
|
09.07.20 |
Bình cao su thổi bụi |
cái |
|
0,5 |
|
|
09.07.21 |
Vật liệu phụ |
% |
VLC |
5 |
|
|
TT |
Danh mục vật tư |
Đơn vị |
Quy cách vật tư |
Định mức |
Ghi chú |
|
09.08.01 |
Sơn xám |
kg |
Sơn tổng hợp |
0,3 |
|
|
09.08.02 |
Sơn cách điện |
lít |
|
0,2 |
|
|
09.08.03 |
Dây emay |
kg |
|
0.5 |
|
|
09.08.04 |
Dây 1 ruột |
m |
1 x 0,5-6mm2 |
20 |
|
|
09.08.05 |
Giẻ duy tu |
kg |
|
0,5 |
|
|
09.08.06 |
Vải phin trắng |
m |
Khổ 80 |
1 |
|
|
09.08.07 |
Chổi quét máy |
cái |
|
2 |
|
|
09.08.08 |
Cồn công nghiệp |
lít |
90° |
0,2 |
|
|
09.08.09 |
Axeton |
lit |
|
0,2 |
|
|
09.08.10 |
Dây chì |
kg |
15A |
0,3 |
|
|
09.08.11 |
Bóng đèn báo |
cái |
220v |
1 |
|
|
09.08.12 |
Chổi than tiếp điện |
cái |
|
0,5 |
|
|
09.08.13 |
Mô tơ quay chổi than |
cái |
|
0,2 |
|
|
09.08.14 |
IC điều khiển mô tơ |
cái |
|
0,2 |
|
|
09.08.15 |
At tô mát |
cái |
|
0,2 |
|
|
09.08.16 |
Đồng hồ các loại |
cái |
|
0,5 |
|
|
09.08.17 |
Công tắc, ổ cắm |
cái |
|
1 |
|
|
09.08.18 |
Bình cao su thổi bụi |
cái |
|
0,5 |
|
|
09.08.19 |
Vật liệu phụ |
% |
VLC |
5 |
|
|
TT |
Danh mục vật tư |
Đơn vị |
Quy cách vật tư |
Định mức |
Ghi chú |
|
09.09.01 |
Sơn xám |
kg |
Sơn tổng hợp |
0,3 |
|
|
09.09.02 |
Sơn cách điện |
lít |
|
0,2 |
|
|
09.09.03 |
Dây emay |
kg |
|
0,5 |
|
|
09.09.04 |
Dây 1 ruột |
m |
1 x 0,5-2,5mm2 |
20 |
|
|
09.09.05 |
Giẻ duy tu |
kg |
|
0,5 |
|
|
09.09.06 |
Vải phin trắng |
m |
Khổ 80 |
1 |
|
|
09.09.07 |
Chổi quét máy |
cái |
|
1 |
|
|
09.09.08 |
Cồn công nghiệp |
lít |
90° |
0,2 |
|
|
09.09.09 |
Axeton |
lit |
|
0,2 |
|
|
09.09.10 |
Dây chì |
kg |
15A |
0,3 |
|
|
09.09.11 |
Bóng đèn báo |
cái |
220v |
1 |
|
|
09.09.12 |
Chỉnh lưu |
cái |
|
2 |
|
|
09.09.13 |
IC ổn áp các loại |
cái |
|
1 |
|
|
09.09.14 |
Điện trở các loại |
cái |
|
4 |
|
|
09.09.15 |
Tụ điện các loại |
cái |
|
4 |
|
|
09.09.16 |
Quạt làm mát |
cái |
|
0,5 |
|
|
09.09.17 |
Atômát |
cái |
|
0,2 |
|
|
09.09.18 |
Đồng hồ các loại |
cái |
|
0,5 |
|
|
09.09.19 |
Công tắc, ổ cắm |
cái |
|
1 |
|
|
09.09.20 |
Bình cao su thổi bụi |
cái |
|
0,5 |
|
|
09.09.21 |
Vật liệu phụ |
% |
VLC |
5 |
|
|
TT |
Danh mục vật tư |
Đơn vị |
Quy cách vật tư |
Định mức |
Ghi chú |
|
09.10.01 |
Sơn xám |
kg |
Sơn tổng hợp |
0,5 |
|
|
09.10.02 |
Sơn cách điện |
lít |
|
0,5 |
|
|
09.10.03 |
Dây emay |
kg |
|
1,5 |
|
|
09.10.04 |
Dây 1 ruột |
m |
1 x 1,5-6mm2 |
50 |
|
|
09.10.05 |
Giẻ duy tu |
kg |
|
1 |
|
|
09.10.06 |
Vải phin trắng |
m |
Khổ 80 |
2 |
|
|
09.10.07 |
Chổi quét máy |
cái |
|
2 |
|
|
09.10.08 |
Thuốc đánh đồng |
kg |
|
0,1 |
|
|
09.10.09 |
Cồn công nghiệp |
lít |
900 |
0,2 |
|
|
09.10.10 |
Axeton |
lít |
|
0,2 |
|
|
09.10.11 |
Dây chì |
kg |
5-15A |
0,4 |
|
|
09.10.12 |
Bóng đèn |
cái |
220v/75W |
4 |
|
|
09.10.13 |
Cầu chì sứ |
cái |
24v/105mA |
1 |
|
|
09.10.14 |
Chỉnh lưu |
cái |
|
1 |
|
|
09.10.15 |
Tụ điện các loại |
cái |
|
4 |
|
|
09.10.16 |
Điện trở điều chỉnh |
cái |
|
0,5 |
|
|
09.10.17 |
Cầu dao 1 pha |
cái |
|
1 |
|
|
09.10.18 |
Cầu dao 3 pha |
cái |
|
0,5 |
|
|
09.10.19 |
Công tơ 1 pha |
cái |
|
0,2 |
|
|
09.10.20 |
Công tơ 3 pha |
cái |
|
0,1 |
|
|
09.10.21 |
Bảng điện |
cái |
|
0,5 |
|
|
09.10.22 |
Công tắc, ổ cắm |
cái |
|
2 |
|
|
09.10.23 |
Van chống sét |
cái |
|
0,2 |
|
|
09.10.24 |
Cọc tiếp đất |
cái |
Sắt bọc đồng |
0,2 |
|
|
09.10.25 |
Vật liệu phụ |
% |
VLC |
5 |
|
|
TT |
Danh mục vật tư |
Đơn vị |
Quy cách vật tư |
Định mức |
Ghi chú |
|
09.11.01 |
Xăng |
kg |
A92 |
65 |
|
|
09.11.02 |
Dầu nhớt |
kg |
SAE 20/40 |
4 |
|
|
09.11.03 |
Mỡ bò |
kg |
|
1 |
|
|
09.11.04 |
Giẻ duy tu |
kg |
|
2 |
|
|
09.11.05 |
Vải phin trắng |
m |
Khổ 80 |
2 |
|
|
09.11.06 |
Chổi quét máy |
cái |
|
2 |
|
|
09.11.07 |
Dây chì |
kg |
Các loại |
0,3 |
|
|
09.11.08 |
Bóng đèn |
cái |
220v/75W |
2 |
|
|
09.11.09 |
Đồng hồ điện các |
cái |
|
1 |
|
|
09.11.10 |
Công tắc, ổ cắm |
cái |
|
1 |
|
|
09.11.11 |
Cọc tiếp đất |
cái |
Sắt bọc đồng |
0,2 |
|
|
09.11.12 |
Vật liệu phụ |
% |
VLC |
5 |
|
|
TT |
Danh mục vật tư |
Đơn vị |
Quy cách vật tư |
Định mức |
Ghi chú |
|
09.12.01 |
Dầu diesel |
kg |
|
270 |
|
|
09.12.02 |
Dầu nhớt |
kg |
SAE 20/40 |
40 |
|
|
09.12.03 |
Mỡ bò |
kg |
|
2 |
|
|
09.12.04 |
Giẻ duy tu |
kg |
|
4 |
|
|
09.12.05 |
Vải phin trắng |
m |
Khổ 80 |
2 |
|
|
09.12.06 |
Chổi quét máy |
cái |
|
2 |
|
|
09.12.07 |
Dây chì |
kg |
Các loại |
0,4 |
|
|
09.12.08 |
Bóng đèn |
cái |
220v/75W |
4 |
|
|
09.12.09 |
Đồng hồ điện các loại |
cái |
|
1 |
|
|
09.12.10 |
Công tắc, ổ cắm |
cái |
|
2 |
|
|
09.12.11 |
Ăcquy |
bình |
Axít kín khí |
0,5 |
|
|
09.12.12 |
Cọc tiếp đất |
cái |
Sắt bọc đồng |
0,2 |
|
|
09.12.13 |
Vật liệu phụ |
% |
VLC |
5 |
|
|
TT |
Danh mục vật tư |
Đơn vị |
Quy cách vật tư |
Định mức |
Ghi chú |
|
09.13.01 |
Dầu cách điện |
kg |
|
30 |
|
|
09.13.02 |
Cáp điện |
m |
3x50+1x22 |
10 |
|
|
09.13.03 |
Giẻ duy tu |
kg |
|
4 |
|
|
09.13.04 |
Vải phin trắng |
m |
Khổ 80 |
2 |
|
|
09.13.05 |
Chổi quét máy |
cái |
|
2 |
|
|
09.13.06 |
Dây chì |
kg |
Các loại |
0,4 |
|
|
09.13.07 |
Bóng đèn |
cái |
220v/75W |
4 |
|
|
09.13.08 |
Đồng hồ điện các loại |
cái |
|
1 |
|
|
09.13.09 |
Công tắc, ổ cắm |
cái |
|
2 |
|
|
09.13.10 |
Cầu dao 1 pha |
cái |
|
1 |
|
|
09.13.11 |
Cầu dao 3 pha |
cái |
|
0,5 |
|
|
09.13.12 |
Công tơ 1 pha |
cái |
|
0,2 |
|
|
09.13.13 |
Công tơ 3 pha |
cái |
|
0,1 |
|
|
09.13.14 |
Át tô mát |
cái |
300A-3pha |
0,2 |
|
|
09.13.15 |
Đầu cốt đồng |
cái |
50mm2 |
2 |
|
|
09.13.16 |
Thiếc hàn |
kg |
|
0,2 |
|
|
09.13.17 |
Nhựa thông |
kg |
|
0,1 |
|
|
09.13.18 |
Bảng điện |
cái |
|
0,5 |
|
|
09.13.19 |
Cọc tiếp đất |
cái |
Sắt bọc đồng |
0,5 |
|
|
09.13.20 |
Vật liệu phụ |
% |
VLC |
5 |
|
|
TT |
Danh mục vật tư |
Đơn vị |
Quy cách vật tư |
Định mức |
Ghi chú |
|
09.14.01 |
Sứ cách điện |
cái |
|
4 |
|
|
09.14.02 |
Cuống sứ |
cái |
|
2 |
|
|
09.14.03 |
Bu lông kèm ê cu |
cái |
Các loại |
4 |
|
|
09.14.04 |
Culiê hãm xà |
bộ |
|
2 |
|
|
09.14.05 |
Dây cáp nhôm |
kg |
AC16 |
5 |
|
|
09.14.06 |
Kẹp Cu-AI các loại |
cái |
|
2 |
|
|
09.14.07 |
Xà sắt |
cái |
900 |
1 |
|
|
09.14.08 |
Sơn các loại |
kg |
Sơn tổng hợp |
2 |
|
|
09.14.09 |
Dây sắt |
kg |
D=6mm |
2,2 |
|
|
09.14.10 |
Cọc tiếp đất |
cái |
Sắt bọc đồng |
2 |
|
|
09.14.11 |
Vật liệu phụ |
% |
VLC |
5 |
|
|
TT |
Danh mục vật tư |
Đơn vị |
Quy cách vật tư |
Định mức |
Ghi chú |
|
09.15.01 |
Cáp điện chôn |
m |
2x5mm2 |
25 |
|
|
09.15.02 |
Cọc mốc cáp |
cái |
6x60 |
2 |
|
|
09.15.03 |
Ống luồn cáp |
m |
Các loại |
5 |
|
|
09.15.04 |
Đầu cốt đồng |
cái |
50mm2 |
2 |
|
|
09.15.05 |
Thiếc hàn |
kg |
|
0,2 |
|
|
09.15.06 |
Nhựa thông |
kg |
|
0,1 |
|
|
09.15.07 |
Vật liệu phụ |
% |
VLC |
10 |
|
|
TT |
Danh mục vật tư |
Đơn vị |
Quy cách vật tư |
Định mức |
Ghi chú |
|
09.16.01 |
Móc treo cáp |
cái |
6x100 |
8 |
|
|
09.16.02 |
Dây sắt mạ kẽm |
kg |
4mm |
1,5 |
|
|
09.16.03 |
Cáp điện treo |
m |
2x50mm2 |
25 |
|
|
09.16.04 |
Bảng báo độ cao cáp |
cái |
Các loại |
1 |
|
|
09.16.05 |
Cọc tiếp đất |
cái |
|
0,5 |
|
|
09.16.06 |
Đầu cốt đồng |
cái |
50mm2 |
2 |
|
|
09.16.07 |
Thiếc hàn |
kg |
|
0,2 |
|
|
09.16.08 |
Nhựa thông |
kg |
|
0,1 |
|
|
09.16.09 |
Vật liệu phụ |
% |
VLC |
10 |
|
|
TT |
Danh mục hệ thống thiết bị thông tin sử dụng điện |
Đơn vị |
Định mức |
Ghi chú |
|
09.17.01.01 |
Tổng đài điện tử cỡ vừa |
kw |
10.200 |
|
|
09.17.01.02 |
Tổng đài âm tần dưỡng lộ các ga |
kw |
876 |
|
|
09.17.01.03 |
Tổng đài đường dài |
kw |
10.500 |
|
|
09.17.01.04 |
Tổng đài điện tử cỡ lớn |
kw |
12.200 |
|
|
09.17.01.05 |
Tổng đài điều độ chọn số âm tần |
kw |
876 |
|
|
09.17.01.06 |
Tổng đài tập trung CZH, JHT |
kw |
876 |
|
|
09.17.01.07 |
Máy tải ba, tăng âm loại 1 kênh |
kw |
876 |
|
|
09.17.01.08 |
Máy tải ba, tăng âm loại 3 kênh |
kw |
1.314 |
|
|
09.17.01.09 |
Máy tải ba, tăng âm loại 12 kênh |
kw |
1.752 |
|
|
09.17.01.10 |
Máy vi ba số |
kw |
2.628 |
|
|
09.17.01.11 |
Điện thoại hội nghị truyền hình |
kw |
600 |
|
|
09.17.01.12 |
Thiết bị nhân kênh |
kw |
876 |
|
|
09.17.01.13 |
Máy vô tuyến điện |
kw |
110 |
|
|
09.17.01.14 |
Phân cơ điện thoại hội nghị |
kw |
12 |
|
|
09.17.01.15 |
Máy điện báo fax |
kw |
876 |
|
|
09.17.01.16 |
Hệ phóng thanh các ga |
kw |
876 |
|
|
09.17.01.17 |
Thiết bị truyền dẫn SDH loại STM-4/16: |
|
|
|
|
- Thiết bị 1660SM trạm trung tâm (hoặc tương đương) |
kw |
21.180 |
|
|
|
- Thiết bị 1660SM trạm lặp (hoặc tương đương) |
kw |
1.730 |
|
|
|
09.17.01.18 |
Thiết bị truyền dẫn SDH STM-1/4: |
|
|
|
|
- Thiết bị 1650SMC trạm trung tâm (hoặc tương đương) |
kw |
1.254 |
|
|
|
- Thiết bị 1650SMC trạm vừa (hoặc tương đương) |
kw |
1.155 |
||
|
- Thiết bị 1640FOX trạm nhỏ (hoặc tương đương) |
kw |
480 |
||
|
09.17.01.19 |
Thiết bị tách ghép kênh MUX: |
|
|
|
|
- Thiết bị Megaplex 2100 (hoặc tương đương) |
kw |
1.040 |
||
|
- Thiết bị MUX 1151BA trạm trung tâm (hoặc tương đương) |
kw |
9.163 |
||
|
- Thiết bị MUX 1151BA trạm lặp, trạm vừa và nhỏ (hoặc tương đương) |
kw |
605 |
||
|
09.17.01.20 |
Thiết bị đầu nối chéo số DXC, CXC: |
|
|
|
|
- Thiết bị DXC-8R (hoặc tương đương) |
kw |
405 |
|
|
|
- Thiết bị 1515CXC trạm gốc (hoặc tương đương) |
kw |
990 |
|
|
|
09.17.01.21 |
Tổng đài điều độ kỹ thuật số: Tổng đài DCO (hoặc tương đương) |
kw |
4.730 |
|
|
09.17.01.22 |
Tổng đài điện thoại tập trung trong ga kỹ thuật số: Tổng đài SEI (hoặc tương đương) |
|
|
|
|
09.17.01.23 |
Trực ban khai thác điện thoại điện báo: |
kw |
1.131 |
|
|
09.17.01.24 |
Trực ban giải quyết trở ngại TTTH: |
kw |
810 |
|
|
09.17.01.25 |
Trạm kiểm tu tín hiệu: |
kw |
1.410 |
|
|
09.17.01.26 |
Trạm nguồn điện: |
kw |
810 |
|
|
09.17.01.27 |
Trực ban giải quyết trở ngại trạm thông tin, trạm kiểm tu thông tin: |
kw |
810 |
|
|
Mã hiệu |
Danh mục hệ thống thiết bị tín hiệu sử dụng điện |
Đơn vị |
Định mức |
Ghi chú |
|
09.17.02.01 |
- Máy nạp ắc quy |
kw |
3.800 |
- Tính nạp cho 100 tổ ắc quy tín hiệu 12V- 100AH |
|
- Máy nấu nước cất |
kw |
4.800 |
- Tính cho 100 tổ ắc quy tín hiệu 12V- 100AH |
|
|
- Chiếu sáng phòng nạp ắc quy - Chiếu sáng phòng máy nạp |
kw kw |
120 120 |
|
|
|
09.17.02.02 |
Điều hòa làm mát thiết bị thông tin, trạm thông tin |
kw |
14.500 |
Loại 24.000 BTU |
|
09.17.02.03 |
Tín hiệu cầu chung |
kw |
360 |
|
|
09.17.02.04 |
Tín hiệu đường ngang cảnh báo tự động, đường ngang có người gác |
kw |
1070 |
|
|
09.17.02.05 |
Tín hiệu đường ngang cần chắn tự động |
kw |
1190 |
|
|
09.17.02.06 |
Tủ rơ le thông qua đóng đường tự động |
kw |
1080 |
|
|
09.17.02.07 |
- Ga tín hiệu đèn màu cấp nguồn tập trung 3 đường TM-2001 |
kw |
7.800 |
|
|
- Ga tín hiệu đèn màu cấp nguồn tập trung 3 đường TM-2001 đường lồng |
kw |
9.200 |
|
|
|
- Chiếu sáng phòng đặt thiết bị tín hiệu |
kw |
120 |
|
|
|
09.17.02.08 |
- Ga tín hiệu đèn màu cấp nguồn phân tán 3 đường TM-95 |
kw |
9.200
|
|
|
- Ga tín hiệu đèn màu cấp nguồn phân tán 3 đường TM-95 đường lồng |
kw |
10.600 |
|
|
|
- Chiếu sáng phòng đặt thiết bị tín hiệu |
kw |
120 |
|
|
|
09.17.02.09 |
- Ga tín hiệu đèn màu cấp nguồn tập trung 7 đường TM-2001 |
kw |
12.300 |
|
|
- Ga tín hiệu đèn màu cấp nguồn tập trung 7 đường TM-2001 đường lồng |
kw |
14.750 |
|
|
|
- Chiếu sáng phòng đặt thiết bị tín hiệu |
kw |
120 |
|
|
|
09.17.02.10 |
- Ga tín hiệu đèn màu cấp nguồn phân tán 7 đường TM-95 |
kw |
14.400 |
|
|
- Ga tín hiệu đèn màu cấp nguồn phân tán 7 đường TM-95 đường lồng |
kw |
16.850 |
|
|
|
- Chiếu sáng phòng đặt thiết bị tín hiệu |
kw |
120 |
|
|
|
09.17.02.11 |
- Ga tập trung điện khí 3 đường |
kw |
15.2 |
Loại 18.000 BTU |
|
- Ga tập trung điện khí 3 đường, đường lồng |
kw |
16.7 |
||
|
- Máy điều hòa làm mát |
kw |
10.6 |
||
|
- Chiếu sáng phòng đặt thiết bị tín hiệu |
kw |
120 |
||
|
09.17.02.12 |
- Ga tập trung điện khí 7 đường |
kw |
26.900 |
Loại 24.000 BTU |
|
- Ga tập trung điện khí 7 đường, đường lồng |
kw |
29.600 |
||
|
- Máy điều hòa làm mát |
kw |
14.500 |
||
|
- Chiếu sáng phòng đặt thiết bị tín hiệu |
kw |
120 |
Bạn chưa Đăng nhập thành viên.
Đây là tiện ích dành cho tài khoản thành viên. Vui lòng Đăng nhập để xem chi tiết. Nếu chưa có tài khoản, vui lòng Đăng ký tại đây!
Bạn chưa Đăng nhập thành viên.
Đây là tiện ích dành cho tài khoản thành viên. Vui lòng Đăng nhập để xem chi tiết. Nếu chưa có tài khoản, vui lòng Đăng ký tại đây!