- Tổng quan
- Nội dung
- VB gốc
- Tiếng Anh
- Hiệu lực
- VB liên quan
- Lược đồ
-
Nội dung hợp nhất
Tính năng này chỉ có tại LuatVietnam.vn. Nội dung hợp nhất tổng hợp lại tất cả các quy định còn hiệu lực của văn bản gốc và các văn bản sửa đổi, bổ sung, đính chính... trên một trang. Việc hợp nhất văn bản gốc và những văn bản, Thông tư, Nghị định hướng dẫn khác không làm thay đổi thứ tự điều khoản, nội dung.
Khách hàng chỉ cần xem Nội dung hợp nhất là có thể nắm bắt toàn bộ quy định hiện hành đang áp dụng, cho dù văn bản gốc đã qua nhiều lần chỉnh sửa, bổ sung.
- Tải về
Thông tư 31/2022/TT-BCT sửa đổi Thông tư 57/2014/TT-BCT và Thông tư 57/2020/TT-BCT
| Cơ quan ban hành: | Bộ Công Thương |
Số công báo:
Số công báo là mã số ấn phẩm được đăng chính thức trên ấn phẩm thông tin của Nhà nước. Mã số này do Chính phủ thống nhất quản lý.
|
Đã biết
|
| Số hiệu: | 31/2022/TT-BCT | Ngày đăng công báo: |
Đã biết
|
| Loại văn bản: | Thông tư | Người ký: | Đặng Hoàng An |
|
Ngày ban hành:
Ngày ban hành là ngày, tháng, năm văn bản được thông qua hoặc ký ban hành.
|
08/11/2022 |
Ngày hết hiệu lực:
Ngày hết hiệu lực là ngày, tháng, năm văn bản chính thức không còn hiệu lực (áp dụng).
|
Đã biết
|
|
Áp dụng:
Ngày áp dụng là ngày, tháng, năm văn bản chính thức có hiệu lực (áp dụng).
|
Đã biết
|
Tình trạng hiệu lực:
Cho biết trạng thái hiệu lực của văn bản đang tra cứu: Chưa áp dụng, Còn hiệu lực, Hết hiệu lực, Hết hiệu lực 1 phần; Đã sửa đổi, Đính chính hay Không còn phù hợp,...
|
Đã biết
|
| Lĩnh vực: | Điện lực |
TÓM TẮT THÔNG TƯ 31/2022/TT-BCT
Ngày 08/11/2022, Bộ Công Thương đã ban hành Thông tư 31/2022/TT-BCT về việc sửa đổi, bổ sung một số điều của Thông tư số 57/2014/TT-BCT ngày 19 tháng 12 năm 2014 của Bộ trưởng Bộ Công Thương quy định phương pháp, trình tự xây dựng và ban hành khung giá phát điện và Thông tư số 57/2020/TT-BCT ngày 31 tháng 12 năm 2020 của Bộ trưởng Bộ Công Thương quy định phương pháp xác định giá phát điện, hợp đồng mua bán điện.
Theo đó, sửa đổi, bổ sung trình tự xây dựng và ban hành khung giá phát điện như sau: Trong thời hạn 15 ngày làm việc kể từ khi Báo cáo nghiên cứu khả thi đầu tư xây dựng của nhà máy điện được duyệt, chủ đầu tư các nhà máy điện có trách nhiệm cung cấp Báo cáo nghiên cứu khả thi đầu tư xây dựng cho Tập đoàn Điện lực Việt Nam.
Ngoài ra, trước ngày 01/11 hàng năm, Tập đoàn Điện lực Việt Nam có trách nhiệm tính toán hoặc có thể thuê tư vấn tính toán giá phát điện các nhà máy nhiệt điện; đề xuất lựa chọn Nhà máy điện chuẩn, lựa chọn các thông số được sử dụng tính toán giá phát điện cho Nhà máy điện chuẩn phù hợp với thực tế thực hiện các hợp đồng mua bán điện và lập hồ sơ tính toán khung giá phát điện nhà máy điện; tính toán giá trần của nhà máy thủy điện.
Thông tư có hiệu lực thi hành kể từ ngày 28/12/2022.
Xem chi tiết Thông tư 31/2022/TT-BCT có hiệu lực kể từ ngày 28/12/2022
Tải Thông tư 31/2022/TT-BCT
|
BỘ CÔNG THƯƠNG __________ Số: 31/2022/TT-BCT |
CỘNG HÒA XÃ HỘI CHỦ NGHĨA VIỆT NAM Độc lập - Tự do - Hạnh phúc ________________________ Hà Nội, ngày 08 tháng 11 năm 2022 |
THÔNG TƯ
Sửa đổi, bổ sung một số điều của Thông tư số 57/2014/TT-BCT ngày 19 tháng 12 năm 2014 của Bộ trưởng Bộ Công Thương quy định phương pháp, trình tự xây dựng và ban hành khung giá phát điện và Thông tư số 57/2020/TT-BCT ngày 31 tháng 12 năm 2020 của Bộ trưởng Bộ Công Thương quy định phương pháp xác định giá phát điện, hợp đồng mua bán điện
____________
Căn cứ Nghị định số 98/2017/NĐ-CP ngày 18 tháng 8 năm 2017 của Chính phủ quy định chức năng, nhiệm vụ, quyền hạn và cơ cấu tổ chức của Bộ Công Thương;
Căn cứ Luật Điện lực ngày 03 tháng 12 năm 2004; Luật sửa đổi, bổ sung một số điều của Luật Điện lực ngày 20 tháng 11 năm 2012; và Luật sửa đổi, bổ sung một số điều của Luật Điện lực ngày 11 tháng 01 năm 2022;
Căn cứ Nghị định số 137/2013/NĐ-CP ngày 21 tháng 10 năm 2013 của Chính phủ quy định chi tiết thi hành một số điều của Luật Điện lực và Luật sửa đổi, bổ sung một số điều của Luật Điện lực;
Theo đề nghị của Cục trưởng Cục Điều tiết điện lực;
Bộ trưởng Bộ Công Thương ban hành Thông tư sửa đổi, bổ sung một số điều của Thông tư số 57/2014/TT-BCT ngày 19 tháng 12 năm 2014 của Bộ trưởng Bộ Công Thương quy định phương pháp, trình tự xây dựng và ban hành khung giá phát điện và Thông tư số 57/2020/TT-BCT ngày 31 tháng 12 năm 2020 của Bộ trưởng Bộ Công Thương quy định phương pháp xác định giá phát điện, hợp đồng mua bán điện.
Điều 1. Sửa đổi, bổ sung một số điều của Thông tư số 57/2014/TT-BCT ngày 19 tháng 12 năm 2014 của Bộ trưởng Bộ Công Thương quy định phương pháp, trình tự xây dựng và ban hành khung giá phát điện
1. Sửa đổi, bổ sung khoản 2 Điều 2 như sau:
"2. Nhà máy điện chuẩn là nhà máy nhiệt điện có quy mô công suất phổ biến được xác định trong Quy hoạch phát triển điện lực quốc gia đại diện cho một loại nhà máy nhiệt điện có cùng công nghệ phát điện, loại nhiên liệu sử dụng và được sử dụng để tính toán khung giá phát điện cho loại nhà máy điện đó.”
2. Sửa đổi, bổ sung khoản 4 Điều 2 như sau:
"4. Tổng mức đầu tư là toàn bộ chi phí đầu tư xây dựng của dự án được xác định theo quy định của pháp luật hiện hành, phù hợp với thiết kế cơ sở và các nội dung khác của Báo cáo nghiên cứu khả thi đầu tư xây dựng.”
3. Sửa đổi, bổ sung khoản 2 Điều 3 như sau:
“2. Đối với nhà máy nhiệt điện: giá trần là giá phát điện của Nhà máy điện chuẩn, phương pháp xác định giá phát điện của Nhà máy điện chuẩn quy định tại Điều 5, Điều 6, Điều 7 và Điều 8 Thông tư này.”
4. Sửa đổi, bổ sung khoản 3 Điều 6 như sau:
"3. Suất đầu tư là chi phí đầu tư cho 01 kw công suất tinh bình quân của Nhà máy điện chuẩn (không bao gồm chi phí cảng và cơ sở hạ tầng, các chi phí liên quan đến lưu trữ, tái hóa và vận chuyển LNG từ kho cảng đến nhà máy điện) được tính toán trên cơ sở số liệu tại Báo cáo nghiên cứu khả thi đầu tư xây dựng được duyệt, Tổng mức đầu tư có hiệu lực tại thời điểm tính toán khung giá phát điện hoặc số liệu thực tế đàm phán hợp đồng mua bán điện (nếu có), cập nhật tỷ giá ngoại tệ tại thời điểm tính toán.”
5. Sửa đổi, bổ sung điểm a khoản 4 Điều 6 như sau:
rd = DF x rd.F + DD x rd.D
Trong đó:|
DF: |
Tỷ lệ vốn vay ngoại tệ trong tổng vốn vay được quy định tại Phụ lục 1 Thông tư này (%); |
|
DD: |
Tỷ lệ vốn vay nội tệ trong tổng vốn vay được quy định tại Phụ lục 1 Thông tư này (%); |
|
rd.F: |
Lãi suất vốn vay ngoại tệ được xác định trên cơ sở lãi suất vốn vay ngoại tệ các dự án nhà máy điện đã thực hiện đàm phán giá điện của 5 năm trước liền kề thời điểm tính toán khung giá phát điện (%/năm); |
|
rd.D |
Lãi suất vốn vay nội tệ được xác định trên cơ sở lãi suất vốn vay nội tệ các dự án nhà máy điện đã thực hiện đàm phán giá điện của 5 năm trước liền kề thời điểm tính toán khung giá phát điện (%/năm).” |
6. Sửa đổi, bổ sung khoản 5 Điều 6 như sau:
"Điện năng bình quân năm tại điểm giao nhận Abq (kWh) của Nhà máy điện chuẩn được xác định theo công thức sau:
Abq = Pt x Tmax x (1 - kCS)
Trong đó:
Pt: Tổng công suất tinh của Nhà máy điện chuẩn (kW);
Tmax: Số giờ vận hành công suất cực đại (giờ);
kCS: Tỷ lệ suy giảm công suất được tính bình quân cho toàn bộ đời sống kinh tế của nhà máy điện trên cơ sở các tài liệu kỹ thuật của nhà chế tạo thiết bị trường hợp không xác định được cho phép sử dụng số liệu trung bình của các nhà máy có loại hình công nghệ và công suất lắp đặt tương tự (%).”
7. Sửa đổi, bổ sung Điều 8 như sau:
"Điều 8. Phương pháp xác định giá biến đổi của Nhà máy điện chuẩn cho năm áp dụng khung giá
Giá biến đổi của Nhà máy điện chuẩn cho năm áp dụng khung giá (VC) là thành phần để thu hồi chi phí nhiên liệu, các chi phí biến đổi khác của Nhà máy điện chuẩn với số giờ vận hành công suất cực đại, được xác định theo công thức sau:
VC = HR x Pnlc x (1+f)
Trong đó:
VC: Giá biến đổi của Nhà máy điện chuẩn (đồng/kWh);
HR: Suất tiêu hao nhiệt tinh được tính toán ở mức lãi quy định tại Phụ lục 1 Thông tư này, được tính bằng kcal/kWh, kJ/kWh hoặc BTU/kWh;
f: Tỷ lệ phần trăm tổng các chi phí khởi động, chi phí nhiên liệu - vật liệu phụ và các chi phí biến đổi khác cho phát điện so với chi phí nhiên liệu chính và được quy định tại Phụ lục 1 Thông tư này (%);
Pnlc: Giá nhiên liệu chính của Nhà máy điện chuẩn (chưa bao gồm thuế VAT) được tính bằng đồng/kcal, đồng/kJ hoặc đồng/BTU được xác định như sau:
- Đối với nhà máy nhiệt điện than, giá than đã bao gồm hao hụt, phí điều hành, phí quản lý, bảo hiểm (nếu có) và không bao gồm cước vận chuyển. Trường hợp không xác định được cước vận chuyển theo hợp đồng cung cấp nhiên liệu thì giá nhiên liệu chính được xác định bằng giá nhiên liệu trong hợp đồng mua bán nhiên liệu chính;
- Đối với nhà máy tua bin khí chu trình hỗn hợp sử dụng khí tự nhiên, giá nhiên liệu chính là giá khí tại miệng giếng không tính đến chi phí vận chuyển về đến nhà máy;
- Đối với nhà máy tua bin khí chu trình hỗn hợp sử dụng LNG, giá nhiên liệu chính bao gồm giá LNG nhập khẩu, thuế nhập khẩu TNG (nếu có), chi phí vận chuyển LNG về đến kho cảng tái hóa và không bao gồm chi phí tồn trữ, tái hóa, phân phối khí sau tái hóa (nếu có).
Trường hợp nhà máy điện chưa có hợp đồng cung cấp nhiên liệu cho phép sử dụng số liệu tại các văn bản thỏa thuận giữa chủ đầu tư và các đơn vị cung cấp nhiên liệu hoặc số liệu do các tổ chức tư vấn tính toán.
8. Sửa đổi, bổ sung Điều 10 như sau:
"Điều 10. Trình tự xây dựng và ban hành khung giá phát điện
1. Trong thời hạn 15 ngày làm việc kể từ khi Báo cáo nghiên cứu khả thi đầu tư xây dựng của nhà máy điện được duyệt. Chủ đầu tư các nhà máy điện này có trách nhiệm cung cấp Báo cáo nghiên cứu khả thi đầu tư xây dựng cho Tập đoàn Điện lực Việt Nam.
2. Trước ngày 01 tháng 11 hàng năm, Tập đoàn Điện lực Việt Nam có trách nhiệm:
a) Trên cơ sở các số liệu tại Báo cáo nghiên cứu khả thi đầu tư xây dựng được duyệt, Tổng mức đầu tư có hiệu lực tại thời điểm tính toán khung giá phát điện Tập đoàn Điện lực Việt Nam nhận được trước ngày 15 tháng 10 hàng năm hoặc số liệu thực tế đàm phán hợp đồng mua bán điện (nếu có), Tập đoàn Điện lực Việt Nam tính toán hoặc có thể thuê tư vấn tính toán giá phát điện các nhà máy nhiệt điện căn cứ theo quy định tại Điều 5, Điều 6, Điều 7 và Điều 8 Thông tư này;
b) Đề xuất lựa chọn Nhà máy điện chuẩn, lựa chọn các thông số được sử dụng tính toán giá phát điện cho Nhà máy điện chuẩn quy định tại Phụ lục 1 Thông tư này phù hợp với thực tế thực hiện các hợp đồng mua bán điện và lập hồ sơ tính toán khung giá phát điện nhà máy điện theo quy định tại Điều 11 Thông tư này, trình Cục Điều tiết điện lực thẩm định:
c) Tính toán giá trần của nhà máy thủy điện theo phương pháp quy định tại Điều 9 Thông tư này.
3. Trong thời hạn 05 ngày làm việc kể từ ngày nhận được hồ sơ tính toán khung giá phát điện nêu tại điểm b khoản 2 Điều này, Cục Điều tiết điện lực có trách nhiệm kiểm tra tính hợp lệ của hồ sơ trình duyệt. Trường hợp cần thiết, Cục Điều tiết điện lực có văn bản yêu cầu Tập đoàn Điện lực Việt Nam sửa đổi, bổ sung hoặc giải trình làm rõ các nội dung trong hồ sơ. Chậm nhất sau 15 ngày làm việc kể từ ngày nhận được yêu cầu sửa đổi, bổ sung hoặc giải trình làm rõ các nội dung trong hồ sơ của Cục Điều tiết điện lực. Tập đoàn Điện lực Việt Nam có trách nhiệm gửi văn bản báo cáo giải trình về nội dung trong hồ sơ theo yêu cầu.
4. Chậm nhất 20 ngày làm việc kể từ ngày nhận được hồ sơ hợp lệ và báo cáo giải trình làm rõ các nội dung trong hồ sơ của Tập đoàn Điện lực Việt Nam. Cục Điều tiết điện lực có trách nhiệm lựa chọn nhà máy điện chuẩn và tổ chức thẩm định khung giá phát điện các nhà máy điện do Tập đoàn Điện lực Việt Nam trình.
5. Chậm nhất 15 ngày làm việc kể từ ngày tổ chức thẩm định khung giá phát điện. Cục Điều tiết điện lực có trách nhiệm hoàn thiện hồ sơ trình Bộ trưởng Bộ Công Thương phê duyệt khung giá phát điện cho năm tiếp theo và công bố trên trang thông tin điện tử của Cục Điều tiết điện lực. Trường hợp khung giá phát điện của năm tiếp theo chưa được công bố, cho phép tạm thời áp dụng khung giá phát điện có hiệu lực gần nhất."
9. Sửa đổi, bổ sung khoản 1 Điều 11 như sau:
"1. Tờ trình của Tập đoàn Điện lực Việt Nam về lựa chọn thông số của Nhà máy điện chuẩn và tính toán về khung giá phát điện các nhà máy điện quy định tại điểm b và điểm c khoản 2 Điều 10 Thông tư này.”
10. Sửa đổi, bổ sung suất tiêu hao nhiên liệu tinh và giá nhiên liệu chính tại Phụ lục 2 như sau:
|
1 |
Suất tiêu hao nhiệt tinh |
HR |
kcal/kWh hoặc kJ/kWh hoặc BTU/kWh |
|
2 |
Giá nhiên liệu chính |
Pnlc |
đồng/kcal hoặc đồng/kJ hoặc đồng/BTU |
Điều 2. Sửa đổi, bổ sung một số điều của Thông tư số 57/2020/TT-BCT ngày 31 tháng 12 năm 2020 của Bộ trưởng Bộ Công Thương quy định phương pháp xác định giá phát điện, hợp đồng mua bán điện
1. Sửa đổi, bổ sung khoản 4 Điều 3 như sau:
"4 Giá hợp đồng mua bán điện để so với khung giá phát điện Năm cơ sở
a) Giá hợp đồng mua bán điện phải nằm trong khung giá phát điện Năm cơ sở của nhà máy điện do Bộ trưởng Bộ Công Thương ban hành, trong đó giá hợp đồng mua bán điện của nhà máy nhiệt điện để so với khung giá phát điện Năm cơ sở được tính toán trên cơ sở các thành phần chi phí tương ứng với thành phần chi phí tính toán khung giá phát điện.
Trường hợp Năm cơ sở của nhà máy nhiệt điện không có khung giá phát điện, giá hợp đồng mua bán điện của nhà máy nhiệt điện được tính toán quy đổi trên cơ sở các thành phần chi phí tương ứng để so với khung giá phát điện của năm gần nhất của loại hình nhà máy điện đó;
b) Đối với các dự án đã khởi công nhưng chưa ký kết hợp đồng mua bán điện trước thời điểm thông tư này có hiệu lực:
Giá hợp đồng mua bán điện phải nằm trong khung giá phát điện năm đàm phán hợp đồng mua bán điện, trong đó giá hợp đồng mua bán điện của nhà máy nhiệt điện để so với khung giá phát điện được tính toán quy đổi trên cơ sở các thành phần chi phí tương ứng với thành phần chi phí tính toán khung giá phát điện.
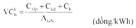
"3. Thành phần giá biến đổi điều chỉnh theo biến động khác của nhà máy điện Năm cơ sở
được xác định theo công thức sau:

Trong đó:
Cvlp: Tổng chi phí vật liệu phụ hàng năm của nhà máy điện được xác định theo khối lượng và đơn giá các loại vật liệu phụ sử dụng cho phát điện Năm cơ sở (đồng). Trường hợp không có số liệu tính toán tổng chi phí vật liệu phụ hàng năm tại Năm cơ sở, cho phép sử dụng các thành phần chi phí này tại các thời điểm có đủ số liệu và trượt về Năm cơ sở theo tỷ lệ 2,5%/năm để tính tổng chi phí vật liệu phụ năm cơ sở;
Ckđ: Tổng chi phí khởi động bao gồm chi phí nhiên liệu, chi phí khác cho khởi động (đồng): số lần khởi động cho phép do Hai bên thỏa thuận trên cơ sở nhu cầu hệ thống điện và đặc tính vận hành của nhà máy điện. Trường hợp không có số liệu tính toán tổng chi phí khởi động tại Năm cơ sở, cho phép tính toán giá trị tổng chi phí này lại thời điểm đàm phán và trượt về Năm cơ sở theo tỷ lệ 2,5%/năm;
Ck: Chi phí sửa chữa bảo dưỡng thường xuyên hàng năm bao gồm chi phí sửa chữa bảo dưỡng thường xuyên được tính trên cơ sở tổng vốn đầu tư xây dựng và thiết bị của nhà máy điện, tỷ lệ chi phí sửa chữa thường xuyên do Hai bên thỏa thuận nhưng không vượt quá quy định tại Phụ lục 1 Thông tư này và chi phí nạo vét luồng vào cảng do Hai bên thỏa thuận (nếu có) (đồng). Trường hợp không có số liệu tính toán chi phí nạo vét luồng vào cảng tại Năm cơ sở, cho phép tính toán giá trị tổng chi phí này tại thời điểm đàm phán và trượt về Năm cơ sở theo tỷ lệ 2,5%/năm
AGN: Điện năng phát bình quân nhiều năm tại điểm giao nhận điện giữa Bên mua và Bên bán và được tính toán theo quy định tại khoản 1 Điều 6 Thông tư này (kWh).
3. Bổ sung khoản 5 Điều 12 như sau:
“5. Năm cơ sở của các nhà máy đàm phán giá điện theo Vốn đầu tư quyết toán là năm phê duyệt vốn đầu tư quyết toán."
4. Sửa đổi, bổ sung khoản 2 Điều 13 như sau:
"2. Trên cơ sở các điều kiện vay vốn thực tế và khả năng tài chính của dự án, hai bên thỏa thuận giá cố định bình quân của nhà máy điện thành giá cố định từng năm (FCj Giá cố định năm j) với điều kiện đảm bảo giá cố định bình quân không thay đổi so với mức giá đã được hai bên thỏa thuận và tuân thủ theo các nguyên tắc sau:
a) Tỷ suất chiết khấu tài chính khi tính toán giá cố định từng năm do hai bên thỏa thuận bằng tỷ suất sinh lợi nội tại về tài chính (IRR) của nhà máy điện;
b) Chủ đầu tư thực hiện nghĩa vụ hoàn trả các khoản vay cho đầu tư xây dựng nhà máy điện theo thời hạn hoàn trả vốn vay."
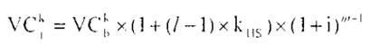
"c) Thành phần giá biến đổi điều chỉnh theo biến động khác của nhà máy điện năm j
được xác định theo công thức sau:

: Thành phần giá biến đổi điều chỉnh theo biến động khác của nhà máy điện Năm cơ sở được xác định tại khoản 3 Điều 7 Thông tư này;
6. Bổ sung khoản 6 tại Điều 28 như sau:
"6. Đối với nhà máy điện đã ký kết Hợp đồng mua bán điện, trường hợp cần thiết Hai bên đàm phán sửa đổi công thức thành phần giá biến đổi điều chỉnh theo biến động khác của nhà máy điện được quy định tại điểm c khoản 3 Điều 15 Thông tư này."
7. Sửa đổi, bổ sung điểm c khoản 1.3 mục I Phụ lục V của hợp đồng mua bán điện mẫu ban hành kèm theo Thông tư như sau:
Thành phần giá biến đổi điều chỉnh theo biến động khác của nhà máy điện năm j
(đồng/kWh) được xác định theo công thức sau:

: Thành phần giá biến đổi điều chỉnh theo biến động khác của nhà máy điện Năm cơ sở là ... (đồng/kWh);
Điều 3. Hiệu lực thi hành
1. Thông tư này có hiệu lực từ ngày 28 tháng 12 năm 2022
2. Bãi bỏ Điều 4 Thông tư số 57/2014/TT-BCT ngày 18 tháng 12 năm 2014 của Bộ trưởng Bộ Công Thương quy định phương pháp, trình tự xây dựng và ban hành khung giá phát điện.
3. Bãi bỏ Điều 27 Thông tư số 57/2020/TT-BCT ngày 31 tháng 12 năm 2020 của Bộ trưởng Bộ Công Thương quy định phương pháp xác định giá phát điện, hợp đồng mua bán điện.
4. Trong quá trình thực hiện nếu có vướng mắc, vấn đề mới phát sinh, yêu cầu các đơn vị có liên quan phản ánh về Cục Điều tiết điện lực để xem xét, giải quyết theo thẩm quyền hoặc báo cáo Bộ Công Thương giải quyết./.
|
Nơi nhận: |
KT. BỘ TRƯỞNG THỨ TRƯỞNG
Đặng Hoàng An |
Bạn chưa Đăng nhập thành viên.
Đây là tiện ích dành cho tài khoản thành viên. Vui lòng Đăng nhập để xem chi tiết. Nếu chưa có tài khoản, vui lòng Đăng ký tại đây!
Bạn chưa Đăng nhập thành viên.
Đây là tiện ích dành cho tài khoản thành viên. Vui lòng Đăng nhập để xem chi tiết. Nếu chưa có tài khoản, vui lòng Đăng ký tại đây!