- Tổng quan
- Nội dung
- VB gốc
- Tiếng Anh
- Hiệu lực
- VB liên quan
- Lược đồ
-
Nội dung hợp nhất
Tính năng này chỉ có tại LuatVietnam.vn. Nội dung hợp nhất tổng hợp lại tất cả các quy định còn hiệu lực của văn bản gốc và các văn bản sửa đổi, bổ sung, đính chính... trên một trang. Việc hợp nhất văn bản gốc và những văn bản, Thông tư, Nghị định hướng dẫn khác không làm thay đổi thứ tự điều khoản, nội dung.
Khách hàng chỉ cần xem Nội dung hợp nhất là có thể nắm bắt toàn bộ quy định hiện hành đang áp dụng, cho dù văn bản gốc đã qua nhiều lần chỉnh sửa, bổ sung.
- Tải về
Thông tư 15/2022/TT-BCT phương pháp xây dựng khung giá phát điện nhà máy điện mặt trời, điện gió chuyển tiếp
| Cơ quan ban hành: | Bộ Công Thương |
Số công báo:
Số công báo là mã số ấn phẩm được đăng chính thức trên ấn phẩm thông tin của Nhà nước. Mã số này do Chính phủ thống nhất quản lý.
|
Đã biết
|
| Số hiệu: | 15/2022/TT-BCT | Ngày đăng công báo: |
Đã biết
|
| Loại văn bản: | Thông tư | Người ký: | Đặng Hoàng An |
|
Ngày ban hành:
Ngày ban hành là ngày, tháng, năm văn bản được thông qua hoặc ký ban hành.
|
03/10/2022 |
Ngày hết hiệu lực:
Ngày hết hiệu lực là ngày, tháng, năm văn bản chính thức không còn hiệu lực (áp dụng).
|
Đã biết
|
|
Áp dụng:
Ngày áp dụng là ngày, tháng, năm văn bản chính thức có hiệu lực (áp dụng).
|
Đã biết
|
Tình trạng hiệu lực:
Cho biết trạng thái hiệu lực của văn bản đang tra cứu: Chưa áp dụng, Còn hiệu lực, Hết hiệu lực, Hết hiệu lực 1 phần; Đã sửa đổi, Đính chính hay Không còn phù hợp,...
|
Đã biết
|
| Lĩnh vực: | Công nghiệp, Điện lực |
TÓM TẮT THÔNG TƯ 15/2022/TT-BCT
Cụ thể, khung giá phát điện của Nhà máy điện mặt trời mặt đất, Nhà máy điện mặt trời nổi, Nhà máy điện gió trong đất liền, Nhà máy điện gió trên biển là dải giá trị từ giá trị tối thiểu (0 đồng/kWH) đến giá trị tối đa.
Theo đó, trong thời hạn 15 ngày kể từ ngày Thông tư này có hiệu lực, Chủ đầu tư các Nhà máy điện mặt trời mặt đất, Nhà máy điện mặt trời nổi đã ký hợp đồng mua bán điện trước ngày 01/01/2021 và các Nhà máy điện gió trong đất liền, Nhà máy điện gió trên biển đã ký hợp đồng mua bán điện trước ngày 01/11/2021 có trách nhiệm cung cấp báo cáo nghiên cứu khả thi hoặc thiết kế kỹ thuật cho Tập đoàn Điện lực Việt Nam.
Đồng thời, trong thời hạn 45 ngày kể từ khi Thông tư này có hiệu lực, Tập đoàn Điện lực Việt Nam có trách nhiệm xây dựng khung giá phát điện của Nhà máy điện mặt trời mặt đất, Nhà máy điện mặt trời nổi, Nhà máy điện gió trong đất liền, Nhà máy điện gió trên biển theo quy định gửi Cục Điều tiết điện lực thẩm định.
Thông tư có hiệu lực từ ngày 25/11/2022.
Xem chi tiết Thông tư 15/2022/TT-BCT có hiệu lực kể từ ngày 25/11/2022
Tải Thông tư 15/2022/TT-BCT
|
BỘ CÔNG THƯƠNG __________ Số: 15/2022/TT-BCT |
CỘNG HÒA XÃ HỘI CHỦ NGHĨA VIỆT NAM Độc lập - Tự do - Hạnh phúc ________________________ Hà Nội, ngày 03 tháng 10 năm 2022 |
THÔNG TƯ
Quy định phương pháp xây dựng khung giá phát điện nhà máy điện mặt trời, điện gió chuyển tiếp
_____________
Căn cứ Luật Điện lực ngày 03 tháng 12 năm 2004;
Căn cứ Luật sửa đổi, bổ sung một số điều của Luật Điện lực ngày 20 tháng 11 năm 2012;
Căn cứ Luật sửa đổi, bổ sung một số điều của Luật Đầu tư công, Luật Đầu tư theo phương thức đối tác công tư, Luật Đầu tư, Luật Nhà ở, Luật Đấu thầu, Luật Điện lực, Luật Doanh nghiệp, Luật Thuế tiêu thụ đặc biệt và Luật Thi hành án dân sự ngày 11 tháng 01 năm 2022;
Căn cứ Nghị định số 98/2017/NĐ-CP ngày 18 tháng 8 năm 2017 của Chính phủ quy định chức năng, nhiệm vụ, quyền hạn và cơ cấu tổ chức của Bộ Công Thương;
Căn cứ Nghị định số 137/2013/NĐ-CP ngày 21 tháng 10 năm 2013 của Chính phủ quy định chi tiết thi hành một số điều của Luật Điện lực và Luật sửa đổi, bổ sung một số điều của Luật Điện lực;
Căn cứ Quyết định số 13/2020/QĐ-TTg ngày 06 tháng 4 năm 2020 của Thủ tướng Chính phủ quy định cơ chế khuyến khích, phát triển điện mặt trời tại Việt Nam;
Căn cứ Quyết định số 37/2011/QĐ-TTg ngày 26 tháng 6 năm 2011 của Thủ tướng Chính phủ quy định cơ chế khuyến khích phát triển điện gió tại Việt Nam;
Căn cứ Quyết định số 39/2018/QĐ-TTg ngày 10 tháng 9 năm 2018 của Thủ tướng Chính phủ sửa đổi, bổ sung một số điều của Quyết định số 37/2011/QĐ-TTg;
Theo đề nghị của Cục trưởng Cục Điều tiết điện lực;
Bộ trưởng Bộ Công Thương ban hành Thông tư quy định phương pháp xây dựng khung giá phát điện nhà máy điện mặt trời, điện gió chuyển tiếp.
Chương I
QUY ĐỊNH CHUNG
Điều 1. Phạm vi điều chỉnh và đối tượng áp dụng
1. Thông tư này quy định về phương pháp, trình tự xây dựng và ban hành khung giá phát điện cho các Nhà máy điện mặt trời mặt đất, Nhà máy điện mặt trời nổi, Nhà máy điện gió trong đất liền, Nhà máy điện gió trên biển.
2. Thông tư này áp dụng đối với các đối tượng sau đây:
a) Tập đoàn Điện lực Việt Nam;
b) Các tổ chức, cá nhân tham gia triển khai đầu tư nhà máy hoặc phần nhà máy điện mặt trời đã ký kết hợp đồng mua bán điện với Tập đoàn Điện lực Việt Nam trước ngày 01 tháng 01 năm 2021 và các nhà máy hoặc phần nhà máy điện gió đã ký kết hợp đồng mua bán điện với Tập đoàn Điện lực Việt Nam trước ngày 01 tháng 11 năm 2021 nhưng không đáp ứng điều kiện áp dụng giá mua điện quy định tại khoản 1, khoản 3 Điều 5 Quyết định số 13/2020/QĐ-TTg ngày 06 tháng 4 năm 2020 của Thủ tướng Chính phủ quy định cơ chế khuyến khích, phát triển điện mặt trời tại Việt Nam và khoản 7 Điều 1 Quyết định số 39/2018/QĐ-TTg ngày 10 tháng 9 năm 2018 của Thủ tướng Chính phủ sửa đổi, bổ sung một số điều của Quyết định số 37/2011/QĐ-TTg ngày 26 tháng 6 năm 2011 của Thủ tướng Chính phủ quy định cơ chế khuyến khích phát triển điện gió tại Việt Nam.
Các nhà máy hoặc phần nhà máy này phải tuyệt đối tuân thủ theo đúng các quy định pháp luật về đầu tư, xây dựng, bám sát khả năng hấp thụ của hệ thống điện quốc gia và khả năng giải tỏa công suất của lưới điện; tuân thủ theo đúng cơ chế giá điện tại thời điểm đưa vào vận hành, tự chịu trách nhiệm về hiệu quả dự án theo cơ chế được duyệt. Trong trường hợp các cơ quan thanh tra, kiểm tra phát hiện vi phạm thì sẽ bị xử lý nghiêm theo quy định của pháp luật. Trường hợp vi phạm nghiêm trọng cơ quan có thẩm quyền có thể rút giấy phép đầu tư, đình chỉ dự án theo các quy định của pháp luật về đầu tư xây dựng.
Điều 2. Giải thích từ ngữ
Trong Thông tư này các từ ngữ dưới đây được hiểu như sau:
1. Nhà máy điện mặt trời chuẩn là nhà máy điện được lựa chọn để tính toán khung giá phát điện của các Nhà máy điện mặt trời mặt đất, Nhà máy điện mặt trời nổi có quy mô công suất lắp đặt là 50 MWp.
2. Nhà máy điện mặt trời nổi là nhà máy điện mặt trời nối lưới có các tấm quang điện được lắp đặt trên cấu trúc nổi trên mặt nước.
3. Nhà máy điện mặt trời mặt đất là các nhà máy điện mặt trời nối lưới trừ các nhà máy điện quy định tại khoản 2 Điều này.
4. Nhà máy điện gió chuẩn là nhà máy điện được lựa chọn để tính toán khung giá phát điện của các Nhà máy điện gió trong đất liền, Nhà máy điện gió trên biển có quy mô công suất lắp đặt là 50 MW.
5. Nhà máy điện gió trong đất liền là các nhà máy điện gió nối lưới có tuabin điện gió được xây dựng và vận hành trên đất liền và vùng đất ven biển có ranh giới ngoài là đường mép nước biển thấp nhất trung bình trong nhiều năm (18,6 năm).
6. Nhà máy điện gió trên biển là các nhà máy điện gió nối lưới có tuabin điện gió được xây dựng và vận hành nằm ngoài đường mép nước biển thấp nhất trung bình trong nhiều năm (18,6 năm) ra ngoài khơi.
7. Tổng mức đầu tư là toàn bộ chi phí đầu tư xây dựng của dự án được xác định theo quy định của pháp luật hiện hành, phù hợp với thiết kế cơ sở và các nội dung khác của báo cáo nghiên cứu khả thi đầu tư xây dựng.
Chương II
PHƯƠNG PHÁP XÂY DỰNG KHUNG GIÁ PHÁT ĐIỆN
Điều 3. Nguyên tắc xây dựng khung giá phát điện
1. Khung giá phát điện của Nhà máy điện mặt trời mặt đất, Nhà máy điện mặt trời nổi, Nhà máy điện gió trong đất liền, Nhà máy điện gió trên biển là dải giá trị từ giá trị tối thiểu (0 đồng/kWh) đến giá trị tối đa.
2. Giá trị tối đa áp dụng với nhà máy điện mặt trời là giá phát điện của Nhà máy điện mặt trời chuẩn được xác định theo phương pháp quy định tại Điều 4, Điều 5 và Điều 6 Thông tư này.
3. Giá trị tối đa áp dụng với nhà máy điện gió là giá phát điện của Nhà máy điện gió chuẩn được xác định theo phương pháp quy định tại Điều 7, Điều 8 và Điều 9 Thông tư này.
Điều 4. Phương pháp xác định giá phát điện của Nhà máy điện mặt trời chuẩn
Giá phát điện PMT (đồng/kWh) của Nhà máy điện mặt trời chuẩn được xác định theo công thức sau:
PMT = FCMT + FOMCMT
Trong đó:
|
FCMT: |
Giá cố định bình quân của Nhà máy điện mặt trời chuẩn được xác định theo quy định tại Điều 5 Thông tư này (đồng/kWh); |
|
FOMCMT: |
Giá vận hành và bảo dưỡng cố định Nhà máy điện mặt trời chuẩn được xác định theo quy định tại Điều 6 Thông tư này (đồng/kWh). |
Điều 5. Phương pháp xây dựng giá cố định bình quân của Nhà máy điện mặt trời chuẩn
1. Giá cố định bình quân FCMT (đồng/kWh) của Nhà máy điện mặt trời chuẩn là thành phần để thu hồi chi phí đầu tư, được xác định theo công thức sau:

Trong đó:
|
TCMT : |
Chi phí vốn đầu tư xây dựng Nhà máy điện mặt trời chuẩn (chưa bao gồm thuế giá trị gia tăng) được quy đổi đều hàng năm xác định theo quy định tại khoản 2 Điều này (đồng); |
|
|
Điện năng giao nhận bình quân nhiều năm của Nhà máy điện mặt trời chuẩn xác định theo quy định tại khoản 5 Điều này (kWh). |
2. Chi phí vốn đầu tư của Nhà máy điện mặt trời chuẩn được quy đổi đều hàng năm TCMT (đồng) theo công thức sau:

Trong đó:
|
SĐTMT: |
Suất đầu tư của Nhà máy điện mặt trời chuẩn được xác định theo quy định tại khoản 3 Điều này (đồng/kWp). kWp là đơn vị đo công suất đỉnh đạt được của tấm quang điện mặt trời trong điều kiện tiêu chuẩn và do nhà sản xuất công bố; |
|
PMT: |
Công suất lắp đặt của Nhà máy điện mặt trời chuẩn (kWp), được xác định là 50.000 kWp; |
|
nMT: |
Đời sống kinh tế của Nhà máy điện mặt trời chuẩn được quy định tại Phụ lục ban hành kèm theo Thông tư này (năm); |
|
i: |
Tỷ suất chiết khấu tài chính của Nhà máy điện mặt trời chuẩn được xác định theo quy định tại khoản 4 Điều này (%). |
3. Suất đầu tư là chi phí đầu tư cho 01 kWp công suất lắp đặt của Nhà máy điện mặt trời chuẩn, được xác định trên cơ sở Tổng mức đầu tư của các nhà máy điện mặt trời:
a) Đã ký hợp đồng mua bán điện với Tập đoàn Điện lực Việt Nam hoặc do Tập đoàn Điện lực Việt Nam làm chủ đầu tư trước ngày 01 tháng 01 năm 2021;
b) Tham khảo số liệu của các tổ chức tư vấn.
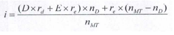
4. Tỷ suất chiết khấu tài chính i (%) áp dụng chi phí sử dụng vốn bình quân gia quyền danh định trước thuế Nhà máy điện mặt trời chuẩn được xác định theo công thức sau:

Trong đó:
|
D: |
Tỷ lệ vốn vay trong tổng mức đầu tư được quy định tại Phụ lục ban hành kèm theo Thông tư này (%); |
|
E: |
Tỷ lệ vốn góp chủ sở hữu trong tổng mức đầu tư được quy định tại Phụ lục ban hành kèm theo Thông tư này (%); |
|
nMT: |
Đời sống kinh tế của Nhà máy điện mặt trời chuẩn được quy định tại Phụ lục ban hành kèm theo Thông tư này (năm); |
|
nD: |
Thời gian trả nợ vay bình quân được quy định tại Phụ lục ban hành kèm theo Thông tư này (năm); |
|
rd: |
Lãi suất vốn vay được xác định theo quy định tại điểm a khoản này (%); |
|
re: |
Tỷ suất lợi nhuận trước thuế trên phần vốn góp chủ sở hữu được xác định theo quy định tại điểm b khoản này (%). |
a) Lãi suất vốn vay rd (%) được tính bằng lãi suất bình quân gia quyền các nguồn vốn vay nội tệ và ngoại tệ, được xác định theo công thức sau:
rd = DF × rd,F + DD × rd,D
Trong đó:
|
DF: |
Tỷ lệ vốn vay ngoại tệ trong tổng vốn vay được xác định trên cơ sở tỷ lệ vốn vay các nhà máy điện mặt trời theo quy định tại điểm b khoản 2 Điều 1 Thông tư này (%); |
|
DD: |
Tỷ lệ vốn vay nội tệ trong tổng vốn vay được xác định trên cơ sở tỷ lệ vốn vay các nhà máy điện mặt trời theo quy định tại điểm b khoản 2 Điều 1 Thông tư này (%); |
|
rd,F: |
Lãi suất vốn vay ngoại tệ được xác định trên cơ sở: lãi suất vốn vay ngoại tệ các nhà máy điện đã ký hợp đồng mua bán điện giai đoạn năm 2017 - 2021 (%/năm) hoặc lãi suất vốn vay ngoại tệ của các nhà máy điện mặt trời theo quy định tại điểm b khoản 2 Điều 1 Thông tư này; |
|
rd,D: |
Lãi suất vốn vay nội tệ được xác định trên cơ sở: lãi suất vốn vay nội tệ các nhà máy điện đã ký hợp đồng mua bán điện giai đoạn năm 2017 - 2021 (%/năm) hoặc lãi suất vốn vay nội tệ của các nhà máy điện mặt trời quy định tại điểm b khoản 2 Điều 1 Thông tư này. |
b) Tỷ suất lợi nhuận trước thuế trên phần vốn góp chủ sở hữu re,pt (%) được xác định theo công thức sau:

Trong đó:
|
re,pt: |
Tỷ suất lợi nhuận sau thuế trên phần vốn góp chủ sở hữu (%), được xác định là 12%; |
|
t: |
Thuế suất thuế thu nhập doanh nghiệp bình quân trong đời sống kinh tế của nhà máy điện mặt trời được xác định theo quy định hiện hành của Nhà nước (%). |
5. Điện năng giao nhận bình quân năm
(kWh) của Nhà máy điện mặt trời chuẩn được xác định theo công thức sau:
= A × r × H × PR
|
Trong đó: |
|
|
A: |
Tổng diện tích lắp đặt tấm quang điện (m2) được xác định theo quy định tại khoản 6 Điều này; |
|
H: |
Cường độ bức xạ trung bình năm của Nhà máy điện mặt trời chuẩn (kWh/m2/năm); |
|
r: |
Hiệu suất chuyển đổi tấm quang điện (%); |
|
PR: |
Hiệu suất Nhà máy điện mặt trời chuẩn (%). |
6. Tổng diện tích lắp đặt tấm quang điện (m2) được tính như sau:

Trong đó:
|
PMT: |
Công suất lắp đặt Nhà máy điện mặt trời chuẩn (kWp), được xác định là 50.000 kWp; |
|
PTP: |
Công suất định mức tấm quang điện (Wp); |
|
STP: |
Diện tích tấm quang điện (m2). |
7. Các thông số PTP, STP, r, H, PR quy định tại khoản 5 và khoản 6 Điều này được xác định trên cơ sở:
a) Báo cáo nghiên cứu khả thi, thiết kế kỹ thuật được thẩm định của các nhà máy điện mặt trời đã ký hợp đồng mua bán điện trước ngày 01 tháng 01 năm 2021;
b) Tham khảo số liệu của các tổ chức tư vấn.
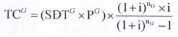
Điều 6. Phương pháp xây dựng giá vận hành và bảo dưỡng cố định của Nhà máy điện mặt trời chuẩn
Giá vận hành và bảo dưỡng cố định FOMCMT (đồng/kWh) của Nhà máy điện mặt trời chuẩn là thành phần để thu hồi chi phí sửa chữa lớn, nhân công và các chi phí khác hàng năm, được xác định theo công thức sau:

Trong đó:
|
|
Tổng chi phí vận hành và bảo dưỡng cố định của Nhà máy điện mặt trời chuẩn được xác định theo quy định tại khoản 2 Điều này (đồng); |
|
|
Điện năng giao nhận bình quân nhiều năm của Nhà máy điện mặt trời chuẩn được xác định theo quy định tại khoản 5 Điều 5 Thông tư này (kWh). |
2. Tổng chi phí vận hành và bảo dưỡng cố định
(đồng) của Nhà máy điện mặt trời chuẩn được xác định theo công thức sau:

Trong đó:
|
SĐTMT: |
Suất đầu tư của Nhà máy điện mặt trời chuẩn được xác định theo quy định tại khoản 3 Điều 5 Thông tư này (đồng/kWp); |
|
PMT: |
Công suất lắp đặt của Nhà máy điện mặt trời chuẩn (kWp), được xác định là 50.000 kWp; |
|
kMT: |
Tỷ lệ chi phí vận hành và bảo dưỡng cố định trong suất đầu tư của Nhà máy điện mặt trời chuẩn được quy định tại Phụ lục ban hành kèm theo Thông tư này (%). |
Điều 7. Phương pháp xác định giá phát điện của Nhà máy điện gió chuẩn
Giá phát điện PG (đồng/kWh) của Nhà máy điện gió chuẩn được xác định theo công thức sau:

Trong đó:
|
FCG: |
Giá cố định bình quân Nhà máy điện gió chuẩn được xác định theo quy định tại Điều 8 Thông tư này (đồng/kWh); |
|
|
Giá vận hành và bảo dưỡng cố định Nhà máy điện gió chuẩn được xác định theo quy định tại Điều 9 Thông tư này (đồng/kWh). |
Điều 8. Phương pháp xây dựng giá cố định bình quân của Nhà máy điện gió chuẩn
1. Giá cố định bình quân FCG (đồng/kWh) của Nhà máy điện gió chuẩn là thành phần để thu hồi chi phí đầu tư, được xác định theo công thức sau:

Trong đó:
|
TCG : |
Chi phí vốn đầu tư xây dựng Nhà máy điện gió chuẩn (chưa bao gồm thuế giá trị gia tăng) được quy đổi đều hàng năm xác định theo quy định tại khoản 2 Điều này (đồng); |
|
|
Điện năng giao nhận bình quân nhiều năm của Nhà máy điện gió chuẩn xác định theo quy định tại khoản 5 Điều này (kWh). |
2. Chi phí vốn đầu tư của Nhà máy điện gió chuẩn được quy đổi đều hàng năm TCG (đồng) theo công thức sau:

Trong đó:
|
SĐTG: |
Suất đầu tư của Nhà máy điện gió chuẩn được xác định theo quy định tại khoản 3 Điều này (đồng/kW); |
|
PG: |
Công suất lắp đặt của nhà máy điện gió chuẩn (kW), được xác định là 50.000 kW; |
|
nG: |
Đời sống kinh tế của nhà máy điện gió cơ sở được quy định tại Phụ lục ban hành kèm theo Thông tư này (năm); |
|
i: |
Tỷ suất chiết khấu tài chính của nhà máy điện được xác định theo quy định tại khoản 4 Điều này (%). |
3. Suất đầu tư là chi phí đầu tư cho 01 kW công suất lắp đặt của Nhà máy gió chuẩn, được xác định trên cơ sở Tổng mức đầu tư được phê duyệt của các nhà máy điện gió:
a) Đã ký hợp đồng mua bán điện với Tập đoàn Điện lực Việt Nam trước ngày 01 tháng 11 năm 2021;
b) Tham khảo số liệu của các tổ chức tư vấn.
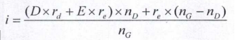
4. Tỷ suất chiết khấu tài chính i (%) áp dụng chi phí sử dụng vốn bình quân gia quyền danh định trước thuế Nhà máy điện gió chuẩn được xác định theo công thức sau:

Trong đó:
|
D: |
Tỷ lệ vốn vay trong Tổng mức đầu tư được quy định tại Phụ lục ban hành kèm theo Thông tư này (%); |
|
E: |
Tỷ lệ vốn góp chủ sở hữu trong Tổng mức đầu tư được quy định tại Phụ lục ban hành kèm theo Thông tư này (%); |
|
nG: |
Đời sống kinh tế của Nhà máy điện mặt trời chuẩn được quy định tại Phụ lục ban hành kèm theo Thông tư này (năm); |
|
nD: |
Thời gian trả nợ vay bình quân được quy định tại Phụ lục ban hành kèm theo Thông tư này (năm); |
|
rd: |
Lãi suất vốn vay được xác định theo quy định tại điểm a khoản này (%); |
|
re: |
Tỷ suất lợi nhuận trước thuế trên phần vốn góp chủ sở hữu được xác định theo quy định tại điểm b khoản này (%). |
a) Lãi suất vốn vay rd (%) được tính bằng lãi suất bình quân gia quyền các nguồn vốn vay nội tệ và ngoại tệ, được xác định theo công thức sau:
rd = DF × rd,F + DD × rd,D
Trong đó:
|
DF: |
Tỷ lệ vốn vay ngoại tệ trong tổng vốn vay được xác định trên cơ sở tỷ lệ vốn vay các nhà máy điện gió theo quy định tại điểm b khoản 2 Điều 1 Thông tư này (%); |
|
DD: |
Tỷ lệ vốn vay nội tệ trong tổng vốn vay được xác định trên cơ sở tỷ lệ vốn vay các nhà máy điện gió theo quy định tại điểm b khoản 2 Điều 1 Thông tư này (%); |
|
rd,F: |
Lãi suất vốn vay ngoại tệ được xác định trên cơ sở: (i) lãi suất vốn vay ngoại tệ các nhà máy điện đã ký hợp đồng mua bán điện giai đoạn năm 2017 - 2021 (%/năm) hoặc (ii) lãi suất vốn vay ngoại tệ của các nhà máy điện gió theo quy định tại điểm b khoản 2 Điều 1 Thông tư này; |
|
rd,D: |
Lãi suất vốn vay nội tệ được xác định trên cơ sở: (i) lãi suất vốn vay nội tệ các nhà máy điện đã ký hợp đồng mua bán điện giai đoạn năm 2017 - 2021 (%/năm) hoặc (ii) lãi suất vốn vay nội tệ của các nhà máy điện gió quy định tại điểm b khoản 2 Điều 1 Thông tư này. |
b) Tỷ suất lợi nhuận trước thuế trên phần vốn góp chủ sở hữu re,pt (%) được xác định theo công thức sau:

Trong đó:
|
re,pt: |
Tỷ suất lợi nhuận sau thuế trên phần vốn góp chủ sở hữu (%), được xác định là 12%; |
|
t: |
Thuế suất thuế thu nhập doanh nghiệp bình quân trong đời sống kinh tế của nhà máy điện gió được xác định theo quy định hiện hành của Nhà nước (%). |
5. Điện năng giao nhận bình quân năm
(kWh) của Nhà máy điện gió chuẩn được xác định theo công thức sau:

Trong đó:
|
EG, P50: |
Điện năng giao nhận bình quân nhiều năm theo kỳ vọng là 50% của Nhà máy điện gió chuẩn được xác định theo quy định tại khoản 6 Điều này (kWh); |
|
kbd: |
Tổng mức độ bất định Nhà máy điện gió chuẩn (%); |
|
kpb,P75: |
Hệ số phân bố chuẩn tương ứng với điện năng giao nhận bình quân nhiều năm theo kỳ vọng là 75% của Nhà máy điện gió chuẩn quy định tại Phụ lục ban hành kèm theo Thông tư này. |
6. Điện năng giao nhận bình quân nhiều năm theo kỳ vọng là 50% của Nhà máy điện gió chuẩn được xác định như sau (kWh):

Trong đó:
|
PG: |
Công suất lắp đặt của Nhà máy điện gió chuẩn (kW), được xác định là 50.000 kW; |
|
kCF: |
Hệ số công suất của Nhà máy điện gió chuẩn (%); |
7. Các thông số kCF, kbd quy định tại khoản 5 và khoản 6 Điều này được xác định trên cơ sở:
a) Báo cáo nghiên cứu khả thi, thiết kế kỹ thuật được thẩm định của các nhà máy điện gió ký hợp đồng mua bán điện trước ngày 01 tháng 11 năm 2021;
b) Tham khảo số liệu của các tổ chức tư vấn.
Điều 9. Phương pháp xây dựng giá vận hành và bảo dưỡng cố định của Nhà máy điện gió chuẩn
Giá vận hành và bảo dưỡng cố định FOMCG (đồng/kWh) của Nhà máy điện gió chuẩn là thành phần để thu hồi chi phí sửa chữa lớn, nhân công và các chi phí khác hàng năm, được xác định theo công thức sau:

Trong đó:
|
|
Tổng chi phí vận hành và bảo dưỡng cố định của Nhà máy điện gió chuẩn được xác định theo quy định tại khoản 2 Điều này (đồng); |
|
|
Điện năng giao nhận bình quân nhiều năm của Nhà máy điện gió chuẩn được xác định theo quy định tại khoản 5 Điều 8 Thông tư này (kWh). |
2. Tổng chi phí vận hành và bảo dưỡng cố định (đồng) của Nhà máy điện gió chuẩn được xác định theo công thức sau:

Trong đó:
|
SĐTG: |
Suất đầu tư của Nhà máy điện gió chuẩn được xác định theo quy định tại khoản 3 Điều 5 Thông tư này (đồng/kW); |
|
PG: |
Công suất lắp đặt của Nhà máy điện gió chuẩn (kW), được xác định là 50.000 kW; |
|
kG: |
Tỷ lệ chi phí vận hành và bảo dưỡng cố định so trong suất đầu tư của Nhà máy điện gió chuẩn được quy định tại Phụ lục ban hành kèm theo Thông tư này (%). |
Chương III
TRÌNH TỰ, THỦ TỤC XÂY DỰNG, THẨM ĐỊNH VÀ BAN HÀNH KHUNG GIÁ PHÁT ĐIỆN
Điều 10. Trình tự xây dựng, thẩm định và ban hành khung giá phát điện
1. Trong thời hạn 15 ngày kể từ ngày Thông tư này có hiệu lực, Chủ đầu tư các Nhà máy điện mặt trời mặt đất, Nhà máy điện mặt trời nổi đã ký hợp đồng mua bán điện trước ngày 01 tháng 01 năm 2021 và các Nhà máy điện gió trong đất liền, Nhà máy điện gió trên biển đã ký hợp đồng mua bán điện trước ngày 01 tháng 11 năm 2021 có trách nhiệm cung cấp báo cáo nghiên cứu khả thi hoặc thiết kế kỹ thuật cho Tập đoàn Điện lực Việt Nam.
2. Trên cơ sở tài liệu quy định tại khoản 1 Điều này, Tập đoàn Điện lực Việt Nam được quyền thuê tư vấn thực hiện lựa chọn bộ thông số, tính toán, xây dựng khung giá phát điện của Nhà máy điện mặt trời chuẩn theo quy định tại Điều 4, Điều 5 và Điều 6 Thông tư này và Nhà máy điện gió chuẩn theo quy định tại Điều 7, Điều 8 và Điều 9 Thông tư này.
3. Trong thời hạn 45 ngày kể từ khi Thông tư này có hiệu lực, Tập đoàn Điện lực Việt Nam có trách nhiệm xây dựng khung giá phát điện của Nhà máy điện mặt trời mặt đất, Nhà máy điện mặt trời nổi, Nhà máy điện gió trong đất liền, Nhà máy điện gió trên biển theo quy định tại Điều 11 Thông tư này gửi Cục Điều tiết điện lực thẩm định.
4. Trình tự thẩm định khung giá phát điện:
a) Trong thời hạn 05 ngày làm việc kể từ ngày nhận được hồ sơ tính toán khung giá phát điện quy định tại Điều 11 Thông tư này, Cục Điều tiết điện lực có trách nhiệm kiểm tra chi tiết nội dung hồ sơ, tính đầy đủ và hợp lệ của hồ sơ trình duyệt;
b) Trường hợp hồ sơ không đầy đủ hoặc không hợp lệ, Cục Điều tiết điện lực có trách nhiệm gửi văn bản yêu cầu Tập đoàn Điện lực Việt Nam bổ sung, sửa đổi hoặc giải trình làm rõ các nội dung trong hồ sơ trình duyệt.
c) Trong thời hạn 45 ngày kể từ ngày nhận được hồ sơ tính toán khung giá phát điện hợp lệ, Cục Điều tiết điện lực có trách nhiệm thẩm định khung giá phát điện theo phương pháp quy định tại Thông tư này.
d) Trường hợp cần thiết, Cục Điều tiết điện lực tổ chức lấy ý kiến tư vấn của chuyên gia độc lập hoặc lấy ý kiến đối với khung giá thông qua Hội đồng tư vấn do Bộ Công Thương quyết định thành lập.
Hội đồng tư vấn có tối đa 9 thành viên, trong đó có 01 chủ tịch, 01 phó chủ tịch, 01 thư ký, đại diện đơn vị có liên quan của Bộ Công Thương có trình độ chuyên môn phù hợp và am hiểu sâu trong lĩnh vực phát điện.
5. Chậm nhất 10 ngày làm việc kể từ ngày có kết quả thẩm định khung giá phát điện quy định tại khoản 4 Điều này, Cục Điều tiết điện lực có trách nhiệm hoàn thiện hồ sơ trình Bộ trưởng Bộ Công Thương phê duyệt khung giá phát điện áp dụng cho các loại hình nhà máy nêu trên và thực hiện thủ tục công bố trên trang thông tin điện tử của Bộ Công Thương và Cục Điều tiết điện lực.
Điều 11. Hồ sơ đề nghị phê duyệt khung giá phát điện
Hồ sơ đề nghị phê duyệt khung giá phát điện của các Nhà máy điện mặt trời mặt đất, Nhà máy điện mặt trời nổi, Nhà máy điện gió trong đất liền, Nhà máy điện gió trên biển theo quy định tại khoản 2 Điều 1 Thông tư này bao gồm:
1. Tờ trình, tính toán của Tập đoàn Điện lực Việt Nam về giá phát điện các Nhà máy điện mặt trời chuẩn, Nhà máy điện gió chuẩn.
2. Bảng thông số và các tài liệu tính toán giá phát điện cho các Nhà máy điện mặt trời chuẩn, Nhà máy điện gió chuẩn theo quy định tại Điều 4, Điều 7 và Phụ lục ban hành kèm theo Thông tư này.
3. Các tài liệu liên quan đến các thông số tính toán giá phát điện của các Nhà máy điện mặt trời mặt đất, Nhà máy điện mặt trời nổi, Nhà máy điện gió trong đất liền, Nhà máy điện gió trên biển.
Chương IV
ĐIỀU KHOẢN THI HÀNH
Điều 12. Trách nhiệm của Bộ Công Thương
1. Chỉ định chuyên gia độc lập hoặc thành lập Hội đồng tư vấn tham gia thẩm định khung giá phát điện theo quy định tại điểm d khoản 4 Điều 10 Thông tư này. Trường hợp cần thiết, Bộ Công Thương tổ chức lấy ý kiến các Bộ, cơ quan liên quan về khung giá phát điện này.
2. Ban hành khung giá phát điện của Nhà máy điện mặt trời mặt đất, Nhà máy điện mặt trời nổi, Nhà máy điện gió trong đất liền, Nhà máy điện gió trên biển sau khi hoàn thành thẩm định.
Điều 13. Trách nhiệm của Cục Điều tiết điện lực
1. Chủ trì, phối hợp với chuyên gia độc lập được chỉ định hoặc Hội đồng tư vấn theo quy định tại điểm d khoản 4 Điều 10 Thông tư này để thẩm định kết quả tính toán khung giá phát điện.
2. Trình Bộ trưởng Bộ Công Thương ký ban hành khung giá phát điện theo quy định tại Thông tư này.
Điều 14. Trách nhiệm của Tập đoàn Điện lực Việt Nam
1. Ban hành văn bản gửi các chủ đầu tư các Nhà máy điện mặt trời mặt đất, Nhà máy điện mặt trời nổi ký kết hợp đồng mua bán điện trước ngày 01 tháng 01 năm 2021 và các Nhà máy điện gió trong đất liền, Nhà máy điện gió trên biển ký kết hợp đồng mua bán điện trước ngày 01 tháng 11 năm 2021 về việc cung cấp các báo cáo nghiên cứu khả thi, thiết kế kỹ thuật được thẩm định.
2. Trình Cục Điều tiết điện lực hồ sơ tính toán khung giá phát điện Nhà máy điện mặt trời mặt đất, Nhà máy điện mặt trời nổi, Nhà máy điện gió trong đất liền, Nhà máy điện gió trên biển theo quy định tại Điều 10 và Điều 11 Thông tư này.
Điều 15. Hiệu lực thi hành
1. Thông tư này có hiệu lực thi hành từ ngày 25 tháng 11 năm 2022.
2. Trường hợp các văn bản được dẫn chiếu tại Thông tư này được sửa đổi, bổ sung hoặc thay thế thì thực hiện theo văn bản sửa đổi, bổ sung hoặc thay thế đó.
3. Trong quá trình thực hiện, nếu phát sinh vướng mắc, tổ chức, cá nhân có trách nhiệm phản ánh về Bộ Công Thương để bổ sung, sửa đổi cho phù hợp./.
|
Nơi nhận: |
KT. BỘ TRƯỞNG THỨ TRƯỞNG
|
Phụ lục
CÁC THÔNG SỐ ĐƯỢC SỬ DỤNG TÍNH TOÁN KHUNG GIÁ PHÁT ĐIỆN
(Ban hành kèm theo Thông tư số 15/2022/TT-BCT ngày 03 tháng 10 năm 2022 của Bộ trưởng Bộ Công Thương)
I. Bảng thông số sử dụng trong tính toán giá phát điện của Nhà máy điện mặt trời chuẩn, Nhà máy điện gió chuẩn
|
TT |
Hạng mục |
Ký hiệu |
Thông số |
|
I |
Đời sống kinh tế |
|
|
|
1 |
Nhà máy điện mặt trời chuẩn |
nMT |
20 năm |
|
2 |
Nhà máy điện gió chuẩn |
nG |
20 năm |
|
II |
Thông số vận hành |
|
|
|
1 |
Hệ số phân bố chuẩn tương ứng với điện năng giao nhận bình quân nhiều năm theo kỳ vọng là 75% của Nhà máy điện gió chuẩn |
kpb,P75 |
0,674 |
|
III |
Tỷ lệ chi phí vận hành, bảo dưỡng cố định trong suất đầu tư (%) |
|
|
|
1 |
Nhà máy điện mặt trời nổi |
kMT |
1,5% |
|
2 |
Nhà máy điện mặt trời mặt đất |
kMT |
1,8% |
|
3 |
Nhà máy điện gió trong đất liền |
kG |
2,0% |
|
4 |
Nhà máy điện gió trên biển |
kG |
1,8% |
|
IV |
Tỷ lệ các nguồn vốn trong tổng vốn đầu tư của Nhà máy điện mặt trời, điện gió chuẩn (%) |
|
|
|
1 |
Tỷ lệ vốn vay |
D |
70 % |
|
2 |
Tỷ lệ vốn góp chủ sở hữu |
E |
30 % |
|
VI |
Thời gian trả nợ bình quân (năm) |
nD |
10 năm |
II. Bảng thông số chính của Nhà máy điện mặt trời chuẩn, Nhà máy điện gió chuẩn trong tính toán khung giá phát điện
|
TT |
Nội dung |
Ký hiệu |
Đơn vị tính |
|
I |
Chi phí vốn đầu tư xây dựng được quy đổi đều hàng năm |
|
đồng |
|
1 |
Suất đầu tư nhà máy điện |
SĐTMT,G |
đồng/kWp hoặc đồng/kW |
|
2 |
Công suất lắp đặt nhà máy điện |
PMT, PG |
kWp, kW |
|
II |
Đời sống kinh tế |
nMT, nG |
Năm |
|
III |
Điện năng bình quân năm tại điểm giao nhận |
Ebq |
kWh |
|
1 |
Các thông số vận hành (để tính toán Điện năng giao nhận bình quân hàng năm) |
|
|
|
IV |
Tỷ suất chiết khấu tài chính |
i |
% |
|
1 |
Tỷ lệ vốn vay ngoại tệ |
DF |
% |
|
2 |
Tỷ lệ vốn vay nội tệ |
DD |
% |
|
3 |
Lãi suất vốn vay ngoại tệ |
rd,F |
% |
|
4 |
Lãi suất vốn vay nội tệ |
rd,D |
% |
|
5 |
Tỷ suất lợi nhuận trước thuế |
re |
% |
|
5.1 |
Tỷ suất lợi nhuận sau thuế trên phần vốn góp chủ sở hữu |
re,pt |
% |
|
5.2 |
Thuế suất thuế thu nhập doanh nghiệp bình quân trong đời sống kinh tế |
t |
% |
|
A |
Giá cố định bình quân |
FC |
đồng/kWh |
|
Tổng chi phí vận hành và bảo dưỡng cố định |
|
đồng |
|
|
B |
Giá vận hành và bảo dưỡng cố định |
FOMC |
đồng/kWh |
|
C |
Giá phát điện (A+B) |
|
đồng/kWh |
Bạn chưa Đăng nhập thành viên.
Đây là tiện ích dành cho tài khoản thành viên. Vui lòng Đăng nhập để xem chi tiết. Nếu chưa có tài khoản, vui lòng Đăng ký tại đây!
Bạn chưa Đăng nhập thành viên.
Đây là tiện ích dành cho tài khoản thành viên. Vui lòng Đăng nhập để xem chi tiết. Nếu chưa có tài khoản, vui lòng Đăng ký tại đây!






