- Tổng quan
- Nội dung
- VB gốc
- Tiếng Anh
- Hiệu lực
- VB liên quan
- Lược đồ
-
Nội dung hợp nhất
Tính năng này chỉ có tại LuatVietnam.vn. Nội dung hợp nhất tổng hợp lại tất cả các quy định còn hiệu lực của văn bản gốc và các văn bản sửa đổi, bổ sung, đính chính... trên một trang. Việc hợp nhất văn bản gốc và những văn bản, Thông tư, Nghị định hướng dẫn khác không làm thay đổi thứ tự điều khoản, nội dung.
Khách hàng chỉ cần xem Nội dung hợp nhất là có thể nắm bắt toàn bộ quy định hiện hành đang áp dụng, cho dù văn bản gốc đã qua nhiều lần chỉnh sửa, bổ sung.
- Tải về
Thông tư 37/2009/TT-BXD của Bộ Xây dựng hướng dẫn phương pháp xác định và quản lý giá dịch vụ nhà chung cư
| Cơ quan ban hành: | Bộ Xây dựng |
Số công báo:
Số công báo là mã số ấn phẩm được đăng chính thức trên ấn phẩm thông tin của Nhà nước. Mã số này do Chính phủ thống nhất quản lý.
|
Đã biết
|
| Số hiệu: | 37/2009/TT-BXD | Ngày đăng công báo: |
Đã biết
|
| Loại văn bản: | Thông tư | Người ký: | Trần Văn Sơn |
|
Ngày ban hành:
Ngày ban hành là ngày, tháng, năm văn bản được thông qua hoặc ký ban hành.
|
01/12/2009 |
Ngày hết hiệu lực:
Ngày hết hiệu lực là ngày, tháng, năm văn bản chính thức không còn hiệu lực (áp dụng).
|
Đã biết
|
|
Áp dụng:
Ngày áp dụng là ngày, tháng, năm văn bản chính thức có hiệu lực (áp dụng).
|
Đã biết
|
Tình trạng hiệu lực:
Cho biết trạng thái hiệu lực của văn bản đang tra cứu: Chưa áp dụng, Còn hiệu lực, Hết hiệu lực, Hết hiệu lực 1 phần; Đã sửa đổi, Đính chính hay Không còn phù hợp,...
|
Đã biết
|
| Lĩnh vực: | Đất đai-Nhà ở , Xây dựng |
TÓM TẮT THÔNG TƯ 37/2009/TT-BXD
Giá dịch vụ nhà chung cư phải được 50% hộ dân cư nhất trí - Ngày 01/12/2009, Bộ Xây dựng ban hành Thông tư số 37/2009/TT-BXD hướng dẫn phương pháp xác định và quản lý giá dịch vụ nhà chung cư. Thông tư này hướng dẫn phương pháp xác định và quản lý giá dịch đối với nhà chung cư và nhà nhiều tầng có mục đích sử dụng hỗn hợp mà có phần diện tích là nhà ở (sau đây gọi chung là nhà chung cư); không bao gồm nhà chung cư xây dựng theo Quyết định số 65/2009/QĐ-TTg về một số cơ chế, chính sách phát triển nhà ở cho sinh viên các trường đại học, cao đẳng, trung cấp chuyên nghiệp và dạy nghề thuê; Quyết định số 66/2009/QĐ-TTg về một số cơ chế, chính sách phát triển nhà ở cho công nhân lao động tại các khu công nghiệp thuê; Quyết định số 67/2009/QĐ-TTg về một số cơ chế, chính sách phát triển nhà ở cho người có thu nhập thấp tại khu vực đô thị ngày 24/4/2009 của Thủ tướng Chính phủ. Theo Thông tư này, giá dịch vụ nhà chung cư được xác định theo nguyên tắc tính đúng, tính đủ các chi phí, một phần lợi nhuận định mức hợp lý để quản lý, vận hành nhà chung cư hoạt động bình thường nhưng phải phù hợp với thực tế kinh tế xã hội của từng địa phương và thu nhập của người dân từng thời kỳ và được trên 50% các thành viên trong ban quản trị nhà chung cư thông qua bằng hình thức biểu quyết hoặc bỏ phiếu kín. Đối với nhà chung cư chưa thành lập được ban quản trị thì giá dịch vụ nhà chung cư phải được trên 50% hộ dân cư đang sống tại nhà chung cư nhất trí thông qua bằng hình thức biểu quyết hoặc bỏ phiếu kín. Trường hợp giá dịch vụ nhà chung cư đã có thoả thuận trong hợp đồng mua bán căn hộ thì thực hiện như thoả thuận đó. Các chi phí sử dụng nhiên liệu, điện, nước, điện thoại, internet và các dịch vụ khác của từng căn hộ không tính trong giá dịch vụ nhà chung cư, mà do người sử dụng căn hộ trực tiếp chi trả với đơn vị cung cấp dịch vụ đó (nếu có hợp đồng sử dụng riêng) hoặc trả cho doanh nghiệp quản lý vận hành (nếu không có hợp đồng sử dụng riêng) theo khối lượng thực tế tiêu thụ và được tính toán cộng thêm phần hao hụt (nếu có). Chi phí bảo trì là toàn bộ chi phí cho việc duy tu, bảo dưỡng, sửa chữa nhỏ, sửa chữa vừa, sửa chữa lớn và sửa chữa đột xuất nhằm duy trì chất lượng của nhà chung cư và không tính vào giá dịch vụ nhà chung cư. Thông tư này có hiệu lực thi hành sau 45 ngày kể từ ngày ký.
Xem chi tiết Thông tư 37/2009/TT-BXD có hiệu lực kể từ ngày 15/01/2010
Tải Thông tư 37/2009/TT-BXD
THÔNG TƯ
CỦA BỘ XÂY DỰNG SỐ 37/2009/TT-BXD NGÀY 01 THÁNG 12 NĂM 2009
HƯỚNG DẪN PHƯƠNG PHÁP XÁC ĐỊNH VÀ QUẢN LÝ
GIÁ DỊCH VỤ NHÀ CHUNG CƯ
Căn cứ Luật Nhà ở số 56/2005/QH11 ngày 29/11/2005 của Quốc hội khoá 11;
Căn cứ Nghị định số 17/2008/NĐ-CP ngày 04/02/2008 của Chính phủ quy định chức năng, nhiệm vụ, quyền hạn và cơ cấu tổ chức của Bộ Xây dựng;
Bộ Xây dựng hướng dẫn phương pháp xác định và quản lý giá dịch vụ nhà chung cư, như sau:
CHƯƠNG I
QUY ĐỊNH CHUNG
Điều 1. Phạm vi điều chỉnh và đối tượng áp dụng
1. Phạm vi điều chỉnh : Thông tư này hướng dẫn phương pháp xác định và quản lý giá dịch vụ đối với nhà chung cư và nhà nhiều tầng có mục đích sử dụng hỗn hợp mà có phần diện tích là nhà ở (sau đây gọi chung là nhà chung cư); không bao gồm nhà chung cư xây dựng theo Quyết định số 65/2009/QĐ-TTg về một số cơ chế, chính sách phát triển nhà ở cho sinh viên các trường đại học, cao đẳng, trung cấp chuyên nghiệp và dạy nghề thuê; Quyết định số 66/2009/QĐ-TTg về một số cơ chế, chính sách phát triển nhà ở cho công nhân lao động tại các khu công nghiệp thuê; Quyết định số 67/2009/QĐ-TTg về một số cơ chế, chính sách phát triển nhà ở cho người có thu nhập thấp tại khu vực đô thị ngày 24/4/2009 của Thủ tướng Chính phủ.
2. Đối tượng áp dụng: Thông tư này áp dụng đối với các tổ chức, cá nhân có liên quan đến việc xác định, quản lý giá dịch vụ nhà chung cư.
1. Giá dịch vụ nhà chung cư được xác định theo nguyên tắc tính đúng, tính đủ các chi phí, một phần lợi nhuận định mức hợp lý để quản lý, vận hành nhà chung cư hoạt động bình thường; nhưng phải phù hợp với thực tế kinh tế xã hội của từng địa phương và thu nhập của người dân từng thời kỳ và được trên 50% các thành viên trong Ban quản trị nhà chung cư thông qua bằng hình thức biểu quyết hoặc bỏ phiếu kín. Đối với nhà chung cư chưa thành lập được Ban quản trị thì giá dịch vụ nhà chung cư phải được trên 50% hộ dân cư đang sống tại nhà chung cư nhất trí thông qua bằng hình thức biểu quyết hoặc bỏ phiếu kín. Trường hợp giá dịch vụ nhà chung cư đã có thoả thuận trong hợp đồng mua bán căn hộ thì thực hiện như thoả thuận đó.
2. Chi phí dịch vụ nhà chung cư trong giá dịch vụ nhà chung cư được thu, chi theo nguyên tắc tự thu, tự trang trải và công khai nhằm đảm bảo nhà chung cư hoạt động bình thường.
3. Các chi phí sử dụng nhiên liệu, điện, nước, điện thoại, internet và các dịch vụ khác của từng căn hộ không tính trong giá dịch vụ nhà chung cư, mà do người sử dụng căn hộ trực tiếp chi trả với đơn vị cung cấp dịch vụ đó (nếu có hợp đồng sử dụng riêng) hoặc trả cho doanh nghiệp quản lý vận hành (nếu không có hợp đồng sử dụng riêng) theo khối lượng thực tế tiêu thụ và được tính toán cộng thêm phần hao hụt (nếu có).
5. Nguồn thu từ kinh doanh các dịch vụ khác thuộc phần sở hữu chung của nhà chung cư (nếu có) được hạch toán theo đúng chế độ tài chính theo quy định của Bộ Tài chính và để bù đắp chi phí dịch vụ nhà chung cư nhằm mục đích giảm giá dịch vụ nhà chung cư.
6. Đối với dự án nhà chung cư có sử dụng dịch vụ cao cấp không thuộc phần sở hữu chung (như tắm hơi, bể bơi, sân tennis hoặc các dịch vụ cao cấp khác) thì do người sử dụng dịch vụ cao cấp đó thoả thuận với doanh nghiệp quản lý vận hành; và không tính vào giá dịch vụ nhà chung cư.
CHƯƠNG II
PHƯƠNG PHÁP XÁC ĐỊNH GIÁ DỊCH VỤ NHÀ CHUNG CƯ
Điều 3. Nội dung các chi phí cấu thành giá dịch vụ nhà chung cư
1. Nội dung dịch vụ nhà chung cư gồm các hoạt động cung cấp các dịch vụ như: điều khiển và duy trì hoạt động của hệ thống trang thiết bị thuộc phần sở hữu chung hoặc sử dụng chung nhà chung cư, bảo vệ, vệ sinh, thu gom rác thải, chăm sóc vườn hoa, cây cảnh, diệt côn trùng và các dịch vụ khác đảm bảo cho nhà chung cư hoạt động bình thường.
2. Giá dịch vụ nhà chung cư, bao gồm:
2.1. Chi phí dịch vụ nhà chung cư (gồm chi phí trực tiếp, chi phí quản lý chung của doanh nghiệp quản lý vận hành, chi phí cho Ban quản trị (nếu có);
2.2. Lợi nhuận định mức hợp lý;
2.3. Thuế giá trị gia tăng.
3. Nội dung các chi phí cấu thành giá dịch vụ nhà chung cư :
3.1. Chi phí dịch vụ nhà chung cư, bao gồm:
3.1.1. Chi phí trực tiếp :
a) Chi phí sử dụng năng lượng, nguyên, nhiên, vật liệu và các chi phí khác (nếu có) để phục vụ công tác vận hành nhà chung cư (bao gồm thang máy, máy bơm nước, máy phát điện dự phòng, hệ thống hạ tầng kỹ thuật và các trang thiết bị khác);
b) Chi phí nhân công điều khiển và duy trì hoạt động của hệ thống trang thiết bị nhà chung cư (bao gồm thang máy, máy bơm nước, máy phát điện dự phòng, hệ thống hạ tầng kỹ thuật và các trang thiết bị khác);
c) Chi phí cho các dịch vụ trong khu nhà chung cư như: bảo vệ, vệ sinh môi trường, thu gom rác thải, chăm sóc vườn hoa, cây cảnh, diệt côn trùng và các dịch vụ khác (nếu có) được xác định trên cơ sở khối lượng công việc cần thực hiện và mức giao khoán thoả thuận trong hợp đồng dịch vụ;
d) Chi phí điện chiếu sáng công cộng, nước công cộng trong khu nhà chung cư;
e) Chi phí văn phòng phẩm, bàn ghế, phòng làm việc, chi phí điện, nước sinh hoạt và một số chi phí khác của bộ phận quản lý nhà chung cư.
3.1.2. Chi phí quản lý chung của doanh nghiệp quản lý vận hành được phân bổ vào giá dịch vụ nhà chung cư, bao gồm:
a) Chi phí tiền lương, tiền công và các khoản phụ cấp lương, chi phí BHXH, bảo hiểm y tế, kinh phí công đoàn và các khoản trích nộp khác từ quỹ lương trả cho bộ phận quản lý của doanh nghiệp :
- Chi phí tiền lương được xác định trên cơ sở định biên cán bộ công nhân viên và mức lương, phụ cấp lương, các khoản trích nộp khác từ quỹ lương theo quy định hiện hành của Nhà nước;
- Chi phí tiền công được xác định trên cơ sở hợp đồng lao động hoặc thoả ước lao động tập thể giữa doanh nghiệp quản lý vận hành với người lao động.
- Chi phí BHXH, bảo hiểm y tế, kinh phí công đoàn của cán bộ công nhân viên theo quy định hiện hành của Nhà nước.
b) Chi phí khấu hao TSCĐ của doanh nghiệp quản lý vận hành. Việc trích, quản lý và sử dụng khấu hao TSCĐ theo quy định của Bộ Tài chính.
3.1.3. Chi phí cho Ban quản trị, bao gồm chi phí phụ cấp trách nhiệm cho các thành viên Ban quản trị và các chi phí hợp lý khác phục vụ cho hoạt động của Ban quản trị.
3.2. Lợi nhuận định mức hợp lý cho doanh nghiệp quản lý, vận hành nhà chung cư được tính tối đa là 10% chi phí dịch vụ nhà chung cư sau khi trừ đi khoản thu được từ kinh doanh, dịch vụ các diện tích thuộc phần sở hữu chung của nhà chung cư (chưa bao gồm thuế giá trị gia tăng).
3.3. Thuế giá trị gia tăng: Theo quy định hiện hành của Nhà nước.
Điều 4. Xác định giá dịch vụ nhà chung cư
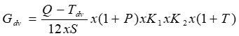
Công thức xác định:

Trong đó :
Gdv - Giá dịch vụ nhà chung cư cho 1m2 diện tích sàn sử dụng thuộc sở hữu riêng của chủ căn hộ hoặc diện tích sàn sử dụng thuộc phần sở hữu riêng khác (đồng/m2/tháng) (đã bao gồm thuế GTGT);
Q – Tổng chi phí dịch vụ nhà chung cư hàng năm (đồng/năm) (chưa bao gồm thuế GTGT);
Tdv – Khoản thu được từ kinh doanh, dịch vụ các diện tích thuộc phần sở hữu chung của nhà chung cư hàng năm (nếu có) (đồng/năm);
S – Tổng diện tích sàn sử dụng thuộc sở hữu riêng của chủ căn hộ và diện tích sàn sử dụng thuộc phần sở hữu riêng khác (nếu có) (m2);
12 – Tổng số tháng tính giá sử dụng dịch vụ trong năm;
P – Lợi nhuận định mức hợp lý (đơn vị tính %);
K1 – Hệ số giảm giá do doanh nghiệp quản lý vận hành hỗ trợ giảm giá dịch vụ (nếu có);
K2 – Hệ số phân bổ giá dịch vụ nhà chung cư (đối với những diện tích sàn sử dụng ngoài mục đích ở như văn phòng, thương mại…) do Ban quản trị nhà chung cư quy định (nếu có);
T – Thuế suất thuế giá trị gia tăng.
Điều 5. Xác định giá dịch vụ nhà chung cư không do doanh nghiệp quản lý vận hành
Đối với nhà chung cư không do doanh nghiệp quản lý vận hành thì chi phí dịch vụ nhà chung cư không bao gồm chi phí quản lý chung của doanh nghiệp quản lý vận hành được quy định tại khoản 3.1.2 điều 3 của Thông tư này.
CHƯƠNG III
QUẢN LÝ GIÁ DỊCH VỤ NHÀ CHUNG CƯ
Điều 6. Chủ đầu tư, doanh nghiệp quản lý vận hành, Ban quản trị nhà chung cư có trách nhiệm
1. Chủ đầu tư dự án nhà chung cư căn cứ mức thu tối đa (giá trần) hoặc khung giá dịch vụ do UBND cấp tỉnh quy định để tính toán hiệu quả khi lập dự án và lập phương án mức thu giá dịch vụ để làm cơ sở ký kết hợp đồng mua bán căn hộ nhà chung cư, hợp đồng cung cấp dịch vụ nhà chung cư;
2. Doanh nghiệp quản lý vận hành chủ động tính toán, xác định giá dịch vụ nhà chung cư theo hướng dẫn tại Thông tư này để trình Chủ đầu tư (nếu có) hoặc đơn vị quản lý nhà chung cư làm cơ sở thông qua Ban quản trị nhà chung cư hoặc các hộ dân cư đang sống tại nhà chung cư.
3. Ban quản trị nhà chung cư có trách nhiệm theo dõi, giám sát việc quản lý vận hành theo nội dung hợp đồng đã ký kết; nghiệm thu, thanh toán và thanh lý hợp đồng với doanh nghiệp quản lý vận hành; trực tiếp thu hoặc uỷ quyền cho doanh nghiệp quản lý vận hành thu giá dịch vụ nhà chung cư.
Điều 7. Căn cứ điều chỉnh giá dịch vụ nhà chung cư
1. Điều kiện phát triển kinh tế – xã hội của đất nước, địa phương và thu nhập bình quân đầu người trong từng thời kỳ;
2. Quan hệ cung, cầu về số lượng dịch vụ, chất lượng dịch vụ nhà chung cư;
3. Sự biến động của giá cả thị trường hoặc sự thay đổi về cơ chế chính sách của Nhà nước làm tăng (giảm) 10% chi phí dịch vụ nhà chung cư và lợi nhuận hợp lý của doanh nghiệp quản lý vận hành.
CHƯƠNG IV
TỔ CHỨC THỰC HIỆN
Điều 8. Trách nhiệm của các cơ quan quản lý nhà nước
1. Bộ Xây dựng chủ trì, phối hợp cùng các Bộ, ngành, UBND cấp tỉnh hướng dẫn, định kỳ tổ chức kiểm tra, giám sát việc triển khai thực hiện các nội dung của Thông tư này.
2. Ủy ban nhân dân cấp tỉnh có trách nhiệm:
2.1. Căn cứ vào tình hình thực tế của địa phương, chi phí hợp lý của các dịch vụ nhà chung cư để quy định mức thu tối đa (giá trần) hoặc khung giá dịch vụ nhà chung cư theo từng cấp nhà, hạng nhà chung cư, chất lượng dịch vụ và tình hình thực tế của địa phương để áp dụng trên địa bàn tỉnh; đồng thời báo cáo về Bộ Xây dựng để theo dõi, kiểm tra.
2.2. Căn cứ tình hình Ngân sách địa phương, thu nhập thực tế của người dân trong từng thời kỳ trên địa bàn và để khuyến khích người dân ở nhà chung cư nhằm tiết kiệm quỹ đất, Ủy ban nhân dân cấp tỉnh xem xét quyết định việc hỗ trợ một phần giá dịch vụ nhà chung cư.
2.3. Quyết định hoặc uỷ quyền cho Sở Xây dựng, UBND cấp huyện phê duyệt giá dịch vụ nhà chung cư khi có tranh chấp về giá dịch vụ nhà chung cư trên địa bàn.
2.4. Xem xét, rà soát điều chỉnh mức giá tối đa hoặc khung giá dịch vụ nhà chung cư cho phù hợp với tình hình thực tế.
2.5. Tổ chức, chỉ đạo, giám sát và kiểm tra việc thực hiện các quy định của Thông tư này trên địa bàn tỉnh.
Điều 9. Trách nhiệm của các tổ chức, cá nhân có liên quan đến việc xác định, quản lý giá dịch vụ nhà chung cư
1. Doanh nghiệp quản lý vận hành có trách nhiệm :
a) Tổ chức quản lý, vận hành và cung cấp các dịch vụ theo đúng thoả thuận trong hợp đồng, đảm bảo an toàn, an ninh, trật tự, tạo lập nếp sống văn minh đô thị cho người dân sinh sống trong khu chung cư; đồng thời duy trì chất lượng, kiến trúc, cảnh quan, vệ sinh môi trường của khu nhà chung cư;
b) Tổ chức thu, chi, hạch toán giá dịch vụ nhà chung cư và các nguồn thu, chi khác đảm bảo công khai, minh bạch theo đúng quy định của Nhà nước.
2. Ban quản trị nhà chung cư có trách nhiệm :
a) Giám sát việc thực hiện hợp đồng của doanh nghiệp quản lý vận hành; đồng thời định kỳ hàng năm hoặc đột xuất báo cáo UBND cấp tỉnh, UBND cấp huyện việc thu, chi liên quan đến giá dịch vụ nhà chung cư nếu UBND cấp đó yêu cầu. Đồng thời, phải niêm yết công khai việc thu, chi giá dịch vụ nhà chung cư cho người dân biết theo định kỳ mỗi năm/1 lần hoặc báo cáo đột xuất nếu có trên 50% số hộ dân yêu cầu.
b) Kiểm tra các báo cáo thu, chi tài chính về quản lý vận hành do doanh nghiệp quản lý vận hành thực hiện theo hợp đồng đã ký kết và báo cáo với Hội nghị nhà chung cư theo quy định.
3. Trường hợp, giá dịch vụ nhà chung cư sau khi được tính đúng, tính đủ theo quy định ở Điều 2 cao hơn mức giá hoặc khung giá dịch vụ nhà chung cư do UBND cấp tỉnh ban hành mà được trên 50% hộ dân cư đang sống tại nhà chung cư hoặc được trên 50% thành viên trong Ban quản trị nhà chung cư nhất trí thông qua thì thực hiện theo mức giá và chất lượng dịch vụ như thoả thuận giữa doanh nghiệp quản lý vận hành và các hộ dân cư; đồng thời báo cáo UBND cấp tỉnh và Bộ Xây dựng để theo dõi, kiểm tra.
4. Trường hợp xảy ra tranh chấp về giá dịch vụ nhà chung cư thì doanh nghiệp quản lý vận hành được tạm thu theo mức giá trần hoặc giá trong khung giá dịch vụ nhà chung cư do UBND cấp tỉnh ban hành cho đến khi giải quyết xong tranh chấp.
5. Khuyến khích các tổ chức, cá nhân khác thực hiện xác định và quản lý giá dịch vụ nhà chung cư theo các quy định của Thông tư này.
Điều 10. Điều khoản thi hành
1. Thông tư này có hiệu lực thi hành sau 45 ngày, kể từ ngày ký.
2. Quá trình thực hiện nếu có vướng mắc, đề nghị tổ chức, cá nhân có liên quan gửi ý kiến phản ánh về Bộ Xây dựng để xem xét, hướng dẫn./.
KT. BỘ TRƯỞNG
THỨ TRƯỞNG
Trần Văn Sơn
Bạn chưa Đăng nhập thành viên.
Đây là tiện ích dành cho tài khoản thành viên. Vui lòng Đăng nhập để xem chi tiết. Nếu chưa có tài khoản, vui lòng Đăng ký tại đây!
Bạn chưa Đăng nhập thành viên.
Đây là tiện ích dành cho tài khoản thành viên. Vui lòng Đăng nhập để xem chi tiết. Nếu chưa có tài khoản, vui lòng Đăng ký tại đây!