Danh mục
|
Tổng đài trực tuyến 19006192
|
|
  • Tổng quan
  • Nội dung
  • Tiêu chuẩn liên quan
  • Lược đồ
  • Tải về
Lưu
Đây là tiện ích dành cho tài khoản Tiêu chuẩn hoặc Nâng cao Vui lòng Đăng nhập tài khoản để xem chi tiết.
Theo dõi VB
Đây là tiện ích dành cho tài khoản Tiêu chuẩn hoặc Nâng cao Vui lòng Đăng nhập tài khoản để xem chi tiết.
Ghi chú
Báo lỗi
In

Tiêu chuẩn quốc gia TCVN 14148:2024 Thuốc bảo vệ thực vật - Xác định hàm lượng hoạt chất bằng phương pháp sắc ký khí

Số hiệu: TCVN 14148:2024 Loại văn bản: Tiêu chuẩn Việt Nam
Cơ quan ban hành: Bộ Khoa học và Công nghệ Lĩnh vực: Công nghiệp , Nông nghiệp-Lâm nghiệp
Ngày ban hành:
Ngày ban hành là ngày, tháng, năm văn bản được thông qua hoặc ký ban hành.
20/12/2024
Hiệu lực:
Đã biết
Tiện ích dành cho tài khoản Tiêu chuẩn hoặc Nâng cao. Vui lòng Đăng nhập tài khoản để xem chi tiết.
Người ký: Đang cập nhật
Tình trạng hiệu lực:
Cho biết trạng thái hiệu lực của văn bản đang tra cứu: Chưa áp dụng, Còn hiệu lực, Hết hiệu lực, Hết hiệu lực 1 phần; Đã sửa đổi, Đính chính hay Không còn phù hợp,...
Đã biết
Tiện ích dành cho tài khoản Tiêu chuẩn hoặc Nâng cao. Vui lòng Đăng nhập tài khoản để xem chi tiết.

TÓM TẮT TIÊU CHUẨN VIỆT NAM TCVN 14148:2024

Nội dung tóm tắt đang được cập nhật, Quý khách vui lòng quay lại sau!

Tải tiêu chuẩn Việt Nam TCVN 14148:2024

Tải văn bản tiếng Việt (.pdf) Tiêu chuẩn Việt Nam TCVN 14148:2024 PDF (Bản có dấu đỏ)

Đây là tiện ích dành cho tài khoản thành viên. Vui lòng Đăng nhập để xem chi tiết. Nếu chưa có tài khoản, Đăng ký tại đây!

Tải văn bản tiếng Việt (.doc) Tiêu chuẩn Việt Nam TCVN 14148:2024 DOC (Bản Word)

Đây là tiện ích dành cho tài khoản thành viên. Vui lòng Đăng nhập để xem chi tiết. Nếu chưa có tài khoản, Đăng ký tại đây!

Tình trạng hiệu lực: Đã biết
bgdocquyen
Hiệu lực: Đã biết
Tình trạng hiệu lực: Đã biết

TIÊU CHUẨN QUỐC GIA

TCVN 14148:2024

THUỐC BẢO VỆ THỰC VẬT - XÁC ĐỊNH HÀM LƯỢNG HOẠT CHẤT BẰNG PHƯƠNG PHÁP SẮC KÝ KHÍ

Pesticides - Determination of pesticides content by gas chromatography

Lời nói đầu

TCVN 14148:2024 thay thế cho các TCVN 8143:2009, TCVN 8144: 2009, TCVN 8386:2010, TCVN 8385:2010, TCVN 9483:2012, TCVN 9479:2012, TCVN 9482:2012, TCVN 10161:2013, TCVN 10163:2013, TCVN 10162:2013, TCVN 8752:2014, TCVN 10986:2016, TCVN 11735:2016, TCVN 10984:2016, TCVN 10983:2016, TCVN 11729:2016, TCVN 10987:2016, TCVN 11733:2016, TCVN 12477: 2018, TCVN 12565:2018, TCVN 12567:2018, TCVN 12786:2019, TCVN 13262-5:2021.

TCVN 14148:2024 do Cục Bảo vệ thực vật biên soạn, Bộ Nông nghiệp và Phát triển nông thôn đề nghị, Tổng cục Tiêu chuẩn Đo lường Chất lượng thẩm định, Bộ Khoa học và Công nghệ công bố.

 

THUỐC BẢO VỆ THỰC VẬT - XÁC ĐỊNH HÀM LƯỢNG HOẠT CHẤT BẰNG PHƯƠNG PHÁP SẮC KÝ KHÍ

Pesticides - Determination of pesticides content by gas chromatography

1  Phạm vi áp dụng

Tiêu chuẩn này quy định phương pháp xác định hàm lượng các hoạt chất thuốc bảo vệ thực vật (xem Phụ lục A) bằng phương pháp sắc ký khí (GC) với detector ion hóa ngọn lửa (FID).

Tiêu chuẩn này không áp dụng để xác định các hoạt chất thuốc bảo vệ thực vật bằng phương pháp sắc ký khí (GC) với detector ion hóa ngọn lửa (FID) đã có tiêu chuẩn cụ thể.

Tiêu chuẩn này cũng có thể áp dụng để xác định hàm lượng các hoạt chất thuốc bảo vệ thực vật dễ bay hơi không có trong danh mục phụ lục A, khi đó cần tiến hành khảo sát điều kiện phân tích trước khi áp dụng.

2  Tài liệu viện dẫn

Các tài liệu viện dẫn sau là rất cần thiết cho việc áp dụng tiêu chuẩn này. Đối với các tài liệu viện dẫn ghi năm công bố thì áp dụng phiên bản được nêu. Đối với tài liệu viện dẫn không ghi năm công bố thì áp dụng phiên bản mới nhất, bao gồm cả các sửa đổi (nếu có).

TCVN 4851:1989 (ISO 3696-1987), Nước dùng để phân tích trong phòng thí nghiệm - Yêu cầu kỹ thuật và phương pháp thử.

TCVN 8050: 2016, Nguyên liệu và thành phẩm thuốc bảo vệ thực vật - Yêu cầu kỹ thuật và phương pháp thử.

3  Nguyên tắc

Hàm lượng hoạt chất thuốc bảo vệ thực vật được xác định bằng phương pháp sắc ký khí với detector ion hoá ngọn lửa (FID), sử dụng nội chuẩn, dùng phương pháp một điểm chuẩn đối với phân tích mẫu có hàm lượng hoạt chất 1% và sử dụng đường chuẩn đối với phân tích mẫu có hàm lượng hoạt chất thấp < 1%. Kết quả đnh danh được xác định dựa trên sự so sánh giữa thời gian lưu của pic mẫu thử và pic mẫu chuẩn. Kết quả định lượng được xác định theo phương pháp nội chuẩn.

CHÚ THÍCH

Đối với các hoạt chất đã được khảo sát nêu trong phụ lục A: Dùng dioctyl phthalate (DOP) hoặc n-dibutylphthalate (DBP) hoặc etofenprox (ETP) làm nội chuẩn.

Đối với các hoạt chất không thuộc phụ lục A: cần dựa vào nhiệt độ bay hơi để lựa chọn điều kiện phân tích và nội chuẩn sử dụng cho phù hợp.

Trong trường hợp áp dụng điều kiện phân tích cho đồng thời nhiều hoạt chất thì phải đánh giá sự phân tách thời gian lưu của các hoạt chất đó.

4  Hoá chất và thuốc thử

Chỉ sử dụng các thuốc thử tinh khiết phân tích, nước dùng trong quá trình phân tích đạt loại 3 theo TCVN 4851 (ISO 3696) hoặc có độ tinh khiết tương đương.

4.1  Các chất chuẩn hoạt chất thuốc bảo vệ thực vật, có giấy chứng nhận chất lượng

4.2  Chất nội chuẩn

LƯU Ý: Có thể sử dụng một số nội chuẩn phù hợp với điều kiện phân tích của phòng thí nghiệm. Chọn nội chuẩn phù hợp với dải nhiệt độ bay hơi của mỗi hoạt chất (Xem thêm Phụ lục A).

4.2.1  n-dibutylphthalate (DBP), C16H22O4, có độ tinh khiết không nhỏ hơn 99%

4.2.2  Dioctyl phthalate (DOP), C24H38O4, có độ tinh khiết không nhỏ hơn 99%.

4.2.3  Etofenprox (ETP), C25H28O3, có độ tinh khiết không nhỏ hơn 99%.

4.3  Dung môi

4.3.1  Axeton (CH3COCH3), có độ tinh khiết không nhỏ hơn 99,5%.

Dùng để hòa tan các hoạt chất phân tích trừ hoạt chất 1-triacotanol và metaldehyde.

4.3.2  Axetonitrin (C2H3N), dùng cho sắc ký.

Dùng để hòa tan hoạt chất metaldehyde.

4.3.3  Chloroform (CHCl3), dùng cho sắc ký.

Dùng để hòa tan hoạt chất 1-triacotanol.

4.4  Khí nitơ (N2), có độ tinh khiết không nhỏ hơn 99,99%.

4.5  Khí hydro (H2), có độ tinh khiết không nhỏ hơn 99,99%.

Hoặc khí Heli (He), có độ tinh khiết không nhỏ hơn 99,99%

4.6  Không khí nén, dùng cho máy sắc ký khí.

4.7  Dung dịch nội chuẩn

4.7.1  Dung dịch nội chuẩn trong trường hợp phân tích mẫu có hàm lượng hoạt chất ≥ 1%, nồng độ 10,00 mg/ml.

Dùng cân phân tích (5.3) cân khoảng 1,00 g chất nội chuẩn DBP (4.2.1), hoặc DOP (4.2.2), hoặc ETP (4.2.3) chính xác tới 0,00001 g vào bình định mức dung tích 100 ml (5.1), hoà tan và định mức tới vạch bằng axeton (4.3). Đặt vào bể siêu âm (5.6), siêu âm trong 5 min, để ổn định đến nhiệt độ phòng- Dung dịch nội chuẩn A1.

4.7.2  Dung dịch nội chuẩn trong trường hợp phân tích mẫu có hàm lượng hoạt chất thấp hơn 1 %, nồng độ 1 mg/ml

Dùng pipet (5.2) hút chính xác 1 ml dung dịch nội chuẩn A1 vào bình định mức dung tích 10 ml (5.1), hoà tan và định mức tới vạch bằng axeton (4.3). Đặt vào bể siêu âm (5.6), siêu âm trong 5 min, đ ổn định đến nhiệt độ phòng - Dung dịch nội chuẩn A2.

4.8  Dung dịch chuẩn làm việc

4.8.1  Dung dịch chuẩn làm việc trong trường hợp phản tích mẫu có hàm lượng hoạt chất ≥ 1%

Dùng cân phân tích (5.3) cân khoảng 0,01 g chất chuẩn (4.1) chính xác tới 0,00001 g vào bình định mức dung tích 10 ml (5.1), dùng pipet (5.2) thêm chính xác 1 ml dung dịch nội chuẩn A1 (4.7.1) tương ứng với chất chuẩn (2), hoà tan và định mức đến vạch bằng dung môi (4.3). Đặt vào bể siêu âm (5.6) siêu âm trong 5 min, để nguội đến nhiệt độ phòng. Lọc qua màng lọc (5.4) bằng xy ranh lọc mẫu (5.5) (nếu cần) trước khi bơm vào thiết bị.

4.8.2  Dung dịch chuẩn làm việc trong trường hợp phân tích mẫu có hàm lượng hoạt chất < 1%

Dùng cân phân tích (5.3) cân khoảng 0,01 g chất chuẩn (4.1) chính xác tới 0,00001 g vào bình định mức dung tích 10 ml (5.1), định mức tới vạch bằng dung môi (4.3). Đặt vào bể siêu âm (5.6) siêu âm trong 5 min, để nguội đến nhiệt độ phòng - Dung dịch B1, nồng độ khoảng 1 mg/ml (1000 μg/ml).

Tiếp tục tiến hành pha loãng liên tục dung dịch B1 thành dãy chuẩn làm việc có nồng độ là 5, 10, 20, 50, 80 (μg/ml) trong bình định mức dung tích 10 ml (5.1), dùng pipet (5.2) thêm chính xác 1 ml dung dịch nội chuẩn A2 (4.7.2) tương ứng với chất chuẩn, hoà tan và định mức đến vạch bằng axeton (4.3). Đặt vào bể siêu âm (5.6) siêu âm trong 5 min, để nguội đến nhiệt độ phòng.

CHÚ THÍCH:

- Chất chuẩn bảo qun trong tủ lạnh phải được đưa về nhiệt độ phòng trước khi cân.

- Nếu sử dụng cân có cp chính xác 0,0001g thì lượng mẫu và chuẩn tăng lên 10 lần.

- (2) Nội chuẩn tương ứng với chất chuẩn và hoạt cht cn phân tích được liệt kê trong bảng 2-phụ lục.

5  Dụng cụ, thiết bị

Sử dụng các thiết bị, dụng cụ thông thường của phòng thử nghiệm cụ thể như sau:

5.1  Bình định mức, dung tích 10 ml, 100 ml

5.2  Pipet chia vạch, dung tích 1 ml, 2 ml

5.3  Cân phân tích, có độ chính xác đến 0,00001 g hoặc 0,0001 g

5.4  Màng lọc PTFE, có kích thước lỗ 0,45 μm

5.5  Xyranh lọc mẫu, dung tích 5 ml, dùng cho màng lọc PTFE (5.4)

5.6  Bể siêu âm, tần số siêu âm 37 - 80kHz.

5.7  Xyranh bơm mẫu, dung tích 10 μl, chia vạch đến 0,2 μl hoặc bơm mẫu tự động.

5.8  Thiết bị sắc ký khí, được trang bị như sau:

- Detector ion hoá ngọn lửa (FID);

- Injector chia dòng và không chia dòng;

- Cột mao quản ZB-50 (50% phenyl 50% methylpolysiloxane), có chiều dài 30 m, đường kính trong 0,32 mm, chiều dày pha tĩnh 0,25 μm. Hoặc loại cột tương đương phù hợp để sử dụng trong phân tích các hoạt chất cần phân tích.

- Bộ bơm mẫu tự động hoặc bơm mẫu thủ công;

- Máy tích phân kế hoặc máy vi tính.

5.9  Rây, đường kính lỗ 0,2 mm

5.10  Máy nghiền mẫu

5.11  Micro pipet, dung tích 100 - 1000 μl

6  Cách tiến hành

6.1  Lấy mẫu và chuẩn bị mẫu

6.1.1  Lấy mẫu

Tiêu chuẩn này không quy định việc lấy mẫu, nên lấy mẫu theo TCVN 12017:2017 Thuốc bảo vệ thực vật - Lấy mẫu

6.1.2  Chuẩn bị mẫu

Mẫu cần được làm đồng nhất trước khi cân: đối với mẫu dạng lỏng phải lắc đều, nếu bị đông đặc do nhiệt độ thấp cần được làm tan chảy ở nhiệt độ phòng; đối với mẫu dạng bột thì phải trộn đều, mẫu dạng hạt phải được trộn đều và nghiền bằng máy nghiền mẫu (5.10) rồi rây qua rây cỡ lỗ 0,2 mm (5.9).

6.1.3  Chuẩn bị dung dịch mẫu thử

6.1.3.1  Chuẩn bị dung dịch mẫu thử với mẫu có hàm lượng hoạt chất ≥ 1%

Dùng cân phân tích (5.3) cân mẫu thử có chứa khoảng 0,01 g hoạt chất cần phân tích, chính xác đến 0,00001 g vào bình định mức dung tích 10 ml (5.1), dùng pipet (5.2) thêm chính xác 1 ml dung dịch nội chuẩn A1 (4.7.1), hòa tan và định mức tới vạch bằng dung môi (4.3). Đặt vào bể siêu âm (5.6) siêu âm 5 min. Để nguội đến nhiệt độ phòng, lọc qua màng lọc (5.4) bằng xy ranh lọc mẫu (5.5) trước khi bơm vào thiết bị.

6.1.3.2  Chuẩn bị dung dịch mẫu thử với mẫu có hàm lượng hoạt chất < 1 %

Dùng cân phân tích (5.3) cân khoảng từ 0,5 g đến 2,0 g mẫu, chính xác đến 0,0001 g vào bình định mức dung tích 10 ml (5.1), dùng pipet (5.2) thêm chính xác 1 ml dung dịch nội chuẩn A2 (4.7.2), hòa tan và định mức tới vạch bằng dung môi (4.3). Đặt vào bể siêu âm (5.6) siêu âm 5 min. Đ nguội đến nhiệt độ phòng, lọc qua màng lọc (5.4) bằng xy ranh lọc mẫu (5.5) trước khi bơm vào thiết bị.

6.2  Xác định hàm lượng hoạt chất

6.2.1  Điều kiện phân tích

Bảng 1 - Tổng hợp các điều kiện phân tích

Điều kiện phân tích

Điều kiện 1

Điều kiện 2

Điều kiện 3

Điều kiện 4

Điều kiện 5

Điều kiện 6

Điều kiện 7

Điều kiện 8

Khí

Tốc độ dòng khí mang nitơ (4.4) (mL/min)

2

1,8

2

2,1

2

1,8

2

1,5

Tốc độ dòng khí nitơ (4.4) bổ trợ detector (mL/min)

10

10

10

20

10

25

10

10

Tốc độ dòng khí hydro (4.5) (mL/min):

40

30

30

35

40

25

30

35

Tốc độ dòng khí nén (4.6) (mL/min)

250

250

250

350

250

300

250

250

Buồng bơm mẫu - Bơm mẫu tự động

Nhiệt độ buồng bơm mẫu (°C)

250

250

250

250

250

250

250

250

Thể tích bơm mẫu (μL)

1

1

1

1

1

1

1

1

Tỷ lệ chia dòng

10:1

10:1

10:1

15: 1

10:1

15:1

10:1

10:1

Detector

Nhiệt độ detector (°C)

300

300

300

300

280

300

300

240

Chu trình lò nhiệt

Nhiệt độ cột ban đầu (°C):

170

150

190

190

100

100

150

100

Thời gian giữ nhiệt độ ban đầu (min)

0,5

0,5

0,5

0,5

4

3

4

2

Tốc độ tăng nhiệt độ (°C/min):

25

20

30

40

20

45

30

50

Nhiệt độ cột (°C)

-

-

-

-

-

-

-

220

Thời gian giữ nhiệt độ (min)

-

-

-

-

-

-

-

2

Tốc độ tăng nhiệt độ (°C/min)

-

-

-

-

-

-

-

50

Nhiệt độ cột cuối (°C)

300

280

300

310

290

300

300

300

Thời gian giữ nhiệt độ cuối (min)

5

5

10

12

5

1

5

4

Tổng hợp các điều kiện phân tích trên áp dụng chuẩn xác cho trường hợp các mẫu chứa một hoạt chất. Điều kiện phân tích có thể thay đổi tùy theo nền mẫu, điều kiện phòng thí nghiệm, dựa trên di nhiệt độ bay hơi của mỗi hoạt chất (tham khảo bảng 3-phụ lục) và phải được đánh giá sự thay đổi này trước khi áp dụng.

6.2.2  Xác định

6.2.2.1  Mẫu thử có hàm lượng hoạt chất ≥ 1%

Dùng xyranh (5.7) bơm dung dịch chuẩn làm việc (4.8.1) cho đến khi thời gian lưu của pic và tỷ lệ giữa s đo diện tích của pic mẫu chuẩn với pic nội chuẩn thay đổi không lớn hơn 1%. Sau đó, bơm lần lượt dung dịch chuẩn làm việc (4.8.1) và dung dịch mẫu thử (6.1.3.1), lặp lại 2 lần (tỷ lệ giữa số đo diện tích của pic mẫu chuẩn với pic nội chuẩn thay đổi không lớn hơn 1 % so với giá trị ban đầu). Tỷ lệ giữa số đo diện tích của pic hoạt chất với pic nội chuẩn trong mẫu thử nằm trong khoảng từ 70 % đến 130 % so với tỷ lệ trong mẫu chuẩn.

6.2.2.2  Mẫu thử có hàm lượng hoạt chất < 1 %

Dùng xy ranh (5.7) bơm dung dịch chuẩn làm việc có nồng độ 5 (μg/ml) (4.8.2) cho đến khi thời gian lưu của pic và tỷ lệ giữa số đo diện tích của pic mẫu chuẩn với pic nội chuẩn thay đổi không lớn hơn 1%. Sau đó, bơm lần lượt dung dịch chuẩn trong dãy dung djch chuẩn làm việc (4.8.2) để dựng đường chuẩn (tương quan giữa tỷ lệ diện tích pic mẫu chuẩn với pic nội chuẩn và nồng độ chất chuẩn). Bơm dung dịch mẫu thử (6.1.3.2) lặp lại 2 lần. Nếu nồng độ của mẫu thử nằm ngoài đường chuẩn thì điều chnh bằng cách pha loãng dung dịch mẫu thử bằng axeton trước khi thêm dung dịch nội chuẩn.

7  Tính kết quả

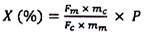
Hàm lượng hoạt chất cần phân tích trong mẫu có hàm lượng hoạt chất 1%, X, biểu thị bằng phần trăm khối lượng (%), được tính theo công thức (1):

(1)

Trong đó:

Fm

là giá trị trung bình của tỉ số số đo diện tích của pic mẫu thử với pic nội chuẩn;

Fc

là giá trị trung bình của tỉ số số đo diện tích của pic mẫu chuẩn với pic nội chuẩn;

mc

là lượng cân mẫu chuẩn, tính bằng gam (g);

mm

là lượng cân mẫu thử, tính bằng gam (g);

P

là độ tinh khiết của chất chuẩn, tính bằng phần trăm (%).

Hàm lượng hoạt chất cần phân tích trong mẫu có hàm lượng hoạt chất < 1%, x, biểu thị bằng phần trăm khối lượng (%), được tính theo công thức (2):

(2)

Trong đó,

xo

là nồng độ hoạt chất cần phân tích trong dung dịch mẫu tính theo đường chuẩn, μg/ml;

Vđm

là thể tích pha loãng mẫu, tính bằng ml;

mm

là khối lượng mẫu thử, tính bằng gam (g).

Tiêu chuẩn này cũng áp dụng cho xác định hàm lượng hoạt chất các dạng muối, acid...khác của các hoạt chất phân tích.

Hàm lượng các dạng muối, acid,...khác của hoạt chất, Y, biểu thị bằng phần trăm khối lượng (%), được tính theo công thức (3):

Y = X x h

(3)

trong đó:

h  là hệ số các dạng muối, acid,...khác của hoạt chất.

Kết quả phép thử là giá trị trung bình các kết quả của ít nhất hai lần thử được tiến hành song song.

- Quy đổi hàm lượng hoạt chất:

+ Đơn vị g/kg: Z (g/kg) = X(%) x 10

+ Đơn vị g/L: Z’ (g/L) = X(%) x 10 x d

Trong đó:

10: là hệ số qui đổi

X (%): kết quả tính ở mục số 7

d: khối lượng riêng của mẫu (g/ml), được xác định theo TCVN 8050:2016.

8  Báo cáo thử nghiệm

Báo cáo thử nghiệm phải ghi rõ:

a) mọi thông tin cần thiết về việc nhận biết đầy đủ mẫu thử;

b) phương pháp lấy mẫu đã sử dụng (nếu có);

c) phương pháp thử đã sử dụng và viện dẫn tiêu chuẩn này;

d) mọi thao tác không được quy định trong tiêu chuẩn này, hoặc những điều được coi là tự chọn, và bất kỳ chi tiết nào có ảnh hưởng tới kết quả;

e) kết quả thử nghiệm thu được.

 

Phụ lục A

(tham khảo)

Danh sách chuẩn nội, giới hạn hàm lượng phân tích và các hoạt chất thuốc bảo vệ thực vật áp dụng phương pháp phân tích

Bảng A.1 - Danh sách nội chuẩn và giới hạn hàm lượng phân tích của hoạt chất áp dụng điều kiện phân tích 1

Hoạt chất

Nội chuẩn

Giới hạn

Thời gian lưu

Hoạt chất

Nội chuẩn

Giới hạn

Thời gian lưu

4,4’-bipyridyl tự do (4,4’-Bipyridine)

DOP

0,01%

9,321

Metalaxyl

DOP

0,01%

4,723

1-Triacontanol

DOP

0,01%

3,137

Metalaxyl-M

DOP

0,01%

4,017

Acephate

DOP

0,01%

2,908

Methidathion

DOP

0,01%

5,832

Alachlor

DOP

0,01%

4,424

Methyl eugenol

DOP

0,01%

2,269

Alpha-Cypermethrin

DOP

0,01%

7,607

Metolachlor

DOP

0,01%

4,752

Ametryn

DOP

0,01%

3,961

Metolcarb

DOP

0,01%

2,772

Amitraz

DOP

0,01%

7,299

Metribuzin

DOP

0,01%

4,736

Atrazine

DOP

0,01%

3,373

Mevinphos

DOP

0,01%

2,464 & 2,568

Beta-Cyfluthrin

DOP

0,01%

8,629

Molinate

DOP

0,01%

2,434

Bromuconazole

DOP

0,01%

7,276 & 7,714

Monocrotophos

DOP

0,01%

3,390

Butachlor

DOP

0,01%

4,458

Naled

DOP

0,01%

3,603

Chlorothalonil

DOP

0,01%

4,373

Omethoate

DOP

0,01%

3,663

Chlorpyrifos-ethyl

DOP

0,01%

4,811

Oxadiazon

DOP

0,01%

5,441

Chlorpyrifos-methyl

DOP

0,01%

4,578

Oxyfluorfen

DOP

0,01%

5,450

Cinmethylin

DOP

0,01%

4,238

Paclobutrazol

DOP

0,01%

4,652

Cyfluthrin

DOP

0,01%

8,480

Parathion-methyl

DOP

0,01%

4,622

Cypermethrin

DOP

0,01%

7,538

Penconazole

DOP

0,01%

5,105

Cyprodinil

DOP

0,01%

5,178

Pendimethalin

DOP

0,01%

5,028

D-allethrin

DOP

0,01%

4,373

Permethrin

DOP

0,01%

6,997

DDT

DOP

0,01%

10,913

Piperonyl butoxide

DOP

0,01%

6,312

Dicofol

DOP

0,01%

4,957

Pirimicarb

DOP

0,01%

3,401

Didecyl dimethyi ammonium chloride (DDAC)

DOP

0,01%

3,973

Pirimiphos-methyl

DOP

0,01%

4,676

Dithianon

DOP

0,01%

8,511

Procymidone

DOP

0,01%

5,272

D-phenothrin

DOP

0,01%

6,963

Prometryn

DOP

0,01%

4,540

Endosulfan (Alpha-Endosulfan)

DOP

0,01%

5,467 & 6,241

Propanil

DOP

0,01%

3,863

Esbiothrin

DOP

0,01%

4,734

Propoxur

DOP

0,01%

3,371

Etofenprox

DOP

0,01%

9,734

Prothiofos

DOP

0,01%

5,515

Etridiazole

DOP

0,01%

2,540

Pyrethrins

DOP

0,01%

5,255 & 5,500

Eugenol

DOP

0,01%

1,720

Pyridaben

DOP

0,01%

6,788

Fenbuconazole

DOP

0,01%

9,720

Pyrimethanil

DOP

0,01%

4,071

Fenitrothion

DOP

0,01%

4,849

Quinalphos

DOP

0,01%

4,655

Fenoxanil

DOP

0,01%

5,934

Quizalofop-P-ethyl

DOP

0,01%

9,782

Fenpropathrin

DOP

0,01%

6,879

Spirodiclofen

DOP

0,01%

6,553

Fenvalerate

DOP

0,01%

10,483

Spiropidion

DOP

0,01%

9,315

Fluensulfone

DOP

0,01%

3,073

Terbutos

DOP

0,01%

3,740

Flutriafol

DOP

0,01%

4,531

Thiobencarb (Benthiocarb)

DOP

0,01%

4,867

Fthalide

DOP

0,01%

5,356

Tinh dầu quế (Cinnamaldehyde)

DOP

0,01%

2,037 & 2,442

Kresoxim methyl

DOP

0,1%

6,075

Transfluthrin

DOP

0,01%

3,942

Lindane

DOP

0,01%

4,017

Triadimenol

DOP

0,01%

4,764

Mefenacet

DOP

0,01%

8,525

Trifluralin

DOP

0,01%

2,743

Bảng A.2 - Danh sách nội chuẩn và giới hạn hàm lượng phân tích của hoạt áp dụng điều kiện phân tích 2

Hoạt chất

Nội chuẩn

Giới hạn

Thời gian lưu

Hoạt chất

Nội chuẩn

Giới hạn

Thời gian lưu

Benalaxyl

DBP

0,01%

9,218

Fenobucarb (BPMC)

DBP

0,01%

3,281

Bifenazate

DBP

0,01%

8,010

Fenthion

DBP

0,01%

6,234

Bifenthrin

DBP

0,1%

8,996

Menthol

DBP

0,01%

1,946

Buprofezin

DBP

0,01%

6,101

O.S-TEPP

DBP

0,01%

3,556

Diazinon

DBP

0,01%

5,330

Phenthoate (Dimefenthoate)

DBP

0,01%

7,546

Dimethoate

DBP

0,01%

5,931

Pretilachlor

DBP

0,01%

5,891

Edifenphos

DBP

0,01%

9,838

S.S-TEPP (Sulfotepp)

DBP

0,01%

2,857

Fenclorim

DBP

0,01%

3,928

Tetramethrin

DBP

0,01%

10,035

Bng A.3 - Danh sách nội chuẩn và giới hạn hàm lượng phân tích của hoạt áp dụng điều kiện phân tích 3

Hoạt chất

Nội chuẩn

Giới hạn

Thời gian lưu

Hoạt chất

Nội chun

Giới hạn

Thời gian lưu

Acibenzolar-S-methyl

ETP

0,01%

3,836

Iprobenfos

ETP

0,01%

3,211

Beta-Cypermethrin

DOP

0,01%

7,664

Isoprothiolane

ETP

0,01%

4,137

Boscalid

DOP

0,01%

5,096

Lambda-Cyhalothrin

ETP

0,01%

4,641

Cyhalofop-butyl

ETP

0,01%

5,870

Matrine

ETP

0,01%

3,698

Cyproconazole

ETP

0,01%

4,736

Malathion

ETP

0,01%

5,524

Dimefluthrin

ETP

0,01%

3,424

Oxymatrine

ETP

0,01%

5,477

Epoxiconazole

ETP

0,01%

5,625

Phosalone

ETP

0,01%

6,254

Esfenvalerate

DOP

0,01%

8,774 & 9,128

Prochloraz

DOP

0,01%

7,027

Ethoprophos

ETP

0,01%

2,501

Profenofos

ETP

0,01%

3,860

Etoxazole

ETP

0,01%

5,483

Propargite

ETP

0,01%

4,299

Famoxadone

ETP

0,01%

13,224

Pyridaphenthion

ETP

0,01%

5,962

Fluazifop-P-butyl

ETP

0,01%

4,192

Tebuconazole

ETP

0,01%

5,205

Fluopyram

ETP

0,01%

4,870

Tebufenpyrad

ETP

0,01%

5,420

Flusilazole

ETP

0,01%

4,475

Tetraconazole

ETP

0,01%

3,575

Gamma-Cyhalothrin

ETP

0,01%

5,483

Trifloxystrobin

ETP

0,01%

5,017

Imazalil

ETP

0,01%

4,384

Uniconazole

ETP

0,01%

4,478

Bảng A.4- Danh sách nội chuẩn và giới hạn hàm lượng phân tích của hoạt áp dụng điều kiện phân tích 4

Hoạt chất

Nội chuẩn

Giới hạn

Thời gian lưu

Azoxystrobin

ETP

0,01%

8,376

Deltamethrin

ETP

0,01%

6,467

Difenoconazole

ETP

0,01%

6,595

Bảng A.5- Danh sách nội chuẩn và giới hạn hàm lượng phân tích của hoạt áp dụng điều kiện phân tích 5

Hoạt chất

Nội chuẩn

Giới hạn

Thời gian lưu

1,8 Cineole (Eucalyptol)

DOP

0,01%

2,417

Garlic juice (Allicin)

DOP

0,01%

4,901

Tinh dầu đinh hương (Eugenol)

DOP

0,1%

9,152

Tinh dầu tỏi (diallyl disulfide, diallyl trisulfide)

DOP

0,1%

8,278 & 8,955

Bảng A.6- Danh sách nội chuẩn và giới hạn hàm lượng phân tích của hoạt áp dụng điều kiện phân tích 6,7,8

Hoạt chất

Nội chuẩn

Giới hạn

Điều kiện phân tích

Thời gian lưu

Metaldehyde

DBP

0,01%

Điều kiện 6

3,385

Chlorpropham

ETP

0,01%

Điều kiện 7

6,385

Esterfied vegetable oil (Glyphosate)

ETP

0,01%

Điều kiện 7

8,110

Propiconazole

ETP

0,01%

Điều kiện 7

5,108

Propisochlor

ETP

0,01%

Điều kiện 7

3,331

Carvacrol

DBP

0,01%

Điều kiện 8

5,177

D-Limonene

DBP

0,01%

Điều kiện 8

3,059

Fluometuron

ETP

0,10%

Điều kiện 8

2,725

Methyl Butyrate

DOP

0,01%

Điều kiện 8

1,976

 

Bảng A.7 - Danh sách và thông tin các hoạt chất thuốc bảo vệ thực vật áp dụng phương pháp phân tích

STT

Hoạt chất

Tên hóa học (IUPAC)

Nhiệt độ sôi (°C)

Điểm nóng chảy (°C)

Độ tan trong dung môi (g/L)

1

1,8-Cineole (Eucalyptol)

CTPT: C10H18O

KLPT: 154,25 g/mol

1,3,3-trimethyl-2-oxabicyclo[2.2.2]octane

176-177

-

-

2

1-Triacontanol

CTPT: C30H62O

KLPT: 438,81 g/mol

Triacontan-1-ol

-

86

Chlorofrom: 1,7

3

4,4'-Bipyridyl tự do (4,4’-Bipyridine)

CTPT: C10H8N2

KLPT: 156,19 g/mol

4,4’-Bipyridine

305

-

-

4

Acephate

CTPT: C4H10NO3PS

KLPT: 183,17 g/mol

N-[methoxy(methylsulfanyl)phosphoryI]acetamide

-

88 - 90

Axeton: 151

Ethanol: 100

Ethyl acetate: 35

5

Acibenzolar-S-methyl

CTPT: C8H6N2OS2

KLPT: 210,27 g/mol

S-Methyl 1,2,3-benzothiadiazole-7-carbothioate

267

133

Axeton: 28

Ethyl acetate: 25

Methanol: 4,2

6

Alachlor

CTPT: C14H20CINO2

KLPT: 269,77 g/mol

2-Chloro-N-(2,6-diethylphenyl)-N-(methoxymethyl)acetamide

404

39,5

-

7

Alpha-Cypermethrin

CTPT: C22H19C12NO3

KLPT: 416,30 g/mol

Hỗn hợp: (S)-a-cyano-3-phenoxybenzyl-(1R,3R)-3-(2,2- dichlorovinyl)- 2,2-dimethylcyclopropanecarboxylate và (R)-a-cyano-3-phenoxybenzyl-(1S,3S)-3-(2,2- dichlorovinyl)-2,2-dimethylcyclopropanecarboxylate

200

82,1

Ethyl acetate: 584

Acetonitrile: 200-250

Ethyl acetate: 584

8

Ametryn

CTPT: C9H17N5S

KLPT: 227,33 g/mol

4-N-ethyl-6-methylsulfanyl-2-N-propan-2-yl-1,3,5-triazine-2,4-diamine

-

86,3 - 87

Axeton: 610

Methanol: 510

Toluene: 470

9

Amitraz

CTPT: C19H23N3

KLPT: 293,41 g/mol

N,N’-[(methylimino)dimethylidyne]di-2,4-xylidine

-

86 - 88

Axeton: >300

Toluene: >300

Xylene: >300

10

Atrazine

CTPT: C8H14CIN5

KLPT: 215,69 g/mol

6-chloro-N2-ethyl-N4-isopropy-1,3,5-triazine-2,4-diamine

205

175,8

Axeton: 31

Ethyl Acetate: 24

Ethanol: 15

11

Azoxystrobin

CTPT: C22H17N3O5

KLPT: 403,39 g/mol.

Methyl (2E)-2-(2-{[6-(2-cyanophenoxy)pyrimidin-4-yl]oxy}phenyl)-3-methoxyprop-2-enoate

Phân hủy trước khi bay hơi

116

Axeton: 86

Axetonnitrile: 340

Methanol: 20

12

Benalaxyl

CTPT: C20H23NO3

KLPT: 325,40 g/mol

Methyl 2-(2,6-đimethyl-N-(2-phenylacetyl)anilino)propanoate

Phân hủy trước khi bay hơi

76,8

Axeton: >250

Ethyl acetate: >225

Methanol: >250

13

Beta-Cyfluthrin

CTPT: C22H16Cl2FNO3

KLPT: 434,29 g/mol

(R)-α-cyano-4-fluoro-3-phenoxybenzyI (1S,3S)-3-(2,2- dichlorovinyl)-2,2-dimethylcyclopropanecarboxylate Và (S)-α-cyano-4-fluoro-3-phenoxybenzyl (1R,3R)-3-(2,2-dichlorovinyl )-2,2-dimethyIcyclopropanecarbox

-

82 - 96

Axeton: >250

Ethyl acetate:

14

Beta-Cypermethrin

CTPT: C22H16Cl2NO3

KLPT: 416,30 g/mol

(R)-α-cyano-3-phenoxybenzyl (1S,3S)-3-(2,2-dichlorovinyl)-2,2-dimethylcyclopropanecarboxylate Và (S)-α-cyano-3-phenoxybenzyl (1R,3R)-3-(2,2-dichlorovinyl)-2,2-dimethylcyclopropanecarboxylate

286,1

63,1 - 69,2

Axeton: 2102

Ethyl acetate: 1427

15

Bifenazate

CTPT: C17H20N2O3

KLPT: 300,35 g/mol

Propan-2-yl N-{2-methoxy-5-phenylanilino) carbamate

Phân hủy ở 240°C

123 - 125

Axeton: 21,1

Axetonnitrile: 111

Ethyl acetate: 113

16

Bifenthrin

CTPT: C23H19ClF3O2

KLPT: 422,87 g/mol

rel-(2-Methyl[1,1'-biphenyl]-3-yl)methyl (1R,3R)-3-[(1Z)-2-chloro-3,3,3-trifluoraprop-1-en-1-yl]-2,2-dimethyIcyclopropane-1-carboxylate

320 - 350

57 - 64,6

Axeton: 73,6

Methanol: 48

Xylene: 556,3

17

Boscalid

CTPT: C18H12Cl2N2O

KLPT: 343,21 g/mol

2-chloro-N-(4'-chloro[1,1'-biphenyl]-2-yl)pyridine-3-carboxamide

-

142,8 - 143,9

Axeton: 160 - 200

Methanol: 40 - 50

18

Bromuconazole

CTPT: C13H12BrCl2N3O

KLPT: 377,06 g/mol

1-[(2RS,4RS;2RS,4SR)'4-bromo-2-(2,4-dichlorophenyI)tetrahydrofurfuryl]-1H-1,2,4-triazole

-

84 - 92

Axeton: 219,7

Ethyl acetate: 173

Methanol: 188,5

19

Buprofezin

CTPT: C13H23N3OS

KLPT: 305,44 g/mol

(2Z)-3-Isopropyl-2-[(2-methyl-2-propanyl)imino]-5-phenyl-1,3,5-thiadiazinan-4-one

267,6

104,6 - 105,6

Axeton: 253

Ethyl acetate: 241

Methanol: 86,6

20

Butachlor

CTPT: C17H26ClNO2

KLPT: 311,85 g/mol

N-(Butoxymethyl)-2-chloro-N-(2,6-diethylphenyl)acetamide

156

-

Axeton: >1000

Ethyl acetate: >1000

Methanol: >1000

21

Carvacrol

CTPT: C10H14O

KLPT: 150,22 g/mol

2-Methyl-5-(propan-2-yl)benzenol

238

1

-

22

Chlorothalonil

CTPT: C8Cl4N2

KLPT: 265,91 g/mol

2,4,5,6-Tetrachlorobenzene-1,3-dicarbonitrile

347

252,1

Axeton: 18

Ethyl acetate: 11

Toluene: 56

23

Chlorpropham

CTPT: C10H12ClNO2

KLPT: 213,66 g/mol

Isopropyl 3-chlorocrbanilate

256 - 258

36

Axeton: >1000

Ethyl acetate: >1000

Methanol: >1000

24

Chlorpyrifos-Ethyl

CTPT: C9H11Cl3NO3PS

KLPT: 350,58 g/mol

O,O-diethyl O-3,5,6-trichloro-2-pyridyl phosphorothioate

Phân hủy trước khi bay hơi

42

Axeton: 5100

Ethyl acetate: 4000

Methanol: 290

25

Chlorpyrifos-Methyl

CTPT: C7H7Cl3NO3PS

KLPT: 322,53 g/mol

O,O-dimethyl O-3,5,6-trichloro-2-pyridyl phosphorothioate

Phân hủy trước khi bay hơi

46

Axeton: >310

Ethyl acetate: >250

Methanol: 193

26

Cinmethylin

CTPT: C18H26O2

KLPT: 274,40 g/mol

rac-(1R,2S,4S)-1-methyl-4-(1-methylethyl)-2-((2-methylphenyl)methoxy)-7-oxabicyclo[2.2.1]heptane

330

Phân hủy trước khi tan chảy

-

27

Cyfluthrin

CTPT: C22H18Cl2FNO3

KLPT: 434,3 g/mol

(RS)-α-cyano-4-fluoro-3-phenoxybenzyl (1RS,3RS;1RS,3SR)-3-(2,2-dichlorovinyl)-2,2-dimethylcyclopropanecarboxylate

-

60

Toluene: 200

n-Hexane: 10

28

Cyhalotop-butyl

CTPT: C20H20FNO4

KLPT: 357,38 g/mol

butyl (R)-2-[4-(4-cyano-2-fluorophenoxy)phenoxy]propionate

Phân hủy ở 270°C

49,5

Axeton: 563

Axetonnitrile: >250

Methanol: >250

29

Cypermethrin

CTPT: C22H19Cl2NO3

KLPT: 416,3 g/mol

(RS)-α-cyano-3-phenoxybenzyl (1RS,3RS;1RS,3SR)-3-(2,2-dichlorovinyl)-2,2-dimethy[cyclopropanecarboxylate

-

41,2 - 47,3

Axeton: >250

Ethyl acetate: >250

Methanol: >250

30

Cyproconazole

CTPT: C15H18ClN3O

KLPT: 291,78 g/mol

(2RS,3RS;2RS,3SR)-2-(4-chlorophenyl)-3-cyclopropyI-1-(1H-1,2,4-triazoI-1-yl)butan-2-ol

-

106,2 - 106,9

Axeton: 360

Ethyl acetate: 240

Methanol: 410

31

Cyprodinil

CTPT: C14H15N3

KLPT: 225,29 g/mol

4-cyclopropyl-6-methyl-N-phenylpyrimidin-2-amine

-

75,9

Axeton: 610

Ethyl acetate: >500

Methanol: 150

32

D-allethrin

CTPT: C19H26O3

KLPT: 302,4 g/mol

(2-methyl-4-oxo-3-prop-2-enylcydopent-2-en-1-yl) (1R)-2,2-dimethyl-3-(2-methylprop-1-enyl)cyclopropane-1-carboxylate

281,5

-

Hexane: 655

Methanol: 73000

33

DDT (p,p’-DDT)

CTPT: C14H9Cl5

KLPT: 354,49 g/mol

1-chloro-4-[2,2,2-trichloro-1-(4-chlorophenyl)ethyl]benzene

185

109

Axeton: 500

Benzene: 770

Chlorofrom; 310

34

Deltamethrin

CTPT: C22H19Br2NO3

KLPT: 505,2 g/mol

(S)-α-cyano-3-phenoxybenzyl (1R,3R)-3-(2,2-dibromovinyl)-2,2-dimethylcyclopropanecarboxylate

-

100 - 102

Axeton: 500

Benzene: 450

Ethyl acetate: 267

35

Diazinon

CTPT: C12H21N2O3PS

KLPT: 304,35

O,O-diethyl O-2-isopropyl-6-methyIpyrimidin-4-yl phosphorothioate

83 - 84

-

Axeton: 9000

Ethyl acetate: 250

Methanol: 9000

36

Dicofol

CTPT: C14H9Cl5O

KLPT: 370,49 g/mol

2,2,2-trichloro-1,1-bis(4-chlorophenyl)ethanol

193

370,5

Axeton: 400

Ethyl acetate: 400

Methanol: 36

37

Didecyl dimethyl ammonium chloride (DDAC)

CTPT: C22H48ClN

KLPT: 362,08 g/mol

N-decyl-N,N-dimethyl-1-decanaminium chloride [CAS name]

-

197

Axeton: 600

Methanol: 600

38

Difenconazole

CTPT: C19H17Cl2N3O3

KLPT: 406,26 g/mol

3-chloro-4-((2RS,4RS;2RS,4SR)-4-methyI-2-(1H-1,2,4-triazol-1-ylmethyl)-1,3-dioxolan-2-yI)phenyl 4-chlorophenyl ether

100,8

215 - 217

Axeton: >500

Ethyl acetate: >500

Methanol: >500

39

Dimefluthrin

CTPT: C19H22F4O3

KLPT: 374,38 g/mol

2,3,5,6-tetrafluoro-4-(methoxymethyl)benzyl (1RS)-cis,trans-2,2-dimethyl-3-(2-methylprop-1-enyl)cycIopropanecarboxylate

134

-

-

40

Dimethoate

CTPT: C5H12NO3PS2

KLPT: 229,26 g/mol

O,O-dimethyl S-[2-(methylamino)-2-oxoethyl] phosphorodithioate

117

49 - 52

Axeton: 1390

Axetonnitrile: 1420

Methanol: 1590

41

Dithianon

CTPT: C14H4N2O2S2

KLPT: 296,32 g/mol

5,10-dihydro-5,10-dioxonaphtho[2,3-b]-1,4-dithilne-2,3-dicarbonitrile

-

215

Axeton: 22,2

Ethyl acetate: 10,6

Methanol: 0,815

42

D-Limonene

CTPT: C10H16

KLPT: 136,23 g/mol

(R)-4-isopropenyl-1-methylcycIohexene

176

-73,5

-

43

D-phenothrin ((1R)-trans-Phenothrin)

CTPT: C23H26O3

KLPT: 350,46 g/mol

(3-phenoxyphenyl)methyl (1R,3R)-2,2-dimethyl-3-(2-methylprop-1-enyl)cyclopropane-1-carboxylate

> 290

-41,4

Axeton: >250

Ethyl acetate: >250

Methanol: >250

44

Edifenphos

CTPT: C14H15O2PS2

KLPT: 310,37 g/mol

O-ethyl S,S-diphenyl phosphorodithioate

154

-

-

45

Endosulfan (Alpha-Endosulfan)

CTPT: C9H6Cl6O3S

KLPT: 406,93 g/mol

(1S,2R,8S,9S)-1,9,10,11,12,12-hexachloro-4,6-dioxa-5λ4-thiatricyclo[7.2.1.02,8]dodec-10-ene 5-oxide

-

80

Ethyl acetate: 200

n-Hexane: 24

Toluene: 200

46

Epoxiconazole

CTPT: C17H13ClFN3O

KLPT: 329,76 g/mol

(2RS,3SR)-1-[3-(2-chlorophenyl)-2,3-epoxy-2-(4-fluorophenyl)propyl]-1H-1,2,4-triazole

 

136,2 - 137

Axeton: 144

Axetonnitrile: 70

Ethyl acetate: 100

47

Esbiothrin

CTPT: C19H26O6

KLPT: 302,4 g/mol

(2-methyl-4-oxo-3-prop-2-enylcycIopent-2-en-1-yl) (1R,3R)-2,2-dimethyl-3-(2-methylprop-1-enyl)cyclopropane-1-carboxylate

386,8

-

-

48

Esfenvalerate

CTPT: C25H22ClNO3

KLPT: 419,91 g/mol

(S)-α-cyano-3-phenoxybenzyl (S)-2-(4-chlorophenyl)-3- methylbutyrate

356

59,1

Axeton: >450

Chlorofrom: >450

Methanol: >450

49

Esterifled vegetable oil (Glyphosate)

CTPT: C3H8NO5P

KLPT: 169,07 g/mol

N-(phosphonomethyl)glycine

Phân hủy trước khi bay hơi

189,5

Axeton: 0,078

Ethyl acetate: 0,012

Methanol: 0,231

50

Ethoprophos

CTPT: C8H19O2PS2

KLPT: 242,3 g/mol

O-ethyl S,S-dipropyl phosphorodithioate

86 - 91

70

Axeton: 608

Axetonnitrile: 605

Methanol: 599

51

Etofenprox

CTPT: C25H28O3

KLPT: 376,5 g/mol

2-(4-ethoxyphenyl)-2-methylpropyl 3-phenoxybenzyl ether

Phân hủy ở 200 °C

-

Axeton: 877

Ethyl acetate: 837

n-Hexane: 667

52

Etoxazole

CTPT: C21H23F2NO2

KLPT: 359,42 g/mol

2-(2,6-Difluorophenyl-4-[2-ethoxy-4-(2-methyl-2-propanyl)phenyl]-4,5-dihydro-1,3-oxazol

Phân hủy trước khi bay hơi

101,5

Axeton: 309

Axetonnitrile: 80

Ethyl acetate: 249

53

Etridiazole

CTPT: C5H5Cl3N2OS

KLPT: 247,52 g/mol

5-Ethoxy-3-(trichloromethyl)-1,2,4-thiadiazole

113

22

-

54

Eugenol

CTPT: C10H12O2

KLPT: 164,2 g/mol

4-Allyl-2-methoxyphenol

254,7

-40

Axeton: >250

Ethyl acetate: >250

Methanol: >250

55

Famoxadone

CTPT: C22H18N2O4

KLPT: 374,40 g/mol

(RS)-5-Methyl-5-(4-phenoxyphenyl)-3-(phenylamino)-1,3-oxazolidine-2,4-dione

Phân hủy trước khi bay hơi

141,3

Axeton: 274

Axetonnitrile: 125

Ethyl acetate: 125

56

Fenbuconazole

CTPT: C19H17ClN4

KLPT: 336,82 g/mol

4-(4-chlorophenyl)-2-phenyl-2-(1H-1,2,4-triazol-1-ylmethy[)butyronitrile

-

126,5 - 127

Axeton: >250

Ethyl acetate: 132

Methanol: 60,9

57

Fenclorim

CTPT: C10H6Cl2N2

KLPT: 225,07 g/mol

4,6-dichloro-2-phenylpyrimidine

-

96,9

Axeton: 140

n-Hexane: 40

Methanol: 19

58

Fenitrothion

CTPT: C9H12NO5PS

KLPT: 277,23 g/mol

O,O-dimethyl O-4-nitro-m-tolyl phosphorothioate

Phân hủy ở 140°C

1

Axeton: 500

Ethyl acetate: 500

Methanol: 500

59

Fenobucarb (BPMC)

CTPT: C12H17NO2

KLPT: 207,27 g/mol

(RS)-2-sec-butylphenyl methylcarbamate

115 - 116

31,5

Axeton: 930

Ethyl acetate: 890

Toluene: 880

60

Fenoxanil

CTPT: C15H18Cl2N2O2

KLPT: 329,22 g/mol

Hỗn hợp: (R>N-[(RS)-1-cyano-1,2-dimethylpropyl]-2-(2,4-dichlorophenoxy)propionamide Và (S)-N-[(RS)-1-cyano-1,2-dimethylpropyl]-2-(2,4-dichlorophenoxy)propionamide

505

71

-

61

Fenpropathrin

CTPT: C22H23NO3

KLPT: 349,42 g/mol

(RS)-α-cyano-3-phenoxybenzyl 2,2,3,3-tetramethylcyclopropanecarboxylate

484

47,5

Ethyl acetate: 50

Methanol: 25,2

n-Hexane: 23

62

Fenthion

CTPT: C10H15O3PS2

KLPT: 278,33 g/mol

O,O-dimethyl O-4-methylthio-m-toIyl phosphorothioate

90

7,5

n-Hexane: 100

Toluene: 250

63

Fenvalerate

CTPT: C25H22ClNO3

KLPT: 419,90 g/mol

(RS)-α-cyano-3-phenoxybenzyl (RS)-2-(4-chlorophenyl)-3-methylbutyrate

Phân hủy trước khi bay hơi

39,5

n-Hexane: 53

Methanol: 84

Xylene: 200

64

Fluazifop-P-butyl

CTPT: C19H20F3NO4

KLPT: 383,36 g/mol

Butyl (R)-2-{4-[5-(trifluoromethyl)-2-pyridyloxy]phenoxy}propionate

154

-46

-

65

Fluensulfone

CTPT: C7H5ClF3NO2S2

KLPT: 291,70 g/mol

5-chloro-1,3-thiazol-2-yl 3,4,4-trifluorobut-3-en-1-yl sulfone

283

34,8

Axeton: 350

Ethyl acetate: 350

Methanol: 359

66

Fluometuron

CTPT: C10H11F3N2O

KLPT: 232,20 g/mol

1,1-dimethyl-3-(α,α,α-trifiuoro-m-tolyl)urea

-

152,5

Axeton: 144

Methanol: 110

67

Fluopyram

CTPT: C16H11ClF6N2O

KLPT: 396,76 g/mol

N-[2-[3-chloro-5-(trifluoromethyl)-2-pyridyl]ethyl]-α,α,α-trifluoro-ortho-toluamide

319

117,5

Axeton: >250

Ethyl acetate: >250

Methanol: >250

68

Flusilazole

CTPT: C16H15F2N3Si

KLPT: 315,39 g/mol

Bis(4-fluorophenyl)(methyl)(1H-1,2,4-triazol-1-ylmethyl)silane

393

53,2

Axeton: >200

Axetonnitrile: >200

Methanol: >200

69

Flutriafol

CTPT: C16H13F2N3O

KLPT: 301,29 g/mol

(RS)-2,4'-difluoro-α-(1H-1,2,4-triazol-1-ylmethyl) benzhydry] alcohol

506,5

130

Axeton: 190

Methanol: 69

70

Fthalide (Phthalide)

CTPT: C8H2Cl4O2

KLPT: 271,91 g/mol

4,5,6,7-tetrachlorophthalide

-

209,5

Axeton: 8,3

Benzene: 16,8

Ethanol: 1,1

71

Gamma-cyhalothrin

CTPT: C23H19ClF3NO3

KLPT: 449,85 g/mol

(S)-α-cyano-3-phenoxybenzyl (1R,3R)-3-[(Z)-2-chloro-3,3,3-trifIuoropropenyl]-2,2-dimethylcyclopropanecarboxylate

Phân hủy trước khi bay hơi

55,6

Axeton: >500

Ethyl acetate: >500

Methanol: 138

72

Garlic juice (Allicin)

CTPT: C6H10OS2

KLPT: 162,3 g/mol

3-prop-2-enylsulfinylsulfanylprop-1-ene

-

25

-

73

Imazalil

CTPT: C14H14Cl2N2O

KLPT: 297,18 g/mol

(RS)-1-(β-allyloxy-2,4-dichlorophenylethyl)imidazole

> 340

51,5

Axeton: >500

Toluene: >500

Methanol: >500

74

Iprobenfos

CTPT: C13H21O3PS

KLPT: 288,34 g/mol

S-benzyl O,O-diisopropyl phosphorothioate

187,4

22,5 - 23,8

Axeton: >500

Ethyl acetate: >500

Methanol: >500

75

Isoprothiolane

CTPT: C12H18O4S2

KLPT: 290,40 g/rnol

Diisopropyl 1,3-dithiolan-2-ylidenemalonate

175 - 177

54,9

Axeton: 4061

Axetonnitrile: 3932

Chloroform: 4126

76

Kresoxim methyl

CTPT: C18H19NO4

KLPT: 313,35 g/mol

Methyl (E)-methoxyimino[α-(o-tolyloxy)-o-tolyl]acetate

Phân hủy ở 310°C

102

Axeton: 217

Dichloromethane: 939

Ethyl acetate: 123

77

Lambda-cyhalothrin

CTPT: C23H19ClF3NO3

KLPT: 449,85 g/mol

(R)-a-cyano-3-phenoxybenzyl (1S)-cis-3-[(Z)-2-chloro-3,3,3-trifIuoropropenyl]-2,2-dimethylcyclopropanecarboxylate and (S)-a-cyano-3-phenoxybenzyl (1R)-cis-3-[(Z)-2-chloro-3,3,3-trifluoropropenyl]-2,2-dimethylcyclopropanecarboxylate

Phân hủy trước khi bay hơi

49,2

Axeton: 250

Ethyl acetate: >500

Methanol: >500

78

Lindane

CTPT: C8H6Cl6

KLPT: 290,82 g/mol

1α,2α,3β,4α,5α,6β-hexachlor°Cyclohexane

112,9

323,4

Axeton: 435

Ethyl acetate: 357

Methanol: 29

79

Malathion

CTPT: C10H19O6PS2

KLPT: 330,36 g/mol

Diethyl (dimethoxyphosphinothioylthio)succinate

156 - 157

2,85

Axeton: >250

Ethyl acetate: >250

Methanol: >250

80

Matrine

CTPT: C15H24N2O

KLPT: 248,36 g/mol

(1R,2R,9S,17S)-7,13-diazatetracyclo[7.7.1.02,7.013,17]heptadecan-6-one

86

77

-

81

Mefenacet

CTPT: C16H14N2O2S

KLPT: 298,36 g/mol

2-(1,3-benzothiazol-2-yloxy)-N-methylacetanilide

-

134,8

Dichloromethane: 200

Toluene: 35

82

Menthol

CTPT: C10H20O

KLPT: 156,26 g/mol

5-Methyl-2-(propan-2-yl)cyclohexan-1-ol

214,6

36 - 38

-

83

Metalaxyl

CTPT: C15H21NO4

KLPT: 279,33 g/mol

Methyl N-(methoxyacetyl)-N-(2,6-xylyl)-DL-alaninate

295,9

63,5 - 72,3

Axeton: 450

Toluene: 340

n-Hexane: 11

84

Metalaxyl-M

CTPT: C15H21NO4

KLPT: 279,33 g/mol

Methyl N-(methoxyacetyl)-N-(2,6-xyIyl)-D-alaninate

Phân hủy ở 270°C

-38,7

-

85

Metaldehyde

CTPT: C8H16O4

KLPT: 176,21 g/mol

2,4,6,8-tetramethyl-1,3,5,7-tetraoxacyclooctane

Thăng hoa ở 112 - 115°C

191

-

86

Methidathion

CTPT: C6H11N2O4PS3

KLPT: 302,3 g/mol

S-((5-methoxy-2-oxo-1,3,4-thiadiazol-3(2H)-yl)methyl) O,O-dimethyl phosphorodithioate

99,9

39,5

Axeton: 670

n-Hexane: 11

Toluene: 720

87

Methyl Butyrate

CTPT: C5H10O2

KLPT: 102,13 g/mol

Methyl butanoate

102

-95

-

88

Methyl Eugenel

CTPT: C11H14O2

KLPT: 178,23 a/mol

4-Allyl-1,2-dimethoxybenzene

146

-2

-

89

Metolachlor

CTPT: C15H22ClNO2

KLPT: 283,8

2-chloro-N-(6-ethyl-o-tolyl)-N-[(1RS)-2-methoxy-1-methylethyl]acetamide

-51,05

-62,1

-

90

Metolcarb

CTPT: C9H11NO2

KLPT: 165,21

m-tolyl methylcarbamate

242

77,7

Methanol: 880

Xylene: 100

91

Metribuzin

CTPT: C8H14N4OS

KLPT: 214,29 g/mol

4-amino-6-tert-butyl-4,5-dihydro-3-methylthio-1,2,4-triazin-5-one

132

125,3

Axeton: 449

Axetonnitrile: >250

Methanol: 260

92

Mevinphos

CTPT: C7H13O6P

KLPT: 224,1 g/mol

Methyl (EZ)-3-(dimethoxyphosphinoyloxy)but-2-enoate

99 - 103

21

Axeton: có thể tan

93

Molinate

CTPT: C9H17NOS

KLPT: 187,3 g/mol

S-ethyl azepane-1-carbothioate

278

-25

Axeton: có thể tan

94

Monocrotophos

CTPT: C7H14NO5P

KLPT: 223,16 g/mol

dimethyl (E)-1-methyl-2-(methylcarbamoyl)vinyl phosphate

125

54

Axeton: 700

Methanol: 1000

Toluene: 10

95

Naled

CTPT: C4H7Br2Cl2O4P

KLPT: 380,79 g/mol

(RS)-1,2-dibromo-2,2-dichloroethyl dimethyl phosphate

110

27

Axeton: có thể tan

96

O,S-TEPP (Monothiono-tetraethyl pyrophosphate)

CTPT: C8H20O6P2S

KLPT: 306,25 g/mol

O,O,O,O-Tetraethyl monothiodiphosphate (diethoxyphosphinothioyl diethyl phosphate)

135

-

-

97

Omethoate

CTPT: C5H12NO4PS

KLPT: 213,2 g/mol

2-dimethoxyphosphinoylthio-N-methylacetamide

135

-28

Axeton: có thể tan

98

Oxadiazon

CTPT: C1SH18Cl2N2O3

KLPT: 345,2 g/mol

5-tert-butyl-3-(2,4-dichIoro-5-isopropoxyphenyl)-1,3,4-oxadiazol-2(3H)-one

282,1

88,5

Axeton: >350

Axetonnitrile: >350

Methanol: 122

99

Oxyfluorfen

CTPT: C15H11ClF3NO4

KLPT: 361,7 g/mol

2-chloro-α,α,α-trifluoro-p-tolyl 3-ethoxy-4-nitrophenyl ether

Phân hủy trước khi bay hơi

85,3

Axeton: 134

Axetonnitrile:

100

Oxymatrine

CTPT: C15H24N2O2

KLPT: 264,36 g/mol

(4R,7aS,13aR,13bR,13cS)Dodecahydro-1H,5H,10H-dipyrido[2,1-f:3',2',1'-ij] [1,6] naphthyridin-10-one 4-oxide

-

-

Axeton: có thể tan

101

Paclobutrazol

CTPT: C15H20ClN3O

KLPT: 293,8 g/mol

(2RS,3RS)-1-(4-chIorophenyl)-4,4-dimethyl-2-(1H-1,2,4-triazol-1-yl)pentan-3-ol

384

164

Axeton: 72,4

Methanol: 150

102

Parathion-methyl

CTPT: C8H10NO5PS

KLPT: 263,21 g/mol

O,O-Dimethyl-O-p-nitrophenylphosphorothioate

> 360

35,5

Dichloromethane: 200

n-Hexane: 10-20

103

Pencortazole

CTPT: C13H15Cl2N3

KLPT: 284,18 g/mol

(RS)-1-[2-(2,4-dichlorophenyl)pentyl]-1H-1,2,4-triazole

415,3

60,3

Axeton: >500

Ethyl acetate: >500

Methanol: >500

104

Pendimethalin

CTPT: C13H19N3O4

KLPT: 281,31 g/mol

N-(1-ethy[propyl)-2,6-dinitro-3,4-xylidine

246

56

Axeton: >1000

Axetonnitrile:

105

Permethrin

CTPT: C21H20Cl2O3

KLPT: 391,3 g/mol

3-phenoxybenzyl(1RS,3RS;1RS,3SR)-3-(2,2-dichlorovinyl)-2,2-dimethylcyclopropanecarboxylate

34,5

465,9

Methanol: 258

n-Hexane: 1000

106

Phenthoate (Dimefenthoate)

CTPT: C12H17O4PS2

KLPT: 320,39 g/mol

S-α-ethoxycarbonylbenzyl O,O-dimethyl phosphorodithioate

186 - 187

17,5

Axeton: có thể tan

107

Phosalone

CTPT:C12H15ClNO4PS2

KLPT: 367,8 g/mol

S-6-chloro-2,3-dihydro-2-oxo-1,3-benzoxazol-3-ylmethyl O,O-diethyl phosphorodithioate

Phân hủy trước khi bay hơi

46,9

Axeton: >1000

Ethyl acetate: >1000

Methanol: >1000

108

Piperonyl butoxide

CTPT: C19H30O5

KLPT: 338,44 g/mol

5-{[2-(2-Butoxyethoxy)ethoxy]methyl}-6-propyl-2H-1,3-benzodioxole

180

-

-

109

Pirimicarb

CTPT: C11H18N4O2

KLPT: 238,39 g/mol

2-dimethylamino-5,6-dimethylpyrimidin-4-yl dimethylcarbamate

325

-

Axeton: 370

Axetonnitrile: >250

Methanol: 350

110

Pirimiphos-methyl

CTPT: C11H20N3O3PS

KLPT: 305,33 g/mol

O-2-diethylamino-6-methylpyrimidin-4-yl O,O-dimethyl phosphorothioate

Phân hủy trước khi bay hơi

20,8

Axeton: 250

Ethyl acetate: 250

Methanol: 250

111

Pretilachlor

CTPT: C17H26ClNO2

KLPT: 311,85 g/mol

2-chloro-2',6'-diethyl-N-(2-propoxyethyl)acetanilide

442

-20

-

112

Prochloraz

CTPT: C15H16Cl3N3O2

KLPT: 376,67 g/mol

N-propyl-N-[2-(2,4,6-trichlorophenoxy)ethyl]imidazole-1-carboxamide

478

48,3

Axeton: >600

Ethyl acetate: >600

Methanol: >600

113

Procymidone

CTPT: C13H11Cl2NO2

KLPT: 284,14 g/mol

N-(3,5-dichlorophenyl)-1,2-dimethylcyclopropane-1,2-dicarboximide

100

164,5

Axeton: 180

Axetonnitrile: 101

Ethyl acetate: 115

114

Profenofos

CTPT: C11H15BrClO3PS

KLPT: 373,63 g/mol

(RS)-(O-4-bromo-2-chlorophenyl O-ethyl S-propyl phosphorothioate)

300

-

Axeton: có thể tan

115

Prometryn

CTPT: C10H19N5S

KLPT: 241,36 g/mol

6-methylsulfanyl-2-N,4-N-di(propan-2-yl)-1,3,5-triazine-2,4-diamine

351

119

Axeton: 240

Toluene: 200

116

Propanil

CTPT: C9H9Cl2NO

KLPT: 218,08 g/mol

3',4'-dichloropropionaniIide

Phân hủy 120°C

91

Axeton: 1700

Ethyl acetate: >598

Methanol: >650

117

Propargite

CTPT: C19H26O4S

KLPT: 350,47 g/mol

2-(4-tert-butylphenoxy)cyclohexyl prop-2-ynyl sulphite

Phân hủy trước khi bay hơi

-

Axeton: >200

Methanol: >200

Dichloromethane: 200

118

Propiconazole

CTPT: C15H17Cl2N3O2

KLPT: 342,22 g/mol

(2RS,4RS;2RS,4SR)-1-[2-(2,4-dichloropheny])-4-propyl-1,3-dioxolan-2-ylmethyl]-1H-1,2,4-triazole

Phân hủy ở 120 °C

-

Axeton: có thể tan

119

Propisochlor

CTPT: C15H22ClNO2

KLPT: 283,80 g/mol

2-chloro-6'-ethyl-N-isopropoxymethylacet-ortho-toluidide

Phân hủy ở 243°C

-23

Axeton: >483

Ethyl acetate: >556

Methanol: >598

120

Propoxur

CTPT: C11H15NO3

KLPT: 209,24 g/mol

2-isopropoxyphenyl methylcarbamate

Phân hủy trước khi bay hơi

90

Isopropanol: 200

Toluene: 94

n-Hexxane: 1,3

121

Prothiosfos

CTPT: C11H15Cl2O2PS2

KLPT: 345,25 g/mol

(RS)-(O-2,4-dichlorophenyl O-ethyl S-propyl phosphorodithioate)

Phân hủy trước khi bay hơi

-

Dichloromethane: 200

Isopropanol: 200

Toluene: 200

122

Nhóm Pyrethrins

Pyrethrin I

CTPT: C21H28O3

KLPT: 328,4 g/mol

Cinerin I:

CTPT: C20H28O3

KLPT: 316,4 g/mol

Jasmolin I:

CTPT: C21H30O3

KLPT: 330,5 g/mol

1. [(1S)-2-methyl-4-oxo-3-[(2Z)-penta-2,4-dienyl]cyclopent-2-en-1-yl] (1R,3R)-2,2-dimethyl-3-(2-methylprop-1-enyl )cyclopropane-1-carboxylate

2. [(1S)-3-[(Z)-but-2-enyl]-2-methyl-4-ox°Cyclopent-2-en-1-yl] (1R,3R)-2,2-dimethyl-3-(2-methylprop-1-enyl)cyclopropane-1-carboxylate

3. [(1S)-2-methy]-4-oxo-3-[(Z)-pent-2-enyl]cyclopent-2-en-1-yl] (1R,3R)-2,2-dimethyl-3-(2-methylprop-1-enyl)cyclopropane-1-carboxylate

136 - 138

142

Axeton: 250

Pyrethrin II:

CTPT: C22H28O5

KLPT: 372,5 g/mol

Cinerin II:

CTPT: C21H28O5

KLPT: 360,4 g/mol

Jasmolin II:

CTPT: C22H30O5

KLPT: 374,5 g/mol

4. [(1S)-2-methyl-4-oxo-3-[(2Z)-penta-2,4-dienyl]cyclopent-2-en-1-yl] (1R,3R)-3-[(E)-3-methoxy-2-methyl-3-oxoprop-1-enyl]-2,2-dimethylcyclopropane-1-carboxylate

5. [(1S)-3-[(Z)-but-2-enyl]-2-methyl-4-ox°Cyclopent-2-en-1-yl] (1R,3R)-3-[(E)-3-methoxy-2-methyl-3-oxoprop-1-enyl]-2,2-dimethylcydopropane-1-carboxylate

6. [(1S)-2-methyl-4-oxo-3-[(Z)-pent-2-enyl]cyclopent-2-en-1-yl] (1R,3R)-3-[(E)-3-methoxy-2-methyl-3-oxoprop-1-enyl]-2,2-dimethylcyclopropane-1-carboxylate

182 - 184

132

 

123

Pyridaben

CTPT: C19H25ClN2OS

KLPT: 364,93 g/mol

2-tert-butyl-5-(4-tert-butyIbenzylthio)-4-chloropyridazin-3(2H)-one

Phân hủy trước khi bay hơi

109,4

Axeton: 333

Axetonnitrile: 95,2

Ethyl acetate: 305

124

Pyridaphenthion

CTPT: C14H17N2O4PS

KLPT: 340,34

O,O-diethyl O-(6-oxo-1-phenyl-1,6-dihydropyridazin-3-yl) phosphorothioate

Phân hủy trước khi bay hơi

56,2

Axeton: 930

Ethyl acetate: 785

Methanol: >1000

125

Pyrimethanil

CTPT: C12H13N3

KLPT: 199,28 g/mol

N-(4,6-dimethylpyrimidin-2-yl)aniline

Phân hủy trước khi bay hơi

96,3

Axeton: 389

Dichloromethan: 1000

Ethyl acetate: 617

126

Quinalphos

CTPT: C12H15N2O3PS

KLPT: 298,3 g/mol

O,O-diethyI O-quinoxalin-2-yl phosphorothioate

Phân hủy ở 142°C

31,5

n-Hexane: 250

127

Quizalofop-P-ethyl

CTPT: C19H17ClN2O4

KLPT: 372,81 g/mol

ethyl (R)-2-[4-(6-chloroquinoxalin-2-yloxy)phenoxy]propionate

Phân hủy trước khi bay hơi

75

Axeton: 250

Ethyl acetate: >250

Methanol: 34,87

128

S,S-TEPP(SulfoTEPP, dithiono-tetraethyl pyrophosphate)

CTPT: C8H20O5P2S2

KLPT: 322,3 g/mol

O,O,O',O'-tetraethyl dithiopyrophosphate (diethoxyphosphinothioyloxy-diethoxy-sulfanylidene-λ5-phosphane)

-

-

-

129

Spirodiclofen

CTPT: C21H24Cl2O4

KLPT: 411,32 g/mol

3-(2,4-dichlorophenyl)-2-oxo-1-oxaspiro[4.5]dec-3-en-4-yI 2,2-dimethyl butyrate

Phân hủy trước khi bay hơi

94,8

Axeton: >250

Axetonnitrile: >250

Dichloromethane: 250

130

Spiropidion

CTPT: C21H27ClN2O5

KLPT: 422,9 g/mol

3-(4-chloro-2,6-dimethyl phenyl)-8-methoxy-1-methyl-2-oxo-1,8-diazaspiro[4.5]dec-3-en-4-yl ethyl carbonate

-

134,3

-

131

Tebuconazole

CTPT: C16H22ClN3O

KLPT: 307,82 g/mol

(RS)-1-p-chlorophenyl-4,4-dimethyl-3-(1H-1,2,4-triazol-1-ylmethyl)pentan-3-ol

Phân hủy trước khi bay hơi

105

Axeton: >200

Axetonnitrile: 89

Dichloromethane: 200

132

Tebufenpyrad

CTPT: C18H24ClN3O

KLPT: 333,8 g/mol

N-(4-tert-butylbenzyl)-4-chloro-3-ethyl-1-methylpyrazole-5-carboxamide

Phân hủy trước khi bay hơi

65

Axeton: 819

Axetonnitrile: 785

Dichloromethan: 1044

133

Terbufos

CTPT: C9H21O2PS3

KLPT: 288,4 g/mol

S-tert-butylthiomethyl O,O-diethyl phosphorodirthioate

69

-29,2

Axeton: >1000

Axetonnitrite: >1000

Chloroform: >1000

134

Tetraconazole

CTPT: C13H11Cl2F4N3O

KLPT: 372,15 g/mol

(RS)-2-(2,4-dichlorophenyI)-3-(1H-1,2,4-triazol-1-yl)propyl 1,1,2,2-tetrafluoroethyl ether

Phân hủy trước khi bay hơi

-

Axeton: >300

Ethyl acetate: >300

Methanol: >300

135

Tetramethrin

CTPT: C19H25NO4

KLPT: 331,41 g/mol

cyclohex-1-ene-1,2-dicarboximidomethyl (1RS, 3RS; 1RS, 3SR)-2,2-dimethyl-3-(2-methylprop-1-enyl)cyclopropanecarboxylate

-

69

Axeton: >20

Methanol: >20

136

Thiobencarb (benthiocarb)

CTPT: C12H16ClNOS

KLPT: 257,8 g/mol

S-4-chlorobenzyl diethyl(thi°Carbamate)

326,6

-

Axeton: >500

Dichloromethane: 500

Methanol: >500

137

Tinh đầu đinh hương

CTPT: C10H12O2

KLPT: 164,2 g/mol

4-AllyI-2-methoxyphenol

254,7

-40

Axeton: >250

Ethyl acetate: >250

Methanol: >250

138

Tinh dầu quế (Cinnamaldehyde)

CTPT: C9H8O

KLPT: 132,16 g/mol

(2E)-3-Phenylprop-2-enal

-

-7,5

-

139

Tinh dầu tỏi (diallyl disulfide, diallyl trisulfide)

CTPT: C6H10S2 C6H10S3,

KLPT: 146,28 và 178,33 g/mol

3-[(Prop-2-en-1-yl)disulfanyl]prop-1-ene và Di(prop-2-en-1-yl)trisulfane

176

-

-

140

Transfluthrin

CTPT: C15H12Cl2F4O2

KLPT: 371,15 g/mol

2,3,5,6-tetrafluorobenzyl (1R,3S)-3-(2,2-dichlorovinyl)-2,2-dimethylcyclopropanecarboxylate

242

32

-

141

Triadimenot

CTPT: C14H18ClN3O2

KLPT: 295,76 g/mol

1-(4-chlorophenoxy)-3,3-dimethyl-1-(1,2,4-triazol-1-yl)butan-2-ol

Phân hủy trước khi bay hơi

132,5

Axeton: 190

Axetonnitrile: 61

Dichloro methane: 250

142

Trifloxystrobin

CTPT: C20H19F3N2O4

KLPT: 408,37 g/mol

Methyl (E)-methoxyimino-{(E)-α-[1-(α,α,α-trifluoro-m-tolyl)ethylideneaminooxy]-o-tolyl}acetate

Phân hy trước khi bay hơi

72,9

Axeton: >500

Dichloromethane: 500

Ethyl acetate: >500

143

Trifluralin

CTPT: C13H16F3N3O4

KLPT: 335,28 g/mol

α,α,α-trifluoro-2,6-dinitro-N,N-dipropyl-p-toluldine

Phân hủy trước khi bay hơi

47,2

Axeton: >1000

Axetonnitrile: >1000

Chloroform: >1000

144

Uniconazole

CTPT: C15H18ClN3O

KLPT: 291,78 g/mol

(E)-(RS)-1-(4-chlorophenyl)-4,4-dimethyl-2-(1H-1,2,4-triazol-1-yl)pent-1-en-3-ol

475

155,5

-

 

 

Thư mục tài liệu tham khảo

[1] TCVN 3711:1982, Thuốc trừ dịch hại - Dazinon 50% dạng nhũ dầu.

[2] TCVN 8143: 2009, Thuốc bảo vệ thực vật - Xác định hàm lượng hoạt chất Cypermethrin.

[3] TCVN 12017: 2017, Thuốc bảo vệ thực vật - Lấy mẫu.

[4] Appendix F: Guidelines for Standard Method Performance Requirements, Official Methods of Analysis of AOAC INTERNATIONAL (2016) 20th Ed., AOAC INTERNATIONAL, Rockville, MD, USA.

[5] A Tsigouri, Determination ofeucalyptol camphor menthol and thymol in Greek thyme honey by GC-FID, Acta Alimentaria, 2008, 37(2): 181-189.

[6] Collaborative International Pescides analytical Council Limited, Analysis of Technical and Formulated Pesticides, CIPAC HANDBOOK.

[7] C Plank, Analysis of Free and Esterified Sterols in Vegetable Oil Methyl Esters by Capillary GC, Journal of the American Oil Chemists' Society, 2002, 79(2): 117-122.

[8] Dr J A Turner, A World Compendium The Pesticide Manual (2021) 19th, British Crop Production Council.

[9] Ian Southwella, Mike Russellb and Noel Daviesc, Detecting traces of methyl eugenol in essential oils, Flavour and Fragrance Journal, 2011, 26(5): 336-340.

[10] Iarc monographs on-the evaluation of carcinogenic risks to humans, International Agency for Research on Cancer, WHO, 1999, 73: 307-328.

[11 ] Manual on the development and use of FAO and WHO specification for pesticides, (2016).

[12] Muehlebach, M.; Buchholz, A.; Zambach; W.; et al., Spiro N-methoxy piperidine ring containing aryldiones for the control of sucking insects and mites: Discovery of spiropidion, Pest management science, 2020, 76(10).

[13]P Cabras, Gas Chromatographic Determination of Azoxystrobin, Fluazinam, Kresoxim-Methyl, Mepanipyrim, and Tetraconazole in Grapes, Must, and Wine, Journal of International, 1998, 81(6).

[14] S Myint, Wan Ramli Wan Daud, Abu Bakar Mohamad, Gas chromatographic determination of eugenol in ethanol extract of cloves, Journal of Chromotography B, 1996, 679(1-2): 193-195.

[15] Seon Hwa Kim, Myung Ryeol Park, Young Cheol Kim, et al., Degradation of prochloraz by rice bakanae disease pathogen fusarium fujlkuroi with differing sensitivity: A possible explanation for resistance mechanism, Journal of the Korean society for applied biological chemistry, 2010, 53(4): 433-439.

[16] Sun Young Gu, Su Jung Lee, Hye-Sun Shin, et al., Determination and validation of an analytical method for spiropidion and its metabolite spiropidion-enol (syn547305) in agricultural products with LC-MS/MS, Korean Journal of Environmental Agriculture, 2022, 41(2): 82-94.

[17] V J Meinen, Joint Aoac-naca-cipac Symposium on Analysis of Pesticides and Their Formulations, Journal of Association of Official Analytical Chemists (AOAC), 1972, 55 (5): 907-912.

[18] Yang Zhao, Shu Kang, Li Zhou, Jinhui Luo and Canping Pan, Decay and residue dynamics of 25% prochloraz ec in mandarin orange by simulating postharvest treatment at different storage temperatures, Journal of food processing and preservation, 2012, 37(5): 496-502.

[19] Milham, Paul, Fluoride ion-selective electrode determination of monofluoroacetate in meat baits and formulations, Journal - Association of Official Analytical Chemists, 1984, 67, 10-12.

Bạn chưa Đăng nhập thành viên.

Đây là tiện ích dành cho tài khoản thành viên. Vui lòng Đăng nhập để xem chi tiết. Nếu chưa có tài khoản, vui lòng Đăng ký tại đây!

* Lưu ý: Để đọc được văn bản tải trên Luatvietnam.vn, bạn cần cài phần mềm đọc file DOC, DOCX và phần mềm đọc file PDF.

Văn bản liên quan Tiêu chuẩn Việt Nam TCVN 14148:2024

01

Quyết định 3353/QĐ-BKHCN của Bộ Khoa học và Công nghệ về việc công bố Tiêu chuẩn quốc gia - Thuốc bảo vệ thực vật

02

Tiêu chuẩn Quốc gia TCVN 8144:2009 Thuốc bảo vệ thực vật-Xác định hàm lượng hoạt chất pretilachlor

03

Tiêu chuẩn Quốc gia TCVN 8752:2014 Thuốc bảo vệ thực vật chứa hoạt chất alpha-cypermethrin-Yêu cầu kỹ thuật và phương pháp thử

04

Tiêu chuẩn Quốc gia TCVN 10162:2013 Thuốc bảo vệ thực vật chứa hoạt chất propanil-Yêu cầu kỹ thuật và phương pháp thử

05

Tiêu chuẩn Quốc gia TCVN 10161:2013 Thuốc bảo vệ thực vật chứa hoạt chất atrazine-Yêu cầu kỹ thuật và phương pháp thử

văn bản cùng lĩnh vực

văn bản mới nhất

Chú thích màu chỉ dẫn
Chú thích màu chỉ dẫn:
Các nội dung của VB này được VB khác thay đổi, hướng dẫn sẽ được làm nổi bật bằng các màu sắc:
Sửa đổi, bổ sung, đính chính
Thay thế
Hướng dẫn
Bãi bỏ
Bãi bỏ cụm từ
Bình luận
Click vào nội dung được bôi màu để xem chi tiết.
×