- Tổng quan
- Nội dung
- Tiêu chuẩn liên quan
- Lược đồ
- Tải về
Tiêu chuẩn TCVN 13475:2022 Kho chứa nổi chứa khí hóa lỏng trên biển - Phân cấp và giám sát kỹ thuật
| Số hiệu: | TCVN 13475:2022 | Loại văn bản: | Tiêu chuẩn Việt Nam |
| Cơ quan ban hành: | Bộ Khoa học và Công nghệ | Lĩnh vực: | Công nghiệp |
|
Ngày ban hành:
Ngày ban hành là ngày, tháng, năm văn bản được thông qua hoặc ký ban hành.
|
04/03/2022 |
Hiệu lực:
|
Đã biết
|
| Người ký: | Đang cập nhật |
Tình trạng hiệu lực:
Cho biết trạng thái hiệu lực của văn bản đang tra cứu: Chưa áp dụng, Còn hiệu lực, Hết hiệu lực, Hết hiệu lực 1 phần; Đã sửa đổi, Đính chính hay Không còn phù hợp,...
|
Đã biết
|
TÓM TẮT TIÊU CHUẨN VIỆT NAM TCVN 13475:2022
Nội dung tóm tắt đang được cập nhật, Quý khách vui lòng quay lại sau!
Tải tiêu chuẩn Việt Nam TCVN 13475:2022
TIÊU CHUẨN QUỐC GIA
TCVN 13475:2022
KHO CHỨA NỔI CHỨA KHÍ HÓA LỎNG TRÊN BIỂN - PHÂN CẤP VÀ GIÁM SÁT KỸ THUẬT
Floating offshore liquefied gas unit - Classification and technical supervision
Lời nói đầu
TCVN 13475:2022 xây dựng trên cơ sở tham khảo Hướng dẫn của tổ chức Đăng kiểm Hoa Kỳ ABS về chế tạo và phân cấp kho chứa nổi chứa khí hóa lỏng trên biển - Floating offshore liquefied gas terminals 2018.
TCVN 13475:2022 do Cục Đăng kiểm Việt Nam biên soạn, Bộ Giao thông vận tải đề nghị, Tổng cục Tiêu chuẩn Đo lường Chất lượng thẩm định, Bộ Khoa học và Công nghệ công bố.
Mục lục
1 Phạm vi áp dụng
2 Tài liệu viện dẫn
3 Thuật ngữ và định nghĩa
4 Ký hiệu và thuật ngữ viết tắt
5 Phân cấp kho chứa nổi chứa khí hóa lỏng trên biển
5.1 Ký hiệu và dấu hiệu cấp
5.2 Dấu hiệu cấp bổ sung
5.2.1 Hệ thống ngắt kế nối
5.2.2 Hệ thống định vị động
5.2.3 Hoạt động tại vị trí lắp đặt
5.2.4 Dấu hiệu về kiểu thân kho chứa nổi
5.2.5 Dấu hiệu phương pháp tiếp cận tải trọng động
5.2.6 Tuổi thọ thiết kế và tuổi thọ mỏi thiết kế
5.2.7 Dấu hiệu phân tích mỏi theo phương pháp phổ
5.2.8 Lượng ăn mòn bổ sung
5.2.9 Hệ thống khai thác ngầm dưới biển
5.3 Dấu hiệu cho các hệ thống tự động hoặc giám sát và điều khiển từ xa
5.4 Ký hiệu thiết bị neo tạm thời “E”
5.5 Bản vẽ và dữ liệu
5.5.1 Dữ liệu và bản vẽ thiết kế kết cấu
5.5.2 Dữ liệu và bản vẽ thiết kế cho các hệ thống neo định vị
5.5.3 Bản vẽ thiết kế cho hệ thống chứa khí hóa lỏng, hệ thống GNG và khí hóa lỏng
5.5.4 Bản vẽ thiết kế cho các thiết bị xử lý, các hệ thống an toàn và hỗ trợ
5.5.5 Hệ thống tái hóa khí
5.5.6 Hệ thống điện
5.5.7 Hệ thống điều khiển và thiết bị đo
5.5.8 An toàn cho người và chống cháy
5.5.9 Các quy trình
5.6 Sổ tay làm hàng
5.7 Thông báo ổn định và chúi (sổ tay vận hành)
5.8 Ổn định
5.9 Dữ liệu trọng lượng tàu không
5.10 Đường nước tải trọng
5.11 Kho chứa nổi hoán cải
6 Thiết kế kho chứa nổi chứa khi hóa lỏng trên biển
6.1 Điều kiện môi trường
6.2 Cơ sở thiết kế
6.3 Đánh giá rủi ro
6.4 Kết cấu kho chứa nổi
6.5 Các hệ thống ngăn hàng
6.6 Cụm thiết bị, hệ thống công nghệ
6.7 Bố trí
6.8 Vùng nguy hiểm
6.9 Các hệ thống phục vụ và hỗ trợ xử lý
6.10 Các hệ thống điện và lắp đặt
6.11 Các hệ thống điều khiển và dụng cụ đo
6.12 Hệ thống an toàn
6.12.1 Quy định chung
6.12.2 Hệ thống phát hiện khí
6.12.3 Hệ thống phát hiện cháy
6.12.4 Hệ thống phun nước áp lực và chữa cháy
6.12.5 Kết cấu chống cháy
6.12.6 Thiết bị cứu sinh và bảo vệ thuyền viên
6.12.7 Phương tiện thoát nạn
6.12.8 Hệ thống dừng khẩn cấp
6.13 Các hệ thống khác
7 Các yêu cầu thiết kế kết cấu
7.1 Giới thiệu
7.2 Yêu cầu chung
7.2.1 Yêu cầu tổng quát
7.2.2 Kích thước tinh và các giá trị ăn mòn thiết kế danh nghĩa
7.3 Chỉ tiêu tải trọng
7.3.1 Tổng quát
7.3.2 Các tải trọng tĩnh
7.3.3 Tải trọng do sóng
7.3.4 Các tải trọng thiết kế danh nghĩa
7.3.5 Các trường hợp tải trọng tổ hợp
7.3.6 Các tải trọng do mặt thoáng chất lỏng trong các két màng
7.3.7 Các tải trọng đối với các két lăng trụ độc lập
7.3.8 Tải trọng nhiệt đối với các két lăng trụ độc lập
7.3.9 Tải trọng va đập
7.3.10 Tải trọng boong
7.4 Chỉ tiêu tính toán kích thước ban đầu
7.4.1 Tổng quát
7.4.2 Độ bền dầm tương đương
7.4.3 Độ bền cắt
7.4.4 Kết cấu đáy đôi
7.4.5 Mạn ngoài và boong
7.4.6 Mạn ngoài và boong - Các cơ cấu đỡ chính
7.4.7 Vách dọc và vách ngang
7.4.8 Vách ngang - Các cơ cấu đỡ chính
7.4.9 Kết cấu của két hàng độc lập (két rời)
7.4.10 Các cơ cấu đỡ
7.5 Đánh giá độ bền tổng thể
7.5.1 Yêu cầu chung
7.5.2 Tiêu chí phá hủy-Dẻo
7.5.3 Tiêu chí phá hủy - Độ bền tới hạn và độ bền mất ổn định
7.5.4 Tuổi thọ mỏi
7.5.5 Tính toán phản ứng kết cấu
7.6 Kết cấu thân ngoài phạm vi 0,4L giữa thân
7.6.1 Yêucầuchung
7.6.2 Kết cấu mạn phần thân phía mũi
7.6.3 Vùng chuyển tiếp
7.6.4 Gia cường phần thân phía mũi để chịu va đập sóng
7.6.5 Kết cấu boong tại phần thân trước
7.7 Thiết kế và phân tích của các đặc điểm kết cấu khác của thân
7.7.1 Tổng quát
7.7.2 Liên kết chuyển tiếp thân của hệ thống neo định vị
7.7.3 Kết cấu tiếp giáp của thiết bị liền thân
7.7.4 Tải trọng
7.7.5 Chỉ tiêu chấp nhận
7.7.6 Các mô đun trên boong
8 Kiểm tra
8.1 Kiểm tra trong chế tạo mới, lắp đặt, kết nối và chạy thử
8.1.1 Yêu cầu chung
8.1.2 Kiểm tra trong chế tạo mới
8.1.3 Kiểm tra trong lắp đặt, kết nối và chạy thử
8.2 Kiểm tra lần đầu và duy trì cấp
8.2.1 Quy định chung
8.2.2 Thời hạn kiểm tra
8.2.3 Kiểm tra
8.2.4 Hoán cải
8.2.5 Hư hỏng và sửa chữa
8.2.6 Hàn và thay thế vật liệu
8.3 Kiểm tra trên cơ sở rủi ro để duy trì cấp
8.3.1 Yêu cầu chung
8.3.2 Các yêu cầu về kiểm tra trên cơ sở rủi ro
8.3.3 Kiểm tra
8.3.4 Hoán cải
8.3.5 Hư hỏng và sửa chữa
PHỤ LỤC A
A1. Khái quát
A.2. Xét các mối nối khi đánh giá độ bền mỏi
A.3. Đánh giá độ bền mỏi
A.4. Các tải trọng gây mỏi và xác định các dải hiệu ứng suất tổng cộng
A.5. Các hiệu ứng suất tổng cộng sau cùng
A.6. Xác định các hệ số tập trung ứng suất (SCF’s)
A.7. Xác định các hệ số tập trung ứng suất bằng phân tích phần tử hữu hạn
A.8. Đánh giá mỏi các kết cấu khi xét đến mỏi với số chu trình thấp
A.9. Tổn hại mỏi với số chu trình thấp
A. 10. Tổn hại mỏi kết hợp
PHỤ LỤC B
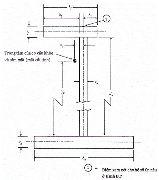
B.1. Khái quát
B.2. Các tấm hình hộp chữ nhật
B.3. Các nẹp gia cường và sống dọc
B.4. Các tấm được gia cường
B.5. Sống, cơ cấu khỏe và mã gia cường
B. 6. Độ cứng và tỷ lệ
PHỤ LỤC C
C.1. Khái quát
C.2. Các hệ số khắc nghiệt β
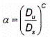
C.3. Các hệ số khắc nghiệt loại α
PHỤ LỤC D
PHỤ LỤC E
E.1. Mục đích
E.2. Phạm vi áp dụng
E.3. Phạm vi của mô hình phần tử hữu hạn tổng thể ba chiều
E.4. Hệ tọa độ của mô hình
E.5. Loại phần tử
E.6. Mô hình hóa phần tử hữu hạn tổng thể 3-D
E.7. Các điều kiện tải trọng
E.8. Quy trình để hiệu chuẩn mômen uốn và lực cắt thanh dầm tương đương
E.9. Điều kiện biên
E.10. Đánh giá phản ứng tổng thể 3-D
E.11. Đánh giá ứng suất chi tiết - Phân tích phần tử hữu hạn cục bộ
PHỤ LỤC F
KHO CHỨA NỔI CHỨA KHÍ HÓA LỎNG TRÊN BIỂN - PHÂN CẤP VÀ GIÁM SÁT KỸ THUẬT
Floating offshore liquefied gas unit - Classification and technical supervision
1 Phạm vi áp dụng
Tiêu chuẩn này dùng để kiểm định, phân cấp, đánh giá và và giám sát kỹ thuật trong đóng mới, nhập khẩu, hoán cải, sửa chữa phục hồi và trong quá trình hoạt động của kho chứa nổi chứa khí hóa lỏng trên biển.
Tiêu chuẩn này áp dụng cho kho chứa nổi chứa khí hóa lỏng trên biển dạng tàu và sà lan dùng để nhập, chứa và/hoặc xuất khí hóa lỏng. Kho chứa nổi này nhận khí trực tiếp từ một hay nhiều giếng hoặc từ phương tiện trên biển khác nơi có thể có hoặc không quá trình xử lý công nghệ.
Tiêu chuẩn này cũng áp dụng cho kho chứa nổi nhận và chứa khí hóa lỏng từ tàu chở khí hóa lỏng thương mại. Ở các kho chứa nổi này, khí hóa lỏng thường được hóa hơi trong hệ thống tái hóa khí và xuất vào bờ. Tuy nhiên, cũng có thể xuất khí hóa lỏng tới phương tiện khác.
2 Tài liệu viện dẫn
Các tài liệu viện dẫn sau rất cần thiết cho việc áp dụng Tiêu chuẩn này. Đối với các tài liệu viện dẫn ghi năm công bố thì áp dụng phiên bản được nêu. Đối với các tài liệu viện dẫn không ghi năm công bố thì áp dụng phiên bản mới nhất, bao gồm cả các sửa đổi, bổ sung nếu có.
TCVN 6474, Kho chứa nổi - Phân cấp và Giám sát kỹ thuật;
TCVN 6259 -1, Quy phạm phân cấp và đóng tàu biển vỏ thép, Phần 1 - Quy định chung[1];
TCVN 6259 - 2A, Quy phạm phân cấp và đóng tàu biển vỏ thép, Phần 2A Kết cấu thân tàu và trang thiết bị tàu dài từ 90m trở lên(1);
TCVN 6259 - 6, Quy phạm phân cấp và đóng tàu biển vỏ thép, Phần 6 Hàn (1);
TCVN 6259 - 7, Quy phạm phân cấp và đóng tàu biển vỏ thép, Phần 7 Vật liệu và trang thiết bị (1);
TCVN 6259-8D, Quy phạm phân cấp và đóng tàu biển vỏ thép, phần 8D - Tàu chở xô khí hóa lỏng(1);
TCVN 12823-2, Giàn di động trên biển - Phần 2: Thân và trang thiết bị;
TCVN 12823-4, Giàn di động trên biển - Phần 4: An toàn và phòng chống cháy;
TCVN 12823-5, Giàn di động trên biển - Phần 5: Vật liệu và hàn;
TCVN 6277, Quy phạm hệ thống điều khiển tự động và từ xa;
TCVN 6170-7, Giàn cố định trên biển - Phần 7: Thiết kế móng;
TCVN 6968, Quy phạm thiết bị nâng trên các công trình biển;
TCVN 13432, Tiêu chuẩn quốc gia về Bộ phận, thiết bị và hệ thống khai thác, xử lý dầu khí dưới biển - Phân cấp và giám sát kỹ thuật;
Công ước mạn khô quốc tế, Loadline1966;
Công ước quốc tế về ngăn ngừa ô nhiễm do tàu gây ra, MARPOL 73/78;
NFPA 59A, Tiêu chuẩn về sản xuất, chứa và xử lý khí thiên nhiên hóa lỏng;
MODU Code, Bộ luật về chế tạo và trang bị cho giàn di động trên biển;
CAP 437, Tiêu chuẩn của Cục hàng không Anh quốc về sân bay trực thăng trên biển;
API RP 14, Khuyến nghị của Viện dầu khí Hoa Kỳ về phân tích, thiết kế, lắp đặt và thử các hệ thống an toàn bề mặt cho các công trình khai thác dầu khí trên biển;
API RP14J, Khuyến nghị của Viện dầu khí Hoa Kỳ về phân tích thiết kế và các nguy cơ cho hệ thống sản xuất trên biển;
API RP 2A, Khuyến nghị của Viện dầu khí Hoa Kỳ về lập kế hoạch, thiết kế và chế tạo giàn cố định trên biển;
API Spec 2C, Tiêu chuẩn của Viện dầu khí Hoa Kỳ về cần trục xoay trên công trình biển;
API RP 2D, Khuyến nghị của Viện dầu khí Hoa Kỳ về vận hành và bảo dưỡng cần trục xoay trên công trình biển;
API RP 2T, Khuyến nghị của Viện dầu khí Hoa Kỳ về lập kế hoạch, thiết kế và chế tạo giàn chân căng;
API RP 500, Khuyến nghị của Viện dầu khí Hoa Kỳ về phân vùng lắp đặt thiết bị điện;
API RP 521, Hướng dẫn của Viện dầu khí Hoa Kỳ về các hệ thống giảm áp lực;
Bộ luật về nồi hơi và và bình chịu áp lực của Hiệp hội Kỹ sư cơ khí Hoa Kỳ ASME boiler and pressure vessel code (ASME BPVC);
API 510, Bộ luật về kiểm tra nồi hơi trong khai thác, đánh giá, sửa chữa và hoán cải.
3 Thuật ngữ và định nghĩa
3.1 Trong Tiêu chuẩn này sử dụng các thuật ngữ và định nghĩa trong TCVN 6474, và các thuật ngữ, định nghĩa dưới đây.
3.2
Kho chứa nổi chứa khí hóa lỏng trên biển (Floating offshore liquefied gas unit)
Kho chứa nổi chứa khí hóa lỏng trên biển dùng để nhập, chứa và/hoặc xuất khí hóa lỏng. Kho chứa nổi nhận khí trực tiếp từ một hay nhiều giếng hoặc từ phương tiện trên biển khác nơi có thể có hoặc không quá trình xử lý công nghệ. Khí được hóa lỏng bằng hệ thống hóa lỏng trên kho chứa nổi và được chứa để xuất cho tàu chở khí hóa lỏng thương mại. Hoặc kho chứa nổi có thể nhận khí hóa lỏng từ hệ thống hóa lỏng thông qua đường ống biển.
3.3
Trạng thái di chuyển (Transit condition)
Khi tính toán tải trọng thiết kế cho kết cấu cục bộ, “Trạng thái di chuyển” là điều kiện mà kho chứa nổi hoặc a) di chuyển đến/đi khỏi vị trí hoạt động bằng hệ thống đẩy của nó hoặc được hỗ trợ đẩy, hoặc b) tại vị trí hoạt động, nhưng ở trạng thái ngắt kết nối bằng hệ thống đẩy của nó.
3.4
Trạng thái tại vị trí hoạt động (On-site condition)
“Trạng thái tại vị trí hoạt động” là kho chứa nổi không ở “Trạng thái di chuyển”.
3.5
Khí thiên nhiên hóa lỏng (Liquefied Natural Gas - LNG)
Khí thiên nhiên hóa lỏng là sản phẩm hydrocacbon ở thể lỏng, có nguồn gốc từ khí thiên nhiên với thành phần chủ yếu là Metan (công thức hóa học: CH4 tên tiếng Anh: Liquefied Natural Gas (viết tắt là LNG); tại nhiệt độ, áp suất bình thường LNG ở thể khí và khi được làm lạnh đến nhiệt độ nhất định LNG chuyển sang thể lỏng.
3.6
Khí dầu mỏ hóa lỏng (Liquefied Petroleum Gas - LPG)
Khí dầu mỏ hóa lỏng là sản phẩm hydrocacbon có nguồn gốc dầu mỏ với thành phần chính là propan (công thức hóa học C3H8) hoặc butan (công thức hóa học C4H10) hoặc hỗn hợp của cả hai loại này, tên tiếng Anh: Liquefied Petroleum Gas (viết tắt là LPG): tại nhiệt độ, áp suất bình thường LPG ở thể khí và khí được nén đến một áp suất hoặc làm lạnh đến nhiệt độ nhất định LPG chuyển sang thể lỏng.
3.7
Hệ thống tái hóa khí (Regasification Plant)
Tất cả các hệ thống và bộ phận dùng để chuyền khí hóa lỏng từ các két chứa, tạo áp lực, hâm nóng và hóa hơi khí hóa lỏng và xuất vào bờ nhờ hệ thống xuất hàng. Nếu có các máy nén hoặc tạo mùi ở hệ thống xả hàng thì chúng cũng được coi là phần của hệ thống tái hóa khí.
4 Ký hiệu và thuật ngữ viết tắt
| ABS - Americal Bureau of Shipping/ Đăng kiểm Hoa kỳ; |
| API - Americal Petroleum Institute/ Viện dầu khí Hoa Kỳ; |
| CP - Cathodic Protection/ Bảo vệ Catot; |
| DEC - Design Environmental Condition/ Điều kiện môi trường thiết kế; |
| DOC - Design operation condition/ Điều kiện vận hành thiết kế; |
| DISEC - Disconnectable Environmental Condition / Điều kiện môi trường ngắt kết nối; |
| DLP - Dominant Load Parameter/ Thông số tải trọng chủ yếu; |
| ESF - Environmental Severity Factors/ Hệ số khắc nghiệt của môi trường; |
| FDF - Fatigue Design Factor/ Hệ số thiết kế mỏi; |
| FP - Forepeak/Khoang mũi; |
| UF - Utilization Factor/ Hệ số sử dụng; |
| IEC - International Electrotechnical Commission/ Ủy ban kỹ thuật Điện Quốc tế; |
| LWL - Load water line/ Đường nước tải trọng; |
| FEA - Finite Element Analysis/ Phân tích phần tử hữu hạn; |
| ISE - Initial Scantling Evaluation/ Đánh giá kích thước ban đầu; |
| IGC Code - International Code for the Construction and Equipment of Ships Carrying Liquefied Gases in Bulk/ Bộ luật quốc tế về chế tạo và trang bị cho tàu chở xô khí hóa lỏng; |
| FC - Free Corrosion/ Không ăn mòn; |
| FEM - Finite element method/ Mô hình phần tử hữu hạn; |
| NDCV - Nominal Design Corrosion Values/ Giá trị ăn mòn thiết kế danh nghĩa; |
| PERCs - Primary emergency release couplings/ Khớp nối ngắt sự cố chính; |
| QCP - Quality Control Program/ Chương trình kiểm soát chất lượng; |
| RLC - Repair load cases/ Các trường hợp tải trọng sửa chữa; |
| SLC - Special load cases/ Các trường hợp tải trọng đặc biệt; |
| SCC - Stress corrosion cracking/ Nứt do ăn mòn ứng suất SPM - Single point mooring/ Hệ thống neo đơn; |
| TSA - Total Strength Assessment/Đánh giá độ bền tổng thể; |
| UWILD - Under water survey in lieu of drydocking survey/ Kiểm tra dưới nước thay thế cho kiểm tra trên đà; |
| LNG - Liquefied natural gas/ Khí thiên nhiên hóa lỏng; |
| LPG - Liquefied petroleum gas/ Khí hóa lỏng; |
| CALM - Catenary Anchor Leg Mooring/ Hệ thống neo chùm; |
| SALM - Single Anchor Leg Mooring/ Hệ thống neo đơn; |
| GNG - Gaseous Natural Gas/ Khí thiên nhiên ở dạng khí. |
5 Phân cấp kho chứa nổi chứa khí hóa lỏng trên biển
5.1 Ký hiệu và dấu hiệu cấp
5.1.1 Ngoài các ký hiệu cấp cơ bản, ký hiệu cấp về thân và máy được quy định ở 2.1.2.3, TCVN 6474, kho chứa nổi chứa khí hóa lỏng trên biển được đăng kiểm giám sát trong chế tạo, lắp đặt và chạy thử thỏa mãn đầy đủ các yêu cầu của Tiêu chuẩn này có thể được phân cấp và ấn định bằng các dấu hiệu dưới đây.
5.1.2 Dấu hiệu Kho chứa nổi chứa khí hóa lỏng trên biển/ Offshore liquefied gas unit ký hiệu: OLGU được viết sau ký hiệu cấp cơ bản *VRH và *VRM.
5.1.3 Các dấu hiệu cấp mô tả chi tiết về chức năng của mỗi loại kho chứa khí hóa lỏng:
| F | Floating/Kho chứa nổi |
| L | Liquefaction Facility/Hệ thống hóa lỏng |
| O | Transfer of Liquefied Gas (Offloading/Loading) Chuyển khí hóa lỏng (Xuất/Nhập) |
| P | Gas Processing Facility/Hệ thống xử lý khí |
| R | Re-Gasification Facility/Hệ thống tái hóa khí |
| S | Storage Facility/Hệ thống chứa |
5.1.4 Đối với kho chứa nổi được thiết kế để chứa LNG, các dấu hiệu phân cấp là:
F(LNG) PLSO - Kho chứa nổi chứa LNG dùng để nhận khí từ giếng khai thác, xử lý, hóa lỏng và ngưng tụ để chứa và xuất khí thiên nhiên hỏa lỏng.
F(LNG) ORS - Kho chứa nổi nhận LNG từ tàu chở LNG thương mại, chứa, tái hóa khí và xuất vào bờ.
F(LNG) SO - Kho chứa nổi LNG dùng để nhận, chứa và xuất khí thiên nhiên hóa lỏng tới phương tiện khác.
5.1.5 Đối với các kho chứa nổi được thiết kế để chứa LPG hoặc hỗn hợp LNG/LPG, các dấu hiệu phân cấp trình tự như sau:
F(LPG) PLSO - Kho chứa nổi LPG dùng để nhận khí từ tàu thương mại, xử lý, hóa lỏng và ngưng tụ để chứa và xuất khí đốt hóa lỏng.
F(LPG) ORS - Kho chứa nổi LPG dùng để nhận LPG từ tàu chở LPG thương mại, chứa, tái hóa khí và xuất vào bờ.
F(LPG) SO - Kho chứa nổi LPG dùng để nhận, chứa và xuất khí dầu mỏ hóa lỏng tới phương tiện khác.
F(LNG/LPG) PLSO - Kho chứa nổi LNG/LPG dùng để nhận khí từ giếng, xử lý, hóa lỏng và ngưng tụ để chứa và xuất khí hóa lỏng hỗn hợp LNG/ LGP.
F(LNG/LPG) ORS - Kho chứa nổi LNG/LPG dùng để nhận, chứa và xuất khí hóa lỏng hỗn hợp LNG/LPG từ tàu thương mại, chứa, tái hóa khí và xuất vào bờ.
F(LNG/LPG)SO - Kho chứa nổi LNG/LPG dùng để nhận, chứa và xuất khí hóa lỏng hỗn hợp LNG/ LPG tới phương tiện khác.
5.1.6 Kho chứa nổi được thiết kế để chứa khí hóa lỏng không phải là LNG hoặc LPG, các dấu hiệu cấp sẽ nêu sản phẩm cụ thể trong ngoặc đơn.
5.2 Dấu hiệu cấp bổ sung
5.2.1 Hệ thống ngắt kế nối
5.2.1.1 Kho chứa nổi tự hành có phương tiện để tháo kho chứa khỏi hệ thống neo và ống đứng động để cho phép kho chứa nổi vượt qua được thời tiết xấu hoặc chống chìm bằng khả năng của nó trong điều kiện môi trường thiết kế xác định sẽ được phân cấp với dấu hiệu phù hợp ở trên và có dấu hiệu (Disconnectable).
Ví dụ: *VRM OLGU, F(LNG) (Disconnectable)
5.2.1.2 Nếu kho chứa nổi có khả năng ngắt kết nối bị giới hạn hoạt động trong mộtvùng cụ thể gần với vị trí hoạt động của nó, thì dấu hiệu hoạt động hạn chế Disconnectable-R (từ vị trí hoạt động tới cảng dự kiến) hoặc (từ vị trí hoạt động tới khu vực địa lý được giới hạn bởi tọa độ) có thể được ấn định.
5.2.2 Hệ thống định vị động
Hệ thống định vị động được lắp đặt cho mục đích giữ vị trí của kho chứa nổi sẽ được biểu thị bằng dấu hiệu DPS-A, DPS-B hoặc DPS-C, thỏa mãn TCVN 12823-1.
5.2.3 Hoạt động tại vị trí lắp đặt
Kho chứa nổi được thiết kế và chế tạo theo các yêu cầu thay đổi cụ thể để hoạt động tại vị trí lắp đặt sẽ được xác định trong giấy chứng nhận bằng dấu hiệu bổ sung (S years), sau đó là vị trí hoạt động.
Ví dụ: F(LNG) PLSO (S100) Mỏ Bạch Hổ, trong đó “100” thể hiện kho chứa nổi được xem xét cho chu kỳ lặp thiết kế 100 năm.
5.2.4 Dấu hiệu về kiểu thân kho chứa nổi
Kiểu tàu Ship type
Kiểu sà lan Barge type
5.2.5 Dấu hiệu phương pháp tiếp cận tải trọng động (Dynamic Loading Approach)
5.2.5.1 Khi có yêu cầu, phương pháp tải động và dấu hiệu DLA có thể được áp dụng để đánh giá sự thích hợp kết cấu thép của kho chứa nổi chứa khí hóa lỏng. Trong trường hợp này, kho chứa nổi sẽ được phân cấp và ấn định bằng dấu hiệu DLA. Dấu hiệu DLA sẽ được đặt sau dấu hiệu phân cấp thân thích hợp.
5.2.5.2 Các bộ phận tải động nêu trong đánh giá kết cấu thân kho chứa nổi phải bao gồm các tải áp lực thủy tĩnh bên ngoài, tải động bên trong (chất lỏng chứa trên kho chứa nổi, dằn, các thiết bị chính...) và các tải quán tính của kết cấu thân kho chứa nổi. Độ lớn của các thành phần tải trọng và sự kết hợp của chúng phải được xác định từ các tính toán chuyển động của kho chứa nổi thích hợp về các điều kiện tải thể hiện cho đường bao ứng suất động cực đại trong kho chứa nổi. Tính đầy đủ của kết cấu để kết hợp tất cả các tải trọng động phải được đánh giá, có sử dụng phương pháp đánh giá phần tử hữu hạn chấp nhận được. Trong mọi trường hợp, các kích thước kết cấu không được nhỏ hơn giá trị được xác định từ các quy định khác trong Tiêu chuẩn này. Ngoài ra, việc thiết kế hệ thống cách ly của các kết độc lập phải được đánh giá và phân tích thỏa mãn TCVN 6259-8D.
5.2.6 Tuổi thọ thiết kế và tuổi thọ mỏi thiết kế
5.2.6.1 Tuổi thọ thiết kế
Kho chứa nổi được thiết kế và chế tạo theo các yêu cầu của Tiêu chuẩn này và được duy trì thỏa mãn các yêu cầu phải dự kiến có tuổi thọ thiết kết cấu không nhỏ hơn 20 năm đối với kết cấu thân đóng mới. Nếu tuổi thọ thiết kế của kết cấu lớn hơn 20 năm và kho chứa nổi được thiết kế để hoạt động liên tục tại vị trí mà không phải lên đà, thì giá trị ăn mòn thiết kế danh nghĩa (NDCV- nominal design corrosion values) của kết cấu thân phải được tăng thỏa mãn 72.2.2. Khi tuổi thọ thiết kế lớn hơn 20 năm (gia số 5 năm), tuổi thọ tăng được xác định trong giấy chứng nhận bằng dấu hiệu HL (số năm). (Số năm) đề cập đến tuổi thọ thiết kế lớn hơn 20 năm thể hiện việc tăng giá trị ăn mòn thiết kế danh nghĩa.
5.2.6.2 Tuổi thọ mỏi thiết kế
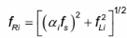
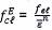
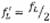
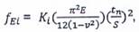
a) Khi thiết kế của kho chứa nổi có tuổi thọ mỏi tối thiểu là 20 năm hoặc vượt quá tuổi thọ thiết kế tối thiểu 20 năm, tuổi thọ mỏi thiết kế phải được xác minh tuân thủ các tiêu chuẩn mỏi trong Tiêu chuẩn này. Tuổi thọ mỏi thiết kế đề cập đến giá trị mục tiêu được chủ công trình hoặc nhà thiết kế đưa ra, không phải là giá trị được tính toán trong phân tích.
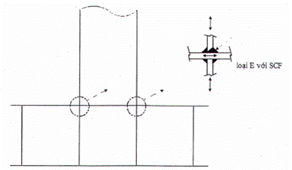
b) Phân tích độ bền mỏi được yêu cầu của các chi tiết và mối hàn chính trên kho chứa nổi phải thỏa mãn 7.5.4.1 và 7.5.4.2, và Phụ lục A.
c) Chỉ một dấu hiệu tuổi thọ mỏi thiết kế được ấn định và thể hiện trong giấy chứng nhận về thân, thân tiếp xúc với kết cấu, hệ thống định vị động và các bộ phận. Các yêu cầu cho kết cấu chuyển tiếp được nêu ở 7.7 của Tiêu chuẩn này và các yêu cầu cho hệ thống neo buộc định vị trong Phần 6, TCVN 6474. Khi chỉ thực hiện phân tích mỏi yêu cầu theo 7.5.4.1 và 7.5.4.2, dấu hiệu phân cấp FL (số năm) và Năm hết tuổi thọ mỏi tại vị trí hoạt động xác định được ấn định. Tuổi thọ mỏi sẽ được xác định trong giấy chứng nhận bằng dấu hiệu FL (số năm), Năm.
Ví dụ: FL (30), 2041 cho kho chứa nổi được đóng năm 2011 nếu có tuổi thọ mỏi thiết kế tối thiểu là 30 năm.
d) Nếu chủ kho chứa hoặc nhà thiết kế yêu cầu phân tính mỏi quang phổ (xem 5.2.7 và 7.5.4.3), thì chỉ có dấu hiệu tuổi thọ mỏi thiết kế SFA (số năm), Năm được ấn định và thể hiện trong giấy chứng nhận cho thân và hệ thống kết cấu tiếp xúc với thân. Dù chỉ ấn định dấu hiệu SFA và không có dấu hiệu FL, phân tính mỏi yêu cầu theo 7.5.4.1 và 7.5.4.2 và Phụ lục A phải được thực hiện và tuổi thọ mỏi tính toán phải thỏa mãn tuổi thọ mỏi thiết kế.
e) (Số năm) đề cập đến tuổi thọ mỏi thiết kế là 20 năm hoặc lớn hơn (gia số 5), theo chủ kho chứa hoặc nhà thiết kế xác định. Nếu các giá trị tuổi thọ mỏi thiết kế khác được xác định cho các thành phần kết cấu khác của kho chứa nổi, ví dụ như các bộ phận kết cấu thân, kết cấu tiếp xúc với thân và các bộ phận hệ thống neo định vị, thì (số năm) thể hiện giá trị nhỏ nhất trong các giá trị được xác định. Trong trường hợp này, phân tính mỏi quang phổ cũng áp dụng giá trị tuổi thọ mỏi nhỏ nhất được tính toán theo phân tích độ bền mỏi thỏa mãn 7.5.4.1 và 7.5.4.2 và phân tích mỏi quang phổ phải thỏa mãn tuổi thọ mỏi thiết kế.
Ví dụ: Nếu tuổi thọ mỏi thiết kế được xác định là 25 năm, tính toán mỏi của các bộ phận kết cấu thân phải thỏa mãn tuổi thọ mỏi 25 năm. Tính toán mỏi của kết cấu định vị động tiếp xúc thân và kết cấu gắn thiết bị vào thân, và hệ thống định vị động cũng phải thỏa mãn tuổi thọ mỏi là 25 x FDF năm, trong đó FDF là hệ số an toàn mỏi được xác định cho kết cấu tiếp xúc với thân và Bảng 6.4 của TCVN 6474 cho xích neo.
5.2.7 Dấu hiệu phân tích mỏi theo phương pháp phổ
Các tiêu chí độ bền mỏi yêu cầu đánh giá độ bền mỏi của các chi tiết kết cấu mà có thể cũng dựa vào các phương pháp phân tích quang phổ để chứng minh sự thích hợp của độ bền mỏi. Nếu phân tích phương pháp phổ được thực hiện thỏa mãn tiêu chuẩn, hướng dẫn được chấp nhận (ví dụ như Hướng dẫn của ABS về đánh giá mỏi của kết cấu công trình biển), kho chứa nổi sẽ được nhận dạng trong giấy chứng nhận với dấu hiệu SFA (số năm) sau đó là vị trí cụ thể của kho chứa nổi. (Số năm) đề cập tuổi thọ mỏi thiết kế bằng 20 năm hoặc hơn (gia số 5), như đề nghị của chủ/nhà thiết kế (ví dụ SFA (30)). Chỉ có một giá trị tuổi thọ mỏi thiết kế nhỏ nhất được áp dụng cho toàn bộ hệ thống kết cấu như nêu ở 5.2.6.
5.2.8 Lượng ăn mòn bổ sung
5.2.8.1 Nếu kho chứa nổi có chiều dày thép tấm bổ sung cao hơn kích thước yêu cầu thì kho chứa nổi sẽ được nhận biết bằng dấu hiệu AT, sau đó là mô tả (các) bộ phận dầm thân chính mà có chiều dày bổ sung. Dấu hiệu này cũng sẽ bao gồm số nhận biết chiều dày dự trữ (làm tròn xuống 0,5 mm gần nhất) (Ví dụ AT(DK+0,5)). Để áp dụng dấu hiệu AT, chiều dày bổ sung phải được áp dụng cho toàn bộ kết cấu thuộc khoang hàng của kho chứa nổi. Dấu hiệu này lập hồ sơ các khu vực chính của kết cấu có chiều dày dự trữ bổ sung cho các khu vực bị ăn mòn đáng kể hoặc các khu vực có thể muốn tăng lượng dự trữ ăn mòn thông thường để kéo dài tuổi thọ hoạt động dự kiến của thành phần kết cấu.
5.2.8.2 Các bộ phận kết cấu chính là:
| DK | Boong trên |
| ID | Boong trong |
| SD | Boong thứ 2 |
| BS | Tôn bao đáy (bao gồm cả đáy) |
| IB | Đáy trên |
| BG | Dầm đáy kín nước |
| SS | Tôn mạn (bao gồm dải tôn mép mạn) |
| ST | Sống dọc mạn kín nước |
| IS | Lớp vỏ bên trong (bao gồm tôn nghiêng “két hông”) |
| CB | Vách ngăn cách ly giữa kho chứa nổi/ Centerline cofferdambulkhead |
| TB | Vách ngang |
5.2.9 Hệ thống khai thác ngầm dưới biển
Dấu hiệu cho hệ thống khai thác ngầm dưới biển CSS-Production phải thỏa mãnTCVN 13432:2011.
5.3 Dấu hiệu cho các hệ thống tự động hoặc giám sát và điều khiển từ xa
Dấu hiệu cho các hệ thống tự động hoặc giám sát và điều khiển từ xa phải thỏa mãn các yêu cầu áp dụng ở TCVN 6277.
5.4 Ký hiệu thiết bị neo tạm thời “E”
Nếu Chủ kho chứa nổi đề nghị, đối với kho chứa nổi tự hành, dấu hiệu E có thể được đặt sau ký hiệu phân cấp trong giấy chứng nhận, thể hiện thiết bị neo tạm thời thỏa mãn TCVN 12823 hoặc TCVN 6259-8D.
5.5 Bản vẽ và dữ liệu
5.5.1 Dữ liệu và bản vẽ thiết kế kết cấu
5.5.1.1 Bản vẽ thể hiện kích thước, bố trí và các chi tiết của các phần chính kết cấu thân của mỗi kho chứa nổi phải thể hiện rõ kích thước, chi tiết giao nhau và mối hàn hoặc các phương pháp kết nối khác. Nhìn chung, cần có các bản phản vẽ sau một cách phù hợp:
a) Bố trí chung;
b) Bản vẽ đường sườn, tuyến hình, các trị số tuyến hình, các đường cong hình dạng, hình chiếu bên trong và bên ngoài mạn;
c) Đường cong mô men nghiêng do gió hoặc dữ liệu tương đương;
d) Bản vẽ bố trí khoang kín nước;
e) Sơ đồ chỉ ra phạm vi tính toàn vẹn kín nước và kín thời tiết phải được duy trì, vị trí, loại và bố trí các thiết bị kín nước và kín thời tiết;
f) Bản vẽ bố trí và bảng dung tích két;
g) Bản tóm tắt phân bố trọng lượng (cố định, thay đổi, dằn...);
h) Loại, vị trí và số lượng kết dằn cố định, nếu có;
i) Các tải trọng cho tất cả các boong;
j) Quy cách cơ cấu mặt cắt ngang;
k) Quy cách cơ cấu mặt cắt dọc;
l) Các boong, bao gồm cả sân bay trực thăng;
m) Kết cấu khung sườn, tôn mạn, các vách và sàn kín nước, kết cấu các vách và sàn, các vách và sàn của két có ống thông hơi và ống tràn;
n) Các cột, sống, thanh giằng và thanh chống;
o) Kết cấu thượng tầng và lầu;
p) Bố trí và chi tiết các cửa và nắp kín nước;
q) Bệ đỡ thiết bị neo, thiết bị công nghiệp, các modun xử lý và phụ trợ xử lý..., mà gắn với kết cấu thân, thượng tầng hoặc lầu;
r) Tháp neo và càng nối, bao gồm các chi tiết cơ khí;
s) Bố trí kiểm soát ăn mòn;
t) Các phương pháp và vị trí kiểm tra không phá hủy;
u) Các bản vẽ và tính toán/phân tích cho các kết cấu modun đỡ hệ thống xử lý;
v) Các bản vẽ và tính toán/phân tích cho các kết cấu đỡ modun;
w) Kế hoạch giám sát chế tạo thân kho chứa nổi.
5.5.1.2 Các báo cáo điều kiện vị trí lắp đặt
5.5.1.2.1 Các báo cáo điều kiện vị trí lắp đặt, bao gồm dữ liệu về đất và môi trường ở vị trí lắp đặt xem 4.1.4 củaTCVN 6474. Mục đích chính của các báo cáo này là để chứng minh rằng điều kiện môi trường được đánh giá để xác định các chỉ tiêu thiết kế. Các hạng mục cần đề cập là:
a) Các điều kiện môi trường sóng, gió, dòng chảy, thủy triều, độ sâu nước, nhiệt độ không khí và nước biển;
b) Địa hình đáy biển để thiết kế hệ thống neo, dữ liệu môi trường thích hợp và ổn định đáy biển;
c) Các điều kiện địa chấn.
5.5.1.2.2 Có thể sử dụng dữ liệu được thiết lập cho các công trình trước đó ở vùng lân cập khi được chấp nhận.
5.5.1.3 Các bản tính và dữ liệu thiết kế
a) Các thông tin của kho chứa nổi, mô tả các phương pháp thiết kế, và phương pháp phân tích được sử dụng để xác định thiết kế đó. Tuổi thọ hoạt động thiết kế dự kiến của kho chứa nổi cũng cần được đề cập. Phải có các thông tin về các hệ thống hàng hải, như P&IDs, các đặc tính kỹ thuật,... Nếu thử nghiệm mô hình được sử dụng để làm cơ sở cho thiết kế, thì việc áp dụng các kết quả thử sẽ phụ thuộc vào việc chứng minh tính thỏa đáng của các phương pháp được sử dụng, bao gồm liệt kê các nguồn có thể gây lỗi, các giới hạn áp dụng và các phương pháp ngoại suy cho toàn bộ quy mô dữ liệu. Tốt nhất, các quy trình phải được xem xét và đồng ý trước khi tiến hành thử nghiệm mô hình.
b) Theo yêu cầu trong các phần tiếp theo, các tính toán phải được trình nộp để chứng minh tính đầy đủ của thiết kế đề xuất. Phải trình bày các tính toán đó một cách hợp lý, có viện dẫn tin cậy và sử dụng đơn vị đại lượng nhất quán. Nếu các tính toán là định dạng phân tích máy tính, cần cung cấp bổ sung dữ liệu đầu vào và đầu ra ở dạng ô được tạo bởi máy tính cho mô hình kế cấu. Mô tả chương trình (không phải dạng liệt kê), các hướng dẫn sử dụng và các kết quả của các vấn đề mẫu xác minh có thể được yêu cầu trình nộp.
5.5.1.4 Các bản vẽ và đặc tính
a) Các bản vẽ hoặc đặc tính mô tả bố trí và chi tiết của các hạng mục chính của kho chứa nổi.
b) Trong trường hợp thấy phù hợp và khi Chủ kho chứa nổi yêu cầu, kế hoạch nộp dữ liệu và bản vẽ có thể được các bên liên quan thiết lập. Kế hoạch này phản ánh kế hoạch chế tạo và hạng mục phức tạp của kho chứa nổi vì nó ảnh hưởng tới thời hạn yêu cầu để xem xét dữ liệu.
5.5.1.5 Bản ghi nhớ thông tin
5.5.1.5.1 Một bản ghi nhớ thông tin trên kho chứa nổi phải được soạn thảo. Các nội dung của bản ghi nhớ thông tin được xem xét để xác định tính nhất quán với các dữ liệu khác được gửi phục vụ mục đích phân cấp. Các nội dung của bản ghi nhớ về tính chính xác hoặc các tính năng được mô tả trong bản ghi nhớ sẽ không được xem xét về tính thỏa đáng của chúng.
5.5.1.5.2 Tùy thuộc vào kho chứa nổi cụ thể, bản ghi nhớ thông tin phải bao gồm các hạng mục sau:
a) Bản vẽ vị trí lắp đặt chỉ ra các đặc điểm chung tại hiện trường và vị trí chính xác của kho chứa nổi;
b) Các chỉ tiêu thiết kế môi trường, bao gồm chu kỳ lặp sử dụng để đánh giá môi;
c) Các bản vẽ bố trí chung của kho chứa nổi;
d) Mô tả các hệ thống an toàn và bảo vệ được trang bị;
e) Số lượng người thường xuyên có mặt trên kho chứa nổi;
f) Danh mục các cơ quan chính phủ có thẩm quyền cho kho chứa nổi;
g) Danh mục các đặc tính mới;
h) Mô tả ngắn gọn bất kỳ biện pháp giám sát nào được sử dụng trên kho chứa nổi;
i) Mô tả các quy trình vận chuyển và lắp đặt.
5.5.2 Dữ liệu và bản vẽ thiết kế cho các hệ thống neo định vị
Hồ sơ thiết kế cho hệ thống neo phải bao gồm các hạng mục sau, nếu có:
a) Mô hình hoặc bố trí neo;
b) Chi tiết các thiết bị tời neo;
c) Chi tiết hệ thống neo;
d) Chi tiết các đoạn xích neo;
e) Các kết nối tại mỏ neo và giữa các đoạn xích neo;
f) Chi tiết phao nổi;
g) Chi tiết phao nổi cho hệ thống neo CALM;
h) Chi tiết kết cấu neo đơn (SALM), nếu có;
i) Chi tiết hệ thống tháp neo (Turret) chỉ ra kết cấu tháp neo, khớp nối, bàn xoay và thiết bị ngắt kết nối;
j) Chi tiết càng nối (cứng hoặc mềm) kết nối kho chứa nổi và kết cấu CALM/SALM;
k) Báo cáo môi trường;
l) Phân tích neo mô tả phương pháp tính toán tải trọng và phân tích động để xác định tải trọng thiết kế dây neo;
m) Báo cáo thử mô hình khi tải trọng thiết kế được dựa trên kết quả thử mô hình trong bề thử;
n) Thông số kỹ thuật thiết bị đẩy và bản tính lực đẩy và công suất để kháng lại các lực môi trường cho thống định vị động (Xem 4.1.3 và 4.1.4 của TCVN 6474.)
5.5.3 Bản vẽ thiết kế cho hệ thống chứa khí hóa lỏng, các hệ thống vận hành GNG và khí hóa lỏng
5.5.3.1 Các bản vẽ, tính toán và thông tin sau đây được cung cấp bổ sung một cách thích hợp.
5.5.3.2 Thông tin đầy đủ về hàng hóa dự kiến và đặc tính của chúng, bao gồm điểm chớp cháy, áp suất hơi lớn nhất, nhiệt độ nhỏ nhất và lớn nhất và các quy trình nhập và chứa hàng;
5.5.3.3 Bản về bố trí của kho chứa nổi thể hiện vị trí của:
a) Hệ thống chứa khí hóa lỏng, két dầu nhiên liệu, két nướcdằn và các két khác và các khoang trống;
b) Các lỗ người chui và bất kỳ lỗ khoét nào khác ở các két hàng.
c) Các cửa và cấc lỗ khoét khác ở buồng bơm hàng, buồng máy nén và buồng khí nguy hiểm khác;
d) Các ống thông gió cho buồng máy nén hàng và các không gian “khí nguy hiểm” khác;
e) Cửa, ngăn khóa khí, các ống thông gió và các lỗ khoét khác cho không gian “không có khí nguy hiểm” nhưng lân cận với khu vực hàng, bao gồm các buồng bên trong và bên dưới boong thượng tầng mũi;
f) Đường ống hàng, cả pha khí và lỏng, bố trí ở dưới và bên trên boong;
g) Đường ống thông gió và đường ống không có khí (gas-freeing) và các thiết bị bảo vệ như mà chắn lửa...được trang bị tại đầu ra của ống thông gió;
h) Các không gian khí nguy hiểm.
5.5.3.4 Các bản vẽ kết cấu kho chứa nổi phía các két hàng, bao gồm lắp đặt các chi tiết gá, phụ kiện, mã gia cường bên trong, đế để đỡ và gắn buộc các thiết bị.
5.5.3.5 Các bản vẽ kết cấu của hệ thống chứa hàng, bao gồm lắp đặt các chi tiết gá, đỡ và gá các phụ kiện. Đối với các két hàng có áp lực độc lập, phải xác định tiêu chuẩn hoặc Bộ luật áp dụng cho thiết kế và chế tạo. Các bản vẽ chế tạo chi tiết cùng với các tính toán thiết kế cho vách áp lực, bố trí gia cường két và phân tích cho phân bố tải trọng. Bố trí đệm, chống va và các tính toán thiết kế.
5.5.3.6 Phân bố loại và cấp thép cho kết cấu của kho chứa nổi, cùng với tính toán về nhiệt độ trên tất cả kết cấu mà có thể bị ảnh hưởng bởi nhiệt độ thấp của hàng.
5.5.3.7 Các kết quả của các tính toán trực tiếp về độ bền của kết cấu kho chứa nổi và trong hệ thống chứa hàng.
5.5.3.8 Một bản phân tích va đập để chứng minh rằng các kết cấu, hệ thống và két chứa khí hóa lỏng có thể chịu được các tải trọng trong điều kiện các két được chứa đầy một phần đến bất kỳ mức nào phù hợp với các quy trình khai thác. Phải cung cấp mô tả về công vụ phân tích và tài liệu hỗ trợ để xác nhận các công cụ này;
5.5.3.9 Các bản vẽ và đặc tính kỹ thuật của hệ thống cách nhiệt và bảng tính cân bằng nhiệt;
5.5.3.10 Phân tích nhiệt xác định lượng bay hơi khí hóa lỏng từ các két chứa;
5.5.3.11 Các bản tính chỉ ra phương pháp xử lý khí bay hơi từ các két mà không làm quá áp ở các két;
5.5.3.12 Các quy trình và bản tính của hoạt động nhập, xuất và làm mát hàng;
5.5.3.13 Các hệ thống nhập và xuất, hệ thống thông gió và hệ thống xả khí cũng như là sơ đồ nguyên lý của hệ thống van điều khiển từ xa;
5.5.3.14 Chi tiết và việc lắp đặt các van an toàn và các bản tính liên quan tới khả năng giảm áp của chúng;
5.5.3.15 Chi tiết và việc lắp đặt các hệ thống điều khiển và giám sát khác nhau, bao gồm các thiết bị đo mức hàng trong két và nhiệt độ trong hệ thống chứa hàng.
5.5.3.16 Sơ đồ nguyên lý của hệ thống thông gió chỉ ra kích thước ống thông gió và chiều cao lỗ khoét ở trên boong chính;
5.5.3.17 Sơ đồ nguyên lý của hệ thống làm lạnh cùng với các bản tính liên quan tới công suất làm lạnh của hệ thống tái hóa lỏng, nếu có;
5.5.3.18 Chi tiết thiết bị điện được lắp đặt trong khu vực hàng và chi tiết liên kết điện của đường ống và các két hàng;
5.5.3.19 Nếu có, các bản vẽ và đặc tính kỹ thuật liên quan tới việc sử dụng hàng làm nhiên liệu cho nồi hơi và động cơ đốt trong (bố trí chung; sơ đồ nguyên lý của đường khí nhiên liệu với tất cả các van và thiết bị an toàn; máy nén khí nhiên liệu và động cơ liên quan; thiết bị hâm nóng khí nhiên liệu và các bình chịu áp lực; lắp đặt thiết bị đốt khí và dầu nhiên liệu; các hệ thống liên kết điện);
5.5.3.20 Chi tiết về quy trình thử các két hàng và các hệ thống chứa chất lỏng và hơi;
5.5.3.21 Sơ đồ hệ thống khí trơ hoặc hệ thống kiểm soát môi trường trong khoang hàng;
5.5.3.22 Sơ đồ hệ thống phát hiện khí;
5.5.3.23 Bố trí thiết bị, hệ thống bỏ hàng, nếu có;
5.5.3.24 Chi tiết tất cả thiết bị xử lý hơi và hàng hóa;
5.5.3.25 Quy trình hàn các két hàng, các hệ thống đường ống GNG và khí hóa lỏng;
5.5.3.26 Hệ thống dừng khẩn cấp;
5.5.3.27 Chi tiết cấu tạo của các bơm tăng áp, bơm hàng và các máy nén, bao gồm đặc tính vật liệu;
5.5.3.28 Bản vẽ vùng nguy hiểm chỉ ra lối tiếp cận, các lỗ khoét, đầu ra thông gió;
5.5.3.29 Bố trí dằn và hút khô cho khu vực hàng;
5.5.3.30 Bố trí kéo sự cố.
5.5.4 Bản vẽ thiết kế cho các thiết bị xử lý, các hệ thống an toàn và hỗ trợ
5.5.4.1 Các thiết bị và xử lý
a) Mô tả hệ thống xử lý
b) Đặc tính của dự án và đánh giá tổng thể chung hệ thống xử lý;
c) Sơ đồ dòng chảy của hệ thống xử lý;
d) Cân bằng khối lượng và nhiệt;
e) Các bản vẽ bố trí thiết bị;
f) Các bản vẽ phân vùng và thông gió;
g) Sơ đồng đường ống và công cụ (P&IDs);
h) Biểu đồ đánh giá chức năng phân tích an toàn (SAFE);
i) Hệ thống dừng sự cố và dừng bao gồm phân tích mối nguy hiểm và các trạng thái hư hỏng và phân tích ảnh hưởng (FMEA) để xác định các bộ phận chính;
j) Các hệ thống giảm áp;
k) Hệ thống thông hơi và đốt;
l) Các hệ thống xả kín, xả hở và tràn;
m) Hồ sơ thiết bị xử lý, bao gồm bản tính chỉ ra sự phù hợp của tất cả các bộ phận chịu áp lực trong hệ thống chịu áp suất thiết kế lớn nhất mà một bộ phận cụ thể có thể chịu trong khai thác.
n) Các hệ thống đường ống xử lý;
o) Các cụm thiết bị xử lý;
p) Hệ thống điều khiển và giám sát để điều chỉnh áp suất toàn hệ thống và phân tích bức xạ nhiệt của hệ thống phân tán khí (bao gồm các bản tính kính thước hệ thống thông gió và van giảm áp) để chứng minh rằng cường độ bức xạ nhiệt ở bất kỳ boong hoặc vị trí nào mà bình thường có hoạt động vận hành hoặc bảo dưỡng không vượt quá các khuyến nghị nêu trong API RP 521.
5.5.4.2 Hệ thống phục vụ và phụ trợ xử lý
a) Sơ đồ đường ống và công cụ (P&ID) cho mỗi hệ thống;
b) Hồ sơ thiết bị;
c) Đặc tính kỹ thuật đường ống phụ trợ xử lý;
d) Bản dữ liệu đặc tích kỹ thuật cho động cơ đốt trong và tua bin;
e) Bản dữ liệu đặc tính kỹ cho các cần cẩu;
f) Các hệ thống hỗ trợ hàng hải, nếu áp dụng.
5.5.5 Hệ thống tái hóa khí
a) Mô tả tổng thể và đặc tính hệ thống;
b) Bố trí chung;
c) Bố trí vùng nguy hiểm;
d) Sổ tay lắp đặt trong các vùng nguy hiểm;
e) Đánh giá rủi ro;
f) Sổ tay vận hành;
g) Bản vẽ thể hiện kích thước và chi tiết tại vị trí đặt module tái hóa khí;
h) Tài liệu phân tích độ bền tại vị trí lắp đặt module tái hóa khí;
i) Hệ thống dừng khẩn cấp;
j) Sơ đồ nguyên nhân và ảnh hưởng của hệ thống dừng khẩn cấp;
k) Chứa chất lỏng lạnh bị tràn;
l) Sơ đồ đường ống và thiết bị (P & ID);
m) Bố trí đường ống;
n) Phân tích độ bền ống (áp lực cao và đông lạnh);
o) Chi tiết tất cả thiết bị xử lý hơi khí và hàng, bao gồm cả hệ thống áp lực cao;
p) Chi tiết và lắp đặt các van an toàn/ van trào và tính toán công suất của chúng;
q) Các quy trình thử hệ thống tái hóa khí.
5.5.6 Hệ thống điện
a) Sơ đồ điện một dây;
b) Các bản tính dòng ngắn mạch;
c) Nghiên cứu đồng bộ;
d) Các bản dữ liệu và đặc tính cho các máy phát và động cơ;
e) Các bản dữ liệu và đặc tính cho các máy biến thế phân phối;
f) Chi tiết về các ắc quy tích điện;
g) Chi tiết về nguồn điện sự cố;
h) Chi tiết tiêu chuẩn về cáp điện và lắp đặt máng cáp;
i) Các bảng điện và bảng phân phối;
j) Bảng điều khiển;
k) Lắp đặt thiết bị điện trong các khu vực được phân vùng.
5.5.7 Hệ thống điều khiển và thiết bị đo
a) Bố trí chung;
b) Bản dữ liệu;
c) Các bản vẽ sơ đồ - hệ thống điện;
d) Các bản vẽ sơ đồ - Hệ thống thủy lực và khí nén;
e) Hệ thống điện tử lập trình.
5.5.8 An toàn cho người và chống cháy
a) Hệ thống nước chữa cháy;
b) Hệ thống phun sương hoặc làm ngập nước cho lầu, thượng tầng và các vùng phân phối;
c) Hệ thống phun sương hoặc làm ngập nước cho thiết bị công nghệ;
d) Hệ thống bọt khô cho khu vực két chứa khí hóa lỏng;
e) Hệ thống chữa cháy cố định;
f) Kho sơn và buồng chứa vật liệu dễ cháy;
g) Các trạm điều khiển sự cố;
h) Các bình chữa cháy xách tay và bán di động;
i) Các hệ thống phát hiện và báo động khí và cháy;
j) Nguồn khí và cháy và biểu đồ ảnh hưởng;
k) Kết cấu chống cháy (chỉ ra cấp chống cháy của các vách, boong cho khu nhà ở, buồng máy và hệ thống công nghệ);
l) Bản vẽ thông gió sưởi ấm và điều hòa không khí (bao gồm bộ xử lý không khí (AHU), vị trí, bố trí ống thông gió, kết cấu ống thông gió và chi tiết xuyên vách và boong);
m) Bố trí chi tiết mối nối và chứng nhận vật liệu của kết cấu chống cháy;
n) Lan can bảo vệ;
o) Các lối thoát hiểm (có thể kết hợp với sơ đồ kiểm soát cháy hoặc sơ đồ riêng);
p) Bản vẽ thiết bị cứu sinh (phải có các lối thoát hiểm);
q) Việc bọc các bề mặt nóng;
r) Phân tích nguy cơ cháy và nổ;
s) Do kho chứa có nhiều hình dạng khác nhau, một số phần của yêu cầu này có thể không được áp dụng.
5.5.9 Các quy trình
a) Các quy trình lắp đặt cho phần nhập hàng của kết cấu kho chứa nổi, khu vực boong, các sàn mô đun công nghệ và thượng tầng;
b) Các quy trình lắp đặt để thực hiện tất cả việc lắp đặt ngoài biển, bao gồm cả việc hoàn thiện và lắp đặt sàn chờ bệ đỡ;
c) Quy trình ngắt kết nối, nếu có;
d) Quy trình lên đà;
e) Quy trình kết nối;
f) Hệ thống xuất/nhập;
g) Các quy trình lắp đặt;
h) Các quy trình khởi động và chạy thử;
i) Hồ sơ kế hoạch kiểm tra.
5.6 Sổ tay làm hàng
5.6.1 Sổ tay làm hàng đề cập đến hoạt động an toàn của kho chứa nổi từ khía cạnh độ bền. Sổ tay làm hàng này phải được soạn thảo để hướng dẫn và sử dụng bởi người chịu trách nhiệm xuất/nhập hàng trên kho chứa nổi. Sổ tay phải bao gồm các biện pháp để xác định ảnh hưởng của các điều kiện dằn, chuyển tiếp và tải khác nhau đối với mô men uốn chung và lực cắt, và sổ tay này phải được cung cấp cho thuyền trưởng để hướng dẫn. Ngoài ra, một công cụ làm hàng phù hợp cho hoạt động dự kiến phải được lắp đặt trên kho chứa nổi. Các điều kiện kiểm tra công cụ làm hàng và dữ liệu liên quan khác phải được nộp để xem xét.
5.6.2 Phải có sổ tay vận hành về hoạt động hàng hải cho tất cả kho chứa nổi chứa khí hóa lỏng, có các thông tin được nêu ở 4.2.4, TCVN 6474, nếu áp dụng, sổ tay làm hàng nói trên có thể là một phần của sổ tay vận hành hoặc được xuất bản riêng biệt, sổ tay làm hàng, nếu xuất bản riêng, phải được viện dẫn trong sổ tay vận hành tổng thể. Ngoài ra, nếu dấu hiệu có khả năng ngắt kết nối Disconnectable được yêu cầu là dấu hiệu phân cấp bổ sung, thì sổ tay vận hành phải có các quy trình để ngắt kết nối và đấu nối lại kho chứa nổi với hệ thống neo và ống đứng của nó. (xem TCVN 6474).
5.7 Thông báo ổn định và chúi (sổ tay vận hành)
5.7.1 Bổ sung cho sổ tay làm hàng, kho chứa nổi phải có thông tin hữu hiệu để hướng dẫn thuyền trưởng và người có trách nhiệm khác về an toàn khi nhập, chuyển và xả hàng và khi dằn liên quan đến tính ổn định và chúi của thân kho chứa nổi. Thông tin phải bao gồm các điều kiện dằn, chuyển tiếp và tải khác nhau trên toàn bộ chiều chìm khai thác với các chỉ tiêu ổn định để người có trách nhiệm có thể đánh giá ổn định tai nạn và ổn định nguyên vẹn của điều kiện tải trọng dự kiến.
5.7.2 Thông tin này có thể được soạn thảo riêng thành Thông báo ổn định và chúi hoặc có thể là một phần trong sổ tay vận hành tổng thể. Nếu được soạn thảo riêng, thông báo ổn định và chúi phải được viện dẫn trong sổ tay vận hành tổng thể. Bổ sung cho Thông báo hoặc mục trong sổ tay vận hành, thông tin hướng dẫn ổn định cũng có thể được gộp là một phần của sổ tay làm hàng nêu ở 5.6.
5.8 Ổn định
Ổn định tai nạn và nguyên vẹn của kho chứa nổi phải được đánh giá phù hợp với các quy định của TCVN 6474 và TCVN 6259-8D. Ngoài ra, các quy định của Công ước LL1966, IMO Code về ổn định nguyên vẹn, IMO MODU Code, IGC Code và MARPOL 73/78 cũng phải được xem xét áp dụng.
5.9 Dữ liệu trọng lượng tàu không
Phải xác định trọng lượng tàu không và trọng tâm tàu cho các kho chứa nổi. Một cuộc thử nghiêng sẽ được yêu cầu cho kho chứa nổi đầu tiên theo seri, khi gần hoàn thiện chế tạo đến mức có thể được, để xác định chính xác trọng lượng tàu không và vị trí trọng tâm tàu. Quy trình thử nghiêng phải được nộp để xem xét trước khi tiến hành thử. Việc thử nghiêng phải có sự chứng kiến của người giám sát.
5.10 Đường nước tải trọng
5.10.1 Mỗi kho chứa nổi phải có các dấu hiệu chỉ định chiều chìm cho phép lớn nhất mà kho chứa nổi có thể nhập hàng. Các dấu như thế phải được đặt tại các vị trí có thể nhìn thấy phù hợp trên thân hoặc kết cấu kho chứa nổi.
5.10.2 Ngoại trừ được sự cho phép của Chính quyền ven bờ và chính quyền treo cờ, các dấu hiệu đường nước tải trọng phải được thiết lập theo các quy định của Công ước Load Line, 1966.
5.10.3 Bố trí của kho chứa nổi phải thỏa mãn tất cả các quy định áp dụng của Công ước Load Line.
5.11 Kho chứa nổi hoán cải
Các kho chứa nổi hoán cải phải tuân theo 5.1.2, TCVN 6474.
6 Thiết kế kho chứa nổi chứa khi hóa lỏng trên biển
6.1 Điều kiện môi trường
6.1.1 Kho chứa nổi phải được thiết kế cho các trường hợp tải trọng gặp phải trong các điều kiện di chuyển và tại vị trí lắp đặt. Các điều kiện tại vị trí lắp đặt phải bao gồm cả điều kiện môi trường thiết kế và điều kiện vận hành thiết kế
6.1.2 Hệ thống neo định vị
6.1.2.1.1 Trừ khi kho chứa nổi được phân cấp với dấu hiệu VRM (Disconnectable), các kho chứa nổi phải có khả năng duy trì tại vị trí dưới các điều kiện môi trường khắc nghiệt nhất nêu ở 6.1.2.1.3 của Tiêu chuẩn này nhờ hệ thống neo định vị. Hệ thống neo định vị có thể bao gồm hệ thống neo thông thường hoặc hệ thống neo đơn (SPM) như: neo CALM, neo SALM, neo tháp.... Thiết kế, chế tạo, lắp đặt, triển khai và thử nghiệm phải thỏa mãn các quy định tại Mục này và TCVN 6474.
6.1.2.1.2 Hệ thống neo định vị của kho chứa nổi phải được thiết kế để tồn tại trong điều kiện môi trường thiết kế và hoạt động ở điều kiện hoạt động thiết kế. Đối với hệ thống neo có thể ngắt kết nối, phải xác định các điều kiện giới hạn mà tại đó hệ thống neo được ngắt hoặc kết nối lại.
6.1.2.1.3 Điều kiện môi trường thiết kế (DEC)
a) Điều kiện môi trường thiết kế (DEC) được định nghĩa là điều kiện khắc nghiệt có sự kết hợp của gió, sóng và dòng chảy mà dựa vào đó hệ thống được thiết kế.
b) DEC phải là một trong các kết hợp sau mà dẫn tới trường hợp tại trọng lớn nhất:
- Sóng 100 năm với dòng chảy và gió liên quan;
- Gió 100 năm với dòng chảy và sóng liên quan;
- Dòng chảy 100 năm với gió và sóng liên quan.
c) Ở các khu vực có dòng chảy lớn, có thể cần xem xét bổ sung các trường hợp tải trọng môi trường thiết kế.
d) Sóng 100 năm thường được đặc trưng bởi chiều cao sóng đáng kể có kiểu hình dạng phổ và một dải các chu kỳ sóng cực đại liên quan.
e) Chu kỳ lặp tối thiểu trong 100 năm cho DEC được yêu cầu cho các kho chứa nổi. Chu kỳ lặp tối thiểu trong 50 năm phải được xem xét riêng nếu nó được chấp nhận. Bất kỳ kết hợp môi trường nào có chu kỳ lặp ngắn hơn chu kỳ của DEC tạo ra phản ứng tải trọng neo lớn hơn cũng có thể được sử dụng trong thiết kế.
f) Đối với kho nổi có dấu hiệu Disconnectable, điều kiện môi trường ngắt kết nối (DISEC) của hệ thống neo là điều kiện môi trường khắc nghiệt giới hạn mà tại đó kho chứa nổi được ngắt hỏi hệ thống neo. Tuy nhiên, hệ thống neo cố định, ví dụ như hệ thống neo riêng (không có kho chứa nổi), phải được thiết kế để chịu được điều kiện môi trường có chu kỳ lặp 100 năm. Phải trang bị hệ thống giám sát được chấp nhận để theo dõi các điều kiện môi trường hoặc các lực kéo dây neo để hỗ trợ quyết định ngắt kết nối kho chứa nổi khỏi hệ thống neo.
g) Ngoài sóng, gió và dòng chảy, việc thiết kế kho chứa nổi có thể yêu cầu nghiên cứu các yếu tố môi trường sau đây, phù hợp với kiểu kết cấu và vùng hoạt động của kho chứa nổi:
- Thủy triều và bão;
- Nhiệt độ không khí và nước biển;
- Băng và tuyết;
- Chiều dày sinh vật biển;
- Địa chất;
- Băng biển.
h) Các hiện tượng khác, như sóng thần, trượt đáy biển, dao động mực nước, thành phần bất thường trong không khí và nước, độ ẩm không khí, độ mặn, băng trôi....có thể yêu cầu nghiên cứu phụ thuộc vào vùng hoạt động cụ thể.
i) Yêu cầu nghiên cứu điều kiện đất và đáy biển phải tuân theo TCVN 6170-7.
6.1.2.1.4 Điều kiện hoạt động thiết kế (DOC)
Điều kiện hoạt động thiết kế (DOC) được định nghĩa là điều kiện môi trường giới hạn mà tại đó yêu cầu tạm dừng các hoạt động thông thường. Chu kỳ lặp liên quan đến DOC phải lớn hơn: giá trị được xác định bởi nhà vận hành kho chứa nổi hoặc 1 năm.
6.1.2.1.5 Điều kiện lắp đặt thiết kế (DIC)
Điều kiện lắp đặt thiết kế (DIC) được định nghĩa là điều kiện môi trường giới hạn mà tại đó yêu cầu tạm dừng các hoạt động của kho chứa nổi. Các giới hạn cụ thể trong các điều kiện môi trường ảnh hưởng tới hoạt động an toàn trong quá trình lắp đặt được nêu ở Mục 9, TCVN 6474 phải được thiết lập và ghi thành văn bản.
6.1.2.1.6 Sự tách biệt hướng gió, dòng chảy và sóng (Angular Separation of Wind, Current and Waves)
a) Đối với các hệ thống neo đơn, cho phép kho chứa nổi xoay thuận theo thời tiết, phải xem xét đến các góc hướng tác động tách biệt nhau giữa gió, dòng chảy và sóng trong cả hai trường hợp khi chúng cùng hướng và không cùng hướng với nhau. Việc tách biệt thích hợp các hướng của gió, dòng chảy và sóng trong điều kiện môi trường thiết kế phải được xác định dựa trên số liệu nghiên cứu môi trường tại vị trí hoạt động cụ thể. Nếu không có thông tin, có thể xem xét 2 kết hợp góc cho môi trường không cùng hướng sau đây như là điều kiện tối thiểu:
- Gió và dòng chảy cùng hướng và cả 2 ở góc 30° so với sóng:
- Gió ở góc 30° và dòng chảy ở góc 90° so với sóng.
b) Đối với các hệ thống neo căng có thay đổi giới hạn ở các góc mũi kho chứa nổi (nhỏ hơn 20°) dưới các tải trọng môi trường thiết kế, các thông số môi trường cùng hướng của gió, dòng chảy và sóng, mà thường được kiểm soát, có thể được sử dụng trong thiết kế.
c) Đối với mỗi trạng thái biển thiết kế, vùng biển có sóng đỉnh dài (long-crested sea) không có năng lượng quang phổ truyền theo hướng thường được xem xét trong phân tích neo.
6.1.3 Tuổi thọ mỏi và độ bền kết cấu
6.1.3.1 Vị trí lắp đặt
6.1.3.1.1 Các điều kiện môi trường tại vị trí lắp đặt cụ thể, bao gồm cả các trường hợp môi trường có chu kỳ lặp 100 năm và dữ liệu sơ đồ phân tán sóng về phân bổ chiều cao/chu kỳ sóng, phải được xem xét để đánh giá tuổi thọ mỏi và độ bền thân kho chứa nổi. Đánh giá tuổi thọ mỏi cũng phải bao gồm các ảnh hưởng của chu kỳ nhập và xuất hàng vận hành ngoài tại hiện trường. Phải sử dụng chu kỳ lặp tối thiểu 100 năm đối với phản ứng thiết kế (design response) cho các tiêu chuẩn về điều kiện môi trường theo API RP 2T. Chu kỳ lặp tối thiểu 50 năm đối với phản ứng của kết cấu có thể được xem xét riêng khi được chấp nhận. Các điều kiện môi trường khác nhau có thể gây ra những phản ứng không mong muốn nhất cho các bộ phận của kết cấu thân kho chứa nổi. Những phản ứng chuyền động cực đại và những hậu quả của tải trọng cực đại do sóng có thể xảy ra ở các chu kỳ sóng khác nhau. Do đó, phải xem xét 2 điều kiện môi trường sau để rút ra những phản ứng chuyển động cực đại và kết quả tải trọng kết cấu tối đa. Giá trị lớn hơn từ 2 giá trị được xác định từ a) và b) phải được xem xét là giá trị phản ứng lớn nhất:
a) Sóng có chu kỳ lặp 100 năm đặc trưng bởi chiều cao sóng đáng kể với dải các chu kỳ đỉnh sóng liên quan, cần xem xét cả các cơn bão mùa đông và lốc xoáy nhiệt đới, nếu có.
b) Dữ liệu sơ đồ phân tán sóng về phân bổ chiều cao/chu kỳ sóng. Khoảng thời gian làm cơ sở dữ liệu sơ đồ phân tán sóng phải đủ dài để làm cơ sở đáng tin cậy cho thiết kế (ít nhất là 5 năm). Việc phân bổ trường hợp phải được tính hàng năm với khả năng xảy ra là như nhau cho mỗi điểm dữ liệu. Mỗi điểm dữ liệu phải thể hiện cho trạng thái biển khoảng 3 giờ trong chu kỳ thời gian liên tục của cơ sở dữ liệu.
6.1.3.1.2 Đối với cả 2 điều kiện môi trường ở trên, cần xem xét các điều sau:
a) Các hướng sóng biển và các hướng khác liên quan đến mũi kho chứa nổi, bao gồm các ảnh hưởng của gió và dòng chảy, có sự phân bố xác suất phù hợp phải được xem xét, bất kể sử dụng loại hệ thống neo nào.
b) Nếu phù hợp, hoặc vùng biển dài hoặc vùng biển ngắn có khả năng truyền phải được xem xét cho các vấn đề thiết kế khác nhau.
6.1.3.2 Di chuyển
6.1.3.2.1 Điều kiện môi trường sóng và gió cho tuyến di chuyển từ nhà máy hoặc bãi lắp dựng đến vùng hoạt động và thời gian theo năm phải được xác định cho thiết kế của kho chứa nổi. Ngoại trừ các kho chứa nổi được chứng nhận có dấu hiệu phân cấp Disconnnectable, bất kỳ điều kiện di chuyển khác trong thời gian khai thác của kho chứa nổi phải được nộp để xem xét. Trước khi thực hiện chuyển hành trình như thế, nhân viên của đơn vị giám sát phải có mặt và kiểm tra kho chứa nổi đễ đánh giá tình trạng của nó.
6.1.3.2.2 Tối thiểu, tốc độ gió và chiều cao sóng đáng kể của chu kỳ lặp 10 năm phải được xem xét, trừ khi có bản thông tin thời tiết cho tuyến hành trình. Có thể xem xét các ảnh hưởng theo mùa trong môi trường thiết kế một cách phù hợp cho quá trình di chuyển. Ngoài việc kiểm tra độ bền thân kho chứa nổi trong quá trình di chuyển, phải chú ý đặc biệt tới các hạng mục như cần cẩu và kết cấu đỡ thiết bị công nghệ, chúng sẽ chịu tải trọng chuyển động và/hoặc ảnh hưởng của nước biển. Các tải trọng sinh ra bởi chuyển động trong quá trình di chuyển phải được tính toán và các kết cấu thượng tầng và kết cấu đỡ chúng mà nằm trong phạm vi phân cấp phải được xác minh chịu được các tải trọng này.
6.1.3.2.3 Nếu kho chứa nổi được trang bị tháp neo trong, phải xem xét đặc biệt tới hiện tượng sóng ngược chiều va vào đáy kho chứa nổi để ngăn ngừa hư hỏng cho các ổ đỡ và kết cấu đỡ tháp neo.
6.1.3.3 Kho chứa nổi có khả năng ngắt kết nối
Đối với các kho chứa nổi có khả năng ngắt kết nối với các hệ thống ống đứng và neo của nó khi điều kiện môi trường vượt quá giới hạn, độ bền kết cấu của kho chứa nổi phải thỏa mãn các điều kiện hoạt động không hạn chế (Bắc Đại tây dương). Tuy nhiên, nếu kho chứa nổi có khả năng ngắt kết nối được giới hạn trong vùng hoạt động cụ thể gần như vị trí hoạt động của nó, việc giảm các thông số tải trọng thiết kế có thể được áp dụng cho vùng giới hạn thích hợp có dấu hiệu hoạt động ngắt kết nối với điều kiện được chính quyền hoặc các quy định cho phép.
6.1.3.4 Tuổi thọ mỏi và độ bền
Đánh giá tuổi thọ mỏi và độ bền thân kho chứa nổi phải được tính toán phù hợp với 6.4 của Tiêu chuẩn này cho tuyến vận chuyển và vị trí hoạt động.
6.2 Cơ sở thiết kế
6.2.1 Thiết kế của thiết bị và các hệ thống trên kho chứa nổi để xử lý khí, hỏa lỏng, chứa và tái hóa khí, bao gồm việc nhập khí thô hoặc khí hóa lỏng và xuất khí đã được xử lý hoặc khí hóa lỏng, phải thỏa mãn các tiêu chí của Tiêu chuẩn này, bao gồm bất kỳ phòng ngừa bổ sung nào hoặc các biện pháp bảo vệ giảm thiểu nguy cơ được nêu trong đánh giá rủi ro theo yêu cầu ở 6.3 của Tiêu chuẩn này.
6.2.2 Ngoài các yêu cầu được nêu ở trên, nhà thiết kế, chủ kho chứa nổi và người vận hành cũng phải tuân thủ bất kỳ yêu cầu bổ sung nào được quy định bởi Chính quyền treo cờ hoặc Chính quyền ven bờ hoặc các quy định pháp lý khác ở vùng hoạt động dự kiến. Điều này bao gồm các quy định cho các đường ống biển xuất và nhập khí.
6.2.3 Cơ sở đầy đủ cho thiết kế phải được nêu trong sổ tay vận hành và phải bao gồm vị trí, các điều kiện môi trường giới hạn hoạt động dự kiến; khả năng chứa và công suất của các hệ thống tái hóa khí/sản xuất.
6.3 Đánh giá rủi ro
6.3.1 Phải thực hiện đánh giá rủi ro để xác định các nguy cơ và các tình huống tai nạn đáng kể và có thể ảnh hưởng đến kho chứa nổi hoặc bất kỳ bộ phận nào của nó, và xem xét lợi thế của các lựa chọn kiểm soát rủi ro tiềm năng hoặc hiện hữu. Đánh giá rủi ro nhằm xác định các khu vực thiết kế mà có thể yêu cầu có các cách thức kiểm soát rủi ro bổ sung để giảm chúng tới mức chấp nhận được. Để đạt được mục đích này, phải áp dụng quy trình có tính hệ thống để xác định các trường hợp mà khi kết hợp hoặc xảy ra theo chuỗi sẽ dẫn đến các hậu quả không mong muốn như thiệt hại về môi trường, an toàn của người và hư hỏng công trình ở tần suất chấp nhận được.
6.3.2 Đánh giá rủi ro phải xem xét, ở mức tối thiểu, các trường hợp sau:
6.3.2.1 Hư hỏng tới kết cấu chính do thời tiết khắc nghiệt, đâm va, vật rơi, va trạm với trực thăng, chịu nhiệt độ lạnh không phù hợp, nhiệt bức xạ cao;
6.3.2.2 Cháy và nổ;
6.3.2.3 Mất khả năng ngăn chặn chất lỏng chính (trong khoảng thời gian được xác định dựa vào kế hoạch dự phòng);
6.3.2.4 Rò rỉ khí hóa lỏng;
6.3.2.5 Giải phóng khí độc hại hoặc dễ cháy ra môi trường hoặc bên trong không gian kín;
6.3.2.6 Lật kho chứa nổi (mất ổn định nhiệt động do phân tầng khí hóa lỏng);
6.3.2.7 Mất ổn định;
6.3.2.8 Mất bất kỳ thành phần nào trong hệ thống giữ/neo kho chứa nổi;
6.3.2.9 Mất khả năng xuất khí hóa lỏng hoặc chuyển khí lên bờ;
6.3.2.10 Mất một bộ phận quan trọng bất kỳ trong hệ thống xử lý;
6.3.2.11 Mất nguồn điện.
6.3.3 Các lựa chọn kiểm soát rủi ro (cácbiện pháp giảm thiểu hoặc phòng ngừa) được coi là cần thiết phải thực hiện, phải được xem xét là một phần của cơ sở thiết kế kho chứa nổi.
6.3.4 Kế hoạch đánh giá rủi ro cần được xây dựng, hồ sơ hóa và nộp trước khi thực hiện đánh giá rủi ro. Trong quá trình xem xét kế hoạch, một thỏa thuận sẽ đạt được về phạm vi tham gia của đơn vị giám sát cho các nghiên cứu rủi ro liên quan tới dự án. Nhiệm vụ chính của đơn vị giám sát trong việc tham gia và/hoặc giám sát (các cuộc họp xác định nguy cơ...) là cần thiết để thiết lập mức độ tin cậy tối thiểu đối với các kết quả đánh giá rủi ro.
6.4 Kết cấu kho chứa nổi
6.4.1 Mục 5 của Tiêu chuẩn này và TCVN 6474 đưa ra các tiêu chí hầu hết có thể áp dụng được cho thiết kế kết cấu các kho chứa nổi chứa khí hóa lỏng trên biển. Các phần chính về tiêu chí kết cấu từ các tiêu chuẩn được trích đoạn và sửa đổi dưới đây để phản ánh hoạt động của kho chứa nổi chứa khí hóa lỏng dự kiến. Điều này đã được thực hiện để thuận tiện cho người sử dụng và đễ trình bày rõ ràng trong Tiêu chuẩn này, các đặc tính chế tạo và thiết kế kết cấu chính được đưa vào trong phạm vi phân cấp và tiêu chí áp dụng.
6.4.2 Kho chứa nổi bằng thép
6.4.2.1 Quy định chung
a) Nguyên tắc cơ bản: Thiết kế và chế tạo các kết cấu kho chứa nổi bằng thép chứa khí hóa lỏng và/hoặc hơi khí hóa lỏng phải căn cứ vào các quy định áp dụng trong Mục 5 của Tiêu chuẩn này, TCVN 6474 và TCVN 6259-8D, với những sửa đổi quy định phù hợp với hoạt động của các kho chứa nổi được neo cố định tại mỏ trong thời gian dài và nhiệt độ đông lạnh của hàng hóa, như nêu ở Tiêu chuẩn này.
b) Các tiêu chuẩn và quy phạm viện dẫn: Xem mục 2 của Tiêu chuẩn này.
c) Tỷ lệ: Các yêu cầu trong Tiêu chuẩn này áp dụng cho kho chứa nổi chứa khí hóa lỏng trên biển có chiều dài từ 150 m trở lên, nhưng không quá 500 m, có chiều rộng không quá 1/5 chiều dài và cũng không lớn hơn 2,5 lần chiều chìm tại boong tính toán độ bền chung. Các kho chứa nổi khác với tỷ lệ này sẽ được xem xét theo từng trường hợp cụ thể.
d) Loại két chứa: Trong Tiêu chuẩn này, các loại két chứa sau được xem xét:
- Các két màng;
- Các két độc lập loại B (Bộ luật IMO tàu chở khí);
- Các két khác phải được xem xét đặc biệt.
e) Tiếp cận để kiểm tra. Trong thiết kế kho chứa nổi, phải xem xét bố trí lối tiếp cận đề kiểm tra trong quá trình chế tạo và, đến mức có thể, để kiểm tra sau chế tạo.
f) Kết cấu lắp ghép bê tông - thép. Các phần bằng thép của kết cấu lắp ghép bê tông - thép phải được thiết kế thỏa mãn các quy định ở 6.4.2, và các phần bê tông phải thỏa mãn 6.4.3. Phải xem xét bất kỳ ảnh hưởng nào tại các khu vực giao nhau của kết cấu lắp ghép như chống ăn mòn.
g) Kết cấu hỗn hợp bê tông cốt thép. Các kết cấu hỗn hợp bê tông cốt thép phải được thiết kế thỏa mãn 6.4.2 của Tiêu chuẩn này và AISC - “thiết kế độ bền cho phép”.
6.4.2.2 Vật liệu và hàn
a) Tiêu chuẩn này dùng cho các kho chứa nổi bằng thép được chế tạo bằng phương pháp hàn thỏa mãn các yêu cầu của TCVN 12823-5, TCVN 6259-6 và TCVN 6259-7. Việc sử dụng vật liệu khác với loại được nêu và các mẫu tương ứng sẽ được xem xét đặc biệt.
b) Lựa chọn cấp vật liệu. Việc lựa chọn cấp vật liệu thép cho thân và các két phải thỏa mãn TCVN 12823-5, TCVN 6259-6 và TCVN 6259-7
c) Hàn phải thỏa mãn TCVN 12823-5, TCVN 6259-6.
6.4.2.3 Khả năng chống chìm và vị trí các két hàng
Các kho chứa nổi phải thỏa mãn các yêu cầu về vị trí các két hàng và khả năng chống chìm nêu ở Chương 2, TCVN 6259-8D.
6.4.2.4 Phân tích kết cấu
a) Kích thước của tôn vỏ: các nẹp gia cường, các cơ cấu đỡ ở giữa và độ bền sống thân phải được xác định đầu tiên thỏa mãn b) dưới đây. Phải thực hiện đánh giá độ bền tổng thể của kết cấu với các kích thước đã được xác định thỏa mãn c) dưới đây. Phải thực hiện phân tích ranh giới kết cấu của thân kho chứa nổi theo d) dưới đây.
b) Kích thước tiết diện cơ cấu thân ban đầu. Chiều dầy ban đầu của tôn vỏ, mô đun tiết diện của các nẹp gia cường/dầm dọc, kích thước của các kết cấu đỡ chính, và độ bền sống thân phải được xác định thỏa mãn các mục sau:
- Kho chứa nổi két màng. Kích thước tiết diện cơ cấu ban đầu phải thỏa mãn 7.4 của Tiêu chuẩn này, Mục 4.
- Kho chứa nổi có két độc lập loại B. Kích thước tiết diện cơ cấu ban đầu phải thỏa mãn 7.4 của Tiêu chuẩn này và TCVN 6259-8D.
c) Đánh giá độ bền tổng thể. Phải đánh giá độ bền tổng thể của kết cấu với kích thước ban đầu được lựa chọn phù hợp với b) ở trên, để chống lại 3 chế độ hư hỏng, ví dụ như độ bền chảy, độ bền uốn/lớn nhất và mỏi, để xác nhận tính thỏa đáng của hình dạng kết cấu và kích thước được lựa chọn ban đầu, như sau:
- Kho chứa nổi két màng. Đánh giá phải thỏa mãn 7.5 của Tiêu chuẩn này.
- Kho chứa nổi có két độc lập loại B. Đánh giá phải thỏa mãn 7.5 của Tiêu chuẩn này và TCVN 6259-8D.
Ngoài ra, đánh giá theo phương pháp tiếp cận tải trọng động (DLA) nêu ở 5.2.5 hoặc tương đương có thể được yêu cầu cùng với phân tính mỏi theo phương pháp phổ (SFA)
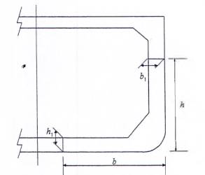
d) Phân tích kết cấu kết nối của thân kho chứa nổi. Thiết kế thân kho chứa nổi cũng cần xét đến kết nối giữa hệ thống neo định vị và kết cấu thân kho chứa nổi và kết nối giữa các mô đun thiết bị được đặt ở trên boong và kết cấu thân kho chứa nổi. Kết cấu kết nối được xác định là vùng truyền tải trọng giữa kết cấu thân chính và các thiết bị được gắn trên thân kho chứa nổi, bao gồm cả hệ thống neo định vị. Phân tích kết cấu kết nối thân kho chứa nổi phải được thực hiện với việc sử dụng tính toán trực tiếp các mô hình phần tử hữu hạn kết nối thân 3-D cục bộ như được nêu ở 7.7 của Tiêu chuẩn này.
6.4.2.5 Phân tích mỏi
a) Quy định chung. Độ bền mỏi của các chi tiết và đường hàn tại các điểm kết thúc ở vùng chịu ứng suất cao và tại các vị trí dễ bị mỏi phải được đánh giá, đặc biệt khi sử dụng thép độ bền cao hơn. Phải thực hiện các phân tích cơ học gẫy và/hoặc mỏi, dựa vào ảnh hưởng tải trọng kết hợp, đặc tính nứt và tính chất vật liệu đề dự đoán tuổi thọ hoạt động của kết cấu và để xác định kế hoạch kiểm tra hiệu quả nhất. Phải chú ý đặc biệt tới các rãnh kết cấu, lỗ khoét, các đầu mã gia cường và các thay đổi đột ngột của các phần kết cấu. Các kho chứa nổi chứa khí hóa lỏng sẽ được thiết kế cho tuổi thọ mỏi tối thiểu là 20 năm.
b) Tuổi thọ mỏi thiết kế. Tuổi thọ mỏi thiết kế tối thiểu bằng tuổi thọ hoạt động nhân với hệ số thiết kế mỏi (FDF) đối với các kho chứa nổi hoạt động tại vị trí cụ thể, có sử dụng phổ sóng tại vị trí đó. Tác động đến tuổi thọ mỏi do kéo từ nơi chế tạo tới vị trí hoạt động cũng phải được đưa vào đánh giá mỏi.
Tuổi thọ mỏi thiết kế được đề cập ở 5.2.6 của Tiêu chuẩn này
c) Hệ số thiết kế mỏi. FDF là một hệ số, bằng hoặc lớn hơn 1, được áp dụng cho các chi tiết kế cấu riêng lẻ và tính toán cho việc không chắc chắn trong quá trình đánh giá mỏi, hậu quả hư hỏng (nghĩa là mức độ nghiêm trọng), và khó khăn tương đối của việc kiểm tra và sửa chữa. Có thể sử dụng giá trị FDF theo các tiêu chuẩn, hướng dẫn được chấp nhận như Hướng dẫn của ABS về đánh giá mỏi kết cấu công trình biển - ABS Guide for the Fatigue Assessment of Offshore Structures.
d) Quá trình phân tích mỏi. Phạm vi ứng suất do chu trình nhập và xuất hàng phải được tính toán cho đánh giá hư hỏng mỏi tổng thể, xem 7.5.4 và Phụ lục A. Hư hỏng mỏi tích lũy trong quá trình di chuyển từ nơi chế tạo tới vị trí hoạt động phải được đưa vào trong đánh giá hư hỏng mỏi tổng thể.
- Kho chứa nổi két màng. Phân tích mỏi phải thỏa mãn Phụ lục A. Ngoài ra, phân tích mỏi theo phương pháp phổ có thể được thực hiện theo quy trình mỏi phổ cho FPSO dạng tàu.
- Kho chứa nổi có két hàng độc lập loại B. Phân tích mỏi của kết cấu thân kho chứa nổi và kết cấu két hàng phải thỏa mãn Phụ lục A. Phân tích mỏi của giá và kết cấu đỡ két phải thỏa mãn Phụ lục A có sử dụng mô hình phần tử hữu hạn được nêu ở Phụ lục E. Ngoài ra, phân tích mỏi theo phương pháp phổ có thể được thực hiện theo quy trình mỏi phổ cho FPSO dạng tàu.
6.4.2.6 Tải trọng thiết kế cho các kết cấu cục bộ
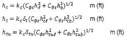
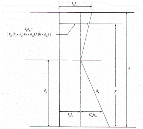
a) Tải trọng va đập. Các chu kỳ tự nhiên của chuyển động chất lỏng và các tải trọng va đập phải được xác định và phải đánh giá độ bền kết cấu xung quanh của các két chứa chất lỏng.
- Điều kiện di chuyển. Đối với kho chứa nổi két màng, có thể sử dụng cột áp va đập được nêu ở 7.3.6 và 7.3.7 tương ứng cho các két màng và cho các két độc lập loại B để xác định các kích thước. Hoặc các tải trọng va đập có thể được tính toán bằng các thí nghiệm mô hình hoặc mô phỏng số bằng cách sử dụng phân tích dòng chảy 3 chiều cho các điều kiện hoạt động không hạn chế và cho các điều kiện biển tại vị trí hoạt động cụ thể. Phải lập phương pháp và quy trình thử và đo lường hoặc các phương pháp phân tích.
- Điều kiện tại vị trí hoạt động. Các tải trọng va đập cũng phải được xác định cho hoạt động tại hiện trường. Có thể tham khảo các phần 7.3.6 và 7.3.7 tương ứng cho các két màng và các két độc lập loại B.
b) Gia cường kết cấu mũi kho chứa nổi. Các tải trọng va đập lên kết cấu mũi phải được xác định cho điều kiện di chuyển và tại vị trí hoạt động. Trừ khi một đầu được chỉ định cụ thể là mũi, các kho chứa nổi phải được thiết kế mỗi đầu như là mũi của kho chứa nổi.
(1) Sóng va đáy kho chứa nổi
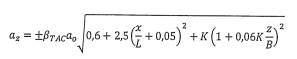
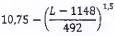
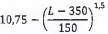
- Điều kiện di chuyển. Đối với các kho chứa nổi có chiều chìm dằn khi thời tiết xấu bằng hoặc nhỏ hơn 0.04L và lớn hơn 0.025L, áp lực sóng va đập thân dưới kho chứa nổi phải được tính toán theo 7.3.9.2 và các kích thước phải được xác định theo 7.6.4.1. Các kho chứa nổi có chiều chim dằn khi thời tiết xấu bằng hoặc nhỏ hơn 0.025L sẽ phải được xem xét riêng.
- Điều kiện tại vị trí hoạt động. Để xác định tải trọng tại vị trí hoạt động, tham khảo 7.3.9.2.
(2) Sóng va đập tại mũi kho chứa nổi (Bowflare slamming)
- Điều kiện di chuyển: Đối với các kho chứa nổi có hình dạng sườn mũi lớn hơn 21 m ở thân trước, các tải trọng sóng va đập sườn mũi phải được tính toán theo 7.3.9.3 và các kích thước theo 7.6.4.2.
- Điều kiện tại vị trí hoạt động: Để xác định tải trọng tại vị trí hoạt động, tham khảo 7.3.9.3.
(3) Tải trọng va đập mũi
- Điều kiện di chuyển: Nếu không có thông số mẫu hoặc không thực hiện tính toán trực tiếp, áp lực mũi danh nghĩa bên trên LWL từ mút mũi tới vách chống va có thể được xác định theo 7.3.9.1.
- Điều kiện tại vị trí hoạt động: Để xác định tải trọng tại vị trí hoạt động, tham khảo 7.3.9.1.
(4) Nước biển
- Điều kiện di chuyển: Nếu không có dữ liệu thực nghiệm hoặc không thực hiện tính toán trực tiếp, áp lực nước biển danh nghĩa trên boong từ FP đến 0.3 L đuôi, bao gồm cả phạm vi ngoài FP, có thể được xác định theo TCVN 6259-2A. Các kích thước boong tối thiểu có thể được xác định sau đó theo TCVN 6259-8D.
- Điều kiện tại vị trí hoạt động: Để xác định tải trọng tại vị trí hoạt động, tham khảo 7.3.9.4.
c) Tải trọng boong: Các tải trọng boong do các thiết bị, hệ thống xử lý trên boong trong quá trình di chuyển và tại vị trí hoạt động được viện dẫn trong 7.3.10.
d) Hoạt động của kho chứa nổi: Các tải trọng dự kiến và các yêu cầu khác mà sẽ tác động lên kho chứa nổi do cập bến và tàu neo đậu phải được xem xét trong thiết kế. Chúng có thể bao gồm các tải trọng neo và tải trọng mũi, sự hiện diện của quả đệm và các tải trọng trọng lực và thủy động lực bổ sung mà chúng tạo ra, sự cần thiết phải gia cường cột bích và dụng cụ neo khác...
6.4.2.7 Thượng tầng, lầu và sân bay trực thăng
a) Kết cấu thượng tầng và lầu. Thiết kế của kết cấu thượng tầng và lầu phải thỏa mãn các quy định của TCVN 6259-2A. Bố trí kết cấu của các boong thượng tầng mũi ở TCVN 6259-2A phải được thỏa mãn, bất kể vận tốc nào.
b) Sân bay trực thăng. Thiết kế của kết cấu sân bay trực thăng phải thỏa mãn các quy định của CAP 437. Ngoài các tải trọng yêu cầu của CAP 437, độ bền kết cấu của sân bay trực thăng và các kết cấu đỡ phải được đánh giá khi xem xét môi trường DOC và DEC, nếu áp dụng.
6.4.2.8 Các kết cấu khác
Các kết cấu phụ khác như sàn xuồng cứu sinh, trụ cẩu hoặc giá ống... phải thỏa mãn các yêu cầu ở 7.2.8, TCVN 12823-2. Các tiêu chí thiết kế cho các kết cấu vỏ khác mà chưa được đề cập trong Tiêu chuẩn này hoặc quy phạm viện dẫn phải thỏa mãn tiêu chuẩn được chấp thuận.
6.4.3 Kho chứa nổi bằng bê tông
Xem 6.5.5 cho kho chứa nổi chứa khí hỏa lỏng bằng bê tông dự ứng lực.
6.5 Các hệ thống ngăn hàng
6.5.1 Hệ thống ngăn khí hóa lỏng là một phần bắt buộc trong phân cấp cho kết cấu kho chứa nổi. Hệ thống này phải thỏa mãn các yêu cầu TCVN 6259-8D hoặc NFPA 59A. Các bố trí thay thế cho hệ thống ngăn hàng, như việc sử dụng kết cấu bê tông dự ứng lực được thiết kế thích hợp là lớp ngăn làm đông lạnh thứ cấp, áp dụng cho các hệ thống ngăn/lót màng trong các bộ phận ngăn hàng bằng bê tông... có thể được xem xét đặc biệt.
6.5.2 Tính năng thiết kế
Trừ khi được xem xét khác, thiết kế hệ thống ngăn hàng phải kết hợp với các tính năng sau để thỏa mãn mục đích của Tiêu chuẩn này:
a) Hệ thống ngăn hàng thứ cấp sao cho nếu hệ thống chính hư hỏng thì hệ thống thứ cấp có khả năng chứa các chất lỏng rò rỉ trong khoảng thời gian phù hợp với các tình huống được phê duyệt để xử lý an toàn như nhau;
b) Phải có 2 biện pháp độc lập để xác định mức chất lỏng trong các két chứa khí hóa lỏng;
c) Các biện pháp để nạp vào két từ các cao độ khác nhau trong két để tránh phân tầng;
d) Các báo động độc lập mức cao-cao và cao;
e) Tối thiểu phải có 1 thiết bị đo áp suất cho không gian hơi;
f) 2 thiết bị bảo vệ quá áp độc lập với nhau;
g) Các thiết bị để đo nhiệt độ chất lỏng ở đỉnh, giữa và đáy két;
h) Hệ thống phát hiện khí sẽ báo động mật độ khí cao ở khoảng trống giữa vách ngăn sơ cấp và thứ cấp.
6.5.3 Tải trọng thiết kế
6.5.3.1 Các két, cùng với các chi tiết cố định và đỡ chúng, phải được xem xét thiết kế với kết hợp phù hợp các tải trọng sau:
a) Áp lực bên trong;
b) Áp lực bên ngoài;
c) Các tải trọng động do chuyển động của kho chứa nổi;
d) Các tải trọng nhiệt;
e) Các tải trọng sóng va đập;
f) Các tải trọng tương ứng với độ võng thân kho chứa nổi;
g) Khối lượng hàng và két phản ứng tương ứng với kết cấu đỡ;
h) Khối lượng bọc cách nhiệt;
i) Các tải trọng ở tháp neo và các tải trọng đi kèm khác.
6.5.3.2 Các tải trọng sóng va đập phải được xem xét ở bất kỳ mức nào khi nạp hàng vào mỗi két, trừ khi có thể chỉ ra rằng hàng có thể được chuyển bằng cách thức hợp lý và mức hàng trong các két được duy trì trong giới hạn thiết kế.
6.5.3.3 Các tải trọng của kết cấu đỡ cũng là để xem xét kho chứa nổi nghiêng tới góc nghiêng lớn nhất do ngập phù hợp với tiêu chí ổn định tai nạn lên đến góc 30°.
6.5.4 Kho chứa nổi bằng thép
Trong trường hợp kho chứa nổi chứa khí hóa lỏng trên biển bằng thép, các yêu cầu của TCVN 6259- 8D được áp dụng.
6.5.5 Kho chứa nổi bằng bê tông
Trên các kho chứa nổi chứa khí hóa lỏng được chế tạo từ bê tông dự ứng lực, hệ thống ngăn chặn bên ngoài có thể được chế tạo bằng bê tông thỏa mãn các yêu cầu ở mục 7.4.3 của NFPA 59A.
6.5.6 Chứa khí ngưng tụ (Condensate)
6.5.6.1 Các két chứa khí ngưng tụ đảm bảo tính toàn vẹn của thân kho chứa nổi phải thỏa mãn các yêu cầu của TCVN 6259-8D và TCVN 6474. Nếu khí ngưng có chứa các chất hóa học lỏng độc hại hoặc nguy hiểm có tỉ lệ hàm lượng lớn hơn các giá trị giới hạn được xác định trong “Bộ luật quốc tế về chế tạo và trang bị tàu chở xô hóa chất nguy hiểm” (IBC Code), các yêu cầu của TCVN 6259-8E phải được áp dụng cho các chất cụ thể.
6.5.6.2 Việc chứa chất ngưng tụ trong các két liền kề với các két chứa khí hóa lỏng sẽ được coi là chấp nhận được, với điều kiện có thể chứng minh rằng khi vách ngăn khí hỏa lỏng sơ cấp hư hỏng sẽ không gây ra tình trạng áp lực hoặc xâm nhập khí vào két chứa khí ngưng tụ.
6.6 Cụm thiết bị, hệ thống công nghệ
6.6.1 Các hệ thống được lắp đặt trên kho chứa nổi để xử lý khí thô từ giếng hoặc nhận khí đã xử lý một phần từ công trình khác, sản xuất khí hóa lỏng hoặc hóa lỏng hoặc hệ thống tái hóa khí để chuyển khí hóa lỏng thành hơi để chuyển lên bờ, toàn bộ các hệ thống, bao gồm hệ thống xuất và nhập, phải thỏa mãn các yêu cầu của Tiêu chuẩn này.
6.6.2 Để phân cấp, bất kể hệ thống công nghệ nào được sử dụng, các hệ thống phải được bố trí sao cho toàn bộ việc vận hành có thể được thực hiện an toàn. Theo đó, để thực hiện đánh giá hệ thống, cần có các bản vẽ và tính toán nêu ở 5.5.4 của Tiêu chuẩn này. Có thể yêu cầu thông tin bổ sung phụ thuộc vào các hệ thống được sử dụng và hình dạng của chúng.
6.6.3 Tiêu chuẩn an toàn công nghệ
6.6.3.1 Thiết kế các hệ thống xử lý trên kho chứa nổi được nêu ở trên là bao gồm việc đánh giá tổng thể về khái niệm đề xuất nhằm giảm khả năng xảy ra các trường hợp không mong muốn được xác định ở 6.3 của Tiêu chuẩn này.
6.6.3.2 Đánh giá sẽ bao gồm việc xem xét có tính hệ thống về bố trí, sơ đồ bố trí, các hệ thống xử lý, hệ thống hỗ trợ xử lý, các hệ thống an toàn và điều khiển xử lý cũng như là việc xem xét tất cả các thiết bị an toàn thiết yếu. Thiết bị an toàn thiết yếu là các thiết bị cần thiết để duy trì thiết bị và hệ thống hoạt động an toàn, nếu chúng bị hư hỏng sẽ dẫn đến tình huống không an toàn.
6.6.3.3 Mặc dù thiết kế bố trí kho chứa nổi, hệ thống an toàn và hệ thống xử lý khí hóa lỏng và hơi khí hóa lỏng trên kho chứa nổi có thể chủ yếu dựa vào các thực tiễn đã được chứng minh sử dụng trên các tàu chở khí hóa lỏng, nhưng phải nhận ra rằng trên tàu khí hóa lỏng, trừ khi nhập và xuất hàng, có rất ít hydrocarbon bên ngoài hệ thống ngăn chặn. Theo đó, các quy định bổ sung có thể được yêu cầu tùy thuộc vào hệ thống xử lý được lắp đặt trên kho chứa nổi. Điều này có thể bao gồm các mục như mở rộng các khu vực nguy hiểm, sự cần thiết phải phân tích phân tán khí và cung cấp phương pháp để cắt hệ thống điện trong trường hợp giải phóng lượng lớn khí áp suất cao.
6.6.3.4 Do số lượng và biện pháp xử lý và lưu trữ chất làm lạnh hydrocarbon khác nhau, cũng phải thừa nhận rằng mức độ rủi ro liên quan đến hóa lỏng khí thiên nhiên phụ thuộc vào cách thức hóa lỏng được chọn. Theo đó, bất cứ vị trí nào có thể, vị trí của các hệ thống này phải ở trên boong hở.
6.6.3.5 Tương tự, trong khi một số tàu chở khí hóa lỏng được bố trí để nhập và xuất hàng ở mũi hoặc đuôi kho chứa nổi theo các quy định của TCVN 6259-8D, phải thừa nhận rằng các yêu cầu hiện có cho tàu chở khí hóa lỏng không lường trước nguy cơ tăng giải phóng khí hóa lỏng hoặc hơi khí hóa lỏng từ các hệ thống và thiết bị có thể được sử dụng trong các hệ thống xuất và nhập hàng của Tiêu chuẩn này. Theo đó, các khay hứng phải được trang bị nếu cần thiết, và các bộ phận như ống mềm làm lạnh và khớp nối khí có thể dễ bị rò rỉ phải được đặt trên sàn hở. Hơn nữa, phải có các biện pháp để thông gió đầy đủ, đáng tin cậy trong bất kỳ không gian kín nào có chứa các phần của hệ thống vận chuyển khí và các quy định về phát hiện khí sẽ được xem xét và đưa vào phân tích rủi ro tổng thể được yêu cầu trong 6.3 của Tiêu chuẩn này.
6.6.3.6 Việc xả an toàn bằng cách đốt cháy khí hydrocarbon được giải phóng do quá áp hoặc điều kiện quá mức khác cần được xem xét khi thiết kế của hệ thống. Tuy nhiên, các hệ thống xử lý sẽ là các hệ thống kín. Theo đó, việc đốt liên tục không được chấp nhận trong giả thuyết thiết kế.
6.5.3.7 Tiêu chí chung về an toàn xử lý là các hệ thống và thiết bị trên một kho chứa nổi chứa khí hóa lỏng trên biển được thiết kế để giảm thiểu rủi ro về các mối nguy hiểm đối với thuyền viên, tài sản và môi trường. Việc thực hiện tiêu chí này đối với các hệ thống xử lý khí, hóa lỏng hoặc tái khí hóa và các hệ thống hỗ trợ liên quan nhằm mục đích:
a) Ngăn ngừa điều kiện bất thường gây ra điều kiện quá mức;
b) Ngăn ngừa điều kiện quá mức gây ra rò rỉ chất lỏng lạnh hoặc hydrocarbon;
c) Thu gom và loại bỏ an toàn chất lỏng lạnh hoặc hydrocarbon rò rỉ;
d) Ngăn ngừa hlnh thành hỗn hợp cháy nổ;
e) Ngăn ngừa chất lỏng dễ cháy hoặc khí và hơi khí rỏ rỉ bốc cháy;
f) Hạn chế người tiếp xúc với các nguy cơ cháy.
6.5.3.8 Các yêu cầu cho hệ thống
Việc thiết kế các hệ thống xử lý và hệ thống điều khiển công nghệ được mô tả ở trên, cùng với các hệ thống hỗ trợ xử lý, hệ thống khử áp suất và thông hơi, hệ thống đốt cháy và thoát nước, phải theo các yêu cầu của TCVN 6474. Ngoài ra, các hệ thống tiếp xúc trực tiếp với khí hóa lỏng hoặc hơi khí hóa lỏng phải được thiết kế theo các yêu cầu của TCVN 6259-8D và các yêu cầu áp dụng của NFPA 59A, Tiêu chuẩn cho sản xuất, chứa và xử lý khí thiên nhiên hóa lỏng (LNG) 2013.
6.6.5.9 Các yêu cầu cho bộ phận
a) Danh sách các thành phần chính trên kho chứa nổi chứa khí hóa lỏng bao gồm nhưng không giới hạn: tay nhập hàng, ống mềm lạnh, bình nhận thoi, bình tách, bình khử, bộ trao đổi nhiệt, tháp gom, bộ hấp thụ, bộ trao đổi nhiệt dạng tấm, bộ trao đổi nhiệt xoắn ốc (ống cuộn), bộ trao đổi nhiệt ống và vỏ, bơm và máy nén có động cơ lai điện hoặc tuabin khí, bộ gia nhiệt trực tiếp hoặc không trực tiếp và các bộ hóa hơi. Phải có các bộ phận của hệ thống xử lý và các hệ thống đường ống liên quan dùng để dẫn hơi và chất lỏng hydrocarbon.
b) Thiết kế, chế tạo, thử nghiệm, chứng nhận và lắp đặt các bộ phận công nghệ phải tuân thủ các yêu cầu của 7 và 8, TCVN 6474. Việc lựa chọn vật liệu của các bộ phận chịu nhiệt độ nhỏ hơn - 18°C (0° F) phải tuân thủ các yêu cầu của TCVN 6259-8D. Sự phù hợp với các tiêu chuẩn hoặc bộ luật khác với các tiêu chuẩn được liệt kê sẽ được xem xét, khi áp dụng. Các bộ phận không được đề cập trong tài liệu tham khảo sẽ được xem xét trên cơ sở thỏa mãn các tiêu chuẩn công nghiệp được chấp nhận áp dụng và thuyết minh thiết kế chế tạo và thử nghiệm kiểm chứng. Thuyết minh thiết kế dựa trênphân tích ứng suất phải thỏa mãn các yêu cầu của Bộ luật chế tạo nồi hơi và bình chịu áp lực, ASME Code, Section VIII, Div. 2.
6.6.4 Xử lý khí
Trong Tiêu chuẩn này, hệ thống xử lý khí được xem là bao gồm tất cả các hệ thống và bộ phận để nhận khí thô từ các giếng hoặc khí được xử lý sơ bộ từ các công trình khác đề xử lý loại bỏ khí a xít, loại bỏ nước và thủy ngân.
6.6.5 Hóa lỏng
6.6.5.1 Trong Tiêu chuẩn này, hệ thống hóa lỏng được coi là bao gồm tất cả các hệ thống và bộ phận cho làm lạnh trước, chia tách, làm lạnh chính và chứa. Có một số phương pháp hóa lỏng độc quyền đã được chứng minh, bất kỳ hệ thống nào trong số này được sử dụng, và các chi tiết, như được đề cập trong 6.6.3 cũng cần có hồ hơ.
6.6.5.2 Các hệ thống phụ và hạng mục chính của thiết bị có thể khác nhau đáng kể phụ thuộc vào phương pháp hóa lỏng được sử dụng. Theo đó, một mô tả về hệ thống và nguyên lý hoạt động phải được nộp để đánh giá mức an toàn của toàn bộ hệ thông. Tuy nhiên, các hạng mục sau được tham khảo đề xác định phạm vi Phân cấp:
a) Dự tính rằng việc làm lạnh trước có thể được thực hiện ở bộ trao đổi nhiệt môi chất lạnh là propane, nitrogen hoặc hỗn hợp với chu trình làm lạnh môi chất liên quan: máy nén, bình ngưng, làm mát và bình chứa. Bộ trao đổi nhiệt làm mát trước có thể là loại tấm hoặc xoắn ốc.
b) Dự tính rằng việc chia tách bao gồm các hệ thống hỗ trợ hoặc các hệ thống được gọi là khử etan, khử propan và khử bu tan. Mỗi hệ thống bao gồm một bình tách loại trụ đứng, bơm, bộ trao đổi nhiệt và bình chứa.
c) Việc làm lạnh chính thường được thực hiện trong một bộ trao đổi nhiệt xoắn ốc nhiều giai đoạn hoặc trong một tổ hợp các bộ trao đổi nhiệt dạng tấm gọi là hộp lạnh. Trong hầu hết các quá trình hóa lỏng khí, hỗn hợp hydrocarbon được sử dụng làm chất làm lạnh chính và các quá trình này được gọi là quá trình MR. Tuy nhiên, trong hệ thống thác, propan, etan, metan và etylen đều được sử dụng ở các giai đoạn làm lạnh liên tiếp. Trong hệ thống nitơ, nitơ được sử dụng làm chất làm lạnh trong quá trình nén và giãn nở.
d) Việc chứa bao gồm chứa khí hóa lỏng và chứa khí ngưng tụ được tạo từ quá trình hóa lỏng khí.
6.6.6 Tái hóa khí
Trong Tiêu chuẩn này, các hệ thống tái khí hóa được coi là bao gồm tất cả các hệ thống và bộ phận để đưa khí hóa lỏng ra khỏi két chứa, tạo áp suất, hâm nóng và hóa hơi khí, và trong một số trường hợp tạo mùi hơi khí hóa lỏng và xuất khí hóa hơi vào bờ thông qua một hệ thống xuất hàng. Nếu có máy nén trong hệ thống xuất khí, chúng sẽ được coi là một phàn của hệ thống tái khí hóa. Các thiết bị, hệ thống phải tuân thủ các yêu cầu củaTCVN 6474, TCVN 6259-8D và NFPA 59A.
6.6.7 Hệ thống nhập khí
6.6.7.1 Trong Tiêu chuẩn này, Hệ thống nhập khí trên kho chứa nổi được coi là bao gồm toàn bộ khớp xoay khí trên cụm tháp neo và mặt bích trên kho chứa nổi đầu tiên cho các cụm thiết bị được duy trì ở trạm nhập thông qua hệ thống neo căng, cộng với tất cả các đường ống khí trên kho chứa nổi đến hệ thống xử lý khí.
6.6.7.2 Trong trường kho chứa nổi xuất hàng, hệ thống nhập sẽ bao gồm các cánh tay nạp chất lỏng và hơi và ống đông lạnh hoặc bộ phân phối hàng, tùy thuộc vào cấu hình chuyền khí từ tàu khí hóa lỏng đến kho chứa nổi được sử dụng, cộng với tất cả các van trên boong và đường ống dẫn đến mặt bích đầu vào hơi và chất lỏng trên đỉnh két hàng.
6.6.8 Hệ thống xuất hàng
6.6.8.1 Trong Tiêu chuẩn này, hệ thống xuất hàng trên các kho chứa nổi được coi là bao gồm bơm hàng, bơm vét, máy nén khí công suất cao, thiết bị hóa hơi khí hóa lỏng và tất cả các van và đường ống trong hệ thống xuất chất lỏng và hồi lưu hơi đến và bao gồm cả bộ phân phối, tay làm hàng hoặc ống đông lạnh, tùy thuộc vào cấu hình chuyển khí từ kho chứa nổi đến tàu được sử dụng.
6.6.5.2 Trong trường hợp kho chứa nổi xuất hàng, hệ thống xuất sẽ bao gồm các đường ống dẫn khí từ hệ thống tái hóa khí đến và bao gồm toàn bộ khớp xoay trên cụm tháp neo hoặc mặt bích cuối cùng trên kho chứa nổi ở các cụm được duy trì trên trạm xuất thông qua hệ thống neo căng.
6.6.9 Ống đứng và đường ống dẫn
Các ống đứng mềm và cứng kết nối đường ống dẫn và ống chìm phải thỏa mãn các yêu cầu của TCVN 6474, TCVN 8403 và TCVN 8404.
6.7 Bố trí
6.7.1 Bố trí chung
6.7.1.1 Máy và thiết bị phải được bố trí theo nhóm hoặc khu vực thỏa mãn API RP14J. Các hạng mục thiết bị mà có thể trở thành nguồn nhiên liệu trong trường hợp cháy phải được tách biệt khỏi các nguồn cháy tiềm năng bằng không gian cách ly, vách chống cháy hoặc vách bảo vệ.
6.7.1.2 Các nguồn nhiên liệu cơ bản được liệt kê dưới đây:
1) Đầu khí vào và ra của đường ống dẫn
2) Đầu phân phối khí hóa lỏng hoặc tay làm hàng
3) Đường ống làm lạnh hydrocacbon và xử lý
4) Bình tách và bình lọc
5) Ống đứng và đường ống biển
6) Bình khử nước
7) Thông hơi
8) Máy nén khí
9) Thiết bị nhận và phóng pig
10) Bơm chất lỏng hydrocacbon
11) Hệ thống xả lỏng
12) Bộ trao đổi nhiệt
13) Các két nhiên liệu di động
14) Các két chứa môi chất làm lạnh
15) Các két chứa hóa chất
16) Thiết bị đo khí
17) Thiết bị xử lý dầu (Thiết bị không đốt)
18) Các chai khí thí nghiệm
19) Các lọ chứa mẫu
20) Khớp khuyên
6.7.1.3 Các nguồn cháy cơ bản được liệt kê dưới đây:
1) Các thiết bị đốt
2) Thiết bị điện
3) Động cơ đốt trong và tuabin khí
4) Thiết bị thu hồi nhiệt dư thừa
5) Khu nhà ở
6) Điện thoại di động
7) Cần đuốc
8) Thiết bị chiếu sáng
9) Máy hàn
10) Thiết bị đánh lửa cầm tay
11) Máy mài
12) Máy tính di động
13) Máy cắt hoặc đốt
14) Máy ảnh
15) Tĩnh điện
16) Các đèn flash không an toàn về bản chất
17) Các tàu
18) Máy bay trực thăng
6.7.1.4 Trong trường hợp cháy, phương tiện thoát hiểm phải cho phép sơ tán an toàn tất cả thuyền viên đến đến khu vực an toàn, ngay cả khi kết cấu họ ở có thể bị coi là mất khả năng trong đám cháy lớn. Với không gian an toàn, tường chống cháy bảo vệ và các nhóm thiết bị, một đám cháy có thể xả ra từ một địa điểm được phân vùng phải không làm cản trở lối thoát an toàn của thuyền viên từ nguồn nguy hiểm đến khu vực lên xuồng cứu sinh hoặc bất kỳ nơi ẩn náu nào.
6.7.2 Vị trí két chứa
Vị trí các két chứa tạo thành biên ngoài của kết cấu phải tuân thủ phạm vi hư hỏng giả định ở 6.3 và 6.4.2.3 của Tiêu chuẩn này, trừ khi có thể chứng minh bằng nghiên cứu chuyển động liên quan hoặc nghiên cứu giao thông rằng các bố trí khác có hiệu quả bảo vệ thấp hơn ở các két chứa.
6.7.3 Tải trọng đuôi hoặc mũi
Các yêu cầu ở TCVN 6259-8D và TCVN 6474 về bố trí tải trọng đuôi hoặc mũi sẽ được xem xét áp dụng cho các hệ thống xuất hoặc nhập mà chúng đi qua khu nhà ở hoặc các nguồn cháy khác.
6.7.4 Vị trí và bọc cách nhiệt cho khu nhà ở và sinh hoạt
Khu nhà ở hoặc sinh hoạt phải được bố trí nằm ngoài khu vực nguy hiểm và không được bố trí bên trên hay bên dưới các két chứa khí ngưng tụ hoặc khí hóa lỏng, hoặc khu vực xử lý. Các yêu cầu cho vách ngăn “H-60” của 5, TCVN 6767-2 sẽ được áp dụng. Nếu vách ngăn đó cách các nguồn này hơn 33 m thì chúng có thể giảm xuống cấp “H-0”. Vách ngăn cấp “A-60” và “A” tương ứng có thể được sử dụng với điều kiện phải thực hiện phân tích cấp độ cháy hoặc phân tích rủi ro, chỉ ra rằng các vách ngăn này có thể chấp nhận được.
6.8 Vùng nguy hiểm
6.8.1 Việc phân định các khu vực nguy hiểm hoặc không gian khí nguy hiểm trên một kho chứa nổi chứa khí hóa lỏng trên biển phải tuân thủ các hướng dẫn chung dưới đây. Trường hợp có sự chồng chéo, về cơ bản phải tuân theo quy định cao hơn.
6.8.2 Việc phân định các không gian khí nguy hiểm ở TCVN 6259-8D và Chương 7, Mục 10.7 của NFPA 59A, nếu có, sẽ được xem xét áp dụng cho việc chứa khí hóa lỏng và các hệ thống đường ống hơi khí hóa lỏng, khí hóa lỏng liên quan đến việc xuất, nhập và chứa khí hóa lỏng.
6.8.3 Việc phân định các không gian khí nguy hiểm liên quan đến các hệ thống xử lý phải tuân theo các quy định ở TCVN 6474, phù hợp với bộ tiêu chuẩn API RP 500.
6.8.4 Việc phân định các vùng nguy hiểm liên quan đến chứa khí ngưng tự và các chất lỏng hydrocacbon khác có điểm chớp cháy dưới 60°C dưới boong phải thỏa mãn các yêu cầu 4.2.3, TCVN 6259-4.
6.8.5 Nếu khí ngưng tụ trong các két chứa ngưng tụ chứa các chất hóa học lỏng độc hại hoặc nguy hiểm như định nghĩa ở “IBC Code”, thì cũng phải áp dụng các yêu cầu được nêu ở TCVN 6259-8E cho các chất cụ thể.
6.9 Các hệ thống phục vụ và hỗ trợ xử lý
6.9.1 Mục này đưa ra các tiêu chí để thiết kế và lắp đặt hệ thống phục vụ và hỗ trợ xử lý trên các kho chứa nổi chứa khí hóa lỏng trên biển. Bố trí chung của các hệ thống này phải tuân thủ API RP 14J hoặc tiêu chuẩn áp dụng khác. Các hệ thống hỗ trợ xử lý là các hệ thống tiện ích và phụ trợ bổ sung cho các hệ thống xử lý được nêu trong 6.6 của Tiêu chuẩn này.
6.9.2 Các hệ thống hỗ trợ xử lý bao gồm, nhưng không giới hạn, các hệ thống sau:
6.9.2.1 Hệ thống không khí công cụ/tiện ích;
6.9.2.2 Hệ thống khí công cụ/nhiên liệu;
6.9.2.3 Hệ thống khí nhiên liệu;
6.9.2.4 Hệ thống lọc làm sạch;
6.9.2.5 Hệ thống khí trơ;
6.9.2.6 Hệ thống khí ni tơ;
6.9.2.7 Hệ thống dầu nhiên liệu;
6.9.2.8 Hệ thống thủy lực;
6.9.2.9 Hệ thống dầu bôi trơn;
6.9.2.10 Hệ thống phun hóa chất;
6.9.2.11 Hệ thống làm mát và gia nhiệt.
6.9.3 Các hệ thống trên phải thỏa mãn các yêu cầu của TCVN 6474 và TCVN 6259-8D, nếu có.
6.9.4 Phụ thuộc vào kiểu loại kết cấu, các bộ phận và hệ thống hỗ trợ có thể bao gồm, nhưng không giới hạn, các bộ phận, hệ thống sau:
6.9.4.1 Bình chịu áp lực và nồi hơi;
6.9.4.2 Hộp số và tua bin;
6.9.4.3 Động cơ đốt trong;
6.9.4.4 Hệ thống đường ống và bơm (như dầu nhiên liệu, dầu bôi trơn, nước ngọt, đáy buồng mày, dằn, điều khiển, khí trơ...);
6.9.4.5 Các bộ phận của hệ thống giữ cố định.
6.9.5 Các hệ thống trên phải thỏa mãn các yêu cầu của TCVN 6474 và TCVN 6259-8D.
6.10 Các hệ thống điện và lắp đặt
6.10.1 Các hệ thống điện chỉ được sử dụng cho các hệ thống xử lý được mô tả trong 6.6 của Tiêu chuẩn này phải thỏa mãn các yêu cầu của TCVN 6474 và TCVN 6259-8D.
6.10.2 Nếu thiết bị hoặc hệ thống điện được sử dụng cho các hoạt động cung cấp không phải là các hệ thống xử lý, thì thiết bị cũng phải tuân thủ các yêu cầu của tiêu chuẩn được công nhận để lắp đặt thiết bị điện được chấp nhận.
6.10.3 Việc lắp đặt thiết bị điện phải thỏa mãn các yêu cầu được nêu ở trên và API RP 14F. Có thể xem xét việc sử dụng các tiêu chuẩn quốc gia hoặc quốc tế được công nhận khác như IEC, với điều kiện chúng không thấp hơn và toàn bộ hệ thống được thiết kế theo các tiêu chuẩn đó. Đối với việc lắp đặt thiết bị, hệ thống được phân loại theo cấp và vùng, các yêu cầu của API RP 14FZ có thể được sử dụng thay thế cho API 14F.
6.11 Các hệ thống điều khiển và dụng cụ đo
6.11.1 Các hệ thống điều khiển và dụng cụ đo cụng cấp một phương pháp hiệu quả để theo dõi và kiểm soát áp lực, nhiệt độ, tốc độ dòng chảy, mức chất lỏng và các biến công nghệ khác để vận hành an toàn và liên tục các hệ thống xử lý và chứa khí hóa lỏng. Trong trường hợp cần kiểm soát việc sản xuất và phân phối điện cho hoạt động của các hệ thống, thì hệ thống điều khiển cũng cần được trang bị để thực hiện điều này. Các hệ thống điều khiển và dụng cụ đo cho các hệ thống xử lý, hỗ trợ xử lý, hệ thống điện và tiện ích phải phù hợp với mục đích dự kiến. Tất cả các hệ thống điều khiển và dừng khẩn cấp phải được thiết kế để vận hành an toàn thiết bị trong quá trình khởi động, dừng và các điều kiện hoạt động bình thường.
6.11.2 Các hệ thống điều khiển và dụng cụ đo phục vụ cho các hệ thống xử lý nêu ở 6.6 của Tiêu chuẩn này phải thỏa mãn 7.9, TCVN 6474, trên cơ sở API RP 14C và các tiêu chuẩn áp dụng khác.
6.11.3 Các hệ thống điều khiển và dụng cụ đo phục vụ cho việc chứa khí hóa lỏng và vận chuyển pha lỏng và pha hơi khí hóa lỏng vào hoặc ra khỏi kho chứa nổi phải thỏa mãn các yêu cầu của TCVN 6259-8D.
6.12 Hệ thống an toàn
6.12.1 Quy định chung
6.12.1.1.1 Tiếp cận
a) Các hệ thống an toàn được đề cập trong mục này nhằm bảo vệ sinh mạng, tài sản và môi trường và được áp dụng cho toàn bộ hệ thống, bao gồm các hệ thống nhập và xuất khí, khí hóa lỏng và hơi khí hóa lỏng. Tổng thể hệ thống an toàn bao gồm các hệ thống phụ đảm bảo hai cấp độ bảo vệ: hệ thống chính, nhằm bảo vệ chống lại nguy cơ cháy hoặc nổ; và hệ thống thứ cấp, nhằm giảm hậu quả của sự cháy bằng cách bảo vệ con người, hệ thống và giẫm nguy cơ cháy lan. Các biện pháp an toàn chính và phụ cần có bao gồm cả hệ thống chủ động và thụ động như được mô tả trong mục này. Tuy nhiên, trong mọi trường hợp, tính hiệu quả của các hệ thống này phải được thiết lập bằng cách tiến hành phân tích nguy cơ cháy và nổ.
b) Mỗi không gian được coi là nguy cơ cháy, chẳng hạn như thiết bị xử lý, khu vực boong hàng, không gian chứa thiết bị xử lý khí như máy nén khí, thiết bị hâm nóng, v.v. và không gian máy móc có chứa bất kỳ thiết bị đốt dầu hoặc máy đốt trong có tổng công suất không dưới 375 kW, phải được trang bị hệ thống phát hiện khí, phát hiện và chữa cháy theo các yêu cầu của mục này.
6.12.1.1.2 Các hệ thống chính
6.12.1.1.2.1 Rất nhiều sản phẩm được xử lý trên kho chứa nổi có khả năng dễ cháy cao, do đó một số biện pháp sau có thể cần thiết để bảo vệ chống nguy cơ cháy hoặc nổ:
a) Ngăn ngừa khả năng chất lỏng hoặc khí thoát ra các vị trí có nguồn gây cháy. Ví dụ như là cách ly ống thông hơi và các đầu ra van giảm áp và các hệ thống xử lý với các lỗ khoét và cửa lấy khí.
b) Trang bị các hệ thống phát hiện khí cố định bao gồm hai loại phần tử khác nhau mà sẽ kích hoạt báo động bằng tiếng tại trạm điều khiển có người trực để cảnh báo có khí rò rỉ trước khi khí có thể lan đến vùng không được phân loại.
c) Hệ thống phát hiện nhiệt độ thấp ở trong và xung quanh hệ thống chứa khí hóa lỏng báo động ở trạm có người trực thường xuyên để cảnh báo trong trường hợp rò rỉ hơi hoặc khí hóa lỏng.
d) Hệ thống dừng sự cố đa cấp có khả năng cách ly tình trạng quá giới hạn của hệ thống cục bộ hoặc dừng hệ thống đơn trước khi đến trạng thái yêu cầu dừng toàn bộ kho chứa nổi.
e) Luôn duy trì tính toàn vẹn của vách ngăn để giảm thiểu khả năng xả không kiểm soát khí hóa lỏng hoặc hơi khí hóa lỏng. Nếu có khả năng khí hóa lỏng rỏ rỉ trong trường hợp hư hỏng, ví dụ tại các khớp nối, van hoặc kết nối tương tự, phải trang bị ngay khay hứng ở bên dưới các bộ phận này.
f) Duy trì việc cách ly chủ động giữa các khu vực xử lý, chứa hàng, khu vực thao tác hàng và các khu vực có nguồn cháy. Ví dụ như các máy nén công nghệ hoặc hàng được dẫn động bằng điện.
g) Loại bỏ lối tiếp cận trực tiếp từ không gian chứa thiết bị công nghệ đến không gian máy như thiết bị điện, thiết bị đốt hoặc thiết bị tương tự khác mà có thể được xem là nguồn cháy.
6.12.1.1.3 Hệ thống thứ cấp
Các hệ thống thứ cấp được sử dụng để ngăn ngừa cháy lan có thể được liệt kê như sau:
a) Hệ thống phát hiện cháy:
b) Hệ thống chữa cháy:
c) Hệ thống phun nước áp lực;
d) Thiết bị cứu sinh và bảo vệ thuyền viên;
e) Kết cấu chống cháy.
6.12.2 Hệ thống phát hiện khí
6.12.2.1.1 Hệ thống phát hiện khí cố định phải thỏa mãn các yêu cầu ở TCVN 6259-8D và TCVN 6474.
6.12.2.1.2 Các yêu cầu của Chương 12, NFPA 59A sẽ được xem xét áp dụng cho khu vực xử lý khí hóa lỏng, ở các khu vực đó, nếu có khả năng tích tụ nồng độ khí, các cảm biến phát hiện khí phải kích hoạt báo động bằng âm thanh và ánh sáng ở mức không quá 25% giới hạn cháy dưới của khí và hơi được theo dõi.
6.12.2.1.3 Hệ thống phát hiện khí phải là loại được duyệt và bố trí lắp đặt phải sao cho khi một thiết bị dò trên một vùng cụ thể bị hỏng sẽ không làm mất hiệu quả của toàn bộ hệ thống.
6.12.2.1.4 Hệ thống phát hiện khí phải có nguồn điện thay thế sao cho trong trường hợp mất nguồn điện chính, nguồn điện thay thế sẽ tự động cấp nguồn cho hệ thống này.
6.12.3 Hệ thống phát hiện cháy
Hệ thống phát hiện cháy bảo vệ chứa khí hóa lỏng và các hệ thống vận hành khí hóa lỏng và hơi khí hóa lỏng phải thỏa mãn các yêu cầu ở TCVN 6259-5 và TCVN 6474, nếu có. Các yêu cầu của NFPA 59A, Chương 12 cũng có thể được xem xét áp dụng.
6.12.4 Hệ thống phun nước áp lực và chữa cháy
6.12.4.1.1 Chương 12, NFPA 59A được xem xét áp dụng cho các kho chứa nổi, và theo các yêu cầu trong đó, phạm vi phòng và chữa cháy yêu cầu phải được xác định bằng đánh giá dựa vào các nguyên tắc kỹ thuật phòng vừa chữa cháy, phân tích các điều kiện cục bộ, các mối nguy hiểm trong hệ thống và phơi nhiễm với các nguồn cháy khác như các tàu cạnh đó.
6.12.4.1.2 Hệ thống chữa cháy bằng nước, hệ thống phun nước áp lực, hệ thống CO2, bọt và bột khô phải được trang bị theo yêu cầu của TCVN 6259-5 và TCVN 6474.
6.12.5 Kết cấu chống cháy
6.12.5.1.1 Thuật ngữ “kết cấu chống cháy” đề cập đến phương pháp chống cháy thụ động cho các không gian/khoang của kho chứa nổi bằng cách sử dụng các cấp chống cháy và giới hạn chất dễ cháy trong vật liệu chế tạo. Việc duy trì thỏa đáng cấp chống cháy bao gồm việc bảo vệ thích hợp các vị trí xuyên vách chống cháy của hệ thống điện, đường ống hoặc thống gió.
6.12.5.1.2 Phải thỏa mãn các yêu cầu ở 4.2, TCVN 12823-4 và MODU Code. Khi áp dụng các yêu cầu này, hệ thống khí vào và hệ thống hơi khí hóa lỏng ra, bao gồm cả khớp xoay, phải được xử lý như khu vực đầu giếng.
6.12.6 Thiết bị cứu sinh và bảo vệ thuyền viên
Phải tuân thủ Chương 14, TCVN 6259-8D và 7.10, TCVN 6474. Thuyền viên tham gia vào các hoạt động sự cố phải được trang bị thiết bị và quần áo bảo hộ thích đáng được chứng nhận theo 11.6, TCVN 6259-8D, MODU Code hoặc tiêu chuẩn khác được chấp nhận. Phải có các quy trình và luyện tập bằng văn bản để bảo vệ thuyền viên khỏi các mối nguy cơ được xác định như vào các không gian hạn chế hoặc nguy hiểm.
6.12.7 Phương tiện thoát nạn
6.12.7.1.1 Phải có tối thiểu 2 lối thoát nạn cho tất cả các khu vực có người thường xuyên và các khu vực có người làm việc. Hai lối thoát nạn phải tạo thành các tuyến sao cho giảm thiểu khả năng cả 2 tuyến bị chặn trong trường hợp khẩn cấp. Các lối thoát nạn phải có chiều rộng tối thiểu là 0,71 m. Hàng lang cụt không được dài hơn 7 m. Các hành lang cụt được định nghĩa là một đường (nếu sử dụng là lối thoát nạn) không có lối ra.
6.12.7.1.2 Lối thoát nạn phải được xác định đúng và được trang bị ánh sáng đầy đủ. Bản vẽ lối thoát nạn phải được treo tại các vị trí dễ thấy trên kho chứa nổi. Bản vẽ này có thể được gộp với Sơ đồ an toàn/phòng chống cháy.
6.12.8 Hệ thống dừng khẩn cấp
6.12.8.1.1 Dừng khẩn cấp hệ thống xử lý
6.12.8.1.1.1 Phải trang bị một hệ thống dừng khẩn cấp có các trạm điều khiển bằng tay, thỏa mãn Phụ lục C, API RP 14 và Mục 12.3 của NFPA 59A, để dừng dòng khí hydrocacbon tới kho chứa nổi và để dừng tất các quá trình xử lý khi và nén khí trên kho chứa nổi.
6.12.8.1.1.2 Ngoài ra, đối với hệ thống nhập và xuất khí hóa lỏng và hệ thống chứa khí hóa lỏng, phải được trang bị các van dừn sự sự cố cùng với các phương tiện điều khiển, thỏa mãn 5.6, TCVN 6259-8D.
6.12.8.1.1.3 Hệ thống dừng khẩn cấp phải được kích hoạt tự động bởi:
a) Việc phát hiện tình trạng hoạt động bất thường bởi các cảm biến áp lực tại các hệ thống đầu vào và ra hoặc trong các hệ thống xử lý;
b) Việc phát hiện cháy trên kho chứa nổi;
c) Việc phát hiện khí dễ cháy ở mức 60% giới hạn nổ dưới;
d) Việc phát hiện khí H2S ở mức 50 ppm.
6.12.8.1.1.4 Các trạm dừng sự cố phải được trang bị kích hoạt bằng tay hệ thống dừng an toàn công nghệ để dừng tất cả các bơm và hệ thống xử lý. Các trạm kích hoạt bằng tay phải được bảo vệ ngăn ngừa việc kích hoạt không chủ ý và phải được bố trí thuận tiện tại các vị trí sơ tán chính (vị trí rời kho chứa, sàn sân bay trực thăng...) và các trạm điều khiển sự cố.
6.12.8.1.1.5 Để hướng dẫn thiết kế, các vị trí bổ sung sau có thể được coi là phù hợp cho các trạm dừng khẩn cấp:
a) Lối ra cầu thang tại mỗi boong;
b) Các lối ra chính của khu vực nhà ở;
c) Các lối ra chính của boong hệ thống sản xuất (công nghệ).
6.13 Các hệ thống khác
Đối với các hệ thống hàng hải hoặc hệ thống điện liên quan đến các hoạt động hàng hải và khu vực sinh hoạt, nhà ở, phải tuân theo các yêu cầu liên quan được nêu ở TCVN 6259-8D, TCVN 6474, TCVN 12823 và MODU Code.
7 Các yêu cầu thiết kế kết cấu
7.1 Giới thiệu
7.1.1 Áp dụng các yêu cầu khi thiết kế kết cấu
7.1.1.1 Tổng quát
Tiêu chuẩn này đề cập tới thiết kế kết cấu của các kho chứa nổi chứa khí hóa lỏng trên biển có dạng thân tàu hoặc sà lan với các két hình lăng trụ dạng màng hoặc độc lập và có dạng két đơn dọc tâm hoặc hai két hàng song song sát nhau dọc theo đường tâm của thân kho chứa nổi. Do có sự tương đồng về cấu trúc thân, Tiêu chuẩn này có một số viện dẫn tới các yêu cầu chung đối với kết cấu thân trong TCVN 6259, TCVN 6474 và TCVN 6259-8D đối với tàu dự định chở xô khí hóa lỏng
7.1.1.2 Két màng
Các yêu cầu này nhằm áp dụng đối với các kho chứa nổi chứa khí hóa lỏng bằng thép có các két màng như nêu tại 4.2.2 của TCVN 6259-8D. Các yêu cầu kỹ thuật của Bộ luật quốc tế về chế tạo và trang bị của tàu chở xô khí hóa lỏng (IGC Code) cũng phải được tuân thủ.
7.1.1.3 Két rời
7.1.1.3.1 Các yêu cầu này nhằm áp dụng đối với các kho chứa nổi bằng thép tham gia chở khí hóa lỏng trong các két rời (Loại A, Loại B và Loại C) như xác định tại 4.2.4-1 Chương 4 của TCVN 6259- 8D. Các yêu cầu kỹ thuật của Bộ luật quốc tế về chế tạo và trang bị của tàu chở xô khí hóa lỏng (IGC Code) cũng phải được tuân thủ.
7.1.1.3.2 Đối với các két rời Loại A, các yêu cầu về kích thước và chỉ tiêu bền trong Tiêu chuẩn này được coi là tương đương với các yêu cầu đối với két rời Loại A trong Chương 4 của TCVN 6259-8D.
7.1.1.3.3 Đối với các két rời Loại B, các yêu cầu đối với két rời Loại B trong Chương 4 củaTCVN 6259-8D liên quan tới lan truyền vết nứt và hư hỏng mỏi phải được xác minh bổ sung. Các yêu cầu về kích thước và chỉ tiêu độ bền trong Tiêu chuẩn này được coi là tương đương với các yêu cầu trong Chương 4 củaTCVN 6259-8D.
7.1.1.3.4 Đối với các két rời Loại C (bình chịu áp lực), các yêu cầu về kích thước và chỉ tiêu bền trong Chương 4 củaTCVN 6259-8D phải được xác minh. Chỉ tiêu độ bền trong Tiêu chuẩn này được coi là tương đương với các yêu cầu trong Chương 4 của TCVN 6259-8D.
7.1.1.4 Tính toán trực tiếp
Các tính toán trực tiếp liên quan tới xác định các tải trọng thiết kế và thiết lập các chỉ tiêu bền thay thế khác dựa trên các nguyên tắc cơ bản, sẽ được chấp nhận để xem xét, với điều kiện rằng tất cả các dữ liệu, quy trình phân tích và kết quả tính toán hỗ trợ được ghi lại đầy đủ. Về vấn đề này, phải có sự xem xét thỏa đáng tới các điều kiện môi trường, xác suất xảy ra, sự bất định của dự đoán phản ứng và tải trọng, và độ tin cậy của kết cấu trong khai thác.
7.1.1.5 Chương trình quản lý chế tạo thân công trình biển
Đối với các kho chứa nổi chế tạo mới, một kế hoạch quản lý chế tạo thân công trình biển cho các vùng quan trọng, được chuẩn bị phù hợp với các yêu cầu của Phụ lục F.
7.1.2 Các cơ cấu bên trong
7.1.2.1 Thuộc tính của các thành phần kết cấu
Các thuộc tính hình học của các thành phần kết cấu có thể được tính toán trực tiếp từ kích thước của tiết diện và tôn kèm (xem 1.1.13 củaTCVN 6259-2A hoặc Hình 41 của Tiêu chuẩn này, nếu áp dụng được). Đối với các thành phần kết cấu có góc θ (xem Hình 1) giữa bản thành và tôn kèm không nhỏ hơn 75°, mô đun chống uốn tiết diện ngang, tiết diện bản thành, và mô men quán tính của tiết diện “tiêu chuẩn” (θ = 90°) có thể được sử dụng mà không cần phải hiệu chỉnh. Nếu góc θ nhỏ hơn 75°, thuộc tính tiết diện phải được tính toán trực tiếp so với một trục song song với tôn kèm (xem Hình 1).

Hình 1 - Góc giữa bản thành và tôn kèm
Đối với các dầm dọc, sườn và thanh gia cường, mô đun chống uốn có thể được tính theo công thức sau:
SM = αθSM90
Với:
αθ = 1,45 - 40,5/θ
SM90 = Mô đun chống uốn tại θ = 90°
Tiết diện hiệu dụng có thể được tính theo công thức sau:
A = A90sinθ
Với:
A90 = Diện tích chịu cắt hiệu dụng tại θ = 90°
7.1.2.2 Thiết kế chi tiết
Thiết kế chi tiết của các cơ cấu bên trong phải tuân theo hướng dẫn nêu tại 1.1.23 của TCVN 6259-2A và 7.4.1.3.
Xem thêm Phụ lục A.
7.1.2.3 Các vị trí gián đoạn
Cần thận trọng để đảm bảo sự gia cường kết cấu chống lại các ứng suất cục bộ tại các đầu mút của các không gian két hàng, thượng tầng... và trong toàn bộ kết cấu nói chung. Các vách dọc chính phải được vuốt thon thích hợp tại các đầu mút. Nếu các vách dọc hữu hiệu có trên thượng tầng đuôi hoặc lầu trên boong, chúng phải được bố trí sao cho cung cấp tính liên tục hiệu quả giữa kết cấu trong và ngoài giới hạn các không gian hàng.
7.1.2.4 Điều chỉnh
Kho chứa nổi chứa khí hóa lỏng có kiểu thiết kế đặc biệt khắc với các thiết kế nêu tại Tiêu chuẩn này sẽ được xem xét riêng trên cơ sở tương đương về độ bền.
7.1.2.5 Hướng dẫn xếp tải
Hướng dẫn xếp tải được yêu cầu theo 13.1.4 và Chương 32 của TCVN 6259-2A ngoại trừ rằng 7.4.3 của Tiêu chuẩn này sẽ được áp dụng đối với các ứng suất cắt cho phép.
7.1.2.6 Áp suất hơi thiết kế
Áp suất hơi thiết kế, p0, được xác định tại 4.2.6 của TCVN 6259-8D thường không được vượt quá 0,25 bar (0,255 kgf/cm2; 3,626 lbf/in2). Tuy nhiên, nếu kích thước thân kho chứa nổi được tăng thêm tương ứng và có xem xét về độ bền của lớp bọc phụ trợ, po có thể được tăng lên tới giá trị cao hơn nhưng nhỏ hơn 0,7 bar (0,714 kgf/cm2; 10,153 Ibf/in2).
7.1.2.7 Bảo vệ kết cấu
Đối với bảo vệ kết cấu, xem tương ứng tại 23.2 của TCVN 6259-2A hoặc yêu cầu tương đương khác được chấp nhận.
7.1.2.8 Sơn chứa nhôm
Sơn có chứa nhôm không được sử dụng trong các két hàng, buồng bơm và các khoang cách lý, hoặc trong các vùng khác mà có thể tụ hơi hàng, trừ khi được thể hiện bởi các cuộc thử thích hợp rằng sơn đó khi sử dụng không làm tăng nguy cơ cháy.
7.1.2.9 Hệ thống ngăn hàng
Vách ngăn thứ cấp, cách nhiệt, vật liệu, chế tạo và thử của hệ thống ngăn hàng phải tuân theo các yêu cầu áp dụng tại Chương 4 của TCVN 6259-8D.
7.1.2.10 Xác định phân bố nhiệt độ để lựa chọn vật liệu
7.1.2.10.1 Phân bố nhiệt độ trên kết cấu thân kho chứa nổi và két hàng phải được xác định dựa trên nhiệt độ thiết kế của môi trường và nhiệt độ hàng. Bảng 1 tổng hợp các nhiệt độ môi trường thiết kế thường được sử dụng trong tính toán phân bố nhiệt độ. Đối với các tàu thương mại trong các vùng lạnh khác, nhiệt độ môi trường thiết kế phải được xem xét riêng.
Bảng 1 - Nhiệt độ môi trường thiết kế
|
| Không khí | Nước biển tĩnh |
| Hoạt động toàn cầu theo Bộ luật IGC của IMO | 5°C (41°F) tại 0 knots | 0°C (32°F) |
7.1.2.10.2 Nhiệt độ thiết kế đối với các két hàng là nhiệt độ thấp nhất mà tại đó hàng hóa có thể được chất tải hoặc chuyên chở. Các nhiệt độ sối và các tỷ trọng tương ứng được liệt kê trong Bảng 2 đối với một số hàng khí hóa lỏng thường gặp.
7.1.2.10.3 Nhiệt độ thiết kế đối với các ống dẫn hàng, các bình chịu áp lực hệ thống xử lý hàng và tất cả các thiết bị liên quan là nhiệt độ thấp nhất trong hệ thống và các thành phần trong suốt hoạt động làm hàng.
7.1.2.10.4 Nhiệt độ thiết kế đối với rào chắn thứ cấp một phần hoặc hoàn toàn phải được giả định bằng nhiệt độ hàng tại áp suất khí quyền.
7.1.2.10.5 Để xác định nhiệt độ của các cơ cấu kết cấu bên trong thân kho chứa nổi ngoài khối chở hàng, nhiệt đội môi trường không khí tại phần thân trước và các không gian máy có thể được giả định bằng 5°C(41°F).
7.1.2.10.6 Nhiệt độ tối thiểu của kết cấu thân, các cơ cấu đỡ két và các nêm được xác định bằng các tính toán nhiệt độ trực tiếp, có xem xét sự hiệu quả của bất kỳ lớp bọc và phương tiện đốt hâm nóng nếu được chấp thuận theo 4.8 và 4.9 của TCVN 6259-8D.
7.1.2.10.7 Khi không có các tính toán nhiệt độ trực tiếp và đối với mục địch lựa chọn cấp vật liệu, các cơ cấu kết cấu bên trong điển hình (ngoại trừ các cơ cấu đỡ két và nêm) trên phương tiện chở khí hóa lỏng có các két rời Loại A có thể được xác định với các giả định sau:
a) Nhiệt độ thiết kế cho các thanh nẹp phải bằng với nhiệt độ cho tấm gắn vào.
b) Nhiệt độ thiết kế cho các cơ cấu đỡ chính không có hoặc xa các lỗ khoét lớn phải được lấy bằng trung bình của nhiệt độ thiết kế của hai tấm tiếp giáp.
c) Nhiệt độ thiết kế cho các cơ cấu đỡ chính trong phạm vi lỗ khoét lớn phải bằng với nhiệt độ của tấm gắn vào.
d) Đối với kho chứa nổi có két rời Loại A, phạm vi của thép nhiệt độ thấp cho tôn boong giữa hai két cạnh trên phải được dựa trên điều kiện nghiêng tĩnh 30 độ.
e) Đối với kho chứa nổi có kiểu két rời Loại A, thép nhiệt độ thấp cho các tôn dọc liên tục như boong, đáy trong, và các vách dọc trong phải được kéo dài thêm 400 mm (15,75 in.) so với vị trí yêu cầu của rào chắn thứ cấp. Tấm tiếp giáp với thép nhiệt độ thấp phải có cấp E hoặc D32, D36, D40. Phạm vi của cấp vật liệu như vậy không cần quá 400 mm (15,75 in.).
Bảng 2 -Thuộc tính của các hàng khí hóa lỏng thường gặp
| Hàng | Công thức hóa học | Phát hiện hơi | Nhiệt độ sôi (°C) | Khối lượng riêng (kg/m3) | |
| Acetaldehyde | CH3CHO | F + T | +20,8 | 780 | |
| Ammonia, Anhydrous | NH3 | T | -33,4 | 680 | |
| Butadiene 1.3 (bị ức chế) | CH2CHCHCH2 | F + T | -4,5 | 650 | |
| Butane, còn gọi là N-Butane | C4H10 | F | -0,5 | 600 | |
| Hỗn hợp Butane/Propane |
| F |
| 630 | |
| Butylenes |
| F | -6,3 | 630 | |
| Chlorine | Cl2 | T | -34 | 1560 | |
| Diethyl Ether | C2H5O C2H5 | F + T | 34,6 | 640 | |
| Dimethyl amine | (CH3)2NH | F + T | 6,9 | 670 | |
| Ethane | C2H6 | F + T | -88 | 550 | |
| Ethyl Chloride | CH3CH2CI | F + T | 12,4 | 920 | |
| Ethylene | C2H4 | F | -104 | 560 | |
| Ethylene Oxide | (CH2)2O | F + T | 11 | 870 | |
| Hỗn hợp Ethylene Oxide/Propylene Oxide Mixture với hàm lượng Ethylene Oxide không quá 30% khối lượng | (CH2)O2 + CH3 CHOCH2 | F + T | 27 | 830 | |
| lsoprene(bị ức chế) | CH2C(CH3)CHCH2 | F | 34,0 | 680 | |
| Isopropylamine | (CH3)2CHNH2 | F + T | 33,0 | 670 | |
| Methane (LNG) | CH4 | F | -163 | 420 | |
| Hỗn hợp Methyl Acetylene - Propadiene |
| F |
| 620 | |
| Methyl Bromide | CH3Br | F + T | 4 | 1730 | |
| Methyl Chloride | CH3CI | F + T | -24.0 | 970 | |
| Monoethylamine | C2H3NH2 | F + T | 16,6 | 690 | |
| Nitrogen | N2 | O | -196 | 808 | |
| Pentanes (tất cả các đồng phân) | CH3(CH2)3CH3 | F | 29 đến 36 | 626 | |
| Pentene (tất cả các đồng phân) | CH3CH2CH2CH=CH2 | F | 30 đến 37 | 656 | |
| Propane | C3H8 | F | -42,3 | 590 | |
| Propylene | C3H6 | F | -47,7 | 610 | |
| Propylene Oxide | CH3CHOCH2 | F + T | +33,9 | 822 | |
| Khí công chất làm lạnh |
|
| 3,6 đến -81,4 | 1410 đến 1526 | |
| Sulphur Dioxide | SO2 | T | -10 | 1460 | |
| Vinyl Chloride Monomer (VCM) | CH2CHCI | F + T | -13,9 | 970 | |
| Vinyl Ethyl Ether | CH2-CHOC2H5 | F + T | 35,5 | 750 | |
| Vinylidene Chloride | C2H2-CCI2 | F + T | 31,7 | 1250 | |
| Chú thích: | F - phát hiện hơi cháy được T - phát hiện hơi độc | ||||
7.2 Yêu cầu chung
7.2.1 Yêu cầu tổng quát
7.2.1.1 Tổng quát
7.2.1.1.1 Thiết kế và chế tạo thân kho chứa nổi dạng tàu hoặc dàng sà lan, kết cấu tiếp giáp thân. Các két hàng độc lập bao gồm cả kết cấu đỡ các két đó của các kho chứa nổi chứa khí hóa lỏng phải dựa trên các yêu cầu áp dụng được của Tiêu chuẩn này và các viện dẫn tới TCVN 6259. Tiêu chuẩn này phản ánh các hiệu suất kết cấu và nhu cầu dự kiến cho kho chứa nổi dịch chuyển và được định vị dài hạn tại vị trí cụ thể so với các hiệu suất và nhu cầu của tàu tham gia hành hải không hạn chế.
7.2.1.1.2 Chỉ tiêu thiết kế đối với kho chứa nổi chứa khí hóa lỏng được áp dụng cho các kho chứa nổi có chiều dài 150 m (492 feet) trở lên. Ngoài ra, các chỉ tiêu có thể áp dụng được của IGC Code và các công ước Load Lines, MODU Code và SOLAS cũng phải được xem xét.
7.2.1.1.3 Chỉ tiêu thiết kế áp dụng trong hai giai đoạn. Trong giai đoạn đầu tiên, các kết cấu thiết kế ban đầu của thiết kế kết cấu thân được lựa chọn, có xem xét các tải trọng danh nghĩa và cực đại dự kiến mà một thành phần có khả năng gặp phải trong suốt tuổi thọ hoạt động trên biển. Giai đoạn này được gọi là Đánh giá kích thước ban đầu (ISE) và được điều chỉnh bởi các tiêu chí nêu trong 7.4. Giai đoạn thứ hai yêu cầu các phân tích kết cấu của các phần chính của kết cấu thân để xác minh tính thỏa đáng của hiệu năng hệ thống kết cấu, bao gồm các kiểm tra độ bền theo các trạng thái phá hủy liên quan tới chảy dẻo, ổn định và độ bền tới hạn. Giai đoạn này được gọi là Đánh giá độ bền tổng thể (TSA) và được điều chỉnh bởi các tiêu chí nêu trong 7.5.
7.2.1.1.4 Đánh giá độ bền tổng thể cũng phải xem xét các liên kết giữa hệ thống neo định vị và kết cấu thân và các liên kết giữa các mô đun thiết bị liền boong (hoặc trên boong) với kết cấu thân. Kết cấu tiếp giáp được xác định là vùng gắn kết truyền tải giữa kết cấu chính của thân và thiết bị liền thân, bao gồm cả hệ thống neo định vị. Phân tích của kết cấu tiếp giáp thân phải được thực hiện bằng tính toán trực tiếp của các mô hình phần tử hữu hạn ba chiều của liên kết tiếp giáp thân và tiêu chí chấp nhận được nêu tại 7.7.
7.2.1.1.5 Các yêu cầu về độ bền của kết cấu thân trong giai đoạn ISE và các phân tích kết cấu và các đánh giá độ bền của kết cấu thân được yêu cầu trong giai đoạn TSA phải dựa trên các kích thước tinh. Khi xác định các kích thước yêu cầu và khi thực hiện các phân tích kết cấu và đánh giá độ bền của kết cấu thân, các giá trị ăn mòn thiết kế danh nghĩa nêu trong Bảng 3 phải được giảm trừ. Các yêu cầu độ bền đối với các két rời được dựa trên kích thước tổng. Các yêu cầu liên quan tới các két hàng độc lập Loại A chỉ áp dụng nếu chở các hàng hóa không gây ăn mòn. Nếu các hàng hóat gấy ăn mòn được chứa trong các két này, kích thước phải được tăng phù hợp hoặc phải có phương pháp kiểm soát ăn mòn được chấp thuận.
7.2.1.1.6 Các kích thước bổ sung của chủ công trình (tức là, chiều dày bổ sung được quy định bởi chủ công trình), như được bao gồm trong các thông số kỹ thuật thiết kế, không được sử dụng trong đánh giá.
7.2.1.1.7 Việc thực hiện các phân tích kết cấu bổ sung có thể làm cho kho chứa nổi được ấn định dấu hiệu phân cấp tùy chọn DLA, biểu thị rằng thiết kế thỏa mãn các tiêu chí Phương thức tiếp cận tải trọng động. Ngoài ra, dấu hiệu phân cấp tùy chọn SFA có thể được ấn định, biểu thị rằng thiết kế thỏa mãn tiêu chí độ bền mỏi dựa trên Phân tích mỏi theo phương pháp phổ.
7.2.1.1.8 Việc áp dụng tiêu chí thiết kế để phản ánh bản chất phụ thuộc vị trí hoạt động của kho chứa nổi đượcthực hiện bằng sự nói về chuỗi Hệ số khắc nghiệt của môi trường (ESF). Viện dẫn được tham chiếu tới 7.3.11 và Phụ lục C đối với tiêu chí phân tích và thiết kế kết cấu có thể áp dụng mà đã được sửa đổi để phản ánh các điều kiện hoạt động cụ thể.
7.2.1.2 Các yêu cầu kích thước ban đầu
Chiều dày ban đầu của tấm, mô đun chống uốn của các dầm dọc hoặc thanh gia cường, và kích thước của các kết cấu đỡ chính của kết cấu thân phải được xác định theo tiêu chí kích thước ban đầu của 7.4 đối với các kích thước tinh. Các giá trị kích thước tinh này phải được sử dụng trong đánh giá bền tổng thể theo yêu cầu dưới đây và 7.5. Các giá trị ăn mòn thiết kế danh nghĩa liên quan nêu tại Hình 2 và Hình 3 và Bảng 3 khi đó được thêm vào kích thước tinh để thu được các yêu cầu kích thước đầy đủ.
7.2.1.3 Đánh giá độ bền - Các dạng phá hủy
Đánh giá độ bền tổng thể của các kết cấu xác định trên cơ sở của tiêu chí độ bền ban đầu tại 7.4 phải được thực hiện phù hợp với 7.5 cho bốn dạng phá hủy sau đây:
a) Chảy dẻo vật liệu
Cường độ ứng suất tính toán không được lớn hơn giới hạn chảy dẻo nêu tại 7.5.2.1 đối với tất cả các trường hợp tải trọng quy định tại 7.3.5.
b) Độ bền tới hạn và ổn định
Đối với mỗi cơ cấu riêng biệt, tấm hoặc mảng tấm, độ bền tới hạn và ổn định phải phù hợp với các yêu cầu nêu tại 7.5.3. Ngoài ra, độ bền tới hạn dầm tương được phải phù hợp với 7.4.2.6 và Phụ lục D.
c) Mỏi
Độ bền mỏi của các chi tiết kết cấu và các mối hàn trong các vùng chịu ứng suất cao phải được phân tích phù hợp với 7.5.4.
d) Độ bền tới hạn dầm tương đương
Khả năng chịu uốn dọc tới hạn dầm tương đương đối với điều kiện vồng lên hoặc võng xuống phải được đánh giá phù hợp với Phụ lục D. Khả năng chịu uốn tới hạn dầm tương đương đối với điều kiện môi trường thiết kế (DEC) phải thỏa mãn trạng thái giới hạn quy định tại 7.4.2.6.
7.2.1.4 Độ dư kết cấu và dư bền
Xem xét phải được thực hiện đối với độ dư kết cấu và dư độ bền dầm tương đương trong các giai đoạn tiền thiết kế.
7.2.1.5 Độ bền chống lại tải trọng nổ
7.2.1.5.1 Thiết kế thân kho chứa nổi chống lại quá áp phải được đánh giá để kiểm tra rằng thân kho chứa nổi chỉ phải chịu thiệt hại cục bộ, không gây bất lợi cho tính toàn vẹn của toàn bộ kho chứa nổi tối thiểu đủ cho giai đoạn sơ tán. Thiết kế phân khoang phải xem xét khả năng giữ thiệt hại trong phạm vi cùng một khoảng và ngăn chặn chuỗi sự kiện dẫn đến lan rộng thiệt hại sang các khoang liên fkeef hoặc lên boong, do đó không làm mất tính nổi và ổn định cũa toàn bộ kho chứa nổi và hệ thống neo. Thiết kế thân trên phải tính đến các tác động của hỏa hoạn từ thượng tầng với nguy cơ làm giảm hiệu năng kết cấu của thân kho chứa nổi và từ đó làm giảm tính ổn định.
7.2.1.5.2 Hướng dẫn đánh giá và xem xét tải trọng cháy nổ có thể xem trong API RP2FB.
7.2.2 Kích thước tinh và các giá trị ăn mòn thiết kế danh nghĩa
7.2.2.1 Tổng quát
7.2.2.1.1 Như được nêu tại 7.2.1.1, tiêu chí bền nêu trong Tiêu chuẩn này được dựa trên phương pháp tiếp cận kích thước tinh.
7.2.2.1.2 Kích thước hoặc chiều dày tinh tương ứng với các yêu cầu bền tối thiểu được chấp nhận để phân cấp, bất kể tuổi thọ hoạt động thiết kế của kho chứa nổi. Ngoài sơn bảo vệ nêu tại TCVN 6259 cho tất cả các két dằn, các giá trị ăn mòn thiết kế danh nghĩa đối với các thành phần kết cấu và tôn như nêu tại Bảng 3 và Hình 2 và Hình 3 phải được cộng vào các kích thước tinh. Các giá trị ăn mòn thiết kế danh nghĩa này được dự kiến cho tuổi thọ hoạt động thiết kế là 20 năm. Nếu tuổi thọ thiết kế lớn hơn 20 năm, các giá trị ăn mòn thiết kế danh nghĩa của kết cấu thân phải được tăng thêm phù hợp với 12.2.2. Các giá trị ăn mòn thiết kế danh nghĩa này được đưa ra chỉ cho mục đích nêu trên và không được hiểu là tiêu chuẩn thay mới.
7.2.2.1.3 Về mức ăn mòn dự kiến cao hơn đối với các cơ cấu trong một số vùng, như các vùng chịu ứng suất cao, các giới hạn thiết kế bổ sung phải được xem xét đối với các thành phần kết cấu tới hạn và cơ cấu chính để giảm thiểu giá thành bảo dưỡng và sửa chữa. Các lợi ích của các giới hạn thiết kế này trong việc giảm ứng suất và tăng mô đun chống uốn hiệu dụng dầm tương đương có thể được xem xét thích hợp trong đánh giá thiết kế.

Hình 2 - Giá trị ăn mòn thiết kế danh nghĩa

Hình 3 - Giá trị ăn mòn thiết kế danh nghĩa
(Tương tự như Hình 2, ngoại trừ như Chú dẫn)

Hình 4-Giá trị ăn mòn thiết kế danh nghĩa
(Tương tự như Hình 2, ngoại trừ như Chú dẫn)

Hình 5 - Giá trị ăn mòn thiết kế danh nghĩa
(Tương tự như Hình 2, ngoại trừ như Chú dẫn)
Bảng 3 - Giá trị ăn mòn thiết kế danh nghĩa (1,2)
| Thành phần kết cấu/Vị trí | Giá trị ăn mòn thiết kế danh nghĩa, mm (in.) | ||
| Trong két | Trong khoang trống | ||
| Tôn boong cao nhất | Kín nước | 2,0 (0,08) | |
| Khoang trống | 1,5 (0,06) | ||
| Tôn boong trong | 1,0 (0,04) | ||
| Tôn bao mạn | 1,5 (0,06) | ||
| Tôn đáy | 1,0 (0,04) | ||
| Tôn đáy trong | 1,0 (0,04)(3) | 1,0(0,04) | |
|
|
| ||
| Tôn vách dọc | 1,0 (0,04) | ||
| Tôn vách ngang | Trong các két cạnh | 1,5(0,06) | 1,0 (0,04) (8) |
| Trong các két hàng | 1,0 (0,04) | ||
| Sống ngang và sống dọc boong | N.A. | 1,0 (0,04) (8) | |
| Đà ngang và sống dọc đáy đôi (9) | 2,0 (0,08) | 1,5 (0,06) (8) | |
| Sườn khỏe | 1,5 (0,06) (4) | 1,0(0,04) | |
| Sống dọc mạn | Kín nước | 2,0 (0,08) | 1,5 (0,06) (8) |
| Không kín | 1,5 (0,06) | 1,0(0,04) | |
| Tôn để chống hộp dọc trong vách khoang cách ly dọc đường tâm | Kín nước | 2,0 (0,08) | 1,5 (0,06) (8) |
| Không kín | 1,5 (0,06) (10) | 1,0(0,04) | |
| Sống khỏe trên vách ngang khoang hàng | Vertical Web | 1,5 (0,06) (4) | 1,0 (0,04) (8) |
| Sống nằm | 2,0 (0,08) | 1,5 (0,06) (8) | |
| Dầm dọc và thanh nẹp | Phần tử đứng (5) | 1,0 (0,06) (7) | 1,0(0,04) |
| Không phải phần tử đứng (6) | 2,0 (0,08) | 1,0 (0,04) | |
| Dầm dọc và thanh nẹp trong không gian hầm ống | N.A. | 1,0 (0,04) | |
| Dâm dọc và thanh nẹp trong khoang trống bên ngoài đáy đôi | NA | 1,0 (0,04) | |
| Chú thích: 1 Thừa nhận rằng ăn mòn phụ thuộc vào nhiều yếu tố bao gồm các thuộc tính của lớp phủ, thành phần của hàng hóa và nhiệt độ chuyên chở, rằng mức hao mòn thực tế có thể khác biệt đáng kể so với nêu ở đây. 2 Rỗ và rãnh được coi là cục bộ và không được đề cập trong bảng này 3 2,0 mm (0,08 in.) đối với đỉnh két. 4 2,0 mm (0,08 in.) đối với vùng bắn tóe (1,5 m xuống dưới đỉnh két). 5 Các phần tử đứng được xác định là các phần thử nghiêng với góc nghiêng lớn hơn 25° so với đường nằm ngang. 6 Các phần tử không phải phần tử đứng được xác định là các phần tử nghiêng với góc nhỏ hơn 25° so với đường nằm ngang. 7 2,0 mm (0,08 in.) đối với vùng bắn tóe và trong phạm vi đáy đôi. 8 Khi tấm tôn tạo thành biên giữa một két và một khoang trống, NDCV của tấm được xác định theo kiểu két. 9 1,5 mm (0,06 in.) đối với sống của biên két ki hộp. | |||
7.2.2.2 Giá trị ăn mòn thiết kế danh nghĩa đối với tuổi thọ thiết kế lớn hơn 20 năm
7.2.2.2.1 Khi tuổi thọ thiết kế kết cấu lớn hơn 20 năm, các giá trị ăn mòn tối thiểu (NDCV) của các kết cấu thân phải được tăng thêm từ các giá trị nêu tại theo quy định tại Bảng 3 như sau:
1) Đối với tôn và các phần tử kế cấu với NDCV là 2,0 mm cho tuổi thọ thiết kế là 20 năm, bổ sung thêm 0,1 mm cho mỗi năm tuổi thọ thiết kế lớn hơn 20 năm. Ví dụ: NDCV là 2,5 mm cho tuổi thọ thiết kế là 25 năm;
2) Đối với tôn và các phần tử kế cấu với NDCV là 1,5 mm cho tuổi thọ thiết kế là 20 năm, bổ sung thêm 0,075 mm cho mỗi năm tuổi thọ thiết kế lớn hơn 20 năm. Ví dụ: NDCV là 1,875 mm cho tuổi thọ thiết kế là 25 năm;
3) Đối với tôn và các phần tử kế cấu với NDCV là 1,0 mm cho tuổi thọ thiết kế là 20 năm, bổ sung thêm 0,05 mm cho mỗi năm tuổi thọ thiết kế lớn hơn 20 năm. Ví dụ: NDCV là 1,25 mm cho tuổi thọ thiết kế là 25 năm;
4) Đối với các không gian trống, không thay đổi NDCV vì chúng được coi là độc lập với tuổi thọ thiết kế.
7.2.2.2.2 Các giá trị NDCV phải được xem là các giá trị ăn mòn thiết kế danh nghĩa tối thiểu. Ăn mòn thực tế có thể nhiều hơn hoặc ít hơn các giá trị NDCV. Người thiết kế hoặc chủ công trình có thể quy định các giới hạn biên ăn mòn thiết kế bổ sung dựa trên các kế hoạch bảo dưỡng.
Chú thích: Giới hạn hao mòn cho phép cục bộ đối với tôn và nẹp gia cường trên các kho chứa nổi được thiết kế để hoạt động liên tục tại mỏ mà không lên đà và có tuổi thọ thiết kế lớn hơn 20 năm được mô tả tại 8.2.3.4.2.2c).
7.2.2.2.3 Việc làm tròn chiều dày tính toán được phải lấy là nửa mi-li-mét gần nhất. Ví dụ:
a) Đối với 10,75 ≤ tcalc < 11,25 mm, chiều dày yêu cầu là 11 mm;
b) Đối với 11,25 ≤ tcalc < 11,75 mm, chiều dày yêu cầu là 11,5 mm.
7.2.2.2.4 Khi sai khác giữa chiều dày thực yêu cầu và chiều dày thực được đề xuất nhỏ hơn 0,25 mm, chiều dày thực được đề xuất sẽ được chấp nhận nếu chiều dày tổng yêu cầu được làm tròn nhỏ hơn hoặc bằng chiều dày tổng được đề xuất. Ví dụ, chiều dày tinh yêu cầu tính toán là 11,27 mm với giới hạn ăn mòn thiết kế danh nghĩa bằng 1,25 mm dựa trên tuổi thọ thiết kế 25 năm. Khi đó chiều dày tinh yêu cầu được làm tròn là 11,5 mm. Chiều dày tổng được đề xuất là 12,5 mm, do đó chiều dày tinh đề xuất là 11,25 m m (12,5 m m -1,25 m m). Chiều dày tổng yêu cầu tính toán là 12,52 m m (11,27 mm + 1,25 mm) và chiều dày tổng yêu cầu được làm tròn là 12,5 mm. Do đó, chiều dày tinh được đề xuất là 11,25 mm là chấp nhận được thay vì độ dày tinh yêu cầu được làm tròn là 11,5 mm.
7.3 Chỉ tiêu tải trọng
7.3.1 Tổng quát
7.3.1.1 Khái niệm và ứng dụng của các hệ số khắc nghiệt môi trường
7.3.1.1.1 Kho chứa nổi chứa khí hóa lỏng (FLGT) được đặt tại các vị trí mà các thành phần động của tải trọng có thể nhỏ hơn các thành phần sinh ra từ các điều kiện hoạt động không hạn chế của các tàu thương mại. Để điều chỉnh các tải trọng và hiệu ứng tải trọng gây ra bởi môi trường dài hạn tại một vị trí cụ thể nơi kho chứa nổi hoạt động (so sánh với điều kiện hoạt động tại vùng biền không hạn chế), một loạt các “hệ số khắc nghiệt môi trường” (ESFs) được đưa ra. Có hai loại ESFs được quy định là loại Alpha (α) và loại Beta (β). Các hệ số α được sử dụng để điều chỉnh độ bền mỏi kỳ vọng giữa điều kiện hoạt động tại vùng biển không hạn chế (cơ sở quy phạm) và môi trường dài hạn tại một vị trí cụ thể. Các hệ số β chủ yếu được sử dụng để điều chỉnh các thành phần động của tải trọng mà được dùng để thiết lập: độ bền của dầm tương đương thân kho chứa nổi (sóng gây ra các tải trọng cho dầm tương đương), các công thức thiết kế kích thước đơn lẻ, các tải trọng dùng trong phân tích độ bền thân, các lực phụ thuộc như lực phát sinh từ dịch chuyển cửa khối lượng của thiết bị đặt tại hoặc bên trên boong chính. Trong thực tế, thân kho chứa nổi có thể phải chịu tải trên một phạm vi rộng lớn của các mẫu tải trọng của két và các mớn nước bên ngoài. Giá trị hàm ý của tất cả các hệ số khắc nghiệt môi trường cả loại α và loại β khi hoạt động không hạn chế là 1,0.
7.3.1.1.2 Việc xác định hệ số khắc nghiệt môi trường phải được thực hiện phù hợp với Phụ lụcC.
7.3.1.2 Các thành phần tải trọng
Khi thiết kế kết cấu thân kho chứa nổi, phải tính đến tất cả các thành phần tải trọng liên quan đến dầm tương đương và các kết cấu cục bộ như được nêu tại Tiêu chuẩn này và phần Chương 13 của TCVN 6259-2A. Các tải trọng này bao gồm các tải trọng tĩnh tại vùng nước tĩnh, các dịch chuyển và tải trọng do sóng gây ra, tải trọng do chuyển động chất lỏng trong két, sóng vỗ đáy tàu, tải trọng động, tải trọng nhiệt và băng, nếu có.
7.3.2 Các tải trọng tĩnh
7.3.2.1 Lực cắt và mô men uốn trên nước tĩnh
7.3.2.1.1 Để đánh giá độ bền chảy dẻo và bền ổn định của kết cấu thân, các trường hợp tải trọng thiết kế tiêu chuẩn được mô tả tại Mục này phải được phân tích. Đối với việc tính toán mô men uốn trên nước tĩnh và lực cắt, xem 7.4.2.2 của Tiêu chuẩn này và 13.2 và 13.3 của TCVN 6259-2A.
7.3.2.1.2 Khi không có tính toán trực tiếp các tải trọng do sóng gây ra (các mô men uốn dọc và các lực cắt, áp lực thủy tĩnh (bên ngoài) và các lực quán tính và các cột áp bổ sung (bên trong)), các đường cong Của các mô men uốn trên nước tĩnh (võng lên và võng xuống) và các lực cắt (dương và âm) phải được cung cấp.
7.3.2.1.3 Ngoại trừ các trường hợp tải trọng đặc biệt, các mô hình tải trọng ở Hình 6 đối với bố trí hai két hàng song song phải được xem xét khi xác định các tải trọng tĩnh cục bộ. Các mẫu tải trọng đại diện cho điều kiện sửa chữa khi giả định rằng một két hàng hoặc két dằn à trống rỗng (đang được sửa chữa) với các khoang hoặc két xung quanh cũng trống được bao gồm trong các mẫu tải trọng thể hiện tại Hình 6 và Hình 7. Một ngoại lệ trong đó được bao gồm rõ ràng là đối với trường hợp một hét hàng đơn trung tâm được sửa chữa, như thể hiện tại Hình 6, RLC1.
7.3.2.2 Các mẫu tải trọng đặc biệt bổ sung đối với các két hàng độc lập
7.3.2.2.1 Để đánh giá độ bền ổn định và chảy dẻo của kết cấu két hàng độc lập và các cơ cấu đỡ của chúng, các trường hợp tải trọng tĩnh thiết kế tiêu chuẩn bổ sung phải được phân tích. Các trường hợp tải trong đặc biệt (SLC) có thể được phân thành các nhóm sau:
a) Điều kiện tải một phía két (SLC1 trong Bảng 6):
b) Trường hợp tải trọng ngập nước đối với vách ngang (SLC2 trong Bảng 6):
c) Các trường hợp tải trọng sự cố đối với các cơ cấu đỡ và nêm (SLC3- SLC5 trong Bảng 6);
7.5.2.2.2 Các mẫu tải trọng đặc biệt được thể hiện tại Bảng 6.

Hình 6 - Mẫu tải trọng

Hình 7 - Mẫu tải trọng

Hình 8 - Các mẫu tải trọng đối với các két hàng độc lập

Hình 8 - Các mẫu tải trọng đối với các két hàng độc lập (tiếp)

Hình 8 - Các mẫu tải trọng đối với các két hàng độc lập (tiếp)
7.3.3 Tải trọng do sóng
7.3.3.1 Khái quát
Nếu không có tính toán trực tiếp các tải trọng do sóng gây ra, các công thức ước tính nêu dưới đây có thể được sử dụng để tính toán các tải trọng thiết kế.
Nếu tính toán trực tiếp các tải trọng do sóng gây ra được thực hiện, các đường cong bao tải trọng tổ hợp của các mô men uốn trên nước tĩnh và do sóng và lực cắt, bao hàm toàn bộ các điều kiện tải trọng dự kiến phải được xem xét.
7.3.3.2 Lực cắt và mô men uốn dọc do sóng
7.3.3.2.1 Mô men uốn đứng so sóng tại giữa thân
Mô men uốn do sóng, tính bằng kN-m (tf-m, Ltf-ft), có thể được tính theo các công thức sau:
|
| mô men võng xuống |
|
| mô men võng lên |
Với:
| k1 | = | 110 (11,22; 1,026) |
|
| k2 | = | 190 (19,37; 1,772) |
|
| βVBM | = | ESF đối với mô men uốn đứng, như xác định tại Phụ lục C. | |
| C1 | = |
| 90 ≤ L < 300 m |
|
| = | 10,75 | 300 < L ≤ 350 m |
|
| = |
| 350 ≤ L ≤ 500 m |
|
| = |
| 295 ≤ L ≤ 984 ft |
|
| = | 10,75 | 984 <L< 1148 ft |
|
| = |
| 1148 ≤ L ≤ 1640 ft |
| L | = | Chiều dài kho chứa nổi, được xác định theo 1.2.20 củaTCVN 6259-1A, m (ft) | |
| B | = | Chiều rộng của kho chứa nổi, được xác định theo 1.2.22 của TCVN 6259-1A, m (ft) | |
| Cb | = | Hệ số béo thể tích | |
7.3.3.2.2 Đường cong bao của mô men uốn do sóng
Mô men uốn do sóng dọc theo chiều dài, L, của kho chứa nổi có thể được tính bằng cách nhân giá trị tại giữa tàu với hệ số phân bố, M, nêu tại Hình 9.
7.3.3.2.3 Lực cắt đứng do sóng
Các đường bao của lực cắt cực đại do sóng, FW, tính bằng kN (tf, Ltf), có thể được tính theo các công thức sau:
|
| đối với lực cắt dương |
|
| đối với lực cắt âm |
Với:
| Fwp, Fwn | = Lực cắt cực đại gây ra do sóng, kN (tf, Ltf) |
| C1 | = Như xác định tại 7.3.3.2.1 |
| βVBM | = ESF đối với lực cắt đứng, như xác định tại Phụ lục C. |
| L | = Chiều dài kho chứa nổi, được xác định theo 1.2.20 của TCVN 6259-1A, m (ft) |
| B | = Chiều rộng của kho chứa nổi, được xác định theo 1.2.22 của TCVN 6259-1A, m (ft) |
| Cb | = Hệ số béo thể tích, như xác định theo 1.2.32 của TCVN 6259-1A. |
| k | = 30 (3,059; 0,2797) |
| F1 | = Hệ số phân bố, như thể hiện tại Hình 11. |
| F2 | = Hệ số phân bố, như thể hiện tại Hình 12. |
7.3.3.3 Lực cắt và mô men uốn ngang do sóng
7.3.3.3.1 Mô men uốn ngang do sóng
Mô men uống ngang do sóng, dương (mạn trái chịu kéo) và âm (mạn phải chịu kéo), có thể được tính theo công thức sau:
|
| kN-m (tf-m, Ltf-ft) |
Với:
| mh | = Hệ số phân bố tính theo Hình 10 |
| βHBM | = ESF đối với mô men uốn ngang, như xác định tại Phụ lục C. |
| K3 | = 180 (18,34; 1,68) |
| D | = Chiều cao mạn của thân kho chứa nổi, m (ft), được xác định theo 1.2.24 của TCVN 6259-1A |
C1, L và Cbđược cho tại 13.2.1 của TCVN 6259-2A.
7.3.3.3.2 Lực cắt ngang do sóng
Đường bao của lực cắt ngang do sóng, FH, tính bằng kN (tf, Ltf), dương (hướng về phía mạn trái) hoặc âm (hướng về mạn phải), có thể được tính theo công thức sau:
|
| kN (tf, Ltf) |
Với:
| fh | = Hệ số phân bố tính theo Hình 13 |
| βHSP | = ESF đối với lực cắt ngang, như xác định tại Phụ lục C. |
| k | = 36 (3,67; 0,34) |
C1,L,D và Cb được cho tại 7.3.3.3.1 ở trên.

Hình 9 - Hệ số phân bố M

Hình 10 - Hệ số phân bố mh

Hình 11 - Hệ số phân bố F1


Hình 12 - Hệ số phân bố F2

Hình 13 - Hệsố phân bố fh
7.3.3.4 Áp lực bên ngoài
7.3.3.4.1 Phân bố áp lực
Áp lực bên ngoài, pe, (chiều dương về phía trong mạn), tác dụng lên thân kho chứa nổi khi trên biển có thể được tính theo công thức sau tại vị trí cụ thể:
|
| N/cm2 (kgf/cm2, lbf/in2) |
Với:
| ρg | = Trọng lượng riêng của nước biển |
|
| = 1,005 N/cm2-m (0,1025 kgf/cm2-m; 0,4444 lbf/in2-ft) |
| hs | = Cột áp thủy tĩnh trong nước tĩnh, m (ft) |
| βEPS/EPP | = ESF đối với áp lực bên ngoài mạn phải/mạn trái, như xác định tại Phụ lục C. |
| ku | = Hệ số tải, và có thể được lấy bằng 1 trừ khi được quy định khác |
| hde | = Cột áp thủy động gây ra bởi sóng và có thể được tính toán như sau: |
|
| = kchdi m (ft) |
| kc | = Hệ số tương quan đối với một trường hợp tải trọng tổ hợp cụ thể, như nêu tại 7.3.4.2.1 và 7.3.5. |
| hdi | = Cột áp thủy động tại vị trí i (i = 1, 2,3,4 hoặc 5; xem Hình 14) |
|
| = kℓαihdo m (ft) |
| kℓ | = Hệ số phân bố dọc theo chiều dài kho chứa nổi |
|
| = 1+ (kℓo - 1) cos µ kℓo được cho tại Hình 15. |
|
| = 1,0 Tại giữa thân |
|
| = Hệ số phân bố xung quanh vành đai tiết diện ngang thân tại vị trí i |
|
| = 1,00 - 0,25 cos µ Đối với i = 1, tại đường nước, mạn phải |
|
| = 0,40 -0,10 cosµ Đối với i = 2, tại hông, mạn phải |
|
| = 0,30 - 0,20 sinµ Đối với i = 3, đường tâm đáy |
|
| = 2α3 - α2 Đối với i = 4, tại hông, mạn trái |
|
| = 0,75 - 1,25 sinµ Đối với i = 5, tại đường nước, mạn trái |
|
| α1 tại các vị trí trung gian của i có thể được tính bằng nội suy tuyến tính. |
| µ | = Góc hướng sóng, được lấy từ 0° đến 90° (0° đối với sóng ngược và 90° đối với sóng ngang tới từ mạn phải) |
| hdo | = 1,36 kC1 m (ft) |
| k | = 1(1:3,281) |
| C1 | = Như xác định tại 7.3.3.3.1 |
Sự phân bố của áp lực tổng bên ngoài bao gồm áp lực tĩnh và thủy động được minh họa tại Hình 16.
7.3.3.4.2 Áp lực cực hạn
Để xác định các kích thước yêu cầu của các cơ cấu cục bộ, áp lực bên ngoài cực hạn, pe, được sử dụng, xác định theo 7.3.3.4.1 với ku, như nêu tại 7.3.4 và 7.3.5.
7.3.3.4.3 Các áp lực đồng thời
a) Khi thực hiện phân tích kết cấu 3D, áp lực đồng thời dọc theo bất kỳ phần nào của dầm tương đương có thể tính bởi:
|
| N/cm2 (kgf/cm2, lbf/in2) |
Với:
| βESP/EPP | = ESF đối với áp lực bên ngoài mạn phải/mạn trái, như xác định tại Phụ lục C. |
| kf | = Hệ số biểu thị mối liên hệ pha giữa điểm tham chiếu và các điểm cận kề được xét dọc theo chiều dày kho chứa nổi, và có thể được xác định như sau: |
|
| = |
| kfo | = ±1,0 như quy định tại Bảng 4, Bảng 5, Bảng 6, Bảng 7. |
| x | = Khoảng cách từ A.P tới điểm được xét, m (ft) |
| x0 | = Khoảng cách từ A.P tới điểm tham chiếu[1], m (ft) |
| L | = Chiều dài của kho chứa nổi, m (ft), như được xác định tại 1.2.20 của TCVN 6259- 1A |
| µ | = Góc tới của hướng sóng, được lấy trong khoảng 0° tới 90° |
pg,hs,ku và hde được xác định tại 7.3.3.4.1.
b) Sự phân bố áp lực đồng thời xung quanh vành đai ngang thân được xác định dựa trên các góc tới của hướng quy định tại 7.3.4 và 7.3.5.
7.3.3.5 Các áp lực bên trong - Các lực quán tính và các cột áp bổ sung
7.3.3.5.1 Gia tốc và chuyển động của kho chứa nổi
Để xác định các lực quán tính và các cột áp bổ sung đối với két dằn hoặc két hàng đầy hoàn toàn, các chuyển động chủ yếu của kho chứa nổi, lắc ngang và dọc, và các gia tốc hệ quả gây ra bởi sóng được yêu cầu. Khi không có tính toán trực tiếp thì các công thức dưới đây có thể được sử dụng.
a) Lắc dọc. Biên độ lắc dọc (chiều dương khi mũi dâng):
|
| độ, nhưng không cần lấy lớn hơn 10°. |
Chu kỳ tự nhiên lắc dọc:
|
| giây |
Với:
| βPMO | = ESF đối với chuyển động lắc dọc, như xác định tại Phụ lục C. |
| k1 | = 1030 (3380) Đối với L tính bằng m (ft) |
| k2 | = 3,5 (1,9323) Đối với di tính bằng m (ft) |
| di | = Chiều chìm tại giữa tàu đối với điều kiện tải trọng liên quan. |
L và Cb được xác định tại 7.3.3.3.1.
b) Lắc ngang. Biên độ lắc ngang (chiều dương là mạn phải xuống):
|
| nếu Tr > 20 giây |
|
| nếu 12,5 ≤ Tr ≤ 20 giây |
|
| nếu Tr ≤ 12,5 giây |
θtính bằng độ, nhưng không cần lấy lớn hơn 30°.
| kθ | = 0,005 (0,05:0,051) |
| CR | = 1,05 |
| βRMO | = ESF đối với chuyển động lắc ngang, như xác định tại Phụ lục C. |
| Cdi | = 1,06(di/df)-0,06 |
| di | = Chiều chìm tại giữa tàu đố với các điều kiện tải trọng liên quan, m (ft) |
| df | = Chiều chìm, m (ft), theo 1.2.30 của TCVN 6259-1A. |
| Δ | = kdLBdfCb kN(tf;Ltf) |
| kd | = 10,05 (1,025; 0,0286) |
| Cb | = Hệ số béo thể tích, theo 1.2.32 của TCVN 6259-1A, nhưng không được lấy nhỏ hơn 0,6. |
L và B là chiều dài và chiều rộng của kho chứa nổi, như được xác định tại 1.2 của TCVN 6259- 1A.
Chu kỳ chuyển động lắc ngang tự nhiên:
Tr = k4kr/GM0,5giây
Với:
| k4 | = 2(1,104) |
| kr | = Bán kính quay, m (ft), và có thể được lấy bằng 0,35B đối với các điều kiện đầy tải và 0,45B đối với các điều kiện dằn |
| GM | = Cao độ tâm nghiêng, m(ft), được lấy bằng: |
|
| = GM (full) Đối với chiều chìm toàn bộ |
|
| = 1,5 GM (full) Đối với 3/4df |
|
| = 2,0 GM (full) Đối với 2/3df |
| GM (full) | = Cao độ tâm nghiêng đối với điều kiện đầy tải. Nếu GM (full) không có sẵn, GM (full) có thể được lấy bằng 0,12B cho mục đích ước lượng. |
c) Gia tốc. Các gia tốc đứng, dọc và ngang, av, aℓ và at, của chất lỏng trong két (hàng hoặc dằn) có thể được tính theo các công thức sau:
|
| m/sec2 (ft/sec2) | chiều dương hướng xuống |
|
| m/sec2 (ft/sec2) | chiều dương hướng về phía trước |
|
| m/sec2 (ft/sec2) | chiều dương hướng về phía trước |
Với:
| ao |
| Đối với L tính bằng m |
|
|
| Đối với L tính bằng ft |
| ko | = 1,38 - 0,47Cb |
|
| Cv | = cosµ+ (l+ 2,4 z/B) (sin µ)/kv |
|
| µ | = Góc tới của sóng tính bằng độ, 0°đối với sóng ngược hướng tàu, và 90° đối với sóng ngang tới từ mạn phải. | |
| βVAC | = ESF đối với gia tốc đứng, như xác định tại Phụ lục C. | |
| βLAC | = ESF đối với gia tốc dọc, như xác định tại Phụ lục C. | |
| βTAC | = ESF đối với gia tốc ngang ngang, như xác định tại Phụ lục C. | |
| kv |
| Đối với L tính bằng m |
|
|
| Đối với L tính bằng ft |
| Cℓ |
| Đối với L tính bằng m |
|
|
| Đối với L tính bằng ft |
| kℓ |
| |
| Ct |
| |
| kt |
| |
| x | = Khoảng cách theo phương dọc tính từ A.P tới điểm được xét, m (ft) | |
| y | = Khoảng cách theo phương đứng tính từ đường nước tới điểm được xét, m (ft), chiều dương hướng lên | |
| z | = Khoảng cách theo phương ngang tính từ đường tâm tới điểm được xét, m (ft), chiều dương hướng về trước | |
| g | = Gia tốc trọng trường = 9,8 m/sec2 (32,2 ft/sec2) | |
L và B là chiều dài và chiều rộng của kho chứa nổi, như được xác định tại 1.2 của TCVN 6259- 1A, m (ft).
7.3.3.5.2 Áp lực bên trong
a) Sự phân bố của các áp lực bên trong.
Áp lực bên trong, pi (chiều dương hướng về biên két) đối với một két đầy hoàn toàn có thể được tính theo công thức sau:
|
| N/cm2 (kgf/cm2, lbf/in2) |
Với:
| po |
| Trong két hàng, N/cm2 (kgf/cm2, lbf/in2) |
|
| = 0 | Trong két dằn |
| pvp | = Áp suất thiết lập trên van an toàn chân không hoặc quá áp ≤ 6,90 N/cm2(0,71 kgf/cm2, 10,00 lbf/in2) đối với các két trọng lực liền thân | |
| pn | = 2,50 N/cm2 (0,255 kgf/cm2,3,626 lbf/in2) | |
| ρg | = Trọng lượng riêng của chất lỏng, không nhỏ hơn 0,49 N/cm2-m (0,05 kgf/cm2-m; 0,2168 lbf/in2-ft) đối với các hàng lỏng và không nhỏ hơn 1,005 N/cm2-m (0,1025 kgf/cm2-m; 0,4444 lbf/in2-ft) đối với nước dằn. | |
| η | = Tọa độ cục bộ theo phương đứng đối với các biên két đo từ đỉnh của két, như thể hiện tại Hình 17 và Hình 18, m (ft). | |
| Δη | = 0 đối với két hàng và két dằn có đỉnh két kéo dài tới boong trên cùng hoặc boong miệng khoang | |
|
| = Một khoảng cách tương đương với 2/3 của khoảng cách từ đỉnh két tới đỉnh của miệng tràn (chiều cao hở tối thiểu bằng 760 mm cao hơn boong mạn khô hoặc 450 mm cao hơn boong thượng tầng) đối với két thấp hơn có đỉnh két không kéo dài tới boong trên cùng. | |
| ku | = Hệ số tải trọng và có thể được lấy bằng 1 trừ khi quy định khác. | |
| hd | = Cột áp bên trong gây ra do sóng, bao gồm lực quan tính và cột áp bổ sung. | |
|
|
| |
| kc | = Hệ số tương quan và có thể được lấy bằng 1 trừ khi được quy định khác | |
| ai | = Gia tốc hệ quả hiệu dụng tại điểm được xét, và có thể được ước lượng bởi: 0,71Cdp[wvav + wℓ(ℓ/h)aℓ+ wt(b/h)at] m/sec2 (ft/sec2) | |
Cdp được quy định tại 7.3.3.5.2d).
av, aℓ và at được cho tại 7.3.3.5.1c).
wv, wℓ và wt là các trọng số thể hiện hướng, được nêu tại Bảng 4, Bảng 5, Bảng 6, Bảng 7 và Bảng 9.
| Δhi | = Cột áp bổ sung do các chuyển động lắc dọc và ngang tại điểm được xét, tính bằng m (ft), có thể được tính như sau: |
Nhìn chung, cột áp bổ sung có thể được tính trên cơ sở khoảng cách đứng từ điểm tham chiếu của két tới điểm được xét. Điểm tham chiếu (1) là điểm cao nhất của biên két sau khi nghiêng ngang và dọc, hoặc (2) là trung bình chiều cao của các điểm, sau khi nghiêng ngang và dọc, mà các điểm đó cao hơn đỉnh của két một khoảng Δη tại miệng tràn, lấy giá trị lớn hơn.
Đối với các két hình lăng trụ bên mạn phải, có đỉnh két kéo dài tới boong trên cùng hoặc boong miệng khoang, cột áp bổ sung có thể được tính như sau:
i) Đối với mũi chúi và nghiêng về mạn phải (Φe < 0,θe > 0)

ii) Đối với mũi dâng và nghiêng về mạn trái (Φe > 0,θe< 0)

ξ, ζ, ηlà các tọa độ cục bộ, tính bằng m (ft), cho điểm được xét so với điểm gốc trong Hình 18.
Cru được quy định tại 7.3.3.5.2d).
δb và δh là các bình sai tọa độ, tính bằng m (ft), cho điểm được xét so với điểm gốc thể hiện tại Hình 18.
Với:
| θe | = 0,71 Cθθ |
| Φe | = 0,71 CΦΦ |
| ℓ | = Chiều dài của két, m (ft) |
| h | = Chiều sâu của két, m (ft) |
| b | = Chiều rộng của két được xét, m (ft) |
Φ và θlà các biên độ lắc dọc và ngang, như nêu tại 7.3.3.5.1a) và 7.3.3.5.1b).
CΦ và Cθ là các trọng số, thể hiện các hướng như nêu tại Bảng 4, Bảng 5, Bảng 6, Bảng 7 và Bảng 9.
Đối với các két hình lăng trụ thấp hơn bên mạn phải, có đỉnh két không kéo dài tới boong trên cùng hoặc boong miệng khoang, cột áp bổ sung có thể được tính như sau với giả định điểm tham chiếu trên cơ sở chiều cao trung bình của miệng tràn:
i) Đối với mũi chúi và nghiêng về mạn phải (Φe < 0, θe > 0)

ii) Đối với mũi dâng và nghiêng về mạn trái (Φe > 0, θe< 0)

ba là khoảng cách ngang của miệng tràn từ trục ξ. Tất cả các thông số khác như được xác định ở trên.
b) Áp lực bên trong cực hạn
Để đánh giá các kết cấu cục bộ tại biên két, áp lực bên trong cực hạn với ku như quy định tại 7.3.4 phải được xem xét.
c) Các áp lực bên trong đồng thời
Khi thực hiện phân tích kết cấu 3D ngoại trừ đối với L.C.9,10 và 11, các áp lực bên trong có thể được tính toán phù hợp với 7.3.3.5.2a) và 7.3.3.5.2b) ở trên đối với các két ở phần thân giữa. Đối với các két ở phần thân phía mũi và đuôi, các áp lực phải được xác định theo các phân bố tuyến tính của các gia tốc và chuyển độn dọc theo chiều dài của kho chứa nổi.
d) Định nghĩa hình dạng két và các hệ số liên quan
1) Két hình chữ nhật
Két sau đây được coi là két hình chữ nhật:
b/b1≤ 3,0 hoặc h/h1≤ 3,0
Với:
| b | = Chiều rộng cực biên của két được xét |
| b1 | = Chiều rộng nhỏ nhất của phần két cạnh của két được xét |
| h | = Chiều cao cực biên của két được xét |
| h1 | = Chiều cao nhỏ nhất của phần trong đáy đôi của két được xét, như thể hiện tại Hình 17. |
Các hệ số Cdp và Cru của két lấy như sau:
Cdp= 1.0
Cru = 1.0
2) Két hình chữ J
Một két có các cấu hình sau đây được coi là két hình chữ J.
b/ b1 ≤ 5,0 hoặc h/h1 ≥ 5,0
Các hệ số Cdp và Cru lấy như sau:
Cdp = 0,7
Cru = 1.0
3) Trong trường hợp tỷ số tối thiểu b/b1 hoặc h/h1 của két, giá trị nào nhỏ hơn, lớn hơn 3,0 nhưng nhỏ hơn 5,0 thì hệ số Cdp của két phải được xác định bằng phép nội suy sau đây:
Một két chuyển tiếp giữa két hình chữ nhật và hình chữ J:
Cdp = 1,0 - 0,15 (giá trị nhỏ hơn của b/b1 hoặc h/h1 - 3,0)
Cru= 1,0
7.3.3.6 Áp lực bên trong - IGC Code
7.3.3.6.1 Khái quát
Các két hàng có các cơ cấu đỡ và các cơ cấu khác phải được thiết kế có xem xét tới các tải trọng áp lực bên trong theo IGC Code. Các công thức tính áp lực bên trong và gia tốc của IGC Code được hiệu chỉnh để tính cho môi trường sóng riêng tại vị trí hoạt động và cũng để phù hợp với hai két hàng bố trí song song dọc theo đường tâm của thân kho chứa nổi. Việc xác định các gia tốc và các áp lực được nêu trong các mục dưới đây.
7.3.3.6.2 Gia tốc
Các gia tốc xảy ra trên các két được ước tính tại trọng tâm của chúng, ax, ay, az tương ứng là các gia tốc không thứ nguyên cực đại (tức là tương quan với gia tốc trọng trường) theo phương dọc, ngang và đứng, và cũng được coi là tác động riêng biệt đối với mục đích tính toán. az không bao gồm thành phần do trọng lượng tĩnh, ay bao gồm cả thành phần do trọng lượng tĩnh theo phương ngang do lắc ngang và ax bao gồm cả thành phần do trọng lượng tĩnh theo phương dọc do lắc dọc. Các công thức sau đây được xem là hướng dẫn cho các thành phần của gia tốc do các chuyển động của kho chứa nổi chứa khí hóa lỏng ngoài khơi tương ứng với một mức xác suất tại môi trường sóng tại vị trí hoạt động, và áp dụng đối với kho chứa nổi có chiều dài trên 50 m (164 ft). Các công thức này dựa trên các gia tốc được xác định tại 4.12 củaTCVN 6259-8D và được sửa đối với các hệ số ESF β thích hợp.
a) Gia tốc đứng
|
| đối với L tính bằng m |
|
| đối với L tính bằng ft |
b) Gia tốc ngang

c) Gia tốc dọc
![]()
Với:
|
| đối với L tính bằng m |
|
| đối với L tính bằng ft |
Với:
| L | = Chiều dài của kho chứa nổi, m (ft) |
| CB | = Hệ số béo |
| B | = Chiều rộng lớn nhất của kho chứa nổi, m (ft) |
| βVAC | = ESF đối với gia tốc đứng, như xác định tại Phụ lục C |
| βTAC | = ESF đối với gia tốc ngang, như xác định tại Phụ lục C |
| βLAC | = ESF đối với gia tốc dọc, như xác định tại Phụ lục C |
| x | = Khoảng cách theo phương dọc từ giữa tàu tới trọng tâm của két cùng với chấtchứa, m (ft); x dương về phía mũi so với giữa thân, âm về phía đuôi so với giữa thân. |
| y | = Khoảng cách ngang từ đường tâm tới trọng tâm của két cùng với chất chứa, m (ft); y dương ở mạn trái, âm ở mạn phải |
| x | = Khoảng cách theo phương đứng từ đường nước thực tế tới trọng tâm của két cùng với chất chứa, m (ft); z dương ở trên đường nước và âm ở dưới đường nước |
| ao | = |
|
| = |
| K | = 1,0. Đối với các hình dạng thân và các điều kiện tải trọng đặc biệt, việc xác định K theo công thức dưới đây có thể là cần thiết. |
|
| = 13 GM/B, với K ≥ 1,0 và GM = chiều cao tâm nghiêng, m (ft) |
| ax, ay, az | = Các gia tốc không thứ nguyên cực đại (tức là tương quan với gia tốc trọng trường) theo hướng tương ứng, ngang và đứng, và được coi là tác động riêng biệt đối với mục đích tính toán, az không bao gồm thành phần do trọng lượng tĩnh, ay bao gồmcả thành phần do trọng lượng tĩnh theo phương ngang do lắc ngang và ax bao gồm cả thành phần do trọng lượng tĩnh theo phương dọc do lắc dọc. |
7.3.3.6.3 Áp lực bên trong đối với đánh giá kích thước ban đầu
7.3.3.6.3.1 Xác định các áp lực bên trong
a) Để xác định các lực quan tính và các cột áp bổ sung đối với két hàng đầy hoàn toàn, các thông số chuyền động chủ yếu gây ra bởi sóng phải được tính toán. Áp lực bên trong pgc do áp suất hơi thiết kế po và áp lực chất lỏng pgd, nhưng không bao gồm các ảnh hưởng của mặt thoáng chất lỏng, được xác định tại 4.3.2 của TCVN 6259-8D được tính toán như sau:
pgc = po + pgd kgf/cm2
b) Các áp lực chất lỏng bên trong là các áp lực tạo ra bởi gia tốc hệ quả của trọng tâm của hàng do chuyển động của kho chứa nổi. Giá trị của áp lực chất lỏng quán tính pgd do các hiệu ứng tổ hợp của trọng lực và các gia tốc động phải được tính như sau:
|
| kgf/cm2 |
Chú thích: Đối với đánh giá kích thước ban đầu, áp lực két hàng phải được xác định theo điều kiện đầy tải thương ứng với chiều chìm tính toán kích thước.
Với:
| ρ | = Trọng lượng riêng của dằn hoặc hàng, kgf/m2 -m |
| aβ | = Gia tốc không thứ nguyên (tức là tương quan với gia tốc trọng trường), do các tải trọng động và trọng lực, theo hướng bất kỳ β (Hình 19) |
| Zβ | = Chiều cao chất lỏng lớn nhất phía trên điểm xác định áp lực, tính bằng m, được đo từ vỏ két theo hướng β (Hình 20). |
c) Các vòm của két được coi là một phần của tổng thể tích két được chấp nhận phải được đưa vào xem xét khi xác định Zβ trừ khi tổng thể tích của các vòm két Vdom không vượt quá giá trị sau:
![]()
với:
| Vtank | = Thể tích két không tính vòm |
| FL | = Giới hạn điền đầy theo Chương 15 của TCVN 6259. |
d) Hướng có giá trị cực đại (pgd)max hoặc pgd phải được xem xét đối với các yêu cầu kích thước của tôn và các thanh nẹp của biên két hàng. Khi các thành phần gia tốc theo ba hướng cần được xem xét, một hình elip tròn xoay phải được sử dụng thay cho hình elip trong Hình 19. Công thức trên chỉ áp dụng đối với các két đầy.
7.3.3.6.3.2 Các áp lực bên trong đồng thời
Khi thực hiện phân tích kết cấu 3D như yêu cầu tại TSA, phân tích phải được thực hiện đối với các trường hợp tải trọng IGC: L.C. 3 IGC, L.C. 5 IGC, và L.C 7 IGC, xem Bảng 5. L.C 3 IGC đại diện cho điều kiện áp lực bên trong cực đại trên vách dọc mạn phải. Áp lực IGC phải được coi là áp lực đồng thời mà trong đó đối với mỗi trường hợp tải trọng, hướng tạo ra áp lực IGC cực đại lên đáy trong và vách dọc làn lượt được coi là áp lực đồng thời tác dụng lên két.
7.3.3.6.4 Các áp lực bên trong đồng thời đối với đánh giá độ bền
Khi thực hiện phân tích kết cấu 3D như yêu cầu trong TSA, phân tích phải được thực hiện đối với các trường hợp tải trọng IGC nêu tại Bảng 5 để đánh giá các cơ cấu đỡ chính trong kho chứa nổi két màng. Áp lực IGC phải được coi là áp lực đồng thời trong đó đối với mỗi trường hợp tải trọng có hướng tạo ra áp lực IGC cực đại lên đáy trong và sau đó lên vách dọc lần lượt được coi là áp lực đồng thời tác dụng lên két.
Đối với đánh giá độ mền phần tử hữu hạn, áp lực bên trong tác động lên các két tương ứng với giá trị tức thời khi một tham số tải trọng chủ yếu đạt giá trị cực đại của nó. Áp lực bên trong, pi, chiều dương về phía ngoài mẹn, đối với một két đầy hoàn toàn, có thể được tính theo công thức sau:
|
| N/cm2 (kgf/cm2, lbf/in2) |
Với:
| kcℓ | = Hệ số tổ hợp tải trọng đối với gia tốc dọc, theo Bảng 5. |
| kct | = Hệ số tổ hợp tải trọng đối với gia tốc ngang, theo Bảng 5. |
| kcv | = Hệ số tổ hợp tải trọng đối với gia tốc đứng, theo Bảng 5. |
| Điểm gốc | = Điểm áp lực cực đại của két từ tâm của két. Điểm gốc này cũng được tham chiếu là điểm có áp lực động bằng không. |
| xℓ | = Khoảng cách theo chiều dọc từ điểm tham chiếu của két tới điểm áp lực, m (ft), chiều dương về phía mũi đối với kết cấu két hàng phía mũi. |
| yℓ | = Khoảng cách theo chiều ngang từ điểm tham chiếu của két tới điểm áp lực, m (ft), chiều dương về phía mạn phải. |
| zℓ | = Khoảng cách theo phương đứng từ điểm tham chiếu của két tới điểm áp lực, m (ft), chiều dương hướng xuống dưới, được nêu tại 7.3.3.6.2 và p được quy định tại 7.3.3.6.3. |
ax, ay, az được nêu tại 7.3.3.6.2 và ρ được quy định tại 7.3.3.6.3

Hình 14 - Sự phân bố của hdi

Hình 15 - Hàm phân bố của kℓo

Hình 16 - Sự minh họa của việc xác định áp suất cực hạn tổng

Hình 17 - Các thông số hình dạng két

Hình 18 - Xác định hình học của két

Hình 19 - Hình elip gia tốc

Chú thích: Các vòm nhỏ của két không được coi là phần của thể tích tổng được chấp nhật củakét hàng không cần phải xét tới khi xác định Zβ. Xem 7.3.3.6.3 đối với định nghĩa thể tích vòm nhỏ của két không được xét trong thể tích tổng của két.
Hình 20 - Xác định cột áp bên trong

Hình 21 - Vị trí của két đối với tính toán áp lực danh nghĩa
Bảng 4 - Các trường hợp tải trọng tổ hợp* đối với đánh giá độ bền tổng thể
|
| L.C. 1 | L.C. 2 | L.C. 3 | L.C. 4 | L.C. 5 | L.C. 6 | L.C. 7 | L.C. 8 |
| A. Các tải trọng dầm tương đương thân (Xem 7.3.3)** | ||||||||
| Mô men uốn đứng | Võng (-) | Vồng (+) | Võng (-) | Vồng (+) | Võng (-) | Vồng (+) | Võng (-) | Vồng (+) |
| kc | 1,0 | 1,0 | 0,7 | 0,7 | 0,3 | 0,3 | 0,4 | 0,4 |
| Lực cắt đứng | (+) | (-) | (+) | (-) | (+) | (-) | (+) | (-) |
| kc | 0,5 | 0,5 | 1,0 | 1,0 | 0,3 | 0,3 | 0,4 | 0,4 |
| Horizontal B.M. |
|
|
|
| (-) | (+) | (-) | (+) |
| kc | 0,0 | 0,0 | 0,0 | 0,0 | 0,3 | 0,3 | 1,0 | 1,0 |
| Lực cắt ngang |
|
|
|
| (+) | (-) | (+) | (-) |
| kc | 0,0 | 0,0 | 0,0 | 0,0 | 0,3 | 0,3 | 0,5 | 0,5 |
| B. Áp lực bên ngoài (Xem 7.3.3.4) | ||||||||
| kc | 0,5 | 0,5 | 0,5 | 1,0 | 0,5 | 1,0 | 0,5 | 1,0 |
| kf0 | -1,0 | 1,0 | -1,0 | 1,0 | -1,0 | 1,0 | -1,0 | 1,0 |
| C. Áp lực bên trong két (Xem 7.3.3.5) | ||||||||
| kc | 0,4 | 0,4 | 1,0 | 0,5 | 1,0 | 0,5 | 1,0 | 0,5 |
| wv | 0,75 | -0,75 | 0,75 | -0,75 | 0,25 | -0,25 | 0,4 | -0,4 |
| wℓ | Váchtrước0,25 | Váchtrước-0,25 | Váchtrước0,25 | Váchtrước-0,25 | - | - | Váchtrước0,2 | Váchtrước-0,2 |
|
| Váchsau-0,25 | Váchsau0,25 | Váchsau-0,25 | Váchsau0,25 | - | - | Vách sau-0,2 | Váchsau0,2 |
| wt | - | - | - | - | Vách trái -0,75 | Vách trái 0,75 | Vách trái -0,4 | Vách trái 0,4 |
|
| - | - | - | - | Váchphải 0,75 | Vách phải -0,75 | Váchphải 0,4 | Vách phải -0,4 |
| CΦ, Lắc dọc | -0,35 | 0,35 | -0,70 | 0,70 | 0,0 | 0,0 | -0,30 | 0,30 |
| Cθ, Lắc ngang | 0,0 | 0,0 | 0,0 | 0,0 | 1,0 | -1,0 | 0,30 | -0,30 |
| D. Chuyển động của kho chứa nổi và hướng sóng tham chiếu | ||||||||
| Góc tới | 0 | 0 | 0 | 0 | 90 | 90 | 60 | 60 |
| Lắc thẳng đứng | Xuống | Lên | Xuống | Lên | Xuống | Lên | Xuống | Lên |
| Lắc dọc | Mũi chúi | Mũi dâng | Mũi chúi | Mũi dâng | - | - | Mũi chúi | Mũi dâng |
| Lắc ngang- | - | - | - | - | Nghiêngsang phải | Nghiêngsang trái | Nghiêngsang phải | Nghiêngsang trái |
| Chú thích: * ku = 1,0 đối với tất cả các thành phần tải trọng. ** Các lực biên phải được áp dụng để tạo ra mô men uốn dầm tương đương quy định ở trên tại giữa của mô hình kết cấu và lực cắt dầm tương đương tại một đầu của khoang giữa của mô hình. Quy ước về dấu đối với lực cắt tương ứng với đầu mút trước của khoang giữa. | ||||||||
Bảng 5-Các trường hợp tải trọng IGC bổ sung đối với đánh giá kích thước ban đầu của các thành phần tử đỡ chính trong các FLGT két màng bởi FEA
|
| L.C. 3 IGC | L.C. 5 IGC | L.C. 7 IGC |
| A Tải trọng dầm tương đương (Xem 7.3.3)** | |||
| Mô men uốn đứng | Võng (-) | Võng (-) | Võng (-) |
| kc | 0,7 | 0,3 | 0,4 |
| Lực cắt đứng | (+) | (+) | (+) |
| kc | 1,0 | 0,3 | 0,4 |
| Mô men uốn nằm ngang |
| (-) | (-) |
| kc | 0,0 | 0,3 | 1,0 |
| Lực cắt nằm ngang |
| (+) | (+) |
| kc | 0,0 | 0,3 | 0,5 |
| B. Áp lưc bên ngoài (Xem 7.3.3.4) | |||
| kc | 0,5 | 0,5 | 0,5 |
| kf0 | -1,0 | -1,0 | -1,0 |
| C. Áp lực bên trong két đối với két hàng (Xem 7.3.3.6) | |||
| Thành phần đứng của gia tốc (kcv) | 1,0 | 0,0 | 0,0 |
| Thành phần dọc của gia tốc (kcℓ) | 0,0 | 0,0 | 0,5 |
| Thành phần ngang của gia tốc (kct) | 0,0 | 1,0 | 0,867 |
| D. Áp lực bên trong két đối với két dằn (Xem 7.3.3.5) | |||
| kc | 1,0 | 1,0 | 1,0 |
| wv | 1,0 | 0,0 | 0,0 |
| wℓ | — | — | Váchtrước 0,5 |
| — | — | Vách sau -0,5 | |
| wt | — | Vách trái -1,0 | Vách phải -0,867 |
| — | Vách phải 1,0 | Vách phải 0,867 | |
| CΦ, Lắc dọc | -1,0 | 0,0 | -0,7 |
| Cθ, Lắc ngang | 0,0 | 1,0 | 0,7 |
| E. Chuyển động của kho chứa nổi và hướng sóng tham chiếu | |||
| Góc tới | 0 | 90 | 60 |
| Lắc đứng | Xuống | Xuống | Xuống |
| Lắc dọc | Mũi chúi | — | Mũi chúi |
| Lắc ngang | — | Nghiêng sang phải | Nghiêng sang phải |
| Chú thích: * ku = 1,0 đối với tất cả các thành phần tải trọng. ** Các lực biên phải được áp dụng để tạo ra mô men uốn dầm tương đương quy định ở trên tại giữa của mô hình kết cấu và lực cắt dầm tương đương tại một đầu của khoang giữa của mô hình. Quy ước về dấu đối với lực cắt tương ứng với đầu mút trước của khoang giữa. L.C. 3 IGC, L.C. 5 IGC và L.C. 7 IGC tuân theo các mẫu tải trọng tương ứng trong Hình 6 và - Hình 7. L.C. 3 IGC: áp lực bên trong cực đại lên đáy trong L.C. 5 IGC: áp lực bên trong cực đại lên vách phải L.C. 7 IGC: áp lực bên trong cực đại lên vách phải | |||
Bảng 6 - Các trường hợp tải trọng thiết kế đặc biệt đối với các két hàng độc lập
(Tải một bên két và các trường hợp tải trọng tai nạn)
|
| SLC1 | SLC2 | SLC3 | SLC4 | SLC5 |
| Thông số tải chủ yếu | Điều kiện tải một bên két | Điều kiện ngập (vách ngăn khoang cách ly) | Điều kiện ngập (các nêm chống nổi) | Điều kiện va chạm | Góc nghiêng tĩnh |
| Chiều chìm () | 1/2 dr | dflood hoặc 0,8Df | df | N/A | df |
| Hệ số ma sát | N/A | N/A | 0,10 | 0,10 | 0,10 |
| Tải trọng quán tính theo phương dọc | N/A | N/A | N/A | -0,25g | N/A |
| Tải trọng quán tính theo phương đứng | 1,00g | N/A | 1,00g | 1,00g | gcos(góc) |
| Tải trọng quán tính ngang | N/A | N/A | N/A | N/A | g sin (góc) |
| Mô men uốn đứng trên nước tĩnh | N/A | N/A | N/A | N/A | N/A |
| Chú thích: 1 Hệ số ma sát trong Bảng 6 đối với SLC3 và SLC5 là giá trị đại diện cho mô hình phần tử hữu hạn toàn bộ. Đối với các mô hình phần tử hữu hạn lưới mịn đại diện cho các nêm hoặc các cơ cấu đỡ riêng, hệ số ma sát được lấy bằng 0,3. Thay vào đó, hệ số ma sát có thể được xác định từ đo đạc. Phải có chi tiết của các vật liệu lót hỗ trợ, quy trình đo và dữ liệu đo. 2 Đối với SLC1, cần xem xét tới sự tăng áp suất hơi trong điều kiện xuất nhập hàng (port condition). Trường hợp tải trọng này có thể được bỏ qua nếu như hệ thống ống được thiết kế để đảm bảo rằng hàng ở cả hai bên của vách dọc tâm có thể được chất hoặc xả tại cùng một lưu lượng. 3 df là chiều chìm tính toán, m. dflood là đường nước thăng bằng chìm sâu nhất trong các điều kiện tai nạn Df là chiều cao mạn khô giả tưởng, m. 4 Đối với SLC5 góc nghiêng tĩnh được xác định là góc nghiêng cực đại trong các điều kiện tai nạn, nhưng không lớn hơn 30°. Nếu góc nghiêng tĩnh trong các điều kiện tai nạn không có sẵn trong khi thiết kế sơ bộ, có thể sử dụng góc ngập của đường biên tại chiều chìm toàn tải, nhưng không vượt quá 30°. | |||||
Bảng 7 - Các trường hợp tải trọng tổ hợp đối với điều kiện sửa chữa*
|
| R.L.C. 1 | R.L.C. 2 | R.L.C. 3 | R.L.C. 4 | R.L.C. 5 | R.L.C. 6 | R.L.C. 7 | R.L.C. 8 | R.L.C. 9 | R.L.C. 10 |
| A. Các tải trọng dầm tương đương (Xem 7.3.3)** | ||||||||||
| Mô men uốn đứng | Võng(-) | Vồng (+) | Võng(-) | Vồng (+) | Võng(-) | Vồng (+) | Võng(-) | Vồng (+) | Võng(-) | Vồng (+) |
| kc | 1,00 | 1,00 | 0,50 | 0,50 | 0,25 | 0,25 | 0,80 | 0,80 | 0,60 | 0,60 |
| Lực cắt đứng | (+) | (-) | (+) | (-) | (+) | (-) | (+) | (-) | (+) | (-) |
| kc | 0,55 | 0,55 | 1,00 | 1,00 | 0,15 | 0,15 | 0,40 | 0,40 | 0,20 | 0,20 |
| Mô men uốn nằm ngang |
|
|
|
| (-) | (+) | (-) | (+) | (-) | (+) |
| kc | 0,00 | 0,00 | 0,00 | 0,00 | 0,10 | 0,10 | 1,00 | 1,00 | 1,00 | 1,00 |
| Lực cắt nằm ngang |
|
|
|
| (+) | (-) | (+) | (-) | (+) | (-) |
| kc | 0,00 | 0,00 | 0,00 | 0,00 | 0,15 | 0,15 | 0,80 | 0,80 | 0,80 | 0,80 |
| B. Áp lực bên ngoài (Xem 7.3.3.4) | ||||||||||
| kc | 0,85 | 0,85 | 0,80 | 0,80 | 0,90 | 0,90 | 0,90 | 0,90 | 0,55 | 0,55 |
| kfo | -1,00 | 1,00 | -1,00 | 1,00 | -1,00 | 1,00 | -1,00 | 1,00 | -1,00 | 1,00 |
| C. Áp lực bên trong két (Xem 7.3.3.5) | ||||||||||
| kc | 0,55 | 0,55 | 0,40 | 0,40 | 0,70 | 0,70 | 0,20 | 0,20 | 0,40 | 0,40 |
| wv | 0,60 | -0,60 | 0,35 | -0,35 | 0,55 | -0,55 | 0,15 | -0,15 | 0,25 | -0,25 |
| wℓ | Vách trước 0,20 | Vách trước -0,20 | Vách trước 0,65 | Vách trước -0,65 | — | — | Vách trước 0,45 | Vách trước -0,45 | Vách trước 0,75 | Vách trước -0,75 |
| Vách sau -0,20 | Vách sau 0,20 | Vách sau -0,65 | Vách sau 0,65 | — | — | Vách sau -0,45 | Vách sau 0,45 | Vách sau -0,75 | Vách sau 0,75 | |
| wt | — | — | — | — | Vách trái -0,95 | Vách trái 0,95 | Vách trái -0,05 | Vách trái 0,05 | Vách trái -0,10 | Vách trái 0,10 |
| — | — | — | — | Vách phải 0,95 | Vách phải -0,95 | Vách phải 0,05 | Vách phải -0,05 | Vách phải 0,10 | Vách phải -0,10 | |
| CΦ, Lắc dọc | -0,20 | 0,20 | -0,45 | 0,45 | -0,05 | 0,05 | -010 | 010 | -0,35 | 0,35 |
| Cθ, Lắc ngang | 0,00 | 0,00 | 0,00 | 0,00 | 1,00 | -1,00 | 0,05 | -0,05 | 0,05 | -0,05 |
| D. Chuyển động của kho chứa nổi và hướng sóng tham chiếu | ||||||||||
| Góc tới | 0 | 0 | 0 | 0 | 90 | 90 | 60 | 60 | 30 | 30 |
| Lắc đứng | Xuống | Lên | Xuống | Lên | Xuống | Lên | Xuống | Lên | Xuống | Lên |
| Lắc dọc | Mũi chúi | Mũidâng | Mũi chúi | Mũidâng | Mũi chúi | Mũidâng | Mũi chúi | Mũidâng | Mũi chúi | Mũidâng |
| Lắc ngang | — | — | — | — | Nghiêng sang phải | Nghiêng sang trái | Nghiêng sang phải | Nghiêng sang trái | Nghiêng sang phải | Nghiêng sang trái |
| Chú thích: * ku = 1,0 đối với tất cả các thành phần tải trọng. ** Các lực biên phải được áp dụng để tạo ra mô men uốn dầm tương đương quy định ở trên tại giữa của mô hình kết cấu và lực cắt dầm tương đương tại một đầu của khoang giữa của mô hình. Quy ước về dấu đối với lực cắt tương ứng với đầu mút trước của khoang giữa. | ||||||||||
Bảng 8 - Các trường hợp tải trọng đối với ảnh hưởng mặt thoáng
|
| Tải trọng dầm tương đương* | Áp lực bên ngoài | Áp lực vỗ mặt thoáng** | Chuyển động và hướng sóng tham chiếu | |||||||||
| V.B.M. [H.B.M. | V.S.F. H.S.F. | ku’ ku’ | kc’ kc] | ku | kc | kfo | ku | kc | Góc tới | Lắc đứng | Lắc dọc | Lắc ngang | |
| LCS-1 | (-) [(-) | (+) (+) | 1,0 1,0 | 0,4 0,7] | 1,0 | 0,5 | -1,0 | 1,0 | 1,0 | 60° | Xuống | Mũi chúi | Nghiêng sang phải |
| LCS-2 | (+) [(+) | (-) (-) | 1,0 1,0 | 0,4 0,7] | 1,0 | 1,0 | 1,0 | 1,0 | 1,0 | 60° | Lên | Mũi dâng | Nghiêng sang trái |
| Chú thích: * Đối với xác định mô men uốn đứng tổng đối với hai trường hợp tải trọng ở trên, có thể sử dụng 70% của mô men uốn trên nước tĩnh thiết kế cực đại tại vị trí uốn đứng cụ thể do sóng. Với: V.B.M. là mô men uốn đứng do sóng; V.S.F. là lực cắt đứng do sóng; H.B.M. là mô men uốn nằm ngang do sóng; H.S.F. là lực cắt nằm ngang do sóng. ** Sự phân bố theo chiều thẳng đứng của cột áp do vỗ mặt thoáng được thể hiện tại Hình 23 về Hình 24. | |||||||||||||
Bảng 9 - Áp lực thiết kế đối với các cơ cấu đỡ và cơ cấu cục bộ
| A. Tôn và các dầm dọc/thanh nẹp | ||||||||||||||||
| Áp lực danh nghĩa, p = Ipi - pe|, được xác định theo các trường hợp tải trọng “a” & “b” dưới đây, lấy giá trị nào lớn hơn, với ku = 1,10 và kc = 1,0 trừ khi được quy định khác trong bảng | ||||||||||||||||
| Các cơ cấu/ Thành phần kết cấu | Trường hợp “a” - Tại đầu mút mũi của két | Trường hợp “b”- Tại giữa két hoặc đầu mút mũi của két | ||||||||||||||
| Chiều chìm/Góc tới của sóng | Vị trí và mẫu tải trọng | Các hệ số | Chiều chìm/Góc tới của sóng | Vị trí và mẫu tải trọng | Các hệ số | |||||||||||
| pi | pe | pi | pe | |||||||||||||
| 1. Dầm dọc và tôn đáy | 3/4 chiều chìm thiết kế/0° | Két dằn đầy | Ai | Ae | Chiều chìm thiết kế/0° | Giữa két của các két dằn trống | — | Be | ||||||||
| 2. Dầm dọc và tôn đáy trong | 3/4 chiều chìm thiết kế /0° | Két dằn đầy, các két hàng trống | Ai | — | Chiều chìm thiết kế /0° | Đầu mút mũi của két hàng đầy, các két dằn trống | Ai | — | ||||||||
| 3. Dầm dọc và tôn bao mạn | 3/4 Chiều chìm thiết kế/60° | Mặt bên phải của két dằn đầy | Bi | Ae | Chiều chìm thiết kế /60° | Giữa két của các két dằn trống | — | Be | ||||||||
| 4. * Dầm dọc và tôn boong (Két hàng) | Chiều chìm thiết kế /0° | Két hàng đầy | Di | — |
|
|
|
| ||||||||
| 5. Dầm dọc và tôn boong (Két dằn) | 3/4 chiềuchìm thiết kế /0° | Két dằn đầy | Di | — |
|
|
|
| ||||||||
| 6. * Dầm dọc và tôn mạn trong | 3/4 chiều chìm thiết kế /60° | Mặt phải của két hàng đầy, két dằn tróng | Bi | — | 3/4 Chiều chìm thiết kế /60° | Đầu mút mũi và mặt phải của két dằn đầy, két hàng trống | Bi | — | ||||||||
| 7. Sống kín nước đáy đôi | 3/4 chiều chìm thiết kế /60° | Mặt phải của két đáy đôi đầy hoặc két dằn, các không gian liền kề trống | Bi | — |
|
|
|
| ||||||||
| 8. Sống dọc mạn kín nước, boong thử hai & Để vách trong vách khoang cách ly tại đường tâm | 3/4 chiều chìm thiết kế 10° | Két trên đầy, két liền dưới trống | Ai | — | 3/4 Chiều chìm thiết kế / 0° | Đầu mút mũi của két bên dưới đầy, két liền trên trống | Di | — | ||||||||
| 9. * Nẹp & Tôn vách ngang đối với FLGT ket màng (Két hàng) | Chiều chìm thiết kế /0° | Vách mũi của két hàng đầy | Ai | — |
|
|
|
| ||||||||
| 10. Nẹp và Tôn vách ngang (Két dằn) | 3/ chiều chìm thiết kế /0° | Vách mũi của két dằn đầy, các két liền kề trống | Ai | — |
|
|
|
| ||||||||
| 11. * Vách dọc khoang cách ly đối với FLGT két màng | 3/4 chiều chìm thiết kế /60° | Mặt phải của két hàng đầy, két liền kề trống | Ei | — | 3/4 Chiều chìm thiết kế /60° | Đầu mút mũi và két đáy đôi giữa đầy, két hàng mạng trái trống | Bi | — | ||||||||
| 12. Vách tại đường tâm tàu của khoang cách ly & Vách ngang đối với FLGT két rời | — | — | — | — | dflood hoặc 0,8 Df ** | Khoang hàng ngập**, các két cạnh và két đáy đôi trống (SLC 2) | — | — | ||||||||
| 13. Để vách dưới dọc tại vách khoang cách ly tại đường tâm | — | — | — | — | dflood hoặc0,8 Df *** | Không gian hộp và đáy đôi*** ngập | — | — | ||||||||
| * Xem Chú thích 4 ** Xem Chú thích 5 *** Xem Chú thích 6 | ||||||||||||||||
| B. Các cơ cấu đỡ chính | ||||||||||||||||
| Áp lực danh nghĩa, p = │pi - pe│, phải được xác định tại giữa nhịp của cơ cấu tại mạn phải của kho chứa nổi theo các trường hợp tải trọng “a” & “b” dưới đây, lấy giá trị nào lớn hơn, với ku = 1,10 và kc = 1,0 trừ khi được quy định khác trong bảng | ||||||||||||||||
| Các cơ cấu/Thành phần kết cấu | Trường hợp “a” Giữa két đối với các dầm ngang | Trường hợp “b” Giữa két đối với các dầm ngang | ||||||||||||||
| Chiều chìm/Góc tới của sóng | Vị trí và mẫu tải trọng | Các hệ số | Chiều chìm/Góc tới của sóng | Vị trí và mẫu tải trọng | Các hệ số | |||||||||||
| pi | pe | pi | pe | |||||||||||||
| 14. Sống & Đà ngang đáy đôi | 3/4 chiều chìm thiết kế/0° | Két hàng đầy, các két dằn trống | Ai | Ae | Chiều chìm thiết kế/0° | Két hàng và két dằn trống | — | Be | ||||||||
| 15. Sườn mạn | 3/4 chiều chìm thiết kế/60° | Két hàng đầy, các két dằn trống | Bi | — | Chiều chìm thiết kế/60° | Các két dằn và két hàng trống | — | Be | ||||||||
| 16. Các sống khỏe nằm và đứng trên vách ngang | 3/4 chiều chìm thiết kế/60° | Vách mũi của két hàng đầy, các két liền kề trống | Bi | — |
|
|
|
| ||||||||
| 17. Dầm ngang boong: | 3/4 chiều chìm thiết kế/60° | Két hàng đầy, các két liền kề trống | Bi | — |
|
|
|
| ||||||||
| 18. Sống boong | 3/4 chiều chìm thiết kế/0° | Két hàng đầy, các két liền kề trống | Ai | — | 3/4 chiều chìm thiết kế/60° | Két hàng đầy, các két liền kề trống | Bi | — | ||||||||
| Chú thích: 1 Đối với tính toán pi và pe, các hệ số cần thiết phải được xác định theo các nhóm quy ước sau đây: a) Đối với pi Ai wv = 0,75; wℓ (vách phía mũi) = 0,25; wℓ (vách phía đuôi) = -0,25; wt = 0,00; cΦ, = -0,7; cθ = 0,0 Bi wv = 0,4; (vách phía mũi) = 0,2; wt (vách phía đuôi) = -0,2; wt (mạn phải) = 0,4; wt (mạn trái) = -0,4; cΦ = -0,7; cθ = 0,7 Di wv = -0,75; wℓ (vách phía mũi) = 0,25; wt = 0,0; cΦ = -0,7; cθ = 0,0 Ei wv = 0,4; wℓ (vách phía mũi) = 0,2; wt (vách khoang cách ly giữa) = 0,4; cΦ = -0,7; cθ = -0,7 b) Đối với pe Ae kℓo = 1,0; ku = 1,0; kc = -0,5 Be kℓo = 1,0 2 Đối với các kết cấu trong phạm vi 0,4L giữa thân, áp lực danh nghĩa phải được tính toán cho một két nằm tại giữa thân. Từng két hàng hoặc két dằn trong vùng này phải được coi là nằm tại giữa thân như thể hiện trong Hình 21. 3 Khi tính toán áp lực danh nghĩa, trọng lượng riêng ρg của hàng lỏng và nước dằn tương ứng không được lấy nhỏ hơn 0,49 N/cm2-m (0,05 kgf/cm2-m; 0,2168 lbf/in2-ft) và 1,005 N/cm2-m (0,1025 kgf/cm2-m; 0,4444 lbf/in2-ft) 4 Đối với các phần tử kết cấu 4, 6, 9 và 11, các áp lực vỗ mặt thoáng phải được xem xét phù hợp với 7.3.6.2. Đối với tính toán các áp lực vỗ mặt thoáng tham chiếu tới 7.3.6.3 với ρg không nhỏ hơn 0,49 N/cm2-m (0,05 kgf/cm2-m; 0,2168 lbf/iin2-ft) 5 Áp lực danh nghĩa cho với yêu cầu kín nước đối với điều kiện ngập có thể được lấy bằng khoang hàng đầy tới đường nước cân bằng ngập sâu nhất trong điều kiện tai nạn dflood. Giá trị này không được nhỏ hơn khoang hàng đầy tới 0,8 mức boong mạn khô tại tâm Df. Nếu không có dflood, 0,8Df phải được sửa dụng như là một đường nước cân bằng cho trường hợp này. 6 Áp lực danh nghĩa đối với yêu cầu kín nước cho điều kiện ngập có thể được lấy là các két dằn và không gian hầm bị hỏng và đầy tới đường nước cần bằng ngập sâu nhất trong các điều kiện tai nạn Df. Nếu dflood không có sẵn, 0,8Df phải được sử dụng như đường nước cân bằng đối với trường hợp này. | ||||||||||||||||
7.3.4 Các tải trọng thiết kế danh nghĩa
7.3.4.1 Tổng quát
Các tải trọng thiết kế danh nghĩa quy định dưới đây phải được sử dụng để xác định các kích thước yêu cầu của kết cấu liên quan tới các ứng suất cho phép nêu trong 7.4.
7.3.4.2 Tải trọng dầm tương đương - Các lực cắt và mô men uốn dọc
7.3.4.2.1 Lực cắt và mô men uốn đứng tổng
Lực cắt và mô men uốn đứng dọc tổng có thể được tính theo các công thức sau:
Mt = Msw + kukcMw kN-m (tf-m, Ltf-ft)
Ft = Fsw + kukcFw kN (tf, LH)
Với:
Msw và Mw tương ứng, là mô men uốn trên nước tĩnh và mô men uốn do sóng, như quy định tại 7.3.2.1 và 7.3.3.2.1 đối với điều kiện vồng lên hoặc võng xuống.
Fsw và Fw tương ứng, là lực cắt trên nước tĩnh và lực cắt gây ra do sóng, như quy định tại 7.3.2.1 và 7.3.3.2.2 đối với lực cắt dương hoặc âm.
ku là hệ số tải trọng và có thể được lấy bằng 1,0 trừ khi được quy định khác.
kc là hệ số tương quan và có thể được lấy bằng 1,0 trừ khi được quy định khác.
Để xác định mô đun chống uốn dầm tương đương thân đối với vùng 0,4L giữa thân như nêu tại 7.4.2, các mô men uốn cực đại trên nước tĩnh, hoặc vồng hoặc võng, tương ứng phải được thêm vào mô men uốn vồng hoặc võng do sóng. Mô men uốn tổng có thể được tính trực tiếp dựa trên các đường cong bao như nêu tại 7.3.2.1 và 7.3.3.2.
Đối với mục đích này, ku = 1,0 và kc = 1,0.
7.3.4.2.2 Lực cắt và mô men uốn nằm ngang do sóng
Đối với các điều kiện không phải sóng dọc thân, lực cắt và mô men uốn nằm ngang do sóng như quy định tại 7.3.3.3 phải được coi là các tải trọng dầm tương đương bổ sung, đặc biệt là đối với thiết kế kết cấu mạn và mạn trong. Lực cắt và mô men uốn nằm ngang hiệu dụng, MHE và FHE có thể được xác định theo các công thức sau:
MHE = kukcMH kN-m (tf-m, Ltf-ft)
FHE = kukcFH kN (tf, Ltf)
Trong đó ku và kc tương ứng là hệ số tải trọng và hệ số tương quan có thể được lấy bằng 1 trừ khi được quy định khác.
7.3.4.3 Các tải trọng cục bộ đối với thiết kế các kết cấu đỡ chính
Khi xác định các kích thước yêu cầu của các kết cấu đỡ chính, như các sống, xà ngang, sống dọc, đà ngang và các sống khỏe, các tải trọng danh nghĩa gây ra bởi các áp lực chất lỏng được phân bố trên cả hai mặt của mảng kết cấu trong phạm vi các biên của két phải được xem xét theo các tổ hợp tải trọng bất lợi nhất có thể xảy ra. Nói chung, cần phải xem xét hai trường hợp tải trọng dưới đây về các ảnh hưởng xấu nhất của các thành phần tải trọng động:
1) Áp lực bên trong cực đại đối với một két đầy hoàn toàn với các két liền kề trống và các áp lực bên ngoài nhỏ nhất, theo khả năng áp dụng được.
2) Két trống rỗng với các két xung quanh đầy và áp lực bên ngoài cực đại, theo khả năng áp dụng được.
Lấy kết cấu đỡ mạn ngoài làm ví dụ, các tải trọng danh nghĩa có thể được xác định theo:

Với:
ku = 1,0
βEPS/EPP = ESF đối với áp lực bên ngoài mạn phải/mạn trái, như xác định trong Phụ lục C.
ρ, g, η, hd, hs, hde, ks được xác định tại 7.3.3.4 và 7.3.3.5.
Các thông tin cụ thể yêu cầu đối với tính toán các tải trọng danh nghĩa được nêu trong Bảng 9 đối với các cấu hình và phần tử kết cấu khác nhau.
7.3.4.4 Các áp lực cục bộ đối với thiết kế tôn và các dầm dọc
7.3.4.4.1 Khi tính toán các kích thước của tôn, các dầm dọc và thanh nẹp, các áp lực danh nghĩa phải được xem xét đối với hai trường hợp tải trọng nêu trong 7.3.4.3, sử dụng ku = 1,1 cho pi và pe thay cho ku = 1,0 như ở trên.
7.3.4.4.2 Các chi tiết cần thiết để tính pi và pe được nêu trong Bảng 9.
7.3.5 Các trường hợp tổ hợp tải trọng
7.3.5.1 Các trường hợp tổ hợp tải trọng đối với phân tích kết cấu
Đối với đánh giá độ bền của kết cấu dầm tương đương và khi thực hiện phân tích kết cấu như nêu tại 7.5, các trường hợp tổ hợp tải trọng quy định trong Bảng 4 và Bảng 5 đối với kết cấu thân phải được xem xét. Đối với các két hàng độc lập, các trường hợp tải trọng đặc biệt quy (Tinh trong Bảng 6 cũng phải được xem xét. Các trường hợp tổ hợp tải trọng bổ sung có thể được yêu cầu thêm. Các mẫu tải trọng được thể hiện trong Hình 6, Hình 7 và Hình 8 đối với chiều dài ba két hàng. Các hệ số tương quan cần thiết và các hệ số liên quan đối với các két có tải cũng được nêu trong Bảng 4, Bảng 5 và Bảng 6. Sự phân bố áp lực tổng bên ngoài kể cả áp lực thủy động và tĩnh được minh họa trong Hình 16.
7.3.5.2 Các trường hợp tổ hợp tải trọng đối với đánh giá phá hủy
Đối với đánh giá các trạng thái phá hủy liên quan tới chảy dẻo vật liệu, bền ổn định và độ bền tới hạn, các trường hợp tổ hợp tải trọng sau đây phải được xem xét
7.3.5.2.1 Chảy dẻo, ổn định và bền tới hạn của các kết cấu cục bộ
Đối với đánh giá chảy dẻo, ổn định và bền tới hạn của các kết cấu cục bộ, các trường hợp tổ hợp tải trọng như nêu tại Bảng 4, Bảng 5, Bảng 6 phải được xem xét.
7.3.5.2.2 Độ bền mỏi
Đối với đánh giá độ bền mỏi của các mối nối kết cấu, các trường hợp tải trọng FLC1-FLC8 nêu trong Phụ lục A, phải được sử dụng cho đánh giá độ bền mỏi mức 1.
7.3.6 Các tải trọng do mặt thoáng chất lỏng trong các két màng
7.3.6.1 Tổng quát
Ngoại trừ đối với các két nằm hoàn toàn trong mạn kép hoặc đáy đôi, chu kỳ tự nhiên của chuyền động chất lỏng và các tải trọng do mặt thoáng phải được kiểm tra khi đánh giá độ bền của các kết cấu biên đối với tất cả các két hàng có thể sẽ được điền trong khoảng 0,5hd (hoặc 0,1h, nếu nhỏ hơn) và 0,9h (hd và h được xác định theo Hình 18). Các cột áp vỗ mặt thoáng nêu trong Mục nhỏ này có thể được sử dụng để xác định các yêu cầu bền đối với các kết cấu của két. Ngoài ra, các tải trọng do mặt thoáng phải được ghi và viện dẫn đầy đủ.
7.3.6.2 Đánh giá độ bền của các kết cấu biên két
7.3.6.2.1 Đối với từng trường hợp tải trọng dự kiến, phải tránh các mức điền đầy tới hạn của két để các chu kỳ tự nhiên của chuyển động chất lỏng theo hướng dọc và ngang không cộng hưởng với các chu kỳ chuyển động lắc dọc và ngang tương ứng của kho chứa nổi. Khuyến cáo thêm rằng các chu kỳ tự nhiên của chuyển động chất lỏng trong két, đối với mỗi mức chất lỏng dự kiến, tối thiểu phải lớn hơn hoặc nhỏ hơn 20% so với chu kỳ chuyển động liên quan của kho chứa nổi.
7.3.6.2.2 Nếu các mức chất lỏng tới hạn của két là không thể tránh khỏi, kết cấu biên két phải được thiết kế phù hợp với 7.4.7 để chịu được các áp lực mặt thoáng nều trong 7.3.6.3.
7.3.6.2.3 Chu kỳ tự nhiên của chuyển động chất lỏng có thể được ước lượng theo các công thức sau đây:
Tx = (ℓ) 1/2/ k giây theo hướng dọc
Ty = (bf)1/2/k giây theo hướng ngang
Với:
ℓ = Chiều dài của két, như được xác định tại Hình 18, m (ft)
bf = Chiều rộng của bề mặt chất lỏng tại do, theo Hình 18, m (ft)
k = [(tanh H1)/(4π/g)]1/2
H1 = πdo/ℓ hoặc πdo/bf
do = Mực chất lỏng, theo Hình 18, m (ft)
g = Gia tốc trọng trường, = 9,8 m/sec2 (32,2 ft/sec2)
Các chu kỳ tự nhiên nêu trong 7.3.3.5 đối với lắc dọc và ngang của kho chứa nổi, Tp và Tr, sử dụng giá trị GM thực tế, nếu có, có thể được sử dụng cho mục đích này.
7.3.6.5 Các áp lực do mặt thoáng chất lỏng
7.3.6.3.1 Áp lực mặt thoáng danh nghĩa
Đối với các két hàng có mức chất lỏng trong phạm vi tới hạn nêu tại 7.3.6.2, các áp lực bên trong pis, gây ra bởi cột áp tĩnh và áp lực vỗ mặt thoáng, chiều dương về phía biên két, có thể được lấy bằng cột áp chất lỏng tương đương, he, như dưới đây (Xem Hình 23):
pis = ρghe≥ 0 N/cm2 (kgf/cm2, lbf/in2)
Với:
| he | = Cm(dm - y) + kuhc đối với y ở dưới mức chất lỏng dm | |
|
| = Cm(dm - y) không cần vượt quá h, và he không cần vượt quá he được tính tại y = 0,15h đối với y dưới 0,15h, như thể hiện tại Hình 23. | |
|
|
| Đối với y cao hơn dm và thấp hơn (h - hu) |
|
|
| Đối với y cao hơn (h - hu) và thấp hơn h |
| Cm | = Hệ số theo Hình 26. | |
| dm | = Mức chất lỏng đối với hc lớn nhất được tính với CΦs và Cθs bằng 1,0, tính bằng m (ft), như được thể hiện tại Hình 23, không được lấy nhỏ hơn 0,55h | |
| ku | = Hệ số tải, và có thể được lấy bằng 1,0 trừ khi được quy định khác. | |
| hc | = Cột áp vỗ mặt thoáng trung bình cực đại, m (ft), được tính như dưới đây cho tối thiểu hai mức chất lỏng, 0,55h và mức gần nhất với chu kỳ cộng hưởng với chuyển động của kho chứa nổi, giữa 0,2h và 0,9h. hc có thể được lấy bằng hằng số trên toàn bộ chiều sâu két, h. (Xem Hình 23) | |
| ht | = Cột áp vỗ mặt thoáng đối với vách ngăn phía trên, m (ft), được tính theo công thức ở dưới. | |
| htu | = Cột áp vỗ mặt thoáng tại góc dưới của vách nghiêng phía trên, m (ft), được tính theo công thức ở dưới. | |
| h | = Chiều sâu của két, theo Hình 18, m (ft). | |
| y | = Khoảng cách, m, đo từ đáy két tới điểm xem xét | |
ρg theo 7.3.3.5.2.
he tại đỉnh két được tính là:
| he | = ht Trong phạm vi dầm dọc bằng 0,2ℓ tính từ vách ngang hoặc trong phạm vi dầm ngang bằng 0,2bt tính từ góc phía trên của vách nghiêng phía trên như thể hiện tại Hình 25. Giá trị của ht được lấy từ vách gần nhất. |
|
| = 0 Đối với các khoảng cách lớn hơn 0,3ℓ tính từ vách ngang và 0,3bt tính từ góc trên của vách nghiêng phía trên. |
he được tính theo nội suy tuyến tính trong các vùng khác. bt là chiều rộng của đỉnh két.
Các giá trị của hc và ht có thể được tính theo các công thức sau:

Với:
| kc | = Hệ số tương quan cho các trường hợp tải trọng tổ hợp, và có thể được lấy bằng 1,0 trừ khi được quy định khác. |
| δt | = 0,5 |
| δtu | = 0,5 đối với γu < 96° |
|
| = 1,0 đối với trường hợp khác |
| hℓ |
|
| hb |
|
| htℓ |
|
| htb |
|
| htuℓ |
|
| htub |
|
| CΦs và Cθs là các trọng sổ được cho trong Hình 26. | |
| Φes | = 0,71Φ |
| θes | = 0,71θ |
| Φ và θ được xác định tại 7.3.3.5.1. | |
| Cfℓ | = 0,792[do/ℓ]1/2 + 1,98 |
| Cfb | = 0,704[do/b]1/2 + 1,76 |
| Ctℓ | = 0,9 x01/[1 + 9(1 - xo)2] ≥ 0,25 |
| b | = Chiều rộng của két tính bằng m (ft), theo Hình 18. |
| xo | = Tx/Tp |
| x01 | = x0 Nếu x0 ≤ 1,0 |
|
| = 1/x0 Nếu x0 > 1,0 |
| Ctb | = 0,9 y01/[1 + 9(1-y0)2] ≥ 0,25 |
| y0 | = Ty/Tr . Nếu không rõ bán kính lắc ngang hồi chuyển, có thể sử dụng 0,39B cho tính toán Tr. |
| y01 | = y0 Nếu y0 ≤ 1,0 |
|
| = 1 /y0 Nếu y0 > 1,0 |
ℓ, d0, Tx và Ty được xác định trong 7.3.6.2.
Tp và Tr được xác định tại 7.3.3.5.
là Ctℓ và Ctb đối với d0 = 0,70h; d0 được xác định tại 7.3.6.2.
đối với d0 = 0,70 (h - hu).
đối với hc cực đại.
htℓ không được nhỏ hơn hp; htb không được nhỏ hơn hr.
hp = ℓsin(Φes)
hr = btsin(θes)
bt được xác định tại 7.3.6.2.
7.3.6.3.2 Áp suất vỗ mặt thoáng danh nghĩa bổ sung đối với cộng hưởng mức chất lỏng thấp
Khi các chu kỳ tự nhiên tại mức chất lỏng cao hơn 1,13hd hoặc 0,17h, theo giá trị nào nhỏ, và tại mức chất lỏng thấp hơn 0,2ℓ hoặc 0,2b, theo giá trị nào cao hơn, là tối thiểu 20% lớn hơn hoặc nhỏ hơn giá trị liên quan quả chuyển động của kho chứa nổi, áp lực vỗ mặt thoáng danh nghĩa đối với cộng hưởng mức chất lỏng thấp, pi, phải được sử dụng cho mức chất lỏng thấp hơn thay cho áp lực danh nghĩa nêu trong 7.3.6.3.1 (Xem Hình 24) trừ khi sổ tay làm hàng của kho chứa nổi chỉ ra rằng cần tránh các mức chất lỏng lớn hơn 1,13hd hoặc 0,17h, theo giá trị nào nhỏ, và thấp hơn 0,2ℓ hoặc 0,2b, theo giá trị nào cao hơn.
pi= ρgh N/cm2 (kgf/cm2, lbf/in2)
Nhưng không nhỏ hơn pis nêu tại 7.3.6.3.1 tại cùng vị trí.
Với:
| hi |
| |
| hiℓ | = 0,067ℓΦes | đối với y thấp hơn dℓ |
|
| = 0 | đối với y cao hơn dℓ + 1 m |
| hib | = 0,067bθes | đối với y thấp hơn dℓ |
|
| = 0 | đối với y cao hơn dℓ +1 m |
hiℓ và hib thay đổi tuyến tính theo dℓ < y < dℓ +1 m.
Ctℓivà Ctbi tương ứng là Ctℓ và Ctb tại d0 = dℓ.
dℓ, CΦivà Cθi được xác tịnh tại
Bảng 10.
b là chiều rộng của két, tính bằng m (ft), như được xác định tại Hình 18.
ℓ và d0 theo 7.3.6.2.
Tất cả các thông số khác được xác định theo 7.3.6.3.1.
7.3.6.3.3 Các tải trọng mặt thoáng đối với đánh giá bền của các kết cấu tại biên két
a) Khi đánh giá độ bền của các kết cấu đỡ biên két, hai trường hợp tải trọng tổ hợp với mẫu tải trọng thể hiện trong Hình 27 và Hình 28, với các điều kiện tải trọng mặt thoáng quy định thể hiện trong Bảng 8, phải được xem xét tối thiểu cho hai mức chất lỏng, d0 = 0,7h và mức mà hc là cực đại khi thực hiện phân tích kết cấu 3D, dℓ phải được xem xét. Áp lực do mặt thoáng, pis và cột áp vỗ mặt thoáng trung bình, hc có thể được tính phù hợp với 7.3.6.3.1 sử dụng từng mức chất lỏng được xét d0 thay cho dm.
b) Khi đánh giá độ bền của tấm và nẹp gia cường của các biên két, uốn cục bộ của tấm và nẹp gia cường liên quan tới các áp lực vỗ mặt thoáng cục bộ đối với các phần tử hoặc thành phần phải được xem xét bổ sung cho các tải trọng danh nghĩa quy định cho phân tích 3D trong 7.3.6.3.3a) ở trên. Về vấn đề này, ku phải được lấy bằng 1,15 thay vì 1,0 được thể hiện tại 7.3.6.3.3a) ở trên đối với các trường hợp tải trọng tổ hợp, để xét cho các áp lực cực đại do sự phân bố không đồng đều có thể xuất hiện.
Bảng 10 - Sự phân bố của dℓ, CΦi và Cθi
|
| 0,8 ≤ Tx/Tp ≤ 1,2 Và 0,8 ≤ Ty/Tr ≤ 1,2 | 0,8 ≤ Tx/Tp ≤ 1,2 Và 0,8 >= Ty/Tr hoặc Ty/Tr > 1,2 | 0,8 > Tx/Tp hoặc Tx/Tp > 1,2 Và 0,8 ≤ Ty/Tr ≤ 1,2 |
| dℓ | 0,2ℓ hoặc 0,2b (giá trị lớn hơn) | 0,2ℓ | 0,2b |
| CΦi | CΦs | CΦs | 0 |
| Cθi | Cθs | 0 | Cθs |
| Chú thích: Tx, Ty và ℓ được xác định tại 7.3.6.2. b là chiều rộng của két tính bằng m (ft), xác định theo Hình 18. Tp và Tr như xác định tại 7.3.3.5. | |||

Hình 22 - Xác định hình học của két

Hình 23 - Sự phân bố cột áp vỗ mặt thoáng danh nghĩa theo chiều thẳng đứng, he

Hình 24 - Sự phân bố theo chiều thẳng đứng của cột áp vỗ mặt thoáng danh nghĩa, hi, đối với sự cộng hưởng mức chất lỏng thấp

Chú thích: Tại vùng góc của đỉnh két nơi có phạm vi chồng lấp của các dầm dọc và ngang
(phần nét gạch trong hình
), he phải lấy là giá trị lớn hơn trong hai giá trị ht của hai hướng.
Hình 25 - Sự phân bố của cột áp vỗ mặt thoáng danh nghĩa trên đỉnh két, ht

Chú thích: hc có thể được lấy bằng 0 đối với boong và đáy trong.
Hình 26 - Sự phân bố theo chiều nằm ngang của các cột áp vỗ mặt thoáng đồng thời, hc (Φsθs) hoặc ht (Φsθs)

Hình 27 - Các mẫu tải trọng đối với các trường hợp tải trọng do mặt thoáng

Hình 28 - Các mẫu tải trọng đối với các trường hợp tải trọng do mặt thoáng
7.3.7 Các tải trọng đối với các két lăng trụ độc lập
7.3.7.1 Tổng quát
7.3.7.1.1 Ngoại trừ đối với các két nằm hoàn toàn trong phạm vi mạn kép hoặc đáy đôi, các chu kỳ tự nhiên của các chuyển động chất lỏng và các tải trọng do mặt thoáng phải được kiểm tra khi đánh giá độ bền của các kết cấu biên cho tất cả các két hàng hoặc két dằn mà sẽ có mức lượng chất lỏng trong khoảng 20% và 90% dung tích của két. Các cột áp vỗ mặt thoáng nêu trong Mục nhỏ này có thể được sử dụng để xác định các yêu cầu độ bền đối với các kết cấu két. Ngoài ra, các tải trọng do mặt thoáng có thể được tính toán thực nghiệm mô hình hoặc mô phỏng số bằng phân tích dòng chảy ba chiều đối với các điều kiện hoạt động không hạn chế và đối với các điều kiện biển của vị trí hoạt động cụ thể. Phương pháp luận và các quy trình thử và đo đạc hoặc các phương pháp phân tích phải được ghi chép đầy đủ.
7.3.7.1.2 Các tác động của các áp lực vỗ mặt thoáng xung động lên thiết kế của các kết cấu đỡ chính của các vách ngang và dọc của két phải được xem xét đặc biệt.
7.3.7.2 Đánh giá độ bền của các kết cấu biên két
7.3.7.2.1 Chiều dài két và các tải trọng vỗ mặtthoáng gây ra bởi lắc dọc
a) Các két có chiều dài từ 54 m trở lên phải thỏa mãn các yêu cầu của một trong các biện pháp phòng ngừa nêu tại 7.3.7.2.3 hoặc 7.3.7.2.4. Nếu két có các bề mặt trơn đều, tối thiểu phải có một vách chống sóng sánh được trang bị. Khi áp lực tính toán là lớn hơn áp lực pi theo quy định tại 7.4.7, phải có gia cường kết cấu.
b) Các két có chiều dài từ 54 m trở lên mà có các sườn vòng khỏe phải có một vách ngăn không kín một phần (nghĩa là vách chống sóng sánh không cao bằng chiều sâu két) để triệt tiêu khả năng cộng hưởng tại tất cả các mức chất lỏng. Vách ngăn không kín một phần có thể được miễn trừ nếu như chứng minh được thông qua các thực nghiệm mô hình hoặc mô phỏng số bằng phân tích dòng chảy ba chiều rằng các va đập vỗ mặt thoáng không xảy ra. Chiều cao của vách chống sóng sánh phải được xác định trên cơ sở của tính toán bằng phân tích dòng chảy ba chiều như mô tả trong 7.3.7.1.1.
c) Nếu chiều dài của két nhỏ hơn 54 m, và nếu không thỏa mãn một biện pháp phòng ngừa nào nêu trong 7.3.7.2.3 hoặc 7.3.7.2.4, các kết cấu biên két phải được thiết kế phù hợp với 7.4.7 để chịu được các áp lực vỗ mặt thoáng quy định tại 7.3.7.3.
7.3.7.2.2 Các tải trọng mặt thoáng gây ra bởi lắc ngang
Các két không thỏa mãn một trong các biện pháp phòng ngừa nêu tại 7.31.2.3 hoặc 7.3.7.2.4, đối với cộng hưởng lắc ngang, phải có các kết cấu biên két của chúng được thiết kế phù hợp với 7.4.7 để chịu được các áp lực vỗ mặt thoáng quy định tại 7.3.7.3.
7.3.7.2.3 Đối với các két hàng dài hoặc rộng, các vách không kín hoặc các sườn vòng khỏe hoặc cả hai phải được thiết kế và lắp đặt để triệt tiêu khả năng cộng hưởng tại tất cả các mức chất lỏng. Các két dài có chiều dài, ℓ, lớn hơn 0,1L. Các két rộng có chiều rộng, b, lớn hơn 0,6B.
7.3.7.2.4 Đối với mỗi điều kiện tải trọng dự kiến, phải tránh các mức chất lỏng “tới hạn” của két để các chu kỳ tự nhiên của các chuyển động chất lỏng theo hướng dọc và ngang tương ứng không đồng bộ với các chu kỳ tự nhiên của chuyển động lắc dọc và lắc ngang của kho chứa nổi. Khuyến cáo thêm rằng các chu kỳ tự nhiên của các chuyển động chất lỏng trong két, đối với mỗi mức chất lỏng dự kiến, tối thiểu phải 20% lớn hơn hoặc nhỏ hơn giá trị chu kỳ liên quan của chuyển động kho chứa nổi.
Chu kỳ tự nhiên của chuyển động chất lỏng, tính bằng giây, có thể được ước lượng theo các công thức sau:
Tx = (βTℓe)1/2/k theo hướng dọc
Ty = (βLℓe)1/2/k theo hướng ngang
Với:
ℓe = Chiều dài hiệu dụng của két, như xác định tại 7.3.7.3.1, tính bằng m
be = Chiều rộng hiệu dụng của két, như xác định tại 7.3.7.3.1, tính bằng m
k = [(tanh H1)/ (4π/ g)]1/2
H1 = πdℓ/ℓe hoặc πdb/be
βT, βL, dℓ và db như được xác định tại 7.3.7.3.1. Đối với mục đích này, có thể sử dụng các chu kỳ tự nhiên nêu tại 7.3.3.5 đối với lắc dọc và lắc ngang của kho chứa nổi, Tp và Tr.
7.3.7.3 Các áp lực do mặt thoáng
7.3.7.3.1 Áp lực vỗ mặt thoáng danh nghĩa
Đối với các két hàng có mức chất lỏng trong giới hạn tới hạn nêu tại 7.3.7.2.2, các áp lực bên trong pis, kể cả các áp lực vỗ mặt thoáng và áp lực tĩnh, chiều dương về phía các biên két, có thể được biểu thị bằng cột áp chất lỏng tương đương, he, như nêu dưới đây:
pis = ksρghe≥ 0 N/cm2 (kgf/cm2)
Với:
| ks | = Hệ số tải trọng như được xác định tại 7.3.3.5.2a) | |
| he | ku[hc + (ht - hc)(y - dm)/(h - dm)] đối với y > dm | |
|
| = cmhm + kuhc đối với 0,15 h ≤ y ≤ dm (cmhm không cần lớn hơn h) | |
| he được tính tại y = 0,15h đối với y < 0,15h, nhưng he không được nhỏ hơn cmhm | ||
| cm | = Hệ số phù hợp với Hình 26. | |
| hm | = Cột áp tĩnh, lấy bằng khoảng cách theo phương đứng, tính bằng m (ft), đo từ mức chất lỏng, dm, xuống tới điểm được xét. dm, mức chất lỏng đối với hc lớn nhất được tính với CΦs và Cθs bằng 1,0 không được lấy nhỏ hơn 0,55h. | |
| dm | = Mức chất lỏng, tính bằng m (ft), như thể hiện tại Hình 29. | |
| ku | = Hệ số tải trọng, và có thể được lấy bằng 1 trừ khi được quy định khác. | |
| hc | = Các cột áp vỗ mặt thoáng trung bình cực đại, tính bằng m (ft), được lấy theo các tính toán như quy định dưới đây đối với tối thiểu hai mức chất lỏng, 0,55h và mức gần nhất với chủ kỳ cộng hưởng của các chuyển động của kho chứa nổi, trong khoảng 0,2h và 0,9h. hc có thể được lấy bằng hằng số trên toàn bộ chiều sâu két, h (Xem Hình 29). | |
| ht | = Các cột áp vỗ mặt thoáng đối với vách phía trên, tính bằng m (ft), phải được lấy theo tính toán dưới đây. | |
| h | = Chiều sâu của két, m (ft). | |
| y | = Khoảng cách theo phương thẳng đứng, m (ft), đo từ đáy két tới điểm được xét. | |
| ρg như được xác định tại 7.3.3.5.2. | ||
| Các giá trị của hc và ht có thể được tính theo các công thức sau: | ||
|
| m (ft) | |
|
| m (ft) | |
| Với: |
| |
| kc | = Hệ số tương quan đối với các trường hợp tải trọng tổ hợp, và có thể được lấy bằng 1 trừ khi được quy định khác. | |
| hℓ |
| |
|
| | |
CΦs và Cθs là các trọng số như nêu tại Hình 26.
Trong đó:
βT là β đối với các vách ngang và βL là β đối với các vách dọc.
Φes = 0,71Φ
θes = 0,71θ
Biên độ lắc dọc Φ và biên độ lắc ngang θ được xác định theo 7.3.3.5.1 với di = 2/3df.
| ℓe | = Chiều dài hiệu dụng của két có xét tới ảnh hưởng của các sườn vòng khỏe, m (ft) |
|
|
|
| be | = Chiều rộng hiệu dụng của két có xét tới ảnh hưởng của các sườn vòng khỏe, m (ft) |
|
|
|
| β* | = 1,0 đối với các két không có các sườn vòng khỏe, |
|
| = 0,25[4,0 - (1 - α*) - (1 - α*)2] đối với α* được xác định tại d0, |
đối với các vách ngang.
đối với các vách dọc
β = (βo)(βu)(βs)
βT là βđối với các vách ngang.
βL là β đối với các vách dọc.
| βo | = 1,0 đối với các két không có vách chống sóng sánh |
|
| = 0,25[4,0 - (1 – α0) - (1 – α0)2] Đối với các két có một vách chống sóng sánh |
| βu | = 1,0 Đối với các két không có sống ngang đáy khỏe và sống dọc đáy khỏe nào |
|
|
|
|
| 0,25[4,0 - db1/h - (db1/h)2] Đối với các két có sống dọc đáy khỏe |
| βs | = 1,0 đối với các vách biên mà: |
|
| i) Không có bất kỳ sống nằm khỏe nào; hoặc |
|
| ii) Có sống nằm khỏe nhưng với tỷ số khoét, αs, nhỏ hơn 0,2 hoặc lớn hơn 0,4. |
|
| = 0,25[4,0 - (1 - αs) - (1 - αs)2] đối với các vách ngăn có các sống nằm khỏe với tỷ số khoét, αs, trong khoảng 0,2 và 0,4. |
| α | = Tỷ số khoét (xem Hình 30) |
Đối với α0, Hình 31(1), các tỷ số khoét của các vách chống sóng sánh phải được sử dụng cho tất cả các mức chất lỏng được xét. Đồng thời, Hình 31(2), tỷ số khoét cục bộ đối với do = 0,7h, giới hạn bởi 0,6h và 0,9h, phải được xét cho tất cả các lỗ khoét trong phạm vi đó. Tỷ số nhỏ hơn trong hai tỷ số khoét được tính toán, theo Hình 31(1) và Hình 31(2) đối với mức chất lỏng này, phải được sử dụng là tỷ số khoét.
Đối với α*, Hình 31(3), tỷ số khoét của các sống vòng khỏe, mức chất lỏng do phải được sử dụng.
Đối với αs, Hình 31(4), tỷ số khoét của một sống nằm khỏe trên một vách biên, có thể áp dụng được cho một mức chất lỏng ở ngay phía trên của sống nằm trong vác vùng được minh họa trong hình. Không được xét cho do = 0,7h, trừ khi có một sống lớn đáng kể được đặt trong khoảng 0,7h và h. Đồng thời cũng không được xét nếu diện tích khoét trên sống là nhỏ hơn 20% hoặc lớn hơn 40% của diện tích của sống (tức là αs = 1).

| yo | = Ty/Tr. Nếu không rõ bán kính lắc ngang hồi chuyển, 0,39B có thể được sử dụng trong tính toán Tr |
| yo1 | = yo Nếu y0 ≤ 1,0 |
|
| 1/yo Nếu y0 > 1,0 |
| Tx và Ty như được xác định tại 7.3.7.2.4. | |
| Tp và Tr như được xác định tại 7.3.3.5. | |
| do | = Chiều cao mức chất lỏng, m (ft) |

|
| = Chiều cao của sống khỏe ngang đáy được đo từ đáy két, (Hình 32), m (ft) |
|
| = Chiều cao điểm thấp nhất của các lỗ khoét thấp nhất trên vách ngang không kín được đo ở bên trên đáy két hoặc đỉnh của các dầm ngang đáy (Hình 32), m (ft) |
| n | = Số lượng các sống khỏe ngang đáy trong két. |
| db1 | = Chiều cao của sống khỏe dọc đáy được đo từ đáy két (Hình 32), m (ft) |
| db2 | = Chiều cao điểm thấp nhất của các lỗ khoét thấp nhất trên vách dọc không kín được đo ở trên đáy két, hoặc đỉnh của các sống dọc đáy (Hình 32), m (ft) |
| m | = Số lượng sống khỏe dọc đáy trong két |

phải được sử dụng thay cho
đối với một mức chất lỏng bên dưới phần đặc của vách không kín, tức là vùng bên dưới lỗ khoét thấp nhất, (Hình 32), với
được lấy là khoảng cách được giới hạn bởi phần đặc của vách không kín bên dưới lỗ khoét thấp nhất và vách kín.
và db, Hb tương ứng không cần xem xét ảnh hưởng của
và db2.
![]()
![]()
Với
là ctl và Ctb đối với hm = 0,70h;
và tương ứng với β đối với do = 0,7h; Φes và θes được xác định ở trên.
CΦs và CθS là các trọng số, như nêu tại Hình 26.
htl không được nhỏ hơn hp; htb không được nhỏ hơn hr

7.3.7.3.2 Các tải trọng do mặt thoáng đối với đánh giá độ bền của các kết cấu tại các biên két
a) Trong đánh giá độ bền của các kết cấu đỡ biên két, hai trường hợp tải trọng tổ hợp với mẫu tải trọng thể hiện tại Hình 27 và Hình 28, với các tải trọng mặt thoáng quy định thể hiện tại Bảng 8 đối với mặt tương ứng mà trên đó có sống nằm, phải được xem xét khi thực hiện phân tích kết cấu 3D.
b) Trong đánh giá độ bền của tấm và các nẹp gia cường trên các biên két, uốn cục bộ của tấm và các nẹp liên quan tới các áp lực do mặt thoáng cục bộ đối với các cơ cấu/thành phần phải được xem xét bổ sung cho các tải trọng danh nghĩa được quy định đối với phân tích 3D tại 7.3.7.3.2a) ở trên, về khía cạnh này, ku phải được lấy bằng 1,15 thay cho 1,0, thể hiện tại 7.3.7.3.2a) ở trên đối với các trường hợp tải trọng tổ hợp, để xét cho các áp lực cực đại do sự phân bố không đồng đều có thể xảy ra.
7.3.7.5.3 Các tải trọng mặt thoáng vuông góc với bản thành của các sống đứng và nằm
Ngoài các tải trọng do mặt thoáng tác động lên tôn vách, các tải trọng mặt thoáng vuông góc với các bản thành của các sống đứng và sống nằm cũng phải được xem xét để đánh giá độ bền của các sống. Đại lượng của các tải trọng mặt thoáng vuông góc có thể được ước lượng lấy bằng 25% của hc hoặc ht đối với ku = 1,0, lấy giá trị nào lớn hơn tại vị trí được xét.

Hình 29 - Sự phân bố theo chiều thẳng đứng của cột áp vỗ mặt thoáng tương đương, he
Hình 30 - Xác định tỷ số khoét, α
|
|
|
| (1)- (3) Các tỷ số khoét của vách không kín và sườn vòng khỏe | (4) - khoét của vách biên sống nằm khỏe |
Hình 31 - Tỷ số khoét
Hình 32 - Kích thước của các kết cấu bên trong
7.3.8 Tải trọng nhiệt đối với các két lăng trụ độc lập
7.3.8.1 Tổng quát
Các tải trọng do nhiệt thay đổi trong quá trình hạ nhiệt phải được xét đối với các két dự kiến có nhiệt độ hàng dưới -55°C. Các tải trọng nhiệt ổn định phải được xét đối với các hệ thống chứa hàng khi các phần gắn kèm hoặc bố trí hỗ trợ và nhiệt độ vận hành có thể làm tăng ứng suất do nhiệt. Bằng việc sử dụng mô hình phần tử hữu hạn đối với tính toán phản ứng kết cấu, như được nêu tại 7.5.5, phân tích ứng suất nhiệt của két hàng phải được thực hiện để khẳng định sự thỏa mãn kết cấu liên quan tới chảy dẻo và bền ổn định trong điều kiện giảm nhiệt ban đầu, các điều kiện tải một phần và điều kiện toàn tải (đầy 98%).
7.3.8.2 Các điều kiện tải do nhiệt
7.3.8.2.1 Các tải trọng do nhiệt dưới dạng phân bố nhiệt độ phải được chỉ rõ trên kết cấu két cho tối thiểu các điều kiện dưới đây:
a) Hạ nhiệt ban đầu
Tải trọng nhiệt và áp suất hơi thiết kế nhỏ nhất phải được áp dụng.
b) Tải một phần
Các tải trọng nhiệt, áp suất hàng tĩnh và áp suất hơi thiết kế nhỏ nhất đại diện cho các điều kiện tải trọng một phần với mức chất lỏng lên tới mỗi sống dọc của két phải được áp dụng.
c) Đầy tải
Các tải trọng nhiệt, áp suất hàng tĩnh và áp suất hơi thiết kế nhỏ nhất đối với điều kiện đầy hàng (mức điền đầy 98%) phải được áp dụng.
7.3.8.2.2 Tương tác của thân kho chứa nổi và kết cấu két tại các cơ cấu hỗ trợ và các nêm phải được bao gồm trong tất cả các điều kiện tải.
7.3.8.3 Các ứng suất cho phép
Các ứng suất két hàng đối với các điều kiện tải trọng do nhiệt không được vượt quá 70% độ bền chảy dẻo của vật liệu két hàng.
Ứng suất mất ổn định của tất cả các mảng tấm của két hàng phải thỏa mãn các yêu cầu bền ổn định tấm tại B.2 của Phụ lục B.
7.3.9 Tải trọng va đập
7.3.9.1 Tải trọng va đập tại mũi
7.3.9.1.1 Đối với kho chứa nổi chứa khí hóa lỏng có mũi loe đáng kể hoặc có chiều dìm dằn nặng phía mũi nhỏ hơn 0,04L, các tải trọng mũi loe và/hoặc các tải trọng vỗ đáy phải được xét đối với đánh giá độ bền của tôn mạn và đáy và hệ tống nẹp liên quan tại vùng thân phía mũi.
7.3.9.1.2 Áp lực tại mũi
Nếu dữ liệu thực nghiệm hoặc các tính toán trực tiếp không sẵn có, các áp lực danh nghĩa do sóng tại mũi phía trên đường nước tải trọng (LWL) trong khu vực từ đầu mút mũi tới vách chống va có thể được tính theo công thức sau:
![]()
Với:
| k | = 1,025 (0,1045; 0,000888) |
| Cij | = {1 + cos2[90 (Fbi - 2aij)/Fbi]}1/2 |
| Vij | = 10ω1sin αij + ω2(βwhtL)1/2 |
| ω1 | = 0,515 (1,68) đối với m (ft) |
| ω2 | = 1,0 (1,8) |
| βwht | = Hệ Số ESF đối với chiều cao sóng theo xác định tại Phụ lục C. |
| γij | = Góc mũi cục bộ được đo từ phương nằm ngang, không lấy nhỏ hơn 50° |
|
| = tan-1 (tan βij/cos αij) |
| αij | = Góc đường nước cục bộ được đo từ đường tâm, xem Hình 33, không lấy nhỏ hơn 35° |
| βij | = Góc đường sườn cục bộ được đo từ đường nằm ngang, xem Hình 33, không lấy nhỏ hơn 35° |
| Fbi | = Mạn khô từ boong cao nhất tại mạn tới đường nước tải trọng (LWL) tại vị trí i, xem Hình 33. |
| aij | = Khoảng cách theo phương thẳng đứng từ LWL tới WLj, xem Hình 33. |
| Ck | = 0,7 Tại vách chống va và 0,9 tại 0,0125L, sử dụng nội suy tuyến tính cho khoảng giữa |
|
| = 0,9 Giữa 0.0125L và FP |
|
| = 1,0 Từ FP về phía mũi |
| i,j | = Vị trí xét và đường nước, được lấy để tương ứng với các vị trí như được yêu cầu bởi 7.6.2. |

Hình 33 - Xác định đặc tính hình học phần mũi
7.3.9.2 Sóng vỗ đáy
7.3.9.2.1 Đối với kho chứa nổi chứa khí hóa lỏng với chiều chìm dằn nặng phía mũi nhỏ hơn 0,04L, các tải trọng sóng vỗ đáy phải được xét đối với đánh giá độ bền của tôn đáy phẳng phía mũi và hệ thống nẹp gia cường liên quan trong vùng thân phía trước.
7.5.9.2.2 Áp lực sóng vỗ đáy
Áp lực sóng vỗ đáy tương đương đối với đánh giá và tính toán bền phải được xác định dựa trên các nghiên cứu phân tích hoặc dữ liệu thực nghiệm được ghi chép đầy đủ. Nếu không có sẵn các tính toán trực tiếp này, áp lực sóng vỗ đáy danh nghĩa có thể được xác định theo các công thức dưới đây:
![]()
Với:
| psi | = Áp lực sóng vỗ đáy tương đương cho mặt cắt i |
| k | = 1,025 (0,1045; 0,000888) |
| ki | = 2,2 b*/do + a ≤ 40 |
| b* | = Một nửa chiều rộng của đáy phẳng tại điểm tham chiếu thứ i, xem Hình 34. |
| do | = 1/10 của chiều chìm tại mặt cắt ở điều kiện dằn nặng, xem Hình 34. |
| α | = Hằng số nêu tại Bảng 11. |
| Ef | = f1ω1(L)1/2 |
| ƒ1 | = 0,004 (0,0022) đối với m (ft) |
| Với b là một nửa chiều rộng tại 1/10 chiều chìm của mặt cắt, xem Hình 34. Nội suy tuyến tính có thể được sử dụng cho các giá trị trung gian | |
| vo | = co(L)1/2 m/s (ft/s) |
| co | = 0,29 (0,525) |
| L | = Chiều dài của kho chứa nổi tính bằng m (ft), như được xác định tại 1.2.20 của TCVN 6259-1A. |
| MRi | = 1,391AiβRVM(L/Cb)1/2 đối với L tính bằng mét |
|
| = 8,266 AiβRVM(L/Cb)1/2 đối với L tính bằng feet |
| βrvm | = Hệ số ESF đối với chuyển động thẳng đứng liên quan như được xác định tại Phụ lục C. βrvm của điều kiện dịch chuyển và điều kiện tại vị trí hoạt động phải được xét. |
| Mvi | = BiMRi |
| Ai và Bi như nêu tại Bảng 12. | |
| Gei | = |
| di | = Chiều chìm mặt cắt cục bộ, tính bằng m (ft) |
| Eni | = Logarit tự nhiên của ni |
| ni | = 5730(Mvi/MRi)1/2Gei, nếu ni < 1 thì psi = 0 |
| ω1 | = Tần số góc tự nhiên của dao động thẳng đứng hai nút của dầm tương đương thân kho chứa nổi ở chế độ ướt và điều kiện dằn nặng, tính bằng rad/s. |
|
| Nếu không biết rõ, công thức dưới đây có thể được sử dụng. |
|
|
|
| μ | = 23400(7475; 4090) |
| Δs | = Δb[1,2 + B/(3db)] |
| Δb | = Lượng chiếm nước của kho chứa nổi tại điều kiện dằn nặng, kN (tf; Ltf) |
| db | = Chiều chìm trung bình tại điều kiện dằn nặng, m (ft) |
| co | = 1,0 đối với chiều chìm dằn nặng |
L,B và D như được định nghĩa tại 1.2 của TCVN 6259-1A.
Cb là hệ số béo thân kho chứa nổi xác định theo 13.2.1 của TCVN 6259-2A.
Bảng 11 - Các giá trị của α
| b/do | α | b/do | α |
| 1,00 | 0,00 | 4,00 | 20,25 |
| 1,50 | 9,00 | 5,00 | 22,00 |
| 2,00 | 11,75 | 6,00 | 23,75 |
| 2,50 | 14,25 | 7,00 | 24,50 |
| 3,00 | 16,50 | 7,50 | 24,75 |
| 3,50 | 18,50 | 25,0 | 24,75 |

Hình 34 - Sự phân bố của áp lực sóng vỗ đáy dọc theo vành đai tiết diện
7.3.9.3 Sóng vỗ mũi loe
7.3.9.3.1 Đối với kho chứa nổi có mũi loe và có thông số hình dáng Ar lớn hơn 21 m (68,9 ft), tại vùng thân phía mũi, các tải trọng sóng vỗ mũi loe phải được xét đối với đánh giá độ bền của tôn mạn và hệ thống nẹp liên quan tại vùng thân phía mũi của kho chứa nổi tại chiều chìm tính toán.
Ar = Giá trị cực đại của Ari trong vùng thân phía mũi
Ari = Thông số hình dáng mũi loe tại điểm trạm i phía trước một phần tư chiều dài, tới FP, được xác định giữa đường nước tải trọng (LWL) và boong trên hoặc thượng tầng mũi như sau:
(bT/H)2∑bj[ 1 + (sj/bi)2]1/2, j = 1, n; n ≥ 3
Với:
| n | = Số lượng phân đoạn |
| bT | = ∑bj |
| H | = ∑sj |
| bj | = Sự thay đổi cục bộ (tăng lên) của dầm đối với phân đoạn thứ j tại điểm trạm i (xem Hình 35) |
| sj | = Sự thay đổi cục bộ (tăng lên) của mạn khô lên tới boong cao nhất đối với phân đoạn thứ j tại điểm trạm i về phía trước (xem Hình 35) |
7.5.9.3.2 Sóng vỗ đáy danh nghĩa
Nếu không có sẵn dữ liệu thực nghiệm hoặc tính toán trực tiếp, các áp lực sóng vỗ đáy danh nghĩa có thể được xác định theo các công thức sau:
pij = poij hoặc pbij như được xác định dưới đây, theo giá trị nào lớn hơn
kN/m2 (tf/m2, Ltf/ft2)
pbij = k2k3[C2 + KijMvi(1+ Eni)] kN/m2 (tf/m2, Ltf/ft2)
Với:
| k1 | = 9,807 (1; 0,0278) |
| MRi | = 1,391AiβRVM(L/Cb)1/2 Đối với L tính bằng mét, nếu |
|
| = 8,266 AiβRVM (L/Cb)1/2 Đối với L tính bằng feet, nếu |
| Ai | = Hệ số như được nêu tại Bảng 12. |
| βRVM | = Hệ số ESF đối với chuyển động thẳng đứng liên quan như được xác định tại Phụ lục C. |
| L | = Khoảng cách tính bằng mét (feet) tại đường nước tải trọng mùa hè từ mặt trước của sống mũi tới đường tâm của trục bánh lái. Đối với sử dụng TCVN 6259, L không được lấy nhỏ hơn 96% và không cần lớn hơn 97% của chiều dài tại đường nước tải trọng mùa hè. Đầu mút mũi của L phải trùng với mặt trước của sống mũi trên đường nước mà L được đo tại đó. |
| Cb | = Hệ số béo, như được xác định tại 1.2.32 của TCVN 6259-1A, nhưng không được lấy nhỏ hơn 0,6. |
| hij | = Khoảng cách theo chiều thẳng đứng được đo từ đường nước tải trọng (LWL) tại điểm trạm i tới đường nước thứ j (WLj) trên mũi loe. Giá trị của hij không được lấy nhỏ hơn |
|
| = 0,005(L- 130) + 3,0) (m) L < 230 m |
|
| = 0,005(L- 426,4) + 9,84 (ft) L < 754 ft |
|
| = 7,143 x 10-3(L - 230) + 3,5 (m) 230 ≤ L < 300 m |
|
| = 7,143 x 10-3(L - 754,4) +11,48 (ft) 754 ≤ L < 984 ft |
|
| = 4,0 m (13,12 ft) L ≥ 300 m (984 ft) |
|
| = |
|
| = |
|
| = Góc đường sườn cục bộ chuẩn như thể hiện tại Hình 33, tính bằng độ |
|
| = tan-1[tan(βij)/cos(αij)] |
|
| = |
| βij | = Góc đường sườn cục bộ được đo từ phương nằm ngang, tính bằng độ, không cần lấy nhỏ hơn 75°, xem Hình 35. |
| αij | = Góc đường nước theo Hình 33 |
| k2 | = 1,025 (0,1045; 0,000888) |
| k3 | = 1 Đối với hij < |
|
| = |
|
| = 2 hij ≥ |
| C2 | = 39,2 (422,46) đối với m (ft) |
| Kij |
|
| fij | = |
| γ | = Góc sống mũi tại đường tâm được đo từ đường nằm ngang, 3-3/Hình 24, tính bằng độ, không nhỏ hơn 75° |
| rj | = (MRi)1/2 |
| bbij | = bij - bi0 ≥ 2,0 (6,56) m (ft) |
| bij | = Nửa xà ngang cục bộ của vị trí j tại điểm trạm i |
| bi0 | = Nửa xà ngang đường nước cục bộ tại điểm trạm i |
|
| = Khoảng cách theo chiều dọc của WLj tại điểm trạm i được đo từ giữa thân |
| MVi | = BiMRi |
| Bi | = Hệ số như nêu tại Bảng 12. |
| Eni | = Lô ga rit tự nhiên của nij |
| nij | = 5730(MVi/MRi)1/2Gij ≥ 1,0 |
| Gij | = |
Bảng 12 - Các giá trị của Ai và Bi*
|
| Ai | Bi |
| - 0,05L | 1,25 | 0,3600 |
| FP | 1,00 | 0,4000 |
| 0,05L | 0,80 | 0,4375 |
| 0,10L | 0,62 | 0,4838 |
| 0,15L | 0,47 | 0,5532 |
| 0,20L | 0,33 | 0,6666 |
| 0,25L | 0,22 | 0,8182 |
| 0,30L | 0,22 | 0,8182 |
| * Nội suy tuyến tính có thể được sử dụng cho các giá trị trung gian. | ||
7.3.9.3.3 Áp lực sóng vỗ mũi loe đồng thời
Đối với thực hiện phân tích kết cấu để xác định các phản ứng toàn bộ của các kết cấu thân, sự phân bố không gian của các áp lực sóng vỗ mũi loe tức thời trên vùng thân phía trước có thể được biểu thị bằng cách nhân các áp lực sóng vỗ mũi loe cực đại tính toán, pij, tại các điểm trạm phía trước của kho chứa nổi với một hệ số bằng 0,71 đối với các vùng giữa sống mũi và 0,3L tính từ FP.

Hình 35 - Xác định đặc tính hình học mũi loe cho thông số hình dáng mũi loe

Hình 36 - Góc sống mũi, γ
7.3.9.4 Nước mặt boong
Nếu không có sẵn dữ liệu thực nghiệm hoặc các tính toán trực tiếp, áp lực nước mặt boong tác động lên boong dọc theo chiều dài của kho chứa nỗi, kể cả các phần ngoài FP, có thể được lấy theo các công thức sau:
![]()
Với:
| Pgi | = Áp lực nước mặt boong, được phân bố đồng đều theo chiều ngang boong tại điểm trạm cụ thể i dọc theo chiều dài kho chứa nổi (xem Bảng 13). Áp lực ở khoảng giữa được lấy theo nội suy tuyến tính. Pgi không được lấy nhỏ hơn 20,6 kN/m2 (2,1 tf/m2; 0,192 Lt/ft2). |
| K | = 10,052 (1,025; 0,09372) |
| k1 | =1,0 (3,28) đối với đơn vị tính là m (ft) |
| Ai | = Như thể hiện tại Bảng 13. |
| βRVM | = Hệ số ESF của chuyển động thẳng đứng liên quan, theo xác định tại Phụ lục C. βRVM cho điều kiện tại vị trí hoạt động và dịch chuyển phải được xem xét. |
| Cb | = Như được xác định tại 13.2.1 của TCVN 6259-2A. |
| L | = Chiều dài của kho chứa nổi, tính bằng m (ft), theo 1.2.20 của TCVN 6259-1A. |
| B | = Chiều rộng lớn nhất của kho chứa nổi, m (ft), theo theo 1.2.22 của TCVN 6259-1A. |
| Fbi | = Mạn khô từ boong cao nhất tại mạn tới đường nước tải trọng (LWL) tại điểm trạm i, tính bằng m (ft), xem Hình 33. |
Bảng 13 - Các giá trị của Ai
| Mặt cắt i tính từ F.P. | Ai |
| - 0,05L | 23,3 |
| 0 | 20,7 |
| 0,05L | 18,2 |
| 0,10L | 16,1 |
| 0,15L | 14,7 |
| 0,20L | 14,3 |
| 0,25L | 14,2 |
| 0,30L | 14,1 |
| 0,35L | 14 |
| 0,40L | 14 |
| 0,45L | 14 |
| 0,50L | 14 |
| 0,55L | 14 |
| 0,60L | 14 |
| 0,65L | 14 |
| 0,70L | 14 |
| 0,75L | 14,2 |
| 0,80L | 14,2 |
| 0,85L | 14,2 |
| 0,90L | 14,7 |
| 0,95L | 17,1 |
| 1,00L | 19,9 |
7.3.10 Tải trọng boong
7.3.10.1 Tổng quát
Đối với thiết kế và đánh giá các kết cấu boong, các tải trọng sau đây do các thiết bị sản xuất trên boong phải được xem xét:
1) Trọng lượng tĩnh của các thiết bị sản xuất trên boong ở điều kiện thẳng đứng;
2) Các tải trọng động do chuyển động của kho chứa nổi;
3) Tải trọng do gió.
7.3.10.2 Các tải trọng đối với hoạt động tại vị trí
Các lực danh nghĩa từ mỗi mô đun sản xuất trên boong tại trọng tâm của mô đun đó có thể được lấy theo các công thức sau đây:

Với:
Φ và θ là các biên độ lắc dọc và lắc ngang được xác định tại 7.3.3.5.1.
Φ, tính bằng độ, không cần lấy lớn hơn 10 độ.
θ, tính bằng độ, không cần lấy lớn hơn 30 độ.
av, at và
tương ứng là gia tốc theo phương thẳng đứng, ngang và dọc, như quy định tại 7.3.3.5.1 đối với các góc tới μ trong Bảng 14.
Chú thích: Các gia tốc quy định tại 7.3.3.5.1 phải được xét là các giá trị sơ bộ và chỉ có thể được sử dụng khi các giá trị lấy từ các thử nghiệm mô hình hoặc các tính toán chuyển động của kho chứa nổi vẫn chưa có sẵn. Các lực thiết kế sau cùng từ các mô đun sản xuất trên boong phải được tính toán bằng việc sử dụng các giá trị gia tốc lấy từ dữ liệu thử nghiệm mô hình hoặc các tính toán chuyển động của kho chứa nổi đối với vị trí hoạt động.
Fv = Tải trọng thẳng đứng từ mỗi mô đun sản xuất, chiều dương hướng xuống
| Ft | = Tải trọng ngang từ mỗi mô đun sản xuất, chiều dương hướng sang mạn phải |
|
| = Tải trọng theo chiều dọc từ mỗi mô đun sản xuất, chiều dương hướng về phía trước |
| W | = Trọng lượng của mô đun sản xuất, kN (tf; Ltf) |
| Fwind | = |
Hai sự tổ hợp của các lực do sóng và do gió phải được xem xét:
Fv, Ft với hệ số kt = 1 và
với hệ số
= 0
Fv, Ft với hệ số kt = 0 và
với hệ số
= 1
Tải trọng boong phải được tính đối với trọng lượng lớn nhất của các thiết bị sản xuất trên boong cho sóng ngược (trường hợp tải trọng A), sóng ngang (trường hợp tải trọng B) và sóng xiên (trường hợp tải trọng C) liệt kê trong Bảng 14, mà tại đó đồng thời cũng có các hệ số tương quan cv, cT, cL, CΦ và Cθ cho mỗi trường hợp tải trọng.
Bảng 14 - Các hệ số tương quan cv, cT, cL, CΦ và Cθ
| Trường hợp tải trọng | LC A | LC B | LC C |
| cv | 0,8 | 0,4 | 0,7 |
| cL | 0,6 | 0 | 0,7 |
| cT | 0 | 0,9 | 0,7 |
| CΦ | -1 | 0 | -0,7 |
| Cθ | 0 | 1 | 0,7 |
| Góc hướng sóng μ (độ) | 0 | 90 | 60 |
Với:
| Vwind | = Vận tốc gió dựa trên tốc độ trung bình 1 giờ |
| Awind | = Diện tích mặt hứng gió vuông góc với hướng gió, m2 (ft2) |
| Cs | = Hệ số hình dáng, được xác định tại 4.1.4 của TCVN 6474. |
| Ch | = Hệ số chiều cao, được xác định tại 4.1.4 của TCVN 6474 cho gió trung bình 1 giờ |
Các lực từ mỗi mô đun sản xuất trên boong có thể được tính dựa trên các trạng thái biển dự báo dài hạn của vị trí hoạt động cụ thể. Không được lấy các lực Fv, Ft và
nhỏ hơn các giá trị được tính bằng cách sử dụng các giá trị của hệ số ESF được thiết lập từ C.3 của Phụ lục C.
7.3.10.3 Tải trọng trong điều kiện dịch chuyển
Các tải trọng danh nghĩa của các mô đun thiết bị sản xuất trên boong trong điều kiện dịch chuyển có thể được lấy theo các công thức tại 7.3.10.2 ở trên. Ngoài ra, các lực tương ứng có thể được tính toán dựa trên điều kiện biển đối với chuyến hành hải cụ thể.
7.3.10.4 Tải trọng nhiệt độ
a) Các tải trọng nhiệt tức thời trong các giai đoạn hạ nhiệt phải được xem xét đối với các két hàng dự kiến có nhiệt độ hàng dưới -55°C.
b) Các tải trọng nhiệt ổn định phải được xem xét đối với các két nơi mà sự bố trí hỗ trợ và nhiệt độ vận hành có thể tạo nên sự tăng các ứng suất nhiệt đáng kể.
7.4 Chỉ tiêu tính toán kích thước ban đầu
7.4.1 Tổng quát
7.4.1.1 Yêu cầu độ bền
a) Mục này quy định các yêu cầu độ bền tối thiểu đối với kết cấu thân liên quan tới sự xác định các kích thước ban đầu, bao gồm dầm tương đương thân, tôn bao và vách ngăn, các dầm dọc/nẹp gia cường và các cơ cấu đỡ chính. Khi đã xác định được các kích thước tối thiểu, độ bền của thiết kế có được phải được đánh giá phù hợp với 7.5. Đánh giá phải được thực hiện bằng các phương pháp của một phân tích kết cấu thích hợp theo 7.5.5 để thiết lập tính phù hợp với các tiêu chí phá hủy trong 7.5.2. Các chi tiết kết cấu phải tuân thủ theo 7.4.1.3.
b) Các yêu cầu đối với độ bền dầm tương đương được quy định tại 7.4.2. Kích thước yêu cầu của kết cấu đáy đôi, mạn ngoài và boong, và các vách dọc và ngang được quy định tại 7.4.4 tới 7.4.8. Các kích thước yêu cầu của kết cấu thân hỗ trợ của các két như các kết cấu đáy trong, boong lửng, vách ngang và vách dọc bên trong cũng phải được thiết kế theo các áp lực bên trong trên cơ sở IGC.
c) Các áp lực này có thể được tính theo các hệ số ESF β thích hợp theo quy định tại 7.3.3.6. đối với các kết cấu thân ngoài phạm vi 0,4L giữa thân, kích thước ban đầu được xác định phù hợp với 7.6.
7.4.1.2 Tính toán các hiệu ứng tải trọng
Các công thức đưa ra các yêu cầu xấp xỉ được nêu tại 7.4.4 đến 7.4.8 cho tính toán các mô men uốn thiết kế và các lực cắt đối với các cơ cấu đỡ. Các hiệu ứng tải trọng cục bộ này có thể được xác định từ một phân tích kết cấu 3D tại các các giai đoạn thiết kế sớm, như được nêu tại 7.5.5 đối với các trường hợp tải trọng IGC bổ sung nêu trong 7.3.5. Về khía cạnh này, phải cung cấp các kết quả phân tích chi tiết.
7.4.1.3 Các chi tiết kế cấu
Các chỉ tiêu độ bền tại Mục này và 7.6 được dựa trên các giả định rằng các mối nối kết cấu và chi tiết hàn được thiết kế và chế tạo hiệu quả và là thích hợp với các mức ứng suất làm việc dự kiến tại các vị trí được xét. Các mẫu tải trọng, tập trung ứng suất và các chế độ phá hủy tiềm tàng của các chi thiết và mối nối kết cấu phải được kiểm tra kỹ lưỡng khi thiết kế các vùng tập trung ứng suất cao. Trong đánh giá này, các chỉ tiêu phá hủy quy định tại 7.5.2 có thể được sử dụng để đánh giá sự phù hợp của các chi tiết kết cấu.
7.4.1.4 Đánh giá các nhóm nẹp
Nếu nhiều cơ cấu trong một nhóm có những sự khác nhau về yêu cầu được lấy là giống nhau, yêu cầu mô đun chống uốn có thể được lấy bằng trung bình của các yêu cầu riêng trong nhóm đó. Tuy nhiên, yêu cầu mô đun chống uốn đối với nhóm đó không được lấy nhỏ hơn 90% của mô đun chống uốn lớn nhất được yêu cầu cho các nẹp riêng rẽ trong phạm vi nhóm đó. Các thanh nẹp có vị trí tuần tự liên tiếp có kích thước bằng nhau có thể được coi là một nhóm.
7.4.2 Độ bền dầm tương đương
7.4.2.1 Khái quát
Độ bền dọc phải dựa theo Chương 13 của TCVN 6259-2A với các hiệu chỉnh được chỉ ra dưới đây.
7.4.2.2 Tải trọng trên nước tĩnh
Các tính toán mô men uốn và lực cắt trên nước tĩnh đối với tất cả các điều kiện tải trọng dự kiến trong hoạt động tại vị trí và khi dịch chuyển phải được trình nộp cùng với sự phân bố của các tải trọng tàu không.
Sự tác động của thiết bị neo, các trọng lượng ống đứng và các tải trọng thượng tầng lên các lực cắt và mô men uốn trên nước tĩnh phải được đưa vào xem xét trong các tính toán này.
7.4.2.3 Các tải trọng do sóng
7.4.2.3.1 Tính toán trực tiếp
Các lực cắt và mô men uốn do sóng có thể được xác định tương ứng theo 4.1.3 của TCVN 6474 đối với các điều kiện dịch chuyển và tại vị trí, đối chiếu với các yêu cầu tối thiểu nêu dưới đây.
7.4.2.3.2 Phương pháp Hệ số khắc nghiệt của môi trường (ESF)
Thay cho tính toán trực tiếp, nếu kho chứa nổi được định vị tại một vị trí có các thành phần tải trọng động nhỏ hơn các tải trọng từ các điều kiện hoạt động không hạn chế, các lực cắt và mô men uốn do sóng tại điều kiện tại vị trí có thể được tính toán bằng phương pháp Hệ số khắc nghiệt của môi trường (ESF), như được mô tả tại 7.3.1 và Phụ lục C. Phương pháp này có thể được áp dụng để hiệu chỉnh các công thức tính lực cắt và mô men uốn dầm tương đương do sóng đối với hoạt động không hạn chế, như được quy định tại 7.3.3.
7.4.2.4 Mô đun chống uốn dầm tương đương
7.4.2.4.1 Mô đun chống uốn
Mô đun chống uốn dầm tương đương yêu cầu đối với 0,4L giữa thân phải lớn hơn các giá trị tính theo công thức sau hoặc mô đun chống uốn tối thiểu SMmin tại 7.4.2.4.2.
SM = Mt/ƒv cm2-m (in2-ft)
Với:
| Mt | = Tổng mô men uốn, theo mô tả dưới đây. |
| ƒp | = ứng suất uốn giới hạn danh nghĩa trong phạm vi 0,4L giữa thân. |
|
| = 17,5 kN/cm2 (1,784 tf/cm2; 11,33 Ltf/in2) |
|
| = ứng suất uốn giới hạn danh nghĩa phía trước của 0,9L tính từ A.P và phía sau của 0,1L tính từ A.P. |
|
| = 12,5 kN/cm2 (1,274 tf/cm2; 8,09 Ltf/in2) |
Nội suy tuyến tính phải được sử dụng cho các vị trí trung gian.
Mô men uốn tổng, Mt phải được xét là tổng đại số cực đại của mô men uốn cực đại trên nước tĩnh (Msw) đối với hoạt động tại vị trí hoặc khi dịch chuyển tổ hợp với mô men uốn do sóng tương ứng dự kiến tại vị trí và khi dịch chuyển tới vị trí hoạt động của kho chứa nổi. Thay cho các lực cắt và mô men uốn đứng dầm tương đương do sóng được tính toán trực tiếp, có thể sử dụng phương pháp Hệ số khắc nghiệt của môi trường (ESF), mà có thể được áp dụng để hiệu chỉnh các công thức tính lực cắt và mô men uốn dầm tương đương do sóng theo TCVN 6259-2A (xem 7.3.3).
7.4.2.4.2 Mô đun chống uốn tối thiểu
Tùy thuộc vào giá trị của ESF, βvbm đối với mô men uốn đứng dầm tương đương do sóng gây ra (xem Phụ lục C), mô đun chống uốn tối thiểu của dầm tương đương SMmin của kho chứa nổi, như được quy định tại 13.2.1(2) của TCVN 6259-2A, có thể thay đổi phù hợp như sau:
| βvbm | SMmin |
| < 0,7 |
|
| 0,7 đến 1,0 |
|
| > 1,0 |
|
Với
= mô đun chống uốn tối thiểu của dầm tương đương như được yêu cầu tại 13.2.1(2) của TCVN 6259-2A.
7.4.2.4.3 Các cơ cấu dọc hiệu dụng
Tính toán mô đun chống uốn của dầm tương đương phải được thực hiện phù hợp với 13.2.3 của TCVN 6259-2A, và được hiệu chỉnh dưới đây. Để phù hợp với tiêu chí bền theo khái niệm kích thước “tinh”, các giá trị ăn mòn thiết kế danh nghĩa nêu trong Bảng 3 phải được giảm trừ khi tính mô đun chống uốn tinh, SMn.
7.4.2.4.4 Phạm vi của kích thước giữa thân
Các hạng mục thuộc mô đun chống uốn dầm tương đương giữa thân phải được mở rộng nếu cần thiết để thỏa mãn mô đun chống uốn dầm tương đương được yêu cầu tại vị trí được xét. Mô đun chống uốn dầm tương đương yêu cầu có thể được tính bằng Mt/ƒp tại vị trí đang xét ngoại trừ nếu (Mt)max/ ƒp nhỏ hơn SMmin tại 7.4.2.4.2. Trong trường hợp này, mô đun chống uốn yêu cầu phải được tính bằng cách nhân SMmin với tỷ số Mti/(Mt)max, trong đó Mti là mô men uốn tổng tại vị trí được xét và (Mt)max là mô men uốn cực đại tại giữa thân.
7.4.2.4.5 Kiểm soát biến dạng màng mỏng
Nhà chế tạo hệ thống ngăn chứa có thể có các giới hạn rõ ràng về ứng suất dầm tương đương mà có thể tác động lên mô đun chống uốn dầm tương đương yêu cầu tối thiểu. Các giới hạn này phải được thỏa mãn trong thiết kế kết cấu thân.
7.4.2.5 Mô men quán tính của dầm tương đương
Mô men quán tính của dầm tương đương, I, không được nhỏ hơn:
I = L . SM/33,3 cm2-m2 (in2-ft2)
Với:
L = Chiều dài của kho chứa nổi, xác định theo 1.2.20 của TCVN 6259-1A, tính bằng m (ft).
SM = Mô đun chống uốn yêu cầu của dầm tương đương, cm2-m (in2-ft). Xem 7.4.2A
7.4.2.6 Độ bền tới hạn của dầm tương đương
Ngoài các yêu cầu về độ bền nêu tại 7.4.2.4, độ bền tới hạn theo chiều thẳng đứng của dầm tương đương cho các điều kiện vồng lên và võng xuống đối với điều kiện môi trường thiết kế (DEC) của kho chứa nổi phải thỏa mãn trạng thái giới hạn như nêu dưới đây. Điều này chỉ cần áp dụng trong phạm vi vùng 0,4L giữa thân.
γsMs + γw βvbmMw ≤ Mu/γu
Với:
| Ms | = Mô men uốn cho phép trên nước tĩnh, kN-m (tf-m, Ltf-ft) |
| Mw | = Mô men uốn đứng do sóng theo 7.3.3.2.1, kN-m (tf-m, Ltf-ft) |
| Mu | = Độ bền tới hạn của dầm tương đương, mà có thể được xác định từ các công thức nêu trong Phụ lục D, tính bằng kN-m (tf-m, Ltf-ft). |
| βvbm | = ESF đối với mô men uốn đứng do sóng đối với DEC. |
| γs | = Hệ số tải trọng cho mô men uốn do sóng cho phép cực đại, nhưng không lấy nhỏ hơn 1,0. |
| γw | = Hệ số tải trọng đối với mô men uốn do sóng, nhưng không lấy nhỏ hơn giá trị dưới đây đối với các giới hạn được nêu. |
|
| = 1,3 đối với Ms < 0,2Mt hoặc Ms > 0,5Mt |
|
| = 1,2 đối với 0,2Mt ≤ Ms ≤ 0,5Mt |
| Mt | = Mô men uốn tổng, kN-m (tf-m, Ltf-ft) |
|
| = Ms + βvbmMw |
| γu | = Hệ số an toàn đối với khả năng uốn đứng của dầm tương đương, nhưng không lấy nhỏ hơn 1,15. |
7.4.2.7 Kích thước tối thiểu đối với phương pháp tiếp cận ESF
Khi áp dụng phương pháp tiếp cận ESF trong tính toán kích thước yêu cầu, kích thước đó phải không được nhỏ hơn 85% của kích thước được xác định theo TCVN 6259 đối với hoạt động không hạn chế.
7.4.2.8 Hướng dẫn xếp hàng
Phải có hướng dẫn xếp hàng dựa trên các điều kiện nước tĩnh. Xem 5.6 về các yêu cầu chung liên quan đến việc lập và ban hành của hướng dẫn xếp hàng liên quan tới độ bền dầm tương đương. Dụng cụ đo hàng cũng được yêu cầu.
7.4.3 Độ bền cắt
7.4.3.1 Tổng quát
Chiều dày tinh của tôn bao mạn ts và chiều dày tinh của tôn vách dọc ti phải được xác định theo lực cắt đứng tổng Ft và ứng suất cắt cho phép ƒs được nêu dưới đây:
t = kFm/Iƒs mm (in.)
Với:
| t | = ts hoặc ti một cách thích hợp (xem thêm 7.4.3.2 và 7.4.3.3). |
| k | = 10,0 (10,0; 1,0) |
| F | = FtDs hoặc (Ft + Ri)Di tính bằng kN (tf, Ltf) |
| Ft | = Fs + βVSF Fw kN (tf, Ltf) |
| m | = Mô men tĩnh (firs tmoment) của tiết diện tinh của dầm tương đương, cm3 (in3), so với trục trung trung hoa, của tiết diện giữa cao độ mà tại đó ứng suất cắt đang được xét và cao độ cực hạn của tiết diện được xét. |
| I | = Mô men quán tính của tiết diện tinh dầm tương đương tại vị trí được xét, cm4 (in4). |
| ƒs | = 11,96/Q kN/cm2 (1,220/Q tf/cm2; 7,741/Q Ltf/in2) ngoài biển biển |
|
| = 10,87/Q kN/cm2 (1,114/Q tf/cm2; 7,065/Q Ltf/in2) trong cảng |
| Q | = Hệ số chuyển đổi vật liệu |
|
| = 1,0 đối với thép thường |
|
| = 0,78 đối với thép A 32, D 32, E32, F 32 hoặc tương đương. |
|
| = 0,72 đối với thép A 36, D 36, E36, F 36 hoặc tương đương. |
|
| = 0,68 đối với thép A 40, D 40, E40, F 40 hoặc tương đương |
| FS | = Lực cắt trên nước tĩnh theo đường cong bao lực cắt trên nước tĩnh đối với tất cả các điều kiện tải trọng dự kiến phù hợp với 13.3 của TCVN 6259-2A, tại vị trí được xét, kN (tf, Ltf). |
| FW | = Lực cắt đứng do sóng, kN (tf, Ltf), như được nêu tại 7.3.3.2.3. FW đối với điều kiện trong cảng có thể được lấy bằng không. |
| βVSF | = ESF đối với lực cắt đứng, như được xác định tại Phụ lục C. |
| Ds | = Hệ số phân bố lực cắt đối với tôn mạn |
| Di | = Hệ số phân bố lực cắt đối với các vách dọc, với i được xác định dưới đây: |
| i | = ob đối với vách dọc ngoài cùng (mạn trong) |
|
| = cb đối với vách ngăn dọc |
Ds và Dob có thể được lấy theo các công thực tại 7.4.3.2 và 7.4.3.3 khi không có sẵn một tính toán trực tiếp để xác định sự phân bố lực cắt giữa mạn ngoài và mạn trong và với mạn trong nằm tại khoảng cách không xa hơn 0,075B tính từ mạn ngoài.
Đối với mục đích tính chiều dày yêu cầu cho cắt dầm tương đương, ký hiệu Ft có thể được bỏ qua trừ khi tổng đại số với các lực cắt khác như các thành phần tải trọng cục bộ là tương thích.
Các giá trị ăn mòn thiết kế danh nghĩa nêu tại Bảng 3 cho tôn mạn và tôn vách dọc phải được thêm vào chiều dày tinh.
7.4.3.2 Chiều dày tinh của tôn bao mạn
7.4.3.2.1 Chiều dày tinh
ts - kFtDsm/Iƒs mm (in.)
Với:
Ds = Hệ số phân bố lực cắt đối với tôn mạn, như được xác định tại 7.4.3.2.2 hoặc 7.4.3.2.3 dưới đây.
Ft, m, k,I và ƒs được xác định tại 7.4.3.1 ở trên.
7.4.3.2.2 Hệ số phân bố lực cắt đối với kho chứa nổi có hai vách dọc ngoài cùng (chỉ có mạn trong)
Ds = 0,384 - 0,167 Aob/As - 0,190 bs/B
Với:
| Aob | = Tổng diện tích chiếu của tôn chiều dày tinh vách dọc ngoài cùng (mạn trong) phía trên đáy trong (một phía), cm2(in2) |
| Αs | = Tổng diện tích chiếu của tôn chiều dày tinh mạn ngoài (một phía), cm2(in2) |
| bs | = Khoảng cách giữa mạn trong và mạn ngoài, m (ft) |
| B | = Chiều rộng của kho chứa nổi, m (ft), như được xác định tại 1.2.22 của TCVN 6259- 1A. |
7.4.3.2.3 Hệ số phân bố lực cắt đối với kho chứa nổi có hai mạn trong và hai vách ngăn dọc
Ds = 0,330 - 0,218 Aob/As - 0,043 bs/B
Với Aob, As, bs và B được xác định theo 7.4.3.2.2 ở trên.
7.4.3.3 Chiều dày tinh của các vách dọc
7.4.3.3.1 Chiều dày tinh
ti = k(Ft + Ri)Dim/Iƒs mm (in.)
Với:
| Di | = Hệ số phân bố lực cắt đối với vách dọc |
| Ri | = Hiệu chỉnh tải trọng cục bộ |
| i | = ob đối với vách dọc ngoài cùng (mạn trong) |
|
| = cb đối với vách dọc khoang cách ly |
Ft, m, k, I và ƒs được xác định tại 7.4.3.1 ở trên.
Các thông số khác, phụ thuộc vào cấu hình két của kho chứa nổi, két trung tâm hoặc hai két song song, được xác định tại 7.4.3.3.2 và 7.4.3.3.3 dưới đây.
7.4.3.3.2 Kho chứa nổi có hai vách dọc bên ngoài (chỉ có mạn trong)
Chiều dày tinh của tôn mạn trong tại vị trí được xét:
tob = kFtDobm/Iƒs mm (in.)
Với:
Dob = 0,116 - 0,167 Aob/As - 0,190 bs/B
Với Aob, As, bs, B, Ft, I, k, m và ƒs được xác định theo trên.
7.4.3.3.3 Kho chứa nổi có hai mạn trong và hai vách dọc khoang cách ly
a) Chiều dày tinh của tôn vách dọc khoang cách ly tại vị trí được xét:
tib = k(Ft + Rcb)Dcbm/Iƒs mm (in.)
Với:
| Rcb | = Wc[(2Nwcbkcb/3HcbDcbm)-1] ≥ 0 |
| Wc | = Tải trọng cục bộ, tính bằng kN (tf; Ltf), được tính theo 7.4.3.4 và Hình 38, đối với hệ thống ngăn chứa két màng |
|
| = 0,0 đối với hệ thống ngăn chứa két rời |
| Nwcb | = Hệ số phân bố tải trọng cục bộ đối với vách dọc khoang cách ly |
|
| = (0,66Dcb + 0,25) (n - 1 )/n |
| n | = Tổng số khoảng khoảng sườn ngang trong két trung tâm |
| kcb | = |
|
| = Tổng diện tích của tôn vách dọc khoang cách ly phía trên của cạnh dưới của dải tôn được xét, cm2(in2) |
| Acb | = Tổng diện tích chìa ra của tôn vách cách ly kích thước tinh, cm2 (in2) |
| Hcb | = Chiều cao của vách dọc khoang cách ly phía trên đáy đôi, tính bằng cm (in.) |
| Dcb | = 0,064 + 0,093Acb/As + 0,054Aob/As - 0,159bs/B |
Các thông số khác được xác định theo 7.4.3.2.
b) Chiều dày tinh của tôn vách dọc ngoài cùng tại vị trí được xét:
tob ≥ FtDobm/Iƒs cm (in.)
Với:
Dob = 0,106 - 0,093 Acb/As + 0,164Aob/As + 0,202 bs/B
Tất cả các thông số khác được xác định tại 7.4.3.2 và 7.4.3.3.
7.4.3.4 Tính toán các tải trọng cục bộ
7.4.3.4.1 Trong tính toán các lực cắt tại các vị trí mút của các két, các tải trọng cục bộ phải được tính toán như thể hiện trong ví dụ sau đây. Bố trí két đối với ví dụ này là như hình Hình 38. các két dằn trong phạm vi đáy đôi và mạn kép phải được coi là trống rỗng khi tính toán cột chất lỏng quá mức.
7.4.3.4.2 Kho chứa nổi có hai vách dọc ngoài và hai vách dọc khoang cách ly
Tải trọng cục bộ Wc có thể được biểu thị tương ứng bởi Wc(ƒ) và Wc(a) tại đầu mút trước và sau của két hàng, tính bằng kN (tf, Ltf).
![]()
Nhưng không cần lấy lớn hơn ![]()
Với:
| ρg | = Trọng lượng riêng của chất lỏng, không lấy nhỏ hơn 4,9 kN/m3 (0,5 tf/m3; 0,0139 Ltf/ft3) |
| ρog | = Trọng lượng riêng của nước biển, 10,05 kN/m3 (1,025 tf/m3; 0,0286 Ltf/ft3) |
|
| = Tương ứng là chiều dài và chiều rộng của các két hàng, m (ft) như thể hiện tại Hình 38. |
| Hc | = Cột chất lỏng trong két hàng, m (ft) |
| av | = Gia tốc thẳng đứng tại giữa thân với một góc sóng bằng 0 độ, m/sec2 (ft/sec2), theo 7.3.3.5.1c). |
| g | = Gia tốc trọng trường = 9,8 m/sec2 (32,2 ft/sec2) |
| ϕ | = Biên độ lắc dọc tính bằng độ, theo 7.3.3.5.1a) |
| dƒ | = Chiều chìm, như xác định tại 1.2.30 của TCVN 6259-1A, m (ft) |
| C1 | = Xác định theo 7.3.3.2.1. |
| βVAC | = ESF đối với gia tốc thẳng đứng, như xác định tại Phụ lục C. |
| βPMO | = ESF đối với chuyển động lắc dọc, như được xác định tại Phụ lục C. |
Đối với các vị trí không gần các đầu mút của các két, Rcb và Rib có thể được xác định theo các giá trị của Wc tại các vị trí được xét.
7.4.3.5 Áp dụng mô hình phần tử hữu hạn 3D
Sự phân bố của các ứng suất cắt tổng trên tôn bao mạn và tôn vách dọc và mạn trong (chiều dày tinh) có thể được tính toán sử dụng một phân tích kết cấu mô hình phần tử hữu hạn 3D để kiểm tra độ bền cắt đối với tất cả các điều kiện tải trọng dự kiến.

Kho chứa nổi có hai vách dọc

Hình 37 - Xác định bs và giới hạn đối với tính toán Aob và As - Một két trung tâm đơn

Kho chứa nổi có bốn vách dọc

Hình 38 - Xác định bs và giới hạn đối với tính toán Aob và As - Hai két song song
7.4.4 Kết cấu đáy đôi
7.4.4.1 Tổng quát
7.4.4.1.1 Bố trí
Bố trí của các sống, đà ngang, các hệ thanh và các lỗ khoét đi lại của đáy đôi phải phù hợp với Chương 4 của TCVN 6259-2A. Tại Chương 4 của TCVN 6259-2A, khoảng cách tối đa của các đà ngang đặc được ghi là 3,66 m (12 ft). đối với FLGT khoảng cách giữa các đà ngang đặc trong khu vực hàng không giới hạn bởi 3,66 m (12 ft), với điều kiện kết cấu được chứng mình là thỏa mãn bởi các phân tích ISE và TSA. Đối với FLGT có các két rời, khoảng cách của các đà ngang đặc phải đủ để truyền tải trọng từ các cơ cấu đỡ két. Đối với FLGT có các két màng, khoảng cách của các đà ngang đặc phải đủ để ngăn chuyển vị của các mảng tấm mà trên đó có lắp các hệ thống cách nhiệt mỏng khỏi sự vượt quá chuyển vị cho phép cực đại như theo 7.5.3.1.1. các sống dọc tâm và sống mạn phải được lắp đặt nếu cần thiết để cung cấp đủ đọ cứng và độ bền cho các tải trọng trên triển đà cũng như các tải trọng được quy định trong 7.3.
7.4.4.1.2 Tôn ki - Chiều dày tinh
Chiều dày tinh của ki tấm phẳng phải lớn hơn chiều dày tinh tôn đáy được yêu cầu tại vị trí đó không ín hơn 1,5 mm (0,06 in.) (xem 7.4.4.2.2). Nếu bản vẽ lên đà được trình nộp (theo 5.2.2-1 của TCVN 6259-1A) chỉ ra rằng các khối kê trên đà được bố trí xa so với ki, giá trị tăng thêm 1,5 mm (0,06 in.) vào chiều dày tinh là không bắt buộc.
7.4.4.1.3 Tôn bao đáy - Định nghĩa
Thuật ngữ “tôn bao đáy” được hiểu là tôn đáy từ ki tới phần lượn trên của cung hông vượt khỏi 0,4L giữa thân.
7.4.4.1.4 Dầm dọc hông
Các dầm dọc xung quanh hông phải được phân bậc kích thước từ kích thước yêu cầu đối với dầm dọc mạn thấp nhất tới kích thước yêu cầu đối với dầm dọc đáy. Khi không có dầm dọc tại hông, các dầm dọc đáy và dầm dọc mạn phải được bố trí sao cho khoảng cách giữa dầm dọc gần nhất và phần lượn của hông không lớn hơn 0,4s (s là khoảng cách giữa các dầm dọc đáy (Sb) hoặc giữa các dầm dọc mạn (Ss), một cách thích hợp (xem Hình 39).

Hình 39 - Mô tả dầm dọc hông
7.4.4.2 Tôn bao đáy và tôn đáy trong
7.4.4.2.1 Chiều dày của tôn bao đáy và tôn đáy trong, ngoài 0,4L giữa thân phải thỏa mãn các yêu cầu mô đun chống uốn dầm tương đương tại Chương 13 của TCVN 6259-2A. Độ bền ổn định và bền tới hạn phải phù hợp với các yêu cầu tại 7.5.3. Ngoài ra, chiều dày tinh của tôn bao đáy và tôn đáy trong phải không nhỏ hơn giá trị tính dưới đây.
7.4.4.2.2 Tôn bao đáy - Chiều dày tinh
a) Chiều dày tinh của tôn bao đáy, tn, không được nhỏ hơn t1, t2 và t3 được quy định dưới đây:
t1 = 0,73 s(k1p/ƒ1)1/2 mm (in.)
t2 = 0,73 s(k2v/ƒ2)1/2 mm (in.)
t3 = c s(Smƒy/E)1/2* mm (in.)
Với:
| s | = Khoảng cách giữa các dầm dọc đáy, mm (in.) |
| k1 | = 0,342 |
| k2 | = 0,500 |
| p | = pa - puh hoặc pb, theo giá trị lớn hơn, N/cm2 (kgf/cm2, lbf/in2) |
|
| |
|
| Nội suy tuyến tính phải được sử dụng cho các giá trị trung gian của |
|
| Nếu đỉnh của két dằn mạn kép không lên tới boong lộ, puh phải được lấy bằng 0. |
| pa, pb | = Tương ứng, là các áp lực danh nghĩa, N/cm2 (kgf/cm2, lbf/in2), như được xác định tại trường hợp tải trọng “a” và “b” trong Bảng 9 đối với tôn đáy. |
| γ | = Trọng lượng riêng của nước dằn, 1,005 N/cm2-m (0,1025 kgf/cm2-m; 0,4444 lbf/in2-ft) |
| h | = Chiều cao của két dằn mạn kép tại mạn của kho chứa nổi, m (ft) |
|
| = Chiều dài của két dằn mạn kép, m (ft), được đo tại đỉnh của két |
| L | = Chiều dài của kho chứa nổi, m (ft), như được xác định tại 1.2.20 của TCVN 6259-1A. |
| ϕe | = Biên độ lắc dọc hiệu dụng |
|
| = 0,71ϕ |
| ϕ | = Biên độ lắc dọc như được xác định tại 7.3.3.5.1. |
| ƒ1 | = ứng suất uốn cho phép, theo hướng dọc, N/cm2 (kgf/cm2, lbf/in2) |
|
| = (1 - 0,70 α1 SMRB /SMB) Smƒy ≤ ƒmax |
|
| = (1 - 0,70 α1 SMRB /SMB) Smƒy ≤ [0,40 + 0,1 (190 - L)/40]Smƒy đối với L < 190m |
| ƒmax | = 0,40Smƒy trong phạm vi 0,4L giữa thân |
|
| = 0,55 Smƒy từ vách mút tới đầu mút của thân |
| Nội suy tuyến tính phải được sử dụng cho vị trí trung gian. | |
| α1 | = Sm1ƒy1 / Smƒy |
| SMRB | = Mô đun chống uốn tiết diện tinh dầm tương đương tham chiếu dựa trên hệ số vật liệu của bản cánh dưới của dầm tương đương, cm2-m (in2-ft). |
|
| = 0,92 SM |
| SMB | = Mô đun chống uống tiết diện tinh dầm tương đương so với đáy cm2-m (in2-ft). |
| SM | = Mô đun chống uốn dầm tương đương yêu cầu phù hợp với 7.4.2.4.1, có xét tới hệ số vật liệu của bản cánh dưới của dầm tương đương, cm2-m (in2-ft) |
| ƒ2 | = ứng suất uốn cho phép, theo hướng ngang, N/cm2 (kgf/cm2, lbf/in2). |
|
| = 0,8Smƒy trong phạm vi 0,4L giữa thân |
|
| = 1,00Smƒy từ vách mút tới đầu mút của thân |
| Nội suy tuyến tính phải được sử dụng cho vị trí trung gian. | |
| Sm | = Hệ số suy giảm độ bền đối với tôn đáy |
|
| = 1,0 đối với thép thường |
|
| = 0,95 đối với thép A 32, D 32, E32, F 32 hoặc tương đương. |
|
| = 0,908 đối với thép A 36, D 36, E36, F 36 hoặc tương đương. |
| Sm1 | = Hệ số suy giảm độ bền đối với bản cánh dưới của dầm tương đương |
| ƒy | = Giới hạn chảy dẻo quy định tối thiểu của vật liệu tôn đáy, N/cm2 (kgf/cm2, lbf/in2). |
| ƒy1 | = Giới hạn chảy dẻo quy định tối thiểu của bản cánh dưới của dầm tương đương, N/cm2 (kgf/cm2, lbf/in2). |
| E | = Mô đun đàn hồi của vật liệu, có thể được lấy bằng 2.06 x 107 N/cm2 (2,1 x 106 kgf/cm2; 30 x 106 lbf/in2) đối với thép |
| c | = 0,7N2 - 0,2, không được nhỏ hơn 0,4Q1/2 |
| N | = Rb(Q/Qb)1/2 |
| Rb | = (SMRBH/SMB)1/2 |
| SMRBH | = Mô đun chống uốn tiết diện tinh dầm tương đương tham chiếu đối với mô men uốn vồng lên dựa trên hệ số vật liệu của bản cánh dưới của dầm tương đương, cm2-m (in2-ft) |
|
| = 0,92SMH |
| SMH | = Mô đun chống uốn dầm tương đương yêu cầu phù hợp với 13.2.1 và 1.1.7 của TCVN 6259-2A, đối với tổng mô men uốn vồng lên dựa trên hệ số vật liệu của bản cánh dưới của dầm tương đương, cm2-m (in2-ft) |
| Q, Qb | = Hệ số chuyển đổi vật liệu tương ứng đối với tôn bao đáy dược xét và bản cánh dưới của dầm tương đương |
|
| = 1,0 đối với thép thường |
|
| = 0,78 đối với thép A 32, D 32, E32, F 32 hoặc tương đương. |
|
| = 0,72 đối với thép A 36, D 36, E36, F 36 hoặc tương đương. |
* Chiều dày tinh, t3, có thể được xác định theo Sm và ƒy của vật liệu độ bền dầm tương đương được yêu cầu tại vị trí được xét.
b) Ngoài các yêu cầu nêu trên, chiều dày tinh của tôn bao đáy, về phía mạn 0,35 tính từ đường dọc tâm của kho chứa nổi, phải không được nhỏ hơn chiều dày tinh của tôn bao mạn thấp nhất được yêu cầu bởi 7.4.5.1 được điều chỉnh theo khoảng cách giữa các dầm dọc và các hệ số vật liệu.
c) Chiều dày tinh của tôn bao đáy tại không gian hầm ống cũng không được nhỏ hơn chiều dày tinh của tôn đáy tại không gian liền kề.
7.4.4.2.3 Tôn đáy trong - Chiều dày tinh
Chiều dày tinh của tôn đáy trong, tn, không được nhỏ hơn t1, t2, t3 hoặc t4 được quy định dưới đây:
t1 = 0,73 s(k1p/ƒ1)1/2 mm (in.)
t2 = 0,73 s(k2p/ƒ2)1/2 mm (in.)
t3 = c s(Smƒy/E)1/2 * mm (in.)
t4 = 0,73 s k(k2pgc/ƒ)1/2 mm (in.)
Nếu tôn đáy trong có hệ nẹp ngang cục bộ, chiều dày tinh của tôn đáy trong, tn, không được nhỏ hơn t5 hoặc t6 thay vì t1, t2, t3 và t4, được quy định như sau:
t5 = 0,73 st k(k2p/ƒ2)1/2 mm (in.)
t2 = 0,73st k(k2pgc/ƒ)1/2 mm (in.)
Với:
| s | = Khoảng cách giữa các dầm dọc đáy, mm (in.) |
| St | = Khoảng cách của mã gia cường nẹp ngang, mm (in.) |
| k1 | = 0,342 |
| k2 | = 0,50 |
| k | = (3,075α1/2 -2,077)/(α + 0,272) (1 ≤ α ≤ 2) |
|
| = 1,0 (α > 2) |
| α | = Tỷ số kích thước của mảng (cạnh dài/cạnh ngắn) |
| p | = pa - puh hoặc pb theo giá trị lớn hơn, N/cm2 (kgf/cm2, Ibf/in2) |
| pa, pb | = Tương ứng, là các áp lực danh nghĩa, N/cm2 (kgf/cm2, lbf/in2), như được xác định tại trường hợp tải trọng “a” và “b” trong Bảng 9 đối với tôn đáy. |
| puh | = Xác định tại 7.4.4.2.2. |
| ƒ1 | = ứng suất uốn cho phép, theo hướng dọc, N/cm2 (kgf/cm2, lbf/in2) |
|
| = (1 - 0,52α1 SMRB/SMB)Smƒy ≤ ƒmax, với SMB/SMRB không được lấy lớn hơn 1,4. |
| ƒmax | = 0,57Smƒy trong phạm vi 0,4L giữa thân |
|
| = 0,65 Smƒy từ vách mút tới đầu mút của thân |
Nội suy tuyến tính phải được sử dụng cho vị trí trung gian.
| ƒ2 | = ứng suất uốn cho phép, theo hướng ngang, N/cm2 (kgf/cm2, lbf/in2). |
|
| = 0,85Smƒy trong phạm vi 0,4L giữa thân |
|
| = 1,00Smƒy từ vách mút tới đầu mút của thân |
Nội suy tuyến tính phải được sử dụng cho vị trí trung gian.
| ƒ | = 0,75ƒy |
| α1 | = Sm1ƒy1 /Smƒy |
| Sm | = Hệ số suy giảm độ bền theo 7.4.4.2.2 đối với vật liệu tôn đáy trong |
| Sm1 | = Hệ số suy giảm độ bền theo 7.4.4.2.2 đối với vật liệu bản cánh dưới |
| ƒy | = Giới hạn chảy dẻo quy định tối thiểu của vật liệu tôn đáy trong, N/cm2 (kgf/cm2, lbf/in2). |
| ƒy1 | = Giới hạn chảy dẻo quy định tối thiểu của vật liệu bản cánh dưới, N/cm2 (kgf/cm2, lbf/in2). |
| c | = 0,7N2 - 0,2, không được nhỏ hơn 0,37Q1/2 |
| N | = Rb[(Q/Qb)/(y/yn)]1/2 |
| Q, Qb | = Tương ứng, là hệ số chuyển đổi vật liệu tương ứng đối với tôn đáy trong dược xét và bản cánh dưới của dầm tương đương |
|
| = 1,0 đối với thép thường |
|
| = 0,78 đối với thép A 32, D 32, E32, F 32 hoặc tương đương. |
|
| = 0,72 đối với thép A 36, D 36, E36, F 36 hoặc tương đương. |
| γ | = Khoảng cách theo phương thẳng đứng, m (ft), được đo từ đáy trong tới trục trung hòa của tiết diện dầm tương đương |
| γn | = Khoảng cách theo phương thẳng đứng, m (ft), được đo từ đáy tới trục trung hòa của tiết diện dầm tương đương |
| pgc | = po + (pgd)max N/cm2 (kgf/cm2, lbf/in2) |
| po | = Áp suất hơi thiết kế của két hàng, N/cm2 (kgf/cm2, lbf/in2), như được xác định tại 7.1.2.6. |
| pgd | = aβZβk3ρ10-4 N/cm2 (kgf/cm2, lbf/in2) |
| aβ | = Gia tốc không thứ nguyên, xem 7.3.3.6.3 |
| Zβ | = Cột áp chất lỏng két hàng lớn nhất tính bằng m (ft) phía trên điểm tại đáy trong được xét, xem 7.3.3.6.3. |
| k3 | = 9;81 (1,0; 69,44) |
| ρ | = Trọng lượng riêng lớn nhất của hàng, N/m3 (kgf/m3, lbf/ft3), tại nhiệt độ thiết kế, nhưng ρ không được lấy nhỏ hơn 4900 N/m3 (500 kgf/m3; 31,214 lbf/ft3) |
| SMRB | = Mô đun chống uốn tiết diện tinh dầm tương đương tham chiếu dựa trên hệ số vật liệu của bản cánh dưới của dầm tương đương, cm2-m (in2-ft). |
|
| = 0,92 SM |
| SMB | = Mô đun chống uống tiết diện tinh dầm tương đương so với đáy cm2-m (in2-ft). |
| SM | = Mô đun chống uốn dầm tương đương yêu cầu phù hợp với 7.4.2.4.1, có xét tới hệ số vật liệu của bản cánh dưới của dầm tương đương, cm2-m (in2-ft) |
| Rb | = (SMRBH/SMB)1/2 |
| SMRBH | = Mô đun chống uốn tiết diện tinh dầm tương đương tham chiếu đối với mô men uốn vồng lên dựa trên hệ số vật liệu của bản cánh dưới của dầm tương đương, cm2-m (in2-ft) |
|
| = 0,92SMH |
| SMH | = Mô đun chống uốn dầm tương đương yêu cầu phù hợp với 13.2 và 1.1.7 của TCVN 6259-2A, đối với tổng mô men uốn vồng lên dựa trên hệ số vật liệu của bản cánh dưới của dầm tương đương, cm2-m (in2-ft) |
| E | = Mô đun đàn hồi của vật liệu, có thể được lấy bằng 2.06 x 107 N/cm2 |
(2,1 x 106 kgf/cm2; 30 x 106 lbf/in2) đối với thép
* Chiều dày tinh, t3, có thể được xác định theo Sm và ƒy của vật liệu độ bền dầm tương đương được yêu cầu tại vị trí được xét.
Ngoài các yêu cầu nêu trên, chiều dày tinh của tôn đáy trong, về phía mạn 0,3B tính từ đường dọc tâm của kho chứa nổi, phải không được nhỏ hơn t1, t2 và t5 yêu cầu bởi 7.4.7.1 đối với dải tôn mạn trong thấp nhất được điều chỉnh theo khoảng cách giữa các dầm dọc và các hệ số vật liệu.
Đối với tôn đáy trong có hệ nẹp ngang, mất ổn định theo hướng ngang phải được kiểm tra trong đánh giá độ bền tổng thể thay vì yêu cầu t3.
Chiều dày tinh của tôn đáy trong tại không gian hầm ống không được nhỏ hơn chiều dày tinh của tôn đáy trong tại không gian liền kề.
7.4.4.3 Các dầm dọc đáy, hông và đáy trong
7.4.4.3.1 Dầm dọc đáy - Mô đun chống uốn tiết diện tinh
Mô đun chống uốn tinh của mỗi dầm dọc đáy, cùng với tôn kèm, không được nhỏ hơn giá trị tính theo công thức sau:
SM = M/ƒb cm3 (in3)
Với:
| M | = |
|
| k | = | 12 (12; 83,33) |
| s | = | Khoảng cách của các dầm dọc, mm (in.) |
|
| = | Nhịp của dầm dọc giữa các cơ cấu đỡ hữu hiệu, như thể hiện tại Hình 40. |
| p | = | pa- puh hoặc pb, theo giá trị lớn hơn, N/cm2 (kgf/cm2, lbf/in2), như chỉ ra tại 7.4.4.2.2 |
| ƒb | = | Các ứng suất uốn cho phép, N/cm2 (kgf/cm2, lbf/in2) |
|
| = | (1,0 - 0,65α1 SMRB/SMB)Smƒy ≤ ƒmax |
| ƒmax | = | 0,55Smƒy trong phạm vi 0,4L giữa thân |
|
| = | 0,70Smƒy từ vách mút tới đầu mút của thân |
Nội suy tuyến tính phải được sử dụng cho vị trí trung gian.
| α1 | = | Sm1ƒy1/Smƒy |
| Sm | = | Hệ số suy giảm độ bền theo 7.4.4.2.2 đối với vật liệu tôn đáy |
| Sm1 | = | Hệ số suy giảm độ bền theo 7.4.4.2.2 đối với vật liệu bản cánh dưới |
| ƒy | = | Giới hạn chảy dẻo quy định tối thiểu của vật liệu các dầm dọc được xét, N/cm2 (kgf/cm2, lbf/in2). |
| ƒy1 | = | Giới hạn chảy dẻo quy định tối thiểu của vật liệu bản cánh dưới, N/cm2 (kgf/cm2, lbf/in2). |
| SMRB | = | Mô đun chống uốn tiết diện tinh dầm tương đương tham chiếu dựa trên hệ số vật liệu của bản cánh dưới của dầm tương đương, cm2-m (in2-ft). |
|
| = | 0,92SM |
| SMB | = | Mô đun chống uống tiết diện tinh dầm tương đương so với đáy cm2-m (in2-ft). |
| SM | = | Mô đun chống uốn dầm tương đương yêu cầu phù hợp với 7.4.2.4.1, có xét tới hệ số vật liệu của bản cánh dưới của dầm tương đương, cm2-m (in2-ft) |
Ngoài các yêu cầu nêu trên, mô đun chống uốn tinh của các dầm dọc đáy về phía mạn 0,3B tính từ đường dọc tâm của kho chứa nổi, phải không được nhỏ hơn giá trị của dầm dọc mạn thấp nhất được yêu cầu bởi 7.4.5.3, được điều chỉnh đối với nhịp và khoảng cách của các dầm dọc và các hệ số vật liệu.
Khi xác định sự phù hợp với các yêu cầu trên, một chiều rộng hiệu dụng, be, của tôn kèm phải được sử dụng trong tính toán mô đun chống uốn của dầm dọc thiết kế. be phải được lấy theo dòng b) của Hình 41.
7.4.4.3.2 Dầm dọc hông - Mô đun chống uốn tinh
Các dầm dọc xung quanh hông (nếu có) phải được phân bậc về kích thước từ các kích thước được yêu cầu cho dầm dọc mạn thấp nhất tới kích thước được yêu cầu cho các dầm dọc đáy.
7.4.4.3.3 Dầm dọc đáy trong - Mô đun chống uốn tinh
Mô đun chống uốn tinh của mỗi dầm dọc đáy trong, cùng với tôn kèm của nó, không được nhỏ hơn yêu cầu để thỏa mãn từng công thức dưới đây:
SM = M1/ƒb1 cm3 (in3)
SM = cgcKM1/ƒb2 cm3 (in3)
Với:
| M1 | = |
|
| p | = | pa - puh hoặc pb, theo giá trị lớn hơn, N/cm2 (kgf/cm2, lbf/in2), như chỉ ra tại 7.4.4.2.3 |
| s | = | Khoảng cách của các dầm dọc, mm (in.) |
|
| = | Nhịp của dầm dọc giữa các cơ cấu đỡ hữu hiệu, như thể hiện tại Hình 40. |
| k | = | 12 (12; 83,33) |
| ƒb1 | = | Các ứng suất uốn cho phép, N/cm2 (kgf/cm2, lbf/in2) |
|
| = | (1,0 - 0,50α1 SMRB/SMB)Smƒy ≤ ƒmax |
| ƒmax | = | 0,65Smƒy trong phạm vi 0,4L giữa thân |
|
| = | 0,75 Smƒy từ vách mút tới đầu mút của thân |
| Nội suy tuyến tính phải được sử dụng cho vị trí trung gian. | ||
| α1 | = | Sm1ƒy1 /Smƒy |
| SMRB | = | Mô đun chống uốn tiết diện tinh dầm tương đương tham chiếu dựa trên hệ số vật liệu của bản cánh dưới của dầm tương đương, cm2-m (in2-ft). |
|
| = | 0,92 SM |
| SMB | = | Mô đun chống uống tiết diện tinh dầm tương đương so với đáy cm2-m (in2-ft). |
| SM | = | Mô đun chống uốn dầm tương đương yêu cầu phù hợp với 7.4.2.4.1, có xét tới hệ số vật liệu của bản cánh dưới của dầm tương đương, cm2-m (in2-ft) |
| Sm | = | Hệ số suy giảm độ bền theo 7.4.4.2.2 đối với vật liệu của các dầm dọc được xét |
| Sm1 | = | Hệ số suy giảm độ bền theo 7.4.4.2.2 đối với vật liệu bản cánh dưới |
| ƒy | = | Giới hạn chảy dẻo quy định tối thiểu của vật liệu các dầm dọc được xét, N/cm2 (kgf/cm2, lbf/in2). |
| ƒy1 | = | Giới hạn chảy dẻo quy định tối thiểu của vật liệu bản cánh dưới, N/cm2 (kgf/cm2, lbf/in2). |
| cgc | = | 0,89 đối với các dầm dọc trong các két |
|
| = | 0,93 đối với các dầm dọc trong các không gian trống |
| K | = | 0,9 |
| M2 | = |
|
| pgc | = | Áp lực tính theo 7.4.4.2.3, N/cm2 (kgf/cm2, lbf/in2) |
| ƒb2 | = | Các ứng suất uốn cho phép, N/cm2 (kgf/cm2, lbf/in2) |
|
| = | Sgc/ ƒy |
| Sgc | = | 0,64 đối với thép thường |
|
| = | 0,53 đối với thép A 32, D 32, E32, F 32 hoặc tương đương. |
|
| = | 0,52 đối với thép A 36, D 36, E36, F 36 hoặc tương đương. |
Ngoài ra, mô đun chống uốn tinh của các dầm dọc đáy trong nằm ở phía ngoài mạn 0,3B so với đường tâm cũng không được nhỏ hơn giá trị được yêu cầu bởi 7.4.7.3 đối với dầm dọc mạn trong thấp nhất, được điều chỉnh đối với nhịp và khoảng cách của các dầm và các hệ số vật liệu.
Khi xác định sự phù hợp với các yêu cầu trên, một chiều rộng hiệu dụng, be, của tôn kèm phải được sử dụng trong tính toán mô đun chống uốn của dầm dọc thiết kế. be phải được lấy theo dòng b) của Hình 41.
7.4.4.4 Sống đáy đôi và đà ngang
7.4.4.4.1 Khái quát
Kích thước tối thiểu đối với các sống đáy đôi và đà ngang phải được xác định phù hợp với 7.4.4.4.3, 7.4.4.4.4, 7.4.4.4.5 và 7.4.4.4.6 như dưới đây. Kích thước tối thiểu của các sống kín nước đáy đôi phía dưới vách dọc cũng phải không được nhỏ hơn kích thước của vách dọc đó.
Đối với các sống đáy và đà ngang với một phần sống thẳng với các vách ngang hoặc vách khoang cách ly, kích thước tối thiểu khi đó được xác định từ một phân tích lưới dầm (grillage analysis) hoặc phân tích phần tử hữu hạn.
7.4.4.4.2 Chiều cao đáy đôi
Chiều cao của đáy đôi dDB tại đường tâm không được nhỏ hơn giá trị tính theo công thức sau:
dDB = 32bDB x 10-3 +
m (ft) đối với L ≤ 427 m (1400 ƒt)
Với:
| bDB | = | Chiều rộng không được đỡ của kết cấu đáy đôi được xét, m (ft), như hình Hình 42 |
| c | = | 0,19 (0,344) |
| d | = | Chiều chìm lý thuyết của kho chứa nổi, m (ft) |
Chiều cao dDB cua đáy đôi không được nhỏ hơn B/15 hoặc 2,0 m (6 ft), theo giá trị nào nhỏ hơn. B là chiều rộng của kho chứa nổi, m (ft), như được xác định tại 1.2.22 của TCVN 6259-1A.
7.4.4.4.3 Sống dọc tâm của đáy đôi - Chiều dày tinh
a) Chiều dày tinh của sống dọc tâm của đáy đôi tại giữa thân không được nhỏ hơn t1, t2 và t3 được xác định dưới đây:
| t1 | = | (4,5αDBL x 10-2 + 4,5) mm trong phạm vi 0,75L giữa thân |
|
| = | 0,8(4,5 αDBL x 10-2 + 4,5) mm tại các khu vực khác |
| Nhưng không cần lớn hơn (4,5αDBL x 10-2 + 4,5)R mm | ||
|
| = | (5,4 αDBL x 10-4 + 0,177) in. trong phạm vi 0,75L giữa thân |
|
| = | 0,8(5,4 αDBL x 10-4 + 0,177) in. tại các khu vực khác |
| Nhưng không cần lớn hơn 0,8(5,4 αDBL x 10-4 + 0,177)R in. | ||
| t2 | = | F1/(k1dbƒs) mm(in.) |
| t3 | = | cs(Smƒy/E)1/2mm (in.) |
Với:
| αDB | = | 1,45 dDB/Db nhưng αDB không được lấy nhỏ hơn 0,7 và không cần lớn hơn 1,0 |
| dDB | = | Chiều cao của đáy đôi, m (ft), lấy theo công thức tại 7.4.4.4.2 |
| Db | = | Chiều cao của sống dọc tâm đáy đôi được xét tại đường tâm của kho chứa nổi, m(ft) |
| L | = | Chiều dài của kho chứa nổi, m (ft), xác định theo 1.2.20 của TCVN 6259-1A. |
| R | = | 1,0 đối với thép độ bền thường |
|
| = | ƒym/Smƒyh đối với thép độ bền cao |
| ƒym | = | Giới hạn chảy tối thiểu quy định đối với thép độ bền thường, N/cm2 kgf/cm2; lbf/in2) |
| ƒyh | = | Giới hạn chảy tối thiểu quy định đối với thép độ bền cao, N/cm2 kgf/cm2; lbf/in2) |
| Sm | = | Hệ số suy giảm độ bền |
|
| = | 1,0 đối với thép độ bền thường |
|
| = | 0,95 đối với thép A 32, D 32, E32, F 32 hoặc tương đương. |
|
| = | 0,908 đối với thép A 36, D 36, E36, F 36 hoặc tương đương. |
| k1 | = | 10,0 (10,0; 12,0) |
| F1 | = | Lực cắt cực đại xấp xỉ tại sống trung tâm, tính theo công thức dưới đây (xem 7.4.1.2). Kích thước yêu cầu t2 có thể được giảm xuống 85% với điều kiện độ bền được xác thực trong đánh giá độ bền tổng thể: |
|
| = |
|
|
| = | 414k2γn1n2pbDBs1 N (kgf, lbf) đối với λ > 1,5 |
| k2 | = | 1;0 (1;0; 2;24) |
| α1 | = | 0,606 - 0,22λ |
| λ | = |
|
| γ | = |
|
| n1 | = | 0,0374(s1/sƒ)2 - 0,326(s1/sƒ) + 1,289 |
| n2 | = | 1,3 - (sƒ /12) đối với hệ đơn vị SI hoặc MKS |
|
| = | 1,3 - (sƒ/39,37) đối với hệ đơn vị Hoa Kỳ |
|
| = | Chiều dài không được đỡ của kết cấu đáy đôi được xét, m (ft), như hình Hình 42. |
| bDB | = | Chiều rộng không được đỡ của kết cấu đáy đôi được xét, m (ft), như hình Hình 42. |
| s1 | = | Tổng của các nửa khoảng cách các sống ở cả hai phía của sống trung tâm, m(ft). |
| sƒ | = | Khoảng cách trung bình của các đà ngang, m (ft) |
| x | = | Khoảng cách thép phương dọc từ giữa nhịp của chiều dài không được đỡ ( |
| p | = | Áp lực danh nghĩa, kN/m2 (tf/m2, Ltf/ft2), theo quy định tại Bảng 9. |
| ƒs | = | Các ứng suất cắt cho phép, N/cm2 (kgf/cm2, lbf/in2) |
|
| = | 0,45Smƒy |
| ƒy | = | Giới hạn chảy quy định tối thiểu của vật liệu, N/cm2 (kgf/cm2, lbf/in2) |
| c | = | 0,7N2 - 0,2, không nhỏ hơn 0,4Q1/2 nhưng không cần lớn hơn 0,45(Q/Qb)1/2 |
| N | = | Rb[(Q/Qb)(y/yn)]1/2 |
| Q, Qb | = | Tương ứng, là hệ số chuyển đổi vật liệu tương ứng đối với sống đáy và bản cánh dưới của dầm tương đương |
|
| = | 1,0 đối với thép thường |
|
| = | 0,78 đối với thép A 32, D 32, E32, F 32 hoặc tương đương. |
|
| = | 0,72 đối với thép A 36, D 36, E36, F 36 hoặc tương đương. |
| y | = | Khoảng cách theo phương thẳng đứng, m (ft), được đo từ cạnh dưới của tôn sống đáy tới trục trung hòa của tiết diện dầm tương đương |
| yn | = | Khoảng cách theo phương thẳng đứng, m (ft), được đo từ đáy tới trục trung hòa của tiết diện dầm tương đương |
| s | = | Khoảng cách của các nẹp dọc trên sống, mm (in.) |
| R | = | 1,0 đối với thép thường |
|
| = | ƒym /Smƒyh đối với thép độ bền cao |
| ƒym | = | Giới hạn chảy quy định tối thiểu đối với thép thường, N/cm2 (kgf/cm2, lbf/in2) |
| ƒyh | = | Giới hạn chảy quy định tối thiểu đối với thép độ bền cao, N/cm2 (kgf/cm2, Ibf/in2) |
| L | = | Chiều dài của kho chứa nổi, m (ft), theo 1.2.20 của TCVN 6259-1A. |
| E | = | Mô đun đàn hồi của vật liệu, có thể được lấy bằng 2,06 x 107 N/cm2 |
| Rb | = | (SMRBH/SMB)1/2 |
| SMRBH | = | Mô đun chống uốn tiết diện tinh dầm tương đương tham chiếu đối với mô men uốn vồng lên dựa trên hệ số vật liệu của bản cánh dưới của dầm tương đương, cm2-m (in2-ft). |
|
| = | 0,92SMH |
| SMH | = | Mô đun chống uốn tiết diện dầm tương đương yêu cầu phù hợp với 13.2 và 1.1.7 của TCVN 6259-2A, đối với mô men uốn tổng vồng lên dựa theo hệ số vật liệu của bản cánh dưới của dầm tương đương, cm2-m (in2-ft). |
b) Ngoài yêu cầu nêu trên, chiều dày tinh của sống trung tâm không được nhỏ hơn t4 như quy định dưới đây:
t4 = F1gc/(k1dbgc) mm (in.)
Với:
| F1gc | = | Lực cắt tại sống trung tâm, như được tính từ phân tích phần tử hữu hạn, như được quy định tại 7.5.5 với các trường hợp tải trọng IGC bổ sung tại 7.5.5.4. |
| ƒgc | = | Các ứng suất cắt cho phép, N/cm2 (kgf/cm2, lbf/in2) |
|
| = | 0,5 ƒy |
Tất cả các thông số khác theo xác định ở trên.
Chiều dày tinh của sống dọc đường tâm phía dưới khoảng cách vách ngăn khoang cách ly không được nhỏ hơn t1, t2, t3 và t4 yêu cầu tại ![]()
7.4.4.4.4 Sống cạnh đáy đôi - Chiều dày tinh
a) Chiều dày tinh của sống cạnh của đáy đôi tại giữa thân không được nhỏ hơn t1, t2 và t3 được xác định dưới đây:
| t1 | = | (2,6αDBL x 10-2 + 4,5) mm trong phạm vi 0,75L giữa thân |
|
| = | 0,8(2,6αDBL x 10-2 + 4,5) mm tại các khu vực khác |
|
|
| Nhưng không cần lớn hơn (2,6αDBL x 10-2 + 4,5)R mm |
|
| = | (3,1αDBL x 10-4 + 0,177) in. trong phạm vi 0,75L giữa thân |
|
| = | 0,8(3,1αDBL x 10-4 + 0,177) in. tại các khu vực khác |
|
|
| Nhưng không cần lớn hơn (3,1αDBL x 10-4 + 0,177)R in. |
|
|
| t1 bkhông được nhỏ hơn chiều dày nêu tại Bảng 15. |
| t2 | = | F2/(k1dbgs) mm (in.) |
| t3 | = | cs(Smy/E)1/2 mm(in.) |
Với:
| F2 | = | Lực cắt cực đại xấp xỉ trên các sống cạnh được xét, như được tính theo công thức dưới đây (xem thêm 7.4.1.2). Kích thước t2 yêu cầu có thể được giảm xuống 85% với điều kiện độ bền được xác minh trong đánh giá bền tổng thể: |
| F2 | = |
|
|
| = | 314k2β1yn3n4pbDBs2 N (kgf, lbf) đối với λ > 1,5 |
| α2 | = | 0,49 - 0,187λ |
| β1 | = | 1,25 - 5(z1/bDB)2 đối với một dãy két |
|
| = | 1,0 đối với dãy hai hét |
| n3 | = | 1,072 - 0,0715 (s2/sƒ) |
| n4 | = | 1,2 - (sƒ/18) đối với hệ đơn vị SI hoặc MKS |
|
| = | 1,2 - (sƒ/59,1) đối với hệ đơn vị Hoa Kỳ |
| dbg | = | Chiều cao thực tế của sống đáy đôi được xét, m (ft) |
| s2 | = | Tổng của các nửa khoảng cách các sống ở cả hai phía của sống cạnh, m (ft) |
| z1 | = | Khoảng cách theo phương ngang từ đường tâm tới vị trí của đáy đôi tới sống được xét, m (ft) |
| c | = | 0,7N2 - 0,2, không nhỏ hơn 0,4Q1/2 nhưng không cần lớn hơn 0,45(Q/Qb)1/2 |
| N | = | Rb[(Q/Qb)(y/yn)]1/2 |
| Q, Qb | = | Tương ứng, là hệ số chuyển đổi vật liệu tương ứng đối với sống đáy và bản cánh dưới của dầm tương đương |
|
| = | 1,0 đối với thép thường |
|
| = | 0,78 đối với thép A 32, D 32, E32, F 32 hoặc tương đương. |
|
| = | 0,72 đối với thép A 36, D 36, E36, F 36 hoặc tương đương. |
| y | = | Khoảng cách theo phương thẳng đứng, m (ft), được đo từ cạnh dưới của tôn sống đáy tới trục trung hòa của tiết diện dầm tương đương |
| yn | = | Khoảng cách theo phương thẳng đứng, m (ft), được đo từ đáy tới trục trung hòa của tiết diện dầm tương đương |
| s | = | Khoảng cách của các nẹp dọc trên sống, mm (in.) |
|
| ||
b) Ngoài yêu cầu nêu trên, chiều dày tinh của sống cạnh không được nhỏ hơn t4 như được quy định dưới đây:
t4 = F2gc /(k1dbgƒgc) mm (in.)
Với:
| F2gc | = | Lực cắt trên sống cạnh, như được tính từ phân tích phần tử hữu hạn, theo 7.5.5 với các trường hợp tải trọng IGC bổ sung tại 7.5.5.4. |
| ƒgc | = | Các ứng suất cắt cho phép, N/cm2 (kgf/cm2, lbf/in2) |
|
| = | 0,5ƒy |
Tất cả các thông số khác được xác định theo ở trên.
c) Chiều dày tinh của sống cạnh phía dưới khoảng vách khoang cách ly không được nhỏ hơn t1, t2, t3 và t4 được yêu cầu tại ![]()
d) Chiều dày tinh của các sống cạnh đáy đôi phía dưới các vách dọc không được nhỏ hơn t1 và t3 như yêu cầu ở trên.
7.4.4.4.5 Đà ngang đáy đôi - Chiều dày tinh
a) Chiều dày tinh của các đà ngang đáy đôi không được nhỏ hơn t1 và t2 được xác định dưới đây:
| t1 | = | (2,6αDBL x 10-2 + 4,5) mm trong phạm vi 0,75L giữa thân |
|
| = | 0,8(2,6αDBL x 10-2 + 4,5) mm tại các khu vực khác |
|
|
| Nhưng không cần lớn hơn (2,6αDBL x 10-2 + 4,5)R mm |
|
| = | (3,1αDBL x 10-4 + 0,177) in. trong phạm vi 0,75L giữa thân |
|
| = | 0,8(3,1αDBL x 10-4 + 0,177) in. tại các khu vực khác |
|
|
| Nhưng không cần lớn hơn (3,1αDBL x 10-4 + 0,177)R in. t1 không được nhỏ hơn chiều dày nêu tại Bảng 15. |
| t2 | = | F3/(k1dbƒƒs) mm(in.) |
Với:
| F3 | = | Lực cắt cực đại xấp xỉ trên các đà ngang được xét, như được tính theo công thức dưới đây (xem thêm 7.4.1.2). Kích thước t2 yêu cầu có thể được giảm xuống 85% với điều kiện độ bền được xác minh trong đánh giá bền tổng thể: |
|
| = | 950k2α3β2pbDBs3 N (kgf, lbf) |
| dbƒ | = | Chiều cao thực tế của đà ngang đáy đôi được xét, m (ft) |
| α2 | = | 0,5η (0,66-0,0877) |
| β1 | = | 2z2/bDB ≥ 0,4 |
| η | = |
|
| s3 | = | Tổng của các nửa khoảng cách các sống ở cả hai phía của đà ngang được xét, m (ft) |
| sg | = | Khoảng cách trung bình của các sống, m (ft) |
| z2 | = | Khoảng cách theo phương nằm ngang từ đường tâm của chiều rộng không được đỡ bDB của đáy đôi tới vị trí của đà ngang được xét, m (ft) |
| ƒs | = | 0,45Smƒy N/cm2 (kgf/cm2, lbf/in2) |
|
| ||
b) Ngoài yêu cầu nêu trên, chiều dày tinh của đà ngang không được nhỏ hơn t4 như được quy định dưới đây:
| t3 | = | F3gc/(k1dbffgc) mm (in.) |
Với:
| F3gc | = | Lực cắt trên đà ngang, như được tính từ phân tích phần tử hữu hạn, theo 7.5.5 với các trường hợp tải trọng IGC bổ sung tại 7.5.5.4. |
| ƒgc | = | Các ứng suất cắt cho phép, N/cm2 (kgf/cm2, lbf/in2) |
|
| = | 0,5ƒy |
Tất cả các thông số khác được xác định theo ở trên.
c) Chiều dày và các đặc tính vật liệu của các đà ngang đáy đôi thẳng hàng với các vách ngăn khoang cách ly phải tối thiểu bằng 75% của các giá trị yêu cầu đối với dải tôn thấp nhất của tôn vách ngăn khoang cách ly.
7.4.4.4.6 Các sống biên két đáy đôi - Chiều dày tinh
Chiều dày tinh của các sống trong đáy đôi tạo nên các biên của các két sâu, ngoài việc tuân thủ theo 7.4.4.4.3 hoặc 7.4.4.4.4 một cách phù hợp, không được nhỏ hơn t1 và t2 được xác định dưới đây:
t1 = 0,73 s(k1p/ƒ1)1/2 mm (in.)
t2 = 0,73 s(k2p/ƒ2)1/2 mm (in.)
Với:
| s | = | Khoảng cách giữa các nẹp dọc hoặc nẹp đứng trên sống, mm (in.) |
| k1 | = | 0,342 đối với tấm được nẹp dọc |
|
| = | 0, 50k2 đối với tấm được nẹp đứng |
| k2 | = | 0,50 k2 |
| k | = | (3,075α1/2 - 2,077)/(α + 0,272) với 1 ≤ α < 2 |
|
| = | 1,0 với α ≥ 2 |
| α | = | Tỷ số kích thước của mảng tấm (cạnh dài/cạnh ngắn) |
| p | = | pn - puo |
| pn | = | Áp lực danh nghĩa, N/cm2 (kgf/cm2, lbf/in2), tại cạnh thấp hơn của mỗi tấm như quy định tại Bảng 9 đối với sống đáy đôi kín nước. |
| puo | = | 0,0 nếu sống đáy đôi kín nước không tạo thành biên của két dằn mạn kép |
|
| = | Nếu sống đáy đôi kín nước tạo thành biên của một két dằn màn kép mà biên đó kéo dài tới boong lộ: |
|
| = |
|
|
| = |
|
|
|
| Nội suy tuyến tính có thể được sử dụng để xác định puo |
| γ | = | Trọng lượng riêng của nước dằn, 1,005 N/cm2-m (0,1025 kgf/cm2-m; 0,4444 lbf/in2-ft) |
| h | = | Chiều cao của két dằn mạn kép tại mạn của kho chứa nổi, m (ft) |
|
| = | Chiều dài của két dằn mạn kép, m (ft), được đo tại đỉnh của két |
| bwt | = | Chiều rộng của két dằn mạn, m (ft), được đo tại đỉnh của két |
| ϕe | = | Biên độ lắc dọc hiệu dụng như được xác định tại 7.3.3.5.2 với Cϕ = 0,7 |
| θe | = | Biên độ lắc ngang hiệu dụng như được xác định tại 7.3.3.5.2 với Cθ = 0,7 |
| ƒ1 | = | ứng suất uốn cho phép theo phương dọc, N/cm2 (kgf/cm2, lbf/in2) |
|
| = | [1 - 0,36(z1/B) - 0,53α1 (SMRB/SMB)(y/yn)]Smƒy ≤ 0,65Smƒy |
| ƒ2 | = | ứng suất uốn cho phép theo phương thẳng đứng, N/cm2 (kgf/cm2, lbf/in2) |
|
| = | 0,90 Smƒy |
| α1 | = | Sm1ƒy1 / Smƒy |
| Sm | = | Hệ số suy giảm độ bền đối với vật liệu của sống |
|
| = | 1,0 đối với thép thường |
|
| = | 0,95 đối với thép HT32 |
|
| = | 0,908 đối với thép HT36 |
| Sm1 | = | Hệ số suy giảm độ bền đối với vật liệu bản cánh dưới của dầm tương đương |
| ƒy | = | Giới hạn chảy quy định tối thiểu của vật liệu của sống, N/cm2 (kgf/cm2, lbf/in2) |
| ƒy1 | = | Giới hạn chảy quy định tối thiểu của vật liệu bản cánh dưới của dầm tương đương, N/cm2 (kgf/cm2, lbf/in2) |
| y | = | Khoảng cách theo phương thẳng đứng, m (ft), được đo từ trục trung hòa của tiết diện ngang dầm tương đương tới cạnh dưới của mỗi tấm nếu tấm đó có hệ nẹp dọc |
|
| = | Khoảng cách theo phương thẳng đứng, m (ft), được đo từ trục trung hòa của tiết diện ngang dầm tương đương tới giữa chiều cao của đáy đôi nếu tấm đo có hệ nẹp đứng |
| yn | = | Khoảng cách theo phương thẳng đứng, m (ft), được đo từ đáy tới trục trung hòa của tiết diện ngang dầm tương đương |
| B | = | Chiều rộng của kho chứa nổi, m (ft), theo 1.2.22 của TCVN 6259-1A. |
| SMRB | = | Mô đun chống uốn tiết diện tinh dầm tương đương tham chiếu dựa trên hệ số vật liệu của bản cánh dưới của dầm tương đương, cm2-m (in2-ft). |
|
| = | 0,92SM |
| SM | = | Mô đun chống uống tiết diện tinh dầm tương đương so với đáy cm2-m (in2-ft). |
| SM | = | Mô đun chống uốn dầm tương đương yêu cầu phù hợp với 7.4.2.4.1, có xét tới hệ số vật liệu của bản cánh dưới của dầm tương đương, cm2-m (in2-ft) |
| z1 | = | Khoảng cách theo phương ngang từ đường tâm của chiều rộng không được đỡ bDB của đáy đôi tới sống được xét, m (ft) |
| bDB | = | Chiều rộng không được đỡ của kết cấu đáy đôi được xét, m (ft), như được thể hiện tại Hình 42. |
7.4.4.4.7 Sống kín nước trong đáy đôi - Các nẹp dọc - Mô đun chống uốn tinh
Mô đun chống uốn tinh của mỗi dầm dọc trên các sống đáy đôi kín, cùng với tôn kèm, không được nhỏ hơn giá trị tính theo công thức sau:
SM = M/ƒb cm3 (in3)
Với:
| M | = |
|
| k | = | 12 (12; 83,33) |
| s | = | Khoảng cách của các dầm dọc, mm (in.) |
|
| = | Nhịp của dầm dọc giữa các cơ cấu đỡ hữu hiệu, như thể hiện tại Hình 40. |
| p | = | Áp lực danh nghĩa, kN/m2 (tf/m2; Ltf/ft2), như được xác định tại Bảng 9 |
| ƒb | = | Các ứng suất uốn cho phép, N/cm2 (kgf/cm2, lbf/in2) |
|
| = | 1,2[1 - 0,32 z/B - 0,53α1 (SMRB/SMB)(y/yn)]Smƒy ≤ 0,8Smƒy |
| z | = | Khoảng cách theo phương nằm ngang, m (ft), từ đường tâm tới sống mà trên đó có nẹp |
| y | = | Khoảng cách theo phương thẳng đứng, m (ft), được đo từ dầm dọc tới trục trung hòa của tiết diện ngang dầm tương đương |
| yn | = | Khoảng cách theo phương thẳng đứng, m (ft), được đo từ đường cơ sở tới trục trung hòa của tiết diện ngang dầm tương đương |
SMRB và SMB được xác định tại 7.4.4.2.2.
Tất cả các thông số khác được xác định tại 7.4.4.3.1.
7.4.4.5 Kết cấu trong không gian hầm ống
7.4.4.5.1 Dầm ngang trên tôn bao đáy
Các dầm ngang đáy trong một không gian hầm ống phải có mô đun chống uốn tiết diện ngang, SM và một tiết diện As không nhỏ hơn giá trị tính theo các công thức sau:
SM = M/ƒb cm3 (in3)
As = F/ƒs cm2 (in2)
Với:
| M | = |
|
| p | = | Áp lực danh nghĩa đối với dầm ngang đáy, kN/m2 (tf/m2; Ltf/ft2), như quy định tại Bảng 9. |
| s | = | Khoảng cách của các dầm ngang, mm (in.) |
|
| = | Nhịp của dầm ngang như được xác định tại Hình 44, m (ft) |
| k1 | = | 10 (10; 37,2) |
| ƒb | = | Các ứng suất uốn cho phép, N/cm2 (kgf/cm2, lbf/in2) |
|
| = | 0,7Smƒy |
| Sm | = | Hệ số suy giảm độ bền theo 7.4.4.2.2 đối với vật liệu dầm ngang |
| ƒy | = | Giới hạn chảy dẻo quy định tối thiểu của vật liệu các dầm ngang, N/cm2 (kgf/cm2, lbf/in2). |
| F | = |
|
| k2 | = | 1,0 (1,0; 2,24) |
| ƒs | = | ứng suất cắt cho phép, N/cm2 (kgf/cm2, lbf/in2) |
|
| = | 0,4Smƒy |
Chiều dày tinh của bản thành của dầm ngang không được nhỏ hơn tính theo 7.4.4.4.5, được điều chỉnh đối với vật liệu của bản thành đó.
7.4.4.5.2 Dầm ngang trên tôn đáy trong
a) Các dầm ngang của đáy trong trong một không gian hầm ống phải có mô đun chống uốn, SM và một tiết diện As không nhỏ hơn giá trị tính theo các công thức sau:
SM = cgcK1M/ƒb cm3 (in3)
As = F/ƒs cm2 (in2)
Với:
| cgc | = | 0,93 |
| K1 | = | 0,9 |
| M | = |
|
| pgc | = | po + (pgd)max N/cm2 (kgf/cm2, lbf/in2) |
| po | = | Áp suất hơi thiết kế của két hàng, N/cm2 (kgf/cm2, lbf/in2), như được xác định tại 7.1.2.6. |
| pgd | = | aβZβk3ρ10-4 N/cm2 (kgf/cm2, lbf/in2) |
| aβ | = | Gia tốc không thứ nguyên, xem 7.3.3.6.3. |
| Zβ | = | Cột chất lỏng két hàng lớn nhất tính bằng m (ft) phía trên điểm của dầm ngang đáy trong được xét, xem 7.3.3.6.3 |
| k3 | = | 9,81 (1,0; 69,44) |
| ρ | = | Trọng lượng riêng cực đại của hàng, N/cm3 (kgf/cm3, lbf/in3), tại nhiệt độ thiết kế, nhưng ρ không được lấy nhỏ hơn 4900 N/cm3 (500 kgf/cm3, 31,214lbf/in3) |
| s | = | Khoảng cách của dầm ngang, m (ft) |
|
| = | Nhịp của dầm ngang như được xác định tại Hình 44, m (ft) |
| k1 | = | 10 (10; 5780) |
| ƒb | = | Ứng suất uốn cho phép, N/cm2 (kgf/cm2, lbf/in2) |
|
| = | Sgcƒy |
| Sgc | = | 0,64 đối với thép thường |
|
| = | 0,53 đối với thép A 32, D 32, E32, F 32 hoặc tương đương. |
|
| = | 0,52 đối với thép A 36, D 36, E36, F 36 hoặc tương đương. |
| ƒy | = | Giới hạn chảy dẻo quy định tối thiểu đối với các dầm ngang, N/cm2 (kgf/cm2, lbf/in2). |
| F | = |
|
| k2 | = | 1,0 (1,0; 0,0145) |
| ƒs | = | ứng suất cắt cho phép, N/cm2 (kgf/cm2, lbf/in2) |
|
| = | 0,4Smƒy |
| Sm | = | Hệ số suy giảm độ bền đối với các dầm ngang, theo 7.4.4.2.2. |
b) Chiều dày tinh của bản thành của dầm ngang không được nhỏ hơn t1 tính theo 7.4.4.4.5, được điều chỉnh cho vật liệu của bản thành đó.
c) Chiều dày và các đặc tính vật liệu của bản thành thẳng hàng với các vách ngăn khoang cách ly phải tối thiểu bằng 75% của các giá trị yêu cầu đối với dài tôn thấp nhất của tôn vách ngăn khoang cách ly.
7.4.4.5.3 Các dầm đứng khỏe trên sống kín nước trong đáy đôi
Các dầm đứng khỏe trên sống kín nước trong đáy đôi phải có mô đun chống uốn tiết diện ngang, SM và một tiết diện As không nhỏ hơn giá trị tính theo các công thức sau:
SM = M/fb cm3 (in3)
As = F/fs cm2 (in2)
Với
| M | = |
| V | = Áp lực danh nghĩa tại giữa nhịp của dầm đứng khỏe, kN/m2 (tf/m2; Ltf/ft2), như quy định tại Bảng 9. |
| s | = Khoảng cách của các dầm đứng khỏe, mm (in.) |
|
| = Nhịp của dầm đứng khỏe như được xác định tại Hình 44, m (ft) |
| k1 | = 12 (12; 44,64) |
| ƒb | = Các ứng suất uốn cho phép, N/cm2 (kgf/cm2, lbf/in2) |
|
| = 0,6 Smƒy |
| Sm | = Hệ số suy giảm độ bền đối với dầm đứng, theo 7.4.4.2.2 |
| ƒy | = Giới hạn chảy dẻo quy định tối thiểu của vật liệu dầm đứng khỏe, N/cm2 (kgf/cm2, lbf/in2). |
| F | = |
| k2 | = 1,0 (1,0; 2,24) |
| ƒs | = ứng suất cắt cho phép, N/cm2 (kgf/cm2, lbf/in2) |
|
| = 0,4Smƒy |
Chiều dày tinh của bản thành của dầm đứng không được nhỏ hơn tính theo 7.4.4.4.5, được điều chỉnh đối với vật liệu của bản thành đó.


c) Được đỡ bởi các dầm ngang, các thanh nẹp dẹt và các mã
Hình 40 - Nhịp không được đỡ của dầm dọc

a) Đối với uốn tại giữa nhịp
|
| 1,5 | 2 | 2,5 | 3 | 3,5 | 4 | 4,5 trở lên |
| be/s | 0,58 | 0,73 | 0,83 | 0,90 | 0,95 | 0,98 | 1,0 |
b) Đối với uốn tại các đầu mút
|
| 1 | 1,5 | 2 | 2,5 | 3 | 3,5 | 4,0 |
| be/s | 0,25 | 0,35 | 0,43 | 0,5 | 0,55 | 0,6 | 0,67 |
a) là dành cho đánh giá độ bền và b) là dành cho đánh giá độ bền mỏi.
Hình 41 - Chiều rộng hiệu dụng của tấm be
Bảng 15 - Chiều dày tinh tối thiểu của sống và đà ngang
| L (m) | tmin (mm) | L (ft) | tmin (in.) |
| 90 | 7,5 | 278 | 0,29 |
| 110 | 8 | 344 | 0,31 |
| 150 | 9 | 478 | 0,35 |
| 190 trở lên | 10 | 644 trở lên | 0,40 |
| Mặt khác, tmin có thể được xác định theo công thức sau: tmin = 2,5L 10-2 + 5,25 mm (tmin = 3,0L 10-4 + 0,2067 in.) Với L là chiều dài tính bằng m (ft) nhưng không cần lấy lớn hơn 190 m (644 ft) | |||

Hình 42 - Xác định
và bDB
7.4.5 Mạn ngoài và boong
7.4.5.1 Tôn bao mạn
a) Chiều dày tinh của tôn bao mạn trên suốt 0,4L, ngoài việc phù hợp với 7.4.3.2, còn phải không được nhỏ hơn t1, t2, t3 và t4 như được quy định dưới đây:
t1 = 0,73 s(k1p/ƒ1)1/2 * mm (in.)
t2 = 0,73 s(k2p/ƒ2)1/2 * mm (in.)
t3 = cs(Smƒy/E)1/2 ** mm (in.)
t4 = 0,73 s(k2pi/ƒ2)1/2 mm (in.)
Với:
| s | = Khoảng cách giữa các dầm dọc, mm (ft) |
| k1 | = 0,342 |
| k2 | = 0,50 |
| p | = pa - puo hoặc pb tùy theo giá trị nào lớn hơn, N/cm2 (kgf/cm2, lbf/in2) |
| puo | = |
|
| = Nội suy tuyến tính phải được sử dụng cho các giá trị trung gian của Nếu đỉnh của két dằn mạn kép không kéo dài tới boong lộ, puo được lấy bằng không. |
| pa, pb | = Các áp lực danh nghĩa tại cạnh dưới của mỗi tấm, N/cm2 (kgf/cm2, lbf/in2), như được xác định tại trường hợp tải trọng “a” và “b” trong Bảng 9 đối với tôn bao mạn liền với két dằn; và như được xác định tại trường hợp tải trọng “b” trong Bảng 9 đối với tôn bao mạn liền kề với lỗi đi lại hoặc không gian trống, nhưng không được nhỏ hơn 65% của các giá trị được tính toán tại vị trí lượn trên của cung hông. |
| bwt | = Chiều rộng tại đỉnh két của két dằn mạn kép, m (ft) |
| ϕe | = Biên độ lặc dọc hiệu dụng, như được xác định tại 7.3.3.5.2 với Cϕ = 0,7 |
| θe | = Biên độ lặc ngang hiệu dụng, như được xác định tại 7.3.3.5.2 với Cθ = 0,7 |
| L | = Chiều dài của kho chứa nổi, m (ft), như được xác định tại 1.2.20 của TCVN 6259-1A. |
| γ | = Trọng lượng riêng của nước dằn, 1,005 N/cm2-m (0,1025 kgf/cm2-m; 0,4444 lbf/in2- ft) |
| h | = Chiều cao của két dằn mạn kép tại mạn của kho chứa nổi, m (ft) |
|
| = Chiều dài của két dằn mạn kép tính bằng m (ft) được đo tại đỉnh của két |
| ƒ1 | = ứng suất uốn cho phép theo phương dọc: |
|
| = [0,86 - 0,50α1 (SMRB/SMB)]Smƒy |
|
| ≤ ƒmax L ≥ 190 m (623 ft), dưới trục trung hòa |
|
| < [0,43 + 0,17(190 - L)/40]Smƒy L < 190 m (623 ft), dưới trục trung hòa |
|
| SMrb/SMb không lấy lớn hơn 1,4. |
|
| = ƒmax L ≥ 190 m (623 ft), trên trục trung hòa |
|
| = [0,43 + 0,17(190 - L)/40]Smƒy L < 190 m (623 ft), trên trục trung hòa |
| ƒmax | = 0,43 Smƒy 0,4L giữa thân |
|
| = 0,65Smƒy đầu mút đuôi tới vách mút đuôi |
|
| = 0,60 Smƒy vách mút mũi tới đầu mút mũi |
| Nội suy tuyến tính phải được sử dụng cho vị trí trung gian. | |
| ƒ2 | = ứng suất uốn cho phép theo phương đứng, N/cm2 (kgf/cm2, lbf/in2) |
|
| = 0,85Smƒy 0,4L giữa thân |
|
| = 0,85Smƒy vách mút mũi tới đầu mút mũi |
|
| = 1,00 Smƒy đầu mút đuôi tới vách mút đuôi |
| Sử dụng nội suy tuyến tính cho vị trí trung gian. | |
| α1 | = Sm1ƒy1/Smƒy |
| Sm | = Hệ số suy giảm độ bền lấy theo 7.4.4.2.2 đối với cấp thép của vật liệu tôn bao mạn |
| Sm1 | = Hệ số suy giảm độ bền lấy theo 7.4.4.2.2 đối với cấp thép của vật liệu bản cánh đáy |
| ƒy | = Giới hạn chảy quy định tối thiểu của vật liệu tôn bao mạn, N/cm2 (kgf/cm2, lbf/in2) |
| ƒy1 | = Giới hạn chảy quy định tối thiểu của vật liệu bản cánh đáy, N/cm2 (kgf/cm2, lbf/in2) |
| SMRD | = Mô đun chống uốn tiết diện dầm tương đương tinh tham chiếu dựa trên hệ số vật liệu của bản cánh trên (boong trong và boong trên cùng) của dầm trương đương, cm2-m (in2-ft) |
|
| = 0,92 SM |
| SM | = Mô đun chống uốn dầm tương đương tổng yêu cầu tại boong trên tại mạn phù hợp với 7.4.2.4.1, dựa trên hệ số vật liệu của bản cánh boong trên (boong trong và boong trên cùng) của dầm tương đương thân, cm2-m (in2-ft) |
| SMD | = Mô đun chống uốn dầm tương đương thiết kế tinh giữa thân tại boong trên cùng, cm2-m (in2-ft) |
| c | = 0,7N2 - 0,2, không nhỏ hơn 0,4Q1/2 |
| N | = Rd(Q/Qd)1/2 đối với dải tôn mép mạn |
|
| = Rd[(Q/Qd)(ya/yn)]1/2 đối với các vị trí khác phía trên trục trung hòa |
|
| = Rb[(Q/Qb)(ya/yn)]1/2 đối với các vị trí phía dưới trục trung hòa |
| Rd | = (SMRDS/SMD)1/2 |
| Rb | = (SMRBH/SMB)1/2 |
| Q, Qd | = Tương ứng là hệ số chuyển đổi vật liệu tại 7.4.3 đối với tôn bao mạn được xét và bản cánh trên (boong trong và bông trên cùng) của dầm tương đương. |
| Qb | = Hệ số chuyển đổi vật liệu tại 7.4.3.1 đối với bản cánh dưới của dầm tương đương. |
| y | = Khoảng cách theo phương thẳng đứng, m (ft), được đo từ trục trung hòa của tiết diện ngang dầm tương đương tới cạnh dưới của dài tôn bao mạn được xét. |
| ya | = Khoảng cách theo phương thẳng đứng, m (ft), được đo từ trục trung hòa của tiết diện ngang dầm tương đương tới cạnh dưới (cạnh trên) của dải tôn bao mạn, nếu dải tôn được xét nằm phía dưới (phía trên) trục trung hòa. |
| yb | = Khoảng cách theo phương thẳng đứng, m (ft), được đo từ vị trí lượn trên của cung hông tới trục trung hòa của tiết diện ngang dầm tương đương. |
| yn | = Khoảng cách theo phương thẳng đứng, m (ft), được đo từ đáy (boong trên) tới trục trung hòa của tiết diện ngang dầm tương đương, khi dải tôn được xét nằm phía dưới (phía trên) trục trung hòa. |
| smRDS | = Mô đun chống uốn tiết diện dầm tương đương tinh tham chiếu tại boong trên cùng ở mạn đối với mô men uốn võng xuống, dựa trên hệ số vật liệu của bản cánh trên (boong trong và boong trên cùng) của dầm trương đương, cm2-m (in2-ft) |
|
| = 0,92SMS |
| SMS | = Mô đun chống uốn dầm tương được yêu cầu tại boong trên ở mạn phù hợp với 7.4.2.4.1 đối với tổng mô men uốn võng xuống dựa trên hệ số vật liệu của bản cánh trên (boong trong và boong trên cùng) của dầm tương đương, cm2-m (in2-ft) |
| smRB | = Mô đun chống uốn tiết diện dầm tương đương tinh tham chiếu dựa trên hệ số vật liệu của bản cánh dưới của dầm tương đương, cm2-m (in2-ft) |
|
| = 0,92SMB |
| smB | = Mô đun chống uốn dầm tương đương thiết kế kế tinh so với đáy, cm2-m (in2-ft) |
| E | = Mô đun đàn hồi của vật liệu, N/cm2 (kgf/cm2, lbf/in2), đối với thép 2,06 x 107 (2,10 x 106, 30 x 106) |
| Rb | = (SMRBH/SMB)1/2 |
| SMRBH | = Mô đun chống uốn tiết diện dầm tương đương tinh tham chiếu đối với mô men uốn vồng lên, dựa trên hệ số vật liệu của bản cánh dưới của dầm trương đương, cm2- m (in2-ft) |
|
| = 0,92SMH |
| SMH | Mô đun chống uốn tiết diện dầm tương đương yêu cầu phù hợp với 13.2 và 1.1.7 của TCVN 6259-2A, đối với tổng mô men uốn vồng lên dựa trên hệ số vật liệu của bản cánh dưới của dầm tương đương, cm2-m (in2-ft) |
| pi | = Áp lực, N/cm2 (kgf/cm2, lbf/in2) |
|
| = 0,88(0,098L + 90,2D/L - 9,8) đối với hệ đơn vị SI |
|
| = 0,88(0,01L + 9,022D/L -1,0) đối với hệ đơn vị MKS |
|
| = 0,88(0,04335L + 130,9D/L - 14,223)đối với hệ đơn vị Hoa Kỳ |
|
| Đối với tôn bao mạn nằm tại vị trí ≥ 3 m (10 ft) phía trên đường nước tải trọng mùa hè, pi có thể được giảm đi 20%. |
| D | = Chiều cao mạn của kho chứa nổi, m (ft), như được xác định tại 1.2.24 của TCVN 6259-1A. |
* Chiều dày tinh t1 và t2 được tính cho mỗi tấm, không cần cao hơn các giá trị được tính toán tại vị trí lượn trên của cung hông, được điều chỉnh đối với khoảng cách giữa các dầm dọc và các hệ số vật liệu.
** Chiều dày tinh t3 có thể được xác định dựa theo Sm và ƒy của vật liệu bền dầm tương đương được yêu cầu tại vị trí được xét.
b) Ngoài ra, chiều dày tinh của tôn bao mạn chịu ảnh hưởng của xuất nhập hàng qua mạn phải không được nhỏ hơn giá trị t5 lấy theo công thức sau:
t5 = 90(s/1000 + 0,7)[Bd/(Smƒy)2]1/4 + tk mm
t5 = 7,3(s/39,4 + 0,7)[Bd /(Smƒy)2]1/4 + tk mm
Với:
| s | = Khoảng cách giữa các nẹp dọc mạn, mm (ft) |
| B | = Chiều rộng của kho chứa nổi, như được xác định tại 1.2.22 của TCVN 6259-1A, m (ft) |
| d | = Chiều chìm lý thuyết, như được xác định tại 1.2.30 của TCVN 6259-1A, m (ft) |
| t | k = 0,5 mm (0,02 in.) đối với thép thường |
|
| = 1,0 mm (0,04 in.) đối với thép A 32, D 32, E32, F 32 hoặc tương đương. |
|
| = 1,5 mm (0,06 in.) đối với thép A 36, D 36, E36, F 36 hoặc tương đương. |
|
| = 2,0 mm (0,08 in.) đối với thép A 40, D 40, E40, F 40 hoặc tương đương |
Tất cả các thông số khác như được xác định ở trên.
c) Chiều dày tinh, t5, phải được áp dụng cho phạm vi sau đây của tôn bao mạn:
• Phạm vi dọc. Giữa một tiết diện phía sau của phần giữa thân nơi mà chiều rộng tại đường nước lớn hơn 0,9B, và một tiết diện phía trước của phần giữa thân nơi mà chiều rộng của đường nước lớn hơn 0,65.
• Phạm vi thẳng đứng. Giữa 300 mm bên dưới đường nước dằn thấp nhất tới 0,25d hoặc 2,2 m, theo giá trị nào lớn hơn. Phía trên đường nước tải trọng mùa hè.
d) Ngoài ra, thay cho các yêu cầu t5 ở trên, các tính toán độ bền tôn bao mạn có thể được trình nộp để chứng minh sự phù hợp kết cấu của tôn bao mạn cho sự hấp thụ va đập của bố trí chống va hoặc tương đương.
7.4.5.2 Dải tôn mép mạn
Chiều rộng tối thiểu, b, của dài tôn mép mạn trên suốt khoảng 0,4L giữa thân phải được lấy theo công thức sau:
b = 5,0L x 10-3 + k m (ft)
Với:
L = Chiều dài của kho chứa nổi, m (ft), như được xác định tại 1.2.20 của TCVN 6259-1A.
k = 0,8 (2,625)
Nói chung, chiều dày của dải tôn mép mạn không được nhỏ hơn chiều dày của tôn bao mạn liền kề. chiều dày của dải tôn mép mạn phải được tăng thêm 25% tại khu vực thẳng với vị trí gián đoạn của kết cấu thượng tầng, nhưng mức tăng này không cần vượt quá 6,35 mm (0,25 in.).
7.4.5.5 Tôn boong
7.4.5.3.1 Boong trên cùng - Chiều dày tinh
a) Chiều dày tinh của tôn boong trên cùng không được nhỏ hơn giá trị được yêu cầu để thỏa mãn yêu cầu mô đun chống uốn tiết diện ngang dầm tương đương tại 13.2 của TCVN 6259-2A. Độ bền ổn định và độ bền tới hạn phải phù hợp với các yêu cầu tại 7.5.3. Ngoài ra, chiều dày tinh của tôn boong trên cung, trên đoạn 0,4L giữa thân, không được nhỏ hơn t1, t2 và t3 như dưới đây:
t1 = 0,73 s(k1p/ƒ1)1/2mm (n.)
t2 = 0,73 s(k2p/ƒ2)1/2 mm (in.)
t3 = cs(Smƒy/E)1/2 * mm(in.)
Với:
| s | = Khoảng cách giữa các dầm dọc, mm (in.) |
| k1 | = 0,342 |
| k2 | = 0,50 |
| p | = 2,06 N/cm2 (0,21 kgf/cm2; 2,987 lbf/in2) thẳng với không gian trông giữa boong trên cùng và boong trong. |
|
| p không bao giờ được Issys nhỏ hơn 2,06 N/cm2 (0,21 kgf/cm2; 2,987 lbf/in2) |
| ƒ1 | = ứng suất uốn cho phép theo phương dọc |
|
| = 0,30smfy đối với boong trên cùng |
| Sm | = Hệ số suy giảm độ bền đối với cấp thép của vật liệu tôn boong trên cùng được xét và hệ số suy giảm độ bền đối với bản cánh trên của dầm tương đương, một cách tương ứng. |
|
| = 1,0 đối với thép thường |
|
| = 0,95 đối với thép A 32, D 32, E32, F 32 hoặc tương đương. |
|
| = 0,908 đối với thép A 36, D 36, E36, F 36 hoặc tương đương. |
| ƒy | = Giới hạn chảy quy định tối thiểu của vật liệu tôn boong trên cùng, N/cm2 (kgf/cm2, lbf/in2) |
| ƒ2 | = ứng suất uốn cho phép theo phương ngang, N/cm2(kgf/cm2, lbf/in2) |
|
| = 0,80Smƒy |
| c | = Nếu không có boong trong: 0,4L giữa thân |
|
| 0,5(0,6 + 0,0015L) đối với hệ đơn vị MKS |
|
| 0,5(0,6 + 0,0046L) đối với hệ đơn vị Hoa Kỳ |
|
| c không được lấy nhỏ hơn 0,7N2 - 0,2 đối với kho chứa nổi có chiều dài nhỏ hơn 267 m (876 ft) |
|
| = Nếu có boong trong: 0,4L giữa thân |
|
| 0,7N2 - 0,2, không nhỏ hơn 0,4Q1/2 |
|
| = 0,30Q1/2 vách mút tới đầu mút |
|
| Sử dụng nội suy tuyến tính cho vị trí trung gian. |
| N | = Rd(Q/Qd)1/2 |
| Rd | = (SMRDS/SMD)1/2 |
| Q, Qd | = Tương ứng là hệ số chuyển đổi vật liệu tại 7.4.3 đối với tôn boong trên cùng được xét và bản cánh trên (boong trong và bông trên cùng) của dầm tương đương. |
| E | = Mô đun đàn hồi của vật liệu, N/cm2 (kgf/cm2, lbf/in2), đối với thép 2,06 x 107 (2,10 x 106, 30 x 106) |
| SMRDS | = Mô đun chống uốn tiết diện dầm tương đương tinh tham chiếu đối với mô men uốn võng xuống, dựa trên hệ số vật liệu của bản cánh trên (boong trong và boong trên cùng) của dầm trương đương, cm2-m (in2-ft) |
|
| = 0,92 SMS |
| SMS | = Mô đun chống uốn tiết diện dầm tương đương yêu cầu tại boong trên cùng ở mạn phù hợp với 7.4.2.4.1 đối với tổng mô men uốn võng xuống dựa trên hệ số vật liệu của bản cánh trên (boong trong và boong trên cùng) của dầm tương đương, cm2- m (in2-ft) |
| SMD | = Mô đun chống uốn dầm tương đương thiết kế tinh giữa thân tại boong trên cùng, cm2-m (in2-ft) |
* Chiều dày tinh t3 có thể được xác định dựa theo Sm và ƒy của vật liệu bền dầm tương đương được yêu cầu tại vị trí được xét.
b) Yêu cầu t3 đối với một kho nối chứa khí hóa lỏng có thể được điều chỉnh dựa trên tỷ số Mr, với Mr = (mô men uốn võng xuống cực đại trên nước tĩnh+mô men uốn võng do sóng đối với DEC tại vị trí hoạt động)/(mô men uốn võng cực đại trên nước tĩnh+mômen uốn võng do sóng đối với môi trường Bắc Đại Tây Dương). Mô men uốn võng do sóng có thể được lấy theo 7.3.3.2.1.
| Mr | t3 được điều chỉnh |
| Mr < 0,7 | 0,85 * t3 |
| 0,7 ≤ Mr ≤ 1,0 | 0,5 + Mr /2) * t3 |
| Mr > 1,0 | 1,0 * t3 |
c) Diện tích boong yêu cầu phải được duy trì xuyên suốt 0,4L giữa thân. Từ các vị trí này tới các đầu mút của kho chứa nổi, diện tích boong có thể được giảm dần phù hợp với 15.2 của TCVN 6259-2A.
7.4.5.3.2 Boong trong - Chiều dày tinh
a) Chiều dày tinh của tôn boong trong, tn, không được nhỏ hơn giá trị cần thiết để thỏa mãn yêu cầu mô đun chống uốn dầm tương đương tại 13.2 của TCVN 6259-2A. Độ bền ổn định và bền tới hạn phải phù hợp với các yêu cầu tại 7.5.3. Ngoài ra, chiều dày tinh của tôn boong trong, tn, không được nhỏ hơn t1, t2, t3 và t4 dưới đây:
t1 = 0,73 s(k1p/ƒ1)1/2 mm (in.)
t2 = 0,73 s k(k2p/ƒ2)1/2 mm (in.)
t3 = cs(Smƒy/E)1/2 * mm (in.)
t4 = 0,73 s k(k2pgc/ƒ)1/2 * mm (in.)
b) Nếu tôn boong trong có hệ nẹp ngang cục bộ, chiều dày tinh của tôn boong trong, tn, không được nhỏ hơn t5 hoặc t6 dưới đây:
t5 = 0,73 stk(k2p/ƒ1)1/2 mm (in.)
t6 = 0,73 stk(k2pgc/ƒ)1/2 mm (n.)
Với:
| s | = Khoảng cách giữa các dầm dọc boong trong, mm (in.) |
| st | = Khoảng cách giữa các nẹp ngang boong trong, mm (in.) |
| k1 | = 0,342 |
| k2 | = 0,50 |
| k | = (3,075 |
|
| = 1,0 α > 2 |
| α | = Tỷ số kích thước của mảng tấm (cạnh dài/cạnh ngắn) |
| p | = pn tại khu vực két hàng |
|
| p không bao giờ được lấy nhỏ hơn 2,50 N/cm2 (0,255 kgf/cm2; 3,626 lbf/in2) đối với két hàng |
| pn | = Áp lực danh nghĩa, N/cm2 (kgf/cm2, lbf/in2), như được xác định tại Bảng 9 đối với tôn boong |
| ƒ1 | = ứng suất uốn cho phép theo phương dọc, N/cm2 (kgf/cm2, lbf/in2) |
|
| = [1,0 - 0,82α2]Smƒy ≤ 0,18Smƒy |
| ƒ2 | = ứng suất uốn cho phép theo phương ngang, N/cm2 (kgf/cm2, lbf/in2) |
|
| = 0,80Smfy |
| ƒ | = ứng suất uốn cho phép, N/cm2 (kgf/cm2, lbf/in2) |
|
| = 0,70ƒy |
| α2 | = Sm2ƒy2lSmƒy |
| Sm, sm2 | = Tương ứng, là hệ số suy giảm độ bền đối với vật liệu tôn boong trong được xét và hệ số duy giảm độ bền đối với bản cánh trên (boong trong và boong trên cùng) của dầm tương đương |
|
| = 1,0 đối với thép thường |
|
| = 0,95 đối với thép A 32, D 32, E32, F 32 hoặc tương đương. |
|
| = 0,908 đối với thép A 36, D 36, E36, F 36 hoặc tương đương. |
| ƒy | = Giới hạn chảy quy định tối thiểu của vật liệu tôn boong trong, N/cm2 (kgf/cm2, ibf/in2) |
| ƒy2 | = Giới hạn chảy quy định tối thiểu của bản cánh trên (boong trong và boong trên cùng) của dầm tương đương, N/cm2 (kgf/cm2, lbf/in2) |
| c | = 0,7N2 - 0,2, không nhỏ hơn 0,37Q1/2 |
| N | = Rd(Q/Qd)1/2 |
| Rd | = (SMRDS/SMD) 1/2 |
| Q, Qd | = Tương ứng là hệ số chuyển đổi vật liệu tại 7.4.3 đối với tôn boong trên cùng được xét và bản cánh trên (boong trong và bông trên cùng) của dầm tương đương. |
|
| = 1,0 đối với thép thường |
|
| = 0,78 đối với thép A 32, D 32, E32, F 32 hoặc tương đương. |
|
| = 0,72 đối với thép A 36, D 36, E36, F 36 hoặc tương đương. |
| E | = Mô đun đàn hồi của vật liệu, N/cm2 (kgf/cm2, lbf/in2), đối với thép 2,06 x 107 (2,10 x 106 30 x 106) |
| SMRDS | = Mô đun chống uốn tiết diện dầm tương đương tinh tham chiếu đối với mô men uốn võng xuống, dựa trên hệ số vật liệu của bản cánh trên (boong trong và boong trên cùng) của dầm tương đương, cm2-m (in2-ft) |
|
| = 0,92 SMS |
| SMS | = Mô đun chống uốn tiết diện dầm tương đương yêu cầu tại boong trên cùng ở mạn phù hợp với 7.4.2.4.1 đối với tổng mô men uốn võng xuống dựa trên hệ số vật liệu của bản cánh trên (boong trong và boong trên cùng) của dầm tương đương, cm2- m (in2-ft) |
| SMD | = Mô đun chống uốn dầm tương đương thiết kế tinh giữa thân tại boong trên cùng tại mạn, cm2-m (in2-ft) |
| pgc | = po + (pgd)max N/cm2 (kgf/cm2, lbf/in2) |
| po | = Áp suất hơi thiết kế của két hàng, N/cm2 (kgf/cm2, lbf/in2) |
| pgd | = aβZβk3ρ10-4 N/cm2 (kgf/cm2, lbf/in2) |
| aβ | = Gia tốc không thứ nguyên, xem 7.3.3.6.3 |
| Zβ | = Cột chất lỏng két hàng lớn nhất, m (ft), phía trên điểm trên boong trong được xét, xem 7.3.3.6.3 |
| k3 | = 9,81 (1,0; 69,44) |
| ρ | = Trọng lượng riêng cực đại của hàng, N/cm3 (kgf/cm3, lbf/in3), tại nhiệt độ thiết kế, nhưng ρ không được lấy nhỏ hơn 4900 N/cm3 (500 kgf/cm3, 31,214lbf/in3) |
* Chiều dày tinh t3 có thể được xác định dựa theo Sm và ƒy của vật liệu bền dầm tương đương được yêu cầu tại vị trí được xét
c) Yêu cầu t3 đối với một kho nối chứa khí hóa lỏng có thể được điều chỉnh dựa trên tỷ số Mr, với Mr = (mô men uốn võng xuống cực đại trên nước tĩnh+mô men uốn võng do sóng đối với DEC tại vị trí hoạt động)/(mô men uốn võng cực đại trên nườc tĩnh+mô men uốn võng do sóng đối với môi trường Bắc Đại Tây Dương). Mô men uốn võng do sóng có thể được lấy theo 7.3.3.2.1.
Bảng 16 - Điều chỉnh t3
| Mr | t3 được điều chỉnh |
| Mr < 0,7 | 0,85 * t3 |
| 0,7 ≤ Mr ≤ 1,0 | Thay đổi tuyến tính giữa 0,85 * t3 và 1,0 * t3 |
| Mr > 1,0 | 1,0 * t3 |
d) Chiều dày tinh của tôn đỉnh két và mạn nghiêng của boong trong cũng phải tuân theo các yêu cầu đối với t1 và t2 tại 7.4.7.1.
e) Diện tích boong yêu cầu phải được duy trì xuyên suốt 0,4L giữa thân. Từ các vị trí này tới các đầu mút của kho chứa nổi, diện tích boong có thể được giảm dần phù hợp với 15.2 của TCVN 6259-2A.
7.4.5.3.3 Lối đi lại của boong trên cùng (Boong phụ) - Chiều dày tinh
Chiều dày tinh của tôn boong lối đi không được nhỏ hơn t1, t2, t3 và t4 dưới đây:
| t1 | = 9,0 mm đối với L ≥ 200 m | |
|
| = 0,02L + 5,0 mm đối với 200 m ≥ L ≥ 150 m | |
| t1 | = 0,354 in. đối với L ≥ 656 ft | |
|
| = 0,00024L + 0,2 in đối với 200 m ≥ L ≥ 150 m | |
| t2 | = 0,73 s(k1p/ƒ1)1/2 mm (in.) | |
| t3 | = 0,73 s k(k2p/ƒ2)1/2 mm (in.) | |
| t4 | = cs(Smƒy/E)1/2 * mm (in.) | |
| Với: | ||
| s | = Khoảng cách giữa các dầm dọc, mm (in.) | |
| k1 | = 0,342 | |
| k2 | = 0,50 | |
| k | = (3,075 | |
|
| = 1,0 α > 2 | |
| α | = Tỷ số kích thước của mảng tấm (cạnh dài/cạnh ngắn) | |
| p | = pa - puh, N/cm2 (kgf/cm2; lbf/in2) | |
| pa | = Áp lực danh nghĩa, N/cm2 (kgf/cm2, lbf/in2), như được xác định tại Bảng 9 | |
| puh | Cũng được xác định tại 7.4.4.2.2. | |
| c | = 0,7N2 - 0,2, không nhỏ hơn 0,2 | |
| N | = Rd[(Q/Qd)/(y/yn)]1/2 | |
| Rd | = (SMRDS/SMD) 1/2 | |
| ƒ1 | = ứng suất uốn cho phép theo phương dọc, N/cm2 (kgf/cm2, lbf/in2) | |
|
| = [1,0 - 0,67α2 (SMRDS/SMD)(y/yn)]Smƒy ≤ 0,65Smƒy | |
| ƒ2 | = ứng suất uốn cho phép theo phương ngang, N/cm2 (kgf/cm2, lbf/in2) | |
|
| = 0,90Smƒy | |
| α2 | = Sm2ƒy2lSmƒy | |
| Sm | = là hệ số suy giảm độ bền đối với vật liệu tôn vách dọc | |
| Sm2 | hệ số duy giảm độ bền đối với bản cánh trên (boong trong và boong trên cùng) của dầm tương đương | |
| ƒy | = Giới hạn chảy quy định tối thiểu của vật liệu tôn boong phụ, N/cm2 (kgf/cm2, lbf/in2) | |
| ƒy2 | = Giới hạn chảy quy định tối thiểu của bản cánh trên (boong trong và boong trên cùng) của dầm tương đương, N/cm2 (kgf/cm2, lbf/in2) | |
| Q, Qd | = Tương ứng là hệ số chuyển đổi vật liệu tại 7.4.3 đối với tôn boong phụ và bản cánh trên (boong trong và bông trên cùng) của dầm tương đương. | |
| y | = Khoảng cách theo phương thẳng đứng, m (ft), được đo từ tôn boong phụ được xét tới trục trung hòa của mặt cắt dầm tương đương | |
| yn | = Khoảng cách theo phương thẳng đứng, m (ft), được đo từ boong trên cùng tại mạn tới trục trung hòa của mặt cắt dầm tương đương | |
| SMRD | = Mô đun chống uốn tiết diện dầm tương đương tinh tham chiếu tại boong trên cùng tại mạn dựa trên hệ số vật liệu của bản cánh trên (boong trong và boong trên cùng) của dầm trương đương, cm2-m (in2-ft) | |
|
| = 0,92SM | |
| SM | = Mô đun chống uốn dầm tương đương tổng yêu cầu tại boong trên cùng tại mạn phù hợp với 7.4.2.4.1, dựa trên hệ số vật liệu của bản cánh trên (boong trong và boong trên cùng) của dầm tương đương, cm2-m (in2-ft) | |
| SMRDS | = Mô đun chống uốn tiết diện dầm tương đương tinh tham chiếu đối với mô men uốn võng xuống, dựa trên hệ số vật liệu của bản cánh trên (boong trong và boong trên cùng) của dầm trương đương, cm2-m (in2-ft) | |
|
| = 0,92 SMS | |
| SMS | = Mô đun chống uốn tiết diện dầm tương đương yêu cầu tại boong trên cùng tại mạn phù hợp với 7.4.2.4.1 đối với tổng mô men uốn võng xuống dựa trên hệ số vật liệu của bản cánh trên (boong trong và boong trên cùng) của dầm tương đương, cm2-m (in2-ft) | |
| SMD | = Mô đun chống uốn dầm tương đương thiết kế tinh giữa thân tại boong trên cùng tại mạn, cm2-m (in2-ft) | |
7.4.5.4 Dầm dọc boong và dầm dọc mạn
a) Mô đun chống uốn tinh của mỗi dầm dọc mạn và boong, cùng với tôn kèm, không được nhỏ hơn giá trị tính theo công thức sau:
SM = M/ƒb cm3 (in3)
Với:
| M | = |
| k | = 12 (12; 83,33) |
| p | = pa - puo hoặc pb, theo giá trị nào lớn hơn, đối với các dầm dọc mạn, N/cm2 (kgf/cm2, lbf/in2) |
|
| = pn - puh đối với các dầm dọc boong phụ trong két dằn, N/cm2 (kgf/cm2, lbf/in2) |
|
| = pn đối với dầm dọc boong trong két hàng, N/cm2 (kgf/cm2, lbf/in2) |
|
| p không bao giờ được lấy nhỏ hơn 2,06 N/cm2 (0,21 kgf/cm2; 2,987 lbf/in2) đối với két dằn và không gian trống, hoặc 2,50 N/cm2 (0,255 kgf/cm2; 3,626 lbf/in2) đối với két hàng |
| pa, pb | = Tương ứng, là các áp lực danh nghĩa, N/cm2 (kgf/cm2, lbf/in2), như được xác định trong trường hợp tải trọng “a” và “b” tại dầm dọc mạn được xét, trong Bảng 9 đối với các dầm dọc mạn. |
| pn | = Áp lực danh nghĩa, N/cm2 (kgf/cm2, lbf/in2), như được xác định tại Bảng 9 đối với các dầm dọc boong |
| puo | = |
|
| = |
|
| Sử dụng nội suy tuyến tính cho các giá trị trung gian của |
|
| Nếu đỉnh của két dằn mạn kép không kéo dài tới boong lộ, puo được lấy bằng 0. |
| puh | = |
|
| = |
|
| Sử dụng nội suy tuyến tính cho các giá trị trung gian của |
|
| Nếu đỉnh của két dằn mạn kép không kéo dài tới boong lộ, puh được lấy bằng 0. |
| γ | = Trọng lượng riêng của nước dằn, 1,005 N/cm2-m (0,1025 kgf/cm2-m; 0,4444 lbf/in2-ft) |
| γ | h = Chiều cao của két dằn mạn kép tại mạn của kho chứa nổi, m (ft) |
|
| = Chiều dài của két dằn mạn kép, m (ft), được đo tại đỉnh của két |
| L | = Chiều dài của kho chứa nổi, m (ft), như được xác định tại 1.2.20 của TCVN 6259-1A. |
| Φe | = Biên độ lắc dọc hiệu dụng, như được xác định tại 7.3.3.5.2 với Cϕ = 0,7 |
| θe | = Biên độ lắc ngang hiệu dụng, như được xác định tại 7.3.3.5.2 với Cθ = 0,7 |
| s | = Khoảng cách của các dầm dọc, mm (in.) |
|
| Chịp của dầm dọc giữa các gối đỡ hữu hiệu, như thể hiện tại Hình 40, m (ft). |
| ƒb | = Các ứng suất uốn cho phép, N/cm2 (kgf/cm2, lbf/in2) |
|
|
|
|
|
|
|
|
|
|
|
|
|
|
|
| ƒmax | = 0,75 Smƒy 0,4L giữa thân |
|
| = 0,90Smƒy đầu mút đuôi đến vách mút đuôi |
|
| = 0,85Smƒy vách mút mũi tới đầu mút mũi |
|
| Sử dụng nội suy tuyến tính cho vị trí trung gian. |
| α2 | = Sm2ƒy2lSmƒy |
| Sm, ƒy và < α1 được xác định tại 7.4.4.3. | |
| Sm2 | = hệ số duy giảm độ bền lấy từ 7.4.4.2.2 đối với bản cánh trên (boong trong và boong trên cùng) của dầm tương đương |
| ƒy2 | = Giới hạn chảy quy định tối thiểu của bản cánh trên (boong trong và boong trên cùng) của dầm tương đương, N/cm2 (kgf/cm2, lbf/in2) |
| SMRD | = Mô đun chống uốn tiết diện dầm tương đương tinh tham chiếu tại boong trên cùng tại mạn dựa trên hệ số vật liệu của bản cánh trên (boong trong và boong trên cùng) của dầm trương đương, cm2-m (in2-ft) |
|
| = 0,92SM |
| SMD | = Mô đun chống uốn dầm tương đương thiết kế tinh giữa thân tại boong trên cùng tại mạn, cm2-m (in2-ft) |
| SMRB và SMB được xác định tại 7.4.4.2.2. | |
| y | = Khoảng cách theo phương thẳng đứng, m (ft), được đo từ trục trung hòa của mặt cắt dầm tương đương tới dầm dọc được xét tại vị trí giao cắt của nó với tôn kèm, nhưng tương ứng, không cần lấy lớn hơn khoảng cách tới boong trên cùng hoặc boong trong tai mạn. |
| SM | = Mô đun chống uốn mặt cắt dầm tương đương yêu cầu tại boong trên cùng tại mạn phù hợp với 13.2 và 1.1.7 của TCVN 6259-2A, dựa trên hệ số vật liệu của bản cánh trên (boong trong và boong trên cùng) của dầm tương đương, cm2-m (in2-ft). |
| yn | = Khoảng cách theo phương thẳng đứng, m (ft), được đo từ boong trên cùng tại mạn tới trục trung hòa của mặt cắt dầm tương đương |
b) Mô đun chống uốn tiết diện tinh của các dầm dọc boong trong nằm ngoài mạn 0,35 tính từ đường tâm của két cũng không được nhỏ hơn SM1 của dầm dọc trên cùng trên vách nghiêng phía trên được yêu cầu bởi 7.4.7.3 được điều chỉnh cho nhịp và khoảng cách của đầm dọc và các hệ số vật liệu.
c) Ngoài ra, mỗi dầm dọc boong trong cũng phải có mô đun chống uốn, SM, không nhỏ hơn giá trị tính theo các công thức sau:
SM = CgcK1M/ƒb cm3 (in3)
![]()
Với:
| k | = 12(12; 83,33) |
| s | = Khoảng cách giữa các dầm dọc, mm (in.) |
|
| = Chiều dài nhịp của dầm dọc giữa các gối đỡ hữu hiệu, như thể hiện tại Hình 40, m (ft) |
| cgc | = Hệ số điều chỉnh cho ăn mòn của các dầm dọc trong các két |
|
| = 0,90 |
|
| = Hệ số điều chỉnh cho ăn mòn của các dầm dọc trong các không gian trống |
|
| = 0,94 |
| k1 | = 0,9 |
| pgc | = po + (pgd)max N/cm2 (kgf/cm2, lbf/in2) |
| po | = Áp suất hơi thiết kế của két hàng, N/cm2 (kgf/cm2, lbf/in2), như được xác định tại 7.1.2.6 |
| pgd | = aβZβk3ρ10-4 N/cm2 (kgf/cm2, lbf/in2) |
| aβ | = Gia tốc không thứ nguyên, xem 7.3.3.6.3 |
| Zβ | = Cột chất lỏng két hàng lớn nhất, m (ft), phía trên điềm trên boong trong được xét, xem 7.3.3.6.3 |
| k3 | = 9,81 (1,0; 69,44) |
| ρ | = Trọng lượng riêng cực đại của hàng, N/cm3 (kgf/cm3, lbf/in3), tại nhiệt độ thiết kế, nhưng ρ không được lấy nhỏ hơn 4900 N/cm3 (500 kgf/cm3, 31,214lbf/in3) |
| ƒb | = Các ứng suất uốn cho phép, N/cm2 (kgf/cm2, lbf/in2) |
|
| = Sgcƒy |
| Sgc | = 0,64 đối với thép thường |
|
| = 0,53 đối với thép A 32, D 32, E32, F 32 hoặc tương đương. |
|
| = 0,52 đối với thép A 36, D 36, E36, F 36 hoặc tương đương. |
d) Khi xác định sự phù hợp với các yêu cầu trên, một chiều rộng hiệu dụng, be, của tôn kèm phải được sử dụng trong tính toán mô đun chống uốn của dầm dọc thiết kế. be phải được lấy từ dòng b) của Hình 41.
e) Mô men quán tính tinh so với trục trung hòa của các dầm dọc boong và các dầm dọc mạn trong phạm vi khu vực 0,1Ds từ boong trên cùng, cùng với tôn kèm liên quan (bwLtn) không được nhỏ hơn giá trị tính theo công thức sau:
![]()
Với:
| k | = 12(12; 83,33) |
| Ae | = Tiết diện tinh của dầm dọc cùng với tôn kèm bwLtn, cm2 (in2) |
| bwL | = cs |
| c | = 2,25/β - 1,25/β2 đối với β ≥ 1,25 |
|
| = 1,0 đối với β < 1,25 |
| β | = (ƒy/E)1/2s/tn |
| tn | = Chiều dày tinh của tấm, mm (in.) |
| Ds | = Chiều cao từ đáy tới boong trên cùng đo tại mạn, m (ft). |
như được xác định tại 7.4.4.3.
E như được xác định tại 7.4.4.2.2.
7.4.6 Mạn ngoài và boong - Các cơ cấu đỡ chính
7.4.6.1 Tổng quát
7.4.6.1.1 Các cơ cấu đỡ chính, như các dầm ngang và các sống, phải được bố trí và thiết kế với đủ độ cứng để đỡ kết cấu thân kho chứa nổi. Nói chung, các dầm ngang boong, dầm sườn ngang mạn và các đà ngang đáy phải được bố trí trong cùng một mặt phẳng để tạo nên các vòng đai ngang liên tục. Các sống boong, nếu có, thông thường phải trải rộng xuyên suốt các không gian két hàng và phải được đỡ hiệu quả tại các vách ngang. Đối với các dầm ngang và sống boong với một phần của các sống thẳng với các vách ngang hoặc vách khoang cách ly, các kích thước tối thiểu phải được xác định từ phân tích lưới dầm hoặc phân tích phần tử hữu hạn.
7.4.6.1.2 Phải có các chuyển tiếp thích hợp tại các vị trí giao cắt của các cơ cấu đỡ chính để có được sự truyền tải đều và để giảm thiểu sự tập trung ứng suất, cần phải tránh các vị trí thay đổi đặc tính tiết diện đột ngột và các góc sắc nhọn. Khuyến cáo rằng giao cắt của mạn trong và đáy trong phải được thực hiện bằng các vách nghiêng rộng hoặc vách cong có bán kính lớn.
7.4.6.1.3 Chiều dày của các cơ cấu đỡ chính được yêu cầu bởi Tiêu chuẩn này được coi là các yêu cầu kích thước ban đầu đối với các dầm ngang, sống boong, sườn mạn, sống dọc mạn và các sống khỏe nằm hoặc đứng của các vách ngang, và có thể được giảm trừ với điều kiện rằng độ bền của thiết kế hệ quả được kiểm chứng bằng đánh giá độ bền tổng thể tuần tự tại 7.5. Các đặc tính kết cấu của các cơ cấu đỡ chính phải tuân theo các tiêu chí phá hủy quy định tại 7.5.2.
7.4.6.2 Dầm ngang boong
7.4.6.2.1 Chiều cao của boong kép
Nói chung, chiều cao của boong kép tại đường tâm của kho chứa nổi không được nhỏ hơn 80 mm/m (0,96 in./ft) của nhịp
của dầm ngang boong kép như thể hiện tại Hình 43 và phải có chiều cao đủ để cung cấp lối đi lại dễ dàng.
7.4.6.2.2 Chiều dày bàn thành của các dầm ngang boong
a) Chiều dày tinh của bản thành của các dầm ngang boong không được nhỏ hơn giá trị tính theo các công thức sau:
t1 = F1/(k1dt ƒs) mm (in.) nhưng không cần lấy nhỏ hơn 9,0 mm (0,35 in.)
Với:
| F1 | = Lực cắt tại dầm ngang boong kép, như được tính theo công thức nêu dưới đây. Kích thước yêu cầu t1 có thể được giảm xuống 85% nhưng không cần lấy nhỏ hơn 9,0 mm (0,35 in.), với điều kiện độ bền được kiểm chứng trong đánh giá độ bền tổng thể: |
|
| = |
| k1 | = 10,0 (10,0; 12,0) |
| k2 | = 1,0 (1,0; 2,24) |
| β2 | = |
| dt | = Chiều cao thực tế của dầm ngang boong kép, m (ft), như được xác định tại Hình 43 |
| p | = Áp lực danh nghĩa tại giữa nhịp của dầm ngang boong kép tại vị trí giữa khoang, kN/m2(tf/m2, Ltf/ft2), như được quy định tại Bảng 9. |
|
| = Nhịp của dầm ngang boong kép, m (ft), như được thể hiện tại Hình 43 |
| z | = Khoảng cách từ đường tâm của nhịp của dầm ngang boong kép, |
| sd | = Khoảng cách của dầm ngang boong kép được xét, m (ft) |
| ƒs | = Các ứng suất cắt cho phép, N/cm2 (kgf/cm2, lbf/in2) |
|
| = 0,45 Smƒy |
| ƒy | = Giới hạn chảy quy định tối thiểu của vật liệu, N/cm2 (kgf/cm2, lbf/in2) |
| Sm | = Hệ số suy giảm độ bền |
|
| = 1,0 đối với thép thường |
|
| = 0,95 đối với thép A 32, D 32, E32, F 32 hoặc tương đương. |
|
| = 0,908 đối với thép A 36, D 36, E36, F 36 hoặc tương đương. |
| b) Ngoài yêu cầu nêu trên, chiều dày tinh của các dầm ngang boong kép không được nhỏ hơn t2 dưới đây: | |
| t2 | = F2 (k4dtƒs) mm (in.) |
| Với: | |
| F2 | = Lực cắt tại dầm ngang boong kép, như được tính từ các phân tích phần tử hữu hạn nêu tại 7.5.5 với các trường hợp tải trọng IGC bổ sung tại 7.5.5.4 |
| k4 | = 10,0 (10,0; 64,3) |
| pgc | = po + (pgd)max N/cm2 (kgf/cm2, lbf/in2) |
| po | = Áp suất hơi thiết kế của két hàng, N/cm2 (kgf/cm2, lbf/in2), như được xác định tại 7.12.6 |
| pgd | = aβZβk3ρ10-4 N/cm2 (kgf/cm2, lbf/in2) |
| aβ | = Gia tốc không thứ nguyên, xem 7.3.3.6.3 |
| Zβ | = Cột chất lỏng két hàng lớn nhất, m (ft), phía trên điểm trên boong trong được xét, xem 7.3.3.6.3 |
| k3 | = 9,81 (1,0; 69,44) |
| ρ | = Trọng lượng riêng cực đại của hàng, N/cm3 (kgf/cm3, lbf/in3), tại nhiệt độ thiết kế, nhưng ρ không được lấy nhỏ hơn 4900 N/cm3 (500 kgf/cm3, 31,214 lbf/in3) |
| ƒs | = Các ứng suất cắt cho phép, N/cm2 (kgf/cm2, lbf/in2) |
|
| = 0,5ƒy |
Tất cả các thông số khác được xác định ở trên.
7.4.6.3 Sống boong
a) Chiều dày tinh của bản thành sống boong không được nhỏ hơn giá trị tính theo công thức sau: t1 = 0,012L + 7,2 mm
= 0,144L x 10-3 + 0,283 in.
Nhưng t1 không cần lấy lớn hơn 10,5 mm (0,413 in.)
t2 = F1/(k1dgƒs) mm(in.)
t3 = cs(Smƒy/E)1/2 mm (in.)
Với:
| F1 | = Lực cắt tại sống boong kép, như được tính theo công thức nêu dưới đây. Kích thước yêu cầu t2 có thể được giảm xuống 85%, với điều kiện độ bền được kiểm chứng trong đánh giá độ bền tổng thể: |
|
| = |
| α1 |
|
| γ1 |
|
|
| = Nhịp của sống boong kép, M (ft), như thể hiện tại Hình 43 |
|
| = Nhịp của dầm ngang boong kép, m (ft), như thể hiện tại Hình 43 |
| x | = Khoảng cách theo phương dọc từ giữa nhịp (ls) của kết cấu boong kép tới vị trí của sống boong được xét, m (ft) |
| sg | = Tổng nửa khoảng cách toàn bộ của sống boong ở cả hai phía của sống boong được xét, m (ft) |
| c | = 0,7N2 - 0,2, không nhỏ hơn 0,4Q1/2 |
| s | = Khoảng cách giữa các dầm dọc, mm (in.) |
| ƒs | = Các ứng suất cắt cho phép, N/cm2 (kgf/cm2, lbf/in2) |
|
| = 0,45ƒy |
| Sm | = Hệ số suy giảm độ bền, lấy theo 7.4.4.2.2 đối với cấp thép của sống boong |
| ƒy | = Giới hạn chảy quy định tối thiểu của vật liệu đối với sống boong, N/cm2 (kgf/cm2, lbf/in2) |
| N | = Rd[(Q/Qd)/(y/yn)]1/2 |
| Q | = Hệ số chuyển đổi vật liệu được xác định tại 7.4.3 đối với sống boong được xét |
| y | = Khoảng cách theo phương thẳng đứng, m (ft), được đo từ trục trung hòa của mặt cắt ngang dầm tương đương tới cạnh trên của sống boong được xét |
| yn | = Khoảng cách theo phương thẳng đứng, m (ft), được đo từ boong trên cùng tại mạn tới cục trung hòa của mặt cắt ngang |
Chiều dày tinh t3 có thể được xác định dựa theo Sm và ƒy của vật liệu bền dầm tương đương được yêu cầu tại vị trí được xét.
E được xác định tại 7.4.4.2.2. Rd và Qd được xác định tại 7.4.5.1.
Tất cả các thông số khác được xác định tại 7.4.6.2.2.
b) Bổ sung cho yêu cầu nêu ở trên, chiều dày tinh của sống bông không được nhỏ hơn t4 dưới đây:
t4 = F2/(k4dgƒs) mm (in.)
Với:
| F2 | = Lực cắt tại sống boong, như được tính từ các phân tích phần tử hữu hạn nêu tại 7.5.5 với các trường hợp tải trọng IGC bổ sung tại 7.5.5.4 |
| k4 | = 10,0 (10,0; 64,3) |
| ƒs | = Các ứng suất cắt cho phép, N/cm2 (kgf/cmz, lbf/in2) |
|
| = 0,5ƒy |
Tất cả các thông số khác như được xác định ở trên và tại 7.4.6.2.2.
7.4.6.4 Dầm ngang mạn
7.4.6.4.1 Chiều rộng của mạn kép
Nói chung, chiều rộng của mạn kép không được nhỏ hơn 120 mm/m (1,44 in/ft) của nhịp
của dầm ngang mạn kép như minh họa tại Hình 43 và phải đủ chiều rộng để có thể tiếp cận dễ dàng.
7.4.6.4.2 Chiều dày bàn thành của dầm ngang mạn kép
a) Chiều dày tinh của các dầm ngang mạn kép không được nhỏ hơn giá trị tính theo công thức sau:
| t1 | = 0,012L + 7,2 mm |
|
| = 0,144L x 10-3 + 0,283 in. |
|
| Nhưng t1 không cần lấy lớn hơn 10,5 mm (0,413 in.) |
| t2 | = F1/(k1dsƒs) mm (in.) |
| Với: |
|
| L | = Chiều dài của kho chứa nổi, m (ft), theo 1.2.20 của TCVN 6259-1A |
| F1 | = Lực cắt tại dầm ngang mạn kép, như được tính theo công thức nêu dưới đây. Kích thước yêu cầu t2 có thể được giảm xuống 85%, với điều kiện độ bền được kiểm chứng trong đánh giá độ bền tổng thể: |
|
| = |
| k1 | = 10,0 (10,0; 12,0) |
| k2 | = 1,0 (1,0; 2,24) |
|
| |
| ds | = Chiều cao thực tế của sườn mạn kép, m (ft), như được xác định tại Hình 43 |
| p | = Áp lực danh nghĩa tại giữa nhịp của sườn mạn kép tại vị trí giữa khoang, kN/m2(tf/m2, Ltf/ft2), như được quy định tại Bảng 9. |
|
| = Nhịp của dầm ngang mạn kép, m (ft) như minh họa tại Hình 43 |
| yt | = Khoảng cách từ điểm thấp hơn của dầm ngang mạn kép tới vị trí được xét, m (ft), như minh họa tại Hình 43 |
| st | = Khoảng cách của dầm ngang mạn kép được xét, m (ft) |
| ƒs | = Các ứng suất cắt cho phép, N/cm2 (kgf/cm2, lbf/in2) |
|
| = 0,45ƒy |
| ƒy | = Giới hạn chảy quy định tối thiểu của vật liệu, N/cm2 (kgf/cm2, lbf/in2) |
| Sm | = Hệ số suy giảm độ bền |
|
| = 1,0 đối với thép thường |
|
| = 0,95 đối với thép A 32, D 32, E32, F 32 hoặc tương đương. |
|
| = 0,908 đối với thép A 36, D 36, E36, F 36 hoặc tương đương. |
b) Ngoài yêu cầu nêu trên, chiều dày tinh của các dầm ngang mạn kép không được nhỏ hơn t3 dưới đây:
t2 = F2/(k4dsƒs) mm (in.)
Với:
| F2 | = Lực cắt tại dầm ngang mạn, như được tính từ các phân tích phần tử hữu hạn nêu tại 7.5.5 với các trường hợp tải trọng IGC bổ sung tại 7.5.5.4 |
| k4 | = 10,0 (10,0; 64,3) |
| pgc | = po + (pgd)max N/cm2 (kgf/cm2, lbf/in2) |
| po | = Áp suất hơi thiết kế của két hàng, N/cm2 (kgf/cm2, lbf/in2), như được xác định tại 7.1.2.6 |
| pgd | = aβZβk3ρ10-4 N/cm2 (kgf/cm2, lbf/in2) |
| aβ | = Gia tốc không thứ nguyên, xem 7.3.3.6.3 |
| Zβ | = Cột chất lỏng két hàng lớn nhất, m (ft), phía trên điểm trên boong trong tại giữa nhịp của dầm ngang mạn kép (lt) tại giữa khoang, xem 7.3.3.6.3 |
| k3 | = 9,81 (1,0; 69,44) |
| ρ | = Trọng lượng riêng cực đại của hàng, N/cm3 (kgf/cm3, lbf/in3), tại nhiệt độ thiết kế, nhưng ρ không được lấy nhỏ hơn 4900 N/cm3 (500 kgf/cm3, 31,214 lbf/in3) |
| ƒs | = Các ứng suất cắt cho phép, N/cm2 (kgf/cm2, lbf/in2) |
|
| = 0,5ƒy |
Tất cả các thông số khác được xác định ở trên.
7.4.6.4.3 Chiều dày tinh của các phần bản thành của các dầm ngang mạn trong phần hông và phần đỉnh mạn không được nhỏ hơn t1 như được yêu cầu tại 7.4.6.4.2 ở trên và chiều dày tinh trong phần phía dưới của hông cũng không được nhỏ hơn t1 được yêu cầu tại 7.4.4.4.5.
7.4.6.5 Sống dọc mạn
7.4.6.5.1 Sống dọc mạn
a) Chiều dày tinh của các sống dọc mạn trong các kết cấu mạn kép không được nhỏ hơn t1, t2 hoặc t3 nếu dưới đây:
| t1 | = 0,012L + 7,2 mm |
|
| = 0,144L x 10-3 + 0,283 in. |
|
| Nhưng t1 không cần lấy lớn hơn 10,5 mm (0,413 in.) |
| t2 | = F1/(k1dsƒs) mm(in.) |
| t3 | = cs(Smƒy/E)1/2 mm(in.) |
| Với: |
|
| F1 | = Lực cắt trên sống dọc mạn kép, như được tính theo công thức nêu dưới đây. Kích thước yêu cầu t2 có thể được giảm xuống 85%, với điều kiện độ bền được kiểm chứng trong đánh giá độ bền tổng thể: |
|
| = |
| γ1 | = |
| β2 | = 2,5(ys/hs) đối với ys/hs ≤ 0,4 |
|
| = 1,0 đối với 0,4 < ys/hs < 0,75 |
|
| = 4(1 - ys/hs) đối với ys/hs ≥ 0,75 |
| ds | = Chiều cao thực tế của sống dọc mạn, m (ft), như được xác định tại Hình 43 |
| x | = Khoảng cách theo phương dọc từ giữa nhịp của sống dọc mạn tới vị trí được xét, m(ft) |
| ys | = Khoảng cách từ đáy trong tới sống dọc mạn được xét, m (ft), như được minh họa tại Hình 43 |
| hs | = Khoảng cách từ đáy trong tới boong trên cùng tại mạn, như được minh họa tại Hình 43 |
| lt | = Nhịp của sống dọc mạn, m (ft), như được minh họa tại Hình 43 |
| ss | = Tổng của nửa khoảng cách sống dọc kéo dài toàn bộ ở cả hai phía của sống dọc mạn được xét, m (ft) Khoảng cách của các sông dọc mạn tại góc trên của vách nghiêng phía dưới và góc dưới của vách nghiêng phía trên, tương ứng phải được lấy bằng ssl và ssu như được xác định tại Hình 43. |
| c | = 0,7N2 - 0,2, không nhỏ hơn 0,30Q1/2 |
| s | = Khoảng cách giữa các dầm dọc, mm (in.) |
| ƒs | = Các ứng suất cắt cho phép, N/cm2 (kgf/cm2, lbf/in2) |
|
| = 0,45ƒy |
| Sm | = Hệ số suy giảm độ bền, lấy theo 7.4.4.2.2 đối với cấp thép của sống dọc mạn |
| ƒy | = Giới hạn chảy quy định tối thiểu của vật liệu đối với sống dọc mạn, N/cm2 (kgf/cm2, lbf/in2) |
| N | = Rd[(Q/Qd)/(y/yn)]1/2 đối với các sống dọc mạn phía trên trục trung hòa Rb[(Q/Qd)/(y/yn)]1/2 đối với các sống dọc mạn phía dưới trục trung hòa |
| Q | = Hệ số chuyển đổi vật liệu được xác định tại 7.4.3 đối với sống dọc mạn được xét |
| y | = Khoảng cách theo phương thẳng đứng, m (ft), được đo từ trục trung hòa của mặt cắt ngang dầm tương đương tới sống dọc mạn được xét |
Chiều dày tinh t3 có thể được xác định dựa theo Sm và ƒy của vật liệu bền dầm tương đương được yêu cầu tại vị trí được xét.
E, Rb và Qb được xác định tại 7.4.4.2.2. Rd, Qd và yn được xác định tại 7.4.5.1.
Tất cả các thông số khác cũng được xác định tại 7.4.6.4.2.
b) Ngoài yêu cầu nêu trên, chiều dày tinh của các sống dọc mạn không được nhỏ hơn t4 dưới
t4 = F2/ (k4dsƒs) mm(in.)
Với:
F2 = Lực cắt tại sống dọc mạn, như được tính từ các phân tích phần tử hữu hạn nêu tại 7.5.5 với các trường hợp tải trọng IGC bổ sung tại 7.5.5.4
k4 = 10,0 (10,0; 64,3)
ƒs = Các ứng suất cắt cho phép, N/cm2 (kgf/cm2, lbf/in2)
= 0,5ƒy
Tất cả các thông số khác như được xác định ở trên và tại 7.4.6.4.2.
7.4.6.5.2 Sống dọc mạn kín nước
Nếu sống dọc mạn tạo nên biên của két, chiều dày tinh của tấm biên cũng không được nhỏ hơn t5 và t6 được quy định dưới đây bổ sung cho 7.4.6.5.1:
t5 = 0,73s(k1p/ƒ1)1/2 mm (in.)
t6 = 0,73 sk(k2p/ƒ2)1/2 mm (in.)
Với:
| s | = Khoảng cách giữa các dầm dọc, mm (in.) |
| k1 | = 0,342 |
| k2 | = 0,50 |
| k | = (3,075 |
|
| = 1,0 α > 2 |
| α | = Tỷ số kích thước của mảng (cạnh dài/cạnh ngắn) |
| p | = pa – puh , N/cm2 (kgf/cm2; lbf/in2) |
| pa là áp lực danh nghĩa, N/cm2 (kgf/cm2; lbf/in2), như được xác định tại Bảng 9 đối với sống dọc mạn kín nước. | |
| puh | cũng được xác định tại 7.4.4.2.2. |
| ƒ1 | = ứng suất uốn cho phép theo phương dọc, N/cm2 (kgf/cm2; lbf/in2) |
|
| = |
|
| = |
| ƒ2 | = ứng suất uốn cho phép theo phương ngang, N/cm2 (kgf/cm2; lbf/in2) |
|
| = 0,90Smƒy |
| α1 | = Sm1ƒy1 / Smƒy |
| Sm | = Hệ số suy giảm độ bền lấy theo 7.4.4.2.2 đối với đáy trong |
| Sm1 | = Hệ số suy giảm độ bền lấy theo 7.4.4.2.2 đối với bản cánh dưới của dầm tương đương |
| ƒy | = Giới hạn chảy quy định tối thiểu của đáy trong, N/cm2 (kgf/cm2; lbf/in2) |
| ƒy1 | = Giới hạn chảy quy định tối thiểu của bản cánh dưới của dầm tương đương, N/cm2 (kgf/cm2; lbf/in2) |
| y | = Khoảng cách theo phương thẳng đứng, m (ft), được đo từ đáy trong tới trục trung hòa của mặt cắt dầm tương đương |
| yn | = Khoảng cách theo phương thẳng đứng, m (ft), được đo từ đáy tới trục trung hòa của mặt cắt dầm tương đương |
SMRB, SMB, Rb, Qb và E được xác định tại 7.4.4.2.2.
7.4.6.6 Sườn mạn
7.4.6.6.1 Sườn mạn
Đối với kho chứa nổi chứa khí hóa lỏng có các két đỉnh mạn và các két cạnh với kết cấu mạn đơn, mô đun chống uốn SMF, tính bằng cm3 (in3), không được nhỏ hơn giá trị tính theo công thức sau:
![]()
| Với: |
|
| s | = Khoảng sườn, m (ft) |
| h1 | = 1,19 C1 + P(ds-hp) m |
|
| = 3,9044C1 + P(ds-hp) ft |
| P | = (dB -ds + 0,741C1)/(dB - ds) m đối với hp ≤ ds |
|
| = (dB -ds + 2,342C1)/(dB - ds) ft đối với hp ≤ ds |
|
| = 1,0 đối với hp > ds |
| ds | = Chiều chìm tại giữa thân đối với điều kiện toàn tải, m (ft) |
| hp | = Khoảng cách từ đường cơ sở tới giữa nhịp của sườn mạn, m (ft) |
| dB | = Bán kính cung hông, m (ft) |
| C1 | = Như được xác định tại 7.3.3.2.1 |
|
| = Nhịp không được đỡ của sườn, m (ft) như minh họa tại Hình 43d) |
| Q | = Hệ số chuyển đổi vật liệu tại 7.4.3.1 đối với sườn mạn được xét. |
7.4.6.6.2 Tiết diện của sườn
Các sườn phải được chế tạo có các tiết diện đối xứng với các mã tích hợp phía trên và phía dưới. Các mã của chúng phải có chân mềm. Bản cánh cạnh của sườn phải được lượn cong (không gấp khúc) tại vị trí chuyển tiếp sang các mã tích hợp. Bán kính của chỗ cong không được nhỏ hơn r, mm (in.):
![]()
Với bƒ và tf tương ứng là chiều rộng bản cánh và chiều dày tinh bản cánh của mã, mm (in.). Đầu của bản cánh phải được cắt.
Tỷ số chiều cao bản thành so với chiều dày phải tuân theo các giới hạn tỷ lệ nêu tại B.6.B.6.5 của Phụ lục B. Tỷ số của chiều rộng bản cánh so với chiều dày không được vượt quá ![]()
7.4.6.6.3 Mô đun chốn uốn của mã
Mô đun chống uốn tinh của các mã trên và mã dưới tại đỉnh của két cạnh phía dưới và tại đáy của két cạnh phía trên, như được chỉ ra tại Hình 43 d), cùng với tôi bao mạn kèm theo, không được nhỏ hơn giá trị tính theo công thức sau:
![]()
Với:
| c2 | = 1,1 |
| h3 | = Khoảng cách theo phương thẳng đứng, m (ft), giữa đỉnh của két cạnh phía dưới và đáy của két cạnh phía trên như minh họa tại Hình 43 d). |
| SMF | = Mô đun chốn uốn tiết diện ngang tinh yêu cầu của sườn mạn tại 7.4.6.6.1 |
| c1 | = |
Mã phải có tại các két cạnh phía dưới và phía trên thẳng hàng với mỗi sườn mạn. Các mã này phải được nẹp chống mất ổn định.
7.4.6.7 Các nẹp khỏe và mã chống vặn
7.4.6.7.1 Nẹp bản thành
Nói chung, các nẹp bản thành phải được lắp cho toàn bộ chiều cao của các bản thành của cơ cấu đỡ chính tại mỗi dầm dọc.
Cần lưu ý đặc biệt tới việc nẹp gia cường của các mảng tấm khỏe gần với vị trí viền lượn của bận thành hoặc tại nơi sử dụng thép đội bền cao.
Nếu tỷ số chiều cao/chiều dày của tấm bản thành lớn hơn 200, phải có một nẹp song song với bản cánh hoặc tấm mặt tại vị trí xấp xỉ bằng 1/4 chiều cao của bản thành tính từ bản cánh hoặc tấm mặt.
Hệ thống nẹp bản thành tương đương khác của các cơ cấu đỡ chính có thể được xem xét dựa trên tính ổn định kết cấu của bản thành và sự thỏa mãn các mức của ứng suất cắt tại các mối hàn của các dầm dọc với tấm bản thành.
7.4.6.7.2 Mã chống vặn
Các mã chống vặn được bố trí để hỗ trợ các bản cánh phải được lắp đặt theo khoảng cách khoảng 3 m (9,84 ft), gần với bất kỳ vị trí thay đổi tiết diện nào, và thẳng hàng với các bản cánh của cột chống.
7.4.6.8 Các lỗ khoét công nghệ và các lỗ giảm trọng lượng
Nếu các lỗ khoét công nghệ hoặc các lỗ giảm trọng lượng được cắt trên các dầm ngang, bản thành, đà ngang và sống dọc, chúng phải được đặt cách xa các lỗ khoét khác. Các lỗ khoét công nghệ phải được cắt gọn gàng và bo tròn. Các lỗ giảm trọng lượng phải được đặt ở đoạn nằm giữa của các lỗ khoét công nghệ và tại khoảng 1/3 chiều cao của bản thành tính từ tôn bao, boong hoặc vách ngăn. Đường kính và chiều cao của các lỗ khoét công nghệ không được vượt quá 1/3 chiều cao của bàn thành. Nói chung, các lỗ giảm trọng lượng không được cắt tại các vị trí tập trung ứng suất cao của bản thành, đà ngang, sống dọc và dầm ngang. Tương tự như vậy, các lỗ khoét công nghệ cho các dầm dọc phải có các tấm ốp hoặc biện pháp gia cường khác tại các khu vực này. Nếu cần thiết phải khoét các lỗ tại vùng tập trung ứng suất cao, chúng phải được bù đắp hiệu quả. Các mối hàn góc liên tục phải được thực hiện tại liên kết của các tấm ốp với bản thành và tại liên kết của tấp ốp với các dầm dọc.

a) Mặt cắt dọc

Hình 43 - Xác định các thông số đối với kết cấu boong và mạn


Hình 43 - Xác định các thông số đối với kết cấu boong và mạn (tiếp)
|
|
|
| Trường hợp bản cánh của cơ cấu nối liền với bản bảnh cánh của mã | Trường hợp bản cánh của cơ cấu không nối liền với bản bảnh cánh của mã, và trường hợp diện tích bản cánh trên mã tối thiểu bằng một nửa diện tích bản cánh trên cơ cấu. |
Mã không được coi là hiệu quả ngoài điểm mà tại đó cánh (arm) của sống hoặc bản thành bằng 1,5 lần cánh trên vách hoặc kết cấu cơ sở.
Hình 44 - Hiệu quả của các mã
7.4.7 Vách dọc và vách ngang
7.4.7.1 Tôn vách dọc
Chiều dày tinh của tôn vách dọc ngoài việc phải tuân thủ theo 7.4.3.3, không được nhỏ hơn t1, t2, t3 và t4 dưới đây:
| t1 = 0,73 s(k1p/ƒ1)1/2 | mm (in.) |
| t2 = 0,73 s k(k2p/ƒ2)1/2 | mm (in.) |
| t3 = cs(Smƒy/E)1/2 * | mm (in.) |
| t4 = 0,73 s k(k2pgc/ƒ)1/2 * | mm (in.) |
Nếu tôn mạn trong có hệ nẹp ngang cục bộ, chiều dày tinh của tôn mạn trong không được nhỏ hơn t5 hoặc t6 dưới đây thay vì t1, t2, t3 và t4:
| t5 = 0,73 st k(k2p/ƒ2)1/2 | mm (in.) |
| t6 = 0,73 st k(k2pgc/ƒ)1/2 | mm (in.) |
Với:
| s | = Khoảng cách giữa các dầm dọc của vách dọc, mm (in.) |
| st | = Khoảng cách giữa mã gia cường ngang, mm (in.) |
| k1 | = 0,342 |
| k2 | = 0,50 |
| k | = (3,075 |
|
| = 1,0 α > 2 |
| α | = Tỷ số kích thước của mảng tấm (cạnh dài/cạnh ngắn) |
| p | = Áp lực tại cạnh dưới của mỗi tấm, pi, hoặc áp lực vỗ mặt thoáng cực đại, ps, lấy theo giá trị nào lớn hơn, N/cm2 (kgf/cm2, lbf/in2) |
| p | không bao giờ được lấy nhỏ hơn 2,06 N/cm2 (0,21 kgf/cm2; 2,987 lbf/in2) đối với dét dằn hoặc 2,50 N/cm2 (0,255 kgf/cm2; 3,626 lbf/in2) đối với két hàng |
| pi | = pn trong các két hàng, N/cm2(kgf/cm2, lbf/in2) |
|
| = pn - puo trong các két dằn, N/cm2 (kgf/cm2, lbf/in2) |
| pn là áp lực danh nghĩa, N/cm2 (kgf/cm2, lbf/in2), tại cạnh dưới của mối tấm, như được xác định tại Bảng 9 đối với tôn vách dọc. | |
| puo được xác định tại 7.4.5.1. | |
| Chiều dày tinh t3 có thể được xác định dựa theo Sm và ƒy của vật liệu bền dầm tương đương được yêu cầu tại vị trí được xét. | |
| ps | = kspis, không lấy nhỏ hơn kspis(mid) |
| pis | = Áp lực vỗ mặt thoáng danh nghĩa, như được quy định tại 7.3.6.3.1 |
| pis(mid) | = Áp lực vỗ mặt thoáng danh nghĩa tại giữa két của vách ngăn tại cùng chiều cao với điểm được xét |
| ks | = 1,0 |
| ƒ1 | = ứng suất uốn cho phép theo phương dọc, N/cm2 (kgf/cm2, lbf/in2) |
|
| = |
|
| |
| α1 | = Sm1ƒy1/Smƒy |
| α2 | = Sm2ƒy2/Smƒy |
| Sm | = Hệ số suy giảm độ bền đối với vật liệu tôn vách dọc lấy theo 7.4.4.2.2 |
| ƒy | = Giới hạn chảy quy định tối thiểu của vật liệu tôn vách dọc, N/cm2 (kgf/cm2, Ibf/in2) |
| z | = Khoảng cách theo phương ngang, m (ft), đo từ đường tâm của tiết diện tới dải tôn vách được xét |
| yn | = Khoảng cách theo phương thẳng đứng, m (ft), đo từ boong (đáy) tới trục trung hòa của tiết diện, khi dải tôn được xét nằm phía trên (phía dưới) trục trung hòa |
| ƒ2 | = ứng suất uốn cho phép theo phương thẳng đứng, N/cm2 (kgf/cm2, lbf/in2) |
|
| = 0,85Smƒy |
| c | = 0,7N2 - 0,2 |
|
| c đối với dải tôn trên cùng không được lấy nhỏ hơn 0,4Q1/2, nhưng không cần lấy lớn hơn 0,45. |
|
| c đối với các dải tôn khác không được lấy nhỏ hơn 0,33 nhưng không cần lấy lớn hơn 0,45(Q/Qd)1/2 đối với dải tôn phía trên trục trung hòa hoặc 0,45(Q/Qb)1/2 đối với dải tôn phía dưới trục trung hòa |
| N | = Rd[(Q/Qd)(y/yn)]1/2 đối với dải tôn phía trên trục trung hòa |
|
| = Rb[(Q/Qb)(y/yn)]1/2 đối với dải tôn phía dưới trục trung hòa |
| y | = Khoảng cách theo phương thẳng đứng, m (ft), đo từ trục trung hòa của tiết diện ngang dầm tương đương tới cạnh trên (cạnh dưới) của dải tôn vách ngăn, khi dải tôn được xét nằm phía trên (phía dưới) trục trung hòa đối với N |
|
| = Khoảng cách theo phương thẳng đứng, m (ft), đo từ trục trung hòa của tiết diện ngang dầm tương đương tới cạnh dưới của dải tôn vách ngăn được xét đối với ƒ1. |
| Q | = Hệ số chuyển đổi vật liệu tại 7.4.3.1 đối với tôn vách ngăn dọc |
| B | = Chiều rộng của kho chứa nổi, m (ft), xác định theo 1.2.22 của TCVN 6259-1A. |
| pgc | = po + (pgd)max N/cm2 (kgf/cm2, lbf/in2) |
| po | = Áp suất hơi thiết kế của két hàng, N/cm2 (kgf/cm2, lbf/in2), xác định tại 7.1.2.6 |
| pgd | = aβZβk3ρ10-4 N/cm2 (kgf/cm2, lbf/in2) |
| aβ | = Gia tốc không thứ nguyên, xem 7.3.3.6.3 |
| Zβ | = Cột chất lỏng két hàng lớn nhất, m (ft), phía trên điểm trên boong trong được xét, xem 7.3.3.6.3 |
| k3 | = 9,81 (1,0; 69,44) |
| ρ | = Trọng lượng riêng cực đại của hàng, N/cm3 (kgf/cm3, lbf/in3), tại nhiệt độ thiết kế, nhưng ρ không được lấy nhỏ hơn 4900 N/cm3 (500 kgf/cm3,31,214lbf/in3) |
| ƒ | = ứng suất uốn cho phép, N/cm2 (kgf/cm2, lbf/in2) |
|
| = 0,75ƒy |
| SMRB, SMB, Rb, Qb và E được xác định tại 7.4.4.2.2. | |
| Sm1 và ƒy1 được xác định tại 7.4.4.3. | |
| Rd, Qd được xác định tại 7.4.5.1. | |
| SMRD, SMD, Sm2 và ƒy2 được xác định tại 7.4.5.3. | |
| 7.4.7.2 Tôn vách ngang | |
| a) Chiều dày tinh của tôn vách ngang không được nhỏ hơn t được quy định dưới đây: | |
| t = 0,73 s k(k2p/ƒ2)1/2 mm (in.) | |
| Với: | |
| s | = Khoảng cách giữa các nẹp của vách ngang, mm (in.) |
| k2 | = 0,50 |
| k | = (3,075 |
|
| = 1,0 α > 2 |
| α | = Tỷ số kích thước của mảng tấm (cạnh dài/cạnh ngắn) |
| p | = pi hoặc ps, lấy theo giá trị nào lớn hơn, N/cm2 (kgf/cm2, lbf/in2) |
| p | không bao giờ được lấy nhỏ hơn 2,06 N/cm2 (0,21 kgf/cm2; 2,987 lbf/in2) đối với dét dằn hoặc 2,50 N/cm2 (0,255 kgf/cm2; 3,626 lbf/in2) đối với két hàng |
| pi | = pn trong các két hàng, N/cm2 (kgf/cm2, lbf/in2) |
|
| = pn - puh trong các két dằn, N/cm2 (kgf/cm2, lbf/in2) |
| pn | là áp lực danh nghĩa, N/cm2 (kgf/cm2, lbf/in2), tại cạnh dưới của mối tấm, như được xác định tại Bảng 9 đối với tôn vách ngang. |
| puh | được xác định tại 7.4.4.2.2. |
| ps | = kspis , không lấy nhỏ hơn kspis(mid) |
| pis | = Áp lực vỗ mặt thoáng danh nghĩa, như được quy định tại 7.3.6.3.1 |
| pis(mid) | = Áp lực vỗ mặt thoáng danh nghĩa tại đường tâm của vách ngăn tại cùng chiều cao với điểm được xét |
| ks | = 1,0 |
| ƒ2 | = ứng suất uốn cho phép theo phương thẳng đứng, N/cm2 (kgf/cm2, lbf/in2) |
|
| = 0,85Smƒy |
| Sm và ƒy được xác định tại 7.4.4.2.2. | |
| b) Chiều dày tinh của tôn vách ngang trong két trung tâm, ngoài mạn 0,3B tính từ đường tâm của két, cũng không được nhỏ hơn giá trị tính theo công thức trên với các sự thay thế dưới đây cho p và ƒ2: | |
| p | = Áp lực danh nghĩa, N/cm2 (kgf/cm2, lbf/in2), như được quy định đối với kết cấu vách dọc mạn trong (hạng mục 6 trường hợp a) trong Bảng 9, tại mức cạnh dưới của mỗi tấm vách ngang. |
| ƒ2 | = Smƒy, N/cm2 (kgf/cm2, lbf/in2) |
| c) Ngoài các yêu cầu nêu trên, chiều dày tinh của tôn vách ngang trong két hàng không được nhỏ hơn t được quy định dưới đây: | |
| t = 0,73 s k(k2 pgc/ƒ)1/2 mm (in.) | |
| Với: | |
| s | = Khoảng cách giữa các nẹp, mm (in.) |
| k2 | = 0,50 |
| pgc | = po + (pgd)max N/cm2 (kgf/cm2, lbf/in2) |
| po | = Áp suất hơi thiết kế của két hàng, N/cm2 (kgf/cm2, lbf/in2), xác định tại 7.12.6 |
| pgd | = aβZβk3ρ10-4 N/cm2 (kgf/cm2, lbf/in2) |
| aβ | = Gia tốc không thứ nguyên, xem 7.3.3.6.3 |
| Zβ | = Cột chất lỏng két hàng lớn nhất, m (ft), phía trên điểm trên boong trong được xét, xem 7.3.3.6.3 |
| k3 | = 9,81 (1,0; 69,44) |
| ρ | = Trọng lượng riêng cực đại của hàng, N/cm3 (kgf/cm3, lbf/in3), tại nhiệt độ thiết kế, nhưng ρ không được lấy nhỏ hơn 4900 N/cm3 (500 kgf/cm3,31,214lbf/in3) |
| ƒ | = ứng suất uốn cho phép, N/cm2 (kgf/cm2, lbf/in2) |
|
| = 0,75ƒy |
Tất cả các thông số khác như được xác định ở trên.
7.4.7.3 Các thanh dầm dọc và các nẹp đứng hoặc nẹp nằm
a) Mô đun chống uốn tinh của mỗi thanh dầm dọc hoặc nẹp đứng/nằm trên mạn trong và các vách ngang, cùng với tôn kèm của chúng, không được nhỏ hơn giá trị tính theo công thức sau:
SM2 = M/ƒb cm3 (in3)
Với:
| k | = 12 (12; 83,3) | |
| c1 | =1,0 đối với các thanh dọc và nẹp nằm | |
|
|
| |
| γ | = Trọng lượng riêng của chất lỏng, không nhỏ hơn 0,49 N/cm2-m (0,05 kgf/cm2-m; 0,2168 lbf/in2-ft) đối với các hàng lỏng và không nhỏ hơn 1,005 N/cm2-m (0,1025 kgf/cm2-m; 0,4444 lbf/in2-ft) đối với nước dằn. | |
| s | = Khoảng cách giữa các thanh dọc hoặc các nẹp đứng/nằm, mm (in.) | |
|
| = Nhịp của các thanh dọc hoặc các nẹp giữa các gối đỡ hữu hiệu, m (ft) | |
| p | = Áp lực, pi, N/cm2 (kgf/cm2, lbf/in2), tại thanh dọc hoặc nẹp được xét, như được quy định tại 7.4.7.1 và 7.4.7.2, hoặc áp lực vỗ mặt thoáng cực đại, ps, lấy theo giá trị nào lớn hơn. Đối với các nẹp đứng, áp lực được lấy tại giữa nhịp của của mỗi nẹp. | |
| ps | = c3pis, không lấy nhỏ hơn c3pis(mid) | |
| pis(mid) | = Áp lực vỗ mặt thoáng danh nghĩa tại giữa két trên vách ngăn tại cùng chiều cao với điểm được xét | |
| pis | = Áp lực vỗ mặt thoáng danh nghĩa, như được quy định tại 7.3.6.3.1 | |
| c3 | = 1,0 | |
| ƒb | = Các ứng suất uốn cho phép, N/cm2 (kgf/cm2, lbf/in2) | |
|
| = 0,70 smfy | Đối với các nẹp của vách ngang |
|
|
| Đối với thanh dọc của mạn trong nằm dưới trục trung hòa |
|
|
| Đối với thanh dọc của mạn trong nằm phía trên trục trung hòa |
| z | = Khoảng cách theo phương ngang, m (ft), đo từ đường tâm của kho chứa nổi tới thanh dọc được xét tại liên kết của nó với tôn kèm | |
| B | = Chiều rộng của kho chứa nổi, m (ft), như được xác định tại 1.2.22 của TCVN 6259-1A. | |
Sm, ƒy và α1 như được xác định tại 7.4.4.3.
α2 ,y, yn, SMRD và SMD như xác định tại 7.4.5.3.
SMRB và SMB như được xác định tại 7.4.4.2.2.
Chiều rộng hiệu dụng của tấm, be, được xác định tại dòng b) của Hình 41.
b) Mô đun chống uốn tiết diện tinh của các nẹp vách ngang tại két trung tâm, nằm ngoài mạn 0,35 tính từ đường tâm của két, cũng không được nhỏ hơn giá trị tính theo công thức nêu trên với các thay thế sau đây cho p và ƒ2:
p = Áp lực danh nghĩa, N/cm2 (kgf/cm2, lbf/in2), như được quy định đối với kết cấu vách dọc mạn trong (hạng mục 6 trường hợp a) trong Bảng 9, tại mỗi mức thanh nẹp của vách ngang.
ƒ2 = Smƒy, N/cm2 (kgf/cm2, lbf/in2)
c) Ngoài ra, mỗi thanh dọc hoặc nẹp cũng phải có mô đun chống uốn tiết diện ngang không nhỏ hơn giá trị tính theo công thức sau:
SM2 = cgck1M/ƒb cm3 (in3)
![]()
Với:
| k | = 12 (12; 83,3) |
| s | = Khoảng cách của thanh dọc/nẹp, mm (in.) |
|
| = Nhịp của thanh dọc hoặc nẹp giữa các gối đỡ hiệu quả, như minh họa tại Hình 40 |
| cgc | = Hệ Số hiệu chỉnh cho ăn mòn của các thanh dọc/các nẹp trong các két |
|
| = 0,90 |
|
| = Hệ số hiệu chỉnh cho ăn mòn của các thanh dọc/các nẹp trong các không gian trống |
|
| = 0,94 |
| k1 | = 0,9 |
| pgc | = Vo + (pgd)max N/cm2 (kgf/cm2, lbf/in2) |
| po | = Áp suất hơi thiết kế của két hàng, N/cm2 (kgf/cm2, lbf/in2), xác định tại 7.1.2.6 |
| pgd | = aβZβk3ρ10-4 N/cm2 (kgf/cm2, lbf/in2) |
| aβ | = Gia tốc không thứ nguyên, xem 7.3.3.6.3 |
| Zβ | = Cột chất lỏng két hàng lớn nhất, m (ft), phía trên điểm thanh dọc hoặc nẹp được xét của vách, xem 7.3.3.6.3 |
| k3 | = 9,81 (1,0; 69,44) |
| ρ | = Trọng lượng riêng cực đại của hàng, N/cm3 (kgf/cm3, lbf/in3), tại nhiệt độ thiết kế, nhưng ρ không được lấy nhỏ hơn 4900 N/cm3 (500 kgf/cm3,31,214lbf/in3) |
| ƒb | = ứng suất uốn cho phép, N/cm2 (kgf/cm2, lbf/in2) |
|
| = Sgcƒy |
| Sgc | = 0,64 đối với thép thường |
|
| = 0,53 đối với thép A 32, D 32, E32, F 32 hoặc tương đương. |
|
| = 0,52 đối với thép A 36, D 36, E36, F 36 hoặc tương đương. |
d) Mô men quán tính tinh của các thanh dọc trên mạn trong, cùng với tôn kèm trong khu vực 0,1Ds từ boong trên cùng, không được nhỏ hơn io như quy định tại 7.4.5.4.
7.4.7.4 Tôn đế vách dọc
Chiều dày tinh của tôn đế vách dọc không được nhỏ hơn t1, t2 và t3 dưới đây:
| t1 = 0,73 s(k1p/ƒ1)1/2 | mm (in.) |
| t2 = 0,73 s k(k2p/ƒ2)1/2 | mm (in.) |
| t3 = cs(Smƒy/E)1/2 * | mm (in.) |
Nhưng không nhỏ hơn 9,5 mm (0,37 in.).
| Với: |
|
| s | = Khoảng cách giữa các dầm dọc của tôn đế vách, mm (in.) |
| k1 | = 0,342 |
| k2 | = 0,50 |
| k | = (3,075 |
|
| = 1,0 α > 2 |
| α | = Tỷ số kích thước của mảng tấm (cạnh dài/cạnh ngắn) |
| p | = Áp lực tại cạnh dưới của mỗi tấm, pi, N/cm2 (kgf/cm2, lbf/in2) |
| pn là áp lực danh nghĩa, N/cm2 (kgf/cm2, lbf/in2), trên tôn đế vách như được xác định tại Bảng 9 đối với tôn đế vách dọc. | |
| ƒ1 | = ứng suất uốn cho phép theo phương dọc, N/cm2 (kgf/cm2, lbf/in2) |
|
| = |
|
| |
| α1 | = Sm1ƒy1/Smƒy |
| α2 | = Sm2ƒy2/Smƒy |
| Sm | = Hệ Số suy giảm độ bền đối với vật liệu tôn đế vách dọc lấy theo 7.4.4.2.2 |
| ƒy | = Giới hạn chảy quy định tối thiểu của vật liệu tôn đế vách dọc, N/cm2 (kgf/cm2, lbf/in2) |
| yn | = Khoảng cách theo phương thẳng đứng, m (ft), đo từ boong (đáy) tới trục trung hòa của tiết diện, khi dải tôn đế vách được xét nằm phía trên (phía dưới) trục trung hòa |
| ƒ2 | = ứng suất uốn cho phép theo phương thẳng đứng, N/cm2 (kgf/cm2, lbf/in2) |
|
| = 0,85Smƒy |
| c | = 0,7N2 - 0,2 nhưng không nhỏ hơn 0,3Q1/2 |
| N | = Rd[(Q/Qd)(y/yn)]1/2 đối với tấm phía trên trục trung hòa |
|
| = Rb[(Q/Qb)(y/yn)]1/2 đối với tấm phía dưới trục trung hòa |
| y | = Khoảng cách theo phương thẳng đứng, m (ft), đo từ trục trung hòa của tiết diện ngang dầm tương đương tới tấm của đế vách dọc được xét |
| Q | = Hệ số chuyển đổi vật liệu tại 7.4.3.1 đối với tôn đế vách dọc |
SMRB, SMB, Rb, Qb và E được xác định tại 7.4.4.2.2.
Sm1 và ƒy1 được xác định tại 7.4.4.3.
Rd, Qd được xác định tại 7.4.5.1.
SMRD, SMD, Sm2 và ƒy2 được xác định tại 7.4.5.3.
7.4.7.5 Các nẹp dọc trên tôn đế vách dọc
Mô đun chống uốn tiết diện tinh của mỗi nẹp dọc trên tôn đế vách dọc, cùng với tôn kèm, không được nhỏ hơn giá trị tính theo công thức sau:
SM2 = M/ƒb cm3 (in3)
N-cm (kgf-cm, lbf-in)
Với:
k = 12 (12; 83,3)
c1 = 1,0
s = Khoảng cách giữa các thanh dọc hoặc các nẹp đứng/nằm, mm (in.)
= Nhịp của các thanh dọc hoặc các nẹp giữa các gối đỡ hữu hiệu, m (ft)
p = Áp lực, pi, N/cm2 (kgf/cm2, lbf/in2), tại thanh dọc hoặc nẹp được xét, như được quy định tại 7.4.7.1 và 7.4.7.2, hoặc áp lực vỗ mặt thoáng cực đại, ps, lấy theo giá trị nào lớn hơn. Đối với các nẹp đứng, áp lực được lấy tại giữa nhịp của của mỗi nẹp.
ƒb = Các ứng suất uốn cho phép, N/cm2 (kgf/cmz, lbf/in2)
=
Đối với thanh dọc nằm dưới trục trung hòa
=
Đối với thanh dọc nằm phía trên trục trung hòa
z = Khoảng cách theo phương ngang, m (ft), đo từ đường tâm của kho chứa nổi tới thanh dọc được xét tại liên kết của nó với tôn kèm
B = Chiều rộng của kho chứa nổi, m (ft), như được xác định tại 1.2.22 của TCVN 6259-1A.
Sm, ƒy và α1 như được xác định tại 7.4.4.3.
α2, y, yn, SMRD và SMD như xác định tại 7.4.5.3.
SMRB và SMB như được xác định tại 7.4.4.2.2.
Chiều rộng tôn kèm, be, được xác định tại dòng b) của Hình 41.
7.4.8 Vách ngang - Các cơ cấu đỡ chính
7.4.8.1 Tổng quát
a) Các cơ cấu đỡ chính của các vách khoang cách lỵ ngang phải được bố trí và thiết kế theo 7.4.6.1.
b) Nói chung, chiều rộng của một khang cách ly ngang không được nhỏ hơn 90 mm/m (1,08in./ft) của kích thước nhỏ hơn giữa chiều rộng, b, hoặc chiều cao ,h, của két như minh họa tại Hình 45 và phải có đủ chiều rộng để dễ dàng tiếp cận.
7.4.8.2 Dầm đứng khỏe
a) Chiều dày tinh của các dầm đứng khỏe không được nhỏ hơn t1 dưới đây:
t1 = F1/(k1dvƒs) mm (in.) nhưng không nhỏ hơn 11,0 mm (0,433 in.).
Với
| F1 | = Lực cắt trên dầm đứng khỏe, như được tính theo công thức dưới đây. Kích thước t1 yêu cầu có thể được giảm xuống 85%, nhưng không nhỏ hơn 11,0 mm (0,433 in.), với điều kiện độ bền được kiểm chứng trong đánh giá độ bền tổng thể: |
|
| = |
| k1 | = 10,0 (10,0; 12,0) |
| k2 | = 1,0 (1,0; 2,24) |
| η1 | = |
|
| = |
| γ1 |
|
| β1 | = Đối với một hàng két |
|
| = 1,0 đối với zv/b ≤ 0,15 |
|
| = 1,2(1 - zv/b) ≥ 0,65, không cần lớn hơn 1,0 đối với zv/b > 0,15 |
|
| = Đối với hai hàng két |
|
| = 0,65 |
| b | = Chiều rộng của két tính bằng m (ft), như được xác định tại Hình 45. |
| h | = Chiều cao của két tính bằng m (ft), như được xác định tại Hình 45. |
|
| = Chiều rộng của vách nghiêng phía dưới tính bằng m (ft), như được xác định tại Hình 45. |
|
| = Chiều cao của vách nghiêng phía dưới tính bằng m (ft), như được xác định tại Hình 45. |
| bu | = Chiều rộng của vách nghiêng phía trên tính bằng m (ft), như được xác định tại Hình 45. |
| hu | = Chiều cao của vách nghiêng phía trên tính bằng m (ft), như được xác định tại Hình 45. |
| dv | = Chiều cao thực tế của dầm đứng khỏe, m (ft) |
| p | = Áp lực danh nghĩa tại nửa chiều cao của két tại đường tâm của két, kN/m2 (tf/m2; Ltf/ft2), như được quy định tại Bảng 9 |
|
| = Nhịp của dầm đứng khỏe được xét, m (ft), như được xác định tại Hình 45. |
| yv | = Khoảng cách từ đáy trong tới vị trí của dầm đứng khỏe được xét, m (ft), như được xác định tại Hình 45. |
| zv | = Khoảng cách từ đường tâm của két tới vị trí của dầm đứng khỏe được xét, m (ft), như được xác định tại Hình 45. |
| sv | = Khoảng dầm của dầm đứng khỏe được xét, m (ft), như được xác định tại Hình 45. |
| ƒs | = Các ứng suất cắt cho phép, N/cm2 (kgf/cm2, lbf/in2) |
|
| = 0,45Smƒy |
| ƒy | = Giới hạn chảy quy định tối thiểu đối với dầm đứng khỏe, N/cm2 (kgf/cm2, lbf/in2) |
| Sm | = Hệ số suy giảm độ bền |
|
| = 1,0 đối với thép thường |
|
| = 0,95 đối với thép A 32, D 32, E32, F 32 hoặc tương đương. |
|
| = 0,908 đối với thép A 36, D 36, E36, F 36 hoặc tương đương. |
|
| = 0,875 đối với thép A 40, D 40, E40, F 40 hoặc tương đương |
| b) Ngoài yêu cầu nêu trên, chiều dày tinh của các dầm đứng khỏe không được nhỏ hơn t2 dưới đây: | |
| t2 = ƒ2/(k4dcƒs) mm (in.) nhưng không nhỏ hơn 11,0 mm (0,433 in.). | |
| Với: |
|
| F2 | = Lực cắt trên dầm đứng khỏe, lấy từ phân tích phần tử hữu hạn, như nêu tại 7.5.5 với các trường hợp tải trọng bổ IGC bổ sung tại 7.5.5.4. |
| k4 | = 10,0 (10,0; 64,3) |
| pgc | = po + (pgd)max N/cm2 (kgf/cm2, lbf/in2) |
| po | = Áp suất hơi thiết kế của két hàng, N/cm2 (kgf/cm2, lbf/in2), xác định tại 7.1.2.6 |
| pgd | = aβZβk3ρ10-4 N/cm2 (kgf/cm2, lbf/in2) |
| aβ | = Gia tốc không thứ nguyên, xem 7.3.3.6.3 |
| Zβ | = Cột chất lỏng két hàng lớn nhất, m (ft), phía trên điểm thanh dọc hoặc nẹp được xét của vách, xem 7.3.3.6.3 |
| k3 | = 9,81 (1,0; 69,44) |
| ρ | = Trọng lượng riêng cực đại của hàng, N/cm3 (kgf/cm3, lbf/in3), tại nhiệt độ thiết kế, nhưng ρ không được lấy nhỏ hơn 4900 N/cm3 (500 kgf/cm3,31,214lbf/in3) |
| ƒs | = ứng suất uốn cho phép, N/cm2 (kgf/cm2, lbf/in2) |
|
| = 0,5ƒy |
Tất cả các thông số khác được xác định như ở trên.
7.4.8.3 Xà khỏe (Horizontal web)
7.4.8.3.1 Xà khỏe rộng toàn bộ
a) Chiều dày tinh của các xà khỏe kéo dài từ mạn này sang mạn kia không được nhỏ hơn t1 dưới đây:
t1= F1/(k1dhƒs) mm (in.) nhưng không nhỏ hơn 9,5 mm (0,374 in.).
Với:
| F1 | = Lực cắt trên xà khỏe, như được tính theo công thức dưới đây. Kích thước t1 yêu cầu có thể được giảm xuống 85%, nhưng không nhỏ hơn 9,5 mm (0,374 in.), với điều kiện độ bền được kiểm chứng trong đánh giá độ bền tổng thể: | |
|
|
| |
| k1 | = 10,0 (10,0; 12,0) | |
| k2 | = 1,0 (1,0; 2,24) | |
| dh | = Chiều cao thực của xà khỏe, m (ft) | |
| η2 | = | |
| γ2 | = -0,5 + S(yh/h) đối với yh/h ≤ 0,3 | |
|
| = 1 đối với 0,3 < yh/h < 0,5 | |
|
| 2 - 2(yh/h) ≥ 0,60 đối với yh/h ≥ 0,5 | |
| β2 | = 2 zh/b ≥ 0,4 | |
| cu | = 1 + 1,5(1 - yu/hu)2 đối với xà khỏe trên cùng | |
|
| = 1,0 đối với các xà khỏe khác | |
| yu | = Khoảng cách từ boong trong tới xà khỏe trên cùng, m (ft), như minh họa tại Hình 45 | |
| c1 | = Hệ số điều chỉnh cho phù hợp của các xà cụt hữu hiệu như được xác định tại 7.4.8.3.2 | |
|
| = | nếu các xà cụt hữu hiệu được lắp phía trên và phía dưới của xà được xét, c1 có thể được lấy bằng cách nhân nó cho mỗi xà cụt |
|
| = 1,0 | Nếu không có xà cụt hữu hiệu |
| c2 | = 2 (zh-zp)/dh0 ≤ c2 ≤ 1,0 | |
| zh | = Khoảng cách từ đường tâm của két tới vị trí của xà được xét, m (ft), như minh họa tại Hình 45. | |
| zp | = Khoảng cách từ đường tâm của két tới đầu mút phía trong của xà cụt hữu hiệu, m (ft), như được xác định tại Hình 45. | |
| tp | = Chiều dày tinh thực tế của xà cụt tại vị trí được xét, mm (in.) | |
| th | = Chiều dày tinh thực tế của xà tại vị trí được xét, mm (in.) | |
| yp | = Khoảng cách từ xà cụt hữu hiệu tới xà được xét, m (ft), như được xác định tại Hình 45. | |
| s1 | = Khoảng cách giữa các xà khỏe toàn bộ, nếu có xà cụt, m (ft), như minh họa tại Hình 45. | |
| p | = Áp lực danh nghĩa tại nửa chiều cao của két tại đường tâm của két, kN/m2 (tf/m2; Ltf/ft2), như được quy định tại Bảng 9 | |
|
| = Nhịp của xà khỏe được xét, m (ft), như được xác minh họa tại Hình 45. | |
| yh | = Khoảng cách từ đáy trong tới vị trí của xà khỏe được xét, m (ft), như được minh họa tại Hình 45. | |
| sh | = Tổng nửa khoảng cách xà khỏe của xà khỏe được xét, m (ft), như minh họa tại Hình 45. Đối với xà khỏe nằm giữa phía trên đáy trong và hu phía dưới boong trong, sh không cần lấy lớn hơn (h - hl - hu)/2 Đối với các xà khỏe thằng với vách dọc xiên hoặc tôn boong trong, sự hiệu chỉnh thích hợp có thể được thực hiện đối với diện tích giảm được đỡ bởi các xà khỏe. | |
| α | = 0,95(h/b)+0,01 | |
| ƒs | = Các ứng suất cắt cho phép, N/cm2 (kgf/cm2, lbf/in2) | |
|
| = 0,45Smƒy | |
và Sm được xác định tại 7.4.8.2 ở trên.
b) Ngoài yêu cầu nêu trên, chiều dày tinh của các xà khỏe không được nhỏ hơn t2 dưới đây:
t2 = F2/(k4dhƒs) mm (in.) nhưng không nhỏ hơn 9,5 mm (0,374 in.).
Với:
| F2 | = Lực cắt trên xà khỏe, lấy từ phân tích phần tử hữu hạn, như nêu tại 7.5.5 với các trường hợp tải trọng bổ IGC bổ sung tại 7.5.5.4. |
| k4 | = 10,0 (10,0; 64,3) |
| pgc | = po + (pgd)max N/cm2 (kgf/cm2, lbf/in2) |
| po | = Áp suất hơi thiết kế của két hàng, N/cm2 (kgf/cm2, lbf/in2), xác định tại 7.1.2.6 |
| pgd | = aβZβk3ρ10-4 N/cm2 (kgf/cm2, lbf/in2) |
| aβ | = Gia tốc không thứ nguyên, xem 7.3.3.6.3 |
| Zβ | = Cột chất lỏng két hàng lớn nhất, m (ft), tại nửa chiều cao của két tại đường tâm của két trên vách ngang, xem 7.3.3.6.3 |
| k3 | = 9,81 (1,0; 69,44) |
| ρ | = Trọng lượng riêng cực đại của hàng, N/cm3 (kgf/cm3, lbf/in3), tại nhiệt độ thiết kế, nhưng ρ không được lấy nhỏ hơn 4900 N/cm3 (500 kgf/cm3, 31,214lbf/in3) |
| ƒs | = ứng suất cắt cho phép, N/cm2 (kgf/cm2, lbf/in2) |
|
| = 0,5ƒy |
| k | = 1,0 (1,0; 0,269) |
Tất cả các thông số khác được xác định như ở trên.
7.4.8.3.2 Xà cụt hữu hiệu
a) Nếu có xà cụt khỏe giữa
phía trên đáy trong và hu phía dưới boong trong và kéo dài tới tối thiểu hai dầm đứng khỏe từ mỗi mạn trong, xà cụt khỏe có thể được coi là hữu hiệu trong việc xác định xà khỏe toàn bộ tại 7.4.8.3.1 và chiều dày tinh của xà cụt không được nhỏ hơn t1 như được xác định dưới đây:
t1 = F1/(k1dhfs) mm (in.) nhưng không nhỏ hơn 9,5 mm (0,374 in.).
Với:
| F1 | = Lực cắt trên xà cụt khỏe, như được tính theo công thức dưới đây. Kích thước t1 yêu cầu có thể được giảm xuống 85%, nhưng không nhỏ hơn 9,5 mm (0,374 in.), với điều kiện độ bền được kiểm chứng trong đánh giá độ bền tổng thể: |
|
| = 293k2 αη2β2pbs1α N (kgf, lbf) |
| dh | = Chiều cao thực của xà cụt khỏe, m (ft) |
| ƒs | = ứng suất cắt cho phép, N/cm2 (kgf/cm2, lbf/in2) |
|
| = 0,45ƒy |
| Tất cả các thông số khác được xác định như 7.4.8.3.1 ở trên. | |
| b) Ngoài yêu cầu nêu trên, chiều dày tinh của các xà cụt không được nhỏ hơn t2 dưới đây: | |
| t2 = F2/(k1dhƒs) mm (in.) nhưng không nhỏ hơn 9,5 mm (0,374 in.). | |
| Với: | |
| F2 | = Lực cắt trên xà cụt khỏe, lấy từ phân tích phần tử hữu hạn, như nêu tại 7.5.5 với các trường hợp tải trọng bổ IGC bổ sung tại 7.5.5.4. |
| k4 | = 10,0 (10,0; 64,3) |
| ƒs | = ứng suất cắt cho phép, N/cm2 (kgf/cm2, lbf/in2) |
|
| = 0,5ƒy |
Tất cả các thông số khác được xác định như 7.4.8.3.1 ở trên.
7.4.8.3.3 Các xà cụt khác
Chiều dày tinh của các xà cụt khỏe khác với 7.4.8.3.2 không được nhỏ hơn t1 và t2 như được quy định tại 7.4.8.3.2 sử dụng F1 và F2 được lấy như sau:
| F1 | = Lực cắt trên xà cụt khỏe, như được tính theo công thức dưới đây. Kích thước t1 yêu cầu có thể được giảm xuống 85%, nhưng không nhỏ hơn t1 và t2 quy định tại 7.4.8.3.2, với điều kiện độ bền được kiểm chứng trong đánh giá độ bền tổng thể: |
|
| = 293k2 αη2β2pbs1α N (kgf, lbf) |
| F2 | = Lực cắt trên xà cụt khỏe, lấy từ phân tích phần tử hữu hạn, như nêu tại 7.5.5 với các trường hợp tải trọng bổ IGC bổ sung tại 7.5.5.4. |
| Với: | |
| k4 | = 10,0 (10,0; 64,3) |
| γ3 | = 0,5 Đối với xà cụt khỏe kéo dài tới một dầm đứng khỏe tính từ vách biên két tại mỗi bên |
|
| = 1,0 Đối với xà cụt khỏe kéo dài tối thiểu tới hai dầm đứng khỏe tính từ vách biên két tại mỗi bên |
| bp | = Chiều rộng của két tại xà cụt được xét, m (ft), như được xác định tại Hình 45 |
Tất cả các thông số khác được xác định như ở trên.
7.4.8.4 Nẹp, mã chống vặn, lỗ khoét để cơ cấu khác xuyên qua và các lỗ giảm trọng lượng
Các yêu cầu đối với các hạng mục này được nêu tại 7.4.6.7 và 7.4.6.8.

Hình 45 - Kết cấu vách ngang
7.4.9 Kết cấu của két hàng độc lập (két rời)
7.4.9.1 Tổng quát
Kích thước của két hàng phải tuân theo các yêu cầu về kích thước có xét tới các áp lực bên trong như được chỉ ra tại 7.4.9.2.2 và ăn mòn cho phép được yêu cầu bởi 7.4.9.2.3.
7.4.9.2 Ứng suất cho phép và ăn mòn cho phép
7.4.9.2.1 Ứng suất cho phép
a) Đối với các két rời chủ yêu được chế tạo từ các mặt phẳng, các ứng suất đối với các cơ cấu chính và phụ (các thanh nẹp, sườn khỏe, sống dọc, sống cạnh) khi được tính toán theo các trình tự phân tích cổ điển không được vượt quá giá trị thấp hơn giữa Rm/2,66 và Re/1,33 đối với thép C-Mn và các hợp kim nhôm, với:
Re = Ứng suất chảy tối thiểu quy định tại nhiệt độ phòng, N/cm2 (kgf/cm2; psi). nếu đường cong ứng suất-giãn dài không thể hiện một ứng suất chảy xác định, áp dụng ứng suất thử kéo 2%.
Rm = Độ bền kéo quy định tối thiểu tại nhiệt độ phòng, N/cm2 (kgf/cm2; psi)
b) Đối với các liên kết hàn trong hợp kim nhôm, các giá trị tương ứng của Re và Rm trong các điều kiện ủ phải được sử dụng.
7.4.9.2.2 Các yêu cầu kích thước
Kích thước của các két rời không được nhỏ hơn yêu cầu dưới đây:
a) Tấm
i) Thép
Chiều dày tấm không được nhỏ hơn ts dưới đây:
| ts = 0,73 s k(k1p/ƒ1)1/2 mm (in.) nhưng không nhỏ hơn 8,5 mm (0,33 in.) | |
| Với: | |
| s | = Khoảng cách giữa các thanh nẹp của vách ngang, mm (in.) |
| k1 | = 0,50 |
| k | = (3,075 |
|
| = 1,0 α > 2 |
| α | = Tỷ số kích thước của mảng tấm (cạnh dài/cạnh ngắn) |
| p | = pgc hoặc áp lực vỗ mặt thoáng cực đại, ps, lấy theo giá trị nào lớn hơn, N/cm2 (kgf/cm2, lbf/in2) |
| p | không bao giờ được lấy nhỏ hơn 2,50 N/cm2 (0,255 kgf/cm2, 3,626 lbf/in2) |
| pgc | = po + (pgd)max N/cm2 (kgf/cm2, lbf/in2) |
| po | = Áp suất hơi thiết kế của két hàng, N/cm2 (kgf/cm2, lbf/in2), xác định tại 7.1.2.6 |
| pgd | = aβZβk3ρ10-4 N/cm2 (kgf/cm2, lbf/in2) |
| aβ | = Gia tốc không thứ nguyên, xem 7.3.3.6.3 |
| Zβ | = Cột chất lỏng két hàng lớn nhất, m (ft), phía trên điểm được xét của tấm, xem 7.3.3.6.3 |
| ps | = kspis, không lấy nhỏ hơn kspis(mid) |
| pis | = Áp lực vỗ mặt thoáng danh nghĩa, như được quy định tại 7.3.6.3.1 |
| pis(mid) | = Áp lực vỗ mặt thoáng danh nghĩa tại giữa két trên vách ngăn tại cùng chiều cao với điểm được xét |
| ks | = 1,0 |
| ƒ1 | = ứng suất uốn cho phép, N/cm2 (kgf/cm2, lbf/in2) |
|
| = 0,95Smƒy |
| ρ | = Trọng lượng riêng cực đại của hàng, N/cm3 (kgf/cm3, lbf/in3), tại nhiệt độ thiết kế, nhưng ρ không được lấy nhỏ hơn 4900 N/cm3 (500 kgf/cm3, 31,214 lbf/in3) |
| Tất cả các thông số khác như được xác định ở trên. | |
| ii) Hợp kim nhôm | |
| Chiều dày tấm được tính theo công thức sau: | |
|
| |
| ta | = Chiều dày yêu cầu của nhôm, mm (in.) |
| ts | = Chiều dày yêu cầu của thép dựa trên thép thường |
| σs | = ứng suất chảy tối thiểu quy định của thép thường tại nhiệt độ phòng, N/cm2 (kgf/cm2; psi) |
| σa | = ứng suất chảy tối thiểu quy định của nhôm tại nhiệt độ phòng, N/cm2 (kgf/cm2; psi). nếu đường cong ứng suất-giãn dài không chỉ ra một ứng suất chảy xác định, áp dụng ứng suất thử kéo 2%. |
| b) Thanh nẹp | |
| Mỗi thanh nẹp bằng thép hoặc hợp kim nhôm cùng với tấm kèm phải có mô đun chống uốn tiết diện ngang không nhỏ hơn yêu cầu theo công thức sau: | |
| SMR = M/σa | |
| Với: | |
| M | = |
| c | =1,0 đối với các thanh nẹp dọc và nằm |
|
| = |
| k1 | =1,0 đối với hàng không gây ăn mòn |
|
| = 1,1 đối với hàng gây ăn mòn |
| k | = 12 (12; 83,33) |
| γ | = Trọng lượng riêng của chất lỏng, không nhỏ hơn 0,49 N/cm2-m (0,05 kgf/cm2-m; 0,2168 lbf/in2-ft). |
| s | = Khoảng cách giữa các thanh dọc hoặc các nẹp đứng/nằm, mm (in.) |
|
| = Nhịp của các thanh dọc hoặc các nẹp giữa các gối đỡ hữu hiệu, m (ft) |
| pgc | = po + (pgd)max N/cm2 (kgf/cm2, lbf/in2) |
| po | = Áp suất hơi thiết kế của két hàng, N/cm2 (kgf/cm2, lbf/in2), xác định tại 7.1.2.6 |
| pgd | = aβZβk3ρ10-4 N/cm2 (kgf/cm2, lbf/in2) |
| aβ | = Gia tốc không thứ nguyên, xem 7.3.3.6.3 |
| Zβ | = Cột chất lỏng két hàng lớn nhất, m (ft), phía trên điểm được xét của thanh dọc hoặc nẹp của vách, xem 7.3.3.6.3 |
| k3 | = 9,81 (1,0; 69,44) |
| ρ | = Trọng lượng riêng cực đại của hàng, N/cm3 (kgf/cm3, lbf/in3), tại nhiệt độ thiết kế, nhưng ρ không được lấy nhỏ hơn 4900 N/cm3 (500 kgf/cm3, 31,214 lbf/in3) |
| p | = Áp lực, pgc, N/cm2 (kgf/cm2, lbf/in2), tại thanh dọc hoặc nẹp được xét, như được quy định tại 7.4.9.2.2a), hoặc áp lực vỗ mặt thoáng cực đại, ps, lấy theo giá trị nào lớn hơn. Đối với các nẹp đứng, áp lực phải được lấy tại giữa nhịp của mỗi nẹp. |
| ps | = c3pis, không lấy nhỏ hơn c3pis(mid) |
| pis(mid) | = Áp lực vỗ mặt thoáng danh nghĩa tại giữa két trên vách ngăn tại cùng chiều cao với điểm được xét |
| pis | = Áp lực vỗ mặt thoáng danh nghĩa, như được quy định tại 7.3.6.3.1 |
| c3 | = 1,0 |
| σa | = Tương ứng là ứng suất cho phép không vượt quá giá trị thấp hơn giữa Rm/2,66 và Re/1,33 đối với thép và hợp kim nhôm, Rm và Re như được xác định tại 7.4.9.2.1. |
Chiều rộng hiệu dụng của tấm, be, như được xác định tại dòng b) của Hình 41.
Các yêu cầu mô đun chống uốn nêu trên đối với các thanh nẹp của két hàng tại các cơ cấu đỡ thẳng đứng, nêm chống lắc dọc và nêm chống lắc ngang phải được tăng thêm 25%.
Nếu các không gian két ở cả hai phía của các vách dọc luôn được chất tại ở một mức, các kích thước ban đầu có thể được lấy bằng 90% của các giá trị yêu cầu tại 7.4.9.2.2a) đối với tấm và 7.4.9.2.2b) đối với các thanh nẹp. Tuy nhiên, mức độ giảm của chiều dày yêu cầu không được vượt quá 1 mm (0,04 in.).
Kích thước của kết cấu két hàng phải được kiểm chứng về sự phù hợp với các yêu cầu bền kéo và mất ổn định tại 7.5.
c) Vách lượn sóng
Không được sử dụng các vách lượn sóng làm các vách chắn chính.
d) Dầm khỏe và sống
Các dầm khỏe và các sống bằng thép và hợp kim nhôm cùng với tấm kèm phải có mô đun chống uốn tiết diện ngang không nhỏ hơn giá trị yêu cầu theo công thức sau:
SMR = SMk1k3/σa
Với:
| SM | = |
|
| = |
| c | = 1,50 |
| h | = Khoảng cách theo phương thẳng đứng, m (ft), từ trung điểm của s trong trường hợp đó là sống và từ trung điểm của |
| s | = Tổng của các nửa chiều dài (tại mỗi phía của sống hoặc dầm) của các sườn hoặc thanh nẹp được đỡ, m (ft) |
|
| = Nhịp của dầm hoặc sống giữa các gối đỡ hữu hiệu, m (ft), như minh họa tại Hình 40. |
| K3 | = 124 N/mm2 (12,6 kgf/mm2; 17900 psi) |
k1 và σa như được xác định tại 7.4.9.2.2b) ở trên.
e) Vách không kín
Các vách không kín trong các két hàng phải được đặt thẳng hàng với các dầm ngang hoặc các két cấu khác có độ cứng tương đương. Các vách này phải được gia cường thích hợp. các lỗ khoét trên vách không kín phải có các bán kính rộng. Chiều dày của các vách không kín không được nhỏ hơn 6,5 mm (0,26 in.). Mô đun chống uốn của các thanh nẹp và dầm có thể bằng một nửa của các yêu cầu tại 7.4.9.2.2b) và 7.4.9.2.2d) với c tương ứng bằng 0,6 và 1,0.
7.4.9.2.3 Giới hạn ăn mòn
Nói chung không yêu cầu giới hạn ăn mòn bổ sung cho chiều dày tính được từ phân tích kết cấu. Tuy nhiên, nếu không có kiểm soát môi trường xung quanh két hàng, chẳng hạn như làm trơ hoặc nếu hàng có đặc tính ăn mòn, phải có giới hạn ăn mòn phù hợp.
Chú thích: Cần lưu ý đặc biệt tới nứt ăn mòn ứng suất (SCC) nếu các két hàng được thiết kế để chứa amoniackhan. SCC có thể gây ra nứt mà không có sự suy giảm chiều dày tấm. Xem 17.13 của TCVN 6259-8D về chi tiết của hiện tượng nứt ăn mòn ứng suất SCC và biện pháp phòng ngừa cho các két như vậy.
7.4.10 Các cơ cấu đỡ
a) Các két hàng độc lập phải được đỡ bởi thân kho chứa nổi sao cho ngăn chặn được sự dịch chuyển của các két đó dưới sự tác động của các tải trọng tĩnh và động trong khi vẫn cho phép co giãn két dưới sự thay đổi nhiệt độ và độ lệch của thân kho chứa nổi mà không gây ra ứng suất quá mức cho các két và cho thân kho chứa nổi.
b) Nói chung, phần nhô ra của các cơ cấu đỡ (nêm) phải được lắp đặt vào các két để ngăn chặn các vấn đề tiềm ẩn liên quan tới độ chặt quá mức tại các bề mặt tiếp xúc do sự co ngót của các két hàng ở nhiệt độ thấp của hàng.
7.5 Đánh giá độ bền tổng thể
7.5.1 Yêu cầu chung
7.5.1.1 Khái quát
Khi đánh giá tính phù hợp của các đặc điểm kết cấu và các kích thước được lựa chọn ban đầu, độ bền của dầm tương đương thân và các thành phần hoặc cơ cấu kết cấu riêng biệt phải phù hợp với các tiêu chí hư hỏng được nêu tại 7.5.2 dưới đây. Về vấn đề này, sự đáp ứng kết cấu phải được tính toán bằng các thực hiện một phân tích kết cấu, như được nêu tại 7.5.5, hoặc các phương pháp có hiệu quả tương đương khác. Các chi tiết kết cấu, như được nêu tại 7.4.1.3, phải được xem xét một cách thích đáng.
7.5.1.2 Tải trọng và các trường hợp tải trọng
Khi xác định sự đáp ứng kết cấu, các trường hợp tải trọng tổ hợp nêu tại 7.3.5.2 phải được xem xét cùng với các tải trọng va đập mặt thoáng chất lỏng được nêu tại 7.3.6. Các tải trọng trên boong như nêu tại 7.7 cũng phải được xem xét. Nếu các thông tin này chưa có sẵn, sử dụng các tải trọng trên boong như được chỉ ra tại 7.3.10. Tải trọng sóng vỗ mũi loe và đáy và các tải trọng khác, như nêu tại 7.3.9, cũng phải được xem xét nếu cần thiết.
7.5.1.3 Các thành phần ứng suất
Ứng suất tổng trên các tấm được gia cường được chia thành các nhóm sau:
1) Chính
Ứng suất chính là các ứng suất gây ra bởi uốn dầm thân tàu. Các ứng suất uốn chính có thể được xác định bởi phương pháp dầm đơn giản bằng cách sử dụng tổng mô men uốn dọc và ngang và mô đun chống uốn tinh (net) tiết diện ngang thân tại mặt cắt được xét. Các ứng suất chính này, được ký hiệu là ƒL1, ƒLW, ƒL1H tương ứng cho uốn dọc và ngang, có thể được coi là phân bố đồng đều theo chiều dày của các phần tử tấm, tại cùng một mức đo từ trục trung hòa liên quan của dầm thân tàu.
2) Phụ
Các ứng suất phụ là các ứng suất gây ra do uốn các tấm được gia cường giữa các vách dọc và ngang, do các tải trọng cục bộ trong một két hàng hoặc két dằn riêng lẻ.
Các ứng suất uốn phụ, ký hiệu là ƒL2 hoặc ƒT2, phải được xác định bằng cách thực hiện phân tích phần tử hữu hạn 3D như được nêu trong mục này.
Đối với các kết cấu thân được gia cường, có một ứng suất phụ khác do uốn các dầm dọc hoặc các nẹp và tấm liên quan giữa các thành phần đỡ khỏe hoặc các đà ngang đáy. Các ứng suất phụ đó được ký hiệu là
hoặc
và có thể được ước tính bằng lý thuyết dầm đơn giản.
Các ứng suất phụ ƒL2, ƒT2,
hoặc
có thể được coi là phân bố đồng đều trên mép bẻ và bản cánh.
3) Mức ba
Các ứng suất mức ba là các ứng suất gây ra bởi uốn cục bộ của các panen tấm giữa các nẹp gia cường, ứng suất mức ba, ký hiệu là ƒL3 hoặc ƒT3, có thể được tính toán theo lý thuyết tấm cổ điển. Các ứng suất này được gọi là ứng suất điểm tại bề mặt của tấm.
7.5.2 Tiêu chuẩn phá hủy-Dẻo
7.5.2.1 Khái quát
Các ứng suất tính toán trên kết cấu thân phải nằm trong các giới hạn nêu dưới đây đối với tất cả các trường hợp tổ hợp tải trọng nêu tại 7.3.5.2.1.
7.5.2.2 Các phần tử và thành phần kết cấu
a) Đối với tất cả các phần tử và thành phần kết cấu, như các thanh dọc hoặc nẹp, các bản thành và mép bẻ, các hiệu ứng tổ hợp của tất cả các thành phần ứng suất tính toán phải thỏa mãn các giới hạn dưới đây.
ƒi ≤ Smƒy
Với:
| ƒi | = Cường độ ứng suất |
|
| = |
| ƒL | = ứng suất tổng tính toán trong mặt phẳng theo hướng dọc bao gồm các ứng suất chính và phụ |
|
| = |
| ƒL1 | = ứng suất trực tiếp do uốn chính (uốn dầm tương đương thân tàu), N/cm2 (kgf/cm2, lbf/in2) |
| ƒL2 | = ứng suất trực tiếp do uốn phụ giữa các vách ngăn theo hướng dọc, N/cm2 (kgf/cm2, lbf/in2) |
|
| = ứng suất trực tiếp do uốn cục bộ của các xà dọc giữa các xà ngang theo hướng dọc, N/cm2 (kgf/cm2, lbf/in2) |
| ƒT | = ứng suất tổng tính toán theo phương ngang/ đứng, bao gồm cả các ứng suất phụ, N/cm2 (kgf/cm2, lbf/in2) |
|
| = |
| ƒLT | = ứng suất cắt tính toán trong mặt phẳng, N/cm2 (kgf/cm2, lbf/in2) |
| ƒT1 | = ứng suất trực tiếp do tải trọng hàng hóa và môi trường biển theo phương ngang/ đứng, N/cm2 (kgf/cm2, lbf/in2) |
| ƒT2 | = ứng suất trực tiếp do uốn phụ giữa các vách ngăn theo phương ngang/ đứng, N/cm2 (kgf/cm2, lbf/in2) |
|
| = ứng suất trực tiếp do uốn cục bộ của các thanh theo phương ngang/ đứng, N/cm2 (kgf/cm2, lbf/in2) |
| ƒy | = Giới hạn chảy tối thiểu quy định, N/cm2 (kgf/cm2, lbf/in2) |
| Sm | = Hệ số suy giảm độ bền, được xác định theo 7.4.4.2.2. |
b) Đối với mục đích này,
và
trên các mép bẻ của xà dọc và nẹp, tại các đầu mút của nhịp có thể được tính theo công thức sau:
N/cm2 (kgf/cm2, lbf/in2)
Với:
= Khoảng cách của các xà dọc (nẹp), cm (in)
= Nhịp không được đỡ của xà dọc (nẹp), cm (in)
= Tải trọng áp suất tinh (net pressure load), N/cm2 (kgf/cm2, lbf/in2), đối với xà dọc (nẹp)
SML(SMT) = Mô đun chống uốn tinh, cm3 (in3), của xà dọc (nẹp)
7.5.2.3 Tấm
a) Đối với tấm cách xa các liên kết gấp khúc hoặc chữ thập có tập trung ứng suất cao và chịu cả các tải trọng trong mặtphẳng và tải trọng bên, các hiệu ứng tổ hợp của tất cả các thành phần ứng suất tính toán phải thỏa mãn các giới hạn nêu tại 7.5.2.2 với fL và fT được hiệu chỉnh như sau:
N/cm2 (kgf/cm2, lbf/in2)
N/cm2(kgf/cm2, lbf/in2)
Với:
fL3, fT3 = Các ứng suất uốn tấm giữa các nẹp, tương ứng theo phương dọc và ngang, và cóthể được ước tính như dưới đây.
fL3 = 0,182p(s/tn)2 N/cm2 (kgf/cm2, lbf/in2)
fT3 = 0,266k2p(s/tn)2 N/cm2 (kgf/cm2, lbf/in2)
k = (3,075 (α)
-2,077)/(α + 0,272) (1 ≤ α ≤ 2)
= 1,0 (α>2)
α= Tỷ lệ kích thước của tấm (cạnh dài/cạnh ngắn)
= Các áp lực bên đối với trường hợp tải trọng tổ hợp được xét (xem 7.3.5), N/cm2 (kgf/cm2, lbf/in2)
= Khoảng cách giữa các xà dọc hoặc nẹp, mm (in.)
tn= Chiều dày tinh của tấm, mm (in.)
b) Đối với tấm trong phạm vi hai xà dọc hoặc nẹp từ các liên kết gấp khúc hoặc chữ thập có tập trung ứng suất cao, các hiệu ứng tổ hợp của các thành phần ứng suất tính toán như sau:
fi≤ 0,80Smfy
Với:
fi= Cường độ ứng suất
=
N/cm2 (kgf/cm2, lbf/in2)
fL = ứng suất tổng tính toán trong mặt phẳng theo hướng dọc bao gồm các ứng suất chính và phụ
= fL1 + fL2 N/cm2 (kgf/cm2, lbf/in2)
fT = ứng suấttổng tính toán theo phương ngang/ đứng, bao gồm cả các ứng suất phụ, N/cm2 (kgf/cm2, lbf/in2)
= fT1 + fT2 N/cm2 (kgf/cm2, lbf/in2)
và
được xác định tại 7.5.2.2.
c) Ngoài ra, tiêu chí phá hủy đối với các liên kết gấp khúc hoặc chữ thập nêu tại E.6 của Phụ lục E phải được tuân thủ.
7.5.2.4 Ứng suất giới hạn đối với các két hàng độc lập
7.5.2.4.1 Ứng suất giới hạn đối với biên của két hàng độc lập
Các ứng suất giới hạn được áp dụng đối với tôn và các thanh gia cường dọc trên các biên kín nước của các két hàng độc lập. Việc áp dụng ứng suất giới hạn đối với các phần tử thanh tròn và xà ngang được dựa trên ứng suất dọc trục khi các ứng suất màng von-Mises đối với các phần tử tứ giác được kiểm tra.
a) Két rời Loại B, chủ yếu được chế tạo bởi các khối thể tích thân tròn xoay (Bodies of Revolution)
• Thép Niken và Thép Carbon-Mangan
Giá trị nhỏ hơn lấy từ Rm/3,0 và Re/2
• Thép Austenitic
Giá trị nhỏ hơn lấy từ Rm/3,5 và Re/1,6
• Hợp kim nhôm
Giá trị nhỏ hơn lấy từ Rm/4,0 và Re/1,5
b) Két rời Loại B, chủ yếu chế tạo từ các mặt phẳng
• Thép Niken và Thép Carbon-Mangan
Giá trị nhỏ hơn lấy từ Rm/2,0hoặc Re đối với tấm;
Giá trị nhỏ hơn lấy từ Rm/2,0 hoặc Re/1,33đối với thanh.
• Thép Austenitic
Giá trị nhỏ hơn lấy từ Rm/2,0hoặc Re đối với tấm;
Giá trị nhỏ hơn lấy từ Rm/2,5hoặc Re/1,25đối với thanh.
• Hợp kim nhôm
Giá trị nhỏ hơn lấy từ Rm/2,0hoặc Re đối với tấm;
Giá trị nhỏ hơn lấy từ Rm/2,5 hoặc Re/1,33đối với thanh.
c) Két rời Loại C
• Thép Niken và Thép Carbon-Mangan
Giá trị nhỏ hơn lấy từ Rm/3,0 hoặc Re/2
• Thép Austenitic
Giá trị nhỏ hơn lấy từ Rm/3,5 hoặc Re/1,6
• Hợp kim nhôm
Giá trị nhỏ hơn lấy từ Rm/4,0 hoặc Re/1,5
Rmvà Re được xác định tại 7.4.9.2.1.
7.5.2.4.2 Ứng suất giới hạn đối với các thành phần đỡ chính của két hàng độc lập
Ứng suất giới hạn được áp dụng cho các thành phần đỡ chính trong các két hàng độc lập.
a) Két rời Loại B, chủ yếu được chế tạo bởi các khối thể tích thân tròn xoay
•Thép Niken và Thép Carbon-Mangan
Giá trị nhỏ hơn lấy từ Rm/2,0 hoặc Re
Chú thích: Trên các cơ cấu gia cường của các két hàng độc lập chế tạo từ thép Carbon-Mangan, các ứng suất giới hạn phải không được lớn hơn giá trị nhỏ hơn của 0,57Rm hoặc 0,85Re.
• Thép Austenitic
Giá trị nhỏ hơn lấy từRm/2,0 hoặc Re
• Hợp kim nhôm
Giá trị nhỏ hơn lấy từ Rm/2,0 hoặc Re
b) Két rời Loại B, chủ yếu chế tạo từ các mặt phẳng
• Thép Niken và Thép Carbon-Mangan
Giá trị nhỏ hơn lấy từ Rm/2,0 hoặc Re/1,33
• Thép Austenitic
Giá trị nhỏ hơn lấy từ Rm/2,5 hoặc Re/1,25
• Hợp kim nhôm
Giá trị nhỏ hơn lấy từ Rm/2,5 hoặc Re/1,33
c) Két rời Loại C
• Thép Niken và Thép Carbon-Mangan
Giá trị nhỏ hơn lấy từ Rm/2,0 hoặc Re
• Thép Austenitic
Giá trị nhỏ hơn lấy từ Rm/2,0 hoặc Re
• Hợp kim nhôm
Giá trị nhỏ hơn lấy từ Rm/2,0 hoặc Re
Rm và Re được xác định tại 7.4.9.2.1. Đối với kích thước mắt lưới khác với một lần khoảng cách các cơ cấu theo chiều dọc, các ứng suất giới hạn xác định ở trên đối với các két rời Loại B và Loại C phải được điều chỉnh theo Bảng 17.
7.5.2.5 Ứng suất giới hạn đối với các chi tiết kết cấu và các thành phần đỡ chính
7.5.2.5.1 Các ứng suất giới hạn xác định trong Bảng 17 được áp dụng cho các chi tiết kế cấu và các thành phần đỡ chính của kết cấu thân, ngoại trừ các bệ của các cơ cấu đỡ và các giá cho các két hàng độc lập mà được nêu trong
7.5.1.5.2 Bảng 18. Ứng suất giới hạn đối với kích thước mắt lưới cơ bản được đề xuất được xác định bằng tỷ lệ phần trăm của ứng suất chảy dẻo quy định tối thiểu fy nhân với hệ số suy giảm độ bền Sm. Việc áp dụng ứng suất giới hạn này đối với các phần tử dầm ngang hoặc thanh tròn phải dựa theo ứng suất dọc trục khi kiểm tra các ứng suất màng von-Mises cho các phần tử tứ giác.
7.5.2.5.3 Để tính toán phân bố ứng suất cục bộ trên một thành phần đỡ chính, thông thường cần phải mô hình các lỗ khoét, các chi tiết và các sự gián đoạn với việc sử dụng các kích thước mắt lưới khác nhau. Tại các khu vực có phổ ứng suất cao, các ứng suất giới hạn phải được điều chỉnh theo kích thước mắt lưới được liệt kê trong Bảng 17 dưới đây.
Bảng 17 - Ứng suất giới hạn (kgf/cm2) đối với các kích thước ô lưới phần tử hữu hạn khácnhau
| Kích thước mắt lưới | Giới hạn ứng suất | Thép thường (Sm =1,000) | HT27 (Sm= 0,980) | HT32 (Sm= 0,950) | HT36 (Sm= 0,908) |
| 1 x LS | 1,00 xcfSmfy | 2400 xcf | 2646 xcf | 3040 xcf | 3269 xcf |
| 1/2 x LS (1) | 1,06 xcfSmfy | 2544 xcf | 2805 xcf | 3222 xcf | 3465 xcf |
| 1/3 x LS (1) | 1,12 xcfSmfy | 2688 xcf | 2963 xcf | 3404 xcf | 3661 xcf |
| 1/4 x LS (1) | 1,18 xcfSmfy | 2832 xcf | 3122 xcf | 3587 xcf | 3857 xcf |
| 1/5 x LS ~ 1/10 x LS (1) | 1,25 xcfSmfy | 3000 xcf | 3308 xcf | 3800 xcf | 4086 xcf |
| Chiều dày(1) (2) | cffu hoặc 1,50 xcfSmfy | 4100 xcf | cffu hoặc 1,50 xcfSmfy | 4500 xcf | 4903 xcf |
| CHÚ THÍCH: 1 Các giới hạn ứng suất lớn hơn 1,00 xcfSmfy phải được hạn chế đến các diện tích nhỏ theo các gián đoạnkết cấu. 2 Khi độ bền mỏi củachi tiết được xét thấy thỏa mãn, ứng suất điểm nóng trên chi tiết đó có thể được chấp nhận lên tới độ bền chảy dẻo tối thiểu của vật liệu. 3 cf được lấy bằng 1,0đối với các trường hợp tải trọng động môi trường biển nêu tại Bảng 4 và Bảng 7. cf được lấy bằng 0,85 đối với điều kiện tại cảng (SLC1) và 1,00 đối với trường hợp tải trọng ngập nước(SLC2) trong Bảng 6. 4 Các ứng suất giới hạn không áp dụng đối với các trường hợp tải trọng sự cố (SLC3 ~ SLC5) trong bảngBảng 6. | |||||
7.5.2.6 Các ứng suất giới hạn đối với các đệm chèn và cơ cấu đỡ theo chiều đứng
7.5.2.6.1 Các ứng suất giới hạn nêu tại mục này áp dụng đối với các đế cho cơ cấu đỡ và đệm chèn.Ứng suất giới hạn cho kích thước mắt lưới cơ bản đề xuất bằng ứng suất chảy dẻo quy định nhỏ nhất fy nhân với hệ số suy giảm độ bền Sm như nêu trong bảng
7.5.2.6.2 Bảng 18. Việc sử dụng ứng suất giới hạn này cho các phần tử xà ngang và thanh tròn được dựa trên cơ sở ứng suất dọc trục khi các ứng suất màng von-Mises cho các phần tử tứ giác được kiểm tra.
Bảng 18 - Ứng suất giới hạn (kgf/cm2) đối với các kích thước ô lưới phần tử hữu hạn khácnhau
| Kích thước mắt lưới | Giới hạn ứng suất | Thép thường (Sm =1,000) | HT27 (Sm= 0,980) | HT32 (Sm= 0,950) | HT36 (Sm= 0,908) |
| 1 x LS | 1,00 xcfSmfy | 2400 xcf | 2646 xcf | 3040 xcf | 3269 xcf |
| 1/2 x LS (1) | 1,06 xcfSmfy | 2544 xcf | 2805 xcf | 3222 xcf | 3465 xcf |
| 1/3 x LS (1) | 1,12 xcfSmfy | 2688 xcf | 2963 xcf | 3404 xcf | 3661 xcf |
| 1/4 x LS (1) | 1,18 xcfSmfy | 2832 xcf | 3122 xcf | 3587 xcf | 3857 xcf |
| 1/5 x LS ~ 1/10 x LS (1) | 1,25 xcfSmfy | 3000 xcf | 3308 xcf | 3800 xcf | 4086 xcf |
| Chiều dày(1) (2) | cffu hoặc 1,50 xcfSmfy | 4100 xcf | cffu hoặc 1,50 xcfSmfy | 4500 xcf | 4903 xcf |
| CHÚ THÍCH: 1 Các giới hạn ứng suất lớn hơn 1,00 xcfSmfy phải được hạn chế đến các diện tích nhỏ theo các gián đoạnkết cấu. 2 Khi độ bền mỏi củachi tiết được xét thấy thỏa mãn, ứng suất điểm nóng trên chi tiết đó có thể được chấp nhận lên tới độ bền chảy dẻo tối thiểu của vật liệu. 3 cf được lấy bằng 0,85 đối với các trường hợp tải trọng động môi trường biển nêu tại Bảng 4 và Bảng 7. cf được lấy bằng 1,00 đối với điều kiện tải trọng sự cố (SLC3 ~ SLC5) trong Bảng 6. 4 Các ứng suất giới hạn không áp dụng đối với SLC1 và SLC2 trong bảng Bảng 6. | |||||
7.5.2.6.3 Các bề mặt tiếp xúc của các cơ cấu đỡ thẳng đứng, đệm chống lăn và chống trượt trượt thường được làm bằng các vật liệu tổng hợp như nhựa, gỗ dán và chất bám dính. Độ bền của từng bề mặt tiếp xúc phải được xác minh theo lực tiếp xúc lớn nhất vuông góc với bề mặt đó và lực ma sát liên quan song song với bề mặt đó. Các lực tiếp xúc phải được tính toán từ các mô hình phần tử hữu hạn toàn bộ. Hệ số ma sát cho việc kiểm tra độ bền của bề mặt tiếp xúc được lấy bằng 0,3. Ứng suất cắt và ứng suất nén trung bình trên từng lớp của bề mặt tiếp xúc bằng vật liệu tổng hợp phải được kiểm tra riêng rẽ so với các ứng suất làm việc an toàn. Độ bền của các bu lông chốt hoặc các biện pháp hữu hiệu khác phải được đánh giá. Các hệ số an toàn sau đây đối với các cơ cấu đỡ và đệm thẳng đứng trong các trường hợp tải trọng sự cố và tải trọng môi trường biển phải được tuân thủ:
| (1) | Cơ cấu đỡ thẳng đứng |
|
|
| LC1 ~ LC8 (Các trường hợp tải trọng động môi trường biển): | Hệ số an toàn = 3,5 |
|
| SLC5 (nghiêng tĩnh 30°): | Hệ số an toàn = 3,5 |
|
| SLC4 (Các trường hợp tải trọng sự cố): | Hệ số an toàn = 1,5 |
| (2) | Đệm chèn chống trượt |
|
|
| LC1 ~ LC8 (Các trường hợp tải trọng động môi trường biển): SLC4 (Các trường hợp tải trọng sự cố): | Hệ số an toàn = 3,5 Hệ số an toàn = 1,5 |
| (3) | Đệm chèn chống lăn |
|
|
| LC1 ~ LC8 (Các trường hợp tải trọng động môi trường biển): | Hệ số an toàn = 3,5 |
|
| SLC5 (nghiêng tĩnh 30°): | Hệ số an toàn = 3,5 |
| (4) | Đệm chèn chống trôi nổi SLC3 (Các trường hợp tải trọng chống trôi nổi): | Hệ số an toàn = 3,5 |
7.5.3 Tiêu chí phá hủy - Độ bền tới hạn và độ bền mất ổn định
7.5.3.1 Khái quát
7.5.3.1.1 Phương pháp
Chỉ tiêu độ bền được nêu ở đây tương ứng với định mức khả năng làm việc (chống mất ổn định) hoặc định mực độ bền giới hạn đối với các tấm và thành phần kết cấu, theo các chức năng dự kiến và khả năng chống mất ổn định của kết cấu. Đối với các panen tấm giữa các thanh, mất ổn định trong phạm vi đàn hồi là được chấp nhận với điều kiện độ bền giới hạn của kết cấu thỏa mãn các giới hạn thiết kế quy định. Các ứng suất mất ổn định tới hạn và độ bền giới hạn của các kết cấu có thể được xác định dựa trên dữ liệu thực nghiệm được văn bản hóa rõ ràng hoặc phương pháp phân tích được hiệu chuẩn. Trong trường hợp không có phân tích chi tiết, các công thức nêu trong Phụ lục B có thể được sử dụng để đánh giá độ bền chống mất ổn định. Tuy nhiên, đối với các panen tấm màtrên đó có lắp đặt các hệ thống cách nhiệt, độ lệch tối đa của panen tấm không được lớn hơn 4,6 mm (0,18 in.) trong giới hạn ổn định dẻo.
7.5.3.1.2 Các khái niệm kiểm soát ổn định
a) Chỉ tiêu bền, trong 7.5.3.2 đến 7.5.3.6 là dựa trên các giả định và giới hạn sau đây liên quan tới kiểm soát ổn định khi thiết kế.
1) Độ bền ổn định của các xà dọc và thanh nói chung là lớn hơn của các panen tấm mà chúng đỡ.
2) Tất cả các xà dọc cùng với tôn kèm của chúng phải có mô men quán tính không được nhỏ hơn
nêu tại B.6.B.6.1 của Phụ lục B.
3) Các cơ cấu đơ chính, bao gồm các dầm ngang, sườn và đà ngang, cùng với tôn kèm của chúng phải có mô men quán tính không nhỏ hơn
nêu tại B.6.B.6.3 của Phụ lục B.
Ngoài ra, xoắn (tức là mất ổn định xoắn) cũng phải được ngăn chặn như được quy định tại B.5.B.5.3 của Phụ lục B.
4) Các tấm mặt và mép bẻ của các sườn, dầm dọc và thanh phải có kích thước được cân đối để đảm bảo bền cục bộ. (Xem B.6.B.6.4 của Phụ lục B).
5) Các bản thành của các dầm dọc và các thanh phải có kích thước cân đối để đảm bảo bền cục bộ. (Xem B.6.B.6.5 của Phụ lục B).
6) Các bản thành của sườn, đà ngang và xà ngang được thiết kế với tỷ lệ cân đối riêng và hệ thống thanh gia cường để chịu được mất ổn định cục bộ. Các ứng suất mất ổn định tới hạn của các bản thành có thể được tính toán theo các công thức nêu trong B.2 của Phụ lục B.
b) Đối với các kết cấu không thỏa mãn các giả định này, phân tích chi tiết độ bền ổn định bằng phương pháp được chấp nhận phải được trình nộp để xem xét.
7.5.3.2 Panen tấm
7.5.3.2.1 Giới hạn chống mất ổn định
Giới hạn chống mất ổn định đối với các panen tấm giữa các thanh được xác định theo công thức sau:
![]()
Với:
= ứng suất nén tổng tính toán theo phương dọc đối với tấm, N/cm2 (kgf/cm2,lbf/ in2), gây ra bởi uốn dầm tương đương thân và các panen cứng lớn giữa các vách ngăn.
= ứng suất nén tổng tính toán theo phương ngang/ thẳng đứng, N/cm2(kgf/cm2, lbf/ in2)
= ứng suất cắt tổng tính toán trong mặt phẳng, N/cm2 (kgf/cm2, lbf/ in2)
và
là các ứng suất mất ổn định tới hạn tương ứng với nén đơn trục theo phương dọc, ngang/thẳng đứng và cắt bên, một cách tương ứng, N/cm2(kgf/cm2, lbf/ in2), và có thểđượcxác định theo công thức nêu tại B.2 của Phụ lục B.
và
phải được xác định cho panen đang xét theo các trường hợp tải trọng nêu tại 7.3.5 bao gồm các ứng suất chính và phụ như được xác định tại 7.5.2.1.
7.5.3.2.2 Chiều rộng hiệu dụng
Nếu giới hạn trạng thái mất ổn định nêu tại 7.5.3.2.1 ở trên không được thỏa mãn, chiều rộng hiệu dụng bwL hoặc bwT của tấm nêu sau đây phải được sử dụng thay cho chiều rộng toàn bộ giữa các dầm dọc, s, đối với xác định mô đun chống uốn dầm tương đương hiệu dụng thân tàu, SMe, nêu tại 7.5.3.6 và cũng là đối với kiểm tra độ bền tới hạn như nêu tại 7.5.3.2.3 dưới đây. Nếu giới hạn trạng thái mất ổn định tại 7.5.3.2.1 ở trên được thỏa mãn, chiều rộng toàn bộ giữa các dầm dọc, s, có thể được sử dụng là chiều rộng hiệu dụng, bwL, để kiểm tra độ bền tới hạn của các dầm dọc và thanh nêu tại 7.5.3.3, và để xác định mô đun chống uốn dầm tương đương hiệu dụng thân tàu, SMe, nêu tại 7.5.3.6 dưới đây:
a) Đối với tấm dài
bwL/s = C
Với:
C = 2,25/β - 1,25/β2 Đối với β ≥ 1,25
1,0 Đối vớiβ< 1,25
β = ![]()
s= Khoảng cách giữa các thanh, mm (in.)
tn = Chiều dày tinh của tấm, mm (in.)
E = Mô đun đàn hồi, N/cm2 (kgf/cm2, lbf/in2), đối với thép 2,06 x 107 (2,10 x 106, 30 x 106)
fy = Giới hạn chảy tối thiểu của vật liệu, N/cm2 (kgf/cm2, lbf/in2)
b) Đối với tấm tấm rộng (nén theo phương ngang)
![]()
Với:
= Khoảng cách giữa cácxà ngang, cm (in.)
s = Khoảng cách giữa các thanh dọc, cm (in.)
C,β được xác định tại 7.5.3.2.2a).
7.5.3.2.3 Độ bền tới hạn
a) Độ bền tới hạn của panen tấm giữa các thanh gia cường phải thỏa mãn các công thức sau đây:

Với:
và
được xác định tại 7.5.3.2.1 ở trên.
Sm được xác định theo 7.4.4.2.2.
η = 1,5 - β/2 ≥ 0
β được xác định tại 7.5.3.2.2.
và
tương ứng là các độ bền tới hạn liên quan đến nén đơn trục và cắt cạnh, và có thể được tính theo các công thức sau đây, ngoại trừ ràng chúng phải không được nhỏ hơn các ứng suất mất ổn định tới hạn tương ứng quy định tại 7.5.3.2.1.

Với
![]()
và
được xác định ở trên.
b) Đối với đánh giá độ bền tới hạn của các panen tấm giữa các thanh, cần chú ý đặc biệt tới các tấm của vách ngăn dọc tại các khu vực của dầm tương đương thân có ứng suất cắt cao và tấm của tôn đáy và tôn đáy trong tại phần giữa của các két hàng chịu nén hai trục.
7.5.3.3 Xà dọc và thanh gia cường
7.5.3.3.1 Giới hạn trạng thái mất ổn định dầm cột và độ bền tới hạn
Các giới hạn trạng thái mất ổn định đối với các dầm dọc và nẹp được xem xét là các trạng thái tới hạn cho các thành phần này và được xác định như sau:
![]()
Với:
= ứng suất nén tính toán danh nghĩa
= P/A, N/cm2 (kgf/cm2, lbf/in2)
P = Tổng tải trọng nén, N (kgf, lbf)
= ứng suất mất ổn định tới hạn như đượcnêu tại B.3.1 của Phụ lục B, N/cm2(kgf/cm2, lbf/in2)
A = Tổng tiết diện tinh, cm2 (in2)
= As + stn
As = Tiết diện tinh của dầm dọc, không bao gồm tôn kèm, cm2 (in2)
Ae = Tiết diện tinh hiệu dụng, cm2 (in2)
![]()
bwL = Chiều rộng hiệu dụng, như được nêu tại 7.5.3.2.2 ở trên.
E = Mô đun đàn hồi, 2,06 x 107 N/cm2 (2,1 x 106 kgf/cm2, 30 x 106 lbf/in2) đối với thép
fy = Giới hạn chảy dẻo tối nhỏ nhất của dầm dọc hoặc nẹp được xét, N/cm2 (kgf/cm2,lbf/in2)
fb = ứng suất uốn, N/cm2(kgf/cm2, lbf/in2)
= M/SMe
M = Mô men uốn cực đại gây ra bởi các tải trọng bên
=
, N-cm (kgf-cm, lbf-in)
cm = Hệ số hiệu chỉnh mô men, và có thể được lấy bằng 0,75.
p = Áp lực bên đối với vùng được xét, N/cm2 (kgf/cm2, lbf/in2)
s = Khoảng cách giữa các dầm dọc, cm (in.)
SMe = Mô đung chống uốn hiệu dụng của dầm dọc tại mép bẻ, tạo nên chiều rộng hiệu dụng, be, cm3 (in3)
be = Chiều rộng hiệu dụng, như được nêu tại Hình 41, dòng b.
m = Hệ số khuếch đại
= ![]()
Sm được xác định tại 7.4.4.2.2.
và
được xác định tại B.3.B.3.1của Phụ lục B.
7.5.3.3.2 Mất ổn định xoắn-uốn khúc
Nói chung, độ bền mất ổn định xoắn-uốn khúc của các dầm dọc và nẹp phải thỏa mãn các giới hạn thiết kế nêu dưới đây:
![]()
Với:
fa= ứng suất nén tính toán danh nghĩa, như được xác định tại 7.5.3.3.1.
fct = ứng suất mất ổn định xoắn-uốn khúc tới hạn, và có thể được xác định theo côngthức nêu tại B.3.B.3.2 của Phụ lục B.
Ae và A được xác định tại 7.5.3.3.1 ở trên và Sm được xác định tại 7.4.4.2.2.
7.5.3.4 Các panen được nẹp (Stiffended panels)
7.5.3.4.1 Panen được nẹp lớn giữa các vách ngăn
Đối với một kho chứa nổi vỏ kép, không yêu cầu đánh giá giới hạn trạng thái mất ổn định cho các panel được nẹp lớn của kết cấu đáy và đáy trong, mạn ngoài và mạn trong. Đánh giá các giới hạn trạng thái mất ổn định phải được thực hiện cho các panen được nẹp lớn của kết cấu boong và các vách dọc khác. Về vấn đề này, độ bền ổn định phải thỏa mãn điều kiện sau đây cho các panen nẹp đơn hướng hoặc trực giao.
![]()
Với:
= Tương ứng, là ứng suất nén trung bình tính toán theo phương dọc và ngang/thẳng đứng, như được xác định tại 7.5.2.2.
= Tương ứng, là ứng suất mất ổn định tới hạn đối với nén đơn trục theo phương dọc và ngang, và có thể được xác định phù hợp với B.4 của Phụ lục B, N/cm2 (kgf/cm2, lbf/in2)
Sm = Hệ số suy giảm độ bền, như được xác định tại 7.4.4.2.2.
7.5.3.4.2 Các panen nẹp đơn phương giữa các dầm ngang và các sườn
Độ bền ổn định của các panen nẹp đơn phương giữa các dầm ngang sâu và các sườn cũng phải được kiểm tra phù hợp với các yêu cầu trong 7.5.3.4.1 ở trên bằng cách thay fL1 và fT1 tương ứng bằng fLb và
và fTb được xác định tại 7.5.3.2.1 ở trên.
7.5.2.5 Các sống và dầm
7.5.3.5.1 Chỉ tiêu bền ổn định
a) Nhìn chung, độ cứng của các nẹp của sống dọc theo chiều sâu của bản thành phải phù hợp với các yêu cầu tại B.6.B.6.2 của Phụ lục B. Các nẹp sống có hướng song song và gần với tấm mặtcủa sống, và do đó chịu nén dọc trục, cũng đồng thời phải thỏa mãn các giới hạn nêu tại 7.5.3.3, xem xét tải trọng tổ hợp của các ứng suất nén và uốn trên sống đó. Trong trường hợp này, nhịp của các nẹp song song này có thể được lấy giữa các mã chống vặn, nếu áp dụng.
b) Độ bền ổn định của các bản thành giữa các nẹp và của mép bẻ hoặc tấm mặt phải thỏa mãn các giới hạn nêu dưới đây:
(1) Đối với bản thành
![]()
Với:
fL = ứng suất nén đơn trục tính toán dọc theo chiều dài của sống, N/cm2 (kgf/cm2, lbf/in2)
fb = Các ứng suất uốn lý tưởng tính toán, N/cm2 (kgf/cm2, lbf/in2)
fLT = Tổng ứng suất cắttính toán trong mặtphẳng, N/cm2 (kgf/cm2, lbf/in2)
fL,fb và fLT phải được tính toán cho penen đang xét theo các trường hợp tải trọng cục bộ nêu tại7.3.5.2, và các ứng suất này có thể được tính toán từ các chuyển vị liên quan của các nút bốn góc. Phương pháp này là hữu ích khi chia lưới không đều trong phạm vi của tấm. Tuy nhiên, cần thận trọng khi một góc của tấm nằm trong một vùng có tập trung ứng suất cao hoặc hình dạng của panen khác nhiều so với hình chữ nhật. Các ứng suất tính toán theo phương pháp đề cập ở trên có xu hướng thiên về thận trọng. Nếu một góc của panen chịu úng suất cao và nếu lưới được tinh chỉnh mịn, các ứng suất của tấm có thể được tính toán theo các chuyển vị cách xa một chút so với điểm góc của vùng tập trung ứng suất cao. Đối với panen tấm chia lưới đều, fL,fb và fLT có thể được tính toán trực tiếp từ các ứng suất thành phần đối với các thành phần trong panen.
fcL, fcb và fcLT tương ứng là các ứng suất mất ổn định tới hạn liên quan đến nén đồng đều, uốn lý tưởng và cắt, và có thể được xác định phù hợp với Phụ lục B. Sm được xác định tại 7.4.4.2.2.
Khi xác định fcL và fcLT phải xem xét ảnh hưởng của các lỗ khoét.
(2) Đối với tấm mặt và mép bẻ
Tỷ lệ giữa chiều rộng so với chiều dày của tấm mặt và mép bẻ phải thỏa mãn các giới hạn nêu tại B.6 của Phụ lục B.
(3) Đối với các mã kích thước lớn và các sống nghiêng
Độ bền ổn định phải thỏa mãn các giới hạn nêu tại 7.5.3.5.1(1) ở trên đối với bản thành.
7.5.3.5.2 Chống vặn
Các mã chống vặn phải có phù hợp với B.5.B.5.3 của Phụ lục B.
7.5.3.6 Kết cấu của két hàng độc lập
Đối với các két rời Loại B và Loại C được chế tạo bằng vật liệu độ bền cao và hợp kim nhôm, các tính toán thể hiện đáp ứng các yêu cầu về chống mất ổn định phải được trình nộp để xem xét.
7.5.4 Tuổi thọ mỏi
7.5.4.1 Khái quát
7.5.4.1.1 Một phân tích cần được thực hiện về độ bền mỏi của các chi tiết và mối hàn được hạn trong các vùng tập trung ứng suất cao, đặc biệt là khi có sử dụng thép độ bền cao. Cần chú ý đặc biệt tới các rãnh, chỗ cắt và chân mã, và các vị trí thay đổi tiết diện đột ngột. Một đánh giá đơn giản về độ bền mỏi của các chi tiết kết cấu có thể được chấp nhận nếu được thực hiện phù hợp với Phụ lục A.
7.5.4.1.2 Các mục nhỏ sau đây nhằm nhấn mạnh các điểm chính và phác thảo các quy trình với việc sử dụng các kỹ thuật phân tích phổ tinh chế để thiết lập độ bền mỏi.
7.5.4.1.3 Trình độ tay nghề
Do phần lớn dữ liệu mỏi hiện có được phát triển bằng thực nghiệm bởi các điều kiện thí nghiệm được kiểm soát, cần xem xét đến trình độ tay nghề dự kiến trong quá trình chế tạo.
7.5.4.1.4 Dữ liệu mỏi
a) Khi lựa chọn các đường cong S-N và các hệ số tập trung ứng suất liên quan, phải lưu ý đến nền tảng của tất cả các dữ liệu thiết kế và hiệu lực của chúng đối với các chi tiết đang được xét. Về vấn đề này, dữ liệu thiết kế được chấp nhận, như các dữ liệu bởi AWS, API và DEN (Department of Energy), có thể được xem xét. Dữ liệu mỏi mẫu và sự áp dụng của chúng được nêu trong Phụ lục A.
b) Nếu các dữ liệu mỏi khác sử dụng, nền tảng và dữ liệu hỗ trợ phải được trình nộp để xem xét.
c) Về vấn đề này, yêu cầu phải làm rõ có hay không sự tập trung ứng suất do đặc điểm hàn, các cấu hình kết cấu cụ thể và cũng như các ảnh hưởng nhiệt có thể xảy ra với đường cong S-N dự kiến. Các tập trung ứng suất khác cũng phải được xem xét.
7.5.4.1.5 Phạm vi ứng suất tổng
Để xác định các phạm vi ứng suất tổng, các thành phần ứng suất dao động do các tổ hợp tải trọng nêu tại A.1.A.4.3của Phụ lục A phải được xem xét.
7.5.4.1.6 Xem xét thiết kế
Khi thiết kế, cần xem xét giảm thiểu các kết cấu rãnh và tập trung ứng suất. Các khu vực chịu tập trung lực lớn phải được cấu hình và gia cường thích hợp để phân tán các tải trọng tập trung. Xem thêm 7.4.1.3.
7.5.4.2 Trình tự
Phân tích độ bền mỏi cho các mối nói và chi tiết kết cấu có thể được thực hiện phù hợp với trình tự dưới đây:
7.5.4.2.1 Bước 1 - Phân loại các vị trí tới hạn khác nhau
Ký hiệu phân loại và các mẫu tải trọng liên quan được nêu tại Bảng A.1 của Phụ lục A.
7.5.4.2.2 Bước 2 - Tính toán tuổi thọ mỏi
7.5.4.2.3 Bước 3 - Phân tích tinh chỉnh
a) Đối với các chi tiết kết cấu mà tuổi thọ mỏi tính toán có được từ Bước 2 nhỏ hơn tuổi thọ mỏi thiết kế, hoặc các chi tiết mà các đặc tính mỏi không được bao hàm bởi các chi tiết được phân loại và các được cong S-N liên quan, các phân tích được tối ưu hóa phải được thực hiện như nêu tại 7.5.4.2.3(1) hoặc 7.5.4.2.3(2) dưới đây.
(1) Phân tích phổ
Ngoài ra, một phân tích phổ có thể được thực hiện theo 7.5.4.3 dưới đây để tính trực tiếp các tuổi thọ mỏi cho các chi tiết kết cấu được đề cập.
(2) Dữ liệu mỏi được tinh chỉnh (Refined fatigue data)
Đối với các chi tiết kế cấu không được bao hàm bởi phân loại chi tiết, các đường cong S-N dự kiến và các hệ số tập trung ứng suấtSCF, khi áp dụng, cóthể được trình nộp để xem xét. Về vấn đề này, dữ liệu và nền tảng hỗ trợ cũng phải được trình nộp để xem xét. Các hệ số tập trung ứng suất được tinh chỉnh có thể được xác định bằng các phân tích phần tử hữu hạn.
b) Tuổi thọ mỏi của các kết cấu nói chung không được nhỏ hơn 20 năm trừ khi được quy định khác.
7.5.4.3 Phân tích phổ
Khi thực hiện lựa chọn trong 7.5.4.2.3(1), một phân tích phổ phải được thực hiện phù hợp với các hướng dẫn dưới đây:
a) Các mẫu tải trọng đại diện
Một số mô hình tải trọng đại diện phải được xem xét để kiểm soát các kịch bản xấu nhất có thể xảy ra đối với tuổi thọ khai thác thiết kế của đối tượng liên quan đến các tải trọng cục bộ dầm tương đương thân.
b) Điều kiện môi trường
Thay cho các tải trọng sóng thiết kế nêu tại 7.2, một sơ đồ sóng phân tán (như Dữ liệu của Walden) phải được sử dụng để mô phỏng một phân bố đại diện của tất cả các điều kiện sóng dự kiến cho tuổi thọ khai thác thiết kế của kho chứa nổi. Nói chung, dữ liệu sóng phải bao hàm một khoảng thời gian không nhỏ hơn 20 năm. Xác suất xảy ra đối với mỗi tổ hợp của chiều cao sóng đáng kể và chu kỳ lặp của sơ đồ sóng phân tán đại diện tại nơi hoạt động của kho chứa nổi.
c) Tính toán toán tử biên độ phản ứng tải trọng sóng (RAO’s)
Toán tử biên độ phản ứng tải trọng sóng liên quan tới các tải trọng gây ra do sóng như mô men uốn, lực cắt, chuyển động, gia tốc, áp suất thủy động có thể được dự đoán bởi tính toán chuyển động của đối tượng đối với một điều kiện tải trọng đại diện được lựa chọn.
d) Xác định phổ ứng suất
Phổ ứng suất cho mỗi chi tiết kết cấu tới hạn (đốm) có thể được tạo nên bằng việc thực hiện một phân tích kết cấu cho tất cả các tải trọng sóng riêng rẽ cho từng nhóm sóng. Với mục đích này, mô hình kết cấu 3D nêu tại 7.5.5 có thể được sử dụng để xác định các phản ứng kết cấu. Các ứng suất phụ và ứng suất mức ba bổ sung cũng phải được xem xét.
e) Tồn hại mỏi tích lũy và tuổi thọ mỏi
Dựa theo phổ ứng suất và sơ đồ sóng phân tán được thiết lập ở trên, tổn hại mỏi tích lũy và tuổi thọ mỏi tương ứng có thể được ứng tính theo quy tắc tổn hại tuyến tính Palmgren-Miner.
7.5.4.4 Kết cấu két hàng độc lập
Nếu cần thiết, sự cân đối và kích thước của các thành phần kết cấu có thể phải được nghiên cứu sâu nhằm cải thiện độ bền mỏi đặc biệt đối với các két Loại B và Loại C được chế tạo bằng vật liệu độ bền cao và các hợp kim nhôm.
7.5.5 Tính toán phản ứng kết cấu
7.5.5.1 Phương pháp tiếp cận và quy trình phân tích
a) Các ứng suất cực đại trên kết cấu phải được xác định bằng cách thực hiện các phân tích kết cấu như được nêu dưới đây. Các hướng dẫn cho việc lý tưởng hóa kết cấu, áp dụng tải trọng, và phân tích kết cấu được nêu tại Phụ lục E.
b) Nói chung, đánh giá độ bền phải tập trung vào các kết quả thu được từ các kết cấu trong khoang giữa của một môt hình chiều dài ba khoang. Tuy nhiên, dầm ngang boong, dầm ngang mạn và các sống khỏe đứng và ngang của các vách ngang cũng phải được đánh giá bằng việc sử dụng các khoang mút của một mô hình chiều dài ba khoang.
7.5.5.2 Mô hình phần tử hữu hạn ba chiều
a) Để xác định phân bố tải trọng trên kết cấu, một mô hình phần tử hữu hạn ba chiều đơn giản thể hiện thường là ba ngăn của các két trong phạm vi 0,4L giữa thân, nếu yêu cầu.
b) Đối với các kết cấu thân ngoài phạm vi 0,4L giữa thân, mô hình 3D tương tự có thể được sử dụng có các sửa đổi về các đặc tính kết cấu và các tải trọng áp dụng với điều kiện rằng các cấu hình kết cấu được coi là đại diện của khu vực được xét.
7.5.5.3 Mô hình kết cấu cục bộ
Mô hình lưới tinh chỉnh ba chiều cục bộ được yêu cầu để:
(1) Xác định phân bố ứng suất trên các kết cấu đỡ chỉnh, đặc biệt là tại các vị trí giao cắt của hai hoặc nhiều thành phần kết cấu và/hoặc;
(2) Kiểm tra các tập trung ứng suất, chẳng hạn như tại các chân mã của các cơ cấu đỡ chính, tại các lỗ khoét trong khu vực quan trọng, tại các vị trí giao cắt của các dầm dọc với dầm ngang, tại các chỗ cắt khoét và tại các cơ cấu đỡ và chêm của két.
7.5.5.4 Các trường hợp tải trọng
Khi thực hiện phân tích kết cấu, cá trường hợp tải trọng tổ hợp nêu tại 7.3.5.1 phải được xem xét. Nói chung, các phản ứng kết cấu đối với các điều kiện nước tĩnh phải được tính toán riêng rẽ nhằm thiết lập các điểm tham chiếu cho đánh giá các phản ứng gây ra do sóng. Các trường hợp tải trọng bổ sung có thể được yêu cầu cho các mô hình tải trọng đặc biệt và các chức năng thiết kế đặc biệt, như là các tải trọng va đập mặt thoáng, như được nêu tại 7.3.6 và 7.3.7. Các trường hợp tải trọng bổ sung cũng có thể được yêu cầu cho các kết cấu thân ngoài phạm vi 0,4L giữa thân.
7.6 Kết cấu thân ngoài phạm vi 0,4L giữa thân
7.6.1 Yêu cầu chung
7.6.1.1 Khái quát
Các cấu hình kết cấu, hệ thanh và kích thước thiết kế của các kết cấu thân nằm ngoài phạm vi 0,4L giữa thân, bao gồm phần mũi, đuôi và các không gian máy phải phù hợp với Mục này và Chương 27 của của TCVN 6259-2A. Theo Chương 27 của của TCVN 6259-2A, chiều dày tôn giữa khu vực 0,4L giữa và 0,1L đuôi có thể được giảm dần dần. Tuy nhiên, chiều dày không cần phải lớn hơn chiều dày yêu cầu đối với chiều dày tôn mạn giữa thân.
7.6.1.2 Kết cấu trong phạm vi chiều dài khoang hàng
a) Kích thước của các thành phần kết cấu dọc và các thành phần trong các khoang hàng ngoài phạm vi 0,4L giữa thân có thể được giảm dần dần cho tới các vách mút, với điều kiện rằng mô đun chống uốn dầm tương đương thân phù hợp với 7.4.2.4 và rằng độ bền của kết cấu thỏa mãn 7.4.4 đến 7.4.9 và chỉ tiêu độ bền tới hạn, bền ổn định và chảy dẻo của vật liệu nêu tại 7.5.2 và 7.5.3.
b) Kích thước của các cơ cấu đỡ chính trong khoang hàng trong phạm vi 0,4L giữa thân phải tuân theo các yêu cầu trong 7.4.6. Nếu cấu hình kết cấu khác với cấu hình đó ở giữa thân do hình dạng thân của kho chứa nổi, các đánh giá bổ sung cần được thực hiện. Việc đánh giá kết cấu bằng cách sử dụng cấu hình thực tế phải được thực hiện để khẳng định rằng sự bố trí các lỗ khoét cần thiết cho việc tiếp cận, thông gió, chế tạo... là thích hợp.
7.6.2 Kết cấu mạn phần thân phía mũi
a) Ngoài các yêu cầu nêu tại các mục khác liên quan của TCVN 6259-2A, kích thước kết cấu phía trước của 0,4L giữa thân cũng phải thỏa mãn các yêu cầu tại 7.6.2.1, 7.6.2.2 và 7.6.2.3 dưới đây.
b) Giá trị ăn mòn thiết kế danh nghĩa trong các két mũi có thể được lấy bằng 1,5 mm khi xác định kích thước thiết kế.
7.6.2.1 Tôn mạn
7.6.2.1.1 Tôn phía trước vách khoang mũi
Chiều dày tinh của tôn mạn phía trước vách khoang mũi không được nhỏ hơn t1,t2 và t3 nêu dưới đây.

Đối với tôn mũi và tôn mạn phía trên đường nước tải trọng (LWL) trong vùng từ mút mũi tới vách mũi.
Với:
s = Khoảng cách giữa các nẹp, mm (in.)
k1 = 0,342 Đối với tấm được nẹp dọc và 0,5k2 đối với tấm được nẹp ngang
k2 = 0,5k2 Đối với tấm được nẹp dọc và 0,342 đối với tấm được nẹp ngang
k3 = 0,50
k4 = 0,74
k = (3,075α1/2- 2,077)/(α + 0,272), 1 ≤ α ≤ 2
= 1,0 (α >2)
α = Tỷ số hình dạng của tấm (cạnh dài/cạnh ngắn)
f1 = 0,65Smfy, N/cm2 (kgf/cm2, lbf/in2) Theo hướng dọc
f2 = 0,85Smfy, N/cm2 (kgf/cm2, lbf/in2) Theo hướng ngang (đứng)
f3 = 0,85Smfy, N/cm2 (kgf/cm2, lbf/in2)
p = Áp lực danh nghĩa
, N/cm2(kgf/cm2, lbf/in2), như nêu tại Bảng 9 tại cạnh thấpcủa mỗi tấm giữa thân với điều chỉnh như sau:
i) Ati được tính toán tại mút mũi hoặc mút đuôi của két, lấy giá trị lớn hơn;
ii) Ae được tính toán tại tâm của tấm phù hợp với 7.3.3.4.3, sử dụng L.C.7 với kfo= 1,0 và xo đặt tại giữa thân;
iii) Be được tính toán tại 0,05L so với đường vuông góc mũi phù hợp với 7.3.3.4 (ps + kupd, chiều chìm toàn bộ, góc tới = 0, ku = 1,1)
pb = Áp lực mũi lớn nhất = kupbij
ku = 1,1
pbij = Áp lục mũi danh nghĩa, như được nêu tại 7.3.9.1.2, tại tâm của panen được đỡ đang xét, tính bằng N/cm2 (kgf/cm2, lbf/in2).
Sm và fy được xác định tại 7.4.4.2.2.
7.6.2.1.2 Tôn giữa vách mũi và 0,3L tính từ FP
Trong phạm vi giữa vách mũi và 0,3L tính từ FP, tôn bao mạn phải không được nhỏ hơn giá trị nêu tại7.6.2.1.1 với Be được tính toán tại vị trí thực tế và với ứng suất cho phép sau đây.
f1 = ứng suất uốn cho phép theo phương dọc, N/cm2 (kgf/cm2, lbf/in2)
= 0,43Smfy, tại 0,3L tính từ AP, đối với L ≥ 190 m (623 ft)
= 0,60Smfy, tại vị trí vách mũi, đối với L ≥ 190 m (623 ft)
Phép nội suy tuyến tính được sử dụng cho các vị trí trung gian.
= [0,60 + 0,10(190 - L)/40]Smfy Đối với L < 190 m (623 ft)
f2 = ứng suất uốn cho phép theo hướng ngang, N/cm2 (kgf/cm2, lbf/in2)
= 0,85Smfy
7.6.2.2 Các dầm dọc và sườn mạn
7.6.2.2.1 Các dầm dọc và sườn mạn nằm phía trước vách mũi
Mô đun chống uốn hiệu dụng của các dầm dọc và sườn mạn cùng với tôn kèm phải không được nhỏ hơn giá trị tính theo công thức sau:
![]()
Với:
k = 12(12; 83,33)
p = Áp lực danh nghĩa
, như nêu tại Bảng 9 với điều chỉnh như sau:
i) Ati được tính toán tại phía trước của mút đuôi của két, lấy giá trị lớn hơn;
ii) Ae được tính toán tại tâm của tấm phù hợp với 7.3.3.4.3, sử dụng L.C.7 với kfo = 1,0 và xo đặt tại giữa thân;
iii) Be được tính toán tại 0,05L so với đường vuông góc mũi phù hợp với 7.3.3.4 (ps + kupd, chiều chìm toàn bộ, góc tới = 0, ku = 1,1), với phân bố của pd như thể hiện tại Hình 46, tại sườn và dầm dọc mạn được xét.
fbi = 0,85Smfy, N/cm2 (kgf/cm2, lbf/in2)
Sm và fy được xác định tại 7.4.4.2.2.
s và
được xác định tại 7.4.4.3.
Đối với dầm dọc/nẹp trong khu vực phía trước của vách mũi và trên đường nước tải trọng, mô đun chốn uốn không được nhỏ hơn giá trị tính theo công thức nêu trên tùy theo
= 0,95Smfy và k = 16(16; 111,1), với pb như được xác định tại 7.6.2.1 ở trên.
7.6.2.2.2 Các dầm dọc và sườn mạn giữa vách mũi và 0,3L tính từ FP
Phía sau của vách mũi và trước điểm 0,3L tính từ FP, các dầm dọc và sườn mạn phải không được nhỏ hơn tính toán tại 7.4.5.4 với Be được tính toán tại vị trí thực tế và với ứng suất cho phép sau đây.
fbi = ứng suất uốn cho phép, N/cm2 (kgf/cm2, lbf/in2)
= 0,75Smfy Trong phạm vi 0,4L giữa thân
= 0,85Smfy Vách mũi
Phép nội suy tuyến tính được sử dụng cho các vị trí trung gian.

Hình 46 - Phân bố theo chiều ngang của pd
7.6.2.3 Sống dọc và ngang mạn trong phần thân trước
7.6.2.3.1 Khu vực kết cấu
Các yêu cầu của các mục dưới đây áp dụng đối với vùng phía trước của các không gian chứa hàng khi có kết cấu mạn đơn.
7.6.2.3.2 Mô đun chống uốn
Mô đun chống uốn hiệu dụng (net) của sống dọc và ngang mạn cùng với tôn mạn kèm không được nhỏ hơn giá trị tính theo công thức sau:
SM = M/fb cm3 (in3)
a) Tôn mạn được có hệ nẹp dọc
(1) Đối với sống dọc mạn:
N-cm (kgf-cm, lbf-in)
(2) Đối với sườn mạn, M không được nhỏ hơn M1 hoặc M2, lấy giá trị lớn hơn.
N-cm (kgf-cm, lbf-in)
N-cm (kgf-cm, lbf-in)
Với:
k = 0,12 (0,12; 0,446)
c1 = 0,125 + 0,875ɸ, nhưng không nhỏ hơn 0,3
Các hệ số c2,c3 và c4 đượclấy theo các bảng dưới đây.
Bảng 19 - Hệ số c2
| Số lượng sống dọc mạn giữa các sàn | Không có sống dọc | Một sống dọc | Nhiều hơn một sống dọc |
| Sống cao nhất | 0,0 | 0,90 | 0,70 |
| Các sống giữa sống cao nhất và sống thấp nhất | 0,75 | ||
| Sống dọc mạn thấp nhất | 0,80 |
Bảng 20 - Hệ số c3
| Số lượng sống dọc mạn giữa các sàn | Không có sóng dọc | Một sống dọc | Nhiều hơn một sống dọc |
| Sườn phía trên sống dọc cao nhất | 0,85 | 0,55 | 055 |
| Sườn giữa sống dọc cao nhất và thấp nhất | - | 064 | |
| Sườn phía dưới sống dọc thấp nhất | 0,68 | 068 |
Bảng 21 - Hệ số c4
| Số lượng sống dọc mạn giữa các sàn | Không có sống dọc | Một sống dọc | Nhiều hơn một sống dọc |
| Các sườn | 0,0 | 0,75 | 0,80 |
p = Áp lực danh nghĩa,
, kN/m2 (tf/m2, Ltf/ft2), trên các sườn mạn sử dụng các trường hợp tải trọng giống nhau như nêu tại Bảng 9 đối với các sườn mạn với các điều chỉnh như dưới đây.
i) Ae phải được xem xét đối với trường hợp “a” và được tính toán phù hợp với 7.3.3.4.3 sử dụng L.C.7 với kfo = 1,0 và xo đặt tại giữa thân;
ii) Be phải được tính toán phù hợp với 7.3.3.4 (ps + kupd, chiều chim toàn bộ, góc tới = 0, ku = 1), với phân bố của pd như thể hiện tại Hình 46.
Bi,Ae và Be có thể được lấy tại tâm của panen tôn bao mạn được xét.
p1 = Áp lực danh nghĩa,
, kN/m2 (tf/m2, Ltf/ft2), sử dụng các trường hợp tải trọng giống nhau như nêu tại Bảng 9 đối với các sườn mạn với các điều chỉnh như dưới đây.
i) Ae phải được xem xét đối với trường hợp “a” và được tính toán phù hợp với 7.3.3.4.3 sử dụng L.C.7 với kfo = 1,0 và xo đặt tại giữa thân;
ii) Be phải được tính toán phù hợp với 7.3.3.4 (ps + kupd, chiều chìm toàn bộ, góc tới = 0, ku = 1), với phân bố của pd như thể hiện tại Hình 46.
Bi,Ae và Be được tính toán tại giữa nhịp
(giữa các sống dọc mạn hoặc giữa sống dọc mạn và sàn, tấm phẳng như được thể hiện tại Hình 47) của sườn mạn được xét.
(3) Đối với sườn mạn:
s = Tổng của các nửa khoảng cách, m (ft), giữa sườn mạn được xét và các sườn mạnliền kề hoặc vách ngăn.
(4) Đối với sống dọc mạn:

Với:
It = Mô men quán tính, cm4 (in4) (cùng với tôn mạn kèm), của sườn mạn.
It được lấy bằng trung bình của các giá trị tại giữa của mỗi nhịp
giữa các sườn mạn hoặc giữa sườn mạn và sàn (tâm phẳng), không sát với mã.
Is = Mô men quán tính, cm4 (in4) (cùng với tôn mạn kèm), củasống dọc mạn tại trung điểm của mỗi nhịp
, không sát với mã.
= Các nhịp, m (ft), của sườn mạn
và sống cạnh
được xét, như thể hiện tại Hình 47.
Nhịp, m (ft), của sườn mạn được xét giữa cá sống dọc, hoặc giữa sống dọc và sàn (tấm phẳng), như thể hiện tại Hình 47 b).
Khi tính toán α, nếu có nhiều hơn một sườn mạn hoặc sống dọc mạn và chúng không đều nhau, các giá trị trung bình của It và Is trong phạm vi panen tôn bao mạn (panen giữa các vách ngang và sàn, tấm phẳng) phải được sử dụng.
fb = ứng suất uốn cho phép, N/cm2 (kgf/cm2, lbf/in2)
= 0,75Smfy
Sm và fy được xác định tại 7.4.4.2.2.
Mô men uốn đối với sườn mạn phía dưới sống dọc mạn (hoặc dưới sàn nếu không có sống dọc mạn) phải không được nhỏ hơn 80% của giá trị đối với sườn mạn phía trên sống dọc mạn (hoặc phía trên sàn nếu không có sống dọc mạn).
b) Tôn bao mạn có hệ nẹp ngang
(1) Đối với sườn mạn:
N-cm (kgf-cm, lbf-in)
(2) Đối với sống dọc mạn, M không được nhỏ hơnM1 hoặc M2, lấy giá trị lớn hơn.
N-cm (kgf-cm, lbf-in)
N-cm (kgf-cm, lbf-in)
Với:
k = 0,12 (0,12; 0,446)
c1 = 0,10 + 0,7ɸ1, nhưng không nhỏ hơn 0,085
Nếu không có sườn mạn nào giữa các vách ngang:
c2 = 1,1
c3 = 0
Nếu có các sườn mạn giữa các vách ngang:
c2 = 0,8
c3 = 0,8
p = Áp lực danh nghĩa,
, kN/m2 (tf/m2, Ltf/ft2), trên các sống dọc mạn sử dụng các trường hợp tải trọng giống nhau như nêu tại Bảng 9 đối với các sườn mạn trong két hông. Ati,Ae và Be có thể được lấy tại tâm của panen tôn mạn được xét với các điều chỉnh như dưới đây.
i) Ae phải được xem xét đối với trường hợp “a” và được tính toán phù hợp với7.3.3.4.3 sử dụng L.C.7 với kfo = 1,0 và xo đặt tại giữa thân;
ii) Be phải được tính toán phù hợp với 7.3.3.4 (ps + kupd, chiều chìm toàn bộ, góc tới = 0, ku = 1), với phân bố của pd như thể hiện tại Hình 46.
p1 = Áp lực danh nghĩa,
, kN/m2 (tf/m2, Ltf/ft2), sử dụng các trường hợp tải trọng giống nhau như nêu tại Bảng 9 đối với các sườn mạn trong két hông, với Ati,Ae và Be được tính tại giữa nhịp
(giữa các sườn mạn hoặc giữa sườn mạn và vách ngang như được thể hiện tại Hình 47 a) của sống dọc mạn được xét, với các điều chỉnh như dưới đây.
i) Ae được tính toán phù hợp với 7.3.3.4.3 sử dụng L.C.7 với kfo = 1,0 và xo đặt tại giữa thân;
ii) Be được tính toán phù hợp với 7.3.3.4 (ps + kupd, chiều chìm toàn bộ, góc tới = 0, ku = 1), với phân bố của pd như thể hiện tại Hình 46.
(3) Đối với các sống dọc mạn:
s= Tổng của các nửa khoảng cách, m (ft), giữa sống dọc mạn được xét và các sống dọc mạn liền kề hoặc các sàn (tấm phẳng).
(4) Đối với sườn mạn:
s = 0,45![]()
ɸ1 = α/(1 + α)
= Nhịp, m (ft), của sống dọc mạn được xét giữa các sườn mạn hoặc giữa sườn mạn và vách ngang, như thể hiện tại Hình 47 a).
fb = ứng suất uốn cho phép, N/cm2 (kgf/cm2, lbf/in2).
Sm và fy được xác định tại 7.4.4.2.2.
và α được xác định tại 7.6.2.3.2a) ở trên.
7.6.2.3.3 Tiết diện của bản thành
Tiết diện hiệu dụng của phần bản thành của sườn mạn và sống dọc mạn không được nhỏ hơn giá trị tính theo công thức sau:
A = F/fs
a) Tôn bao mạn có hệ nẹp dọc
(1) Đối với sống dọc mạn:
N (kgf, lbf)
(2) Đối với sườn mạn, F không được lấy nhỏ hơn giá trị lớn hơn trong hai giá trị F1 và F2 sau đây:
N (kgf, lbf)
N (kgf, lbf)
Với:
k = 0,5 (0,5; 1,12)
Các hệ số c1, c2 và c3 được cho trong các bảng dưới đây.
Bảng 22 - Hệ số c1
| Số lượng sống dọc mạn giữa các sàn (mặt phẳng) | Không có sống | Một sống | Nhiều hơn 1 sống |
| Các sống dọc | 0,0 | 0,52 | 0,40 |
Bảng 23 - Hệ số c2
| Số lượng sống dọc mạn giũa các sàn (tấm phẳng) | Không có sống | Một sống | Nhiều hơn 1 sống |
| Sườn mạn phía trên sống dọc cao nhất | 1,0 | 0,9 | 0,9 |
| Sườn giữa sống dọc cao nhất và thấp nhất | - | 0,95 | |
| Sườn phía dưới sống dọc thấp nhất | 1,0 | 1,0 |
Bảng 24 - Hệ số c3
| Số lượng sống dọc mạn giữa các sàn (mặt phẳng) | Không có sống | Một sống | Nhiều hơn 1 sống |
| Các sườn | 0,0 | 0,5 | 0,6 |
= Nhịp, m (ft), của sườnmạn đượcxét giữa các sàn (mặt phẳng), như thể hiện tại Hình 47 b).
= Nhịp, m (ft), của sườn mạn được xét giữa các sống dọc mạn hoặc giữa sống dọc mạn và sàn (mặtphẳng), như thể hiện tại hình Hình 47 b).
he = Chiều dài, m (ft), của mã mút của sườn mạn, như thể hiện tại Hình 47 b).
Để tính F1, he lấy bằng chiều dài của mã mút tại đầu của nhịp
của sườn mạn, như thể hiện tại Hình 47 b).
Để tính F2, he lấy bằng chiều dài của mã mút tại đầu của nhịp
của sườn mạn, như thể hiện tại Hình 47 b).
fs = ứng suất cắt cho phép, N/cm2 (kgf/cm2, lbf/in2).
= 0,45Smfy
Sm và fy được xác định tại 7.4.4.2.2.
và s được xác định tại 7.6.2.3.2a) ở trên.
Lực cắt đối với sườn mạn dưới sống dọc mạn thấp nhất (hoặc dưới sàn nếu không có sống dọc mạn), không được nhỏ hơn 110% của giá trị đối với sườn mạn phía trên sống dọc mạn cao nhất (hoặc phía trên sàn nếu không có sống dọc).
b) Tôn bao mạn có hệ nẹp ngang
(1) Đối với sườn mạn:
N (kgf, lbf)
(2) Đối với sống dọc mạn, F không được lấy nhỏ hơn giá trị lớn hơn trong hai giá trị F1 và F2 sau đây:
N (kgf, lbf)
N (kgf, lbf)
Với:
k = 0,5(0,5; 1,12)
c1= 0,1 + 0,70ɸ1, nhưng không nhỏ hơn 0,2
= Nhịp, m (ft), của sống dọc mạn được xét giữa các vách ngang như thể hiện tại Hình 47 a).
= Nhịp, m (ft), của sống dọc mạn được xét giữa các sườn mạn hoặc giữa sườn mạn và vách ngăn, như thể hiện tại Hình 47 a).
he= Chiều dài, m (ft), của mã mút của sống dọc mạn được xét như thể hiện tại Hình 47 a).
Để tính F1, he lấy bằng chiều dài của mã mút tại đầu của nhịp
của sống dọc mạn, như thể hiện tại Hình 47 a).
Để tính F2, he lấy bằng chiều dài của mã mút tại đầu của nhịp
của sống dọc mạn, như thể hiện tại Hình 47 a).
fs = ứng suất cắt cho phép, N/cm2 (kgf/cm2, lbf/in2).
= 0,45Smfy
Sm và fy được xác định tại 7.4.4.2.2.
và sđược xác định tại 7.6.2.3.2a) ở trên.
7.6.2.3.4 Chiều cao của sườn và sống dọc
Chiều cao của sườn mạn và sống dọc mạn, dw, không được nhỏ hơn giá trị tính theo các công thức dưới đây và đồng thời không được nhỏ hơn 2,5 lần chiều cao của các lỗ khoét cho các cơ cấu xuyên qua một cách tương ứng:
a) Tôn bao có hệ nẹp dọc
(1) Đối với sườn mạn:
i) Nếu có sống dọc mạn giữa các sàn (mặtphẳng)
dw = (0,08 + 0,80α)
đối với α ≤ 0,05
= (0,116 + 0,080α)
đối với α > 0,05
Và không cần lớn hơn ![]()
ii) Nếu không có sống dọc mạn giữa các sàn (mặt phẳng), dw không được nhỏ hơn
hoặc 0,06D, lấy theo giá trị lớn hơn.
(2) Đối với sống dọc mạn:
dw = (0,42 + 0,9α)s đối với α≤ 0,2
= (0,244 + 0,0207α)
đối với α > 0,2
α không được lấy lớn hơn 8,0 để xác định chiều cao của sống dọc mạn.
và α được xác định theo 7.6.2.3.2a) ở trên.
D được xác định tại 1.2.24 của TCVN 6259-1A.
b) Tôn bao mạn có hệ nẹp ngang
(1) Đối với sống dọc mạn
i) Nếu có sườn mạn giữa các vách ngang:
dw = (0,08 + 0,08α1)
đối với α1≤ 0,05
dw = (0,116 + 0,084α1)
đối với α1 > 0,05
Và không cần lớn hơn
ii) Nếu không có sườn mạn giữa các vách ngang:
dw = ![]()
(2) Đối với sườn mạn:
dw = (0,277 - 0,385α1)
đối với α1≤ 0,2
dw = (0,204 + 0,205α1)
đối với α1 < 0,05
α1 không được lớn hơn 7,5 để xác định chiều cao của sườn mạn,
Với:
α1 = 1/α
và α được xác định tại 7.6.2.3.2a) ở trên.
7.6.2.3.5 Chiều dày của sườn mạn và sống dọc mạn
Chiều dày tinh của sườn và sống dọc mạn không được nhỏ hơn 9,5 mm (0,374 in.).


Hình 47 - Xác định các nhịp
7.6.3 Vùng chuyển tiếp
Trong vùng chuyển tiếp giữa mũi và két hàng số 1 cần phải có sự xem xét thỏa đáng cho việc làm thon kích thước của các cơ cấu dọc chinh trong phạm vi vùng mũi như các mặt sàn, boong, khung bao nằm hoặc các sống dọc mạn theo hướng về phía đuôi đi vào khoang hàng. Nếu kết cấu như vậy thẳng hàng với các cơ cấu dọc phía sau của vách ngăn phía mũicủa khoang hàng, điều này có thể được thực hiện bằng cách lắp mã vát lớn. Các mã này phải có độ vát 4:1.
7.6.4 Gia cường phần thân phía mũi để chịu va đập sóng
Nếu kết cấu thân chịu va đập sóng như nêu tại 7.3.9, các gia cường thích hợp sẽ được yêu cầu như dưới đây. Đối với gia cường để chịu sóng vỗ đáy, các yêu cầu của mục nhỏ này áp dụng đối với các kho chứa nổi có chiều chìm dằn nặng mũi nhỏ hơn 0,04L.
7.6.4.1 Sóng vỗ đáy
7.6.4.1.1 Tôn đáy
Khi sóng vỗ đáy như nêu tại 7.3.9 được xem xét, kết cấu đáy trong vùng đáy phẳng phía trước 0,25L tính từ FP phải phù hợp với yêu cầu sau đây.
Chiều dày tinh của tôn đáy phẳng phía trước 0,25L tính từ FP phải không được nhỏ hơn t tính theo công thức sau:
mm (in.)
Với:
s= Khoảng cách của các nẹp ngang hoặc dọc, mm (in.)
k2= 0,5k2 Đối với tấm được nẹp dọc
k3= 0,74
k= (3,075α1/2-2,077)/(α + 0,272) Đối với 1 ≤ α ≤ 2
= 1,0 Đối với α >2
α Tỷ lệ kích thước của tấm (cạnh dài/cạnh ngắn)
ps= Áp lực sóng vỗ thiết kế = kupsi
Để xác định t, áp lực ps được lấy tại tâm của mảng tấm được đỡ.
psi = Áp lực sóng vỗ đáy danh nghĩa, như nêu tại 7.3.9.2.2, N/cm2 (kgf/cm2, lbf/in2)
ku = Hệ số tải trọng sóng vỗ = 1,1
Áp lực sóng vỗ đáy danh nghĩa cực đại dọc theo kho chứa nổi phải được áp dụng cho tôn đáygiữa giới hạn xa nhất về phía mũi của đáy phẳng và 0,125L tính từ FP. Áp lực ngoài vùng này có thể được giảm dần dần tới vị trí dọc thân mà tại đó áp lực sóng vỗ danh nghĩa được tính toán là bằng không.
f = ứng suất uốn cho phép, N/cm2 (kgf/cm2, lbf/in2)
= 0,85Smfy
Sm và fy được xác định tại 7.4.4.2.2.
7.6.4.1.2 Các nẹp và dầm dọc đáy
Mô đun chống uốn của nẹp bao gồm cả tôn kèm trên đáy phẳng phía mũi 0,25L tính từ FP không được nhỏ hơn giá trị tính theo công thức sau:
SM = M/fb cm3 (in3)
N-cm (kgf-cm, lbf-in.)
Với:
k = 16(16; 111,1)
ps = Áp lực sóng vỗ thiết kế = kupsi
Để xác định M, áp lực ps được lấy tại trung điểm của nhịp
.
psi = Áp lực sóng vỗ đáy danh nghĩa, như nêu tại 7.3.9.2.2, N/cm2 (kgf/cm2, lbf/in2)
ku = Hệ số tải trọng sóng vỗ = 1,1
Áp lực sóng vỗ đáy danh nghĩa cực đại dọc theo kho chứa nổi phải được áp dụng cho các nẹpđáy giữa giới hạn xa nhất về phía mũi của đáy phẳng và 0,125L tính từ FP. Áp lực ngoài vùng này có thể được giảm dần dần tới vị trí dọc thân mà tại đó áp lực sóng vỗ danh nghĩa được tính toán là bằng không.
s = Khoảng cách giữa các nẹp ngang hoặc dọc, mm (in.)
= Nhịp không được đỡ của nẹp, m (ft)
fb = 0,9Smfy Đối với các nẹp dọc và ngang trong vùng phía mũi 0,125L tính từ FP
= 0,8Smfy Đối với các nẹp dọc trong vùng giữa 0,125L và 0,25L tính từ FP
Chiều rộng tôn kèm, be, được xác định tại 7.4.4.3.
Không được có các thanh giằng liên các dầm dọc của đáy và đáy trong.
7.6.4.1.3 Đà ngang đáy
a) Bố trí và kích thước của các đà ngang phải đủ để chịu các tải trọng sóng vỗ đáy, như được nêu tại 7.3.9.
b) Khoảng cách giữa các đà ngang phía mũi so với giữa tàu không cần nhỏ hơn khoảng cách đó ở giữa tàu.
7.6.4.2 Sóng vỗ mũi loe
Khi sóng vỗ mũi loe như nêu tại 7.3.9.3 được xem xét, kết cấu tôn bao mạn phía trên đường nước trong vùng giữa 0,0125L và 0,25L từ FP phải phù hợp với các yêu cầu dưới đây:
a) Tôn bao mạn
Chiều dày tinh của tôn bao mạn giữa 0,0125L và 0,25L tính từ FP không được nhỏ hơn t1 hoặc t2, lấy giá trị lớn hơn, được tính theo các công thức sau:
mm (in.)
mm (in.)
Với:
ps = Áp lực sóng vỗ thiết kế = kupsi
pij = Áp lực sóng vỗ mũi loe danh nghĩa, như nêu tại 7.3.9.3.2, tại tâm của mảng tấm được đỡ được xét, N/cm2 (kgf/cm2, lbf/in2)
ku = Hệ số tải trọng sóng vỗ = 1,1
| f1 | = 0,85Smfy | Đối với các nẹp dọc và ngang trong vùng phía mũi 0,125L tính từ FP, N/cm2 (kgf/cm2, lbf/in2) |
|
| = 0,75Smfy | Đối với các nẹp dọc trong vùng giữa 0,125L và 0,25L tính từ FP, N/cm2 (kgf/cm2, lbf/in2) |
| f2 | = 0,85Smfy ,N/cm2 (kgf/cm2, lbf/in2) | |
| k1 | = 0,342 | Đối với tấm được nẹp dọc |
|
| = 0,5 k2 | Đối với tôn được nẹp ngang |
| k2 | 0,5 | Đối với tấm được nẹp dọc |
|
| = 0,342 | Đối với tôn được nẹp ngang |
s,Sm,fy và k được xác định tại 7.6.4.1.1.
b) Dầm dọc và nẹp mạn
Mô đun chống uốn của nẹp, bao gồm tôn kèm liên quan, không được nhỏ hơn giá trị tính theo công thức sau:
SM = M/fb cm3 (in3)
N-cm (kgf-cm, lbf-in.)
Với:
k = 16(16; 111,1)
= Nhịp không được đỡ của nẹp, m (ft)
ps = Áp lực sóng vỗ cực đại, N/cm2 (kgf/cm2, lbf/in2), như xác định tại 7.6.4.1.1 tại trung điểm của nhịp ![]()
s và fb được xác định tại 7.6.4.1.
Chiều rộng hiệu dụng của tôn, be, được xác định tại 7.4.4.3.
c) Sườn mạn và sống dọc mạn
Đối với vùng giữa 0,0125L và 0,25L tính từ FP, các yêu cầu về mô đun chống uốn tinh và tiết diện tinh đối với các sườn mạn và dầm dọc mạn tại 7.6.2.3 phải thỏa mãn với áp lực sóng vỗ mũi loe nêu tại7.3 9.3.2 và với ứng suất uốn cho phép fb = 0,64Smfy và ứng suất cắt cho phép fs = 0,38Smfy.
7.6.5 Kết cấu boong tại phần thân trước
7.6.5.1 Tôn boong
Ngoài các yêu cầu nêu tại các mục liên quan khác, tôn boong, dầm dọc và xà ngang phía trước 0,25L tính từ FP phải thỏa mãn các yêu cầu đối với các tải trọng nước trên boong như sau:
mm (in.)
mm (in.)
mm (in.), đối với boong chính trong phạm vi 0,1L từ FP
Với:
s = Khoảng cách giữa các dầm dọc boong, mm (ft)
k1= 0,342
k2 = 0,50
p = pgi, N/cm2 (kgf/cm2, lbf/in2)
pgi là tải trọng nước trên boong danh nghĩa được nêu tại 7.3.9.4.
Chiều dày yêu cầu, t3, giữa 0,30L và 0,1L tính từ FP phải được lấy theo nội suy tuyến tính giữa chiều dày tôn boong vùng giữa tàu (7.4.5.3) và giá trị t3 như ở trên.
Chiều dày tinh, t3, có thể được xác định dựa theo Sm và fy của vật liệu tinh bền dầm tương đương thân yêu cầu tại vị trí được xét.
| f1 | = 0,50Smfy, N/cm2 (kgf/cm2, lbf/in2) | Đối với boong chính trong phạm vi 0,1L từ FP. |
| f1 | = 0,60Smfy, N/cm2 (kgf/cm2, lbf/in2) | Đối với boong thượng tầng mũi |
| f2 | = 0,805Smfy, N/cm2 (kgf/cm2, lbf/in2) |
|
Ứng suất cho phép, f1, đối với boong chính giữa 0,25L và 0,1L tính từ Fp phải được tính bằng nội suy tuyến tính giữa ứng suất cho phép vùng giữa cầu (7.4.5.3) và ứng suất cho phép tại 0,1L tính từ FP, như nêu ở trên.
Sm,fy và E được xác định tại 7.4.4.2.2.
7.6.5.2 Dầm dọc và xà ngang boong
Mô đun chống uốn tinh của mỗi dầm dọc boong hoặc mạn riêng rẽ, cùng với tôn kèm, không được nhỏ hơn giá trị tính theo công thức sau:
SM = M/fb cm3 (in3)
N-cm (kgf-cm, lbf-in.)
Với:
k = 12(12; 83,33)
p = pgi, N/cm2 (kgf/cm2, lbf/in2)
pgi là tải trọng nước trên boong danh nghĩa được nêu tại 7.3.9.4.
fb = 0,70Smfy, N/cm2 (kgf/cm2, lbf/in2) Đối với các dầm dọc boong chính
= 0,80Smfy, N/cm2 (kgf/cm2, lbf/in2) Đối với các xà ngang boong
Sm,fy, s và
được xác định tại 7.4.4.3.
7.7 Thiết kế và phân tích của các đặc điểm kết cấu khác của thân
7.7.1 Tổng quát
7.7.1.1 Các chỉ tiêu thiết kế và phân tích cần áp dụng cho các tính năng thích hợp khác của kết cấu thân phải tuân theo Tiêu chuẩn này hoặc tài liệu khác được chấp nhận. Đối với nhiều kho chứa nổi chứa khí hóa lỏng, thiết kế thân sẽ cần xem xét liên kết giữa hệ thống neo định vị và liên kết các mô đun thiết bị liền boong (hoặc phía trên boong) và kết cấu thân. Kết cấu liên kết được xác định là vùng gắn vào của truyền tải trọng giữa kết cấu chính của thân và thiết bị liền thân, như các bệ mô đun thượng tầng, trụ cẩu và các bệ, ban công ống đứng, đế cần đuốc, bệ cổng trục, thiết bị neo và xuất nhập hàng... Vùng này bao gồm các sườn ngang khỏe, các dầm dọc boong và các phần phía trên của kết các vách ngang và dọc, cũng như các bệ của thiết bị liền thân. Các thành phần này của kết cấu liên kết phải phù hợp với chỉ tiêu nêu tại 7.7.5.
7.7.1.2 Các kích thước cơ bản của kết cấu liên kết của thân phải được thiết kế dựa theo nguyên tắc tiếp cận đầu tiên và thỏa mãn các yêu cầu của 7.1 củaTCVN 12823-2:2020, và các tiêu chuẩn quốc gia hoặc tiêu chuẩn theo thông lệ quốc tế khác có thể áp dụng được đối với đánh giá độ bền ổn định và độ bền tới hạn cho kết cấu công trình biển và đối với đánh giá mỏi kết cấu công trình biển, hoặc các tiêu chuẩn quốc gia hoặc quốc tế tương đương được công nhận, như các tiêu chuẩn của API. Thiết kế hàn của các kết cấu liên kết thân phải được phát triển dựa theo 7.6 của TCVN 12823-2:2020 hoặc một phương pháp tính toán trực tiếp. Cấp vật liệu đối với kết cấu liên kết phía trên boong phải được lựa chọn theo mục6củaTCVN 12823-2:2020. Cấp vật liệu đối với các thành phần kết cấu thân, như các kết cấu boong và sườn, phải được lựa chọn theo của TCVN 6259-2A.
7.7.1.3 Tiêu chí áp dụng được đối với kết cấu neo định vị (chẳng hạn như neo tháp) được nêu tại 6.4 của TCVN 6474, và kết cấu mô đun hoặc thiết bị phía trên (hoặc trên mặt) boong được viện dẫn tới5.1.1.5 của TCVN 6474.
7.7.1.4 Việc kiểm tra kết cấu liên kết thân xác định ở trên phải được thực hiện bằng tính toán trực tiếp của các mô hình phần tử hữu hạn liên kết thân ba chiều được phát triển bằng cách sử dụng các kích thước tổng và được phân tích với các điều kiện tải trọng và các trường hợp tải trọng được mô tả tại các mục dưới đây.
7.7.2 Liên kết chuyển tiếp thân của hệ thống neo định vị
7.7.2.1 Phân tích mô hình
Cần thực hiện phân tích mô hình phần tử hữu hạn của liên kết chuyển tiếp giữa hệ thống neo định vị và kết cấu thân.
7.1.2.2 Hệ thống neo kiểu SPM hoặc Neo tháp nằm ngoài thân
Nếu hệ thống neo là kiểu neo tháp hoặc SPM nằm ngoài thân thì áp dụng các yêu cầu sau đây:
a) Neo mũi
Phạm vi tối thiểu của mô hình là từ mút mũi của kho chứa nổi, bao gồm kết cấu của neo tháp và liên kết của nó với thân kho chứa nổi, tới mặt phẳng ngang phía sau đầu mút đuôi của két hàng xa nhất phía mũi. Mô hình có thể được coi là cố định tại đầu mút đuôi của mô hình. Các tải trọng được mô hình hóa phải tương ứng với các tải trọng két bất lợi nhất, tải trọng đi biển như được xác định cho cả điều kiện di chuyển và điều kiện môi trường thiết kế tại vị trí hoạt động (DEC), các tải trọng kết cấu phụ trợ, và các tải trọng ống đứng và neo buộc đối với điều kiện tại vị trí hoạt động, nếu áp dụng được. Điều kiện hoạt động thiết kế (DOC) có thể cũng cần phải được xem xét cho các điều kiện có thể ảnh hưởng.
b) Neo đuôi
Phạm vi tối thiểu của mô hình là từ mút đuôi của kho chứa nổi, bao gồm kết cấu của neo tháp và liên kết của nó với thân kho chứa nổi, tới mặt phẳng ngang phía trước của đầu mút mũi của két hàng xa nhất phía đuôi. Mô hình có thể được coi là cố định tại đầu mút mũi của mô hình. Các tải trọng đượcmô hình hóa phải tương ứng với các tải trọng két bất lợi nhất, tải trọng đi biển như được xác định cho cả điều kiện di chuyển và điều kiện môi trường thiết kế tại vị trí hoạt động (DEC), các tải trọng kết cấu phụ trợ, và các tải trọng ống đứng và neo buộc đối với điều kiện tại vị trí hoạt động, nếu áp dụng được.
7.7.2.3 Hệ thống neo trong thân (neo tháp)
7.7.2.3.1 Nếu bố trí neo là kiểu neo trong thân (neo tháp), áp dụng các yêu cầu dưới đây.
a) Neo mũi
Phạm vi tối thiểu của mô hình là từ mút mũi của kho chứa nổi tới đầu mút đuôi của két hàng hoặc khoang hàng phía sau của khoang két có chứa neo tháp. Mô hình có thể được coi là cố định tại đầu mút đuôi của mô hình. Các tải trọng được mô hình hóa phải tương ứng với các tải trọng két bất lợi nhất, tải trọng đi biển như được xác định cho cả điều kiện di chuyển và điều kiện môi trường thiết kế tại vị trí hoạt động (DEC), các tải trọng kết cấu phụ trợ, và các tải trọng ống đứng và neo buộc đối với điều kiện tại vị trí hoạt động, nếu áp dụng được. Điều kiện hoạt động thiết kế (DOC) có thể cũng cần phải được xem xét cho các điều kiện có thể ảnh hưởng.
b) Neo tháp giữa thân
Mô hình có thể là mô hình 3 két tương tự với mô hình mô tả tại 7.5.5.2 nếu neo tháp nằm tại két giữa của mô hình. Các tải trọng của dầm tương đương phải được áp dụng cho các đầu mút của mô hình. Các tải trọng được mô hình hóa phải tương ứng với các tải trọng két bất lợi nhất, tải trọng đi biển như được xác định cho cả điều kiện di chuyển và điều kiện môi trường thiết kế tại vị trí hoạt động (DEC), các tải trọng kết cấu phụ trợ, và các tải trọng ống đứng và neo buộc đối với điều kiện tại vị trí hoạt động, nếu áp dụng được. Điều kiện hoạt động thiết kế (DOC) có thể cũng cần phải được xem xét cho các điều kiện có thể ảnh hưởng.
7.7.2.3.2 Tối tiểu hai mẫu tải trọng hàng sau đây dẫn đến các hiệu ứng tải trọng xấu nhất trên kết cấu thân phải được xem xét:
(1) Áp lực bên trong cực đại đối với các két được điền đầy liền kề với khoang có chứa neo tháp, với các két khác trống rỗng và áp áp lực bên ngoài nhỏ nhất, nếu áp dụng được. (XemHình 48);
(2)
(3) Các két trống rỗng liền kề với khoang chứa neo tháp, với các két khác điền đầy và áp lực bên ngoài cực đại, nếu áp dụng được. (Hình 49).
7.7.2.3.3 Kết cấu liên kết phải được đánh giá về độ bền chảy, bền ổn định và mỏi, và phải bao gồm tất cả các thành phần kết cấu và các liên kết quan trọng trong phạm vi khoang chứa neo tháp cũng như các biên của khoang và các phần kèm theo của chúng.

Hình 48 - Mẫu tải trọng 1 với 2/3 chiều chìm tính toán

Hình 49 - Mẫu tải trọng 2 với chiều chìm tính toán
7.7.2.4 Hệ thống neo chùm
Kết cấu bệ cục bộ và kết cấu thân phải được kiểm tra đối với các tải trọng neo cụ thể và các tải trọng kết cấu thân, nếu áp dụng được, sử dụng phân tích mô hình phần tử hữu hạn thích hợp, Các tải trọng neo sử dụng trong phân tích phải dựa trên điều kiện môi trường thiết kế tại vị trí hoạt động (DEC) đối với kết cấu thân, và các tải trọng neo cho điều kiện môi trường thiết kế tại vị trí hoạt động và độ bền của các đường neo. Điều kiện hoạt động thiết kế (DOC) cũng có thể cần được xem xét cho các điều kiện có thể ảnh hưởng.
7.7.3 Kết cấu tiếp giáp của thiết bị liền thân
7.7.3.1 Đế đỡ mô đun thượng tầng và kết cấu phía dưới boong
Các đế đỡ mô đun thượng tầng và các kết cấu thân phía dưới boong tại các đế đỡ mô đun, như các dầm ngang boong khỏe, dầm dọc boong, các vách dọc và vách ngang, phải được đánh giá theo các tổ hợp tải trọng bất lợi nhát của phản tải các bệ thượng tầng và các tải trọng kết cấu thân, nếu áp dụng được, sử dụng một phân tích mô hình phần tử hữu hạn thích hợp. Các tổ hợp tải trọng của phản tải bệ thượng tầng và các tải trọng kết cấu thân phải nhất quán với các tổ hợp tải trọng được giả định trong phân tích mô đun (tham chiếu tới 7.7.6.1). Phạm vi mô hình phần tử hữu hạn (FEM) phải đủ rọng để giảm thiểu các hiệu ứng biên bị cắt. Các lỗ khoét trong các vùng quan trọng phải được đưa vào mô hình FEM để xác minh các ảnh hưởng của chúng. Các tải trọng cho điều kiện hoạt động thiết kế tại vị trí (DOC), điều kiện môi trường thiết kế tại vị trí (DEC) và điều kiện di chuyển phải được tính đến. Các hệ thống sản xuất và phụ trợ trên thượng tầng phải trống rỗng trang điều kiện di chuyển. Cần lưu ý đặc biệt tới các chỗ cắt khoét trên các dầm khỏe ngang boong gần các đế mô đun thượng tầng. Phân tích độ bền cho chỗ cắt khoét điển hình với các phản tải đế thượng tầng cực đại sử dụng một mẫu FEM lưới mịn cục bộ phải được thực hiện và trình nộp để xem xét.
7.7.3.2 Các kết cấu đế thiết bị khác liền thân kho chứa nổi
Các đế thiết bị liền thân khác, như các đế và bệ cẩu, các ban công ống đứng, để cần đuốc, đế cổng trục, bệ thiết bị xuất nhập hàng..., và kết cấu thân kho chứa nổi tại khu vực các đế đó phải được kiểm tra theo các tải trọng chức năng xác định, tải trọng môi trường và tải trọng kết cấu thân, nếu áp dụng được, sử dụng một phân tích FEM thích hợp. Giới hạn mô hình phần tử hữu hạn phải đủ rộng để giảm thiểu các ảnh hưởng của biên bị cắt. Các lỗ khoét trong các vùng quan trọng phải được đưa vào mô hình FEM. Các tải trọng cho điều kiện hoạt động thiết kế tại vị trí (DOC), điều kiện môi trường thiết kế tại vị trí (DEC) và điều kiện di chuyển phải được đưa vào xem xét trong phân tích. Tất cả thiết bị phải được xếp gọn cho điều kiện di chuyển.
7.7.4 Tải trọng
7.7.4.1 Các điều kiện tải trọng
7.7.4.1.1 Khái quát
Đối với tất cả các điều kiện, các hiệu ứng tải trọng chính dầm tương đương phải được xem xét, nếu áp dụng được.
7.7.4.1.2 Điều kiện môi trường thiết kế tại nơi hoạt động (DEC)
a) Đối với kho chứa nổi không thể ngắt kết nối:
• DEC tại nơi hoạt động với chu kỳ lắp thiết kế thân, và các tải trọng bản thân và tải trọng thay đổi vận hành trong bão nghiêm trọng, theo khả năng áp dụng được, với mức tăng 1/3 ứng suất cho phép (tức là 0,8fy).
b)Đối với kho chứa nổi có thể ngắt kết nối được:
•Điều kiện môi trường có thể ngắt kết nối tại nơi hoạt động (DISEC), các tải trọng chu kỳ lặp được chủ công trình chỉ định (Xem 6.1), và các tải trọng thay đổi, tải trọng bản thân và tải trọng vận hành trong điều kiện bão nghiêm trọng (tức là bao gồm cả xoáy thuận nhiệt đới), nếu áp dụng được, với mức tăng 1/3 ứng suất cho phép (tức là 0,8fy).
c)Đối với cá điều kiện tải trọng DEC và DISEC, áp dụng các giả định sau đây:
(1) Các mô đun thiết bị sản xuất thượng tầng ở điều kiện ướt đối với tất cả các điều kiện tại vị trí hoạt động và ở điều kiện khô đối với hoạt động không hạn chế và điều kiện di chuyển;
(2) Các cần cẩu được xếp gọn gàng;
(3) Các tải trọng neo buộc trong điều kiện tải trọng thân khắc nghiệt nhất được xác định từ phân tích tải trọng neo tại vị trí hoạt động đối với các điều kiện sau:
i) Tất cả các đường neo nguyên vẹn;
ii) Một đường neo vị hư hỏng;
iii) Đối với mỗi đường neo riêng rẽ và các lỗ luồn xích, phanh, chặn xích và các chi tiết liên quan, độ bền phải được đánh giá theo độ bền đứt của đường neo với Hệ số sử dụng UF=0,8 đối với ứng suất thành phần, 0,9 đối với ứng suất phần tử Von Mises và 0,8 đối với ứng suất mất ổn định, trong trường hợp không có các tải trọng neo nêu ở hai điều kiện trên.
Chú thích:Các yêu cầu phân tích phần tử hữu hạn đối với liên kết tiếp giáp của hệ neo và thân kho chứa nổi nêu tại 7.7.2 phải được thỏa mãn. Bổ sung đối với neo tháp trong thân, các tính toán độ bền dọc (tức là độ bền cắt và độ bền uốn dọc dầm tương đương và kiểm tra bền ổn định theo IACS (UR S11.5), theo 7.4.2 của Tiêu chuẩn này và Chương 13 của TCVN 6259-2A, cho tiết diện dầm tương đương tại khu vực neo tháp trong thân), đối với tất cả các điều kiện có thể áp dụng.
7.7.4.1.3 Điều kiện thiết kế tại vị trí hoạt động (DOC)
DOC tại vị trí với các tải trọng thay đổi vận hành cực đại theo hoạt động tại vị trí không tính mức tăng 1/3 ứng suất cho phép (tức 0,8fy). Xem xét đặc biệt phải được thực hiện đối với:
(1) Điều kiện môi trường giới hạn, được đưa ra bởi nhà thiết kế hoặc vận hành, mà có thể yêu cầu dừng hoạt động bình thường, phải tối thiểu là chu kỳ lặp 1 năm như theo Tiêu chuẩn này;
(2) Các đế đỡ trên boong cho các mô đun thiết bị sản xuất thượng tầng phải trong điều kiện ướt;
(3) Các tải trọng vận hành cần cẩu theo API RP 2A và API Spec 2C Practices;
(4) Liên kết tiếp giáp thân của hệ neo định vị.
7.7.4.1.4 Điều kiện di chuyển
Đối với di chuyển (thiết bị sản xuất thượng tầng ở điều kiện khô), trách nhiệm của cơ sở chế tạo và/hoặc nhà thiết kế là phải chỉ ra các thông số thiết kế cho điều kiện di chuyển. Nhìn chung có bốn các tiếp cận:
(1) Điều kiện thời tiết cực đại theo mùa của tuyến di chuyển được chỉ rõ;
(2) Phản ứng chu kỳ lặp 10 năm cực đại dựa trên các điều kiện môi trường xấu nhất và sơ đồ phân tán sóng liên quan dọc theo tuyến di chuyển;
(3) Phản ứng chu kỳ lặp 10 năm cực đại dựa trên sơ đồ phân tán sóng phức hợp.
7.7.4.1.5 Điều kiện hư hỏng
Các điều kiện tai nạn (nếu có) chỉ có trọng tải tĩnh và các tải trọng chức năng, tối thiểu cho DOC chu kỳ lặp 1 năm gây ra bởi ngập nước do tai nạn.
7.7.4.2 Các trường hợp tải trọng quán tính
a) Các giá trị DLP (Thông số tải trọng chủ yếu) có thể được tính toán bằng cách sử dụng phần mềm được chấp nhận hoặc sử dụng các tính toán thủy động học/khả năng chịu biển trực tiếp sử dụng chương trình bức xạ nhiễu xạ ba chiều. Các giá trị DLP phải được lựa chọn cho phản ứng kết cấu bất lợi nhất. Các gia tốc cực đại phải được tính toán tại trọng tâm của các mô đun thiết bị sản xuất thượng tầng xa nhất về phía mũi và đuôi và ở giữa thân. Các trường hợp tải trọng phải được lựa chọn để tối đa hóa từng thông số DLP sau đây cùng với các giá trị DLP liên quan khác:
(1) Mô men uốn đứng cực đại;
(2) Lực cắt cực đại;
(3) Gia tốc đứng cực đại;
(4) Gia tốc bên cực đại;
(5) Nghiêng ngang cực đại.
b) Ngoài ra, số lượng trường hợp tải trọng có thể được giảm xuống bằng cách giả thiết rằng tất cả các giá DLP cực đại xảy ra đồng thời, lấy theo trường hợp nào thận trọng hơn.
7.7.4.3 Các trường hợp tải trọng dầm tương đương
Tối thiểu, hai trường hợp tải trọng dầm tương đương sau đây phải được phân tích:
(1) Mô men uốn võng cực đại dầm tương đương (thông thường là trường hợp đầy tải);
(2) Mô men uốn vồng cực đại dầm tương đương (thông thường là điều kiện dằn, kiểm tra két hoặc chất tải một phần).
7.7.5 Chỉ tiêu chấp nhận
7.7.5.1 Kiểm tra chảy dẻo
7.7.5.1.1 Đối với các tải trọng DEC chu kỳ lặp 100 năm, chu kỳ lặp 10 năm cho di chuyển và hoặc tải trọng Bắc Đại Tây Dương.
i) Đối với phân tích phần tử hữu hạn cho phần tử có kích thước bằng một lần khoảng cách nẹp:
fe (Von Mises) < 0,9fy các ứng suất màng của tấm tại tâm của phần tử;
f1x(ứng suất dọc trục) < 0,8fy các phần tử dầm định hình hoặc thanh dẹt;
fxy (cắt) < 0,53fy
ii) Ảnh hưởng của các rãnh, tăng cao ứng suất và tập trung ứng suất cục bộ phải được tính đến khi xem xét các chi tiết chịu tải. Nếu sự tập trung ứng suất được xét có cường độ cao trên các chi tiết cụ thể, mức ứng suất cho phép sẽ cần được xem xét đặc biệt. Hướng dẫn dưới đây có thể được sử dụng cho các trường hợp như vậy.
Đối với phân tích mô hình phần tử hữu hạn chi tiết cục bộ (vùng chịu ứng suất cao tập trung, kích thước phần tử là 50 x 50 mm. Không bao giờ kích thước phần tử tấm yêu cầu nhỏ hơn chiều dày tấm đó):
fe vùng nhỏ < 1,25Smfy
f1x ứng suất phần tử < 1,25Smfy
7.7.5.1.2 Đối với tải trọng DOC (Trọng tải + Các tải trọng chức năng cực đại), với các tải trọng chu kỳ lặp tối thiểu 1 năm.
i) Đối với phân tích phần tử hữu hạn kích thước phần tử bằng một lần khoảng cách nẹp:
fe < 0,7fy các ứng suất màng của tấm tại tâm của phần tử;
f1x< 0,6fy các phần tử dầm định hình hoặc thanh dẹt;
fxy < 0,4fy
Chú thích: Các trường hợp tải trọng này thường điều chỉnh cho các tải trọng môi trường ôn hòa.
ii) Đối với phân tích mô hình phần tử hữu hạn chi tiết cục bộ (vùng chịu ứng suất cao tập trung, kích thước phần tử lưới mịn nhỏ hơn 2 lần chiều dày tấm):
fe vùng nhỏ < 0,97Smfy
f1xứng suất phần tử < 0,97Smfy
7.7.5.1.3 Đối với điều kiện hư hỏng
Tương tự như trên đối với tối thiểu chu kỳ lặp bằng 1 năm, ngoại trừ sau đây, nếu áp dụng được:
i) Đối với phân tích phần tử hữu hạn kích thước phần tử bằng một lần khoảng cách nẹp:
fe < 0,9fy các ứng suất màng của tấm tại tâm của phần tử;
f1x < 0,8fy các phần tử dầm định hình hoặc thanh dẹt;
fxy < 0,53fy
ii) Đối với phân tích mô hình phần tử hữu hạn chi tiết cục bộ (vùng chịu ứng suất cao tập trung, kích thước phần tử lưới mịn nhỏ hơn 2 lần chiều dày tấm):
fe vùng nhỏ < 1,25Smfy
f1x ứng suất phầntử< 1,25Smfy
Với:
| Sm = 1,0 | Đối với thép thường |
| = 0,95 | Đối với thép A32, D32, E32, F32 |
| = 0,908 | Đối với thép A36, D36, E36, F36 |
| = 0875 | Đối với thép A40, D40, E40, F40 |
| Đối với các cấp vật liệu khác, các ứng suất cho phép sẽ được xem xét đặc biệt. | |
7.7.5.2 Kiểm tra bền ổn định
Các chỉ tiêu bền ổn định phải được sử dụng với các yêu cầu sau:
(1) Độ bền ổn định phải được tính toán theo kích thước tổng;
(2) Hệ số sử dụng, UF:
| • UF = 0,8 hoặc SF = 1,25 | • đối với DEC tại vị trí hoạt động, điều kiện di chuyểnvà/hoặc Bắc Đại Tây Dương; |
| • UF = 0,6 hoặc SF =1,67 | • đối với DOC tại vị trí hoạt động; |
| • UF = 0,8 hoặc SF =1,25 | • Đối với điều kiện tai nạn; |
| • UF được xác định theo từng trường hợp cho các điều kiện đặc biệt khác. | |
7.7.5.3 Tính toán mỏi
7.7.5.3.1 Khái quát
a) Tính toán tuổi thọ mỏi (tổn thương mỏi) phải được thực hiện theo tiêu chuẩn, hướng dẫn đượcchấp nhận, ví dụ như ABS Guide for Buckling and Ultimate Strength Assessment for OffshoreStructures. Tính toán mỏi phải được thực hiện cho tuổi thọ hoạt động thiết kế dự kiến của kho chứa nổi. Nếu các liên kết tiếp giáp bên ngoài chịu ảnh hưởng ngập nước, các đường cong S-N trong nước biển với Bảo vệ Catot (CP) hoặc Không ăn mòn (FC) phải được sử dụng, nếu có thể áp dụng được. Nếu sử dụng phương pháp tính toán mỏi đơn giản và thông số phân bố Weibull dài hạn không có sẵn cho liên kết tiếp giáp thân, khi đó một thông số Weibull phải được phát triển cho vị trí cụ thể được xét.
b) Các hệ số thiết kế mỏi đối với tuổi thọ mỏi cho các liên kết tiếp giáp thân phải phù hợp với Bảng 25 nêu dưới đây:
Bảng 25 - Hệ số thiết kế mỏi đối với tuổi thọ mỏi của kết cấu tiếp giáp thân
| Tầm quan trọng | Có thể kiểm tra và có thể sửa chữa | |
| Có | Không | |
| Không quan trọng | 2 | 5 |
| Quan trọng | 3 | 10 |
| Chú thích: “Quan trọng” có nghĩa là sự hư hỏng của các hạng mục kết cấu này gây ra sự mất tính toànvẹn kết cấu nhanh chóng và tạo ra một hậu quả không thể chấp nhận được. | ||
7.7.5.3.2 Liên kết tiếp giáp thân của hệ neo
a) Các thành phần kết cấu trong vùng kết cấu neo tháp hoặc các kết cấu neo khác phải được liên kết hiệu quả với kết cấu liền kề theo phương pháp sao cho tránh được các đốm cứng, các rãnh và các tập trung ứng suất gây hại khác.
b) Cần phải lưu ý đặc biệt tới các vết cắt khoét, các chân mã và các vị trí thay đổi thiết diện kết cấu đột ngột. Các vùng này phải được coi là quan trọng đối với kho chứa nổi và không được nứt. Sự ảnh hưởng của tăng ứng suất trong các vùng này phải được xác định và giảm thiểu.
c) Mô hình phần tử hữu hạn sử dụng để thực hiện phân tích bền liên kết neo tháp và thân kho chứa nổi cũng có thể được sử dụng để đánh giá mỏi sơ bộ của kết cấu liên kết neo tháp và thân kho chứa nổi nhằm xác định các chi tiết mỏi tới hạn sử dụng các đường cong loại F hoặc F2 và các hệ số an toàn thích hợp. Phân tích ứng suất tối ưu hóa phải được thực hiện cho các vùng quan trọng không thỏa mãn phân tích sơ bộ, và việc sử dụng phương pháp điểm nóng như nêu tại ABS Guidefor Buckling and Ultimate Strength Assessment for Offshore Structures được coi là chấp nhận được.
d) Các tải trọng lặp mỏi phải tương ứng với các tải trọng động bất lợi nhất của két, tải trọng từ biển, tải trọng quán tính do chuyển động của kho chứa nổi, và các tải trọng động ống đứng và hệ neo, nếu áp dụng được. Các hướng sóng khác nhau và các mẫu tải trọng két khác nhau phải được xem xét và tỷ lệ trên tổng thời gian cho mỗi hướng sóng cơ sở và mỗi mẫu tải trọng két có thể được sử dụng trực tiếp.
e) Sự khác nhau về tần số giữa phản ứng ứng suất tần số sóng và phản ứng ứng suất tần số thấp tạo ra bởi các đường neo và ống đứng phải được xem xét. Mặc dù phản ứng ứng suấttần số thấp có ảnh hưởng không đáng kể tới hầu hết các chi tiết kế cấu, nó lại trở nên quan trọng và có thể góp phần quan trọng vào tổn thương mỏi của các thành phần kết cấu trong hệ neo, ống đứng và liên kết tiếp giáp của chúng với thân kho chứa nổi. Khi các phản ứng suất tần số thấp và tần số sóng được tính toán riêng rẽ, phương pháp tổng hợp đơn giản tổn thương mỏi từ hai phản ứng ứng suất lặp không tính đến các hiệu ứng kép (tức là sự tăng lên của phản ứng tần số thấp bởi phản ứng tần số sóng là không thận trọng và do đó không được sử dụng).
f) Có một phương pháp khác thay thế, vừa thận trọng vừa dễ sử dụng, đó là phương pháp được biết đến là phương pháp phổ kết hợp. Trong phương pháp này, phổ ứng suất cho hai dải tần được kết hợp lại. Giá trị hiệu dụng và tần số tăng trung bình của chu trình ứng suất tổ hợp được nêu tương ứng như sau:

Với:
σw = Giá trị hiệu dụng của thành phần ứng suất tần số sóng
= Giá trị hiệu dụng của thành phần ứng suất tần số thấp
= Tấn số tăng trung bình của thành phần ứng suất tần số sóng
= Tấn số tăng trung bình của thành phần ứng suất tần số thấp
g) Tuy nhiên, nếu cả hai thành phần tần số của dải ứng suất là đáng kể, phương pháp kết hợp đề cập ở trên có thể là quá thận trọng do sự góp phần của tần số sóng được coi là chủ yếu, do đó cần kiểm soát tần số tăng trung bình của chu trình ứng suất kết hợp. Để loại bỏ sự quá thận trọng, một hệ số điều chỉnh nêu dưới đây có thể được áp dụng cho tổn thương mỏi tính toán của trạng thái biển:

Với:

m = Thông số nghiêng của đường cong S-N
= Hàm gamma hoàn chỉnh
7.7.5.3.3 Liên kết tiếp giáp của thiết bị liền thân
a) Quy trình đối với đánh giá mỏi của kết cấu liên kết neo tháp và thân kho chứa nổi cũng có thể được áp dụng cho liên kết tiếp giáp của thiết bị liền thân mà tại đó các tải trọng dầm tương đương gây ra do sóng, áp lực thủy động bên ngoài, và các tải trọng quán tính do chuyển động của kho chứa nổi cũng như các tải trọng mỏi thiết bị được tính toán phải được xét tới.
b) Sự lưu ý đặc biệt cần phải có đối với các chỗ cắt khoét trên các dầm ngang boong khỏe trong vùng đế mô đun thượng tầng. Nếu áp dụng được, đánh giá mỏi chi tiết cho chỗ cắt khoét điển hình với các phản lực động của đế thượng tầng phải được thực hiện.
7.7.6 Các mô đun trên boong
7.7.6.1 Tổng quát
a) Thiết kế độ bền kết cấu của các mô đun trên boong của kho chứa nổi chứa khí hóa lỏng phải phù hợp với 5.2.3.3.3.2 a) đến 5.2.3.3.3.2 d) và 5.2.3.3.3.2 f) của TCVN 6474, theo khả năng áp dụng được. Các biến dạng tương đối giữa các cơ cấu đỡ mô đun (tức là các đế) và độ cứng của các cơ cấu đỡ và boong, cũng như các biến dạng của thân kho chứa nổi, phải được bao gồm trong phân tích nếu như ảnh hưởng của chúng lên mô đun là đáng kể.
b) Kết cấu của các mô đun phía trên cơ cấu đỡ của chung phải được phân tích và thể hiện rõ ràng trên các bản về sao cho việc chế tạo các cơ cấu đỡ mô đun có thể được nhất quán với các giả định trong phân tích kết cấu. Các phản lực và các điều kiện thiết kế của mô đun phải được đánh giá theo các tổ hợp tải trọng bất lợi nhất của các phản lực đế thượng tầng và các tải trọng kết cấu thân. Các yêu cầu thiết kế cho các cơ cấu đỡ mô đun được nêu trong 5.1.1.3.1.8 củaTCVN 6474 và 7.7.4 của Tiêu chuẩn này.
c) Phân tích mỏi của các mô đun trên kho chứa nổi là không yêu cầu. Tuy nhiên, phân tích mỏi của các liên kết tiếp giáp mô đun thượng tầng với thân kho chứa nổi là bắt buộc (xem 7.7.5.3).
d) Các khía cạnh phòng chống cháy bằng kết cấu của thiết kế các mô đun trên boong, bao gồm bố trí trang thiết bị của khu vực sản xuất hydrocarbon, phải phù hợp với 7.4.10, TCVN 6474.
e) Thiết kế của hệ thống ống trên boong kho chứa nổi phải phù hợp với Mục 6 của TCVN 12823-3:2020 và các yêu cầu áp dụng được của TCVN 6474.
8 Kiểm tra
8.1 Kiểm tra trong chế tạo mới, lắp đặt, kết nối và chạy thử
8.1.1 Yêu cầu chung
8.1.1.1 Mục này áp dụng cho việc kiểm tra và thử trong quá trình chế tạo, lắp đặt và chạy thử kho chứa nổi chứa khí hóa lỏng trên biển. Các yêu cầu về hồ sơ để xem xét được nêu ở 5.5 của Tiêu chuẩn này. Nhà chế tạo phải lập một kế hoạch chất lượng chung nhấn mạnh các cuộc kiểm tra cần thiết và phạm vi của đơn vị giám sát.
8.1.1.2 Nếu áp dụng Chương trình kiểm soát kết cấu thân trong quá trình chế tạo thì phải tuân theo Phụ lục F của Tiêu chuẩn này.
8.1.2 Kiểm tra trong chế tạo mới
8.1.2.1 Yêu cầu chung
Trong quá trình chế tạo các bộ phận thiết bị cho kho chứa nổi, người giám sát phải có mặt ở cơ sở nhà cung cấp để chứng kiến việc chế tạo và/hoặc thử theo yêu cầu của Tiêu chuẩn này. Nhà cung cấp phải liên lạc với người giám sát để lên kế hoạch bố trí cần thiết. Nếu người giám sát hiện trường phát hiệnlý do để khuyến nghị sửa chữa hoặc kiểm tra bổ sung, thì thông báo sẽ được gửi ngay cho Chủ kho chứa nổi hoặc người đại diện để có hành động phù hợp.
8.1.2.2 Kiểm tra tại xưởng của nhà cung cấp
Các yêu cầu kiểm tra các bộ phận thiết bị và cụm thiết bị tại nhà cung cấp được nêu trong các tiêu chuẩn, bộ luật áp dụng. Mỗi nhà cung cấp cần phải có hệ thống chất lượng hiệu quả mà được người giám sát hiện trường xác nhận.
8.1.2.3 Chế tạo/lắp ghép kết cấu
8.1.2.3.1 Phải lập một chương trình kiểm soát chất lượng (QCP) tương thích với loại, kích thước và hoạt động dự định của kho chứa nổi. Các điểm chính cần thiết trong QCP, là cơ sở cho các cuộc kiểm tra sau này tại nhà máy chế tạo, phải được người giám sát hiện trường đồng ý. Tối thiểu, tất cả các hạng mục được liệt kê trong các mục áp dụng sau đây phải có trong QCP. Đơn vị giám sát sẽ xác minh rằng tất cả các thử nghiệm và kiểm tra được chỉ định trong QCP đều được thực hiện một cách thỏa đáng bởi người có thẩm quyền, và các cuộc kiểm tra của đơn vị giám sát phải được xem xét là bổ sung và không thay thế các cuộc kiểm tra cần được thực hiện bởi nhà chế tạo hoặc nhà vận hành.
8.1.2.3.2 Nhà chế tạo phải duy trì một hệ thống truy nguyên vật liệu thỏa mãn người giám sát hiện trường. Dữ liệu về nơi xuất xứ và các kết quả thử vật liệu phải được lưu và sẵn sàng cung cấp cho đơn vị giám sát theo yêu cầu.
8.1.2.3.3 Nếu thiết bị và các bộ phận được lắp ráp trong các phân đoạn hoặc mô đun, người giám sát phải kiểm tra sự phù hợp, các kết nối điện và đường ống, và phải chứng kiến các thử nghiệm cần thiết trên tổ hợp đã hoàn thiện theo hướng dẫn trong QCP và phù hợp với các bản vẽ và các yêu cầu của tiêu chuẩn. Tiến triển và tính phù hợp của kết cấu và mối nối của các mô đun/phân đoạn phải thỏa mãn người giám sát hiện trường. Tất cả các mối nối lắp ráp phải được kiểm tra bằng mắt, khả năng kín được chứng minh và kiểm tra không phá hủy (NDE) thỏa mãn người giám sát hiện trường.
8.1.2.3.4 Kiểm tra kết cấu thép
8.1.2.3.4.1 Chương trình kiểm soát chất lượng. Chương trình kiểm soát chất lượng cho chế tạo kho chứa nổi bằng thép bao gồm các hạng mục sau, nếu có:
a) Nguồn gốc và chất lượng vật liệu;
b) Gia công định hình thép;
c) Các báo cáo và chứng nhận thợ hàn;
d) Đặc tính kỹ thuật và chứng nhận quy trình hàn;
e) Kiểm tra mối hàn;
f) Dung sai lắp ghép và thử nghiệm khoang;
g) Các hệ thống kiểm soát ăn mòn;
h) Các quy trình thử thủy lực và thử kín;
i) Kiểm tra không phá hủy;
j) Lắp đặt các kết cấu chính.
Các hạng mục phải được xem xét theo từngchủ đề nêu ở trên được liệt kê ở 8.12.3.4.2 đến 8.1.2.3.4.10 dưới đây.
8.1.2.3.4.2 Nguồn gốc và chất lượng vật liệu
Đặc tính của vật liệu phải thỏa mãn TCVN 6259-7 và TCVN 12823-5. Giấy chứng nhận của nhà chế tạo phải được cung cấp cùng với vật liệu. Việc xác minh chất lượng vật liệu được thực hiện bởi người giám sát hiện trường tại nhà máy của nhà chế tạo, thỏa mãn tiêu chuẩn áp dụng. Một cách thay thế, vật liệu được chế tạo theo các tiêu chuẩn được công nhận khác có thể được chấp nhận thay thế chocác yêu cầu cho thép ở trên với điều kiện việc thay thế vật liệu này phải được chấp thuận. Vật liệu sử dụng phải phù hợp với vật liệu nêu trong thiết kế và tất cả vật liệu cần thiết cho mục đích phân cấp phải được thử dưới sự chứng kiến của người giám sát. Nhà chế tạo phải duy trì hệ thống truy xuất nguồn gốc vật liệu cho tất cả các kết cấu chính và các kết cấu áp dụng đặc biệt.
8.1.2.3.4.3 Gia công định hình thép
Khi gia công làm cho các đặc tính của tôn cơ bản thay đổi vượt quá giới hạn cho phép, phải thực hiện xử lý nhiệt phù hợp để thiết lập lại các đặc tính cần thiết. Trừ khi được chấp thuận khác, các giới hạn được chấp nhận của các đặc tính thiết lập lại phải đáp ứng mức tối thiểu được xác định cho vật liệu ban đầu trước khi gia công. Đơn vị giám sát sẽ kiểm tra các bộ phận được gia công về sự phù hợp của chúng với dung sai kích thước định hình theo yêu cầu của thiết kế.
8.1.2.3.4.4 Báo cáo và chứng nhận thợ hàn
Các thợ hàn phải được chứng nhận thỏa mãn các cuộc kiểm tra trình độ thợ hàn nêu trong bộ luật được công nhận hoặc, nếu áp dụng, theo TCVN 6259-6 và TCVN 12823-5 về hàn và vật liệu để thỏa mãn người giám sát hiện trường. Các giấy chứng nhận đánh giá phải được chuẩn bị để lưu lại bằng chứng về trình độ chuyên môn của từng thợ hàn được chứng nhận theo bộ luật/tiêu chuẩn được công nhận, và các giấy chứng nhận này phải luôn có sẵn khi người giám sát yêu cầu. Trong trường hợp các thợ hàn đã được chứng nhận trước đây thỏa mãn các yêu cầu của bộ luật được công nhận và thời hạn của đợt kiểm tra đó chưa hết hiệu lực thì các cuộc kiểm tra trình độ chuyên môn này có thể được chấp nhận.
8.1.2.3.4.5 Đặc tính và chứng nhận quy trình hàn
a) Các quy trình hàn phải thỏa mãn TCVN 6259-6 và TCVN 12823-5. Các quy trình hàn phù hợp với các quy định của bộ luật, tiêu chuẩn được công nhận có thể được chấp nhận theo quyết định của người giám sát.
b) Văn bản mô tả các quy trình được chứng nhận trước đó có thể được sử dụng trong chế tạo kết cấu với điều kiện nó được nêu trong chương trình quản lý chất lượng và sẵn có khi người giám sát yêu cầu. Khi cần thiết phải chứng nhận quy trình hàn, việc này phải được thực hiện bằng cách sử dụng các phương pháp được nêu trong bộ luật, tiêu chuẩn được công nhận và cỏ sự chứng kiến của người giám sát.
8.1.2.3.4.6 Kiểm tra đường hàn
Là một phần của chương trình kiểm soát chất lượng tổng thể, một kế hoạch chi tiết về kiểm tra và thử nghiệm đường hàn phải được lập và kế hoạch này phải bao gồm các quy định của tiêu chuẩn áp dụng.
8.1.2.3.4.7 Dung sai và lắp ghép
Dung sai của kết cấu tổng thể, dung sai gia công định hình và dung sai lắp ghép cục bộ phải tương xứng với dung sai được xem xét khi phát triển thiết kế kết cấu. Phải thực hiện kiểm tra để xác nhận rằng các tiêu chí dung sai kích thước được tuân thủ. Phải chú ý đặc biệt đến độ méo của các thành phần kết cấu mà việc oằn có thể lường trước khi có hư hỏng. Tính phù hợp và lắp ghép kết cấu trước khi hàn phải được giám sát để đảm bảo chất lượng của đường hàn.
8.1.2.3.4.8 Hệ thống kiểm soát ăn mòn
Phải có chi tiết về các hệ thống kiểm soát ăn mòn bất kỳ được sử dụng cho kết cấu. Việc lắp đặt và thử các hệ thống ăn mòn phải được thực hiện thỏa mãn người giám sát hiện trường phù hợp với các bản vẽ.
8.1.2.3.4.9 Quy trình thử thủy lực và thử kín
Các khoang được thiết kế kín nước thường xuyên hoặc duy trì tính kín nước trong quá trình lắp đặt phải được thử theo quy trình. Việc thử này cũng phải được người giám sát chứng kiến.
8.1.2.3.4.10 Kiểm tra không phá hủy
Một hệ thống kiểm tra không phá hủy phải được đưa vào đặc tính kỹ thuật chế tạo kết cấu. Phạm vi tối thiểu của NDE phải thỏa mãn tiêu chuẩn áp dụng về NDE cho đường hàn thân hoặc theo bộ luật thiết kế được công nhận. Tất cả báo cáo NDE phải được xem xét bởi người giám sát hiện trường. NDE bổ sung có thể được người giám sát yêu cầu nếu chất lượng chế tạo không thỏa mãn các tiêu chuẩn áp dụng.
8.1.2.4 Hệ thống xử lý và ngăn khí hóa lỏng
8.1.2.4.1 Chế tạo két chứa khí hóa lỏng, hệ thống đường ống LNG và GNG
Tất cả các két chứa khí hóa lỏng hoặc hệ thống chứa và các hệ thống đường ống GNG và LNG phải được chế tạo theo các bản vẽ và phù hợp với các quy trình chế tạo và chương trình đảm bảo chất lượng được phê duyệt của nhà máy. Người giám sát sẽ xác nhận vật liệu được chứng nhận bởi đơn vị giám sát cho các màng hoặc thân két, các bộ phận đường ống và hệ thống cách nhiệt. Các thợ hàn, quy trình hàn, quy trình kiểm tra không phá hủy, thiết bị và nhân sự sẽ phải được chứng nhận bởi người giám sát các giai đoạn chế tạo két chứa khí hóa lỏng và xem xét các báo cáo NDE và báo cáo chế tạo. Người giám sát sẽ có mặt và ghi biên bản tất cả thử nghiệm áp lực và thử kín trong toàn bộ thời gian chế tạo.
8.1.2.4.2 Sổ tay vận hành các hệ thống khí hóa lỏng
Tất cả các thuyền viên liên quan trên kho chứa nổi đều phải có sổ tay vận hành/xử lý các hệ thống khí hóa lỏng, đưa ra các thông tin cần thiết để xử lý và chứa an toàn khí hóa lỏng. Thuyết minh trong sổ tay phải bao gồm, nhưng không giới hạn, các nội dung sau:
a) Liệt kê đặc tính các hệ thống GNG và khí hóa lỏng:
- Các thông tin chính;
- Tính chất và đặc điểm của khí hóa lỏng (phạm vi tỷ trọng và thành phần);
- Các két chứa, đường ống, thiết bị xử lý GNG/khí hóa lỏng;
- Hệ thống điều khiển và thiết bị đo.
b) Các hệ thống an toàn như:
- Chống cháy, thông gió, phát hiện cháy và thiết bị chữa cháy;
- Bảo vệ người, các cảnh báo an toàn, thiết bị;
- Thông tin liên lạc.
c) Các quy trình vận hành thông thường hoặc hướng dẫn làm hàng:
- Khí trơ, khí, làm mát, nhập hàng, xuất hàng, gia nhiệt, sục khí.
d) Một bản cập nhật các điều kiện môi trường giới hạn để vận hành an toàn.
e) Các hoạt động sự cố:
- Tràn hoặc rò rỉ hàng;
- Xả hàng xuống biển (nếu có);
- Nhận khí hóa lỏng từ tàu chở khí hóa lỏng bị hư hỏng tại trạm nhập hàng;
- Sang hàng tại trạm xuất mà thông thường chỉ xuất hơi khí.
8.1.2.5 Hệ thống xử lý
Các bình chịu áp lực công nghệ, các két chứa chất làm lạnh, các bộ phận của hệ thống trao đổi nhiệt, máy nén, bơm và các thiết bị cơ khí khác; hệ thống điện, thiết bị và hệ thống điều khiển màthuộc phạm vi hệ thống xử lý được phân cấp sẽ phải được kiểm tra trong quá trình chế tạo, lắp đặt và thử nghiệm tương tự như phạm vi mà các hệ thống xử lý và chứa khí hóa lỏng theo 8.1.2.4 ở trên.
8.1.2.6 Đường ống
Tất cả các thử nghiệm/lắp đặt đường ống phải tuân theo các quy trình và bản vẽ. Các đường hàn phải được kiểm tra bằng mắt và NDE theo yêu cầu và thỏa mãn người giám sát hiện trường. Sau khi việc lắp đặt hoàn thiện thỏa mãn, hệ thống đường ống phải chứng minh tính kín bằng thử thủy lực theo áp suất yêu cầu, nhưng không nhỏ hơn áp suất làm việc bình thường. Nếu các đoạn ống được thử thủy lực tại xưởng chế tạo, thử nghiệm trên tàu được thực hiện để xác nhận tính kín và lắp đặt đúng của các mối nối hàn và/hoặc bích nối.
8.1.2.7 Hệ thống điện
Tất cả dây dẫn, thiết bị và hệ thống điện phải được lắp đặt/thử nghiệm theo các quy trình và bản vẽ. Giá đỡ thích hợp cho tất cả cáp điện và việc làm kín phù hợp các đầu cáp vào thiết bị phải được xác nhận. Sau khi hoàn thiện kết nối dây dẫn, các phần ảnh hưởng của thiết bị và cáp điện phải được thử cách điện và chứng minh thỏa mãn yêu cầu. Việc nối đất cũng phải được xác minh thỏa mãn yêu cầu.
8.1.2.8 Dụng cụ đo
Tất cả thử nghiệm/lắp đặt dụng cụ đo phải theo các quy trình và bản vẽ. Tất cả giá đỡ phải được xác nhận. Sau khi hoàn thiện, tất cả hệ thống phải được thử nghiệm chức năng và chứng minh thỏa mãn yêu cầu.
8.1.2.9 Cơ khí
Tất cả lắp đặt/thử nghiệm thiết bị cơ khí phải thỏa mãn các quy trình và bản, bao gồm cả việc nối đất của thiết bị. Sau khi hoàn thiện, tất cả thiết bị phải được thử chức năng và chứng minh thỏa mãn yêu cầu.
8.1.3 Kiểm tra trong lắp đặt, kết nối và chạy thử
8.1.3.1 Kiểm tra trong khi lắp đặt phải được thực hiện theo các quy trình và bản vẽ.
8.1.3.2 Kiểm tra lắp đặt, kết nối
Đối với kho chứa nổi, các yêu cầu chi tiết được nêu ở Mục 9, TCVN 6474. Nhìn chung, phải bao gồm các yêu cầu sau, nếu áp dụng:
a) Mô tả chung về kho chứa nổi và hệ thống neo;
b) Các quy trình xác minh trước khi lắp đặt về điều kiện đáy biển và các quy trình ứng phó với các tình huống bất ngờ;
c) Quy trình lắp đặt xích neo và mỏ neo hoặc cọc;
d) Các quy trình thử tải trọng cọc neo hoặc hệ thống xích neo;
e) Đấu nối hệ thống xích neo với kho chứa nổi;
f) Đối với hệ thống neo có khả năng ngắt kết nối, các quy trình kết nối và ngắt kết nối của hệ thống neo kho chứa nổi;
g) Lắp dựng và san lấp đáy biển;
h) Hệ thống xuất/nhập
i) Dự ứng lực hệ thống neo.
8.1.3.3 Kiểm tra chạy thử
8.1.3.3.1 Ngày chạy thử sẽ là ngày mà đơn vị giám sát cấp giấy chứng nhận phân cấp tạm thời cho kho chứa nổi chứa khí hóa lỏng. Việc chạy thử tất cả các hệ thống tiêu chuẩn yêu cầu phải được người giám sát hiện trường xác minh. Việc chạy thử phải được thực hiện theo các quy trình chạy thử từng bước. Người giám sát phải được cho phép tiếp cận các điểm chính để xác nhận rằng các quy trình được thực hiện một cách thỏa đáng. Người giám sát phải quan sát kho chứa nổi hoạt động ở các điều kiện và khả năng khác nhau.
8.1.3.3.2 Các quy trình hoạt động chuyển GNG và khí hóa lỏng bao gồm các quy trình sự cố phải được xác nhận theo phạm vi mà người giám sát thấy cần thiết. Hiệu năng tổng thể của hệ thống ngăn khí hỏa lỏng phải được xác minh thỏa mãn các thông số thiết kế trong quá trình làm lạnh, nhập và xả hàng ban đầu. Các báo cáo về tất cả hiệu năng này phải được lưu giữ và cung cấp cho đơn vị giám sát.
8.1.3.3.3 Tương tự, các hiệu suất an toàn và thỏa đáng của tất cả hệ thống xử lý nằm trong phạm vi phân cấp kho chứa nổi phải được người giám sát xác minh là một phần của kiểm tra chạy thử.
8.1.3.4 An toàn cho người
Trong quá trình chạy thử phải có các biện pháp phòng ngừa an toàn cho người bao gồm các cuộc kiểm tra mức độ sẵn sàng hoạt động của tất cả thiết bị cứu sinh, thiết bị phát hiện khí và cháy, và thiết bị chữa cháy, hệ thống ESD, các lối thoát nạn thông thoáng và thiết lập các quy trình liên lạc. Các biện pháp phòng ngừa này phải được người giám sát xác minh. Tất cả các quy trình sự cố như thế phải có khả năng xử lý các tình huống bất ngờ như tràn, cháy và các nguy cơ khác.
8.2 Kiểm tra lần đầu và duy trì cấp
8.2.1 Quy định chung
8.2.1.1 Mục này quy định các đợt kiểm tra lần đầu, chu kỳ, bất thường sau chế tạo để duy trì cấp của kho chứa nổi chứa khí hóa lỏng trên biển.
8.2.1.2 Thông báo và sẵn sàng kiểm tra
a) Người giám sát phải tiếp cận kho chứa nổi tất cả thời điểm có thể. Chủ kho chứa nổi hoặc người đại diện phải thông báo cho người giám sát tất cả các trường hợp khi kho chứa nổi có thể được kiểm tra tại hiện trường.
b) Người giám sát phải thực hiện các cuộc kiểm tra theo đề nghị, thông báo của chủ hoặc người đại diện và sau đó lập báo cáo gửi về cho đơn vị giám sát. Nếu trong quá trình kiểm tra người giám sát phát hiện hư hỏng cần sửa chữa hoặc kiểm tra kỹ hơn, cần thông báo ngay cho Chủ kho chứa nổi hoặc người đại diện để các các hành động phù hợp. Người giám sát phải tận dụng mọi cơ hội thuận lợi để thực hiện các đợt kiểm tra chu kỳ cùng với các cuộc kiểm tra hư hỏng và sửa chữa để tránh lặp lại công việc.
8.2.1.3 Tất cả các hạng mục của các đợt kiểm tra định kỳ phải được thực hiện cùng thời điểm và thời hạn kiểm tra để chúng được ghi nhận cùng ngày. Trong các trường hợp có hư hỏng cần sửa chữa và kiểm tra mở rộng thì cuộc kiểm tra này có thể được chấp nhận tương đương với kiểm tra định kỳ.
8.2.1.4 Các cuộc kiểm tra phải được hoàn thành trong khoảng thời gian 3 tháng trước ngày hết hạn kiểm tra trừ khi được gia hạn. Các cuộc kiểm tra được thực hiện nằm trong thời gian cửa sổ 3 tháng sẽ được công nhận và đến hạn trùng với ngày ấn định kiểm tra trong chu kỳ tiếp theo. Nếu Chủ/người khai thác đề nghị, bất kỳ phần nào của kho chứa nổi có thể được kiểm tra trước cửa sổ 3 tháng và việc kiểm tra sẽ được ghi nhận từ ngày nó được kiểm tra
8.2.2 Thời hạn kiểm tra
8.2.2.1 Kiểm tra lần đầu
Kiểm tra lần đầu được thực hiện sau khi hoàn thành kiểm tra đóng mới, hoán cải hoặc kiểm tra lần đầu kho chứa nổi hiện có để phân cấp theo Tiêu chuẩn này.
8.2.2.2 Kiểm tra hàng năm
a) Kiểm tra hàng năm được thực hiện trong khoảng thời gian 3 tháng trước hoặc sau ngày ấn định kiểm tra hàng năm của đợt kiểm tra định kỳ trước đó hoặc ngày kiểm tra phân cấp lần đầu.
b) Đối với kho chứa nổi có kiểm tra liên tục, tất cả các yêu cầu của đợt kiểm tra liên tục là các hạng mục kiểm tra được hoàn thiện hàng năm. Kiểm tra hàng năm sẽ không được ghi nhận và giấy chứng nhận phân cấp sẽ không được xác nhận trừ khi các hạng mục kiểm tra liên tục đến hoặc quá hạn tại thời điểm kiểm tra hàng năm được hoàn thành hoặc được gia hạn.
8.2.2.3 Kiểm tra trung gian
Kiểm tra trung gian phải được thực hiện vào hoặc giữa kiểm tra hàng năm lần thứ 2 và lần thứ 3 sauđợt kiểm tra lần đầu và các đợt kiểm tra định kỳ tiếp theo.
8.2.2.4 Kiểm tra định kỳ
a) Kiểm tra định kỳ được thực hiện trong khoảng thời gian 5 năm sau đợt kiểm tra phân cấp lần đầu, và tại các khoảng thời gian 5 năm sau đó.
b) Kiểm tra định kỳ có thể được bắt đầu vào đợt kiểm tra hàng năm lần thứ 4 và kết thúc trước ngày ấn định kiểm tra hàng năm lần thứ 5. Nếu kiểm tra định kỳ được bắt đầu trước đợt kiểm tra hàng năm lần thứ 4, thì toàn bộ hạng mục kiểm tra định kỳ phải được hoàn thiện trong khoảng thời gian 15 tháng.
c) Kiểm tra định kỳ sẽ được công nhận vào ngày hoàn thành kiểm tra nhưng không muộn hơn 5 năm từ ngày chế tạo hoặc ngày được ấn định vào đợt kiểm tra định kỳ trước đó. Nếu kiểm tra định kỳ được hoàn thành trong khoảng thời gian 3 tháng trước ngày hết hạn, kiểm tra định kỳ sẽ được coi là đúng với ngày đến hạn có hiệu lực.
d) Phải chú ý đến các yêu cầu kiểm tra định kỳ trong các trường hợp bất thường. Có thể xem xét tăng phạm vi kiểm tra định kỳ theo yêu cầu của tiêu chuẩn trong các trường hợp kho chứa chịu các điều kiện hoạt động khắc nghiệt.
e) Trong đợt kiểm tra định kỳ, nếu toàn bộ khối lượng kiểm tra định kỳ không được thực hiện xong cùng lúc thì ngày hoàn thành đợt kiểm tra định kỳ sẽ là ngày mà tại đó các hạng mục kiểm tra về cơ bản đã thỏa mãn.
f) Trong trường hợp đặc biệt, kiểm tra định kỳ có thể được xem xét gia hạn tối đa 3 tháng với điều kiện phải thực hiện một cuộc kiểm tra có khối lượng tối thiểu bằng kiểm tra hàng năm. Trong trường hợp này, ngoài việc tuân theo các quy định liên quan, việc xem xét lịch sử khai thác, tốc độ ăn mòn thực tế và dự trữ ăn mòn, cùng với đánh giá độ bền, tuổi thọ mỏi hiện tại của kho chứa nổi cần phải được xem xét.
8.2.2.5 Chương trình kiểm tra liên tục
a) Theo đề nghị của Chủ kho chứa nổi, và dựa vào kế hoạch được đề xuất, một hệ thống kiểm tra liên tục có thể được thực hiện. Theo đó, các yêu cầu của đợt kiểm tra định kỳ được thực hiện xoay vòng đều đặn để hoàn thành tất cả các yêu cầu của đợt kiểm tra định kỳ cụ thể trong khoảng thời gian 5 năm. Kế hoạch đề xuất phải đưa ra khối lượng kiểm tra bằng khoảng 20% tổng khối lượng kiểm tra định kỳ cho mỗi năm trong chu kỳ 5 năm. Kế hoạch thay thế hợp lý khác có thể được xem xét.
b) Mỗi phần được kiểm tra sẽ được kiểm tra lại trong khoảng 5 năm kể từ ngày kiểm tra và các phần đến hạn thông thường được hoàn thành hàng năm. Đối với kiểm tra liên tục, một dấu hiệu bổ sung phù hợp sẽ được ghi trong báo cáo và ngày hoàn thành vòng tròng kiểm tra được công bố.
c) Đơn vị giám sát sẽ thu hồi kế hoạch kiểm tra liên tục nếu các khuyến nghị của người giám sát không được xử lý.
8.2.2.6 Kiểm tra dựa vào các phương pháp kỹ thuật duy trì phòng ngừa
Một kế hoạch giám sát - tình trạng/bảo dưỡng-phòng ngừa được thực hiện phù hợp có thể được coilà thỏa mãn các yêu cầu của kiểm tra liên tục.
8.2.2.7 Kiểm tra trên đà hoặc tương đương
a) Kiểm tra trên đà hoặc kiểm tra dưới nước tương đương thay cho kiểm tra trên đà (UWILD) phải được thực hiện 2 lần trong mỗi khoảng thời gian 5 năm, với thời hạn giữa chúng không được quá 3 năm và một lần được thực hiện vào đợt kiểm tra định kỳ. Có thể xem xét gia hạn ngày kiểm tra trên đà hoặc UWILD trong các trường hợp đặc biệt. Một cuộc kiểm tra dưới nước bởi thợ lặn có thể được yêu cầu cho mục đích gia hạn này.
b) Nếu kho chứa nổi được phân cấp là loại không tự hành hoặc có dấu hiệu VRM (Disconnectable), kiểm tra trên đà phải thỏa mãn các yêu cầu được nêu ở 8.2.3.5 của Tiêu chuẩn này. UWILD được có thể được xem xét tương đương với kiểm tra trên đà cho kho chứa nổi đến đợt kiểm tra định kỳ lần thứ 4 hoặc 20 tuổi, lấy giá trị nào đến trước. Đối với mỗi đợt kiểm tra trên đà hoặc UWILD tương đương sau kiểm tra định kỳ lần thứ 4, các yêu cầu thực hiện UWILD phù hợp với các kế hoạch trước đó phải được cung cấp để xem xét trước khi thực hiện kiểm tra đề xuất. Các yêu cầu chi tiết cho UWILD được nêu ở mục 2.1.5.7, TCVN 6474. Hồ sơ để thực hiện UWILD sau kiểm tra định kỳ lần thứ 4 phải luôn có trên kho chứa nổi để người giám sát tham khảo.
c) Đối với các kho chứa nổi tự hành, kiểm tra trên đà phải thỏa mãn các yêu cầu ở TCVN 6474. UWILD không được thực hiện đồng thời với kiểm tra định kỳ phần thân. Các yêu cầu chi tiết về UWILD được nêu ở TCVN 6474.
8.2.2.8 Kiểm tra nồi hơi
a) Nếu được trang bị, các cuộc kiểm tra nồi hơi của máy đẩy chính phải được thực hiện tại thời hạn nêu ở TCVN 6259-1B.
b) Các nồi hơi khác phải tuân theo Bộ luật về nồi hơi và và bình chịu áp lực của Hiệp hội Kỹ sư cơ khí Hoa Kỳ ASME boiler and pressure vessel code (ASME BPVC)và API 510 - Bộ luật về kiểm tra thiết bị chịu áp lực trong khai thác, đánh giá, sửa chữa và hoán cải.
8.2.2.9 Kiểm tra thiết bị nâng
Việc kiểm tra thiết bị nâng phải tuân theo API RP 2D và TCVN 6968.
8.2.2.10 Bình chịu áp lực
Việc kiểm tra thiết bị chịu áp lực phải tuân theo API 510 - Bộ luật về kiểm tra thiết bị chịu áp lực trong khai thác, đánh giá, sửa chữa và hoán cải.
8.2.2.11 Hệ thống khai thác ngầm dưới biển
Việc kiểm tra hệ thống khai thác ngầm dưới biển phải tuân theo TCVN 13432.
8.2.2.12 Kiểm tra trục chân vịt
Một cuộc kiểm tra trục chân vịt hoặc trục ống bao của kho chứa nổi tự hành phải được thực hiện ở thời hạn quy định tại TCVN 6259-1B.
8.2.3 Kiểm tra
8.2.3.1 Hồ sơ kiểm tra và các bản vẽ, sổ tay phải có trên kho chứa nổi
8.2.3.1.1 Tất cả báo cáo và biên bản kiểm tra về các bất thường được phát hiện phải được tập hợp vào Hồ sơ báo cáo kiểm tra lưu lâu dài trên kho chứa nổi để tham khảo trong đợt kiểm tra bất kỳ.
8.2.3.1.2 Hồ sơ phải bao gồm, nhưng không giới hạn, các hạng mục sau:
a) Kế hoạch kiểm tra nếu áp dụng;
b) Các bản ghi trạng thái cập nhật của các đợt kiểm tra phân cấp;
c) Hồ sơ về các bất thường được phát hiện, bao gồm các video và hình ảnh;
d) Hồ sơ về các đợt sửa chữa các bất thường và bất kỳ bất thường nào lặp lại được phát hiện sau sửa chữa;
e) Hồ sơ về duy trì hệ thống chống ăn mòn, bao gồm các hồ sơ đo điện thế ca tốt, hồ sơ hao hụt các a nốt hi sinh, hồ sơ duy trì dòng tích cực, như nhu cầu điện áp và dòng của hệ thống, vỡ lớp sơn phủ và hồ sơ theo dõi hao mòn vật liệu thép tại vị trí vỡ lớp sơn đó;
f) Tất cả các báo cáo kiểm tra phân cấp cho kho chứa nổi;
g) Hồ sơ về các bất thường được phát hiện bởi thuyền viên, bao gồm các rò rỉ ở vách ngăn và đường ống;
h) Các báo cáo đo chiều dày kết cấu kho chứa nổi;
i) Các báo cáo NDT.
8.2.3.1.3 Tối thiểu, các tài liệu sau đây phải luôn được duy trì trên kho chứa nổi để người giám sát có thể xác nhận và tham khảo khi thực hiện kiểm tra trong khai thác:
a) Sổ vận hành;
b) Các bản vẽ chỉ ra vị trí của tất cả các kết cấu “Đặc biệt’’, “Chính” và “Phụ”;
c) Các bản vẽ chỉ ra các biên kín nước và các thiết bị tiếp cận hoặc đóng của các biên đó;
d) Các bản vẽ của các hệ thống phòng chống cháy, chỉ rõ tất cả các cấp chống cháy và bố trí tiếp cận và đóng mở của các biên đó, bao gồm cả vị trí của các bướm chặn lửa cho các vách cấp “A”;
e) Các bản vẽ hệ thống chữa cháy, chỉ rõ bố trí của tất cả hệ thống chữa cháy cố định và di động. Các thay đổi nhỏ của các bản vẽ này có thể được chấp thuận và xác nhận bởi người giám sát, tuy nhiên bản sao của các bản vẽ được xác nhận phải đượcnộp cho đơn vị giám sát sớm nhất có thể;
f) Các bản vẽ phân vùng nguy hiểm, chỉ rõ bố trí của các ranh giới phân chia vùng nguy hiểm có cấp khác nhau cùng với bố trí tiếp cận, đóng mở, thông gió cho các ranh giới phân chia đó, bố trí của báo động và ngắt thông gió, và danh sách các thiết bị điện trong các vùng nguy hiểm;
g) Các bản vẽ bố trí của hệ thống dừng khẩn cấp;
h) Trường hợp kho chứa nổi có dấu hiệu DPS, phải có Sổ tay hệ thống định vị động (DPS) và Các dạng hư hỏng và phân tích hậu quả.
8.2.3.1.4 Các thay đổi nhỏ trên các bản vẽ liên quan tới các hệ thống phòng chống cháy, hệ thống chữa cháy, và danh sách các thiết bị điện trong vùng nguy hiểm có thể được chấp thuận bởi người giám sát hiện trường và các tài liệu được sửa đổi được xác nhận thể hiện sự chấp thuận của người giám sát, tuy nhiên bản sao được xác nhận của các bản vẽ đó phải được nộp cho đơn vị giám sát càng sớm càng tốt để lưu.
8.2.3.2 Kiểm tra hàng năm
8.2.3.2.1 Tại mỗi đợt kiểm tra hàng năm, ngoài việc xem xét chung hồ sơ bảo dưỡng, người giám sát phải xác minh tính hiệu quả của các hạng mục dưới đây bằng kiểm tra bằng mắt hoặc thử hoạt động nếu phù hợp.
8.2.3.2.2 Thân kho chứa nổi dạng tàu hoặc sà lan
a) Các boong thời tiết, tôn vỏ và các thiết bị đóng kín cùng với khả năng kín nước phải được kiểm tra tình trạng chung đến mức có thể được.
b) Lỗ thoát nước, lan can, dây cứu sinh, hành lang và lầu lái.
c) Xác nhận thông báo ổn định và hướng dẫn làm hàng, nếu có. Các thiết bị làm hàng được chấp nhận phân cấp phải được xác nhận tình trạng làm việc thỏa mãn bằng việc sử dụng các điều kiện kiểm tra được duyệt.
d) Xác nhận rằng không có sự thay đổi kết cấu mà ảnh hưởng đến tính toán xác định vị trí các đườngnước tải trọng. Các dấu hiệu đường nước tải trọng phải được quan sát, thấy rõ ràng và phải đượccắt và/hoặc sơn lại nếu cần.
e) Bố trí kết cấu chống cháy, khả năng vận hành bằng tay và /hoặc tự động của các cửa chống cháynếu có, và các lối thoát nạn từ khu nhà ở, buồng máy và các buồng khác phải thỏa mãn.
f) Các vùng nghi ngờ của thân kho chứa nổi phải được kiểm tra, bao gồm kiểm tra tổng thể và kiểmtra tiếp cận các khu vực nghi ngờ mà được xác định vào các đợt kiểm tra định kỳ hoặc trung gian trước đó.
g) Nếu kho chứa nổi có khu vực dành cho hoạt động của trực thăng, phải kiểm tra sàn trực thăng, kết cấu đỡ sàn, bề mặt sàn, hệ thống thoát nước sàn và lưới an toàn hoặc thiết bị tương đương.
h) Bất kỳ tính năng mới nào được tích hợp trong thiết kế kho chứa nổi phù hợp với các quy trình được chấp thuận.
i) Phải chú ý đặc biệt tới các sửa chữa hoặc thay đổi quan trọng đã được thực hiện để khắc phục hư hỏng do đợt kiểm tra trước yêu cầu.
8.2.3.2.3 Máy và thiết bị
a) Thiết bị/máy cùng với hệ thống điện, đường ống và bơm liên quan phải được kiểm tra chung nếu có thể tiếp cận.
b) Buồng máy và buồng nồi hơi, hệ thống bơm hút khô cùng với hố tụ nước và hệ thống báo động liên quan phải được kiểm tra chung và thử báo động.
c) Kiểm tra các bình chịu áp lực và nồi hơi và các phụ tùng bên ngoài như thiết bị an toàn, bệ đỡ, điều khiển, cơ cấu giảm áp, đường ống hơi ra và áp lực cao, bọc cách nhiệt và thiết bị đo.
d) Các biện pháp đưa máy vào hoạt động (bố trí khởi động từ trạng thái tàu chết) theo yêu cầu của TCVN 6259.
e) Kiểm tra tiếp xúc của các bánh răng máy đẩy chính tại cuộc kiểm tra hàng năm lần thứ nhất sau khi kho chứa nổi đưa vào khai thác, hoặc sau khi thay bánh răng. Chi tiết thêm xem Chương 3, TCVN 6259-3.
f) Các bộ phận tiếp cận được của hệ thống lái cùng với thử hoạt động của máy lái phụ và chính khi kho chứa nổi ở vị trí khai thác.
g) Thử nghiệm các phương pháp liên lạc giữa các trạm điều khiển lái.
8.2.3.2.4 Hệ thống điều khiển, thiết bị đo và điện
a) Hệ thống điện, các nguồn điện sự cố, các cơ cấu chuyển mạch và các thiết bị điện khác: Đến mức có thể được, phải xác nhận hoạt động của các nguồn điện sự cố và khả năng hoạt động tự động của chúng.
b) Các biện pháp phòng ngừa điện giật, cháy và các nguy cơ khác do điện phải được kiểm tra tình chung.
c) Thiết bị điện lắp đặt trong không gian nguy hiểm hoặc nguy hiểm về khí được mô tả trong bản vẽ phải được kiểm tra tình trạng chung nếu tiếp cận được.
d) Thiết bị đo và thiết bị điều khiển cùng với cáp điện của chúng phải được kiểm tra tình trạng chung.
8.2.3.2.5 Hệ thống ngăn hàng
a) Việc kiểm tra hệ thống ngăn hàng phải được thực hiện phù hợp các yêu cầu áp dụng cho đợt kiểm tra hàng năm cho tàu chở khí hóa lỏng. Chi tiết xem TCVN 6259-1B.
b) Hệ thống khí trơ được lắp đặt thỏa mãn TCVN 6259-8D phải được kiểm tra và thử theo 3.5, TCVN 6259-1B
8.2.3.2.6 Hệ thống an toàn
a) Phải thực hiện kiểm tra chung các hệ thống an toàn đến mức có thể được. Các hệ thống này bao gồm, nhưng không giới hạn: hệ thống phát hiện khí, phát hiện cháy, chữa cháy, kết cấu chống cháy và các hệ thống dừng sự cố.
b) Các thiết bị cứu sinh và bảo vệ người và phương tiện thoát nạn phải được kiểm tra càng nhiều càng tốt.
c) Các thiết bị chữa cháy nêu ở TCVN 6259-8D, bao gồm kiểm tra và/hoặc thử các hạng mục sau:
1) Hệ thống chữa cháy chính, bao gồm các van cách ly và họng chữa cháy;
2) Các bơm chữa cháy chính/sự cố;
3) Vòi rồng, đầu phun, súng phun và các cờ lê;
4) Các bình chữa cháy di động và bán di động;
5) Sơ đồ kiểm soát cháy, nếu có;
6) Bích nối bờ quốc tế;
7) Điều khiển hệ thống chữa cháy, đường ống, hướng dẫn và đánh dấu;
8) Điều khiển từ xa để dừng cácquạt/máy và ngừng cấp nhiên liệu vào buồng máy;
9) Các bộ trang bị cho người chữa cháy;
10) Bố trí đóng các ống khói, cửa lấy ánh sáng, lối ra vào, lỗ khoét và các hệ thống thông gió buồng máy.
d) Các cửa tiếp cận và hệ thống thông gió cho khu vực nguy hiểm hoặc các không gian nguy hiểm về khí, và các báo động liên quan;
e) Nếu kho chứa nổi có khu vực dành cho hoạt động của trực thăng, các hạng mục sau phải được kiểm tra chung nếu có:
1) Bố trí tiếp cận, thông gió và thiết bị điện;
2) Hệ thống chứa và tiếp nhiên liệu bao gồm két chứa, bơm, đường ống, van, ống thông hơi, ống đo, ống tràn, chống tràn và dừng từ xa.
8.2.3.2.7 Hệ thống neo
a) Hệ thống neo căng phải được kiểm tra chung tới mức có thể nhìn được và vị trí thỏa mãn yêu cầu. Ngoài ra, các hạng mục bên trên mặt nước phải được kiểm tra và ở tình trạng thỏa mãn và được ghi báo cáo như sau, nếu có:
1) Bố trí kết cấu dừng xích neo được kiểm tra bằng mắt thường, bao gồm bệ kết cấu của các thiết bị dừng hoặc giữ. Thiết bị kéo căng phải được kiểm tra tình trạng chung.
2) Các góc xích neo phải được đo để xác minh rằng sức căng của xích neo nằm trong giới hạn cho phép của thiết kế. Nếu sử dụng cáp neo, sức căng của chúng cũng phải được xác minh nằm trong giới hạn cho phép.
3) Xích neo hoặc cáp neo ở bên trên mặt nước phải được kiểm tra ăn mòn và trầy xước bằng mắt.
b) Kiểm tra hàng năm hệ thống neo khác với thiết kế neo chùm phải được thống nhất với đơn vị giám sát và thực hiện theo các yêu cầu trong Kế hoạch kiểm tra.
8.2.3.2.8 Hệ thống xử lý và/hoặc phụ trợ
Việc kiểm tra các hệ thống xử và/hoặc phụ trợ của kho chứa nổi được thực hiện theo các yêu cầu ápdụng củađợt kiểm tra hàng năm nêu tại 7.4.2, TCVN 12823-1.
8.2.3.2.9 Hệ thống xuất và nhập hàng
Hệ thống xuất và nhập hàng phải được kiểm tra chung đến mức có thể được và ở tình trạng thỏa mãn.Ngoài ra, phải kiểm tra các hạng mục sau:
a) Kiểm tra chung tất cả các thiết bị điện và khớp xoay vận chuyển chất lỏng, các ống đứng mềm, ống nổi, đường ống dẫn hàng và các van liên quan đến hệ thống xuất và nhập, các mối nối giãn nở, thiết bị làm kín...
b) Các khớp xoay vận chuyển chất lỏng phải được kiểm tra dấu hiệu rò rỉ qua kẽ hở;
c) Xem xét các báo cáo bảo dưỡng, bao gồm báo cáo thử thủy lực ống mềm;
d) Các thiết bị hàng hải cho tất cả ống nổi phải được kiểm tra và thử chức năng;
e) Kiểm tra bố trí giữ ống đứng đảm bảo đúng chức năng;
f) Tất cả các thiết bị điện lắp đặt trong vùng nguy hiểm phải được kiểm tra về tính toàn vẹn và phù hợp tiếp tục hoạt động.
8.2.3.2.10 Hệ thống định vị động
Hệ thống định vị động phải được kiểm tra tuân theo các yêu cầu phù hợp nêu tại 7.4.4, TCVN 12823-1 - Tiêu chuẩn quốc gia về Giàn di động trên biển Phần 1 - Phân cấp.
8.2.3.2.11 Kiểm tra nồi hơi
a) Nếu được trang bị, các cuộc kiểm tra nồi hơi của máy đẩy chính phải được thực hiện theo TCVN 6259-1B.
b) Các nồi hơi khác phải tuân theo API 510 - Bộ luật về kiểm tra thiết bị chịu áp lực trong khai thác, đánh giá, sửa chữa và hoán cải.
8.2.3.2.12 Kiểm tra thiết bị nâng
Việc kiểm tra thiết bị nâng phải tuân theo API RP 2D và TCVN 6968.
8.2.3.2.13 Bình chịu áp lực
Việc kiểm tra bình chịu áp lực phải tuân theo API 510 - Bộ luật về kiểm tra thiết bị chịu áp lựctrong khai thác, đánh giá, sửa chữa và hoán cải.
8.2.3.2.14 Hệ thống khai thác ngầm dưới biển
Việc kiểm tra hệ thống khai thác ngầm dưới biển phải tuân theo TCVN 13432.
8.2.3.2.15 Các yêu cầu bổ sung
a) Nếu kho chứa nổi được trang bị hệ thống giám sát, điều khiển từ xa và tự động cho dấu hiệu nêu tại TCVN 6277, hệ thống phải được kiểm tra chung trong khi các máy phát hoạt động và các hệ thống điều khiển được kích hoạt. Chi tiết xem TCVN 6259 quy phạm tàu biển vỏ thép.
b) Nếu các phần của kho chứa nổi được duyệt cho “Kiểm tra theo Phương pháp kỹ thuật bảo dưỡng phòng ngừa”, thì mỗi phần đó đến hoặc quá hạn tại đợt kiểm tra hàng năm phải được kiểm tra/thử theo yêu cầu của người giám sát.
c) Nếu các phần của kho chứa nổi được duyệt cho “Kiểm tra liên tục”, thì mỗi phần đó đến hoặc quá hạn tại đợt kiểm tra hàng năm phải được kiểm tra/thử theo yêu cầu của người giám sát
d) Nếu các phần của kho chứa nổi được duyệt cho “kiểm tra trên cơ sở rủi ro - RBI”, thì mỗi phần đó đến hoặc quá hạn tại đợt kiểm tra hàng năm phải được kiểm tra/thử theo Kế hoạch RBI.
e) Hồ sơ bảo dưỡng, để thiết lập phạm vi được cập nhật và hạng mục của các đợt kiểm tra được người giám sát thực hiện, phải được xem xét. Các thay đổi (nếu có) cho các quy trình bảo dưỡng và tần suất của chúng được Chủ/người khai thác thông báo phải được người giám sát xem xét hoặc yêu cầu cung cấp cho đơn vị giám sát để xem xét.
8.2.3.3 Kiểm tra trung gian
8.2.3.3.1 Ngoài các yêu cầu của kiểm tra hàng năm, kiểm tra trung gian cho kho chứa nổi dạng tàu hoặc sà lan bao gồm các hạng mục dưới đây.
8.2.3.3.2 Đối với kho chứa nổi trên 5 năm tuổi, phải thực hiện kiểm tra tổng thể tối thiểu 3 két dằn nước biển đại diện được người giám sát lựa chọn. Nếu phát hiện tình trạng lớp sơn phủ kém (POOR), hoặc sử dụng lớp sơn mềm, hoặc không sử dụng lớp sơn bảo vệ, thì cuộc kiểm tra phải được mở rộng sang các két cùng loại khác.
8.2.3.3.3 Đối với kho chứa nổi trên 10 năm tuổi, phải kiểm tra tổng thể tất cả các két dằn.
8.2.3.3.4 Nếu các cuộc kiểm tra thấy rằng không có khuyết tật kết cấu nhìn thấy được thì kiểm tra đó có thể được giới hạn ở mức kiểm tra lớp sơn bảo vệ để xác định rằng nó vẫn duy trì hiệu quả.
8.2.3.3.5 Trong các két dằn nước biển không phải là két ở đáy đôi, nếu phát hiện tình trạng lớp sơn phủ Kém (POOR) và Chủ hoặc người đại diện lựa chọn không khôi phục lớp sơn phủ, và có sử dụng sơn mềm hoặc không sử dụng sơn bảo vệ, thì các két dằn này phải được kiểm tra bên trong tại mỗi đợt kiểm tra hàng năm tiếp theo và đo chiều dày nếu thấy cần thiết.
8.2.3.3.6 Trong các két dằn nước biển ở đáy đôi, nếu phát hiện tình trạng lớp sơn phủ Kém (POOR) và Chủ hoặc người đại diện lựa chọn không khôi phục lớp sơn phủ, và có sử dụng sơn mềm hoặc không sử dụng sơn bảo vệ, thì phải kiểm tra bên trong tại mỗi đợt kiểm tra hàng năm tiếp theo và đo chiều dày nếu cần thiết khi có ăn mòn đáng kể.
8.2.3.3.7 Nếu phát hiện hao mòn ở các khu vực rộng, phải thực hiện đo chiều dày và thay mới nếu hao mòn vượt quá giới hạn cho phép. Nếu quy cách kết cấu được giảm dựa trên cơ sở kiểm soát ảnh hưởng do ăn mòn đã được chấp nhận, thì các kết quả đo phải được đánh giá trên quy cách kết cấu trước khi bị giảm.
8.2.3.3.8 Kiểm tra trung gian thân kho chứa nổi không phải dạng tàu hoặc sà lan phải theo Kế hoạch kiểm tra nếu áp dụng.
8.2.3.4 Kiểm tra định kỳ
8.2.3.4.1 Kiểm tra định kỳ bao gồm tất cả hạng mục kiểm tra hàng năm với việc kiểm tra và thử nghiệm rộng hơn cho kết cấu, máy, thiết bị, hệ thống chống cháy và chữa cháy, các hệ thống vận chuyển và ngăn hàng và hệ thống neo. Phải thực hiện kiểm tra định kỳ cùng với kiểm tra UWILD tương ứng.
8.2.3.4.2 Tại mỗi đợt kiểm tra định kỳ kho chứa nổi dạng tàu hoặc sà lan, ngoài việc xem xét chung hồ sơ bảo dưỡng và nếu áp dụng được và được yêu cầu cho Phân cấp kho chứa nổi, người giám sát phải xác nhận tính hữu hiệu của các hạng mục sau bằng kiểm tra bằng mắt và thử hoạt động, nếu phù hợp:
8.2.3.4.2.1 Kết cấu thân
a) Phải thực hiện kiểm tra trên đà hoặc UWILD theo 8.2.3.5 của Tiêu chuẩn này.
b) Tất cả các boong, vách kín nước, bề mặt bên ngoài và bên trong tôn vỏ phải được kiểm tra. Tôn ở mạn hoặc các đèn chiếu sáng kết cấu thượng tầng phải được kiểm tra đặc biệt.
c) Kiểm tra tổng thể tất cả các không gian: đáy đôi, két sâu, két dằn, các két hàng và két nhọn, buồng bơm, hầm đặt ống, sống chính đáy dạng hộp, buồng máy, các không gian khô, không gian trống và chống va, các hố thoát và tụ nước, các bố trí đo sâu, thông gió, bơm và thoát nước.
Nếu thấy cần thiết, đợt kiểm tra này phải bổ sung đo chiều dày và thử để đảm bảo rằng tính toàn vẹn kết cấu duy trì hiệu quả. Phải thực hiện kiểm tra thỏa đáng để phát hiện ăn mòn, biến dạng đáng kể, nứt, hư hỏng hoặc hư hại kết cấu khác.
d) Phải kiểm tra kết cấu buồng máy. Chú ý đặc biệt tới đáy trên, tôn vỏ tại đáy trên, cácmã gia cường nối sườn mạn với đáy trên, và các vách ngăn của buồng máy tại vị trí đáy trên và các hố tụ nước.
Phải chú ý đặc biệt tới đầu hút nước biển, các đường ống làm mát bằng nước biển, các van xả mạn và liên kết của chúng với tôn mạn. Nếu phát hiện hao mòn ở các khu vực rộng thì phải đo chiều dày và thay mới và/hoặc sửa chữa nếu hao mòn vượt quá giới hạn cho phép.
e) Trong các két dằn nước biển không phải két ở đáy đôi, nếu phát hiện tình trạng lớp sơn phủ Kém và Chủ hoặc người đại diện không phục hồi lớp sơn phủ, và có sử dụng lớp sơn mềm hoặc không sử dụng lớp sơn bảo vệ, thì các két này, nếu có, phải được kiểm tra bên trong và đo chiều dày nếu người giám sát thấy cần thiết ở mỗi đợt kiểm tra hàng năm tiếp theo.
Nếu phát hiện tình trạng lớp sơn phủ Kém ở các két dằn nước biển ở đáy đôi, phải kiểm tra bên trong tại mỗi đợt kiểm tra hàng năm tiếp theo nếu có ăn mòn đáng kể. Nếu người giám sát thấy cần thiết hoặc có ăn mòn lớn, phải thực hiện đo chiều dày.
f) Các yêu cầu kiểm tra bên trong sẽ được xem xét đặc biệt cho các két dầu bôi trơn và các két chỉ dùng để dằn cố định mà được trang bị các biện pháp kiểm soát ăn mòn hiệu quả.
(1) Nếu đáy đôi và các két khác, ngoại trừ các két nhọn, được sử dụng chủ yếu để chứa dầu nhiên liệu nặng hoặc chỉ chứa các loại dầu nhẹ, thì có thể miễn kiểm tra bên trong với điều kiện sau khi kiểm tra tổng thể bên ngoài các két này người giám sát thấy tình trạng của chúng thỏa mãn.
(2) Ngoài các cuộc kiểm tra bên ngoài nói chung, phải thực hiện các cuộc kiểm tra bên trong dưới đây và kết quả thỏa mãn là điều kiện miễn giảm kiểm tra bên trong các két dầu nhiên liệu còn lại:
- Tại đợt kiểm tra định kỳ lần thứ 3 - một két chứa dầu nhiên liệu ở đáy đôi phía mũi.
- Tại đợt kiểm tra định kỳ lần thứ 4 và 5 - một két chứa dầu nhiên liệu ở phía mũi, một ở lân cận giữa kho chứa nổi, và một ở đuôi kho chứa nổi.
- Tại đợt kiểm tra định kỳ lần thứ 6 và các đợt kiểm tra định kỳ tiếp theo - một két chứa dầu nhiên liệu ở đáy đôi tại vị trí của mỗi khoang hàng.
(3) Các két dầu độc lập trong các buồng máy phải được được kiểm tra bên ngoài và chịu cột áp chất lỏng nếu thấy cần thiết.
g) Tất cả các thiết bị bảo vệ két, nếu có, phải được kiểm tra bên ngoài về lắp ráp và lắp đặt phù hợp, hư hỏng hoặc dấu vết tràn dầu tại các đầu ra.
Tất cả các van áp lực-chân không và các van giảm áp phải được mở, kiểm tra việc tiếp xúc giữa các đĩa van áp lực và chân không với đế van và/hoặc thử kiểm chứng.
h) Tất cả các ống thông khí phải được mở để xác nhận tình trạng của thiết bị đóng và lưới chặn lửa nếu được lắp đặt.
8.2.3.4.2.2 Các yêu cầu đo chiều dày thân kho chứa nổi
a) Phải thực hiện đo chiều dày tuân theo các yêu cầu ở TCVN 6259-1B như áp dụng cho tàu chở khí hóa lỏng có chiều dài 90 m trở lên. Các yêu cầu tối thiểu về đo chiều dày tại các đợt kiểm tra định kỳ phải thỏa mãn các yêu cầu ở TCVN 6259-1B như áp dụng cho tàu chở khí hỏa lỏng có chiều dài 90 m trở lên.
Phạm vi và phương pháp được sử dụng trong quá trình đo phải phù hợp với Kế hoạch kiểm tra.
Đo chiều dày vào hoặc sau đợt kiểm tra hàng năm lần thứ 4 sẽ được tính cho đợt kiểm tra định kỳ. Nếu phát hiện hao mòn ở các khu vực lớn, người giám sát có thể yêu cầu đo chiều dày bổ sung nếu thấy cần thiết. Phải thay mới nếu hao mòn vượt quá giới hạn cho phép.
Nếu phát hiện ăn mòn đáng kể, phải thực hiện đo chiều dày bổ sung để xác nhận phạm vi ăn mòn.
Nếu các kích thước bị giảm so với kích thước cơ sở áp dụng cho kiểm soát ăn mòn hiệu quả, các kết quả của lần đo bất kỳ phả được đánh giá dựa trên các kích thước trước khi giảm.
Các phần ngang kho chứa nổi phải được lựa chọn dựa trên bố trí, lịch sử dằn/hàng và tình trạng lớp sơn phủ. Các vị trí đo chiều dày phải được lựa chọn từ khu vực có khả năng dễ bị ăn mòn nhất (ví dụ như các két dằn) hoặc được lựa chọn từ kết quả đo chiều dày tôn boong.
Các yêu cầu đo chiều dày ở khu vực bên trong có thể được thay đổi bởi người giám sát hiện trường nếu hệ thống chống ăn mòn duy trì ở tình trạng Tốt (GOOD) hoặc Khá (FAIR)
Người giám sát có thể yêu cầu đo chiều dày bổ sung nếu thấy cần thiết.
b) Nếu kho chứa nổi được phân cấp với dấu hiệu VRM (Disconnectable) hoặc VRM, các vách biên của đáy đôi, két sâu, két dằn, két nhọn và các két liền thân khác phải được thử bằng cột áp chấtlỏng. Nếu kho chứa nổi được phân cấp là loại không tự hành, các vách biên đó phải được kiểm tra bằng mắt và chỉ thử cột áp chất lỏng nếu có nghi ngờ, phải đo chiều dày hoặc NDE nếu người giám sát hiện trường thấy cần thiết.
Có thể miễn thử các không gian đáy đôi hoặc các không gian khác không được thiết kế để chứa chất lỏng với điều kiện phải kiểm tra bên trong và đáy trên và kết quả thỏa mãn. Người giám sát có thể yêu cầu thử két nếu thấy cần thiết.
c) Dự trữ hao mòn của nẹp gia cường và tôn cụ thể: Dự trữ hao mòn của nẹp gia cường và tôn cụ thể cho kho chứa nổi có tuổi thọ thiết kế 20 năm phải thỏa mãn TCVN 6474 hoặc tiêu chuẩn khác được chấp nhận. Các giới hạn dự trữ hao mòn cục bộ của tôn và nẹp gia cường cho kho chứa nổi có tuổi thọ thiết kế trên 20 năm sẽ duy trì tương tự như áp dụng cho các kích thước yêu cầu tuổi thọ 20 năm để xác định các kích thước tối thiểu cần phải thay mới. Theo đó, dựa vào phần trăm dự trữ hao mòn, thay mới sẽ được yêu cầu nếu kích thước bị hao mòn tới giá trị như là kho chứa nổi 20 năm tuổi. Hao mòn cho phép phải dựa vào phần trăm dự trữ hao mòn nhỏ hơn, hoặc hao mòn cho phép dựa vào độ bền uốn cục bộ.
8.2.3.4.2.3 Máy và thiết bị
a) Kiểm tra bên trong và bên ngoài tất cả lỗ khoét hướng ra biển, bao gồm các lỗ xả vệ sinh và các lỗ xả qua mạn khác cùng với các van của chúng.
b) Phải kiểm tra bên trong và bên ngoài van một chiều, nếu được trang bị, của bơm chữa cháy sự cố.
c) Kiểm tra các bơm và bố trí bơm, bao gồm các van, đường ống, thiết bị lóc và các phần giãn nở mềm phi kim loại ở hệ thống tuần hoàn chính.
d) Hoạt động của hệ thống hút khô. Các hệ thống khác phải được thử nếu thấy cần thiết.
e) Kiểm tra bệ máy chính và phụ.
f) Các bộ trao đổi nhiệt và các bình áp lực không sử dụng nhiên liệu đốt khác có áp suất thiết kế lớn hơn 6,9 bar phải được kiểm tra, mở và thử áp lực nếu cần thiết, và các van giảm áp liên quan hoạt động đúng. Không cần thiết mở các thiết bị bay hơi mà hoạt động ở áp suất chân không, nhưng có thể chấp nhận dựa trên kết quả kiểm tra bên ngoài và thử hoạt động thỏa mãn hoặc xem xét các báo cáo hoạt động.
g) Các máy nén không khí, các bình chứa và đường ống liên quan phải được kiểm tra. Nếu không thể kiểm tra bên trong các bình chứa không khí, chúng phải được thử thủy lực. Tất cả các van giảm áp và thiết bị an toàn phải đảm bảo khả năng hoạt động.
h) Nếu có, phải kiểm tra máy lái, bao gồm thử hoạt động và kiểm tra việc cài đặt các van giảm áp. Ngoài ra, phải thực hiện thử thủy lực hệ thống lái cho việc cài đặt van giảm áp, sử dụng nguồn năng lượng được lắp đặt.
i) Nếu có, hộp giảm tốc phải được mở và kiểm tra nếu người giám sát thấy cần thiết để xác nhận tình trạng của các răng, bánh răng, trục, ổ trục và hệ thống bôi trơn. Phương pháp thay thế để đánh giá tình trạng của bánh răng sẽ được xem xét đặc biệt.
j) Nếu có, các động cơ hơi nước kiểu pít-tông phải được mở và kiểm ra, bao gồm các xi lanh, pít-tông, van, cơ cấu van, đầu chữ thập, chốt khuỷu, cổ trục chính và ổ đỡ chặn.
k) Nếu có, các thiết bị ngưng tụ hơi phụ và chính phải được mở, kiểm tra và thử rò rỉ nếu người giám sát thấy cần thiết.
l) Nếu có, đường ống hơi chính phải được kiểm tra. Khi người giám sát thấy cần thiết, phải đo chiều dày bằng phương pháp NDE. Hoặc đối với hệ thống hoạt động ở nhiệt độ không quá 427°C, thử thủy lực bằng 1,25 lần áp suất làm việc có thể được chấp nhận.
m) Đối với thử hoạt động máy chính và máy phụ, xem các phần phù hợp của TCVN 6259, nếu áp dụng.
n) Nếu có, các động cơ đốt trong chính và phụ phải được mở, kiểm tra và đo đạc nếu áp dụng, phù hợp với các yêu cầu củaTCVN 6259-1B.
Các phần đã được kiểm tra trong vòng 15 tháng thì không cần kiểm tra lại, ngoại trừ trong các trường hợp đặc biệt. Có thểxem xét đặc biệt cho các yêu cầu kiểm tra định kỳ đối với các động cơ chính có đường kính lỗ khoét từ 300 mm trở xuống, với điều kiện động cơ được bảo dưỡng theo chương trình bảo dưỡng được lên kế hoạch của nhà sản xuất. Các báo cáo bảo dưỡng, bao gồm cả hoạt động bôi trơn, phải sẵn có cho người giám sát. Cácđợt đại tu định kỳ, theo yêu cầu của chương trình bảo dưỡng được lên kế hoạch của nhà sản xuất, phải có sự chứng kiến của người giám sát và sẽ được chấp nhận cho hoàn thành chu kỳ kiểm tra.
o) Nếu có, các tua bin khí phải được mở và bảo dưỡng phù hợp với các khuyến nghị của nhà sản xuất một cách phù hợp với các điều kiện hoạt động thực tế. Chủ phải cung cấp kế hoạch bảo dưỡng được duyệt cho mỗi loại tua bin khí trong khai thác xác định các thời hạn dự kiến để kiểm tra buồng đốt, các đợt kiểm tra đường khí nóng và các kiểm tra quan trọng. Sau khi được duyệt, kế hoạch sẽ thành một phần của hồ sơ kiểm tra định kỳ - Máy.
Đối với các động cơ hoạt động liên tục, tối thiểu mộtđợt kiểm tra đường khí nóng phải được lên kế hoạch cho mỗi chu kỳ kiểm tra và phải bao gồm một đợt kiểm tra rô to tua bin, cánh cố định, buồng đốt, vỏ đầu vào (bao gồm thiết bị lọc và chống đọng sương), hộp khí xả bao gồm thiết bị tái sinh, các van điều khiển không khi và thiết bị bảo vệ. Nếu người giám sát thấy cần thiết, các phần khác và thiết bị liên quan phải được mở và kiểm tra. Việc mở các phần của máy nén phải được lên kế hoạch cùng với các đợt kiểm tra quan trọng với điều kiện việc kiểm tra các cánh, có thể nhìn thấy được từ đầu gió vào trong quá trình kiểm tra đường dẫn khí nóng, không phát hiện bằng chứng hư hỏng. Các cuộc kiểm tra yêu cầu của các động cơ tua bin khí phụ, tối thiểu 1 lần mỗi chu kỳ, phải dựa vào các khuyến nghị của nhà chế tạo, phù hợp với số giờ và điều kiện hoạt động thực tế, cùng với thử hoạt động cócác thiết bị bảo vệ. Nếu các động cơ được bố trí sau cho động cơ được đưa khỏi kho chứa nổi và tháorời ở cơ sở khác, thì kiểm tra bên trong có thể được thực hiện ở cơ sở đó. Việc lắp đặt lại phải đượcthực hiện thỏa mãn người giám sát hiện trường.
8.2.3.4.2.4 Các hệ thống điện, thiết bị đo và điều khiển
a) Phụ tùng và các mối nối trên các bảng điện chính và bảng phân phối.
b) Các cáp điện, ở mức tối đa có thể.
c) Các máy phát điện, bao gồm máy phát sự cố, phải được chạy có tải. Nếu các máy phát được bố trí để hoạt động song song, phải kiểm chứng hoạt động và chia tải thỏa đáng của các bộ ngắt dòng, bao gồm việc ngắt/nhả công suất ngược.
d) Điện trở cách điện của mạch phải được đo giữa các dây dẫn và giữa dây dẫn với đất, và các giá trị này được so sánh với các giá trị đo trước đó.
e) Nếu các máy phát phụ được sử dụng cho các mục đích thiết yếu, thì các máy phát và động cơ lai phải được kiểm tra và các thiết bị chuyển động chính của chúng phải được mở để kiểm tra. Điện trở các điện của mỗi máy phát và động cơ phải được đo với tất cả các mạch điện có điện áp khác nhau cao hơn nối đất được thử nghiệm riêng biệt và theo Chương 5, TCVN 6259-1B.
f) Trong các trường hợp bất thường để sửa chữa lớn, các cuộn dây được sửa chữa hoặc thay mới phải được thử độ bền điện môi. Ngoài ra, các mạch có sửa chữa hoặc thay mới và các cuộn dây bị xáo trộn trong quá trình sửa chữa phải được thử độ bền điện môi trong một phút bằng các áp dụng điện thế bằng 125% điện áp hoạt động cao nhất của các mạch mà nó được áp dụng. Các dòng kích từ DC của các máy phát và động cơ phải được thử nghiệm một phút với điện thế bằng 50% giá trị xác định theo các phần áp dụng ở TCVN 6259-4, và tất cả toàn bộ thiết bị hoạt được ở trạng thái toàn tải.
8.2.3.4.2.5 Hệ thống ngăn hàng
a) Kiểm tra hệ thống ngăn hàng phải được thực hiện theo các yêu cầu áp dụng của kiểm tra định kỳ cho tàu chở khí hóa lỏng. Chi tiết xem TCVN 6259-1B.
b) Hệ thống khí trơ được lắp đặt thỏa mãn TCVN 6259-8D phải được kiểm tra và thử thỏa mãn Chương 5, TCVN 6259-1B.
8.2.3.4.2.6 Hệ thống neo
a) Vì thực tế không thể đề cập hết tất cả các loại hệ thống neo, nên nội dung dưới đây đưa ra hướng dẫn về các yêu cầu cơ bản. Nhà vận hành hoặc thiết kế có thể cung cấp các yêu cầu kiểm tra thay thế, dựa vào kinh nghiệm vận hành hoặc các khuyến nghị của nhà chế tạo. Sau khi xem xét và được chấp nhận, các quy trình kiểm tra thay thế này sẽ là nội dung cơ bản cho kiểm tra định kỳ hệ thống neo.
b) Ngoài các yêu cầu của kiểm tra hàng năm, kiểm tra định kỳ phải bao gồm các hạng mục sau, nếu có:
(1) Phải thực hiện kiểm tra toàn bộ hệ thống neo ở trên đà hoặc UWILD. Phải đo chiều dày bất kỳ khu vực nghi ngờ nào mà phát hiện ăn mòn lớn.
(2) Kiểm tra tất cả các xích neo xem có bị hao mòn hoặc ăn mòn lớn hay không. Thực tế, các khu vực phải kiểm tra đặc biệt là vùng liên quan tới chuyển động giữa các mắt xích. Các vị trí này thông thường được bố trí tại các phần tiếp xúc với đáy biển của phần móc xích của xích neo. Các dự trữ hao mòn và ăn mòn phải sẵn có cho người giám sát hiện trường trước khi thực hiện đo chiều dày bất kỳ.
(3) Các dây xích phải được kiểm tra xem có bị mất ngáng và giãn xích. Các vị trí đại diện phù hợp phải được đo chiều dày để kiểm tra hao mòn hoặc mài mòn. Các khu vực dễ bị ăn mòn, nhưkhu vực nước-gió, phải được đo chiều dày riêng biệt, nếu người giám sát hiện trường thấy cần thiết
(4) Phải kiểm tra tiếp cận tất cả các bộ phận neo và các thành phần kết cấu có thể tiếp cận được mà chúng chịu các tải trọng neo. Các thành phần kết cấu bao gồm các hãm xích hoặc giữ cáp, kết cấu ở vị trí hãm xích hoặc giữ cáp, kết cấu đỡ thân vỏ và các khu vực vành hố kết cấu/tháp neo. Các kết cấu này phải được làm sạch và kiểm tra kỹ lưỡng, và bất kỳ vùng nghi ngờ nào phải được kiểm tra không phá hủy.
(5) Kiểm tra chung mức độ bào mòn hoặc bộc lộ của neo hoặc cọc neo để đảm bảo rằng các bộ phận này không bộc lộ quá mức.
(6) Kiểm tra tình trạng căng của xích và nếu phát hiện không thỏa mãn các đặc tính kỹ thuật thì phải hiệu chỉnh lại cho phù hợp. Phải điều tra khi tình trạng căng của xích bị hao hụt nhiều.
(7) Đối với các hệ thống neo có thể ngắt kết nối, hệ thống đấu nối và ngắt kết nối cho hệ thống neo phải được thử nếu người giám sátthấy cần thiết. Hoặc phải cung cấp các báo cáo về hoạt động kết nối/ngắt kết nối giữa ngày xác nhận kiểm tra định kỳ gần nhất và ngày kiểm tra định kỳ hiện tại để xem xét và thấy thỏa mãn, thì có thể coi tuân thủ với yêu cầu này.
8.2.3.4.2.7 Hệ thống xử lý và/hoặc hỗ trợ
Việc kiểm tra các hệ thống xử lý và/hoặc hỗ trợ của kho chứa nổi được thực hiện theo các yêu cầu ápdụng của đợt kiểm tra hàng năm nêu tại 7.6.7, TCVN 12823-1.
8.2.3.4.2.8 Hệ thống xuất và nhập
Ngoài các hạng mục kiểm tra hàng năm, các hạng mục sau phải được kiểm tra:
a) Nếu thấy cần thiết, các khớp xoay điện và chất lỏng phải được tháo rời và kiểm tra tình trạng mài mòn và rách. Kiểm tra các thiết bị làm kín. Sau khi lắp ghép lại, các khớp xoay chất lỏng phải được thử thủy lực. Tương tự như thế, các khớp xoay điện phải được thử độ cách điện sau khi lắp ráp.
b) Trong quá trình kiểm tra dưới nước hệ thống neo, các ống đứng mềm phải được kiểm tra, bao gồm tất cả các phao nổi hỗ trợ. Các ống đứng phải được kiểm tra hư hỏng ở các khu vực có ứng suất cao, như tại các vị trí đầu bích nối, vị trí các kẹp đỡ và bên dưới tất cả vị trí móc. Các thanh ngáng, nếu được trang bị để tách các ống đứng với nhau, phải được kiểm tra tình trạng mài mòn và rách. Có thể yêu cầu thử thủy lực các ống đứng nếu người giám sát thấy cần thiết.
c) Đối với vùng nước sâu, các hệ thống đỡ hoặc treo ống đứng phải được kiểm tra xem có hư hỏng hoặc mất lực căng. Các vị trí đỡ ống đứng phải được kiểm tra tiếp cận xem có bị ăn mòn, mài mòn, xoắn, gấp...
d) Các ống nổi phải được kiểm tra xem có bị xoắn, nứt bề mặt, hư hỏng chà xát.... Có thể yêu cầu thử thủy lực hoặc thử chân không các ống nổi nếu người giám sát thấy cần thiết.
e) Tất cả các hệ thống đường ống phải được mở để kiểm tra. Thử thủy lực hoặc NDE có thể được yêu cầu nếu người giám sát thấy cần thiết.
f) Đối với hệ thống neo loại có thể ngắt kết nối, phải thử bố trí kết nối và ngắt kết nối cho hệ thống xuất và nhập nếu người giám sát thấy cần thiết. Có thể xem xét các báo cáo về hoạt động ngắt kết nối/kết nối giữa ngày xác định của SPS gần nhất và thời hạn hiện tại, và nếu thấy thỏa mãn thì có thể xem xét là thỏa mãn yêu cầu thử hệ thống ngắt kết nối.
g) Các ống nổi được thiết kế và chế tạo theo tiêu chuẩn OCIMF thì phải được thử theo Hướng dẫn OCIMF về xử lý, lưu trữ, kiểm tra và thử ống mềm tại mỏ.
8.2.3.4.2.9 Hệ thống định vị động
a) Ngoài các yêu cầu kiểm tra hàng năm, phải thực hiện thử chức năng đầy đủ. Kế hoạch của các cuộc thử này phải được lập để chứng minh lượng dư được thiết lập trong FMEA (Phân tích các hiệu ứng và trạng thái hư hỏng - Failure Modes and Effects Analysis).
b) Các bộ phận của các chân vịt bôi trơn bằng dầu phải được mở ra để kiểm tra tối thiểu là sau mỗi năm năm. Kiểm tra bên trong của các chân vịt biến bước bôi trơn bằng dầu có thể được giảm trừ nếu như các chân vịt được duy trì theo kế hoạch kiểm soát trạng thái được duyệt và các kết quả ghi chép đã chứng minh sự thỏa mãn. Trong trường hợp các chân vịt được duy trì theo kế hoạch kiểm soát trạng thái được duyệt, tần suất đại tu lớn của chúng (bao gồm mở ra để kiểm tra bên trong) có thể dài hơn 5 năm với điều kiện điều này phải được chỉ rõ trong kế hoạch.
8.2.3.4.2.10 Hệ thống khai thác ngầm dưới biển
Việc kiểm tra hệ thống khai thác ngầm dưới biển phải tuân theo TCVN 13432.
8.2.3.4.2.11 Các yêu cầu bổ sung
Nếu kho chứa nổi được trang bị hệ thống giám sát, điều khiển từ xa và tự động cho dấu hiệu nêu tại TCVN 6277, thì ngoài các yêu cầu kiểm tra hàng năm, tất cả hệ thống cơ khí, cơ cấu dẫn động thủy lực và khí nén, và các hệ thống công suất của chúng phải được kiểm tra và thử, phải đo điện trở cách điện, các hệ thống tự động phải được thử, và toàn bộ hệ thống điều khiển phải được thử khi công suất giảm để xác định tính năng đúng của các chức năng tự động. Chi tiết xem TCVN 6259 quy phạm tàu biển vỏ thép.
8.2.3.5 Kiểm tra trên đà
8.2.3.5.1 Nếu kho chứa nổi được phân cấp tự hành và có dấu hiệu cấp VRM, kiểm tra trên đà phải được thực hiện theo TCVN 6259-1B.
8.2.3.5.2 Nếu kho chứa nổi được phân cấp không tự hành hoặc có dấu hiệu VRM (Disconnectable), kiểm tra trên đà bao gồm tình trạng kết cấu, hệ thống chống ăn mòn, hệ thống neo và hệ thống xuất/nhập, phải bao gồm:
8.2.3.5.2.1 UWILD
a) Kiểm tra UWILD phải được thực hiện theo các quy trình được lập hồ sơ trước khi kiểm tra. Quy trình phải luôn sẵn có trên kho chứa nổi. Quy thực hiện UWILD sau kiểm tra định kỳ lần thứ 4 cũng phải có trên kho chứa nổi để người giáp sát tham khảo.
b) Quy trình UWID phải bao gồm các hạng mục sau:
- Quy trình cho thợ lặn xác định chính xác vị trí mà họ thực hiện kiểm tra;
- Quy trình làm sạch sinh vật biển cho mục đích kiểm tra phải bao gồm phạm vi và vị trí làm sạch dưới nước;
- Quy trình và phạm vi đo điện thế ca tốt trên kết cấu;
- Quy trình và phạm vi đo chiều dày kết cấu và NDT các điểm quan trọng;
- Trình độ của tất cả thợ lặn thực hiện kiểm tra, NDT và đo chiều dày;
- Loại ảnh và video dưới nước, bao gồm phương pháp liên lạc, giám sát và ghi âm.
c) Nếu có, ky, sống mũi, sườn đuôi, bánh lái, chân vịt và bề mặt ngoài tôn mạn và đáy phải được làm sạch nếu cần thiết và kiểm tra, cùng với vây giảm lắc, thiết bị đẩy, các phần hở của ổ đỡ trục đuôi và cụm làm kín, van thông biển, chốt và ngõng trục bánh lái, cùng với bố trí siết chặt liên quan của chúng.
d) Tất cả các lỗ khoét thông biển và các van xả mạn, bao gồm cả phụ tùng gắn chúng với thân kho chứa nổi hoặc van thông biển, phải được kiểm tra bên ngoài.
e) Tất cả các bộ phận giãn nở phi kim loại ở các hệ thống tuần hoàn và làm mát bằng nước biển phải được kiểm tra cả bên trong và bên ngoài.
f) Nếu có, khe hở hoặc hao mòn ổ đỡ trục đuôi và khe hở ổ đỡ bánh lái phải được xác định và ghi vào báo cáo.
g) Đối với UWILD vào đợt kiểm tra Định kỳ, phải có biện pháp cho phép mở tất cả các van thông biển và van xả mạn để kiểm tra bên trong. Ngoài ra, tất cả các hạng mục kiểm tra định kỳ liên quan đến phần thân hoặc kết cấu dưới nước, bao gồm cả việc đo chiều dày, phải được thực hiện khi kiểm tra dưới nước.
8.2.3.5.2.2 Hệ thống chống ăn mòn
Ngoài các yêu cầu ở trên, phải thực hiện các hạng mục sau:
a) Phải đo điện thế ca tốt của ở các vị trí đại diện cho toàn bộ phần thân dưới nước và đánh giá để xác nhận rằng hệ thống chống ăn mòn đang hoạt động trong các giới hạn thiết kế.
b) Các a nốt hy sinh phải được kiểm tra độ hao hụt và vị trí ở tình trạng thỏa mãn khi cần thiết.
c) Các cự âm và dương của hệ thống dòng điện phải được kiểm tra xem có bị hư hỏng, bị sinh vật biển hoặc cặn can xi che kín hay không. Nhu cầu điện thế và cường độ dòng điện cũng phải được kiểm tra để đảm bảo hệ thống hoạt động tốt.
d) Các cuộc kiểm tra bổ sung phải được thực hiện ở các khu vực chịu tác động của nước biển và gió của kết cấu nếu thấy lớp sơn phủ bị vỡ. Có thể yêu cầu đo chiều dày tại các khu vực này nếu người giám sát hiện trường thấy cần thiết.
8.2.3.5.2.3 Hệ thống neo
Đối với các hệ thống neo, các hạng mục sau phải được làm sạch và kiểm tra, nếu có:
a) Sức căng xích hoặc cáp neo phải được đo, và các vị trí kết nối cuối cùng của các bộ phận này phải được kiểm tra. Tất cả xích neo phải được kiểm tra chung trên toàn bộ chiều dài của chúng. Mỏ neo, cáp và các thiết bị vận hành liên quan của chúng phải được kiểm tra.
b) Các két nổi phải được làm sạch và kiểm tra, nếu có.
c) Xích và các bộ hãm xích phải được làm sạch, kiểm tra và NDT nếu người giám sát thấy cần thiết.
d) Các khu vực chịu ứng suất cao hoặc có tuổi thọ mỏi thấp phải được lựa chọn trước, làm sạch và NDT nếu thấy cần thiết.
e) Phải kiểm tra sự bào mòn của mỏ neo hoặc cọc neo.
f) Phải đo điện thế ca tốt tại các vị trí đại diện của toàn bộ kết cấu dưới nước của hệ thống neo để xác nhận rằng hệ thống bảo vệ ca tốt đang hoạt động trong các giới hạn thiết kế.
g) Các khu vực chịu ứng suất cao, ăn mòn và rách lớn của dây neo phải được kiểm tra tiếp cận và thử không phá hủy nếu người giám sát thấy cần thiết. Các khu vực này bao gồm các vùng hãm xích và tiếp xúc với đáy biển.
8.2.3.5.2.4 Hệ thống xuất và nhập
Các hạng mục sau phải được làm sạch và kiểm tra, nếu có:
a) Toàn bộ hệ thống ống đứng.
b) Các két nổi đỡ ống, kết cấu của chúng và các thiết bị kẹp giữ
c) Ống đứng mềm, bao gồm tất các các bích đầu ống và bố trí bu lông, và các thanh ngáng, nếu có.
d) Toàn bộ hệ thống ống mềm xuất hàng phải được kiểm tra xem có bị hư hỏng do xơ ống và nứt mỏi hay không.
e) Các ống mềm được thiết kế và chế tạo theo tiêu chuẩn OCIMF phải được thử theo hướng dẫn của OCIMF về xử lý, lưu trữ, kiểm tra và thử ống mềm tại mỏ.
f) Tất cả các thiết bị hàng hải phải được kiểm tra và thử chức năng.
8.2.3.6 Kiểm tra nồi hơi
Kiểm tra nồi hơi phải tuân theo các yêu cầu nêu ở TCVN 6259-1B.
8.2.3.7 Kiểm tra trục chân vịt/ống bao
Nếu kho chứa nổi được phân cấp với dấu hiệu VRM (Disconnectable), kiểm tra trục chân vịt/ống bao phải thỏa mãn các yêu cầu áp dụng ở TCVN 6259-1B. Tuy nhiên, do số giờ vận hành thấp, thời hạn kiểm tra có thể được kéo dài dựa vào việc thực hiện các yêu cầu dưới đây, nếu có:
a) Thợ lặn kiểm tra bên ngoài ổ đỡ trục đuôi và khu vực làm kín bên ngoài, bao gồm kiểm tra hao mòn đến mức có thể được;
b) Kiểm tra vị trí trục (làm kín bên trong) trong buồng máy đẩy;
c) Xác nhận các báo cáo dầu bôi trơn (độ hao hụt dầu thỏa đáng, no có dấu hiệu nhiễm bẩn không thể chấp nhận);
d) Các chi tiết làm kín trục phải được kiểm tra/thay thế theo khuyến nghị của nhà chế tạo.
8.2.4 Hoán cải
Nếu dự kiến thực hiện hoán cải bất kỳ cho hệ thống ngăn khí hóa lỏng, các hệ thống công nghệ, máy, đường ống, thiết bị..., mà có thể ảnh hưởng tới cấp của kho chứa nổi, phải cung cấp nội dung chi tiết hoán cải để xem xét. Việc hoán cải kho chứa nổi phải thỏa mãn các quy định của Tiêu chuẩn này.
8.2.5 Hư hỏng và sửa chữa
8.2.5.1 Nếu một kho chứa nổi được phân cấp bị hư hỏng bất kỳ về kết cấu, hệ thống ngăn hàng, các hệ thống công nghệ được phân cấp, máy, đường ống, thiết bị..., mà có thể ảnh hưởng tới cấp kho chứa nổi, đơn vị giám sát phải được thông báo và hư hỏng phải được người giám sát kiểm tra. Nội dung chi tiết của đợt sửa chữa dự kiến phải được cung cấp để xem xét, và công việc phải được thực hiện thỏa mãn người giám sát hiện trường.
8.2.5.2 Nếu một bộ phận của máy, đường ống hoặc thiết bị công nghệ bị hư hỏng sớm hoặc bất ngờ và sau đó được sửa chữa hoặc thay mới mà không có người giám sát chứng kiến, thì nội dung chi tiết về hư hỏng, bao gồm cả các phần hư hỏng nếu có, phải được lưu trên kho chứa nổi để người giám sát kiểm tra trong đợt kiểm tra gần nhất. Hoặc các phần hư hỏng có thể được đưa vào bờ để kiểm tra và thử nếu cần thiết.
8.2.5.3 Nếu các hư hỏng nêu ở 8.2.5.2 ở trên được coi là kết quả của việc bảo dưỡng không phù hợp hoặc không đầy đủ, thì kế hoạch kiểm tra và bảo dưỡng phải được sửa đổi.
8.2.6 Hàn và thay thế vật liệu
Thép kết cấu có độ bền ban đầu và cao hơn. Việc hàn hoặc chế tạo khác thực hiện trên các thép kết cấu được nêu ở TCVN 6259-7 phải thỏa mãn các yêu cầu ở TCVN 6259-6.
8.3 Kiểm tra trên cơ sở rủi ro để duy trì cấp
8.3.1 Yêu cầu chung
Các quy định ở Mục này gồm các yêu cầu kiểm tra cụ thể để duy trì cấp của kho chứa nổi mà có các kế hoạch kiểm tra được xây dựng dựa trên các phương pháp kỹ thuật đánh giá rủi ro như một giải pháp thay thế tương đương với các yêu cầu quy định nêu ở 8.2 của Tiêu chuẩn này.
8.3.1.1 Áp dụng
Mặc dù Mục này đưa ra các yêu cầu kiểm tra dựa trên rủi ro như là một giải pháp thay thế để duy trì cấp, các mục về quy trình phân cấp trong Tiêu chuẩn này vẫn được áp dụng. Nếu không có hướng dẫn hoặc viện dẫn cụ thể trong Mục này, thì các yêu cầu trong các tiêu chuẩn theo thông lệ vẫn được áp dụng.
8.3.1.2 Thời hạn kiểm tra
Do tính chất và mục đích đa dạng của kho chứa nổi và nội dung khác nhau của kế hoạch kiểm tra có khả năng được phát triển như là một phần của cách tiếp cận dựa trên rủi ro của Chủ kho chứa nổi để phân cấp, cho nên thực tế không thể xem xét thiết lập kế hoạch chắc chắn cho các yêu cầu kiểm tra trong Mục này để duy trì cấp.
8.3.2 Các yêu cầu về kiểm tra trên cơ sở rủi ro
8.3.2.1 Quy định chung
8.3.2.1.1 Khi áp dụng phương pháp dựa trên rủi ro, phải các kế hoạch kiểm tra và bảo dưỡng đề xuất của Chủ kho chứa nổi, bao gồm chi tiết về tần suất và phạm vi thực hiện. Nếu các kế hoạch này lệch khỏi các yêu cầu kiểm tra truyền thống nêu trong Tiêu chuẩn này, thì phương pháp đánh giá rủi ro phải giải quyết cụ thể các sai lệch này để không tạo ra mức không chấp nhận được về an toàn và toàn vẹn của kho chứa nổi. Ngoài các kế hoạch kiểm tra và bảo dưỡng nêu ở trên, hồ sơ sau phải được nộp cho đơn vị giám sát tối thiểu 6 tháng trước khi kế hoạch có hiệu lực.
8.3.2.1.2 Tối thiểu, phải thiết lập hồ sơ bao gồm các hạng mục sau:
a) Phương pháp và cơ sở được sử dụng trong kỹ thuật đánh giá rủi ro;
b) Các phương pháp mà kỹ thuật được sử dụng để thiết lập các kế hoạch bảo dưỡng;
c) Các phương pháp mà kỹ thuật được sử dụng để cập nhật và thay đổi các kế hoạch kiểm tra và bảo dưỡng;
d) Các phương pháp mà các hạng mục sau được kiểm soát:
- Báo cáo sự không phù hợp và tai nạn;
- Các cuộc kiểm tra quá hạn;
- Xem xét quản lý và đánh giá nội bộ;
- Kiểm soát, lưu trữ và sử dụng hồ sơ và dữ liệu;
- Các quy trình thay đổi cho các kế hoạch.
8.3.2.2 Đánh giá rủi ro tại vị trí hoạt động cụ thể
Khi áp dụng phương pháp dựa trên rủi ro cho kho chứa nổi, đánh giá rủi ro mà làm cơ sở cho kế hoạch kiểm tra hoặc bảo dưỡng phải cho vị trí hoạt động cụ thể. Nếu kho chứa nổi được thay đổi vị trí hoạt động, Chủ kho chứa nổi phải xem xét lại đánh giá rủi ro.
8.3.3 Kiểm tra
8.3.3.1 Quy định chung
8.3.3.1.1 Kiểm tra định kỳ
Để ghi nhận kiểm tra định kỳ dựa vào các phương pháp kỹ thuật kiểm tra trên cơ sở rủi ro, kho chứa nổi phải tuân theo chương trình kiểm tra liên tục, theo đó việc kiểm tra tất cả các hạng mục áp dụng phải được thực hiện liên tục trong chu kỳ kiểm tra định kỳ 5 năm. Nếu chương trình kiểm tra này bao gồm một kế hoạch giám sát-tình trạng/bảo dưỡng-phòng ngừa, thì kế hoạch này phải thỏa mãn TCVN 6259-1B hoặc tiêu chuẩn được chấp nhận.
8.3.3.1.2 Kế hoạch kiểm tra
Kế hoạch kiểm tra nêu chi tiết thời gian và phạm vi sẽ được xem xét để thiết lập phạm vi và hạng mục cho các đợt kiểm tra hàng năm và định kỳ được thực hiện bởi người giám sát. Người giám sát cũng giám sát hệ thống quản lý chất lượng nội bộ của Chủ kho chứa nổi theo yêu cầu của Tiêu chuẩn này. Trong tuổi thọ hoạt động của kho chứa nổi, các báo cáo kiểm tra và bảo dưỡng phải được cập nhật liên tục và sẵn có để người giám sát tham khảo. Người vận hành phải thông báo cho đơn vị giám sátvề các thay đổi bất kỳ nếu có của các quy trình bảo dưỡng và tần suất của chúng. Ví dụ như các thay đổi, bổ sung hoặc lược bỏ thiết bị ban đầu.
8.3.3.2 Kiểm tra lần đầu sau khi chương trình RBI
Kiểm tra lần đầu phải được thực hiện để xác nhận rằng các hệ thống và các kế hoạch yêu cầu được thực hiện đầy đủ. Phải thực hiện kiểm tra tối thiểu 3 tháng sau ngày chấp nhận các kế hoạch kiểm tra, nhưng không được muộn hơn ngày đến hạn kiểm tra hàng năm tiếp theo.
8.3.3.3 Kiểm tra hàng năm
Kiểm tra hàng năm phải được thực hiện bởi người giám sát trong khoảng thời gian 3 tháng trước hoặc sau ngày ấn định kiểm tra hàng năm của kiểm tra phân cấp lần đầu/cấp mới. Phải thực hiện kiểm tra theo kế hoạch kiểm tra trên cơ sở rủi ro để xác nhận rằng kho chứa nổi duy trì thỏa mãn các yêu cầu của tiêu chuẩn áp dụng và các tiêu chuẩn liên quan khác.
8.3.3.4 Kiểm tra định kỳ
Kiểm tra định kỳ các kho chứa nổi phải được thực hiện trong khoảng thời hạn 5 năm của kiểm tra phân cấp lần đầu và tại các thời hạn 5 năm sau đó. Đợt kiểm tra phải bao gồm tất cả các hạng mục, trong kế hoạch kiểm tra trên cơ sở rủi ro, được liệt kê cho kiểm tra hàng năm, xác nhận hoàn thành chương trình kiểm tra liên tục.
8.3.4 Hoán cải
Nếu các hoán cải cho kho chứa nổi mà có thể ảnh hưởng tới việc phân cấp được thực hiện sau khi cấp giấy chứng nhận phân cấp, phải nộp các nội dung chi tiết của các đợt hoán cải đó để xem xét. Nếu thấy rằng hoán cải sẽ ảnh hưởng tới cấp, thì việc hoán cải kho chứa nổi tuân theo các yêu cầu của Tiêu chuẩn này. Tất cả các yêu cầu về tài liệu và hồ sơ thiết kế được nêu ở mục 5 của Tiêu chuẩn này phải sẵn có cho người giám sát hiện trường tại thời điểm hoán cải.
8.3.5 Hư hỏng và sửa chữa
Các yêu cầu ở 8.2.5 của Tiêu chuẩn này phải được tuân theo.
PHỤ LỤC A
(Quy định)
Hướng dẫn đánh giá độ bền mỏi của các kho chứa nổi dạng tàu
A.1. Khái quát
A.1.1. Lưu ý
A 1.1.1.Phụ lục này cung cấp một phương pháp định hướng cho người thiết kế nhằm đánh giá độ bền mỏi mà có thể sử dụng phương pháp đó cho các chi tiết kết cấu nhất định thay cho các phương pháp tinh xảo hơn, chẳng hạn như phương pháp phân tích phổ. Thuật ngữ “đánh giá” được dùng ở đây để phân biệt phương pháp này với các phân tích tinh xảo hơn.
A 1.1.2.Các tiêu chí nêu ra trong Phụ lục này được xây dựng từ các nguồn khác nhau, bao gồm mô hình tổn thương tuyến tính của Palmgren - Miner, phương pháp luận về đường cong mỏi S-N, số liệu môi trường dài hạn ở biển Bắc (số liệu của Walden), và giả thiết có trình độ tay nghề chuyên ngành trên biển được thừa nhận. Khả năng của kết cấu chống chịu với mỏi được cho bằng số đo tổn thương mỏi để cho phép những người thiết kế có được sự linh động tối đa.
A.1.2. Phạm vi áp dụng
Các tiêu chí trong Phụ lục này được soạn riêng cho các kho chứa nổi chứa khí hóa lỏng trên biển mà6.1 của Tiêu chuẩn này áp dụng.
A.1.3.Các tải trọng
Các tiêu chí này được biên soạn cho các dao động và tải trọng do sóng thông thường. Người thiết kế phải xem xét những tải trọng có tính chu kỳ khác trong suốt tuổi thọ dự kiến của kho chứa nổi mà chúng có thể gây ra hiệu ứng suất đáng kể.
A.1.4. Ảnh hưởng của ăn mòn
Để kể đến hao mòn trung bình trong suốt thời gian phục vụ, giá trị ứng suất tổng cộng tính được khi sử dụng các kích thước thực (tức là khấu trừ đi phần chiều sâu ăn mòn thiết kế danh định, xem Bảng 3 - Giá trị ăn mòn thiết kế danh nghĩa (1,2)) được hiệu chỉnh bằng một hệ số Cf, xem A5.1 của Phụ lục này.
A.1.5.Dạng thức của các tiêu chí
Các tiêu chí được biểu diễn dưới dạng so sánh giữa độ bền mỏi của kết cấu (khả năng chống chịu) với các tải trọng gây mỏi (các đòi hỏi) dưới dạng mộttham số mỏi, DM. Tổn thương mỏi tính toán DM phải nhỏ hơn hoặc bằng 1,0 trong thời hạn tuổi thọ thiết kế của kho chứa nổi, ứng với một tuổi thọ mỏi 20 năm.
A.2. Xét các mối nối khi đánh giá độ bền mỏi
A.2.1. Khái quát
Các tiêu chí này được phát triển để cho phép xem xét một phạm vi rộng các chi tiết kết cấu và sự bố trí sao cho khi sử dụng các tiêu chí này có thể tiến hành đánh giá mỏi rõ ràng (bằng con số) hầu hết các chi tiết quan trọng của kho chứa nổi. Tuy nhiên, đối với các chi tiết được đánh giá bằng cách so sánh với các chi tiết khác đã được chứng minh là thoả mãn, dưới các điều kiện môi trường khắc nghiệt bằng hoặc hơn, thì có thể không cần một đánh giá rõ ràng bằng con số.
A.2.2. Chỉ dẫn về vị trí
Dưới đây là chỉ dẫn chung về các mối nối và các vị trí phải được xét đến khi đánh giá độ bền mỏi kho chứa nổi dạng tàu.
A.2.2.1. Các mối nối của các thanh gia cường dọc với dầm ngang khoẻ/đà ngang đáy và với vách ngang
a) Chọn hai đến ba dầm dọc mạn trong khu vực từ 1,1 mớnnước đến khoảng 1/3 mớn nước trong khu vực giữa tàu và cả trong khu vực giữa 0,15L và 0,25L tính tương ứng từ đường vuông góc mũi (FP);
b) Chọn một đến hai dầm dọc từ mỗi nhóm sau: Dầm dọc boong, dầm dọc đáy, dầm dọc đáy trong và dầm dọc trên mặt bên các vách dọc
Đối với các chi tiết kết cấu này, đánh giá mỏi phải tập trung trước hết vào mép bẻ của dầm dọc ở các mối hàn chân lượn tròn của các thanh gia cường phẳng và các tấm mã gắn vào, như đã trình bày đối với CấpF hạng mục 2) và Cấp F2hạng mục 1) trong Bảng A.1.
Sau đó, đối với chi tiết kết cấu đã chọn, những điểm nguy hiểm trên lỗ cắt của bản thành, trên đầu dưới của các thanh gia cường cũng như trên chiều cao (họng) mối hàn cũng phải được kiểm tra chi tiết kết cấu được lựa chọn, xem A.6.2.1, A.6.2.2.
Khi việc bố trí mã đầu thanh gia cường dọc là khác nhau ở các mặt bên đối nhau của mộtdầm ngang khoẻ thì phải kiểm tra cả hai bên.
A.2.2.2. Tôn vỏ, đáy, đáy trong hoặc tấm vách ở chỗ nối với các dầm ngang khoẻ hoặc đà ngang đáy (để đánh giá độ bền mỏi của tấm)
a) Chọn một hoặc hai vị trí ở tấm tôn vỏ mạn gần đường nước tải trọng mùa hè giữa tàu vàgiữa 0,15Lvà 0,25L kể từ đường vuông góc mũi;
b) Chọn một hoặc hai vị trí giữa đáy và đáy trong, giữa kho chứa nổi;
c) Chọn một hoặc hai vị trí ở dải tôn dưới của vách dọc mạn, giữa kho chứa nổi.
A.2.2.3. Các mối nối của tấm vách nghiêng với đáy trong, vách dọc mạn và tôn boong bên trong
Chọn một vị trí giữa kho chứa nổi tại dầm ngang khỏe và giữa các dầm ngang.
Đối với chi tiết này, trị số fR phải được xác định bằng các phân tích F.E.M phần tử hữu hạn chia lưới mịn cho các trường hợp tải kết hợp.
A.2.2.4. Các mối nối của tấm lót tấm vách khoang cách ly của kết cấu loại chia ngăn (Cellular-type Construction) với đáy trên, tấm vách dọc tấm boong bên trong
Chọn một hoặc hai vị trí ở khu vực giữa kho chứa nổi tại các dầm khỏe đứng và ngang.
A.2.2.5. Các mối nối của sườn khoang
Các mối nối cuối đặc trưng của sườn khoang vào các két mạn trên và dưới trong các khoang hàng xem Hình A.1 bên dưới.

HìnhA.1 - Các sườn khoang
A.2.2.6. Các mối nối của tấm nghiêng vào đáy trong và tôn vách dọc
Chọn một vị trí ở khu vực giữa kho chứa nổi tại dầm ngang khỏe (xem Hình A.2 dưới đây).

Hình A.2 - Mối nối giữa đáy trong và tấm nghiêng két hông
A.2.2.7. Các mối nối ở đầu mã của các khung ngang
Chọn một hoặc hai vị trí ở khu vực giữa kho chứa nổi cho mỗi kiểu hình dạng mã.
A.2.2.8. Các góc miệng khoang của lỗ chui đỉnh vòm
Các lỗ khoét tiếp cận, các ống xuyên qua và các góc miệng của lỗ khoét cho đỉnh vòm két (xem Hình A.3 dưới đây).

Hình A.3 - Góc miệng khoang
A.2.2.9. Các chi tiết đỡ thẳng đứng
Các chi tiết đỡ thẳng đứng đại diện và bệ đỡ vào thân vỏ và các kết cấu két hàng.
A.2.2.10. Các chặn chống lắc ngang (chống xoay quanh trục dọc)
Các chặn chống lắc ngang anti-roll chocks đại diện và bệ đỡ vào thân vỏ và các kết cấu két hàng.
A.2.2.11. Các chặn chống lắc dọc (chống xoay quanh trục ngang)
Các chặn chống lắc dọc đại diện và bệ đỡ vào thân vỏ và các kết cấu két hàng.
A.2.2.12. Các chân mã của các chi tiết đỡ chính của các kết cấu két hàng
Các chân mã của các khung sườn khỏe ngang, các tấm vách chống va và các sống ngang.
A.2.2.13. Các vùng và vị trí khác
Các vùng và vị trí khác (ví dụ xem Hình A.4 dưới đây), chịu ứng suất cao bởi các tải dao động, như đã được xác định qua phân tích kết cấu.

Hình A.4 - Các chi tiết kép và các phần tử không mang tải trên tôn boong hoặc tôn vỏ
Bảng A.1 - Phân loại mỏi các chi tiết kết cấu
| Tênloại | Mô tả |
| B | Các vật liệu gốc được hàn, thép tấm hoặc thép hình cán hoặc kéo, với các đường mép không cắt bằng ngọn lửa |
| C | 1) Vật liệu gốc với các đường mép cắt bằng lửa tự động 2) Các mối hàn đường thấu hoàn toàn hoặc các mối hàn góc theo chiều dọc được hàn bằng một quá trình hồ quang chìm hoặc hở tự động, và không có các chỗ bắt đầu - kết thúc trong khoảng chiều dài ấy |
| D | 1) Các mối hàn đối đầu thấu hoàn toàn giữa cáctấm có chiều rộng và chiều dày bằng nhau được làm bằng tay hoặc bằng mộtquá trình tự động khác với hồ quang chìm, từ cả hai phía, ở vị trí hàn nằm 2) Các mối hàn nêu trong C2) có các chỗ bắt đầu - kết thúc trong khoảng chiều dài |
| E | 1) Các mối hàn đối đấu thầu hoàn toàn được làm bằng phương pháp khác với phươngpháp đã nêu ở D1) 2) Các mối hàn đối đầu thấu hoàn toàn được làm từ cả hai phía giữa các tấm có chiều rộng không bằng nhau nhưng được gia công bằng máy để tạo thành đoạn chuyển tiếp êm hòa với một độ vát không lớn hơn 1/4. Các tấm có chiều dày khác nhau nhưng được gia công bằng máy tạo thành đoạn chuyển tiếp có độ vát không lớn hơn 1/3, trừ khi đoạn chuyển tiếp trong phạm vi mối hàn đường được chấp thuận
3) Mối hàn các bản mã và nẹp gia cường với bản thành của các sống đáy
|
| F | 1) Các mối hàn đối đầu thấu hoàn toàn được hàn trên một dải lót lưng backing strip cố định giữa các tấm có chiều rộng/chiều dày bằng nhau hoặc giữa các tấm có chiều rộng/chiều dày không bằng nhau như đã nêu cụ thể ở E-2. 2) Các mối hàn góc chân lượn tròn (Rounded fillet welds) như được chỉ ra dưới đây
"Y" được coi là phần tử không chịu lực 3) Các mối hàn của các mã và các nẹp gia cường với các bản thành flanges
4) Các mối hàn (Attachments) gắn lên tấm hoặc tấm mặt (faceplate)
|
| F2 | 1) Các mối hàn góc như chỉ ra dưới đây với mối hàn được lượn tròn và không có vết cắt
|
| 2) Các mối hàn góc có vết cắt ở các góc được làm nhẵn bằng cách mài cục bộ
| |
| G | 1) Các mối hàn góc trong F2 -1) chân không được lượn tròn hoặc có vết cắt nhỏ limited minor undercutting ở các góc hoặc ở chân tấm mã |
| 2) Các mối nối chồng như chỉ ra dưới đây | |
| 3) Các mối hàn góc trong F2 - 3) có vết cắt nhỏ | |
| 4) Mối hàn đắp lên bản mặt hoặc bản thành
| |
| W | Các mối hàn góc - họng hàn
|
| Chú thích: 1) Đối với các mã nối từ hai phần tử mang tải trở lên thì hệ số tập trung ứng suất SCF thích hợp phải được xác định bằng phân tích phần tử hữu hạn chia lưới mịn 3D hoặc 2D. Ở kết nối này, phân loại mỏi tại các chân mã có thể được nâng lên cấp E như ở dưới đây.
2) Thông tin bổ sung về các hệ số tập trung ứng suất và việc chọn dữ liệu đường cong S-N thích hợp được cho ở A.6. | |
A.3. Đánh giá độ bền mỏi
A.3.1.Các giả thiết
A.3.1.1. Độ bền mỏi của một chi tiết kết cấu dưới tác dụng của tải trọng cụ thể, xét về mặt hư hỏng do mỏi, phải được đánh giá khi sử dụng các tiêu chí được nêu trong mục này. Các giả thiết chủ yếu được liệt kê dưới đây với dụng ý để hướng dẫn:
a) Mô hình tổn thương tích lũy tuyến tính (ví dụ như quy tắc Palmgren-Miner) được áp dụng trong mối liên hệ với các đường cong dữ liệu S-N ở Hình A.5.
b) Sử dụng các ứng suất có tính chu kỳ do tải trọng trong A.4 và bỏ qua các ảnh hưởng của ứng suất trung bình.
c) Tuổi thọ nhắm đến của kho chứa nổi được lấy bằng 20 năm.
d) Các dải ứng suất dài hạn ở chi tiết có thể được môtả đặc trưng khi sử dụng một tham số phân bố ứng suất dài hạn cải biến, (γ).
e) Các chi tiết kết cấu được phân loại ở Bảng A.1, “Phân loại mỏi các chi tiết kết cấu”.
f) Dùng ứng suất danh định đơn giản (ví dụ khi được xác định bằng P/A và M/W) làm cơ sở để đánh giá mỏi, hơn là dùng ứng suất lớn nhất cục bộ ở mối hàn.
A.3.1.2. Phân loại chi tiết kết cấu ở Bảng A.1 là dựa trên hình học của mối nối và hướng tác dụng của tải trọng quan trọng nhất. Khi tác động tải trọng hoặc hình học quá phức tạp dẫn đến khó phân loại được một cách đơn giản thì phải tiến hành phân tích phần tử hữu hạn các chi tiết để xác định các hệ số tập trung ứng suất, SCF. Trong A.7 của Phụ lục này có nêu hướng dẫn về việc lập mô hình phân tích phần tử hữu hạn để xác định các SCF ở các vị trí chân mối hàn mà ta thường gặp ở các mối nối đầu thanh gia cường dọc.
A.3.2. Các tiêu chí
Các tiêu chí được biểu thị như một sự so sánh độ bền mỏi của kết cấu (khả năng chống chịu) với các tải trọng gây mỏi (đòi hỏi) dưới dạng một tham số tổn thương mỏi, DM. Tổn thương mỏi tính được này phải nhỏ hơn hoặc bằng 1,0 trong tuổi thọ thiết kế của kho chứa nổi; nó ứng với tuổi thọ mỏi 20 năm.
A.3.3. Tham số phân bố ứng suất dài hạn, γ
Tham số phân bố ứng suất dài hạn, γ này như được xác định dưới đây
| γ = | 1.40 - 0.2 α L0.2 | cho | 150 < L < 305 m |
| = | 1.40-0.16 α L0.2 | cho | 492 < L < 1000 ft |
| γ = | 1.54 - 0.245 α 0.8 L0.2 | cho | L > 305 m |
| = | 1.54 -0.19 α 0.8 L0.2 | cho | L> 1000 ft |
Trong đó:
α = 1,0 với các kết cấu boong, bao gồm cả vỏ mạn và các kết cấu vách dọc nằm trong khoảng phía trên 0,1D tính từ boong phía bên xuống dưới;
α = 0,93 với kết cấu đáy, bao gồm cả đáy trong, tôn mạn, và các kết cấu vách dọc nằm trong khoảng 0,1D tính từ đáy;
α = 0,86 với tôn mạn và các kết cấu vách dọc nằm trong khoảng 0,25D hướng lên và 0,3D hướng xuống tính từ giữa chiều cao kho chứa nổi;
α = 0,80 với các kết cấu vách ngang.
Có thể nội suy tuyến tính α cho tôn mạn và các kết cấu vách dọc nằm trong khoảng từ 0,1D đến 0,25D (0,2 D) tính từ boong trên (đáy).
L và D là các kích thước chiều dài và chiều cao của thân kho chứa nổi, như được định nghĩa ở TCVN 6259.
A.3.4. Tổn thương mỏi tích lũy
A.3.4.1. Trừ khi có quy định chỉ cụ thể khác, tổn thương tích lũy tổng hợp phải được lấy bằng:
DM= 0,15 DM1 + 0,35 DM2 + 0,35 DM3 + 0,15 DM4
Trong đó:
DMi = Tỷ lệ tổn thương mỏi tích lũy cho điều kiện tải trọng áp dụng i, trong đó I = 1, 2, 3, 4 như quy định chỉ ra trong Hình A.6, bao gồm 8 trường hợp tải trọng như chỉ ra trong các bảng từ Bảng A.2A đến Bảng A.2D của Phụ lục này:
= ![]()
Các hệ số fi,j-k(*)
|
| Cặp tải trọng j-k | 1 -2 | 3-4 | 5-6 | 7-8 |
| Hướng | 0 | 90 | 60 | 30 | |
| A(2,3,4) | fi,j-k,Neo chùm | 0,40 | 0,10 | 0,20 | 0,30 |
| B(2) | fi,j-k,Neo tháp | 0,60 | 0,00 | 0,10 | 0,30 |
*Chú thích:
1) Khi thông tin hướng thực tế xác định đã được sẵn sàng và trình nộp, có thể dùng hướng thực tế theo khả năng thay cho các số liệu bảng trên
2) Ở các giai đoạn đầu xem xét kế hoạch, hoặc khi chưa xác định được các điều kiện trước khi đưa vào áp dụng Quy Chuẩn Tầu Biển vỏ thép thì phải xem xét cho cả các trường hợp A và B và phải sử dụng các kết quả thiên về an toàn hơn
3) Cũng có thể dùng cho các kho chứa nổi có tháp neo được đặt ở vị trí lớn hơn 25% chiều dài kho chứa nổi phía sau mũi
4) Cũng có thể dùng cho các địa điểm mà ở đó các điều kiện gió, sóng và dòng chảy không cộng tuyến, không xét đến hệ thống neo.
A.3.4.2. Với giả thiết các dải ứng suất dài hạn tuân theo một luật phân bố ứng suất dài hạn hai tham số thì phải tính tổn thương mỏi tích lũy DMM cho mỗi điều kiện liên quan như sau:
![]()
Trong đó:
NL - Số chu trình trong thời gian tuổi thọ thiết kế dự kiến. Nếu không có quy định khác thì phải lấy
![]()
Trị số của NL thông thường nằm trong khoảng từ 0,6x108 đến 0,8x108 chu trình trong tuổi thọ thiết kế 20 năm;
U - Tuổi thọ thiết kế tính bằng giây; U = 6,31x108 trong tuổi thọ 20 năm;
L - Chiều dài theo tiêu chuẩn, tính bằng mét;
m - Tham số của đường cong S-N như định nghĩa ở Hình A.5, Chú dẫn a);
K2 - Tham số của đường cong S-N như định nghĩa ở Hình A.5, Chú dẫn a);
fRi - Dải ứng suất ở mức xác suất tiêu biểu 10-4, tính bằng N/cm2;
NR - Số chu trình ứng với xác suất 10-4; NR = 10000;
γ - Tham số phân bố ứng suất dài hạn như được định nghĩa ở A.3.3 của Phụ lục này;
- Hàm Gamma;
μi - Hệ số ứng suất kể tới sự thay đổi độ dốc của đường cong S-N


fq - Dải ứng suất tại điểm giao giữa hai đoạn segment của đường cong S-N, xem bảng trong Hình A.5, Chú dẫn a), tính bằng N/mm2;
Δm - Thay đổi độ dốc giữa đoạn trên và đoạn dưới upper-lower segment của đường cong S-N.
Δm = 2;
- Hàm Gamma không đầy đủ, dạng Legendre.

Hình A.5 - Các đường cong S-N thiết kế cơ bản
Các Chú dẫn (cho Hình A.5):
a) Các đường cong mỏi S-N thiết kế cơ bản
Các đường cong mỏi thiết kế cơ bản gồm mô tả các mối quan hệ tuyến tính giữa log(SB) và log(N). Chúng dựa trên một phân tích thống kê các số liệu thực nghiệm mỏi thích hợp và có thể lấy làm đường nằm dưới đường S-N trung bình một khoảng bằng hai độ lệch chuẩn.
Như vậy các đường cong S-N cơ bản có dạng:
log(N) = log(K2)-mlog(SB)
Trong đó:
log(K2) = log(K1)-2σ
N- Số chu trình đến phá hủy dự báo ứng với dải ứng suất SB;
K1 - Hằng số liên quan đến đường cong S-N trung bình;
σ - Độ lệch chuẩn của log(N);
m - Nghịch đảo độ dốc của đường cong S-N.
Trị số liên quan của các đại lượng này được cho trong bảng dưới đây:
Các đường cong mỏi S-N này đều có sự thay đổi số nghịch đảo độ dốc từ m thành m + 2 ở số chu trình đến phá hủy N = 107.
Các chi tiết về các đường cong mỏi S-N cơ bản
| Loại | K1 | K1 | m | Độ lệch chuẩn | K2 | ||
| log10 | loge | log10 | loge | ||||
| B | 2,243x1015 | 15,3697 | 35,3900 | 4,0 | 0,1821 | 0,4194 | 1,01x1015 |
| C | 1,082x1014 | 14,0342 | 32,3153 | 3,5 | 0,2041 | 0,4700 | 4,23x1013 |
| D | 3,988x1012 | 12,6007 | 29,0144 | 3,0 | 0,2095 | 0,4824 | 1,52x1012 |
| E | 3,289x1012 | 12,5169 | 28,8216 | 3,0 | 0,2509 | 0,5777 | 1,04x1012 |
| F | 1,726x1012 | 12,2370 | 28,1770 | 3,0 | 0,2183 | 0,5027 | 0,63x1012 |
| F2 | 1,231x1012 | 12,0900 | 27,8387 | 3,0 | 0,2279 | 0,5248 | 0,43x1012 |
| G | 0,566x1012 | 11,7525 | 27,0614 | 3,0 | 0,1793 | 0,4129 | 0,25x1012 |
| W | 0,368x1012 | 11,5662 | 26,6324 | 3,0 | 0,1846 | 0,4251 | 0,16x1012 |
A.4. Các tải trọng gây mỏi và xác định các dải hiệu ứng suất tổng cộng
A.4.1.Khái quát
Mục này đưa ra: 1) Các tiêu chí để xác định các thành phần tải riêng biệt mà nó được coi là gây ra tổn hại mỏi (xem A.A.4.2 của Phụ lục này); 2) Các trường hợp tổ hợp tải trọng được xét ở những khu vực khác nhau của thân kho chứa nổi mà ở đó cố chi tiết kết cấu cần được đánh giá về mỏi (xem A.A.4.3 của Phụ lục này); và 3) Các quy trình lý tưởng hoá các thành phần kết cấu để nhận được dải hiệu ứng suất tổng cộng tác động lên kết cấu.
A.4.2. Các tải do sóng gây ra - Các thành phần tải
Các thành phần tải gây mỏi được xem xét là các thành phần tải do sóng biển gây ra. Chúng được chia thành ba nhóm sau:
- Các mômen uốn do sóng ở các sống thâ) kho chứa nổi (cả mômen thẳng đứng và nằm ngang), xem 13.2 Phần 2A củaTCVN 6259: 2003;
- Các áp suấtthủy động phía ngoài; và
- Các tải trọng bên trong két, gồm các tải do quán tính chất lỏng và cột áp tĩnh thêm vào do chuyển động, dao động của kho chứa nổi.
A.4.3. Đánh giá mỏi - Các điều kiện tải trọng
A.4.3.1. Bốn (4) điều kiện tải trọng được xét trong tính toán dải hiệu ứng suất được chỉ ra trong Hình A.6. Với mỗi điều kiện tải trọng, tám (8) trường hợp tải như được chỉ ra trong Bảng A.2A đến Bảng A.2D được xác định để tạo thành bốn (4) cặp. Các tổ hợp của các trường hợp tải trọng phải được sửdụng để tìm ra dải hiệu ứng suất đặc trưng tương ứng với một xác suất vượt bằng 10-4 như được chỉ ra dưới đây.
A.4.3.2. Các trường hợp tổ hợp tải tiêu chuẩn
a) Tính thành phần động lực của ứng suất cho các trường hợp tải lần lượt từ FLC1 đến FLC8 tương ứng cho mỗi điều kiện trong 4 điều kiện tải trọng được chỉ ra trong Hình A.6;
b) Tính 4 tập hợp của các dải hiệu ứng suất, mỗi tập ứng với một cặp trường hợp cho 4 cặp các trường hợp tải kết hợp như sau: FLC1 và FLC2, FLC3 và FLC4, FLC5 và FLC6, và FLC7 và FLC8, cho mỗi một trong 4 điều kiện tải trọng được chỉ ra ở Hình A.6.
A.4.3.3. Những kho chứa nổi có các kiểu tải đặc biệt hoặc có cấu hình kết cấu đặc biệt
Đối với những kho chứa nổi có các kiểu tải đặc biệt hoặc có cấu hình kết cấu hay đặc tính đặc biệt, có thể đòi hỏi phải xét đến các trường hợp tải bổ sung với xác suất thích hợp để xác định dải hiệu ứng suất.
Hình A.6 - Các điều kiện tải trọng dùng để đánh giá độ bền mỏi

Các Chú dẫn:
1) Mớn nước ở trạng thái dằn - Nếu mớn nước ở trạng thái hoạt động dằn trên mạn nhỏ nhất trên thực tế hiện trường lớn hơn 0,4 lần mớn nước thiết kế, thì có thể sử dụng mớn nước thực tế, nhưng không được lấy vượt quá 0,6 lần mớn nước thiết kế.
Điều kiện này cũng được dùng cho hoạt động di chuyển với mớn nước thực khi di chuyển nằm trong khoảng từ 0,1 đến 0,6 lần mớn nước thiết kế;
2) Các mớn nước trung gian - là mớn nước được chia đều giữa các mớn nước ở điều kiện tải trọng 1 và mớn nước ở điều kiện tải trọng 4;
3) Mớn nước ở trạng thái toàn tải - Nếu mớn nước ở trạng thái toàn tải trên mạn lớn nhất thực tế lớn hơn 0,9 lần mớn nước thiết kế thi có thể sử dụng mớn nước thực tế.
Bảng A.2A - Các trường hợp tải mỏi thiết kế (FLC) dùng để đánh giá độ bền mỏi
(Các hệ số tổ hợp tải trọng đối với các thành phần tải động cho điều kiện tải trọng 1)
|
| FLC1 | FLC2 | FLC3 | FLC4 | FLC5 | FLC6 | FLC7 | FLC8 | ||||||
| A. Các tải trọng trên sông của thân (Hull Girder) kho chứa nổi | ||||||||||||||
| ThẳngđứngVBM | Võng xuống (-) | Vồng lên (+) | Võng xuống (-) | Vồng lên (+) | Võng xuống (-) | Vồng lên (+) | Võng xuống (-) | Vồng lên (+) | ||||||
| kc | 1,00 | 1,00 | 0,30 | 0,30 | 0,75 | 0,75 | 0,70 | 0,70 | ||||||
| VSF | (+) | (-) | (+) | (-) | (+) | (-) | (+) | (-) | ||||||
| kc | 0,60 | 0,60 | 0,30 | 0,30 | 0,55 | 0,55 | 0,10 | 0,10 | ||||||
| HBM |
|
|
|
| (-) | (+) | (-) | (+) | ||||||
| kc | 0,00 | 0,00 | 0,10 | 0,10 | 1,00 | 1,00 | 1,00 | 1,00 | ||||||
| HSF |
|
|
|
| (+) | (-) | (+) | (-) | ||||||
| kc | 0,00 | 0,00 | 0,10 | 0,10 | 0,85 | 0,85 | 0,85 | 0,85 | ||||||
| B. Áp suất bên ngoài | ||||||||||||||
| kc | 0,80 | 0,80 | 1,00 | 1,00 | 0,70 | 0,70 | 0,45 | 0,45 | ||||||
| kf0 | -1,00 | 1,00 | -1,00 | 1,00 | -1,00 | 1,00 | -1,00 | 1,00 | ||||||
| C. Áp suất bên trong két | ||||||||||||||
| kc | 0,40 | 0,40 | 1,00 | 1,00 | 0,75 | 0,75 | 0,40 | 0,40 | ||||||
| wv | 0,40 | -0,40 | 0,75 | -0,75 | 0,10 | -0,10 | 0,25 | -0,25 | ||||||
| wl | Váchtrước | 0,20 | -0,20 | - | - | 0,50 | -0,50 | 0,80 | -0,80 | |||||
| Váchsau | -0,20 | 0,20 | - | - | -0,50 | 0,50 | -0,80 | 0,80 | ||||||
| wt | Váchtrái | - | - | -0,85 | 0,85 | -0,05 | 0,05 | -0,05 | 0,05 | |||||
| Váchphải | - | - | 0,85 | -0,85 | 0,05 | -0,05 | 0,05 | -0,05 | ||||||
| cɸ, Pitch | -0,15 | 0,15 | -0,10 | 0,10 | -0,30 | 0,30 | -0,45 | 0,45 | ||||||
| cθ, Roll | 0,00 | 0,00 | 1,00 | -1,00 | 0,05 | -0,05 | 0,05 | -0,05 | ||||||
| D. Hướng sóng tham chiếu và chuyển động dao động (motion) của kho chứa nổi | ||||||||||||||
| Góchướng | 0 | 0 | 90 | 90 | 60 | 60 | 30 | 30 | ||||||
| Nâng | Xuống | Lên | Xuống | Lên | Xuống | Lên | Xuống | Lên | ||||||
| Lắcdọc | Mũi chúi xuống | Mũi ngóc lên | Mũi chúi xuống | Mũi ngóc lên | Mũi chúi xuống | Mũi ngóc lên | Mũi chúi xuống | Mũi ngóc lên | ||||||
| Lắc ngang | - | - | Mạn phải xuống | Mạn phải lên | Mạn phải xuống | Mạn phải lên | Mạn phải xuống | Mạn phải lên | ||||||
Các Chú dẫn:
1. Dải hiệu mômen uốn trong mặt đứng theo tiêu chuẩn (Rule) =
, xem 6.3.3.1.1 cho Mws và Mwh
2. Dải hiệu mômen uốn trong mặt ngang theo tiêu chuẩn =2Mh, xem 6.3.3.1.1 cho Mwh;
3. Đối với mỗi cặp trường hợp tải, dải hiệu ứng suất do áp suất cục bộ là hiệu số khác biệt giữa các trịứng suất đối với các điều kiện tải áp suất cục bộ. Chẳng hạn, đối với cặp trường hợp điều kiện tải FLC1 và FLC2 thì dải hiệu ứng suất do áp suất cục bộ là hiệu số khác biệt giữa các trị ứng suất đối với FLC1 và FLC2;
4. Đối với mỗi cặp trường hợp điều kiện tải, dải hiệu ứng suất là tổng của các giá trị dải hiệu ứng suấttuyệt đối do mômen uốn đứng (VBM), mômen uốn ngang (Horizontal BM) và các điều kiện tải áp suấtcục bộ.
Bảng A.2B - Các trường hợp tải mỏi thiết kế (FLC) dùng để đánh giá độ bền mỏi
(Các hệ số tổ hợp tải trọng đối với các thành phần tải động cho điều kiện tải trọng 2)
|
| FLC1 | FLC2 | FLC3 | FLC4 | FLC5 | FLC6 | FLC7 | FLC8 | |||
| A. Các tải trọng trên sống của thân kho chứa nổi | |||||||||||
| VBM | Võng xuống (-) | Vồng lên (+) | Võng xuống (-) | Vồng lên (+) | Võng xuống (-) | Vồng lên (+) | Võng xuống (-) | Vồng lên (+) | |||
| kc | 1,00 | 1,00 | 0,25 | 0,25 | 0,95 | 0,95 | 0,75 | 0,75 | |||
| VSF | (+) | (-) | (+) | (-) | (+) | (-) | (+) | (-) | |||
| kc | 0,55 | 0,55 | 0,15 | 0,15 | 0,70 | 0,70 | 0,25 | 0,25 | |||
| HBM |
|
|
|
| (-) | (+) | (-) | (+) | |||
| kc | 0,00 | 0,00 | 0,10 | 0,10 | 1,00 | 1,00 | 1,00 | 1,00 | |||
| HSF |
|
|
|
| (+) | (-) | (+) | (-) | |||
| kc | 0,00 | 0,00 | 0,15 | 0,15 | 0,80 | 0,80 | 0,80 | 0,80 | |||
| B. Áp suất bên ngoài | |||||||||||
| kc | 0,85 | 0,85 | 0,90 | 0,90 | 0,90 | 0,90 | 0,55 | 0,55 | |||
| kf0 | -1,00 | 1,00 | -1,00 | 1,00 | -1,00 | 1,00 | -1,00 | 1,00 | |||
| C. Áp suất bên trong két | |||||||||||
| kc | 0,55 | 0,55 | 0,70 | 0,70 | 0,20 | 0,20 | 0,40 | 0,40 | |||
| wv | 0,60 | -0,60 | 0,55 | -0,55 | 0,15 | -0,15 | 0,25 | -0,25 | |||
| wl | Váchtrước | 0,20 | -0,20 | - | - | 0,45 | -0,45 | 0,75 | -0,75 | ||
| Váchsau | -0,20 | 0,20 | - | - | -0,45 | 0,45 | -0,75 | 0,75 | |||
| wt | Váchtrái | - | - | -0,95 | 0,95 | -0,05 | 0,05 | -0,10 | 0,10 | ||
| Váchphải | - | - | 0,95 | -0,95 | 0,05 | -0,05 | 0,10 | -0,10 | |||
| cɸ, Pitch | -0,20 | 0,20 | -0,05 | 0,05 | -0,10 | 0,10 | -0,35 | 0,35 | |||
| cθ, Roll | 0,00 | 0,00 | 1,00 | -1,00 | 0,05 | -0,05 | 0,05 | -0,05 | |||
| D. Hướng sóng tham chiếu và dao động của kho chứa nổi | |||||||||||
| Góchướng | 0 | 0 | 90 | 90 | 60 | 60 | 30 | 30 | |||
| Nhấpnhô | Xuống | Lên | Xuống | Lên | Xuống | Lên | Xuống | Lên | |||
| Lắc dọc | Mũi chúi xuống | Mũi ngóc lên | Mũi chúi xuống | Mũi ngóc lên | Mũi chúi xuống | Mũi ngóc lên | Mũi chúi xuống | Mũi ngóc lên | |||
| Lắcngang | - | - | Mạn phải xuống | Mạn phải lên | Mạn phải xuống | Mạn phải lên | Mạn phải xuống | Mạn phải lên | |||
| Các chú thích: 1) Dải hiệumômen uốn trong mặt đứng theo tiêu chuẩn (Rule)= 2) Dải hiệu mômen uốn trong mặtngang theo tiêu chuẩn= 2 Mh, xem 6.3.3.1.1 cho Mwh; 3) Đối với mỗi cặp trường hợp tải, dải hiệu ứng suất do áp suất cục bộ là hiệu số khác biệt giữa các trị ứng suất đối với các điều kiện tải áp suấtcụcbộ. Chẳng hạn, đối với cặp trường hợp điều kiện tải FLC1 và FLC2 thì dải hiệu ứng suất do áp suất cục bộ là hiệu số khác biệt giữa các trị ứng suấtđối với FLC1 và FLC2; 4) Đối với mỗi cặp trường hợp điều kiện tải, dài hiệu ứng suất là tổng của các giá trị dải hiệu ứng suất tuyệt đối do mômen uốn đứng (VBM), mômen uốn ngang (Horizontal BM) và các điều kiện tải áp suấtcục bộ. | |||||||||||
Bảng A.2C - Các trường hợp tải mỏi thiết kế (FLC) dùng để đánh giá độ bền mỏi
(Các hệ số tổ hợp tải trọng đối với các thành phần tải động cho điều kiện tải trọng 3)
|
| FLC1 | FLC2 | FLC3 | FLC4 | FLC5 | FLC6 | FLC7 | FLC8 | |||
| A. Các tải trọng trên sống dọc thân kho chứa nổi | |||||||||||
| VBM | Võng xuống (-) | Vồng lên (+) | Võng xuống (-) | Vồng lên (+) | Võng xuống (-) | Vồng lên (+) | Võng xuống (-) | Vồng lên (+) | |||
| kc | 1,00 | 1,00 | 0,25 | 0,25 | 0,90 | 0,90 | 0,70 | 0,70 | |||
| VSF | (+) | (-) | (+) | (-) | (+) | (-) | (+) | (-) | |||
| kc | 0,55 | 0,55 | 0,10 | 0,10 | 0,65 | 0,65 | 0,30 | 0,30 | |||
| HBM |
|
|
|
| (-) | (+) | (-) | (+) | |||
| kc | 0,00 | 0,00 | 0,10 | 0,10 | 1,00 | 1,00 | 1,00 | 1,00 | |||
| HSF |
|
|
|
| (+) | (-) | (+) | (-) | |||
| kc | 0,00 | 0,00 | 0,30 | 0,30 | 0,85 | 0,85 | 0,80 | 0,80 | |||
| B. Áp suất bên ngoài | |||||||||||
| kc | 0,85 | 0,85 | 0,85 | 0,85 | 0,85 | 0,85 | 0,75 | 0,75 | |||
| kf0 | -1,00 | 1,00 | -1,00 | 1,00 | -1,00 | 1,00 | -1,00 | 1,00 | |||
| C. Áp suất bên trong két | |||||||||||
| kc | 0,55 | 0,55 | 0,75 | 0,75 | 0,10 | 0,10 | 0,40 | 0,40 | |||
| wv | 0,55 | -0,55 | 0,55 | -0,55 | 0,15 | -0,15 | 0,30 | -0,30 | |||
| wl | Vách trước | 0,20 | -0,20 | - | - | 0,40 | -0,40 | 0,80 | -0,80 | ||
| Vách sau | -0,20 | 0,20 | - | - | -0,40 | 0,40 | -0,80 | 0,80 | |||
| wt | Vách trái | - | - | -1,00 | 1,00 | -0,05 | 0,05 | -0,15 | 0,15 | ||
| Vách phải | - | - | 1,00 | -1,00 | 0,05 | -0,05 | 0,15 | -0,15 | |||
| cɸ, Pitch | -0,15 | 0,15 | -0,15 | 0,15 | -0,20 | 0,20 | -0,45 | 0,45 | |||
| cθ, Roll | 0,00 | 0,00 | 1,00 | -1,00 | 0,05 | -0,05 | 0,10 | -0,10 | |||
| D. Hướng sóng tham chiếu và dao động của kho chứa nổi | |||||||||||
| Góc hướng | 0 | 0 | 90 | 90 | 60 | 60 | 30 | 30 | |||
| Nhấp nhô | Xuống | Lên | Xuống | Lên | Xuống | Lên | Xuống | Lên | |||
| Lắc dọc | Mũi chúi xuống | Mũi ngóc lên | Mũi chúi xuống | Mũi ngóc lên | Mũi chúi xuống | Mũi ngóc lên | Mũi chúi xuống | Mũi ngóc lên | |||
| Lắc ngang | - |
| Mạn phải xuống | Mạn phải lên | Mạn phải xuống | Mạn phải lên | Mạn phải xuống | Mạn phải lên | |||
| Các Chú thích: 1) Dải hiệu mômen uốn trong mặtđứng theo tiêu chuẩn (Rule) = 2) Dảihiệumômenuốntrongmặtngangtheotiêuchuẩn = 2Mh, xem 6.3.3.1.1 choMwh; 3) Đối với mỗi cặp trường hợp tải, hiệu ứng suấtdo áp suất cục bộ là hiệu giữa các trị ứng suất đối với các điều kiện tải áp suất cục bộ. Chẳng hạn, đối với cặp trường hợp tải FLC1 và FLC2 thì dải hiệu ứng suất do áp suấtcục bộ là hiệu giữa các giá trị ứng suấtđốivới FLC1và FLC2; 4) Đối với mỗi cặp trường hợp điều kiện tải, dải hiệu ứng suấtlàtổng của các giá trị dải hiệu ứng suấttuyệt đốidomômen uốn đứng (VBM), mômen uốn ngang (Horizontal BM) và các điều kiện tải áp suấtcục bộ. | |||||||||||
Bảng A.2D - Các trường hợp tải mỏi thiết kế (FLC) dùng để đánh giá độ bền mỏi
(Các hệ số tổ hợp tải trọng đối với các thành phần tải động cho điều kiện tải trọng 4)
|
| FLC1 | FLC2 | FLC3 | FLC4 | FLC5 | FLC6 | FLC7 | FLC8 | |
| A. Các tải trọng trên sống dọc thân kho chứa nổi | |||||||||
| VBM | Võng xuống (-) | Vồng lên (+) | Võng xuống (-) | Vồng lên (+) | Võng xuống (-) | Vồng lên (+) | Võng xuống (-) | Vồng lên (+) | |
| kc | 1,00 | 1,00 | 0,15 | 0,15 | 0,80 | 0,80 | 0,70 | 0,70 | |
| VSF | (+) | (-) | (+) | (-) | (+) | (-) | (+) | (-) | |
| kc | 0,55 | 0,55 | 0,20 | 0,20 | 0,50 | 0,50 | 0,40 | 0,40 | |
| HBM |
|
|
|
| (-) | (+) | (-) | (+) | |
| kc | 0,00 | 0,00 | 0,25 | 0,25 | 1,00 | 1,00 | 1,00 | 1,00 | |
| HSF |
|
|
|
| (+) | (-) | (+) | (-) | |
| kc | 0,00 | 0,00 | 0,25 | 0,25 | 0,85 | 0,85 | 0,80 | 0,80 | |
| B. Áp suất bên ngoài | |||||||||
| kc | 0,85 | 0,85 | 0,90 | 0,90 | 0,80 | 0,80 | 0,95 | 0,95 | |
| kf0 | -1,00 | 1,00 | -1,00 | 1,00 | -1,00 | 1,00 | -1,00 | 1,00 | |
| C. Áp suất bên trong két | |||||||||
| kc | 0,75 | 0,75 | 0,80 | 0,80 | 0,10 | 0,10 | 0,50 | 0,50 | |
| wv | 0,85 | -0,85 | 0,60 | -0,60 | 0,10 | -0,10 | 0,30 | -0,30 | |
| wl | Vách trước | 0,20 | -0,20 | - | - | 0,30 | -0,30 | 1,00 | -1,00 |
| Vách sau | -0,20 | 0,20 | - | - | -0,30 | 0,30 | -1,00 | 1,00 | |
| wt | Vách trái | - | - | -1,00 | 1,00 | -0,05 | 0,05 | -0,10 | 0,10 |
| Vách phải | - | - | 1,00 | -1,00 | 0,05 | -0,05 | 0,10 | -0,10 | |
| cɸ, Pitch | -0,30 | 0,30 | -0,15 | 0,15 | -0,10 | 0,10 | -0,80 | 0,80 | |
| cθ, Roll | 0,00 | 0,00 | 1,00 | -1,00 | 0,05 | -0,05 | 0,15 | -0,15 | |
| D. Hướng sóng tham chiếu và dao động của kho chứa nổi | |||||||||
| Góc hướng | 0 | 0 | 90 | 90 | 60 | 60 | 30 | 30 | |
| Nhấp nhô | Xuống | Lên | Xuống | Lên | Xuống | Lên | Xuống | Lên | |
| Lắc dọc | Mũi chúi xuống | Mũi ngóc lên | Mũi chúi xuống | Mũi ngóc lên | Mũi chúi xuống | Mũi ngóc lên | Mũi chúi xuống | Mũi ngóc lên | |
| Lắc ngang |
|
| Mạn phải xuống | Mạn phải lên | Mạn phải xuống | Mạn phải lên | Mạn phải xuồng | Mạn phải lên | |
| Các Chú thích: 1) Dải hiệu mômen uốn trong mặtđứng theo tiêu chuẩn (Rule) = 2) Dảihiệumômenuốntrongmặtngangtheotiêuchuẩn = 2Mh, xem 6.3.3.1.1 choMwh; 3) Đối với mỗi cặp trường hợp tải, hiệu ứng suấtdo áp suất cục bộ là hiệu giữa các trị ứng suất đối với các điều kiện tải áp suất cục bộ. Chẳng hạn, đối với cặp trường hợp tải FLC1 và FLC2 thì dải hiệu ứng suất do áp suấtcục bộ là hiệu giữa các giá trị ứng suấtđốivới FLC1và FLC2; 4) Đối với mỗi cặp trường hợp điều kiện tải, dải hiệu ứng suấtlàtổng của các giá trị dải hiệu ứng suấttuyệt đốidomômen uốn đứng (VBM), mômen uốn ngang (Horizontal BM) và các điều kiện tải áp suấtcục bộ. | |||||||||
A.4.4. Ứng suất căn bản, fd1
Có thể tính fd1h và fd1v bằng phương pháp dầm giản đơn. Để đánh giá độ bền mỏi của tôn mạn và tấm vách dọc tại các mối nối hàn thì trị số ứng suất căn bản do sóng gây ra phải được lấy bằng ứng suất chính lớn nhất tại vị trí đang xét, coi như có kể đến các ảnh hưởng của tải kết hợp của các ứng suất trực tiếp và ứng suất cắt. Để tính trị số fd1v của các phần tử dọc boong, độ cong ngang boong khum bình thường của các phần tử có thể được bỏ qua.
A.4.5. Ứng suất thứ cấp, fd2
Ứng suất fd2 có thể nhận được bằng các phương pháp tấm trực giao hoặc lưới đài cọc với các điều kiện biên thích hợp. Đối với các mối nối được quy định ở 2.2.1 của Phụ lục này, có thể bỏ qua fd2 - ứng suất uốn thứ cấp do sóng gây ra.
A.4.6. Các ứng suất thứ cấp phụ thêm
và ứng suất cấp ba fd3
A.4.3.1. Tính toán ứng suất ![]()
a) Khi cần, các ứng suất thứ cấp phụ thêm tác dụng ở mép bẻ của một thanh gia cường dọc, fd2 có thể lấy gần đúng bằng
f*d2= CtCyM/SM N/cm2 (kgf/cm2, lbf/in2)
Trong đó:
M - Mômen uốn bằng
M = Cdpsl2 /12 N-cm (kgf-cm, lbf-in) tại các đầu tựa đỡ của dầm dọc
b) Khi lắp các thanh gia cường phẳng hoặc các tấm mã thì mômen uốn Mtrên đây có thể được hiệu chỉnh tới vị trí chân mã gia cường.
c) Khi một dầm dọc có độ cứng gối tựa khác nhau đáng kể ở hai đầu của nó (chẳng hạn một dầm dọc được nối với vách ngang ở một đầu) thì cần phải có các xem xét đánh giá sự tăng mômen uốn ở chỗ nối đó;
Cd = 1,15 với các mối nối thanh gia cường dọc ở chỗ nối với vách ngang
• tất cả các dầm dọc các tầu chứa vỏ đơn, và
• các dầm dọc boong, dầm các vách dọc ngoại trừ các dầm ngoài cùng của tầu chứa vỏ kép
Cd = 1,0 với các trường hợp còn lại;
p - Áp suấtthực (net) cục bộ do sóng, đối với vị trí và trường hợp tải cụ thể đã quy định tại giữa nhịp (mid-span) của dầm dọc đang xem xét đến, N/cm2 (kgf/cm2);
s - Khoảng cách giữa các thanh gia cường dọc, cm;
- Nhịp không được đỡ của dầm dọc hay của thanh gia cường dọc như được chỉ ra trong Hình A.3, tính bằng cm;
SM - Mômen chống uốn thực (net) của tiết diện dầm dọc với các tấm có hiệu quả gắn kèm ở mép bẻ hoặc ở điểm đang xét, cm3. Chiều rộng hiệu be có thể được xác định như trong HìnhA.4, cm;
Cy= 0,656(d/z)4 cho các dầm dọc vỏ mạn chỉ khi z/d ≥ 0,9, nhưng Cy ≥ 0,30;
Cy = 1,0 cho các trường hợp còn lại;
z - Khoảng cách phía trên dải tôn giữa đáy của dầm dọc vỏ mạn đang xét, m;
d - Mớn nước thiết kế, m;
Ct - Hệ số hiệu chỉnh cho ứng suất uốn và xoắn kết hợp do các tải bên ngang gây ra tại mối nối hàn giữa thanh gia cường phẳng hoặc tấm mã với mép bẻ của dầm dọc, như chỉ ra trong Hình A.3.
Ct = 1,0 + αr đối với các tiết diện bất đối xứng, được gia công chế tạo hoặc cán;
Ct= 1,0 đối với thanh tiết diện chữT và thanh phẳng;
αr = CnCpW/K
Cp= 31.2dw(e/l)2
e - Khoảng cách theo phương nằm ngang giữa đường tâm của bản thành và tâm cắt của tiết diện, kể cả dầm dọc và tấm có hiệu quả gắn kèm;
e= dw bf2tf u/(2SM) cm
K - Hằng số xoắn St. Venant của tiết diện dầm dọc, không kể tấm gắn kèm;
![]()
Cn - Hệ số được cho ở Hình A.7 là một hàm của ψ đối với điểm (1) được cho ở Hình A.1;
u = 1 - 2b1/bf
![]()
là hằng số vênh tiết diện do xoắn, cm6;
![]()
Aw = dwtw, cm2
As -Diện tích tiết diện thực của dầm dọc, không kể tấm gắn kèm, cm2;
m = 1,0 - u(0,7 -0,1 dw/bf)
d) Tất cả các đại lượng dw, tw, b1 ,bf, tf đều được đo bằng cm.
e) Trong các ứng dụng chung, αrkhông được lấy lớn hơn 0,65 đối với thanh thép góc được gia công chế tạo và 0,50 đối với tiết diện cán.
f) Đối với mối nối như chỉ ra cụ thể trong 2.2.2 của Phụ lục này thì có thể bỏ qua ứngsuấtthứcấpphụ thêm do sóng gây ra f *d2.
A.4.3.2. Tính toán ứng suất fd3
a) Đối với những mối nối hàn của một panel tấm được gia cường, có thể xác định fd3 dựa trên các tải cục bộ do sóng gây ra như được quy định cụ thể ở A.4.3.2 nói trên, khi sử dụng các phương trình gần đúng dưới đây; còn khi tính toán trực tiếp thì có thể xem xét đến hiệu ứng phi tuyến và các ứng suất màng trong tấm.
b) Đối với những tấm chịu tải bên ngang, ứng suất fd3 theo hướng dọc được xác định bằng:
fd3 =0,182p(s/tn)2, N/cm2(kgf/cm2)
Trong đó:
p - Áp suất thực cục bộ do sóng, N/cm2;
s- Khoảng cách giữa các thanh gia cường dọc, cm;
tn - Chiều dày thực của tấm, mm.
Hình A.7 - Quan hệ Cn = Cn (ψ)

A.5. Các hiệu ứng suất tổng cộng sau cùng
A.5.1. Dải hiệu ứng suất tổng cộng fR được tính bằng tổng của hai dải hiệu ứng suất như sau:
N/cm2 (kgf/cm2)
Trong đó:
fRG - Hiệu ứng suất động lực tổng thể bằng
![]()
fRL - Hiệu ứng suất động lực cục bộ bằng
![]()
kp = 0,5 - Hệ số tải trọng để điều chỉnh xác suất vượt;
Cf = 0,95 - Hệ số điều chỉnh để phản ánh điều kiện hao mòn trung bình;
- Thành phần do sóng gây ra của các ứng suất căn bản tạo nên bởi mômen uốn sống dọc thân vỏ trong mặt đứng, đối với trường hợp tải tương ứng i và j của cặp trường hợp tải kết hợp đã chọn; N/cm2 (kgf/cm2)
- Thành phần do sóng gây ra của các ứng suất căn bản tạo nên bởi mômen uốn sống dọc thân vỏ trong mặt ngang, đối với trường hợp tải tương ứngi và j của cặp trường hợp tải kết hợp đã chọn; N/cm2 (kgf/cm2)
- Thành phần do sóng gây ra của các ứng suất uốn thứ cấp được tạo ra bởi uốn các panel có các thanh gia cường giao nhau giữa các vách ngang, đối với trường hợp tải tương ứng ivà j của cặp trường hợp tải kết hợp đã chọn; N/cm2 (kgf/cm2)
- Thành phần do sóng gây ra của các ứng suất uốn thứ cấp phụ thêm được tạo ra bởi uốn cục bộ các thanh gia cường dọc giữa các kết cấu đỡ (chẳng hạn các vách ngang và các khung sườn khỏe), đối với trường hợp tải tương ứng ivà j của cặp trường hợp tải kết hợp đã chọn; N/cm2 (kgf/cm2)
- Thành phần do sóng gây ra của các ứng suất cấp ba được tạo ra bởi uốn cục bộ các phần tử tấm giữa các thanh gia cường dọc, đối với trường hợp tải tương ứng i và j của cặp trường hợp tải kết hợp đã chọn.
A.5.2. Để tính toán các ứng suất do sóng, phải tuân theo quy ước dấu cho các hướng riêng của các tải trọng do sóng như đã quy định ở Bảng 2A đến Bảng 2D. Các tải cục bộ do sóng phải được tính với quy ước dấu cho các tải bên ngoài và bên trong. Tuy nhiên, tổng các áp suất bên ngoài và bên trong, bao gồm cả các thành phần tĩnh và động lực, không được lấy nhỏ hơn số không.
A.5.3. Các ứng suất do sóng này phải được xác định dựa trên các kích thước thiết kế và phù hợp với các yêu cầu từ A.A.4.3 đến A.A.4.6 của Phụ lục này. Khi đã có thực hiện tính toán trực tiếp thì cũng có thể xem xét các kết quả tính toán đó.
A.6. Xác định các hệ số tập trung ứng suất (SCF’s)
A.6.1.Khái quát
A.6.1.1. Nội dung trong mục này là các thông tin về hệ số tập trung ứng suất (SCF’s) được dùng trong việc đánh giá độ bền mỏi.
A.6.1.2. Khi yêu cầu phải tính hệ số tập trung ứng suất mà không cho một giá trị cụ thể, như được chỉ ra trong ví dụ, thì đòi hỏi phải phân tích phần tử hữu hạn. Khi sử dụng phương pháp phần tử hữu hạn chia lưới mịn thì các thông tin bổ sung về việc tính toán hệ số tập trung ứng suất và việc chọn đường cong dữ liệu S-N thích hợp được cho trong A.A.7 của Phụ lục này.
A.6.2. Các hệ số tập trung ứng suất mẫu tiêu biểu (SCF’s)
A.6.2.1. Các lỗ khoét cho dầm dọc qua
Các hệ số tập trung ứng suất (SCF’s), phân loại mỏi và dải hiệu ứng suất lớn nhất (peak) có thể được xác định đúng theo Bảng A.3 và Hình A.8.
Bảng A.3 - Các trị số của hệ số tập trung ứng suất (SCF), Ks
|
| Hệ số tập trung ứng suất (SCF), Ks | |||||
| Hình dạng (Configuration) | Mép bẻ (flange) bất đối xứng | Mép bẻ (flange) đối xứng | ||||
| Vị trí | [1] | [2] | [3] | [1] | [2] | [3] |
| Tựa (Support) một phía | 2,0 | 2,1 | - | 1,8 | 1,9 | - |
| Tựa một phía với thanh gia cường phẳng (F.B. stiffener) | 1,9 | 2,0 | - | 1,7 | 1,8 | - |
| Tựa hai phía | 3,0 | 2,6 | 2,4 | 2,7 | 2,4 | 2,2 |
| Tựa hai phía với thanh gia cường phẳng | 2,8 | 2,5 | 2,3 | 2,5 | 2,3 | 2,1 |
| Chú thích: a) Trị sốKsđã cho được dựa trên các ứng suất cắt danh nghĩa gần các vị trí đang xét; b) Phân toại mỏi các vị trí kết cấu: Các vị trí [1] và [2]: thuộc loại Class C hoặc B như đã chỉ ra trong Bảng A.1; Vị trí [3]: thuộc loại F. c) Dải hiệu ứng suất lớn nhất (peak) phải nhận được từ các phương trình sau: 1) Đối với các vị trí [1] và [2]:
Trong đó: cf= 0,95
αi= 1,8 cho trường hợp tựa một phía; αi = 1,0 cho trường hợp tựa hai phía. fni - Dải hiệu ứng suất danh nghĩa ở bản thành; fswi- Dải hiệu ứng suất cắt ở bản thành; fswi= Fi/Aw Fi - Dải hiệu lực cắt (shear force range) tính toán tại vị trí đang xét; Aw - Diện tích bản thành; fsc- Dải hiệu ứng suất cắt ở chỗ tựa (support) (tấm đỡ (lug) hoặc tấm đai cổ (collar plate)); fsc =CyP/(Ac+ As) Cy được định nghĩa ở A.A.4.6 của Phụ lục này
po - Áp suất ngang bên dao động, thay đổi; Ac- Diện tích tiết diện của gối tựa (support) hoặc của cả hai gối tựa trong trường hợp tựa haiphía; As- Diện tích tiết diện của thanh gia cường phẳng (flat bar stiffener), nếu có; Ksi - Các hệ số tập trung ứng suất đã cho ở trên; s - Khoảng cách (spacing) của các dầm dọc hay thanh gia cường dọc (longitudinal/stiffener);
2) Đối với các vị trí [3]
Trong đó: cf= 0,95 fn3 - Dải hiệu ứng suất danh nghĩaở vị trí [3]; fs2 - Dải hiệu ứng suất cắt như định nghĩa ở 1) nói trên gần vị trí [3]; Ks - Các hệ số tập trung ứng suất (SCF’s) đã cho ở trên. | ||||||



Hình A.8 - Các lỗ khoét cho dầm dọc qua
A.6.2.2. Thanh gia cường phẳng cho các dầm dọc
A.6.2.2.1. Để đánh giá tuổi thọ mỏi của một thanh gia cường phẳng tại vị trí [1] hoặc [2], dải hiệuứng suất lớn nhất phải được tính theo công thức sau:
, (i = 1 hoặc 2)
Trong đó:
là dải hiệu ứng suất danh nghĩa trong thanh gia cường phẳng;
P, As, Ac, Cf đã được định nghĩa trong 6.2.1 và Cy trong A.4.6 của Phụ lục này. Đối với thanh gia cường có các tấm mã kiểu chân mềm, cáctấmmãnày cóthểbao gồm trong tính toán của As;
kP - Hệ số tải trọng để hiệu chỉnh xác suất vượt, kP = 0,5;
fLi - Dải hiệu ứng suất trong dầm dọc tại vị trí i,i = 1 hoặc 2, như đã chỉ ra cụ thể trong 5 của Phụ lục này;
αi - Hệ số tập trung ứng suất tại vị trí i,i = 1 hoặc 2, khi kể tới sự không thẳng hàng, chệch vị trí và méo cục bộ
1) Tại vị trí [1]
▪ Đối với thanh gia cường phẳng không có các mã
α1 = 1,50 nếu cho nối tựa (support connection) hai phía;
α1 = 2,00 nếu cho nối tựa một phía.
▪ Đối với thanh gia cường phẳng có gắn các mã
α1 = 1,00 nếu cho nối tựa hai phía;
α1 = 1,25 nếu cho nối tựa một phía.
2) Tại vị trí [2]
▪ Đối với thanh gia cường phẳng không có các mã
α2 = 1,25 nếu nối tựa một phía hoặc hai phía;
▪ Đối với thanh gia cường phẳng có gắn các mã
α2 = 1,00 nếu nối tựa một phía hoặc hai phía.
A.6.2.2.2. Để đánh giá tuổi thọ mỏi của họng mối hàn như được chỉ ra trong Bảng A.1, loại W, dải hiệu ứng suất lớn nhất tại mối hàn fR có thể nhận được từ phương trình sau:
fR =1,25fsAs/Asw
Trong đó:
Asw- Diện tích tiết diện họng mối hàn. Các tấm mã có thể được bao hàm trong tính toán Asw;
fs và As - Như đã định nghĩa rõ trong A.6.2.2.1 ở trên.

Hình A.9 - Phân loại mỏi các dầm dọc với thanh gia cường phẳng (FB)
A.6.2.2.3. Để đánh giá tuổi thọ mỏi của dầm dọc, phải xem xét phân loại mỏi được cho trong Bảng A.1 đối với một dầm dọc chỉ như một phần tử chịu tải duy nhất được xem xét. Đồng thời thay vào đó, có thể sử dụng phân loại mỏi đã cho ở Hình A.9 cùng với các hiệu ứng ứng suất tổ hợpfR. Trong tính toán fR, hệ số αicó thể được lấy bằng 1,25 cho cả hai vị trí [1] và [2].
A.6.2.3. Mối nối giữa vách nghiêng với đáy trong, vách dọc và boong trong
Việc chọn loại mỏi và các hệ số tập trung ứng suất(SCF) có thể được xác định như chỉ ra ở Hình A.10.

Hình A.10
A.6.2.4. Mối nối giữa vách ngăn cách ly với đáy trong
Việc chọn loại mỏi và các hệ số tập trung ứng suất(SCF) có thể được xác định như chỉ ra ở Hình A.11.

Hình A.11
A.6.2.5. Mối hàn tấm đúp và các phần tử không mang tải trên boong hoặc trên tấm vỏ
Việc chọn loại mỏi có thể được xác định như chỉ ra ở Hình A.12.

Hình A.12 - Mối hàn tấm đúp và các phần tử không mang tải trên boong hoặc trên tấm vỏ
A.7. Xác định các hệ số tập trung ứng suất bằng phân tích phần tử hữu hạn
A.7.1.Giớithiệu
Dữ liệu S-N và các hệ số tập trung ứng suất (SCF) là có liên quan với nhau, do đó chúng phải được xem xét đồng thời để có một cơ sở nhất quán thích hợp cho đánh giá mỏi. Hướng dẫn dưới đây là nhằm hỗ trợ nhà thiết kế.
A.7.2.Dữ liệu S-N
A.7.2.1. Dữ liệu S-N được biểu diễn thành một loạt các đoạn thẳng được vẽ trên hệ tọa độ lôga (log-log scale). Dữ liệu này phản ánh kết quả của vô số thử nghiệm mỏi mà thường rất tản mát. Những đường cong S-N thiết kế được khuyến nghị cho các kiểu khác nhau của chi tiết kết cấu và mối nối hàn thừa nhận sự tản mát trong các kết quả thử nghiệm ở chỗ các đường cong thiết kế đã được chọn là đường biên dưới, ứng với giới hạn tin cậy 95%. Nói cách khác, có khoảng 2,5% kết quả sai và hủy trong thử nghiệm rơi vào phía dưới đường cong này. Việc xử lý đường cong thiết kế theo cách như vậy khiến đạt được độ an toàn, bảo toàn (conservatism) cao hợp lý trong quá trình thiết kế và đánh giá độ bền mỏi.
A.7.2.2. Mỗi đường cong S-N riêng biệt được biểu diễn để phản ánh các hình học và sự bố trí kết cấu chung (generic) nhất định. Trong Bảng A.1 và A.6.2 của Phụ lục này đã cho các sơđồ phác thảo các mối hàn và những chi tiết (điển hình) khác trong các kết cấu kho chứa nổi và đưa ra danh mục chỉ ra các loại đường cong S-N tương ứng với chúng. Thông tin này là cần thiết để đánh giá độ bền mỏi của chi tiết. Cũng cần có một phương cách nhất quán thích hợp để xác lập các hiệu ứng của tải trọng đặt lên chi tiết, sao cho có thể đánh giá thích hợp độ bền sẵn có của chi tiết chống chịu các hiệu ứng của tải trọng.
A.7.2.3. Các đường cong S-N là nhận được từ cuộc thử mẫu trong phòng thí nghiệm.Ứng suất tham chiếu đặt lên mẫu dùng để thiết lập đường S-N được nói đến là ứng suất danh nghĩa.Ứng suất danh nghĩa này được xác định một cách đơn giản, chẳng hạn lấy lực chia cho diện tích (P/A) và mômen uốn chia cho mômen chống uốn (M/SM) (P/A & M/SM). Các đặc trưng của kết cấu dùng để tính ứng suất danh nghĩa cũng được lấy ở vị trí cách xa những chỗ không liên tục để loại trừ ảnh hưởng của tập trung ứng suất cục bộ do sự có mặt của một mối hàn hay sự không liên tục cục bộ nào khác. Trong kết cấu thực tế, hiếm khi gặp trường hợp hình học và tải trọng lên mẫu thử có sự trùng hợp giống nhau, vì vậy, vấn đề đặt ra là phải diễn giải một cách thích hợp.
A.7.3.Dữ liệu S-N và các hệ số tập trung ứng suất SCF
A.7.3.1. Việc lựa chọn đường cong dữ liệu S-N là khá dễ dàng đối với “các chi tiết tiêu chuẩn” như đã đưa ra trong Bảng A.1 hoặc trong các tài liệu tham khảo khác tương tự. Tuy nhiên, trong các trường hợp các mối hàn trong các kết cấu phức tạp đòi hỏi phải sử dụng các hệ số tập trung ứng suất SCF’s để hiệu chỉnh dải hiệu ứng suất danh nghĩa. Một ví dụ thường gặp về sự cần thiết phải hiệu chỉnh ứng suất danh nghĩa với mục đích để đánh giá mỏi được chỉ ra ở Hình A.13 dưới đây, liên quan đến một lỗ khoan ở giữa một tấm phẳng ngang qua với một mối hàn đối đầu.

Hình A.13 - Ví dụ về hiệu chỉnh hệ số tập trung ứng suất danh nghĩa
A.7.3.2. Trong ví dụ này, ứng suất danh nghĩa SN = P/Area (diện tích), nhưng ứng suất dùng để đánh giá độ bền mỏi tại điểm A là SA= SN∙SCF. Ví dụ này làm ta cứ tưởng như đơn giản bởi nó chưa nói hết toàn bộ vấn đề. Thiếu sót, khó khăn rõ ràng nhất trong ví dụ này là ở chỗ ta cần có một cơ sở tính toán nhất quán chắc chắn và hợp lý để nhận được SCF. Có nhiều những sách tài liệu tham khảo chỉ ra rằng, dựa trên lý thuyết đàn hồi, SCF phải dùng trong trường hợp này là bằng 3,0. Tuy nhiên, khi sử dụng các kỹ thuật phân tích phần tử hữu hạn thì SCF lại thay đổi khá nhiều, tùy thuộc vào kích cỡ lưới phần tử. Ví dụ này cũng không chỉ rõ cho biết phải áp dụng đường cong S-N nào và ví dụ cũng không nói có cần thay đổi lựa chọn đường cong mỏi dữ liệu S-N thế nào khi xem xét để giải quyết những vấnđề của phân tích phần tử hữu hạn đã nói ở trên. Nếu trong một ví dụ đơn giản còn tồn tại những câu hỏi diễn dải như vậy thì với những kết cấu phức tạp việc xử lý thích hợp rõ ràng là còn khó khăn hơn nhiều.
A.7.3.3. Khi nói đến các đường cong mỏi S-N được áp dụng cho các mối nối hàn (chẳng hạn các đường cong từ D đến W trong Hình A.5) thì hệ số tập trung ứng suất SCF do sự hiện diện của bản thân các mối hàn này đã được kể tới trong các đường cong đó rồi. Nếu cần có sự phân bố ứng suất chính xác trong vùng, từ mối hàn đến mộtvị trí đủ xa chân mối hàn (nơi ứng suất bằng ứng suất danh nghĩa (tính bằng P/A & M/SM)), thì nói chung có thể chia phân bố ứng suất này thành ba đoạn phân biệt, như trong HìnhA.14 dưới đây.
a) Vùng III là đoạn mà độ dốc đường đồ thị biến thiên ứng suất được điều khiển quyết định bởi độ dốc của đường đồ thị ứng suất danh nghĩa;
b) Vùng II là đoạn mà độ dốc của ứng suất danh nghĩa bị thay đổi do sự có mặt của một chi tiết kết cấu khác, chẳng hạn cạnh cuối tấm mã trong hình. Phải kể đến điều đó để nhận được một giá trị ứng suất thích hợp dùng trong phân tích mỏi tại chân mối hàn;
c) Vùng I là đoạn mà độ dốc ứng suất bị thay đổi do có mặt bản thân kim loại hàn. Sự tập trung ứng suất do mối hàn đã được kể đến trong đường cong mỏi thiết kế S-N và không cần thảo luận thêm nữa. Bởi cách điển hình để xác định phân bố ứng suất là dùng thông qua các phần tử mặt phẳng/ đường thẳng mà bỏ qua mối hàn, nên điều đó phù hợp nhất quán với phương pháp phân tích này.
Hình A.14 - Các vùng phân bố ứng suất

A.7.3.4. Mô tả tổng quát này của phân bố ứng suất là không thuyết phục bởi nó không cho biết chắc chắn các khoảng cách từ chân mối hàn đến chỗ xảy ra những thay đổi độ dốc đã chỉ ra của gradient ứng suất. Vì vậy, cần phải thiết lập các quy định rõ ràng để xác định các độ dốc, và với hiểu biết đó, xác lập các tiêu chí được dùng để tìm ra ứng suất ở chân mối hàn mà nó phải được dùng trong đánh giá mỏi.
A.7.3.5. Về phương diện đó, có thể dùng hai cách tiếp cận phản ánh hai phương pháp lý tưởng hóa kết cấu để tìm ứng suất tại chân mối hàn. Một phương pháp phát sinh từ việc lý tưởng hóa phần tử dầm quen thuộc thông thường của kết cấu, kể cả mối nối bản mã ở cuối; còn một phương pháp khác phát sinh từ việc lý tưởng hóa phần tử hữu hạn chia lưới mịn.
A.7.3.6. Khi sử dụng lý tưởng hóa phần tử dầm, có thể nhận được ứng suất danh nghĩa (tức là P/A và M/SM) ở vị trí bất kỳ, xem Hình A.4 đối với một mô hình phần tử dầm làm mẫu.
A.7.3.7. Trong việc lý tưởng hóa phần tử dầm, sẽ có câu hỏi đặt ra là đã kể đến một cách thích hợp sự tập trung ứng suất hình học do sự có mặt của kết cấu khác hay chưa. Đó là gradient ứng suất “vùng II” được miêu tả trước đây. Trong phương pháp mô hình hóa dầm được chỉ ra trên hình vẽ, ảnh hưởng đến các ứng suất do “sự mang qua” (“carry over”) của các lực và các mômen từ các phần tử kết cấu gần kề đã được kể đến (dù chỉ là gần đúng). Đồng thời, hiệu ứng tăng độ bền của các mã đã được bỏ qua theo hướng bảo toàn an toàn. Do đó, đối với mục đích kỹ thuật, phương pháp này được xem là đầy đủ, cùng với ứng suất danh nghĩa nhận được tại vị trí đang xét và đường cong S-N danh nghĩa, tức là các đường dữ liệu S-N loại Class F hoặc F2 tùy theo, khi thích hợp.
A.7.3.8. Trong phương pháp tiếp cận phân tích phần tử hữu hạn lưới mịn, ta cần phải xác định kích cỡ của phần tử được sử dụng. Đó là một miền bất định, không chắc chắn, do sự phân bố ứng suất tính toán có thể bị ảnh hưởng quá mức bởi cả hai yếu tố, kích cỡ phần tử được dùng và tính đồng đều của lưới phần tử ở liền kề chân mối hàn. Do đó, cần phải xây dựng “các quy tắc” như dưới đây, mà việc tạo ra mô hình lưới mịn liền kề chân mối hàn phải tuân theo. Hơn nữa, do ứng suất ở khu vực liền kề chân mối hàn (hoặc ở chỗ không liên tục đang xét) có thể bị biến đổi lớn và nhanh (tức là một độ dốc lớn) nên cũng cần đưa ra một quy tắc dùng để xác lập ứng suất tại vị trí đòi hỏi phải đánh giá mỏi.
A.7.3.9. Một phương pháp có thể chấp nhận được được chỉ ra trong Hình A.15. Nó có thể được sử dụng để rút ra và diễn giải các ứng suất của phần tử “gần chân mối hàn” và để nhận được một ứng suất ngoại suy (tuyến tính) tại chân mối hàn. Khi sử dụng các phần tử tấm hoặc vỏ trong việc lập mô hình, kích cỡ mỗi phần tử nên bằng chiều dày tấm. Khi các ứng suất nhận được theo cách như vậy thì việc sử dụng đường dữ liệu S-N loại E Class được coi là chấp nhận được.
A.7.3.10. Ứng suất cao nhất ở mối hàn có thể được xác định bằng cách ngoại suy tuyến tính các ứng suất thành phần bề mặt tại các điểm cách chân mối hàn 0,5t và 1,5t. Ứng suất cao nhất sau đó được tính dựa trên các ứng suất ngoại suy và được dùng để đánh giá mỏi. Mô tả trình tự tính toán số được cho trong A.7.4 dưới đây.
A.7.4. Tính toán ứng suất cao nhất cho đánh giá mỏi
A.7.4.1. Phương pháp sau đây được áp dụng để nhận được ứng suất cao nhất tại chân một mối hàn.
A.7.4.2. Phải chia lưới phần tử (hữu hạn) thật mịn trong vùng có ứng suất cao nhất với kích thước phần tử bằng chiều dày của tấm. Ứng suất cao nhất này được xác định bằng cách ngoại suy tuyến tính như đã mô tả ở Hình A.15. Giả sử các ứng suất thành phần bề mặt là tại hai điểm P1 và P2, cách chân mối hàn lần Iượt0,5tvà 1,5t. Chúng đã được xác định từ phân tích phần tử hữu hạn FEM bằng cách nội suy tuyến tính các ứngsuấttạicáctâmcủahai phần tử (hữu hạn) liền kề. Ứng suất cao nhất tương ứng có thể đượcngoại suy tại vị trí điểm nóng từ các ứng suất tại P1 và P2. Khoảng cách chân mối hàn xwt không được lớn hơn 0,5tgross.

Hình A.15 - Xác định ứng suất cao nhất
A.8. Đánh giá mỏi các kết cấu khi xét đến mỏi với số chu trình thấp
A.8.1.Giới thiệu
Trong quá trình hoạt động của một kho chứa nổi dạng tàu có những chu kỳ tác nghiệp nhất định mà chúng có thể sinh ra các ứng suất dao động với các biên độ vượt quá giới hạn chảy của vật liệu. Đối với các mối hàn của kho chứa nổi dạng tàu trong quá trình chất tải/dỡ tải, tổng số chu trình trong suốt tuổi thọ hoạt động được cho là nhỏ hơn 104. Hiện tượng mỏi kèm theo biến dạng dẻo có tính chu kỳ (mỏi có số chu trình thấp, biên độ ứng suất lớn) sẽ được trình bày sau đây, trong đó:
- Xác định đường cong S-N thiết kế mỏi thích hợp với số chu trình thấp;
- Đưa ra quá trình tính toán ứng suất giả dao động;
- Quy định các tiêu chí có thể chấp nhận được đối với tổn thương tổng cộng do mỏi với số chu trình thấp cùng mỏi với số chu trình cao
A.8.2. Áp dụng
Tại các điều A.8 và A.9 của Phụ lục này chỉ rõ quy trình để đánh giá mỏi đơn giản hóa được dùng để đánh giá độ bền mỏi của các chi tiết kết cấu quan trọng chịu mỏi với số chu trình thấp. Đánh giá mỏi sử dụng phương pháp tiếp cận ứng suất điểm nóng dựa trên phân tích phần tử hữu hạn FE.
A.8.3.Các tải trọng
Theo cách truyền thống, phân tích độ bền mỏi kể đến các tải trọng động lực sau đây khi tính toán phân bố ứng suất dài hạn:
a) Các tải ở sống chính (tức là các mômen uốn đứng và ngang do sóng);
b) Áp suất động lực do sóng;
c) Các tải áp suất động lực ở két chứa do chuyển động của kho chứa khí hóa lỏng nổi.
Tuy nhiên, xuất phát từ quan điểm mỏi với số chu trình thấp, cần phải xem xét cả mỏi do các tải tĩnh có tính chu kỳ sinh ra khi chất và dỡ hàng.
A.8.4. Chọn các điều kiện tải trọng cho mỏi với số chu trình thấp
Các phân tích mỏi phải được tiến hành cho các điều kiện tải trọng tiêu biểu ứng với hoạt động đã định của kho chứa nổi. Hai điều kiện tải sau đây phải được xem xét:
a) Đối với các vị trí ở mối nối cuối dầm dọc
1) Điều kiện toàn tải với mômen uốn trên nước tĩnh thiết kế, xem điều kiện tải trọng 4 trong Hình A.6;
2) Điều kiện dằn hoặc điều kiện mớn nhẹ tải với mômen uốn trên nước tĩnh thiết kế, xem điều kiện tải trọng 1 trong Hình A.6.
b) Đối với các vị trí khác mối nối cuối dầm dọc
Tổn hại mỏi chu trình thấp lớn nhất được tính từ hai cặp điều kiện sau:
1) Cặp 1
i) Điều kiện toàn tải với mômenuốn trên nước tĩnh thiết kế, xem điều kiện tải trọng 4 trong Hình A.6;
li) Điều kiện dằn hoặc điều kiện mớn nhẹ tải với mômen uốn trên nước tĩnh thiết kế, xem điều kiện tải trọng 1 trong Hình A.6.
2) Cặp 2
i) Điều kiện trung gian với mômen uốn trên nướctĩnh thiết kế, xem điều kiện tải trọng 3 trong Hình A.6;
ii) Điều kiện trung gian với mômen uốn trên nướctĩnh thiết kế, xem điều kiện tải trọng 2 trong Hình A.6.
A.8.5. Các tiêu chí chấp nhận
Các tiêu chí nêu ở A.8 và A.9 của Phụ lục này được biểu thị như một sự so sánh độ bền mỏi của chi tiết kết cấu (khả năng chống chịu) với cáctải trọng gây mỏi (đòi hỏi) dưới dạng một tham sốtổn thương mỏi, DM. Tổn hại mỏi kết hợp DMcomb bao gồm các tổn hại mỏi của mỏi với số chu trình thấp và cả mỏi với số chu trình cao. Nó phải nhỏ hơn hoặc bằng 1,0 trong tuổi thọ thiết kế của kho chứa nổi mà tuổi thọ này không được lấy coi như nhỏ hơn 20 năm.
A.8.6.Các phương pháp đánh giá mỏi
Phương pháp tiếp cận ứng suất cao (điểm nóng) phải được dùng để đánh giá mỏi các chi tiết sau:
A.8.6.1. Các mối nối giữa các thanh gia cường dọc với dầm ngang khỏe/đà ngang đáy và với vách ngang
a) Chọn hai đến ba dầm dọc mạn trong khu vực từ 1,1 mớn nước đến 1/3 mớn nước giữa tàu và cả trong khu vực khoảng giữa 0,15L và 0,25L tính từ đường vuông góc mũi (FP) tương ứng;
b) Chọn một đến hai dầm dọc trong mỗi nhóm sau:
1) Các dầm dọc boong, dầm dọc đáy, dầm dọc đáy trong và dầm dọc trên mặt các vách dọc phía bên;
2) Một dầm dọc trên mỗi vách dọc nằm trong phạm vi 0,1D tính từ boong phải được tính thêm vào.
Đối với những chi tiết kết cấu này, đánh giá mỏi trước hết phải tập trung vào mép bẻ của dầm dọc tại chân các mối hàn được lượn tròn của các thanh gia cường phẳng và các tấm mã gắn vào, như đã trình bày minh họa đối với loại Class F điểm 2) và loại Class F2 điểm 1) trong Bảng A.1.
Tiếp sau, đối với các chi tiết kết cấu đã chọn, các điểm nguy hiểm trên lỗ khoét ở bản thành, trên đầu dưới của thanh gia cường cũng như họng mối hàn cũng phải được kiểm tra. Để minh họa, xem A.6.2.1 và A.6.2.2 của Phụ lục này.
Khi tấm mã cuối thanh gia cường dọc được bố trí khác nhau ở hai phía đối nhau của một dầm ngang khỏe thì phải kiểm tra cả hai kiểu bố trí đó.
A.8.6.2. Các tấm vỏ, đáy, đáy trong hoặc vách tại những chỗ nối với các dầm ngang khỏe, bản thành /đà ngang đáy, sàn (để đánh giá độ bền mỏi của tấm)
a) Chọn một hoặc hai vị trí của tấm vỏ mạn bên gần đường nước tải trọng mùa hè giữa tàu và giữa0,15L và 0,25L kể từ đường vuông góc mũ (FP) tương ứng;
b) Chọn một hoặc hai vị trí giữa đáy và đáy trong, giữa tàu;
c) Chọn một hoặc hai vị trí ở các dải tôn dưới của vách bên dọc mạn giữa tàu.
A.8.6.3. Các mối nối của tấm vách nghiêng với đáy trong và tấm vách dọc mạn bên tại các góc thấp của két hàng
Chọn một vị trí giữa tàu lần lượt ở chỗ dầm ngang khỏe và giữa các dầm (ngang) khỏe tương ứng.
Đối với chi tiết kết cấu này, trị số fR(dải hiệu ứng suất tổng cộng như đã nêu ở A.5.1 của Phụ lục này) phải được xác định bằng các phân tích phần tử hữu hạn chia lưới mịn F.E.M. cho các trường hợp tải kết hợp.
A.8.6.4. Các mối nối mã cuối ở đầu của các khung ngang và các sống
Chọn một hoặc hai vị trí ở khu vực giữa tàu cho mỗi kiểu hình dạng mã.
A.8.6.5. Những khu vực và vị trí khác
Những khu vực và vị trí khác mà ở đó có ứng suất cao do các tải thay đổi dao động lên xuống mà điều đó đã được nhận ra từ phân tích kết cấu.
A.9. Tổn hại mỏi với số chu trình thấp
A.9.1.Tải trọng mỏi với số chu trình thấp
Khi xét đến mỏi, các phản ứng của kết cấu được quan tâm, thừa nhận là từ hai nguồn (tải) bên ngoài: tải trọng sóng tác dụng lên kho chứa nổi và quá trình chất/dỡtải, hàng khiến cho sức nổi thay đổi không đều thất thường. Quá trình chất/dỡ tải, hàng này tạo ra các tải tĩnh tần số rất thấp, bao gồm mômen uốn dao động trên nướctĩnh (oscillatory still-water bending moment-SWBM) và áp suất nước tĩnh (thay đổi chậm). Một số thành phần kết cấu bị biến dẻo theo dạng có tính chu kỳ, khi sự kết hợp hai nguồn tải này tạo ra các ứng suất chu kỳ biến đổi lên xuống vượt quá giới hạn chảy của vật liệu. Điều này, điển hình, xảy ra ở chân mối hàn. Tại mục này trình bày quá trình xác định tổn hại do mỏi với số chu trình thấp.
A.9.2.Các điều kiện tải trọng
Xem xét các tải tĩnh có tính chu kỳ bao gồm các mômen uốn trên nước tĩnh và áp suất tĩnh do chất/dỡ tải, hàng.
A.9.3.Tính toán dải hiệu ứng suất
A.9.3.1. Tính toán dải hiệu ứng suất cao nhất (điểm nóng) đàn hồi
a) Dưới đây, tất cả các ứng suất được nói đến phải được hiểu là ứng suất đàn hồi cao nhất (hot spot) tại chân của một mối hàn đang xét. Khởi đầu, cũng giả thiết rằng đường cong S-N khi xác định độ bền mỏi được cho ứng với ứng suất cao nhất giả tạo. Trong dải phạm vi mỏi với số chu trình cao đàn hồi, một ứng suất cao nhất giả sẽ bằng đúng như một ứng suất cao nhất đàn hồi. Chúng sẽ chỉ khác nhau trong dải phạm vi số chu trình thấp.
b) Như chỉ ra trong Hình A.16, quá trình ứng suất trong các thành phần kết cấu nhất định của kho chứa nổi có thể được xem như sự gộp chồng lên nhau của các ứng suất do sóng, Sw(t),và các ứng suất do liên quan kết hợp đến tải tĩnh, SB(f). Số các chu trình của SB là do quá trình chất/dỡ tải, hàng tạo ra.

Hình A.16 - Các hàm SW và SB làm ví dụ

Hình A.17 - Một chu trình chất/dỡtải, hàng đơn lẻ
Quá trình ứng suất tổng cộng hay thực (net) sẽ là
S(t) = SW(t) + SB(t)
Trong một chu trình của quá trình tĩnh như chỉ ra trong Hình A.17, dải hiệu ứng suất tổng cộng trong chu trình ấy là SEbằng:
![]()
Trong đó:
SB - Dải hiệu ứng suất tĩnh của chu trình này;
- Trung bình của dải hiệu ứng suất lớn nhất của tải do sóng do điều kiện tải i gây ra;
- Trung bình của dải hiệu ứng suất lớn nhất của tải do sóng do điều kiện tải j gây ra.
Từ lý thuyết giá trị cực trị, trung bình của hiệu ứng suất lớn nhất
trong n chu trình được cho bằng:
![]()
Trong đó, γ vàδ tương ứng là các hệ số hình dạng và tỷ lệ (kích thước) của ứng suất dài hạn (hàm mật độ phân bố). Có thể xác định được δ bằng một cách thống kê từ các bản ghi dài hạn dải hiệu ứng suất hoặc có thể được tính bằng công thức:

Trong đó fRlà dải hiệu ứng suất ứng với mộtxác suất vượt bằng 1/Ns, như đã định rõ trong A.5.1 của Phụ lục này, và Ns = 104.
Có thể tính được n bằng cách lấy thời gian ước tính của một nửa chu trình chia cho chu kỳ sóng ước tính.
Số chu trình chất tải và dỡ tải, hàng của kho chứa nổi, nLC, được cho giả định là không nhỏ hơn 1200 lần trong thời gian 20 năm. Các chu trình chất tải và dỡ tải, hàng thực tế có thể được dùng cho các địa điểm có lịch sử sử dụng chế độ như giai đoạn FPSO (FPSO phase).
Giả sử có 108 chu trình sóng trong vòng 20 năm, khi đó n bằng:
n = 108/2nLC
Nói chung, kỳ vọng rằng các khoảng thời gian chịu kéo và chịu nén là không bằng nhau. Để cho một phân tích thiên về bảo toàn, an toàn, trong 2 số thời gian này có thể phải chọn trường hợp nào lớn hơn.
A.9.3.2. Tính toán dải hiệu ứng suất cao nhất giả tạo
Để chuyển đổi dải hiệu ứng suất cao nhất đàn hồi thành dải hiệu ứng suất cao nhất giả, một hệ số hiệu chỉnh dẻo, ke, được định nghĩa bằng:
ke = SL/SE
Trong đó SL là dải hiệu ứng suất cao nhất giả.
Đồ thị (plot) quan hệ của ke với SE được cho ở Hình A.18 dưới đây:

Hình 18 - Hàm số quan hệ (function) của ke với SE
Có thể sử dụng một công thức gần đúng sau đây được rút ra từ Hình 18:
ke = 0,5 + kmSE, nhưng không được nhỏ hơn 1,0
Trong đó các giá trị kmđược cho trong bảng sau.
| Vật liệu | Thép mềm Mild | HT 32 | HT 36 | HT 40 |
| km | 11,20 x 10-4 | 9,60 x 10-4 | 9,40 x 10-4 | 8,56 x 10-4 |
A.9.3.3. Đường cong S-N trong miền số chu trình thấp và tính toán tổn hại do mỏi
Đường cong S-N thiết kế trong miền số chu trình thấp được xác định trong Hình A.19. Có thể coi nó như cải biến của đường loại D (modified D-Curve).
Đường cong thiết kế S-N trong miền số chu trình thấp được cho dưới dạng:
NSq = B với 100 <N< 104
Trong đó, q = 2,4
B = 3,51x1010, MPa
Giả sử rằng đường cong S-N thiết kế LCF trong miền số chu trình thấp là có thể áp dụng được cho các ứng suất do tải tĩnh. Dựa trên áp dụng quy tắc Miner, biểu thức của tổn hại mỏi do ứng suất tĩnh DMLCF là:
![]()
Trong đó, nLCF là tổng số chu trình chất/dỡ tải, hàng. Nó phải không nhỏ hơn 1200 đối với một kho chứa khí hóa lỏng nổi cần phải được hoạt động trong 20 năm. Các chu trình chất tải và dỡ tải, hàng thực tế có thể được dùng cho các địa điểm có lịch sử sử dụng chế độ như giai đoạn FPSO (FPSO phase).
Hình A.19 - Đường cong S-N thiết kế trong miền số chu trình thấp

A.10. Tổn hại mỏi kết hợp
Tổn hại mỏi tổng cộng trong cả hai miền số chu trình thấp và số chu trình cao có thể được tính bởi:
![]()
Trong đó:
δ = 0,02;
DMLCF - Tổn hại mỏi trong miền số chu trình thấp;
DMHCF - Tổn hại mỏi trong miền số chu trình cao.
Đối với những mối nối thanh gia cường dọc, tổn hại mỏi tổng cộng do các ứng suất trong cả hai miền số chu trình thấp và số chu trình cao có thể được tính bởi:
![]()
Trong đó αsite là hệ số khắc nghiệt môi trường ở vị trí định đặt kho chứa nổi, xem mục 3 của Phụ lục này.
PHỤ LỤC B
(Quy định)
Tính toán ứng suất mất ổn định tới hạn
B.1. Khái quát
Ứng suất mất ổn định tới hạn cho các thành phần và phần tử khác nhau có thể được xác định theo Phụ lục này hoặc theo các thông lệ thiết kế được công nhận khác. Ứng suất mất ổn định tới hạn bắt nguồn từ các dữ liệu thực nghiệm hoặc các nghiên cứu phân tích có thể được xem xét, với điều kiện các dữ liệu hỗ trợ cho hồ sơ phải được cung cấp để xem xét.
B.2. Các tấm hình hộp chữ nhật
Ứng suất mất ổn định tới hạn cho các phần tử tấm hộp chữ nhật, như là các bảng tấm giữa các nẹp gia cường; các tấm khỏe của sống dọc, sống, các sàn hoặc sườn ngang; các tấm mặt và bích nối, có thể được xác định theo các công thức dưới đây, tương ứng với nén đơn trục, uốn hoặc cắt cạnh.
![]()
Trong đó
fci = ứng suất mất ổn định tới hạn đối với nén đơn trục, uống hoặc cắt cạnh một cách riêng biệt, N/cm2
N/cm2
Ki= Hệ số mất ổn định, đưa ra ở Bảng B.1 của Phụ lục này
E = Mô đun đàn hồi của vật liệu, có thể lấy bằng 2,06 x 107 N/cm2 đối với thép
v = tỷ lệ Poisson, có thể lấy bằng 0,3 đối với thép
tn= chiều dày tinh của tôn, cm
S = khoảng cách của các sống dọc/nẹp gia cường, cm
Pr= giới hạn đàn hồi tuyến tinh của cấu trúc, có thể lấy bằng 0,6 đối với thép
fyi= fy, đối với uốn và nén đơn trục
=
, đối với cắt cạnh
fy= điểm chảy dẻo tối thiểu quy định của vật liệu, N/cm2
Bảng B.1 - Hệ số mất ổn định, Ki

D giá trị C1 và C2
1. Đối với bản tấm giữa các nẹp gia cường góc hoặc chữ T
C1 = 1,1
C2 = 1,3 ở đáy đôi, mạn kép, boong kép hoặc vách chống va của kết cấu loại có lỗ hở *
C2 = 1,2 các vị trí còn lại
2. Đối với bản tấm giữa các thanh phẳng hoặc các tấm mỏ
C1 =1,0
C2 = 1,2 ở đáy đôi hoặc mạn kép *
C2 = 1,1 các vị trí còn lại
* áp dụng khi các cạnh ngắn hơn của bản tấm được hỗ trợ bởi các thành phần kết cấu cứng, chẳng hạn như đáy, đáy trong, tôn mạn, vách ngăn lớp vỏ bên trong, sống/sàn đáy đôi, sống/sườn khỏe mạn kép, sườn ngang /sàn đôi hoặc sườn khỏe dọc/đứng trong vách ngăn chống va của một kết cấu loại có lỗ hở.
II - Sườn khỏe của sống dọc hoặc nẹp gia cường
A - Nén đơn trục
Tương tự như I.A.1, thay thế s bằng độ sâu của sườn và
bằng chiều dài nhịp không được đỡ
a. Nếu
Ki= 4C
b. Nếu
Ki= 5,2C (xem lưu ý)
Trong đó
C1 = 1,0 đối với các nẹp gia cường góc hoặc chữT
C2 = 0,33 đối với các tấm mỏ
C2 = 0,11 đối với các tầm bằng
B - Uốn lý tưởng
Tương tự I.B Ki = 24C
III - Tấm mặt và bích nối
Nén theo trục Ki = 0,44

Lưu ý: Ở I.A. (II.A), Kichocácgiáctrị trung gian
có thể được tính bằng phép nội suy giữa a và b.
B.3. Các nẹp gia cường và sống dọc
B.3.1. Nén theo trục
Ứng suất mất ổn định tới hạn, fca, của cột dầm cột,..,sống dọc và tấm ảnh hưởng liên quan chịu nén theo trục có thể được xác định theo các công thức sau:
nếu ![]()
nếu ![]()
Trong đó:
N/cm2
= Chiều dài nhịp không được đỡ của sống dọc hoặc nẹo gia cường, cm, như nêu ở Hình 40
r = Bán kính xoay tròn của diện tích Ae, cm
![]()
As = diện tích mặt cắt ngang tinh của sống dọc hoặc nẹp gia cường không bao gồm tấm liên quan, cm2
bwL = chiều dày hữu dụng của tấm như nêu ở 6.5.3.2.2, cm
tn= chiều dày tinh của tấm, cm
fy = điểm chảy dẻo xác định tối thiểu của sống dọc hoặc nẹp gia cường xem xét, N/cm2
Pr và E nêu ở 2 của Phụ lục này.
B.3.2. Mất ổn định xoắn
Ứng suất mất ổn định xoắn tới hạn chịu nén theo trục của sống dọc, bao gồm tấm liên quan (chiều dày hữu dụng, bwL), có thể được tính theo công thức sau:
nếu![]()
nếu
Trong đó:
fct= ứng suất mất ổn định xoắn tới hạn chịu nén theo trục, N/cm2
, N/cm2
K = Hằng số xoắn St. Venant cho mặt cắt ngang của sống dọc, không bao gồm tấm liên quan.
= ![]()
I0 = moment polar quán tính của sống dọc, không bao gồm tấm liên quan, về phía đầu mút (giao điểm của cơ cấu khỏe và tấm), cm4
= ![]()
Ix,Iy = mô men quán tính của sống dọc theo trục x và trục y, qua trọng tâm của sống dọc, không bao gồm tấm (trục x vuông góc với cơ cấu khỏe), cm4
u = hệ số không đối xứng
= 1 - 2b1/bf
x0 = khoảng cách theo chiều ngang giữa trọng tâm của nẹp gia cường, As, và đường tâm của tấm cơ cấu khỏe, cm
y0 = khoảng cách theo chiều đứng giữa trọng tâm của mặt cắt tiết diện sống dọc và chân của nó, cm
dw = chiều sâu của cơ cấu khỏe, cm
tw = chiều dày tinh của cơ cấu khỏe, cm
bf = tổng chiều rộng của tấm mặt/mặtbích, cm
b1= kích thước còn lại nhỏ hơn của mặt bích đối với đường tâm của cơ cấu khỏe (xem Hình B.1 của Phụ lục này), cm
tf = chiều dày tinh của tấm mặt/mặt bích, cm
![]()
G = hằng số xoắn
![]()
![]()
fcL = ứng suất mất ổn định tới hạn của tấm liên quan tương ứng với n-phần 2 sóng, N/cm²
![]()
α = l/s
n = số lượng của một nửa sóng mà sinh ra fET nhỏ nhất
fy = điểm chảy dẻo xác định nhỏ nhất của sóng dọc hoặc nẹp gia cường đang xét, N/cm²
Pr , E , s và
nêu ở B.2 của Phụ lục này.
As, tn và l nêu ở B.3.1 của Phụ lục này.

Hình B.1 - Kích thước tinh và đặc tính của nẹp gia cường
B.4. Các tấm được gia cường
B.4.1. Các tấm lớn được gia cường
Đối với các tấm lớn được gia cường ở giữa các vách ngăn hoặc các tấm được gia cường ở một hướng giữa sống ngang và dầm, ứng suất mất ổn định tới hạn chịu nén đơn trục có thể được xác định theo các công thức sau:
fci = fEi nếu fEi ≤ Pr fy
fci = fy [1 - Pr (1- Pr) fy / fEi] nếu fEi > Pr fy
Trong đó:
fEi = kLπ2(DLDT)1/2/tLb2 theo chiều dọc, N/cm²
fEi = kTπ2(DLDT)1/2/tt l2 theo chiều ngang, N/cm²
| kL | = 4 | nếu |
|
|
|
|
| nếu |
|
|
| kT | = 4 | nếu |
|
|
|
|
| nếu |
|
|
![]()
![]()
nếu không có nẹp gia cường ở hướng ngang
l, b = tương ứng chiều dài và chiều rộng của vách ngăn ngang và dọc, cm (xem Hình B.2, Phụ lục này)
| tL, tT | = chiều dày tinh tương đương của tấm và nẹp gia cường tương ứng theo chiều dọc và ngang, cm |
|
| = (sLtn + AsL )/sL hoặc (sTtn + AsT)/sT |
sL, sT = khoảng cách tương ứng của các sống dọc và sườn ngang, cm (xem Hình B.2, Phụ lục này)
![]()
![]()
![]()
AsL, AsT = diện tích mặt cắt tinh của sống dọc và ngang, không bao gồm tấm liên quan
IpL,IpT = mô ment quán tính thuần của tấm hữu dụng (chiều rộng hữu dụng cho độ trễ cắt) về trục trung tính của mặt cắt kết hợp, bao gồm cả nẹp giả cường và tấm.
fy, Pr, E và
nêu ở B.2, tn nêu ở B.3.1 của Phụ lục này
Ngoại trừ các tấm boong, khi tham số tải bên, q0, được xác định dưới đây lớn hơn 5, thì phải xem xét giảm ứng suất mất ổn định tới hạn.
![]()
Trong đó:
= áp suất thuần trung bình, N/cm²
DT, DL, b, l, tL, tT và sT được xác định như ở trên.
Trong trường hợp này, ứng suất mất ổn định tới hạn có thể xấp xỉ bằng:
f’ci = R0fci N/cm²
Trong đó:
R0 = 1 - 0,045 (q0 - 5) nếu q0 ≥ 5
Đối với các tấm boong, R0 = 1 và f’ci = fci

Hình B.2 - Khoảng cách sống dọc, ngang
B.5. Sống, cơ cấu khỏe và mã gia cường
B.5.1. Ứng suất mất ổn định tới hạn của tấm khỏe và các mã lớn
Các ứng suất mất ổn định tới hạn của tấm khỏe và các mã lớn giữa các nẹp gia cường có thể được xác định từ các công thức ở B.2 của Phụ lục này cho nén đơn trục, uốn và cắt cạnh.
B.5.2. Ảnh hưởng của lỗ khoét
B.5.2.1. Nhìn chung, chiều sâu lỗ khoét không được lớn hơn dw/3, và ứng suất tại vùng được tính toán phải tính cho tăng cục bộ do lỗ khoét.
B.5.2.2. Khi các lỗ khoét có trên tấm khỏe, phải xem xét ảnh hưởng của nó đến việc giảm ứng suất mắt ổn định tới hạn, như được đưa ra ở dưới đây.
a) Tăng độ cứng bằng các nẹp gia cường xung quanh viền lỗ khoét
Khi tăng độ cứng bằng cách lắp đặt các nẹp gia cường theo viền lỗ khoét, ứng suất mất ổn định tới hạn của tấm khỏe giữa các nẹp gia cường chịu nén và cắt có thể được xác định theo các công thức ở B.2 của Phụ lục này.
b) Tăng độ cứng bằng các tấm mặt xung quanh lỗ khoét
Khi tăng độ cứng bằng cách thêm các tấm mặt xung quanh lỗ khoét, ứng suất mất ổn định tới hạn do nén, uốn và cắt có thể được xác định từ các công thức ở 2 của Phụ lục này, mà không cần giảm, với điều kiện diện tích mặt cắt tinh của tấm mặt không được nhỏ hơn
, trong đó tn là chiều dày tinh của tấm khỏe, và với điều kiện chiều sâu lỗ khoét không được lớn hơn dw/3, trong đó dw là chiều sâu của cơ cấu khỏe.
c) Không tăng độ cứng
Nếu không tăng độ cứng, độ bền mất ổn định của tấm khỏe xung quanh lỗ khoét phải được xử lý bằng cách để một cạnh tự do và cạnh còn lại được gia cường như thông thường.
B.5.3. Vặn
Để chống vặn cho các sống và cơ cấu khỏe có mép bẻ lớn, phải bố trí các mã chống vặn có khoảng cách không lớn hơn 3 m.
Thiết kế mã chống vặn có thể dựa vào lực P tác động lên mép bẻ theo công thức dưới đây:
![]()
Trong đó:
fcl = ứng suất mất ổn định biên tới hạn do nén theo trục giữa các mã chống vặn, N/cm²
fcl = fce nếu fce ≤ Pr fy
= fy [ 1 - Pr (1 - Pr) fy/fce] nếu fce > Prfy
![]()
Af = diện tích mặt cắt ngang thuần của tấm mặt/bẻ mép, cm²
Aw = diện tích mặt cắt ngang thuần của cơ cấu khỏe, cm²
dw, bf, tw, tf được xác định theo 3.2 của Phụ lục này
E, Pr và fy được xác định theo 2 của Phụ lục này

Hình B.3 - Mã chống vặn
B.6. Độ cứng và tỷ lệ
Để phát triển đầy đủ độ bền mất ổn định dự định của các tổ hợp của các thành phần và tấm kết cấu, các phần tử hỗ trợ của tấm và sườn dọc phải đáp ứng các yêu cầu sau về độ cứng và tỷ lệ ở các vùng chịu ứng suất cao
B.6.1. Độ cứng của sống dọc
Mô men quán tính thuần của sống dọc, i0, với chiều ngang hữu dụng của tấm tinh, phải không được nhỏ hơn giá trị đạt được từ công thức sau:
![]()
Trong đó:
γo = (2,6 + 4δ)α2 + 12,4α - 13,2α1/2
δ = A/stn
α = l/s
s = khoảng cách các sống dọc, cm
tn = chiều dày tinh của tấm được đỡ bởi sống dọc, cm
= hệ số Poisson,
= 0,3 đối với thép
A = diện tích mặt cắt tinh của sống dọc (không bao gồm tấm), cm²
l = chiều dài nhịp không được đỡ của sống dọc, cm.
B.6.2. Độ cứng của các nẹp gia cường khỏe
Mô men quán tính thuần của nẹp gia cường khỏe, i, với chiều ngang hữu dụng của tấm tinh không lớn hơn s hoặc 0,33 l , lấy giá trị nào nhỏ hơn, phải không được nhỏ hơn giá trị đạt được từ công thức sau:

Trong đó:
l = chiều dài của nẹp gia cường giữa các cơ cấu đỡ hữu dụng, cm
t = chiều dày tinh yêu cầu của tấm khỏe, cm
s = khoảng cách của các nẹp gia cường, cm.
B.6.3. Độ cứng của các thành phần đỡ
Mô men quán tính thuần của các thành phần đỡ, như các cơ cấu khỏe và dầm ngang, phải không được nhỏ hơn giá trị đạt được từ công thức sau:
![]()
Trong đó:
Is = mô men quán tính của thành phần đỡ, bao gồm tấm hữu dụng, cm4
i0 = mô men quán tính của sống dọc, bao gồm tấm hữu dụng, cm4
Bs = chiều dài nhịp không được đỡ của thành phần đỡ, cm.
l và s được xác định theo B.6.1 của Phụ lục này
B.6.4. Tỷ lệ bẻ mép và tấm mặt
Hệ số chiều rộng - chiều dày của tấm mặt và bẻ mép của sống dọc và sườn phải thỏa mãn các giới hạn dưới đây
![]()
Trong đó:
b2 = Kích thước mép bẻ không đối xứng lớn hơn, nêu ở Hình B.1, cm
tf = chiều dày tinh của tấm mặt/bẻ mép, cm
E và fy được xác định theo B.2 của Phụ lục này.
B.6.5. Tỷ lệ cơ cấu cứng của sống dọc và nẹp gia cường
Tỷ lệ chiều sâu - độ dày của cơ cấu khỏe của sống dọc và nẹp gia cường phải thỏa mãn các giới hạn đưa ra dưới đây
|
| đối với thanh góc và chữ T |
|
| đối với tấm mỏ |
|
| đối với tấm bằng |
Trong đó dw và tw được xác định theo B.3.2 và E và fy được xác định theo B.2 của Phụ lục này.
Nếu các giới hạn này được tuân thủ, giả định về kiểm soát mất ổn định nêu ở 3-5/5.1.2-a)-5) được coi là thỏa mãn. Nếu không, độ bền mất ổn định của cơ cấu khỏe sẽ phải được nghiên cứu thêm, theo B.2 của Phụ lục này.
PHỤ LỤC C
(Quy định)
Xác định các hệ số khắc nghiệt môi trường
C.1. Khái quát
C.1.1. Phụ lục này cung cấp thông tin nhằm xác định các hệ số khắc nghiệt của môi trường (ESFs) dành cho các tiêu chí thiết kế kho chứa nỗi dạng tàu để tính đến các điều kiện cụ thể tại nơi đặt kho chứa nổi so với các điều kiện hoạt động không hạn chế.
C.1.2. Các công thức ở 7.3 của Tiêu chuẩn này được cải biến để phản ánh sự hợp nhất của nhiều loại hệ số khắc nghiệt β khác nhau. Trong các công thức cải biến này, các hệ số khắc nghiệt β được áp dụng cho các tham số tải trọng động lực trong các thành phần tải trọng.
C.1.3. Còn ý niệm chung của các hệ số khắc nghiệt α là nhằm so sánh tổn thương mỏi gây ra do các điều kiện môi trường khác nhau. Loại hệ số khắc nghiệt này có hai ứng dụng. Thứ nhất, nó có thể được dùng để hiệu chỉnh tổn thương mỏi gây ra bởi các tải trọng động lực do sóng tại nơi đặt kho chứa nổi. Thứ hai, nó có thể được dùng để đánh giá tổn thương mỏi được tích lũy trong quá trình hoạt động trước đây như một tàu buôn hay một kho chứa nổi dạng tàu như hiện có. Các hệ số khắc nghiệt α này nhận được ở các vị trí khác nhau đối với các thanh gia cường dọc của kết cấu thân.
C.2. Các hệ số khắc nghiệt β
C.2.1. Loại hệ số khắc nghiệt này được dùng để đưa vào một sự so sánh về tính chất khắc nghiệt giữa môi trường dự kiến với một môi trường cơ bản. Đó là môi trường hoạt động không hạn chế ở biển Bắc (Đại Tây Dương).
C.2.2. Một dạng biểu diễn các công thức đã được cải biến để phản ánh sự hợp nhất các hệ số khắc nghiệt β khác nhau được cho ở 6.3 của Tiêu chuẩn này. Trong các công thức cải biến đó, các hệ số β chỉ áp dụng cho các phần động lực của các thành phần tải, và việc đưa các hệ số β này vào sẽ không làm ảnh hưởng đến các thành phần tải được xem là “tĩnh”.
C.2.3. Số đo mức độ khắc nghiệt β được định nghĩa như sau:
![]()
Trong đó:
Ls - Cực trị có xác suất cao nhất dựa trên các điều kiện môi trường tại vị trí định đặt kho chứa nổi (chu kỳ lặp 100 năm), hành trình di chuyển (chu kỳ lặp 10 năm), sửa chữa/kiểm tra (chu kỳ lặp 1 năm) và mỏi (chu kỳ lặp 20 năm) đối với các tham số tải trọng động lực đã quy định trong Bảng C.1 của Phụ lục này;
Lu - Cực trị có xác suất cao nhất dựa trên điều kiện môi trường biển Bắc đối với các tham số tải trọng động lực đã quy định trong Bảng C.1 của Phụ lục này.
C.2.4. Trị số β = 1,0 tương ứng với điều kiện hoạt động không hạn chế của một tàu biển; còn một trị số β < 1,0 nói lên rằng môi trường nơi dự kiến đặt kho chứa nổi kém khắc nghiệt hơn so với trường hợp không hạn chế.
C.2.5. Phân tích cực trị phải được tiến hành cho mỗi thành phần tải động lực để xác định trị cực đại trong suốt tuổi thọ thiết kế. Một phương pháp cực trị thường dùng cho kết cấu tàu được nêu sau đây với tên gọi là cách tiếp cận dài hạn. Tuy nhiên, cũng có thể sử dụng một phương pháp cực trị ngắn hạn hợp lý, nếu nó thích hợp với kiểu dạng kho chứa nổi và số liệu môi trường nơi lắp đặt. Khuyến khích sử dụng bổ sung một phương pháp ngắn hạn như vậy nhằm khẳng định hoặc công nhận tính nhạy cảm của các giá trị thiết kế dựa trên số liệu dài hạn. Kết quả của phương pháp ngắn hạn không thể dùng để làm giảm đi cực trị dài hạn. Nếu kết quả phân tích ngắn hạn là khá lớn thì vẫn phải nghiên cứu tiếp và xác nhận tính hợp lý của cực trị dài hạn. Các môi trường quy định dùng trong cách tiếp cận ngắn hạn là “dựa trên phản ứng”, nghĩa là lấy bão thiết kế 100 năm làm sự kiện dẫn đến các phản ứng cực đại có thể xảy ra trong 100 năm. Điển hình, yêu cầu chu kỳ lặp cho điều kiện di chuyển là 10 năm và cho các điều kiện sửa chữa và kiểm tra là 1 năm.
C.2.6. Trong tiêu chuẩn có 13 thành phần tải động lực hoặc hiệu ứng tải sau đây, mà các hệ số hiệu chỉnh β đã được đưa ra cho chúng.
Bảng C.1 - Các tham số tải trọng động lực hoặc các hệ số khắc nghiệt β
| Số | Viết tắt | Tên gọi | |
| Tiếng Anh | Tiếng Việt | ||
| 1 | VBM | Vertical bending moment | Mômen uốn trong mặt phẳng thẳng đứng |
| 2 | HBM | Horizontal bending moment | Mômen uốn trong mặt phẳng nằm ngang |
| 3 | EPP | External pressure port | Áp suất ngoài mạn trái |
| 4 | EPS | External pressure starboard | Áp suất ngoài mạn phải |
| 5 | VAC | Vertical acceleration | Gia tốc thẳng đứng |
| 6 | TAC | Tranverse acceleration | Gia tốc ngang |
| 7 | LAC | Longitudinal acceleration | Gia tốc dọc |
| 8 | PMO | Pitch motion | Dao động quay quanh trục ngang (y) |
| 9 | RMO | Roll motion | Dao động quay quanh trục dọc (x) |
| 10 | RVM | Relative vertical motion at forepeak | Dao động lên xuống tương đối tại mũi tàu |
| 11 | WHT | Wave height | Chiều cao sóng |
| 12 | VSF | Vertical shear force | Lực cắt thẳng đứng |
| 13 | HSF | Horizontal shear force | Lực cắt nằm ngang |
C.2.7. Như đã nêu, các trị số β là một hàm trực tiếp của các tải do môi trường dài hạn ở nơi đặt kho chứa nổi so với môi trường hoạt động không hạn chế theo tiêu chuẩn. Các hệ số β cũng cần thiết để xử lý các nhân tố và sự khác biệt khác giữa cơ sở thiết kế của một tàu biển với một kho chứa nổi được neo hay các trạng thái di chuyển, sửa chữa và kiểm tra. Chúng bao gồm:
C.2.7.1. Chu kỳ lặp thiết kế khác nhau đối với các tải môi trường (20 năm cho tàu biển không hạn chế so với 100 năm cho nơi lắp đặt kho chứa nổi dự kiến, 10 năm cho điều kiện di chuyển và 1 năm cho điều kiện sửa chữa/kiểm tra);
C.2.7.2. Ảnh hưởng của hệ thống neo đến các hiệu ứng tải của kho chứa nổi dự kiến (kể cả kiểu tự xoay hướng theo sóng, gió và dòng chảy của một hệ thống neo bằng tháp neo);
C.2.7.3. Đặc trưng phân bố năng lượng sóng được cho là khác nhau giữa biển mở và nơi cụ thể đặt kho chứa nổi;
C.2.7.4. Cơ sở khác nhau của đặc trưng bão thiết kế cực trị (tức là bão mùa đông ngắn hạn với đặc trưng nổi trội của cuồng phong);
C.2.7.5. Sự sát gần tương đối giữa các tần số dao động riêng của phản ứng tổng thể của hệ với riêng các tải trọng môi trường đáng kể ở các tần số này có thể gây ra hiệu ứng khuếch đại động lực (cộng hưởng).
C.2.8. Nếu đã tiến hành phân tích trực tiếp một kho chứa nổi chứa khí hóa lỏng trên biển thì cần phải đánh giá ảnh hưởng của các nhân tố nói trên và sử dụng chúng trong thiết kế kho chứa nổi. Ở đây không có ý định đưa ra cách tiếp cận khác để thay cho phân tích trực tiếp, nhưng mong muốn cách tiếp cận dựa trên các hệ số khắc nghiệt vẫn sẽ được sử dụng như một cơ sở quan trọng của việc thiết kế/đánh giá kết cấu kho chứa nổi.
C.2.9. Tuy các hệ số β và cách sử dụng chúng đã được nêu, song vẫn cần đưa vào một giới hạn nhằm ngăn ngừa các tham số thiết kế bị thấp một cách vô lý. Giới hạn đó là ở chỗ, kết quả áp dụng một hệ số β trong tính toán kích thước cần thiết không được nhỏ hơn 85% giá trị kích thước khi tính toán dựa trên điều kiện hoạt động không hạn chế theo tiêu chuẩn. Lý do phải đưa ra giới hạn này là để phản ánh kinh nghiệm hoạt động đã có kết quả tốt, một mong muốn không vô tình tạo thêm ra các kiểu phá hủy kết cấu chủ đạo, và để tránh phải đưa ra các trạng thái giới hạn mới (như chuyển vị, dao động không cho phép, v.v...).
C.2.10. Cũng cần nêu ra các trường hợp hoặc trạng thái tải trọng bổ sung mà nó phản ánh tầm quan trọng tương đối lớn; những trường hợp này có thể có ở những kho chứa nổi trên biển có khả năng giảm bớt các kích thước do đặt ở các điều kiện biển yên tĩnh hơn. Chẳng hạn các điều kiện bổ sung này là việc kiểm tra chặt chẽ hơn điều kiện thử tải két chứa, các điều kiện kiểm tra/sửa chữa và đánh giá độ bền thân tàu trong hành trình di chuyển đến nơi đặt kho chứa nổi.
C.3. Các hệ số khắc nghiệt loại α
C.3.1. Hệ số khắc nghiệt loại này so sánh tổn thương mỏi giữa môi trường cụ thể đã định với một môi trường cơ bản, đó là môi trường biển Bắc.
C.3.2. Trước hết, hệ số khắc nghiệt môi trường loại này được sử dụng để hiệu chỉnh tổn thương mỏi dự kiến gây ra bởi các thành phần động lực do các tải trọng môi trường tại nơi đặt kho chứa nổi. Thứ nữa, nó có thể được dùng để đánh giá tổn thương mỏi tích lũy trong quá trình hoạt động trong quá khứ như một tàu buôn hay như một kho chứa nổi, bao gồm cả các nơi đặt và các tuyến hành trình trong quá khứ.
C.3.3. Xác định số đo mức độ khắc nghiệt α như sau:

Trong đó:
Du -Tổn thương mỏi trong một năm tính theo môi trường biển Bắc, điều kiện hoạt động không hạn chế, ở các chi tiết của kết cấu thân;
Ds - Tổn thương mỏi trong một năm tính theo một môi trường cụ thể, cho các hành trình và các nơi đặt kho chứa nổi trong quá khứ, di chuyển và nơi đặt dự kiến, ở các chi tiết của kết cấu thân;
C = 0,65.
C.3.4. Đối với tính toán mỏi, có thể sử dụng quy trình phân tích mỏi dựa trên một phổ dạng đóng. Nhiệm vụ cơ bản của phân tích mỏi theo phổ là xác định hàm truyền ứng suất, nó biểu diễn mối quan hệ giữa ứng suất ở một vị trí kết cấu riêng biệt cho mỗi biên độ sóng đơn vị với tần số sóng và hướng sóng. Hàm truyền ứng suất cần được xác định từ hàm truyền tải trọng và hệ số ứng suất tương ứng của nó, mà đó là một hệ số chuyển đổi để nhận được hàm truyền ứng suất từ hàm truyền tải trọng. Hàm truyền tải trọng phụ thuộc vào hình học dạng thân tàu phải được tính toán đối với các sóng điều hòa biên độ đơn vị cho các phạm vi tần số sóng và hướng sóng. Hệ số ứng suất có thể nhận được nhờ kỹ thuật phân tích kết cấu, có thể là theo lý thuyết dầm giản đơn hoặc theo thủ tục phân tích phần tử hữu hạn. Sự tinh tế cần thiết của phân tích kết cấu phụ thuộc vào hệ thống vật lý được phân tích, kiểu loại của chi tiết kết cấu và loại tải trọng kết cấu đang xét. Đối với thanh gia cường dọc, các hệ số ứng suất có thể được tính theo lý thuyết dầm giản đơn.
C.3.5. Phổ phản ứng của các hàm truyền ứng suất có thể được xác định bằng các phổ sóng đã cho. Trong cách tiếp cận "dạng đóng ngắn hạn” thì hiệu ứng suất (SB = Smax - Smin) thường được biểu diễn dưới dạng các hàm mật độ xác suất đối với các trạng thái biển ngắn hạn khác nhau. Các hàm mật độ xác suất ngắn hạn này được rút ra bằng một phương pháp phổ dựa trên phương pháp phân bố Rayleigh, trong đó giả thiết rằng sự biến đổi của ứng suất là một quá trình Gauss ngẫu nhiên dải hẹp. Khi giả thiết dải hẹp là không thích hợp cho quá trình ứng suất thì áp dụng một hệ số hiệu chỉnh tổn thương trong tính toán tổn thương mỏi ngắn hạn; đó là hệ số “hiệu chỉnh dòng mưa” của Wirsching. Sau khi đã tính tổn thương ngắn hạn thì tổn thương mỏi tổng cộng được tính bằng tổng tuyến tính có trọng số của chúng (sử dụng quy tắc Miner). Có thể tham khảo các biểu diễn toán học chi tiết hơn của các bước tính toán tổn thương mỏi trong các tài liệu kỹ thuật được chấp nhận.
C.3.6. Các hệ số khắc nghiệt loại α nhận được cho các chi tiết của kết cấu thân, mà các chi tiết này tuân theo định nghĩa đối với kết cấu thân của kho chứa nổi ở 7.4 của Tiêu chuẩn này.
C.3.7. Một trị số α = 1,0 tương ứng với điều kiện không hạn chế của tàu biển. Một trị số α > 1,0 chỉ ra rằng, điều kiện môi trường ở nơi đặt kho chứa nổi gây ra mỏi nhỏ hơn so với trường hợp không giới hạn.
PHỤ LỤC D
(Quy định)
Độ bền tới hạn của dầm tương đương
D.1. Việc tính toán độ bền cực hạn thanh dầm tương đương dựa trên phương pháp kích thước “thực” (không bị khấu trừ), trong đó các giá trị ăn mòn thiết kế danh nghĩa không được xem xét. Khả năng chịu uốn tới hạn của thanh dầm tương đương Mu trong điều kiện tải trọng môi trường thiết kế phải thỏa mãn trạng thái giới hạn nêu trong 7.4.2.5 của Tiêu chuẩn này.
D.2. Phương pháp tính khả năng chịu uốn tới hạn của dầm tương đương Mu phải nhận diện các dạng hư hỏng quan trọng của các phần tử kết cấu dọc chính. Các phần tử kết cấu chịu nén quá giới hạn gây mất ổn định làm giảm độ bền theo đặc trưng bền tới hạn và đặc trưng gây mất ổn định của chúng. Tất cả dạng hư hỏng liên quan cho các phần tử kết cấu riêng lẻ, như là mất ổn định tấm, mất ổn định cột - dầm, ổn định nẹp do xoắn, mất ổn định cục bộ của nẹp và các tương tác của chúng, phải được xem xét để xác định dạng hư hỏng của mối liên kết sườn yếu nhất.
D.3. Khi áp dụng phương pháp lặp và tăng dần, các giả thiết và giới hạn sau nhìn chung phải được tuân theo:
D.3.1. Độ bền tới hạn, Mu, phải được tính toán cho mặt cắt ngang thân giữa hai sườn liền kề;
D.3.2. Các kết cấu đỡ chính ngang, bao gồm các sườn, sống và đà ngang, và tấm tôn hiệu dụng (mép kèm) của chúng có mômen quán tính không nhỏ hơn IG được xác định theo công thức sau:
![]()
trong đó IG, io, Bs, l và s được xác định ở B.6.3;
D.3.3. Mặt cắt ngang thân duy trì mặt phẳng trong mỗi khi tăng độ cong;
D.3.4. Vật liệu thân có tính chất đàn hồi dẻo;
D.3.5. Ứng suất phần tử, fi, tương ứng với sự biến dạng phần tử, εi, được chọn là ứng suất nhỏ nhất nằm trong các giá trị thu được từ mỗi đường cong làm ngắn hai đầu mút do chịu tải trọng, fi - εi, trong Phụ lục này;
D.3.6. Mặt cắt ngang thân được chia thành một bộ các phần tử đơn lẻ; các phần tử trong khi được xem như hoạt động độc lập, được tập hợp lại để cung cấp độ bền chịu lực tới hạn cho mặt cắt ngang. Các phần tử đó là:
a) Kết cấu tấm, đối với các tấm không có nẹp;
b) Kết cấu nẹp, bao gồm một cái nẹp cùng với chiều rộng tôn hiệu dụng;
c) Kết cấu góc, bao gồm một tấm giao cắt với một bản thành.
D.4. Quy trình tính toán khả năng chịu uốn tới hạn của thanh dầm tương đương, Mu, dựa vào phương pháp lặp và tăng dần được mô tả bên dưới.
D.5. Mỗi bước của quy trình tăng dần được thể hiện bởi tính toán mômen uốn, Mj, mômen uốn này tác động vào mặt cắt ngang thân như là sự ảnh hưởng của độ cong cưỡng bức
.
D.6. Đối với mỗi bước, giá trị
được xác định bằng cách thêm một gia số độ cong,
, cho giá trị độ cong
-1 từ bước trước. Lượng gia tăng độ cong tương ứng với việc gia tăng góc quay mặt cắt ngang thân xung quanh trục trung hòa tức thời của nó.
D.7. Sự tăng góc quay gây ra biến dạng trục, ε, trong mỗi phần tử kết cấu của mặt cắt thân, tổng giá trị phụ thuộc vào khoảng cách giữa vị trí phần tử và trục trung hòa ngang tức thời. Trong trạng thái võng xuống, các phần tử kết cấu trên trục trung hòa ngang tức thời bị ngắn lại, ngược lại các phần tử bên dưới trục trung hòa ngang tức thời bị dài ra. Điều này trái ngược với trạng thái uốn vồng lên.
D.8. Ứng suất phần tử kết cấu, fi, gây ra bởi biến dạng, εi, phải được xác định từ đường cong ứng suất - biến dạng fi - εi của phần tử, tính đến tính chất đàn hồi dẻo không tuyến tính của phần tử. Ứng suất trong mỗi phần tử được chuyển đổi thành một lực. Sự cân bằng của các phần tử lực được sử dụng trong một quá trình lặp để xác định vị trí trục trung hòa ngang tức thời của mặt cắt ngang thân.
D.9. Khi vị trí của trục trung hòa ngang tức thời được xác định cùng với sự phân bố lực phần tử liên quan, mômen uốn của mặt cắt MJ, chung quanh trục trung hòa ngang tức thời, được xác định bằng cách tổng hợp sự đóng góp của mỗi phần tử.
D.10. Hình D.1 của Phụ lục này là sơ đồ dòng chảy chỉ ra các bước chính của phương pháp lặp và tăng dần.
D.11. Tính chất vật liệu tuyến tính đối với kéo hoặc nén phẳng là không giống với các loại phần tử khác. Khi một phần tử kết cấu chịu kéo, độ dẻo toàn phần vượt quá đường chảy dẻo (đạt tới một giới hạn phá hủy) thông thường được xác định trước. Tuy nhiên, khi phần tử kết cấu chịu nén, vật liệu đàn hồi dẻo và phản ứng hình học không tuyến tính xảy ra. Phản ứng kéo hoặc nén của các phần tử kết cấu khác nhau được sử dụng trong tính toán độ bền tới hạn thanh dầm tương đương của giàn có thể được mô tả bởi cái gọi là “Đường cong làm ngắn hai đầu mút do chịu tải trọng”, như được mô tả chi tiết sau đây.
D.12. Phần tử tấm
D.12.1. Các tấm không được gia cường bao gồm các mặt cắt ngang thân có thể bị hư hỏng ở một trong hai dạng sau:
a) Vật liệu chảy dẻo do chịu kéo;
b) Mất ổn định do chịu nén.
D.12.2. Đường cong làm ngắn hai đầu mút do chịu tải trọng fi - εi đối với mất ổn định tấm không được gia cường được thể hiện ở Hình D.2 của Phụ lục này và được xác định bởi các công thức dưới đây.
D.12.3. Chảy dẻo do chịu kéo
Khi một tấm không gia cường bị kéo dãn do chịu kéo, đường cong làm ngắn hai đầu mút do chịu tải trọng fi - εi được lý tưởng hóa như là quan hệ đàn hồi dẻo lý tưởng:
![]()
D.12.4. Mất ổn định do chịu nén
Ứng suất fi tác động lên một tấm không gia cường phải nằm trong giới hạn độ bền tới hạn fu và không nhỏ hơn ứng suất gây mất ổn định fc được chỉ ra dưới đây. Đường cong làm ngắn hai đầu mút chịu tải trọng fi - εi áp dụng cho mất ổn định tấm không gia cường được xác định theo công thức sau:

![]()
Trong đó:
| CE | = 1,0 | đối với βE ≤ 1,0 |
|
| = 2/ βE - 1/β2E | đối với βE > 1,0 |
|
|
| |
|
| đối với | |
|
|
| đối với |
- Tỉ số biến dạng tương đối, bằng ![]()
εi - Biến dạng dọc trục phần tử;
εy - Biến dạng dẻo ban đầu;
N - Số mũ của
thể hiện trạng thái đã mất ổn định, với thép có thể lấy bằng 2,0;
fu - Độ bền cực hạn tấm ≥ fc;
fc và fu lấy bằng fci và fip khi n = 0.

Hình D.1 - Sơ đồ dòng chảy để xác định giá trị của đường cong Mômen uốn - Độ cong

Hình D.2 - Đường cong làm ngắn hai đầu mút chịu tải trọng áp dụng cho phần tử tấm
D.13. Phần tử nẹp gia cường
D.13.1. Một nẹp gia cường tấm (đường tâm thường là mặt cắt ngang thân) có thể hư hỏng theo một trong bốn dạng sau:
a) Vật liệu kết cấu bị chảy dẻo khi chịu kéo;
b) Mất ổn định cột - dầm (Beam-column buckling);
c) Mất ổn định uốn - xoắn (Torsional-flexural buckling);
d) Ổn định cục bộ của nẹp.
D.13.2. Đường cong làm ngắn hai đầu mút chịu tải trọng fi - εi áp dụng cho mỗi dạng hư hỏng được mô tả như bên dưới đây.
D.13.3. Chảy dẻo do chịu kéo
Đường cong ngắn hai đầu mút chịu tải trọng đối với chảy trong trạng thái chịu nén tương tự như trong D.12 của Phụ lục này.
D.13.4. Mất ổn định cột - dầm
Đường cong làm ngắn hai đầu mút chịu tải trọng fi - εi được nêu trong Hình D.3 áp dụng cho mất ổn định cột dầm được xác định bởi các công thức dưới đây:

Trong đó:
|
| đối với | |
|
|
| đối với |
|
|
| |
| CE = 1,0 | đối với βE ≤ 1,0 | |
|
| = 2/βE - 1/β2E | đối với |
fca lấy bằng
khi n = 0

Hình D.3 - Đường cong làm ngắn hai đầu mút chịu tải trọng áp dụng cho mất ổn định cột - dầm
D.13.5. Mất ổn định uốn - xoắn
Đường cong làm ngắn hai đầu mút chịu tải trọng fi - εi được nêu trong Hình D.4 áp dụng cho mất ổn định uốn - xoắn được xác định theo công thức sau:

Trong đó:
|
| đối với | |
|
|
| đối với |
phải nhỏ hơn fct.
fct và fET là ứng suất mất ổn định uốn/xoắn đàn hồi và được tính toán tại B.3.2 của Phụ lục B, trong đó kích thước thực được sử dụng.

Tỉ số biến dạng, ![]()
Hình D.4 - Đường cong làm ngắn hai đầu mút chịu tải trọng áp dụng cho mất ổn định uốn - xoắn
D.13.6. Mất ổn định cục bộ của nẹp
Dạng hư hỏng này phải được đánh giá nếu tỷ lệ các nẹp nêu tại B.6 của Phụ lục B không thỏa mãn.
Đường cong làm ngắn hai đầu mút chịu tải trọng fi - εi được nêu trong Hình D.5 áp dụng cho mất ổn cục bộ của nẹp được xác định theo công thức sau:

Trong đó:
|
| đối với | |
|
|
| đối với |
phải nhỏ hơn
.
và
là ứng suất mất ổn định đàn hồi và tới hạn cục bộ được tính toán tại B.2 của Phụ lục B trong đó kích thước thật được sử dụng.

Hình D.5 - Đường cong làm ngắn hai đầu mút chịu tải trọng áp dụng cho mất ổn định cục bộ
D.14. Phần tử kết cấu góc
Các phần tử kết cấu góc được xem xét là phần tử kết cấu khỏe, bị phá hủy bởi sự phát triển dẻo hoàn toàn. Đường cong làm ngắn hai đầu mút chịu tải trọng fi - εi được nêu trong Hình D.6 được lý tưởng hóa như là quan hệ đàn hồi dẻo lý tưởng như sau:

Tỉ số biến dạng, ![]()

Hình D.6 - Đường cong làm ngắn hai đầu mút chịu tải trọng áp dụng cho phần tử kết cấu góc
PHỤ LỤC E
(Quy định)
Phân tích và mô hình kết cấu thân kho chứa nổi
E.1. Mục đích
E.1.1. Phụ lục này đưa ra hướng dẫn để tính toán các phản ứng kết cấu bằng cách thực hiện phân tích phần tử hữu hạn của kết cấu kho chứa nổi, như được yêu cầu bởi Đánh giá độ bền tổng thể (TSA) ở 7.5 của Tiêu chuẩn này.
E.1.2. Nói chung, hướng dẫn này dựa trên các yêu cầu đối với một mô hình có chiều dài ba khoang hàng như được phác thảo tại 6.5.5 của Tiêu chuẩn này. Với Phụ lục này, giả thiết rằng sự lý tưởng hóa kết cấu, tải trọng tác dụng và quy trình phân tích được sử dụng trong phân tích kết cấu phân tử hữu hạn phải được thực hiện một cách phù hợp và dựa trên sự đánh giá kỹ thuật có căn cứ.
E.2. Phạm vi áp dụng
E.2.1. Các yêu cầu về độ bền được nêu tại Phụ lục này cho kết cấu thân được dựa trên một phương pháp kích thước “lưới” như nêu ở 7.2.2 của Tiêu chuẩn này. Đối với chế tạo mới, giới hạn ăn mòn thiết kế danh nghĩa, được đưa ra tại Bảng 3 - Giá trị ăn mòn thiết kế danh nghĩa (1,2) và Hình 2 - Giá trị ăn mòn thiết kế danh nghĩa và Hình 3 - Giá trị ăn mòn thiết kế danh nghĩa của Tiêu chuẩn này cho kho chứa nổi có một két hàng ở giữa hoặc 2 két hàng bố trí cạnh nhau, phải được trừ đi (không tính) khỏi các kích thước trong việc phân tích phân tử hữu hạn và đánh giá độ bền kết cấu thân. Đối với kho chứa nổi có các két độc lập, các yêu cầu về độ bền cho các két độc lập phải dựa vào các kích thước hoàn công hoặc tổng. Không được sử dụng các kích thước thêm của Chủ kho chứa nổi trong đặc tính kỹ thuật thiết kế kho chứa nổi để thực hiện phân tích mô hình kết cấu.
E.2.2. Việc phân tích kho chứa nổi có hệ thống ngăn hàng két màng bao gồm mô hình tổng thể ba chiều của kết cấu thân ba khoang (three-hold) và các mô hình ô lưới mịn cục bộ như sau:
• Các sườn ngang khỏe, sống dọc, sống ngang, sống dọc mạn và khung sườn dọc tâm,v.v...
E.2.3. Việc phân tích kho chứa nổi có hệ thống ngăn hàng két độc lập bao gồm mô hình tổng thể ba chiều của sống thân ba khoang (three-hold) và các két độc lập. Các mô hình ô lưới mịn cục bộ bao gồm:
• Các cơ cấu đỡ chính của kết cấu thân và các két hàng
• Giác và kết cấu đỡ két hàng, cũng như là các bệ đỡ liên quan tại kết cấu thân và kết cấu két hàng
E.2.4. Mô hình ô lưới mịn cục bộ được sử dụng để xác định yêu cầu bổ sung đối với các khu vực quan trọng trên kết cấu thân và kết cấu két hàng.
E.3. Phạm vi của mô hình phần tử hữu hạn tổng thể ba chiều
Mục đích của phân tích phần tử hữu hạn tổng thể 3-D là để xác định phản ứng kết cấu tổng thể của kết cấu thân, bao gồm uốn chính (cấp một) và phụ (cấp hai), và cũng để xác định các điều kiện biên phù hợp cho việc sử dụng trong phân tích phần tử hữu hạn ô lưới mịn của các kết cấu cục bộ. Phạm vi của kết cấu thân được mô hình hóa phải bao gồm ba lần chiều dài khoang hàng đặt tại khoảng giữa kho chứa nổi như được mô tả trong Hình E.1. Nó phải kéo dài thêm hai khoảng sườn trước và sau của hai đầu vách ngăn. Tất cả các thành phần chịu tải trọng chính phải được mô hình hóa. Các thành phần kết cấu phụ mà có thể ảnh hưởng tới phân bố lực tổng thể cũng phải được tính đến một cách thích hợp.

Hình E.1 - Phạm vi của mô hình phần tử hữu hạn tổng thể ba chiều
E.4. Hệ tọa độ của mô hình
Hệ tọa độ tổng thể (bên phải) của mô hình phần tử hữu hạn mẫu này được quy định như sau:
| Trục X: Trục Y: Trục Z: Điểm gốc: | Chiều dọc, chiều dương là hướng về phía trước; Chiều thẳng đứng, chiều dương là hướng lên từ đường cơ bản; Chiều ngang, chiều dương là hướng về phía trái từ đường cơ bản; Là giao điểm của đường cơ bản và đường tâm tại vách kín nước đầu tiên của đầu phía sau của mô hình. |
Mỗi nút có sáu bậc tự do được xác định theo trục X, Y, Z hệ Đề các tổng thể của mô hình phần tử hữu hạn 3-D, như là ux, uy và uz đối với ba bậc tự do tịnh tiến, và θx, θy và θz đối với ba bậc tự do xoay.
E.5. Loại phần tử
E.5.1. Có 3 loại phần tử kết cấu thường được sử dụng, mà hình học, hình dạng và độ cứng của chúng tương ứng kết cấu thân tàu thực tế:
a) Phần tử thanh (hoặc vì kèo), chỉ có độ cứng dọc trục và tiết diện ngang không thay đổi dọc theo chiều dài của phần tử;
b) Phần tử thanh (hoặc dầm/xà) mà không dịch chuyển, có sự trượt theo dọc trục, trượt xoắn và trượt theo cả hai chiều và độ cứng uốn và đặc tính không thay đổi dọc theo chiều dài phần tử;
c) Phần từ vỏ (tấm uốn), có độ cứng trong mặt phẳng và độ cứng uốn ngoài mặt phẳng với chiều dày không thay đổi.
E.5.2. Trong thực tế có phần tử bậc cao hơn, tuy nhiên ba loại phần tử đơn giản ở trên đủ để đại diện cho thanh dầm tương đương. Việc sử dụng một cách thích hợp các loại phần tử được kể ở trên trong quy trình mô hình hóa được nêu trong các mục dưới đây.
E.5.3. Phần tử tấm
E.5.3.1. Đối với việc mô hình hóa phần tử hữu hạn của kết cấu thân, tấm được đại diện điển hình bởi các phần tử tấm uốn.
E.5.3.2. Nhìn chung, ô lưới phần tử tấm được bố trí theo hệ thống nẹp đến mức có thể được, vì thế đại diện cho panel tấm thực tế giữa các nẹp. Kích cỡ ô lưới phải phù hợp với các yêu cầu sau:
a) Một phần tử ở giữa mỗi nẹp dọc, xem Hình E.2. Theo chiều dọc, chiều dài phần tử không được lớn hơn hai lần các khoảng cách dọc;
b) Một phần tử ở giữa mỗi nẹp đứng trên các vách ngang, xem Hình E.3;
c) Một phần tử ở giữa mỗi nẹp khỏe trên các sườn khỏe đứng và ngang, thanh giằng và sống dọc, xem Hình E.2;
d) Ít nhất ba phần tử bên trên chiều cao của các đà ngang và sống chính đáy đôi, sườn khỏe ngang, sườn khỏe đứng, và sống ngang trên các vách ngang;
e) Đối với thanh giằng ngang, xà ngang boong và các sống ngang trên các vách ngang lửng và sống ngang trên các vách dọc có chiều cao bản thành nhỏ hơn, sự miêu tả sử dụng hai phần tử trên chiều cao này có thể chấp nhận với điều kiện có tối thiểu một phần tử giữa mỗi sườn khỏe. Kích cỡ ô lưới kết cấu liền kề phải được điều chỉnh phù hợp;
f) Ô lưới tại sườn khỏe két hông phải đủ mịn để thể hiện được hình dáng của lỗ khoét bản thành, xem Hình E.2;
g) Độ cong của mép tự do trên các mã lớn của kết cấu đỡ chính phải được mô hình hóa chính xác để tránh ứng suất cao không có thực do tính không liên tục hình học. Thông thường, có thể chấp nhận kích cỡ ô lưới bằng với khoảng cách nẹp;
h) Chân mã có thể được xác định tại điểm nút gần nhất với điều kiện rằng chiều dài mô hình chân mã không được vượt quá chiều dài chân mã thực;
i) Bản cánh mã của đà ngang không được nối với tấm dọc, xem Hình E.4. Một ô lưới có thể chấp nhận được chỉ ra trong Hình E.4. Một ô lưới mịn hơn phải được sử dụng để xác định ứng suất chi tiết tại chân mã, Hình E.6.
j) Tỷ lệ các cạnh của phần tử tấm nhìn chung không lớn hơn 3. Việc sử dụng phần tử tấm hình tam giác phải được giữ ở mức tối thiểu. Nếu có thể được, tỷ lệ các cạnh của phần tử tấm ở khu vực có khả năng phát sinh ứng suất cao hoặc một gradient ứng suất cao phải có giá trị gần bằng một và phải được tránh sử dụng phần tử hình tam giác;
E.5.3.3. Các lỗ chui trên các kết cấu dọc và ngang, như là các boong đáy đôi và sống dọc, nói chung là được bỏ qua trong mô hình tổng thể. Việc loại bỏ các phần tử tấm hoặc giảm chiều dày tấm để tính toán cho các lỗ chui như vậy trong mô hình 3-D là không được khuyến nghị, bởi vì điều này có thể cho kết quả ứng suất cắt không thực tế đối với phần tử mỏng hơn hoặc các phần tử liền kề. Phản ứng thực tế của lỗ chui hình tròn hoặc hình elip có hoặc không có bản mép là khác hoàn toàn so với tấm mỏng được mô hình hóa hoặc phần từ lỗ thường có hình chữ nhật.

Hình E.2 - Ô phần tử hữu hạn điển hình tại khung sườn khỏe

Hình E.3 - Ô phần tử hữu hạn điển hình tại vách ngang

Hình E.4 - Ô phần tử hữu hạn điển hình trên mã chính của sườn ngang khỏe
E.5.4. Phần tử thanh (hoặc dầm/xà) cho nẹp gia cường
E.5.4.1. Tất cả nẹp cục bộ phải được mô hình hóa. Các nẹp có thể được mô hình hóa thành các phần tử thẳng đặt trong mặt phẳng của tấm. Phần tử thanh (dầm/xà) phải được sử dụng trong khu vực chịu tác dụng của tải trọng ngang (bên), còn các phần tử thanh (vì kèo) nêu trong E.5.5 của Phụ lục này có thể được sử dụng để đại diện cho các nẹp gia cường cục bộ trên các kết cấu bên trong không chịu tải trọng ngang.
E.5.4.2. Phần tử thanh phải có những đặc tính sau:
a) Các nẹp được mô hình hóa điển hình bằng các phần tử thanh không có dịch chuyển;
b) Diện tích mặt cắt ngang phần tử thanh được dựa trên diện tích nẹp thực tế không bao gồm diện tích tấm mép kèm;
c) Do các đặc tính uốn mặt phẳng được thể hiện qua quán tính của nẹp và tấm kết hợp với nhau;
d) Chiều rộng của tấm mép kèm phải được lấy về hai phía của nẹp một nửa khoảng cách nẹp;
e) Độ lệch tâm của trục trung hòa không được yêu cầu mô hình hóa.
E.5.5. Phần tử thanh (hoặc vì kèo) cho nẹp gia cường
Các nẹp khỏe tại các kết cấu chịu lực chính phải được mô hình hóa. Nếu các nẹp này không nằm trên đường thẳng trong ô lưới phần tử hữu hạn chính, thì nó phải đủ để đặt phần tử thẳng dọc theo gần điểm nút miễn là khoảng cách điều chỉnh không được vượt quá 0,2 lần khoảng cách nẹp đang xét. Các ứng suất và hệ số sử dụng khi mất ổn định mà xác định được không cần thiết phải điều chỉnh theo sự hiệu chỉnh trên. Nẹp chống mất ổn định tại mã lớn, xà ngang boong và sống dọc song song với bản cánh phải được mô hình hóa. Các nẹp gia cường này có thể được mô hình hóa sử dụng phần tử thanh.
E.5.6. Phần tử thanh (dầm/xà) cho các tấm mặt của kết cấu đỡ chính
E.5.6.1. Tất cả tấm mặt phải được thống kê và có thể được mô hình hóa sử dụng phần tử thanh.
E.5.6.2. Đối với một kết cấu thân điển hình, có nhiều kết cấu phụ thanh dẹt, nẹp, mã đứng (chống vặn) và panel chặn “breaker”. Các thành phần tử kết cấu này chủ yếu cung cấp độ cứng cục bộ cho tấm để chống lại mất ổn định và dao động (rung). Các kết cấu nẹp phụ thường không cần đưa vào mô hình hóa tổng thể do ảnh hưởng của chúng lên phản ứng (đáp ứng) tổng thể của kết cấu thân là không đáng kể.
E.6. Mô hình hóa phần tử hữu hạn tổng thể 3-D
E.6.1. Mô hình của kết cấu thân và kết cấu két hàng
Phương pháp mô hình hóa phần tử hữu hạn dùng ở đây là phải sử dụng một mô hình phần tử hữu hạn tổng thể 3-D để xác định phản ứng tổng thể của thanh dầm tương đương dưới tác dụng của tải trọng môi trường biển, ứng suất thu được từ mô hình tổng thể được sử dụng không chỉ để đánh giá tấm dầm tương đương của boong, vỏ mạn, đáy, đáy trong, vách dọc, vách ngang và đế vách (thanh ốp) hoặc sống hộp boong mà còn đánh giá kết cấu đỡ chính. Điều kiện biên cho mô hình phần tử hữu hạn cục bộ là chuyển vị nút tương thích thu được từ phân tích mô hình tổng thể 3-D. Do đó, trong việc phát triển mô hình phần tử hữu hạn 3-D, phải chú ý tới các hướng dẫn chung sau:
a) Mô hình phần tử hữu hạn sẽ phải bao gồm toàn bộ thành phần chịu lực chính. Các thành phần kết cấu phụ mà có thể ảnh hưởng đến sự phân bổ tải trọng cũng phải được thống kê vào một cách phù hợp;
b) Việc lý tưởng hóa kết cấu phải được dựa vào độ cứng và phản ứng được đoán trước của kết cấu, không hoàn toàn phụ thuộc vào hình học của bản thân kết cấu;
c) Một sai lầm phổ biến là đơn giản làm phù hợp với chia ô lưới phần tử hữu hạn cùng với hình dạng của kết cấu. Đôi khi một mô hình phần từ hữu hạn, được tạo trong cách này, “có vẻ tốt” và được mô tả hình học kết cấu tốt, nhưng thực tế nó không thể hiện tốt đặc tính kết cấu và đặc trưng làm việc của kết cấu;
d) Sẽ là tốt khi có một mô hình hóa phù hợp trong suốt chiều dài ba khoang hàng được xem xét. Tuy nhiên khoang giữa luôn có ô chia thỏa đáng để có kết quả chính xác hơn dự kiến (do ảnh hưởng biên) và từ đó sử dụng đánh giá độ bền. Nếu phải lấy giá trị gần đúng thì chỉ áp dụng cho hai khoang đầu và cuối;
e) Điều quan trọng là xem xét độ cứng tương đối giữa các thành phần kết cấu liên quan và phản ứng được đoán trước của chúng dưới tác dụng của tải trọng cụ thể;
f) Các đà ngang đáy trong các tàu vỏ đơn và các đà ngang đáy đôi trong các tàu vỏ kép luôn có ngăn trở cao tại mút đầu và cuối, và do đó cần chia ô lưới phù hợp để thu được độ chính xác chấp nhận được.
E.6.2. Mô hình khung và kết cấu đỡ
E.6.2.1. Các kết cấu két hàng độc lập và thân kho chứa nỗi thường tương tác thông qua các khung và kết cấu đỡ dưới đây mà có thể được thể hiện bằng các phần tử thanh, xem Hình E.5.
a) Kết cấu đỡ két hàng đứng
b) Khung đỡ chống lật
c) Khung đỡ chống va
d) Khung đỡ chống trôi dạt
E.6.2.2. Các phần tử thanh này được dùng để đại diện cho phản ứng kết cấu tổng thể của các khung và kết cấu đỡ nêu ở trên. Độ cứng dọc trục của mỗi kết cấu đỡ (khung đỡ) phải được xác định từ các thuộc tính của các lớp vật liệu riêng biệt như gỗ dán, nhựa và chất kết dính cũng như là các bệ được gắn vào kết cấu thân và két hàng.
E.6.2.3. Vì các khung và kết cấu đỡ két hàng độc lập không chịu bất kỳ lực căng nào, kết quả cuối cùng cho một số trường hợp tải trọng tiêu chuẩn sẽ thu được bằng cách loại bỏ dần các phần từ thanh chịu lực căng. Trong một số trường hợp, có thể phải mất vài lần lặp để đạt đến trạng thái cân bằng lực cuối cùng. Đối với khung đỡ chống lật và chống va, có hai bề mặt tiếp xúc ở mỗi bên của then vít (male key). Các phần tử thanh có thể được đưa vào cho mỗi bề mặt. Những phần tử thanh chịu lực căng sẽ được loại bỏ khỏi các phân tích tiếp theo
E.6.2.4. Sự tương tác giữa các kết cấu thân và két hàng độc lập tại các khung và kết cấu đỡ có thể được thể hiện bằng việc sử dụng các phần tử hở hoặc các phần tử thanh phi tuyến tính với độ cứng bằng không khi chịu lực căng.

Hình E.5 - Mô hình phần tử hữu hạn tổng thể (các cơ cấu đỡ chính, khung và kết cấu đỡ)
E.6.3. Mô hình phần tử hữu hạn cho các khu vực kết cấu quan trọng
E.6.3.1. Yêu cầu chung
E.6.3.1.1. Để có các khu vực kết cấu quan trọng được dựng mô hình có độ chính xác mong muốn, kích thước mắt lưới phải mịn hơn kích thước mắt lưới cơ bản đề xuất cho các mô hình phần tử hữu hạn tổng thể. Đối với các lỗ khoét tiếp cận ở các khu vực chịu ứng suất cao, các mối nối mã, khung và kết cấu đỡ, thì có thể yêu cầu các kích thước phần tử là 1/5 - 1/10 khoảng cách theo chiều dọc. Không khuyến khích các kích thước phần tử mịn hơn 1/10 trừ khi hệ số tập trung ứng suất (SCF) tại một chi tiết kết cấu được thiết lập. Bất kỳ quá trình chuyển đổi từ lưới khá thô sang lưới mịn hơn phải trơn tru và tường bước một.
E.6.3.1.2. Hình E.6 dưới đây chỉ ra một bố trí lưới được chấp nhận cho chân mã để tính toán ứng suất cục bộ hoặc ứng suất vùng. Nhìn chung, nó không được khuyến khích phải có phần tử thanh ở mút của chân mã được kết nối trực tiếp với tôn vỏ. Nếu thấy ứng suất vùng gần đến giới hạn ứng suất, mô hình lưới mịn hơn của mã có thể được đánh giá thêm.
E.6.3.1.3. Các vật liệu như gỗ dán, nhựa và chất kết dính thường được bố trí cho các bề mặt tiếp xúc của khung và kết cấu đỡ cho mục làm phẳng hoặc căn chỉnh. Độ bền của các vật liệu này khi chịu các lực nén hoặc ma sát phải được xác minh theo các yêu cầu ở 7.5.2.6 của Tiêu chuẩn này.
E.6.3.1.4. Các bệ của khung và kết cấu đỡ phải được xác minh bằng cách sử dụng các mô hình phần tử hữu hạn lưới mịn. Trong các kết cấu đỡ (khung) có cùng cấu hình, một mô hình phần tử hữu hạn lưới phải được xây dựng cho một kết cấu đỡ chịu lực tác động lớn nhất.
E.6.3.1.5. Đối với mỗi khu vực kết cấu quan trọng, mô hình phần tử hữu hạn lưới mịn phải được mở rộng thích đáng cho các thành phần kết cấu chính tương đối cứng mà việc chuyển vị biên có thể xác định chính xác từ mô hình phần tử hữu hạn tổng thể. Phải xem xét các ảnh hưởng biên về phân phối ứng suất tại khu vực kết cấu quan trọng.

Hình E.6 - Mô hình chân mã và tấm bề ngoài dạng côn
E.6.3.2. Các khu vực kết cấu quan trọng
E.6.3.2.1. Các khu vực kết cấu quan trọng phải được xác định từ mô hình phần tử hữu hạn tổng thể và kinh nghiệm hoạt động và được đánh giá bằng cách sử dụng các mô hình phần tử hữu hạn lưới minh. Sau khi hoàn thành phân tính phần tử hữu hạn tổng thể, các khu vực kết cấu sau phải được sàng lọc cho các ứng suất cao. Danh sách các khu vực kết cấu quan trọng cuối cùng được lựa chọn từ phân tích phần tử hữu hạn lưới mịn phải được xác nhận.
E.6.3.2.2. Kết cấu thân (xem Hình E.7)
a) Lỗ khoét hình vòm;
b) Các mã trên và dưới của sườn mạn;
c) Các lỗ khoét tiếp cận ở các sàn và sống đáy đôi;
d) Các nẹp gia cường đứng và các vách ngăn ngang;
e) Các mã nối vách ngăn ngang, nẹp gia cường đứng và các dầm dọc boong;
f) Các mã dưới của các vách ngăn ngang.
E.6.3.2.3. Kết cấu két hàng (xem Hình E.7)
g) Các mối nối mã của sườn ngang khỏe;
h) Các mối nối mã của các vách ngăn chống sóng sánh;
i) Các mối nối mã của sống nằm ngang.
E.6.3.2.4. Bệ của khung và kết cấu đỡ két hàng
j) Mỗi loại của kết cấu đỡ đứng;
k) Mỗi loại của khung chống lật;
l) Mỗi loại của khung chống va;
m) Mỗi loại của khung chống trôi dạt.
E.6.3.2.5. Khi một thành phần kết cấu tương đối mềm kết nối với thành phần kết cấu đỡ chính rất cứng, mã kết nối phải được đánh giá bằng cách sử dụng mô hình phần từ hữu hạn lưới mịn. Các khu vực quan trọng bổ sung có thể được lựa chọn cho các chi tiết kết nối và các bố trí kết cấu mới lạ.

Hình E.7 - Các khu vực quan trọng của kết cấu thân và két hàng
E.6.3.3. Bệ cho các kết cấu đỡ đứng
a) Đối với mỗi loại kết cấu đỡ đứng, phải phân tích 2 mô hình phần tử hữu hạn lưới mịn riêng biệt, đại diện cho các bệ đỡ được trang bị cho kết cấu thân và kết cấu két hàng. Hình E.8 chỉ ra 2 mô hình phần tử hữu hạn lưới mịn cho hầu hết kết cấu đỡ đứng ngoài thân tàu
b) Đối với các bệ đỡ được trang bị cho kết cấu thân, mô hình lưới mịn phải bao gồm, theo hướng dọc, một khoảng sàn về phía trước và sau của kết cấu đỡ đứng, ở hướng ngang, mô hình phải kết thúc ở các sống mạn hoặc ở các thành phần kết cấu đỡ chính khác, ở hướng thẳng đứng, toàn bộ chiều sâu của kết cấu đáy bao gồm cả các bệ đỡ phải được mô hình hóa.
c) Đối với các bệ đỡ được trang bị cho kết cấu két hàng, mô hình lưới mịn phải bao gồm, theo hướng dọc và ngang, như theo mô tả ở trên. Hướng đứng, mô hình phải bao gồm từ tôn đáy của két hàng gồm cả bệ đỡ tới sống ngang lân cận.

Hình E.8 - Bố trí lưới cho các khu vực kết cấu chính (khung đỡ đứng)
E.6.3.4. Bệ cho khung đỡ chống lật
a) Đối với mỗi loại khung đỡ chống lật, phải phân tích 2 mô hình phần tử hữu hạn lưới mịn riêng biệt, đại diện cho các bệ được trang bị cho các kết cấu thân và két hàng. Hình E.9 chỉ ra 2 mô hình lưới mịn cho khung chống lật tại mức boong.
b) Đối với bệ trang bị cho kết cấu thân, mô hình lưới mịn phải bao gồm, theo chiều dọc, một khoảng sườn ngang khỏe về phía trước và phía sau của khung đỡ. Ở hướng ngang, mô hình phải kết thúc ở các sống mạn hoặc tại các thành phần kết cấu đỡ khỏe cứng khác.
c) Đối với các bệ trang bị cho kết cấu két hàng, mô hình lưới mịn phải bao gồm, theo các hướng dọc và ngang, tương tự như mô tả ở trên. Ở phương đứng, mô hình phải bao gồm từ tôn đỉnh của két hàng bao gồm bệ đỡ tới sườn ngang lân cận.

Hình E.9 - Bố trí lưới cho các khu vực kết cấu quan trọng (Khung đỡ chống lật)
E.6.3.5. Bệ cho khung đỡ chống va
a) Đối với mỗi loại khung đỡ chống va, phải phân tích 2 mô hình phần tử hữu hạn lưới mịn riêng biệt đại diện cho các bệ đỡ được trang bị cho kết cấu thân và két hàng một cách trình tự. Hình E.10 chỉ ra 2 mô hình lưới mịn cho khung đỡ chống va tại mức sàn dưới.
b) Đối với bệ đỡ trang bị cho kết cấu thân, mô hình lưới mịn phải bao gồm, theo chiều dọc, một khoảng sàn về phía trước và sau của khung đỡ. Theo chiều ngang, mô hình phải kết thúc ở các sống mạn hoặc ở các thành phần kết cấu đỡ chính khác. Theo hướng đứng, chiều sâu toàn bộ của đáy đôi phải được mô hình hóa. Đối với bệ đỡ trang bị cho kết cấu két hàng, mô hình lưới mịn phải bao gồm, theo các hướng dọc và ngang, tương tự như mô tả ở trên, ở hướng đứng, mô hình phải bao gồm từ một thành phần kết cấu đỡ chính tới thành phần kết cấu đỡ chính khác.

Hình E.10 - Bố trí lưới cho các khu vực kết cấu quan trọng (Khung đỡ chống va)
E.6.3.6. Bệ cho khung đỡ chống trôi dạt
a) Đối với mỗi loại khung đỡ chống trôi dạt, phải phân tích hai mô hình phần tử hữu hạn lưới riêng biệt. Về cơ bản, các bệ đỡ phải được trang bị cho kết cấu két hàng
b) Hình E.11 chỉ ra 2 mô hình lưới mịn cho khung đỡ chống trôi dạt. Đối với bệ đỡ trang bị cho kết cấu két hàng, mô hình lưới phải bao gồm, theo chiều dọc, một khoảng sườn khỏe về phía trước và phía sau của khung đỡ chống trôi dạt. Đối với bệ đỡ của kết cấu thân, mô hình lưới mịn phải bao gồm, theo chiều dọc, một khoảng sườn khỏe về phía trước và phía sau của khung đỡ.

Hình E.11 - Bố trí lưới cho các khu vực kết cấu quan trọng (Khung đỡ chống trôi dạt)
E.6.4. Mô hình phần tử hữu hạn cho các chi tiết kết cấu quan trọng
E.6.4.1. Các chi tiết kết cấu phức tạp dễ bị nứt phải được đánh giá theo các yêu cầu về độ bền mỏi ở 7.5.4 của Tiêu chuẩn này. Để xác minh độ bền mỏi, các ứng suất đốm nóng phải được tính toán bằng giả định là một chi tiết kết cấu lý tưởng không có sai lệch. Các mô hình phần tử hữu hạn lưới mịn phải được xây dựng với kích thước lưới khoảng gần với t x t tại chi tiết quan trọng nhắm tới; Việc bố trí lưới ra khỏi khu vực quan trọng có thể dần dần thô hơn. Các phần tử tứ giác có tỷ lệ tốt thường được sử dụng cho mô hình điểm nóng. Hình E.12 đưa ra mô hình phần tử hữu hạn lưới mịn cho kết nối dọc boong tại khung đỡ chống lật

Hình E.12 - Phân tích phần tử hữu hạn lưới mịn cho đánh giá độ bền mỏi (ví dụ cho kết nối dọc boong tại khung đỡ chống lật)
E.6.4.2. Các chi tiết kết cấu quan trọng phải được xác định từ mô hình phần tử hữu hạn tổng thể, các mô hình lưới mịn cục bộ và kinh nghiệm hoạt động. Sau khi hoàn thành đánh giá phần tử hữu hạn cục bộ và tổng thể, các chi tiết có thiên hướng mỏi ở các khu vực kết cấu dưới đây phải được sàng lọc cho phạm vi ứng suất cao. Danh sách các chi tiết kết cấu quan trọng cuối cùng được lựa chọn từ đánh giá độ bền mỏi phải được xác nhận.
a) Kết cấu thân:
- Các góc miệng lỗ khoét vòm;
- Các chân mã dưới và trên của sườn mạn;
- Các mối nối mã của các nẹp gia cường đứng vách ngang tại đáy trên và tại các mức boong;
- Các mối nối mã của sống dọc đáy trên tại vị các kết cấu đỡ đứng, khung đỡ chống lật và chống va;
- Các mối nối mã của sống dọc mạn gần với đường nước dằn;
- Các chân mã của nẹp gia cường ngang boong;
- Mối nối góc hông két tại sườn ngang khỏe (giữa két).
b) Kết cấu két hàng
- Chân mã của sườn ngang khỏe;
- Chân mã của vách ngang chống sóng sánh;
- Chân mã của nẹp gia cường ngang.
c) Các bệ cho khung và kết cấu đỡ két hàng
- Chân mã của mỗi loại kết cấu đỡ đứng;
- Chân mã của mỗi loại khung đỡ chống lật;
- Chân mã của mối loại khung đỡ chống va.
E.7. Các điều kiện tải trọng
E.7.1. Các trường hợp chất tải trọng được tổ hợp và dạng chất tải
Các trường hợp tải trọng được tổ hợp như đã chỉ ra trong Bảng 4 - Các trường hợp tải trọng tổ hợp* đối với đánh giá độ bền tổng thể đến Bảng 6 - Các trường hợp tải trọng thiết kế đặc biệt đối với các két hàng độc lập của Tiêu chuẩn này cùng với dạng chất tải tương ứng được chỉ ra trong Hình 6 - Mẫu tải trọng phải được sử dụng trong phân tích phần tử hữu hạn.
E.7.2. Các trường hợp tải trọng va đập
Trong việc đánh giá độ bền của các kết cấu đỡ biên két, hai trường hợp tải trọng được tổ hợp như đã chỉ ra trong Hình 7 - Mẫu tải trọng cùng với dạng tải trọng tương ứng được chỉ ra trong Hình 7 - Mẫu tải trọng phải được xem xét trong phân tích phần tử hữu hạn.
E.7.3. Mômen uốn thẳng đứng và lực cắt thẳng đứng thanh dầm tương đương mục tiêu
E.7.3.1. Mômen uốn thẳng đứng thanh dầm tương đương
Mômen uốn thẳng đứng dầm tương đương Mtarg là phải đạt được giá trị mục tiêu được yêu cầu dưới đây là một tổ hợp của mômen uốn trên nước tĩnh theo tiêu chuẩn và mômen uốn thẳng đứng do sóng tại một mặt cắt trong khoảng chiều dài của khoang giữa của mô hình phần tử hữu hạn ba khoang két:
Mtarg = Msw + kukcβVBMMw
Trong đó:
| Msw - | Mômen uốn trên nước tĩnh được áp dụng cho trường hợp tải trọng phần tử hữu hạn, như đã chỉ ra trong 7.3.2 cho trạng thái uốn vồng lên hoặc xuống; |
| Mw - | Mômen uốn sóng thẳng đứng áp dụng cho trường hợp tải trọng động được xét, được tính phù hợp với 7.3.2.1.1 cho trạng thái uốn vồng lên hoặc xuống; |
| βVBM - | Hệ số khắc nghiệt môi trường (Environmental severity factor) áp dụng cho mômen uốn thẳng đứng như đã chỉ ra trong C.2, Phụ lục C; |
| ku - | Hệ số tải trọng, lấy bằng 1,0 như đã chỉ ra trong Bảng 4 - Các trường hợp tải trọng tổ hợp* đối với đánh giá độ bền tổng thể đến Bảng 7 - Các trường hợp tải trọng tổ hợp đối với điều kiện sửa chữa* và Bảng 9 - Áp lực thiết kế đối với các cơ cấu đỡ và cơ cấu cục bộ; |
| kc - | Hệ số tương quan, lấy theo giá trị đã được chỉ ra trong Bảng 4 - Các trường hợp tải trọng tổ hợp* đối với đánh giá độ bền tổng thể đến Bảng 7 - Các trường hợp tải trọng tổ hợp đối với điều kiện sửa chữa* và Bảng 9 - Áp lực thiết kế đối với các cơ cấu đỡ và cơ cấu cục bộ; |
E.7.3.2. Lực cắt theo phương thẳng đứng thanh dầm tương đương
Lực cắt theo phương thẳng đứng thanh dầm tương đương Ftarg là để đạt tới giá trị nhắm tới được yêu cầu sau đây tại vị trí vách ngang phía mũi của khoang giữa. Lực cắt thẳng đứng thanh dầm tương đương mục tiêu là một tổ hợp của lực cắt trên nước tĩnh yêu cầu theo tiêu chuẩn và lực cắt theo phương thẳng đứng gây ra do sóng:
Ftarg = Fsw + kukcβVSFFw
Trong đó:
| Fsw - | Lực cắt trên nước tĩnh được áp dụng cho trường hợp tải trọng phần từ hữu hạn, như đã chỉ ra trong 7.3.2 cho các lực cắt dương hoặc âm; |
| Fw - | Lực cắt sóng thẳng đứng áp dụng cho trường hợp tải trọng động được xét, được tính phù hợp với 7.3.3.2.3 cho các lực cắt dương hoặc âm; |
| βVSF | Hệ số khắc nghiệt môi trường (Environmental severity factor) áp dụng cho lực cắt thẳng đứng như đã chỉ ra trong C.2, Phụ lục C; |
| ku - | Hệ số tải trọng, lấy bằng 1,0 như đã chỉ ra trong Bảng 4 - Các trường hợp tải trọng tổ hợp* đối với đánh giá độ bền tổng thể đến Bảng 7 - Các trường hợp tải trọng tổ hợp đối với điều kiện sửa chữa* và Bảng 9 - Áp lực thiết kế đối với các cơ cấu đỡ và cơ cấu cục bộ; |
| kc - | Hệ số tương quan, lấy theo giá trị đã được chỉ ra trong Bảng 4 - Các trường hợp tải trọng tổ hợp* đối với đánh giá độ bền tổng thể đến Bảng 7 - Các trường hợp tải trọng tổ hợp đối với điều kiện sửa chữa* và Bảng 9 - Áp lực thiết kế đối với các cơ cấu đỡ và cơ cấu cục bộ. |
Mô ment uốn và lực cắt thẳng đứng của dầm thân yêu cầu phải đạt được ở trường hợp tải trọng tương tự như yêu cầu ở Bảng 4 - Các trường hợp tải trọng tổ hợp* đối với đánh giá độ bền tổng thể đến Bảng 7 - Các trường hợp tải trọng tổ hợp đối với điều kiện sửa chữa* và Bảng 9 - Áp lực thiết kế đối với các cơ cấu đỡ và cơ cấu cục bộ. Quy trình để áp dụng cho việc phân bố mômen uốn và lực cắt được yêu cầu được nêu trong E.8.
E.7.4. Mômen uốn trên sóng theo phương ngang của thanh dầm tương đương
Mômen uốn sóng theo phương ngang của thanh dầm tương tại mặt cắt trong phạm vi chiều dài của két giữa của mô hình phần tử hữu hạn ba két là giá trị mục tiêu yêu cầu bởi trường hợp tải trọng động mà được yêu cầu bởi Bảng 4 - Các trường hợp tải trọng tổ hợp* đối với đánh giá độ bền tổng thể đến Bảng 7 - Các trường hợp tải trọng tổ hợp đối với điều kiện sửa chữa* và Bảng 9 - Áp lực thiết kế đối với các cơ cấu đỡ và cơ cấu cục bộ, được tính toán phù hợp với 7.3.4.2.2.
Quy trình để hiệu chuẩn mômen uốn theo phương ngang của thanh dầm tương đương được nêu trong E.8.
E.8. Quy trình để hiệu chuẩn mômen uốn và lực cắt thanh dầm tương đương
E.8.1. Quy định chung
E.8.1.1. Quy trình được nêu trong mục này phải được áp dụng để hiệu chỉnh lực cắt theo phương thẳng đứng và mômen uốn theo phương ngang thanh dầm tương đương, sự phân bố mômen uốn theo phương thẳng đứng trên mô hình phần tử hữu hạn ba khoang hàng để đạt giá trị mục tiêu yêu cầu.
E.8.1.2. Các tải trọng được phân bố theo phương thẳng đứng được áp dụng cho từng vị trí khung sườn, cùng với mômen uốn thẳng đứng được áp dụng cho hai đầu mút mô hình để đưa ra giá trị mục tiêu yêu cầu của lực cắt theo phương thẳng đứng tại vách phía mũi của khoang giữa mô hình phần tử hữu hạn, và giá trị mục tiêu yêu cầu của mômen uốn theo phương thẳng đứng tại mặt cắt trong phạm vi chiều dài khoang giữa của mô hình phần tử hữu hạn. Giá trị mục tiêu yêu cầu được chỉ ra tại E.7.3
E.8.1.3. Mômen uốn ngang được áp dụng cho hai đầu mút của mô hình để đưa ra giá mục tiêu yêu cầu của mômen uốn theo phương ngang tại mặt cắt trong phạm vi chiều dài của khoang giữa của mô hình phần tử hữu hạn. Các giá trị được yêu cầu được chỉ ra tại E.7.4.
E.8.2. Lực cắt và mômen uốn do tải trọng cục bộ
E.8.2.1. Các lực cắt theo phương thẳng đứng
Các lực cắt theo phương thẳng đứng phát sinh do tải trọng cục bộ phải được tính toán tại các vị trí vách ngang của khoang giữa của mô hình phần tử hữu hạn. Sự phân bố mômen uốn theo phương thẳng đứng phát sinh do tải trọng cục bộ được tính toán dọc theo chiều dài khoang giữa của mô hình phần tử hữu hạn ba két hàng. Mô hình phần tử này có thể được sử dụng để tính toán các mômen uốn và các lực cắt. Như một sự thay thế, một mô hình dầm đơn giản đại diện cho chiều dài của mô hình phần tử hữu hạn ba khoang có hai đầu mút có gối đỡ đơn giản có thể được sử dụng để xác định giá trị mômen uốn và lực cắt.
E.8.2.2. Phân bố mômen uốn theo phương ngang
Đối với điều kiện sóng chéo và sóng ngang, sự phân bố mômen uốn ngang do áp suất biển động và áp suất động lực học két phải được tính toán dọc theo chiều dài két giữa của mô hình phần tử hữu hạn.
E.8.2.3. Các tải trọng cục bộ
Tải trọng cục bộ sau đây phải được áp dụng để tính toán lực cắt và mômen uốn thanh dầm tương đương:
a) Phân bố trọng lượng kết cấu tàu trên toàn bộ chiều dài của mô hình ba két (tải trọng tĩnh). Nếu mô hình dầm đơn giản được sử dụng, thì trọng lượng kết cấu của mỗi két cần được phân bố đều suốt chiều dài của két hàng. Trạng lượng kết cấu phải được tính trên cơ sở chiều dày của kích thước cơ bản phải được xét như được sử dụng trong kết cấu của mô hình phần tử kết cấu khoang hàng, xem E.2;
b) Trọng lượng hàng và nước dằn (tải trọng tĩnh);
c) Áp suất thủy tĩnh, áp suất sóng động;
d) Áp suất động lực học két.
E.8.3. Quy trình để hiệu chỉnh phân bố lực cắt thẳng đứng cho các giá trị mục tiêu
E.8.3.1. Hiệu chuẩn lực cắt tại vách ngang
Việc hiệu chỉnh lực cắt được yêu cầu tại vị trí vách ngang (∆Qaft và ∆Qfwd như được chỉ trong Hình E.13) được tạo ra bằng cách áp dụng tải trọng theo phương thẳng đứng tại vị trí khung sườn như được chỉ ở Hình E.14. Lưu ý rằng tải trọng điều chỉnh theo phương thẳng đứng không áp dụng cho bất kỳ vách ngang kín nước, bất kỳ sườn phía trước của khoang phía trước và bất kỳ sườn phía sau của khoang phía sau của mô hình phần tử hữu hạn. Tổng tải trọng của toàn bộ tải trọng hiệu chỉnh theo phương thẳng đứng được áp dụng thì bằng không.
E.8.3.2. Hiệu chuẩn lực cắt tại vách ngang phía trước và phía sau của khoang giữa của mô hình phần tử hữu hạn
Việc hiệu chuẩn được yêu cầu của lực cắt tại vách ngang phía trước và phía sau của khoang giữa của mô hình phần tử hữu hạn nhằm phát sinh lực cắt mục tiêu yêu cầu tại vách được đưa ra như sau:
∆Qaft = - Qtarg - Qaft
∆Qfwd = Qtarg - Qfwd
Trong đó:
| ∆Qaft | Hiệu lực cắt yêu cầu tại vách sau của khoang giữa; |
| ∆Qfwd | Hiệu chuẩn lực cắt yêu cầu tại vách trước của khoang giữa; |
| Qtarg | Giá trị lực cắt yêu cầu phải đạt được tại vách ngang phía trước của khoang giữa, xem 3 - A5/13.5.2; |
| Qaft | Lực cắt do tải trọng cục bộ tại vách sau của khoang giữa; |
| Qfwd | Lực cắt do tải trọng cục bộ tại vách trước của khoang giữa. |
E.8.3.3. Các tải trọng theo phương thẳng đứng áp dụng cho mỗi sườn
Giá trị các tải trọng theo phương thẳng đứng được áp dụng cho mỗi sườn phát sinh sự tăng lực cắt tại vách có thể được tính toán bằng cách sử dụng mô hình dầm đơn giản. Đối với trường hợp nếu khoảng cách sườn đều nhau được sử dụng trong mỗi khoang, số lượng của lực thẳng đứng phải được phân bố tại mỗi khoảng sườn có thể được tính toán phù hợp với công thức sau. Chiều dài và khoảng sườn của khoang hàng riêng lẻ có thể khác nhau.

Trong đó:
|
| - Chiều dài khoang hàng phía sau của mô hình; |
|
| - Chiều dài khoang hàng giữa của mô hình; |
|
| - Chiều dài khoang hàng phía trước của mô hình; |
| ∆Qaft | - Hiệu chỉnh lực cắt yêu cầu tại vách sau của khoang giữa, xem Hình E.13; |
| ∆Qfwd | - Hiệu chỉnh lực cắt yêu cầu tại vách trước của khoang giữa, xem Hình E.13; |
| F | - Phản lực tại đầu mút do áp dụng tải trọng thẳng đứng đối với sườn; |
| W1 | - Toàn bộ tải trọng thẳng đứng phân bố đều áp dụng đối với khoang sau của mô hình phần tử hữu hạn; = (n1 - 1)δw1 |
| W2 | - Toàn bộ tải trọng thẳng đứng phân bố đều áp dụng đối với khoang giữa của mô hình phần tử hữu hạn; = (n2 - 1)δw2 |
| W3 | - Toàn bộ tải trọng thẳng đứng phân bố đều áp dụng đối với két trước của mô hình phần tử hữu hạn; = (n3 - 1)δw3 |
| n1 | - Số lượng khoảng sườn trong khoang hàng phía sau của mô hình phần tử hữu hạn; |
| n2 | - Số lượng khoảng sườn trong khoang hàng giữa của mô hình phần tử hữu hạn; |
| n3 | - Số lượng khoảng sườn trong khoang hàng phía trước của mô hình phần tử hữu hạn; |
| δw1 | - Tải trọng phân bố tại sườn trong khoang hàng phía sau của mô hình phần tử hữu hạn; |
| δw2 | - Tải trọng phân bố tại sườn trong khoang hàng giữa của mô hình phần tử hữu hạn; |
| δw3 | - Tải trọng phân bố tại sườn trong khoang hàng phía trước của mô hình phần tử hữu hạn; |
|
| - Khoảng cách giữa vách cuối của khoang hàng phía sau tới mút sau của mô hình phần tử hữu hạn; |
|
| - Khoảng cách giữa vách trước của khoang hàng phía trước tới mút trước của mô hình phần tử hữu hạn; |
|
| - Chiều dài toàn bộ của mô hình phần tử hữu hạn (xà) bao gồm cả phần ngoài vách mút được xác định như sau:
|
Lưu ý:
| 1 | Chiều dương của tải trọng, lực cắt và hiệu chuẩn lực thẳng đứng trong công thức phù hợp với Hình E.13 và Hình E.14. |
| 2 | W1 + W3 = W2 |
E.8.3.4. Hiệu chuẩn tải trọng được áp dụng cho các phần kết cấu của sườn ngang
Lượng hiệu chuẩn tải trọng,
, được áp dụng đối với các phần kết cấu của mỗi mặt cắt sườn ngang phát sinh tải trọng thẳng đứng phải phù hợp với Hình E.8. Tải trọng này phải được phân bố tại điểm ô lưới phần tử hữu hạn của các phần kết cấu. Nếu như việc sử dụng phần tử tấm hữu hạn 3 nút hoặc 4 nút thì tải trọng phải được áp dụng tại mỗi điểm ô lưới của phần tử tấm được đưa ra bởi:
![]()
Trong đó:
| Fi-grid | - Tải trọng được áp dụng cho điểm ô lưới phần tử hữu hạn thứ i trên phần tử kết cấu riêng lẻ được xét (như là như tôn mạn, vách dọc và dầm đáy, vách dọc phía trong thân tàu, tôn hông, tôn nghiêng phía trên của vỏ phía trong và sống phụ như được quy định tại Hình E.15); |
| Ai-elem | - Diện tích mặt cắt của mỗi phần tử tấm trong phần tử kết cấu riêng lẻ được xét được nối với điểm ô lưới thứ i (xem Hình E.15); |
| n | - Số lượng phần tử tấm được nối với điểm ô lưới thứ i; |
| Fs | - Toàn bộ tải trọng được áp dụng cho phần tử kết cấu riêng lẻ đang xét, như quy định tại Hình E.15; |
| As | - Diện tích mặt cắt tấm của phần tử kết cấu riêng biệt đang xét (như tôn mạn, vách dọc, dầm đáy, vách dọc phía trong thân tàu, tôn hông, tôn nghiêng phía trên của vỏ phía trong và sống phụ như được chỉ ra tại Hình E.15). |

Chú dẫn: Các ký hiệu được định nghĩa trong E.8.3.3.
Hình E.13 - Vị trí điều chỉnh lực cắt yêu cầu và hiệu chuẩn lực cắt mục tiêu tại các vị trí vách ngang

Chú dẫn: Các ký hiệu được định nghĩa trong E.8.3.5
Hình E.14 - Sự phân bố của việc hiệu chuẩn lực cắt đứng tại sườn và kết quả thu được các phân bố lực cắt
|
|
| ||
| Thành phần kết cấu | Tải trọng áp dụng, Fs | ||
| Tôn mạn |
| ||
| Kết cấu dọc bao gồm dầm đáy phía dưới |
| ||
| Vách dọc của vỏ phía trong (phần thẳng đứng) |
| ||
| Tôn hông |
| ||
| Tôn xiên phía trên của vỏ phía trong |
| ||
| Sống phụ |
| ||
| Trong đó: | |||
|
| - Tải trọng thẳng đứng áp dụng cho từng tiết diện ngang, xem E.8.3.5; | ||
| f | - Hệ số phân bố lực cắt của phần kết cấu tính toán tại vị trí giữa két phù hợp với Bảng E.1; | ||
| Alh | - Diện tích tiết diện tấm của vách dọc lớp vỏ phía trong; | ||
| AHp | - Diện tích tiết diện tấm của tôn két hông; | ||
| AUsp | - Diện tích tiết diện tấm của tôn xiên phía trên lớp vỏ phía trong; | ||
| AOg | - Diện tích tiết diện tấm của sống phụ; | ||
| A2 | - Diện tích tiết diện tấm được tính phù hợp với Bảng E.1. | ||
Chú dẫn:
1) Hiệu chỉnh tải trọng phải được áp dụng trong mặt phẳng đối cho tôn xiên két hông và tôn xiên phía trên của vỏ phía trong;
2) Hiệu chỉnh tải trọng phải được áp dụng đối với thành phần kết cấu riêng biệt.
Hình E.15 - Phân bố của tải trọng điều chỉnh tại mặt cắt ngang
Bảng E.1 - Các hệ số phân bố lực cắt
|
| Tôn mạn ngoài | |
| Tôn mạn trong | ||
| Vách dọc tâm | ||
|
| Tôn mạn ngoài | |
| Tôn mạn trong | ||
| Vách dọc | ||
| Trong đó: | ||
| A1 : A2 : | Diện tích tiết diện tấm của tôn mạn riêng lẻ (nghĩa là một mạn), gồm cả hông tàu; Diện tích tiết diện tấm của vách dọc vỏ phía trong riêng lẻ (nghĩa là một mạn), gồm cả tôn xiên hông tàu, sống phụ đáy đôi, nếu có, tôn nghiêng phía trên của vỏ tàu phía trong; | |
| A3 : | Diện tích tiết diện tấm của vách dọc vỏ phía trong riêng lẻ, gồm sống đáy đôi. | |
Chú thích:
1) Nếu phần phần kết cấu mà không thẳng đứng thì diện tích được sử dụng trong tính toán là hình chiếu đứng lên phương thẳng đứng;
2) Tất cả diện tích tấm phải được tính toán dựa trên chiều dày được mô hình hóa của mô hình phần tử hữu hạn khoang hàng.
E.8.4. Quy trình để hiệu chuẩn mômen uốn ngang và thẳng đứng cho giá trị mục tiêu
E.8.4.1. Mômen uốn theo phương thẳng đứng đầu mút
Mômen uốn thẳng đứng bổ sung phải được áp dụng tại hai đầu mút mô hình phần tử hữu hạn két hàng phát sinh mômen uốn thẳng đứng quy định tại két giữa của mô hình. Mômen uốn thẳng đứng tại mút này cần phải được tính toán như sau:
Mv-end = Mv-targ - Mv-peak
Trong đó:
| Mv-end | - Mômen uốn thẳng đứng bổ sung được áp dụng tại hai đầu của mô hình phần tử hữu hạn; |
| Mv-targ | - Mômen uốn thẳng đứng võng xuống (-) hoặc vồng lên (+) quy định nhắm tới được yêu cầu, như chỉ ra tại E.7.3.1; |
| Mv-peak | - Mômen uốn lớn nhất hoặc nhỏ nhất trong phạm chiều dài của khoang giữa do tải trọng cục bộ được nêu trong E.8.2.3 và tải trọng thẳng đứng bổ sung được áp dụng để tạo lực cắt được yêu cầu, xem E.8.3. Mv-peak được lấy bằng giá trị mômen uốn lớn nhất nếu Mv-targ là vồng lên (+) và giá trị mômen uốn nhỏ nhất nếu Mv-targ võng xuống (-). Mv-peak có thể được xác định từ việc phân tích phần tử hữu hạn. Ngoài ra, Mv-peak có thể được tính toán dựa trên mô hình dầm đơn giản như sau: = max{Mo + xF + Mlineload} |
| Mo | - Mômen uốn thẳng đứng tại vị trí X, do tải trọng cục bộ nêu tại E.8.2.3; |
| Mlineload | - Mômen uốn thẳng đứng tại vị trí x, do áp dụng tải trọng đường nước tại sườn phát sinh lực cắt yêu cầu, xem E.8.3; |
| F- | Phản lực tại hai đầu do áp dụng tải trọng thẳng đứng cho các sườn, xem E.8.3; |
| x- | Vị trí dọc của sườn tại két giữa của mô hình phần tử hữu hạn tính từ đầu mút, xem E.8.3. |
E.8.4.2. Mômen uốn ngang đầu mút
Đối với trường hợp tải trọng do sóng chéo và sóng ngang, một mômen uốn ngang bổ sung phải được áp dụng tại hai đầu mút của mô hình phần tử hữu hạn khoang hàng để gây ra mômen uốn ngang được yêu cầu tại một mặt cắt trong phạm vi chiều dài khoang giữa của mô hình. Mômen uốn ngang bổ sung có thể được tính toán như sau:
Mh-end = Mh-targ - Mh-peak
Trong đó:
| Mh-end | - Mômen uốn mặt phẳng ngang bổ sung được áp dụng tại hai đầu của mô hình phần tử hữu hạn; |
| Mh-targ | - Mômen uốn mặt phẳng ngang võng xuống (-) hoặc vồng lên (+) quy định, xem E.7.4; |
| Mh-peak | - Mômen uốn mặt ngang nhỏ nhất hoặc lớn nhất trong phạm vi chiều dài của khoang giữa do tải trọng cục bộ được nêu trong E.8.2.3. Mh-peak được lấy bằng giá trị mômen uốn ngang lớn nhất nếu Mh-targ là (+) (mạn phải chịu kéo) và giá trị mômen uốn ngang nhỏ nhất nếu Mh-targ là (-) (mạn trái chịu kéo). |
E.8.4.3. Áp dụng các mômen uốn đầu mút để các định các giá trị mục tiêu
a) Mômen uốn ngang và thẳng đứng phải được tính toán trên suốt chiều dài của khoang giữa của mô hình phần tử hữu hạn để xác định vị trí và giá trị của mômen uốn lớn nhất / nhỏ nhất như chỉ ra trong E.8.4.1 và E.8.4.2.
b) Mômen uốn theo phương thẳng đứng bổ sung, Mv-end, và mômen uốn ngang bổ sung, Mh-end, phải được áp dụng cho cả hai đầu mút của mô hình khoang hàng.
c) Mômen uốn ngang và thẳng đứng có thể được áp dụng tại các đầu mút mô hình bằng việc phân bố lực tại nút dọc trục cho tất cả phần tử dọc phù hợp với lý thuyết dầm đơn giản như sau:
|
| đối với mômen uốn thẳng đứng |
|
| đối với mômen uốn ngang |
Trong đó:
| Mv-end | - Mômen uốn thẳng đứng được áp dụng tại các đầu của mô hình; |
| Mh-end | - Mômen uốn mặt phẳng ngang được áp dụng tại hai đầu của mô hình; |
| (Fx)i | - Lực dọc trục áp dụng cho một nút của phần tử thứ i; |
| lz | - Mômen quán tính thẳng đứng dầm tương đương của mặt cắt đầu mút đối với trục trung hòa nằm ngang; |
| ly | - Mômen quán tính ngang dầm tương đương của mặt cắt đầu mút đối với trục trung hòa thẳng đứng (thông thường là đường tâm); |
| yi | - Khoảng cách thẳng đứng từ trục trung hòa đến tâm tiết diện mặt cắt ngang của phần tử thứ i; |
| Zi | - Khoảng cách ngang từ trục trung hòa đến tâm tiết diện mặt cắt ngang của phần tử thứ i; |
| Ai | - Diện tích tiết diện mặt cắt ngang của phần tử thứ i; |
| ni | - Số điểm nút của phần tử thứ i trên mặt cắt ngang, ni = 2 đối với phần tử tấm 4 nút. |
E.9. Điều kiện biên
E.9.1. Quy định chung
E.9.1.1. Tất cả điều kiện biên được nêu trong mục này phải thỏa mãn hệ toạ độ chung được quy định chỉ ra trong E.4. Điều kiện biên được áp dụng tại hai đầu mút của mô hình phần tử hữu hạn khoang két được nêu trong Bảng E.2. Việc phân tích có thể được thực hiện bằng việc áp dụng tất cả các tải trọng đối với mô hình như là một trường hợp tải trọng đầy đủ hoặc bằng việc kết hợp các phản ứng ứng suất từ một vài trường hợp được tách ra.
E.9.1.2. Phần tử đàn hồi nền (là phần tử đàn hồi có một đầu mút bị ngâm 6 bậc tự do) với độ cứng theo bậc tự do trục z tổng thể phải được áp dụng đối với các điểm ô lưới dọc boong, tôn đáy trên và tôn đáy được chỉ ra tại Hình E.16.
E.9.1.3. Phần tử đàn hồi nền với độ cứng theo bậc tự do trục y tổng thể phải được áp dụng đối với điểm ô lưới dọc phần thẳng đứng của tôn mạn, vách dọc thân tàu phía trong và vách dọc kín dầu như được chỉ ra tại Hình E.16.

Hình E.16 - Ngàm đàn hồi tại đầu mút mô hình
Bảng E.2 - Điều kiện biên tại đầu mút mô hình
| Vị trí | Tịnh tiến | Xoay | ||||||
| δx | δy | δz | θx | θy | θz | |||
| Đầu mút phía sau | ||||||||
| Đầu mút phía sau (tất cả các phần tử dọc) | RL | - | - | - | RL | RL | ||
| Điểm độc lập của đầu mút phía sau, xem Hình E.9 | Cố định | - | - | - | Mh-end | Mv-end | ||
| Boong, tôn đáy trong và vỏ ngoài | - | - | Đàn hồi | - | - | - | ||
| Mạn, lớp vỏ trong và vách dọc | - | Đàn hồi | - | - | - | - | ||
| Đầu mút phía trước | ||||||||
| Đầu mút phía trước (tất cả các phần tử dọc) | RL | - | - | - | RL | RL | ||
| Điểm độc lập của đầu mút phía trước, xem Hình E.9 | - | - | - | - | Mh-end | Mv-end | ||
| Boong, tôn đáy trong và vỏ ngoài | - | - | Đàn hồi | - | - | - | ||
| Mạn, lớp vỏ trong và vách dọc | - | Đàn hồi | - | - | - | - | ||
| Trong đó: |
|
|
|
|
|
| ||
| - RL | Không có liên kết (tự do); Những điểm nút của tất cả phần tử dọc được liên kết cứng đối với điểm độc lập tại trục trung hòa trên đường tâm. | |||||||
| Chú thích: | ||||||||
| 1 | Tất cả sự chuyển vị tịnh tiến và xoay phải phù hợp với hệ tọa độ chung được nêu trong E.4; | |||||||
| 2 | Nếu Mh-end không được áp dụng thì điểm độc lập tại mút trước và mút sau là tự do trong θy; | |||||||
| 3 | Nếu Mv-end không được áp dụng thì điểm độc lập tại mút trước và mút sau là tự do trong θz; | |||||||
| 4 | Nếu không áp dụng mômen uốn thì điểm độc lập tại mút trước và mút sau tự do với trong θy và θz, | |||||||
| 5 | Nếu mômen uốn được áp dụng như các lực nút thì điểm độc lập tại đầu mút trước và sau là tự do tương ứng với bậc tự do xoay (như là θy và/hoặc θz). | |||||||
E.9.2. Tính toán độ cứng đàn hồi
E.9.2.1. Sự đàn hồi được thể hiện điển hình bằng phần tử thanh (rod) chỉ có độ cứng dọc trục. Độ cứng này tương đương với sự chống đỡ được đưa ra cho vách cuối được xét bởi thành phần kết cấu dọc tách ra. Mặt cắt ngang có thể được xác định bởi công thức sau:
![]()
Trong đó:
| A - | A- Diện tích mặt cắt ngang của thanh, cm²; |
| As - | Diện tích cắt của kết cấu riêng lẻ đang xét (như tôn boong, tôn đáy trong, tôn đáy, tôn mạn, vách dọc thân tàu phía trong hoặc vách dọc kín dầu). As phải được tính trên cơ sở chiều dày mô hình phần tử hữu hạn khoang hàng đối với diện tích được chỉ ra trong Bảng E.3 đối với các cơ cấu tương ứng đang xét, cm²; |
| v - | Hệ số Poisson của vật liệu, lấy bằng 0,3; |
|
| Chiều dài két hàng, giữa hai vách của két giữa mô hình phần tử hữu hạn, cm; |
| n - | Số điểm nút phần tử đàn hồi áp dụng đối với thành phần kết cấu đang xét; |
|
| Chiều dài của thanh, cm. |
E.9.2.2. Diện tích thanh A được xác định bằng cách lấy theo chiều dài
có giá trị bất kỳ. Trong thực tế, tất cả giá trị
trong mô hình phần tử hữu hạn được chọn một cách thuận tiện giống như hình tròn, ví dụ, bằng 100 cm.
E.9.2.3. Một đầu mút của thanh được ngàm cả sáu bậc tự do.
Bảng E.3 - Diện tích cắt để được xét cho tính toán độ cứng đàn hồi
| Đàn hồi thẳng đứng (Vertical springs) |
| ||||
|
| Mạn Vách dọc thân tàu phía trong Các vách dọc | Diện tích tôn mạn bao gồm hông tàu Diện tích tôn vỏ phía trong, bao gồm tấm tôn xiên hông và sống phụ đáy đôi trên đường đó Diện tích tấm tôn vách dọc, bao gồm sống dọc đáy đôi trong cùng đường đó. |
| ||
|
| |||||
| Chú thích: Nếu chi tiết thành phần kết cấu không thẳng đứng, thì diện tích được tính toán sử dụng diện tích hình chiếu trong mặt phẳng thẳng đứng. |
| ||||
| Đàn hồi ngang (Horizontal springs) |
| ||||
|
| Boong | Diện tích tôn boong |
| ||
| Tôn đáy trên | Diện tích tôn đáy trên, bao gồm tấm tôn xiên hông và sống dọc mạn trên đường đỏ |
| |||
| Tôn đáy | Diện tích tấm tôn đáy ngoài, gồm độ cong hông. |
| |||
|
| Chú thích: Nếu chi tiết thành phần kết cấu không nằm ngang, thì diện tích được tính toán sử dụng diện tích hình chiếu trong mặt phẳng nằm ngang. |
| |||
|
| |||||
E.10. Đánh giá phản ứng tổng thể 3-D
E.10.1. Sự tương quan với lý thuyết dầm
E.10.1.1. Đã được chứng minh rằng, độ lệch và ứng suất uốn dầm tương đương chính được xác định bằng phân tích phần tử hữu hạn phù hợp với kết quả lý thuyết dầm cổ điển, ngay cả khi tàu có cấu hình boong mở. Để xác nhận rằng việc mô hình hóa đã được lập phù hợp với kết cấu thân tàu, và rằng điều kiện biên và chất tải phù hợp đã áp lên mô hình, thật hữu ích để so sánh với những kết quả thu được bằng lý thuyết dầm. Việc kiểm tra thường được thực hiện cho mômen uốn thẳng đứng bởi vì nó là mômen uốn ảnh hưởng nhất và cho những phần mà chiếm tỷ lệ cao của mô đun chống uốn mặt cắt dầm tương đương được sử dụng.
E.10.1.2. Việc so sánh được thực hiện trong các khu vực mà tải trọng cục bộ ảnh hưởng tối thiểu và cũng tại các mô đun chống uốn mặt cắt tối thiểu, như là khoang - giữa (mid-hold). Sự tương quan tốt nhất nhận được tại boong ở phía mạn nơi có mô đun chống uốn mặt cắt nhỏ nhất được tính toán và cũng có ảnh hưởng tối thiểu của chất tải cục bộ.
E.10.1.3. Bởi vì lý do uốn phụ, độ trễ của lực cắt, hoặc ứng suất gây ra bởi tải trọng dằn khoang xen kẽ hay tải trọng dằn đỉnh mạn, một số thay đổi trong ứng suất uốn dầm tương đương có thể được cho là ở giữa các ứng suất phân tích phần tử hữu hạn tổng hợp như được so sánh với ứng suất lý thuyết dầm truyền thống.
E.10.2. Đánh giá bổ sung
E.10.2.1. Khi việc so sánh các ứng suất dầm tương đương chỉ ra mối tương quan tốt với lý thuyết dầm, thì có thể kết luận rằng phản ứng tổng thể của mô hình phần tử hữu hạn là đúng với các tải trọng được chất lên.
E.10.2.2. Tuy nhiên, có thể vẫn có một số vùng cục bộ của mô hình, mức ứng suất và độ võng không phù hợp với tải trọng chất lên. Một sự thể hiện độ võng cục bộ cỡ lớn của khu vực nghi ngờ thường sẽ cung cấp một số gợi ý về nguyên nhân dẫn đến các kết quả này. Nếu vấn đề đó là liên kết các phần tử với nhau, sự thể hiện sẽ chỉ ra rõ ràng một sự chia tách của các phần tử liền kề. Không nghi ngờ là lỗi trong đặc tính phần tử luôn là một khả năng, và có thể dễ dàng kiểm tra sự thể hiện thích hợp của mô hình.
E.10.2.3. Nói chung, người sử dụng có trình độ và kinh nghiệm có thể dự đoán tình trạng kết cấu và sự phân bộ mức ứng suất dưới tải trọng đã biết. Sẽ có một kết luận phù hợp cho bất kỳ sự khác biệt với các dạng độ lệch và ứng suất được đoán trước và các mẫu biến dạng của mô hình phần tử hữu hạn.
E.10.2.4. Nếu có thể, trước khi bắt đầu phân tích kết cấu, kỹ sư dành thời gian để xem trước phân tích kết cấu đã được thực hiện trước đây với các kho chứa nổi tương tự, để hình dung tốt hơn các quy trình phân tích và phản ứng kết cấu tổng hợp.
E.11. Đánh giá ứng suất chi tiết - Phân tích phần tử hữu hạn cục bộ
E.11.1. Quy định chung
Phần này đưa ra quy trình để đánh giá ứng suất chi tiết cùng với ô lưới được làm mịn để ước tính các khu vực có ứng suất cao tại các kết cấu chịu lực chính.
E.11.2. Mô hình phân tích
E.11.2.1. Các khu vực làm mịn
Khi việc phân tích khoang hàng tổng thể được thực hiện bằng cách sử dụng mô hình phù hợp với tiêu chuẩn mô hình hóa của Phụ lục này, các khu vực được liệt kê ở E.6.3 phải được làm mịn lại tại các vị trí mà có ứng suất tính toán vượt quá 95% ứng suất cho phép như đã nêu trong 7.5.2.2.
E.11.2.2. Phương pháp làm mịn
Có hai phương pháp có thể dùng để làm mịn các khu vực ứng suất cao:
- Các ứng suất chi tiết trong các khu vực có thể được phân tích bởi các mô hình nhỏ riêng lẻ;
- Các khu vực được làm mịn có thể nằm trực tiếp trong mô hình phân tử hữu hạn được sử dụng cho việc phân tích khoang hàng tổng thể.
E.11.2.3. Mô hình hóa
a) Loại phần tử. Mỗi phần tử kết cấu trong khu vực làm mịn phải được mô hình hóa bằng việc sử dụng đúng loại phần tử cho kết cấu phù hợp với nguyên tắc trong hướng dẫn này;
b) Ô lưới. Kích cỡ phần tử trong khu vực làm mịn phải xấp xỉ khoảng 1/4 khoảng cách đại diện của các nẹp thông thường trong khu vực tương ứng (tức là: cỡ ô lưới 200x200 mm cho các kết cấu có khoảng cách nẹp thông thường của nó là 800 mm). Thêm vào đó, chiều cao bản thành của các kết cấu chịu lực chính phải được chia ít nhất thành ba phần tử.
Tỉ số giữa các cạnh của phần tử không được vượt quá 3. Các phần tử tứ giác có các góc 90° nhiều nhất có thể, hoặc góc nằm trong khoảng 45° đến 135°;
c) Quy mô của mô hình con. Quy mô tối thiểu của mô hình con phải sao cho các biên của mô hình con tương ứng với các vị trí của các phần từ đỡ liền kề.
E.11.2.4. Điều kiện tải trọng
Các điều kiện tải trọng mà áp dụng cho mô hình phân tử hữu hạn 3-D để phân tích khoang hàng tổng thể phải được xem xét trong đánh giá ứng suất chi tiết.
E.11.2.5. Các điều kiện biên
Các lực tại nút hoặc chuyển vị tại nút thu được từ việc phân tích khoang hàng tổng thể phải được áp dụng cho các mô hình con. Khi có các lực tại nút, các phần tử chịu lực tại biên của một mô hình con phải nằm trong mô hình con. Khi có các chuyển vị tại nút và các nút bổ sung được thêm vào trong các mô hình nhỏ, các chuyển vị nút tại các nút bổ sung phải được xác định bằng nội suy phù hợp.
E.11.3. Tiêu chuẩn phân tích
Ứng suất cho phép
Ứng suất tương đương Von Mises trong các phần tử tấm và ứng suất dọc trục trong phần tử thẳng nằm trong vùng làm mịn phải nhỏ hơn ứng suất cho phép được xác định trong 7.5.2.5.
PHỤ LỤC F
(Quy định)
Hướng dẫn cho chương trình theo dõi chế tạo thân kho chứa nổi
F.1. Giới thiệu
F.1.1. Tiêu chuẩn độ bền kết cấu được chỉ ra trong tiêu chuẩn được các nhà thiết kế sử dụng để thiết lập kích thước chấp nhận được phù hợp với tàu được chế tạo theo tiêu chuẩn và bảo dưỡng phù hợp thì tàu sẽ có khả năng và độ bền tương ứng để chống lại các dạng phá hủy về bền như biến dạng, mất ổn định và mỏi.
F.1.2. Việc áp dụng Tiêu chuẩn này và các kỹ thuật xem xét khác để đánh giá sự phù hợp một thiết kế với tiêu chuẩn của tiêu chuẩn cũng cho phép nhà thiết kế và đơn vị giám sát có khả năng xác định các vùng mà được xem là quan trọng đảm bảo an toàn trong quá trình hoạt động khai thác.
F.1.3. Biết rằng, tính hiệu quả của kết cấu thực tế cũng là một hàm của tiêu chuẩn và phương pháp chế tạo, rất thận trọng khi xác định các khu vực “quan trọng”, đặc biệt là các giới hạn thiết kế tiệm cận này, sử dụng các tiêu chuẩn chất lượng chế tạo có quy định phù hợp và các phương pháp báo cáo và theo dõi chế tạo liên quan để hạn chế rủi ro do sự không phù hợp trong quá trình hoạt động khai thác.
F.1.4. Theo đó, Tiêu chuẩn này định nghĩa thế nào là các khu vực quan trọng, diễn tả làm thế nào xác định và ghi nhận chúng, mô tả những thông tin mà cơ sở chế tạo phải bao gồm trong kế hoạch theo dõi chế tạo và trình bày cách thức chứng nhận được thực hiện.
F.2. Phạm vi áp dụng
Các kho chứa nổi chứa khí hóa lỏng trên biển được thiết kế theo Tiêu chuẩn này phải thỏa mãn các yêu cầu của Phụ lục này và có dấu hiệu OHCM.
F.3. Khu vực quan trọng
F.3.1. Thuật ngữ “khu vực quan trọng”, được sử dụng trong tiêu chuẩn này, được định nghĩa là một vùng kết cấu mà có thể xảy ra hư hỏng ở xác suất cao trong khoảng thời gian tuổi thọ tàu so với các vùng xung quanh, ngay cả khi chúng có thể đã được thay đổi để giảm xác suất xảy ra hư hỏng này. Sự hư hỏng xảy ra ở xác suất cao hơn có thể là kết quả của sự tập trung ứng suất, mức ứng suất cao và dải ứng suất cao do dạng chất tải, sự không liên tục kết cấu hoặc tổ hợp của các yếu tố này.
F.3.2. Để cung cấp một xác suất lớn hơn về sự phù hợp trong quá trình hoạt động khai thác, các vùng có ứng suất đang tiếp cận đến tiêu chuẩn cho phép có thể được nhận biết để có giám sát bổ sung trong quá trình chế tạo.
F.3.3. Mục tiêu của việc giám sát tăng cường của dung sai trong chế tạo và các vị trí quan trọng là phải giảm thiểu các ảnh hưởng của sự tăng ứng suất lên các vùng tới hạn được sinh ra trong quá trình chế tạo. Những sai số trong chế tạo và sự không thẳng hàng có thể nguyên nhân tiềm tàng tạo ra ứng suất liên quan đến chế tạo.
F.4. Xác định các khu vực quan trọng
Các vùng tới hạn có thể xác định theo một trong một số cách, bao gồm nhưng không giới hạn các cách sau:
a) Kết quả phân tích về độ bền và mỏi, như đã được chỉ ra trong Tiêu chuẩn này, phân tích phần tử hữu hạn hoặc phân tích theo phương pháp tải trọng động, đặc biệt đối với vùng tiệm cận tới tiêu chuẩn cho phép;
b) Việc áp dụng tiêu chuẩn;
c) Các chi tiết khó chế tạo như là sự căn thẳng kết cấu ở vị trí “mù”, hình dạng và chi tiết kết cấu phức tạp, khó tiếp cận, v.v...
d) Cung cấp bởi chủ kho chứa nổi, cơ sở thiết kế và/hoặc cơ sở chế tạo dựa trên kinh nghiệm thực tế trước đây từ những kho chứa nổi tương tự, như là ăn mòn, mài mòn và rách, v.v...
F.5. Kế hoạch theo dõi chế tạo
Kế hoạch theo dõi chế tạo cho các vùng tới hạn phải được chuẩn bị bởi cơ sở chế tạo và trình nộp cho để thẩm định trước khi bắt đầu chế tạo. Kế hoạch bao gồm:
a) Đánh dấu các vị trí vùng quan trọng trên bản vẽ kết cấu đã được xác định trong quá trình thẩm định thiết kế (xem F.4);
b) Các tiêu chuẩn chế tạo và quy trình kiểm soát được áp dụng;
c) Quy trình ghi chép và giám sát kỹ thuật tại mỗi giai đoạn chế tạo, bao gồm bất kỳ phương pháp kiểm tra NDT nào được đưa ra;
d) Quy trình khắc phục khiếm khuyết.
Một bản sao kế hoạch theo dõi chế tạo được chứng nhận phải được để trên kho chứa nổi.
F.6. Kiểm tra sau chế tạo
Để theo dõi các vùng tới hạn trong quá trình khai thác, một bản sao kế hoạch theo dõi chế tạo được chứng nhận phải được lưu trên kho chứa nổi để sẵn sàng cho các đợt kiểm tra tiếp theo.
F.7. Ký hiệu
Kho chứa nổi được xác định phù hợp với các yêu cầu của Tiêu chuẩn này có thể được phân biệt trong hồ sơ kiểm tra với dấu hiệu cấp OHCM.
[1] Bộ TCVN 6259:2003 đã được sử dụng để biên soạn QCVN 21:2015/BGTVT, Quy chuẩn kỹ thuật quốc gia về phân cấp và đóng tàu biển vỏ thép với nội dung được bổ sung sửa đổi thường xuyên, khi sử dụng các viện dẫn tớiTCVN 6259:2003 cần cập nhật các nội dung tương ứng trong QCVN 21:2015/BGTVT
[1] Điểm tham chiếu là điểm dọc theo chiều dài của kho chứa nổi nơi có bụng sóng hoặc đỉnh sóng và có thể lấy là trung điểm của khoang giữa của mô hình ba khoang.
Bạn chưa Đăng nhập thành viên.
Đây là tiện ích dành cho tài khoản thành viên. Vui lòng Đăng nhập để xem chi tiết. Nếu chưa có tài khoản, vui lòng Đăng ký tại đây!






















