- Tổng quan
- Nội dung
- Tiêu chuẩn liên quan
- Lược đồ
- Tải về
Tiêu chuẩn Quốc gia TCVN 12797:2019 ISO 6975:199 Khí thiên nhiên - Phương pháp sắc ký khí
| Số hiệu: | TCVN 12797:2019 | Loại văn bản: | Tiêu chuẩn Việt Nam |
| Cơ quan ban hành: | Bộ Khoa học và Công nghệ | Lĩnh vực: | Tài nguyên-Môi trường , Công nghiệp |
|
Ngày ban hành:
Ngày ban hành là ngày, tháng, năm văn bản được thông qua hoặc ký ban hành.
|
2019 |
Hiệu lực:
|
Đã biết
|
| Người ký: | Đang cập nhật |
Tình trạng hiệu lực:
Cho biết trạng thái hiệu lực của văn bản đang tra cứu: Chưa áp dụng, Còn hiệu lực, Hết hiệu lực, Hết hiệu lực 1 phần; Đã sửa đổi, Đính chính hay Không còn phù hợp,...
|
Đã biết
|
TÓM TẮT TIÊU CHUẨN VIỆT NAM TCVN 12797:2019
Nội dung tóm tắt đang được cập nhật, Quý khách vui lòng quay lại sau!
Tải tiêu chuẩn Việt Nam TCVN 12797:2019
TIÊU CHUẨN QUỐC GIA
TCVN 12797:2019
ISO 6975:1997
KHÍ THIÊN NHIÊN - PHÂN TÍCH MỞ RỘNG - PHƯƠNG PHÁP SẮC KÝ KHÍ
Natural gas - Extended analysis - Gas-chromatographic method
Lời nói đầu
TCVN 12797:2019 hoàn toàn tương đương với ISO 6975:1997.
TCVN 12797:2019 do Ban kỹ thuật TCVN/TC193 Sản phẩm khí biên soạn, Tổng cục Tiêu chuẩn Đo lường Chất lượng đề nghị, Bộ Khoa học và Công nghệ công bố.
Lời giới thiệu
Tiêu chuẩn này đưa ra các quy định kỹ thuật với phương pháp chính xác để phân tích khí thiên nhiên đầy đủ và mở rộng đáp ứng yêu cầu.
Các phương pháp phân tích bao gồm việc bơm khí thiên nhiên vào cột nhồi hoặc cột ống mở (cột mao quản) vào một hoặc nhiều thiết bị sắc ký khí. Các cấu tử của khí qua cột được phát hiện bởi detector dẫn nhiệt (TCD) hoặc detector ion hóa ngọn lửa (FID).
So với các phương pháp phân tích khác, phân tích sắc ký khí mở rộng cung cấp kiến thức đáng kể về các cấu tử đơn lẻ trong hỗn hợp khí thiên nhiên. Điều này cho phép đo định lượng các cấu tử riêng biệt trong phân đoạn C6+ và tính toán các đặc tính lý học. Mặc dù các hydrocacbon nặng hơn ảnh hưởng đến các đặc tính lý học như nhiệt trị và khối lượng riêng tương ứng nhỏ hơn 0,3 % và 0,004 %, hiểu biết về chúng được yêu cầu để đánh giá các giá trị giả đối với phân đoạn C6+.
Ngoài ra, các phép tính cân bằng pha hơi thường yêu cầu các dữ liệu thành phần chi tiết, đặc biệt với các hydrocacbon có số cacbon lớn hơn 6.
Phép xác định đồng thời benzen và các hydrocacbon thơm khác được yêu cầu đối với các đơn vị sử dụng khí thiên nhiên là nguyên liệu hóa học vì những cấu tử này có thể ảnh hưởng đến một vài quá trình.
KHÍ THIÊN NHIÊN - PHÂN TÍCH MỞ RỘNG - PHƯƠNG PHÁP SẮC KÝ KHÍ
Natural gas - Extended analysis - Gas-chromatographic method
1 Phạm vi áp dụng
Tiêu chuẩn này đưa ra các quy định kỹ thuật đối với phép phân tích định lượng các cấu tử khí thiên nhiên sau đây:
Heli
Hydro
Argon
Oxy
Nitơ
Cacbon dioxit
Các hydrocacbon bão hòa từ C1 đến C5
Các phân đoạn hydrocacbon từ C6 trở lên
Các hợp chất hydrocacbon thơm như là benzen và toluen
Phương pháp sắc ký khí xác định các cấu tử trong các dải sau đây:
| Oxy | 0,001 % (n/n) | đến | 0,5 % (n/n) |
| Heli | 0,001 % (n/n) | đến | 0,5 % (n/n) |
| Hydro | 0,001 % (n/n) | đến | 0,5 % (n/n) |
| Argon | 0,001 % (n/n) | đến | 0,5 % (n/n) |
| Nitơ | 0,001 % (n/n) | đến | 40 % (n/n) |
| Cacbon dioxit | 0,001 % (n/n) | đến | 40 % (n/n) |
| Metan | 50 % (n/n) | đến | 100 % (n/n) |
| Etan | 0,02 % (n/n) | đến | 15 % (n/n) |
| Propan | 0,001 % (n/n) | đến | 5 % (n/n) |
| Các hydrocacbon nặng hơn | Phương pháp có thể xác định các cấu tử hydrocacbon từ 10-6 (n/n) đến nồng độ lớn nhất của chúng, tương thích với yêu cầu là khí không có condensat hydrocacbon tại áp suất bất kỳ trong dải 1 x 102 kPa đến 7 x 103 kPa. | ||
Tiêu chuẩn này không áp dụng để xác định các hợp chất oxy (hơi nước, metanol, glycol) hoặc các hợp chất lưu huỳnh.
Tiêu chuẩn này không áp dụng để thực hiện nhận dạng rõ ràng các hydrocacbon trên C6. Thậm chí khi “pha lẫn” hỗn hợp khí với các cấu tử đã biết cho biết chúng rửa giải ở đâu, cũng không thể công bố chắc chắn rằng đó là cấu tử duy nhất có thời gian lưu đó. Các cấu tử chưa được nhận dạng được phân loại theo số cacbon mà phép phân tích chỉ ra. Đây là sự đơn giản hóa cần thiết để nhận được giá trị định lượng hợp lý.
Phương pháp này được sử dụng trong các trường hợp cần phân tích một phần và/hoặc đầy đủ các hydrocacbon từ hexan trở lên.
Phương pháp này không được sử dụng đối với các khí pha nặng hơn mà áp suất của nó vượt áp suất tới hạn (áp suất ngưng tụ tới hạn), hoặc đối với các mẫu khí có chứa bất kỳ condensat hydrocacbon có thể đo được, nước dạng lỏng hoặc lưu chất quá trình như là metanol hoặc glycol [xem ISO 6570-1 và TCVN 12546 (ISO 10715)].
Các khí đã được xử lý để dẫn khí không chắc có chứa các hydrocacbon cao hơn C12 ở mức có thể phát hiện được. Các mẫu được lấy từ gần hơn đầu giếng, trước khi khí được đưa đến các nhà máy chế biến, có thể chứa các hydrocacbon đến C16 hoặc cao hơn.
2 Tài liệu viện dẫn
Các tài liệu viện dẫn sau là cần thiết cho việc áp dụng tiêu chuẩn này. Đối với các tài liệu viện dẫn ghi năm công bố thì áp dụng phiên bản được nêu. Đối với các tài liệu viện dẫn không ghi năm công bố thì áp dụng phiên bản mới nhất, bao gồm cả các sửa đổi, bổ sung (nếu có).
TCVN 6910-1:2001 (ISO 5725-1:1994) Độ chính xác (độ đúng và độ chụm) của phương pháp đo và kết quả đo - Phần 1: Nguyên tắc và định nghĩa chung
TCVN 12046-1:2018 (ISO 6326-1:2007), Khí thiên nhiên - Xác định các hợp chất lưu huỳnh - Phần 1: Giới thiệu chung
TCVN 12046-3:2017 (ISO 6326-3:1989), Khí thiên nhiên - Xác định các hợp chất lưu huỳnh - Phần 3: Xác định hydro sulfua, lưu huỳnh mercaptan và cacbonyl sulfua bằng phép đo điện thế
TCVN 12046-5:2018 (ISO 6326-5:1989), Khí thiên nhiên - Xác định các hợp chất lưu huỳnh - Phần 5: Phương pháp đốt Lingener
TCVN 12047-1 (ISO 6974-1), Khí thiên nhiên - Xác định thành phần và độ không đảm bảo kèm theo bằng phương pháp sắc ký khí - Phần 1: Hướng dẫn chung và tính toán thành phần
TCVN 12047-2 (ISO 6974-2), Khí thiên nhiên - Xác định thành phần và độ không đảm bảo kèm theo bằng phương pháp sắc ký khí - Phần 2: Tính độ không đảm bảo
TCVN 12047-3 (ISO 6974-3), Khí thiên nhiên - Xác định thành phần và độ không đảm bảo kèm theo bằng phương pháp sắc ký khí - Phần 3: Xác định hydro, heli, oxy, nitơ, cacbon dioxit và các hydrocacbon lên đến C8 sử dụng hai cột nhồi
TCVN 12047-4 (ISO 6974-4), Khí thiên nhiên - Xác định thành phần và độ không đảm bảo kèm theo bằng phương pháp sắc ký khí - Phần 4: Xác định nitơ, cacbon dioxit và các hydrocacbon C1 đến C5 và C6+ đối với hệ thống đo phòng thử nghiệm và đo trực tuyến sử dụng hai cột
TCVN 12047-5 (ISO 6974-5), Khí thiên nhiên - Xác định thành phần và độ không đảm bảo kèm theo bằng phương pháp sắc ký khí - Phần 5: Phương pháp đẳng nhiệt đối với nitơ, cacbon dioxit, các hydrocacbon C1 đến C5 và các hydrocacbon C6+
TCVN 12546:2019 (ISO 10715:1997) Khí thiên nhiên - Hướng dẫn lấy mẫu
ISO 6142:1981 Gas analysis - Preparation of calibration gas mixtures - Weighing methods (Phân tích khí - Chuẩn bị các hỗn hợp khí hiệu chuẩn - Phương pháp khối lượng).
ISO 6143:1981 Gas analysis - Determination of composition of calibration gas mixtures - Comparison methods (Phân tích khí - Xác định thành phần của các hỗn hợp khí hiệu chuẩn - Phương pháp so sánh)
ISO 6326-2:1981 Gas analysis - Determination of sulfur compounds in natural gas - Part 2: Gas chromatographic method using an electrochemical detector for the determination of odoriferous sulfur compounds (Khí thiên nhiên - Xác định các hợp chất lưu huỳnh - Phần 2: Phương pháp sắc ký khí sử dụng detector điện hóa để xác định các hợp chất lưu huỳnh có mùi)
ISO 6326-4:1994 Natural gas - Determination of sulfur compounds - Part 4: Gas chromatographic method using a flame photometric detector for the determination of hydrogen sulfide, carbonyl sulfide and sulfur-containing odorants (Khí thiên nhiên - Xác định các hợp chất lưu huỳnh - Phần 4: Phương pháp sắc ký khí sử dụng detector đo quang ngọn lửa để xác định hydro sulfua, cacbonyl sulfua và các chất tạo mùi có chứa lưu huỳnh)
ISO 6570-1:1983 Natural gas - Determination of potential hydrocarbon liquid content - Part 1: Principles and general requirenments (Khí thiên nhiên - Xác định hàm lượng chất lỏng hydrocacbon tiềm ẩn - Phần 1: Nguyên tắc và các yêu cầu chung)
ISO 14111:1997 Natural gas - Guidelines for traceability in analysis (Khí thiên nhiên - Hướng dẫn truy xuất nguồn gốc trong phân tích)
3 Thuật ngữ và định nghĩa
Tiêu chuẩn này áp dụng các thuật ngữ, định nghĩa sau.
3.1
Độ phân giải (resolution)
Độ phân giải sắc ký khí là một đặc tính của sự tách hai pic liền kề và được đo là khoảng cách gấp hai lần khoảng cách giữa các cực đại của các pic đã định rõ chia cho tổng các phần chặn trên đường nền được tạo bởi các đường tiếp tuyến với các pic tại nửa chiều cao của chúng (xem Hình 1). Độ phân giải RAB có thể được biểu thị theo công thức sau:
![]()
trong đó
dR(A) và dR(B) là các khoảng cách lưu của các cấu tử rửa giải A và B;
w(A) và w(B) là các độ rộng của các pic tương ứng tại nền của chúng.

Hình 1 - Độ phân giải của hai pic liền kề
3.2
Cấu tử chính (main components)
Nitơ, cacbon dioxit và các hydrocacbon bão hòa từ metan đến n-pentan có mặt trong mẫu khí thiên nhiên.
3.3
Cấu tử đồng hành (associated components)
Heli, hydro, argon và oxy có mặt trong mẫu khí thiên nhiên.
3.4
Cấu tử vết (trace components)
Các hydrocacbon và/hoặc các nhóm hydrocacbon từ n-pentan trở lên có mặt trong mẫu khí thiên nhiên.
3.5
Cấu tử khác (other components)
Các cấu tử như các hợp chất oxy (hơi nước, metanol, glycol) và các hợp chất lưu huỳnh không xác định bằng phương pháp này.
3.6
Sự phản hồi (response)
Sự phản hồi là tín hiệu đầu ra đối với một cấu tử được đo là diện tích pic hoặc chiều cao pic (thông thường hơn là diện tích pic)
3.7
Cấu tử chuẩn (reference component)
Cấu tử có mặt trong hỗn hợp khí chuẩn-công tác dựa theo các hệ số phản hồi tương đối của các cấu tử mẫu không có trong hỗn hợp khí chuẩn-công tác được xác định.
3.8
Hệ số phản hồi tương đối (đối với một FID) [relative response factor (for an FID)]
Hệ số phản hồi tương đối Ki được tính là tỷ số của số cacbon của cấu tử chuẩn với số cacbon của cấu tử mẫu cụ thể. Do vậy nếu cấu tử chuẩn là n-butan, khi đó hệ số phản hồi tương đối đối với các cấu tử C7 trong mẫu (các đồng phân heptan, metylcyclohexan, toluen, v.v....) được tính là:
![]()
3.9
Nồng độ của nhóm các cấu tử (concentration of a group of components)
Nồng độ của nhóm các cấu tử là tổng của các nồng độ của các cấu tử hydrocacbon mạch thẳng và các đồng phân của chúng. Sự phản hồi của nhóm là tổng của các phản hồi của các cấu tử này. Phản hồi tương đối của nhóm bằng với phản hồi tương đối của alkan mạch thẳng của nhóm. Nhóm được gọi tên theo alkan mạch thẳng của nhóm.
4 Nguyên tắc
Các cấu tử được xác định trong mẫu dạng khí được tách vật lý bởi sắc ký khí và được so sánh với dữ liệu hiệu chuẩn nhận được trong cùng bộ điều kiện.
Các cấu tử chính được tách sử dụng cột ống mở hoặc cột nhồi trong thiết bị sắc ký khí và được phát hiện bằng TCD. Ngoài ra có thể sử dụng FID.
Hệ thống phân tích được sử dụng tách oxy ra khỏi nitơ để kiểm tra sự nhiễm bẩn không khí trong mẫu.
Các hydrocacbon từ propan trở lên được tách sử dụng cột ống mở trong sắc ký khí và được phát hiện bằng FID. Phương pháp giả định rằng phản hồi của FID đối với các hydrocacbon tỷ lệ thuận với số cacbon. Do vậy, các cấu tử không có mặt trong khí hiệu chuẩn được định lượng bằng sự hiểu biết về số cacbon của chúng.
Các cấu tử đồng hành có thể được xác định bằng các kỹ thuật sắc ký khí cụ thể [xem ví dụ các phần khác của TCVN 12047 (ISO 6974)].
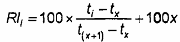
Sự nhận dạng hydrocacbon được thực hiện bằng cách tính chỉ số lưu tuyến tính. Chỉ số lưu Rli của cấu tử i được tính như sau
![]()
Trong đó
ti là thời gian lưu của cấu tử i;
tx là thời gian lưu của một n-alkan thích hợp có số cacbon x;
t(x + 1) là thời gian lưu của một n-alkan có số cacbon (x + 1).
Phương pháp tính toán này được mô tả bởi Hayes và Pitzer[3] và chỉ đúng đối với phép phân tích theo chương trình nhiệt độ.
Danh mục các chỉ số lưu được nêu trong Phụ lục C.
Các chỉ số lưu được xem như là các chỉ thị hơn là các giá trị xác định. Chúng có giá trị hơn trong việc chỉ rõ độ chênh lệch ∆(RI) giữa các hợp chất.
5 Phân tích và các yêu cầu phân tích
5.1 Thiết bị, dụng cụ và vật liệu
5.1.1 Hệ thống phân tích
Hệ thống phân tích phải bao gồm một thiết bị sắc ký khí và bộ tích phân và hệ thống xử lý dữ liệu.
Thiết bị sắc ký khí có thể bao gồm một hoặc nhiều máy sắc ký khí có khả năng hoạt động đẳng nhiệt và/hoặc vận hành theo chương trình nhiệt độ và được trang bị với TCD và/hoặc FID và hệ thống chuyển mẫu và bơm mẫu.
Mỗi máy sắc ký khí phải được kết nối với một bộ tích phân.
5.1.2 Các hỗn hợp khí chuẩn
5.1.2.1 Hỗn hợp khí chuẩn đã được chứng nhận (CRM)
Các hỗn hợp khí chuẩn đã được chứng nhận được sử dụng để xác định các đường phản hồi của hệ thống đo. Các CRM có thể là hỗn hợp hai thành phần hoặc nhiều thành phần và phải được chuẩn bị theo khối lượng phù hợp với ISO 6142 hoặc được chứng nhận và hợp lệ bằng cách so sánh với các hỗn hợp khí tiêu chuẩn gốc (PSM) có thành phần liên quan tương tự (xem ISO 6143).
Thành phần của CRM phải được truy xuất với thành phần của PSM bất cứ khi nào cần (xem ISO 14111).
Trong hệ phân cấp các vật liệu chuẩn, loại hỗn hợp khí này tương ứng với vật liệu chuẩn đã được chứng nhận.
5.1.2.2 Hỗn hợp khí chuẩn công tác (WRM)
Các hỗn hợp này được sử dụng như là chuẩn công tác để hiệu chuẩn thường xuyên hệ thống đo. WRM có thể là các hỗn hợp hai thành phần hoặc nhiều thành phần và phải được chuẩn bị theo khối lượng phù hợp với ISO 6142 hoặc được chứng nhận và hợp lệ bằng cách so sánh với CRM có thành phần liên quan tương tự (xem ISO 6143).
Thành phần của WRM phải được truy xuất với thành phần của PSM bất cứ khi nào cần (xem ISO 14111).
Nồng độ của các cấu tử vết sẽ được tính toán với sự trợ giúp của cấu tử chuẩn, do vậy WRM chỉ có các cấu tử chính.
Đối với phép xác định các cấu tử chính, yêu cầu tối thiểu của một WRM là có chứa nitơ, cacbon dioxit và các hydrocacbon mạch thẳng từ metan đến n-butan là nhỏ nhất. WRM thứ cấp có chứa heli, argon, hydro và oxy cũng được yêu cầu đối với phép xác định các cấu tử đồng hành. Trong cả hai hỗn hợp, metan là khí bổ sung.
Tùy chọn, hỗn hợp khí đơn có chứa tất cả các cấu tử đã đề cập ở trên có thể được sử dụng.
Đối với các lý do an toàn, các quy định có thể yêu cầu WRM có chứa oxy được chuẩn bị với khí trơ bổ sung.
Nồng độ của từng cấu tử trong WRM phải nằm trong dung sai nêu trong Bảng 1 liên quan đến nồng độ dự kiến trong khí mẫu.
5.1.2.3 Khí kiểm soát chất lượng
Khí kiểm soát chất lượng là hỗn hợp khí áp suất cao có thành phần đã biết có chứa tất cả các cấu tử có mặt trong hỗn hợp khí chuẩn công tác. Khi kiểm soát chất lượng có thể hoặc là khí mẫu có thành phần được xác định theo ISO 6143 hoặc hỗn hợp đa thành phần được chuẩn bị theo ISO 6142.
Khí kiểm soát chất lượng được sử dụng đối với phép xác định giá trị trung bình (µ) và độ lệch chuẩn (σ) của các nồng độ các cấu tử đã phát hiện.
Bảng 1 - Dung sai giữa các nồng độ của các cấu tử trong WRM và mẫu
| Nồng độ cấu tử thực trong mẫu | Dẫn xuất nồng độ cấu tử trong WRM |
| % (n/n) | (% tương đối với nồng độ mẫu) |
| Đến 0,1 | ± 100 |
| Từ 0,1 đến 1 | ± 50 |
| Từ 1 đến 10 | ± 10 |
| Từ 10 đến 50 | ± 5 |
| Từ 50 đến 100 | ± 3 |
5.2 Cấu trúc của phép phân tích
Phép phân tích xem xét đến các thành phần sau đây:
xmc: các cấu tử chính và các cấu tử đồng hành được xác định bằng cách sử dụng các đường phản hồi, hiệu chuẩn đơn điểm hoặc cấu tử chuẩn;
xbc: các cấu tử vết được xác định bằng cách sử dụng cấu tử chuẩn;
xoc: các cấu tử khác được đo bằng cách sử dụng các đo lường khác [xem ví dụ các phần khác nhau của TCVN 12046 (ISO 6326)].
Tổng của các nồng độ, tính bằng % (n/n), được xác định là 100:
xmc + xbc + xoc = 100
5.3 Độ phân giải
5.3.1 Cấu tử chính
Độ phân giải giữa hai pic liền kề đối với từng cấu tử từ nitơ đến 2-metylpropan phải không nhỏ hơn 2.
Độ phân giải giữa hai pic liền kề đối với từng cấu tử từ 2-metylpropan đến n-pentan phải không nhỏ hơn 4.
Trong trường hợp tiến hành đảo van trong phân tích đa cột, độ phân giải giữa pic của cấu tử được rửa giải trước khi đảo van và pic của cấu tử sẽ được rửa giải không có đảo van phải không nhỏ hơn 4.
Vì oxy được phát hiện chỉ để kiểm tra sự nhiễm bẩn không khí của khí mẫu, độ phân giải giữa các pic của oxy và nitơ phải không nhỏ hơn 1,5.
5.3.2 Cấu tử vết
Cột được sử dụng đối với các cấu tử vết cũng phải có khả năng tách một số các cấu tử chính, nghĩa là các hydrocacbon từ C3 đến C5.
Để đạt được sự tách phù hợp các hydrocacbon thơm nhẹ và các cycloparafin, cột phải có khả năng phân giải như sau:
Tỷ lệ chiều cao của pic etan với chiều cao của điểm lõm giữa etan và propan phải không nhỏ hơn 1500:1. Đối với phép đo này, mẫu phải chứa khoảng 3 % (n/n) etan.
Độ phân giải giữa 2-metylpropan và n-butan phải không nhỏ hơn 4.
Độ phân giải giữa n-pentan và n-hexan phải không nhỏ hơn 15.
Độ phân giải giữa n-octan và n-nonan phải không nhỏ hơn 30.
CHÚ THÍCH: Nếu các phép đo như vậy được thực hiện từ các biểu đồ ghi được, các điều kiện khác nhau từ các điều kiện thông thường đã lựa chọn để trình bày sắc ký đồ sẽ là cần thiết. Như vậy hai phép phân tích tại các pha loãng rất khác nhau sẽ là cần thiết để đo vết lõm giữa etan và propan và chiều cao pic của etan.
5.3.3 Cấu tử đồng hành
Độ phân giải giữa hai pic liền kề phải không nhỏ hơn 1,5.
6 Cách tiến hành
6.1 Cài đặt hệ thống phân tích
Cài đặt tất cả hệ thống phân tích theo hướng dẫn của nhà sản xuất và các phương pháp phân tích đã lựa chọn.
Chai chứa mẫu và đường ống dẫn khí phải được gia nhiệt vừa đủ để tránh ngưng tụ và hấp thu các hydrocacbon nặng hơn trong hệ thống lấy mẫu. Chai chứa mẫu và đường ống dẫn khí phải được gia nhiệt đến ít nhất 10 K trên nhiệt độ lấy mẫu. Các cảnh báo đặc biệt phải được tính đến tại bất kỳ điểm nào trong hệ thống xảy ra sự giảm áp.
CHÚ THÍCH: Nhiệt độ của khí thiên nhiên sẽ giảm khoảng 0,005 K trên kilopascal do sự giảm áp.
6.2 Bơm mẫu
Thổi sạch van mẫu từ từ bằng khí sẽ được phân tích, lượng khí sử dụng này ít nhất 20 lần thể tích van và đường ống kèm theo.
Ngừng thổi sạch để cho khí đạt đến nhiệt độ của van và áp suất môi trường, sau đó bơm mẫu. Hỗn hợp khí chuẩn công tác phải được bơm theo cách tương tự.
CHÚ THÍCH: Cũng có thể nạp mẫu vào vòng mẫu đã được xả trước đó và để cho nó đạt đến cân bằng với áp suất môi trường trước khi bơm mẫu.
7 Hiệu chuẩn và biểu đồ kiểm soát
7.1 Hiệu chuẩn
Các cấu tử chính, ngoại trừ các hydrocacbon C4 và C5, phải được phân tích sử dụng hiệu chuẩn nhiều mức.
Các hydrocacbon C4 và C5 có thể được phân tích hoặc sử dụng hiệu chuẩn đơn điểm hoặc sử dụng các hệ số phản hồi FID tương đối.
Các cấu tử vết phải được phân tích sử dụng các hệ số phản hồi FID tương đối. Nồng độ của cấu tử chuẩn phải nhỏ hơn 1 % (n/n).
Các cấu tử đồng hành phải được phân tích sử dụng hiệu chuẩn đơn điểm.
7.1.1 Hiệu chuẩn nhiều mức (xác định đường phản hồi)
Với hiệu chuẩn nhiều mức, đường phản hồi đối với detector trên dải phân tích được xác định. Việc này được thực hiện với ít nhất bảy điểm hiệu chuẩn đối với từng cấu tử, được phân phối ngang bằng trên dải. Bảy điểm này phải được xác định sử dụng ít nhất bảy hỗn hợp khí chuẩn đã được chứng nhận như được mô tả trong 5.1.2.1.
Đường phản hồi có thể được xác định đối với từng cấu tử như được mô tả trong Phụ lục A.
CHÚ THÍCH 1: Sử dụng bảy điểm hiệu chuẩn đối với từng cấu tử cho phép xác nhận hành vi của detector bậc bốn có độ nhạy cao. Hành vi bậc ba chủ yếu chỉ ra detector bị hỏng.
CHÚ THÍCH 2: Khi xác định đường phản hồi nhiều mức, tốt nhất là áp suất môi trường phải không đổi đối với toàn bộ chu kỳ hiệu chuẩn vi lượng được bơm tỷ lệ thuận trực tiếp với áp suất môi trường. Một cách để tránh các vấn đề là ghi chép áp suất môi trường tại mỗi lần bơm khí hiệu chuẩn và sau đó hiệu chính phản hồi đo được với áp suất chuẩn sử dụng công thức sau đây.
![]()
trong đó
Rc,st là phản hồi đã được hiệu chính theo áp suất chuẩn;
Rc là phản hồi đo được;
pc là áp suất môi trường, tính bằng kilopascal;
pst là áp suất khí quyển chuẩn (101,325 kPa).
7.1.2 Hiệu chuẩn đơn điểm (xác định đường phản hồi)
Hiệu chuẩn đơn điểm được sử dụng theo giả định rằng hành vi detector chặn gốc và tuyến tính trên dài nhỏ xung quanh điểm tại đó sắc ký được hiệu chuẩn.
7.2 Hiệu chuẩn thường xuyên
Tiến hành hiệu chuẩn thường xuyên sử dụng WRM theo 5.1.2.2. Thực hiện việc này bằng cách bơm, WRM hai lần theo quy trình nêu trong 6.2 và lấy giá trị trung bình để điều chỉnh đường phản hồi.
Đối với khoảng thời gian hiệu chuẩn, xem 7.3.
7.3 Biểu đồ kiểm soát
Việc kiểm tra các dữ liệu hiệu chuẩn (xem 7.1 và 7.2) có thể cho một chỉ thị như là thiết bị và phương pháp đang làm việc có đáp ứng hay không. Tuy nhiên, phép xác định đường phản hồi được dự kiến để xác định phản hồi thiết bị với các cấu tử có mặt trong WRM, và do vậy nó không thích hợp để sử dụng cùng dữ liệu này để thử nghiệm phương pháp. Cần có chai chứa khí kiểm soát chất lượng có thành phần đã biết, như mô tả trong 5.1.2.3, điển hình của các khí thiên nhiên đối với phương pháp được sử dụng.
Tiến hành phân tích khí kiểm soát chất lượng với từng mẻ mẫu. Thành phần của khí không thay đổi và do đó các kết quả của phép phân tích có thể được sử dụng như một chỉ dẫn về việc liệu phương pháp đang làm việc có thích hợp không hoặc có cần hiệu chuẩn lại không, hoặc cả hai. Trước khi sử dụng lần đầu, phân tích khí kiểm soát chất lượng, sử dụng phương pháp và WRM theo quy định, số lần vừa đủ (ít nhất 10) để tính được dữ liệu độ chụm. Đối với từng cấu tử trong khí kiểm soát chất lượng, tính nồng độ trung bình và độ lệch chuẩn của nó. Các giá trị này nên là đặc trưng của các giá trị dự kiến đối với khí kiểm soát chất lượng này trên các lần kế tiếp.
Giả định rằng các kết quả phân tích đối với khí kiểm soát theo sự phân bố thông thường 68,3 % của bộ kết quả lặp lại bất kỳ nên nằm trong khoảng ± 1 độ lệch chuẩn của giá trị trung bình, 95,4 % sẽ nằm trong khoảng ± 2 độ lệch chuẩn và 99,7 % sẽ nằm trong khoảng ± 3 độ lệch chuẩn. Theo cách nói khác, trong khi hệ thống ứng xử một cách thông thường, một kết quả đơn lẻ nhận được trên khí kiểm soát chất lượng sẽ nằm ngoài ± 3 độ lệch chuẩn chỉ với ba lần xuất hiện trong số 1000. Điều này đủ hiếm để kết quả như vậy được coi là đại diện cho sự thay đổi thực sự trong phương pháp hoặc trong việc xác định đường phản hồi, điều đó yêu cầu phải có biện pháp khắc phục (khí kiểm soát chất lượng được giả định là ổn định, và không làm tăng các số đọc). Kết quả đơn lẻ bất kỳ có thể nằm ngoài ± 2 độ lệch chuẩn trong 1 lần xuất hiện trong số 20 lần. Kết quả như vậy nên được xem là một cảnh báo, không yêu cầu hành động trừ khi kết quả tiếp theo cũng vượt quá giới hạn này.
7.4 Sử dụng biểu đồ kiểm soát
Đối với mỗi cấu tử trong khí kiểm soát chất lượng, xây dựng biểu đồ kiểm soát giá trị trung bình đối với cấu tử và các nồng độ đại diện giá trị trung bình ± 2 độ lệch chuẩn và giá trị trung bình ± 3 độ lệch chuẩn được đánh dấu trên trục y. Vẽ các đường song song với trục x từ những điểm này. Mỗi lần khí kiểm soát chất lượng được phân tích, vẽ giá trị sử dụng trục x là thang thời gian.
Nếu biết rằng độ lệch chuẩn cho một cấu tử thay đổi theo nồng độ, thì dải các nồng độ phải đủ rộng để các phương sai này có ý nghĩa, có thể nên có hai biểu đồ kiểm soát cho cấu tử như vậy, đại diện cho ứng xử hệ thống đối với các khí thử nghiệm có các thành phần khác nhau.
So sánh các giá trị đã vẽ từ mỗi phép phân tích khí kiểm soát chất lượng với giá trị trung bình và ± 2 dòng độ lệch chuẩn và ± 3 dòng độ lệch chuẩn. Hình 2 trình bày ví dụ điển hình đối với nitơ tại quanh 2,5 %. Điều này cho biết sự phân tán nhỏ tương đối xung quanh giá trị trung bình, và đưa ra sự tái đảm bảo rằng phép xác định của cấu tử này là phù hợp.
Nếu các kết quả đơn lẻ nằm ngoài các giới hạn cảnh báo (± 2 độ lệch chuẩn) nhiều hơn thông lệ, điều này có thể chỉ ra rằng
- Hoặc có xu hướng hệ thống đối với các kết quả là quá cao hoặc quá thấp (chỉ là cảnh báo giới hạn trên hoặc cảnh báo giới hạn dưới đã bị cản trở),
- Hoặc sai số ngẫu nhiên đối với phép xác định cấu tử đó tăng (nếu cả hai giới hạn giao nhau một cách ngẫu nhiên).
Hình 3 trình bày biểu đồ kiểm soát đối với cacbon dioxit. Các kết quả đối với một vài ngày đầu tiên duy trì gần với giá trị trung bình, sau đó đồ thị cho thấy trôi xuống rõ ràng. Mặc dù không vượt quá giới hạn độ lệch chuẩn -3, điều này cho thấy rõ ràng có một số sai số hệ thống, cho phép đánh giá thấp cacbon dioxit.
Hình 4 minh họa sai số ngẫu nhiên gia tăng. Các ngày 5 đến 8 xuất hiện bình thường, từ các ngày 9 đến 13 sai số lớn hơn nhưng xuất hiện các sự thay đổi không hệ thống. Lại lần nữa, không có kết quả đơn vượt quá ± 3 độ lệch chuẩn, nhưng yêu cầu cần lưu ý tới phương pháp này.
Các giới hạn kiểm soát ban đầu được lựa chọn là kết quả của phép đo độ lặp lại đơn đã thực hiện trước khi biểu đồ được vẽ. Nhiều thông tin trở nên sẵn có như biểu đồ được sử dụng và điều này là hợp lý để vẽ lại những giới hạn này sau khi thu thập được 25 hoặc 50 điểm dữ liệu. Điều này giả thiết rằng phương pháp được duy trì ổn định, như trong Hình 2. Không sử dụng dữ liệu chỉ ra rõ ràng một số lỗi để rà soát các giới hạn kiểm soát.

Hình 2 - Ví dụ về biểu đồ kiểm soát nitơ

Hình 3 - Ví dụ về biểu đồ kiểm soát cacbon dioxit

Hình 4 - Ví dụ về biểu đồ kiểm soát etan
8 Tính toán
8.1 Các nồng độ chưa được hiệu chính
8.1.1 Cấu tử chính
Tính toán nồng độ chưa hiệu chính xis, theo % (n/n), của từng cấu tử chính trong số cấu tử chính trong mẫu sử dụng công thức sau:
![]()
trong đó
ai, bi, ci và di là các hằng số đối với cấu tử thứ i;
Ris là phản hồi đối với cấu tử thứ i trong mẫu;
Riws là phản hồi đối với cấu tử thứ i trong WRS;
xiws là nồng độ chưa hiệu chính của cấu tử thứ i trong WRS, tính bằng % (n/n).
CHÚ THÍCH: Nếu hydrocacbon C4 và C5 được xác định thì sử dụng hiệu chuẩn đơn điểm và công thức (1), các giá trị ai, bi và di là 0, trong khi giá trị ci là 1.
8.1.2 Cấu tử vết
Tính toán nồng độ chưa hiệu chính xis, theo % (n/n), của từng cấu tử vết trong số các cấu tử vết trong mẫu sử dụng công thức sau:
![]()
trong đó
abc, bbc, cbc và dbc là các hằng số đối với cấu tử chuẩn;
Kbci là hệ số phản hồi tương đối đối với các cấu tử chuẩn và cấu tử thứ i;
Ris là phản hồi đối với cấu tử thứ i trong mẫu;
Rbcws là phản hồi đối với cấu tử chuẩn trong WRS;
xbcws là nồng độ chưa hiệu chính của cấu tử chuẩn trong WRS, tính bằng % (n/n).
CHÚ THÍCH: Nếu cấu tử chuẩn khác với propan, các giá trị abc, bbc và dbc là 0, trong khi giá trị cbc là 1.
8.1.3 Cấu tử đồng hành
Tính toán nồng độ chưa hiệu chính xis, theo % (n/n), của từng cấu tử kèm trong mẫu sử dụng công thức sau:
![]()
trong đó
Ris là phản hồi đối với cấu tử thứ i trong mẫu;
Riws là phản hồi đối với cấu tử thứ i trong WRS;
xiws là nồng độ chưa hiệu chính của cấu tử thứ i trong WRS, tính bằng % (n/n).
8.1.4 Cấu tử khác
Phương pháp này không có ý để xác định các hợp chất oxy (hơi nước, metanol, glycol) hoặc các hợp chất lưu huỳnh, nhưng nếu hàm lượng của các hợp chất như vậy được biết từ các phương pháp khác, nồng độ tổng của chúng, xoc, tính bằng % (n/n), phải được tính theo công thức:
![]()
trong đó
xjoc là nồng độ của cấu tử thứ j, tính bằng % (n/n);
m là số lượng các cấu tử được tính đến.
8.2 Hiệu chính
Nếu tổng của tất cả các nồng độ của các cấu tử được phát hiện nằm trong khoảng 99 % (n/n) đến 101 % (n/n), hiệu chính các kết quả về 100 %. Nếu không thì phân tích lại.
Tiến hành hiệu chính như sau:

Trong đó
x*i là nồng độ đã hiệu chính của cấu tử thứ i, tính bằng % (n/n);
xis là nồng độ chưa hiệu chính của cấu tử thứ i trong mẫu, tính bằng % (n/n);
xocs là nồng độ tổng chưa hiệu chính của các cấu tử khác trong mẫu, tính bằng % (n/n);
k là số lượng các cấu tử được phát hiện.
9 Độ chụm
Phương pháp phân tích đã chọn phải có độ chụm, được tính theo TCVN 6910-1 (ISO 5725-1), ít nhất là tốt như sau:
9.1 Cấu tử chính
Các kết quả được trình bày trên cơ sở phép phân tích bởi 12 phòng thử nghiệm được tính theo TCVN 6910-1 (ISO 5725-1).

trong đó
r là độ lặp lại tương đối;
R là độ tái lập tương đối;
x là nồng độ cấu tử, tính bằng % (n/n).
9.2 Cấu tử vết
Các kết quả được trình bày trên cơ sở phép phân tích bởi 6 phòng thử nghiệm được tính theo TCVN 6910-1 (ISO 5725-1).
![]()
trong đó
r là độ lặp lại;
R là độ tái lập;
x là nồng độ cấu tử, tính bằng % (n/n).
10 Báo cáo thử nghiệm
Báo cáo thử nghiệm phải bao gồm thông tin sau:
a) Viện dẫn tiêu chuẩn này;
b) Tất cả thông tin cần thiết để nhận dạng đầy đủ mẫu, ví dụ:
- Ngày lấy mẫu,
- Địa điểm trong hệ thống đường ống tại đó mẫu được lấy;
c) Phương pháp lấy mẫu được sử dụng (bao gồm cỡ và loại vật liệu của chai chịu áp được sử dụng);
d) Danh mục đầy đủ tất cả các cấu tử được xác định hoặc phát hiện;
e) Nếu có thể, độ chụm của các nồng độ đã xác định của các cấu tử của mẫu, bao gồm số lượng phép xác định;
f) Chi tiết sai khác với quy trình quy định;
g) Các đặc điểm bất thường được ghi lại trong suốt phép xác định (nghĩa là trong sắc ký đồ).
Phụ lục A
(tham khảo)
Phép xác định các đường phản hồi đối với các cấu tử chính trong mẫu
A.1 Yêu cầu chung
Để xác định đường phản hồi, các kết quả là cần thiết với số lượng các nồng độ cấu tử chính khác nhau. Số lượng các nồng độ được yêu cầu phụ thuộc vào thứ tự của đường phản hồi phù hợp nhất. Số lượng tối thiểu của các nồng độ được yêu cầu giống với số lượng các hằng số (xem dưới đây) trong phương trình đa thức của đường phản hồi phù hợp nhất. Tuy nhiên, một ít các nồng độ thêm có thể thích hợp vì trong hầu hết các trường hợp thứ tự của đường phản hồi chưa được biết trước đó, và số lượng giới hạn của các nồng độ bổ sung sẽ giảm sự ảnh hưởng của sai số phép đo trên các đường cong. Do vậy, phân tích tại bảy nồng độ là thích hợp.
Các nồng độ này nên cách đều nhau trong dải làm việc quy định của từng cấu tử. Nồng độ thấp nhất nên nằm dưới nồng độ thấp nhất trong dải làm việc, một ít nồng độ cao nhất nên nằm cao hơn nồng độ cao nhất của dải làm việc một ít.
Các đa thức dưới đây có thể được sử dụng để xác định đường cong phù hợp nhất:
Xi = bi,1Ri (thứ tự đầu tiên qua gốc)
Xi = bi,0 + bi,1Ri (thứ tự đầu tiên)
Xi = bi,0 + bi,1Ri + bi,2Ri2 (thứ tự thứ hai)
Xi = bi,0 + bi,1Ri + bi,2Ri2 + bi,3Ri3 (thứ tự thứ ba)
trong đó
Xi là nồng độ của cấu tử thứ i trong CRM;
Ri là phản hồi đối với cấu tử thứ i, tính bằng số đếm;
bi,0 đến bi,3 là các hằng số đối với cấu tử thứ i.
A.2 Số lượng phân tích
Mỗi CRM trong số các CRM có chứa các cấu tử chính được phân tích ít nhất hai lần trên sắc ký khí.
A.3 Tính toán (phù hợp) các đường phản hồi
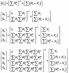
Để tính toán, đối với từng mỗi cấu tử trong số các cấu tử chính, các hằng số trong bốn đa thức đường phản hồi nêu trong Điều A.1, yêu cầu lượng ma trận đại số học nhất định. Về lý do này, máy tính có phần mềm thích hợp được yêu cầu. Các phép tính trong ma trận ký hiệu đại số chỉ được trình bày chi tiết tóm tắt. Phương pháp đã mô tả có thể được tìm thấy trong bất kỳ cuốn sách thực hành về hồi quy tuyến tính, do vậy việc giới thiệu toàn diện ở đây là không cần thiết.
Sau khi phân tích các CRM, bộ các phương trình sau đây có thể được thiết lập:

trong đó
n là tổng số lượng của các phép phân tích (nếu bảy CRM được phân tích, n = 2 x 7 = 14);
m là thứ tự của phương trình đường phản hồi (đối với phương trình bậc hai, m = 2)
ei,1 đến ei,n là số còn lại, nghĩa là sự chênh lệch giữa nồng độ thực của cấu tử thứ i của CRM và nồng độ của cấu tử thứ i được tính từ đường phản hồi sau khi xác định các giá trị b)
Hoặc, được biểu thị bằng các số hạng ma trận:
![]()
trong đó
là vector có chứa các nồng độ của các cấu tử CRM chính:

RCRM,I là ma trận có chứa các phản hồi đối với cấu tử i trong mỗi CRM phù hợp với đường cong phản hồi đối với cấu tử thứ i:

là vector có chứa các hằng số đa thức đối với cấu tử thứ i:

Vector có chứa các hằng số đa thức được tính dưới đây:
![]()
trong đó
là sự hoán đổi của ma trận R đối với cấu tử thứ i;
( )–1- chỉ ra nghịch đảo của ma trận bên trong dấu ngoặc đơn.
CHÚ THÍCH: Xem Phụ lục B đối với các chi tiết thêm nữa về các thành phần của các ma trận đã sử dụng.
Nồng độ của cấu tử thứ i được tính từ công thức
![]()
trong đó
Xi là vector có chứa các nồng độ đã tính của cấu tử thứ i.
Vector có chứa các số còn lại được tính như sau:
![]()
Nếu ký hiệu ma trận được chuyển ngược lại các phương trình đa thức gốc, nồng độ của cấu tử bất kỳ có thể được tính từ một trong những công thức sau:

A.4 Lựa chọn thứ tự đúng đối với phương trình đường phản hồi
Sau khi tính bốn đa thức đường phản hồi khả thi đối với mỗi cấu tử chính, phải thực hiện việc lựa chọn để các đường cong thích hợp nhất đối với mỗi cấu tử chính. Quyết định này dựa trên cơ sở sử dụng thống kê giới hạn.
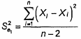
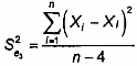
Trước tiên, phương sai của các số còn lại của bốn đa thức được tính từ công thức

trong đó
n là tổng số lượng của các phép phân tích (nếu bảy CRM được phân tích, n = 2 x 7 = 14);
m là thứ tự của phương trình đường phản hồi;
p là số lượng các hằng số đa thức trong phương trình đường phản hồi (= m + 1);
Xi là nồng độ thực của cấu tử thứ i trong CRM;
Xi là nồng độ tính được của cấu tử thứ i trong CRM.
Giá trị của là thông số của độ lặp lại tổng thể của phương pháp sắc ký khi khi thứ tự đúng được lựa chọn đối với phương trình đường phản hồi.
Đối với mỗi phương trình trong bốn phương trình đường phản hồi, phương sai của các số còn lại, hoặc bình phương trung bình còn lại, được tính như sau:
|
| (bậc nhất đi qua gốc) |
|
| (bậc nhất) |
|
| (bậc hai) |
|
| (bậc ba) |
Độ chênh lệch SSd giữa các phương sai còn lại đối với các đường phản hồi thứ hai và thứ ba trước tiên được tính toán như sau:
![]()
Với một bậc tự do (df = 1).
Sau đó một phép thử được thực hiện để xem liệu sự chênh lệch giữa các phương sai có làm lệch đáng kể so với phương sai của đường phản hồi thứ ba như sau không:
![]()
Giá trị F tính được (Fcal) được so sánh với giá trị từ Bảng A.1 đối với F0,05, 1, n-4 (0,05 nghĩa là phép thử tại mức 5 %; 1 là số bậc tự do của tử số; n - 4 là số bậc tự do của mẫu số).
- Nếu Fcal ≤ F, khi đó đường phản hồi bậc ba không tốt hơn đáng kể đường phản hồi bậc hai, và phép thử được lặp lại với cặp đường cong tiếp theo (xem dưới đây).
- Nếu Fcal > F, khi đó đường phản hồi bậc ba tốt hơn đáng kể đường phản hồi bậc hai, đường phản hồi bậc ba được sử dụng làm đường hiệu chuẩn.
Nếu đường phản hồi bậc ba không tốt hơn đáng kể đường phản hồi bậc hai, khi đó phép thử kế tiếp được tiến hành để xác định liệu đường phản hồi bậc hai có tốt hơn đường phản hồi bậc nhất. Đối với mục đích này, sự chênh lệch SSd giữa các phương sai còn lại đối với các đường phản hồi bậc nhất và bậc hai được tính như sau:
![]()
Một giá trị F mới khi đó được tính từ công thức:
![]()
Giá trị F tính được (Fcal) được so sánh với giá trị từ Bảng A.1 đối với F0,05, 1, n-3.
- Nếu Fcal ≤ F, khi đó đường phản hồi bậc hai không tốt hơn đáng kể đường phản hồi bậc nhất, và phép thử được lặp lại với bộ đường cong tiếp theo.
- Nếu Fcal > F, khi đó đường phản hồi bậc hai tốt hơn đáng kể đường phản hồi bậc nhất, đường phản hồi bậc hai được sử dụng làm đường hiệu chuẩn.
Bảng A.1 - Bảng F
| Các điểm tới hạn tại mức 5 % | |
| F0,05, df1, df2 trong đó df1 = 1 | |
| df2 | F |
| 1 | 161 |
| 2 | 18,5 |
| 3 | 10,1 |
| 4 | 7,71 |
| 5 | 6,61 |
| 6 | 5,99 |
| 7 | 5,59 |
| 8 | 5,32 |
| 9 | 5,12 |
| 10 | 4,96 |
| 11 | 4,84 |
| 12 | 4,75 |
| 13 | 4,67 |
| 14 | 4,60 |
| 15 | 4,54 |
| 16 | 4,49 |
| 17 | 4,45 |
| 18 | 4,41 |
| 19 | 4,38 |
| 20 | 4,35 |
| 30 | 4,17 |
| 40 | 4,08 |
| 60 | 4,00 |
| 120 | 3,92 |
| ∞ | 3,84 |
A.5 Cách tính phương sai và hiệp phương sai của các đường cong
Phương sai và hiệp phương sai được xác định sử dụng các ma trận hiệp phương sai sau đây:
Đối với đường thẳng qua gốc:

Đối với đa thức bậc nhất

Đối với đa thức bậc hai

Đối với đa thức bậc ba

Phụ lục B
(tham khảo)
Các chi tiết thêm về các ma trận được sử dụng trong Phụ lục A

Phụ lục C
(tham khảo)
Danh mục các chỉ số lưu
| Chỉ số lưu | Cấu tử |
| 300 | propan |
| 353,9 | me-propan |
| 400 | butan |
| 409,3 | 2, 2-di-me-propan |
| 466,8 | 2-me-butan |
| 500 | pentan |
| 532,8 | 2, 2di-me-butan |
| 562,9 | cyclopentan + 2, 3-di-me-butan |
| 566,7 | 2-me-pentan |
| 582,0 | 3-me-pentan |
| 600 | hexan |
| 625,0 | 2, 2-di-me-pentan |
| 628,7 | me-cyclopentan |
| 630,7 | 2, 4-di-me-pentan |
| 637,7 | 2, 2, 3-tri-me-butan |
| 652,5 | benzen |
| 657,4 | 3, 3-di-me-pentan |
| 662,7 | cyclohexan |
| 668,1 | 2-me-hexan + 2, 3-di-me-pentan |
| 671,0 | 1, 1-di-me-cyclopentan |
| 676,9 | 3-me-hexan |
| 687,7 | 3-et-pentan + trans-1, 2-di-me-cyclopentan |
| 691,4 | 2, 2, 4-tri-me-pentan |
| 700 | heptan |
| 724,0 | 2, 2-di-me-hexan |
| 726,4 | me-cyclohexan |
| 733,7 | 2, 5-di-me-hexan |
| 736,3 | et-cyclopentan |
| 738,3 | 2, 4-di-me-hexan |
| 745,3 | 3, 3-di-me-hexan |
| 760,1 | toluen |
| 763,7 | C8 chưa nhận dạng |
| 767,7 | 2-me-heptan + 4-me-heptan |
| 769,5 | C8 chưa nhận dạng |
| 775,6 | 3-me-heptan |
| 783,4 | cis-1, 3-di-me-cyclopentan |
| 786,2 | C8 chưa nhận dạng |
| 792,3 | 2, 2, 5-tri-me-hexan |
| 800 | octan + ?-di-me-cyclohexan |
| 804,1 | ?-di-me-cyclohexan |
| 822,2 | 2, 2-di-me-cyclohexan |
| 826,4 | C9 chưa nhận dạng |
| 832,3 | cis-1, 2-di-me-cyclohexan |
| 840,9 | ?-di-me-cyclohexan |
| 843,6 | C9 chưa nhận dạng |
| 846,5 | C9 chưa nhận dạng |
| 857,3 | et-benzen |
| 865,4 | m- + p-xylen + 2-me-octan + 4-me-octan |
| 874,3 | 3-me-octan |
| 889,5 | o-xylen |
| 900 | nonan |
| 922,4 | C10 chưa nhận dạng |
| 938,1 | C10 chưa nhận dạng |
| 953,3 | C10 chưa nhận dạng |
| 959,5 | C10 chưa nhận dạng |
| 966,5 | ?-me-nonan |
| 973,6 | ?-me-nonan |
| 979,2 | ?-me-nonan |
| 993,5 | 1, 2, 4-tri-me-benzen + tert-bu-benzen |
| 1000 | decan |
| 1013,1 | C11 chưa nhận dạng |
| 1025,1 | C11 chưa nhận dạng |
| 1039,8 | C11 chưa nhận dạng |
| 1044,8 | C11 chưa nhận dạng |
| 1087,6 | C11 chưa nhận dạng |
| 1100 | undecan |
| 1200 | dodecan |
Thư mục tài liệu tham khảo
[1] ISO 6568:1981, Natural gas - Simple analysis by gas chromatography (Khí thiên nhiên - Phân tích đơn giản bằng sắc ký khí)
[2] ISO 7504:1984, Gas analysis - Vocabulary (Phân tích khí - Từ vựng)
[3] HAYES, P.C., và PITZER, E.W., J.Chrom., 253, trang 179-198 (1982)
Bạn chưa Đăng nhập thành viên.
Đây là tiện ích dành cho tài khoản thành viên. Vui lòng Đăng nhập để xem chi tiết. Nếu chưa có tài khoản, vui lòng Đăng ký tại đây!



